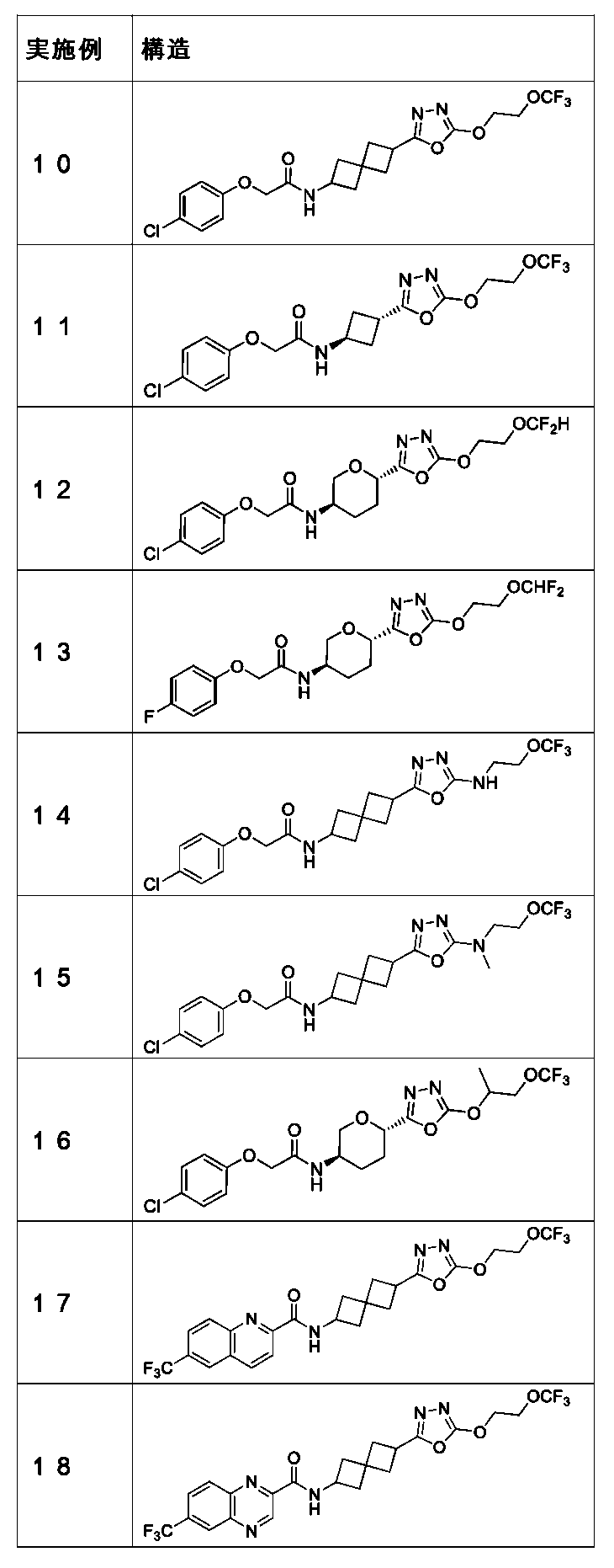
JP2024166311A - 化合物、組成物、及び、方法 - Google Patents
化合物、組成物、及び、方法 Download PDFInfo
- Publication number
- JP2024166311A JP2024166311A JP2024156648A JP2024156648A JP2024166311A JP 2024166311 A JP2024166311 A JP 2024166311A JP 2024156648 A JP2024156648 A JP 2024156648A JP 2024156648 A JP2024156648 A JP 2024156648A JP 2024166311 A JP2024166311 A JP 2024166311A
- Authority
- JP
- Japan
- Prior art keywords
- optionally substituted
- alkyl
- certain embodiments
- disease
- heterocyclyl
- Prior art date
- Legal status (The legal status is an assumption and is not a legal conclusion. Google has not performed a legal analysis and makes no representation as to the accuracy of the status listed.)
- Pending
Links
Classifications
-
- A—HUMAN NECESSITIES
- A61—MEDICAL OR VETERINARY SCIENCE; HYGIENE
- A61K—PREPARATIONS FOR MEDICAL, DENTAL OR TOILETRY PURPOSES
- A61K31/00—Medicinal preparations containing organic active ingredients
- A61K31/33—Heterocyclic compounds
- A61K31/335—Heterocyclic compounds having oxygen as the only ring hetero atom, e.g. fungichromin
- A61K31/35—Heterocyclic compounds having oxygen as the only ring hetero atom, e.g. fungichromin having six-membered rings with one oxygen as the only ring hetero atom
- A61K31/351—Heterocyclic compounds having oxygen as the only ring hetero atom, e.g. fungichromin having six-membered rings with one oxygen as the only ring hetero atom not condensed with another ring
-
- A—HUMAN NECESSITIES
- A61—MEDICAL OR VETERINARY SCIENCE; HYGIENE
- A61K—PREPARATIONS FOR MEDICAL, DENTAL OR TOILETRY PURPOSES
- A61K31/00—Medicinal preparations containing organic active ingredients
- A61K31/33—Heterocyclic compounds
- A61K31/395—Heterocyclic compounds having nitrogen as a ring hetero atom, e.g. guanethidine or rifamycins
- A61K31/41—Heterocyclic compounds having nitrogen as a ring hetero atom, e.g. guanethidine or rifamycins having five-membered rings with two or more ring hetero atoms, at least one of which being nitrogen, e.g. tetrazole
- A61K31/433—Thidiazoles
-
- A—HUMAN NECESSITIES
- A61—MEDICAL OR VETERINARY SCIENCE; HYGIENE
- A61K—PREPARATIONS FOR MEDICAL, DENTAL OR TOILETRY PURPOSES
- A61K31/00—Medicinal preparations containing organic active ingredients
- A61K31/33—Heterocyclic compounds
- A61K31/395—Heterocyclic compounds having nitrogen as a ring hetero atom, e.g. guanethidine or rifamycins
- A61K31/495—Heterocyclic compounds having nitrogen as a ring hetero atom, e.g. guanethidine or rifamycins having six-membered rings with two or more nitrogen atoms as the only ring heteroatoms, e.g. piperazine or tetrazines
- A61K31/498—Pyrazines or piperazines ortho- and peri-condensed with carbocyclic ring systems, e.g. quinoxaline, phenazine
-
- A—HUMAN NECESSITIES
- A61—MEDICAL OR VETERINARY SCIENCE; HYGIENE
- A61P—SPECIFIC THERAPEUTIC ACTIVITY OF CHEMICAL COMPOUNDS OR MEDICINAL PREPARATIONS
- A61P25/00—Drugs for disorders of the nervous system
-
- A—HUMAN NECESSITIES
- A61—MEDICAL OR VETERINARY SCIENCE; HYGIENE
- A61P—SPECIFIC THERAPEUTIC ACTIVITY OF CHEMICAL COMPOUNDS OR MEDICINAL PREPARATIONS
- A61P25/00—Drugs for disorders of the nervous system
- A61P25/28—Drugs for disorders of the nervous system for treating neurodegenerative disorders of the central nervous system, e.g. nootropic agents, cognition enhancers, drugs for treating Alzheimer's disease or other forms of dementia
-
- A—HUMAN NECESSITIES
- A61—MEDICAL OR VETERINARY SCIENCE; HYGIENE
- A61P—SPECIFIC THERAPEUTIC ACTIVITY OF CHEMICAL COMPOUNDS OR MEDICINAL PREPARATIONS
- A61P35/00—Antineoplastic agents
-
- C—CHEMISTRY; METALLURGY
- C07—ORGANIC CHEMISTRY
- C07D—HETEROCYCLIC COMPOUNDS
- C07D271/00—Heterocyclic compounds containing five-membered rings having two nitrogen atoms and one oxygen atom as the only ring hetero atoms
- C07D271/02—Heterocyclic compounds containing five-membered rings having two nitrogen atoms and one oxygen atom as the only ring hetero atoms not condensed with other rings
- C07D271/10—1,3,4-Oxadiazoles; Hydrogenated 1,3,4-oxadiazoles
- C07D271/113—1,3,4-Oxadiazoles; Hydrogenated 1,3,4-oxadiazoles with oxygen, sulfur or nitrogen atoms, directly attached to ring carbon atoms, the nitrogen atoms not forming part of a nitro radical
-
- C—CHEMISTRY; METALLURGY
- C07—ORGANIC CHEMISTRY
- C07D—HETEROCYCLIC COMPOUNDS
- C07D413/00—Heterocyclic compounds containing two or more hetero rings, at least one ring having nitrogen and oxygen atoms as the only ring hetero atoms
- C07D413/02—Heterocyclic compounds containing two or more hetero rings, at least one ring having nitrogen and oxygen atoms as the only ring hetero atoms containing two hetero rings
- C07D413/04—Heterocyclic compounds containing two or more hetero rings, at least one ring having nitrogen and oxygen atoms as the only ring hetero atoms containing two hetero rings directly linked by a ring-member-to-ring-member bond
-
- C—CHEMISTRY; METALLURGY
- C07—ORGANIC CHEMISTRY
- C07D—HETEROCYCLIC COMPOUNDS
