JP4457588B2 - マロノニトリル化合物の用途 - Google Patents
マロノニトリル化合物の用途 Download PDFInfo
- Publication number
- JP4457588B2 JP4457588B2 JP2003197755A JP2003197755A JP4457588B2 JP 4457588 B2 JP4457588 B2 JP 4457588B2 JP 2003197755 A JP2003197755 A JP 2003197755A JP 2003197755 A JP2003197755 A JP 2003197755A JP 4457588 B2 JP4457588 B2 JP 4457588B2
- Authority
- JP
- Japan
- Prior art keywords
- group
- halogen atom
- substituted
- compound
- optionally substituted
- Prior art date
- Legal status (The legal status is an assumption and is not a legal conclusion. Google has not performed a legal analysis and makes no representation as to the accuracy of the status listed.)
- Expired - Fee Related
Links
- 0 *C(*)C(C#N)C#N Chemical compound *C(*)C(C#N)C#N 0.000 description 5
- LYDFGOIVNORMMX-UHFFFAOYSA-N Cc1ccc(C=C(C#N)C#N)[o]1 Chemical compound Cc1ccc(C=C(C#N)C#N)[o]1 LYDFGOIVNORMMX-UHFFFAOYSA-N 0.000 description 1
Landscapes
- Pyrrole Compounds (AREA)
- Indole Compounds (AREA)
- Agricultural Chemicals And Associated Chemicals (AREA)
- Heterocyclic Compounds Containing Sulfur Atoms (AREA)
- Furan Compounds (AREA)
Description
【発明の属する技術分野】
本発明は、マロノニトリル化合物の有害生物防除用途に関する。
【0002】
【従来の技術】
従来より有害生物の防除を目的として種々の有害生物防除剤が用いられているが、その効力は必ずしも十分でない場合があり、新しい十分な効力を有する有害生物防除剤の開発が望まれている(例えば、非特許文献1及び2参照。)。
【0003】
【非特許文献1】
ジャーナル オブ ザ アメリカン ケミカル ソサイエティ、2001年、第123巻、372頁(J. Am. Chem. Soc.,123, p.372 (2001))
【0004】
【非特許文献2】
ジャーナル オブ ザ アメリカン ケミカル ソサイエティ、1997年、第119巻、8113頁(J. Am. Chem. Soc.,119, p.8113 (1997))
【0005】
【発明が解決しようとする課題】
本発明は、新規な有害生物防除剤及び有害生物防除方法を提供することを課題とする。
【0006】
【課題を解決するための手段】
本発明者等は、優れた有害生物防除剤を見出すべく鋭意検討を重ねた結果、下記式(I)または(II)で示されるマロノニトリル化合物を有効成分として含有する有害生物防除剤が有害昆虫類並びに有害ダニ類等の有害節足動物類及び有害線虫類等の有害生物に対して優れた防除活性を有することを見出し本発明に至った。
即ち、本発明は、式(I)
または式(II)
[式中、
R1は、ハロゲン原子で置換されていてもよいC1〜C5アルキル基、ハロゲン原子で置換されていてもよいC2〜C5アルケニル基、ハロゲン原子で置換されていてもよいC2〜C5アルキニル基又は水素原子を表す。
R2は、ハロゲン原子で置換されていてもよいC1〜C5アルキル基、ハロゲン原子で置換されていてもよいC1〜C5アルキルオキシ基、ハロゲン原子で置換されていてもよいC2〜C5アルケニル基、ハロゲン原子で置換されていてもよいC2〜C5アルキニル基、水素原子またはシアノ基を表す。
R3及びR4は、同一または相異なり、ハロゲン原子で置換されていてもよいC1〜C10アルキル基、ハロゲン原子で置換されていてもよいC2〜C10アルケニル基、ハロゲン原子で置換されていてもよいC2〜C10アルキニル基、ハロゲン原子で置換されていてもよいC3〜C6シクロアルキル基、ハロゲン原子で置換されていてもよいC4〜C6シクロアルケニル基若しくは水素原子を表すか、又はR3とR4とが一緒になってハロゲン原子で置換されていてもよいC2〜C6アルキレン基またはハロゲン原子で置換されていてもよいC4〜C6アルケニレン基を表す。
R5は、ハロゲン原子、シアノ基、ニトロ基、ハロゲン原子で置換されていてもよいC1〜C4アルキル基、ハロゲン原子で置換されていてもよいC2〜C4アルケニル基、ハロゲン原子で置換されていてもよいC2〜C4アルキニル基、ハロゲン原子で置換されていてもよいC1〜C4アルキルオキシ基、ハロゲン原子で置換されていてもよいC1〜C4アルキルチオ基、ハロゲン原子で置換されていてもよいC1〜C4アルキルスルフィニル基、ハロゲン原子で置換されていてもよいC1〜C4アルキルスルホニル基、ハロゲン原子で置換されていてもよいC2〜C4アルキルカルボニル基、ハロゲン原子で置換されていてもよいC2〜C4アルキルオキシカルボニル基、ハロゲン原子で置換されていてもよいC2〜C4アルキルカルボニルオキシ基、フェニルオキシ基若しくはフェニルチオ基(前記フェニルオキシ基及びフェニルチオ基は、ハロゲン原子及び/又はC1〜C3アルキル基で置換されていてもよい)を表すか、又は隣接する炭素に結合する二つのR5が一緒になってベンゼン環を形成しても良く、この場合ベンゼン環は、ハロゲン原子またはC1〜C3アルキル基で置換されていてもよい。
nは0〜3の任意の整数を表す。nが2以上の場合、各々のR5は同一でも相異なっていてもよい。
Xは酸素原子、硫黄原子または式(III)で示される基を表す。
R6は、ハロゲン原子で置換されていてもよいC1〜C4アルキル基、ハロゲン原子で置換されていてもよいC1〜C4アルキルスルホニル基、ハロゲン原子で置換されていてもよいC2〜C4アルキルカルボニル基、ハロゲン原子で置換されていてもよいC2〜C4アルキルオキシカルボニル基、フェニル基、ベンゼンスルホニル基、ベンゾイル基(前記フェニル基、ベンゼンスルホニル基及びベンゾイル基は、ハロゲン原子またはC1〜C3アルキル基で置換されていてもよい)または水素原子を表す。]
で示されるマロノニトリル化合物(以下、式(I)で示される化合物を化合物(I)、式(II)で示される化合物を化合物(II)と記す。)を有効成分として含有することを特徴とする有害生物防除剤を提供する。また、本発明は化合物(I)又は化合物(II)の有効量を有害生物又は有害生物の生息場所に施用することを特徴とする有害生物の防除方法をも提供する。
【0007】
【発明の実施の形態】
本発明化合物において、
R1で示されるハロゲン原子で置換されていてもよいC1〜C5アルキル基としては例えばメチル基、エチル基、プロピル基、1−メチルエチル基、1,1−ジメチルエチル基、2,2−ジメチルプロピル基、クロロメチル基、フルオロメチル基、ジフルオロメチル基、トリフルオロメチル基、2,2,2−トリフルオロエチル基及び1,1,2,2−テトラフルオロエチル基が挙げられ、
ハロゲン原子で置換されていてもよいC2〜C5アルケニル基としては例えばビニル基、2,2−ジフルオロビニル基、1,2,2−トリフルオロビニル基、1−プロペニル基及び2−プロペニル基が挙げられ、
ハロゲン原子で置換されていてもよいC2〜C5アルキニル基としては例えばエチニル基、1−プロピニル基、2−プロピニル基及び3,3,3−トリフルオロ−1−プロピニル基が挙げられる。
【0008】
R2で示されるハロゲン原子で置換されていてもよいC1〜C5アルキル基としては例えばメチル基、エチル基、プロピル基、1−メチルエチル基、1,1−ジメチルエチル基、2,2−ジメチルプロピル基、クロロメチル基、フルオロメチル基、ジフルオロメチル基、トリフルオロメチル基、2,2,2−トリフルオロエチル基及び1,1,2,2−テトラフルオロエチル基が挙げられ、
ハロゲン原子で置換されていてもよいC1〜C5アルキルオキシ基としては例えばメトキシ基、エトキシ基、1−メチルエトキシ基、トリフロロメトキシ基、ジフルオロメトキシ基、2,2,2−トリフルオロエトキシ基及び1,1,2,2−テトラフルオロエトキシ基が挙げられ、
ハロゲン原子で置換されていてもよいC2〜C5アルケニル基としては例えばビニル基、2,2−ジフルオロビニル基、1,2,2−トリフルオロビニル基、1−プロペニル基及び2−プロペニル基が挙げられ、
ハロゲン原子で置換されていてもよいC2〜C5アルキニル基としては例えばエチニル基、1−プロピニル基、2−プロピニル基及び3,3,3−トリフルオロ−1−プロピニル基が挙げられる。
【0009】
R3またはR4で示されるハロゲン原子で置換されていてもよいC1〜C10アルキル基としては例えばメチル基、エチル基、1−メチルエチル基、2−メチルプロピル基、プロピル基、ブチル基、3−メチルブチル基、3,3−ジメチルブチル基、2,2−ジメチルプロピル基、フルオロメチル基、クロロメチル基、2,2−ジフルオロエチル基、2,2−ジクロロエチル基、3,3−ジフルオロプロピル基、3,3−ジクロロプロピル基、トリフルオロメチル基、トリクロロメチル基、2,2,2−トリフルオロエチル基、2,2,2−トリクロロエチル基、3,3,3−トリフルオロプロピル基、3,3,3−トリクロロプロピル基、2,2−ジフルオロプロピル基、3,3−ジフルオロブチル基、ペンタフルオロエチル基、2,2,3,3,3−ペンタフルオロプロピル基、1,1,2,2−テトラフルオロエチル基及び2,2,3,3−テトラフルオロプロピル基が挙げられ、
ハロゲン原子で置換されていてもよいC2〜C10アルケニル基としては例えばビニル基、アリル基、1−プロペニル基、3−ブテニル基、2−メチル−1−プロペニル基、3−メチル−2−ブテニル基、3−ペンテニル基、4−ペンテニル基、3−メチル−3−ブテニル基、4−メチル−3−ペンテニル基、1−クロロビニル基、2−クロロビニル基、1−フルオロビニル基、2−フルオロビニル基、2,2−ジクロロビニル基、2,2−ジブロモビニル基、2,2−ジフルオロビニル基、1,2,2−トリフルオロビニル基、1−(トリフルオロメチル)ビニル基、2−クロロ−2−プロペニル基、3−クロロ−2−プロペニル基、2−フルオロ−2−プロペニル基、3−フルオロ−2−プロペニル基、3,3−ジクロロ−2−プロペニル基、3,3−ジブロモ−2−プロペニル基、3,3−ジフルオロ-2-プロペニル基、2,3,3−トリフルオロ−2−プロペニル基、2−(トリフルオロメチル)−2−プロペニル基、2,3,3,3−テトラフルオロ−1−プロペニル基、1,2,3,3,3−ペンタフルオロ−1−プロペニル基、3,4,4−トリフルオロ−3−ブテニル基、3,4,4,4−テトラフルオロ−2−ブテニル基、2,3,4,4,4−ペンタフルオロ−2−ブテニル基及び4,5,5−トリフルオロ−4−ペンテニル基が挙げられ、
ハロゲン原子で置換されていてもよいC2〜C10アルキニル基としては例えばエチニル基、1−プロピニル基、2−プロピニル基、1−ブチニル基、3−メチル−1−ブチニル基、3,3−ジメチル−1−ブチニル基、2−クロロ−1−プロピニル基、3−クロロ−2−プロピニル基、3,3,3−トリフルオロ−1−プロピニル基及び4,4,4−トリフルオロ−2−ブチニル基が挙げられ、
ハロゲン原子で置換されていてもよいC3〜C6シクロアルキル基としては例えばシクロプロピル基、2,2−ジクロロ−1−シクロプロピル基、2,2−ジフルオロ−1−シクロプロピル基、2,2,3,3−テトラフルオロ−1−シクロプロピル基、2,2−ジクロロ−1−シクロブチル基、2,2−ジフルオロ−1−シクロブチル基、2,2,3,3−テトラフルオロ−1−シクロブチル基、シクロブチル基、シクロペンチル基及びシクロヘキシル基があげられ、
ハロゲン原子で置換されていてもよいC4〜C6シクロアルケニル基としては例えば2−フルオロ−2−シクロペンテニル基があげられる。
【0010】
R3及びR4とが一緒になって示されるハロゲン原子で置換されていてもよいC2−C6アルキレン基としては例えば、エチレン基、プロピレン基、トリメチレン基及びテトラメチレン基が挙げられ、
ハロゲン原子で置換されていてもよいC4−C6アルケニレン基としては例えば2−ブテニレン基及び2−ペンテニレン基が挙げられる。
【0011】
R5で示されるハロゲン原子としては例えばフッ素原子、塩素原子及び臭素原子が挙げられ、
ハロゲン原子で置換されていてもよいC1〜C4アルキル基としては例えばメチル基、エチル基、プロピル基、1−メチルエチル基、1,1−ジメチルエチル基、トリフルオロメチル基、ペンタフルオロエチル基、2,2,2−トリフルオロエチル基及び1,1,2,2−テトラフルオロエチル基が挙げられ、
ハロゲン原子で置換されていてもよいC2〜C4アルケニル基としては例えばビニル基、1−プロペニル基、2−プロペニル基及び2,2−ジフルオロビニル基が挙げられ、
ハロゲン原子で置換されていてもよいC2〜C4アルキニル基としては例えばエチニル基、1−プロピニル基、2−プロピニル基及び3,3,3−トリフルオロ−1−プロピニル基が挙げられ、
ハロゲン原子で置換されていてもよいC1〜C4アルキルオキシ基としては例えばメトキシ基、エトキシ基、プロポキシ基、トリフルオロメトキシ基、ブロモジフルオロメトキシ基、ジフルオロメトキシ基,クロロジフルオロメトキシ基、ペンタフルオロエトキシ基、2,2,2−トリフルオロエトキシ基及び1,1,2,2−テトラフルオロエトキシ基が挙げられ、
ハロゲン原子で置換されていてもよいC1〜C4アルキルチオ基としては例えばメチルチオ基、トリフルオロメチルチオ基、2,2,2−トリフルオロエチルチオ基及び1,1,2,2−テトラフルオロエチルチオ基が挙げられ、
ハロゲン原子で置換されていてもよいC1〜C4アルキルスルフィニル基としては例えばメチルスルフィニル基及びトリフルオロメチルスルフィニル基が挙げられ、
ハロゲン原子で置換されていてもよいC1〜C4アルキルスルホニル基としては例えばメチルスルホニル基及びトリフルオロメチルスルホニル基が挙げられ、
ハロゲン原子で置換されていてもよいC2〜C4アルキルカルボニル基としては例えばアセチル基、プロピオニル基及びトリフルオロアセチル基が挙げられ、
ハロゲン原子で置換されていてもよいC2〜C4アルキルオキシカルボニル基としては例えばメトキシカルボニル基及び2,2,2−トリフルオロエトキシカルボニル基が挙げられ、
ハロゲン原子で置換されていてもよいC2〜C4アルキルカルボニルオキシ基としては例えばアセチルオキシ基、プロピオニルオキシ基及びトリフルオロアセチルオキシ基が挙げられ、
ハロゲン原子またはC1〜C3アルキル基で置換されていてもよいフェニルオキシ基としては例えばフェノキシ基、p−メチルフェノキシ基、m−メチルフェノキシ基、p−クロロフェノキシ基が挙げられ、
ハロゲン原子及び/又はC1〜C3アルキル基で置換されていてもよいフェニルチオ基としては例えばフェニルチオ基、p−メチルフェニルチオ基、m−メチルフェニルチオ基、p−クロロフェニルチオ基が挙げられる。
【0012】
R6で示されるハロゲン原子で置換されていてもよいC1〜C4アルキル基としては例えばメチル基、エチル基、プロピル基、1−メチルエチル基、1,1−ジメチルエチル基、トリフルオロメチル基、ペンタフルオロエチル基、2,2,2−トリフルオロエチル基及び1,1,2,2−テトラフルオロエチル基が挙げられ、
