JP5337430B2 - 口腔内速崩壊錠 - Google Patents
口腔内速崩壊錠 Download PDFInfo
- Publication number
- JP5337430B2 JP5337430B2 JP2008216540A JP2008216540A JP5337430B2 JP 5337430 B2 JP5337430 B2 JP 5337430B2 JP 2008216540 A JP2008216540 A JP 2008216540A JP 2008216540 A JP2008216540 A JP 2008216540A JP 5337430 B2 JP5337430 B2 JP 5337430B2
- Authority
- JP
- Japan
- Prior art keywords
- disintegrating tablet
- mass
- polyvinyl alcohol
- water
- intraoral quick
- Prior art date
- Legal status (The legal status is an assumption and is not a legal conclusion. Google has not performed a legal analysis and makes no representation as to the accuracy of the status listed.)
- Active
Links
Landscapes
- Medicinal Preparation (AREA)
- Pharmaceuticals Containing Other Organic And Inorganic Compounds (AREA)
Description
そこで、水なしでも服用可能な経口製剤の開発が種々なされており、その一つとして口腔内崩壊錠が盛んに開発されている。
(1)医薬活性成分、ポリビニルアルコール及びポリビニルアルコールコポリマーからなる群から選ばれる少なくとも一つのポリビニルアルコール類、及び、ポリエチレングリコール、ポリオキシエチレンポリオキシプロピレングリコール、ポリエチレングリコールエーテル及びポリエチレングリコール脂肪酸エステルからなる群から選ばれる少なくとも一つの水溶性ポリオキシエチレン類を含有し、口腔内速崩壊錠の総量に対して、ポリビニルアルコール類の含量が0.1〜3質量%及び水溶性ポリオキシエチレン類の含量が0.05〜1質量%であり、口腔内において30秒以内に崩壊する口腔内速崩壊錠(但し、エリスリトールを含むものを除く)、
(2) 賦形剤及び崩壊剤を更に含む上記(1)に記載の口腔内速崩壊錠、
(3)賦形剤含量が、口腔内速崩壊錠の総量に対して、50〜80質量%である上記(2)に記載の口腔内速崩壊錠、
(4) ポリビニルアルコール類の含量が0.3〜1質量%であることを特徴とする上記(3)に記載の口腔内速崩壊錠、
(5)口腔内速崩壊錠の総量に対して、崩壊剤含量が、0.5〜7質量%であり、かつ賦形剤及び崩壊剤の合計含量が、50〜98質量%である上記(2)〜(4)のいずれか一項に記載の口腔内速崩壊錠、
(7) 製剤全体に対して、医薬活性成分を0.5〜5質量%、ポリビニルアルコール類を0.1〜3質量%、及び水溶性ポリオキシエチレン類を0.05〜1質量%を含み、残部が賦形剤、崩壊剤及びその他の医薬添加剤であることを特徴とする上記(1)〜(5)のいずれか一項に記載の口腔内速崩壊錠、
(8) ポリビニルアルコール類が、部分鹸化ポリビニルアルコールである上記(1)〜(7)のいずれか一項に記載の口腔内速崩壊錠、
(9) 部分鹸化ポリビニルアルコールが粘度3〜8mPa・S(4%、20℃)である部分鹸化ポリビニルアルコールである上記(8)に記載の口腔内速崩壊錠、
(10) 水溶性ポリオキシエチレン類が、ステアリン酸ポリオキシルである上記(1)〜(9)のいずれか一項に記載の口腔内速崩壊錠、
(11) 医薬活性成分がグリメピリドである上記(1)〜(10)のいずれか一項に記載の口腔内速崩壊錠、
(12)賦形剤が乳糖水和物である上記(2)〜(11)のいずれか一項に記載の口腔内速崩壊錠
(13) 賦形剤に、ポリビニルアルコール類含有溶液に水不溶性の医薬活性成分を均一に分散した分散液を噴霧して、流動層造粒し、得られた造粒物に、配合済みの賦形剤及び後で添加する滑沢剤を除く、水溶性ポリオキシエチレン類及びその他の医薬添加物を均一に混合し、得られた混合物に、滑沢剤を添加混合したのち、打錠することにより得られた上記(1)〜(12)のいずれか一項に記載の口腔内速崩壊錠、
に関するものである。
具体的には、6〜8mm径の錠剤において、硬度が20N以上、好ましくは30N以上、さらに好ましくは40N以上、最も好ましくは45N以上である口腔内速崩壊錠が挙げられる。さらには、25℃相対湿度75%下1週間の条件で保存後の硬度が20N以上、好ましくは30N以上、さらに好ましくは40N以上、最も好ましくは45N以上である口腔内速崩壊錠が挙げられる。