- C07D413/00—Heterocyclic compounds containing two or more hetero rings, at least one ring having nitrogen and oxygen atoms as the only ring hetero atoms
- C07D413/02—Heterocyclic compounds containing two or more hetero rings, at least one ring having nitrogen and oxygen atoms as the only ring hetero atoms containing two hetero rings
- C07D413/12—Heterocyclic compounds containing two or more hetero rings, at least one ring having nitrogen and oxygen atoms as the only ring hetero atoms containing two hetero rings linked by a chain containing hetero atoms as chain links
-
- C—CHEMISTRY; METALLURGY
- C07—ORGANIC CHEMISTRY
- C07D—HETEROCYCLIC COMPOUNDS
- C07D413/00—Heterocyclic compounds containing two or more hetero rings, at least one ring having nitrogen and oxygen atoms as the only ring hetero atoms
- C07D413/14—Heterocyclic compounds containing two or more hetero rings, at least one ring having nitrogen and oxygen atoms as the only ring hetero atoms containing three or more hetero rings
-
- C—CHEMISTRY; METALLURGY
- C07—ORGANIC CHEMISTRY
- C07D—HETEROCYCLIC COMPOUNDS
- C07D417/00—Heterocyclic compounds containing two or more hetero rings, at least one ring having nitrogen and sulfur atoms as the only ring hetero atoms, not provided for by group C07D415/00
- C07D417/02—Heterocyclic compounds containing two or more hetero rings, at least one ring having nitrogen and sulfur atoms as the only ring hetero atoms, not provided for by group C07D415/00 containing two hetero rings
- C07D417/04—Heterocyclic compounds containing two or more hetero rings, at least one ring having nitrogen and sulfur atoms as the only ring hetero atoms, not provided for by group C07D415/00 containing two hetero rings directly linked by a ring-member-to-ring-member bond
-
- C—CHEMISTRY; METALLURGY
- C07—ORGANIC CHEMISTRY
- C07D—HETEROCYCLIC COMPOUNDS
- C07D417/00—Heterocyclic compounds containing two or more hetero rings, at least one ring having nitrogen and sulfur atoms as the only ring hetero atoms, not provided for by group C07D415/00
- C07D417/14—Heterocyclic compounds containing two or more hetero rings, at least one ring having nitrogen and sulfur atoms as the only ring hetero atoms, not provided for by group C07D415/00 containing three or more hetero rings
-
- C—CHEMISTRY; METALLURGY
- C07—ORGANIC CHEMISTRY
- C07D—HETEROCYCLIC COMPOUNDS
- C07D493/00—Heterocyclic compounds containing oxygen atoms as the only ring hetero atoms in the condensed system
- C07D493/02—Heterocyclic compounds containing oxygen atoms as the only ring hetero atoms in the condensed system in which the condensed system contains two hetero rings
- C07D493/08—Bridged systems
Landscapes
- Chemical & Material Sciences (AREA)
- Organic Chemistry (AREA)
- Health & Medical Sciences (AREA)
- Veterinary Medicine (AREA)
- General Health & Medical Sciences (AREA)
- Medicinal Chemistry (AREA)
- Public Health (AREA)
- Pharmacology & Pharmacy (AREA)
- Life Sciences & Earth Sciences (AREA)
- Animal Behavior & Ethology (AREA)
- Bioinformatics & Cheminformatics (AREA)
- Biomedical Technology (AREA)
- Neurosurgery (AREA)
- Engineering & Computer Science (AREA)
- Neurology (AREA)
- Nuclear Medicine, Radiotherapy & Molecular Imaging (AREA)
- General Chemical & Material Sciences (AREA)
- Chemical Kinetics & Catalysis (AREA)
- Epidemiology (AREA)
- Hospice & Palliative Care (AREA)
- Psychiatry (AREA)
- Pharmaceuticals Containing Other Organic And Inorganic Compounds (AREA)
- Acyclic And Carbocyclic Compounds In Medicinal Compositions (AREA)
- Plural Heterocyclic Compounds (AREA)
- Heterocyclic Carbon Compounds Containing A Hetero Ring Having Oxygen Or Sulfur (AREA)
Abstract
【課題】真核生物開始因子2Bモジュレーター、または、医薬として許容可能なその塩、立体異性体、立体異性体の混合物、または、プロドラッグ、ならびに、その製造、及び、使用の方法を提供すること。
【解決手段】本明細書では、神経変性疾患(例えば、プリオン病の神経変性)、及び、がんなど、少なくとも真核生物開始因子2Bが部分的に関与している疾患の処置、及び/または、予防に有用な化合物、または、医薬として許容可能な当該化合物の塩、同位体濃縮類似体、立体異性体、立体異性体の混合物、または、プロドラッグを提供する。
【選択図】なし
【解決手段】本明細書では、神経変性疾患(例えば、プリオン病の神経変性)、及び、がんなど、少なくとも真核生物開始因子2Bが部分的に関与している疾患の処置、及び/または、予防に有用な化合物、または、医薬として許容可能な当該化合物の塩、同位体濃縮類似体、立体異性体、立体異性体の混合物、または、プロドラッグを提供する。
【選択図】なし
Description
関連出願への相互参照
本出願は、35 U.S.C.§119(e)の定めにしたがい、2019年2月13日に出願した米国仮出願第62/805,263号、及び、2019年7月22日に出願した米国仮出願第62/877,232号の利益を主張するものであって、本明細書の一部を構成するものとして、これら出願の全内容を援用する。
本出願は、35 U.S.C.§119(e)の定めにしたがい、2019年2月13日に出願した米国仮出願第62/805,263号、及び、2019年7月22日に出願した米国仮出願第62/877,232号の利益を主張するものであって、本明細書の一部を構成するものとして、これら出願の全内容を援用する。
技術分野
本開示は、一般的には、真核生物開始因子2Bの小分子モジュレーター、及び、治療薬としてのそれらの使用、例えば、アルツハイマー病、パーキンソン病、ALS、前頭側頭型認知症、及び、がんなど、同因子が関与する疾患の処置における使用に関する。
本開示は、一般的には、真核生物開始因子2Bの小分子モジュレーター、及び、治療薬としてのそれらの使用、例えば、アルツハイマー病、パーキンソン病、ALS、前頭側頭型認知症、及び、がんなど、同因子が関与する疾患の処置における使用に関する。
パーキンソン病(PD)、筋萎縮性側索硬化症(ALS)、アルツハイマー病(AD)、及び、前頭側頭型認知症(FTD)などの神経変性疾患は、何百万人もの人々の生活に悪影響を及ぼしている。
マルチサブユニットタンパク質複合体真核生物開始因子2B、及び、真核生物開始因子2は、真核生物細胞におけるタンパク質合成の開始、及び、調節に必要である。真核生物開始因子2Bは、5つのサブユニット(α、β、γ、δ、及び、ε)で構成されており、また、真核生物開始因子2は、3つのサブユニット(α、β、及び、γ)で構成されている。真核生物開始因子2Bは、真核生物開始因子2でのグアノシン-5’-二リン酸(GDP)と、グアノシン-5’-三リン酸(GTP)との交換を触媒するグアニンヌクレオチド交換因子(GEF)として機能しており、それにより、GTP結合真核生物開始因子2を、開始メチオニン転移RNAに結合させて、タンパク質合成を開始することを可能にする。