ハロゲン原子で置換されていてもよいC1〜C4アルキルスルホニル基としては例えばメチルスルホニル基及びトリフルオロメチルスルホニル基が挙げられ、
ハロゲン原子で置換されていてもよいC2〜C4アルキルカルボニル基としては例えばアセチル基、プロピオニル基、トリフルオロアセチル基が挙げられ、
ハロゲン原子で置換されていてもよいC2〜C4アルキルオキシカルボニル基としては例えばメトキシカルボニル基及び2,2,2−トリフルオロエトキシカルボニル基が挙げられ、
ハロゲン原子及び/又はC1〜C3アルキル基で置換されていてもよいフェニル基としては例えばフェニル基、p−メチルフェニル基、m−メチルフェニル基、p−クロロフェニル基が挙げられる。
【0013】
なお、本発明において、C1〜C10等の記載は、各置換基を構成する全炭素数を意味する。
【0014】
化合物(I)または(II)の態様としては、例えば以下の化合物が挙げられる。
式(I)において、R1が水素原子であるマロノニトリル化合物;
式(I)において、R2がメチル基であるマロノニトリル化合物;
式(I)において、R1及びR2が水素原子であるマロノニトリル化合物;
式(I)において、R1が水素原子でありR2がメチル基であるマロノニトリル化合物;
【0015】
式(I)において、R1及びR2がメチル基であるマロノニトリル化合物;
式(I)において、R3が水素原子であるマロノニトリル化合物;
式(I)において、R4がC2〜C10アルケニル基であるマロノニトリル化合物;
式(I)において、R4がビニル基であるマロノニトリル化合物;
式(I)において、R4が2−プロペニル基であるマロノニトリル化合物;
式(I)において、R4が2−メチル−1−プロペニル基であるマロノニトリル化合物;
式(I)において、R4がC2〜C10ハロアルケニル基であるマロノニトリル化合物;
式(I)において、R4が2,2−ジフルオロビニル基であるマロノニトリル化合物;
式(I)において、R4が1−(トリフルオロメチル)ビニル基であるマロノニトリル化合物;
式(I)において、R4が3,3−ジフルオロ−2−プロペニル基であるマロノニトリル化合物;
式(I)において、R4が2,3,3−トリフルオロ−2−プロペニル基であるマロノニトリル化合物;
式(I)において、R4が3,3,3−トリフルオロ−1−プロペニル基であるマロノニトリル化合物;
【0016】
式(I)において、R4がC2〜C10ハロアルキニル基であるマロノニトリル化合物;
式(I)において、R4がC1〜C10フルオロアルキル基であるマロノニトリル化合物;
式(I)において、R4がフルオロメチル基であるマロノニトリル化合物;
式(I)において、R4が2,2−ジフルオロエチル基であるマロノニトリル化合物;
式(I)において、R4が2,2,2−トリフルオロエチル基であるマロノニトリル化合物;
式(I)において、R4がペンタフルオロエチル基であるマロノニトリル化合物;
式(I)において、R4が3,3,3−トリフルオロプロピル基であるマロノニトリル化合物;
式(I)において、R4が2,2,3,3,3−ペンタフルオロプロピル基であるマロノニトリル化合物;
【0017】
式(I)において、R4がC3〜C6シクロアルキル基であるマロノニトリル化合物;
式(I)において、R4がシクロプロピル基であるマロノニトリル化合物;
式(I)において、R4がシクロブチル基であるマロノニトリル化合物;
式(I)において、R4が2,2−ジクロロシクロプロピル基であるマロノニトリル化合物;
式(I)において、R3が水素原子であり、R4がビニル基、2−プロペニル基又は2−メチル−1−プロペニル基であるマロノニトリル化合物;
【0018】
式(I)において、R3が水素原子であり、R4が2,2−ジフルオロビニル基、1−(トリフルオロメチル)ビニル基、3,3−ジフルオロ−2−プロペニル基、2,3,3−トリフルオロ−2−プロペニル基又は3,3,3−トリフルオロ−1−プロペニル基であるマロノニトリル化合物;
式(I)において、R3が水素原子であり、R4がフルオロメチル基、2,2−ジフルオロエチル基、2,2,2−トリフルオロエチル基、ペンタフルオロエチル基、3,3,3−トリフルオロプロピル基又は2,2,3,3,3−ペンタフルオロプロピル基であるマロノニトリル化合物;
式(I)において、R3が水素原子であり、R4がシクロプロピル基、シクロブチル基又は2,2−ジクロロシクロプロピル基であるマロノニトリル化合物;
式(I)において、R1、R2及びR3が水素原子であり、R4がビニル基、2−プロペニル基又は2−メチル−1−プロペニル基であるマロノニトリル化合物;
【0019】
式(I)において、R1、R2及びR3が水素原子であり、R4が2,2−ジフルオロビニル基、1−(トリフルオロメチル)ビニル基、3,3−ジフルオロ−2−プロペニル基、2,3,3−トリフルオロ−2−プロペニル基又は3,3,3−トリフルオロ−1−プロペニル基であるマロノニトリル化合物;
式(I)において、R1及びR3が水素原子であり、R2がメチル基であり、R4が2,2−ジフルオロビニル基、1−(トリフルオロメチル)ビニル基、3,3−ジフルオロ−2−プロペニル基、2,3,3−トリフルオロ−2−プロペニル基又は3,3,3−トリフルオロ−1−プロペニル基であるマロノニトリル化合物;
式(I)において、R1、R2及びR3が水素原子であり、R4がフルオロメチル基、2,2−ジフルオロエチル基、2,2,2−トリフルオロエチル基、ペンタフルオロエチル基、3,3,3−トリフルオロプロピル基又は2,2,3,3,3−ペンタフルオロプロピル基であるマロノニトリル化合物;
【0020】
式(I)において、R1及びR3が水素原子であり、R2がメチル基であり、R4がフルオロメチル基、2,2−ジフルオロエチル基、2,2,2−トリフルオロエチル基、ペンタフルオロエチル基、3,3,3−トリフルオロプロピル基又は2,2,3,3,3−ペンタフルオロプロピル基であるマロノニトリル化合物;
式(I)において、R1、R2及びR3が水素原子であり、R4がシクロプロピル基、シクロブチル基又は2,2−ジクロロシクロプロピル基であるマロノニトリル化合物;
【0021】
式(I)において、nが0であるマロノニトリル化合物;
式(I)において、nが1であり、R5がメチル基であるマロノニトリル化合物;
式(I)において、nが1であり、R5がエチル基であるマロノニトリル化合物;
式(I)において、nが1であり、R5が塩素原子であるマロノニトリル化合物;
式(I)において、nが1であり、R5が臭素原子であるマロノニトリル化合物;
式(I)において、nが1であり、R5がニトロ基であるマロノニトリル化合物;
式(I)において、nが1であり、R5がシアノ基であるマロノニトリル化合物;
式(I)において、nが1であり、R5がトリフルオロメチル基であり、Xが酸素原子であるマロノニトリル化合物;
【0022】
式(II)において、R1が水素原子であるマロノニトリル化合物;
式(II)において、R2がメチル基であるマロノニトリル化合物;
式(II)において、R1及びR2が水素原子であるマロノニトリル化合物;
式(II)において、R1が水素原子でありR2がメチル基であるマロノニトリル化合物;
式(II)において、R1及びR2がメチル基であるマロノニトリル化合物;
式(II)において、R3が水素原子であるマロノニトリル化合物;
式(II)において、R4がC2〜C10アルケニル基であるマロノニトリル化合物;
式(II)において、R4がビニル基であるマロノニトリル化合物;
式(II)において、R4が2−プロペニル基であるマロノニトリル化合物;
式(II)において、R4が2−メチル−1−プロペニル基であるマロノニトリル化合物;
【0023】
式(II)において、R4がC2〜C10ハロアルケニル基であるマロノニトリル化合物;
式(II)において、R4が2,2−ジフルオロビニル基であるマロノニトリル化合物;
式(II)において、R4が1−(トリフルオロメチル)ビニル基であるマロノニトリル化合物;
式(II)において、R4が3,3−ジフルオロ−2−プロペニル基であるマロノニトリル化合物;
式(II)において、R4が2,3,3−トリフルオロ−2−プロペニル基であるマロノニトリル化合物;
式(II)において、R4が3,3,3−トリフルオロ−1−プロペニル基であるマロノニトリル化合物;
【0024】
式(II)において、R4がC2〜C10ハロアルキニル基であるマロノニトリル化合物;
式(II)において、R4がC1〜C10フルオロアルキル基であるマロノニトリル化合物;
式(II)において、R4がフルオロメチル基であるマロノニトリル化合物;
式(II)において、R4が2,2−ジフルオロエチル基であるマロノニトリル化合物;
式(II)において、R4が2,2,2−トリフルオロエチル基であるマロノニトリル化合物;
式(II)において、R4がペンタフルオロエチル基であるマロノニトリル化合物;
式(II)において、R4が3,3,3−トリフルオロプロピル基であるマロノニトリル化合物;
式(II)において、R4が2,2,3,3,3−ペンタフルオロプロピル基であるマロノニトリル化合物;
【0025】
式(II)において、R4がC3〜C6シクロアルキル基であるマロノニトリル化合物;
式(II)において、R4がシクロプロピル基であるマロノニトリル化合物;
式(II)において、R4がシクロブチル基であるマロノニトリル化合物;
式(II)において、R4が2,2−ジクロロシクロプロピル基であるマロノニトリル化合物;
式(II)において、R3が水素原子であり、R4がビニル基、2−プロペニル基又は2−メチル−1−プロペニル基であるマロノニトリル化合物;
【0026】
式(II)において、R3が水素原子であり、R4が2,2−ジフルオロビニル基、1−(トリフルオロメチル)ビニル基、3,3−ジフルオロ−2−プロペニル基、2,3,3−トリフルオロ−2−プロペニル基又は3,3,3−トリフルオロ−1−プロペニル基であるマロノニトリル化合物;
式(II)において、R3が水素原子であり、R4がフルオロメチル基、2,2−ジフルオロエチル基、2,2,2−トリフルオロエチル基、ペンタフルオロエチル基、3,3,3−トリフルオロプロピル基又は2,2,3,3,3−ペンタフルオロプロピル基であるマロノニトリル化合物;
式(II)において、R3が水素原子であり、R4がシクロプロピル基、シクロブチル基又は2,2−ジクロロシクロプロピル基であるマロノニトリル化合物;
式(II)において、R1、R2及びR3が水素原子であり、R4がビニル基、2−プロペニル基又は2−メチル−1−プロペニル基であるマロノニトリル化合物;
【0027】
式(II)において、R1、R2及びR3が水素原子であり、R4が2,2−ジフルオロビニル基、1−(トリフルオロメチル)ビニル基、3,3−ジフルオロ−2−プロペニル基、2,3,3−トリフルオロ−2−プロペニル基又は3,3,3−トリフルオロ−1−プロペニル基であるマロノニトリル化合物;
式(II)において、R1及びR3が水素原子であり、R2がメチル基であり、R4が2,2−ジフルオロビニル基、1−(トリフルオロメチル)ビニル基、3,3−ジフルオロ−2−プロペニル基、2,3,3−トリフルオロ−2−プロペニル基又は3,3,3−トリフルオロ−1−プロペニル基であるマロノニトリル化合物;
【0028】
式(II)において、R1、R2及びR3が水素原子であり、R4がフルオロメチル基、2,2−ジフルオロエチル基、2,2,2−トリフルオロエチル基、ペンタフルオロエチル基、3,3,3−トリフルオロプロピル基又は2,2,3,3,3−ペンタフルオロプロピル基であるマロノニトリル化合物;
式(II)において、R1及びR3が水素原子であり、R2がメチル基であり、R4がフルオロメチル基、2,2−ジフルオロエチル基、2,2,2−トリフルオロエチル基、ペンタフルオロエチル基、3,3,3−トリフルオロプロピル基又は2,2,3,3,3−ペンタフルオロプロピル基であるマロノニトリル化合物;
式(II)において、R1、R2及びR3が水素原子であり、R4がシクロプロピル基、シクロブチル基又は2,2−ジクロロシクロプロピル基であるマロノニトリル化合物;
【0029】
式(II)において、nが0であるマロノニトリル化合物;
式(II)において、nが1であり、R5がメチル基であるマロノニトリル化合物;
式(II)において、nが1であり、R5がニトロ基であるマロノニトリル化合物;
式(II)において、nが1であり、R5がシアノ基であるマロノニトリル化合物;
式(II)において、nが1であり、R5がトリフルオロメチル基でるマロノニトリル化合物;
式(II)において、nが1であり、R5が塩素原子であり、Xが酸素原子又は硫黄原子であるマロノニトリル化合物;
式(II)において、nが1であり、R5が臭素原子であり、Xが酸素原子又は硫黄原子であるマロノニトリル化合物。
【0030】
次に化合物(I)または(II)の製造法について説明する。
化合物(I)または(II)は例えば、以下の(製造法1)〜(製造法5)にしたがって製造することができる。
【0031】
(製造法1)
化合物(I−a)又は化合物(II−a)と化合物(b)とを塩基の存在下に反応させる方法
[式中、R1、R2、R3、R4、R5、n及びXは前記と同じ意味を表し、Z1はハロゲン原子、メタンスルホニル基、トリフルオロメタンスルホニル基又はトルエンスルホニル基を表す。]
該反応は通常溶媒中で行われる。反応に用いられる溶媒としては、例えばN,N−ジメチルホルムアミド等の酸アミド類、ジエチルエーテル、テトラヒドロフラン等のエーテル類、ジメチルスルホキシド、スルホラン等の有機硫黄類、クロロベンゼン等のハロゲン化炭化水素類、トルエン、キシレン等の芳香族炭化水素類及びそれらの混合物があげられる
該反応に用いられる塩基としては、例えば水素化ナトリウム、炭酸ナトリウム、炭酸カリウム等の無機塩基、カリウム−t−ブトキシド等のアルカリ金属アルコキシド及び4−ジメチルアミノピリジン、1,4−ジアザビシクロ[2.2.2]オクタン、1,8−ジアザビシクロ[5.4.0]−7−ウンデセン等の有機塩基があげられる。反応に用いられる塩基の量は、化合物(I−a)又は化合物(II−a)1モルに対して通常1〜10モルの割合である。
反応に供される化合物(b)の量は、化合物(I−a)又は化合物(II−a)1モルに対し、通常1〜10モルの割合である。
該反応の反応温度の通常−20〜100℃の範囲であり、反応時間は通常1〜24時間の範囲である。
反応終了後は、反応混合物を水に注加し、有機溶媒抽出してから、濃縮する等の後処理操作を行うことにより、化合物(I)又は化合物(II)を単離することができる。単離した化合物(I)又は化合物(II)は、必要に応じてクロマトグラフィー、再結晶等で精製することもできる。
【0032】
(製造法2)
化合物(c)と化合物(I−d)又は化合物(II−d)とを塩基の存在下に反応させる方法
[式中、R1、R2、R3、R4、R5、n及びXは前記と同じ意味を表す。Z2はハロゲン原子、メタンスルホニル基、トリフルオロメタンスルホニル基又はトルエンスルホニル基を表す。]
該反応は通常溶媒中で行われる。反応に用いられる溶媒としては、例えばジメチルホルムアミド等の酸アミド類、ジエチルエーテル、テトラヒドロフラン等のエーテル類、ジメチルスルホキシド、スルホラン等の有機硫黄類、クロロベンゼン等のハロゲン化炭化水素類、トルエン、キシレン等の芳香族炭化水素類及びそれらの混合物があげられる
該反応に用いられる塩基としては、例えば水素化ナトリウム、炭酸ナトリウム、炭酸カリウム等の無機塩基、カリウム−t−ブトキシド等のアルカリ金属アルコキシド及び4−ジメチルアミノピリジン、1,4−ジアザビシクロ[2.2.2]オクタン、1,8−ジアザビシクロ[5.4.0]−7−ウンデセン等の有機塩基があげられる。反応に用いられる塩基の量は、化合物(c)1モルに対して通常1〜10モルの割合である。
反応に供される化合物(I−d)又は化合物(II−d)の量は、化合物(c)1モルに対し、通常1〜10モルの割合である。
