JP5117074B2 - 新規ディスコティック液晶性化合物 - Google Patents
新規ディスコティック液晶性化合物 Download PDFInfo
- Publication number
- JP5117074B2 JP5117074B2 JP2007051927A JP2007051927A JP5117074B2 JP 5117074 B2 JP5117074 B2 JP 5117074B2 JP 2007051927 A JP2007051927 A JP 2007051927A JP 2007051927 A JP2007051927 A JP 2007051927A JP 5117074 B2 JP5117074 B2 JP 5117074B2
- Authority
- JP
- Japan
- Prior art keywords
- discotic liquid
- group
- compound
- liquid crystal
- liquid crystalline
- Prior art date
- Legal status (The legal status is an assumption and is not a legal conclusion. Google has not performed a legal analysis and makes no representation as to the accuracy of the status listed.)
- Expired - Fee Related
Links
- 0 *c(cc1)ccc1OC(C[C@@](C(*(C1=*C(c2c3)=*4)[Cn]*56)=*C(c(cc7Oc8ccc(*)cc8)c8cc7Oc7ccc(*)cc7)=*C8=*C5=C(C=C(C(Oc5ccc(*)cc5)=C5)Oc7ccc(*)cc7)C5=C6*=C4c2cc(Oc2ccc(*)cc2)c3Oc2ccc(*)cc2)C1=C1)=C1Oc1ccc(*)cc1 Chemical compound *c(cc1)ccc1OC(C[C@@](C(*(C1=*C(c2c3)=*4)[Cn]*56)=*C(c(cc7Oc8ccc(*)cc8)c8cc7Oc7ccc(*)cc7)=*C8=*C5=C(C=C(C(Oc5ccc(*)cc5)=C5)Oc7ccc(*)cc7)C5=C6*=C4c2cc(Oc2ccc(*)cc2)c3Oc2ccc(*)cc2)C1=C1)=C1Oc1ccc(*)cc1 0.000 description 1
Images
Landscapes
- Nitrogen Condensed Heterocyclic Rings (AREA)
- Liquid Crystal Substances (AREA)
Description
コーネ(Kohne)外,「ツァイトシュリフト・フューア・ナトゥーアフォルシュング(Zeitschrift fur Naturforschung)」,1986年,第41巻,p.1036 ビラード(Billard)外,「ジャーナル・ディ・フィジーク・フランス(Phys. France)」,1989年,第50巻,p.539
ディスコティック液晶とは、中心に堅い円盤状コアを持ち、その周辺にフレキシブルなアルキル長鎖を持つ液晶化合物のことである。ディスコティック液晶性とは、中心の円盤状コア分子同士にπ−π相互作用とその周辺のアルキル長鎖が揺らぐことによって液体のような構造柔軟性を持ちながらも、固体固有の構造配向性を示すことである。
さらにディスコティック液晶性をもつ分子は、分子自身が図1のように自発的に積み重なってカラムを形成する。これをディスコティックカラムナー相といい、カラム内では分子間を電子やホールが移動する、「ホッピング伝導」と呼ばれる事象を持つため、一次元伝導体として応用できることが報告されている。
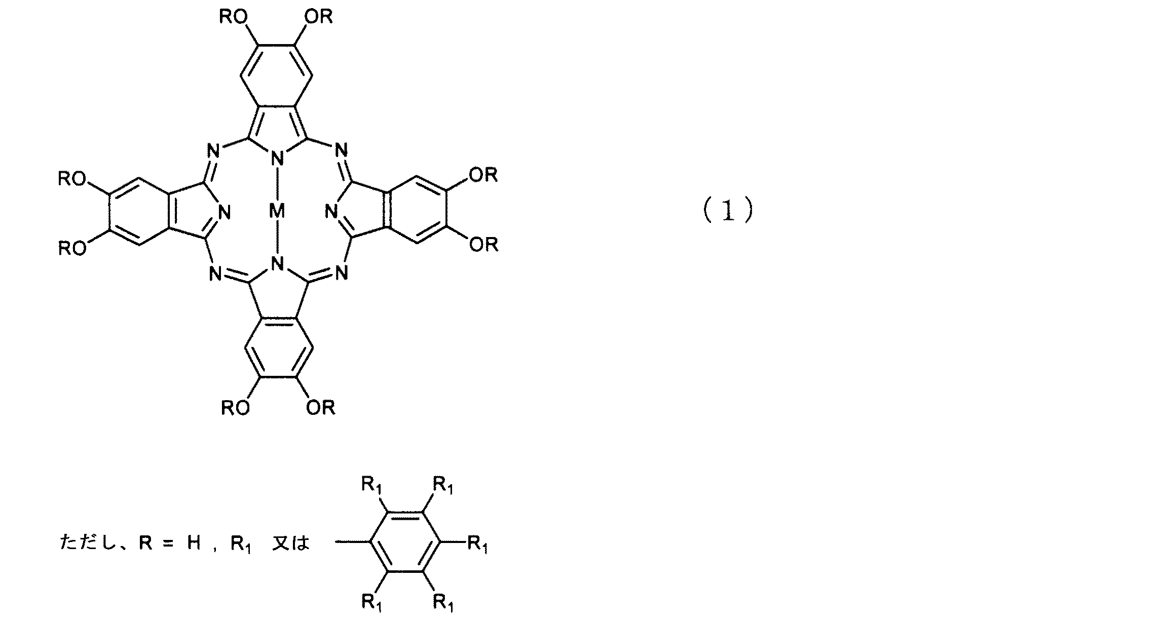
より具体的な構造としては、下記に示すような中心錯体を挙げることができるが、本発明の目的に適うものであれば、これに制限されるものではない。
最も簡便な方法としては、本発明のディスコティック液晶性化合物を二枚の平滑な基板間に挟むことにより、この目的は達成される。用いる基板としては、形成するディスコティック液晶配向物の厚みに比べて充分平滑であれば特に限定されず、材質、厚さ、寸法、形状等は目的に応じて適宜選択することができ、例えば無色あるいは有色ガラス、網入りガラス、ガラスブロック等が用いられる他、無色あるいは有色の透明性を有する樹脂でも良い。かかる樹脂としては、具体的には、ポリエチレンテレフタレートなどのポリエステル、ポリアミド、ポリスルホン、ポリエーテルサルホン、ポリエーテルエーテルケトン、ポリフェニレンサルファイド、ポリカーボネート、ポリイミド、ポリメチルメタクリレート、ポリスチレン、トリ酢酸セルロース、ポリメチルペンテンなどが挙げられる。なお、本発明における基板とは、常温において平滑な面を有するものであり、その面は平面あるいは曲面であってもよく、また応力によって変形するものであってもよい。また、例えば金属板のように不透明であっても良く、金、銀、クロム、銅、タングステン、アルミニウム、クロムやステンレスなどの平滑な金属板などが挙げられる。二枚の基板に挟む際には、必要に応じて加熱・加圧等を行っても良い。