真核生物開始因子2Bは、10個のサブユニットのダイマーとして複合体を形成すると、活性化する。真核生物開始因子2は、GTPに結合すると活性化を受けるが、GDPに結合すると活性化を受けない。さらに、真核生物開始因子2のαサブユニットを、セリン51でリン酸化すると、真核生物開始因子2Bのグアニンヌクレオチド交換活性を阻害及び調節する。真核生物開始因子2は、リン酸化した形態では、不活性なGDP結合状態のままであり、翻訳開始をブロックする。
真核生物開始因子2Bと、真核生物開始因子2との間の相互作用は、統合的ストレス応答(ISR)経路で重要な役割を果たす。この経路の活性化は、一部は、ATF4(転写因子4の活性化)発現と、ストレス顆粒形成とを招く。異常なISRの活性化は、RNA結合/ストレス顆粒タンパク質TAR DNA結合タンパク質(TARDBP)、別名、TDP43を特徴とする病理との強い機能的結びつきとして、複数の神経変性疾患で認められる。eIF2Bの活性化は、ISR、及び、ISR依存性ストレス顆粒形成を阻害し、そして、複数の疾患モデルで神経保護的である、と認められている。
真核生物開始因子2B活性の障害は、パーキンソン病、筋萎縮性側索硬化症(ALS)、アルツハイマー病、及び、前頭側頭型認知症などの様々な神経変性疾患に関係するISR経路の活性化と相関する。TDP43、及び、その他のRNA結合タンパク質/ストレス顆粒タンパク質の変異は、ストレス顆粒の動態を変化させ、そして、ALSを引き起こす。ISR経路の阻害は、ストレス顆粒の溶解をブロックし、及び、促すことができる。加えて、ヒト真核生物開始因子2Bサブユニットの変異は、白質消失(VWM)を伴う白質脳症、及び、中枢神経系低髄鞘化を伴う小児運動失調(CACH)の原因として特定されている。VWM/CACH患者では、白質病変が著しく悪化しており、そして、ストレスを受けた後に神経障害の悪化が進行しており、それらの真核生物開始因子2Bグアニンヌクレオチド交換活性は、通常よりも弱い。
本明細書では、神経変性疾患(例えば、プリオン病の神経変性)、及び、がんなど、少なくとも真核生物開始因子2Bが部分的に関与している疾患の処置、及び/または、予防に有用な化合物、または、医薬として許容可能な当該化合物の塩、同位体濃縮類似体、立体異性体、立体異性体の混合物、または、プロドラッグを提供する。
一部の実施形態では、真核生物開始因子2Bの活性を調節する化合物を提供する。一部の実施形態では、当該化合物は、真核生物開始因子2Bの調整を調節する。一部の態様では、当該化合物は、リン酸化真核生物開始因子2による真核生物開始因子2Bの阻害を調節する。一部の実施形態では、当該化合物は、真核生物開始因子2Bと、リン酸化真核生物開始因子2との間の相互作用を妨げる。一部の実施形態では、リン酸化した真核生物開始因子2を、そのアルファサブユニット(真核生物開始因子2αリン酸塩)で、リン酸化する。
一部の実施形態では、そのグアノシン二リン酸/グアノシン三リン酸(GDP/GTP)ヌクレオチド交換活性を増加させることで、真核生物開始因子2Bの活性化剤として作用する化合物を提供する。一部の実施形態では、当該化合物は、真核生物開始因子2B二量体形成を促す。その他の実施形態では、当該化合物は、真核生物開始因子2Bのグアニンヌクレオチド交換因子(GEF)活性を強める。その他の実施形態では、当該化合物は、その真核生物開始因子2/GDP基質で、真核生物開始因子2Bのグアニンヌクレオチド交換因子(GEF)活性を増大させる。
一部の実施形態では、真核生物開始因子2B阻害の有害な影響に対して細胞を脱感作する化合物を提供する。一部の実施形態では、当該有害な影響として、ATF4発現、及び、ストレス顆粒形成がある。
別の実施形態では、本明細書に記載した化合物、または、医薬として許容可能なその塩、同位体濃縮類似体、立体異性体、立体異性体の混合物、または、プロドラッグ、及び、医薬として許容可能な担体を含む医薬組成物を提供する。
別の実施形態では、少なくとも一部を、真核生物開始因子2Bが媒介した疾患または病態を処置する方法を提供しており、当該方法は、本明細書に記載した化合物、または、医薬として許容可能なその塩、同位体濃縮類似体、立体異性体、立体異性体の混合物、または、プロドラッグを含む医薬組成物の有効量を投与することを含む。
別の実施形態では、少なくとも一部を、真核生物開始因子2Bの調節が媒介した疾患または病態を処置する方法を提供しており、当該方法は、それを必要とする対象に対して、本明細書に記載した化合物、または、医薬として許容可能なその塩、同位体濃縮類似体、立体異性体、立体異性体の混合物、または、プロドラッグ、及び、医薬として許容可能な担体を含む医薬組成物の有効量を投与することを含む。
別の実施形態では、真核生物開始因子2B二量体形成を促進または安定化する方法を提供しており、当該方法は、それを必要とする対象に対して、本明細書に記載した化合物、または、医薬として許容可能なその塩、同位体濃縮類似体、立体異性体、立体異性体の混合物、または、プロドラッグ、及び、医薬として許容可能な担体を含む医薬組成物の有効量を投与することを含む。
別の実施形態では、真核生物開始因子2B活性を促す方法を提供しており、当該方法は、それを必要とする対象に対して、本明細書に記載した化合物、または、医薬として許容可能なその塩、同位体濃縮類似体、立体異性体、立体異性体の混合物、または、プロドラッグ、及び、医薬として許容可能な担体を含む医薬組成物の有効量を投与することを含む。
別の実施形態では、真核生物開始因子2リン酸化に対して細胞を脱感作する方法を提供しており、当該方法は、それを必要とする対象に対して、本明細書に記載した化合物、または、医薬として許容可能なその塩、同位体濃縮類似体、立体異性体、立体異性体の混合物、または、プロドラッグ、及び、医薬として許容可能な担体を含む医薬組成物の有効量を投与することを含む。
別の実施形態では、統合的ストレス応答経路を阻害する方法を提供しており、当該方法は、それを必要とする対象に対して、本明細書に記載した化合物、または、医薬として許容可能なその塩、同位体濃縮類似体、立体異性体、立体異性体の混合物、または、プロドラッグ、及び、医薬として許容可能な担体を含む医薬組成物の有効量を投与することを含む。
別の実施形態では、ストレス顆粒形成を阻害する方法を提供しており、当該方法は、それを必要とする対象に対して、本明細書に記載した化合物、または、医薬として許容可能なその塩、同位体濃縮類似体、立体異性体、立体異性体の混合物、または、プロドラッグ、及び、医薬として許容可能な担体を含む医薬組成物の有効量を投与することを含む。
別の実施形態では、ATF4発現を阻害する方法を提供しており、当該方法は、それを必要とする対象に対して、本明細書に記載した化合物、または、医薬として許容可能なその塩、同位体濃縮類似体、立体異性体、立体異性体の混合物、または、プロドラッグ、及び、医薬として許容可能な担体を含む医薬組成物の有効量を投与することを含む。
別の実施形態では、ATF4翻訳を阻害する方法を提供しており、当該方法は、それを必要とする対象に対して、本明細書に記載した化合物、または、医薬として許容可能なその塩、同位体濃縮類似体、立体異性体、立体異性体の混合物、または、プロドラッグ、及び、医薬として許容可能な担体を含む医薬組成物の有効量を投与することを含む。
本開示は、医薬組成物などの組成物、化合物を含むキット、ならびに、当該化合物の使用(または、投与)、及び、製造の方法も提供する。本開示は、少なくとも部分的に真核生物開始因子2Bの媒介を受ける疾患、障害、または病態を治療する方法で使用するための化合物またはその組成物も提供する。さらに、本開示は、少なくとも一部を、真核生物開始因子2Bが媒介した疾患、障害、または、病態の処置のための医薬の製造における使用のための化合物、または、それらの組成物の使用を提供する。
以下の説明は、本技術の例示的な実施形態を説明するものである。しかしながら、かかる説明は、本開示の範囲を限定するものではなく、例示的な実施形態の説明として提供するものである、ことを理解されたい。
1.定義
本明細書で使用する以下の単語、句、及び記号は、それらを使用している文脈がその他のものを示す場合を除き、概して、以下に示す意味を有することを意図している。
本明細書で使用する以下の単語、句、及び記号は、それらを使用している文脈がその他のものを示す場合を除き、概して、以下に示す意味を有することを意図している。
2つの文字または記号間にないダッシュ記号(「-」)を、置換基の結合点を示すために用いる。例えば、-C(O)NH2は、この炭素原子を介して結合される。化学基の先頭または終わりのダッシュ記号は、便宜上の問題であり、化学基は、それらの通常の意味を失うことなく、1つ以上のダッシュ記号を伴って、または、伴わずに示し得る。構造中の線を通って引いた波線または破線は、ある基の特定の結合点を示す。化学的または構造的に要求されない限り、化学基が表記または命名される順序によって、方向性や立体化学を指示することも暗示していない。
接頭語「Cu-v」は、それに続く基がu~v個の炭素原子を有することを示している。例えば、「C1-6アルキル」は、このアルキル基が1~6個の炭素原子を有することを示している。
本明細書における「約」値またはパラメータへの言及は、その値またはパラメータ自体を対象にする実施形態を含む(及び、記載する)。ある特定の実施形態では、用語「約」は、示された量±10%を含む。その他の実施形態では、用語「約」は、示された値±5%を含む。ある特定のその他の実施形態では、用語「約」は、示された量±1%を含む。また、「約X」という表現には、「X」の記載を含む。また、単数形「a」及び「the」は、文脈上明らかにその他ものを指示していない限り、複数の言及を含む。したがって、例えば、「当該化合物」への言及は、かかる化合物の複数を含み、「当該アッセイ」への言及は、1つ以上のアッセイ、及び、当業者に公知のそれらの等価物への言及を含む。
「アルキル」は、非分岐または分岐の飽和炭化水素鎖を指す。本明細書で使用するアルキルは、1~20個の炭素原子(すなわち、C1-20アルキル)、1~12個の炭素原子(すなわち、C1-12アルキル)、1~8個の炭素原子(すなわち、C1-8アルキル)、1~6個の炭素原子(すなわち、C1-6アルキル)、または、1~4個の炭素原子(すなわち、C1-4アルキル)を有する。アルキル基の例としては、例えば、メチル、エチル、プロピル、イソプロピル、n-ブチル、sec-ブチル、イソブチル、tert-ブチル、ペンチル、2-ペンチル、イソペンチル、ネオペンチル、ヘキシル、2-ヘキシル、3-ヘキシル、及び、3-メチルペンチルがある。特定数の炭素を有するアルキル残基を化学名で命名し、または、分子式で特定する場合、その炭素数を有するすべての位置異性体を含み得る。したがって、例えば、「ブチル」は、n-ブチル(すなわち、-(CH2)3CH3)、sec-ブチル(すなわち、-CH(CH3)CH2CH3)、イソブチル(すなわち、-CH2CH(CH3)2)、及び、tert-ブチル(すなわち、-C(CH3)3)を含み、「プロピル」は、n-プロピル(すなわち、-(CH2)2CH3)、及び、イソプロピル(すなわち、-CH(CH3)2)を含む。