該反応の反応温度は通常−20〜100℃の範囲であり、反応時間は通常1〜24時間の範囲である。
反応終了後は、反応混合物を水に注加し、有機溶媒抽出してから、濃縮する等の後処理操作を行うことにより、化合物(I)又は化合物(II)を単離することができる。単離した化合物(I)又は化合物(II)は、必要に応じてクロマトグラフィー、再結晶等で精製することもできる。
【0033】
化合物(I−a)又は化合物(II−a)は、例えば下記スキームで示されるルートにしたがって製造することができる。
[式中、R1、R2、R5、n及びXは前記と同じ意味を表す。]
【0034】
(第1工程)
化合物(I−f)又は化合物(II−f)は化合物(I−e)又は化合物(II−e)とマロノニトリルとを反応させることにより製造することができる。
該反応は通常溶媒中、塩基の存在下に行われる。反応に用いられる溶媒としては例えばN,N−ジメチルホルムアミド等の酸アミド類、ジエチルエーテル、テトラヒドロフラン等のエーテル類、クロロホルム、1,2−ジクロロエタン、クロロベンゼン等のハロゲン化炭化水素類、トルエン、キシレン等の芳香族炭化水素類、メタノール、エタノール、イソプロパノール等のアルコール類またはそれらの混合物が挙げられる。
反応に用いられる塩基としては、例えば水酸化テトラブチルアンモニウム等が挙げられる。反応に用いられる塩基の量は、化合物(I−e)又は化合物(II−e)1モルに対して通常0.01〜0.5モルの割合である。
反応に用いられるマロノニトリルの量は、化合物(I−e)又は化合物(II−e)1モルに対して、通常1〜10モルの割合である。
該反応の反応温度は通常−20〜200℃の範囲であり、反応時間は通常1〜24時間の範囲である。
該反応は、必要により反応によって生成する水を反応系外に除きながら行うこともできる。
反応終了後は、反応混合物を水に注加し、有機溶媒抽出してから、濃縮する等の後処理操作を行うことにより化合物(I−f)又は化合物(II−f)を単離することができる。単離した化合物(I−f)又は化合物(II−f)は、必要に応じてクロマトグラフィー、再結晶等で精製することもできる。
【0035】
(第2工程)
(1)R2が水素原子、シアノ基以外の置換基である場合
化合物(I−a)又は化合物(II−a)は化合物(I−f)又は化合物(II−f)と有機金属化合物とを反応させることにより製造することができる。
該反応は通常溶媒中、必要に応じて銅塩の存在下に行われる。
反応に用いられる溶媒としては、例えばジエチルエーテル、テトラヒドロフラン等のエーテル類、トルエン、キシレン等の芳香族炭化水素類またはこれらの混合物が挙げられる。
反応に用いられる有機金属化合物としては、例えばヨウ化メチルマグネシウム、臭化エチルマグネシウム、臭化イソプロピルマグネシウム、臭化ビニルマグネシウム、臭化エチニルマグネシウム、ジメチルマグネシウム等の有機マグネシウム化合物、メチルリチウム等の有機リチウム化合物、ジエチル亜鉛等の有機亜鉛化合物、トリフルオロメチル銅等の有機銅化合物が挙げられる。反応に用いられる有機金属化合物の量は化合物(I−f)又は化合物(II−f)1モルに対して通常1〜10モルの割合である。
反応に用いられる銅塩としては例えばヨウ化銅(I)、臭化銅(I)等が挙げられる。反応に用いられる銅塩の量は化合物(I−f)又は化合物(II−f)1モルに対して通常1モル以下である。
該反応の反応温度は通常−20〜100℃の範囲であり、反応時間は通常1〜24時間の範囲である。
反応終了後は、反応混合物を水に注加し、有機溶媒抽出してから、濃縮する等の後処理操作を行うことにより、化合物(I−a)又は化合物(II−a)を単離することができる。単離した化合物(I−a)又は化合物(II−a)は、必要に応じてクロマトグラフィー、再結晶等で精製することもできる。
【0036】
(2)R2が水素原子を表す場合
化合物(I−a)又は化合物(II−a)は化合物(I−f)又は化合物(II−f)を還元反応に付することにより製造することができる。
該還元反応は通常溶媒中で化合物(I−f)又は化合物(II−f)と還元剤とを反応させることにより行われる。
反応に用いられる溶媒としては、例えばジエチルエーテル、テトラヒドロフラン等のエーテル類、トルエン、キシレン等の芳香族炭化水素類、メタノール、エタノール、プロパノール等のアルコール類、水またはそれらの混合物が挙げられる。
反応に用いられる還元剤としては例えば水素化ホウ素ナトリウムが挙げられる。反応に用いられる還元剤の量は、化合物(I−f)又は化合物(II−f)1モルに対して通常0.25〜2モルの割合である。
該反応の反応時間は通常瞬時〜24時間の範囲であり、反応温度は通常0〜50℃の範囲である。
反応終了後は、反応混合物を水に注加し、有機溶媒抽出してから、濃縮する等の後処理操作を行うことにより、化合物(I−a)又は化合物(II−a)を単離することができる。単離した化合物(I−a)又は化合物(II−a)は、必要に応じてクロマトグラフィー、再結晶等で精製することもできる。
【0037】
(3)R2がシアノ基である場合
化合物(I−a)又は化合物(II−a)は化合物(I−f)又は化合物(II−f)とシアン化合物とを反応させることにより製造することができる。
該反応は通常溶媒中で行われる。
反応に用いられる溶媒としては、例えばジエチルエーテル、テトラヒドロフラン等のエーテル類、トルエン、キシレン等の芳香族炭化水素類またはこれらの混合物が挙げられる。
反応に用いられるシアン化合物としては、例えばテトラブチルアンモニウムシアニドが挙げられる。反応に用いられるシアン化合物の量は化合物(I−f)又は化合物(II−f)1モルに対して通常1〜10モルの割合である。
該反応の反応温度は通常−20〜100℃の範囲であり、反応時間は通常1〜24時間の範囲である。
反応終了後は、反応混合物を水に注加し、有機溶媒抽出してから、濃縮する等の後処理操作を行うことにより化合物(I−a)又は化合物(II−a)を単離することができる。単離した化合物(I−a)又は化合物(II−a)は、必要に応じてクロマトグラフィー、再結晶等で精製することもできる。
【0038】
(製造法3)
化合物(I)又は化合物(II)のうち、R2がハロゲン原子で置換されていてもよいC1〜C5アルキル基であり、R1およびR3が水素原子であり、R4がビニル基である化合物は、下式に示される方法によっても製造することができる。
[式中、R5、n及びXは前記と同じ意味を表し、R2-1はハロゲン原子で置換されていてもよいC1〜C5アルキル基を表し、Buはブチル基を意味し、AIBNとはアゾビスイソブチロニトリルを表す。]
該反応はJ.Am.Chem.Soc.,110,1289(1988)に記載の方法に準じて行うことができる。
【0039】
(製造法4)
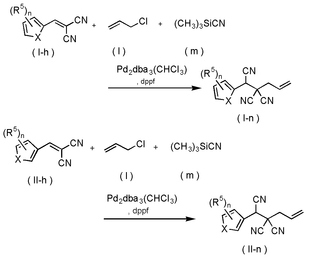
化合物(I)又は化合物(II)のうち、R2がシアノ基であり、R1およびR3が水素原子であり、R4がビニル基である化合物は、下式に示される方法によっても製造することができる。
[式中、R5、n及びXは前記と同じ意味を表す。dbaはジベンジリデンアセトンを意味し、dppfは1,1’−ビス(ジフェニルフォスフィノ)フェロセンを意味する。]
該反応はTetrahedron Lett.,41,2911(2000)に記載の条件に準じて行うことができる。
【0040】
(製造法5)
化合物(I)又は化合物(II)のうち、R2がハロゲン原子で置換されていてもよいC1〜C5アルキルオキシ基であり、R1およびR3が水素原子であり、R4がビニル基である化合物は、下式に示される方法によっても製造することができる。
[式中、R5、n及びXは前記と同じ意味を表し、R2-2はハロゲン原子で置換されていてもよいC1〜C5アルキルオキシ基を表す。Phはフェニル基を意味し、THFはテトラヒドロフランを意味する。]
該反応はJ.Am.Chem.Soc.,120,6838(1998)に記載の条件に準じて行うことができる。
【0041】
化合物(I)または化合物(II)を有効成分として含有することを特徴とする有害生物防除剤が防除効力を示す有害生物としては、例えば有害昆虫類並びに有害ダニ類と等の有害節足動物類及び有害線虫類が挙げられる。より具体的には下記のものが挙げられる。
【0042】
半翅目害虫:ヒメトビウンカ(Laodelphax striatellus)、トビイロウンカ(Nilaparvata lugens)、セジロウンカ(Sogatella furcifera)等のウンカ類、ツマグロヨコバイ(Nephotettix cincticeps)、タイワンツマグロヨコバイ(Nephotettix virescens)等のヨコバイ類、ワタアブラムシ(Aphis gossypii)、モモアカアブラムシ(Myzus persicae)等のアブラムシ類、アオクサカメムシ(Nezara antennata)、ホソヘリカメムシ(Riptortus clavetus)、オオトゲシラホシカメムシ(Eysarcoris lewisi)、トゲシラホシカメムシ(Eysarcoris parvus)、チャバネアオカメムシ(Plautia stali)、クサギカメムシ(Halyomorpha mista)等のカメムシ類、オンシツコナジラミ(Trialeurodes vaporariorum)、シルバーリーフコナジラミ(Bemisia argentifolii)等のコナジラミ類、アカマルカイガラムシ(Aonidiella aurantii)、サンホーゼカイガラムシ(Comstockaspis perniciosa)、シトラススノースケール(Unaspis citri)、ルビーロウムシ(Ceroplastes rubens)、イセリヤカイガラムシ(Icerya purchasi)等のカイガラムシ類、グンバイムシ類、キジラミ類等。
【0043】
鱗翅目害虫:ニカメイガ(Chilo suppressalis)、コブノメイガ(Cnaphalocrocis medinalis)、ワタノメイガ(Notarcha derogata)、ノシメマダラメイガ(Plodia interpunctella)等のメイガ類、ハスモンヨトウ(Spodoptera litura)、アワヨトウ(Pseudaletia separata)、トリコプルシア属、ヘリオティス属、ヘリコベルパ属等のヤガ類、モンシロチョウ(Pieris rapae)等のシロチョウ類、アドキソフィエス属、ナシヒメシンクイ(Grapholita molesta)、コドリンガ(Cydia pomonella)等のハマキガ類、モモシンクイガ(Carposina niponensis)等のシンクイガ類、リオネティア属等のハモグリガ類、リマントリア属、ユープロクティス属等のドクガ類、コナガ(Plutella xylostella)等のスガ類、ワタアカミムシ(Pectinophora gossypiella)等のキバガ類、アメリカシロヒトリ(Hyphantria cunea)等のヒトリガ類、イガ(Tinea translucens)、コイガ(Tineola bisselliella)等のヒロズコガ類等。
【0044】
双翅目害虫:アカイエカ(Culex pipiens pallens)、コガタアカイエカ(Culex tritaeniorhynchus)、ネッタイイエカ(Culex quinquefasciatus)等のイエカ類、ネッタイシマカ(Aedes aegypti)、ヒトスジシマカ(Aedes albopictus)等のエーデス属、(Anopheles sinensis)等のアノフェレス属、ユスリカ類、イエバエ(Musca domestica)、オオイエバエ(Muscina stabulans)等のイエバエ類、クロバエ類、ニクバエ類、ヒメイエバエ類、タネバエ(Delia platura)、タマネギバエ(Delia antiqua)等のハナバエ類、ミバエ類、ショウジョウバエ類、チョウバエ類、ブユ類、アブ類、サシバエ類、ハモグリバエ類等。
【0045】
鞘翅目害虫:ウエスタンコーンルートワーム(Diabrotica virgifera virgifera)、サザンコーンルートワーム(Diabrotica undecimpunctata howardi)等のコーンルートワーム類、ドウガネブイブイ(Anomala cuprea)、ヒメコガネ(Anomala rufocuprea)等のコガネムシ類、メイズウィービル(Sitophilus zeamais)、イネミズゾウムシ(Lissorhoptrus oryzophilus)、アズキゾウムシ(Callosobruchuys chienensis)等のゾウムシ類、チャイロコメノゴミムシダマシ(Tenebrio molitor)、コクヌストモドキ(Tribolium castaneum)等のゴミムシダマシ類、イネドロオイムシ(Oulema oryzae)、ウリハムシ(Aulacophora femoralis)、キスジノミハムシ(Phyllotreta striolata)、コロラドハムシ(Leptinotarsa decemlineata)等のハムシ類、シバンムシ類、ニジュウヤホシテントウ(Epilachna vigintioctopunctata)等のエピラクナ類、ヒラタキクイムシ類、ナガシンクイムシ類、カミキリムシ類、アオバアリガタハネカクシ(Paederus fuscipes)等。
【0046】
ゴキブリ目害虫:チャバネゴキブリ(Blattella germanica)、クロゴキブリ(Periplaneta fuliginosa)、ワモンゴキブリ(Periplaneta americana)、トビイロゴキブリ(Periplaneta brunnea)、トウヨウゴキブリ(Blatta orientalis)等。
【0047】
アザミウマ目害虫:ミナミキイロアザミウマ(Thrips palmi)、ネギアザミウマ(Thrips tabaci)、ミカンキイロアザミウマ(Frankliniella occidentalis)、ヒラズハナアザミウマ(Frankliniella intonsa)等。
膜翅目害虫:アリ類、スズメバチ類、アリガタバチ類、ニホンカブラバチ(Athalia japonica)等のハバチ類等。
【0048】
直翅目害虫:ケラ類、バッタ類等。
隠翅目害虫:ネコノミ(Ctenocephalides felis)、イヌノミ(Ctenocephalides canis)、ヒトノミ(Pulex irritans)、ケオプスネズミノミ(Xenopsylla cheopis)等。
シラミ目害虫:コロモジラミ(Pediculus humanus corporis)、ケジラミ (Phthirus pubis)、ウシジラミ(Haematopinus eurysternus)、ヒツジジラミ(Dalmalinia ovis)等。
シロアリ目害虫:ヤマトシロアリ(Reticulitermes speratus)、イエシロアリ(Coptotermes formosanus)等。
【0049】
ダニ目害虫:ナミハダニ(Tetranychus urticae)、カンザワハダニ(Tetranychus kanzawai)、ミカンハダニ(Panonychus citri)、リンゴハダニ(Panonychus ulmi)、オリゴニカス属等のハダニ類、ミカンサビダニ(Aculops pelekassi)、リンゴサビダニ(Aculus schlechtendali)等のフシダニ類、チャノホコリダニ(Polyphagotarsonemus latus)等のホコリダニ類、ヒメハダニ類、ケナガハダニ類、フタトゲチマダニ(Haemaphysalis longicornis)、ヤマトチマダニ(Haemaphysalis flava)、タイワンカクマダニ(Dermacentor taiwanicus)、ヤマトマダニ(Ixodes ovatus)、シュルツマダニ(Ixodes persulcatus) 、オウシマダニ(Boophilus microplus)等のマダニ類、ケナガコナダニ(Tyrophagus putrescentiae)等のコナダニ類、コナヒョウヒダニ(Dermatophagoides farinae)、ヤケヒョウヒダニ(Dermatophagoides ptrenyssnus)等のヒョウヒダニ類、ホソツメダニ(Cheyletus eruditus)、クワガタツメダニ(Cheyletus malaccensis)、ミナミツメダニ(Cheyletus moorei)等のツメダニ類、ワクモ類等。
