KR20180004242A - 알쯔하이머병의 치료를 위한 뉴런 저장소-작동된 칼슘 진입 경로의 활성화 - Google Patents
알쯔하이머병의 치료를 위한 뉴런 저장소-작동된 칼슘 진입 경로의 활성화 Download PDFInfo
- Publication number
- KR20180004242A KR20180004242A KR1020177035257A KR20177035257A KR20180004242A KR 20180004242 A KR20180004242 A KR 20180004242A KR 1020177035257 A KR1020177035257 A KR 1020177035257A KR 20177035257 A KR20177035257 A KR 20177035257A KR 20180004242 A KR20180004242 A KR 20180004242A
- Authority
- KR
- South Korea
- Prior art keywords
- trpc6
- compound
- disease
- orai2
- stim2
- Prior art date
- Legal status (The legal status is an assumption and is not a legal conclusion. Google has not performed a legal analysis and makes no representation as to the accuracy of the status listed.)
- Withdrawn
Links
- 208000024827 Alzheimer disease Diseases 0.000 title claims abstract description 64
- 230000004913 activation Effects 0.000 title claims abstract description 28
- 230000037361 pathway Effects 0.000 title claims abstract description 19
- 238000011282 treatment Methods 0.000 title claims description 20
- 210000002569 neuron Anatomy 0.000 title abstract description 68
- 238000003860 storage Methods 0.000 title abstract description 14
- 230000003185 calcium uptake Effects 0.000 title abstract description 8
- 150000001669 calcium Chemical class 0.000 title abstract description 5
- 238000000034 method Methods 0.000 claims abstract description 68
- 150000001875 compounds Chemical class 0.000 claims description 125
- 229910052739 hydrogen Inorganic materials 0.000 claims description 30
- 239000001257 hydrogen Substances 0.000 claims description 30
- 239000003795 chemical substances by application Substances 0.000 claims description 29
- -1 cyano, carboxyl Chemical group 0.000 claims description 29
- 150000003839 salts Chemical class 0.000 claims description 28
- 125000000217 alkyl group Chemical group 0.000 claims description 21
- 125000004435 hydrogen atom Chemical class [H]* 0.000 claims description 19
- 241000282414 Homo sapiens Species 0.000 claims description 17
- 150000001982 diacylglycerols Chemical class 0.000 claims description 17
- 201000010099 disease Diseases 0.000 claims description 16
- 208000037265 diseases, disorders, signs and symptoms Diseases 0.000 claims description 16
- 125000004093 cyano group Chemical group *C#N 0.000 claims description 15
- 125000001309 chloro group Chemical group Cl* 0.000 claims description 13
- 125000005843 halogen group Chemical group 0.000 claims description 12
- 125000003368 amide group Chemical group 0.000 claims description 11
- 125000004663 dialkyl amino group Chemical group 0.000 claims description 10
- 239000003814 drug Substances 0.000 claims description 10
- 125000000449 nitro group Chemical group [O-][N+](*)=O 0.000 claims description 10
- 125000003342 alkenyl group Chemical group 0.000 claims description 9
- 125000003282 alkyl amino group Chemical group 0.000 claims description 9
- 125000000304 alkynyl group Chemical group 0.000 claims description 9
- 125000004356 hydroxy functional group Chemical group O* 0.000 claims description 9
- 125000002252 acyl group Chemical group 0.000 claims description 8
- 125000000753 cycloalkyl group Chemical group 0.000 claims description 8
- 230000015654 memory Effects 0.000 claims description 8
- 239000008194 pharmaceutical composition Substances 0.000 claims description 8
- 125000002924 primary amino group Chemical group [H]N([H])* 0.000 claims description 7
- 125000000547 substituted alkyl group Chemical group 0.000 claims description 7
- 239000000872 buffer Substances 0.000 claims description 6
- 230000006872 improvement Effects 0.000 claims description 6
- 125000006310 cycloalkyl amino group Chemical group 0.000 claims description 5
- YLJREFDVOIBQDA-UHFFFAOYSA-N tacrine Chemical compound C1=CC=C2C(N)=C(CCCC3)C3=NC2=C1 YLJREFDVOIBQDA-UHFFFAOYSA-N 0.000 claims description 5
- 229960001685 tacrine Drugs 0.000 claims description 5
- 239000003963 antioxidant agent Substances 0.000 claims description 4
- 230000019771 cognition Effects 0.000 claims description 4
- 208000025688 early-onset autosomal dominant Alzheimer disease Diseases 0.000 claims description 4
- ASUTZQLVASHGKV-JDFRZJQESA-N galanthamine Chemical compound O1C(=C23)C(OC)=CC=C2CN(C)CC[C@]23[C@@H]1C[C@@H](O)C=C2 ASUTZQLVASHGKV-JDFRZJQESA-N 0.000 claims description 4
- 230000013016 learning Effects 0.000 claims description 4
- 208000024891 symptom Diseases 0.000 claims description 4
- RDHQFKQIGNGIED-MRVPVSSYSA-N O-acetyl-L-carnitine Chemical compound CC(=O)O[C@H](CC([O-])=O)C[N+](C)(C)C RDHQFKQIGNGIED-MRVPVSSYSA-N 0.000 claims description 3
- 229940121363 anti-inflammatory agent Drugs 0.000 claims description 3
- 239000002260 anti-inflammatory agent Substances 0.000 claims description 3
- 239000000544 cholinesterase inhibitor Substances 0.000 claims description 3
- 239000003085 diluting agent Substances 0.000 claims description 3
- 229940108366 exelon Drugs 0.000 claims description 3
- 238000001990 intravenous administration Methods 0.000 claims description 3
- 239000008297 liquid dosage form Substances 0.000 claims description 3
- 239000000472 muscarinic agonist Substances 0.000 claims description 3
- 239000000546 pharmaceutical excipient Substances 0.000 claims description 3
- GWHQHAUAXRMMOT-MBANBULQSA-N rivastigmine tartrate Chemical compound OC(=O)[C@H](O)[C@@H](O)C(O)=O.CCN(C)C(=O)OC1=CC=CC([C@H](C)N(C)C)=C1 GWHQHAUAXRMMOT-MBANBULQSA-N 0.000 claims description 3
- 238000010254 subcutaneous injection Methods 0.000 claims description 3
- 239000007929 subcutaneous injection Substances 0.000 claims description 3
- 229940122041 Cholinesterase inhibitor Drugs 0.000 claims description 2
- 230000003078 antioxidant effect Effects 0.000 claims description 2
- 239000002775 capsule Substances 0.000 claims description 2
- 239000002552 dosage form Substances 0.000 claims description 2
- 230000002708 enhancing effect Effects 0.000 claims description 2
- 238000007912 intraperitoneal administration Methods 0.000 claims description 2
- 230000007310 pathophysiology Effects 0.000 claims description 2
- 239000000843 powder Substances 0.000 claims description 2
- 239000003826 tablet Substances 0.000 claims description 2
- 102000003623 TRPC6 Human genes 0.000 claims 2
- 108050001421 Transient receptor potential channel, canonical 6 Proteins 0.000 claims 2
- XSVMFMHYUFZWBK-NSHDSACASA-N Rivastigmine Chemical compound CCN(C)C(=O)OC1=CC=CC([C@H](C)N(C)C)=C1 XSVMFMHYUFZWBK-NSHDSACASA-N 0.000 claims 1
- 229960003980 galantamine Drugs 0.000 claims 1
- ASUTZQLVASHGKV-UHFFFAOYSA-N galanthamine hydrochloride Natural products O1C(=C23)C(OC)=CC=C2CN(C)CCC23C1CC(O)C=C2 ASUTZQLVASHGKV-UHFFFAOYSA-N 0.000 claims 1
- 238000001361 intraarterial administration Methods 0.000 claims 1
- 238000007917 intracranial administration Methods 0.000 claims 1
- 238000010255 intramuscular injection Methods 0.000 claims 1
- 239000007927 intramuscular injection Substances 0.000 claims 1
- 238000007913 intrathecal administration Methods 0.000 claims 1
- 229940124597 therapeutic agent Drugs 0.000 claims 1
- 241000699670 Mus sp. Species 0.000 description 86
- 239000011575 calcium Substances 0.000 description 86
- 210000004027 cell Anatomy 0.000 description 68
- 238000002474 experimental method Methods 0.000 description 67
- 108091006146 Channels Proteins 0.000 description 63
- 235000001674 Agaricus brunnescens Nutrition 0.000 description 61
- 230000000971 hippocampal effect Effects 0.000 description 46
- 210000004556 brain Anatomy 0.000 description 41
- 239000000203 mixture Substances 0.000 description 37
- 241000699666 Mus <mouse, genus> Species 0.000 description 36
- 229910052799 carbon Inorganic materials 0.000 description 31
- 210000004295 hippocampal neuron Anatomy 0.000 description 31
- 230000000946 synaptic effect Effects 0.000 description 31
- 238000004458 analytical method Methods 0.000 description 28
- 230000000694 effects Effects 0.000 description 28
- 108090000623 proteins and genes Proteins 0.000 description 28
- 125000003118 aryl group Chemical group 0.000 description 27
- 125000004429 atom Chemical group 0.000 description 27
- 108020004414 DNA Proteins 0.000 description 24
- OKTJSMMVPCPJKN-UHFFFAOYSA-N Carbon Chemical group [C] OKTJSMMVPCPJKN-UHFFFAOYSA-N 0.000 description 21
- UFHFLCQGNIYNRP-UHFFFAOYSA-N Hydrogen Chemical compound [H][H] UFHFLCQGNIYNRP-UHFFFAOYSA-N 0.000 description 21
- 230000014509 gene expression Effects 0.000 description 21
- 125000004432 carbon atom Chemical group C* 0.000 description 18
- 102000004169 proteins and genes Human genes 0.000 description 18
- 101710137189 Amyloid-beta A4 protein Proteins 0.000 description 17
- 101710151993 Amyloid-beta precursor protein Proteins 0.000 description 17
- 102100022704 Amyloid-beta precursor protein Human genes 0.000 description 17
- 101100114828 Drosophila melanogaster Orai gene Proteins 0.000 description 17
- DZHSAHHDTRWUTF-SIQRNXPUSA-N amyloid-beta polypeptide 42 Chemical compound C([C@@H](C(=O)N[C@@H](C)C(=O)N[C@@H](CCC(O)=O)C(=O)N[C@@H](CC(O)=O)C(=O)N[C@H](C(=O)NCC(=O)N[C@@H](CO)C(=O)N[C@@H](CC(N)=O)C(=O)N[C@@H](CCCCN)C(=O)NCC(=O)N[C@@H](C)C(=O)N[C@H](C(=O)N[C@@H]([C@@H](C)CC)C(=O)NCC(=O)N[C@@H](CC(C)C)C(=O)N[C@@H](CCSC)C(=O)N[C@@H](C(C)C)C(=O)NCC(=O)NCC(=O)N[C@@H](C(C)C)C(=O)N[C@@H](C(C)C)C(=O)N[C@@H]([C@@H](C)CC)C(=O)N[C@@H](C)C(O)=O)[C@@H](C)CC)C(C)C)NC(=O)[C@H](CC=1C=CC=CC=1)NC(=O)[C@@H](NC(=O)[C@H](CC(C)C)NC(=O)[C@H](CCCCN)NC(=O)[C@H](CCC(N)=O)NC(=O)[C@H](CC=1N=CNC=1)NC(=O)[C@H](CC=1N=CNC=1)NC(=O)[C@@H](NC(=O)[C@H](CCC(O)=O)NC(=O)[C@H](CC=1C=CC(O)=CC=1)NC(=O)CNC(=O)[C@H](CO)NC(=O)[C@H](CC(O)=O)NC(=O)[C@H](CC=1N=CNC=1)NC(=O)[C@H](CCCNC(N)=N)NC(=O)[C@H](CC=1C=CC=CC=1)NC(=O)[C@H](CCC(O)=O)NC(=O)[C@H](C)NC(=O)[C@@H](N)CC(O)=O)C(C)C)C(C)C)C1=CC=CC=C1 DZHSAHHDTRWUTF-SIQRNXPUSA-N 0.000 description 17
- 238000003384 imaging method Methods 0.000 description 17
- 235000018102 proteins Nutrition 0.000 description 17
- 210000001320 hippocampus Anatomy 0.000 description 16
- 238000001727 in vivo Methods 0.000 description 16
- 230000002018 overexpression Effects 0.000 description 16
- 230000007547 defect Effects 0.000 description 15
- MTVWFVDWRVYDOR-UHFFFAOYSA-N 3,4-Dihydroxyphenylglycol Chemical compound OCC(O)C1=CC=C(O)C(O)=C1 MTVWFVDWRVYDOR-UHFFFAOYSA-N 0.000 description 14
- 230000004941 influx Effects 0.000 description 14
- 238000002347 injection Methods 0.000 description 14
- 239000007924 injection Substances 0.000 description 14
- 230000000670 limiting effect Effects 0.000 description 14
- 239000003607 modifier Substances 0.000 description 14
- 239000011203 carbon fibre reinforced carbon Substances 0.000 description 13
- 230000009368 gene silencing by RNA Effects 0.000 description 13
- 230000035772 mutation Effects 0.000 description 13
- 230000001105 regulatory effect Effects 0.000 description 13
- 239000000243 solution Substances 0.000 description 13
- 230000000638 stimulation Effects 0.000 description 13
- 230000001225 therapeutic effect Effects 0.000 description 13
- 108091030071 RNAI Proteins 0.000 description 12
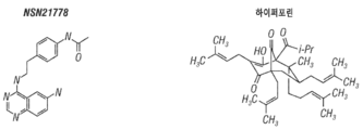
- IWBJJCOKGLUQIZ-HQKKAZOISA-N hyperforin Chemical compound OC1=C(CC=C(C)C)C(=O)[C@@]2(CC=C(C)C)C[C@H](CC=C(C)C)[C@](CCC=C(C)C)(C)[C@]1(C(=O)C(C)C)C2=O IWBJJCOKGLUQIZ-HQKKAZOISA-N 0.000 description 12
- 239000006166 lysate Substances 0.000 description 12