「アルケニル」は、少なくとも1つの炭素間二重結合を含み、2~20個の炭素原子(すなわち、C2-20アルケニル)、2~8個の炭素原子(すなわち、C2-8アルケニル)、2~6個の炭素原子(すなわち、C2-6アルケニル)、または、2~4個の炭素原子(すなわち、C2-4アルケニル)を有するアルキル基のことを指す。アルケニル基の例として、例えば、エテニル、プロペニル、ブタジエニル(1,2-ブタジエニル、及び、1,3-ブタジエニルを含む)がある。
「アルキニル」は、少なくとも1つの炭素間三重結合を含み、2~20個の炭素原子(すなわち、C2-20アルキニル)、2~8個の炭素原子(すなわち、C2-8アルキニル)、2~6個の炭素原子(すなわち、C2-6アルキニル)、または、2~4個の炭素原子(すなわち、C2-4アルキニル)を有するアルキル基のことを指す。用語「アルキニル」はまた、1つの三重結合と1つの二重結合など、三重結合と二重結合とを有する基も含む。
「アルコキシ」は、基「アルキル-O-」のことを指す。アルコキシ基の例として、メトキシ、エトキシ、n-プロポキシ、イソプロポキシ、n-ブトキシ、tert-ブトキシ、sec-ブトキシ、n-ペントキシ、n-ヘキソキシ、及び、1,2-ジメチルブトキシがある。
「アルキルチオ」は、基「アルキル-S-」のことを指す。「アルキルスルフィニル」は、基「アルキル-S(O)-」のことを指す。「アルキルスルホニル」は、基「アルキル-S(O)2-」のことを指す。「アルキルスルホニルアルキル」は、-アルキル-S(O)2-アルキルのことを指す。
「アシル」は、基-C(O)Ryを指し、Ryは、水素、アルキル、アルケニル、アルキニル、シクロアルキル、ヘテロシクリル、アリール、ヘテロアルキル、または、ヘテロアリールであり、その各々は、本明細書で定義される通りに任意に置換し得る。アシルの例として、例えば、ホルミル、アセチル、シクロヘキシルカルボニル、シクロヘキシルメチルカルボニル、及びベンゾイルがある。
「アミド」は、基-C(O)NRyRzを指す「C-アミド」基、及び、基-NRyC(O)Rzを指す「N-アミド」基の双方のことを指し、Ry及びRzは、独立して、水素、アルキル、アルケニル、アルキニル、シクロアルキル、ヘテロシクリル、アリール、ヘテロアルキル、または、ヘテロアリールであり、その各々は、本明細書で定義される通りに任意に置換し得るものであり、または、RyとRzが互いに結合してシクロアルキルもしくはヘテロシクリルを形成し、その各々は、本明細書で定義される通りに任意に置換し得る。
「アミノ」は、基-NRyRzのことを指し、Ry及びRzは、独立して、水素、アルキル、アルケニル、アルキニル、シクロアルキル、ヘテロシクリル、アリール、ヘテロアルキル、または、ヘテロアリールであり、その各々は、本明細書で定義される通りに任意に置換し得る。
「アミノアルキル」は、基「-アルキル-NRyRz」のことを指し、Ry及びRzは、独立して、水素、アルキル、アルケニル、アルキニル、シクロアルキル、ヘテロシクリル、アリール、ヘテロアルキル、または、ヘテロアリールであり、その各々は、本明細書で定義される通りに任意に置換し得る。
「アミジノ」は、-C(NRy)(NRz
2)のことを指し、Ry及びRzは、独立して、水素、アルキル、アルケニル、アルキニル、シクロアルキル、ヘテロシクリル、アリール、ヘテロアルキル、またはヘテロアリールであり、その各々は、本明細書で定義される通りに任意に置換し得る。
「アリール」は、単一の環(例えば、単環式)または縮合系を含めた複数の環(例えば、二環式、または、三環式)を有する芳香族炭素環式基のことを指す。本明細書で使用するアリールは、6~20個の環炭素原子(すなわち、C6-20アリール)、6~12個の炭素環原子(すなわち、C6-12アリール)、または、6~10個の炭素環原子(すなわち、C6-10アリール)を有する。アリール基の例として、例えば、フェニル、ナフチル、フルオレニル、及びアントリルがある。アリールは、しかしながら、以下に定義するヘテロアリールを包含することも、これと重複することも決してない。1つ以上のアリール基が、ヘテロアリールと縮合する場合、得られる環系はヘテロアリールである。1つ以上のアリール基が、ヘテロシクリルと縮合する場合、得られる環系はヘテロシクリルである。
「アリールアルキル」または「アラルキル」は、基「アリール-アルキル-」のことを指す。
「カルバモイル」は、基-O-C(O)NRyRzのことを指す「O-カルバモイル」基、及び、基-NRyC(O)ORzのことを指す「N-カルバモイル」基の双方のことを指し、Ry及びRzは、独立して、水素、アルキル、アルケニル、アルキニル、シクロアルキル、ヘテロシクリル、アリール、ヘテロアルキル、またはヘテロアリールであり、その各々は、本明細書で定義される通りに任意に置換し得る。
「カルボキシエステル」または「エステル」は、-OC(O)Rx、及び、-C(O)ORxの双方のことを指し、Rxは、アルキル、アルケニル、アルキニル、シクロアルキル、ヘテロシクリル、アリール、ヘテロアルキル、または、ヘテロアリールであり、その各々は、本明細書で定義される通りに任意に置換し得る。
「シアノアルキル」は、1つ以上(例えば、1または2個)の水素原子がシアノ(-CN)基と交換されている、上記で定義したアルキル基のことを指す。
「シクロアルキル」は、単一の環、または、縮合環、架橋環、及び、スピロ環系を含めた複数の環を有する飽和または部分不飽和環状アルキル基のことを指す。用語「シクロアルキル」は、シクロアルケニル基(すなわち、環状の基が少なくとも1つの二重結合を有する)、及び、少なくとも1つのsp3炭素原子(すなわち、少なくとも1つの非芳香環)を有する炭素環式縮合環系を含む。本明細書で使用するシクロアルキルは、3~20個の環炭素原子(すなわち、C3-20シクロアルキル)、3~12個の環炭素原子(すなわち、C3-12シクロアルキル)、3~10個の環炭素原子(すなわち、C3-10シクロアルキル)、3~8個の環炭素原子(すなわち、C3-8シクロアルキル)、または、3~6個の環炭素原子(すなわち、C3-6シクロアルキル)を有する。単環式基として、例えば、シクロプロピル、シクロブチル、シクロペンチル、シクロヘキシル、シクロへプチル、及びシクロオクチルがある。多環式基として、例えば、ビシクロ[2.2.1]ヘプタニル、ビシクロ[2.2.2]オクタニル、アダマンチル、ノルボルニル、デカリニル、7,7-ジメチルビシクロ[2.2.1]ヘプタニル等がある。さらに、用語シクロアルキルは、当該分子の残りの部分への結合に関係なく、アリール環に縮合し得る任意の非芳香環を包含することを意図している。さらに、シクロアルキルはまた、同じ炭素原子上に2つの置換位置がある場合、「スピロシクロアルキル」、例えば、スピロ[2.5]オクタニル、スピロ[4.5]デカニル、またはスピロ[5.5]ウンデカニルも含む。
「シクロアルコキシ」は、「-O-シクロアルキル」のことを指す。
「シクロアルキルアルキル」は、基「シクロアルキル-アルキル-」のことを指す。
「シクロアルキルアルコキシ」は、「-O-アルキル-シクロアルキル」のことを指す。
「グアニジノ」は、-NRyC(=NRz)(NRyRz)のことを指し、各Ry及びRzは、独立して、水素、アルキル、アルケニル、アルキニル、シクロアルキル、ヘテロシクリル、アリール、ヘテロアルキル、または、ヘテロアリールであり、その各々は、本明細書で定義される通りに任意に置換し得る。
「ヒドラジノ」は、-NHNH2のことを指す。
「イミノ」は、基-C(NRy)Rzのことを指し、Ry及びRzは、それぞれ、独立して、水素、アルキル、アルケニル、アルキニル、シクロアルキル、ヘテロシクリル、アリール、ヘテロアルキル、または、ヘテロアリールであり、その各々は、本明細書で定義される通りに任意に置換し得る。
「イミド」は、基-C(O)NRyC(O)Rzのことを指し、Ry及びRzは、それぞれ、独立して、水素、アルキル、アルケニル、アルキニル、シクロアルキル、ヘテロシクリル、アリール、ヘテロアルキル、または、ヘテロアリールであり、その各々は、本明細書で定義される通りに任意に置換し得る。
「ハロゲン」または「ハロ」は、周期表第VIIA族を占める原子、例えば、フルオロ、クロロ、ブロモ、または、ヨードのことを指す。
「ハロアルキル」は、1つ以上(例えば、1~6個、または、1~3個)の水素原子がハロゲンと交換されている上記で定義した非分岐、または、分岐アルキル基のことを指す。例えば、ある残基を、複数のハロゲンで置換する場合、このものを、結合したハロゲン部分の個数に対応する接頭語を用いて言及し得る。ジハロアルキル、及び、トリハロアルキルは、2つ(「ジ」)または3つ(「トリ」)のハロ基で置換したアルキルのことを指し、これらのハロ基は、必ずしも同じとは限らないが、同じハロゲンであり得る。ハロアルキルの例として、例えば、トリフルオロメチル、ジフルオロメチル、フルオロメチル、トリクロロメチル、2,2,2-トリフルオロエチル、1,2-ジフルオロエチル、3-ブロモ-2-フルオロプロピル、1,2-ジブロモエチル等がある。
「ハロアルコキシ」は、1つ以上(例えば、1~6個、または、1~3個)の水素原子がハロゲンと交換している、上記で定義したアルコキシ基のことを指す。
「ヒドロキシアルキル」は、1つ以上(例えば、1~6個、または、1~3個)の水素原子がヒドロキシ基と交換している、上記で定義したアルキル基のことを指す。
「ヘテロアルキル」は、1つ以上の炭素原子(及び、関連するあらゆる水素原子)が各々独立して、同一のまたは異なるヘテロ原子基と交換しているアルキル基のことを指す。ただし、当該分子の残りの部分への結合点は、炭素原子を経由する。用語「ヘテロアルキル」は、炭素及びヘテロ原子を有する非分岐または分岐飽和鎖を含む。例として、1つ、2つ、または、3つの炭素原子を、独立して、同一のまたは異なるヘテロ原子基と交換し得る。ヘテロ原子基として、-NRy-、-O-、-S-、-S(O)-、-S(O)2-等が挙げられるが、これらに限定されず、Ryは、水素、アルキル、アルケニル、アルキニル、シクロアルキル、ヘテロシクリル、アリール、ヘテロアルキル、または、ヘテロアリールであり、その各々は、本明細書で定義した通りに任意に置換し得る。ヘテロアルキル基の例として、例えば、エーテル(例えば、-CH2OCH3、-CH(CH3)OCH3、-CH2CH2OCH3、-CH2CH2OCH2CH2OCH3など)、チオエーテル(例えば、-CH2SCH3、-CH(CH3)SCH3、-CH2CH2SCH3、-CH2CH2SCH2CH2SCH3など)、スルホン(例えば、-CH2S(O)2CH3、-CH(CH3)S(O)2CH3、-CH2CH2S(O)2CH3、-CH2CH2S(O)2CH2CH2OCH3など)、及び、アミン(例えば、-CH2NRyCH3、-CH(CH3)NRyCH3、-CH2CH2NRyCH3、-CH2CH2NRyCH2CH2NRyCH3など、式中、Ryは、独立して、水素、アルキル、アルケニル、アルキニル、シクロアルキル、ヘテロシクリル、アリール、ヘテロアルキル、または、ヘテロアリールであり、その各々は、本明細書で定義した通りに、任意に置換し得る)がある。本明細書で使用するヘテロアルキルは、1~10個の炭素原子、1~8個の炭素原子、または1~4個の炭素原子、及び、1~3個のヘテロ原子、1~2個のヘテロ原子、または、1個のヘテロ原子を含む。