なお以下において断りの無い限り、「部」は質量部を表すものとする。
本発明の口腔内速崩壊錠における医薬活性成分含量は本発明の効果を達成しうる範囲で特に限定はない。通常は口腔内速崩壊錠の総量に対して、0.5〜10質量%程度、より好ましくは0.5〜5質量%程度、更に好ましくは0.5〜3質量%程度を使用するのが好ましい。
グリメピリドは、化学名は1‐[[4‐[2‐[(3‐エチル‐4‐メチル‐2‐オキソ‐3‐ピロリン‐1‐イルカルボニル)アミノ]エチル]フェニル]スルホニル]‐3‐(4α‐メチルシクロヘキサン‐1β‐イル)尿素であって、スルホニルウレア系経口血糖降下剤として特にインスリン非依存型糖尿病に対して効能を有する。
本発明の口腔内速崩壊錠に結合剤として使用するポリビニルアルコール類は、ポリビニルアルコール類に分類され、結合剤として使用されるものは何れでも良く、好ましいものとしては、ポリビニルアルコール、又は、ポリビニルアルコール(メタ)アクリル酸などのポリビニルアルコールコポリマーが挙げられる。通常ポリビニルアセテートを酸またはアルカリで加水分解して得られる部分加水分解物(部分鹸化物)または完全加水分解物であるポリビニルアルコールが好ましい。
本発明においては、通常1〜50mPa・S(4%水溶液、20℃:以下同じ)程度の粘度を有するポリビニルアルコールが好ましい。より好ましくは3〜30mPa・S程度、さらに好ましくは3〜8mPa・S、最も好ましくは4.8〜5.8mPa・S程度の粘度を有するポリビニルアルコールが使用される。
本発明において用いられるポリビニルアルコールは、完全鹸化物および部分鹸化物の何れでもよい。好ましいポリビニルアルコールは、鹸化度が通常70%以上、より好ましくは80%以上、より好ましくは85%以上のものであり、鹸化度70%以上の部分鹸化ポリビニルアルコールがより好ましい。最も好ましくは鹸化度が85%以上90%以下のものである。
またこれらのポリビニルアルコール類は、速崩壊錠の総量に対して、0.1〜3質量%程度、好ましくは0.1〜1質量%程度、更に好ましくは0.3〜0.6質量%程度用いるのが好ましい。
本発明の口腔内速崩壊錠には、ポリビニルアルコール類以外の他の結合剤を併用することもできるが通常ポリビニルアルコール類が主体であることが好ましく、例えば60%以上、より好ましくは80%、更に好ましくは90%以上で、単独が最も好ましい。
本発明で用いられる水溶性ポリオキシエチレン類は、本発明の効果を達成しうるもので、かつ医薬品の分野において配合することが認められているものであれば、その種類は特に制限されず、単独で、又は2種以上を組み合わせて使用することができる。かかる水溶性ポリオキシエチレン類としては、ポリエチレングリコール類(好ましくは平均分子量が190〜25,000程度のもの)、ポリオキシエチレンポリオキシプロピレングリコール類(好ましくは、プロピレンオキシドの平均重合度:5〜67程度、かつ、エチレンオキシドの平均重合度:42〜196程度であるもの)、ポリエチレングリコールエーテル類(たとえば、第十五改正日本薬局方記載のポリソルベート80(部分的にオレイン酸でエステル化された無水ソルビットのポリエチレングリコールエーテル)等)、ポリエチレングリコール脂肪酸エステル類(たとえば、第十五改正日本薬局方記載のステアリン酸ポリオキシル40等)などが挙げられる。
なかでも好ましい水溶性ポリオキシエチレン類は、上記ポリエチレングリコール類、ポリエチレングリコールエーテル類、ポリエチレングリコール脂肪酸エステル類であり、より好ましくはポリエチレングリコール脂肪酸エステル類であり、特に好ましくはステアリン酸ポリオキシル(ステアリン酸ポリオキシルの中ではステアリン酸ポリオキシル40がより好ましい)である。
またこれらの水溶性ポリオキシエチレン類は、口腔内速崩壊錠の総量に対して、0.01〜1質量%程度、より好ましくは0.05〜1質量%程度、更に好ましくは0.05〜0.2質量%程度用いるのが好ましい。
本発明においては、ポリビニルアルコール類と併用する水溶性ポリオキシエチレン類(好ましくはステアリン酸ポリオキシル)とのバランスが重要である。例えば、口腔内速崩壊錠の総量に対して、ポリビニルアルコール類を0.1〜3質量%、より好ましくは0.3〜1質量%、更に好ましくは0.3〜0.6質量%であるとき、水溶性ポリオキシエチレン類(好ましくはステアリン酸ポリオキシル)を、0.05〜0.3質量%、より好ましくは0.08〜0.2質量%含有するのが好ましい。そして、両者の合計が口腔内速崩壊錠の総量に対して0.3〜1質量%であるときより好ましい。
