RU2397503C2 - Способ для определения места повреждения линий электропередачи - Google Patents
Способ для определения места повреждения линий электропередачи Download PDFInfo
- Publication number
- RU2397503C2 RU2397503C2 RU2008114387/28A RU2008114387A RU2397503C2 RU 2397503 C2 RU2397503 C2 RU 2397503C2 RU 2008114387/28 A RU2008114387/28 A RU 2008114387/28A RU 2008114387 A RU2008114387 A RU 2008114387A RU 2397503 C2 RU2397503 C2 RU 2397503C2
- Authority
- RU
- Russia
- Prior art keywords
- damage
- line
- component
- negative
- impedance
- Prior art date
Links
- 238000000034 method Methods 0.000 title claims description 46
- 238000004364 calculation method Methods 0.000 claims abstract description 14
- 230000005540 biological transmission Effects 0.000 claims description 65
- 238000010586 diagram Methods 0.000 claims description 29
- 238000004458 analytical method Methods 0.000 claims description 13
- 230000016507 interphase Effects 0.000 claims description 10
- 239000000126 substance Substances 0.000 abstract 1
- 230000009471 action Effects 0.000 description 26
- 238000005259 measurement Methods 0.000 description 13
- 230000009466 transformation Effects 0.000 description 7
- 238000000844 transformation Methods 0.000 description 7
- 230000001360 synchronised effect Effects 0.000 description 6
- 230000005611 electricity Effects 0.000 description 3
- 230000001681 protective effect Effects 0.000 description 3
- 230000008901 benefit Effects 0.000 description 2
- 239000003990 capacitor Substances 0.000 description 2
- 239000012634 fragment Substances 0.000 description 2
- 230000008569 process Effects 0.000 description 2
- 230000002411 adverse Effects 0.000 description 1
- 230000008859 change Effects 0.000 description 1
- 230000007423 decrease Effects 0.000 description 1
- 238000005516 engineering process Methods 0.000 description 1
- 230000003902 lesion Effects 0.000 description 1
- 239000000463 material Substances 0.000 description 1
- 230000008439 repair process Effects 0.000 description 1
Images
Classifications
-
- G—PHYSICS
- G01—MEASURING; TESTING
- G01R—MEASURING ELECTRIC VARIABLES; MEASURING MAGNETIC VARIABLES
- G01R31/00—Arrangements for testing electric properties; Arrangements for locating electric faults; Arrangements for electrical testing characterised by what is being tested not provided for elsewhere
- G01R31/08—Locating faults in cables, transmission lines, or networks
- G01R31/081—Locating faults in cables, transmission lines, or networks according to type of conductors
- G01R31/086—Locating faults in cables, transmission lines, or networks according to type of conductors in power transmission or distribution networks, i.e. with interconnected conductors
-
- G—PHYSICS
- G01—MEASURING; TESTING
- G01R—MEASURING ELECTRIC VARIABLES; MEASURING MAGNETIC VARIABLES
- G01R31/00—Arrangements for testing electric properties; Arrangements for locating electric faults; Arrangements for electrical testing characterised by what is being tested not provided for elsewhere
- G01R31/08—Locating faults in cables, transmission lines, or networks
- G01R31/088—Aspects of digital computing
Landscapes
- Physics & Mathematics (AREA)
- General Physics & Mathematics (AREA)
- Engineering & Computer Science (AREA)
- Mathematical Physics (AREA)
- Theoretical Computer Science (AREA)
- Locating Faults (AREA)
Abstract
Изобретение относится к измерительной технике и предназначено для определения места повреждения в многотерминальных линиях электропередачи с воздушными кабелями и подземными кабелями. Сущность: измеряют ток для условия повреждения и условия перед повреждением во всех оконечных станциях. В одной оконечной станции линии системы измеряют фазовое напряжение для условия повреждения и условия перед повреждением. Принимают некоторое гипотетическое местоположение повреждения. Вычисляют расстояния до гипотетических местоположений повреждения и сопротивления в месте повреждения. Выбирают действительную точку повреждения путем первого сравнения численных значений расстояний до гипотетических местоположений повреждений и путем отбрасывания тех результатов, численные значения которых являются отрицательными или больше единицы в относительных единицах, а затем путем анализа значений вычисленных сопротивлений в месте повреждения и отбрасывания тех результатов вычислений, для которых значение сопротивления повреждения является отрицательным. При этом если по-прежнему остается более одного неотброшенного результата вычисления, то выполняют выбор справедливого результата путем анализа значений вычисленных соответствующих импедансов эквивалентных источников. Технический результат: возможность определения точки повреждения для систем как с пассивными, так и с активными ответвлениями, стойкость к условиям перед повреждением. 16 з.п. ф-лы, 19 ил., 6 табл.
Description
ОБЛАСТЬ ТЕХНИКИ
Настоящее изобретение относится к способу для определения места повреждения линий электропередачи, применимому к трехтерминальным линиям электропередачи и многотерминальным линиям электропередачи, пригодному для использования в электроэнергетике для воздушных линий электропередач и подвесных кабельных линий электропередач или распределительных линий.
ПРЕДШЕСТВУЮЩИЙ УРОВЕНЬ ТЕХНИКИ
Точное определение места повреждения линий электропередачи является очень важным как для компаний - поставщиков электроэнергии, так и для потребителей электроэнергии. Быстрое и точное определение точки повреждения влияет на качество передаваемой электроэнергии и на ее надежную и непрерывную подачу. В большинстве случаев повреждения являются механическими повреждениями, которые нужно устранить перед восстановлением напряжения на линии. Быстрое исправление повреждения возможно, если место повреждения точно известно. Простейший способ для определения местоположения повреждения состоит в поиске вдоль линии. Указанный способ является медленным и дорогостоящим, даже опасным при неблагоприятных метеоусловиях. Для быстрого определения точки повреждения используют прибор для обнаружения мест повреждения. Прибор для обнаружения мест повреждения обычно является частью цифрового защитного реле, расположенного на электростанциях или на подстанциях. Известны различные способы определения места повреждения в зависимости от типа линий электропередачи: параллельные линии, трехтерминальные линии электропередачи и многотерминальные линии электропередачи, в зависимости от местоположения оконечных терминалов и от измерения сигналов при разнесенном приеме.
Система и способ для определения места повреждения в трехтерминальной линии электропередачи известны из патента US 6466030. Способ согласно изобретению состоит в делении линии передачи в точке ответвления на два участка, участок стороны подачи и участок приемной стороны, причем на обеих сторонах обоих участков на их концах устанавливаются приборы для измерения сигналов тока и напряжения. Затем, на основе синхронно и асинхронно измеренных значений и модели контуров повреждения, вычисляется импеданс нагрузки в фазе, после чего вычисляется первое гипотетическое местоположение повреждения в предположении, что повреждение произошло на участке стороны подачи. В зависимости от того, являются ли измерения синхронизированными или нет, либо вычисляется фазовый угол, который является мерой смещения со временем измеренных выборок из сигналов с обоих концов линии на основе измеренных сигналов перед повреждением, либо предполагается, что для синхронных измерений фазовый угол равен нулю. Затем выполняются вычисления второго гипотетического местоположения повреждения на втором участке линии между точкой ответвления и точкой приема. Из упомянутых двух вычисленных гипотетических местоположений выбирается одно значение, которое содержится в некотором специфическом интервале ожидаемых значений, то есть численных значений от 0 до 1 в относительных единицах измерения. Данное решение применяется к случаю одноцепной линии электропередачи с пассивной фазой, что означает, что в принятой эквивалентной принципиальной схеме такой системы, в линии с ответвлениями, не учитывается присутствие электродвижущей силы, и импеданс нагрузки такой линии может быть вычислен из измерений перед повреждением.
Система и способ для определения места повреждения в многотерминальной параллельной линии электропередачи известны из патента US 5485394. В способе согласно изобретению многотерминальная система электропередачи приравнивается к трехтерминальной системе электропередачи. Для такой системы, дифференциальные амплитуды тока вычисляются на каждой станции, и затем из этих соотношений вычисляется расстояние до точки повреждения.
Способ определения места повреждения с использованием измерения комплексной амплитуды напряжения и тока на всех станциях, на концах многотерминальной линии электропередачи, известен из публикации „Novel Fault Location Algorithm for Multi-Terminal Lines Using Phasor Measurement Units”, опубликованной в материалах симпозиума the Thirty-Seventh Annual North American Power Symposium in Ames, штат Иова, США, 23-25 октября, 2005. Указанный способ состоит в сокращении многосекционной линии электропередачи до двухтерминальных линий в предположении, что повреждение расположено на одном из этих участков, и затем на основании такого предположения вычисляются гипотетические местоположения повреждения. Далее, выполняются вычисления последующих гипотетических местоположений повреждения в предположении, что повреждение расположено на дальнейших последующих участках линии. Из гипотетических местоположений повреждения, вычисленных таким образом, выбирается одно значение, которое заключается в некотором специфическом интервале ожидаемых значений и которое показывает действительное место повреждения.
СУЩНОСТЬ ИЗОБРЕТЕНИЯ
Согласно настоящему изобретению способ определения мест повреждения в линиях электропередачи путем деления линий электропередачи или распределительной системы на участки и предположения гипотетического местоположения повреждения, по меньшей мере, на одном из этих участков, состоит в том, что
измеряют ток во всех оконечных станциях системы для условия повреждения и условия перед повреждением,
измеряют фазовое напряжение линии в одной оконечной станции системы для условия повреждения и условия перед повреждением,
вычисляют симметричные составляющие измеренных сигналов тока и напряжения, а также полный ток повреждения в точке повреждения,
делают предположение относительно первой гипотетической точки повреждения, расположенной на участке линии между началом линии и первой точкой ответвления, относительно второй гипотетической точки повреждения, расположенной на участке линии между концом линии и последней точкой ответвления, и относительно некоторой последующей гипотетической точки повреждения, расположенной в ответвлении, причем дополнительно делается предположение относительно последующих гипотетических точек повреждения, расположенных на участках линии между двумя следующими друг за другом точками ответвления для многотерминальной линии электропередачи,
вычисляют расстояние от начала линии до точки повреждения, расстояние от конца линии до точки повреждения и расстояние от конца линии передачи с ответвлениями до точки повреждения, расположенной в этом ответвлении, а для многотерминальной линии электропередачи, дополнительно вычисляют расстояние от точки ответвления до точки повреждения, расположенной на участке линии между двумя точками ответвления, и затем вычисляется сопротивление в месте повреждения для всех гипотетических точек повреждения;
выбирают действительную точку повреждения путем первого сравнения численных значений предварительно определенных расстояний и отбрасывания тех результатов, численные значения которых являются отрицательными или больше 1 в относительных единицах, и затем проводят анализ значений расстояния повреждения, вычисленных для точек повреждения и отбрасывают те результаты, для которых расстояние повреждения является отрицательным, и после чего, если обнаруживают, что только одно численное значение расстояния находится в интервале от нуля до единицы в относительных единицах и что значение вычисленного сопротивления в месте повреждения для этого расстояния до точки повреждения является положительным или равно нулю, то эти результаты принимают окончательными результатами, которые показывают действительное расстояние до точки повреждения и значение сопротивления в месте повреждения в точке повреждения;
если, после выбора действительной точки повреждения, определяют, что в численном интервале от нуля до единицы в относительных единицах находятся, по меньшей мере, два численных значения предварительно вычисленных расстояний, и что значения вычисленного сопротивления в месте повреждения для этих точек повреждения являются положительными или равными нулю, то определяют модули импедансов или импедансы системы эквивалентных источников для отрицательной последовательной составляющей для однофазных коротких замыканий на землю, междуфазных коротких замыканий и междуфазных коротких замыканий на землю, или для положительной последовательной инкрементной составляющей для трехфазных коротких замыканий и в предположении, что повреждение произошло на определенном участке, при этом во время определения импеданса дополнительно проверяют, находятся ли вычисленные значения импеданса системы эквивалентных источников в первом квадранте декартовой системы координат для комплексной плоскости, и отбрасывают эти расстояния до точек повреждения для тех значений импеданса, которые не находятся в данном квадранте системы, и если оказывается, что в первом квадранте системы содержится только одно значение импеданса системы эквивалентных источников, касающееся расстояния, то результат вычисления расстояния до точки повреждения для этого импеданса считают окончательным, а если оказывается, что, по меньшей мере, два значения импеданса системы эквивалентных источников, касающиеся расстояния, содержатся в первом квадранте системы, то определяют модули импедансов;
сравнивают значения этих модулей импеданса эквивалентных источников с реалистическими значениями, которые действительно задают нагрузку системы, при этом расстояние, для которого значение модуля импеданса эквивалентных источников является самым близким к реалистическим значениям, действительно определяющим нагрузку системы, считают окончательным результатом.
Предпочтительно, вычисление тока повреждения выполняют, учитывая распределенные коэффициенты, определяющие соотношение между симметричными составляющими полного тока повреждения, когда оценивают падение напряжения на сопротивлении в месте повреждения, причем для той операции используют специально определенный набор этих коэффициентов.
Предпочтительно, для междуфазных коротких замыканий на землю, при оценке полного тока повреждения исключают положительную последовательную составляющую, а для отрицательной и нулевой последовательных составляющих, принимают следующие значения распределенных коэффициентов, определяющих соотношение между симметричными составляющими полного тока повреждения, когда оценивают падение напряжения на сопротивлении в месте повреждения, в частности для повреждения типа a-b-g:
где:
Предпочтительно, для трехтерминальных линий электропередачи расстояния от начала линии до точки повреждения dA, от конца линии до точки повреждения dB, от конца линии передачи с ответвлениями до точки повреждения dC определяют из следующих уравнений:
где:
„real” обозначает действительную часть заданной величины;
„imag” обозначает мнимую часть заданной величины;
V Ap - обозначает напряжение на контуре повреждения, определяемое в предположении, что повреждение произошло на участке LA;
V Tp - обозначает напряжение на контуре повреждения, определяемое в предположении, что повреждение произошло на участке LB или LC;
I Ap - обозначает контурный ток повреждения, определяемый в предположении, что повреждение произошло на участке LA;
I TBp - обозначает контурный ток повреждения, определяемый в предположении, что повреждение произошло на участке LB;
I TCp - обозначает контурный ток повреждения, определяемый в предположении, что повреждение произошло на участке LC линии;
I F - обозначает полный ток повреждения;
Z 1LA=R1LA+jω1L1LA - обозначает импеданс участка LA линии для положительной последовательности;
Z 1LB=R1LB+jω1L1LB - обозначает импеданс участка LB линии для положительной последовательности;
Z 1LC=R1LC+jω1L1LC - обозначает импеданс участка LC линии для положительной последовательности;
R1LA, R1LB, R1LC - сопротивление для положительной последовательности для участков LA, LB, LC линии соответственно;
L1LA, L1LB, L1LC - индуктивность для положительной последовательности для участков LA, LB, LC линии соответственно;
ω1 - угловая частота переменного тока для основной частоты.
Предпочтительно, для трехтерминальных линий электропередачи сопротивления RFA, RFB, RFC в месте повреждения определяют из следующих уравнений:
где:
„real” обозначает действительную часть заданной величины;
„imag” обозначает мнимую часть заданной величины;
V Ap - обозначает напряжение на контуре повреждения, вычисляемое в предположении, что повреждение произошло на участке LA;
V Tp - обозначает напряжение на контуре повреждения, вычисляемое в предположении, что повреждение произошло на участке LB или LC;
I Ap - обозначает контурный ток повреждения, вычисляемый в предположении, что повреждение произошло на участке LA;
I TBp - обозначает контурный ток повреждения, вычисляемый в предположении, что повреждение произошло на участке LB;
I TCp - обозначает контурный ток повреждения, вычисляемый в предположении, что повреждение произошло на участке LC линии;
I F - обозначает полный ток повреждения;
Z 1LA=R1LA+jω1L1LA - обозначает импеданс участка LA линии для положительной последовательности;
Z 1LB=R1LB+jω1L1LB - обозначает импеданс участка LB линии для положительной последовательности;
Z 1LC=R1LC+jω1L1LC R1LA - обозначает импеданс участка LC линии для положительной последовательности;
R1LA, R1LB, R1LC - сопротивление для положительной последовательности для участков LA, LB, LC линии, соответственно;
L1LC L1LA, L1LB, L1LC - индуктивность для положительной последовательности для участков LA, LB, LC линии, соответственно;
ω1 - угловая частота переменного тока для основной частоты;
dA - обозначает расстояние от начала линии до точки повреждения;
dB - обозначает расстояние от конца линии до точки повреждения;
dC - обозначает расстояние от конца линии передачи с ответвлениями до точки повреждения.
Предпочтительно, для трехтерминальных линий электропередачи, импеданс эквивалентного источника для отрицательной последовательной составляющей (Z 2SB)SUB_A) и для инкрементной положительной последовательной составляющей (Z Δ1SB)SUB_A) вычисляют в предположении, что повреждение произошло на участке LA линии, согласно уравнению:
где:
нижний индекс i принимает значения i=2 для отрицательной последовательной составляющей, i=Δ1 для инкрементной положительной последовательной составляющей;
G iA - обозначает первый аналитический коэффициент для отрицательной последовательной составляющей, определяемой из анализа эквивалентной принципиальной схемы системы, подобно показанной на фиг.11, и/или для инкрементной положительной последовательной составляющей, аналитически определяемой из эквивалентной принципиальной схемы системы, показанной на фиг.12;
I Ai - обозначает отрицательную и/или инкрементную положительную последовательную составляющую тока, измеренного в начале линии;
H Ai - обозначает второй аналитический коэффициент для отрицательной последовательной составляющей, определяемой из анализа эквивалентной принципиальной схемы системы, показанной на фиг.11, и/или для инкрементной положительной последовательной составляющей, аналитически определяемой из эквивалентной принципиальной схемы системы, показанной на фиг.12;
I FAi - обозначает отрицательную последовательную составляющую полного тока повреждения, определяемую из анализа эквивалентной принципиальной схемы системы, показанной на фиг.11, и/или инкрементную положительную последовательную составляющую полного тока повреждения, определяемую из эквивалентной принципиальной схемы системы, показанной на фиг.12;
Q BCi - обозначает отношение отрицательной последовательной составляющей тока, измеренной на конце линии, и суммы отрицательных последовательных составляющих сигналов тока, измеренных на конце линии и на конце линии передачи с ответвлениями, и/или отношение инкрементной положительной последовательной составляющей тока, измеренной на конце линии, и суммы инкрементных положительных последовательных составляющих сигналов тока, измеренных на конце линии и на конце линии передачи с ответвлениями.