クモ類:カバキコマチグモ(Chiracanthium japonicum)、セアカゴケグモ(Latrodectus hasseltii)等。
【0050】
唇脚綱類:ゲジ(Thereuonema hilgendorfi)、トビスムカデ(Scolopendra subspinipes)等。
倍脚綱類:ヤケヤスデ(Oxidus gracilis)、アカヤスデ(Nedyopus tambanus)等。
等脚目類:オカダンゴムシ(Armadillidium vulgare)等。
腹足綱類:チャコウラナメクジ(Limax marginatus)、キイロコウラナメクジ(Limax flavus)等。
線虫類:ミナミネグサレセンチュウ(Pratylenchus coffeae)、キタネグサレセンチュウ(Pratylenchus fallax)、ダイズシストセンチュウ(Heterodera glycines)、ジャガイモシストセンチュウ(Globodera rostochiensis)、キタネコブセンチュウ(Meloidogyne hapla)、サツマイモネコブセンチュウ(Meloidogyne incognita)等。
【0051】
本発明の有害生物防除剤は化合物(I)または化合物(II)そのものでもよいが、通常は固体担体、液体担体及び又はガス状担体と混合し、更に必要に応じて界面活性剤その他の製剤用補助剤を添加して、乳剤、油剤、シャンプー剤、フロアブル剤、粉剤、水和剤、粒剤、ペースト状製剤、マイクロカプセル製剤、泡沫剤、エアゾール製剤、炭酸ガス製剤、錠剤、樹脂製剤等の形態に製剤化されたものである。これらの製剤は、毒餌、蚊取り線香、電気蚊取りマット、燻煙剤、燻蒸剤、シートに加工されて、使用されることもある。
これらの製剤は、化合物(I)又は化合物(II)を通常0.1〜95重量%含有する。
【0052】
製剤化の際に用いられる固体担体としては、例えば粘土類(カオリンクレー、珪藻土、ベントナイト、フバサミクレー、酸性白土等)、合成含水酸化珪素、タルク、セラミック、その他の無機鉱物(セリサイト、石英、硫黄、活性炭、炭酸カルシウム、水和シリカ等)、化学肥料(硫安、燐安、硝安、塩安、尿素等)等の微粉末及び粒状物が挙げられる。
【0053】
液体担体としては、例えば芳香族または脂肪族炭化水素類(キシレン、トルエン、アルキルナフタレン、フェニルキシリルエタン、ケロシン、軽油、ヘキサン、シクロヘキサン等)、ハロゲン化炭化水素類(クロロベンゼン、ジクロロメタン、ジクロロエタン、トリクロロエタン等)、アルコール類(メタノール、エタノール、イソプロピルアルコール、ブタノール、ヘキサノール、エチレングリコール等)、エーテル類(ジエチルエーテル、エチレングリコールジメチルエーテル、ジエチレングリコールモノメチルエーテル、ジエチレングリコールモノエチルエーテル、プロピレングリコールモノメチルエーテル、テトラヒドロフラン、ジオキサン等)、エステル類(酢酸エチル、酢酸ブチル等)、ケトン類(アセトン、メチルエチルケトン、メチルイソブチルケトン、シクロヘキサノン等)、ニトリル類(アセトニトリル、イソブチロニトリル等)、スルホキシド類(ジメチルスルホキシド等)、酸アミド類(N,N−ジメチルホルムアミド、N,N−ジメチルアセトアミド等)、植物油(大豆油、綿実油等)、植物精油(オレンジ油、ヒソップ油、レモン油等)および水などが挙げられる。
ガス状担体としては、例えばブタンガス、フロンガス、液化石油ガス(LPG)、ジメチルエーテル、炭酸ガス等を挙げることができる。
【0054】
界面活性剤としては、例えばアルキル硫酸エステル塩、アルキルスルホン酸塩、アルキルアリールスルホン酸塩、アルキルアリールエーテル類及びそのポリオキシエチレン化物、ポリエチレングリコールエーテル類、多価アルコールエステル類及び糖アルコール誘導体が挙げられる。
【0055】
その他の製剤用補助剤としては、固着剤、分散剤及び安定剤等、具体的には例えばカゼイン、ゼラチン、多糖類(澱粉、アラビアガム、セルロース誘導体、アルギン酸等)、リグニン誘導体、ベントナイト、糖類、合成水溶性高分子(ポリビニルアルコール、ポリビニルピロリドン、ポリアクリル酸類等)、PAP(酸性リン酸イソプロピル)、BHT(2,6−ジ−t−ブチル−4−メチルフェノール)、BHA(2−t−ブチル−4−メトキシフェノールと3−t−ブチル−4−メトキシフェノールとの混合物)、植物油、鉱物油、脂肪酸及び脂肪酸エステルが挙げられる。
【0056】
樹脂製剤の基材としては、例えば塩化ビニル系重合体、ポリウレタン等を挙げることができ、これらの基材には必要によりフタル酸エステル類(フタル酸ジメチル、フタル酸ジオクチル等)、アジピン酸エステル類、ステアリン酸等の可塑剤が添加されていてもよい。樹脂製剤は該基材中に化合物を通常の混練装置を用いて混練した後、射出成型、押出成型、プレス成型等により成型することにより得られ、必要により更に成型、裁断等の工程を経て、板状、フィルム状、テープ状、網状、ひも状等の樹脂製剤に加工できる。これらの樹脂製剤は、例えば動物用首輪、動物用イヤータッグ、シート製剤、誘引ひも、園芸用支柱として加工される。
【0057】
毒餌の基材としては、例えば穀物粉、植物油、糖、結晶セルロース等が挙げられ、更に必要に応じて、ジブチルヒドロキシトルエン、ノルジヒドログアイアレチン酸等の酸化防止剤、デヒドロ酢酸等の保存料、トウガラシ末等の子供やペットによる誤食防止剤、チーズ香料、タマネギ香料ピーナッツオイル等の害虫誘引性香料等が添加される。
【0058】
本発明の有害生物防除剤は、例えば有害生物に直接、及び/又は有害生物の生息場所(植物体、動物体、土壌等)に施用することにより用いられる。
【0059】
本発明の有害生物防除剤を農林害虫の防除に用いる場合は、その施用量は有効成分量として通常1〜10000g/ha、好ましくは10〜1000g/haである。乳剤、水和剤、フロアブル剤、マイクロカプセル製剤等は通常有効成分濃度が1〜10000ppmとなるように水で希釈して使用し、粉剤、粒剤等は通常そのまま使用する。これらの製剤を有害生物から保護すべき植物に対して直接散布してもよい。これらの製剤を土壌に処理することにより土壌に棲息する有害生物を防除することもでき、またこれらの製剤を植物を植え付ける前の苗床に処理したり、植付時に植穴や株元に処理することもできる。さらに、本発明の有害生物防除剤のシート製剤を植物に巻き付けたり、植物の近傍に設置したり、株元の土壌表面に敷くなどの方法でも施用することができる。
【0060】
本発明の有害生物防剤を防疫用として用いる場合は、その施用量は空間に適用するときは有効成分量として通常0.001〜10mg/m3であり、平面に適用するときは0.001〜100mg/m2である。乳剤、水和剤、フロアブル剤等は通常有効成分濃度が0.01〜10000ppmとなるように水で希釈して施用し、油剤、エアゾール、燻煙剤、毒餌等は通常そのまま施用する。
【0061】
本発明の有害生物防除組成物をウシ、ウマ、ブタ、ヒツジ、ヤギ、ニワトリ用の家畜、イヌ、ネコ、ラット、マウス等の小動物の外部寄生虫防除に用いる場合は、獣医学的に公知の方法で動物に使用することができる。具体的な使用方法としては、全身抑制(systemic control)を目的にする場合には、例えば錠剤、飼料混入、坐薬、注射(筋肉内、皮下、静脈内、腹腔内等)により投与され、非全身的抑制(non-systemic control)を目的とする場合には、例えば油剤若しくは水性液剤を噴霧する、ポアオン(pour-on)処理若しくはスポットオン(spot-on)処理を行う、シャンプー製剤で動物を洗う又は樹脂製剤を首輪や耳札にして動物に付ける等の方法により用いられる。動物体に投与する場合の化合物(I)又は化合物(II)の量は、通常動物の体重1kgに対して、0.1〜1000mgの範囲である。
【0062】
本発明の有害生物防除剤は他の殺虫剤、殺線虫剤、殺ダニ剤、殺菌剤、除草剤、植物生長調節剤、共力剤、肥料、土壌改良剤、動物用飼料等と混用又は併用することもできる。
かかる他の殺虫剤、殺ダニ剤の有効成分としては、例えば、アレスリン、テトラメスリン、プラレトリン、フェノトリン、レスメトリン、シフェノトリン、ペルメトリン、シペルメトリン、アルファシペルメトリン、ゼータシペルメトリン、デルタメトリン、トラロメトリン、シフルトリン、ベータシフルトリン、シハロトリン、ラムダシハロトリン、フラメトリン、イミプロトリン、エトフェンプロクス、フェンバレレート、エスフェンバレレート、フェンプロパトリン、シラフルオフェン、ビフェントリン、トランスフルスリン、フルシトリネート、タウフルバリネート、アクリナトリン、テフルトリン等のピレスロイド化合物、ジクロルボス、フェニトロチオン、シアノホス、プロフェノホス、スルプロホス、フェントエート、イソキサチオン、テトラクロロビンホス、フェンチオン、クロルピリホス、ダイアジノン、アセフェート、テルブホス、フォレート、クロルエトキシホス、ホスチアゼート、エトプロホス、カズサホス、メチダチオン等の有機燐化合物、プロポキサー、カルバリル、メトキサジアゾン、フェノブカルブ、メソミル、チオジカルブ、アラニカルブ、ベンフラカルブ、オキサミル、アルジカルブ、メチオカルブ等のカーバメート化合物、ルフェヌロン、クロルフルアズロン、ヘキサフルムロン、ジフルベンズロン、トリフルムロン、テフルベンズロン、フルフェノクスロン、フルアズロン、ノバルロン、トリアズロン等のベンゾイルフェニルウレア化合物、ピリプロキシフェン、メトプレン、ハイドロプレン、フェノキシカルブ等の幼若ホルモン様物質、アセタミプリド、ニテンピラム、チアクロプリド、チアメトキサム、ジノテフラン等のネオニコチノイド系化合物、アセトプロール、エチプロール等のN-フェニルピラゾール系化合物、テブフェノジド、クロマフェノジド、メトキシフェノジド、ハロフェノジド等のベンゾイルヒドラジン化合物、ジアフェンチウロン、ピメトロジン、フロニカミド、トリアザメート、ブプロフェジン、スピノサド、エマメクチン安息香酸塩、クロルフェナピル、インドキサカルブMP、ピリダリル、シロマジン、フェンピロキシメート、テブフェンピラド、トルフェンピラド、ピリダベン、ピリミジフェン、フルアクリピリム、エトキサゾール、フェナザキン、アセキノシル、ヘキシチアゾクス、クロフェンテジン、酸化フェンブタスズ、ジコホル、プロパルギット、エバーメクチン、ミルベメクチン、アミトラズ、カルタップ、ベンスルタップ、チオシクラム、エンドスルファン、スピロジクロフェン、スピロメシフェン、アザジラクチンがあげられる。
【0063】
かかる他の殺菌剤の有効成分としては、例えば、アゾキシストロビン等のストロビルリン化合物、トリクロホスメチル等の有機リン化合物、トリフルミゾール、ペフラゾエート、ジフェノコナゾール等のアゾール化合物、フサライド、フルトラニル、バリダマイシン、プロベナゾール、ジクロメジン、ペンシクロン、ダゾメット、カスガマイシン、IBP、ピロキロン、オキソリニック酸、トリシクラゾール、フェリムゾン、メプロニル、EDDP、イソプロチオラン、カルプロパミド、ジクロシメット、フラメトピル、フルジオキソニル、プロシミドン、ジエトフェンカルブがあげられる。
【0064】
【実施例】
以下、本発明を製造例、製剤例および試験例によりさらに詳しく説明するが、本発明は、これらの例のみに限定されるものではない。なお、製造例中の化合物番号は(表1)、(表2)、(表3)、(表4)および(表5)に示す化合物である。
【0065】
まず、化合物(I)又は化合物(II)の製造例を示す。
製造例1
2−(2−チエニルメチル)マロノニトリル1.62gをN,N−ジメチルホルムアミド50mlに溶解し、氷冷下撹拌しながら水素化ナトリウム(60%油性)0.48gを加えた。水素の発生が終了した後、氷冷下撹拌しながら臭化アリル1.27mlを滴下し、さらに室温で一晩撹拌した。その後、反応混合物に10%塩酸を加え、ジエチルエーテルで抽出した。有機層を10%塩酸および飽和食塩水で順次洗浄し、無水硫酸マグネシウムで乾燥した後、減圧下濃縮した。残渣をシリカゲルカラムクロマトグラフィーに付し、2−アリル−2−(2−チエニルメチル)マロノニトリル(化合物(1−1))0.88gを得た。
収率 44%
mp. 78.1℃
【0066】
製造例2
2−((5−メチル−2−チエニル)メチル)マロノニトリル1.76g、N,N−ジメチルホルムアミド50ml、水素化ナトリウム(60%油性)0.48gおよび臭化アリル1.27mlを用い製造例1記載の方法に準じて、2−アリル−2−((5−メチル−2−チエニル)メチル)マロノニトリル(化合物(1−2))1.70gを得た。
収率 79%
nD 23.5 1.5259
【0067】
製造例3
2−((5−クロロ−2−チエニル)メチル)マロノニトリル0.98g、N,N−ジメチルホルムアミド25ml、水素化ナトリウム(60%油性)0.24gおよび臭化アリル0.63mlを用い製造例1記載の方法に準じて、2−アリル−2−((5−クロロ−2−チエニル)メチル)マロノニトリル(化合物(1−3))0.85gを得た。
収率 72%
mp. 59.2℃
【0068】
製造例4
2−((4,5−ベンゾフラン−2−イル)メチル)マロノニトリル1.49g、N,N−ジメチルホルムアミド40ml、水素化ナトリウム(60%油性)0.34gおよび臭化アリル0.96mlを用い製造例1記載の方法に準じて、2−アリル−2−((4,5−ベンゾフラン−2−イル)メチル)マロノニトリル(化合物(1−4))1.10gを得た。
収率 61%
nD 24.0 1.5483
【0069】
製造例5
2−((N−メチル−2−ピロリル)メチル)マロノニトリル1.59g、N,N−ジメチルホルムアミド50ml、水素化ナトリウム(60%油性)0.48gおよび臭化アリル1.3mlを用い製造例1記載の方法に準じて、2−アリル−2−((N−メチル−2−ピロリル)メチル)マロノニトリル(化合物(1−5))1.34gを得た。
収率 67%
nD 23.5 1.5142
【0070】
製造例6
2−((5−クロロ−2−チエニル)メチル)マロノニトリル1.00g及び1−ブロモ−3,3,3−トリフルオロプロパン1.08gをN,N−ジメチルホルムアミド15mlに溶解し、炭酸カリウム710mgを加え、室温で8時間攪拌した。その後、反応混合物に水を加え、酢酸エチルで抽出した。有機層を水及び飽和食塩水で順次洗浄し、無水硫酸マグネシウムで乾燥した後、減圧下濃縮した。残渣をシリカゲルカラムクロマトグラフィーに付し、2−((5−クロロ−2−チエニル)メチル)−2−(3,3,3−トリフルオロプロピル)マロノニトリル(化合物(1−6))765mgを得た。
収率 51%
1H−NMR(CDCl3、TMS、δ(ppm)):2.17〜2.26(2H、m)、2.48〜2.60(2H、m)、3.42(2H、s)、6.88(1H、d)、6.95(1H、d)
【0071】
製造例7
2−(2−チエニルメチル)マロノニトリル340mg、1−ブロモ−3,3,3−トリフルオロプロパン550mg、N,N−ジメチルホルムアミド4ml及び炭酸カリウム290mgを用い製造例6記載の方法に準じて、2−(2−チエニルメチル)−2−(3,3,3−トリフルオロプロピル)マロノニトリル(化合物(1−7))345mgを得た。
収率 64%
1H−NMR(CDCl3、TMS、δ(ppm)):2.21〜2.25(2H、m)、2.47〜2.59(2H、m)、3.53(2H、s)、7.06〜7.08(1H、m)、7.16〜7.17(1H、m)、7.35〜7.37(1H、m)
【0072】
製造例8
