JP7640901B2 - 光送信装置及び送信方法 - Google Patents

光送信装置及び送信方法 Download PDF

Info

Publication number
JP7640901B2
JP7640901B2 JP2023503817A JP2023503817A JP7640901B2 JP 7640901 B2 JP7640901 B2 JP 7640901B2 JP 2023503817 A JP2023503817 A JP 2023503817A JP 2023503817 A JP2023503817 A JP 2023503817A JP 7640901 B2 JP7640901 B2 JP 7640901B2
Authority
JP
Japan
Prior art keywords
electrical signal
optical
phase
output
laser diode
Prior art date
Legal status (The legal status is an assumption and is not a legal conclusion. Google has not performed a legal analysis and makes no representation as to the accuracy of the status listed.)
Active
Application number
JP2023503817A
Other languages
English (en)
Other versions
JPWO2022186130A1 (ja
Inventor
陽一 深田
利明 下羽
暁弘 田邉
遼 宮武
智暁 吉田
Current Assignee (The listed assignees may be inaccurate. Google has not performed a legal analysis and makes no representation or warranty as to the accuracy of the list.)
NTT Inc
NTT Inc USA
Original Assignee
Nippon Telegraph and Telephone Corp
NTT Inc USA
Priority date (The priority date is an assumption and is not a legal conclusion. Google has not performed a legal analysis and makes no representation as to the accuracy of the date listed.)
Filing date
Publication date
Application filed by Nippon Telegraph and Telephone Corp, NTT Inc USA filed Critical Nippon Telegraph and Telephone Corp
Publication of JPWO2022186130A1 publication Critical patent/JPWO2022186130A1/ja
Application granted granted Critical
Publication of JP7640901B2 publication Critical patent/JP7640901B2/ja
Active legal-status Critical Current
Anticipated expiration legal-status Critical

Links

Images

Classifications

    • GPHYSICS
    • G02OPTICS
    • G02FOPTICAL DEVICES OR ARRANGEMENTS FOR THE CONTROL OF LIGHT BY MODIFICATION OF THE OPTICAL PROPERTIES OF THE MEDIA OF THE ELEMENTS INVOLVED THEREIN; NON-LINEAR OPTICS; FREQUENCY-CHANGING OF LIGHT; OPTICAL LOGIC ELEMENTS; OPTICAL ANALOGUE/DIGITAL CONVERTERS
    • G02F1/00Devices or arrangements for the control of the intensity, colour, phase, polarisation or direction of light arriving from an independent light source, e.g. switching, gating or modulating; Non-linear optics
    • G02F1/01Devices or arrangements for the control of the intensity, colour, phase, polarisation or direction of light arriving from an independent light source, e.g. switching, gating or modulating; Non-linear optics for the control of the intensity, phase, polarisation or colour 
    • HELECTRICITY
    • H04ELECTRIC COMMUNICATION TECHNIQUE
    • H04BTRANSMISSION
    • H04B10/00Transmission systems employing electromagnetic waves other than radio-waves, e.g. infrared, visible or ultraviolet light, or employing corpuscular radiation, e.g. quantum communication
    • H04B10/50Transmitters
    • HELECTRICITY
    • H04ELECTRIC COMMUNICATION TECHNIQUE
    • H04BTRANSMISSION
    • H04B10/00Transmission systems employing electromagnetic waves other than radio-waves, e.g. infrared, visible or ultraviolet light, or employing corpuscular radiation, e.g. quantum communication
    • H04B10/50Transmitters
    • H04B10/516Details of coding or modulation

Landscapes

  • Physics & Mathematics (AREA)
  • Electromagnetism (AREA)
  • Engineering & Computer Science (AREA)
  • Computer Networks & Wireless Communication (AREA)
  • Signal Processing (AREA)
  • Nonlinear Science (AREA)
  • General Physics & Mathematics (AREA)
  • Optics & Photonics (AREA)
  • Optical Communication System (AREA)

