JP7540586B2 - 情報提示装置、情報提示方法、及びプログラム - Google Patents
情報提示装置、情報提示方法、及びプログラム Download PDFInfo
- Publication number
- JP7540586B2 JP7540586B2 JP2023514303A JP2023514303A JP7540586B2 JP 7540586 B2 JP7540586 B2 JP 7540586B2 JP 2023514303 A JP2023514303 A JP 2023514303A JP 2023514303 A JP2023514303 A JP 2023514303A JP 7540586 B2 JP7540586 B2 JP 7540586B2
- Authority
- JP
- Japan
- Prior art keywords
- task
- type
- classification
- business
- target
- Prior art date
- Legal status (The legal status is an assumption and is not a legal conclusion. Google has not performed a legal analysis and makes no representation as to the accuracy of the status listed.)
- Active
Links
Images
Classifications
-
- G—PHYSICS
- G06—COMPUTING OR CALCULATING; COUNTING
- G06Q—INFORMATION AND COMMUNICATION TECHNOLOGY [ICT] SPECIALLY ADAPTED FOR ADMINISTRATIVE, COMMERCIAL, FINANCIAL, MANAGERIAL OR SUPERVISORY PURPOSES; SYSTEMS OR METHODS SPECIALLY ADAPTED FOR ADMINISTRATIVE, COMMERCIAL, FINANCIAL, MANAGERIAL OR SUPERVISORY PURPOSES, NOT OTHERWISE PROVIDED FOR
- G06Q10/00—Administration; Management
- G06Q10/10—Office automation; Time management
Landscapes
- Engineering & Computer Science (AREA)
- Business, Economics & Management (AREA)
- Strategic Management (AREA)
- Entrepreneurship & Innovation (AREA)
- Human Resources & Organizations (AREA)
- Operations Research (AREA)
- Economics (AREA)
- Marketing (AREA)
- Data Mining & Analysis (AREA)
- Quality & Reliability (AREA)
- Tourism & Hospitality (AREA)
- Physics & Mathematics (AREA)
- General Business, Economics & Management (AREA)
- General Physics & Mathematics (AREA)
- Theoretical Computer Science (AREA)
- Management, Administration, Business Operations System, And Electronic Commerce (AREA)
- Information Retrieval, Db Structures And Fs Structures Therefor (AREA)
Description
(1-1)情報処理システム
図1は、本発明の一実施形態に係る情報処理システム10の構成例を概略的に示している。図1に示す情報処理システム10は、業務経験の豊富な人材の探索及び選出を支援する。情報処理システム10は、情報提示装置11及び業務ログ取得装置12を備える。情報提示装置11は業務ログ取得装置12と通信してよい。情報提示装置11は、通信ネットワークを介して業務ログ取得装置12に接続されてもよく、API(Application Programming Interface)により接続されてもよい。