本発明の口腔内速崩壊錠に用いる崩壊剤としては、例えば、クロスポビドン、カルメロース、カルメロースカルシウム、クロスカルメロースナトリウム、カルボキシメチルスターチナトリウム、低置換度ヒドロキシプロピルセルロース、トウモロコシデンプン等が挙げられる。好ましいのはクロスポビドン、トウモロコシデンプン等であり、最も好ましくはクロスポビドンである。これらの崩壊剤は二種以上併用することもできるが、通常単独で使用される。崩壊剤の使用量は使用する崩壊剤にもよるので一概には言えないが口腔内速崩壊錠の総量に対して、0.5〜7%程度、より好ましくは1〜5%程度である。
本発明の口腔内速崩壊錠において、通常、口腔内速崩壊錠の総量に対して、賦形剤と崩壊剤とで併せて50〜98質量%程度、好ましくは併せて70〜97質量%程度、更に好ましくは併せて90〜97質量%程度である。
上記以外の種々の医薬用添加剤としては、例えば甘味剤、矯味剤、香料、滑沢剤、流動化剤、着色剤などが挙げられる。
香料とは、着香剤といわれるものを含み、例えばオレンジエッセンス、オレンジ油、カラメル、カンフル、ケイヒ油、スペアミント油、ストロベリーエッセンス、チョコレートエッセンス、チェリーフレーバー、トウヒ油、パインオイル、ハッカ油、バニラフレーバー、ビターエッセンス、フルーツフレーバー、ペパーミントエッセンス、ミックスフレーバー、ミントフレーバー、メントール、レモンパウダー、レモン油、ローズ油などが挙げられる。
流動化剤としては、例えば含水二酸化ケイ素、軽質無水ケイ酸、重質無水ケイ酸、酸化チタンなどが挙げられる。
着色剤としては、例えば、食用赤色3号、食用黄色5号、食用青色1号などの食用色素、黄色三二酸化鉄、三二酸化鉄、褐色酸化鉄、黒酸化鉄、銅クロロフィル、銅クロロフィリンナトリウム、リボフラビン、抹茶末などが挙げられる。
これらの成分は本発明の口腔内速崩壊錠における崩壊性、成形性を損なわない範囲であれば、通常、任意の量を単独あるいは混合して使用することができる。
具体的な製造方法としては、活性成分(好ましくはグリメピリド)と製造原料を量り取り、V型混合機などの適当な混合機で混合した錠剤用混合末を後述する打錠機を用いて直接圧縮打錠して製造する方法などが挙げられる。また、錠剤用混合末を得るためにロール圧縮機により乾式造粒する方法や、必要により結合剤を分散または溶解させた水、アセトン、エチルアルコール、プロピルアルコール又はこれらの混合液を用いて湿式造粒を行う方法、さらには2つ以上の別群に分けて錠剤用混合末を製造する方法などを用いてもよい。錠剤用混合末を製造する際には必要に応じ、結合剤、矯味剤、流動化剤、滑沢剤、香料、甘味剤、着色剤などを混合してもよい。
また、本発明の口腔内速崩壊錠のより好ましい製造方法は、実施例に記載するように、ポリビニルアルコール含有溶液に水不溶性薬剤の微粒子を均一に分散した分散液を噴霧して、流動層造粒し、得られた造粒物に、水溶性ポリオキシエチレン類及び、配合済みの賦形剤及び後で添加する滑沢剤を除く、その他の医薬添加物を均一に混合し、得られた混合物に、滑沢剤を添加混合したのち、打錠する方法である。
本発明において医薬活性成分またはその薬学上許容される塩および添加物の粒子径は特に限定されないが、粒子径が小さい方が服用感に優れている。
圧縮成形については、通常の打錠法を用いることができるが、外部滑沢打錠法を使用することもできる。外部滑沢打錠法により、滑沢剤の添加量を減らし、さらに崩壊速度を早くし、かつ錠剤硬度を向上させることができる。錠剤用混合末に滑沢剤を混合する通常の手法では100mgの錠剤に対して0.1〜1mgの滑沢剤が必要であるが、外部滑沢打錠法では0.5mg以下、場合により0.1mg以下の使用量での打錠が可能である。外部滑沢打錠を行う装置としては株式会社菊水製作所製のELS−P1タイプIIIなどがある。
なお、この製剤は口腔内で崩壊させることなく服用することや水と一緒に服用することもできる。
ポリビニルアルコールを溶解させた水溶液(濃度11.3%w/w)に、グリメピリドをホモジナイザーで分散させた。流動層造粒機を用いて、その分散液を乳糖水和物に噴霧して流動層造粒した。 得られた造粒物に、滑沢剤を除く残り表記載の成分(結晶セルロース、クロスポビドン、トウモロコシデンプン、三二酸化鉄、軽質無水ケイ酸等)を加えて混合機を用いて均一に混合し、最後にステアリン酸マグネシウムを加えたのち、再度混合機で混合して打錠用顆粒を作製した。 次に打錠機を用い、直径6.0mmの円形状で隅角平の錠剤を作製した。得られた錠剤の硬度は50Nであった。得られた実施例1〜3の錠剤の処方を下記の表1に示す。
ポリビニルアルコール:ポリビニルアルコール(部分けん化物)、商品名EG-05、日本合成化学工業株式会社製
ステアリン酸ポリオキシル40:商品名MYS-40MV、日光ケミカルズ株式会社製
乳糖水和物:乳糖水和物(200)、DMV製
結晶セルロース:商品名セオラスKG-1000、旭化成ケミカルズ株式会社製