Description

本発明は、光送信装置及び送信方法に関する。
本願は、2021年3月2日に、日本に出願されたPCT/JP2021/007862号に基づき優先権を主張し、その内容をここに援用する。
加入者宅へ映像を配信するネットワークシステムとして、例えばFTTH(Fiber to the Home)型CATV(Cable Television)システムが知られている。図11に、従来のFTTH型CATVシステム1のネットワーク構成の一例を示す。図11に示されるように、FTTH型CATVシステム1は、例えば、ヘッドエンド100(Head-End)と、光送信装置200(Tx)と、増幅器300(V-OLT)と、各々の加入者宅等に設置される光受信装置400(V-ONU)と、を含んで構成される。
ヘッドエンド100は、放送局から送信される映像信号を乗せた電波を地上の送信塔や人工衛星等を介して受信し、受信した電波に対して増幅等の調整を行う。そして、ヘッドエンド100は、当該映像信号に基づく電気信号を光送信装置200へ出力する。光送信装置200は、取得した電気信号を光信号に変換し、当該光信号を光ファイバで構築された光伝送路へ送出する。光伝送路は、中継ネットワーク500の区間とアクセスネットワーク600の区間とに分けられる。
中継ネットワーク500は、光送信装置200とアクセスネットワーク600との間をつなぐ通信ネットワークである。中継ネットワーク500では、伝送距離が長距離に及ぶ場合等において、中継用アンプとして機能する増幅器300が多段構成される。各々の増幅器300(V-OLT)は、増幅した光信号を、後段の他の増幅器300へ送出したり、アクセスネットワーク600の区間内の例えば光受信装置400(V-ONU)等の機器へ送出したり、あるいは、光カプラによって光信号を分岐させて後段の他の増幅器300及びアクセスネットワーク600の区間内の機器の双方へ送出したりする。
一方、アクセスネットワーク600は、中継ネットワーク500と光信号を終端する各光受信装置400との間をつなぐ通信ネットワークである。アクセスネットワーク600では、中継ネットワーク500から出力された光信号を複数の加入者宅に設置された光受信装置400へ分配するために、一般的に、PON(Passive Optical Network;受動光ネットワーク)構成が適用される。更に、図11に示されるように、PON構成による光信号の分配に伴う損失及び増幅器300による光信号の分岐に伴う損失等の補償を目的として、アクセスネットワーク600にも不図示の増幅器(アクセス用アンプ)が用いられる場合がある。
上記のようなネットワーク構成を有する従来のFTTH型CATVシステム1では、光伝送方式として、例えばFM(Frequency Modulation;周波数変調)一括変換方式が用いられる(例えば、非特許文献1参照)。このFM一括変換方式では、光送信装置200は、ヘッドエンド100から出力された、周波数多重された多チャンネル映像の電気信号を受信し、当該電気信号を一括して1チャンネルの広帯域な周波数変調(FM)信号に変換する。更に、光送信装置200は、変換されたFM信号を、強度変調によって光信号に変換し、光伝送路へ送出する。一方、光受信装置400は、光伝送路から光信号を受光すると、当該光信号を電気的なFM信号へ変換し、更に復調する。これにより、光受信装置400は、周波数多重された多チャンネル映像の電気信号を取り出すことができる。
ここで、従来の光送信装置200の構成の一例について説明する。図12は、非特許文献2によって開示されている光送信装置200(Tx)の構成である。周波数多重された多チャンネルの電気信号は、帯域毎に別々に光送信装置200に入力される。ここでは、電気信号Aが電気信号入力端子11に入力され、電気信号Cが電気信号入力端子13に入力される。電気信号Aは、レーザダイオード21(LD)の後段に接続された光位相変調器31に入力され、光信号を位相変調する。一方、電気信号Cは、分配器8によって2分岐されたあと、レーザダイオード21及びレーザダイオード22にて光信号を直接変調する。光信号が入力信号によって直接変調されることによって、周波数チャーピングが生じる(すなわち、周波数変調が行われる)。このとき、図12に示されるように、分配器8によって分岐された電気信号Cの一方に移相器9を用いることで、互いに逆位相となる電気信号をレーザダイオード21及びレーザダイオード22へそれぞれ入力させるようにすることができる。これにより、残留する強度変調成分が抑圧される。
レーザダイオード21及びレーザダイオード22から出力された光信号は光合波器4によって合波され、フォトダイオード5(PD)に入力される。フォトダイオード5では光ヘテロダイン検波が行われ、レーザダイオード21及びレーザダイオード22の発振周波数差に等しい周波数を中心とするFM信号がフォトダイオード5から出力される。FM信号は、光強度変調器6に入力され、伝送用のレーザダイオード23からの出力光を強度変調する。強度変調によって生成された信号光は、伝送ファイバによって光受信装置400へ伝送される。
このように、光送信装置200に入力される段階で帯域を分離して電気信号が入力される構成である場合、光送信装置200の設計が簡易になるという利点がある。例えば、電気信号Aが低周波、電気信号Cが高周波である場合を考える。この場合、電気信号Aと電気信号Cとが分離されずに光送信装置200に入力される構成であるならば、光送信装置200内の処理回路(例えば、電気的な増幅器等)は、電気信号A及び電気信号Cの双方の帯域について処理可能な処理回路である必要がある。そのため、光送信装置200の設計が繁雑となる。一方、電気信号Aと電気信号Cとが分離されて光送信装置200に入力される構成であるならば、電気信号Aの帯域について処理を行う処理回路と電気信号Cの帯域について処理を行う処理回路とが別個に用意されるだけでよい。そのため、光送信装置200の設計が簡易となる。
ここで、電気信号Aを変調する際のレーザダイオード21、レーザダイオード22の役割について説明する。図13は、従来の光送信装置200の構成の一例を示すブロック図である。但し、電気信号Aの変調に直接関係しない構成要素については記載を省略している。
フォトダイオード5の入力端における、光位相変調器31からの出力光の電界E(t)、及びレーザダイオード22からの出力光の電界E(t)は、それぞれ以下の(1)式及び(2)式によって表すことができる。
Figure 0007640901000001
Figure 0007640901000002
ここで、tは、時刻である。E(t)及びE(t)は、時刻tにおける電界の瞬間値である。E及びEは、電界の最大値である。ω及びωは、無変調時の電界の角周波数である。電気信号φ(t)は、電気信号入力端子11から入力される電気信号である(但し、この電気信号は、電気信号入力端子11と光位相変調器31との間において損失や移相変化がないため、光位相変調器31に入力される電気信号と同じものである)。mは、光位相変調器31の変調効率を表す定数である。
これらの光入力に基づいて、フォトダイオード5においてヘテロダイン検波が行われる。この結果、出力される電気信号(ヘテロダイン検波信号)の電流I(t)は、以下の(3)式によって表される。
Figure 0007640901000003
ここで、“<・・・>”は、フォトダイオード5の帯域に応じた平均化処理を行う演算子である。すなわち、この演算子は、ω1又はω以上の角周波数で変動する成分に対し、平均化した値を与えるものである。
ここで、上記の(1)式から明らかなように、レーザダイオード21の役割は、電気信号φ(t)重畳用のキャリア光の出力である。また、上記の(2)式から明らかなように、レーザダイオード22の役割は、その電気信号φ(t)をコヒーレント受信するための局発光の出力である。
上記の(3)式に示されるように、ヘテロダイン検波の結果として出力される電流I(t)においては、光位相変調器31に入力される電気信号φ(t)に比例する値で位相変調を行う形となっている。
"ITU-T J.185: Transmission equipment for transferring multi-channel television signals over optical access networks by frequency modulation conversion," International Telecommunication Union, June 2012. 下羽利明,他,「FM一括変換方式を用いた光映像配信技術」,電子情報通信学会,信学技報,CS2019-84,IE2019-64, 2019年12月
しかしながら、上述の光送信装置200(Tx)では、帯域が分離された電気信号(電気信号A及びと電気信号C)のそれぞれに対する処理の構成が異なることから、電気信号Aと電気信号Cに対する処理を行う処理回路の設計、開発、及び生産手段の共通化が困難であるという課題がある。すなわち、電気信号Aについては位相変調を最適化すること、電気信号Cついては2個のレーザダイオード(レーザダイオード21及びレーザダイオード22)による逆位相での強度変調を最適化すること、という異なる要件が求められる。そのため、帯域が分離された電気信号に対する処理をそれぞれ行う処理回路の設計、開発、及び生産に掛かる手間がより大きくなるという課題がある。
本発明は、上記のような技術的背景に鑑みてなされたものであり、互いに異なる帯域に対する処理をそれぞれ行う複数の処理回路の設計・開発・生産手段を共通化することができる技術を提供することを目的とする。
本発明の一態様は、第1の電気信号入力部に入力された第1の電気信号に基づいて、第1のレーザダイオードからの出力光を位相変調する第1の光位相変調器と、第2の電気信号入力部に入力された第2の電気信号に基づいて、第2のレーザダイオードからの出力光を位相変調する第2の光位相変調器と、前記第1の光位相変調器からの出力光と、前記第2の光位相変調器からの出力光と、を合波する光合波器と、前記光合波器からの出力光をヘテロダイン検波信号に変換するフォトダイオードと、前記フォトダイオードから出力される前記ヘテロダイン検波信号に基づいて第3のレーザダイオードからの出力光を強度変調する光強度変調器と、を備える光送信装置である。
本発明の一態様は、第1の電気信号入力部に入力された第1の電気信号に基づいて、第1のレーザダイオードからの出力光を位相変調する第1の光位相変調ステップと、第2の電気信号入力部に入力された第2の電気信号に基づいて、第2のレーザダイオードからの出力光を位相変調する第2の光位相変調ステップと、前記第1の光位相変調ステップに位相変調された出力光と、前記第2の光位相変調ステップによって位相変調された出力光と、を合波する光合波ステップと、前記光合波ステップによって合波された出力光をヘテロダイン検波信号に変換する変換ステップと、前記ヘテロダイン検波信号に基づいて第3のレーザダイオードからの出力光を強度変調する光強度変調ステップと、を有する送信方法である。
本発明により、互いに異なる帯域に対する処理をそれぞれ行う複数の処理回路の設計・開発・生産手段を共通化することができる。
本発明の第1の実施形態に係る光送信装置200aの構成を示すブロック図である。 本発明の第1の実施形態に係る電気信号の帯域の関係を表す図である。 本発明の第1の実施形態に係る光送信装置200aの動作を示すフローチャートである。 本発明の第2の実施形態に係る光送信装置200bの構成を示すブロック図である。 本発明の第2の実施形態に係る電気信号の帯域の関係を表す図である。 本発明の第3の実施形態に係る光送信装置200cの構成を示すブロック図である。 本発明の第4の実施形態に係る光送信装置200dの構成を示すブロック図である。 本発明の第5の実施形態に係る光送信装置200eの構成を示すブロック図である。 本発明の第6の実施形態に係る光送信装置200fの構成を示すブロック図である。 本発明の第7の実施形態に係る光送信装置200gの構成を示すブロック図である。 FTTH型CATVシステムのネットワーク構成の一例を示すブロック図である。 従来の光送信装置200の構成の一例を示すブロック図である。 従来の光送信装置200の構成の一例を示すブロック図である。 本発明の第8の実施形態に係る光送信装置200hの構成を示すブロック図である。 本発明の第8の実施形態に係るバランスド受信器の構成を示す図である。 本発明の第9の実施形態に係る光送信装置200iの構成を示すブロック図である。 本発明の第10の実施形態に係る光送信装置200jの構成を示すブロック図である。 本発明の第11の実施形態に係る光送信装置200kの構成を示すブロック図である。 本発明の第12の実施形態に係る光送信装置200lの構成を示すブロック図である。 本発明の第13の実施形態に係る光送信装置200mの構成を示すブロック図である。 本発明の第14の実施形態に係る光送信装置200nの構成を示すブロック図である。 2入力2出力の光合波器41における2つの出力光の間の位相関係を説明するための図である。
以下、本発明の実施形態について説明する。なお、以下に説明する各実施形態おけるネットワークシステムのシステム構成は、前述の図11に示される従来のFTTH型CATVシステム1のネットワーク構成と同様であるため、説明を省略する。
<第1の実施形態>
以下、本発明の第1の実施形態について、図面を参照しながら説明する。
[光送信装置の構成]
以下、本発明の第1の実施形態に係る光送信装置の構成について説明する。図1は、本発明の第1の実施形態に係る光送信装置200aの構成を示すブロック図である。
図1に示されるように、光送信装置200aは、2つの電気信号入力端子(電気信号入力端子11~12)と、3つのレーザダイオード(レーザダイオード21~23)(LD)と、2つの光位相変調器(光位相変調器31~32)と、光合波器4と、フォトダイオード5(PD)と、光強度変調器6と、光信号出力端子7と、を含んで構成される。
電気信号Aが、電気信号入力端子11から光送信装置200aの内部に取り込まれ、光位相変調器31の入力端子に入力される。また、電気信号Bが、電気信号入力端子12から光送信装置200aの内部に取り込まれ、光位相変調器32の入力端子に入力される。
レーザダイオード21から出力された光は、光位相変調器31において、電気信号Aによって位相変調される。また、レーザダイオード22から出力された光は、光位相変調器32において、電気信号Bによって位相変調される。これらの位相変調された光は、光合波器4によって合波され、フォトダイオード5に入力される。
フォトダイオード5ではヘテロダイン検波が行われる。フォトダイオード5から出力される電気信号(ヘテロダイン検波信号)は、光強度変調器6の入力端子に入力される。一方、レーザダイオード23から出力された光は、光強度変調器6において、フォトダイオード5から出力される電気信号によって強度変調される。強度変調された信号光は、光信号出力端子7から光送信装置200aの外部へ出力される。
なお、光送信装置200aは、光位相変調器31及び光位相変調器32、あるいは、光強度変調器6が駆動する際に、各電気信号入力端子からそれぞれ入力される電気信号の振幅、あるいは、バイアスを調整し、変調量を制御することがある。そのため、光送信装置200aに、増幅器、減衰器、及びバイアスティーが用いられる場合がある。