「ヘテロアルキレン」とは、Lがヘテロアルキレンであり、そして、ピランに対するヘテロアルキレンの結合点が炭素原子を介したものであれば、1つ以上(例えば、1~5個、または、1~3個)の炭素原子(及び、関連するあらゆる水素原子)が、それぞれ、独立して、同じ、または、異なるヘテロ原子基で置換した二価アルキル基(すなわち、アルキレン)のことを指す。「ヘテロアルキレン」基は、鎖内に、少なくとも1つの炭素、及び、少なくとも1つのヘテロ原子基を持たなければならない。さらに、Lがヘテロアルキレンであれば、-R2に対するヘテロアルキレンの結合点は、炭素原子またはヘテロ原子を介し得る。用語「ヘテロアルキレン」として、炭素とヘテロ原子とを有する非分岐または分岐飽和鎖がある。例として、1つ、2つ、または、3つの炭素原子は、同じ、または、異なるヘテロ原子基で、独立して置換し得る。ヘテロ原子基として、-NRy-、-O-、-S-、-S(O)-、-S(O)2-などがあるが、これらに限定されず、式中、Ryは、水素、アルキル、アルケニル、アルキニル、シクロアルキル、ヘテロシクリル、アリール、ヘテロアルキル、または、ヘテロアリールがあり;本明細書で定義したように、それらの各々を任意に置換し得る。ヘテロアルキレン基の例として、例えば、-CH2OCH2-、-CH(CH3)OCH2-、-CH2CH2OCH2-、-CH2CH2OCH2CH2OCH2-、-CH2SCH2-、-CH(CH3)SCH2-、-CH2CH2SCH2-、-CH2CH2SCH2CH2SCH2-、-CH2S(O)2CH2-、-CH(CH3)S(O)2CH2-、-CH2CH2S(O)2CH2-、-CH2CH2S(O)2CH2CH2OCH2-、-CH2NRyCH2-、-CH(CH3)NRyCH2-、-CH2CH2NRyCH2-、-CH2CH2NRyCH2CH2NRyCH2-などがあり、式中、Ryは、水素、アルキル、アルケニル、アルキニル、シクロアルキル、ヘテロシクリル、アリール、ヘテロアルキル、または、ヘテロアリールであり;それらの各々は、本明細書で定義したように、任意に置換し得る)。本明細書で使用する場合、ヘテロアルキレンは、1~10個の炭素原子、1~8個の炭素原子、または、1~4個の炭素原子;及び、1~3個のヘテロ原子、1~2個のヘテロ原子、または、1個のヘテロ原子を含む。本明細書で使用する用語「ヘテロアルキレン」は、アミド、または、1つ以上の炭素原子に存在するオキソを有するその他の官能基などの基を含まない。
「ヘテロアリール」は、窒素、酸素、及び、硫黄から独立して選択する1つ以上の環ヘテロ原子を有する単一の環、複数の環、または、複数の縮合環を有する芳香族基のことを指す。本明細書で使用するヘテロアリールは、1~20個の環炭素原子(すなわち、C1-20ヘテロアリール)、3~12個の環炭素原子(すなわち、C3-12ヘテロアリール)、または、3~8個の炭素環原子(すなわち、C3-8ヘテロアリール)、そして、窒素、酸素、及び、硫黄から独立して選択される1~5個の環ヘテロ原子、1~4個の環ヘテロ原子、1~3個の環ヘテロ原子、1~2個の環ヘテロ原子、または、1個の環ヘテロ原子を含む。特定の事例では、ヘテロアリールは、5~10員環系、5~7員環系、または、5~6員環系を含み、各々が、独立して、窒素、酸素、及び、硫黄から独立して選択する1~4個の環ヘテロ原子、1~3個の環ヘテロ原子、1~2個の環ヘテロ原子、または、1個の環ヘテロ原子を有する。ヘテロアリール基の例として、例えば、アクリジニル、ベンゾイミダゾリル、ベンゾチアゾリル、ベンゾインドリル、ベンゾフラニル、ベンゾチアゾリル、ベンゾチアジアゾリル、ベンゾナフトフラニル、ベンゾオキサゾリル、ベンゾチエニル(ベンゾチオフェニル)、ベンゾトリアゾリル、ベンゾ[4,6]イミダゾ[1,2-a]ピリジル、カルバゾリル、シンノリニル、ジベンゾフラニル、ジベンゾチオフェニル、フラニル、イミダゾリル、インダゾリル、インドリル、イソインドリル、イソキノリル、イソキサゾリル、イソチアゾリル、ナフチリジニル、オキサジアゾリル、オキサゾリル、1-オキシドピリジニル、1-オキシドピリミジニル、1-オキシドピラジニル、1-オキシドピリダジニル、フェナジニル、フタラジニル、プテリジニル、プリニル、ピロリル、ピラゾリル、ピリジニル、ピラジニル、ピリミジニル、ピリダジニル、キナゾリニル、キノキサリニル、キノリニル、キヌクリジニル、チアゾリル、チアジアゾリル、トリアゾリル、テトラゾリル、及びトリアジニルがある。縮合ヘテロアリール環の例として、ベンゾ[d]チアゾリル、キノリニル、イソキノリニル、ベンゾ[b]チオフェニル、インダゾリル、ベンゾ[d]イミダゾリル、ピラゾロ[1,5-a]ピリジニル、及び、イミダゾ[1,5-a]ピリジニルがあるが、これらに限定されず、当該ヘテロアリールは、当該縮合系のいずれの環を介しても結合することができる。単一の環または複数の縮合環を有し、少なくとも1つのヘテロ原子を含む任意の芳香環は、当該分子の残りの部分への結合に関係なく(すなわち、縮合環の任意の1つを介する)ヘテロアリールと見なす。ヘテロアリールは、上記で定義したアリールを含むことも、このものと重複することもない。
「ヘテロアリールアルキル」は、基「ヘテロアリール-アルキル-」のことを指す。
「ヘテロシクリル」は、窒素、酸素、及び、硫黄から独立して選択する1つ以上の環ヘテロ原子を有する飽和または部分不飽和環状アルキル基のことを指す。用語「ヘテロシクリル」は、ヘテロシクロアルケニル基(すなわち、少なくとも1つの二重結合を有するヘテロシクリル基)、架橋ヘテロシクリル基、縮合ヘテロシクリル基、及び、スピロヘテロシクリル基が含む。ヘテロシクリルは、単一の環でも複数の環でもよく、複数の環は、縮合でも、架橋でも、スピロでもよく、1つ以上(例えば、1~3個)のオキソ(=O)、または、N-オキシド(-O-)部分を含み得る。少なくとも1つのヘテロ原子を含む任意の非芳香環は、結合に関係なく(すなわち、炭素原子、または、ヘテロ原子を介して結合することができる)ヘテロシクリルと見なす。さらに、用語ヘテロシクリルは、少なくとも1つのヘテロ原子を含む任意の非芳香環を含むことを意図しており、当該分子の残りの部分への結合に関係なく、環はアリールまたはヘテロアリール環に縮合し得る。本明細書で使用するヘテロシクリルは、2~20個の環炭素原子(すなわち、C2-20ヘテロシクリル)、2~12個の環炭素原子(すなわち、C2-12ヘテロシクリル)、2~10個の環炭素原子(すなわち、C2-10ヘテロシクリル)、2~8個の環炭素原子(すなわち、C2-8ヘテロシクリル)、3~12個の環炭素原子(すなわち、C3-12ヘテロシクリル)、3~8個の環炭素原子(すなわち、C3-8ヘテロシクリル)、または、3~6個の環炭素原子(すなわち、C3-6ヘテロシクリル)を有し、窒素、硫黄、または、酸素から独立して選択する1~5個の環ヘテロ原子、1~4個の環ヘテロ原子、1~3個の環ヘテロ原子、1~2個の環ヘテロ原子、または、1個の環ヘテロ原子を有する。ヘテロシクリル基の例として、例えば、アゼチジニル、アゼピニル、ベンゾジオキソリル、ベンゾ[b][1,4]ジオキセピニル、1,4-ベンゾジオキサニル、ベンゾピラニル、ベンゾジオキシニル、ベンゾピラノニル、ベンゾフラノニル、ジオキソラニル、ジヒドロピラニル、ヒドロピラニル、チエニル[1,3]ジチアニル、デカヒドロイソキノリル、フラノニル、イミダゾリニル、イミダゾリジニル、インドリニル、インドリジニル、イソインドリニル、イソチアゾリジニル、イソオキサゾリジニル、モルホリニル、オクタヒドロインドリル、オクタヒドロイソインドリル、2-オキソピペラジニル、2-オキソピペリジニル、2-オキソピロリジニル、オキサゾリジニル、オキシラニル、オキセタニル、フェノチアジニル、フェノキサジニル、ピペリジニル、ピペラジニル、4-ピペリドニル、ピロリジニル、ピラゾリジニル、キヌクリジニル、チアゾリジニル、テトラヒドロフリル、テトラヒドロピラニル、トリチアニル、テトラヒドロキノリニル、チオフェニル(すなわち、チエニル)、チオモルホリニル、チアモルホリニル、1-オキソチオモルホリニル、及び、1,1-ジオキソチオモルホリニルがある。用語「ヘテロシクリル」はまた、同じ炭素原子に2つの置換位置がある場合、「スピロヘテロシクリル」も含む。スピロヘテロシクリル環の例として、例えば、二環式及び三環式の環系、例えば、オキサビシクロ[2.2.2]オクタニル、2-オキサ-7-アザスピロ[3.5]ノナニル、2-オキサ-6-アザスピロ[3.4]オクタニル、及び、6-オキサ-1-アザスピロ[3.3]ヘプタニルがある。縮合ヘテロシクリル環の例として、1,2,3,4-テトラヒドロイソキノリニル、4,5,6,7-テトラヒドロチエノ[2,3-c]ピリジニル、インドリニル、及び、イソインドリニルがあれるが、これらに限定されず、この場合、当該ヘテロシクリルは、当該縮合系のいずれの環を介しても結合し得る。
「ヘテロシクリルアルキル」は、基「ヘテロシクリル-アルキル-」のことを指す。
「オキシム」は、基-CRy(=NOH)のことを指し、Ryは、水素、アルキル、アルケニル、アルキニル、シクロアルキル、ヘテロシクリル、アリール、ヘテロアルキル、または、ヘテロアリールであり、その各々は、本明細書で定義した通りに任意に置換し得る。
「スルホニル」は、基-S(O)2Ryのことを指し、Ryは、水素、アルキル、アルケニル、アルキニル、シクロアルキル、ヘテロシクリル、アリール、ヘテロアルキル、または、ヘテロアリールであり、その各々は、本明細書で定義した通りに任意に置換し得る。スルホニルの例は、メチルスルホニル、エチルスルホニル、フェニルスルホニル、及び、トルエンスルホニルである。
「スルフィニル」は、基-S(O)Ryのことを指し、Ryは、水素、アルキル、アルケニル、アルキニル、シクロアルキル、ヘテロシクリル、アリール、ヘテロアルキル、または、ヘテロアリールであり、その各々は、本明細書で定義した通りに任意に置換し得る。スルフィニルの例は、メチルスルフィニル、エチルスルフィニル、フェニルスルフィニル、及び、トルエンスルフィニルである。
「スルホンアミド」は、基-SO2NRyRz、及び、-NRySO2Rzのことを指し、Ry及びRzは、各々独立して、水素、アルキル、アルケニル、アルキニル、シクロアルキル、ヘテロシクリル、アリール、ヘテロアルキル、または、ヘテロアリールであり、その各々は、本明細書で定義した通りに任意に置換し得る。
一般的に使用されている特定の代替化学名を使用し得る。例えば、二価の「アルキル」基、二価の「アリール」基、二価のヘテロアリール基などの二価の基は、それぞれ、「アルキレン」基または「アルキレニル」基(例えば、メチレニル、エチレニル、及び、プロピレニル)、「アリーレン」基または「アリレニル」基(例えば、フェニレニル、または、ナフチレニル、あるいは、ヘテロアリーレンに関してはキノリニル)と称し得る。また、特に断りのない限り、本明細書において、化学基の組み合わせを、1つの部分、例えば、アリールアルキルまたはアラルキルと称しておれば、最後に示した化学基は、その部分が、分子の残余の部分と結合している原子を含む。
用語「任意の」または「任意に」は、その後に記載した事象または状況が起こっても、起こらなくてもよいこと、ならびに、当該記載は、当該事象または状況が起こる場合、及び、起こらない場合を含むことを意味する。また、用語「任意に置換する」とは、指定した原子または基での任意の1つ以上(例えば、1~5個、または、1~3個)の水素原子が、水素以外の部分で交換されていても、交換されていなくてもよいことを指す。