図2は、情報提示装置11の機能構成の一例を概略的に示している。図2に示すように、情報提示装置11は、取得部101、指定部102、分類部103、業務実施量計算部104、順位割当部105、割当結果提示部106、制御情報提示部107、業務ログ記憶部111、制御情報記憶部112、分類結果記憶部113、計算結果記憶部114、不確実性情報記憶部115、及び割当結果記憶部116を備える。
(2-1)全体フロー
図10は、情報提示装置11により実行される情報提示方法の一例を概略的に示している。
図11は、順位割当部105における順位割当動作の一例を概略的に示している。具体的には、図11は、順位割当部105が業務実施量計算部104により得られる業務実施量の計算結果と不確実性情報とに基づいて人材に順位を割り当てる場合の動作を概略的に示している。
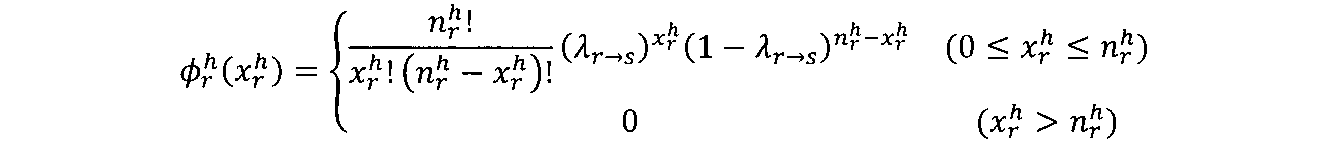
図11のステップS20において、順位割当部105は、対象業務種別に関する不確実性情報を取得する。
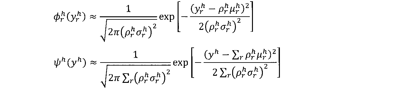
ステップS21において、順位割当部105は、探索対象となるすべての人材について、業務実施量の確率分布及び補正値を計算したか否かを判定する。いずれかの人材について業務実施量の確率分布及び補正値が計算されてない場合(ステップS21;No)、フローはステップS22に進む。
図11を再び参照すると、ステップS25において、順位割当部105は、業務実施量の補正値の大きい順に人材に順位を割り当てる。以下では、順位kが割り当てられた人材(k番目の人材)を人材h(k)と表記する。
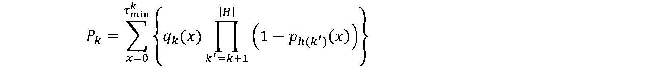
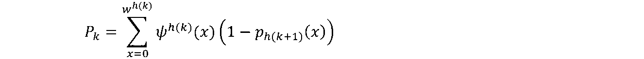
ステップS26において、順位割当部105は、すべての順位間について、業務実施量に逆転が発生しない確率を計算したか否かを判定する。いずれかの順位間について確率が計算されていない場合(ステップS26;No)、フローはステップS27に進む。
ステップS29において、順位割当部105は、確率P1、P2、...、Pk、...に基づいて、順位をグループ化する。順位のグループ化の対象となる人材の集合をH0とする。
第1の判定方法では、探索者が、探索対象となる業務種別とともに、選出したい人数の最大値kmaxを指定する。順位割当部105は、最上位のグループに属する人材の数|H1~k1|がkmaxよりも大きい場合に、分割が必要であると判定し、kmax以下である場合に、分割が不要であると判定する。これにより、kmax人以下の人材を選出する際に、分類誤りを考慮した上で最も意味のある選出基準を探索者に提示することができる。
「分割位置kにおけるグループの分割」とは、k位とk+1位との間で(k番目の人材とk+1番目の人材との間で)グループを分割することを意味するものとする。さらに、分割位置として適用されていない順位間の集合をKcとする。1回も分割が行われていない初期状態では、Kc={1,2,...,k,...,|H0|-1}である。
探索者が、探索対象となる業務種別とともに、逆転が発生しない確率の最小値Pminを指定する。順位割当部105は、決定された分割位置において逆転が発生しない確率がPmin以上である場合に、分割を適用すると判定し、Pminより小さい場合に、分割を適用しないと判定する。
情報提示装置11は、探索者により指定される業務種別である対象業務種別に対応する分類観点で複数の業務ログを分類することにより、対象業務種別に関連する業務ログを得て、対象業務種別に関連する業務ログに基づいて、人材ごとに対象業務種別の業務実施量を計算し、対象業務種別の業務実施量の計算結果に基づいて人材に順位を割り当て、順位の割当結果を探索者に提示する。これにより、対象業務種別の業務経験が豊富な人材を探索者に提示することができる。
業務は、職業上の活動に限らず、いかなる活動であってもよい。業務実施量は、人材による業務の実施に関する評価指標の一例である。例えば、業務ログが例えば社内資格試験や社外資格試験などの試験の結果を記録したものである場合、評価指標は試験の結果に基づいている。また、人材はオブジェクトの一例に過ぎない。オブジェクトは例えばドキュメントや語彙などであってもよい。例えば、人材がどの種別の業務をよく実施しているか、の代わりに、ドキュメント、あるいは語彙が、どのような種別の業務において使用されるのかを、容易に人が把握することが可能となる。
11…情報提示装置
12…業務ログ取得装置
101…取得部
102…指定部
103…分類部
104…業務実施量計算部
105…順位割当部
106…割当結果提示部
107…制御情報提示部
111…業務ログ記憶部
112…制御情報記憶部
113…分類結果記憶部
114…計算結果記憶部
115…不確実性情報記憶部
116…割当結果記憶部
151…プロセッサ
152…RAM
153…プログラムメモリ
154…ストレージデバイス
155…入出力インタフェース
Claims (9)