フォトダイオード5の入力端における、光位相変調器31の出力光の電界E(t)、及び光位相変調器32の出力光の電界E(t)は、それぞれ以下の(4)式及び(5)式によって表すことができる。
Figure 0007640901000004
Figure 0007640901000005
ここで、tは、時刻である。E(t)及びE(t)は、時刻tにおける電界の瞬間値である。E及びEは、電界の最大値である。ω及びωは、無変調時の電界の角周波数である。電気信号φ(t)及び電気信号φ(t)は、電気信号入力端子11及び電気信号入力端子12からそれぞれ入力される電気信号である(但し、この電気信号は、電気信号入力端子11と光位相変調器31との間において損失や移相変化がないため、光位相変調器31に入力される電気信号と同じものである)。mは、光位相変調器31及び光位相変調器32の変調効率を表す定数である。
これらの光入力に基づいて、フォトダイオード5においてヘテロダイン検波が行われる。この結果、出力されるヘテロダイン検波信号の電流I(t)は、以下の(6)式によって表される。
Figure 0007640901000006
ここで、“<・・・>”は、フォトダイオード5の帯域に応じた平均化処理を行う演算子である。すなわち、この演算子は、ω1又はω以上の角周波数で変動する成分に対し、平均化した値を与えるものである。
ここで、上記の(4)式及び(5)式から明らかなように、レーザダイオード21の役割は電気信号φ(t)重畳用のキャリア光の出力であり、レーザダイオード22の役割は及び電気信号φ(t)重畳用のキャリア光の出力である。そして、レーザダイオード21から出力されたキャリア光に重畳された電気信号φ(t)は、電気信号φ(t)が重畳されたレーザダイオード22から出力されたキャリア光を用いてコヒーレント受信されている。同様に、レーザダイオード22から出力されたキャリア光に重畳された電気信号φ(t)は、電気信号φ(t)が重畳されたレーザダイオード21から出力されたキャリア光を用いてコヒーレント受信されている。
このように、本実施形態に係る光送信装置200aの構成は、図13及び(1)~(2)式に示される従来の光送信装置200の構成とは異なる。にもかかわらず、上記の(6)式に示される、ヘテロダイン検波の結果として出力される電流I(t)においては、光位相変調器31に入力される電気信号φ(t)、及び光位相変調器32に入力される電気信号φ(t)は、線形和された上で位相変調が行われる形となっている。したがって、位相変調は、従来の光送信装置200の構成と同様に行われていることが分かる。
但しここで、電気信号φ(t)及び電気信号φ(t)は、周波数が互いに重複しないように設定される必要がある。このように設定がなされることで、これらの電気信号間における干渉を無くすことができる。また、このように設定がなされることで、これらの電気信号の線形和(すなわち、上記の(6)式におけるm(φ(t)-φ(t))の分離が容易になる。このように設定された電気信号φ(t)及び電気信号φ(t)の、周波数軸上における2つの配置例を、図2に示す。
[光送信装置の動作]
以下、本発明の第1の実施形態に係る光送信装置の動作の一例について説明する。図3は、本発明の第1の実施形態に係る光送信装置200aの動作を示すフローチャートである。
本フローチャートが示す光送信装置200aの動作は、電気信号Aが電気信号入力端子11に入力され、電気信号Bが電気信号入力端子12に入力された際に開始する。電気信号入力端子11は、電気信号Aを光位相変調器31に入力する。電気信号入力端子12は、電気信号Bを光位相変調器32に入力する(ステップS01)。
光位相変調器31は、レーザダイオード21が出力した光を電気信号Aによって位相変調する。光位相変調器32は、レーザダイオード22が出力した光を電気信号Bによって位相変調する(ステップS02)。
光合波器4は、光位相変調器31からの出力光と、光位相変調器32からの出力光とを合波する(ステップS03)。フォトダイオード5は、光合波器4によって合波された光に対しヘテロダイン検波を行う(ステップS04)。
光強度変調器6は、レーザダイオード23が出力した光を、フォトダイオード5から出力された電気信号によって強度変調する(ステップS05)。光信号出力端子7は、強度変調された信号光を中継ネットワーク500へ出力する。以上で、図3のフローチャートが示す光送信装置200の動作が終了する。
以上説明したように、第1の実施形態に係る光送信装置200aは、電気信号φ(t)に対して信号処理を行うレーザダイオード21及び光位相変調器31と、電気信号φ(t)に対して信号処理を行うレーザダイオード22及び光位相変調器32とを、それぞれ備える。このような構成を備えることで、第1の実施形態に係る光送信装置200aによれば、電気信号φ(t)に対する信号処理の構成、及び電気信号φ(t)に対する信号処理の構成を、いずれも従来の光送信装置200の信号処理の構成と同一にすることができる。各電気信号に対する信号処理の構成が同一となることによって、光送信装置200aの、各電気信号に対する処理回路の設計、開発、及び生産手段の共通化が可能となる。
<第2の実施形態>
以下、本発明の第2の実施形態について、図面を参照しながら説明する。
[光送信装置の構成]
以下、本発明の第2の実施形態に係る光送信装置の構成について説明する。図4は、本発明の第2の実施形態に係る光送信装置200bの構成を示すブロック図である。
図4に示されるように、光送信装置200bは、3つの電気信号入力端子(電気信号入力端子11~13)と、3つのレーザダイオード(レーザダイオード21~23)(LD)と、2つの光位相変調器(光位相変調器31~32)と、光合波器4と、フォトダイオード5(PD)と、光強度変調器6と、光信号出力端子7と、分配器8と、入力信号を180度移相する移相器9と、を含んで構成される。
電気信号Aが、電気信号入力端子11から光送信装置200bの内部に取り込まれ、光位相変調器31の入力端子に入力される。また、電気信号Bが、電気信号入力端子12から光送信装置200bの内部に取り込まれ、光位相変調器32の入力端子に入力される。
また、電気信号Cは、電気信号入力端子13から光送信装置200bの内部に取り込まれ、分配器8で2分割される。2分割された電気信号Cの一方は、レーザダイオード21の駆動電流入力端子に入力され直接変調される。2分割された電気信号Cのもう一方は、移相器9を透過した後にレーザダイオード22の駆動電流入力端子に入力され直接変調される。
レーザダイオード21から出力された光は、光位相変調器31において、電気信号Aによって位相変調される。また、レーザダイオード22から出力された光は、光位相変調器32において、電気信号Bによって位相変調される。これらの位相変調された光は、光合波器4によって合波され、フォトダイオード5に入力される。
フォトダイオード5ではヘテロダイン検波が行われる。フォトダイオード5から出力される電気信号は、光強度変調器6の入力端子に入力される。一方、レーザダイオード23から出力された光は、光強度変調器6において、フォトダイオード5から出力される電気信号によって強度変調される。強度変調された信号光は、光信号出力端子7から光送信装置200bの外部へ出力される。
なお、光送信装置200bは、光位相変調器31及び光位相変調器32、あるいは、光強度変調器6が駆動する際に、各電気信号入力端子からそれぞれ入力される電気信号の振幅、あるいは、バイアスを調整し、変調量を制御することがある。そのため、光送信装置200bに、増幅器、減衰器、及びバイアスティーを用いられる場合がある。
フォトダイオード5の入力端における、光位相変調器31の出力光の電界E(t)、及び光位相変調器32の出力光の電界E(t)は、それぞれ以下の(7)式及び(8)式によって表すことができる。
Figure 0007640901000007
Figure 0007640901000008
ここで、tは、時刻である。E(t)及びE(t)は、時刻tにおける電界の瞬間値である。E及びEは、電界の最大値である。ω及びωは、無変調時の電界の角周波数である。電気信号φ(t)及び電気信号φ(t)は、電気信号入力端子11及び電気信号入力端子12からそれぞれ入力される電気信号である(但し、この電気信号は、電気信号入力端子11と光位相変調器31との間において損失や移相変化がないため、光位相変調器31に入力される電気信号と同じものである)。電気信号φ(t)は、電気信号入力端子13から入力される電気信号である。mは、光位相変調器31及び光位相変調器32の変調効率を表す定数である。M/2は、レーザダイオード21及びレーザダイオード22の変調効率を表す定数を、分配器8の分岐損で減じた値である。
なお、上記の通り、(7)式及び(8)式の右辺の演算子cos()内において、周波数変調の効果を表す第3項は積分によって表される(参考文献:守倉正博 編著,「OHM大学テキスト 通信方式」,オーム社,ISBN978-4-274-21473-8,pp.76-77,2013年11月)。また、第3項の前に付与される符号は、移相器9を含む経路側では「+」となり、移相器9を含まない経路側では「-」となる。
これらの光入力に基づいて、フォトダイオード5においてヘテロダイン検波が行われる。この結果、出力されるヘテロダイン検波信号の電流I(t)は、以下の(9)式によって表される。
Figure 0007640901000009
ここで、“<・・・>”は、フォトダイオード5の帯域に応じた平均化処理を行う演算子である。すなわち、この演算子は、ω1又はω以上の角周波数で変動する成分に対し、平均化した値を与えるものである。
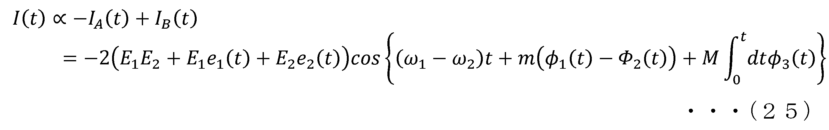
上記の(9)式に示されるように、ヘテロダイン検波の結果として出力される電流I(t)においては、光位相変調器31及び光位相変調器32に入力される電気信号φ(t)及び電気信号φ(t)と、分配器8に入力される電気信号φ(t)の積分値∫ dtφ(t)は、線形和した上で位相変調を行う形となっている。したがって、電気信号φ(t)と電気信号φ(t)と電気信号φ(t)とが互いに周波数が重複しないように設定がなされることで、これらの電気信号間における干渉を無くすことができる。また、このように設定がなされることで、これらの電気信号の分離が容易になる。このように設定された電気信号φ(t)、電気信号φ(t)、及び電気信号φ(t)の、周波数軸上における6つの配置例を、図5に示す。
以上説明したように、第2の実施形態に係る光送信装置200bによれば、電気信号φ(t)に対する信号処理の構成、及び電気信号φ(t)に対する信号処理の構成を、いずれも従来の光送信装置200の信号処理の構成と同一にすることができる。各電気信号に対する信号処理の構成が同一となることによって、光送信装置200aの、各電気信号に対する処理回路の設計、開発、及び生産手段の共通化が可能となる。また、第3の電気信号φ(t)に対しては、従来の信号処理の構成とは異なるものの、多重することができる。すなわち、第2の実施形態に係る光送信装置200bによれば、従来の光送信装置200に比べて、電気信号の多重数を増加させることが可能になる。
<第3の実施形態>
以下、本発明の第3の実施形態について、図面を参照しながら説明する。
[光送信装置の構成]
以下、本発明の第3の実施形態に係る光送信装置の構成について説明する。図6は、本発明の第3の実施形態に係る光送信装置200cの構成を示すブロック図である。
図6に示されるように、光送信装置200cは、2つの電気信号入力端子(電気信号入力端子11~12)と、3つのレーザダイオード(レーザダイオード21~23)(LD)と、2つの光位相変調器(光位相変調器31~32)と、光合波器4と、フォトダイオード5(PD)と、光強度変調器6と、光信号出力端子7と、2つの積分回路(積分回路101~102)と、を含んで構成される。
図6に示されるように、本実施形態に係る光送信装置200cは、図4に示される第1の実施形態に係る光送信装置200aに対し、積分回路101と積分回路102とが追加された構成である。
電気信号Aが、電気信号入力端子11から光送信装置200cの内部に取り込まれ、積分回路101の入力端子に入力される。また、電気信号Bが、電気信号入力端子12から光送信装置200cの内部に取り込まれ、積分回路102の入力端子に入力される。積分回路101は、電気信号入力端子11と光位相変調器31との間に配置される。また、積分回路102は、電気信号入力端子12と光位相変調器32との間に配置される。
一般的に、電気信号A(φ(t))を時間で積分した値によって位相変調を行った場合、電気信号φ(t)で周波数変調した場合と同じFM信号が得られ、電気信号B(φ(t))を時間で積分した値によって位相変調を行った場合、電気信号φ(t)で周波数変調した場合と同じFM信号が得られる(上記の参考文献を参照)。したがって、電気信号φ(t)を積分回路101で積分した値∫ dtφ(t)にて位相変調を行い、電気信号φ(t)を積分回路102で積分した値∫ dtφ(t)にて位相変調を行う本構成では、フォトダイオード5から出力される電流I(t)は、以下の(10)式によって表される。
Figure 0007640901000010
ここで、tは、時刻である。E(t)及びE(t)は、時刻tにおける電界の瞬間値である。E及びEは、電界の最大値である。ω及びωは、無変調時の電界の角周波数である。電気信号φ(t)及び電気信号φ(t)は、電気信号入力端子11及び電気信号入力端子12からそれぞれ入力される電気信号である。mは、光位相変調器31及び光位相変調器32の変調効率を表す定数である。
以上説明したように、第3の実施形態に係る光送信装置200cによれば、電気信号φ(t)及び電気信号φ(t)の入力に対し、光送信装置200cからの出力時の光信号の変調形式を周波数変調に変更することが可能となる。これにより、本実施形態に係る光送信装置200cは、周波数変調の復調形式に対応する光受信装置が用いられるネットワークシステムに適用することができる。また、変調形式が統一されることで、周波数変調の復調形式に対応する光受信装置のみを用意すればよいため、装置コスト等のコストが削減される。
<第4の実施形態>
以下、本発明の第4の実施形態について、図面を参照しながら説明する。
[光送信装置の構成]
以下、本発明の第4の実施形態に係る光送信装置の構成について説明する。図7は、本発明の第4の実施形態に係る光送信装置200dの構成を示すブロック図である。
図7に示されるように、光送信装置200dは、3つの電気信号入力端子(電気信号入力端子11~13)と、3つのレーザダイオード(レーザダイオード21~23)(LD)と、2つの光位相変調器(光位相変調器31~32)と、光合波器4と、フォトダイオード5(PD)と、光強度変調器6と、光信号出力端子7と、分配器8と、移相器9と、2つの積分回路(積分回路101~102)と、を含んで構成される。
図7に示されるように、本実施形態に係る光送信装置200dは、図4に示される第2の実施形態に係る光送信装置200bに対し、積分回路101と積分回路102とが追加された構成である。