- 230000001404 mediated effect Effects 0.000 description 12
- 241000713666 Lentivirus Species 0.000 description 11
- 102000004094 Stromal Interaction Molecule 1 Human genes 0.000 description 11
- 108090000532 Stromal Interaction Molecule 1 Proteins 0.000 description 11
- 150000001336 alkenes Chemical class 0.000 description 11
- 150000001721 carbon Chemical group 0.000 description 11
- QOVWXXKVLJOKNW-UHFFFAOYSA-N hyperforin Natural products CC(C)C(=O)C12CC(CC=C(C)C)(CC(CC=C(C)C)C1CCC=C(C)C)C(=C(CC=C(C)C)C2=O)O QOVWXXKVLJOKNW-UHFFFAOYSA-N 0.000 description 11
- 239000003112 inhibitor Substances 0.000 description 11
- 230000004044 response Effects 0.000 description 11
- 241001465754 Metazoa Species 0.000 description 10
- 102000027549 TRPC Human genes 0.000 description 10
- 108060008648 TRPC Proteins 0.000 description 10
- YFHXZQPUBCBNIP-UHFFFAOYSA-N fura-2 Chemical compound CC1=CC=C(N(CC(O)=O)CC(O)=O)C(OCCOC=2C(=CC=3OC(=CC=3C=2)C=2OC(=CN=2)C(O)=O)N(CC(O)=O)CC(O)=O)=C1 YFHXZQPUBCBNIP-UHFFFAOYSA-N 0.000 description 10
- 229910052757 nitrogen Inorganic materials 0.000 description 10
- 239000013612 plasmid Substances 0.000 description 10
- 239000000651 prodrug Substances 0.000 description 10
- 229940002612 prodrug Drugs 0.000 description 10
- 230000000007 visual effect Effects 0.000 description 10
- 239000012190 activator Substances 0.000 description 9
- 125000001931 aliphatic group Chemical group 0.000 description 9
- 150000001413 amino acids Chemical class 0.000 description 9
- 239000012634 fragment Substances 0.000 description 9
- 230000006870 function Effects 0.000 description 9
- 238000004519 manufacturing process Methods 0.000 description 9
- IJGRMHOSHXDMSA-UHFFFAOYSA-N Atomic nitrogen Chemical compound N#N IJGRMHOSHXDMSA-UHFFFAOYSA-N 0.000 description 8
- FAPWRFPIFSIZLT-UHFFFAOYSA-M Sodium chloride Chemical compound [Na+].[Cl-] FAPWRFPIFSIZLT-UHFFFAOYSA-M 0.000 description 8
- 235000001014 amino acid Nutrition 0.000 description 8
- 125000003710 aryl alkyl group Chemical group 0.000 description 8
- ADEBPBSSDYVVLD-UHFFFAOYSA-N donepezil Chemical compound O=C1C=2C=C(OC)C(OC)=CC=2CC1CC(CC1)CCN1CC1=CC=CC=C1 ADEBPBSSDYVVLD-UHFFFAOYSA-N 0.000 description 8
- 229940079593 drug Drugs 0.000 description 8
- 210000002472 endoplasmic reticulum Anatomy 0.000 description 8
- 239000002609 medium Substances 0.000 description 8
- 238000010172 mouse model Methods 0.000 description 8
- 101150060735 orai1 gene Proteins 0.000 description 8
- 230000007170 pathology Effects 0.000 description 8
- HOOWCUZPEFNHDT-UHFFFAOYSA-N DHPG Natural products OC(=O)C(N)C1=CC(O)=CC(O)=C1 HOOWCUZPEFNHDT-UHFFFAOYSA-N 0.000 description 7
- 102000004190 Enzymes Human genes 0.000 description 7
- 108090000790 Enzymes Proteins 0.000 description 7
- OFOBLEOULBTSOW-UHFFFAOYSA-N Propanedioic acid Natural products OC(=O)CC(O)=O OFOBLEOULBTSOW-UHFFFAOYSA-N 0.000 description 7
- 102000005935 Stromal Interaction Molecule 2 Human genes 0.000 description 7
- 108010030731 Stromal Interaction Molecule 2 Proteins 0.000 description 7
- 238000006243 chemical reaction Methods 0.000 description 7
- 125000004122 cyclic group Chemical group 0.000 description 7
- 229940088598 enzyme Drugs 0.000 description 7
- 230000007246 mechanism Effects 0.000 description 7
- 230000001537 neural effect Effects 0.000 description 7
- 102000005962 receptors Human genes 0.000 description 7
- 108020003175 receptors Proteins 0.000 description 7
- 125000006413 ring segment Chemical group 0.000 description 7
- 238000012360 testing method Methods 0.000 description 7
- 239000003981 vehicle Substances 0.000 description 7
- GVNVAWHJIKLAGL-UHFFFAOYSA-N 2-(cyclohexen-1-yl)cyclohexan-1-one Chemical compound O=C1CCCCC1C1=CCCCC1 GVNVAWHJIKLAGL-UHFFFAOYSA-N 0.000 description 6
- 208000037259 Amyloid Plaque Diseases 0.000 description 6
- 102000004657 Calcium-Calmodulin-Dependent Protein Kinase Type 2 Human genes 0.000 description 6
- 108010003721 Calcium-Calmodulin-Dependent Protein Kinase Type 2 Proteins 0.000 description 6
- 101150065749 Churc1 gene Proteins 0.000 description 6
- OKKJLVBELUTLKV-UHFFFAOYSA-N Methanol Chemical compound OC OKKJLVBELUTLKV-UHFFFAOYSA-N 0.000 description 6
- 102100038239 Protein Churchill Human genes 0.000 description 6
- 239000002299 complementary DNA Substances 0.000 description 6
- 210000003520 dendritic spine Anatomy 0.000 description 6
- 125000001072 heteroaryl group Chemical group 0.000 description 6
- 238000001114 immunoprecipitation Methods 0.000 description 6
- 238000011534 incubation Methods 0.000 description 6
- 238000004895 liquid chromatography mass spectrometry Methods 0.000 description 6
- 239000000463 material Substances 0.000 description 6
- 239000012528 membrane Substances 0.000 description 6
- 108090000765 processed proteins & peptides Proteins 0.000 description 6
- 239000002904 solvent Substances 0.000 description 6
- 210000001519 tissue Anatomy 0.000 description 6
- VZCYOOQTPOCHFL-UHFFFAOYSA-N trans-butenedioic acid Natural products OC(=O)C=CC(O)=O VZCYOOQTPOCHFL-UHFFFAOYSA-N 0.000 description 6
- HBAQYPYDRFILMT-UHFFFAOYSA-N 8-[3-(1-cyclopropylpyrazol-4-yl)-1H-pyrazolo[4,3-d]pyrimidin-5-yl]-3-methyl-3,8-diazabicyclo[3.2.1]octan-2-one Chemical class C1(CC1)N1N=CC(=C1)C1=NNC2=C1N=C(N=C2)N1C2C(N(CC1CC2)C)=O HBAQYPYDRFILMT-UHFFFAOYSA-N 0.000 description 5
- 102000047174 Disks Large Homolog 4 Human genes 0.000 description 5
- 108700019745 Disks Large Homolog 4 Proteins 0.000 description 5
- 208000026139 Memory disease Diseases 0.000 description 5
- 229930040373 Paraformaldehyde Natural products 0.000 description 5
- 230000032683 aging Effects 0.000 description 5
- 230000008901 benefit Effects 0.000 description 5
- 210000000170 cell membrane Anatomy 0.000 description 5
- 230000008859 change Effects 0.000 description 5
- 101150069842 dlg4 gene Proteins 0.000 description 5
- 108010048367 enhanced green fluorescent protein Proteins 0.000 description 5
- DEFVIWRASFVYLL-UHFFFAOYSA-N ethylene glycol bis(2-aminoethyl)tetraacetic acid Chemical compound OC(=O)CN(CC(O)=O)CCOCCOCCN(CC(O)=O)CC(O)=O DEFVIWRASFVYLL-UHFFFAOYSA-N 0.000 description 5
- 238000007710 freezing Methods 0.000 description 5
- 230000008014 freezing Effects 0.000 description 5
- 150000002431 hydrogen Chemical class 0.000 description 5
- 230000007062 hydrolysis Effects 0.000 description 5
- 238000006460 hydrolysis reaction Methods 0.000 description 5
- VZCYOOQTPOCHFL-UPHRSURJSA-N maleic acid Chemical compound OC(=O)\C=C/C(O)=O VZCYOOQTPOCHFL-UPHRSURJSA-N 0.000 description 5
- 239000011976 maleic acid Substances 0.000 description 5
- 238000005259 measurement Methods 0.000 description 5
- 229920002866 paraformaldehyde Polymers 0.000 description 5
- 239000000126 substance Substances 0.000 description 5
- 239000006228 supernatant Substances 0.000 description 5
- 210000000225 synapse Anatomy 0.000 description 5
- JOXIMZWYDAKGHI-UHFFFAOYSA-N toluene-4-sulfonic acid Chemical compound CC1=CC=C(S(O)(=O)=O)C=C1 JOXIMZWYDAKGHI-UHFFFAOYSA-N 0.000 description 5
- 108091032973 (ribonucleotides)n+m Proteins 0.000 description 4
- QTBSBXVTEAMEQO-UHFFFAOYSA-N Acetic acid Chemical compound CC(O)=O QTBSBXVTEAMEQO-UHFFFAOYSA-N 0.000 description 4
- 238000010173 Alzheimer-disease mouse model Methods 0.000 description 4
- 208000000044 Amnesia Diseases 0.000 description 4
- 101100426589 Neurospora crassa (strain ATCC 24698 / 74-OR23-1A / CBS 708.71 / DSM 1257 / FGSC 987) trp-3 gene Proteins 0.000 description 4
- 102000049665 ORAI2 Human genes 0.000 description 4
- 108700027852 ORAI2 Proteins 0.000 description 4
- 241000283973 Oryctolagus cuniculus Species 0.000 description 4
- MUBZPKHOEPUJKR-UHFFFAOYSA-N Oxalic acid Chemical compound OC(=O)C(O)=O MUBZPKHOEPUJKR-UHFFFAOYSA-N 0.000 description 4
- 229930006000 Sucrose Natural products 0.000 description 4
- CZMRCDWAGMRECN-UGDNZRGBSA-N Sucrose Chemical compound O[C@H]1[C@H](O)[C@@H](CO)O[C@@]1(CO)O[C@@H]1[C@H](O)[C@@H](O)[C@H](O)[C@@H](CO)O1 CZMRCDWAGMRECN-UGDNZRGBSA-N 0.000 description 4
- 102000003629 TRPC3 Human genes 0.000 description 4
- 101150037542 Trpc3 gene Proteins 0.000 description 4
- 230000003213 activating effect Effects 0.000 description 4
- 239000000556 agonist Substances 0.000 description 4
- 238000013459 approach Methods 0.000 description 4
- 238000003556 assay Methods 0.000 description 4
- 239000011324 bead Substances 0.000 description 4
- 230000009286 beneficial effect Effects 0.000 description 4
- 125000003178 carboxy group Chemical group [H]OC(*)=O 0.000 description 4
- 238000003776 cleavage reaction Methods 0.000 description 4
- 230000001419 dependent effect Effects 0.000 description 4
- 238000005516 engineering process Methods 0.000 description 4
- 230000002964 excitative effect Effects 0.000 description 4
- 239000013613 expression plasmid Substances 0.000 description 4
- 238000000338 in vitro Methods 0.000 description 4
- 230000001965 increasing effect Effects 0.000 description 4
- 238000001802 infusion Methods 0.000 description 4
- 230000003993 interaction Effects 0.000 description 4
- 108020004999 messenger RNA Proteins 0.000 description 4
- BDAGIHXWWSANSR-UHFFFAOYSA-N methanoic acid Natural products OC=O BDAGIHXWWSANSR-UHFFFAOYSA-N 0.000 description 4
- 230000004048 modification Effects 0.000 description 4
- 238000012986 modification Methods 0.000 description 4
- 125000004433 nitrogen atom Chemical group N* 0.000 description 4
- JRZJOMJEPLMPRA-UHFFFAOYSA-N olefin Natural products CCCCCCCC=C JRZJOMJEPLMPRA-UHFFFAOYSA-N 0.000 description 4
- 150000002894 organic compounds Chemical class 0.000 description 4
- 238000004445 quantitative analysis Methods 0.000 description 4
- 230000009467 reduction Effects 0.000 description 4
- 230000002829 reductive effect Effects 0.000 description 4
- 238000011160 research Methods 0.000 description 4
- 229920006395 saturated elastomer Polymers 0.000 description 4
- 230000007017 scission Effects 0.000 description 4
- 239000011780 sodium chloride Substances 0.000 description 4
- 239000007787 solid Substances 0.000 description 4
- 239000000758 substrate Substances 0.000 description 4
- 239000005720 sucrose Substances 0.000 description 4
- 210000003568 synaptosome Anatomy 0.000 description 4
- 230000001988 toxicity Effects 0.000 description 4
- 231100000419 toxicity Toxicity 0.000 description 4
- 238000012800 visualization Methods 0.000 description 4
- XLYOFNOQVPJJNP-UHFFFAOYSA-N water Substances O XLYOFNOQVPJJNP-UHFFFAOYSA-N 0.000 description 4
- 108020004463 18S ribosomal RNA Proteins 0.000 description 3
- WEVYAHXRMPXWCK-UHFFFAOYSA-N Acetonitrile Chemical compound CC#N WEVYAHXRMPXWCK-UHFFFAOYSA-N 0.000 description 3
- 108010090849 Amyloid beta-Peptides Proteins 0.000 description 3
- 102000013455 Amyloid beta-Peptides Human genes 0.000 description 3
- 208000019901 Anxiety disease Diseases 0.000 description 3
- UHOVQNZJYSORNB-UHFFFAOYSA-N Benzene Chemical compound C1=CC=CC=C1 UHOVQNZJYSORNB-UHFFFAOYSA-N 0.000 description 3
- 101100043696 Drosophila melanogaster Stim gene Proteins 0.000 description 3
- LFQSCWFLJHTTHZ-UHFFFAOYSA-N Ethanol Chemical compound CCO LFQSCWFLJHTTHZ-UHFFFAOYSA-N 0.000 description 3
- WSFSSNUMVMOOMR-UHFFFAOYSA-N Formaldehyde Chemical compound O=C WSFSSNUMVMOOMR-UHFFFAOYSA-N 0.000 description 3
- 208000034826 Genetic Predisposition to Disease Diseases 0.000 description 3