次いで、ディスコティック液晶性化合物溶液を基板表面に塗布する。基板としては、先に示した基板と同様で、適度に平滑性があれば問題はない。本発明のディスコティック液晶性化合物の溶液を基板表面に塗布する方法としては特に制限はなく、例えば、キャスト、スピンコート、スプレーコート、バーコート等の方法によって実施することができる。また、塗布量については特に制限はないが、通常は、基板1cm2当たり0.002〜0.1ml程度が好ましい。次いで、上記溶媒を蒸発させることによりディスコティック液晶性化合物によるディスコティック液晶配向物を形成することができる。溶媒を蒸発させる方法としては、例えば、基板を加熱する方法が挙げられる。
本発明の配向型機能性デバイスとしては、例えば、透明導電性基板上に光吸収剤として本発明のディスコティック液晶性化合物によるディスコティック液晶配向物、対極を順次積層配置した構造をもつものが挙げられる。あるいは、本発明のディスコティック液晶配向物による薄膜を作製した導電性基板上と対極の間に適当な電解質を有する形を挙げることができる。本配向型機能性デバイスは、例えばディスコティック液晶配向物が光吸収による電荷発生を行うことで、光照射により取り出し電荷量、すなわち電流値の変化する光電変換素子としての特性を示す。
膜厚は通常、1nm〜50μm、好ましくは10nm〜10μmである。また、表面抵抗(抵抗率)は、本発明の基板の用途により適宜選択されるところであるが、通常、0.01〜500Ω/sq、好ましくは0.1〜50Ω/sqである。
また、本発明の液晶性組成物を用いたデバイスとしては、本発明の液晶性組成物薄膜を形成した導電性基板を一つの電極として、もう一つの電極として上記透明導電性基板または上記対極を用い、中間に電解質を設けた電気化学デバイスを用いることも可能である。
本発明において用いられる電解質としては特に限定されず、液体系でも固体系のいずれでもよく、可逆な電気化学的酸化還元特性を示すものが望ましい。ここで、可逆な電気化学的酸化還元特性を示すということは、光電変換素子の作用する電位領域において、可逆的に電気化学的酸化還元反応を起こし得ることをいう。典型的には、通常、水素基準電極(NHE)に対して−1〜+2V vs NHEの電位領域で可逆的であることが望ましい。
電解質層の厚さは特に制限されないが、1μm以上であることが好ましく、より好ましくは10μm以上であり、また、3mm以下が好ましく、より好ましくは1mm以下である。かかる電解質としては、上記の条件を満足すれば特に制限されるものでなく、液体系および固体系とも、本技術分野で公知のものを使用することができる。
素子特性の評価については、透明電極および対極にそれぞれ電流測定用の端子を取り付け、光照射の有無による電流値の変化について測定を実施すれば良い。
4,5−ビス(4−デシルオキシフェニル)−1,2-ジシアノベンゼン(0.20g,0.32mmol)、CuCl2(0.016g,0.12mmol)、1−ヘキサノール(2ml)とジアザビシクロウンデセンをパスツールピペットで4滴加え、23時間還流した。反応溶液にメタノールを加え自然ろ過した。ろ紙上に残ったものをさらにメタノールで数回洗い、これをクロロホルムに溶かして回収した。溶媒を留去したのち、メタノールで3回、エタノールで3回洗った。その後カラムクロマトグラフィー(シリカゲル,CHCl3;Rf=0.15)で精製、ヘキサンで2回再結晶し、緑色の固体(化合物1a)を0.15g得た。収率は73%であった。
IR(シリコンウエハ,cm−1)
2921,2851,1613,1502,1243,1202,610
4,5−ビス(4−ドデシルオキシフェニル)−1,2−ジシアノベンゼンを原料として、参考例1と同様の方法により化合物1bを得た。
4,5-ビス(4−テトラドデシルオキシフェニル)−1,2−ジシアノベンゼンを原料として、参考例1と同様の方法により化合物1cを得た。
4,5−ビス(3,4−ビスデシルオキシフェニル)−1,2-ジシアノベンゼンを原料として、参考例1と同様の方法により化合物2aを得た。
4,5−ビス(3,4−ビスドデシルオキシフェニル)−1,2-ジシアノベンゼンを原料として、参考例1と同様の方法により化合物2bを得た。
4,5−ビス(3,4−ビステトラデシルオキシフェニル)−1,2-ジシアノベンゼンを原料として、参考例1と同様の方法により化合物2cを得た。
4,5−ビス(3,4,5−トリスデシルオキシフェニル)−1,2-ジシアノベンゼンを原料として、参考例1と同様の方法により化合物3aを得た。
4,5−ビス(3,4,5−トリスドデシルオキシフェニル)−1,2-ジシアノベンゼンを原料として、参考例1と同様の方法により化合物3bを得た。
4,5−ビス(3,4,5−トリステトラデシルオキシフェニル)−1,2-ジシアノベンゼンを原料として、参考例1と同様の方法により化合物3cを得た。
液晶相の同定は加熱X線構造解析とDSC、偏光顕微鏡(POM)観察で行った。