電気信号Aが、電気信号入力端子11から光送信装置200dの内部に取り込まれ、積分回路101の入力端子に入力される。また、電気信号Bが、電気信号入力端子12から光送信装置200cの内部に取り込まれ、積分回路102の入力端子に入力される。積分回路101は、電気信号入力端子11と光位相変調器31との間に配置される。また、積分回路102は、電気信号入力端子12と光位相変調器32との間に配置される。また、電気信号Cが、電気信号入力端子13から光送信装置200dの内部に取り込まれ、分配器8の入力端子に入力される。
一般的に、電気信号A(φ(t))を時間で積分した値によって位相変調を行った場合、電気信号φ(t)で周波数変調した場合と同じFM信号が得られ、電気信号B(φ(t))を時間で積分した値によって位相変調を行った場合、電気信号φ(t)で周波数変調した場合と同じFM信号が得られる(上記の参考文献を参照)。したがって、電気信号φ(t)を積分回路101で積分した値∫ dtφ(t)にて位相変調を行い、電気信号φ(t)を積分回路102で積分した値∫ dtφ(t)にて位相変調を行う本構成では、フォトダイオード5から出力されるヘテロダイン検波信号の電流I(t)は、以下の(11)式によって表される。
Figure 0007640901000011
ここで、tは、時刻である。E(t)及びE(t)は、時刻tにおける電界の瞬間値である。E及びEは、電界の最大値である。ω及びωは、無変調時の電界の角周波数である。電気信号φ(t)、電気信号φ(t)及び電気信号φ(t)は、電気信号入力端子11、電気信号入力端子12、及び電気信号入力端子13からそれぞれ入力される電気信号である。mは、光位相変調器31及び光位相変調器32の変調効率を表す定数である。
以上説明したように、第4の実施形態に係る光送信装置200dによれば、3つの電気信号(電気信号φ(t)、電気信号φ(t)、及び電気信号φ(t))に対し、光送信装置200dからの出力時の光信号の変調形式を周波数変調に変更することが可能となる。これにより、本実施形態に係る光送信装置200dは、周波数変調の復調形式に対応する光受信装置が用いられるネットワークシステムに適用することができる。また、変調形式が統一されることで、周波数変調の復調形式に対応する光受信装置のみを用意すればよいため、装置コスト等のコストが削減される。
<第5の実施形態>
以下、本発明の第5の実施形態について、図面を参照しながら説明する。
[光送信装置の構成]
以下、本発明の第5の実施形態に係る光送信装置の構成について説明する。図8は、本発明の第5の実施形態に係る光送信装置200eの構成を示すブロック図である。
図8に示されるように、光送信装置200eは、3つの電気信号入力端子(電気信号入力端子11~13)と、3つのレーザダイオード(レーザダイオード21~23)(LD)と、2つの光位相変調器(光位相変調器31~32)と、光合波器4と、フォトダイオード5(PD)と、光強度変調器6と、光信号出力端子7と、分配器8と、移相器9と、微分回路111と、を含んで構成される。
図8に示されるように、本実施形態に係る光送信装置200eは、図4に示される第2の実施形態に係る光送信装置200bに対し、微分回路111が追加された構成である。
電気信号Aが、電気信号入力端子11から光送信装置200eの内部に取り込まれ、光位相変調器31の入力端子に入力される。また、電気信号Bが、電気信号入力端子12から光送信装置200eの内部に取り込まれ、光位相変調器32の入力端子に入力される。また、電気信号Cが、電気信号入力端子13から光送信装置200eの内部に取り込まれ、微分回路111の入力端子に入力される。微分回路111は、電気信号入力端子13と分配器8との間に配置される。
一般的に、電気信号C(φ(t))を時間で微分した値によって周波数変調を行った場合、電気信号φ(t)で位相変調した場合と同じ位相変調(PM)信号が得られる(上記の参考文献を参照)。したがって、電気信号φ(t)を微分回路111で微分した値(d/dt)φ(t)にて周波数変調を行う本構成では、(以下の(12)式によって表される処理を行うことになるため)フォトダイオード5から出力されるヘテロダイン検波信号の電流I(t)は、以下の(13)式によって表される。
Figure 0007640901000012
Figure 0007640901000013
ここで、tは、時刻である。E(t)及びE(t)は、時刻tにおける電界の瞬間値である。E及びEは、電界の最大値である。ω及びωは、無変調時の電界の角周波数である。電気信号φ(t)、電気信号φ(t)及び電気信号φ(t)は、電気信号入力端子11、電気信号入力端子12、及び電気信号入力端子13からそれぞれ入力される電気信号である。mは、光位相変調器31及び光位相変調器32の変調効率を表す定数である。
以上説明したように、第5の実施形態に係る光送信装置200eによれば、3つの電気信号(電気信号φ(t)、電気信号φ(t)、及び電気信号φ(t))に対し、光送信装置200eからの出力時の光信号の変調形式を位相変調に統一することが可能となる。変調形式が統一されることで、位相変調の復調形式に対応する光受信装置のみを用意すればよくなるため、装置コスト等のコストが削減される。
<第6の実施形態>
以下、本発明の第6の実施形態について、図面を参照しながら説明する。
[光送信装置の構成]
以下、本発明の第6の実施形態に係る光送信装置の構成について説明する。図9は、本発明の第6の実施形態に係る光送信装置200fの構成を示すブロック図である。
図9に示されるように、光送信装置200fは、3つの電気信号入力端子(電気信号入力端子11~13)と、3つのレーザダイオード(レーザダイオード21~23)(LD)と、2つの光位相変調器(光位相変調器31~32)と、光合波器4と、フォトダイオード5(PD)と、光強度変調器6と、光信号出力端子7と、分配器8と、移相器9と、2つの微分回路(微分回路111~112)と、を含んで構成される。
図9に示されるように、本実施形態に係る光送信装置200fは、図4に示される第2の実施形態に係る光送信装置200bに対し、微分回路111と微分回路112とが追加された構成である。
電気信号Aが、電気信号入力端子11から光送信装置200fの内部に取り込まれ、光位相変調器31の入力端子に入力される。また、電気信号Bが、電気信号入力端子12から光送信装置200fの内部に取り込まれ、光位相変調器32の入力端子に入力される。また、電気信号Cが、電気信号入力端子13から光送信装置200fの内部に取り込まれ、分配器8の入力端子に入力される。微分回路111は、分配器8とレーザダイオード21との間に配置される。また、微分回路112は、分配器8と移相器9との間に配置される。
前述の図8に示される第5の実施形態に係る光送信装置200eが電気信号Cを微分処理した後に分配するのに対し、本実施形態に係る光送信装置200fは、電気信号Cを分配した後に微分処理を行う。第5の実施形態に係る光送信装置200eの構成と本実施形態に係る光送信装置200fの構成との差異は、上記の点のみである。
以上説明したように、第6の実施形態に係る光送信装置200fによれば、前述の第5の実施形態に係る光送信装置200eと同様に、3つの電気信号(電気信号φ(t)、電気信号φ(t)、及び電気信号φ(t))に対し、光送信装置200fからの出力時の光信号の変調形式を位相変調に統一することが可能となる。変調形式が統一されることで、位相変調の復調形式に対応する光受信装置のみを用意すればよくなるため、装置コスト等のコストが削減される。
<第7の実施形態>
以下、本発明の第7の実施形態について、図面を参照しながら説明する。
[光送信装置の構成]
以下、本発明の第7の実施形態に係る光送信装置の構成について説明する。図10は、本発明の第7の実施形態に係る光送信装置200gの構成を示すブロック図である。
図10に示されるように、光送信装置200gは、3つの電気信号入力端子(電気信号入力端子11~13)と、3つのレーザダイオード(レーザダイオード21~23)(LD)と、2つの光位相変調器(光位相変調器31~32)と、光合波器4と、フォトダイオード5(PD)と、光強度変調器6と、光信号出力端子7と、分配器8と、移相器9と、2つの微分回路(微分回路111~112)と、を含んで構成される。
図10に示されるように、本実施形態に係る光送信装置200gは、図4に示される第2の実施形態に係る光送信装置200bに対し、微分回路111と微分回路112とが追加された構成である。
電気信号Aが、電気信号入力端子11から光送信装置200gの内部に取り込まれ、光位相変調器31の入力端子に入力される。また、電気信号Bが、電気信号入力端子12から光送信装置200gの内部に取り込まれ、光位相変調器32の入力端子に入力される。また、電気信号Cが、電気信号入力端子13から光送信装置200gの内部に取り込まれ、分配器8の入力端子に入力される。微分回路111は、分配器8とレーザダイオード21との間に配置される。また、微分回路112は、移相器9とレーザダイオード22との間に配置される。
前述の図8に示される第5の実施形態に係る光送信装置200eが電気信号Cを微分処理した後に分配するのに対し、本実施形態に係る光送信装置200gは、電気信号Cを分配した後に微分処理を行う。第5の実施形態に係る光送信装置200eの構成と本実施形態に係る光送信装置200gの構成との差異は、上記の点のみである。
以上説明したように、第7の実施形態に係る光送信装置200gによれば、前述の第5の実施形態に係る光送信装置200e及び第6の実施形態に係る光送信装置200fと同様に、3つの電気信号(電気信号φ(t)、電気信号φ(t)、及び電気信号φ(t))に対し、光送信装置200gからの出力時の光信号の変調形式を位相変調に統一することが可能となる。変調形式が統一されることで、位相変調の復調形式に対応する光受信装置のみを用意すればよくなるため、装置コスト等のコストが削減される。
以上説明したように、上述した各実施形態に係る光送信装置(光送信装置200a~200g)によれば、電気信号φ(t)に対する信号処理の構成と、電気信号φ(t)に対する信号処理の構成とを、同一にすることができる。各電気信号に対する信号処理の構成が同一となることによって、光送信装置の、各電気信号に対する処理回路の設計、開発、及び生産手段の共通化が可能となる。
また、上述した各実施形態に係る光送信装置(光送信装置200a~200g)によれば、出力時の光信号の変調形式を周波数変調又は位相変調に統一することが可能となる。変調形式が統一されることで、周波数変調又は位相変調のいずれか一方の復調形式に対応する光受信装置のみを用意すればよくなるため、装置コスト等のコストが削減される。
<第8の実施形態>
以下、本発明の第8の実施形態について、図面を参照しながら説明する。
[光送信装置の構成]
以下、本発明の第8の実施形態に係る光送信装置の構成について説明する。図14は、本発明の第8の実施形態に係る光送信装置200hの構成を示すブロック図である。
図14に示されるように、光送信装置200hは、2つの電気信号入力端子(電気信号入力端子11~12)と、3つのレーザダイオード(レーザダイオード21~23)(LD)と、2つの光位相変調器(光位相変調器31~32)と、光合波器41と、2つのフォトダイオード(フォトダイオード51~52)(PD)と、光強度変調器6と、光信号出力端子7と、を含んで構成される。
図14に示されるように、本実施形態に係る光送信装置200hは、図1に示される第1の実施形態に係る光送信装置200aに対し、2入力1出力の光合波器4が2入力2出力の光合波器41となっている点、1つのフォトダイオード5が2つのフォトダイオード51及びフォトダイオード52となっている点、フォトダイオード51及びフォトダイオード52が光合波器41の2つの出力端子にそれぞれ接続されている点、及び、フォトダイオード51とフォトダイオード52との接続点から光強度変調器6へ電気信号(ヘテロダイン検波信号)が出力される点が異なる構成である。
電気信号Aが、電気信号入力端子11から光送信装置200hの内部に取り込まれ、光位相変調器31の入力端子に入力される。また、電気信号Bが、電気信号入力端子12から光送信装置200hの内部に取り込まれ、光位相変調器32の入力端子に入力される。
レーザダイオード21から出力された光は、光位相変調器31において、電気信号Aによって位相変調される。また、レーザダイオード22から出力された光は、光位相変調器32において、電気信号Bによって位相変調される。これらの位相変調された光は、2入力2出力の光合波器41によって合波された後に分波され、フォトダイオード51及びフォトダイオード52にそれぞれ入力される。
図15は、本発明の第8の実施形態に係るバランスド受信器の構成を示す図である。上記の2つのフォトダイオード51及びフォトダイオード52は、バランスド受信器を構成している。バランスド受信器を構成する方法として、例えば図15の(a)に示されるように、フォトダイオード51のアノードとフォトダイオード52のカソードとを接続し、その接続点から電流を出力する方法がある(なお、フォトダイオード51のカソードとフォトダイオード52のアノードに接続される、定電圧源、あるいは、グランド等は、図15(a)では不図示としている)。
また、バランスド受信器を構成する他の方法として、例えば図15の(b)に示されるように、フォトダイオード51のカソードとフォトダイオード52のアノードとを接続し、その接続点から電流を出力する方法がある(なお、フォトダイオード51のアノードとフォトダイオード52のカソードに接続される、定電圧源、あるいは、グランド等は、図15(b)では不図示としている)。
フォトダイオード51及びフォトダイオード52ではヘテロダイン検波がそれぞれ行われる。フォトダイオード51及びフォトダイオード52からそれぞれ出力される電気信号(ヘテロダイン検波信号)は、結合された後に、光強度変調器6の入力端子に入力される。一方、レーザダイオード23から出力された光は、光強度変調器6において、フォトダイオード51及びフォトダイオード52からそれぞれ出力される電気信号によって強度変調される。強度変調された信号光は、光信号出力端子7から光送信装置200hの外部へ出力される。
なお、光送信装置200hは、光位相変調器31及び光位相変調器32、あるいは、光強度変調器6が駆動する際に、各電気信号入力端子からそれぞれ入力される電気信号の振幅、あるいは、バイアスを調整し、変調量を制御することがある。そのため、光送信装置200hに、増幅器、減衰器、及びバイアスティーが用いられる場合がある。
光合波器41の入力端における、光位相変調器31の出力光の電界E'(t)、及び光位相変調器32の出力光の電界E'(t)は、それぞれ以下の(14)式及び(15)式によって表すことができる(詳細は後述される補遺にて説明)。
Figure 0007640901000014
Figure 0007640901000015
ここで、tは、時刻である。E'(t)及びE'(t)は、時刻tにおける電界の瞬間値である。(√2・E+√2・e(t))及び(√2・E+√2・e(t))は、電界の振幅である。このうち、√2・E及び√2・Eはレーザダイオード21及びレーザダイオード22の出力電界振幅を表す定数である。