- WQZGKKKJIJFFOK-GASJEMHNSA-N Glucose Natural products OC[C@H]1OC(O)[C@H](O)[C@@H](O)[C@@H]1O WQZGKKKJIJFFOK-GASJEMHNSA-N 0.000 description 3
- 241000282412 Homo Species 0.000 description 3
- 102000016193 Metabotropic glutamate receptors Human genes 0.000 description 3
- 108010010914 Metabotropic glutamate receptors Proteins 0.000 description 3
- AFVFQIVMOAPDHO-UHFFFAOYSA-N Methanesulfonic acid Chemical compound CS(O)(=O)=O AFVFQIVMOAPDHO-UHFFFAOYSA-N 0.000 description 3
- 229910019142 PO4 Inorganic materials 0.000 description 3
- XYFCBTPGUUZFHI-UHFFFAOYSA-N Phosphine Chemical compound P XYFCBTPGUUZFHI-UHFFFAOYSA-N 0.000 description 3
- KWYUFKZDYYNOTN-UHFFFAOYSA-M Potassium hydroxide Chemical compound [OH-].[K+] KWYUFKZDYYNOTN-UHFFFAOYSA-M 0.000 description 3
- 108020004459 Small interfering RNA Proteins 0.000 description 3
- HEMHJVSKTPXQMS-UHFFFAOYSA-M Sodium hydroxide Chemical compound [OH-].[Na+] HEMHJVSKTPXQMS-UHFFFAOYSA-M 0.000 description 3
- 102000003627 TRPC1 Human genes 0.000 description 3
- 101150017559 TRPC1 gene Proteins 0.000 description 3
- 206010043376 Tetanus Diseases 0.000 description 3
- YXFVVABEGXRONW-UHFFFAOYSA-N Toluene Chemical compound CC1=CC=CC=C1 YXFVVABEGXRONW-UHFFFAOYSA-N 0.000 description 3
- 241000700605 Viruses Species 0.000 description 3
- XJLXINKUBYWONI-DQQFMEOOSA-N [[(2r,3r,4r,5r)-5-(6-aminopurin-9-yl)-3-hydroxy-4-phosphonooxyoxolan-2-yl]methoxy-hydroxyphosphoryl] [(2s,3r,4s,5s)-5-(3-carbamoylpyridin-1-ium-1-yl)-3,4-dihydroxyoxolan-2-yl]methyl phosphate Chemical compound NC(=O)C1=CC=C[N+]([C@@H]2[C@H]([C@@H](O)[C@H](COP([O-])(=O)OP(O)(=O)OC[C@@H]3[C@H]([C@@H](OP(O)(O)=O)[C@@H](O3)N3C4=NC=NC(N)=C4N=C3)O)O2)O)=C1 XJLXINKUBYWONI-DQQFMEOOSA-N 0.000 description 3
- 238000009825 accumulation Methods 0.000 description 3
- 150000001335 aliphatic alkanes Chemical class 0.000 description 3
- 125000003545 alkoxy group Chemical group 0.000 description 3
- 150000004945 aromatic hydrocarbons Chemical class 0.000 description 3
- 230000003542 behavioural effect Effects 0.000 description 3
- 210000004369 blood Anatomy 0.000 description 3
- 239000008280 blood Substances 0.000 description 3
- 238000005119 centrifugation Methods 0.000 description 3
- 230000002490 cerebral effect Effects 0.000 description 3
- 210000000349 chromosome Anatomy 0.000 description 3
- 238000000749 co-immunoprecipitation Methods 0.000 description 3
- 238000010226 confocal imaging Methods 0.000 description 3
- 239000008121 dextrose Substances 0.000 description 3
- 239000003937 drug carrier Substances 0.000 description 3
- 150000002148 esters Chemical class 0.000 description 3
- 230000001747 exhibiting effect Effects 0.000 description 3
- 230000002518 glial effect Effects 0.000 description 3
- 230000001771 impaired effect Effects 0.000 description 3
- 230000002401 inhibitory effect Effects 0.000 description 3
- 230000003834 intracellular effect Effects 0.000 description 3
- SUMDYPCJJOFFON-UHFFFAOYSA-N isethionic acid Chemical compound OCCS(O)(=O)=O SUMDYPCJJOFFON-UHFFFAOYSA-N 0.000 description 3
- 230000007774 longterm Effects 0.000 description 3
- 239000012139 lysis buffer Substances 0.000 description 3
- 230000006984 memory degeneration Effects 0.000 description 3
- 208000023060 memory loss Diseases 0.000 description 3
- 230000002503 metabolic effect Effects 0.000 description 3
- 230000003287 optical effect Effects 0.000 description 3
- 230000010355 oscillation Effects 0.000 description 3
- 229910052760 oxygen Inorganic materials 0.000 description 3
- 239000008188 pellet Substances 0.000 description 3
- NBIIXXVUZAFLBC-UHFFFAOYSA-K phosphate Chemical compound [O-]P([O-])([O-])=O NBIIXXVUZAFLBC-UHFFFAOYSA-K 0.000 description 3
- 239000010452 phosphate Substances 0.000 description 3
- 230000001242 postsynaptic effect Effects 0.000 description 3
- 102000004196 processed proteins & peptides Human genes 0.000 description 3
- 239000011734 sodium Substances 0.000 description 3
- 210000001082 somatic cell Anatomy 0.000 description 3
- 238000006467 substitution reaction Methods 0.000 description 3
- 229910052717 sulfur Inorganic materials 0.000 description 3
- 230000003956 synaptic plasticity Effects 0.000 description 3
- 230000001052 transient effect Effects 0.000 description 3
- 238000001262 western blot Methods 0.000 description 3
- IAWXTSMHXFRLQR-UHFFFAOYSA-N 2,3-bis($l^{1}-oxidanyl)-7-nitroquinoxaline-6-carbonitrile Chemical compound O=C1C(=O)N=C2C=C(C#N)C([N+](=O)[O-])=CC2=N1 IAWXTSMHXFRLQR-UHFFFAOYSA-N 0.000 description 2
- GWHQHAUAXRMMOT-MERQFXBCSA-N 2,3-dihydroxybutanedioic acid;[3-[(1s)-1-(dimethylamino)ethyl]phenyl] n-ethyl-n-methylcarbamate Chemical compound OC(=O)C(O)C(O)C(O)=O.CCN(C)C(=O)OC1=CC=CC([C@H](C)N(C)C)=C1 GWHQHAUAXRMMOT-MERQFXBCSA-N 0.000 description 2
- WXTMDXOMEHJXQO-UHFFFAOYSA-N 2,5-dihydroxybenzoic acid Chemical compound OC(=O)C1=CC(O)=CC=C1O WXTMDXOMEHJXQO-UHFFFAOYSA-N 0.000 description 2
- HZAXFHJVJLSVMW-UHFFFAOYSA-N 2-Aminoethan-1-ol Chemical compound NCCO HZAXFHJVJLSVMW-UHFFFAOYSA-N 0.000 description 2
- JKMHFZQWWAIEOD-UHFFFAOYSA-N 2-[4-(2-hydroxyethyl)piperazin-1-yl]ethanesulfonic acid Chemical compound OCC[NH+]1CCN(CCS([O-])(=O)=O)CC1 JKMHFZQWWAIEOD-UHFFFAOYSA-N 0.000 description 2
- VYTVPRWAGRDIIR-UHFFFAOYSA-N 2-aminoethyl diphenyl borate Chemical compound C=1C=CC=CC=1OB(OCCN)OC1=CC=CC=C1 VYTVPRWAGRDIIR-UHFFFAOYSA-N 0.000 description 2
- UMCMPZBLKLEWAF-BCTGSCMUSA-N 3-[(3-cholamidopropyl)dimethylammonio]propane-1-sulfonate Chemical compound C([C@H]1C[C@H]2O)[C@H](O)CC[C@]1(C)[C@@H]1[C@@H]2[C@@H]2CC[C@H]([C@@H](CCC(=O)NCCC[N+](C)(C)CCCS([O-])(=O)=O)C)[C@@]2(C)[C@@H](O)C1 UMCMPZBLKLEWAF-BCTGSCMUSA-N 0.000 description 2
- XMIIGOLPHOKFCH-UHFFFAOYSA-N 3-phenylpropionic acid Chemical compound OC(=O)CCC1=CC=CC=C1 XMIIGOLPHOKFCH-UHFFFAOYSA-N 0.000 description 2
- OSWFIVFLDKOXQC-UHFFFAOYSA-N 4-(3-methoxyphenyl)aniline Chemical compound COC1=CC=CC(C=2C=CC(N)=CC=2)=C1 OSWFIVFLDKOXQC-UHFFFAOYSA-N 0.000 description 2
- 206010001497 Agitation Diseases 0.000 description 2
- 102100036597 Basement membrane-specific heparan sulfate proteoglycan core protein Human genes 0.000 description 2
- 101100283604 Caenorhabditis elegans pigk-1 gene Proteins 0.000 description 2
- KRKNYBCHXYNGOX-UHFFFAOYSA-K Citrate Chemical compound [O-]C(=O)CC(O)(CC([O-])=O)C([O-])=O KRKNYBCHXYNGOX-UHFFFAOYSA-K 0.000 description 2
- RGHNJXZEOKUKBD-SQOUGZDYSA-N D-gluconic acid Chemical compound OC[C@@H](O)[C@@H](O)[C@H](O)[C@@H](O)C(O)=O RGHNJXZEOKUKBD-SQOUGZDYSA-N 0.000 description 2
- 101000831205 Danio rerio Dynein axonemal assembly factor 11 Proteins 0.000 description 2
- 206010012289 Dementia Diseases 0.000 description 2
- FEWJPZIEWOKRBE-JCYAYHJZSA-N Dextrotartaric acid Chemical compound OC(=O)[C@H](O)[C@@H](O)C(O)=O FEWJPZIEWOKRBE-JCYAYHJZSA-N 0.000 description 2
- 201000010374 Down Syndrome Diseases 0.000 description 2
- 102100024282 Dynein axonemal assembly factor 11 Human genes 0.000 description 2
- KCXVZYZYPLLWCC-UHFFFAOYSA-N EDTA Chemical compound OC(=O)CN(CC(O)=O)CCN(CC(O)=O)CC(O)=O KCXVZYZYPLLWCC-UHFFFAOYSA-N 0.000 description 2
- 102100031181 Glyceraldehyde-3-phosphate dehydrogenase Human genes 0.000 description 2
- AEMRFAOFKBGASW-UHFFFAOYSA-N Glycolic acid Chemical compound OCC(O)=O AEMRFAOFKBGASW-UHFFFAOYSA-N 0.000 description 2
- 239000007995 HEPES buffer Substances 0.000 description 2
- 241001559542 Hippocampus hippocampus Species 0.000 description 2
- 101000831210 Homo sapiens Dynein axonemal assembly factor 11 Proteins 0.000 description 2
- VEXZGXHMUGYJMC-UHFFFAOYSA-N Hydrochloric acid Chemical compound Cl VEXZGXHMUGYJMC-UHFFFAOYSA-N 0.000 description 2
- 235000017309 Hypericum perforatum Nutrition 0.000 description 2
- 244000141009 Hypericum perforatum Species 0.000 description 2
- 102000004310 Ion Channels Human genes 0.000 description 2
- 108090000862 Ion Channels Proteins 0.000 description 2
- WHUUTDBJXJRKMK-VKHMYHEASA-N L-glutamic acid Chemical compound OC(=O)[C@@H](N)CCC(O)=O WHUUTDBJXJRKMK-VKHMYHEASA-N 0.000 description 2
- 235000007688 Lycopersicon esculentum Nutrition 0.000 description 2
- KDXKERNSBIXSRK-UHFFFAOYSA-N Lysine Natural products NCCCCC(N)C(O)=O KDXKERNSBIXSRK-UHFFFAOYSA-N 0.000 description 2
- 239000004472 Lysine Substances 0.000 description 2
- 241000699660 Mus musculus Species 0.000 description 2
- 101150066814 Orai3 gene Proteins 0.000 description 2
- 108091005804 Peptidases Proteins 0.000 description 2
- NBIIXXVUZAFLBC-UHFFFAOYSA-N Phosphoric acid Chemical compound OP(O)(O)=O NBIIXXVUZAFLBC-UHFFFAOYSA-N 0.000 description 2
- 102000012412 Presenilin-1 Human genes 0.000 description 2
- 108010036933 Presenilin-1 Proteins 0.000 description 2
- 239000004365 Protease Substances 0.000 description 2
- JUJWROOIHBZHMG-UHFFFAOYSA-N Pyridine Chemical compound C1=CC=NC=C1 JUJWROOIHBZHMG-UHFFFAOYSA-N 0.000 description 2
- LCTONWCANYUPML-UHFFFAOYSA-N Pyruvic acid Chemical compound CC(=O)C(O)=O LCTONWCANYUPML-UHFFFAOYSA-N 0.000 description 2
- SMWDFEZZVXVKRB-UHFFFAOYSA-N Quinoline Chemical compound N1=CC=CC2=CC=CC=C21 SMWDFEZZVXVKRB-UHFFFAOYSA-N 0.000 description 2
- 102100037486 Reverse transcriptase/ribonuclease H Human genes 0.000 description 2
- 101100426590 Schizosaccharomyces pombe (strain 972 / ATCC 24843) trp2 gene Proteins 0.000 description 2
- CDBYLPFSWZWCQE-UHFFFAOYSA-L Sodium Carbonate Chemical compound [Na+].[Na+].[O-]C([O-])=O CDBYLPFSWZWCQE-UHFFFAOYSA-L 0.000 description 2
- 240000003768 Solanum lycopersicum Species 0.000 description 2
- NINIDFKCEFEMDL-UHFFFAOYSA-N Sulfur Chemical compound [S] NINIDFKCEFEMDL-UHFFFAOYSA-N 0.000 description 2
- QAOWNCQODCNURD-UHFFFAOYSA-N Sulfuric acid Chemical compound OS(O)(=O)=O QAOWNCQODCNURD-UHFFFAOYSA-N 0.000 description 2
- 239000002253 acid Substances 0.000 description 2
- 230000009471 action Effects 0.000 description 2
- 125000002015 acyclic group Chemical group 0.000 description 2
- 108060000200 adenylate cyclase Proteins 0.000 description 2
- 102000030621 adenylate cyclase Human genes 0.000 description 2
- 150000007824 aliphatic compounds Chemical class 0.000 description 2
- 150000001345 alkine derivatives Chemical class 0.000 description 2
- 125000001118 alkylidene group Chemical group 0.000 description 2
- 230000007792 alzheimer disease pathology Effects 0.000 description 2
- 150000001450 anions Chemical class 0.000 description 2
- 230000036506 anxiety Effects 0.000 description 2
- 229940039856 aricept Drugs 0.000 description 2
- 125000001769 aryl amino group Chemical group 0.000 description 2
- QVGXLLKOCUKJST-UHFFFAOYSA-N atomic oxygen Chemical compound [O] QVGXLLKOCUKJST-UHFFFAOYSA-N 0.000 description 2
- WPYMKLBDIGXBTP-UHFFFAOYSA-N benzoic acid Chemical compound OC(=O)C1=CC=CC=C1 WPYMKLBDIGXBTP-UHFFFAOYSA-N 0.000 description 2
- 125000001797 benzyl group Chemical group [H]C1=C([H])C([H])=C(C([H])=C1[H])C([H])([H])* 0.000 description 2
- 210000005013 brain tissue Anatomy 0.000 description 2
- 239000001506 calcium phosphate Substances 0.000 description 2
- 229910000389 calcium phosphate Inorganic materials 0.000 description 2
- 235000011010 calcium phosphates Nutrition 0.000 description 2
- CREMABGTGYGIQB-UHFFFAOYSA-N carbon carbon Chemical compound C.C CREMABGTGYGIQB-UHFFFAOYSA-N 0.000 description 2
- 125000002915 carbonyl group Chemical group [*:2]C([*:1])=O 0.000 description 2
- 150000001768 cations Chemical class 0.000 description 2
- 230000003915 cell function Effects 0.000 description 2