- 複数の分類観点それぞれで業務を分類する際の分類先となる、複数の業務種別の中から、探索者により指定される業務種別である対象業務種別を受け付ける指定部と、
前記対象業務種別に対応する分類観点でオブジェクトと業務との関わりに関する記録を示す複数の業務ログを分類することにより、オブジェクトと前記対象業務種別の業務との関わりに関する記録を示す業務ログを得る分類部と、
前記得られた業務ログに基づいて、前記オブジェクトごとに前記オブジェクトと前記対象業務種別の業務との関わりの度合いを示す評価指標を計算する計算部と、
前記オブジェクトごとの前記評価指標の計算結果に基づいて、前記オブジェクトに順位を割り当てる順位割当部と、
前記順位の割当結果を前記探索者に提示する割当結果提示部と、
を備え、
前記指定部は、前記対象業務種別として、第1の分類観点に属する第1の業務種別及び前記第1の分類観点とは異なる第2の分類観点に属する第2の業務種別を受け付け、
前記分類部は、前記複数の業務ログからオブジェクトと前記第1の業務種別の業務との関わりに関する記録を示す第1の業務ログを得て、前記複数の業務ログからオブジェクトと前記第2の業務種別の業務との関わりに関する記録を示す第2の業務ログを得て、前記第1の業務ログと前記第2の業務ログとの積集合を、前記オブジェクトと前記対象業務種別の業務との関わりに関する記録を示す業務ログとして得る、
情報提示装置。 - 複数の分類観点それぞれで業務を分類する際の分類先となる、複数の業務種別の中から、探索者により指定される業務種別である対象業務種別を受け付ける指定部と、
前記対象業務種別に対応する分類観点でオブジェクトと業務との関わりに関する記録を示す複数の業務ログを分類することにより、オブジェクトと前記対象業務種別の業務との関わりに関する記録を示す業務ログを得る分類部と、
前記得られた業務ログに基づいて、前記オブジェクトごとに前記オブジェクトと前記対象業務種別の業務との関わりの度合いを示す評価指標を計算する計算部と、
前記オブジェクトごとの前記評価指標の計算結果に基づいて、前記オブジェクトに順位を割り当てる順位割当部と、
前記順位の割当結果を前記探索者に提示する割当結果提示部と、
を備え、
前記順位割当部は、前記対象業務種別に対応する前記分類観点による分類誤りの傾向を示す不確実性情報に基づいて前記計算結果を補正し、前記補正された計算結果に基づいて前記オブジェクトに前記順位を割り当てる、
情報提示装置。 - 前記不確実性情報は、業務ログの分類を試験的に実施した結果における分類先の業務種別での誤分類された業務ログの割合に基づいて生成される、
請求項2に記載の情報提示装置。 - 前記順位割当部は、前記不確実性情報と前記計算結果とに基づいて、順位間で評価指標に逆転が発生する確率を計算し、前記計算された確率に基づいて前記順位をグループ化し、
前記割当結果提示部は、前記順位のグループ化結果を含む前記順位の前記割当結果を前記探索者に提示する、
請求項2又は3に記載の情報提示装置。 - 複数の分類観点それぞれで業務を分類する際の分類先となる、複数の業務種別の中から、探索者により指定される業務種別である対象業務種別を受け付ける指定部と、
前記複数の業務種別ごとに用意される、業務ログが業務種別に該当するか否かを判別するための制御情報を格納する制御情報記憶部と、
前記制御情報又は前記制御情報を用意する際の条件が記載された情報を前記探索者に提示する制御情報提示部と、
前記対象業務種別に対応する分類観点に含まれる業務種別に関する前記制御情報に基づいてオブジェクトと業務との関わりに関する記録を示す複数の業務ログを分類することにより、オブジェクトと前記対象業務種別の業務との関わりに関する記録を示す業務ログを得る分類部と、
前記得られた業務ログに基づいて、前記オブジェクトごとに前記オブジェクトと前記対象業務種別の業務との関わりの度合いを示す評価指標を計算する計算部と、
前記オブジェクトごとの前記評価指標の計算結果に基づいて、前記オブジェクトに順位を割り当てる順位割当部と、
前記順位の割当結果を前記探索者に提示する割当結果提示部と、
を備える情報提示装置。 - コンピュータが実行する情報提示方法であって、
複数の分類観点それぞれで業務を分類する際の分類先となる、複数の業務種別の中から、探索者により指定される業務種別である対象業務種別を受け付けることと、
前記対象業務種別に対応する分類観点でオブジェクトと業務との関わりに関する記録を示す複数の業務ログを分類することにより、オブジェクトと前記対象業務種別の業務との関わりに関する記録を示す業務ログを得ることと、
前記得られた業務ログに基づいて、前記オブジェクトごとに前記オブジェクトと前記対象業務種別の業務との関わりの度合いを示す評価指標を計算することと、
前記オブジェクトごとの前記評価指標の計算結果に基づいて、前記オブジェクトに順位を割り当てることと、
前記順位の割当結果を前記探索者に提示することと、
を備え、
前記対象業務種別を受け付けることは、前記対象業務種別として、第1の分類観点に属する第1の業務種別及び前記第1の分類観点とは異なる第2の分類観点に属する第2の業務種別を受け付けることを含み、