一方、√2・e(t)及び√2・e(t)は時刻tにおけるレーザダイオード21及びレーザダイオード22の出力電界振幅の揺らぎを表す変数である。なお、これらの揺らぎは、本来は前述の第1~7の実施形態における光送信装置でも存在しているが、説明の便宜上、そちらでは省略している。
ω及びωは、無変調時の電界の角周波数である。電気信号φ(t)及び電気信号φ(t)は、電気信号入力端子11及び電気信号入力端子12からそれぞれ入力される電気信号である。但し、この電気信号は、電気信号入力端子11と光位相変調器31との間において損失や移相変化がないことから、光位相変調器31に入力される電気信号と同じものである)。mは、光位相変調器31及び光位相変調器32の変調効率を表す定数である。
光合波器41では、一般に、端子a(あるいは端子b)から入力された光が分波されて端子A及び端子Bから出力される場合、出力光どうしの位相は相対的に90°差を持つことになる。
このため、光合波器41を透過し端子Aから出力される光のフォトダイオード51の入力端における電界は、光位相変調器31由来成分EA1(t)及び光位相変調器32由来成分EA2(t)ごとに、それぞれ以下の(16)式及び(17)式によって表すことができる(詳細は後述される補遺にて説明)。
Figure 0007640901000016
Figure 0007640901000017
出力光どうしの位相は相対的に90°差を持った結果、端子aから端子Aに透過する光の電界の位相は変化せず((14)式におけるcos⇒(16)式におけるcos)、端子bから端子Aに透過する光の電界の位相は90°変化している((15)式における-sin⇒(17)式におけるcos)。
同様に、光合波器41を透過し端子Bから出力される光のフォトダイオード52の入力端における電界は、光位相変調器31由来成分EB1(t)及び光位相変調器32由来成分EB2(t)ごとに、それぞれ以下の(18)式及び(19)式によって表すことができる。
Figure 0007640901000018
Figure 0007640901000019
出力光どうしの位相は相対的に90°差を持った結果、端子aから端子Bに透過する光の電界の位相は90°変化し((14)式におけるcos⇒(18)式におけるsin)、端子bから端子Bに透過する光の電界の位相は変化していない((15)式における-sin⇒(19)式における-sin)。
ここで、フォトダイオード51では、(16)式及び(17)式で表される光の入力に基づいて、ヘテロダイン検波が行われる。この結果、出力されるヘテロダイン検波信号の電流I(t)は、(16)式及び(17)式を用い、以下の(20)式によって表される。
Figure 0007640901000020
ここで、“<・・・>”は、フォトダイオード51の帯域に応じた平均化処理を行う演算子である。すなわち、この演算子は、ω1又はω以上の角周波数で変動する成分に対し、平均化した値を与えるものである。なお、e(t)及びe(t)は微小であることから、e(t)2、e(t)2、及び、e(t)e(t)の値は0とした。
同様に、フォトダイオード52では、(18)式及び(19)式で表される光の入力に基づいて、ヘテロダイン検波が行われる。この結果、出力されるヘテロダイン検波信号の電流I(t)は、(18)式及び(19)式を用い、以下の(21)式によって表される。
Figure 0007640901000021
ここで、“<・・・>”は、フォトダイオード52の帯域に応じた平均化処理を行う演算子である。すなわち、この演算子は、ω1又はω以上の角周波数で変動する成分に対し、平均化した値を与えるものである。なお、e(t)及びe(t)は微小であることから、e(t)2、e(t)2、及び、e(t)e(t)の値は0とした。
フォトダイオード51及びフォトダイオード52それぞれから出力された電流I(t)及びI(t)は、上述の通り結合され電流I(t)の電気信号になった後、光強度変調器6に入力される。この電流I(t)(ヘテロダイン検波信号)は、以下の(22)式によって表される。
Figure 0007640901000022
なお、ここで、I(t)とI(t)とが互いに逆符号で合成されるのは、フォトダイオード51及びフォトダイオード52がバランスド受信器構成をとっているためである。
上記の(20)式、(21)式及び(22)式の比較から明らかなように、フォトダイオードが1つだけの構成に対し、フォトダイオードが2つでバランスド受信器とする構成によって、出力電気信号から、直流成分E1 2、E2 2や揺らぎに起因する成分E11(t)、E22(t)が消失する。特に、揺らぎに起因する成分E11(t)、E22(t)は雑音として信号劣化要因となる。そのため、第8の実施形態に係る光送信装置200hによれば、成分E11(t)及びE22(t)が消失することによって信号の品質(CNR;Carrier-to-Noise Ratio)が向上するという効果がある。
なお、バランスド受信器を用いた先行技術として、光合分波器で1つの信号光と1つの局部発振光(無変調光)を合分波し、局部発振光から発生する雑音(相対強度雑音)を除去しながら検波する構成が知られている(参考文献:岩下克,「コヒーレント光通信技術の進展」,日本光学会会誌38巻5号,p.239,2009年5月)。しかしながら、この参考文献には、第8の実施形態における光送信装置200hのように、2つの信号光を合分波し、2つの信号光双方から発生する雑音(E(t)、及び、E(t))を除去しながら検波する構成は開示されておらず、当該構成や効果についての示唆もない。
<第9の実施形態>
以下、本発明の第9の実施形態について、図面を参照しながら説明する。
[光送信装置の構成]
以下、本発明の第9の実施形態に係る光送信装置の構成について説明する。図16は、本発明の第9の実施形態に係る光送信装置200iの構成を示すブロック図である。
図16に示されるように、光送信装置200iは、3つの電気信号入力端子(電気信号入力端子11~13)と、3つのレーザダイオード(レーザダイオード21~23)(LD)と、2つの光位相変調器(光位相変調器31~32)と、光合波器41と、2つのフォトダイオード(フォトダイオード51~52)(PD)と、光強度変調器6と、光信号出力端子7と、分配器8と、入力信号を180度移相する移相器9と、を含んで構成される。
図16に示されるように、本実施形態に係る光送信装置200iは、図4に示される第2の実施形態に係る光送信装置200bに対し、2入力1出力の光合波器4が2入力2出力の光合波器41となっている点、1つのフォトダイオード5が2つのフォトダイオード51及びフォトダイオード52となっている点、フォトダイオード51及びフォトダイオード52が光合波器41の2つの出力端子にそれぞれ接続されている点、及び、フォトダイオード51とフォトダイオード52との接続点から光強度変調器6へ電気信号(ヘテロダイン検波信号)が出力される点が異なる構成である。
前述の第2の実施形態における数式展開と前述の第8の実施形態における数式展開との組み合わせにより、フォトダイオード51及びフォトダイオード52からそれぞれ出力されるヘテロダイン検波信号の電流I(t)及びI(t)は、以下の(23)式及び(24)式によって表される。
Figure 0007640901000023
Figure 0007640901000024
フォトダイオード51及びフォトダイオード52からそれぞれ出力された電流I(t)及びI(t)は、結合されて電流I(t)の電気信号になった後、光強度変調器6に入力される。この電流I(t)(ヘテロダイン検波信号)は、以下の(25)式によって表される。
Figure 0007640901000025
なお、ここで、I(t)とI(t)が互いに逆符号で合成されるのは、フォトダイオード51及びフォトダイオード52がバランスド受信器構成をとっているためである。
上記の(23)式、(24)式及び(25)式の比較から明らかなように、フォトダイオードが1つだけの構成に対し、フォトダイオードが2つでバランスド受信器とする構成によって、出力電気信号から、直流成分E1 2、E2 2や揺らぎに起因する成分E11(t)、E22(t)が消失する。特に、揺らぎに起因する成分E11(t)、E22(t)は雑音として信号劣化要因となる。そのため、第9の実施形態に係る光送信装置200iによれば、成分E11(t)及びE22(t)が消失することによって信号の品質(CNR)が向上するという効果がある。
<第10の実施形態>
以下、本発明の第10の実施形態について、図面を参照しながら説明する。
[光送信装置の構成]
以下、本発明の第10の実施形態に係る光送信装置の構成について説明する。図17は、本発明の第10の実施形態に係る光送信装置200jの構成を示すブロック図である。
図17に示されるように、光送信装置200jは、2つの電気信号入力端子(電気信号入力端子11~12)と、3つのレーザダイオード(レーザダイオード21~23)(LD)と、2つの光位相変調器(光位相変調器31~32)と、光合波器41と、2つのフォトダイオード(フォトダイオード51~52)(PD)と、光強度変調器6と、光信号出力端子7と、2つの積分回路(積分回路101~102)と、を含んで構成される。
図17に示されるように、本実施形態における光送信装置200jは、図6に示される第3の実施形態に係る光送信装置200cに対し、2入力1出力の光合波器4が2入力2出力の光合波器41となっている点、1つのフォトダイオード5が2つのフォトダイオード51及びフォトダイオード52となっている点、フォトダイオード51及びフォトダイオード52が光合波器41の2つの出力端子にそれぞれ接続されている点、及び、フォトダイオード51とフォトダイオード52との接続点から光強度変調器6へ電気信号(ヘテロダイン検波信号)が出力される点が異なる構成である。
フォトダイオード51及びフォトダイオード52からそれぞれ出力された電流I(t)及びI(t)は、結合されて電流I(t)の電気信号になった後、光強度変調器6に入力される。この電流I(t)(ヘテロダイン検波信号)は、前述の第3の実施形態の数式展開と前述の第8の実施形態の数式展開との組み合わせにより、以下の(26)式によって表される。
Figure 0007640901000026
ここで、上記の(26)式から明らかなように、フォトダイオードが2つでバランスド受信器とする構成によって、出力電気信号から、直流成分E1 2、E2 2や揺らぎに起因する成分E11(t)、E22(t)が消失する。特に、揺らぎに起因する成分E11(t)、E22(t)は雑音として信号劣化要因となる。そのため、第10の実施形態に係る光送信装置200jによれば、成分E11(t)及びE22(t)が消失することによって信号の品質(CNR)が向上するという効果がある。
<第11の実施形態>
以下、本発明の第11の実施形態について、図面を参照しながら説明する。
[光送信装置の構成]
以下、本発明の第11の実施形態に係る光送信装置の構成について説明する。図18は、本発明の第11の実施形態に係る光送信装置200kの構成を示すブロック図である。
図18に示されるように、光送信装置200kは、3つの電気信号入力端子(電気信号入力端子11~13)と、3つのレーザダイオード(レーザダイオード21~23)(LD)と、2つの光位相変調器(光位相変調器31~32)と、光合波器41と、2つのフォトダイオード(フォトダイオード51~52)(PD)と、光強度変調器6と、光信号出力端子7と、分配器8と、移相器9と、2つの積分回路(積分回路101~102)と、を含んで構成される。
図18に示されるように、本実施形態に係る光送信装置200kは、図7に示される第4の実施形態に係る光送信装置200dに対し、2入力1出力の光合波器4が2入力2出力の光合波器41となっている点、1つのフォトダイオード5が2つのフォトダイオード51及びフォトダイオード52となっている点、フォトダイオード51及びフォトダイオード52が光合波器41の2つの出力端子にそれぞれ接続されている点、及び、フォトダイオード51とフォトダイオード52との接続点から光強度変調器6へ電気信号(ヘテロダイン検波信号)が出力される点が異なる構成である。
フォトダイオード51及びフォトダイオード52からそれぞれ出力された電流I(t)及びI(t)は、結合されて電流I(t)の電気信号になった後、光強度変調器6に入力される。この電流I(t)(ヘテロダイン検波信号)は、前述の第4の実施形態の数式展開と前述の第8の実施形態の数式展開との組み合わせにより、以下の(27)式によって表される。
Figure 0007640901000027
ここで、上記の(27)式から明らかなように、フォトダイオードが2つでバランスド受信器とする構成によって、出力電気信号から、直流成分E1 2、E2 2や揺らぎに起因する成分E11(t)、E22(t)が消失する。特に、揺らぎに起因する成分E11(t)、E22(t)は雑音として信号劣化要因となる。そのため、第11の実施形態に係る光送信装置200kによれば、成分E11(t)及びE22(t)が消失することによって信号の品質(CNR)が向上するという効果がある。
<第12の実施形態>
以下、本発明の第12の実施形態について、図面を参照しながら説明する。
[光送信装置の構成]
以下、本発明の第12の実施形態に係る光送信装置の構成について説明する。図19は、本発明の第12の実施形態に係る光送信装置200lの構成を示すブロック図である。
図19に示されるように、光送信装置200lは、3つの電気信号入力端子(電気信号入力端子11~13)と、3つのレーザダイオード(レーザダイオード21~23)(LD)と、2つの光位相変調器(光位相変調器31~32)と、光合波器41と、2つのフォトダイオード(フォトダイオード51~52)(PD)と、光強度変調器6と、光信号出力端子7と、分配器8と、移相器9と、微分回路111と、を含んで構成される。
図19に示されるように、本実施形態に係る光送信装置200lは、図8に示される第5の実施形態に係る光送信装置200eに対し、2入力1出力の光合波器4が2入力2出力の光合波器41となっている点、1つのフォトダイオード5が2つのフォトダイオード51及びフォトダイオード52となっている点、フォトダイオード51及びフォトダイオード52が光合波器41の2つの出力端子にそれぞれ接続されている点、及び、フォトダイオード51とフォトダイオード52との接続点から光強度変調器6へ電気信号(ヘテロダイン検波信号)が出力される点が異なる構成である。
フォトダイオード51及びフォトダイオード52からそれぞれ出力された電流I(t)及びI(t)は、結合されて電流I(t)の電気信号になった後、光強度変調器6に入力される。この電流I(t)(ヘテロダイン検波信号)は、前述の第5の実施形態の数式展開と前述の第8の実施形態の数式展開との組み合わせにより、以下の(28)式で表される。
Figure 0007640901000028