Предпочтительно, для трехтерминальных линий электропередачи, импеданс (Z 2SC)SUB_A) эквивалентного источника для отрицательной последовательной составляющей и (Z Δ1SC)SUB_A) для инкрементной положительной последовательной составляющей вычисляют в предположении, что повреждение произошло на участке LA линии, из следующего уравнения:
где:
нижний индекс i принимает значения i=2 для отрицательной последовательной составляющей, i=Δ1 для инкрементной положительной последовательной составляющей;
(Z iSB)SUB_A) - обозначает импеданс эквивалентных источников для отрицательной последовательной составляющей и/или для инкрементной положительной последовательной составляющей, вычисляемой в предположении, что повреждение произошло на участке LA линии;
Z iLB - обозначает импеданс участка LB линии для отрицательной последовательной составляющей и/или для инкрементной положительной последовательной составляющей, где: Z Δ1LB=Z 1LB;
Z 1LB - обозначает импеданс участка LB линии для положительной последовательной составляющей;
Z iLC - обозначает импеданс участка LC линии для отрицательной последовательной составляющей и/или импеданс участка LC линии для инкрементной положительной последовательной составляющей, где Z 2LC=Z 1LC и Z Δ1LC=Z 1LC;
Z 1LC - обозначает импеданс участка LC линии для положительной последовательной составляющей;
I Bi - обозначает отрицательную последовательную составляющую и/или инкрементную положительную последовательную составляющую тока, измеренную на конце линии;
I Ci - обозначает отрицательную последовательную составляющую и/или инкрементную положительную последовательную составляющую тока, измеренную на конце ответвления.
Предпочтительно, для трехтерминальных линий электропередачи, импеданс эквивалентного источника для отрицательной последовательной составляющей (Z 2SB)SUB_B) и для инкрементной положительной последовательной составляющей (Z Δ1SB)SUB_B) определяют в предположении, что повреждение произошло на участке LB линии, из следующего уравнения:
где:
нижний индекс i принимает значения i=2 для отрицательной последовательной составляющей, i=Δ1 для инкрементной положительной последовательной составляющей;
dB - обозначает расстояние от конца линии до точки повреждения;
Z iLB - обозначает импеданс участка LB линии для отрицательной последовательной составляющей и/или для положительной последовательной составляющей, где: Z Δ1LB=Z 1LB;
Z Δ1LB - обозначает импеданс участка LB линии для положительной последовательной составляющей;
- обозначает ток, текущий от точки ответвления T до участка LB линии для отрицательной последовательной составляющей и/или для инкрементной положительной последовательной составляющей;
I Bi - обозначает отрицательную последовательную составляющую и/или инкрементную положительную последовательную составляющую тока, измеренную на конце линии;
- обозначает напряжение в точке ответвления T для отрицательной последовательной составляющей и/или для инкрементной положительной последовательной составляющей.
Предпочтительно, для трехтерминальных линий электропередачи, импеданс эквивалентного источника для отрицательной последовательной составляющей (Z 2SC)SUB_B) и для инкрементной положительной последовательной составляющей (Z Δ1SC)SUB_B) вычисляют в предположении, что повреждение произошло на участке LB линии, из следующего уравнения:
где:
нижний индекс i принимает значения i=2 для отрицательной последовательной составляющей, i=Δ1 для инкрементной положительной последовательной составляющей;
V Ci - обозначает вычисленную отрицательную последовательную составляющую и/или инкрементную положительную последовательную составляющую напряжения на конце линии передачи с ответвлениями;
I Ci - обозначает отрицательную последовательную составляющую и/или инкрементную положительную последовательную составляющую тока, измеренную на конце ответвления.
Предпочтительно, для трехтерминальных линий электропередачи, импеданс эквивалентного источника для отрицательной последовательной составляющей (Z 2SC)SUB_C и для инкрементной положительной последовательной составляющей (Z Δ1SC)SUB_C вычисляют в предположении, что повреждение произошло на участке LC линии, из следующего уравнения:
где:
нижний индекс i принимает значения i=2 для отрицательной последовательной составляющей, i=Δ1 для инкрементной положительной последовательной составляющей;
dc - обозначает расстояние от конца линии передачи с ответвлениями до точки повреждения;
Z iLC - обозначает импеданс участка LC линии для отрицательной последовательной составляющей и/или для инкрементной положительной последовательной составляющей, где: Z 2LC=Z 1LC и Z Δ1LC=Z 1LC;
Z 1LC - обозначает импеданс участка LC линии для положительной последовательной составляющей;
- обозначает ток, текущий от точки ответвления T до участка LC линии для отрицательной последовательной составляющей и/или для инкрементной положительной последовательной составляющей;
I Ci - обозначает отрицательную последовательную составляющую и/или инкрементную положительную последовательную составляющую тока, измеренную на конце ответвления;
- обозначает напряжение в точке ответвления T для отрицательной последовательной составляющей и/или для инкрементной положительной последовательной составляющей.
Предпочтительно, для трехтерминальных линий электропередачи, импеданс эквивалентного источника для отрицательной последовательной составляющей (Z 2SB)SUB_C и для инкрементной положительной последовательной составляющей (Z Δ1SB)SUB_C вычисляют в предположении, что повреждение произошло на участке LC линии, из следующего уравнения:
где:
нижний индекс i принимает значения i=2 для отрицательной последовательной составляющей, i=Δ1 для инкрементной положительной последовательной составляющей;
V Bi - обозначает вычисленную отрицательную последовательную и/или инкрементную положительную последовательную составляющую напряжения на конце линии;
I Bi - обозначает отрицательную последовательную и/или инкрементную положительную последовательную составляющую тока, измеренного на конце линии.
Предпочтительно, для многотерминальных линий электропередачи расстояния от начала линии до точки повреждения (d1), от конца линии до точки повреждения (d(2n-3)), от конца линии до точки повреждения (d(2k-2)), от точки ответвления до точки повреждения на участке линии между двумя точками ответвления {d(2k-1)) определяют из следующих уравнений:
где:
„real” обозначает действительную часть заданной величины;
„imag” обозначает мнимую часть заданной величины;
V 1p - напряжение на контуре повреждения, вычисляемое в предположении, что повреждение произошло на участке L1 линии;
I 1p - контурный ток повреждения, вычисляемый в предположении, что повреждение произошло на первом участке L1 линии;
V T(n-1)np - напряжение на контуре повреждения, вычисляемое в предположении, что повреждение произошло на участке L(2n-3) линии;
I T(n-1)np - контурный ток повреждения, вычисляемый в предположении, что повреждение произошло на участке L(2n-3) линии;
V Tkkp - напряжение на контуре повреждения, вычисляемое в предположении, что повреждение произошло в koй линии передачи с ответвлениями;
I Tkkp - контурный ток повреждения, вычисляемый в предположении, что повреждение произошло в koй линии передачи с ответвлениями;
V TkT(k+1)p - напряжение на контуре повреждения, вычисляемое в предположении, что повреждение произошло на участке линии между двумя точками ответвления;
I TkT(k+1)p - контурный ток повреждения, вычисляемый в предположении, что повреждение произошло на участке линии между двумя точками ответвления;
I F - полный ток повреждения;
Z 1L1 - импеданс участка L1 линии для положительной последовательной составляющей;
Z 0L1- импеданс участка L1 линии для нулевой последовательной составляющей;
Z 1L(2n-3) - импеданс участка L(2n-3) линии для положительной последовательной составляющей;
Z 0L(2n-3) - импеданс участка L(2n-3) линии для нулевой последовательной составляющей;
Z 1L(2k-2) - импеданс участка L(2k-2) линии для положительной последовательной составляющей;
Z 0L(2k-2) - импеданс участка L(2k-2) линии для нулевой последовательной составляющей;
Z 1L(2k-1) - импеданс участка L(2k-1) линии для положительной последовательной составляющей;
Z 0L(2k-1) - импеданс участка L(2k-1) линии для нулевой последовательной составляющей;
k - номер точки ответвления;
n - номер терминала линии.
Предпочтительно, для многотерминальных линий электропередачи сопротивления (R 1F), (R (2n-3)F), (R (2k-2)F), (R (2k-1)F) в месте повреждения вычисляют из следующих уравнений:
где:
„real” обозначает действительную часть заданной величины;
„imag” обозначает мнимую часть заданной величины;
(d1) - расстояние до повреждения от начала линии до точки повреждения;
(d(2n-3)) - расстояние до повреждения от конца линии до точки повреждения;
(d(2k-2)) - расстояние до повреждения от конца линии передачи с ответвлениями до точки повреждения;
{d(2k-1)) - расстояние до повреждения на участке линии между двумя точками ответвления;
V 1p - напряжение на контуре повреждения, вычисляемое в предположении, что повреждение произошло на первом участке L1 линии;
I 1p - контурный ток повреждения, вычисляемый в предположении, что повреждение произошло на первом участке L1 линии;
V T(n-1)np - напряжение на контуре повреждения, вычисляемое в предположении, что повреждение произошло на участке L(2n-3) линии;
I T(n-1)np - контурный ток повреждения, вычисляемый в предположении, что повреждение произошло на участке L(2n-3) линии;
V Tkkp - напряжение на контуре повреждения, вычисляемое в предположении, что повреждение произошло в koй линии передачи с ответвлениями;
I Tkkp - контурный ток повреждения, вычисляемый в предположении, что повреждение произошло в koй линии передачи с ответвлениями;
V TkT(k+1)p - напряжение на контуре повреждения, вычисляемое в предположении, что повреждение произошло на участке линии между двумя точками ответвления;
I TkT(k+1)p - контурный ток повреждения, вычисляемый в предположении, что повреждение произошло на участке линии между двумя точками ответвления;
I F - полный ток повреждения;
Z 1L1 - импеданс участка L1 линии для положительной последовательной составляющей;
Z 0L1- импеданс участка L1 линии для нулевой последовательной составляющей;
Z 1L(2n-3) - импеданс участка L(2n-3) линии для положительной последовательной составляющей;
Z 0L(2n-3) - импеданс участка L(2n-3) линии для нулевой последовательной составляющей;
Z 1L(2k-2) - импеданс участка L(2k-2) линии для положительной последовательной составляющей;
Z 0L(2k-2) - импеданс участка L(2k-2) линии для нулевой последовательной составляющей;
Z 1L(2k-1) - импеданс участка L(2k-1) линии для положительной последовательной составляющей;
Z 0L(2k-1) - импеданс участка L(2k-1) линии для нулевой последовательной составляющей;
k - номер точки ответвления;
n - номер терминала линии.
Предпочтительно, для многотерминальных линий электропередачи импеданс эквивалентных источников для отрицательной последовательной составляющей (Z 2S1) или для инкрементной положительной последовательной составляющей (Z Δ1S1) вычисляют в предположении, что повреждение расположено на участке линии между началом линии и первой точкой ответвления, согласно следующему уравнению:
где:
i=2 для отрицательной последовательной составляющей, i=Δ1 для инкрементной положительной последовательной составляющей;
V 1i - напряжение, измеренное на станции 1 для отдельных симметричных составляющих (первый нижний индекс), а второй нижний индекс для отрицательной последовательной составляющей будет равен 2, и для инкрементной положительной последовательной составляющей будет индекс Δ1;
I 1i - ток, измеренный на станции 1 для отдельных симметричных составляющих (первый нижний индекс), а второй нижний индекс для отрицательной последовательной составляющей будет равен 2, и для инкрементной положительной последовательной составляющей индекс будет Δ1.
Предпочтительно, для многотерминальных линий электропередачи, импеданс ((Z 2S(n))) эквивалентного источника для отрицательной последовательной составляющей и ((Z Δ1S(n))) для инкрементной положительной последовательной составляющей определяют в предположении, что повреждение расположено на участке линии между концом линии и последней точкой ответвления, из следующего уравнения:
где:
i=2 для отрицательной последовательной составляющей, i=Δ1 для инкрементной положительной последовательной составляющей;
- напряжения, измеренные в конечной точке ответвления T(n-1) для отрицательной последовательной составляющей i=2 или для инкрементной положительной последовательной составляющей i=Δ1;
d(2n-3) - расстояние до повреждения от конца линии до точки повреждения,
Z iL(2n-3) - импеданс участка L(2n-3) линии для отрицательной последовательной составляющей i=2 или для инкрементной положительной последовательной составляющей i=Δ1;
- значения тока, текущего от точки ответвления T(n-1) до станции n на участке L(2n-3) линии для отрицательной последовательной составляющей i=2 или для инкрементной положительной последовательной составляющей i=Δ1;
I Fi - полный ток повреждения для отрицательной последовательной составляющей i=2 или для инкрементной положительной последовательной составляющей i=Δ1;
I ni - ток, измеренный на последней станции n для отдельных симметричных составляющих (первый нижний индекс), а второй нижний индекс для отрицательной последовательной составляющей будет равен 2, и для инкрементной положительной последовательной составляющей индекс будет Δ1.
Предпочтительно, для многотерминальных линий электропередачи импеданс эквивалентного источника для отрицательной последовательной составляющей ((Z 2Sk)) и для инкрементной положительной последовательной составляющей ((Z Δ1Sk)) определяют в предположении, что повреждение расположено на линии передачи с ответвлениями, из следующего уравнения:
где:
- напряжение в koй точке ответвления для отрицательной последовательной составляющей i=2 или для инкрементной положительной последовательной составляющей i=Δ1;
d(2k-2) - расстояние до повреждения от конца линии передачи с ответвлениями до точки повреждения Tk;
Z iL(2k-2) - импеданс участка L(2k-2) линии для отрицательной последовательной составляющей i=2 или для инкрементной положительной последовательной составляющей i=Δ1;
- значения тока, текущего от точки ответвления Tk до koй станции на участке L(2k-2) линии передачи с ответвлениями для отрицательной последовательной составляющей i=2 или для инкрементной положительной последовательной составляющей i=Δ1;
I Fi - полный ток повреждения для отрицательной последовательной составляющей i=2 или для инкрементной положительной последовательной составляющей i=Δ1;
I ki - ток, измеренный на станции k для отдельных симметричных составляющих (первый нижний индекс), а второй нижний индекс для отрицательной последовательной составляющей будет равен 2, и для инкрементной положительной последовательной составляющей индекс будет Δ1.
Предпочтительно, для многотерминальных линий электропередачи, импеданс эквивалентного источника для отрицательной последовательной составляющей ((Z 2Sk)) и ((Z 2S(k+1))) и для инкрементной положительной последовательной составляющей ((Z Δ1Sk)) и ((Z Δ1S(k+1))) вычисляют в предположении, что повреждение расположено на участке линии между двумя следующими друг за другом точками ответвления, из следующих уравнений:
где:
- напряжение в koй точке ответвления для отрицательной последовательной составляющей i=2 или для инкрементной положительной последовательной составляющей i=Δ1;
d(2k-1) - расстояние до повреждения на участке линии между двумя точками ответвления;
Z iL(2k-1) - импеданс участка L(2k-1) линии для отрицательной последовательной составляющей i=2 или для инкрементной положительной последовательной составляющей i=Δ1;
- ток, текущий от точки ответвления Tk до точки ответвления T(k+1) на участке линии для отрицательной последовательной составляющей i=2 или для инкрементной положительной последовательной составляющей i=Δ1;
I Fi - полный ток повреждения для отрицательной последовательной составляющей i=2 или для инкрементной положительной последовательной составляющей i=Δ1;
I ki - ток, измеренный на станции k для отдельных симметричных составляющих (первый нижний индекс), а второй нижний индекс для отрицательной последовательной составляющей будет равен 2, и для инкрементной положительной последовательной составляющей будет равен Δ1;
I (k+1)i - ток, измеренный на станции k+1 для отдельных симметричных составляющих (первый нижний индекс), а второй нижний индекс для отрицательной последовательной составляющей будет равен 2, и для инкрементной положительной последовательной составляющей индекс будет Δ1.
ПРЕИМУЩЕСТВА
Преимущество способа определения места повреждения в линиях электропередачи состоит в том, что позволяет определять точку повреждения для системы электропередачи или распределительной системы как с пассивными, так и с активными ответвлениями.
Благодаря требуемым входным сигналам предложенный способ определения местоположения может применяться к дифференциальной токовой защите, что увеличивает функциональные возможности защитного реле. Таким образом, защитное реле, кроме свой основной характеристики, то есть индикации того, произошло повреждение в заданной защитной зоне или вне ее, может точно определять местоположение повреждения.
Кроме того, предложенный способ является стойким к условиям перед повреждением, задаваемым направлением и объемом потока мощности перед повреждением.