図3に示すとおり、化合物3aの155℃におけるX線回折パターンでは低角度側に鋭いピークが5本と高角度側にアルコキシ鎖の融解に相当するブロードなピークが観察された。低角度側の5本のピークのスペーシング比は1/√6:1/√8:1/√9:1/√12:1/√14であり、これ低角度側の5本のピークはミラー指数:(hkl)の(211),(220),(221),(222),(321)に帰属できる。これら低角度側の5本のピークのX線回折パターンからキュービック相であることがわかった。
同様に他の化合物についても加熱X線構造解析により、液晶相を決定した。結果を表1に示す。最終的には化合物2b〜cおよび3a〜cにおいてキュービック相の発現が確認された。また化合物1〜3の液晶相の温度変化を図4に示す。
Claims (2)
- 請求項1に記載のディスコティック液晶性化合物を用いて作製したキュービック相となったディスコティック液晶配向物。
Priority Applications (1)
| Application Number | Priority Date | Filing Date | Title |
|---|---|---|---|
| JP2007051927A JP5117074B2 (ja) | 2007-03-01 | 2007-03-01 | 新規ディスコティック液晶性化合物 |
Applications Claiming Priority (1)
| Application Number | Priority Date | Filing Date | Title |
|---|---|---|---|
| JP2007051927A JP5117074B2 (ja) | 2007-03-01 | 2007-03-01 | 新規ディスコティック液晶性化合物 |
Publications (2)
| Publication Number | Publication Date |
|---|---|
| JP2008214228A JP2008214228A (ja) | 2008-09-18 |
| JP5117074B2 true JP5117074B2 (ja) | 2013-01-09 |
Family
ID=39834708
Family Applications (1)
| Application Number | Title | Priority Date | Filing Date |
|---|---|---|---|
| JP2007051927A Expired - Fee Related JP5117074B2 (ja) | 2007-03-01 | 2007-03-01 | 新規ディスコティック液晶性化合物 |
Country Status (1)
| Country | Link |
|---|---|
| JP (1) | JP5117074B2 (ja) |
Families Citing this family (4)
| Publication number | Priority date | Publication date | Assignee | Title |
|---|---|---|---|---|
| JP5142560B2 (ja) * | 2007-03-09 | 2013-02-13 | Jx日鉱日石エネルギー株式会社 | 新規ディスコティック液晶性化合物 |
| JP2010180144A (ja) * | 2009-02-03 | 2010-08-19 | Shinshu Univ | ドナー・アクセプター複合体 |
| JP5850422B2 (ja) * | 2011-08-26 | 2016-02-03 | 国立研究開発法人産業技術総合研究所 | 電子材料組成物 |
| KR20170036694A (ko) * | 2014-07-28 | 2017-04-03 | 다우 글로벌 테크놀로지스 엘엘씨 | Lcd의 컬러 필터용으로 사용된 프탈로시아닌 화합물 |
Family Cites Families (4)
| Publication number | Priority date | Publication date | Assignee | Title |
|---|---|---|---|---|
| GB9316820D0 (en) * | 1993-08-12 | 1993-09-29 | Zeneca Ltd | Phthalocyanines |
| GB9412522D0 (en) * | 1994-06-22 | 1994-08-10 | Ici Plc | Optical recording media |
| JPH08334621A (ja) * | 1995-04-07 | 1996-12-17 | Nippon Oil Co Ltd | 液晶性光学フィルム |
| JP3051065B2 (ja) * | 1995-10-16 | 2000-06-12 | 株式会社日本触媒 | フタロシアニン化合物を含んでなるカラーフィルター |
-
2007
- 2007-03-01 JP JP2007051927A patent/JP5117074B2/ja not_active Expired - Fee Related
Also Published As
| Publication number | Publication date |
|---|---|
| JP2008214228A (ja) | 2008-09-18 |
Similar Documents