本明細書で使用する用語「置換した」とは、上記した基(すなわち、アルキル、アルケニル、アルキニル、アルキレン、アルコキシ、ハロアルキル、ハロアルコキシ、シクロアルキル、アリール、ヘテロシクリル、ヘテロアリール、及び/または、ヘテロアルキル)のいずれかを意味しており、少なくとも1つ(例えば、1~5個、または、1~3個)の水素原子を、非水素原子への結合、例えば、これらに限定されないが、アルキル、アルケニル、アルキニル、アルコキシ、アルキルチオ、アシル、アミド、アミノ、アミジノ、アリール、アラルキル、アジド、カルバモイル、カルボキシル、カルボキシルエステル、シアノ、シクロアルキル、シクロアルキルアルキル、グアナジノ、ハロ、ハロアルキル、ハロアルコキシ、ヒドロキシアルキル、ヘテロアルキル、ヘテロアリール、ヘテロアリールアルキル、ヘテロシクリル、ヘテロシクリルアルキル、-NHNH2、=NNH2、イミノ、イミド、ヒドロキシ、オキソ、オキシム、ニトロ、スルホニル、スルフィニル、アルキルスルホニル、アルキルスルフィニル、チオシアネート、-S(O)OH、-S(O)2OH、スルホンアミド、チオール、チオキソ、N-オキシド、または-Si(Ry)3であって、各Ryが、独立して、水素、アルキル、アルケニル、アルキニル、ヘテロアルキル、シクロアルキル、アリール、ヘテロアリール、または、ヘテロシクリルである、ものと交換する。
特定の実施形態では、「置換した」には、1つ以上(例えば、1~5個、または、1~3個)の水素原子が、独立して、重水素、ハロ、シアノ、ニトロ、アジド、オキソ、アルキル、アルケニル、アルキニル、ハロアルキル、シクロアルキル、ヘテロシクリル、アリール、ヘテロアリール、-NRgRh、-NRgC(=O)Rh、-NRgC(=O)NRgRh、-NRgC(=O)ORh、-NRgS(=O)1-2Rh、-C(=O)Rg、-C(=O)ORg、-OC(=O)ORg、-OC(=O)Rg、-C(=O)NRgRh、-OC(=O)NRgRh、-ORg、-SRg、-S(=O)Rg、-S(=O)2Rg、-OS(=O)1-2Rg、-S(=O)1-2Rg、-NRgS(=O)1-2NRgRh、=NSO2Rg、=NORg、-S(=O)1-2NRgRh、-SF5、-SCF3、または、-OCF3で置換した上記のアルキル、アルケニル、アルキニル、シクロアルキル、ヘテロシクリル、アリール、または、ヘテロアリール基のいずれかを含む。特定の実施形態では、「置換した」は、1つ以上(例えば、1~5個、または、1~3個)の水素原子が、-C(=O)Rg、-C(=O)ORg、-C(=O)NRgRh、-CH2SO2Rg、または、-CH2SO2NRgRhである上記した基のいずれかをも意味する。上記において、Rg及びRhは、同一であり、または、異なっており、そして、独立して、水素、アルキル、アルケニル、アルキニル、アルコキシ、チオアルキル、アリール、アラルキル、シクロアルキル、シクロアルキルアルキル、ハロアルキル、ヘテロシクリル、ヘテロシクリルアルキル、ヘテロアリール、及び/または、ヘテロアリールアルキルである。特定の実施形態では、「置換した」はまた、1つ以上(例えば、1~5個、または、1~3個)の水素原子が、アミノ、シアノ、ヒドロキシル、イミノ、ニトロ、オキソ、チオキソ、ハロ、アルキル、アルコキシ、アルキルアミノ、チオアルキル、アリール、アラルキル、シクロアルキル、シクロアルキルアルキル、ハロアルキル、ヘテロシクリル、N-ヘテロシクリル、ヘテロシクリルアルキル、ヘテロアリール、及び/または、ヘテロアリールアルキルに対する結合で置換しており、または、Rg及びRh及びRiの内の2つは、それらが結合している原子と共に互いに結合して、オキソ、ハロで任意に置換したヘテロシクリル環、または、オキソ、ハロ、アミノ、ヒドロキシル、または、アルコキシで任意に置換したアルキルを形成する、上記した基のいずれかを意味している。
無限に追加されるさらなる置換基で置換基を特徴づけること(例えば、置換アリールが、置換アルキルを有し、このアルキルが、それ自体、置換アリール基で置換され、このアリールが、置換ヘテロアルキル基でさらに置換される、など)で到達するポリマー、または、同様の不定構造を、本明細書に含めることを意図しない。特に断りのない限り、本明細書に記載の化合物における連続置換の最大数は3である。例えば、2つのその他の置換アリール基での置換アリール基の連続置換は、((置換アリール)置換アリール)置換アリールに制限される。同様に、上記の定義は、許容されない置換パターン(例えば、5つのフッ素で置換されるメチルや、2つの隣接する酸素環原子を有するヘテロアリール基)を含むことを意図するものではない。このような許容されない置換パターンは、当業者には周知である。化学基を修飾するために用いる場合、用語「置換した」は、本明細書で定義するその他の化学基を記載し得る。
特定の実施形態では、本明細書で使用する句「1つ以上」とは、1~5のことを指す。特定の実施形態では、本明細書で使用する句「1つ以上」とは、1~3のことを指す。
本明細書に示すあらゆる化合物または構造はまた、当該化合物の未標識の形態だけでなく、同位体標識した形態も表すことを意図している。化合物のこれらの形態は、「同位体濃縮類似体」とも称する。同位体標識した化合物は、1つ以上の原子を、選択した原子質量または質量数を有する原子と交換すること以外は、本明細書に示す構造を有する。本開示の化合物に組み込むことができる同位体の例として、水素、炭素、窒素、酸素、リン、フッ素、塩素、及び、ヨウ素の同位体、例えば、それぞれ、2H、3H、11C、14C、13N、15N、15O、17O、18O、31P、32P、35S、18F、36Cl、123I、及び、125Iがある。本開示の同位体標識した様々な化合物として、例えば、3H、及び、14Cなどの放射性同位体を組み込んだ化合物がある。かかる同位体標識した化合物は、代謝研究、反応速度論的研究、検出、または、画像化技術、例えば、薬物もしくは基質の組織分布アッセイを含めたポジトロン放出断層撮影(PET)、または、単光子放出コンピューター断層撮影(SPECT)、または、患者の放射線治療に有用な場合がある。
用語「同位体濃縮類似体」は、炭素原子での水素など、1つ以上の水素を重水素で置換する本明細書に記載の化合物の「重水素化類似体」を含む。かかる化合物は、代謝に対する耐性の向上を示し、ひいては哺乳類、特に、ヒトに投与した場合、あらゆる化合物の半減期の延長に有用である。例えば、Foster,“Deuterium Isotope Effects in Studies of Drug Metabolism,” Trends Pharmacol. Sci.5(12):524-527(1984)を参照されたい。当該化合物は、当該技術分野で周知の方法、例えば、1つ以上の水素が重水素で交換されている出発物質を使用して合成する。
重水素で標識または置換した本開示の治療化合物は、分布、代謝、及び、排泄(ADME)に関連するDMPK(薬物代謝及び薬物動態)特性を改善し得る。重水素等の重同位体での置換は、代謝安定性の向上、例えば、インビボ半減期の延長、必要用量の減少、及び/または、治療指数の改善に起因する、ある特定の治療上の利点をもたらし得る。18F、3H、11C標識化合物は、PETもしくはSPECT、または、その他の画像化研究に有用であり得る。同位体標識した本開示の化合物、及び、それらのプロドラッグは、容易に入手可能な同位体標識試薬で非同位体標識試薬を置き換えて、スキームまたは実施例に開示する手順、及び、以下に記載する調製を行うことで一般に調製することができる。これに関連して、重水素が本明細書に記載の化合物における置換基と見なす、ことが理解される。
かかる重同位体、特に、重水素の濃度は、同位体濃縮係数で定義し得る。本開示の化合物では、特定の同位体として具体的に指定していないあらゆる原子は、その原子のあらゆる安定同位体を表すことを意味する。特に断りのない限り、ある位置が具体的に「H」または「水素」と指定した場合、その位置は、その天然存在度の同位体組成で水素を有するものと理解される。したがって、本開示の化合物では、具体的に重水素(D)と指定するあらゆる元素は、重水素を表すことを意味する。
多くの事例では、本開示の化合物は、アミノ基、及び/または、カルボキシル基、または、それらに類似した基の存在により、酸性塩、及び/または、塩基性塩を形成することができる。
本明細書に記載の化合物の医薬として許容可能な塩、同位体濃縮類似体、重水素化類似体、立体異性体、立体異性体の混合物、及び、プロドラッグをも提供する。「医薬として許容可能な」または「生理学的に許容可能な」とは、獣医学的またはヒトの医薬用途に適した医薬組成物の調製において有用な化合物、塩、組成物、剤形、及び、その他の材料のことを指す。
所与の化合物の「医薬として許容可能な塩」という用語は、所与の化合物の生物学的効果及び特性を保持しつつ、生物学的にもその他の面でも不適切ではない塩のことを指す。「医薬として許容可能な塩」または「生理学的に許容可能な塩」として、例えば、無機酸との塩、及び、有機酸との塩がある。さらに、本明細書に記載の化合物が酸付加塩として得られる場合、その遊離塩基は、当該酸性塩の溶液を塩基性化して得ることができる。反対に、産物が遊離塩基の場合、付加塩、特に、医薬として許容可能な付加塩は、塩基性化合物から酸付加塩を調製するための従来の手順に従って、当該遊離塩基を適切な有機溶媒に溶解し、当該溶液を酸で処理することで製造し得る。当業者であれば、無毒性の医薬として許容可能な付加塩を調製するために使用し得る様々な合成方法を認識する。医薬として許容可能な酸付加塩は、無機酸、または、有機酸から調製し得る。無機酸由来の塩として、例えば、塩酸、臭化水素酸、硫酸、硝酸、リン酸等がある。有機酸由来の塩として、例えば、酢酸、プロピオン酸、グルコン酸、グリコール酸、ピルビン酸、シュウ酸、リンゴ酸、マロン酸、コハク酸、マレイン酸、フマル酸、酒石酸、クエン酸、安息香酸、桂皮酸、マンデル酸、メタンスルホン酸、エタンスルホン酸、p-トルエンスルホン酸、サリチル酸等がある。同様に、医薬として許容可能な塩基付加塩は、無機塩基、または、有機塩基から調製することができる。無機塩基由来の塩のほんの一部の例として、ナトリウム、カリウム、リチウム、アルミニウム、アンモニウム、カルシウム、及び、マグネシウム塩がある。有機塩基由来の塩として、これらに限定されないが、第一級、第二級、及び、第三級アミンの塩、例えば、アルキルアミン(すなわち、NH2(アルキル))、ジアルキルアミン(すなわち、HN(アルキル)2)、トリアルキルアミン(すなわち、N(アルキル)3)、置換アルキルアミン(すなわち、NH2(置換アルキル))、ジ(置換アルキル)アミン(すなわち、HN(置換アルキル)2)、トリ(置換アルキル)アミン(すなわち、N(置換アルキル)3)、アルケニルアミン(すなわち、NH2(アルケニル))、ジアルケニルアミン(すなわち、HN(アルケニル)2)、トリアルケニルアミン(すなわち、N(アルケニル)3)、置換アルケニルアミン(すなわち、NH2(置換アルケニル))、ジ(置換アルケニル)アミン(すなわち、HN(置換アルケニル)2)、トリ(置換アルケニル)アミン(すなわち、N(置換アルケニル)3)、モノ、ジ、もしくは、トリシクロアルキルアミン(すなわち、NH2(シクロアルキル)、HN(シクロアルキル)2、N(シクロアルキル)3)、モノ、ジ、もしくは、トリアリールアミン(すなわち、NH2(アリール)、HN(アリール)2、N(アリール)3)、または、混合アミンの塩等がある。適切なアミンの具体例として、ほんの一部の例として、イソプロピルアミン、トリメチルアミン、ジエチルアミン、トリ(イソプロピル)アミン、トリ(n-プロピル)アミン、エタノールアミン、2-ジメチルアミノエタノール、ピペラジン、ピペリジン、モルホリン、N-エチルピペリジン等がある。