上記実施例1〜3で得られた製剤に付き、人での口腔内崩壊試験を実施した結果、何れも、30秒以内で崩壊し、良好な崩壊性を示した。
なお、人での口腔内崩壊試験は下記の通り実施した。
被験者(3人)に対して、予めうがいにより口をすすぎ、30秒経過後に錠剤を舌の上に置き、口を閉じ、噛まずに形が完全に崩壊するまでの時間を測定した。
処方を下記表2に示すものに変える以外は実施例1〜3と同様にして、実施例4及び比較例1の口腔内速崩壊錠を製造した。
また、上記で得られた製剤に付き、表3の後に記載する方法で、活性成分の溶出試験を行ったところ表3の通りであった。
実施例4及び比較例1により得られた口腔内速崩壊錠を用いて、第十五改正日本薬局方に記載の溶出試験第2液による溶出試験を行った。
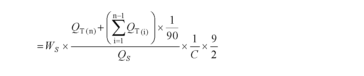
即ち、錠剤各1個をとり、試験液900mLを用い、パドル法により、毎分50回転で試験を行った。溶出試験を開始し、X分後に溶出液10mL以上をとり、孔径0.45μm以下のメンブランフィルターでろ過した。初めのろ液3mLを除き、次のろ液1mLを正確に量り、内標準溶液L 1mLを正確に加え、試料溶液とした。別に定量用グリメピリドを105℃で4時間乾燥し、その約22mgを精密に量り、移動相に溶かし、正確に200mLとする。この液1mLを正確に量り、移動相を加えて正確に100mLとした。この液1mLを正確に量り、内標準溶液L 1mLを正確に加え、標準溶液とした。試料溶液及び標準溶液50μLにつき、次の条件で液体クロマトグラフィーにより試験を行い、内標準物質のピーク面積に対するグリメピリドのピーク面積の比QT及びQSを求めた。
C:1錠中のグリメピリド(C24H34N4O5S)の表示量(mg)
なお、内標準溶液Lとしては、パラオキシ安息香酸プロピルの移動相溶液(50万倍希釈液)を用いた。
溶出試験における試験条件を下記に示す。
検出器:紫外吸光光度計(測定波長:228nm)
カラム:内径4.6mm、長さ15cmのステンレス管に5μmの液体クロマトグラフィー用オクタデシルシリル化シリカゲルを充てんして使用。
カラム温度:25℃付近の一定温度
移動相:リン酸二水素ナトリウム0.5gを水500mLに溶かした液にアセトニトリル500mLを加え、5倍に希釈したリン酸水溶液でpHを3.5に調整した溶液。
流量:グリメピリドの保持時間が約10分になるように調整した。
なお上記溶出試験においては、標準溶液50μLにつき上記の条件で操作するとき、内標準物質、グリメピリドの順に溶出し、その分離度は10以上であった。また、標準溶液50μLにつき上記の条件で試験を6回繰り返すとき、内標準物質のピーク面積に対するグリメピリドのピーク面積の比の相対標準偏差は1.0%以下であった。
Claims (13)
- 医薬活性成分、ポリビニルアルコール及びポリビニルアルコールコポリマーからなる群から選ばれる少なくとも一つのポリビニルアルコール類、及び、ポリエチレングリコール、ポリオキシエチレンポリオキシプロピレングリコール、ポリエチレングリコールエーテル及びポリエチレングリコール脂肪酸エステルからなる群から選ばれる少なくとも一つの水溶性ポリオキシエチレン類を含有し、口腔内速崩壊錠の総量に対して、ポリビニルアルコール類の含量が0.1〜3質量%及び水溶性ポリオキシエチレン類の含量が0.05〜1質量%であり、口腔内において30秒以内に崩壊する口腔内速崩壊錠(但し、エリスリトールを含むものを除く)。
- 賦形剤及び崩壊剤を更に含む請求項1に記載の口腔内速崩壊錠。
- 賦形剤含量が、口腔内速崩壊錠の総量に対して、50〜80質量%である請求項2に記載の口腔内速崩壊錠。
- ポリビニルアルコール類の含量が0.3〜1質量%であることを特徴とする請求項1〜3の何れか一項に記載の口腔内速崩壊錠。
- 口腔内速崩壊錠の総量に対して、崩壊剤含量が、0.5〜7質量%であり、かつ賦形剤及び崩壊剤の合計含量が、50〜98質量%である請求項2〜4のいずれか一項に記載の口腔内速崩壊錠。
- ポリビニルアルコール類と水溶性ポリオキシエチレン類の含量の合計が口腔内速崩壊錠の総量に対して0.3〜1質量%であることを特徴とする請求項1〜5のいずれか一項に記載の口腔内速崩壊錠。
- 製剤全体に対して、医薬活性成分を0.5〜5質量%、ポリビニルアルコール類を0.1〜3質量%、及び水溶性ポリオキシエチレン類を0.05〜1質量%を含み、残部が賦形剤、崩壊剤及びその他の医薬添加剤であることを特徴とする請求項1〜5のいずれか一項に記載の口腔内速崩壊錠。
- ポリビニルアルコール類が、部分鹸化ポリビニルアルコールである請求項1〜7のいずれか一項に記載の口腔内速崩壊錠。
- 部分鹸化ポリビニルアルコールが粘度3〜8mPa・S(4%、20℃)である部分鹸化ポリビニルアルコールである請求項8に記載の口腔内速崩壊錠。