2−フルフリルマロノニトリル300mg、臭化アリル300mg、N,N−ジメチルホルムアミド3ml及び炭酸カリウム290mgを用い製造例6記載の方法に準じて、2−アリル−2−フルフリルマロノニトリル(化合物(1−8))247mgを得た。
収率 65%
1H−NMR(CDCl3、TMS、δ(ppm)):2.69(2H、bd)、3.33(2H、s)、5.41〜5.47(2H、m)、5.87〜5.97(1H、m)、6.39〜6.45(2H、m)、7.45(1H、bs)
【0073】
製造例9
2−(5−ブロモフルフリル)マロノニトリル500mg、臭化ブチル460mg、N,N−ジメチルホルムアミド5ml及び炭酸カリウム350mgを用い製造例6記載の方法に準じて、2−(5−ブロモフルフリル)−2−ブチルマロノニトリル(化合物(1−9))77mgを得た。
収率 12%
1H−NMR(CDCl3、TMS、δ(ppm)):0.98(3H、t)、1.41〜1.52(2H、m)、1.64〜1.72(2H、m)、1.92〜1.96(2H、m)、3.30(2H、s)、6.33(1H、d)、6.43(1H、m)
【0074】
製造例10
2−(5−ブロモフルフリル)マロノニトリル500mg、臭化アリル410mg、N,N−ジメチルホルムアミド5ml及び炭酸カリウム350mgを用い製造例6記載の方法に準じて、2−アリル−2−(5−ブロモフルフリル)マロノニトリル(化合物(1−10))79mgを得た。
収率 13%
1H−NMR(CDCl3、TMS、δ(ppm)):2.70(2H、bd)、3.30(2H、s)、5.43〜5.49(2H、m)、5.86〜5.97(1H、m)、6.33(1H、d)、6.44(1H、m)
【0075】
製造例11
2−(5−ブロモフルフリル)マロノニトリル500mg、1−ブロモ−3,3,3−トリフルオロプロパン600mg、N,N−ジメチルホルムアミド5ml及び炭酸カリウム350mgを用い製造例6記載の方法に準じて、2−(5−ブロモフルフリル)−2−(3,3,3−トリフルオロプロピル)マロノニトリル(化合物(1−11))46mgを得た。
収率 7%
1H−NMR(CDCl3、TMS、δ(ppm)):2.18〜2.25(2H、m)、2.47〜2.59(2H、m)、3.37(2H、s)、6.35(1H、d)、6.47(1H、m)
【0076】
製造例12
2−(5−ブロモフルフリル)マロノニトリル500mg、1−ブロモ−3−ブテン460mg、N,N−ジメチルホルムアミド5ml及び炭酸カリウム350mgを用い製造例6記載の方法に準じて、2−(5−ブロモフルフリル)メチル)−2−(3−ブテニル)マロノニトリル(化合物(1−12))35mgを得た。
収率 6%
1H−NMR(CDCl3、TMS、δ(ppm)):2.01〜2.05(2H、m)、2.43〜2.50(2H、m)、3.32(2H、s)、5.12〜5.21(2H、m)、5.76〜5.85(1H、m)、6.33(1H、d)、6.45(1H、m)
【0077】
製造例13
2−(2−チエニルメチル)マロノニトリル340mg、1−ブロモ−3−ブテン340mg、N,N−ジメチルホルムアミド4ml及び炭酸カリウム290mgを用い製造例6記載の方法に準じて、2−(3−ブテニル)−2−(2−チエニルメチル)マロノニトリル(化合物(1−13))358mgを得た。
収率 79%
1H−NMR(CDCl3、TMS、δ(ppm)):2.03〜2.07(2H、m)、2.44〜2.50(2H、m)、3.48(2H、s)、5.10〜5.20(2H、m)、5.76〜5.86(1H、m)、7.04〜7.06(1H、m)、7.15〜7.16(1H、m)、7.32〜7.34(1H、m)
【0078】
製造例14
2−フルフリルマロノニトリル307mg、1−ブロモ−3,3,3−トリフルオロプロパン550mg、N,N−ジメチルホルムアミド4ml及び炭酸カリウム290mgを用い製造例6記載の方法に準じて、2−フルフリル−2−(3,3,3−トリフルオロプロピル)マロノニトリル(化合物(1−14))327mgを得た。
収率 64%
1H−NMR(CDCl3、TMS、δ(ppm)):2.18〜2.23(2H、m)、2.46〜2.57(2H、m)、3.40(2H、s)、6.42〜6.43(1H、m)、6.47(1H、d)、7.46〜7.47(1H、m)
【0079】
製造例15
2−フルフリルマロノニトリル252mg、1−ブロモ−3−ブテン280mg、N,N−ジメチルホルムアミド4ml及び炭酸カリウム280mgを用い製造例6記載の方法に準じて、2−(3−ブテニル)−2−フルフリルマロノニトリル(化合物(1−15))92mgを得た。
収率 24%
1H−NMR(CDCl3、TMS、δ(ppm)):2.00〜2.04(2H、m)、2.43〜2.49(2H、m)、3.35(2H、s)、5.10〜5.19(2H、m)、5.75〜5.86(1H、m)、6.39〜6.41(1H、m)、6.44(1H、d)、7.44(1H、bs)
【0080】
製造例16
2−((5−クロロ−2−チエニル)メチル)マロノニトリル200mg、1−ブロモ−3−ブテン140mg、N,N−ジメチルホルムアミド3ml及び炭酸カリウム140mgを用い製造例6記載の方法に準じて、2−(3−ブテニル)−2−((5−クロロ−2−チエニル)メチル)マロノニトリル(化合物(1−16))34mgを得た。
収率 13%
1H−NMR(CDCl3、TMS、δ(ppm)):2.03〜2.07(2H、m)、2.44〜2.50(2H、m)、3.37(2H、s)、5.12〜5.20(2H、m)、5.76〜5.86(1H、m)、6.86〜6.89(1H、m)、6.92〜6.93(1H、m)
【0081】
製造例17
2−((5−メチル−2−チエニル)メチル)マロノニトリル350mg、1−ブロモ−3,3,3−トリフルオロプロパン530mg、N,N−ジメチルホルムアミド4ml及び炭酸カリウム300mgを用い製造例6記載の方法に準じて、2−((5−メチル−2−チエニル)メチル)−2−(3,3,3−トリフルオロプロピル)マロノニトリル(化合物(1−17))431mgを得た。
収率 80%
1H−NMR(CDCl3、TMS、δ(ppm)):2.20〜2.24(2H、m)、2.44〜2.58(2H、m)、2.49(3H、d)、3.44(2H、s)、6.70〜6.72(1H、m)、6.92(1H、d)
【0082】
製造例18
2−((5−クロロ−2−チエニル)メチル)マロノニトリル393mg、1−ブロモ−3,4,4−トリフルオロ−3−ブテン420mg、N,N−ジメチルホルムアミド5ml及び炭酸カリウム277mgを用い製造例6記載の方法に準じて、2−((5−クロロ−2−チエニル)メチル)−2−(3,4,4−トリフルオロ−3−ブテニル)マロノニトリル(化合物(1−18))251mgを得た。
収率 41%
1H−NMR(CDCl3、TMS、δ(ppm)):2.20〜2.24(2H、m)、2.67〜2.78(2H、m)、3.41(2H、s)、6.88(1H、d)、6.94(1H、d)
【0083】
製造例19
2−((5−メチル−2−チエニル)メチル)マロノニトリル353mg、1−ブロモ−3,4,4−トリフルオロ−3−ブテン420mg、N,N−ジメチルホルムアミド5ml及び炭酸カリウム277mgを用い製造例6記載の方法に準じて、2−((5−メチル−2−チエニル)メチル)−2−(3,4,4−トリフルオロ−3−ブテニル)マロノニトリル(化合物(1−19))226mgを得た。
収率 40%
1H−NMR(CDCl3、TMS、δ(ppm)):2.17〜2.22(2H、m)、2.48(3H、d)、2.66〜2.76(2H、m)、3.46(2H、s)、6.69〜6.70(1H、m)、6.92(1H、d)
【0084】
製造例20
2−フルフリルマロノニトリル293mg、1−ブロモ−3,4,4−トリフルオロ−3−ブテン420mg、N,N−ジメチルホルムアミド5ml及び炭酸カリウム277mgを用い製造例6記載の方法に準じて、2−フルフリル−2−(3,4,4−トリフルオロ−3−ブテニル)マロノニトリル(化合物(1−20))145mgを得た。
収率 29%
1H−NMR(CDCl3、TMS、δ(ppm)):2.16〜2.21(2H、m)、2.65〜2.76(2H、m)、3.39(2H、s)、6.41(1H、dd)、6.46(1H、d)、7.45(1H、dd)
【0085】
製造例21
2−(2−チエニルメチル)マロノニトリル325mg、1−ブロモ−3,4,4−トリフルオロ−3−ブテン420mg、N,N−ジメチルホルムアミド5ml及び炭酸カリウム277mgを用い製造例6記載の方法に準じて、2−(2−チエニルメチル)−2−(3,4,4−トリフルオロ−3−ブテニル)マロノニトリル(化合物(1−21))150mgを得た。
収率 28%
1H−NMR(CDCl3、TMS、δ(ppm)):2.19〜2.23(2H、m)、2.66〜2.77(2H、m)、3.52(2H、s)、7.05〜7.07(1H、m)、7.15(1H、m)、7.35(1H、m)
【0086】
製造例22
2−(5−メチル−2−フルフリル)マロノニトリル240mg、臭化アリル190mg、N,N−ジメチルホルムアミド4ml及び炭酸カリウム210mgを用い製造例6記載の方法に準じて、2−アリル−2−(5−メチルフルフリル)マロノニトリル(化合物(1−22))251mgを得た。
収率 84%
1H−NMR(CDCl3、TMS、δ(ppm)):2.29(3H、s)、2.68(2H、bd)、3.26(2H、s)、5.40〜5.47(2H、m)、5.87〜5.97(2H、m)、6.30(1H、d)
【0087】
製造例23
2−(5−メチルフルフリル)マロノニトリル320mg、1−ブロモ−3,3,3−トリフルオロプロパン530mg、N,N−ジメチルホルムアミド4ml及び炭酸カリウム277mgを用い製造例6記載の方法に準じて、2−(5−メチルフルフリル)−2−(3,3,3−トリフルオロプロピル)マロノニトリル(化合物(1−23))316mgを得た。
収率 62%
1H−NMR(CDCl3、TMS、δ(ppm)):2.18〜2.22(2H、m)、2.29(3H、s)、2.44〜2.57(2H、m)、3.33(2H、s)、5.98〜5.99(1H、m)、6.33(1H、d)
【0088】
製造例24
2−(5−エチルフルフリル)マロノニトリル260mg、臭化アリル190mg、N,N−ジメチルホルムアミド4ml及び炭酸カリウム210mgを用い製造例6記載の方法に準じて、2−アリル−2−(5−エチルフルフリル)マロノニトリル(化合物(1−24))270mgを得た。
収率 85%
1H−NMR(CDCl3、TMS、δ(ppm)):1.24(3H、t)、2.61〜2.69(4H、m)、3.27(2H、s)、5.41〜5.47(2H、m)、5.87〜5.98(2H、m)、6.31(1H、d)
【0089】
製造例25
2−(5−エチルフルフリル)マロノニトリル350mg、1−ブロモ−3,3,3−トリフルオロプロパン530mg、N,N−ジメチルホルムアミド4ml及び炭酸カリウム277mgを用い製造例6記載の方法に準じて、2−(5−エチルフルフリル)−2−(3,3,3−トリフルオロプロピル)マロノニトリル(化合物(1−25))301mgを得た。
収率 56%
1H−NMR(CDCl3、TMS、δ(ppm)):1.22(3H、t)、2.17〜2.22(2H、m)、2.45〜2.57(2H、m)、2.63(2H、q)、3.34(2H、s)、5.98〜5.99(1H、m)、6.34(1H、d)
【0090】
製造例26
2−((3−メチル−2−チエニル)メチル)マロノニトリル265mg、臭化アリル190mg、N,N−ジメチルホルムアミド4ml及び炭酸カリウム210mgを用い製造例6記載の方法に準じて、2−アリル−2−((3−メチル−2−チエニル)メチル)マロノニトリル(化合物(1−26))288mgを得た。
収率 89%
1H−NMR(CDCl3、TMS、δ(ppm)):2.30(3H、s)、2.77(2H、bd)、3.43(2H、s)、5.43〜5.49(2H、m)、5.90〜6.00(1H、m)、6.89(1H、d)、7.25(1H、d)
【0091】
製造例27
2−((3−メチル−2−チエニル)メチル)マロノニトリル352mg、1−ブロモ−3,3,3−トリフルオロプロパン530mg、N,N−ジメチルホルムアミド4ml及び炭酸カリウム277mgを用い製造例6記載の方法に準じて、2−((3−メチル−2−チエニル)メチル)−2−(3,3,3−トリフルオロプロピル)マロノニトリル(化合物(1−27))315mgを得た。
収率 58%
1H−NMR(CDCl3、TMS、δ(ppm)):2.24〜2.33(5H、m)、2.46〜2.60(2H、m)、3.49(2H、s)、6.91(1H、d)、7.25〜7.28(1H、m)
【0092】
製造例28
2−(5−メチルフルフリル)マロノニトリル321mg、1−ブロモ−3,4,4−トリフルオロ−3−ブテン420mg、N,N−ジメチルホルムアミド5ml及び炭酸カリウム277mgを用い製造例6記載の方法に準じて、2−(5−メチルフルフリル)−2−(3,4,4−トリフルオロ−3−ブテニル)マロノニトリル(化合物(1−28))132mgを得た。
収率 25%
1H−NMR(CDCl3、TMS、δ(ppm)):2.16〜2.21(2H、m)、2.29(3H、s)、2.65〜2.76(2H、m)、3.33(2H、s)、5.98〜5.99(1H、m)、6.32(1H、d)
【0093】
製造例29
2−(5−エチルフルフリル)マロノニトリル349mg、1−ブロモ−3,4,4−トリフルオロ−3−ブテン420mg、N,N−ジメチルホルムアミド5ml及び炭酸カリウム277mgを用い製造例6記載の方法に準じて、2−(5−エチルフルフリル)−2−(3,4,4−トリフルオロ−3−ブテニル)マロノニトリル(化合物(1−29))92mgを得た。
収率 16%
1H−NMR(CDCl3、TMS、δ(ppm)):1.23(3H,t)、2.16〜2.20(2H、m)、2.61〜2.76(4H、m)、3.33(2H、s)、5.98〜5.99(1H、m)、6.33(1H、d)
【0094】
製造例30
2−((3−メチル−2−チエニル)メチル)マロノニトリル353mg、1−ブロモ−3,4,4−トリフルオロ−3−ブテン420mg、N,N−ジメチルホルムアミド5ml及び炭酸カリウム277mgを用い製造例6記載の方法に準じて、2−((3−メチル−2−チエニル)メチル)−2−(3,4,4−トリフルオロ−3−ブテニル)マロノニトリル(化合物(1−30))180mgを得た。
収率 32%
1H−NMR(CDCl3、TMS、δ(ppm)):2.24〜2.29(2H、m)、2.30(3H、s)、2.68〜2.78(2H、m)、3.49(2H、s)、6.90(1H、d)、7.27(1H、d)
【0095】
製造例31
2−(5−メチルフルフリル)マロノニトリル321mg、1−ブロモ−3−ブテン300mg、N,N−ジメチルホルムアミド5ml及び炭酸カリウム277mgを用い製造例6記載の方法に準じて、2−(3−ブテニル)−2−(5−メチルフルフリル)マロノニトリル(化合物(1−31))274mgを得た。
収率 64%
1H−NMR(CDCl3、TMS、δ(ppm)):1.99〜2.04(2H、m)、2.29(3H、s)、2.43〜2.49(2H、m)、3.28(2H、s)、5.10〜5.19(2H、m)、5.76〜5.86(1H、m)、5.96(1H、d)、6.30(1H、d)
【0096】
製造例32
2−((5−メチル−2−チエニル)メチル)マロノニトリル353mg、1−ブロモ−3−ブテン300mg、N,N−ジメチルホルムアミド5ml及び炭酸カリウム277mgを用い製造例6記載の方法に準じて、2−(3−ブテニル)−2−((5−メチル−2−チエニル)メチル)マロノニトリル(化合物(1−32))344mgを得た。