用語「水和物」は、本明細書に記載の化合物と水との混合によって形成する複合体のことを指す。
「溶媒和物」は、1つ以上の溶媒分子と本開示の化合物との会合または複合体のことを指す。溶媒和物を形成する溶媒の例として、水、イソプロパノール、エタノール、メタノール、ジメチルスルホキシド、酢酸エチル、酢酸、及び、エタノールアミンがあるが、これらに限定されない。
本明細書に開示した化合物の一部は、互変異性体として存在し得る。互変異性体は、互いに平衡状態にある。例えば、アミド含有化合物は、イミド酸互変異性体と平衡状態で存在し得る。どちらの互変異性体を示す場合でも、また、互変異性体間の平衡の性質に関係なく、当業者であれば、当該化合物が、アミド及びイミド酸互変異性体の両方を含むと理解する。したがって、当該アミド含有化合物は、それらのイミド酸互変異性体を含むと理解される。同様に、当該イミド酸含有化合物は、それらのアミド互変異性体を含むと理解される。
本明細書に開示した化合物の一部、または、医薬として許容可能なそれらの塩は、不斉中心を含み、それ故、絶対立体化学の観点から、(R)-または(S)-として、または、アミノ酸に関しては、(D)-または(L)-として定義し得る、エナンチオマー、ジアステレオマー、及び、その他の立体異性体を生じ得る。本開示は、すべてのかかる可能な同位体、ならびに、それらのラセミ体、及び、光学的に純粋な形態を含むことを意味する。光学的に活性な(+)及び(-)、(R)-、及び、(S)-、または(D)-、及び、(L)-異性体は、キラルシントン、もしくは、キラル試薬を用いて調製し得る場合もあれば、従来の技術、例えば、クロマトグラフィー、及び/または、分別結晶を用いて分割し得る場合もある。個々のエナンチオマーの調製/単離のための従来の技術として、適切な光学的に純粋な前駆体からのキラル合成、あるいは、例えば、キラル高圧液体クロマトグラフィー(HPLC)を用いたラセミ化合物(または、塩もしくは誘導体のラセミ体)の分割がある。本明細書に記載した化合物が、オレフィン性二重結合、または、その他の幾何学的非対称の中心を含む場合、特別の定めのない限り、当該化合物は、E及びZの双方の幾何異性体を含むことを意図している。
「立体異性体」は、同じ結合で結合した同じ原子で構成される化合物であるが、置き換え可能でない異なる3次元構造を有するものを指す。本開示は、様々な立体異性体、または、それらの混合物を企図しており、分子が互いに重ね合わせることができない鏡像である2つの立体異性体のことを指す「エナンチオマー」を含む。
「ジアステレオマー」は、少なくとも2つの不斉原子を有するが、互いに鏡像ではない立体異性体のことである。
本明細書に記載した化合物の相対中心を、「太い結合」スタイル(太線、または、平行線)を使用して図示しており、そして、絶対立体化学を、ウェッジ結合(太線、または、平行線)を使用して示す。
「プロドラッグ」とは、かかるプロドラッグを、哺乳類対象に投与した場合に本明細書に記載の構造の活性親薬物をインビボで放出する、あらゆる化合物のことを意味する。本明細書に記載の化合物に存在する官能基を修飾し、当該修飾が、インビボで開裂して、当該親化合物を放出し得る方法で、本明細書に記載の化合物のプロドラッグを調製する。当該化合物に存在する官能基を修飾し、当該修飾が、通常の操作、または、インビボのいずれかで、当該親化合物にまで開裂する方法で、プロドラッグを調製し得る。プロドラッグは、本明細書に記載の化合物におけるヒドロキシ、アミノ、カルボキシル、または、スルフヒドリル基が、遊離のヒドロキシ、アミノ、またはスルフヒドリル基をそれぞれ再生するようにインビボで開裂し得るあらゆる基に結合した本明細書に記載の化合物を含む。プロドラッグの例として、本明細書に記載の化合物のヒドロキシ官能基のエステル(例えば、アセテート、ホルメート、及び、ベンゾエート誘導体)、アミド、グアニジン、カルバメート(例えば、N,N-ジメチルアミノカルボニル)などがあるが、これらに限定されない。プロドラッグの調製、選択、及び、使用は、T.Higuchi and V.Stella,“Pro-drugs as Novel Delivery Systems,”Vol.14 of the A.C.S. Symposium Series、“Design of Prodrugs,”ed.H.Bundgaard,Elsevier,1985、及びBioreversible Carriers in Drug Design,ed.Edward B.Roche,American Pharmaceutical Association and Pergamon Press,1987に論じられており、本明細書の一部を構成するものとして、それらの各々の全内容を援用する。
2.化合物
本明細書では、真核生物開始因子2Bのモジュレーターである化合物を提供する。特定の実施形態では、式Iの化合物:
または、医薬として許容可能なその塩、同位体濃縮類似体、立体異性体、立体異性体の混合物、または、プロドラッグを提供しており、式中:
環Aは、シクロアルキル、または、ヘテロシクリルである、ただし、環Aは、ビシクロ[1.1.1]ペンタン、または、ビシクロ[2.1.1]ヘキサンではない;それぞれを、1~6個のR14で任意に置換する;
環Bは、5員または6員のヘテロアリール、または、フェニルである;それぞれを、1~3個のR13で任意に置換する;
Q1及びQ2は、それぞれ、独立して、O、S、または、NR15である;
Lは、C1-6アルキレンリンカーであり、独立して、ハロ、シアノ、ニトロ、-OR6、-SR6、-SF5、-NR6R7、C1-6アルキル、C2-6アルケニル、C2-6アルキニル、-C(O)R6、-C(O)OR6、-OC(O)OR6、-OC(O)R6、-C(O)NR6R7、-OC(O)NR6R7、-NR6C(O)NR7R8、-S(O)1-2R6、-S(O)1-2NR6、-NR6S(O)1-2R7、-NR6S(O)1-2NR7R8、-NR6C(O)R7、及び、-NR6C(O)OR7から選択する、1~3個の置換基で任意に置換する;
zは、0または1である;
X1は、O、NR9、または、結合である;
R1は、水素、C1-12アルキル、C2-12アルケニル、C2-12アルキニル、C3-10シクロアルキル、または、ヘテロシクリルであり、それらの各々を、水素以外は、1~3個のR11で任意に置換する;
R2は、C1-6ハロアルキルである;
R3は、水素、C1-12アルキル、C2-12アルケニル、C2-12アルキニル、C3-10シクロアルキル、ヘテロシクリル、アリール、または、ヘテロアリールであり、それらの各々を、水素以外は、1~5個のR11で任意に置換する;
R4及びR5は、独立して、水素、C1-12アルキル、C2-12アルケニル、または、C2-12アルキニルであり、それらの各々を、水素以外は、独立して、1~5個のR11で任意に置換する;
または、R3、及び、R4は、それらが結合している原子と共に互いに結合してC3-10シクロアルキル、または、ヘテロシクリルを形成しており、それらの各々を、1~5個のR11で任意に置換する;
または、R4、及び、R5は、それらが結合している原子と共に互いに結合してC3-10シクロアルキル、または、ヘテロシクリルを形成しており、それらの各々を、1~5個のR11で任意に置換する;
R6、R7、及び、R8のそれぞれは、独立して、水素、C1-12アルキル、C2-12アルケニル、C2-12アルキニル、C3-10シクロアルキル、ヘテロシクリル、アリール、ヘテロアリール、-C(O)R20、-C(O)OR20、-C(O)NR20R21、-S(O)1-2R20、または、-S(O)1-2NR20であり、式中、R6、R7、及び、R8のそれぞれのアルキル、アルケニル、アルキニル、シクロアルキル、ヘテロシクリル、アリール、及び、ヘテロアリールを、独立して、1~5個のR12で任意に置換する;または、R6、R7、及び、R8の2つが、それらが結合する原子と共に互いに結合して、独立して、1個~3個のハロ、オキソ、または、独立して、1個~3個のオキソ、ハロ、ヒドロキシル、もしくは、アミノで任意に置換したC1-12アルキルで任意に置換したヘテロシクリルを形成している;
R9は、水素、C1-12アルキル、C2-12アルケニル、C2-12アルキニル、C3-10シクロアルキル、または、ヘテロシクリルであり、それらの各々を、水素以外は、1~3個のR11で任意に置換する;
それぞれのR11は、独立して、ハロ、シアノ、ニトロ、オキソ、-OR6、-SR6、-SF5、-NR6R7、C1-12アルキル、C2-12アルケニル、C2-12アルキニル、C3-10シクロアルキル、ヘテロシクリル、アリール、ヘテロアリール、-C(O)R6、-C(O)OR6、-OC(O)OR6、-OC(O)R6、-C(O)NR6R7、-OC(O)NR6R7、-NR6C(O)NR7R8、-S(O)1-2R6、-S(O)1-2NR6、-NR6S(O)1-2R7、-NR6S(O)1-2NR7R8、-NR6C(O)R7、または、-NR6C(O)OR7であり、式中、R11のそれぞれのアルキル、アルケニル、アルキニル、シクロアルキル、ヘテロシクリル、アリール、及び、ヘテロアリールを、独立して、1~5個のR12で任意に置換する;
それぞれのR12は、独立して、ハロ、シアノ、ニトロ、オキソ、-OR30、-SR30、-SF5、-NR30R31、C1-12アルキル、C2-12アルケニル、C2-12アルキニル、C3-10シクロアルキル、ヘテロシクリル、アリール、ヘテロアリール、-C(O)R30、-C(O)OR30、-OC(O)OR30、-OC(O)R30、-C(O)NR30R31、-OC(O)NR30R31、-NR30C(O)NR30R31、-S(O)1-2R30、-S(O)1-2NR30、-NR30S(O)1-2R31、-NR30S(O)1-2NR30R31、-NR30C(O)R31、または、-NR30C(=O)OR31であり、式中、R12のそれぞれのアルキル、アルケニル、アルキニル、シクロアルキル、ヘテロシクリル、アリール、及び、ヘテロアリールを、独立して、1~3個のハロ、または、独立して、1~3個のオキソ、ハロ、ヒドロキシル、もしくは、アミノで任意に置換したC1-12アルキルで任意に置換する;
それぞれのR13は、独立して、ハロ、シアノ、ニトロ、オキソ、-OR30、-SR30、-SF5、-NR30R31、C1-12アルキル、C2-12アルケニル、C2-12アルキニル、C3-10シクロアルキル、ヘテロシクリル、アリール、ヘテロアリール、-C(O)R30、-C(O)OR30、-OC(O)OR30、-OC(O)R30、-C(O)NR30R31、-OC(O)NR30R31、-NR30C(O)NR30R31、-S(O)1-2R30、-S(O)1-2NR30、-NR30S(O)1-2R31、-NR30S(O)1-2NR30R31、-NR30C(O)R31、または、-NR30C(=O)OR31あり、式中、R13のそれぞれのアルキル、アルケニル、アルキニル、シクロアルキル、ヘテロシクリル、アリール、及び、ヘテロアリールを、独立して、1~3個のハロ、または、独立して、1~3個のオキソ、ハロ、ヒドロキシル、もしくは、アミノで任意に置換したC1-12アルキルで任意に置換する;