- 230000005754 cellular signaling Effects 0.000 description 2
- 230000001149 cognitive effect Effects 0.000 description 2
- IQFVPQOLBLOTPF-HKXUKFGYSA-L congo red Chemical compound [Na+].[Na+].C1=CC=CC2=C(N)C(/N=N/C3=CC=C(C=C3)C3=CC=C(C=C3)/N=N/C3=C(C4=CC=CC=C4C(=C3)S([O-])(=O)=O)N)=CC(S([O-])(=O)=O)=C21 IQFVPQOLBLOTPF-HKXUKFGYSA-L 0.000 description 2
- 239000000470 constituent Substances 0.000 description 2
- 230000009089 cytolysis Effects 0.000 description 2
- 230000001086 cytosolic effect Effects 0.000 description 2
- 230000003247 decreasing effect Effects 0.000 description 2
- 210000001787 dendrite Anatomy 0.000 description 2
- 238000013461 design Methods 0.000 description 2
- 238000001514 detection method Methods 0.000 description 2
- 238000010790 dilution Methods 0.000 description 2
- 239000012895 dilution Substances 0.000 description 2
- ZUOUZKKEUPVFJK-UHFFFAOYSA-N diphenyl Chemical compound C1=CC=CC=C1C1=CC=CC=C1 ZUOUZKKEUPVFJK-UHFFFAOYSA-N 0.000 description 2
- 238000002224 dissection Methods 0.000 description 2
- 229960003530 donepezil Drugs 0.000 description 2
- VYFYYTLLBUKUHU-UHFFFAOYSA-N dopamine Chemical compound NCCC1=CC=C(O)C(O)=C1 VYFYYTLLBUKUHU-UHFFFAOYSA-N 0.000 description 2
- 230000003828 downregulation Effects 0.000 description 2
- 208000015756 familial Alzheimer disease Diseases 0.000 description 2
- 125000003709 fluoroalkyl group Chemical group 0.000 description 2
- 201000005206 focal segmental glomerulosclerosis Diseases 0.000 description 2
- 231100000854 focal segmental glomerulosclerosis Toxicity 0.000 description 2
- 235000019253 formic acid Nutrition 0.000 description 2
- 238000009472 formulation Methods 0.000 description 2
- 229930195712 glutamate Natural products 0.000 description 2
- 108020004445 glyceraldehyde-3-phosphate dehydrogenase Proteins 0.000 description 2
- 125000001188 haloalkyl group Chemical group 0.000 description 2
- 230000036541 health Effects 0.000 description 2
- 150000002390 heteroarenes Chemical class 0.000 description 2
- 230000002209 hydrophobic effect Effects 0.000 description 2
- 150000002440 hydroxy compounds Chemical class 0.000 description 2
- 125000002883 imidazolyl group Chemical group 0.000 description 2
- 238000011532 immunohistochemical staining Methods 0.000 description 2
- 230000006698 induction Effects 0.000 description 2
- 230000005764 inhibitory process Effects 0.000 description 2
- 150000007529 inorganic bases Chemical class 0.000 description 2
- JVTAAEKCZFNVCJ-UHFFFAOYSA-N lactic acid Chemical compound CC(O)C(O)=O JVTAAEKCZFNVCJ-UHFFFAOYSA-N 0.000 description 2
- 239000007788 liquid Substances 0.000 description 2
- 210000004185 liver Anatomy 0.000 description 2
- 238000012423 maintenance Methods 0.000 description 2
- 230000010534 mechanism of action Effects 0.000 description 2
- 206010027175 memory impairment Diseases 0.000 description 2
- 230000004060 metabolic process Effects 0.000 description 2
- 229910052751 metal Inorganic materials 0.000 description 2
- 239000002184 metal Substances 0.000 description 2
- 244000005700 microbiome Species 0.000 description 2
- TXXHDPDFNKHHGW-UHFFFAOYSA-N muconic acid Chemical compound OC(=O)C=CC=CC(O)=O TXXHDPDFNKHHGW-UHFFFAOYSA-N 0.000 description 2
- 230000004118 muscle contraction Effects 0.000 description 2
- 210000004498 neuroglial cell Anatomy 0.000 description 2
- 230000007135 neurotoxicity Effects 0.000 description 2
- 229930027945 nicotinamide-adenine dinucleotide Natural products 0.000 description 2
- HYIMSNHJOBLJNT-UHFFFAOYSA-N nifedipine Chemical compound COC(=O)C1=C(C)NC(C)=C(C(=O)OC)C1C1=CC=CC=C1[N+]([O-])=O HYIMSNHJOBLJNT-UHFFFAOYSA-N 0.000 description 2
- 229960001597 nifedipine Drugs 0.000 description 2
- 125000006574 non-aromatic ring group Chemical group 0.000 description 2
- 238000006384 oligomerization reaction Methods 0.000 description 2
- 150000007524 organic acids Chemical class 0.000 description 2
- 150000007530 organic bases Chemical class 0.000 description 2
- 239000001301 oxygen Substances 0.000 description 2
- 230000035515 penetration Effects 0.000 description 2
- 239000000137 peptide hydrolase inhibitor Substances 0.000 description 2
- 230000035699 permeability Effects 0.000 description 2
- 230000000144 pharmacologic effect Effects 0.000 description 2
- 230000004962 physiological condition Effects 0.000 description 2
- 230000035790 physiological processes and functions Effects 0.000 description 2
- 238000011533 pre-incubation Methods 0.000 description 2
- 239000003755 preservative agent Substances 0.000 description 2
- 230000008569 process Effects 0.000 description 2
- 238000012545 processing Methods 0.000 description 2
- 210000001176 projection neuron Anatomy 0.000 description 2
- 230000001737 promoting effect Effects 0.000 description 2
- URKOMYMAXPYINW-UHFFFAOYSA-N quetiapine Chemical compound C1CN(CCOCCO)CCN1C1=NC2=CC=CC=C2SC2=CC=CC=C12 URKOMYMAXPYINW-UHFFFAOYSA-N 0.000 description 2
- 229960004431 quetiapine Drugs 0.000 description 2
- 230000008929 regeneration Effects 0.000 description 2
- 238000011069 regeneration method Methods 0.000 description 2
- 230000002441 reversible effect Effects 0.000 description 2
- YGSDEFSMJLZEOE-UHFFFAOYSA-N salicylic acid Chemical compound OC(=O)C1=CC=CC=C1O YGSDEFSMJLZEOE-UHFFFAOYSA-N 0.000 description 2
- MEZLKOACVSPNER-GFCCVEGCSA-N selegiline Chemical compound C#CCN(C)[C@H](C)CC1=CC=CC=C1 MEZLKOACVSPNER-GFCCVEGCSA-N 0.000 description 2
- 229960003946 selegiline Drugs 0.000 description 2
- QZAYGJVTTNCVMB-UHFFFAOYSA-N serotonin Chemical compound C1=C(O)C=C2C(CCN)=CNC2=C1 QZAYGJVTTNCVMB-UHFFFAOYSA-N 0.000 description 2
- 230000011664 signaling Effects 0.000 description 2
- 238000002415 sodium dodecyl sulfate polyacrylamide gel electrophoresis Methods 0.000 description 2
- 239000012453 solvate Substances 0.000 description 2
- 230000006886 spatial memory Effects 0.000 description 2
- 241000894007 species Species 0.000 description 2
- 238000007920 subcutaneous administration Methods 0.000 description 2
- 239000011593 sulfur Substances 0.000 description 2
- 125000004434 sulfur atom Chemical group 0.000 description 2
- 230000008093 supporting effect Effects 0.000 description 2
- 230000007470 synaptic degeneration Effects 0.000 description 2
- 125000000999 tert-butyl group Chemical group [H]C([H])([H])C(*)(C([H])([H])[H])C([H])([H])[H] 0.000 description 2
- 210000001103 thalamus Anatomy 0.000 description 2
- 238000012549 training Methods 0.000 description 2
- 238000011830 transgenic mouse model Methods 0.000 description 2
- QORWJWZARLRLPR-UHFFFAOYSA-H tricalcium bis(phosphate) Chemical compound [Ca+2].[Ca+2].[Ca+2].[O-]P([O-])([O-])=O.[O-]P([O-])([O-])=O QORWJWZARLRLPR-UHFFFAOYSA-H 0.000 description 2
- LENZDBCJOHFCAS-UHFFFAOYSA-N tris Chemical compound OCC(N)(CO)CO LENZDBCJOHFCAS-UHFFFAOYSA-N 0.000 description 2
- 101150079396 trpC2 gene Proteins 0.000 description 2
- 125000000391 vinyl group Chemical group [H]C([*])=C([H])[H] 0.000 description 2
- 230000004580 weight loss Effects 0.000 description 2
- SFLSHLFXELFNJZ-QMMMGPOBSA-N (-)-norepinephrine Chemical compound NC[C@H](O)C1=CC=C(O)C(O)=C1 SFLSHLFXELFNJZ-QMMMGPOBSA-N 0.000 description 1
- QBYIENPQHBMVBV-HFEGYEGKSA-N (2R)-2-hydroxy-2-phenylacetic acid Chemical compound O[C@@H](C(O)=O)c1ccccc1.O[C@@H](C(O)=O)c1ccccc1 QBYIENPQHBMVBV-HFEGYEGKSA-N 0.000 description 1
- AAWZDTNXLSGCEK-LNVDRNJUSA-N (3r,5r)-1,3,4,5-tetrahydroxycyclohexane-1-carboxylic acid Chemical compound O[C@@H]1CC(O)(C(O)=O)C[C@@H](O)C1O AAWZDTNXLSGCEK-LNVDRNJUSA-N 0.000 description 1
- INJWRVWKJFJRFO-SCRZZQONSA-N (3z,3r)-n-methoxy-1-azabicyclo[2.2.2]octane-3-carboximidoyl cyanide;hydrochloride Chemical compound Cl.C1CC2[C@@H](C(/C#N)=N/OC)CN1CC2 INJWRVWKJFJRFO-SCRZZQONSA-N 0.000 description 1
- PPDBOQMNKNNODG-NTEUORMPSA-N (5E)-5-(4-chlorobenzylidene)-2,2-dimethyl-1-(1,2,4-triazol-1-ylmethyl)cyclopentanol Chemical compound C1=NC=NN1CC1(O)C(C)(C)CC\C1=C/C1=CC=C(Cl)C=C1 PPDBOQMNKNNODG-NTEUORMPSA-N 0.000 description 1
- 229930182837 (R)-adrenaline Natural products 0.000 description 1
- UCTWMZQNUQWSLP-VIFPVBQESA-N (R)-adrenaline Chemical compound CNC[C@H](O)C1=CC=C(O)C(O)=C1 UCTWMZQNUQWSLP-VIFPVBQESA-N 0.000 description 1
- MIOPJNTWMNEORI-GMSGAONNSA-N (S)-camphorsulfonic acid Chemical compound C1C[C@@]2(CS(O)(=O)=O)C(=O)C[C@@H]1C2(C)C MIOPJNTWMNEORI-GMSGAONNSA-N 0.000 description 1
- BJEPYKJPYRNKOW-REOHCLBHSA-N (S)-malic acid Chemical compound OC(=O)[C@@H](O)CC(O)=O BJEPYKJPYRNKOW-REOHCLBHSA-N 0.000 description 1
- YGTUPRIZNBMOFV-UHFFFAOYSA-N 2-(4-hydroxybenzoyl)benzoic acid Chemical compound OC(=O)C1=CC=CC=C1C(=O)C1=CC=C(O)C=C1 YGTUPRIZNBMOFV-UHFFFAOYSA-N 0.000 description 1
- XMGJGSKRRWXOIF-UHFFFAOYSA-N 2-(azepan-1-yl)ethyl 2-cyclohexyl-2-thiophen-3-ylacetate;2-hydroxypropane-1,2,3-tricarboxylic acid Chemical compound OC(=O)CC(O)(C(O)=O)CC(O)=O.C1CCCCC1C(C1=CSC=C1)C(=O)OCCN1CCCCCC1 XMGJGSKRRWXOIF-UHFFFAOYSA-N 0.000 description 1
- SCVJRXQHFJXZFZ-KVQBGUIXSA-N 2-amino-9-[(2r,4s,5r)-4-hydroxy-5-(hydroxymethyl)oxolan-2-yl]-3h-purine-6-thione Chemical compound C1=2NC(N)=NC(=S)C=2N=CN1[C@H]1C[C@H](O)[C@@H](CO)O1 SCVJRXQHFJXZFZ-KVQBGUIXSA-N 0.000 description 1
- UPHOPMSGKZNELG-UHFFFAOYSA-N 2-hydroxynaphthalene-1-carboxylic acid Chemical compound C1=CC=C2C(C(=O)O)=C(O)C=CC2=C1 UPHOPMSGKZNELG-UHFFFAOYSA-N 0.000 description 1
- 125000000094 2-phenylethyl group Chemical group [H]C1=C([H])C([H])=C(C([H])=C1[H])C([H])([H])C([H])([H])* 0.000 description 1
- 125000003903 2-propenyl group Chemical group [H]C([*])([H])C([H])=C([H])[H] 0.000 description 1
- BMYNFMYTOJXKLE-UHFFFAOYSA-N 3-azaniumyl-2-hydroxypropanoate Chemical compound NCC(O)C(O)=O BMYNFMYTOJXKLE-UHFFFAOYSA-N 0.000 description 1
- FWMNVWWHGCHHJJ-SKKKGAJSSA-N 4-amino-1-[(2r)-6-amino-2-[[(2r)-2-[[(2r)-2-[[(2r)-2-amino-3-phenylpropanoyl]amino]-3-phenylpropanoyl]amino]-4-methylpentanoyl]amino]hexanoyl]piperidine-4-carboxylic acid Chemical compound C([C@H](C(=O)N[C@H](CC(C)C)C(=O)N[C@H](CCCCN)C(=O)N1CCC(N)(CC1)C(O)=O)NC(=O)[C@H](N)CC=1C=CC=CC=1)C1=CC=CC=C1 FWMNVWWHGCHHJJ-SKKKGAJSSA-N 0.000 description 1
- RJWBTWIBUIGANW-UHFFFAOYSA-N 4-chlorobenzenesulfonic acid Chemical compound OS(=O)(=O)C1=CC=C(Cl)C=C1 RJWBTWIBUIGANW-UHFFFAOYSA-N 0.000 description 1
- AWQSAIIDOMEEOD-UHFFFAOYSA-N 5,5-Dimethyl-4-(3-oxobutyl)dihydro-2(3H)-furanone Chemical compound CC(=O)CCC1CC(=O)OC1(C)C AWQSAIIDOMEEOD-UHFFFAOYSA-N 0.000 description 1
- 102100031126 6-phosphogluconolactonase Human genes 0.000 description 1
- 108010029731 6-phosphogluconolactonase Proteins 0.000 description 1
- 208000024667 ABeta amyloidosis, Dutch type Diseases 0.000 description 1
- 229940121819 ATPase inhibitor Drugs 0.000 description 1
- QTBSBXVTEAMEQO-UHFFFAOYSA-M Acetate Chemical compound CC([O-])=O QTBSBXVTEAMEQO-UHFFFAOYSA-M 0.000 description 1
- 102100033639 Acetylcholinesterase Human genes 0.000 description 1
- 108010022752 Acetylcholinesterase Proteins 0.000 description 1
- 235000008318 Agaricus arvensis Nutrition 0.000 description 1
- 229920000936 Agarose Polymers 0.000 description 1
- 239000012103 Alexa Fluor 488 Substances 0.000 description 1
- 208000022099 Alzheimer disease 2 Diseases 0.000 description 1
- 102000002659 Amyloid Precursor Protein Secretases Human genes 0.000 description 1
- 108010043324 Amyloid Precursor Protein Secretases Proteins 0.000 description 1
- 102000001381 Arachidonate 5-Lipoxygenase Human genes 0.000 description 1