前記オブジェクトと前記対象業務種別の業務との関わりに関する記録を示す業務ログを得ることは、前記複数の業務ログからオブジェクトと前記第1の業務種別の業務との関わりに関する記録を示す第1の業務ログを得て、前記複数の業務ログからオブジェクトと前記第2の業務種別の業務との関わりに関する記録を示す第2の業務ログを得て、前記第1の業務ログと前記第2の業務ログとの積集合を、前記オブジェクトと前記対象業務種別の業務との関わりに関する記録を示す業務ログとして得ることを含む、
情報提示方法。 - コンピュータが実行する情報提示方法であって、
複数の分類観点それぞれで業務を分類する際の分類先となる、複数の業務種別の中から、探索者により指定される業務種別である対象業務種別を受け付けることと、
前記対象業務種別に対応する分類観点でオブジェクトと業務との関わりに関する記録を示す複数の業務ログを分類することにより、オブジェクトと前記対象業務種別の業務との関わりに関する記録を示す業務ログを得ることと、
前記得られた業務ログに基づいて、前記オブジェクトごとに前記オブジェクトと前記対象業務種別の業務との関わりの度合いを示す評価指標を計算することと、
前記オブジェクトごとの前記評価指標の計算結果に基づいて、前記オブジェクトに順位を割り当てることと、
前記順位の割当結果を前記探索者に提示することと、
を備え、
前記オブジェクトに順位を割り当てることは、前記対象業務種別に対応する前記分類観点による分類誤りの傾向を示す不確実性情報に基づいて前記計算結果を補正し、前記補正された計算結果に基づいて前記オブジェクトに前記順位を割り当てることを含む、
情報提示方法。 - コンピュータが実行する情報提示方法であって、
複数の分類観点それぞれで業務を分類する際の分類先となる、複数の業務種別の中から、探索者により指定される業務種別である対象業務種別を受け付けることと、
前記複数の業務種別ごとに用意される、業務ログが業務種別に該当するか否かを判別するための制御情報を格納することと、
前記制御情報又は前記制御情報を用意する際の条件が記載された情報を前記探索者に提示することと、
前記対象業務種別に対応する分類観点に含まれる業務種別に関する前記制御情報に基づいてオブジェクトと業務との関わりに関する記録を示す複数の業務ログを分類することにより、オブジェクトと前記対象業務種別の業務との関わりに関する記録を示す業務ログを得ることと、
前記得られた業務ログに基づいて、前記オブジェクトごとに前記オブジェクトと前記対象業務種別の業務との関わりの度合いを示す評価指標を計算することと、
前記オブジェクトごとの前記評価指標の計算結果に基づいて、前記オブジェクトに順位を割り当てることと、
前記順位の割当結果を前記探索者に提示することと、
を備える情報提示方法。 - 請求項1乃至5のいずれか1項に記載の情報提示装置が備える各部としてコンピュータを機能させるためのプログラム。
Applications Claiming Priority (1)
| Application Number | Priority Date | Filing Date | Title |
|---|---|---|---|
| PCT/JP2021/015731 WO2022219810A1 (ja) | 2021-04-16 | 2021-04-16 | 情報提示装置、情報提示方法、及びプログラム |
Publications (2)
| Publication Number | Publication Date |
|---|---|
| JPWO2022219810A1 JPWO2022219810A1 (ja) | 2022-10-20 |
| JP7540586B2 true JP7540586B2 (ja) | 2024-08-27 |
Family
ID=83640304
Family Applications (1)
| Application Number | Title | Priority Date | Filing Date |
|---|---|---|---|
| JP2023514303A Active JP7540586B2 (ja) | 2021-04-16 | 2021-04-16 | 情報提示装置、情報提示方法、及びプログラム |
Country Status (2)
| Country | Link |
|---|---|
| JP (1) | JP7540586B2 (ja) |
| WO (1) | WO2022219810A1 (ja) |
Families Citing this family (2)
| Publication number | Priority date | Publication date | Assignee | Title |
|---|---|---|---|---|