КРАТКОЕ ОПИСАНИЕ ЧЕРТЕЖЕЙ
Способ согласно настоящему изобретению поясняется на примере предпочтительного варианта осуществления со ссылками на сопровождающие чертежи, на которых:
фиг.1 изображает электрическую схему для реализации способа определения повреждения трехтерминальной линии электропередачи с указанными участками LA, LB и LC, согласно изобретению;
фиг.2 - принципиальную схему для положительной последовательной составляющей в предположении, что повреждение произошло на участке LA линии, согласно изобретению;
фиг.3 - принципиальную схему системы электропередачи для отрицательной последовательной составляющей в предположении, что повреждение произошло на участке LA линии, согласно изобретению;
фиг.4 - принципиальную схему системы электропередачи для нулевой последовательной составляющей в предположении, что повреждение произошло на участке LA линии, согласно изобретению;
фиг.5 - принципиальную схему для положительной последовательной составляющей в предположении, что повреждение произошло на участке LB линии, согласно изобретению;
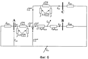
фиг.6 - принципиальную схему системы электропередачи для отрицательной последовательной составляющей в предположении, что повреждение произошло на участке LB линии, согласно изобретению;
фиг.7 - принципиальную схему системы электропередачи для нулевой последовательной составляющей в предположении, что повреждение произошло на участке LB линии, согласно изобретению;
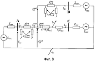
фиг.8 - принципиальную схему для положительной последовательной составляющей в предположении, что повреждение произошло на участке LC линии, согласно изобретению;
фиг.9 - принципиальную схему системы электропередачи для отрицательной последовательной составляющей в предположении, что повреждение произошло на участке LC линии, согласно изобретению;
фиг.10 - принципиальную схему системы электропередачи для нулевой последовательной составляющей в предположении, что повреждение произошло на участке LC линии, согласно изобретению;
фиг.11 - принципиальную схему системы электропередачи для отрицательной последовательной составляющей в предположении, что повреждение произошло на участке LA линии, для вычисления импеданса эквивалентных систем, согласно изобретению;
фиг.12 - принципиальную схему для инкрементной положительной последовательной составляющей в предположении, что повреждение произошло на участке LA линии, для вычисления импеданса эквивалентных систем, согласно изобретению;
фиг.13 блок-схему последовательности операций, выполняемых при определении местоположения повреждений согласно заявленному способу трехтерминальной линии электропередачи, согласно изобретению;
фиг.14 - электрическую схему системы электропередачи для осуществления способа для многотерминальной линии электропередачи, согласно изобретению;
фиг.15 - принципиальную схему системы электропередачи для симметричных составляющих в предположении, что повреждение произошло на первом участке многотерминальной линии электропередачи, согласно изобретению;
фиг.16 - принципиальную схему системы электропередачи для симметричных составляющих в предположении, что повреждение произошло на последнем участке многотерминальной линии электропередачи, согласно изобретению;
фиг.17 - фрагмент принципиальной схемы системы электропередачи для симметричных составляющих в предположении, что повреждение произошло на участке линии передачи с ответвлениями многотерминальной линии электропередачи, согласно изобретению;
фиг.18 - фрагмент принципиальной схемы системы электропередачи для симметричных составляющих в предположении, что повреждение произошло на участке многотерминальной линии электропередачи между двумя точками ответвления, согласно изобретению;
фиг.19 блок-схему последовательности операций, выполняемых при определении местоположения повреждений согласно заявленному способу для многотерминальной линии электропередачи, согласно изобретению.
ОПИСАНИЕ ВАРИАНТА ОСУЩЕСТВЛЕНИЯ ИЗОБРЕТЕНИЯ ДЛЯ ТРЕХТЕРМИНАЛЬНОЙ ЛИНИИ ЭЛЕКТРОПЕРЕДАЧИ
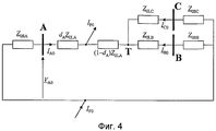
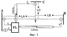
Система электропередачи (фиг.1) содержит три электростанции A, B и C. Станция A расположена в начале линии, станция B на конце этой линии и станция C после линии, которая в точке ответвления T ответвляется от линии между станциями AB. Точка ответвления T делит систему электропередачи на три участка LA, LB и LC. На станции A имеется прибор для обнаружения мест повреждения FL. Определение места повреждения выполняется с использованием моделей повреждений и контуров повреждений для симметричных составляющих и для различных типов повреждений, посредством применения подходящих распределенных коэффициентов, определяющих соотношение между симметричными составляющими полного тока повреждения, когда оценивается падение напряжения на сопротивлении в месте повреждения, задаваемых как a F1, a F2, a F0, и весовых коэффициентов a 1, a 2, a 0, задающих долю отдельных составляющих в полной модели контура повреждения. Анализ граничных условий для различных типов повреждений показывает, что имеется некоторая степень свободы, при определении распределенных коэффициентов, определяющих соотношение между симметричными составляющими полного тока повреждения, когда оценивается падение напряжения на сопротивлении в месте повреждения. Их выбор зависит от принятого предпочтения использования отдельных последовательных составляющих, в зависимости от типа повреждения. В настоящем примере варианта осуществления изобретения, чтобы гарантировать высокую точность определения места повреждения, падение напряжения на сопротивлении в месте повреждения оценивается с использованием:
отрицательной последовательной составляющей полного тока повреждения для однофазных коротких замыканий на землю (a-g), (b-g), (c-g) и междуфазных коротких замыканий (a-b), (b-c)i(c-a);
отрицательной последовательной составляющей и нулевой последовательной составляющей для двухфазных коротких замыканий на землю (a-b-g), (b-c-g), (c-a-g);
инкрементной положительной последовательной составляющей для трехфазных коротких замыканий (a-b-c, a-b-c-g), для которых значение повреждения уменьшается на значение перед повреждением положительной последовательной составляющей тока.
Примеры распределенных коэффициентов, определяющих соотношение между симметричными составляющими полного тока повреждения, когда оценивается падение напряжения на сопротивлении в месте повреждения, приведены в Таблице 1. Тип повреждения обозначается символами: a-g, b-g, c-g, a-b, b-c, c-a, где буквы a, b, c обозначают отдельные фазы, и буква g обозначает заземление, индекс 1 обозначает положительную последовательную составляющую, индекс 2 - отрицательную составляющую и индекс 0 - нулевую последовательную составляющую.
| Таблица 1 | |||
| Повреждение (F) | a F1 | a F2 | a F0 |
| а-g | 0 | 3 | 0 |
| b-g | 0 | 3a | 0 |
| с-g | 0 | 3a 2 | 0 |
| а-b | 0 | 1-а | 0 |
| b-с | 0 | а-а 2 | 0 |
| с-а | 0 | а 2-1 | 0 |
| a=exp(j2π/3); | |||
Синхронные измерения фазных токов из станций A, B, C и фазового напряжения из станции A подаются в прибор для обнаружения мест повреждения FL. Дополнительно, предполагается, что прибор для обнаружения мест повреждения снабжается информацией о типе повреждения и времени его происхождения. Процесс определения места повреждения, в предположении, что это повреждение типа (a-b-g) - двухфазное короткое замыкание на землю, следующий:
I. СТАДИЯ ОДИН
1. На станциях A, B, C измеряют входные сигналы тока из отдельных линий для условия повреждения и условия перед повреждением. На станции A измеряют фазовые напряжения. Затем вычисляют симметричные составляющие фазных токов, измеренных на станциях A, B, C, и фазовых напряжений, измеренных на станции A.
2. Полный ток повреждения (I F) вычисляют из следующего уравнения:
где:
первый нижний индекс „F” обозначает условие повреждения, второй нижний индекс обозначает: „1” - положительную последовательную составляющую, „2” - отрицательную последовательную составляющую, „0” - нулевую последовательную составляющую,
и распределенные коэффициенты, определяющие соотношение между симметричными составляющими полного тока повреждения, когда оценивают падение напряжения на сопротивлении в месте повреждения, оценивают следующим образом:
при этом в частности для a-b-g повреждения:
где:
первый нижний индекс обозначает станцию, второй нижний индекс обозначает: 1 - положительную последовательную составляющую, 2 - отрицательную последовательную составляющую, 0 - обозначает нулевую последовательную составляющую.
Для повреждений других типов, распределенные коэффициенты, определяющие соотношение между симметричными составляющими полного тока повреждения, когда оценивают падение напряжения на сопротивлении в месте повреждения, получают в таблицах 1, 2 и 3.
| Таблица 2 | |||||||||
| Повреждение (F) | Начальный распределенный коэффициент, определяющий соотношение между симметричными составляющими полного тока повреждения, когда оценивается падение напряжения на сопротивлении в месте повреждения | Коэффициент соотношения | |||||||
| b F1 | b F2 | ||||||||
| a-b-g | 1-а 2 | 1-а | 0 | -а | -а 2 | ||||
| b-c-g | а 2-а | а-а 2 | 0 | -1 | -1 | ||||
| c-a-g | а-1 | а 2-1 | 0 | -а 2 | -а | ||||
| Таблица 3 | |||||||||
| Повреждение (F) | Распределенный коэффициент, определяющий соотношение между симметричными составляющими полного тока повреждения, когда оценивается падение напряжения на сопротивлении в месте повреждения | ||||||||
| a F1 | a F2 )* | a F0 | |||||||
| a-b-c, a-b-c-g | 1-а 2 | 1-а | 0 | ||||||
| )* - Из-за отсутствия отрицательной составляющей этот коэффициент может быть принят равным = 0 | |||||||||
II. СТАДИЯ ДВА
1. На стадии два принимают гипотетическую точку повреждения и вычисляют расстояние между концом заданного участка линии и гипотетической точкой повреждения при следующих допущениях:
- вычисление расстояния от начала линии до точки повреждения, в предположении, что повреждение произошло на участке LA линии - действия 3.1.a-3.2.a;
- вычисление расстояния от конца линии до точки повреждения, в предположении, что повреждение произошло на участке LB линии - действия 3.1.b-3.4.b;
- вычисление расстояния от конца линии передачи с ответвлениями до точки повреждения, в предположении, что повреждение произошло на участке LC линии - действия 3.1.c-3.3.c.
3.1.a. Напряжение и ток на контуре повреждения определяют из следующих соотношений между симметричными составляющими (фиг.2-4):
где:
V A1, V A2, V A0 - напряжение, измеренное на станции A для отдельных симметричных составляющих, для положительной последовательной составляющей - индекс 1, для отрицательной последовательной составляющей - индекс 2 и для нулевой последовательной составляющей - индекс 0;
I A1, I A2, I A0 - токи, измеренные на станции A для положительной последовательной составляющей - индекс 1, для отрицательной последовательной составляющей - индекс 2 и для нулевой последовательной составляющей - индекс 0;
Z 1LA - импеданс участка LA линии для положительной последовательной составляющей;
Z 0LA - импеданс участка LA линии для нулевой последовательной составляющей;
В частности, для повреждения типа a-b-g весовые коэффициенты будут:
Весовые коэффициенты для любых типов повреждений получаются в таблице 4.
| Таблица 4 | |||
| Повреждение | a 1 | a 2 | a 0 |
| а-g | 1 | 1 | 1 |
| b-g | а 2 | а | 1 |
| с-g | а | а 2 | 1 |
| а-b, а-b-g, а-b-с, а-b-с-g | 1-а 2 | 1-а | 0 |
| b-с, b-с-g | а 2-а | а-а 2 | 0 |
| с-а, с-а-g | а-1 | а 2-1 | 0 |
Уравнение контура повреждения имеет следующую форму:
Когда уравнение (7) записывается отдельно для действительной части и для мнимой части, и выполняются дальнейшие математические преобразования, получают решение показанное ниже в пункте 3.2a.
3.2a. Расстояние dA до точки повреждения и сопротивление RFA в месте повреждения определяют из следующих уравнений:
где:
„real” обозначает действительную часть заданной величины;
„imag” обозначает мнимую часть заданной величины;
V Ap - обозначает напряжение на контуре повреждения согласно формуле (5);
I F - обозначает полный ток повреждения согласно формуле (1);
Z 1LA - обозначает импеданс участка LA линии для положительной последовательной составляющей;
I Ap - обозначает контурный ток повреждения, определяемый согласно формуле (6).
где:
γ 1LA - постоянная распространения участка LA линии для положительной и отрицательной последовательных составляющих;
γ 0LA - постоянная распространения участка LA линии для нулевой последовательной составляющей;
ℓLA - длина участка LA линии;
Z c1LA - волновое полное сопротивление участка LA линии для положительной и отрицательной последовательных составляющих;
Z c0LA - волновое полное сопротивление участка LA линии для нулевой последовательной составляющей.
3.2.b. Значения тока, входящего в точку ответвления T из участка LA линии: и из участка LC: (фиг.5-7):
где:
γ 1LC - постоянная распространения участка LC линии для положительной и отрицательной последовательных составляющих;
γ 0LC - постоянная распространения участка LC линии для нулевой последовательной составляющей;
Z c1LC - волновое полное сопротивление участка LC линии для положительной и отрицательной последовательных составляющих;
Z c0LC - волновое полное сопротивление участка LC линии для нулевой последовательной составляющей;
ℓLC - длина участка LC линии.
3.3.b. Значения тока текущего из точки ответвления T на станцию B на участке LB линии, вычисляются следующим образом:
Уравнение контура повреждения имеет следующую форму:
где:
Когда уравнение (10) записывается отдельно для действительной части и для мнимой части и выполняются дальнейшие математические преобразования, получается решение, показанное под пунктом 3.4.b.
3.4.b. Расстояние dB до точки повреждения и сопротивление RFB в месте повреждения определяют из следующих уравнений:
где:
Z 1LB - импеданс участка LB линии для положительной последовательной составляющей;
Z 1LB - импеданс участка LB линии для нулевой последовательной составляющей.
3.1.c. Значения тока, входящего в точку ответвления T из участка LA линии: и из участка LB: (фиг.8-10), вычисляют согласно следующим формулам:
где:
γ 1LB - постоянная распространения участка LB линии для положительной и отрицательной последовательных составляющих;
γ 0LB - постоянная распространения участка LB линии для нулевой последовательной составляющей;
ℓLB - длина участка LB линии;
Z c1LB - волновое полное сопротивление участка LB линии для положительной и отрицательной последовательных составляющих;
Z c0LCB - волновое полное сопротивление участка LB линии для нулевой последовательной составляющей;
3.2.c. Значения тока текущего из точки ответвления T на станцию C на участке LC линии (фиг.8-10), вычисляются следующим образом:
Уравнение контура повреждения имеет следующую форму:
где:
Когда уравнение (13) записывается отдельно для действительной части и для мнимой части и выполняются дальнейшие математические преобразования, получается решение, показанное под пунктом 3.3.c.
3.3.c. Расстояние dC до точки повреждения и сопротивление RFC в месте повреждения определяют из следующих уравнений:
III. СТАДИЯ ТРИ
На этой стадии, делают выбор окончательных результатов.
4. Проверяют, содержатся ли результаты вычисления расстояний dA, dB, dC до точки повреждения в заданном интервале (0-1) в относительных единицах:
0≤dA≤1,
0≤dB≤1,
0≤dC≤1.
Результаты, которые не содержатся в заданном интервале, показывают, что они были вычислены в ложном предварительном допущении относительно точки возникновения повреждения заданном участке линии. Эти результаты отбрасывают.
5. Анализируют второе вычисленное значение, то есть, сопротивление в месте повреждения RFA, RFB, RFC, и те результаты вычислений, для которых сопротивление в месте повреждения является отрицательным, отбрасывают.
6. Если анализ критериев согласно действиям 4 и 5 не показывает явно, какие значения задают место повреждения, то в следующих действиях вычисляют импеданс системы эквивалентных источников для отрицательной последовательной составляющей в случае однофазных коротких замыканий на землю, междуфазных коротких замыканий, двухфазных коротких замыканий на землю, или альтернативно, для инкрементной положительной последовательной составляющей. Для трехфазных коротких замыканий вычисляют импеданс системы эквивалентных источников для инкрементной положительной последовательной составляющей.
7. Вычисляют ток I FA2 (фиг.11) в предположении, что повреждение произошло на участке LA линии:
где:
8. Вычисляют импеданс (Z 2SB)SUB_A)эквивалентных источников в предположении, что повреждение произошло на участке LA линии:
где:
9. Вычисляют импеданс (Z 2SC)SUB_A)эквивалентных источников в предположении, что повреждение произошло на участке LA линии:
10. Вычисляют импеданс (Z 2SB)SUB_B)эквивалентных источников в предположении, что повреждение произошло на участке LB линии:
11. Вычисляют импеданс (Z 2SC)SUB_B)эквивалентных источников в предположении, что повреждение произошло на участке LB линии:
где:
12. Вычисляют импеданс (Z 2SB)SUB_c)эквивалентных источников в предположении, что повреждение произошло на участке LC линии:
13. Вычисляют импеданс (Z 2SB)SUB_C)эквивалентных источников в предположении, что повреждение произошло на участке LC линии:
где:
14. Вычисленные импедансы эквивалентных источников преобразуют в модулярную форму, после чего выбирают правильный результат на основе модуля импедансов системы эквивалентных источников.
Если значение модуля импедансов системы эквивалентных источников, вычисленное в предположении возникновения повреждения на заданном участке линии, не соответствует действительному значению модуля импедансов системы эквивалентных источников, то это означает, что предварительные данные, касающиеся места возникновения повреждения на заданном участке, были приняты неправильно, и результат вычисления расстояния до точки повреждения, полученный в этом предположении, отбрасывают.