- 108010093579 Arachidonate 5-lipoxygenase Proteins 0.000 description 1
- 241001120493 Arene Species 0.000 description 1
- 238000012935 Averaging Methods 0.000 description 1
- 230000007082 Aβ accumulation Effects 0.000 description 1
- 239000005711 Benzoic acid Substances 0.000 description 1
- 241000283690 Bos taurus Species 0.000 description 1
- 102100028372 COP9 signalosome complex subunit 6 Human genes 0.000 description 1
- OYPRJOBELJOOCE-UHFFFAOYSA-N Calcium Chemical compound [Ca] OYPRJOBELJOOCE-UHFFFAOYSA-N 0.000 description 1
- 102000003922 Calcium Channels Human genes 0.000 description 1
- 108090000312 Calcium Channels Proteins 0.000 description 1
- 241000283707 Capra Species 0.000 description 1
- WWZKQHOCKIZLMA-UHFFFAOYSA-N Caprylic acid Natural products CCCCCCCC(O)=O WWZKQHOCKIZLMA-UHFFFAOYSA-N 0.000 description 1
- 241000700199 Cavia porcellus Species 0.000 description 1
- 241000282693 Cercopithecidae Species 0.000 description 1
- 206010008111 Cerebral haemorrhage Diseases 0.000 description 1
- 101000936911 Chionoecetes opilio Sarcoplasmic/endoplasmic reticulum calcium ATPase Proteins 0.000 description 1
- 108091026890 Coding region Proteins 0.000 description 1
- 206010010099 Combined immunodeficiency Diseases 0.000 description 1
- AAWZDTNXLSGCEK-UHFFFAOYSA-N Cordycepinsaeure Natural products OC1CC(O)(C(O)=O)CC(O)C1O AAWZDTNXLSGCEK-UHFFFAOYSA-N 0.000 description 1
- 102000004127 Cytokines Human genes 0.000 description 1
- 108090000695 Cytokines Proteins 0.000 description 1
- NBSCHQHZLSJFNQ-GASJEMHNSA-N D-Glucose 6-phosphate Chemical compound OC1O[C@H](COP(O)(O)=O)[C@@H](O)[C@H](O)[C@H]1O NBSCHQHZLSJFNQ-GASJEMHNSA-N 0.000 description 1
- RGHNJXZEOKUKBD-UHFFFAOYSA-N D-gluconic acid Natural products OCC(O)C(O)C(O)C(O)C(O)=O RGHNJXZEOKUKBD-UHFFFAOYSA-N 0.000 description 1
- 102000007260 Deoxyribonuclease I Human genes 0.000 description 1
- 108010008532 Deoxyribonuclease I Proteins 0.000 description 1
- YZCKVEUIGOORGS-OUBTZVSYSA-N Deuterium Chemical compound [2H] YZCKVEUIGOORGS-OUBTZVSYSA-N 0.000 description 1
- 101710204837 Envelope small membrane protein Proteins 0.000 description 1
- 108700024394 Exon Proteins 0.000 description 1
- 206010016275 Fear Diseases 0.000 description 1
- 241000282326 Felis catus Species 0.000 description 1
- VZCYOOQTPOCHFL-OWOJBTEDSA-N Fumaric acid Chemical compound OC(=O)\C=C\C(O)=O VZCYOOQTPOCHFL-OWOJBTEDSA-N 0.000 description 1
- 208000003098 Ganglion Cysts Diseases 0.000 description 1
- VFRROHXSMXFLSN-UHFFFAOYSA-N Glc6P Natural products OP(=O)(O)OCC(O)C(O)C(O)C(O)C=O VFRROHXSMXFLSN-UHFFFAOYSA-N 0.000 description 1
- 208000032612 Glial tumor Diseases 0.000 description 1
- 206010018338 Glioma Diseases 0.000 description 1
- 108010018962 Glucosephosphate Dehydrogenase Proteins 0.000 description 1
- WHUUTDBJXJRKMK-UHFFFAOYSA-N Glutamic acid Natural products OC(=O)C(N)CCC(O)=O WHUUTDBJXJRKMK-UHFFFAOYSA-N 0.000 description 1
- SXRSQZLOMIGNAQ-UHFFFAOYSA-N Glutaraldehyde Chemical compound O=CCCCC=O SXRSQZLOMIGNAQ-UHFFFAOYSA-N 0.000 description 1
- 102100035970 Growth/differentiation factor 9 Human genes 0.000 description 1
- HVLSXIKZNLPZJJ-TXZCQADKSA-N HA peptide Chemical compound C([C@@H](C(=O)N[C@@H](CC(O)=O)C(=O)N[C@@H](C(C)C)C(=O)N1[C@@H](CCC1)C(=O)N[C@@H](CC(O)=O)C(=O)N[C@@H](CC=1C=CC(O)=CC=1)C(=O)N[C@@H](C)C(O)=O)NC(=O)[C@H]1N(CCC1)C(=O)[C@@H](N)CC=1C=CC(O)=CC=1)C1=CC=C(O)C=C1 HVLSXIKZNLPZJJ-TXZCQADKSA-N 0.000 description 1
- 206010019196 Head injury Diseases 0.000 description 1
- 102100023696 Histone-lysine N-methyltransferase SETDB1 Human genes 0.000 description 1
- 101000860047 Homo sapiens COP9 signalosome complex subunit 6 Proteins 0.000 description 1
- 101001075110 Homo sapiens Growth/differentiation factor 9 Proteins 0.000 description 1
- 101000684609 Homo sapiens Histone-lysine N-methyltransferase SETDB1 Proteins 0.000 description 1
- 101001033754 Homo sapiens Mediator of RNA polymerase II transcription subunit 31 Proteins 0.000 description 1
- 101000659522 Homo sapiens Protein unc-119 homolog A Proteins 0.000 description 1
- 101000846110 Homo sapiens Short transient receptor potential channel 6 Proteins 0.000 description 1
- 101001022129 Homo sapiens Tyrosine-protein kinase Fyn Proteins 0.000 description 1
- JVTAAEKCZFNVCJ-UHFFFAOYSA-M Lactate Chemical compound CC(O)C([O-])=O JVTAAEKCZFNVCJ-UHFFFAOYSA-M 0.000 description 1
- 102000003820 Lipoxygenases Human genes 0.000 description 1
- 108090000128 Lipoxygenases Proteins 0.000 description 1
- OFOBLEOULBTSOW-UHFFFAOYSA-L Malonate Chemical compound [O-]C(=O)CC([O-])=O OFOBLEOULBTSOW-UHFFFAOYSA-L 0.000 description 1
- 102100039122 Mediator of RNA polymerase II transcription subunit 31 Human genes 0.000 description 1
- 102000018697 Membrane Proteins Human genes 0.000 description 1
- 108010052285 Membrane Proteins Proteins 0.000 description 1
- 102000005741 Metalloproteases Human genes 0.000 description 1
- 108010006035 Metalloproteases Proteins 0.000 description 1
- TXXHDPDFNKHHGW-CCAGOZQPSA-N Muconic acid Natural products OC(=O)\C=C/C=C\C(O)=O TXXHDPDFNKHHGW-CCAGOZQPSA-N 0.000 description 1
- 101100406506 Mus musculus Orai2 gene Proteins 0.000 description 1
- MBBZMMPHUWSWHV-BDVNFPICSA-N N-methylglucamine Chemical compound CNC[C@H](O)[C@@H](O)[C@H](O)[C@H](O)CO MBBZMMPHUWSWHV-BDVNFPICSA-N 0.000 description 1
- 206010028980 Neoplasm Diseases 0.000 description 1
- 206010029350 Neurotoxicity Diseases 0.000 description 1
- GRYLNZFGIOXLOG-UHFFFAOYSA-N Nitric acid Chemical compound O[N+]([O-])=O GRYLNZFGIOXLOG-UHFFFAOYSA-N 0.000 description 1
- JCXJVPUVTGWSNB-UHFFFAOYSA-N Nitrogen dioxide Chemical compound O=[N]=O JCXJVPUVTGWSNB-UHFFFAOYSA-N 0.000 description 1
- 101150002636 ORAI2 gene Proteins 0.000 description 1
- 241001494479 Pecora Species 0.000 description 1
- 241000009328 Perro Species 0.000 description 1
- 206010034719 Personality change Diseases 0.000 description 1
- OAICVXFJPJFONN-UHFFFAOYSA-N Phosphorus Chemical compound [P] OAICVXFJPJFONN-UHFFFAOYSA-N 0.000 description 1
- PIJVFDBKTWXHHD-UHFFFAOYSA-N Physostigmine Natural products C12=CC(OC(=O)NC)=CC=C2N(C)C2C1(C)CCN2C PIJVFDBKTWXHHD-UHFFFAOYSA-N 0.000 description 1
- 229910052777 Praseodymium Inorganic materials 0.000 description 1
- 102100022033 Presenilin-1 Human genes 0.000 description 1
- 102000015499 Presenilins Human genes 0.000 description 1
- 108010050254 Presenilins Proteins 0.000 description 1
- 241000288906 Primates Species 0.000 description 1
- XBDQKXXYIPTUBI-UHFFFAOYSA-M Propionate Chemical compound CCC([O-])=O XBDQKXXYIPTUBI-UHFFFAOYSA-M 0.000 description 1
- 229940124158 Protease/peptidase inhibitor Drugs 0.000 description 1
- 102100036228 Protein unc-119 homolog A Human genes 0.000 description 1
- AAWZDTNXLSGCEK-ZHQZDSKASA-N Quinic acid Natural products O[C@H]1CC(O)(C(O)=O)C[C@H](O)C1O AAWZDTNXLSGCEK-ZHQZDSKASA-N 0.000 description 1
- IWYDHOAUDWTVEP-UHFFFAOYSA-N R-2-phenyl-2-hydroxyacetic acid Natural products OC(=O)C(O)C1=CC=CC=C1 IWYDHOAUDWTVEP-UHFFFAOYSA-N 0.000 description 1
- 238000012228 RNA interference-mediated gene silencing Methods 0.000 description 1
- 238000011529 RT qPCR Methods 0.000 description 1
- 241000700159 Rattus Species 0.000 description 1
- 102000007056 Recombinant Fusion Proteins Human genes 0.000 description 1
- 108010008281 Recombinant Fusion Proteins Proteins 0.000 description 1
- 101710088839 Replication initiation protein Proteins 0.000 description 1
- 101100100680 Schizosaccharomyces pombe (strain 972 / ATCC 24843) trp4 gene Proteins 0.000 description 1
- BUGBHKTXTAQXES-UHFFFAOYSA-N Selenium Chemical compound [Se] BUGBHKTXTAQXES-UHFFFAOYSA-N 0.000 description 1
- 206010039966 Senile dementia Diseases 0.000 description 1
- 235000021355 Stearic acid Nutrition 0.000 description 1
- KDYFGRWQOYBRFD-UHFFFAOYSA-N Succinic acid Natural products OC(=O)CCC(O)=O KDYFGRWQOYBRFD-UHFFFAOYSA-N 0.000 description 1
- 208000005400 Synovial Cyst Diseases 0.000 description 1
- 210000001744 T-lymphocyte Anatomy 0.000 description 1
- 102000003622 TRPC4 Human genes 0.000 description 1
- 102000003621 TRPC5 Human genes 0.000 description 1
- 101150042815 TRPC5 gene Proteins 0.000 description 1
- 102000003564 TRPC7 Human genes 0.000 description 1
- 101150095096 TRPM2 gene Proteins 0.000 description 1
- FEWJPZIEWOKRBE-UHFFFAOYSA-N Tartaric acid Natural products [H+].[H+].[O-]C(=O)C(O)C(O)C([O-])=O FEWJPZIEWOKRBE-UHFFFAOYSA-N 0.000 description 1
- 206010044221 Toxic encephalopathy Diseases 0.000 description 1
- 108010037150 Transient Receptor Potential Channels Proteins 0.000 description 1
- 102000011753 Transient Receptor Potential Channels Human genes 0.000 description 1
- GSEJCLTVZPLZKY-UHFFFAOYSA-N Triethanolamine Chemical compound OCCN(CCO)CCO GSEJCLTVZPLZKY-UHFFFAOYSA-N 0.000 description 1
- 239000007983 Tris buffer Substances 0.000 description 1
- 206010044688 Trisomy 21 Diseases 0.000 description 1
- YZCKVEUIGOORGS-NJFSPNSNSA-N Tritium Chemical compound [3H] YZCKVEUIGOORGS-NJFSPNSNSA-N 0.000 description 1
- 101150099990 Trpc4 gene Proteins 0.000 description 1
- 101150033973 Trpc7 gene Proteins 0.000 description 1
- 238000010162 Tukey test Methods 0.000 description 1
- 244000290333 Vanilla fragrans Species 0.000 description 1
- 235000009499 Vanilla fragrans Nutrition 0.000 description 1
- 235000012036 Vanilla tahitensis Nutrition 0.000 description 1
- 238000002679 ablation Methods 0.000 description 1
- 239000003070 absorption delaying agent Substances 0.000 description 1
- 125000002777 acetyl group Chemical group [H]C([H])([H])C(*)=O 0.000 description 1
- 229940022698 acetylcholinesterase Drugs 0.000 description 1
- 230000002378 acidificating effect Effects 0.000 description 1
- 150000007513 acids Chemical class 0.000 description 1
- 239000004480 active ingredient Substances 0.000 description 1
- 239000013543 active substance Substances 0.000 description 1
- 125000004442 acylamino group Chemical group 0.000 description 1
- 230000002730 additional effect Effects 0.000 description 1
- 239000000362 adenosine triphosphatase inhibitor Substances 0.000 description 1
- 230000001800 adrenalinergic effect Effects 0.000 description 1
- 230000003023 adrenocorticotropic effect Effects 0.000 description 1
- 150000001299 aldehydes Chemical class 0.000 description 1
- 125000002723 alicyclic group Chemical group 0.000 description 1
- 125000006323 alkenyl amino group Chemical group 0.000 description 1
- 125000000033 alkoxyamino group Chemical group 0.000 description 1
- 125000005277 alkyl imino group Chemical group 0.000 description 1
- 125000004390 alkyl sulfonyl group Chemical group 0.000 description 1
- 125000002947 alkylene group Chemical group 0.000 description 1
- 125000006319 alkynyl amino group Chemical group 0.000 description 1
- 208000026935 allergic disease Diseases 0.000 description 1
- 230000000172 allergic effect Effects 0.000 description 1
- BJEPYKJPYRNKOW-UHFFFAOYSA-N alpha-hydroxysuccinic acid Natural products OC(=O)C(O)CC(O)=O BJEPYKJPYRNKOW-UHFFFAOYSA-N 0.000 description 1
- WNROFYMDJYEPJX-UHFFFAOYSA-K aluminium hydroxide Chemical compound [OH-].[OH-].[OH-].[Al+3] WNROFYMDJYEPJX-UHFFFAOYSA-K 0.000 description 1
- 229910000147 aluminium phosphate Inorganic materials 0.000 description 1
- 150000001408 amides Chemical class 0.000 description 1
- 125000003277 amino group Chemical group 0.000 description 1
- 229940124277 aminobutyric acid Drugs 0.000 description 1