収率 75%
1H−NMR(CDCl3、TMS、δ(ppm)):2.02〜2.06(2H、m)、2.43〜2.50(5H、m)、3.39(2H、s)、5.10〜5.19(2H、m)、5.76〜5.86(1H、m)、6.68〜6.69(1H、m)、6.91(1H、d)
【0097】
製造例33
2−((3−メチル−2−チエニル)メチル)マロノニトリル353mg、1−ブロモ−3−ブテン300mg、N,N−ジメチルホルムアミド5ml及び炭酸カリウム277mgを用い製造例6記載の方法に準じて、2−(3−ブテニル)−2−((3−メチル−2−チエニル)メチル)マロノニトリル(化合物(1−33))308mgを得た。
収率 67%
1H−NMR(CDCl3、TMS、δ(ppm)):2.08〜2.14(2H、m)、2.30(3H、s)、2.45〜2.51(2H、m)、3.45(2H、s)、5.11〜5.20(2H、m)、5.77〜5.87(1H、m)、6.89(1H、d)、7.25(1H、d)
【0098】
製造例34
2−((1−メチルインドール−2−イル)メチル)マロノニトリル353mg、1−ブロモ−3,3,3−トリフルオロプロパン450mg、N,N−ジメチルホルムアミド3ml及び炭酸カリウム235mgを用いて製造例6記載の方法に準じて、2−((1−メチルインドール−2−イル)メチル)−2−(3,3,3−トリフルオロプロピル)マロノニトリル(化合物(1−34))250mgを得た。
収率 49%
1H−NMR(CDCl3、TMS、δ(ppm)):2.30〜2.40(2H、m)、2.50〜2.61(2H、m)、3.54(2H、s)、3.80(3H、s)、6.66(1H、s)、7.14〜7.18(1H、m)、7.27〜7.36(2H、m)、7.63(1H、d)
【0099】
製造例35
2−((1−ベンゾフラン−2−イル)メチル)マロノニトリル300mg、1−ブロモ−3,3,3−トリフルオロプロパン400mg、N,N−ジメチルホルムアミド3ml及び炭酸カリウム220mgを用いて製造例6記載の方法に準じて、2−((1−ベンゾフラン−2−イル)メチル)−2−(3,3,3−トリフルオロプロピル)マロノニトリル(化合物(1−35))333mgを得た。
収率 75%
1H−NMR(CDCl3、TMS、δ(ppm)):2.28〜2.32(2H、m)、2.48〜2.61(2H、m)、3.53(2H、s)、6.86(1H、s)、7.25〜7.36(2H、m)、7.49(1H、d)、7.58〜7.60(1H、m)
【0100】
製造例36
2−(3−チエニルメチル)マロノニトリル320mg、1−ブロモ−3,3,3−トリフルオロプロパン530mg、N,N−ジメチルホルムアミド4ml及び炭酸カリウム300mgを用いて製造例6記載の方法に準じて、2−(3−チエニル)−2−(3,3,3−トリフルオロプロピル)マロノニトリル(化合物(2−1))309mgを得た。
収率 61%
1H−NMR(CDCl3、TMS、δ(ppm)):2.17〜2.22(2H、m)、2.46〜2.58(2H、m)、3.42(2H、s)、7.14(1H、d)、7.36(1H、d)、7.40〜7.42(1H、m)
【0101】
製造例37
2−(3−チエニルメチル)マロノニトリル320mg、臭化アリル240mg、N,N−ジメチルホルムアミド4ml及び炭酸カリウム300mgを用い製造例6記載の方法に準じて、2−アリル−2−(3−チエニルメチル)マロノニトリル(化合物(2−2))330mgを得た。
収率 83%
1H−NMR(CDCl3、TMS、δ(ppm)):2.67〜2.70(2H、m)、3.27(2H、s)、5.39〜5.47(2H、m)、5.88〜5.98(1H、m)、7.14〜7.16(1H、m)、7.34〜7.39(2H、m)
【0102】
製造例38
2−(3−チエニルメチル)マロノニトリル325mg、1−ブロモ−3,4,4−トリフルオロ−3−ブテン420mg、N,N−ジメチルホルムアミド5ml及び炭酸カリウム277mgを用い製造例6記載の方法に準じて、2−(3−チエニルメチル)−2−(3,4,4−トリフルオロ−3−ブテニル)マロノニトリル(化合物(2−3))122mgを得た。
収率 23%
1H−NMR(CDCl3、TMS、δ(ppm)):2.16〜2.20(2H、m)、2.66〜2.77(2H、m)、3.34(2H、s)、7.13〜7.15(1H、m)、7.36〜7.41(2H、m)
【0103】
製造例39
2−(3−チエニルメチル)マロノニトリル325mg、1−ブロモ−3−ブテン300mg、N,N−ジメチルホルムアミド5ml及び炭酸カリウム277mgを用い製造例6記載の方法に準じて、2−(3−ブテニル)−2−(3−チエニルメチル)マロノニトリル(化合物(2−4))309mgを得た。
収率 72%
1H−NMR(CDCl3、TMS、δ(ppm)):2.00〜2.04(2H、m)、2.44〜2.50(2H、m)、3.30(2H、s)、5.10〜5.19(2H、m)、5.77〜5.84(1H、m)、7.13〜7.15(1H、m)、7.34〜7.39(2H、m)
【0104】
製造例40
2−((1−ベンゾチオフェン−3−イル)メチル)マロノニトリル312mg、1−ブロモ−3,3,3−トリフルオロプロパン390mg、N,N−ジメチルホルムアミド3ml及び炭酸カリウム207mgを用いて製造例6記載の方法に準じて、2−((1−ベンゾチオフェン−3−イル)メチル)−2−(3,3,3−トリフルオロプロピル)マロノニトリル(化合物(2−5))298mgを得た。
収率 66%
1H−NMR(CDCl3、TMS、δ(ppm)):2.26〜2.30(2H、m)、2.49〜2.61(2H、m)、3.60(2H、s)、7.40〜7.48(2H、m)、7.63(1H、s)、7.80(1H、d)、7.91(1H、d)
【0105】
製造例41
2−((インドール−3−イル)メチル)マロノニトリル1.00g、1−ブロモ−3,3,3−トリフルオロプロパン1.36g、N,N−ジメチルホルムアミド10ml及び炭酸カリウム710mgを用いて製造例6記載の方法に準じて、2−((インドール−3−イル)メチル)−2−(3,3,3−トリフルオロプロピル)マロノニトリル(化合物(2−6))386mgを得た。
収率 26%
1H−NMR(CDCl3、TMS、δ(ppm)):2.23〜2.28(2H、m)、2.47〜2.58(2H、m)、3.54(2H、s)、7.19〜7.28(2H、m)、7.37(1H、d)、7.42(1H、d)、7.64(1H、d)、8.33(1H、bs)
【0106】
次に、中間体化合物の製造例を参考製造例として示す。
参考製造例1
((5−メチル−2−チエニル)メチリデン)マロノニトリル
3.48gをエタノール15mlに溶解し、室温で撹拌しながら水素化ホウ素ナトリウム0.21gをエタノール5mlに懸濁した溶液を滴下した。室温で30分間撹拌した後、反応混合物に10%塩酸を加え酸性とし、酢酸エチルで抽出した。有機層を10%塩酸、水および飽和食塩水で順次洗浄し、無水硫酸マグネシウムで乾燥した後、減圧下濃縮した。残渣をシリカゲルカラムクロマトグラフィーに付し、2−((5−メチル−2−チエニル)メチル)マロノニトリル(中間体(1))2.87gを得た。
収率 82%
【0107】
参考製造例2
((5−クロロ−2−チエニル)メチリデン)マロノニトリル
3.48g、エタノール20mlおよび水素化ホウ素ナトリウム0.21gを用い参考製造例1記載の方法に準じて、2−((5−クロロ−2−チエニル)メチル)マロノニトリル(中間体(2))2.60gを得た。
収率 66%
【0108】
参考製造例3
1−ベンゾフラン−2−イルアルデヒド
5.85gおよびマロノニトリル3.17gを70%(W/W)エタノール水60mlに溶解し、触媒量の水酸化ベンジルトリメチルアンモニウムを加え、室温で一晩撹拌した。その後、反応混合物に飽和食塩水を加え、酢酸エチルで抽出した。有機層を飽和食塩水で洗浄し、無水硫酸マグネシウムで乾燥した後、減圧下濃縮した。残渣を酢酸エチルから再結晶して、((1−ベンゾフラン−2−イル)メチリデン)マロノニトリル
4.07gを得た。
収率 53%
mp.172.8℃
【0109】
((1−ベンゾフラン−2−イル)メチリデン)マロノニトリル1.94gをテトラヒドロフラン20mlに溶解し、室温で撹拌しながら水素化ホウ素ナトリウム0.11gをエタノール5mlに懸濁した溶液を滴下した。室温で30分間撹拌した後、10%塩酸を加え、酢酸エチルで抽出した。有機層を10%塩酸、水および飽和食塩水で順次洗浄し、無水硫酸マグネシウムで乾燥した後、減圧下濃縮した。残渣をシリカゲルカラムクロマトグラフィーに付し、2−((1−ベンゾフラン−2−イル)メチル)マロノニトリル(中間体(3))1.62gを得た。
収率 83%
【0110】
参考製造例4
((N−メチル−2−ピロリル)メチリデン)マロノニトリル
3.00g、エタノール20mlおよび水素化ホウ素ナトリウム0.20gを用い参考製造例1記載の方法に準じて、2−((1−メチル−2−ピロリル)メチル)マロノニトリル(中間体(4))1.98gを得た。
収率 65%
【0111】
参考製造例5
(3−チエニルメチリデン)マロノニトリル
4.8g、エタノール50ml及び水素化ホウ素ナトリウム0.34gを用いて参考製造例1記載の方法に準じて、2−(3−チエニルメチル)マロノニトリル(中間体(5))3.96gを得た。
収率 81%
【0112】
参考製造例6
((5−ブロモ−2−フリル)メチリデン)マロノニトリル
4.46g、エタノール50mlおよび水素化ホウ素ナトリウム0.23gを用い参考製造例1記載の方法に準じて、2−(5−ブロモフルフリル)マロノニトリル(中間体(6))3.15gを得た。
収率 70%
【0113】
参考製造例7
((5−メチル−2−フリル)メチリデン)マロノニトリル
4.75g、エタノール50mlおよび水素化ホウ素ナトリウム0.34gを用い参考製造例1記載の方法に準じて、2−(5−メチルフルフリル)マロノニトリル(中間体(7))3.96gを得た。
収率 83%
【0114】
参考製造例8
5−エチル−2−フルアルデヒド
9.10gおよびマロノニトリル4.85gを70%(W/W)エタノール−水143mlに溶解し、触媒量の水酸化ベンジルトリメチルアンモニウムを加え、室温で一晩撹拌した。その後、反応混合物に飽和食塩水を加え、酢酸エチルで抽出した。有機層を飽和食塩水で洗浄し、無水硫酸マグネシウムで乾燥した後、減圧下濃縮した。残渣をエタノールから再結晶して、((5−エチル−2−フリル)メチリデン)マロノニトリル
10.0gを得た。
収率 79%
1H−NMR(CDCl3、TMS、δ(ppm)):1.33(3H、t)、2.80(2H、q)、6.36(1H、d)、7.25(1H、bs)、7.37(1H、s)
【0115】
((5−エチル−2−フリル)メチリデン)マロノニトリル5.17gをエタノール45mlに溶解し、氷冷下で攪拌しながら水素化ホウ素ナトリウム0.34gをエタノール5mlに懸濁した溶液を滴下した。氷冷下3時間撹拌した後、10%塩酸を加え、酢酸エチルで抽出した。有機層を10%塩酸、水および飽和食塩水で順次洗浄し、無水硫酸マグネシウムで乾燥した後、減圧下濃縮した。残渣をシリカゲルカラムクロマトグラフィーに付し、2−(5−エチルフルフリル)マロノニトリル(中間体(8))3.73gを得た。
収率 71%
【0116】
参考製造例9
((3−メチル−2−チエニル)メチリデン)マロノニトリル
5.23g、エタノール50mlおよび水素化ホウ素ナトリウム0.34gを用い参考製造例1記載の方法に準じて、2−((3−メチル−2−チエニル)メチル)マロノニトリル(中間体(9))3.72gを得た。
収率 70%
【0117】
参考製造例10
2−ホルミル−1−メチルインドール
1.00gおよびマロノニトリル420mgを70%(W/W)エタノール水15mlに溶解し、触媒量の水酸化ベンジルトリメチルアンモニウムを加え、室温で一晩撹拌した。その後、反応混合物に飽和食塩水を加え、クロロホルムで抽出した。有機層を飽和食塩水で洗浄し、無水硫酸マグネシウムで乾燥した後、減圧下濃縮した。残渣をヘキサン/酢酸エチルから再結晶して、((1−メチルインドール−2−イル)メチリデン)マロノニトリル
1.18gを得た。
収率 91%
1H−NMR(CDCl3、TMS、δ(ppm)):3.85(3H、s)、7.19(1H、dd)、7.36(1H、d)、7.44(1H、dd)、7.72(1H、d)、7.79(1H、s)、7.99(1H、s)
【0118】
((1−メチルインドール−2−イル)メチリデン)マロノニトリル900mgをエタノール10mlに溶解し、氷冷下で攪拌しながら水素化ホウ素ナトリウム50mgをエタノール2mlに懸濁した溶液を滴下した。氷冷下3時間撹拌した後、10%塩酸を加え、t−ブチルメチルエーテルで抽出した。有機層を10%塩酸、水および飽和食塩水で順次洗浄し、無水硫酸マグネシウムで乾燥した後、減圧下濃縮した。残渣をシリカゲルカラムクロマトグラフィーに付し、2−((1−メチルインドール−2−イル)メチル)マロノニトリル(中間体(10))353mgを得た。
収率 39%
【0119】
参考製造例11
((1−ベンゾチオフェン−3−イル)メチリデン)マロノニトリル
1.00g、エタノール10ml及び水素化ホウ素ナトリウム58mgを用いて参考製造例1記載の方法に準じて、2−((1−ベンゾチオフェン−3−イル)メチル)マロノニトリル(中間体(11))312mgを得た。
収率 31%
【0120】
次に、化合物の製造に用いた中間体化合物を化合物番号および物性値と共に示す。
【0121】
中間体(1)
2−((5−メチル−2−チエニル)メチル)マロノニトリル
mp. 81.9℃
【0122】
中間体(2)
2−((5−クロロ−2−チエニル)メチル)マロノニトリル
mp. 72.3℃
【0123】
中間体(3)
2−((1−ベンゾフラン−2−イル)メチル)マロノニトリル
mp. 91.2℃
【0124】
中間体(4)
2−((1−メチル−2−ピロリル)メチル)マロノニトリル
nD 22.5 1.5233
【0125】
中間体(5)
2−(3−チエニルメチル)マロノニトリル
1H−NMR(CDCl3、TMS、δ(ppm)):3.35(2H、d)、3.90(1H、t)、7.08(1H、d)、7.31(1H、bs)、7.38〜7.40(1H、m)
【0126】
中間体(6)
2−(5−ブロモフルフリル)マロノニトリル
1H−NMR(CDCl3、TMS、δ(ppm)):3.36(2H、d)、4.02(1H、t)、6.31(1H、d)、6.39〜6.40(1H、m)
【0127】
中間体(7)
2−(5−メチルフルフリル)マロノニトリル
1H−NMR(CDCl3、TMS、δ(ppm)):2.28(3H、s)、3.31(2H、d)、3.99(1H、t)、5.94(1H、d)、6.25(1H、d)
【0128】
中間体(8)
2−(5−エチルフルフリル)マロノニトリル
1H−NMR(CDCl3、TMS、δ(ppm)):1.20(3H、t)、2.62(2H、q)、3.32(2H、d)、4.01(1H、t)、5.94(1H、d)、6.26(1H、d)
【0129】
中間体(9)
2−((3−メチル−2−チエニル)メチル)マロノニトリル
1H−NMR(CDCl3、TMS、δ(ppm)):2.28(3H、s)、3.49(2H、d)、3.89(1H、t)、6.86(1H、d)、7.22(1H、d)
【0130】
中間体(10)
2−((1−メチルインドール−2−イル)メチル)マロノニトリル
1H−NMR(CDCl3、TMS、δ(ppm)):3.54(2H、d)、3.77(3H、s)、4.02(1H、t)、6.57(1H、s)、7.14(1H、dd)、7.25〜7.34(2H、m)、7.60(1H、d)
【0131】
中間体(11)
2−((1−ベンゾチオフェン−3−イル)メチル)マロノニトリル