| WO2025120810A1 (ja) * | 2023-12-07 | 2025-06-12 | 日本電信電話株式会社 | 情報処理装置および情報処理方法 |
| CN119671234B (zh) * | 2024-10-12 | 2025-11-07 | 中电万维信息技术有限责任公司 | 一种任务批示处理系统和使用方法 |
Citations (2)
| Publication number | Priority date | Publication date | Assignee | Title |
|---|---|---|---|---|
| JP2007164594A (ja) | 2005-12-15 | 2007-06-28 | Toshiba Corp | 作業管理支援装置及び作業管理支援方法 |
| JP2009223832A (ja) | 2008-03-18 | 2009-10-01 | Ricoh Co Ltd | ワークフロー管理システム |
Family Cites Families (1)
| Publication number | Priority date | Publication date | Assignee | Title |
|---|---|---|---|---|
| JPH0695827A (ja) * | 1992-09-11 | 1994-04-08 | Matsushita Electric Ind Co Ltd | ガイド装置 |
-
2021
- 2021-04-16 JP JP2023514303A patent/JP7540586B2/ja active Active
- 2021-04-16 WO PCT/JP2021/015731 patent/WO2022219810A1/ja not_active Ceased
Patent Citations (2)
| Publication number | Priority date | Publication date | Assignee | Title |
|---|---|---|---|---|
| JP2007164594A (ja) | 2005-12-15 | 2007-06-28 | Toshiba Corp | 作業管理支援装置及び作業管理支援方法 |
| JP2009223832A (ja) | 2008-03-18 | 2009-10-01 | Ricoh Co Ltd | ワークフロー管理システム |
Also Published As
| Publication number | Publication date |
|---|---|
| JPWO2022219810A1 (ja) | 2022-10-20 |
| WO2022219810A1 (ja) | 2022-10-20 |
Similar Documents
| Publication | Publication Date | Title |
|---|---|---|
| US6735571B2 (en) | Compensation data prediction | |
| US20150088606A1 (en) | Computer Implemented Tool and Method for Automating the Forecasting Process | |
| KR102034303B1 (ko) | 전문가 매칭 서비스 제공방법, 장치 및 프로그램 | |
| EP2124176A1 (en) | Task analysis program and task analyzer | |
| CN113971527A (zh) | 基于机器学习的数据风险评估方法及装置 | |
| US7716151B2 (en) | Apparatus, method and product for optimizing software system workload performance scenarios using multiple criteria decision making | |
| JP5460426B2 (ja) | 生産性評価装置、生産性評価方法およびプログラム | |
| JP5963320B2 (ja) | 情報処理装置、情報処理方法、及び、プログラム | |
| Więckowski et al. | Application of multi-criteria decision analysis to identify global and local importance weights of decision criteria | |
| JP5905651B1 (ja) | 実績評価装置、実績評価装置の制御方法、および実績評価装置の制御プログラム | |
| JP7540586B2 (ja) | 情報提示装置、情報提示方法、及びプログラム | |
| JP2023026060A (ja) | 情報処理方法、コンピュータプログラム及び情報処理装置 | |