- 125000004397 aminosulfonyl group Chemical group NS(=O)(=O)* 0.000 description 1
- 108010064539 amyloid beta-protein (1-42) Proteins 0.000 description 1
- 206010002022 amyloidosis Diseases 0.000 description 1
- 238000000540 analysis of variance Methods 0.000 description 1
- 238000003975 animal breeding Methods 0.000 description 1
- 238000010171 animal model Methods 0.000 description 1
- 239000003242 anti bacterial agent Substances 0.000 description 1
- 230000000844 anti-bacterial effect Effects 0.000 description 1
- 230000001430 anti-depressive effect Effects 0.000 description 1
- 239000000935 antidepressant agent Substances 0.000 description 1
- 229940005513 antidepressants Drugs 0.000 description 1
- 229940121375 antifungal agent Drugs 0.000 description 1
- 239000003429 antifungal agent Substances 0.000 description 1
- 239000004599 antimicrobial Substances 0.000 description 1
- 239000002249 anxiolytic agent Substances 0.000 description 1
- 230000000949 anxiolytic effect Effects 0.000 description 1
- 101150031224 app gene Proteins 0.000 description 1
- 239000012736 aqueous medium Substances 0.000 description 1
- 125000001691 aryl alkyl amino group Chemical group 0.000 description 1
- 206010003549 asthenia Diseases 0.000 description 1
- 210000001130 astrocyte Anatomy 0.000 description 1
- 208000010668 atopic eczema Diseases 0.000 description 1
- 230000004888 barrier function Effects 0.000 description 1
- 230000006399 behavior Effects 0.000 description 1
- 229940077388 benzenesulfonate Drugs 0.000 description 1
- SRSXLGNVWSONIS-UHFFFAOYSA-M benzenesulfonate Chemical compound [O-]S(=O)(=O)C1=CC=CC=C1 SRSXLGNVWSONIS-UHFFFAOYSA-M 0.000 description 1
- 150000008107 benzenesulfonic acids Chemical class 0.000 description 1
- 235000010233 benzoic acid Nutrition 0.000 description 1
- GONOPSZTUGRENK-UHFFFAOYSA-N benzyl(trichloro)silane Chemical compound Cl[Si](Cl)(Cl)CC1=CC=CC=C1 GONOPSZTUGRENK-UHFFFAOYSA-N 0.000 description 1
- 230000004071 biological effect Effects 0.000 description 1
- 230000015572 biosynthetic process Effects 0.000 description 1
- 239000004305 biphenyl Substances 0.000 description 1
- 235000010290 biphenyl Nutrition 0.000 description 1
- OGODKNYCTJYXFF-UHFFFAOYSA-N bis(4-methylbenzoyl) 2,3-dihydroxybutanedioate Chemical compound C1=CC(C)=CC=C1C(=O)OC(=O)C(O)C(O)C(=O)OC(=O)C1=CC=C(C)C=C1 OGODKNYCTJYXFF-UHFFFAOYSA-N 0.000 description 1
- 230000036770 blood supply Effects 0.000 description 1
- 210000004204 blood vessel Anatomy 0.000 description 1
- 210000001124 body fluid Anatomy 0.000 description 1
- 239000010839 body fluid Substances 0.000 description 1
- 230000037396 body weight Effects 0.000 description 1
- KDYFGRWQOYBRFD-NUQCWPJISA-N butanedioic acid Chemical compound O[14C](=O)CC[14C](O)=O KDYFGRWQOYBRFD-NUQCWPJISA-N 0.000 description 1
- 229910052791 calcium Inorganic materials 0.000 description 1
- AXCZMVOFGPJBDE-UHFFFAOYSA-L calcium dihydroxide Chemical compound [OH-].[OH-].[Ca+2] AXCZMVOFGPJBDE-UHFFFAOYSA-L 0.000 description 1
- 239000000920 calcium hydroxide Substances 0.000 description 1
- 229910001861 calcium hydroxide Inorganic materials 0.000 description 1
- 201000011510 cancer Diseases 0.000 description 1
- 125000003917 carbamoyl group Chemical group [H]N([H])C(*)=O 0.000 description 1
- 229910002091 carbon monoxide Inorganic materials 0.000 description 1
- 150000001732 carboxylic acid derivatives Chemical class 0.000 description 1
- 230000015556 catabolic process Effects 0.000 description 1
- 210000005056 cell body Anatomy 0.000 description 1
- 229940125400 channel inhibitor Drugs 0.000 description 1
- 239000002738 chelating agent Substances 0.000 description 1
- 125000003636 chemical group Chemical group 0.000 description 1
- 238000001311 chemical methods and process Methods 0.000 description 1
- 239000003153 chemical reaction reagent Substances 0.000 description 1
- 239000007979 citrate buffer Substances 0.000 description 1
- 238000010367 cloning Methods 0.000 description 1
- 230000008045 co-localization Effects 0.000 description 1
- 238000012761 co-transfection Methods 0.000 description 1
- 230000003930 cognitive ability Effects 0.000 description 1
- 230000006999 cognitive decline Effects 0.000 description 1
- 208000010877 cognitive disease Diseases 0.000 description 1
- 238000002648 combination therapy Methods 0.000 description 1
- 230000000295 complement effect Effects 0.000 description 1
- 238000013329 compounding Methods 0.000 description 1
- 238000004624 confocal microscopy Methods 0.000 description 1
- 230000006552 constitutive activation Effects 0.000 description 1
- 238000010276 construction Methods 0.000 description 1
- 238000011109 contamination Methods 0.000 description 1
- 230000001054 cortical effect Effects 0.000 description 1
- 210000004748 cultured cell Anatomy 0.000 description 1
- 238000012258 culturing Methods 0.000 description 1
- 125000001995 cyclobutyl group Chemical group [H]C1([H])C([H])([H])C([H])(*)C1([H])[H] 0.000 description 1
- 125000000113 cyclohexyl group Chemical group [H]C1([H])C([H])([H])C([H])([H])C([H])(*)C([H])([H])C1([H])[H] 0.000 description 1
- HCAJEUSONLESMK-UHFFFAOYSA-N cyclohexylsulfamic acid Chemical compound OS(=O)(=O)NC1CCCCC1 HCAJEUSONLESMK-UHFFFAOYSA-N 0.000 description 1
- 125000001511 cyclopentyl group Chemical group [H]C1([H])C([H])([H])C([H])([H])C([H])(*)C1([H])[H] 0.000 description 1
- 125000001559 cyclopropyl group Chemical group [H]C1([H])C([H])([H])C1([H])* 0.000 description 1
- 210000000172 cytosol Anatomy 0.000 description 1
- 230000006378 damage Effects 0.000 description 1
- 230000007423 decrease Effects 0.000 description 1
- 230000002950 deficient Effects 0.000 description 1
- 230000006735 deficit Effects 0.000 description 1
- 238000006731 degradation reaction Methods 0.000 description 1
- 230000003111 delayed effect Effects 0.000 description 1
- 229910052805 deuterium Inorganic materials 0.000 description 1
- 238000011161 development Methods 0.000 description 1
- 230000018109 developmental process Effects 0.000 description 1
- 150000001991 dicarboxylic acids Chemical class 0.000 description 1
- 235000015872 dietary supplement Nutrition 0.000 description 1
- ZBCBWPMODOFKDW-UHFFFAOYSA-N diethanolamine Chemical compound OCCNCCO ZBCBWPMODOFKDW-UHFFFAOYSA-N 0.000 description 1
- 150000004683 dihydrates Chemical class 0.000 description 1
- 239000000539 dimer Substances 0.000 description 1
- 229940042399 direct acting antivirals protease inhibitors Drugs 0.000 description 1
- 238000011979 disease modifying therapy Methods 0.000 description 1
- 239000002612 dispersion medium Substances 0.000 description 1
- MOTZDAYCYVMXPC-UHFFFAOYSA-N dodecyl hydrogen sulfate Chemical compound CCCCCCCCCCCCOS(O)(=O)=O MOTZDAYCYVMXPC-UHFFFAOYSA-N 0.000 description 1
- 229960003638 dopamine Drugs 0.000 description 1
- 208000036536 dutch type ABeta amyloidosis Diseases 0.000 description 1
- 125000001240 enamine group Chemical group 0.000 description 1
- 210000002889 endothelial cell Anatomy 0.000 description 1
- 230000003511 endothelial effect Effects 0.000 description 1
- 238000005837 enolization reaction Methods 0.000 description 1
- 230000002397 epileptogenic effect Effects 0.000 description 1
- 229960005139 epinephrine Drugs 0.000 description 1
- AFAXGSQYZLGZPG-UHFFFAOYSA-N ethanedisulfonic acid Chemical compound OS(=O)(=O)CCS(O)(=O)=O AFAXGSQYZLGZPG-UHFFFAOYSA-N 0.000 description 1
- CCIVGXIOQKPBKL-UHFFFAOYSA-M ethanesulfonate Chemical compound CCS([O-])(=O)=O CCIVGXIOQKPBKL-UHFFFAOYSA-M 0.000 description 1
- 238000011156 evaluation Methods 0.000 description 1
- 210000001723 extracellular space Anatomy 0.000 description 1
- 239000000284 extract Substances 0.000 description 1
- 239000011536 extraction buffer Substances 0.000 description 1
- 230000035558 fertility Effects 0.000 description 1
- 210000003754 fetus Anatomy 0.000 description 1
- 239000002657 fibrous material Substances 0.000 description 1
- 239000000945 filler Substances 0.000 description 1
- 239000000834 fixative Substances 0.000 description 1
- 239000012530 fluid Substances 0.000 description 1
- 238000002073 fluorescence micrograph Methods 0.000 description 1
- 125000001153 fluoro group Chemical group F* 0.000 description 1
- 125000000524 functional group Chemical group 0.000 description 1
- 125000002541 furyl group Chemical group 0.000 description 1
- 108020001507 fusion proteins Proteins 0.000 description 1
- 102000037865 fusion proteins Human genes 0.000 description 1
- 210000000609 ganglia Anatomy 0.000 description 1
- 238000011223 gene expression profiling Methods 0.000 description 1
- 230000002068 genetic effect Effects 0.000 description 1
- 238000003205 genotyping method Methods 0.000 description 1
- 229940114119 gentisate Drugs 0.000 description 1
- 239000011521 glass Substances 0.000 description 1
- 239000000174 gluconic acid Substances 0.000 description 1
- 235000012208 gluconic acid Nutrition 0.000 description 1
- 235000013922 glutamic acid Nutrition 0.000 description 1
- 239000004220 glutamic acid Substances 0.000 description 1
- 125000000291 glutamic acid group Chemical group N[C@@H](CCC(O)=O)C(=O)* 0.000 description 1
- 230000012010 growth Effects 0.000 description 1
- 150000004820 halides Chemical class 0.000 description 1
- 229910052736 halogen Inorganic materials 0.000 description 1
- 150000002367 halogens Chemical class 0.000 description 1
- 210000002216 heart Anatomy 0.000 description 1
- 210000003494 hepatocyte Anatomy 0.000 description 1
- 125000005241 heteroarylamino group Chemical group 0.000 description 1
- 125000000592 heterocycloalkyl group Chemical group 0.000 description 1
- 238000010842 high-capacity cDNA reverse transcription kit Methods 0.000 description 1
- 210000003630 histaminocyte Anatomy 0.000 description 1
- 230000003284 homeostatic effect Effects 0.000 description 1
- 102000043698 human TRPC6 Human genes 0.000 description 1
- 125000002887 hydroxy group Chemical group [H]O* 0.000 description 1
- 125000002349 hydroxyamino group Chemical group [H]ON([H])[*] 0.000 description 1
- JGPMMRGNQUBGND-UHFFFAOYSA-N idebenone Chemical compound COC1=C(OC)C(=O)C(CCCCCCCCCCO)=C(C)C1=O JGPMMRGNQUBGND-UHFFFAOYSA-N 0.000 description 1
- 229960004135 idebenone Drugs 0.000 description 1
- 150000002466 imines Chemical class 0.000 description 1
- 125000001841 imino group Chemical group [H]N=* 0.000 description 1
- 238000012744 immunostaining Methods 0.000 description 1
- 239000012535 impurity Substances 0.000 description 1
- 238000007901 in situ hybridization Methods 0.000 description 1
- 125000003453 indazolyl group Chemical group N1N=C(C2=C1C=CC=C2)* 0.000 description 1
- 125000001041 indolyl group Chemical group 0.000 description 1
- 230000001939 inductive effect Effects 0.000 description 1
- 239000011261 inert gas Substances 0.000 description 1
- 239000012678 infectious agent Substances 0.000 description 1
- 230000000977 initiatory effect Effects 0.000 description 1
- 150000002484 inorganic compounds Chemical class 0.000 description 1
- 229910010272 inorganic material Inorganic materials 0.000 description 1
- 239000002198 insoluble material Substances 0.000 description 1
- 230000003933 intellectual function Effects 0.000 description 1
- 230000000968 intestinal effect Effects 0.000 description 1
- 230000008991 intestinal motility Effects 0.000 description 1