| Publication | Publication Date | Title |
|---|---|---|
| Lyu et al. | Predictive design model for low-dimensional organic–inorganic halide perovskites assisted by machine learning | |
| Hua et al. | A room-temperature hybrid lead iodide perovskite ferroelectric | |
| Ai et al. | Fluorine substitution induced high T c of enantiomeric perovskite ferroelectrics:(R)-and (S)-3-(fluoropyrrolidinium) MnCl3 | |
| Deng et al. | Inversion of molecular chirality associated with ferroelectric switching in a high-temperature two-dimensional perovskite ferroelectric | |
| Zhang et al. | Narrow band gap observed in a molecular ferroelastic: ferrocenium tetrachloroferrate | |
| Pal et al. | Synthesis, structure and physical properties of the first one-dimensional phenalenyl-based neutral radical molecular conductor | |
| Liu et al. | A high-temperature double perovskite molecule-based antiferroelectric with excellent anti-breakdown capacity for energy storage | |
| CN113812003B (zh) | 芳族化合物 | |
| CN111349035A (zh) | 一种有机-无机杂化钙钛矿及其制备方法和应用 | |
| JP5117074B2 (ja) | 新規ディスコティック液晶性化合物 | |
| Wojcik et al. | Tunable dielectric switching of (quinuclidinium)[MnCl4] hybrid compounds | |
| JP5388050B2 (ja) | 新規有機金属錯体化合物 | |
| Fan et al. | A Two-Dimensional Hybrid Lead Bromide Ferroelectric Semiconductor with an Out-of-Plane Polarization | |
| Tauchi et al. | Discotic liquid crystals of transition metal complexes 49: establishment of helical structure of fullerene moieties in columnar mesophase of phthalocyanine-fullerene dyads | |
| JP5142560B2 (ja) | 新規ディスコティック液晶性化合物 | |
| Zhang et al. | Ternary flexible electro‐resistive memory device based on small molecules | |
| JP5219386B2 (ja) | 新規ディスコティック液晶性化合物 | |
| Aghabozorg et al. | Supramolecular cobalt (II), copper (II) and cadmium (II) complexes obtained from a proton transfer compound including pyridine-2, 6-dicarboxylate and propane-1, 3-diaminium ions; synthesis, characterization and crystal structure | |
| Zhou et al. | Self-assembly and ionic conductivity of phthalocyanine-containing liquid-crystalline compound films | |
| Suemune et al. | Partially Oxidized Purely Organic Zwitterionic Neutral Radical Conductor: Multi-step Phase Transitions and Crossover Caused by Intra-and Intermolecular Electronic Interactions | |