Временная последовательность действий, показанная на фиг.13, включает в себя следующие действия для осуществления настоящего изобретения:
- измеряют ток и напряжение согласно п.1 примера варианта осуществления изобретения,
- определяют симметричные составляющие измеренных токов и напряжений и вычисляют полный ток повреждения согласно п.2 примера варианта осуществления изобретения,
- вычисляют три гипотетических расстояния до точек повреждения и трех сопротивлений в местах повреждения, в предположении, что повреждение произошло на участке LA, на участке LB и на участке LC, согласно п.п.3.1.a-3.2.a, 3.1.b-3.4.b, 3.1.c-3.3.c примера варианта осуществления изобретения,
- проверяют, находятся ли конкретные гипотетические расстояния в интервале от 0 до 1 в относительных единицах, и отбрасывают гипотетические расстояния, значения которых являются отрицательными или больше 1, согласно п.4 примера варианта осуществления изобретения,
- проверяют, являются ли значения сопротивления в месте повреждения больше или равными нулю, и отбрасывают значения меньше нуля, согласно п.5 примера варианта осуществления изобретения,
- вычисляют импеданс эквивалентных источников отдельных участков, в предположении, что повреждение произошло на заданном участке, согласно п.п.8-13 примера варианта осуществления изобретения,
- выбирают правильный результат, согласно п.14 примера варианта осуществления изобретения.
Описанный пример применим к двухфазному короткому замыканию на землю типа (a-b-g). Однако этот способ является аналогичным для других типов повреждений. Если анализируют другие типы повреждений, соответствующие коэффициенты a F1, a F2, a F0, a 1, a 2, a 0 изменяют. Значения этих коэффициентов получают в таблицах 1-4. Способ определения места повреждения в трехтерминальных линиях электропередачи согласно настоящему изобретению охватывает также другие типы повреждений, то есть a-g, b-g, c-g, a-b, b-c, c-a, b-c-g, c-a-g, a-b-c, a-b-c-g.
Предложенный способ не ограничивается моделью одной линии, представленной в примере анализа, но также может применяться к другой модели (не показана), в которой предполагается присутствие ряда компенсирующих конденсаторов на участке линии с повреждением. В этом случае уравнения (6), (11), (15), применимые к контурному току повреждения, будут модифицироваться из-за существования упомянутых конденсаторов.
В предложенном способе используются синхронные измерения токов в трех станциях системы электропередачи или распределительной системы, дополнительно используется измерение напряжения на станции, где установлен прибор для обнаружения мест повреждения. Такая доступность входных сигналов не рассматривается в других решениях, которые используются в настоящее время.
Выбор обоснованного результата основан на объединении трех количественных критериев: расстояния до точки повреждения, сопротивления в месте повреждения и модуля импеданса систем эквивалентных источников для тех станций, где не измеряется напряжение. Третий критерий является инновационным, и до сих пор не был известен.
ПРИМЕР ВАРИАНТА ОСУЩЕСТВЛЕНИЯ ИЗОБРЕТЕНИЯ ДЛЯ МНОГОТЕРМИНАЛЬНОЙ ЛИНИИ ЭЛЕКТРОПЕРЕДАЧИ
Система электропередачи или распределительная система, показанная на фиг.14, состоит из электростанций 1, 2, …, n. Станция 1 расположена в начале линии, nая станция на конце этой линии. Точки ответвления T1, T2, … T(n-1) делят систему электропередачи на участки линии L1, L2, …, L(2n-3). На станции 1 имеется прибор для обнаружения мест повреждения FL. Определение места повреждения выполняют с использованием моделей повреждений и контуров повреждений для симметричных составляющих и с учетом различных типов повреждений в одно и то же время, посредством применения подходящих распределенных коэффициентов, определяющих соотношение между симметричными составляющими полного тока повреждения, когда оценивают падение напряжения на сопротивлении в местах повреждения, задаваемых как a F1, a F2, a F0, и весовых коэффициентов a 1, a 2, a 0, задающих долю отдельных составляющих в полной модели контура повреждения. Анализ граничных условий для различных типов повреждений показывает наличие некоторой степени свободы при определении распределенных коэффициентов, определяющих соотношение между симметричными составляющими полного тока повреждения, когда оценивается падение напряжения на сопротивлении в месте повреждения. Их выбор зависит от принятого предпочтения использования отдельных последовательных составляющих, в зависимости от типа повреждения. В описываемом примере варианта осуществления изобретения, чтобы гарантировать высокую точность определения места повреждения, падение напряжения на сопротивлении в месте повреждения оценивают с использованием:
- отрицательной составляющей полного тока повреждения для однофазных коротких замыканий на землю (a-g), (b-g), (c-g) и междуфазных коротких замыканий (a-b), (b-c) и (c-a);
- отрицательной составляющей и нулевой последовательной составляющей для двухфазных коротких замыканий на землю (a-b-g), (b-c-g), (c-a-g);
- инкрементной положительной последовательной составляющей для трехфазных коротких замыканий (a-b-c, a-b-c-g), для которых значение повреждения уменьшают на значение перед повреждением положительной последовательной составляющей тока.
Рекомендуемые распределенные коэффициенты, определяющие соотношение между симметричными составляющими полного тока повреждения, когда оценивают падение напряжения на сопротивлении в месте повреждения, представлены в таблице 5. Тип повреждения обозначен символами: a-g, b-g, c-g, a-b, b-c, c-a, a-b-g, b-c-g, c-a-g, a-b-c, a-b-c-g, где буквы a, b, c обозначают отдельные фазы тока, и буква g обозначает заземление (землю), индекс 1 обозначает положительную последовательную составляющую, индекс 2 - отрицательную составляющую и индекс 0 - нулевую последовательную составляющую.
| Таблица 5 | |||
| Повреждения | a F1 | a F2 | a F0 |
| а-g | 0 | 3 | 0 |
| b-g | 0 | 0 | |
| с-g | 0 | 0 | |
| а-b | 0 | 0 | |
| b-с | 0 | 0 | |
| с-а | 0 | 0 | |
| а-b-g | 0 | ||
| b-с-g | 0 | ||
| с-а-g | 0 | ||
| а-b-с а-b-с-g |
0 | ||
| )* - Из-за отсутствия отрицательной составляющей этот коэффициент может быть принят равным = 0 | |||
В таблице 6 получают распределенные коэффициенты отдельных составляющих тока a 1, a 2, a 0, задающие долю отдельных составляющих в полной модели контура повреждения.
| Таблица 6 | |||
| Повреждение | a 1 | a 2 | a 0 |
| а-g | 1 | 1 | 1 |
| b-g | 1 | ||
| с-g | 1 | ||
| a-b, a-b-g a-b-c, a-b-c-g |
0 | ||
| b-c, b-c-g | 0 | ||
| с-а, с-а-g | 0 | ||
Синхронные измерения фазных токов из оконечных станций 1, 2, …, n и фазового напряжения только из станции 1 подают в прибор для обнаружения мест повреждения FL. Дополнительно, предполагается, что информация о типе повреждения и времени его происхождения подается в прибор для обнаружения мест повреждения. Процесс определения места повреждения, в предположении, что это повреждение типа (a-b-g) - междуфазное короткое замыкание на землю, следующий:
I'. СТАДИЯ ОДИН'
1'. Операция 610. На станциях 1, 2, …, n измеряют входные сигналы тока из отдельных линий для условия повреждения и условия перед повреждением. На станции 1 измеряют фазовые напряжения линии для условия повреждения и условия перед повреждением. Затем, вычисляют симметричные составляющие фазных токов, измеренных на станциях 1, 2, …, n, и фазовых напряжений, измеренных на станции 1.
2'. Операция 620. Полный ток повреждения (I F) вычисляют из следующего уравнения:
где:
первый нижний индекс „F” обозначает условие повреждения; второй нижний индекс обозначает: „1” - положительную последовательную составляющую; „2” - отрицательную последовательную составляющую; „0” - нулевую последовательную составляющую;
a F1, a F2, a F0 - коэффициенты, представленные в Таблице 2.
Симметричные составляющие полного тока повреждения определяют как сумму отдельных симметричных составляющих токов, определяемых в оконечных станциях 1, 2, …, n:
где: первый нижний индекс обозначает станцию, второй нижний индекс обозначает: 1 - положительную последовательную составляющую, 2 - отрицательную последовательную составляющую, 0 - обозначает нулевую последовательную составляющую.
II'. СТАДИЯ ДВА'
1. На стадии два', принимают гипотетическую точку повреждения и вычисляют расстояние между концом заданной линии и гипотетической точкой повреждения (действия выполняют в операциях 630a, 630b, 630c, 630d) при следующих допущениях:
- вычисление расстояния от начала линии до точки повреждения, в предположении, что повреждение произошло на участке L1 линии - действия 3.1.a';
- вычисление расстояния от конца линии до точки повреждения, в предположении, что повреждение произошло на оконечном участке L(2n-3) линии - действия 3.1.b'-3.3.b';
- вычисление расстояния от конца линии передачи с ответвлениями до точки повреждения, в предположении, что повреждение расположено на kом участке линии передачи с ответвлениями - действия 3.1.c'-3.2.c';
- вычисление расстояния от точки ответвления T(k) до точки повреждения, в предположении, что повреждение расположено на участке линии между двумя точками ответвления - действия 3.1.d'-3.3d'.
3.1.a'. Напряжение и ток на контуре повреждения определяют из следующих соотношений между симметричными составляющими (фиг.2-4) (действия выполняют в операциях 630a):
где:
V 11, V 12, V 10 - напряжение, измеренное на станции 1 (первый нижний индекс) для отдельных симметричных составляющих, а второй нижний индекс для положительной последовательной составляющей будет равен 1, для отрицательной последовательной составляющей будет равен 2, и для нулевой последовательной составляющей будет равен 0;
I 11, I 12, I 10 - токи, измеренные на станции 1 (первый нижний индекс) для отдельных симметричных составляющих, а второй нижний индекс для положительной последовательной составляющей будет равен 1, для отрицательной последовательной составляющей будет равен 2, и для нулевой последовательной составляющей будет равен 0;
Z 1L1 - импеданс участка L1 линии для положительной последовательной составляющей;
Z 0L1 - импеданс участка L1 линии для нулевой последовательной составляющей;
a 1, a 2, a 0 - весовые коэффициенты получают в таблице 2.
Уравнение контура повреждения имеет следующую форму:
Уравнение (30) записывают отдельно для действительной части и для мнимой части, и выполняют дальнейшие математические преобразования, получают уравнения для искомого расстояния до точки повреждения (31) и для сопротивления в месте повреждения (32).
где:
„real” обозначает действительную часть заданной комплексной величины;
„imag” обозначает мнимую часть заданной комплексной величины;
V 1p - обозначает напряжение на контуре повреждения согласно формуле (28);
I F - обозначает полный ток повреждения согласно формуле (25);
Z 1L1 - обозначает импеданс участка L1 линии для положительной последовательной составляющей;
I 1p - обозначает контурный ток повреждения, определяемый согласно формуле (29).
3.1.b'. Вычисляют напряжения для симметричных составляющих в первой точке ответвления T2 (действия выполняют в операциях 630a):
где:
Z iL1 - импеданс участка L1 соответственно для положительной и отрицательной составляющих и также для нулевой последовательной составляющей.
3.2.b'. Вычисляют напряжения для симметричных составляющих в последней точке ответвления T(n-1) (действия выполняют в операциях 630b):
где:
Z iL(2n-3)- импеданс участка L(2n-3) линии соответственно для положительной и отрицательной составляющих и также для нулевой последовательной составляющей.
где:
Z iL(2k-3) - импеданс участка L(2k-3) линии для симметричных составляющих.
3.3.b'. Вычисляют значения тока текущего из точки ответвления T(n-1) на станцию n на участке L(2n-3) (действия выполняют в операциях 630b):
Уравнение контура повреждения имеет следующую форму:
Уравнение (37) записывают отдельно для действительной части и для мнимой части и выполняют дальнейшие математические преобразования, получают решения (38) для искомого расстояния d(2n-3) до точки повреждения и для сопротивления R(2n-3)B в месте повреждения:
где:
Z 1L(2n-3) - импеданс участка L(2n-3) линии для положительной последовательной составляющей;
Z 0L(2n-3)- импеданс участка L(2n-3) линии для нулевой последовательной составляющей.
3.1.c'. Напряжения для симметричных составляющих в koй точке ответвления Tk вычисляют из формулы (35), в предположении, что номер k рассматриваемой станции равен номеру точки ответвления Tk, из которой ответвляется линия, в которой предполагается повреждение, к станции k, (действия выполняются в операциях 630c).
3.2.c'. Вычисляют значения тока текущего из точки ответвления Tk на kую станцию на участке L(2k-2) линии передачи с ответвлениями (действия выполняются в операциях 630c):
Уравнение контура повреждения имеет следующую форму:
где:
Уравнение (40) записывают отдельно для действительной части и для мнимой части, и выполняют дальнейшие математические преобразования, получают решения (42) для искомого расстояния d(2k-3) и до точки повреждения и (43) для сопротивления R(2k-3)B в месте повреждения:
где:
Z 1L(2k-2) - импеданс участка L(2k-2) линии для положительной последовательной составляющей;
Z 0L(2k-2) - импеданс участка L(2k-2) линии для нулевой последовательной составляющей.
3.1.d'. Напряжения для симметричных составляющих в koй точке ответвления Tk вычисляют из формулы (35) (действия выполняют в операциях 630d).
3.2.d'. Вычисляют значения тока текущего из точки ответвления Tk в точку ответвления T(k+1) на данном участке линии (действия выполняют в операциях 630d):
Уравнение контура повреждения имеет следующую форму:
Уравнение (45) записывается отдельно для действительной части и для мнимой части и выполняют дальнейшие математические преобразования, получают решения (46) для искомого расстояния d(2k-1) до точки повреждения и (47) для сопротивления R(2k-1)F в месте повреждения:
где:
Z 1L(2k-1) - импеданс участка L(2k-1) линии для положительной последовательной составляющей;
Z 0L(2k-1) - импеданс участка L(2k-1) линии для нулевой последовательной составляющей.
III'. СТАДИЯ ТРИ'
На этой стадии делают выбор окончательных результатов (действия выполняют в операциях 640a, 640b, 640c, 640d).
4'. Проверяют, находятся ли результаты вычисления расстояний d1, d(2n-3), d(2k-2), d(2k-1) до точки повреждения в заданном интервале (0-1) в относительных единицах:
0≤d1≤1, 0≤d(2n-3)≤1, 0≤d(2k-2)≤1, 0≤d(2k-1)≤1, и проверяют, являются ли результаты вычисления сопротивлений R1F, R(2n-3)F, R(2k-2)F, R(2k-1)F в месте повреждения для вычисленных точек повреждения d1, d(2n-3), d(2k-2), d(2k-1) большими или равными нулю. Пары результатов: сопротивление - расстояние, например: d1, R1F, которые не содержатся в заданных интервалах, показывают, что они были вычислены в ложном предварительном допущении относительно точки возникновения повреждения в заданном участке линии. Эти результаты отбрасывают. Другие результаты подвергают дальнейшей обработке, за исключением случая, когда в заданном интервале находится только одна пара. Указанные результаты являются окончательными, то есть они показывают местоположение повреждения и сопротивление в месте повреждения (операция 650).
5'. Если анализ критериев, выполняемый согласно действиям 4', не обеспечивает точного заключения о том, какие значения задают местоположение повреждения и сопротивление в месте повреждения, то в следующих действиях, вычисляют импеданс эквивалентных источников для отрицательной составляющей для этих повреждений: однофазных коротких замыканий на землю, междуфазных коротких замыканий, двухфазных коротких замыканий на землю, или альтернативно, для инкрементной положительной последовательной составляющей. Для трехфазных коротких замыканий, вычисляют импеданс систем эквивалентных источников для инкрементной положительной последовательной составляющей. (Действия выполняют в операциях 660a, 660b, 660c, 660d).
7'. Вычисляют полный ток повреждения I F2 для отрицательной последовательной составляющей из следующей формулы (действия выполняют в операциях 660a):
8'. Вычисляют импеданс Z 2S1 эквивалентных источников в предположении, что повреждение произошло на участке L1 (действия выполняются в операциях 660a):
9'. Вычисляют импеданс Z 2Sn эквивалентных источников в предположении, что повреждение произошло на последнем участке L(2n-3) линии (действия выполняют в операциях 660b):
где:
10'. Вычисляют импеданс Z 2Sk kого эквивалентного источника в предположении, что повреждение произошло на участке L(2k-2) линии передачи с ответвлениями (действия выполняют в операциях 660c):
где:
11'. Вычисляют импеданс (Z 2Sk) и (Z 2S(k+1)) эквивалентных источников в предположении, что повреждение расположено на участке линии между двумя точками ответвления Tk-T(k+1) (действия выполняют в операциях 660d):
где:
где:
12'. Проверяют (действия выполняют в операциях 670a, 670b, 670c, 670d), содержатся ли импедансы (Z 2S1), (Z 2Sn), (Z 2SC)SUB_C, (Z 2Sk), (Z 2S(k+1)) эквивалентных источников в интервале в первом квадранте комплексной плоскости Z, то есть, являются ли как действительная, так и мнимая части вычисленного импеданса больше нуля. Импеданс систем эквивалентных источников определяют для отрицательной составляющей для возникновения повреждений: однофазных коротких замыканий на землю, междуфазных коротких замыканий, двухфазных коротких замыканий на землю, или альтернативно, для инкрементной положительной последовательной составляющей. Для трехфазных коротких замыканий вычисляют импеданс систем эквивалентных источников для инкрементной положительной последовательной составляющей.
Результаты, которые не содержатся внутри первого квадранта, дают основания предполагать, что они вычислялись на ложном предварительном допущении, касающемся местоположения повреждения на заданном участке линии, и результат вычисления расстояния до точки повреждения, сделанный на указанном предположении, отбрасывают. Остальные результаты подвергают дальнейшей обработке, за исключением случая, когда в первом квадранте содержится только один импеданс, вычисленный в предположении, что повреждение произошло на заданном участке линии. Результат вычисления расстояния до точки повреждения для указанного импеданса указывает на правильное предварительное допущение. Этот результат считают окончательным (действия, выполняют в операции 680).