- 238000011835 investigation Methods 0.000 description 1
- 230000007794 irritation Effects 0.000 description 1
- 125000000959 isobutyl group Chemical group [H]C([H])([H])C([H])(C([H])([H])[H])C([H])([H])* 0.000 description 1
- 239000012948 isocyanate Substances 0.000 description 1
- 150000002513 isocyanates Chemical class 0.000 description 1
- 238000002955 isolation Methods 0.000 description 1
- 125000001449 isopropyl group Chemical group [H]C([H])([H])C([H])(*)C([H])([H])[H] 0.000 description 1
- 239000007951 isotonicity adjuster Substances 0.000 description 1
- 230000000155 isotopic effect Effects 0.000 description 1
- 125000000842 isoxazolyl group Chemical group 0.000 description 1
- 238000005304 joining Methods 0.000 description 1
- 125000000468 ketone group Chemical group 0.000 description 1
- 210000003734 kidney Anatomy 0.000 description 1
- 239000004310 lactic acid Substances 0.000 description 1
- 235000014655 lactic acid Nutrition 0.000 description 1
- 231100001231 less toxic Toxicity 0.000 description 1
- 208000032839 leukemia Diseases 0.000 description 1
- 239000012160 loading buffer Substances 0.000 description 1
- 238000011068 loading method Methods 0.000 description 1
- 238000004516 long-range potential Methods 0.000 description 1
- 231100000863 loss of memory Toxicity 0.000 description 1
- 230000014759 maintenance of location Effects 0.000 description 1
- 239000001630 malic acid Substances 0.000 description 1
- 235000011090 malic acid Nutrition 0.000 description 1
- 229960002510 mandelic acid Drugs 0.000 description 1
- 238000002483 medication Methods 0.000 description 1
- 239000000155 melt Substances 0.000 description 1
- 230000028161 membrane depolarization Effects 0.000 description 1
- 230000006386 memory function Effects 0.000 description 1
- 230000006993 memory improvement Effects 0.000 description 1
- 230000005055 memory storage Effects 0.000 description 1
- 239000002207 metabolite Substances 0.000 description 1
- 150000002739 metals Chemical class 0.000 description 1
- 229940098779 methanesulfonic acid Drugs 0.000 description 1
- WSFSSNUMVMOOMR-NJFSPNSNSA-N methanone Chemical compound O=[14CH2] WSFSSNUMVMOOMR-NJFSPNSNSA-N 0.000 description 1
- 125000002496 methyl group Chemical group [H]C([H])([H])* 0.000 description 1
- 125000000325 methylidene group Chemical group [H]C([H])=* 0.000 description 1
- 229960001952 metrifonate Drugs 0.000 description 1
- 210000000274 microglia Anatomy 0.000 description 1
- YMMXHEYLRHNXAB-RMKNXTFCSA-N milameline Chemical compound CO\N=C\C1=CCCN(C)C1 YMMXHEYLRHNXAB-RMKNXTFCSA-N 0.000 description 1
- 229950004373 milameline Drugs 0.000 description 1
- 150000007522 mineralic acids Chemical class 0.000 description 1
- 230000004898 mitochondrial function Effects 0.000 description 1
- 238000007479 molecular analysis Methods 0.000 description 1
- 150000004682 monohydrates Chemical class 0.000 description 1
- 230000000877 morphologic effect Effects 0.000 description 1
- 229940126619 mouse monoclonal antibody Drugs 0.000 description 1
- 238000002703 mutagenesis Methods 0.000 description 1
- 231100000350 mutagenesis Toxicity 0.000 description 1
- LKQUCICFTHBFAL-UHFFFAOYSA-N n-benzylbenzamide Chemical compound C=1C=CC=CC=1C(=O)NCC1=CC=CC=C1 LKQUCICFTHBFAL-UHFFFAOYSA-N 0.000 description 1
- 125000004108 n-butyl group Chemical group [H]C([H])([H])C([H])([H])C([H])([H])C([H])([H])* 0.000 description 1
- FUZZWVXGSFPDMH-UHFFFAOYSA-N n-hexanoic acid Natural products CCCCCC(O)=O FUZZWVXGSFPDMH-UHFFFAOYSA-N 0.000 description 1
- KVBGVZZKJNLNJU-UHFFFAOYSA-N naphthalene-2-sulfonic acid Chemical compound C1=CC=CC2=CC(S(=O)(=O)O)=CC=C21 KVBGVZZKJNLNJU-UHFFFAOYSA-N 0.000 description 1
- 125000001624 naphthyl group Chemical group 0.000 description 1
- 125000001971 neopentyl group Chemical group [H]C([*])([H])C(C([H])([H])[H])(C([H])([H])[H])C([H])([H])[H] 0.000 description 1
- 230000036403 neuro physiology Effects 0.000 description 1
- 230000004770 neurodegeneration Effects 0.000 description 1
- 208000015122 neurodegenerative disease Diseases 0.000 description 1
- 230000004766 neurogenesis Effects 0.000 description 1
- 230000014511 neuron projection development Effects 0.000 description 1
- 230000007823 neuropathy Effects 0.000 description 1
- 201000001119 neuropathy Diseases 0.000 description 1
- 231100000228 neurotoxicity Toxicity 0.000 description 1
- 229910017604 nitric acid Inorganic materials 0.000 description 1
- SFLSHLFXELFNJZ-UHFFFAOYSA-N norepinephrine Natural products NCC(O)C1=CC=C(O)C(O)=C1 SFLSHLFXELFNJZ-UHFFFAOYSA-N 0.000 description 1
- 229960002748 norepinephrine Drugs 0.000 description 1
- 210000004940 nucleus Anatomy 0.000 description 1
- QIQXTHQIDYTFRH-UHFFFAOYSA-N octadecanoic acid Chemical compound CCCCCCCCCCCCCCCCCC(O)=O QIQXTHQIDYTFRH-UHFFFAOYSA-N 0.000 description 1
- OQCDKBAXFALNLD-UHFFFAOYSA-N octadecanoic acid Natural products CCCCCCCC(C)CCCCCCCCC(O)=O OQCDKBAXFALNLD-UHFFFAOYSA-N 0.000 description 1
- 210000000056 organ Anatomy 0.000 description 1
- 235000005985 organic acids Nutrition 0.000 description 1
- 230000016087 ovulation Effects 0.000 description 1
- 235000006408 oxalic acid Nutrition 0.000 description 1
- 125000002971 oxazolyl group Chemical group 0.000 description 1
- 125000004430 oxygen atom Chemical group O* 0.000 description 1
- 238000004806 packaging method and process Methods 0.000 description 1
- FJKROLUGYXJWQN-UHFFFAOYSA-N papa-hydroxy-benzoic acid Natural products OC(=O)C1=CC=C(O)C=C1 FJKROLUGYXJWQN-UHFFFAOYSA-N 0.000 description 1
- 230000008506 pathogenesis Effects 0.000 description 1
- 208000033808 peripheral neuropathy Diseases 0.000 description 1
- 230000006611 pharmacological activation Effects 0.000 description 1
- 125000001997 phenyl group Chemical group [H]C1=C([H])C([H])=C(*)C([H])=C1[H] 0.000 description 1
- 239000008363 phosphate buffer Substances 0.000 description 1
- 229910052698 phosphorus Inorganic materials 0.000 description 1
- 239000011574 phosphorus Substances 0.000 description 1
- 229910000073 phosphorus hydride Inorganic materials 0.000 description 1
- 230000026731 phosphorylation Effects 0.000 description 1
- 238000006366 phosphorylation reaction Methods 0.000 description 1
- PIJVFDBKTWXHHD-HIFRSBDPSA-N physostigmine Chemical compound C12=CC(OC(=O)NC)=CC=C2N(C)[C@@H]2[C@@]1(C)CCN2C PIJVFDBKTWXHHD-HIFRSBDPSA-N 0.000 description 1
- 229960001697 physostigmine Drugs 0.000 description 1
- 230000036470 plasma concentration Effects 0.000 description 1
- 239000004033 plastic Substances 0.000 description 1
- 229920003023 plastic Polymers 0.000 description 1
- 229920001184 polypeptide Polymers 0.000 description 1
- 239000011148 porous material Substances 0.000 description 1
- 230000004481 post-translational protein modification Effects 0.000 description 1
- 230000001144 postural effect Effects 0.000 description 1
- 230000003389 potentiating effect Effects 0.000 description 1
- 239000002243 precursor Substances 0.000 description 1
- 238000002360 preparation method Methods 0.000 description 1
- 238000004321 preservation Methods 0.000 description 1
- 230000002335 preservative effect Effects 0.000 description 1
- 238000002203 pretreatment Methods 0.000 description 1
- 230000003449 preventive effect Effects 0.000 description 1
- 125000001436 propyl group Chemical group [H]C([*])([H])C([H])([H])C([H])([H])[H] 0.000 description 1
- 235000004252 protein component Nutrition 0.000 description 1
- 239000003531 protein hydrolysate Substances 0.000 description 1
- 125000003373 pyrazinyl group Chemical group 0.000 description 1
- UMJSCPRVCHMLSP-UHFFFAOYSA-N pyridine Natural products COC1=CC=CN=C1 UMJSCPRVCHMLSP-UHFFFAOYSA-N 0.000 description 1
- 229940107700 pyruvic acid Drugs 0.000 description 1
- 238000011002 quantification Methods 0.000 description 1
- 238000003762 quantitative reverse transcription PCR Methods 0.000 description 1
- 125000002294 quinazolinyl group Chemical group N1=C(N=CC2=CC=CC=C12)* 0.000 description 1
- 125000005493 quinolyl group Chemical group 0.000 description 1
- 125000001567 quinoxalinyl group Chemical group N1=C(C=NC2=CC=CC=C12)* 0.000 description 1
- 238000009790 rate-determining step (RDS) Methods 0.000 description 1
- 230000009103 reabsorption Effects 0.000 description 1
- 230000008707 rearrangement Effects 0.000 description 1
- 230000022532 regulation of transcription, DNA-dependent Effects 0.000 description 1
- 230000003716 rejuvenation Effects 0.000 description 1
- 230000000246 remedial effect Effects 0.000 description 1
- 230000003252 repetitive effect Effects 0.000 description 1
- 230000000284 resting effect Effects 0.000 description 1
- 210000003660 reticulum Anatomy 0.000 description 1
- 238000012552 review Methods 0.000 description 1
- 229960001860 salicylate Drugs 0.000 description 1
- YGSDEFSMJLZEOE-UHFFFAOYSA-M salicylate Chemical compound OC1=CC=CC=C1C([O-])=O YGSDEFSMJLZEOE-UHFFFAOYSA-M 0.000 description 1
- 229960004889 salicylic acid Drugs 0.000 description 1
- 125000002914 sec-butyl group Chemical group [H]C([H])([H])C([H])([H])C([H])(*)C([H])([H])[H] 0.000 description 1
- 230000028327 secretion Effects 0.000 description 1
- 229910052711 selenium Inorganic materials 0.000 description 1
- 239000011669 selenium Substances 0.000 description 1
- 229940091258 selenium supplement Drugs 0.000 description 1
- 230000009758 senescence Effects 0.000 description 1
- 230000035945 sensitivity Effects 0.000 description 1
- 229940076279 serotonin Drugs 0.000 description 1
- 229910052709 silver Inorganic materials 0.000 description 1
- 239000004332 silver Substances 0.000 description 1
- 210000003625 skull Anatomy 0.000 description 1
- 239000004055 small Interfering RNA Substances 0.000 description 1
- 210000002460 smooth muscle Anatomy 0.000 description 1
- 229910000029 sodium carbonate Inorganic materials 0.000 description 1
- 239000007909 solid dosage form Substances 0.000 description 1
- 230000000392 somatic effect Effects 0.000 description 1
- 238000012421 spiking Methods 0.000 description 1
- 210000000952 spleen Anatomy 0.000 description 1
- 230000006641 stabilisation Effects 0.000 description 1
- 238000011105 stabilization Methods 0.000 description 1
- 230000000087 stabilizing effect Effects 0.000 description 1
- 238000007619 statistical method Methods 0.000 description 1
- 239000008117 stearic acid Substances 0.000 description 1
- 229960004274 stearic acid Drugs 0.000 description 1
- 125000005017 substituted alkenyl group Chemical group 0.000 description 1
- KDYFGRWQOYBRFD-UHFFFAOYSA-L succinate(2-) Chemical compound [O-]C(=O)CCC([O-])=O KDYFGRWQOYBRFD-UHFFFAOYSA-L 0.000 description 1
- PXQLVRUNWNTZOS-UHFFFAOYSA-N sulfanyl Chemical compound [SH] PXQLVRUNWNTZOS-UHFFFAOYSA-N 0.000 description 1
- 125000000475 sulfinyl group Chemical group [*:2]S([*:1])=O 0.000 description 1
- 125000000472 sulfonyl group Chemical group *S(*)(=O)=O 0.000 description 1
- 230000009469 supplementation Effects 0.000 description 1
- 230000002459 sustained effect Effects 0.000 description 1
- 230000003977 synaptic function Effects 0.000 description 1
- 230000009782 synaptic response Effects 0.000 description 1
- 238000012353 t test Methods 0.000 description 1
- 239000011975 tartaric acid Substances 0.000 description 1
- 235000002906 tartaric acid Nutrition 0.000 description 1
- 229960001367 tartaric acid Drugs 0.000 description 1