ここで、上記の(28)式から明らかなように、フォトダイオードが2つでバランスド受信器とする構成によって、出力電気信号から、直流成分E1 2、E2 2や揺らぎに起因する成分E11(t)、E22(t)が消失する。特に、揺らぎに起因する成分E11(t)、E22(t)は雑音として信号劣化要因となる。そのため、第12の実施形態に係る光送信装置200lによれば、成分E11(t)及びE22(t)が消失することによって信号の品質(CNR)が向上するという効果がある。
<第13の実施形態>
以下、本発明の第13の実施形態について、図面を参照しながら説明する。
[光送信装置の構成]
以下、本発明の第13の実施形態に係る光送信装置の構成について説明する。図20は、本発明の第13の実施形態に係る光送信装置200mの構成を示すブロック図である。
図20に示されるように、光送信装置200mは、3つの電気信号入力端子(電気信号入力端子11~13)と、3つのレーザダイオード(レーザダイオード21~23)(LD)と、2つの光位相変調器(光位相変調器31~32)と、光合波器41と、2つのフォトダイオード(フォトダイオード51~52)(PD)と、光強度変調器6と、光信号出力端子7と、分配器8と、移相器9と、2つの微分回路(微分回路111~112)と、を含んで構成される。
図20に示されるように、本実施形態に係る光送信装置200mは、図9に示される第6の実施形態に係る光送信装置200fに対し、2入力1出力の光合波器4が2入力2出力の光合波器41となっている点、1つのフォトダイオード5が2つのフォトダイオード51及びフォトダイオード52となっている点、フォトダイオード51及びフォトダイオード52が光合波器41の2つの出力端子にそれぞれ接続されている点、及び、フォトダイオード51とフォトダイオード52との接続点から光強度変調器6へ電気信号(ヘテロダイン検波信号)が出力される点が異なる構成である。
また、前述の図19に示される第12の実施形態に係る光送信装置200lが電気信号Cを微分処理した後に分配するのに対し、本実施形態に係る光送信装置200mは、電気信号Cを分配した後に微分処理を行う。第12の実施形態に係る光送信装置200lの構成と本実施形態に係る光送信装置200mの構成との差異は、上記の点のみである。
したがって、第12の実施形態に係る光送信装置200lと同様に、本実施形態に係る光送信装置200mにおいても、フォトダイオードが2つでバランスド受信器とする構成によって、出力電気信号から、直流成分E1 2、E2 2や揺らぎに起因する成分E11(t)、E22(t)が消失する。特に、揺らぎに起因する成分E11(t)、E22(t)は雑音として信号劣化要因となる。そのため、第13の実施形態に係る光送信装置200mによれば、成分E11(t)及びE22(t)が消失することによって信号の品質(CNR)が向上するという効果がある。
<第14の実施形態>
以下、本発明の第14の実施形態について、図面を参照しながら説明する。
[光送信装置の構成]
以下、本発明の第14の実施形態に係る光送信装置の構成について説明する。図21は、本発明の第14の実施形態に係る光送信装置200nの構成を示すブロック図である。
図21に示されるように、光送信装置200nは、3つの電気信号入力端子(電気信号入力端子11~13)と、3つのレーザダイオード(レーザダイオード21~23)(LD)と、2つの光位相変調器(光位相変調器31~32)と、光合波器41と、2つのフォトダイオード(フォトダイオード51~52)(PD)と、光強度変調器6と、光信号出力端子7と、分配器8と、移相器9と、2つの微分回路(微分回路111~112)と、を含んで構成される。
図21に示されるように、本実施形態に係る光送信装置200nは、図10に示される第7の実施形態に係る光送信装置200gに対し、2入力1出力の光合波器4が2入力2出力の光合波器41となっている点、1つのフォトダイオード5が2つのフォトダイオード51及びフォトダイオード52となっている点、フォトダイオード51及びフォトダイオード52が光合波器41の2つの出力端子にそれぞれ接続されている点、及び、フォトダイオード51とフォトダイオード52との接続点から光強度変調器6へ電気信号(ヘテロダイン検波信号)が出力される点が異なる構成である。
また、前述の図19に示される第12の実施形態に係る光送信装置200lが電気信号Cを微分処理した後に分配するのに対し、本実施形態に係る光送信装置200nは、電気信号Cを分配した後に微分処理を行う。第12の実施形態に係る光送信装置200lの構成と本実施形態に係る光送信装置200nの構成との差異は、上記の点のみである。
したがって、第12の実施形態に係る光送信装置200lと同様に、本実施形態に係る光送信装置200nにおいても、フォトダイオードが2つでバランスド受信器とする構成によって、出力電気信号から、直流成分E1 2、E2 2や揺らぎに起因する成分E11(t)、E22(t)が消失する。特に、揺らぎに起因する成分E11(t)、E22(t)は雑音として信号劣化要因となる。そのため、第14の実施形態に係る光送信装置200nによれば、成分E11(t)及びE22(t)が消失することによって信号の品質(CNR)が向上するという効果がある。
<補遺>
以下、2入力2出力の光合波器41における、2つの出力光の間の位相関係について、図22を参照しながら説明する。図22は、2入力2出力の光合波器41における2つの出力光の間の位相関係を説明するための図である。
光合波器41の2つの入力光と2つの出力光の電界及び位相の関係を表す伝達関数をTとする。ここで、対称性から、「端子aから端子Aへ」透過する際の電界及び位相の変化と、「端子bから端子Bへ」透過する際の電界及び位相の変化とは、同じとなる。同様に、「端子aから端子Bへ」透過する際の電界及び位相の変化と、「端子bから端子Aへ」透過する際の電界及び位相の変化とは、同じとなる。したがって、伝達関数Tは、以下の(29)式によって表されるような対称性を持つ。
Figure 0007640901000029
次に、図22の左から右に向かい、光を送信することを考える。ここで、地点1において光合波器41-1の端子a及び端子bの各々への入力光電界を1及び0とすれば、地点1における電界は、以下の(30)式によって表される。
Figure 0007640901000030
さらに、光合波器41-1の端子A及び端子Bの各々からの出力光電界(地点2)、及び、光合波器41-2の端子A及び端子Bの各々からの出力光電界(地点3)は、上記の(29)式(30)式に基づいて、以下の(31)式及び(32)式のように表される。
Figure 0007640901000031
Figure 0007640901000032
ここで、光合波器41-1及び光合波器41-2において損失がないとすれば、(30)~(32)式の各々によって計算される電力は同じとなるため、以下の(33)式及び(34)式が成り立つ。
Figure 0007640901000033
Figure 0007640901000034
上記(33)式の両辺を二乗したものを(34)式から減算することにより、以下の(36)式を得る。
Figure 0007640901000035
Figure 0007640901000036
ここで、α=|α|exp(iθα)、β=|β|exp(iθβ)と置くことにより、上記の(36)式は以下の(37)式のように変形される。
Figure 0007640901000037
この結果、端子A及び端子Bからの出力光電界の位相関係が、以下の(38)式のように導出される。
Figure 0007640901000038
以上、第8の実施形態~第14の実施形態における光送信装置において、光の位相が光合波器41の入出力端に依存する理由について説明した。
以上説明したように、上述した各実施形態に係る光送信装置(光送信装置200h~200n)は、位相変調された2つの光信号を光合波器41によって合波された後に分波し、バランスド受信器の構成によって電気信号に変換する。このような構成を備えることで、光送信装置(光送信装置200h~200n)は、レーザダイオードの出力電解振幅の揺らぎに起因する雑音を除去することができ、信号の品質(CNR)を向上させることができる。
また、上述した各実施形態に係る光送信装置(光送信装置200h~200n)によれば、電気信号φ(t)に対する信号処理の構成と、電気信号φ(t)に対する信号処理の構成とを、同一にすることができる。各電気信号に対する信号処理の構成が同一となることによって、光送信装置の、各電気信号に対する処理回路の設計、開発、及び生産手段の共通化が可能となる。
また、上述した各実施形態に係る光送信装置(光送信装置200h~200n)によれば、出力時の光信号の変調形式を周波数変調又は位相変調に統一することが可能となる。変調形式が統一されることで、周波数変調又は位相変調のいずれか一方の復調形式に対応する光受信装置のみを用意すればよくなるため、装置コスト等のコストが削減される。
上述した実施形態によれば、光送信装置は、第1の光位相変調器と、第2の光位相変調器と、光合波器と、フォトダイオードと、光強度変調器とを備える。例えば、第1の光位相変調器は、実施形態における光位相変調器31であり、第2の光位相変調器は、実施形態における光位相変調器32である。第1の光位相変調器は、第1の電気信号入力部に入力された第1の電気信号に基づいて、第1のレーザダイオードからの出力光を位相変調する。例えば、第1の電気信号入力部は、実施形態における電気信号入力端子11であり、第1の電気信号は、実施形態における電気信号Aであり、第1のレーザダイオードは、実施形態におけるレーザダイオード21である。第2の光位相変調器は、第2の電気信号入力部に入力された第2の電気信号に基づいて、第2のレーザダイオードからの出力光を位相変調する。例えば、第2の電気信号入力部は、実施形態における電気信号入力端子12であり、第2の電気信号は、実施形態における電気信号Bであり、第2のレーザダイオードは、実施形態におけるレーザダイオード22である。光合波器は、第1の光位相変調器からの出力光と、第2の光位相変調器からの出力光とを合波する。フォトダイオードは、光合波器からの出力光をヘテロダイン検波信号に変換する。光強度変調器は、フォトダイオードから出力されるヘテロダイン検波信号に基づいて第3のレーザダイオードからの出力光を強度変調する。例えば、第3のレーザダイオードは、実施形態におけるレーザダイオード23である。
なお、光送信装置は、分配器と、移相器とをさらに備えていてもよい。この場合、分配器は、第3の電気信号入力部に入力された第3の電気信号を、第4の電気信号と第5の電気信号とに分配する。例えば、第3の電気信号入力部は、実施形態における電気信号入力端子13であり、第3の電気信号は、実施形態における電気信号Cであり、第4の電気信号及び第5の電気信号は、実施形態における分配器8によって分配された電気信号Cである。移相器は、第5の電気信号を180度移相する。分配器から出力された第4の電気信号は、第1のレーザダイオードの駆動電流入力端子に入力される。移相器から出力された第5の電気信号は、第2のレーザダイオードの駆動電流入力端子に入力される。
なお、光送信装置は、第1の積分回路と、第2の積分回路とをさらに備えていてもよい。例えば、第1の積分回路は、実施形態における積分回路101であり、第2の積分回路は、実施形態における積分回路102である。この場合、第1の積分回路は、第1の電気信号入力部に入力された第1の電気信号を、積分処理を行って第1の光位相変調器へ出力する。第2の積分回路は、第2の電気信号入力部に入力された第2の電気信号を、積分処理を行って第2の光位相変調器へ出力する。
なお、光送信装置は、微分回路をさらに備えていてもよい。この場合、微分回路は、第3の電気信号入力部に入力された第3の電気信号を、微分処理を行って分配器へ出力する。
なお、光送信装置は、第1の微分回路と、第2の微分回路とをさらに備えていてもよい。例えば、第1の微分回路は、実施形態における微分回路111であり、第2の微分回路は、実施形態における微分回路112である。この場合、第1の微分回路は、分配器から出力された第4の電気信号を、微分処理を行って第1のレーザダイオードへ出力する。第2の微分回路は、分配器から出力された第5の電気信号を、微分処理を行って移相器へ出力する。
なお、第1の電気信号と第2の電気信号と第3の電気信号とは、互いに周波数が重複しない電気信号である。
なお、光合波器は、第1のフォトダイオードに接続される出力端と第2のフォトダイオードに接続される出力端とを備え、第1の光位相変調器からの出力光と第2の光位相変調器からの出力光とを合波した後に、合波された光を分波し、分波された光を第1のフォトダイオードと第2のフォトダイオードとへそれぞれ出力するようにしてもよい。例えば、第1のフォトダイオードは、実施形態におけるフォトダイオード51(又はフォトダイオード52)であり、第2のフォトダイオードは、実施形態におけるフォトダイオード52(又はフォトダイオード51)である。フォトダイオードは、第1のフォトダイオードと当該第1のフォトダイオードのアノードに対してカソードが接続された第2のフォトダイオードとを含み、第1のフォトダイオードと第2のフォトダイオードとの接続点から光強度変調器へヘテロダイン検波信号を出力するようにしてもよい。
上述した各実施形態における光送信装置200a~200nの一部又は全部をコンピュータで実現するようにしてもよい。その場合、この機能を実現するためのプログラムをコンピュータ読み取り可能な記録媒体に記録して、この記録媒体に記録されたプログラムをコンピュータシステムに読み込ませ、実行することによって実現してもよい。なお、ここでいう「コンピュータシステム」とは、OSや周辺機器等のハードウェアを含むものとする。また、「コンピュータ読み取り可能な記録媒体」とは、フレキシブルディスク、光磁気ディスク、ROM、CD-ROM等の可搬媒体、コンピュータシステムに内蔵されるハードディスク等の記憶装置のことをいう。さらに「コンピュータ読み取り可能な記録媒体」とは、インターネット等のネットワークや電話回線等の通信回線を介してプログラムを送信する場合の通信線のように、短時間の間、動的にプログラムを保持するもの、その場合のサーバやクライアントとなるコンピュータシステム内部の揮発性メモリのように、一定時間プログラムを保持しているものも含んでもよい。また上記プログラムは、前述した機能の一部を実現するためのものであってもよく、さらに前述した機能をコンピュータシステムにすでに記録されているプログラムとの組み合わせで実現できるものであってもよく、FPGA(Field Programmable Gate Array)等のプログラマブルロジックデバイスを用いて実現されるものであってもよい。
以上、この発明の実施形態について図面を参照して詳述してきたが、具体的な構成はこの実施形態に限られるものではなく、この発明の要旨を逸脱しない範囲の設計等も含まれる。
1…FTTH型CATVシステム、4、41…光合波器、5、51、52…フォトダイオード、6…光強度変調器、7…光信号出力端子、8…分配器、9…移相器、11,12,13…電気信号入力端子、21,22,23…レーザダイオード、31,32…光位相変調器、100…ヘッドエンド、101,102…積分回路、111,112…微分回路、200,200a~g…光送信装置、300…増幅器、400…光受信装置、500…中継ネットワーク、600…アクセスネットワーク