- 水溶性ポリオキシエチレン類が、ステアリン酸ポリオキシルである請求項1〜9のいずれか一項に記載の口腔内速崩壊錠。
- 医薬活性成分がグリメピリドである請求項1〜10のいずれか一項に記載の口腔内速崩壊錠。
- 賦形剤が乳糖水和物である請求項2〜11のいずれか一項に記載の口腔内速崩壊錠。
- 賦形剤に、ポリビニルアルコール類含有溶液に水不溶性の医薬活性成分を均一に分散した分散液を噴霧して、流動層造粒し、得られた造粒物に、配合済みの賦形剤及び後で添加する滑沢剤を除く、水溶性ポリオキシエチレン類及びその他の医薬添加物を均一に混合し、得られた混合物に、滑沢剤を添加混合したのち、打錠することにより得られた請求項1〜12のいずれか一項に記載の口腔内速崩壊錠。
Priority Applications (1)
| Application Number | Priority Date | Filing Date | Title |
|---|---|---|---|
| JP2008216540A JP5337430B2 (ja) | 2008-08-26 | 2008-08-26 | 口腔内速崩壊錠 |
Applications Claiming Priority (1)
| Application Number | Priority Date | Filing Date | Title |
|---|---|---|---|
| JP2008216540A JP5337430B2 (ja) | 2008-08-26 | 2008-08-26 | 口腔内速崩壊錠 |
Publications (2)
| Publication Number | Publication Date |
|---|---|
| JP2010053043A JP2010053043A (ja) | 2010-03-11 |
| JP5337430B2 true JP5337430B2 (ja) | 2013-11-06 |
Family
ID=42069337
Family Applications (1)
| Application Number | Title | Priority Date | Filing Date |
|---|---|---|---|
| JP2008216540A Active JP5337430B2 (ja) | 2008-08-26 | 2008-08-26 | 口腔内速崩壊錠 |
Country Status (1)
| Country | Link |
|---|---|
| JP (1) | JP5337430B2 (ja) |
Families Citing this family (6)
| Publication number | Priority date | Publication date | Assignee | Title |
|---|---|---|---|---|
| JP5664993B2 (ja) * | 2009-08-28 | 2015-02-04 | トーアエイヨー株式会社 | グリメピリド含有固形製剤 |
| JP6037687B2 (ja) * | 2011-07-08 | 2016-12-07 | サノフィ株式会社 | グリメピリドを含有する口腔内崩壊錠 |
| JP6245786B2 (ja) * | 2011-10-17 | 2017-12-13 | 大同化成工業株式会社 | 医薬用結合剤及び該結合剤を用いた製剤 |
| JP7161176B2 (ja) * | 2017-07-11 | 2022-10-26 | トーアエイヨー株式会社 | 口腔内崩壊錠及びその製造方法 |
| WO2021095092A1 (ja) * | 2019-11-11 | 2021-05-20 | 大塚製薬株式会社 | 口腔内崩壊錠 |
| JP7219979B2 (ja) * | 2020-02-26 | 2023-02-09 | 日新製薬株式会社 | 被覆層を有する口腔内崩壊錠 |
Family Cites Families (6)
| Publication number | Priority date | Publication date | Assignee | Title |
|---|---|---|---|---|
| JP2003176242A (ja) * | 1996-07-12 | 2003-06-24 | Dai Ichi Seiyaku Co Ltd | 速崩壊性圧縮成型物及びその製造法 |
| US7727548B2 (en) * | 2000-03-01 | 2010-06-01 | Eisai R&D Management Co., Ltd. | Rapidly disintegrable tablet containing polyvinyl alcohol |