- 229940095064 tartrate Drugs 0.000 description 1
- 125000003831 tetrazolyl group Chemical group 0.000 description 1
- 238000002560 therapeutic procedure Methods 0.000 description 1
- 125000000335 thiazolyl group Chemical group 0.000 description 1
- 125000001544 thienyl group Chemical group 0.000 description 1
- 125000003441 thioacyl group Chemical group 0.000 description 1
- 125000002813 thiocarbonyl group Chemical group *C(*)=S 0.000 description 1
- 125000003944 tolyl group Chemical group 0.000 description 1
- 239000003053 toxin Substances 0.000 description 1
- 231100000765 toxin Toxicity 0.000 description 1
- 108700012359 toxins Proteins 0.000 description 1
- 238000013518 transcription Methods 0.000 description 1
- 230000035897 transcription Effects 0.000 description 1
- 238000003151 transfection method Methods 0.000 description 1
- 238000012546 transfer Methods 0.000 description 1
- 230000009261 transgenic effect Effects 0.000 description 1
- 125000004306 triazinyl group Chemical group 0.000 description 1
- 125000001425 triazolyl group Chemical group 0.000 description 1
- NFACJZMKEDPNKN-UHFFFAOYSA-N trichlorfon Chemical compound COP(=O)(OC)C(O)C(Cl)(Cl)Cl NFACJZMKEDPNKN-UHFFFAOYSA-N 0.000 description 1
- 229910052722 tritium Inorganic materials 0.000 description 1
- 229960000281 trometamol Drugs 0.000 description 1
- WFKWXMTUELFFGS-UHFFFAOYSA-N tungsten Chemical compound [W] WFKWXMTUELFFGS-UHFFFAOYSA-N 0.000 description 1
- 229910052721 tungsten Inorganic materials 0.000 description 1
- 239000010937 tungsten Substances 0.000 description 1
- 230000002792 vascular Effects 0.000 description 1
- 210000005166 vasculature Anatomy 0.000 description 1
- 230000001477 vasopressinergic effect Effects 0.000 description 1
- 229920002554 vinyl polymer Polymers 0.000 description 1
- 230000004304 visual acuity Effects 0.000 description 1
- 230000031836 visual learning Effects 0.000 description 1
- 230000004584 weight gain Effects 0.000 description 1
- 235000019786 weight gain Nutrition 0.000 description 1
- JOLJIIDDOBNFHW-UHFFFAOYSA-N xanomeline Chemical compound CCCCCCOC1=NSN=C1C1=CCCN(C)C1 JOLJIIDDOBNFHW-UHFFFAOYSA-N 0.000 description 1
- 229950006755 xanomeline Drugs 0.000 description 1
Images
Classifications
-
- A—HUMAN NECESSITIES
- A61—MEDICAL OR VETERINARY SCIENCE; HYGIENE
- A61K—PREPARATIONS FOR MEDICAL, DENTAL OR TOILETRY PURPOSES
- A61K31/00—Medicinal preparations containing organic active ingredients
- A61K31/33—Heterocyclic compounds
- A61K31/395—Heterocyclic compounds having nitrogen as a ring hetero atom, e.g. guanethidine or rifamycins
- A61K31/495—Heterocyclic compounds having nitrogen as a ring hetero atom, e.g. guanethidine or rifamycins having six-membered rings with two or more nitrogen atoms as the only ring heteroatoms, e.g. piperazine or tetrazines
- A61K31/505—Pyrimidines; Hydrogenated pyrimidines, e.g. trimethoprim
- A61K31/517—Pyrimidines; Hydrogenated pyrimidines, e.g. trimethoprim ortho- or peri-condensed with carbocyclic ring systems, e.g. quinazoline, perimidine
-
- A—HUMAN NECESSITIES
- A61—MEDICAL OR VETERINARY SCIENCE; HYGIENE
- A61K—PREPARATIONS FOR MEDICAL, DENTAL OR TOILETRY PURPOSES
- A61K45/00—Medicinal preparations containing active ingredients not provided for in groups A61K31/00 - A61K41/00
- A61K45/06—Mixtures of active ingredients without chemical characterisation, e.g. antiphlogistics and cardiaca
-
- A—HUMAN NECESSITIES
- A61—MEDICAL OR VETERINARY SCIENCE; HYGIENE
- A61K—PREPARATIONS FOR MEDICAL, DENTAL OR TOILETRY PURPOSES
- A61K9/00—Medicinal preparations characterised by special physical form
- A61K9/20—Pills, tablets, discs, rods
-
- A—HUMAN NECESSITIES
- A61—MEDICAL OR VETERINARY SCIENCE; HYGIENE
- A61K—PREPARATIONS FOR MEDICAL, DENTAL OR TOILETRY PURPOSES
- A61K9/00—Medicinal preparations characterised by special physical form
- A61K9/48—Preparations in capsules, e.g. of gelatin, of chocolate
-
- A—HUMAN NECESSITIES
- A61—MEDICAL OR VETERINARY SCIENCE; HYGIENE
- A61P—SPECIFIC THERAPEUTIC ACTIVITY OF CHEMICAL COMPOUNDS OR MEDICINAL PREPARATIONS
- A61P25/00—Drugs for disorders of the nervous system
- A61P25/28—Drugs for disorders of the nervous system for treating neurodegenerative disorders of the central nervous system, e.g. nootropic agents, cognition enhancers, drugs for treating Alzheimer's disease or other forms of dementia
Landscapes
- Health & Medical Sciences (AREA)
- Chemical & Material Sciences (AREA)
- Medicinal Chemistry (AREA)
- Pharmacology & Pharmacy (AREA)
- Life Sciences & Earth Sciences (AREA)
- Animal Behavior & Ethology (AREA)
- General Health & Medical Sciences (AREA)
- Public Health (AREA)
- Veterinary Medicine (AREA)
- Epidemiology (AREA)
- Biomedical Technology (AREA)
- Neurosurgery (AREA)
- Engineering & Computer Science (AREA)
- Bioinformatics & Cheminformatics (AREA)
- Neurology (AREA)
- Chemical Kinetics & Catalysis (AREA)
- Psychiatry (AREA)
- Hospice & Palliative Care (AREA)
- General Chemical & Material Sciences (AREA)
- Nuclear Medicine, Radiotherapy & Molecular Imaging (AREA)
- Organic Chemistry (AREA)
- Pharmaceuticals Containing Other Organic And Inorganic Compounds (AREA)
- Medicines That Contain Protein Lipid Enzymes And Other Medicines (AREA)
- Acyclic And Carbocyclic Compounds In Medicinal Compositions (AREA)
Applications Claiming Priority (3)
| Application Number | Priority Date | Filing Date | Title |
|---|---|---|---|
| US201562159083P | 2015-05-08 | 2015-05-08 | |
| US62/159,083 | 2015-05-08 | ||
| PCT/US2016/030704 WO2016182812A1 (en) | 2015-05-08 | 2016-05-04 | Activation of neuronal store-operated calcium entry pathway for the treatment of alzheimer's disease |
Publications (1)
| Publication Number | Publication Date |
|---|---|
| KR20180004242A true KR20180004242A (ko) | 2018-01-10 |
Family
ID=57248333
Family Applications (1)
| Application Number | Title | Priority Date | Filing Date |
|---|---|---|---|
| KR1020177035257A Withdrawn KR20180004242A (ko) | 2015-05-08 | 2016-05-04 | 알쯔하이머병의 치료를 위한 뉴런 저장소-작동된 칼슘 진입 경로의 활성화 |
Country Status (6)
| Country | Link |
|---|---|
| US (1) | US20180147206A1 (enExample) |
| JP (1) | JP2018515507A (enExample) |
| KR (1) | KR20180004242A (enExample) |
| CN (1) | CN107835688A (enExample) |
| HK (1) | HK1250658A1 (enExample) |
| WO (1) | WO2016182812A1 (enExample) |
Families Citing this family (3)
| Publication number | Priority date | Publication date | Assignee | Title |
|---|---|---|---|---|
| CN110759985B (zh) * | 2018-07-27 | 2021-11-09 | 中国人民解放军军事科学院军事医学研究院 | 一种用于微波辐射致神经元钙信号调节的生物标志物Orai2蛋白 |
| RU2676100C1 (ru) * | 2018-10-05 | 2018-12-26 | федеральное государственное автономное образовательное учреждение высшего образования "Санкт-Петербургский политехнический университет Петра Великого" (ФГАОУ ВО "СПбПУ") | Применение производных пиперазина для лечения болезни Альцгеймера и деменций альцгеймеровского типа с нарушенной внутриклеточной кальциевой сигнализацией |
| CN112791078B (zh) | 2019-11-13 | 2022-12-06 | 润佳(苏州)医药科技有限公司 | 同位素富集的3-氨基-1-丙磺酸及其衍生物的用途 |
Family Cites Families (4)
| Publication number | Priority date | Publication date | Assignee | Title |
|---|---|---|---|---|
| CA2369967A1 (en) * | 2001-02-12 | 2002-08-12 | Joseph Anthony Cornicelli | Methods of treating nuclear factor-kappa b mediated diseases and disorders |
| PH12012500097A1 (en) * | 2009-07-21 | 2011-01-27 | Shanghai Inst Organic Chem | Potent small molecule inhibitors of autophagy, and methods of use thereof |
| US8598344B2 (en) * | 2009-11-30 | 2013-12-03 | Senex Biotechnology | CDKI pathway inhibitors and uses thereof |
| US9393244B2 (en) * | 2013-03-15 | 2016-07-19 | Georgetown University | Increasing parkin activity by administering a deubiquitinating enzyme inhibitor |
-
2016
- 2016-05-04 HK HK18110221.0A patent/HK1250658A1/zh unknown
- 2016-05-04 CN CN201680040043.XA patent/CN107835688A/zh active Pending
- 2016-05-04 US US15/572,292 patent/US20180147206A1/en not_active Abandoned
- 2016-05-04 KR KR1020177035257A patent/KR20180004242A/ko not_active Withdrawn
- 2016-05-04 JP JP2017558374A patent/JP2018515507A/ja active Pending
- 2016-05-04 WO PCT/US2016/030704 patent/WO2016182812A1/en not_active Ceased
Also Published As
| Publication number | Publication date |
|---|---|
| JP2018515507A (ja) | 2018-06-14 |
| WO2016182812A8 (en) | 2017-03-09 |
| CN107835688A (zh) | 2018-03-23 |
| US20180147206A1 (en) | 2018-05-31 |
| HK1250658A1 (zh) | 2019-01-11 |
| WO2016182812A1 (en) | 2016-11-17 |
Similar Documents
| Publication | Publication Date | Title |
|---|---|---|
| Zhang et al. | Store-operated calcium channel complex in postsynaptic spines: a new therapeutic target for Alzheimer's disease treatment | |
| Hellström-Lindahl | Modulation of β-amyloid precursor protein processing and tau phosphorylation by acetylcholine receptors | |
| JP6061922B2 (ja) | プロテイノパチーの処置方法 | |
| Yan et al. | Alzheimer's disease: interactions between cholinergic functions and β-amyloid | |
| JP6647199B2 (ja) | 環状ポリペプチド | |
| EP3290514B1 (en) | Application of pi4kiii.alpha protein and related membrane protein complex in treating alzheimer's disease | |
| EP2683242B1 (en) | Effective amounts of (3ar)-1,3a,8-trimethyl-1,2,3,3a,8,8a-hexahydropyrrolo[2,3-b]indol-5-yl phenylcarbamate and methods thereof | |
| EP2957295B1 (en) | Method for treating alzheimer's disease using pharmacological chaperones to increase the activity of gangliosidases | |
| Guglielmotto et al. | Amyloid-β42 activates the expression of BACE1 through the JNK pathway | |
| Vargas et al. | WASP-1, a canonical Wnt signaling potentiator, rescues hippocampal synaptic impairments induced by Aβ oligomers | |
| JP6267160B2 (ja) | アルツハイマー病等を含む神経疾患の1,25d3−marrsが関与する治療薬及び治療法 | |
| US11160798B2 (en) | Neuroprotective CB2 receptor agonists | |
| KR20180004242A (ko) | 알쯔하이머병의 치료를 위한 뉴런 저장소-작동된 칼슘 진입 경로의 활성화 | |
| US20110243957A1 (en) | Materials and methods for preventing or treating neurodegenerative conditions associated with abeta peptide accumulation | |
| JP2018520367A (ja) | アルツハイマー病の治療に用いられる薬物および治療標的のスクリーニング方法 | |
| US10149836B2 (en) | Isoxazole treatments for frontotemporal dementia | |
| JP2020500216A (ja) | 運動ニューロン疾患の治療のためのガングリオシド代謝阻害剤 | |
| US20210330744A1 (en) | Methods and Compositions for Treating Neurodegeneration and Fibrosis | |
| EP2797591A1 (en) | Use of calcilytic drugs as a pharmacological approach to the treatment and prevention of alzheimer's disease, alzheimer's disease-related disorders, and down's syndrome neuropathies | |
| KR102393125B1 (ko) | 켐페라이드를 유효성분으로 포함하고 오토파지 유도 활성을 갖는 단백질 형태이상 질환의 예방 또는 치료용 조성물 | |
| WO2019014322A1 (en) | KINASE INHIBITORS FOR THE TREATMENT OF DISEASES | |
| CN110623960B (zh) | 一种小分子化合物在制备治疗阿尔茨海默病的药物中的应用 | |
| Jack Jhamandas | Glutamate system, amyloid [Beta] peptides and tau protein: functional interrelationships and relevance to Alzheimer disease pathology | |
| Berkoz | The role of oxidative stress in Alzheimer’s disease | |
| Gulisano | A renewed vision for Amyloid beta and tau in Alzheimer s disease pathophysiology |
Legal Events
| Date | Code | Title | Description |
|---|---|---|---|
| PA0105 | International application |
Patent event date: 20171206 Patent event code: PA01051R01D Comment text: International Patent Application |
|
| PG1501 | Laying open of application | ||
| PC1203 | Withdrawal of no request for examination |