13'. Если анализ критериев, выполняемый согласно действиям 12', не обеспечивает точного заключения о том, какие значения задают местоположение повреждения, то в следующих действиях (действия, выполняемые в операции 690a, 690b, 690c, 690d), вычисленные импедансы эквивалентных источников преобразуют в модулярную форму, после чего правильный результат выбирают на основе модуля импеданса эквивалентных источников.
14'. Операция 700. Если вычисленное значение модуля импеданса системы эквивалентных источников, в предположении возникновения повреждения на заданном участке линии, не соответствует действительному значению модуля импеданса системы эквивалентных источников, то это означает, что предварительные данные, касающиеся местоположения повреждения на заданном участке, были приняты ложно, и результат вычисления расстояния до точки повреждения, основанный на этом допущении, отбрасывают. Если вычисленное значение модуля импеданса системы эквивалентных источников, в предположении возникновения повреждения на заданном участке линии, соответствует действительному значению модуля импеданса системы источников, то результат вычисления расстояния до точки повреждения подтверждает правильное предварительное допущение, и этот результат считают окончательным.
Временная последовательность действий, показанная на фиг.19, включает в себя следующие действия для осуществления настоящего изобретения:
- измерение токов и напряжений согласно п.1' примера варианта осуществления изобретения,
- определение симметричных составляющих измеренных токов и напряжений и вычисление полного тока повреждения согласно п.2' примера варианта осуществления изобретения,
- вычисление следующих друг за другом гипотетических расстояний до точек повреждения и сопротивлений в местах повреждения, в предположении, что повреждение расположено на первом участке L1 линии, на оконечном участке L(2n-3) линии, на участках (2k-2) линий передачи с ответвлениями и на участках между следующими друг за другом точками ответвления (2k-1), согласно пунктам 3.1.a'-3.2.a', 3.1.b'-3.4.b', 3.1.c'-3.3.c', 3.1.d'-3.3.d' примера варианта осуществления изобретения,
- проверку того, заключаются ли конкретные гипотетические расстояния, находящиеся в интервале от 0 до 1 в относительных единицах, и отбрасывание тех гипотетических расстояний, значения которых являются отрицательными или больше 1, согласно п.4' примера варианта осуществления изобретения,
- проверку того, являются ли значения сопротивления в месте повреждения больше или равными нулю, и отбрасывание значений меньше нуля, согласно п.5' примера варианта осуществления изобретения,
- вычисление импеданса эквивалентных источников отдельных участков, в предположении, что повреждение расположено на заданном участке, согласно п.п.8'-11' примера варианта осуществления изобретения,
- выбор правильного результата, согласно п.12' примера варианта осуществления изобретения, посредством отбрасывания тех гипотетических расстояний, для которых вычисленные импедансы эквивалентных источников не находятся в первом квадранте декартовой системы координат для комплексной плоскости,
- выбор окончательного результата, согласно п.14' примера варианта осуществления изобретения, посредством отбрасывания тех гипотетических расстояний, для которых вычисленное значение модуля импеданса системы эквивалентных источников не соответствует действительному значению модуля импедансов системы эквивалентных источников.
Описанный пример относится к двухфазному короткому замыканию на землю типа (a-b-g). Однако этот способ является аналогичным для других типов повреждений. Если анализируются другие типы повреждений, то соответствующие коэффициенты a F1, a F2, a F0 a 1, a 2, a 0 изменяют. Значения этих коэффициентов получают в таблицах 5-6. Способ определения места повреждения в многотерминальных линиях электропередачи согласно настоящему изобретению охватывает также другие типы повреждений, то есть (a-g, b-g, c-g, a-b, b-c, c-a, b-c-g, c-a-g, a-b-c, a-b-c-g).
Предложенный способ не ограничивается моделью одной линии, представленной в примере анализа, но также может применяться к другой модели, не показанной на чертеже, например, модели длинной линии электропередачи. В таком случае, уравнения (33-57) будут модифицироваться.
В заявленном способе используются синхронные измерения токов во всех станциях системы электропередачи или распределительной системы, дополнительно используются измерения напряжения на станции, где установлен прибор для обнаружения мест повреждения.
Выбор обоснованного результата основан на объединении трех вычисленных количественных критериев: расстояния до точки повреждения, сопротивления в месте повреждения и импеданса систем эквивалентных источников для тех станций, где не измеряется напряжение. Этот третий критерий является двухступенчатым, то есть, сначала проверяется, находятся ли определенные импедансы систем эквивалентных источников в первом квадранте комплексной плоскости Z, и затем определяются их модули. Указанный первый элемент третьего критерия является инновационным, и до сих пор не был известен. Его достоинство состоит в том, что для его осуществления не требуется знание импеданса системы эквивалентных источников. Следовательно, неточное знание этих импедансов, что обычно бывает на практике, является несущественным.
Claims (17)
1. Способ определения мест повреждения в линиях электропередачи, в котором используют деление линий электропередачи или распределительной системы на участки и предполагают некоторое гипотетическое местоположение повреждения, по меньшей мере, на одном из указанных участков, отличающийся тем, что
измеряют ток во всех оконечных станциях системы для условия повреждения и условия перед повреждением;
измеряют фазовое напряжение линии в одной оконечной станции системы для условия повреждения и условия перед повреждением;
вычисляют симметричные составляющие измеренных сигналов тока и напряжения, а также полный ток повреждения в точке повреждения;
делают предположение относительно первой гипотетической точки повреждения, расположенной на участке линии между началом линии и первой точкой ответвления, относительно второй гипотетической точки повреждения, расположенной на участке линии между концом линии и последней точкой ответвления, и относительно некоторой последующей гипотетической точки повреждения, расположенной в ответвлении, причем для многотерминальной линии электропередачи дополнительно делают предположение относительно последующих гипотетических точек повреждения, расположенных на участках линии между двумя следующими друг за другом точками ответвления;
вычисляют расстояние от начала линии до точки повреждения, расстояние от конца линии до точки повреждения и расстояние от конца линии передачи с ответвлениями до точки повреждения, расположенной в этом ответвлении, причем для многотерминальной линии электропередачи дополнительно вычисляют расстояние от точки ответвления до точки повреждения, расположенной на участке линии между двумя точками ответвления, а затем вычисляют сопротивление в месте повреждения для всех гипотетических точек повреждения;
выбирают действительную точку повреждения путем первого сравнения численных значений предварительно определенных расстояний и отбрасывания тех результатов, численные значения которых являются отрицательными или больше 1 в относительных единицах, и затем проводят анализ значений расстояния повреждения, вычисленных для точек повреждения, и отбрасывают те результаты, для которых расстояние повреждения является отрицательным, и после этого, если обнаруживают, что только одно численное значение расстояния находится в интервале от нуля до единицы в относительных единицах, и что значение вычисленного сопротивления в месте повреждения для этого расстояния до точки повреждения является положительным или равным нулю, то эти результаты принимают за окончательные результаты, которые показывают действительное расстояние до точки повреждения и значение сопротивления в месте повреждения в точке повреждения;
если после выбора действительной точки повреждения определяют, что в численном интервале от нуля до единицы в относительных единицах находится, по меньшей мере, два численных значения предварительно вычисленных расстояний, и что значения вычисленного сопротивления в месте повреждения для этих точек повреждения являются положительными или равными нулю, то определяют модули импедансов или импедансы системы эквивалентных источников для отрицательной последовательной составляющей для однофазных коротких замыканий на землю, междуфазных коротких замыканий и междуфазных коротких замыканий на землю, или для положительной последовательной инкрементной составляющей для трехфазных коротких замыканий и в предположении, что повреждение произошло на определенном участке, причем во время определения импеданса дополнительно проверяют, находятся ли вычисленные значения импеданса системы эквивалентных источников в первом квадранте декартовой системы координат для комплексной плоскости, и отбрасывают эти расстояния до точек повреждения для тех значений импеданса, которые не находятся в этом квадранте системы, и если оказывается, что в первом квадранте системы содержится только одно значение импеданса системы эквивалентных источников, касающееся расстояния, то результат вычисления расстояния до точки повреждения для этого импеданса считают окончательным, а если оказывается, что, по меньшей мере, два значения импеданса системы эквивалентных источников, касающиеся расстояния, содержатся в первом квадранте системы, то определяют модули этих импедансов;
сравнивают значения этих модулей импеданса эквивалентных источников с реалистическими значениями, которые действительно задают нагрузку системы, при этом расстояние, для которого значение модуля импеданса эквивалентных источников является самым близким к реалистическим значениям, действительно определяющим нагрузку системы, считают окончательным результатом.
измеряют ток во всех оконечных станциях системы для условия повреждения и условия перед повреждением;
измеряют фазовое напряжение линии в одной оконечной станции системы для условия повреждения и условия перед повреждением;
вычисляют симметричные составляющие измеренных сигналов тока и напряжения, а также полный ток повреждения в точке повреждения;
делают предположение относительно первой гипотетической точки повреждения, расположенной на участке линии между началом линии и первой точкой ответвления, относительно второй гипотетической точки повреждения, расположенной на участке линии между концом линии и последней точкой ответвления, и относительно некоторой последующей гипотетической точки повреждения, расположенной в ответвлении, причем для многотерминальной линии электропередачи дополнительно делают предположение относительно последующих гипотетических точек повреждения, расположенных на участках линии между двумя следующими друг за другом точками ответвления;
вычисляют расстояние от начала линии до точки повреждения, расстояние от конца линии до точки повреждения и расстояние от конца линии передачи с ответвлениями до точки повреждения, расположенной в этом ответвлении, причем для многотерминальной линии электропередачи дополнительно вычисляют расстояние от точки ответвления до точки повреждения, расположенной на участке линии между двумя точками ответвления, а затем вычисляют сопротивление в месте повреждения для всех гипотетических точек повреждения;
выбирают действительную точку повреждения путем первого сравнения численных значений предварительно определенных расстояний и отбрасывания тех результатов, численные значения которых являются отрицательными или больше 1 в относительных единицах, и затем проводят анализ значений расстояния повреждения, вычисленных для точек повреждения, и отбрасывают те результаты, для которых расстояние повреждения является отрицательным, и после этого, если обнаруживают, что только одно численное значение расстояния находится в интервале от нуля до единицы в относительных единицах, и что значение вычисленного сопротивления в месте повреждения для этого расстояния до точки повреждения является положительным или равным нулю, то эти результаты принимают за окончательные результаты, которые показывают действительное расстояние до точки повреждения и значение сопротивления в месте повреждения в точке повреждения;
если после выбора действительной точки повреждения определяют, что в численном интервале от нуля до единицы в относительных единицах находится, по меньшей мере, два численных значения предварительно вычисленных расстояний, и что значения вычисленного сопротивления в месте повреждения для этих точек повреждения являются положительными или равными нулю, то определяют модули импедансов или импедансы системы эквивалентных источников для отрицательной последовательной составляющей для однофазных коротких замыканий на землю, междуфазных коротких замыканий и междуфазных коротких замыканий на землю, или для положительной последовательной инкрементной составляющей для трехфазных коротких замыканий и в предположении, что повреждение произошло на определенном участке, причем во время определения импеданса дополнительно проверяют, находятся ли вычисленные значения импеданса системы эквивалентных источников в первом квадранте декартовой системы координат для комплексной плоскости, и отбрасывают эти расстояния до точек повреждения для тех значений импеданса, которые не находятся в этом квадранте системы, и если оказывается, что в первом квадранте системы содержится только одно значение импеданса системы эквивалентных источников, касающееся расстояния, то результат вычисления расстояния до точки повреждения для этого импеданса считают окончательным, а если оказывается, что, по меньшей мере, два значения импеданса системы эквивалентных источников, касающиеся расстояния, содержатся в первом квадранте системы, то определяют модули этих импедансов;
сравнивают значения этих модулей импеданса эквивалентных источников с реалистическими значениями, которые действительно задают нагрузку системы, при этом расстояние, для которого значение модуля импеданса эквивалентных источников является самым близким к реалистическим значениям, действительно определяющим нагрузку системы, считают окончательным результатом.
2. Способ по п.1, отличающийся тем, что вычисление тока повреждения выполняют, учитывая распределенные коэффициенты, определяющие соотношение между симметричными составляющими полного тока повреждения, когда оценивают падение напряжения на сопротивлении в месте повреждения, причем для той операции используют специально определенный набор этих коэффициентов.
3. Способ по п.1, отличающийся тем, что для двухфазных коротких замыканий на землю при оценке полного тока повреждения исключают положительную последовательную составляющую, а для отрицательной и нулевой последовательных составляющих принимают следующие значения распределенных коэффициентов, определяющих соотношение между симметричными составляющими полного тока повреждения, когда оценивают падение напряжения на сопротивлении в месте повреждения:
,
,
где - обозначает начальные распределенные коэффициенты, определяющие соотношение между симметричными составляющими полного тока повреждения, когда оценивается падение напряжения на сопротивлении в месте повреждения,
b F1, b F2 - обозначает коэффициенты соотношения, определяемые из соотношения между нулевой составляющей и другими составляющими полного тока повреждения, текущего через сопротивление в месте повреждения.
,
,
где - обозначает начальные распределенные коэффициенты, определяющие соотношение между симметричными составляющими полного тока повреждения, когда оценивается падение напряжения на сопротивлении в месте повреждения,
b F1, b F2 - обозначает коэффициенты соотношения, определяемые из соотношения между нулевой составляющей и другими составляющими полного тока повреждения, текущего через сопротивление в месте повреждения.
4. Способ по п.1, отличающийся тем, что для трехтерминальных линий электропередачи, расстояния от начала линии до точки повреждения dA, от конца линии до точки повреждения dB, от конца линии передачи с ответвлениями до точки повреждения dC определяют из следующих уравнений:
,
,
,
где „real” обозначает действительную часть заданной величины;
„imag” обозначает мнимую часть заданной величины;
V Ap - обозначает напряжение на контуре повреждения, определяемое в предположении, что повреждение произошло на участке LA;
V Tp - обозначает напряжение на контуре повреждения, определяемое в предположении, что повреждение произошло на участке LB или LC;
I Ap - обозначает контурный ток повреждения, определяемый в предположении, что повреждение произошло на участке LA;
I TBp - обозначает контурный ток повреждения, определяемый в предположении, что повреждение произошло на участке LB;
I TCp - обозначает контурный ток повреждения, определяемый в предположении, что повреждение произошло на участке LC линии;
I F - обозначает полный ток повреждения;
Z 1LA=R1LA+jω1L1LA - обозначает импеданс участка LA линии для положительной последовательной составляющей;
Z 1LB=R1LB+jω1L1LB - обозначает импеданс участка LB линии для положительной последовательной составляющей;
Z 1LC=R1LC+jω1L1LC - обозначает импеданс участка LC линии для положительной последовательной составляющей;
RlLA, RlLB, RlLC - сопротивление для положительной последовательной составляющей для участков LA, LB, LC линии соответственно;
L1LA, L1LB, L1LC - индуктивность для положительной последовательной составляющей для участков LA, LB, LC линии соответственно;
ω1 - угловая частота переменного тока для основной частоты.
,
,
,
где „real” обозначает действительную часть заданной величины;
„imag” обозначает мнимую часть заданной величины;
V Ap - обозначает напряжение на контуре повреждения, определяемое в предположении, что повреждение произошло на участке LA;
V Tp - обозначает напряжение на контуре повреждения, определяемое в предположении, что повреждение произошло на участке LB или LC;
I Ap - обозначает контурный ток повреждения, определяемый в предположении, что повреждение произошло на участке LA;
I TBp - обозначает контурный ток повреждения, определяемый в предположении, что повреждение произошло на участке LB;
I TCp - обозначает контурный ток повреждения, определяемый в предположении, что повреждение произошло на участке LC линии;
I F - обозначает полный ток повреждения;
Z 1LA=R1LA+jω1L1LA - обозначает импеданс участка LA линии для положительной последовательной составляющей;
Z 1LB=R1LB+jω1L1LB - обозначает импеданс участка LB линии для положительной последовательной составляющей;
Z 1LC=R1LC+jω1L1LC - обозначает импеданс участка LC линии для положительной последовательной составляющей;
RlLA, RlLB, RlLC - сопротивление для положительной последовательной составляющей для участков LA, LB, LC линии соответственно;
L1LA, L1LB, L1LC - индуктивность для положительной последовательной составляющей для участков LA, LB, LC линии соответственно;
ω1 - угловая частота переменного тока для основной частоты.
5. Способ по п.1, отличающийся тем, что для трехтерминальных линий электропередачи сопротивление RFA, RFB, RFC в месте повреждения определяют из следующих уравнений:
где „real” обозначает действительную часть заданной величины;
„imag” обозначает мнимую часть заданной величины;
V Ap - обозначает напряжение на контуре повреждения, вычисляемое в предположении, что повреждение произошло на участке LA;
V Tp - обозначает напряжение на контуре повреждения, вычисляемое в предположении, что повреждение произошло на участке LB или LC;
I Ap - обозначает контурный ток повреждения, вычисляемый в предположении, что повреждение произошло на участке LA;
I TBp - обозначает контурный ток повреждения, вычисляемый в предположении, что повреждение произошло на участке LB;
I TCp - обозначает контурный ток повреждения, вычисляемый в предположении, что повреждение произошло на участке LC линии;
I F - обозначает полный ток повреждения;
Z 1LA=R1LA+jω1L1LA - обозначает импеданс участка LA линии для положительной последовательной составляющей;
Z 1LB=R1LB+jω1L1LB - обозначает импеданс участка LB линии для положительной последовательной составляющей;
Z 1LC=R1LC+jω1L1LC - обозначает импеданс участка LC линии для положительной последовательной составляющей;
R1LA, R1LB, R1LC - сопротивление для положительной последовательной составляющей для участков LA, LB, LC линии соответственно;
L1LA, L1LB, L1LC - индуктивность для положительной последовательной составляющей для участков LA, LB, LC линии соответственно;
ω1 - угловая частота переменного тока для основной частоты;
dA - обозначает расстояние от начала линии до точки повреждения, dB - обозначает расстояние от конца линии до точки повреждения;
dC - обозначает расстояние от конца линии передачи с ответвлениями до точки повреждения.