| CN113283795A (zh) | 基于二分类模型的数据处理方法及装置、介质、设备 | |
| US10489427B2 (en) | Document classification system, document classification method, and document classification program | |
| JP2023029604A (ja) | 特許情報処理装置、特許情報処理方法、およびプログラム | |
| US20090276390A1 (en) | Modeling support system, modeling support method, and modeling support program | |
| CN113627967B (zh) | 行为数据处理方法、装置、设备及存储介质 | |
| US20030187875A1 (en) | Spatial data analysis apparatus and sparial data analysis method | |
| KR100992345B1 (ko) | 서비스 평가 방법, 시스템 및 컴퓨터 판독가능한 기록매체 | |
| US20140316846A1 (en) | Estimating financial risk based on non-financial data | |
| JP6982675B1 (ja) | 情報処理装置、情報処理方法、およびプログラム | |
| US20180130002A1 (en) | Requirements determination | |
| JP2000293092A (ja) | シミュレーションシステム | |
| WO2016129124A1 (ja) | データ分析システム、データ分析方法、およびデータ分析プログラム | |
| US20130090985A1 (en) | System and Method for Assessing Viability and Marketability of Assets |
Legal Events
| Date | Code | Title | Description |
|---|---|---|---|
| A621 | Written request for application examination |
Free format text: JAPANESE INTERMEDIATE CODE: A621 Effective date: 20230823 |
|
| A131 | Notification of reasons for refusal |
Free format text: JAPANESE INTERMEDIATE CODE: A131 Effective date: 20240528 |
|
| A521 | Request for written amendment filed |
Free format text: JAPANESE INTERMEDIATE CODE: A523 Effective date: 20240625 |
|
| TRDD | Decision of grant or rejection written | ||
| A01 | Written decision to grant a patent or to grant a registration (utility model) |
Free format text: JAPANESE INTERMEDIATE CODE: A01 Effective date: 20240716 |
|
| A61 | First payment of annual fees (during grant procedure) |
Free format text: JAPANESE INTERMEDIATE CODE: A61 Effective date: 20240729 |
|
| R150 | Certificate of patent or registration of utility model |
Ref document number: 7540586 Country of ref document: JP Free format text: JAPANESE INTERMEDIATE CODE: R150 |
|
| S533 | Written request for registration of change of name |
Free format text: JAPANESE INTERMEDIATE CODE: R313533 |
|
| R350 | Written notification of registration of transfer |
Free format text: JAPANESE INTERMEDIATE CODE: R350 |