1H−NMR(CDCl3、TMS、δ(ppm)):3.61(2H、d)、4.03(1H、t)、7.41〜7.49(2H、m)、7.54(1H、s)、7.71(1H、d)、7.92(1H、d)
【0132】
次に化合物の具体的例を化合物番号とともに(表1)、(表2)、(表3)、(表4)および(表5)に示す。
【0133】
式(I)
で示される化合物。
なお、式中のR1、R2、R3、R4、(R5)nおよびXで示される基は、下記の(表1)、(表2)、(表3)および(表4)で示される基の組合せのいずれかを表す。
【0134】
【表1】
【0135】
【表2】
【0136】
【表3】
【0137】
【表4】
【0138】
式(II)
で示される化合物。
なお、式中のR1、R2、R3、R4、(R5)nおよびXで示される基は、下記の(表5)で示される基の組合せのいずれかを表す。
【0139】
【表5】
【0140】
次に製剤例を示す。なお、部は重量部を表す。また化合物は(表1)〜(表5)に示した化合物番号で表す。
【0141】
製剤例1
化合物(1−1)〜(1−35)、(2−1)〜(2−6)各々の9部を、キシレン37.5部およびジメチルホルムアミド37.5部に溶解し、これにポリオキシエチレンスチリルフェニルエーテル10部およびドデシルベンゼンスルホン酸カルシウム6部を加え、よく攪拌混合して乳剤を得る。
【0142】
製剤例2
化合物(1−1)〜(1−35)、(2−1)〜(2−6)各々の40部にソルポール5060(東邦化学登録商標名)5部を加え、よく混合して、カープレックス#80(塩野義製薬登録商標名、合成含水酸化ケイ素微粉末)32部、300メッシュ珪藻土23部を加え、ジュースミキサーで混合して、水和剤を得る。
【0143】
製剤例3
化合物(1−1)〜(1−35)、(2−1)〜(2−6)各々の3部、合成含水酸化珪素微粉末5部、ドデシルベンゼンスルホン酸ナトリウム5部、ベントナイト30部およびクレー57部を加え、よく攪拌混合し、ついでこれらの混合物に適当量の水を加え、さらに攪拌し、増粒機で製粒し、通風乾燥して粒剤を得る。
【0144】
製剤例4
化合物(1−1)〜(1−35)、(2−1)〜(2−6)各々の4.5部、合成含水酸化珪素微粉末1部、凝集剤としてドリレスB(三共社製)1部、クレー7部を乳鉢でよく混合した後にジュースミキサーで攪拌混合する。得られた混合物にカットクレー86.5部を加えて、充分攪拌混合し、粉剤を得る。
【0145】
製剤例5
化合物(1−1)〜(1−35)、(2−1)〜(2−6)各々の10部、ポリオキシエチレンアルキルエーテルサルフェートアンモニウム塩50部を含むホワイトカーボン35部及び水55部を混合し、湿式粉砕法で微粉砕することにより、製剤を得る。
【0146】
製剤例6
化合物(1−1)〜(1−35)、(2−1)〜(2−6)各々の0.5部をジクロロメタン10部に溶解し、これをアイソパーM(イソパラフィン:エクソン化学登録商標名)89.5部に混合して油剤を得る。
【0147】
製剤例7
化合物(1−1)〜(1−35)、(2−1)〜(2−6)各々の0.1部、ネオチオゾール(中央化成株式会社)49.9部をエアゾール缶に入れ、エアゾールバルブを装着した後、25部のジメチルエーテル及び25部のLPGを充填し、振とうを加え、アクチュエータを装着することにより油性エアゾールを得る。
【0148】
製剤例8
化合物(1−1)〜(1−35)、(2−1)〜(2−6)各々の0.6部、BHT0.01部、キシレン5部、脱臭灯油3.39部および乳化剤{アトモス300(アトモスケミカル社登録商標名)}1部を混合溶解したものと、蒸留水50部とをエアゾール容器に充填し、バルブ部分を取り付け、該バルブを通じて噴射剤(LPG)40部を加圧充填して、水性エアゾールを得る。
【0149】
次に、化合物が有害生物防除組成物の有効成分として有効であることを試験例により示す。なお、化合物は(表1)〜(表2)に示した化合物番号で表す。
【0150】
試験例1
製剤例1により得られた供試化合物の製剤を有効成分濃度が500ppmとなるように希釈し、試験用薬液を調製した。
高さ3〜5cmのイネの単子葉を3〜4本ずつ束ねたものに対し、上記のように調製した試験用薬液を1分間浸漬することによって処理した。イネの単子葉の束に処理された薬液が乾燥した後、ポリエチレンカップ内に水1mlを含ませたろ紙を敷いてこのイネの単子葉の束を入れ、トビイロウンカの初齢幼虫を30頭放して蓋をして、室内〈25℃〉に静置した。トビイロウンカの幼虫を放してから6日後に生存しているトビイロウンカの数を調査した。
その結果、化合物(1−1),(1−2),(1−3)および(1−4)の処理において生存する虫数は0頭であった。
【0151】
試験例2
製剤例5により得られた供試化合物の製剤を有効成分濃度が500ppmとなるように希釈し、試験用薬液を調製した。
一方、ポリエチレンカップに培土ボンソル2号(住友化学工業(株)製)50gを入れてイネ種子を10〜15粒播種した。これを第2本葉が展開するまで生育させた後、高さを5cmに切り揃えたイネに対し、上記のように調製した試験用薬液を20ml/カップの割合で散布した。イネに散布処理された薬液が乾燥した後、供試虫逃亡防止のためのプラスチックカップに入れ、トビイロウンカの初齢幼虫を30頭放して蓋をし、その後温室内〈25℃〉に静置した。トビイロウンカの幼虫を放してから6日後に当該イネに寄生するトビイロウンカの数を調査した。
その結果、本発明化合物(1−9)、(1−16)、(1−17)、(1−18)、(1−19)、(1−29)、(1−32)、(1−35)、(2−1)および(2−5)の処理において寄生する虫数は3頭以下であった。
【0152】
試験例3
製剤例5により得られた供試化合物の製剤を有効成分濃度が45.5ppmとなるように希釈し、試験用薬液を調製した。
一方、底に直径5mmの穴を5箇所あけたポリエチレンカップに培土ボンソル2号(住友化学工業(株)製)50gを入れてイネ種子を10〜15粒播種し、第2本葉が展開するまで生育させた。このイネに、上記のように調製した試験用薬液55mlをカップの底から吸収させることによって処理した。その後、温室内〈25℃〉に6日間静置した後、イネの高さを5cmに切り揃え、トビイロウンカの初齢幼虫を30頭放し、温室内〈25℃〉に静置した。トビイロウンカの幼虫を放してから6日後に当該イネに寄生するトビイロウンカの数を調査した。
その結果、本発明化合物(1−6)、(1−7)および(1−35)の処理においては各々寄生する虫数は3頭以下であった。
【0153】
試験例4
製剤例5により得られた供試化合物の製剤を有効成分濃度が500ppmとなるように水で希釈し、試験用薬液を調製した。
直径5.5cmのポリエチレンカップの底に同大の濾紙を敷き、該試験用薬液0.7mlを濾紙上に滴下し、餌としてショ糖30mgを均一に入れた。該ポリエチレンカップ内にイエバエ(Musca domestica)雌成虫10頭を放ち、蓋をした。24時間後にイエバエの生死を調査し死虫率を求めた。
その結果、化合物(1−3),(1−6)、(1−9)、(1−10)、(1−11)、(1−18)、(1−24)、(1−27)、(1−29)、(1−31)、(1−35)および(2−1)の処理においては死虫率90%以上を示した。
【0154】
試験例5
製剤例5により得られた供試化合物の製剤を有効成分濃度が500ppmとなるように水で希釈し、試験用薬液を調製した。
該試験用薬液0.7mlをイオン交換水100mlに加えた(有効成分濃度3.5ppm)。該液中にアカイエカ(Culex pipiens pallens)終令幼虫20頭を放ち、1日後にその生死を調査し死虫率を求めた。
その結果、化合物(1−4),(1−6)、(1−11)、(1−14)、(1−16)、(1−17)、(1−18)、(1−23)、(1−25)、(1−28)、(1−29)、(1−34)、(1−35)、(2−1)、(2−5)および(2−6)の処理においては死虫率100%を示した。
【0155】
【発明の効果】
本発明の有害生物防除剤は、優れた有害生物防除効力を有する。
Claims (3)
- 式(I)
または式(II)
[式中、
R1は、ハロゲン原子で置換されていてもよいC1〜C5アルキル基、ハロゲン原子で置換されていてもよいC2〜C5アルケニル基、ハロゲン原子で置換されていてもよいC2〜C5アルキニル基又は水素原子を表す。
R2は、ハロゲン原子で置換されていてもよいC1〜C5アルキル基、ハロゲン原子で置換されていてもよいC1〜C5アルキルオキシ基、ハロゲン原子で置換されていてもよいC2〜C5アルケニル基、ハロゲン原子で置換されていてもよいC2〜C5アルキニル基、水素原子またはシアノ基を表す。
R3及びR4は、同一または相異なり、ハロゲン原子で置換されていてもよいC1〜C10アルキル基、ハロゲン原子で置換されていてもよいC2〜C10アルケニル基、ハロゲン原子で置換されていてもよいC2〜C10アルキニル基、ハロゲン原子で置換されていてもよいC3〜C6シクロアルキル基、ハロゲン原子で置換されていてもよいC4〜C6シクロアルケニル基若しくは水素原子を表すか、又はR3とR4とが一緒になってハロゲン原子で置換されていてもよいC2〜C6アルキレン基またはハロゲン原子で置換されていてもよいC4〜C6アルケニレン基を表す。
R5は、ハロゲン原子、シアノ基、ニトロ基、ハロゲン原子で置換されていてもよいC1〜C4アルキル基、ハロゲン原子で置換されていてもよいC2〜C4アルケニル基、ハロゲン原子で置換されていてもよいC2〜C4アルキニル基、ハロゲン原子で置換されていてもよいC1〜C4アルキルオキシ基、ハロゲン原子で置換されていてもよいC1〜C4アルキルチオ基、ハロゲン原子で置換されていてもよいC1〜C4アルキルスルフィニル基、ハロゲン原子で置換されていてもよいC1〜C4アルキルスルホニル基、ハロゲン原子で置換されていてもよいC2〜C4アルキルカルボニル基、ハロゲン原子で置換されていてもよいC2〜C4アルキルオキシカルボニル基、ハロゲン原子で置換されていてもよいC2〜C4アルキルカルボニルオキシ基、フェニルオキシ基若しくはフェニルチオ基(前記フェニルオキシ基及びフェニルチオ基は、ハロゲン原子及び/又はC1〜C3アルキル基で置換されていてもよい)を表すか、又は隣接する炭素に結合する二つのR5が一緒になってベンゼン環を形成しても良く、この場合ベンゼン環は、ハロゲン原子またはC1〜C3アルキル基で置換されていてもよい。
nは0〜3の任意の整数を表す。nが2以上の場合、各々のR5は同一でも相異なっていてもよい。
Xは酸素原子、硫黄原子または式(III)で示される基を表す。
R6は、ハロゲン原子で置換されていてもよいC1〜C4アルキル基、ハロゲン原子で置換されていてもよいC1〜C4アルキルスルホニル基、ハロゲン原子で置換されていてもよいC2〜C4アルキルカルボニル基、ハロゲン原子で置換されていてもよいC2〜C4アルキルオキシカルボニル基、フェニル基、ベンゼンスルホニル基、ベンゾイル基(前記フェニル基、ベンゼンスルホニル基及びベンゾイル基は、ハロゲン原子またはC1〜C3アルキル基で置換されていてもよい)または水素原子を表す。]
で示されるマロノニトリル化合物を有効成分として含有することを特徴とする有害生物防除剤。 - 請求項1記載の式(I)又は式(II)において、R1及びR2が水素原子であるマロノニトリル化合物を有効成分として含有することを特徴とする有害生物防除剤。
- 式(I)
または式(II)
[式中、
R1は、ハロゲン原子で置換されていてもよいC1〜C5アルキル基、ハロゲン原子で置換されていてもよいC2〜C5アルケニル基、ハロゲン原子で置換されていてもよいC2〜C5アルキニル基又は水素原子を表す。
R2は、ハロゲン原子で置換されていてもよいC1〜C5アルキル基、ハロゲン原子で置換されていてもよいC1〜C5アルキルオキシ基、ハロゲン原子で置換されていてもよいC2〜C5アルケニル基、ハロゲン原子で置換されていてもよいC2〜C5アルキニル基、水素原子またはシアノ基を表す。
R3及びR4は、同一または相異なり、ハロゲン原子で置換されていてもよいC1〜C10アルキル基、ハロゲン原子で置換されていてもよいC2〜C10アルケニル基、ハロゲン原子で置換されていてもよいC2〜C10アルキニル基、ハロゲン原子で置換されていてもよいC3〜C6シクロアルキル基、ハロゲン原子で置換されていてもよいC4〜C6シクロアルケニル基若しくは水素原子を表すか、又はR3とR4とが一緒になってハロゲン原子で置換されていてもよいC2〜C6アルキレン基またはハロゲン原子で置換されていてもよいC4〜C6アルケニレン基を表す。
R5は、ハロゲン原子、シアノ基、ニトロ基、ハロゲン原子で置換されていてもよいC1〜C4アルキル基、ハロゲン原子で置換されていてもよいC2〜C4アルケニル基、ハロゲン原子で置換されていてもよいC2〜C4アルキニル基、ハロゲン原子で置換されていてもよいC1〜C4アルキルオキシ基、ハロゲン原子で置換されていてもよいC1〜C4アルキルチオ基、ハロゲン原子で置換されていてもよいC1〜C4アルキルスルフィニル基、ハロゲン原子で置換されていてもよいC1〜C4アルキルスルホニル基、ハロゲン原子で置換されていてもよいC2〜C4アルキルカルボニル基、ハロゲン原子で置換されていてもよいC2〜C4アルキルオキシカルボニル基、ハロゲン原子で置換されていてもよいC2〜C4アルキルカルボニルオキシ基、フェニルオキシ基若しくはフェニルチオ基(前記フェニルオキシ基及びフェニルチオ基は、ハロゲン原子及び/又はC1〜C3アルキル基で置換されていてもよい)を表すか、又は隣接する炭素に結合する二つのR5が一緒になってベンゼン環を形成しても良く、この場合ベンゼン環は、ハロゲン原子またはC1〜C3アルキル基で置換されていてもよい。
nは0〜3の任意の整数を表す。nが2以上の場合、各々のR5は同一でも相異なっていてもよい。
Xは酸素原子、硫黄原子または式(III)で示される基を表す。
R6は、ハロゲン原子で置換されていてもよいC1〜C4アルキル基、ハロゲン原子で置換されていてもよいC1〜C4アルキルスルホニル基、ハロゲン原子で置換されていてもよいC2〜C4アルキルカルボニル基、ハロゲン原子で置換されていてもよいC2〜C4アルキルオキシカルボニル基、フェニル基、ベンゼンスルホニル基、ベンゾイル基(前記フェニル基、ベンゼンスルホニル基及びベンゾイル基は、ハロゲン原子またはC1〜C3アルキル基で置換されていてもよい)または水素原子を表す。]
で示されるマロノニトリル化合物の有効量を有害生物または有害生物の生息する場所に施用することを特徴とする有害生物の防除方法。
Priority Applications (1)
| Application Number | Priority Date | Filing Date | Title |
|---|---|---|---|
| JP2003197755A JP4457588B2 (ja) | 2002-07-17 | 2003-07-16 | マロノニトリル化合物の用途 |
Applications Claiming Priority (2)
| Application Number | Priority Date | Filing Date | Title |
|---|---|---|---|
| JP2002208057 | 2002-07-17 | ||
| JP2003197755A JP4457588B2 (ja) | 2002-07-17 | 2003-07-16 | マロノニトリル化合物の用途 |
Publications (2)
| Publication Number | Publication Date |
|---|---|
| JP2004099597A JP2004099597A (ja) | 2004-04-02 |
| JP4457588B2 true JP4457588B2 (ja) | 2010-04-28 |
Family
ID=32300277
Family Applications (1)
| Application Number | Title | Priority Date | Filing Date |