где „real” обозначает действительную часть заданной величины;
„imag” обозначает мнимую часть заданной величины;
V Ap - обозначает напряжение на контуре повреждения, вычисляемое в предположении, что повреждение произошло на участке LA;
V Tp - обозначает напряжение на контуре повреждения, вычисляемое в предположении, что повреждение произошло на участке LB или LC;
I Ap - обозначает контурный ток повреждения, вычисляемый в предположении, что повреждение произошло на участке LA;
I TBp - обозначает контурный ток повреждения, вычисляемый в предположении, что повреждение произошло на участке LB;
I TCp - обозначает контурный ток повреждения, вычисляемый в предположении, что повреждение произошло на участке LC линии;
I F - обозначает полный ток повреждения;
Z 1LA=R1LA+jω1L1LA - обозначает импеданс участка LA линии для положительной последовательной составляющей;
Z 1LB=R1LB+jω1L1LB - обозначает импеданс участка LB линии для положительной последовательной составляющей;
Z 1LC=R1LC+jω1L1LC - обозначает импеданс участка LC линии для положительной последовательной составляющей;
R1LA, R1LB, R1LC - сопротивление для положительной последовательной составляющей для участков LA, LB, LC линии соответственно;
L1LA, L1LB, L1LC - индуктивность для положительной последовательной составляющей для участков LA, LB, LC линии соответственно;
ω1 - угловая частота переменного тока для основной частоты;
dA - обозначает расстояние от начала линии до точки повреждения, dB - обозначает расстояние от конца линии до точки повреждения;
dC - обозначает расстояние от конца линии передачи с ответвлениями до точки повреждения.
6. Способ по п.1, отличающийся тем, что для трехтерминальных линий электропередачи импедансы эквивалентного источника для отрицательной последовательной составляющей (Z 2SB)SUB-A) и для инкрементной положительной последовательной составляющей (Z Δ1SB)SUB-A) вычисляют в предположении, что повреждение произошло на участке LA линии, согласно уравнению:
где нижний индекс i принимает значения i=2 для отрицательной последовательной составляющей, i=Δ1 для инкрементной положительной последовательной составляющей;
G iA - обозначает первый аналитический коэффициент для отрицательной последовательной составляющей, определяемой из анализа эквивалентной принципиальной схемы системы (показана на фиг.11) и/или для инкрементной положительной последовательной составляющей, аналитически определяемой из эквивалентной принципиальной схемы системы, (показана на фиг.12);
I Ai - обозначает отрицательную и/или инкрементную положительную последовательную составляющую тока, измеренного в начале линии;
H Ai - обозначает второй аналитический коэффициент для отрицательной последовательной составляющей, определяемой из анализа эквивалентной принципиальной схемы системы (показана на фиг.11) и/или для инкрементной положительной последовательной составляющей, аналитически определяемой из эквивалентной принципиальной схемы системы (показана на фиг.12);
I FAi - обозначает отрицательную последовательную составляющую полного тока повреждения, определяемую из анализа эквивалентной принципиальной схемы системы (показана на фиг.11) и/или инкрементную положительную последовательную составляющую полного тока повреждения, определяемую из эквивалентной принципиальной схемы системы (показана на фиг.12);
Q BCi - обозначает отношение отрицательной последовательной составляющей тока, измеренной на конце линии, и суммы отрицательных последовательных составляющих сигналов тока, измеренных на конце линии и на конце линии передачи с ответвлениями, и/или отношение инкрементной положительной последовательной составляющей тока, измеренной на конце линии, и суммы инкрементных положительных последовательных составляющих сигналов тока, измеренных на конце линии и на конце линии передачи с ответвлениями.
где нижний индекс i принимает значения i=2 для отрицательной последовательной составляющей, i=Δ1 для инкрементной положительной последовательной составляющей;
G iA - обозначает первый аналитический коэффициент для отрицательной последовательной составляющей, определяемой из анализа эквивалентной принципиальной схемы системы (показана на фиг.11) и/или для инкрементной положительной последовательной составляющей, аналитически определяемой из эквивалентной принципиальной схемы системы, (показана на фиг.12);
I Ai - обозначает отрицательную и/или инкрементную положительную последовательную составляющую тока, измеренного в начале линии;
H Ai - обозначает второй аналитический коэффициент для отрицательной последовательной составляющей, определяемой из анализа эквивалентной принципиальной схемы системы (показана на фиг.11) и/или для инкрементной положительной последовательной составляющей, аналитически определяемой из эквивалентной принципиальной схемы системы (показана на фиг.12);
I FAi - обозначает отрицательную последовательную составляющую полного тока повреждения, определяемую из анализа эквивалентной принципиальной схемы системы (показана на фиг.11) и/или инкрементную положительную последовательную составляющую полного тока повреждения, определяемую из эквивалентной принципиальной схемы системы (показана на фиг.12);
Q BCi - обозначает отношение отрицательной последовательной составляющей тока, измеренной на конце линии, и суммы отрицательных последовательных составляющих сигналов тока, измеренных на конце линии и на конце линии передачи с ответвлениями, и/или отношение инкрементной положительной последовательной составляющей тока, измеренной на конце линии, и суммы инкрементных положительных последовательных составляющих сигналов тока, измеренных на конце линии и на конце линии передачи с ответвлениями.
7. Способ по п.1, отличающийся тем, что для трехтерминальных линий электропередачи импеданс (Z 2SC)SUB-A) эквивалентного источника для отрицательной последовательной составляющей и (Z ΔlSC)SUB-A) для инкрементной положительной последовательной составляющей вычисляют в предположении, что повреждение произошло на участке LA линии, из следующего уравнения:
где нижний индекс i принимает значения i=2 для отрицательной последовательной составляющей, i=Δ1 для инкрементной положительной последовательной составляющей;
(Z iSB)SUB-A) - обозначает импеданс эквивалентных источников для отрицательной последовательной составляющей и/или для инкрементной положительной последовательной составляющей, вычисляемой в предположении, что повреждение произошло на участке LA линии;
Z iLB - обозначает импеданс участка LB линии для отрицательной последовательной составляющей и/или для инкрементной положительной последовательной составляющей, где Z Δ1LB=Z 1LB;
Z lLB - обозначает импеданс участка LB линии для положительной последовательной составляющей;
Z iLC - обозначает импеданс участка LC линии для отрицательной последовательной составляющей и/или импеданс участка LC линии для инкрементной положительной последовательной составляющей, где
Z 2LC=Z 1LC и Z Δ1LC=Z 1LC;
Z lLC - обозначает импеданс участка LC линии для положительной последовательной составляющей;
I Bi - обозначает отрицательную последовательную составляющую и/или инкрементную положительную последовательную составляющую тока, измеренную на конце линии;
I Ci - обозначает отрицательную последовательную составляющую и/или инкрементную положительную последовательную составляющую тока, измеренную на конце ответвления.
где нижний индекс i принимает значения i=2 для отрицательной последовательной составляющей, i=Δ1 для инкрементной положительной последовательной составляющей;
(Z iSB)SUB-A) - обозначает импеданс эквивалентных источников для отрицательной последовательной составляющей и/или для инкрементной положительной последовательной составляющей, вычисляемой в предположении, что повреждение произошло на участке LA линии;
Z iLB - обозначает импеданс участка LB линии для отрицательной последовательной составляющей и/или для инкрементной положительной последовательной составляющей, где Z Δ1LB=Z 1LB;
Z lLB - обозначает импеданс участка LB линии для положительной последовательной составляющей;
Z iLC - обозначает импеданс участка LC линии для отрицательной последовательной составляющей и/или импеданс участка LC линии для инкрементной положительной последовательной составляющей, где
Z 2LC=Z 1LC и Z Δ1LC=Z 1LC;
Z lLC - обозначает импеданс участка LC линии для положительной последовательной составляющей;
I Bi - обозначает отрицательную последовательную составляющую и/или инкрементную положительную последовательную составляющую тока, измеренную на конце линии;
I Ci - обозначает отрицательную последовательную составляющую и/или инкрементную положительную последовательную составляющую тока, измеренную на конце ответвления.
8. Способ по п.1, отличающийся тем, что для трехтерминальных линий электропередачи импеданс эквивалентного источника для отрицательной последовательной составляющей (Z 2SB)SUB-B) и для инкрементной положительной последовательной составляющей (Z ΔlSB)SUB-B) определяют в предположении, что повреждение произошло на участке LB линии, из следующего уравнения:
где нижний индекс i принимает значения i=2 для отрицательной последовательной составляющей, i=Δ1 для инкрементной положительной последовательной составляющей;
dB - обозначает расстояние от конца линии до точки повреждения;
Z iLB - обозначает импеданс участка LB линии для отрицательной последовательной составляющей и/или для положительной последовательной составляющей, где Z Δ1LB=Z 1LB;
Z Δ1LB - обозначает импеданс участка LB линии для положительной последовательной составляющей;
- обозначает ток, текущий от точки ответвления Т до участка LB линии для отрицательной последовательной составляющей и/или для инкрементной положительной последовательной составляющей;
I Bi - обозначает отрицательную последовательную составляющую и/или инкрементную положительную последовательную составляющую тока, измеренную на конце линии;
- обозначает напряжение в точке ответвления Т для отрицательной последовательной составляющей и/или для инкрементной положительной последовательной составляющей.
где нижний индекс i принимает значения i=2 для отрицательной последовательной составляющей, i=Δ1 для инкрементной положительной последовательной составляющей;
dB - обозначает расстояние от конца линии до точки повреждения;
Z iLB - обозначает импеданс участка LB линии для отрицательной последовательной составляющей и/или для положительной последовательной составляющей, где Z Δ1LB=Z 1LB;
Z Δ1LB - обозначает импеданс участка LB линии для положительной последовательной составляющей;
- обозначает ток, текущий от точки ответвления Т до участка LB линии для отрицательной последовательной составляющей и/или для инкрементной положительной последовательной составляющей;
I Bi - обозначает отрицательную последовательную составляющую и/или инкрементную положительную последовательную составляющую тока, измеренную на конце линии;
- обозначает напряжение в точке ответвления Т для отрицательной последовательной составляющей и/или для инкрементной положительной последовательной составляющей.
9. Способ по п.1, отличающийся тем, что для трехтерминальных линий электропередачи импеданс эквивалентного источника для отрицательной последовательной составляющей (Z 2SC)SUB-B) и для инкрементной положительной последовательной составляющей (Z Δ1SC)SUB-B) вычисляют в предположении, что повреждение произошло на участке LB линии, из следующего уравнения:
где нижний индекс i принимает значения i=2 для отрицательной последовательной составляющей, i=Δ1 для инкрементной положительной последовательной составляющей;
V Ci - обозначает вычисленную отрицательную последовательную составляющую и/или инкрементную положительную последовательную составляющую напряжения на конце линии передачи с ответвлениями;
I Ci - обозначает отрицательную последовательную составляющую и/или инкрементную положительную последовательную составляющую тока, измеренную на конце ответвления.
где нижний индекс i принимает значения i=2 для отрицательной последовательной составляющей, i=Δ1 для инкрементной положительной последовательной составляющей;
V Ci - обозначает вычисленную отрицательную последовательную составляющую и/или инкрементную положительную последовательную составляющую напряжения на конце линии передачи с ответвлениями;
I Ci - обозначает отрицательную последовательную составляющую и/или инкрементную положительную последовательную составляющую тока, измеренную на конце ответвления.
10. Способ по п.1, отличающийся тем, что для трехтерминальных линий электропередачи импеданс эквивалентного источника для отрицательной последовательной составляющей (Z 2SC)SUB-C и для инкрементной положительной последовательной составляющей (Z ΔlSC)SUB-C вычисляют в предположении, что повреждение произошло на участке LC линии, из следующего уравнения:
где нижний индекс i принимает значения i=2 для отрицательной последовательной составляющей, i=Δ1 для инкрементной положительной последовательной составляющей;
dc - обозначает расстояние от конца линии передачи с ответвлениями до точки повреждения;
Z iLC - обозначает импеданс участка LC линии для отрицательной последовательной составляющей и/или для инкрементной положительной последовательной составляющей, где Z 2LC=Z lLC и Z ΔlLC=Z lLC;
Z lLC - обозначает импеданс участка LC линии для положительной последовательной составляющей;
- обозначает ток, текущий от точки ответвления Т до участка LC линии для отрицательной последовательной составляющей и/или для инкрементной положительной последовательной составляющей;
I Ci - обозначает отрицательную последовательную составляющую и/или инкрементную положительную последовательную составляющую тока, измеренную на конце ответвления;
- обозначает напряжение в точке ответвления Т для отрицательной последовательной составляющей и/или для инкрементной положительной последовательной составляющей.
где нижний индекс i принимает значения i=2 для отрицательной последовательной составляющей, i=Δ1 для инкрементной положительной последовательной составляющей;
dc - обозначает расстояние от конца линии передачи с ответвлениями до точки повреждения;
Z iLC - обозначает импеданс участка LC линии для отрицательной последовательной составляющей и/или для инкрементной положительной последовательной составляющей, где Z 2LC=Z lLC и Z ΔlLC=Z lLC;
Z lLC - обозначает импеданс участка LC линии для положительной последовательной составляющей;
- обозначает ток, текущий от точки ответвления Т до участка LC линии для отрицательной последовательной составляющей и/или для инкрементной положительной последовательной составляющей;
I Ci - обозначает отрицательную последовательную составляющую и/или инкрементную положительную последовательную составляющую тока, измеренную на конце ответвления;
- обозначает напряжение в точке ответвления Т для отрицательной последовательной составляющей и/или для инкрементной положительной последовательной составляющей.
11. Способ по п.1, отличающийся тем, что для трехтерминальных линий электропередачи импеданс эквивалентного источника для отрицательной последовательной составляющей (Z 2SB)SUB-C и для инкрементной положительной последовательной составляющей (Z ΔlSB)SUB-C вычисляют в предположении, что повреждение произошло на участке LC линии, из следующего уравнения:
где нижний индекс i принимает значения i=2 для отрицательной последовательной составляющей, i=Δ1 для инкрементной положительной последовательной составляющей;
V Bi - обозначает отрицательную последовательную и/или инкрементную положительную последовательную составляющую напряжения на конце линии;
I Bi - обозначает отрицательную последовательную и/или инкрементную положительную последовательную составляющую тока, измеренного на конце линии.
где нижний индекс i принимает значения i=2 для отрицательной последовательной составляющей, i=Δ1 для инкрементной положительной последовательной составляющей;
V Bi - обозначает отрицательную последовательную и/или инкрементную положительную последовательную составляющую напряжения на конце линии;
I Bi - обозначает отрицательную последовательную и/или инкрементную положительную последовательную составляющую тока, измеренного на конце линии.
12. Способ по п.1, отличающийся тем, что для многотерминальных линий электропередачи расстояния от начала линии до точки повреждения (d1), от конца линии до точки повреждения (d(2n-3)), от конца линии до точки повреждения (d(2k-2)), от точки ответвления до точки повреждения на участке линии между двумя точками ответвления (d(2k-1)) определяют из следующих уравнений:
,
,
где V lp - напряжение на контуре повреждения, вычисляемое в предположении, что повреждение произошло на участке L1 линии;
I lp - контурный ток повреждения, вычисляемый в предположении, что повреждение произошло на первом участке L1 линии;
V T(n-1)np - напряжение на контуре повреждения, вычисляемое в предположении, что повреждение произошло на участке L(2n-3) линии;
I T(n-1)np - контурный ток повреждения, вычисляемый в предположении, что повреждение произошло на участке L(2n-3) линии;
V Tkkp - напряжение на контуре повреждения, вычисляемое в предположении, что повреждение произошло в koй линии передачи с ответвлениями;
I Tkkp - контурный ток повреждения, вычисляемый в предположении, что повреждение произошло в koй линии передачи с ответвлениями;
V TkT(k+1)p - напряжение на контуре повреждения, вычисляемое в предположении, что повреждение произошло на участке линии между двумя точками ответвления;
I TkT(k+1)p - контурный ток повреждения, вычисляемый в предположении, что повреждение произошло на участке линии между двумя точками ответвления;
I F - полный ток повреждения;
Z lLl - импеданс участка L1 линии для положительной последовательной составляющей;
Z 0Ll - импеданс участка L1 линии для нулевой последовательной составляющей;
Z lL(2n-3) - импеданс участка L(2n-3) линии для положительной последовательной составляющей;
Z 0L(2n-3) - импеданс участка L(2n-3) линии для нулевой последовательной составляющей;
Z lL(2k-2) - импеданс участка L(2k-2) линии для положительной последовательной составляющей;
Z 0L(2k-2) - импеданс участка L(2k-2) линии для нулевой последовательной составляющей;
Z lL(2k-1) - импеданс участка L(2k-1) линии для положительной последовательной составляющей;
Z 0L(2k-1) - импеданс участка L(2k-1) линии для нулевой последовательной составляющей;
k - номер точки ответвления;
n - номер терминала линии.