| JP2001335469A (ja) * | 2000-05-26 | 2001-12-04 | Lion Corp | 固体製剤の製造方法 |
| JP4138209B2 (ja) * | 2000-06-29 | 2008-08-27 | エーザイ・アール・アンド・ディー・マネジメント株式会社 | プラバスタチン含有組成物 |
| JP2007314529A (ja) * | 2006-04-28 | 2007-12-06 | Lion Corp | 造粒粒子、錠剤、及び造粒粒子の製造方法 |
| JP2008169135A (ja) * | 2007-01-11 | 2008-07-24 | Takada Seiyaku Kk | グリメピリド組成物の製造方法 |
-
2008
- 2008-08-26 JP JP2008216540A patent/JP5337430B2/ja active Active
Also Published As
| Publication number | Publication date |
|---|---|
| JP2010053043A (ja) | 2010-03-11 |
Similar Documents
| Publication | Publication Date | Title |
|---|---|---|
| JP4435424B2 (ja) | 口腔内で速やかに崩壊する錠剤 | |
| KR101612137B1 (ko) | 구강 내 붕괴정 | |
| JP2019081789A (ja) | 口腔内崩壊錠 | |
| JP5296456B2 (ja) | 溶出が良好なイルベサルタン含有医薬組成物および口腔内崩壊錠 | |
| US20100233278A1 (en) | Rapidly disintegrating solid preparation | |
| JP2013224321A (ja) | 口腔内崩壊錠剤 | |
| JP2009114113A (ja) | 口腔内崩壊錠及びその製造方法 | |
| NZ542925A (en) | Use of cilicified microcrystalline cellulose to provide a tablet suitable for oral disintegration | |
| JP2001058944A (ja) | 速崩壊性固形製剤 | |
| WO2013161823A1 (ja) | 口腔内崩壊錠及びその製造方法 | |
| WO2007074856A1 (ja) | 口腔内崩壊性固形製剤の製造法 | |
| WO2011019043A1 (ja) | 2種以上の粒子を含有する口腔内速崩壊錠 | |
| US20120294940A1 (en) | Rapidly disintegrating tablet in oral cavity | |
| JP5337430B2 (ja) | 口腔内速崩壊錠 | |
| JP2000119175A (ja) | 口腔内速崩壊性固形製剤 | |
| JP2006076971A (ja) | 口腔内崩壊錠 | |
| JP2003034655A (ja) | 速崩壊性固形製剤 | |
| JPH1143429A (ja) | 固形製剤 | |
| JP2003176242A (ja) | 速崩壊性圧縮成型物及びその製造法 | |
| JP3996626B2 (ja) | 口腔内速崩壊錠 | |
| EP2243468A1 (en) | Orally Disintegrating Dimebolin Compositions | |
| JP5275815B2 (ja) | リスペリドンを含有する口腔内崩壊錠剤および苦味抑制製剤 | |
| JP2009196940A (ja) | 口腔内速崩壊錠及びその製造法 | |
| JP2009269858A (ja) | サルポグレラート経口投与製剤 | |
| KR101046789B1 (ko) | 안정성이 개선된 암로디핀 속붕해성 정제 및 그의 제조방법 |
Legal Events
| Date | Code | Title | Description |
|---|---|---|---|
| A621 | Written request for application examination |
Free format text: JAPANESE INTERMEDIATE CODE: A621 Effective date: 20110620 |
|
| A977 | Report on retrieval |
Free format text: JAPANESE INTERMEDIATE CODE: A971007 Effective date: 20130214 |
|
| A131 | Notification of reasons for refusal |