|---|---|---|---|
| JP2003197755A Expired - Fee Related JP4457588B2 (ja) | 2002-07-17 | 2003-07-16 | マロノニトリル化合物の用途 |
Country Status (1)
| Country | Link |
|---|---|
| JP (1) | JP4457588B2 (ja) |
Families Citing this family (27)
| Publication number | Priority date | Publication date | Assignee | Title |
|---|---|---|---|---|
| BRPI0506447A (pt) * | 2004-01-16 | 2006-12-26 | Sumitomo Chemical Co | composto de malononitrila como pesticidas |
| BRPI0506451A (pt) | 2004-01-16 | 2006-12-26 | Sumitomo Chemical Co | compostos malononitrila, composição pesticida, método para controle de pestes e respectivos usos |
| MY146405A (en) | 2005-03-01 | 2012-08-15 | Basf Ag | Fast-release microcapsule products |
| WO2006122949A1 (en) * | 2005-05-20 | 2006-11-23 | Basf Aktiengesellschaft | Malononitriles and their use as pesticides |
| WO2007006670A1 (en) | 2005-07-07 | 2007-01-18 | Basf Aktiengesellschaft | N-thio-anthranilamid compounds and their use as pesticides |
| JP2009503028A (ja) * | 2005-08-05 | 2009-01-29 | ビーエーエスエフ ソシエタス・ヨーロピア | 動物有害生物を駆除するための置換型ジシアノアルカン類 |
| JP4960380B2 (ja) | 2005-12-22 | 2012-06-27 | ビーエーエスエフ ソシエタス・ヨーロピア | マロノニトリル化合物 |
| JP5424874B2 (ja) | 2006-06-22 | 2014-02-26 | ビーエーエスエフ ソシエタス・ヨーロピア | マロノニトリル化合物 |
| AR062844A1 (es) | 2006-09-14 | 2008-12-10 | Basf Ag | Composicion pesticida |
| UA95819C2 (ru) | 2006-11-10 | 2011-09-12 | Басф Се | Кристаллическая модификация iv фипронила, способ ее получения, применения, способы получения кристаллических модификаций v и i, пестицидная или паразитицидная композиция, способ контроля вредителей, способ защиты растения от заражения или нападения вредителей, способ защиты семян и способ лечения, контроля, предотвращения или защиты животных от заражения или инфекции паразитами |
| AU2007316640B2 (en) | 2006-11-10 | 2012-11-29 | Basf Se | Crystalline modification of fipronil |
| JP2010509275A (ja) | 2006-11-10 | 2010-03-25 | ビーエーエスエフ ソシエタス・ヨーロピア | フィプロニルの結晶変態 |
| UA110598C2 (uk) | 2006-11-10 | 2016-01-25 | Басф Се | Спосіб одержання кристалічної модифікації фіпронілу |
| ATE468748T1 (de) | 2006-11-30 | 2010-06-15 | Basf Se | Agrarchemikalienformulierungen, die n-vinylamid- copolymere enthalten |
| JP5290188B2 (ja) | 2006-11-30 | 2013-09-18 | ビーエーエスエフ ソシエタス・ヨーロピア | ジイソシアネートをベースとしたコポリマーを含む農薬製剤 |
| BRPI0719544B1 (pt) | 2006-11-30 | 2016-03-01 | Basf Se | formulação, usos de pelo menos um copolímero, métodos para combater insetos nocivos e/ou fungos fitopatogênicos, para controlar vegetação indesejável e para melhorar a saúde das plantas |
| BRPI0719700B1 (pt) | 2006-12-01 | 2016-11-16 | Basf Se | método para a produção de soluções sólidas granuladas ou pulverulentas de pesticidas fracamente solúveis |
| EP2180783B1 (en) | 2007-08-16 | 2017-02-22 | Basf Se | Seed treatment compositions and methods |
| WO2009092590A2 (en) | 2008-01-25 | 2009-07-30 | Syngenta Participations Ag | Chemical compounds |
| CN102066461A (zh) | 2008-04-24 | 2011-05-18 | 巴斯夫欧洲公司 | 醇烷氧基化物、包含它们的试剂以及醇烷氧基化物在农化领域作为助剂的用途 |
| US20110129510A1 (en) | 2008-08-08 | 2011-06-02 | Basf Se | Fibrous surface structure containing active ingredients with controlled release of active ingredients, use thereof and method for the production thereof |
| JP2011530491A (ja) | 2008-08-08 | 2011-12-22 | ビーエーエスエフ ソシエタス・ヨーロピア | バイオポリマーに基づいた活性物質含有連続繊維層、その使用、およびその生産のための方法 |
| WO2014090700A1 (en) | 2012-12-14 | 2014-06-19 | Basf Se | Malononitrile compounds for controlling animal pests |
| US9545098B2 (en) | 2013-04-10 | 2017-01-17 | Henkel Consumer Goods Inc. | Insecticidal feeding beads, systems comprising the beads, and methods of making the beads |
| WO2015158605A1 (en) * | 2014-04-16 | 2015-10-22 | Basf Se | Hetaryl substituted malononitrile compounds |
| CA2945766C (en) | 2014-04-17 | 2023-09-26 | Merial, Inc. | Use of malononitrile compounds for protecting animals from parasites |
| WO2025242701A1 (en) | 2024-05-22 | 2025-11-27 | Basf Se | Seed treatment compositions |
-
2003
- 2003-07-16 JP JP2003197755A patent/JP4457588B2/ja not_active Expired - Fee Related
Also Published As
| Publication number | Publication date |
|---|---|
| JP2004099597A (ja) | 2004-04-02 |
Similar Documents
| Publication | Publication Date | Title |
|---|---|---|
| JP4457588B2 (ja) | マロノニトリル化合物の用途 | |
| JP4269574B2 (ja) | マロノニトリル化合物及びその用途 | |
| DE60309874T2 (de) | Malonsäuerenitril-verbindungen und ihre verwendung als pestizide | |
| KR101014581B1 (ko) | 말로노니트릴 화합물 및 살충제로서의 그의 용도 | |
| KR101115858B1 (ko) | 말로노니트릴 화합물 및 그 용도 | |
| JP4433788B2 (ja) | ベンジルスルフィド誘導体ならびにその有害節足動物防除用途 | |
| DE602005004040T2 (de) | Malononitrilverbindungen als Pestizide | |
| JP4513284B2 (ja) | マロノニトリル化合物及びその用途 | |
| JP4784206B2 (ja) | スルホニル化合物及びその有害節足動物防除用途 | |
| JP2004099593A (ja) | マロノニトリル化合物及びその用途 | |
| JP4670355B2 (ja) | 含窒素6員環を有するマロノニトリル化合物とその用途 | |
| KR100967333B1 (ko) | 말로노니트릴 화합물 및 이의 살충제로서의 용도 | |
| JP2007297369A (ja) | 1,3−ベンズジオキソール化合物とその用途 | |
| JP4285128B2 (ja) | マロノニトリル化合物及びその用途 | |
| JP2007161617A (ja) | 有害節足動物防除剤及び有害節足動物の防除方法 | |
| JP2007001934A (ja) | 有害生物防除剤 | |
| JP4747582B2 (ja) | 含窒素5員環を有するマロノニトリル化合物ならびにその有害生物防除用途 | |
| JP2007001933A (ja) | 有害生物防除剤 | |
| JP2004099596A (ja) | ニトリル化合物の用途 | |
| JP2007001935A (ja) | 有害生物防除剤 | |
| JP2007031422A (ja) | マロノニトリル化合物とその有害生物防除用途 | |
| JP2007001932A (ja) | 有害生物防除剤 | |
| JP2007001930A (ja) | 有害生物防除剤 | |
| JP2007001931A (ja) | 有害生物防除剤 | |
| AU2002307747A1 (en) | Malononitrile compounds and their use as pesticides |
Legal Events
| Date | Code | Title | Description |
|---|---|---|---|
| A621 | Written request for application examination |
Free format text: JAPANESE INTERMEDIATE CODE: A621 Effective date: 20060519 |
|
| RD05 | Notification of revocation of power of attorney |
Free format text: JAPANESE INTERMEDIATE CODE: A7425 Effective date: 20080130 |
|
| RD05 | Notification of revocation of power of attorney |
Free format text: JAPANESE INTERMEDIATE CODE: A7425 Effective date: 20080513 |
|
| A977 | Report on retrieval |
Free format text: JAPANESE INTERMEDIATE CODE: A971007 Effective date: 20100107 |
|
| TRDD | Decision of grant or rejection written | ||
| A01 | Written decision to grant a patent or to grant a registration (utility model) |
Free format text: JAPANESE INTERMEDIATE CODE: A01 Effective date: 20100119 |
|
| A01 | Written decision to grant a patent or to grant a registration (utility model) |
Free format text: JAPANESE INTERMEDIATE CODE: A01 |
|
| A61 | First payment of annual fees (during grant procedure) |
Free format text: JAPANESE INTERMEDIATE CODE: A61 Effective date: 20100201 |
|
| FPAY | Renewal fee payment (event date is renewal date of database) |
Free format text: PAYMENT UNTIL: 20130219 Year of fee payment: 3 |
|
| FPAY | Renewal fee payment (event date is renewal date of database) |
Free format text: PAYMENT UNTIL: 20130219 Year of fee payment: 3 |
|
| FPAY | Renewal fee payment (event date is renewal date of database) |
Free format text: PAYMENT UNTIL: 20140219 Year of fee payment: 4 |
|
| LAPS | Cancellation because of no payment of annual fees |