,
,
где V lp - напряжение на контуре повреждения, вычисляемое в предположении, что повреждение произошло на участке L1 линии;
I lp - контурный ток повреждения, вычисляемый в предположении, что повреждение произошло на первом участке L1 линии;
V T(n-1)np - напряжение на контуре повреждения, вычисляемое в предположении, что повреждение произошло на участке L(2n-3) линии;
I T(n-1)np - контурный ток повреждения, вычисляемый в предположении, что повреждение произошло на участке L(2n-3) линии;
V Tkkp - напряжение на контуре повреждения, вычисляемое в предположении, что повреждение произошло в koй линии передачи с ответвлениями;
I Tkkp - контурный ток повреждения, вычисляемый в предположении, что повреждение произошло в koй линии передачи с ответвлениями;
V TkT(k+1)p - напряжение на контуре повреждения, вычисляемое в предположении, что повреждение произошло на участке линии между двумя точками ответвления;
I TkT(k+1)p - контурный ток повреждения, вычисляемый в предположении, что повреждение произошло на участке линии между двумя точками ответвления;
I F - полный ток повреждения;
Z lLl - импеданс участка L1 линии для положительной последовательной составляющей;
Z 0Ll - импеданс участка L1 линии для нулевой последовательной составляющей;
Z lL(2n-3) - импеданс участка L(2n-3) линии для положительной последовательной составляющей;
Z 0L(2n-3) - импеданс участка L(2n-3) линии для нулевой последовательной составляющей;
Z lL(2k-2) - импеданс участка L(2k-2) линии для положительной последовательной составляющей;
Z 0L(2k-2) - импеданс участка L(2k-2) линии для нулевой последовательной составляющей;
Z lL(2k-1) - импеданс участка L(2k-1) линии для положительной последовательной составляющей;
Z 0L(2k-1) - импеданс участка L(2k-1) линии для нулевой последовательной составляющей;
k - номер точки ответвления;
n - номер терминала линии.
13. Способ по п.1, отличающийся тем, что для многотерминальных линий электропередачи сопротивление (R 1F), (R (2n-3)F), (R (2k-2)F), (R (2k-1)F) в месте повреждения определяют из следующих уравнений:
где (d1) - расстояние до повреждения от начала линии до точки повреждения;
(d(2n-3)) - расстояние до повреждения от конца линии до точки повреждения;
(d(2k-2))- расстояние до повреждения от конца линии передачи с ответвлениями до точки повреждения;
(d(2k-1))- расстояние до повреждения на участке линии между двумя точками ответвления;
V 1p - напряжение на контуре повреждения, вычисляемое в предположении, что повреждение произошло на первом участке L1 линии;
I 1p - контурный ток повреждения, вычисляемый в предположении, что повреждение произошло на первом участке L1 линии;
V T(n-1)np - напряжение на контуре повреждения, вычисляемое в предположении, что повреждение произошло на участке L(2n-3) линии;
I T(n-1)np - контурный ток повреждения, вычисляемый в предположении, что повреждение произошло на участке L(2n-3) линии;
V Tkkp - напряжение на контуре повреждения, вычисляемое в предположении, что повреждение произошло в koй линии передачи с ответвлениями;
I Tkkp - контурный ток повреждения, вычисляемый в предположении, что повреждение произошло в koй линии передачи с ответвлениями;
V TkT(k+1)p - напряжение на контуре повреждения, вычисляемое в предположении, что повреждение произошло на участке линии между двумя точками ответвления;
I TkT(k+1)p - контурный ток повреждения, вычисляемый в предположении, что повреждение произошло на участке линии между двумя точками ответвления;
I F - полный ток повреждения;
Z lLl - импеданс участка L1 линии для положительной последовательной составляющей;
Z 0Ll - импеданс участка L1 линии для нулевой последовательной составляющей;
Z lL(2n-3) - импеданс участка L(2n-3) линии для положительной последовательной составляющей;
Z 0L(2n-3) - импеданс участка L(2n-3) линии для нулевой последовательной составляющей;
Z lL(2k-2) - импеданс участка L(2k-2) линии для положительной последовательной составляющей;
Z 0L(2k-2) - импеданс участка L(2k-2) линии для нулевой последовательной составляющей;
Z lL(2k-1) - импеданс участка L(2k-1) линии для положительной последовательной составляющей;
Z 0L(2k-1) - импеданс участка L(2k-1) линии для нулевой последовательной составляющей;
k - номер точки ответвления;
n - номер терминала линии.
где (d1) - расстояние до повреждения от начала линии до точки повреждения;
(d(2n-3)) - расстояние до повреждения от конца линии до точки повреждения;
(d(2k-2))- расстояние до повреждения от конца линии передачи с ответвлениями до точки повреждения;
(d(2k-1))- расстояние до повреждения на участке линии между двумя точками ответвления;
V 1p - напряжение на контуре повреждения, вычисляемое в предположении, что повреждение произошло на первом участке L1 линии;
I 1p - контурный ток повреждения, вычисляемый в предположении, что повреждение произошло на первом участке L1 линии;
V T(n-1)np - напряжение на контуре повреждения, вычисляемое в предположении, что повреждение произошло на участке L(2n-3) линии;
I T(n-1)np - контурный ток повреждения, вычисляемый в предположении, что повреждение произошло на участке L(2n-3) линии;
V Tkkp - напряжение на контуре повреждения, вычисляемое в предположении, что повреждение произошло в koй линии передачи с ответвлениями;
I Tkkp - контурный ток повреждения, вычисляемый в предположении, что повреждение произошло в koй линии передачи с ответвлениями;
V TkT(k+1)p - напряжение на контуре повреждения, вычисляемое в предположении, что повреждение произошло на участке линии между двумя точками ответвления;
I TkT(k+1)p - контурный ток повреждения, вычисляемый в предположении, что повреждение произошло на участке линии между двумя точками ответвления;
I F - полный ток повреждения;
Z lLl - импеданс участка L1 линии для положительной последовательной составляющей;
Z 0Ll - импеданс участка L1 линии для нулевой последовательной составляющей;
Z lL(2n-3) - импеданс участка L(2n-3) линии для положительной последовательной составляющей;
Z 0L(2n-3) - импеданс участка L(2n-3) линии для нулевой последовательной составляющей;
Z lL(2k-2) - импеданс участка L(2k-2) линии для положительной последовательной составляющей;
Z 0L(2k-2) - импеданс участка L(2k-2) линии для нулевой последовательной составляющей;
Z lL(2k-1) - импеданс участка L(2k-1) линии для положительной последовательной составляющей;
Z 0L(2k-1) - импеданс участка L(2k-1) линии для нулевой последовательной составляющей;
k - номер точки ответвления;
n - номер терминала линии.
14. Способ по п.1, отличающийся тем, что для многотерминальных линий электропередачи импеданс эквивалентных отрицательной последовательной составляющей (Z 2Sl) или для инкрементной положительной последовательной составляющей (Z ΔlSl) вычисляют в предположении, что повреждение расположено на участке линии между началом линии и первой точкой ответвления, согласно следующему уравнению:
где i=2 для отрицательной последовательной составляющей, i=Δ1 для инкрементной положительной последовательной составляющей;
V li - напряжение, измеренное на станции 1 для отдельных симметричных составляющих (первый нижний индекс), а второй нижний индекс для отрицательной последовательной составляющей будет равен 2 и для инкрементной положительной последовательной составляющей будет равен Δ1;
I li - ток, измеренный на станции 1 для отдельных симметричных составляющих (первый нижний индекс), а второй нижний индекс для отрицательной последовательной составляющей будет равен 2 и для инкрементной положительной последовательной составляющей будет равен Δ1.
где i=2 для отрицательной последовательной составляющей, i=Δ1 для инкрементной положительной последовательной составляющей;
V li - напряжение, измеренное на станции 1 для отдельных симметричных составляющих (первый нижний индекс), а второй нижний индекс для отрицательной последовательной составляющей будет равен 2 и для инкрементной положительной последовательной составляющей будет равен Δ1;
I li - ток, измеренный на станции 1 для отдельных симметричных составляющих (первый нижний индекс), а второй нижний индекс для отрицательной последовательной составляющей будет равен 2 и для инкрементной положительной последовательной составляющей будет равен Δ1.
15. Способ по п.1, отличающийся тем, что для многотерминальных линий электропередачи импеданс ((Z 2S(n))) эквивалентного источника для отрицательной последовательной составляющей и ((Z Δ1S(n))) для инкрементной положительной последовательной составляющей определяют в предположении, что повреждение расположено на участке линии между концом линии и последней точкой ответвления, из следующего уравнения:
где i=2 для отрицательной последовательной составляющей, Δ1 для инкрементной положительной последовательной составляющей;
- напряжения, измеренные в конечной точке ответвления Т(n-1) для отрицательной последовательной составляющей i=2 или для инкрементной положительной последовательной составляющей i=Δ1;
d(2n-3) - расстояние до повреждения от конца линии до точки повреждения;
Z iL(2n-3) - импеданс участка L(2n-3) линии для отрицательной последовательной составляющей i=2 или для инкрементной положительной последовательной составляющей i=Δ1;
- значения тока, текущего от точки ответвления Т(п-1) до станции n на участке L(2n-3) линии для отрицательной последовательной составляющей i=2 или для инкрементной положительной последовательной составляющей i=Δ1;
I Fi - полный ток повреждения для отрицательной последовательной составляющей i=2 или для инкрементной положительной последовательной составляющей i=Δ1;
I ni - ток, измеренный на последней станции n для отдельных симметричных составляющих (первый нижний индекс), а второй нижний индекс для отрицательной последовательной составляющей будет = 2 и для инкрементной положительной последовательной составляющей будет i=Δ1.
где i=2 для отрицательной последовательной составляющей, Δ1 для инкрементной положительной последовательной составляющей;
- напряжения, измеренные в конечной точке ответвления Т(n-1) для отрицательной последовательной составляющей i=2 или для инкрементной положительной последовательной составляющей i=Δ1;
d(2n-3) - расстояние до повреждения от конца линии до точки повреждения;
Z iL(2n-3) - импеданс участка L(2n-3) линии для отрицательной последовательной составляющей i=2 или для инкрементной положительной последовательной составляющей i=Δ1;
- значения тока, текущего от точки ответвления Т(п-1) до станции n на участке L(2n-3) линии для отрицательной последовательной составляющей i=2 или для инкрементной положительной последовательной составляющей i=Δ1;
I Fi - полный ток повреждения для отрицательной последовательной составляющей i=2 или для инкрементной положительной последовательной составляющей i=Δ1;
I ni - ток, измеренный на последней станции n для отдельных симметричных составляющих (первый нижний индекс), а второй нижний индекс для отрицательной последовательной составляющей будет = 2 и для инкрементной положительной последовательной составляющей будет i=Δ1.
16. Способ по п.1, отличающийся тем, что для многотерминальных линий электропередачи импеданс эквивалентного источника для отрицательной последовательной составляющей ((Z 2Sk)) и для инкрементной положительной последовательной составляющей ((Z Δ1Sk)) определяют в предположении, что повреждение расположено на линии передачи с ответвлениями, из следующего уравнения:
где - напряжения в koй точке ответвления для отрицательной последовательной составляющей i=2 или для инкрементной положительной последовательной составляющей i=Δ1;
d(2k-2) - расстояние до повреждения от конца линии передачи с ответвлениями до точки повреждения Tk;
Z iL(2k-2) - импеданс участка L(2k-2) линии для отрицательной последовательной составляющей i=2 или для инкрементной положительной последовательной составляющей i=Δl;
- значения тока, текущего от точки ответвления Tk до koй станции на участке L(2k-2) линии передачи с ответвлениями для отрицательной последовательной составляющей i=2 или для инкрементной положительной последовательной составляющей i=Δ1;
I Fi - полный ток повреждения для отрицательной последовательной составляющей i=2 или для инкрементной положительной последовательной составляющей i=Δ1;
I ki - ток, измеренный на станции k для отдельных симметричных составляющих (первый нижний индекс), а второй нижний индекс для отрицательной последовательной составляющей будет = 2 и для инкрементной положительной последовательной составляющей будет i=Δ1.
где - напряжения в koй точке ответвления для отрицательной последовательной составляющей i=2 или для инкрементной положительной последовательной составляющей i=Δ1;
d(2k-2) - расстояние до повреждения от конца линии передачи с ответвлениями до точки повреждения Tk;
Z iL(2k-2) - импеданс участка L(2k-2) линии для отрицательной последовательной составляющей i=2 или для инкрементной положительной последовательной составляющей i=Δl;
- значения тока, текущего от точки ответвления Tk до koй станции на участке L(2k-2) линии передачи с ответвлениями для отрицательной последовательной составляющей i=2 или для инкрементной положительной последовательной составляющей i=Δ1;
I Fi - полный ток повреждения для отрицательной последовательной составляющей i=2 или для инкрементной положительной последовательной составляющей i=Δ1;
I ki - ток, измеренный на станции k для отдельных симметричных составляющих (первый нижний индекс), а второй нижний индекс для отрицательной последовательной составляющей будет = 2 и для инкрементной положительной последовательной составляющей будет i=Δ1.
17. Способ по п.1, отличающийся тем, что для многотерминальных линий электропередачи импеданс эквивалентного источника для отрицательной последовательной составляющей ((Z 2Sk)) и ((Z 2S(k+1))), а также для инкрементной положительной последовательной составляющей ((Z Δ1Sk)) и ((Z Δ1S(k+1))) определяют в предположении, что повреждение расположено на участке линии между двумя следующими друг за другом точками ответвления, из следующих уравнений:
где - напряжение в koй точке ответвления для отрицательной последовательной составляющей i=2 или для инкрементной положительной последовательной составляющей i=Δ1;
d(2k-1) - расстояние до повреждения на участке линии между двумя точками ответвления;
Z iL(2k-1) - импеданс участка L(2k-l) линии для отрицательной последовательной составляющей i=2 или для инкрементной положительной последовательной составляющей i=Δ1;
- ток, текущий от точки ответвления Tk до точки ответвления T(k+1) на участке линии для отрицательной последовательной составляющей i=2 или для инкрементной положительной последовательной составляющей i=Δ1;
I Fi - полный ток повреждения для отрицательной последовательной составляющей i=2 или для инкрементной положительной последовательной составляющей i=Δ1;
I ki - ток, измеренный на станции k для отдельных симметричных составляющих (первый нижний индекс), а второй нижний индекс для отрицательной последовательной составляющей будет равен 2 и для инкрементной положительной последовательной составляющей будет i=Δ1;
I (k+1)i - ток, измеренный на станции k+1 для отдельных симметричных составляющих (первый нижний индекс), а второй нижний индекс для отрицательной последовательной составляющей будет равен 2 и для инкрементной положительной последовательной составляющей будет i=Δ1.
где - напряжение в koй точке ответвления для отрицательной последовательной составляющей i=2 или для инкрементной положительной последовательной составляющей i=Δ1;
d(2k-1) - расстояние до повреждения на участке линии между двумя точками ответвления;
Z iL(2k-1) - импеданс участка L(2k-l) линии для отрицательной последовательной составляющей i=2 или для инкрементной положительной последовательной составляющей i=Δ1;
- ток, текущий от точки ответвления Tk до точки ответвления T(k+1) на участке линии для отрицательной последовательной составляющей i=2 или для инкрементной положительной последовательной составляющей i=Δ1;
I Fi - полный ток повреждения для отрицательной последовательной составляющей i=2 или для инкрементной положительной последовательной составляющей i=Δ1;
I ki - ток, измеренный на станции k для отдельных симметричных составляющих (первый нижний индекс), а второй нижний индекс для отрицательной последовательной составляющей будет равен 2 и для инкрементной положительной последовательной составляющей будет i=Δ1;
I (k+1)i - ток, измеренный на станции k+1 для отдельных симметричных составляющих (первый нижний индекс), а второй нижний индекс для отрицательной последовательной составляющей будет равен 2 и для инкрементной положительной последовательной составляющей будет i=Δ1.