| JP5558626B2 (ja) | 光架橋性ポリイミド高分子、その製造方法及びそれを用いたメモリ素子 | |
| Lee et al. | Organometallic− Organic Hybrid Crystals from Ferrocenyl Dipyridine and Binaphthol: Different Crystal Structures and Nonlinear Optical Properties Depending upon the Reaction Medium and Optical Purity of Binaphthol | |
| Liu et al. | 1D Nano-and Microbelts Self-Assembled from the Organic− Inorganic Hybrid Molecules: Oxadiazole-Containing Cyclotriphosphazene | |
| KR101139618B1 (ko) | 유기 화합물 결정 및 전계 효과형 트랜지스터 | |
| Sun et al. | Photochromic semiconductors with record-high dielectric permittivity gain at room temperature |
Legal Events
| Date | Code | Title | Description |
|---|---|---|---|
| A621 | Written request for application examination |
Free format text: JAPANESE INTERMEDIATE CODE: A621 Effective date: 20100224 |
|
| A131 | Notification of reasons for refusal |
Free format text: JAPANESE INTERMEDIATE CODE: A131 Effective date: 20120731 |
|
| A521 | Request for written amendment filed |
Free format text: JAPANESE INTERMEDIATE CODE: A523 Effective date: 20120925 |
|
| TRDD | Decision of grant or rejection written | ||
| A01 | Written decision to grant a patent or to grant a registration (utility model) |
Free format text: JAPANESE INTERMEDIATE CODE: A01 Effective date: 20121016 |
|
| A01 | Written decision to grant a patent or to grant a registration (utility model) |
Free format text: JAPANESE INTERMEDIATE CODE: A01 |
|
| A61 | First payment of annual fees (during grant procedure) |
Free format text: JAPANESE INTERMEDIATE CODE: A61 Effective date: 20121017 |
|
| R150 | Certificate of patent or registration of utility model |
Free format text: JAPANESE INTERMEDIATE CODE: R150 |
|
| FPAY | Renewal fee payment (event date is renewal date of database) |
Free format text: PAYMENT UNTIL: 20151026 Year of fee payment: 3 |
|
| R250 | Receipt of annual fees |
Free format text: JAPANESE INTERMEDIATE CODE: R250 |
|
| S531 | Written request for registration of change of domicile |
Free format text: JAPANESE INTERMEDIATE CODE: R313531 |
|
| S533 | Written request for registration of change of name |
Free format text: JAPANESE INTERMEDIATE CODE: R313533 |
|
| R350 | Written notification of registration of transfer |
Free format text: JAPANESE INTERMEDIATE CODE: R350 |
|
| LAPS | Cancellation because of no payment of annual fees |