Claims (9)

  1. 第1の電気信号入力部に入力された第1の電気信号に基づいて、第1のレーザダイオードからの出力光を位相変調する第1の光位相変調器と、
    第2の電気信号入力部に入力された第2の電気信号に基づいて、第2のレーザダイオードからの出力光を位相変調する第2の光位相変調器と、
    第3の電気信号入力部に入力された第3の電気信号を、第4の電気信号と第5の電気信号とに分配する分配器と、
    前記第3の電気信号入力部に入力された前記第3の電気信号を、微分処理を行って前記分配器へ出力する微分回路と、
    前記第5の電気信号を180度移相する移相器と、
    前記第1の光位相変調器からの出力光と、前記第2の光位相変調器からの出力光と、を合波する光合波器と、
    前記光合波器からの出力光をヘテロダイン検波信号に変換するフォトダイオードと、
    前記フォトダイオードから出力される前記ヘテロダイン検波信号に基づいて第3のレーザダイオードからの出力光を強度変調する光強度変調器と、
    を備え、
    前記分配器から出力された前記第4の電気信号は、前記第1のレーザダイオードの駆動電流入力端子に入力され、
    前記移相器から出力された前記第5の電気信号は、前記第2のレーザダイオードの駆動電流入力端子に入力される
    光送信装置。
  2. 第1の電気信号入力部に入力された第1の電気信号に基づいて、第1のレーザダイオードからの出力光を位相変調する第1の光位相変調器と、
    第2の電気信号入力部に入力された第2の電気信号に基づいて、第2のレーザダイオードからの出力光を位相変調する第2の光位相変調器と、
    第3の電気信号入力部に入力された第3の電気信号を、第4の電気信号と第5の電気信号とに分配する分配器と、
    前記分配器から出力された前記第4の電気信号を、微分処理を行って前記第1のレーザダイオードへ出力する第1の微分回路と、
    前記第5の電気信号を180度移相する移相器と、
    前記分配器から出力された前記第5の電気信号を、微分処理を行って前記移相器へ出力する第2の微分回路と、
    前記第1の光位相変調器からの出力光と、前記第2の光位相変調器からの出力光と、を合波する光合波器と、
    前記光合波器からの出力光をヘテロダイン検波信号に変換するフォトダイオードと、
    前記フォトダイオードから出力される前記ヘテロダイン検波信号に基づいて第3のレーザダイオードからの出力光を強度変調する光強度変調器と、
    を備え、
    前記第1の微分回路から出力された前記第4の電気信号は、前記第1のレーザダイオードの駆動電流入力端子に入力され、
    前記移相器から出力された前記第5の電気信号は、前記第2のレーザダイオードの駆動電流入力端子に入力される
    光送信装置。
  3. 第1の電気信号入力部に入力された第1の電気信号に基づいて、第1のレーザダイオードからの出力光を位相変調する第1の光位相変調器と、
    第2の電気信号入力部に入力された第2の電気信号に基づいて、第2のレーザダイオードからの出力光を位相変調する第2の光位相変調器と、
    第3の電気信号入力部に入力された第3の電気信号を、第4の電気信号と第5の電気信号とに分配する分配器と、
    前記分配器から出力された前記第4の電気信号を、微分処理を行って前記第1のレーザダイオードへ出力する第1の微分回路と、
    前記第5の電気信号を180度移相する移相器と、
    前記移相器から出力された前記第5の電気信号を、微分処理を行って前記第1のレーザダイオードへ出力する第2の微分回路と、
    前記第1の光位相変調器からの出力光と、前記第2の光位相変調器からの出力光と、を合波する光合波器と、
    前記光合波器からの出力光をヘテロダイン検波信号に変換するフォトダイオードと、
    前記フォトダイオードから出力される前記ヘテロダイン検波信号に基づいて第3のレーザダイオードからの出力光を強度変調する光強度変調器と、
    を備え
    前記第1の微分回路から出力された前記第4の電気信号は、前記第1のレーザダイオードの駆動電流入力端子に入力され、
    前記第2の微分回路から出力された前記第5の電気信号は、前記第2のレーザダイオードの駆動電流入力端子に入力される
    光送信装置。
  4. 前記第1の電気信号と前記第2の電気信号と前記第3の電気信号とは、互いに周波数が重複しない電気信号である
    請求項1から3のうちいずれか一項に記載の光送信装置。
  5. 前記光合波器は、
    第1のフォトダイオードに接続される出力端と、
    第2のフォトダイオードに接続される出力端と、
    を備え、
    前記第1の光位相変調器からの出力光と前記第2の光位相変調器からの出力光とを合波した後に、合波された光を分波し、分波された前記光を前記第1のフォトダイオードと前記第2のフォトダイオードとへそれぞれ出力し、
    前記フォトダイオードは、
    第1のフォトダイオードと、
    前記第1のフォトダイオードのアノードに対してカソードが接続された第2のフォトダイオードと、
    を含み、
    前記第1のフォトダイオードと前記第2のフォトダイオードとの接続点から前記光強度変調器へ前記ヘテロダイン検波信号を出力する
    請求項1からのうちいずれか一項に記載の光送信装置。
  6. 第1の電気信号入力部に入力された第1の電気信号に基づいて、第1のレーザダイオードからの出力光を位相変調する第1の光位相変調ステップと、
    第2の電気信号入力部に入力された第2の電気信号に基づいて、第2のレーザダイオードからの出力光を位相変調する第2の光位相変調ステップと、
    第3の電気信号入力部に入力された第3の電気信号に微分処理を行う微分ステップと、
    前記微分ステップによって前記微分処理がなされた前記第3の電気信号を、第4の電気信号と第5の電気信号とに分配する分配ステップと、
    前記第5の電気信号を180度移相する移相ステップと、
    前記分配ステップによって分配された前記第4の電気信号を、前記第1のレーザダイオードの駆動電流入力端子に入力する第1の入力ステップと、
    前記移相ステップによって180度移相された前記第5の電気信号を、前記第2のレーザダイオードの駆動電流入力端子に入力する第2の入力ステップと、
    前記第1の光位相変調ステップによって位相変調された出力光と、前記第2の光位相変調ステップによって位相変調された出力光と、を合波する光合波ステップと、
    前記光合波ステップによって合波された出力光をヘテロダイン検波信号に変換する変換ステップと、
    前記ヘテロダイン検波信号に基づいて第3のレーザダイオードからの出力光を強度変調する光強度変調ステップと、
    を有する送信方法。
  7. 第1の電気信号入力部に入力された第1の電気信号に基づいて、第1のレーザダイオードからの出力光を位相変調する第1の光位相変調ステップと、
    第2の電気信号入力部に入力された第2の電気信号に基づいて、第2のレーザダイオードからの出力光を位相変調する第2の光位相変調ステップと、
    第3の電気信号入力部に入力された第3の電気信号を、第4の電気信号と第5の電気信号とに分配する分配ステップと、
    前記分配ステップによって分配された前記第4の電気信号を、微分処理を行って前記第1のレーザダイオードの駆動電流入力端子へ出力する第1の微分ステップと、
    前記分配ステップによって分配された前記第5の電気信号を、微分処理を行って出力する第2の微分ステップと、
    第2の微分ステップによって前記微分処理がなされた前記第5の電気信号を180度移相し、前記第2のレーザダイオードの駆動電流入力端子へ出力する移相ステップと、
    前記第1の光位相変調ステップによって位相変調された出力光と、前記第2の光位相変調ステップによって位相変調された出力光と、を合波する光合波ステップと、
    前記光合波ステップによって合波された出力光をヘテロダイン検波信号に変換する変換ステップと、
    前記ヘテロダイン検波信号に基づいて第3のレーザダイオードからの出力光を強度変調する光強度変調ステップと、
    を有する送信方法。
  8. 第1の電気信号入力部に入力された第1の電気信号に基づいて、第1のレーザダイオードからの出力光を位相変調する第1の光位相変調ステップと、
    第2の電気信号入力部に入力された第2の電気信号に基づいて、第2のレーザダイオードからの出力光を位相変調する第2の光位相変調ステップと、
    第3の電気信号入力部に入力された第3の電気信号を、第4の電気信号と第5の電気信号とに分配する分配ステップと、
    前記分配ステップによって分配された前記第4の電気信号を、微分処理を行って前記第1のレーザダイオードの駆動電流入力端子へ出力する第1の微分ステップと、
    前記第5の電気信号を180度移相する移相ステップと、
    前記移相ステップによって180度移相された前記第5の電気信号を、微分処理を行って前記第2のレーザダイオードの駆動電流入力端子へ出力する第2の微分ステップと、
    前記第1の光位相変調ステップによって位相変調された出力光と、前記第2の光位相変調ステップによって位相変調された出力光と、を合波する光合波ステップと、
    前記光合波ステップによって合波された出力光をヘテロダイン検波信号に変換する変換ステップと、
    前記ヘテロダイン検波信号に基づいて第3のレーザダイオードからの出力光を強度変調する光強度変調ステップと、
    を有する送信方法。
  9. 前記光合波ステップでは、前記第1の光位相変調ステップによって位相変調された出力光と前記第2の光位相変調ステップによって位相変調された出力光とを合波した後に、合波された光を分波し、分波された前記光を第1のフォトダイオードと前記第1のフォトダイオードのアノードに対してカソードが接続された第2のフォトダイオードとへそれぞれ出力し、
    前記変換ステップでは、前記第1のフォトダイオードと前記第2のフォトダイオードとの接続点から前記ヘテロダイン検波信号を出力する
    請求項6から8のうちいずれか一項に記載の送信方法。
JP2023503817A 2021-03-02 2022-02-28 光送信装置及び送信方法 Active JP7640901B2 (ja)