Free format text: JAPANESE INTERMEDIATE CODE: A131 Effective date: 20130219 |
|
| A521 | Request for written amendment filed |
Free format text: JAPANESE INTERMEDIATE CODE: A523 Effective date: 20130419 |
|
| TRDD | Decision of grant or rejection written | ||
| A01 | Written decision to grant a patent or to grant a registration (utility model) |
Free format text: JAPANESE INTERMEDIATE CODE: A01 Effective date: 20130730 |
|
| A61 | First payment of annual fees (during grant procedure) |
Free format text: JAPANESE INTERMEDIATE CODE: A61 Effective date: 20130805 |
|
| R150 | Certificate of patent or registration of utility model |
Ref document number: 5337430 Country of ref document: JP Free format text: JAPANESE INTERMEDIATE CODE: R150 Free format text: JAPANESE INTERMEDIATE CODE: R150 |
|
| S531 | Written request for registration of change of domicile |
Free format text: JAPANESE INTERMEDIATE CODE: R313531 |
|
| R350 | Written notification of registration of transfer |
Free format text: JAPANESE INTERMEDIATE CODE: R350 |
|
| R250 | Receipt of annual fees |
Free format text: JAPANESE INTERMEDIATE CODE: R250 |
|
| R250 | Receipt of annual fees |
Free format text: JAPANESE INTERMEDIATE CODE: R250 |
|
| R153 | Grant of patent term extension |
Free format text: JAPANESE INTERMEDIATE CODE: R153 |
|
| R250 | Receipt of annual fees |
Free format text: JAPANESE INTERMEDIATE CODE: R250 |
|
| R153 | Grant of patent term extension |
Free format text: JAPANESE INTERMEDIATE CODE: R153 |
|
| R250 | Receipt of annual fees |
Free format text: JAPANESE INTERMEDIATE CODE: R250 |
|
| R250 | Receipt of annual fees |
Free format text: JAPANESE INTERMEDIATE CODE: R250 |
|
| R250 | Receipt of annual fees |
Free format text: JAPANESE INTERMEDIATE CODE: R250 |
|
| R250 | Receipt of annual fees |
Free format text: JAPANESE INTERMEDIATE CODE: R250 |
|
| R250 | Receipt of annual fees |
Free format text: JAPANESE INTERMEDIATE CODE: R250 |
|
| R250 | Receipt of annual fees |
Free format text: JAPANESE INTERMEDIATE CODE: R250 |
|
| R250 | Receipt of annual fees |
Free format text: JAPANESE INTERMEDIATE CODE: R250 |