Applications Claiming Priority (4)
| Application Number | Priority Date | Filing Date | Title |
|---|---|---|---|
| PL377064A PL206226B1 (pl) | 2005-09-14 | 2005-09-14 | Sposób lokalizacji zwarć w liniach energetycznych z jednym odgałęzieniem |
| PLP377064 | 2005-09-14 | ||
| PLP380012 | 2006-06-23 | ||
| PL380012A PL207942B1 (pl) | 2006-06-23 | 2006-06-23 | Sposób lokalizacji zwarć w liniach energetycznych z wieloma odgałęzieniami |
Publications (2)
| Publication Number | Publication Date |
|---|---|
| RU2008114387A RU2008114387A (ru) | 2009-10-20 |
| RU2397503C2 true RU2397503C2 (ru) | 2010-08-20 |
Family
ID=37685253
Family Applications (1)
| Application Number | Title | Priority Date | Filing Date |
|---|---|---|---|
| RU2008114387/28A RU2397503C2 (ru) | 2005-09-14 | 2006-09-05 | Способ для определения места повреждения линий электропередачи |
Country Status (5)
| Country | Link |
|---|---|
| US (1) | US8131485B2 (ru) |
| EP (1) | EP1924863B1 (ru) |
| ES (1) | ES2456290T3 (ru) |
| RU (1) | RU2397503C2 (ru) |
| WO (1) | WO2007032697A1 (ru) |
Cited By (5)
| Publication number | Priority date | Publication date | Assignee | Title |
|---|---|---|---|---|
| RU2492565C1 (ru) * | 2012-07-17 | 2013-09-10 | Общество с ограниченной ответственностью "Исследовательский центр "Бреслер" | Способ определения места повреждения линии электропередачи при двухстороннем наблюдении |
| RU2586438C1 (ru) * | 2015-04-29 | 2016-06-10 | Степан Георгиевич Тигунцев | Способ определения места короткого замыкания на длинной линии электропередачи напряжением 220 кв и выше |
| RU2593409C1 (ru) * | 2015-07-13 | 2016-08-10 | Степан Георгиевич Тигунцев | Способ определения места короткого замыкания на длинной линии электропередачи с отпайкой |
| RU2593405C1 (ru) * | 2015-07-01 | 2016-08-10 | Степан Георгиевич Тигунцев | Способ определения места обрыва провода на воздушной линии электропередачи |
| RU2633433C2 (ru) * | 2012-12-06 | 2017-10-12 | Шнейдер Электрик Эндюстри Сас | Направленное обнаружение замыкания в сети, в частности, в системе с заземленной скомпенсированной или изолированной нейтралью |
Families Citing this family (53)
| Publication number | Priority date | Publication date | Assignee | Title |
|---|---|---|---|---|
| FR2922028B1 (fr) * | 2007-10-05 | 2011-04-29 | Schneider Electric Ind Sas | Localisation d'un defaut dans un reseau de distribution publique moyenne tension |
| EP2232280A1 (de) * | 2008-01-24 | 2010-09-29 | Siemens Aktiengesellschaft | Verfahren und fehlerorter zum bestimmen eines fehlerortwertes |
| EP2113778B1 (en) | 2008-04-29 | 2017-12-06 | ABB Schweiz AG | System and method for determining location of phase-to-phase fault or three-phase fault |
| WO2010006652A1 (en) * | 2008-07-18 | 2010-01-21 | Abb Technology Ag | Method and device for fault location of series-compensated transmission line |
| US8525522B2 (en) | 2010-04-21 | 2013-09-03 | Schweitzer Engineering Laboratories Inc | Fault location in electric power delivery systems |
| US8558551B2 (en) | 2010-04-21 | 2013-10-15 | Schweitzer Engineering Laboratories Inc | Fault location in electric power delivery systems |
| US8942954B2 (en) * | 2010-09-16 | 2015-01-27 | Schweitzer Engineering Laboratories, Inc. | Fault location in a non-homogeneous electric power line |
| US8922652B2 (en) | 2011-08-29 | 2014-12-30 | General Electric Company | Systems and methods for locating faults in a power system |
| US8791704B2 (en) | 2011-10-11 | 2014-07-29 | Schweitzer Engineering Laboratories Inc. | Fault-type identification for electric power delivery systems |
| CN103368166B (zh) * | 2012-03-29 | 2016-04-06 | 徐州润泽电气有限公司 | 一种零序全电流功率方向实现煤矿高压电网选择性漏电保护的方法 |
| CN102967801B (zh) * | 2012-12-13 | 2015-01-07 | 山东理工大学 | T接线路三端行波故障测距方法 |
| US10401417B2 (en) * | 2013-02-13 | 2019-09-03 | General Electric Technology Gmbh | Electrical fault location determination in a distribution system based on phasor information |
| CN103197204B (zh) * | 2013-04-07 | 2015-04-29 | 山东电力集团公司德州供电公司 | 多端线路故障定位的混合型方法 |
| RU2558265C1 (ru) * | 2014-04-29 | 2015-07-27 | Федеральное государственное бюджетное образовательное учреждение высшего профессионального образования "Казанский государственный энергетический университет" (ФГБОУ ВПО "КГЭУ") | Способ определения расстояния до мест двойных замыканий на землю на линиях электропередачи в сетях с малыми токами замыкания на землю |
| RU2558266C1 (ru) * | 2014-04-29 | 2015-07-27 | Федеральное государственное бюджетное образовательное учреждение высшего профессионального образования "Казанский государственный энергетический университет" (ФГБОУ ВПО "КГЭУ") | Способ определения расстояния до мест замыканий на землю на двух линиях электропередачи в сетях с малыми токами замыкания на землю |
| RU2557375C1 (ru) * | 2014-04-29 | 2015-07-20 | Федеральное государственное бюджетное образовательное учреждение высшего профессионального образования "Казанский государственный энергетический университет" (ФГБОУ ВПО "КГЭУ") | Способ определения расстояния до мест замыканий на землю на двух линиях электропередачи в сетях с малыми токами замыкания на землю |
| DE102014217972A1 (de) * | 2014-09-09 | 2016-03-10 | Siemens Aktiengesellschaft | Verfahren und Anordnung für die Ermittlung eines Fehlerortes bei einem Kurzschluss entlang einer Energieversorgungsstrecke mit mehreren Leitern |
| RU2586453C1 (ru) * | 2015-04-22 | 2016-06-10 | федеральное государственное бюджетное образовательное учреждение высшего образования "Иркутский национальный исследовательский технический университет" (ФГБОУ ВО "ИРНИТУ") | Способ определения места короткого замыкания на воздушной линии электропередачи при несинхронизированных замерах с двух её концов |
| CN105044550A (zh) * | 2015-04-28 | 2015-11-11 | 国家电网公司 | 基于故障电流泄放路径的配网线路故障定位方法 |
| EP3203248B1 (en) * | 2016-02-02 | 2023-11-22 | General Electric Technology GmbH | Method of locating a fault in a power transmission scheme |
| US10197614B2 (en) * | 2016-05-02 | 2019-02-05 | Schweitzer Engineering Laboratories, Inc. | Fault location during pole-open condition |
| RU2637378C1 (ru) * | 2016-06-28 | 2017-12-04 | Галина Андреевна Филатова | Способ дистанционного определения места однофазного замыкания на землю |
| KR101737072B1 (ko) * | 2016-07-13 | 2017-05-18 | 선광엘티아이(주) | 접지라인의 저항 및 전류 관측 시스템 |
| US10223906B2 (en) | 2017-01-23 | 2019-03-05 | Florida Power & Light Company | Open neutral detection |
| WO2019025840A1 (en) * | 2017-08-04 | 2019-02-07 | Abb Schweiz Ag | METHOD AND DEVICE FOR IDENTIFYING DEFECT SECTION IN MULTI-TERMINAL MIXED LINES |
| US11054456B2 (en) * | 2017-09-18 | 2021-07-06 | Sensus Spectrum Llc | Systems and method for determining load balance on a three-phase power distribution system |
| CN111542980B (zh) * | 2017-12-29 | 2021-06-15 | Abb电网瑞士股份公司 | 用于识别电力传输线路中的故障位置的装置和方法 |
| WO2019186490A1 (en) * | 2018-03-31 | 2019-10-03 | Abb Schweiz Ag | Method and device for protection in a multi-terminal power transmission system |
| WO2019229638A1 (en) * | 2018-05-31 | 2019-12-05 | Abb Schweiz Ag | Fault location for parallel transmission lines with zero sequence currents estimated from faulted line measurements |
| US10859639B2 (en) | 2018-10-02 | 2020-12-08 | Schweitzer Engineering Laboratories, Inc. | Fault-type identification in an electric power delivery system using composite signals |
| CN109327027B (zh) * | 2018-11-21 | 2022-07-22 | 广西电网有限责任公司电力科学研究院 | 基于psd-bpa的交叉跨越线路故障校核方法 |
| EP3723224B1 (en) | 2019-04-08 | 2023-08-23 | Hitachi Energy Switzerland AG | Time domain distance protection based on polarity comparison for power transmission lines |
| CN112526281B (zh) * | 2019-09-19 | 2023-04-14 | 国电南瑞科技股份有限公司 | 一种t接线路故障双端测距方法 |
| CN110726904B (zh) * | 2019-09-27 | 2022-11-22 | 广西电网有限责任公司电力科学研究院 | 一种基于分布式的t接输电电路的故障点精确定位的方法 |
| CN110764019B (zh) * | 2019-10-30 | 2021-07-30 | 国网湖北省电力有限公司电力科学研究院 | 一种基于双端测量的线路临时接地数量判定与定位方法 |
| RU2726042C1 (ru) * | 2019-12-09 | 2020-07-08 | Федеральное государственное бюджетное учреждение науки Федеральный исследовательский центр "Кольский научный центр Российской академии наук" (ФИЦ КНЦ РАН) | Способ определения значения стационарного сопротивления заземляющего устройства опор воздушных линий электропередачи без отсоединения грозозащитного троса и устройство для его реализации |
| CN111781468B (zh) * | 2020-07-15 | 2022-11-22 | 国网宁夏电力有限公司营销服务中心(国网宁夏电力有限公司计量中心) | T型高压输电线路非同步故障测距方法及系统 |
| EP3993204B1 (en) * | 2020-10-28 | 2023-09-27 | Katholieke Universiteit Leuven | Determining a fault location on a powerline |
| RU2750421C1 (ru) * | 2020-12-21 | 2021-06-28 | федеральное государственное бюджетное образовательное учреждение высшего образования "Нижегородский государственный технический университет им. Р.Е. Алексеева" (НГТУ) | Способ определения расстояния до мест двойных замыканий на землю на линиях электропередачи в сетях с малыми токами замыкания на землю |
| US11735908B2 (en) | 2021-02-15 | 2023-08-22 | Schweitzer Engineering Laboratories, Inc. | Dependable open-phase detection in electric power delivery systems with inverter-based resources |
| CN114113875B (zh) * | 2021-02-19 | 2024-10-25 | 李冰鑫 | 一种配电线路故障定位方法 |
| CN113848416A (zh) * | 2021-04-19 | 2021-12-28 | 西安成林电力科技有限公司 | 一种对铁路供电线路故障进行精确定位的方法及装置 |
| CN114689988B (zh) * | 2021-12-23 | 2024-11-15 | 天津大学 | 一种含逆变型分布式电源花瓣式配电网故障精确定位方法 |
| US11650241B1 (en) | 2022-06-28 | 2023-05-16 | Schweitzer Engineering Laboratories, Inc. | Incremental quantities-based fault locating technique and system |
| CN115542071B (zh) * | 2022-08-23 | 2024-08-27 | 国网吉林省电力有限公司白城供电公司 | 一种无信号区域的配电网故障定位方法 |
| CN115954928A (zh) * | 2022-09-23 | 2023-04-11 | 盛东如东海上风力发电有限责任公司 | 锁相并网换流器的稳定性分析方法及系统 |
| CN115954927A (zh) * | 2022-09-23 | 2023-04-11 | 中国华能集团清洁能源技术研究院有限公司 | 锁相同步并网换流器暂态同步稳定系数的确定方法及系统 |
| US12385962B2 (en) | 2022-10-04 | 2025-08-12 | Schweitzer Engineering Laboratories, Inc. | Fault location estimation using incremental quantities |
| US12362556B2 (en) | 2023-03-07 | 2025-07-15 | Schweitzer Engineering Laboratories, Inc. | Single-ended broken conductor detection logic using incremental quantities |
| US12283733B2 (en) * | 2023-04-13 | 2025-04-22 | Radio Wires Inc. | Multi-tap transmission line system and methods thereof |
| CN117554753B (zh) * | 2024-01-09 | 2024-04-12 | 山东大学 | 一种基于零序电压电流的单相接地故障测距方法及终端机 |
| CN118884125B (zh) * | 2024-08-07 | 2025-03-25 | 武汉华电顺承科技有限公司 | 一种基于模拟量特征的输电线路故障相别判定方法和系统 |
| CN118858845B (zh) * | 2024-09-26 | 2024-12-06 | 国网山东省电力公司莱西市供电公司 | 一种混合输电线路故障的双端定位方法、介质及设备 |
Citations (3)
| Publication number | Priority date | Publication date | Assignee | Title |
|---|---|---|---|---|
| EP0464662A1 (en) * | 1990-06-29 | 1992-01-08 | Asea Brown Boveri Ab | Method and means for fault location in a multi-terminal network |
| US5485394A (en) * | 1990-05-31 | 1996-01-16 | Nissin Electric Company, Limited | Fault location method for a parallel two-circuit transmission line with n terminals |
| RU2248583C2 (ru) * | 2002-11-04 | 2005-03-20 | ООО "Научно-производственный центр "Электробезопасность" | Способ определения места однофазного замыкания на землю в разветвленной воздушной лэп с изолированной нейтралью |
Family Cites Families (1)
| Publication number | Priority date | Publication date | Assignee | Title |
|---|---|---|---|---|
| US4766549A (en) * | 1984-11-30 | 1988-08-23 | Electric Power Research Institute, Inc. | Single-ended transmission line fault locator |
-
2006
- 2006-09-05 EP EP06784043.9A patent/EP1924863B1/en not_active Not-in-force
- 2006-09-05 ES ES06784043.9T patent/ES2456290T3/es active Active
- 2006-09-05 WO PCT/PL2006/000061 patent/WO2007032697A1/en not_active Ceased
- 2006-09-05 US US11/991,130 patent/US8131485B2/en not_active Expired - Fee Related
- 2006-09-05 RU RU2008114387/28A patent/RU2397503C2/ru not_active IP Right Cessation
Patent Citations (3)
| Publication number | Priority date | Publication date | Assignee | Title |
|---|---|---|---|---|
| US5485394A (en) * | 1990-05-31 | 1996-01-16 | Nissin Electric Company, Limited | Fault location method for a parallel two-circuit transmission line with n terminals |
| EP0464662A1 (en) * | 1990-06-29 | 1992-01-08 | Asea Brown Boveri Ab | Method and means for fault location in a multi-terminal network |
| RU2248583C2 (ru) * | 2002-11-04 | 2005-03-20 | ООО "Научно-производственный центр "Электробезопасность" | Способ определения места однофазного замыкания на землю в разветвленной воздушной лэп с изолированной нейтралью |
Cited By (5)
| Publication number | Priority date | Publication date | Assignee | Title |
|---|---|---|---|---|
| RU2492565C1 (ru) * | 2012-07-17 | 2013-09-10 | Общество с ограниченной ответственностью "Исследовательский центр "Бреслер" | Способ определения места повреждения линии электропередачи при двухстороннем наблюдении |
| RU2633433C2 (ru) * | 2012-12-06 | 2017-10-12 | Шнейдер Электрик Эндюстри Сас | Направленное обнаружение замыкания в сети, в частности, в системе с заземленной скомпенсированной или изолированной нейтралью |
| RU2586438C1 (ru) * | 2015-04-29 | 2016-06-10 | Степан Георгиевич Тигунцев | Способ определения места короткого замыкания на длинной линии электропередачи напряжением 220 кв и выше |
| RU2593405C1 (ru) * | 2015-07-01 | 2016-08-10 | Степан Георгиевич Тигунцев | Способ определения места обрыва провода на воздушной линии электропередачи |
| RU2593409C1 (ru) * | 2015-07-13 | 2016-08-10 | Степан Георгиевич Тигунцев | Способ определения места короткого замыкания на длинной линии электропередачи с отпайкой |
Also Published As
| Publication number | Publication date |
|---|---|
| WO2007032697A1 (en) | 2007-03-22 |
| US8131485B2 (en) | 2012-03-06 |
| EP1924863B1 (en) | 2014-01-15 |
| EP1924863A1 (en) | 2008-05-28 |
| RU2008114387A (ru) | 2009-10-20 |
| ES2456290T3 (es) | 2014-04-21 |
| US20090150099A1 (en) | 2009-06-11 |
Similar Documents
| Publication | Publication Date | Title |
|---|---|---|
| RU2397503C2 (ru) | Способ для определения места повреждения линий электропередачи | |
| US8731853B2 (en) | Method for fault location on series compensated power transmission lines with two-end unsynchronized measurement | |
| EP2017632B1 (en) | Method for fault location in uncompensated power lines with two-end unsynchronized measurement | |
| EP2313791B1 (en) | Method and device for fault location of series-compensated transmission line | |
| US8462004B2 (en) | Method and arrangement for generating an error signal | |
| EP2000811B1 (en) | Method for determining location of phase-to-earth fault | |
| US7298149B2 (en) | Fault location using measurements of current and voltage from one end of a line | |
| US7999557B2 (en) | Method for determining location of phase-to-earth fault | |
| EP3564687B1 (en) | Determination of power transmission line parameters using asynchronous measurements | |
| EP1342095B1 (en) | Fault location method and device | |
| WO2019166903A1 (en) | Method and device for fault location in a two-terminal transmission system | |
| EP1739441A1 (en) | Method and system for determining location of phase-to-earth fault | |
| Das et al. | A technique for estimating locations of shunt faults on distribution lines | |
| CN101263394A (zh) | 用于电力线中的故障定位的方法 | |
| Sachdev et al. | Determining locations of faults in distribution systems | |
| Daisy et al. | Single phase fault location in power distribution network using combination of impedance based method and voltage sage matching algorithm | |
| Izykowski et al. | Location of faults in partially parallel transmission networks | |
| Ivanov et al. | Parameter Estimation for a 500 kV Overhead Transmission Line and Analysis of Dead Time Prior to Single-Phase Automatic Reclosing Based on Synchrophasor Measurements | |
| EP3141918A1 (en) | Improvements in or relating to determining a fault location in a power transmission medium | |
| RU2801438C1 (ru) | Способ определения места короткого замыкания на воздушной линии электропередачи при несинхронизированных замерах с двух ее концов | |
| Gopalakrishnan et al. | Extension to Fault Location Algorithm Based on Synchronized Sampling | |
| HK1149854A (en) | Method and arrangement for generating an error signal |
Legal Events
| Date | Code | Title | Description |
|---|---|---|---|
| MM4A | The patent is invalid due to non-payment of fees |
Effective date: 20150906 |









































