Applications Claiming Priority (3)

Application Number Priority Date Filing Date Title
JPPCT/JP2021/007862 2021-03-02
PCT/JP2021/007862 WO2022185400A1 (ja) 2021-03-02 2021-03-02 光送信装置及び送信方法
PCT/JP2022/008272 WO2022186130A1 (ja) 2021-03-02 2022-02-28 光送信装置及び送信方法

Publications (2)

Publication Number Publication Date
JPWO2022186130A1 JPWO2022186130A1 (ja) 2022-09-09
JP7640901B2 true JP7640901B2 (ja) 2025-03-06

Family

ID=83153792

Family Applications (1)

Application Number Title Priority Date Filing Date
JP2023503817A Active JP7640901B2 (ja) 2021-03-02 2022-02-28 光送信装置及び送信方法

Country Status (2)

Country Link
JP (1) JP7640901B2 (ja)
WO (2) WO2022185400A1 (ja)

Citations (2)

* Cited by examiner, † Cited by third party
Publication number Priority date Publication date Assignee Title
JP2006049977A (ja) 2004-07-30 2006-02-16 Matsushita Electric Ind Co Ltd 変調器、光送信器および光伝送装置
JP2006287410A (ja) 2005-03-31 2006-10-19 Matsushita Electric Ind Co Ltd 光送信装置、光受信装置及び光伝送システム

Family Cites Families (8)

* Cited by examiner, † Cited by third party
Publication number Priority date Publication date Assignee Title
JP3550823B2 (ja) * 1995-10-04 2004-08-04 松下電器産業株式会社 位相変調器
JP3339031B2 (ja) * 1996-02-02 2002-10-28 日本電信電話株式会社 光伝送装置
JP3371355B2 (ja) * 1996-04-05 2003-01-27 日本電信電話株式会社 変調方式変換回路及び光信号伝送装置
JPH1013354A (ja) * 1996-06-26 1998-01-16 Matsushita Electric Ind Co Ltd 多チャンネル信号変復調装置
JPH10126339A (ja) * 1996-10-15 1998-05-15 Toshiba Corp 光伝送システム
JP2000354010A (ja) * 1999-06-10 2000-12-19 Communication Research Laboratory Mpt 光伝送装置
JP4675796B2 (ja) * 2005-02-15 2011-04-27 日本電信電話株式会社 自動分散補償型光伝送システム
JP4617955B2 (ja) * 2005-03-28 2011-01-26 Kddi株式会社 Ook/psk変換装置

Patent Citations (2)

* Cited by examiner, † Cited by third party
Publication number Priority date Publication date Assignee Title
JP2006049977A (ja) 2004-07-30 2006-02-16 Matsushita Electric Ind Co Ltd 変調器、光送信器および光伝送装置
JP2006287410A (ja) 2005-03-31 2006-10-19 Matsushita Electric Ind Co Ltd 光送信装置、光受信装置及び光伝送システム

Non-Patent Citations (1)

* Cited by examiner, † Cited by third party
Title
下羽 利明、他,FM一括変換方式を用いた光映像配信技術,電子情報通信学会技術研究報告,日本,一般社団法人電子情報通信学会,2019年,pages 97-101,CS2019-84, IE2019-64

Also Published As

Publication number Publication date
WO2022185400A1 (ja) 2022-09-09
JPWO2022186130A1 (ja) 2022-09-09
WO2022186130A1 (ja) 2022-09-09

Similar Documents

Publication Publication Date Title
US5301058A (en) Single sideband optical modulator for lightwave systems
US5101450A (en) Quadrature optical phase modulators for lightwave systems
JP4178617B2 (ja) 光伝送システム、光送信装置及び光送信方法
JP4184474B2 (ja) 光伝送システムならびにそれに用いられる光送信装置および光受信装置
US5212579A (en) Method and apparatus for communicating amplitude modulated signals over an optical communication path
US5239401A (en) Optical modulator for cancellation of second-order intermodulation products in lightwave systems
US5446574A (en) System and method for dispersion compensation in fibre optic high speed systems
JPH11331089A5 (ja)
WO2008136992A2 (en) Method and apparatus for low chirp transmitter for optical fiber communications
US9300399B2 (en) Optical communication systems and methods
JPH11205240A (ja) 光伝送装置
US5896216A (en) AM/PM converter and optical signal transmission system
JP7640901B2 (ja) 光送信装置及び送信方法
JP3970303B2 (ja) 光信号送信機
US5214524A (en) Optical communication system
JP7710146B2 (ja) 光送信装置及び送信方法
JP2610667B2 (ja) 光通信システム
JP2001159750A (ja) 光送信装置及び光変調器
JPH11145535A (ja) 信号変換器、光送信器および光ファイバ伝送装置
JP4728275B2 (ja) 光ssb送信装置
WO2023162213A1 (ja) 光送信装置及び送信方法
JP2775692B2 (ja) 光通信方式
JP3451890B2 (ja) 周波数変調方式
JP3097106B2 (ja) サブキャリア多重光伝送方法
Masella Techniques for nonlinear distortion suppression in radio over fiber communication systems

Legal Events

Date Code Title Description
A621 Written request for application examination

Free format text: JAPANESE INTERMEDIATE CODE: A621

Effective date: 20230623

A131 Notification of reasons for refusal

Free format text: JAPANESE INTERMEDIATE CODE: A131

Effective date: 20240813

A521 Request for written amendment filed

Free format text: JAPANESE INTERMEDIATE CODE: A523

Effective date: 20241007

TRDD Decision of grant or rejection written
A01 Written decision to grant a patent or to grant a registration (utility model)

Free format text: JAPANESE INTERMEDIATE CODE: A01

Effective date: 20250121

A61 First payment of annual fees (during grant procedure)

Free format text: JAPANESE INTERMEDIATE CODE: A61

Effective date: 20250203

R150 Certificate of patent or registration of utility model

Ref document number: 7640901

Country of ref document: JP

Free format text: JAPANESE INTERMEDIATE CODE: R150

S533 Written request for registration of change of name

Free format text: JAPANESE INTERMEDIATE CODE: R313533

R350 Written notification of registration of transfer

Free format text: JAPANESE INTERMEDIATE CODE: R350