それぞれのR14は、独立して、ハロ、シアノ、-NR6R7、C1-6アルキル、C1-6アルコキシ、または、C1-6ハロアルキルである、または、2つのR14が、それらが結合する原子と共に互いに結合して、環またはC=Oを形成する;
それぞれのR15は、独立して、水素、C1-6アルキル、または、C1-6ハロアルキルである;
それぞれのR20、及び、R21は、独立して、水素である、または、独立して、1~3個のオキソ、ハロ、ヒドロキシル、もしくは、アミノで任意に置換したC1-12アルキルである;または、R20、及び、R21は、それらが結合する原子と共に互いに結合して、独立して、1~3個のハロ、または、独立して、1~3個のオキソ、ハロ、ヒドロキシル、もしくは、アミノで任意に置換したC1-12アルキルで任意に置換したヘテロシクリルを形成する;及び
それぞれのR30、及び、R31は、独立して、水素である、または、独立して、1~3個のオキソ、ハロ、ヒドロキシル、もしくは、アミノで任意に置換したC1-12アルキルである;または、R30、及び、R31は、それらが結合する原子と共に互いに結合して、独立して、1~3個のハロ、または、独立して、1~3個のオキソ、ハロ、ヒドロキシル、もしくは、アミノで任意に置換したC1-12アルキルで任意に置換したヘテロシクリルを形成する。
本明細書では、真核生物開始因子2Bのモジュレーターである化合物を提供する。特定の実施形態では、式Iの化合物:
環Aは、シクロアルキル、または、ヘテロシクリルである、ただし、環Aは、ビシクロ[1.1.1]ペンタン、または、ビシクロ[2.1.1]ヘキサンではない;それぞれを、1~6個のR14で任意に置換する;
環Bは、5員または6員のヘテロアリール、または、フェニルである;それぞれを、1~3個のR13で任意に置換する;
Q1及びQ2は、それぞれ、独立して、O、S、または、NR15である;
Lは、C1-6アルキレンリンカーであり、独立して、ハロ、シアノ、ニトロ、-OR6、-SR6、-SF5、-NR6R7、C1-6アルキル、C2-6アルケニル、C2-6アルキニル、-C(O)R6、-C(O)OR6、-OC(O)OR6、-OC(O)R6、-C(O)NR6R7、-OC(O)NR6R7、-NR6C(O)NR7R8、-S(O)1-2R6、-S(O)1-2NR6、-NR6S(O)1-2R7、-NR6S(O)1-2NR7R8、-NR6C(O)R7、及び、-NR6C(O)OR7から選択する、1~3個の置換基で任意に置換する;
zは、0または1である;
X1は、O、NR9、または、結合である;
R1は、水素、C1-12アルキル、C2-12アルケニル、C2-12アルキニル、C3-10シクロアルキル、または、ヘテロシクリルであり、それらの各々を、水素以外は、1~3個のR11で任意に置換する;
R2は、C1-6ハロアルキルである;
R3は、水素、C1-12アルキル、C2-12アルケニル、C2-12アルキニル、C3-10シクロアルキル、ヘテロシクリル、アリール、または、ヘテロアリールであり、それらの各々を、水素以外は、1~5個のR11で任意に置換する;
R4及びR5は、独立して、水素、C1-12アルキル、C2-12アルケニル、または、C2-12アルキニルであり、それらの各々を、水素以外は、独立して、1~5個のR11で任意に置換する;
または、R3、及び、R4は、それらが結合している原子と共に互いに結合してC3-10シクロアルキル、または、ヘテロシクリルを形成しており、それらの各々を、1~5個のR11で任意に置換する;
または、R4、及び、R5は、それらが結合している原子と共に互いに結合してC3-10シクロアルキル、または、ヘテロシクリルを形成しており、それらの各々を、1~5個のR11で任意に置換する;
R6、R7、及び、R8のそれぞれは、独立して、水素、C1-12アルキル、C2-12アルケニル、C2-12アルキニル、C3-10シクロアルキル、ヘテロシクリル、アリール、ヘテロアリール、-C(O)R20、-C(O)OR20、-C(O)NR20R21、-S(O)1-2R20、または、-S(O)1-2NR20であり、式中、R6、R7、及び、R8のそれぞれのアルキル、アルケニル、アルキニル、シクロアルキル、ヘテロシクリル、アリール、及び、ヘテロアリールを、独立して、1~5個のR12で任意に置換する;または、R6、R7、及び、R8の2つが、それらが結合する原子と共に互いに結合して、独立して、1個~3個のハロ、オキソ、または、独立して、1個~3個のオキソ、ハロ、ヒドロキシル、もしくは、アミノで任意に置換したC1-12アルキルで任意に置換したヘテロシクリルを形成している;
R9は、水素、C1-12アルキル、C2-12アルケニル、C2-12アルキニル、C3-10シクロアルキル、または、ヘテロシクリルであり、それらの各々を、水素以外は、1~3個のR11で任意に置換する;
それぞれのR11は、独立して、ハロ、シアノ、ニトロ、オキソ、-OR6、-SR6、-SF5、-NR6R7、C1-12アルキル、C2-12アルケニル、C2-12アルキニル、C3-10シクロアルキル、ヘテロシクリル、アリール、ヘテロアリール、-C(O)R6、-C(O)OR6、-OC(O)OR6、-OC(O)R6、-C(O)NR6R7、-OC(O)NR6R7、-NR6C(O)NR7R8、-S(O)1-2R6、-S(O)1-2NR6、-NR6S(O)1-2R7、-NR6S(O)1-2NR7R8、-NR6C(O)R7、または、-NR6C(O)OR7であり、式中、R11のそれぞれのアルキル、アルケニル、アルキニル、シクロアルキル、ヘテロシクリル、アリール、及び、ヘテロアリールを、独立して、1~5個のR12で任意に置換する;
それぞれのR12は、独立して、ハロ、シアノ、ニトロ、オキソ、-OR30、-SR30、-SF5、-NR30R31、C1-12アルキル、C2-12アルケニル、C2-12アルキニル、C3-10シクロアルキル、ヘテロシクリル、アリール、ヘテロアリール、-C(O)R30、-C(O)OR30、-OC(O)OR30、-OC(O)R30、-C(O)NR30R31、-OC(O)NR30R31、-NR30C(O)NR30R31、-S(O)1-2R30、-S(O)1-2NR30、-NR30S(O)1-2R31、-NR30S(O)1-2NR30R31、-NR30C(O)R31、または、-NR30C(=O)OR31であり、式中、R12のそれぞれのアルキル、アルケニル、アルキニル、シクロアルキル、ヘテロシクリル、アリール、及び、ヘテロアリールを、独立して、1~3個のハロ、または、独立して、1~3個のオキソ、ハロ、ヒドロキシル、もしくは、アミノで任意に置換したC1-12アルキルで任意に置換する;
それぞれのR13は、独立して、ハロ、シアノ、ニトロ、オキソ、-OR30、-SR30、-SF5、-NR30R31、C1-12アルキル、C2-12アルケニル、C2-12アルキニル、C3-10シクロアルキル、ヘテロシクリル、アリール、ヘテロアリール、-C(O)R30、-C(O)OR30、-OC(O)OR30、-OC(O)R30、-C(O)NR30R31、-OC(O)NR30R31、-NR30C(O)NR30R31、-S(O)1-2R30、-S(O)1-2NR30、-NR30S(O)1-2R31、-NR30S(O)1-2NR30R31、-NR30C(O)R31、または、-NR30C(=O)OR31あり、式中、R13のそれぞれのアルキル、アルケニル、アルキニル、シクロアルキル、ヘテロシクリル、アリール、及び、ヘテロアリールを、独立して、1~3個のハロ、または、独立して、1~3個のオキソ、ハロ、ヒドロキシル、もしくは、アミノで任意に置換したC1-12アルキルで任意に置換する;
それぞれのR14は、独立して、ハロ、シアノ、-NR6R7、C1-6アルキル、C1-6アルコキシ、または、C1-6ハロアルキルである、または、2つのR14が、それらが結合する原子と共に互いに結合して、環またはC=Oを形成する;
それぞれのR15は、独立して、水素、C1-6アルキル、または、C1-6ハロアルキルである;
それぞれのR20、及び、R21は、独立して、水素である、または、独立して、1~3個のオキソ、ハロ、ヒドロキシル、もしくは、アミノで任意に置換したC1-12アルキルである;または、R20、及び、R21は、それらが結合する原子と共に互いに結合して、独立して、1~3個のハロ、または、独立して、1~3個のオキソ、ハロ、ヒドロキシル、もしくは、アミノで任意に置換したC1-12アルキルで任意に置換したヘテロシクリルを形成する;及び
それぞれのR30、及び、R31は、独立して、水素である、または、独立して、1~3個のオキソ、ハロ、ヒドロキシル、もしくは、アミノで任意に置換したC1-12アルキルである;または、R30、及び、R31は、それらが結合する原子と共に互いに結合して、独立して、1~3個のハロ、または、独立して、1~3個のオキソ、ハロ、ヒドロキシル、もしくは、アミノで任意に置換したC1-12アルキルで任意に置換したヘテロシクリルを形成する。
特定の実施形態では、環Aは、C3-10シクロアルキル、または、ヘテロシクロアルキルであり、ただし、環Aは、ビシクロ[1.1.1]ペンタン、または、ビシクロ[2.1.1]ヘキサンではない;それぞれは、1~6個のR14で任意に置換する。
特定の実施形態では、環Aは、単環式シクロアルキル、縮合二環式シクロアルキル、または、スピロ二環式シクロアルキルであり、それぞれを、1~6個のR14で任意に置換する。特定の実施形態では、環Aは、単環式C3-8シクロアルキル、縮合二環式C4-10シクロアルキル、または、スピロ二環式C4-10シクロアルキルであり、それぞれを、1~6個のR14で任意に置換する。
本明細書に開示した実施形態では、環Aは、任意に置換したビシクロ[1.1.1]ペンタン、または、任意に置換したビシクロ[2.1.1]ヘキサンではなく、用語「ビシクロ[1.1.1]ペンタン」及び、「ビシクロ[2.1.1]ヘキサン」を、それぞれ、
で表す。
特定の実施形態では、環Aは、ヘテロシクリルであり、それぞれを、1~6個のR14で任意に置換する。
特定の実施形態では、それぞれのR14は、独立して、ハロ、シアノ、-NR6R7、C1-6アルキル、または、C1-6ハロアルキルである。
特定の実施形態では、式IIの化合物:
または、医薬として許容可能なその塩、同位体濃縮類似体、立体異性体、立体異性体の混合物、または、プロドラッグを提供しており、式中:
pは、0、1、2、3、4、5、または、6である;
環Bは、5員または6員のヘテロアリールまたはフェニルであり、それぞれを、1~3個のR13で任意に置換する;
Q1及びQ2は、それぞれ、独立して、O、S、またはNR15である;
Lは、C1-6アルキレンリンカーであり、独立して、ハロ、シアノ、ニトロ、-OR6、-SR6、-SF5、-NR6R7、C1-6アルキル、C2-6アルケニル、C2-6アルキニル、-C(O)R6、-C(O)OR6、-OC(O)OR6、-OC(O)R6、-C(O)NR6R7、-OC(O)NR6R7、-NR6C(O)NR7R8、-S(O)1-2R6、-S(O)1-2NR6、-NR6S(O)1-2R7、-NR6S(O)1-2NR7R8、-NR6C(O)R7、及び、-NR6C(O)OR7から選択する1~3個の置換基で任意に置換する;
zは、0または1である;
X1は、O、NR9、または、結合である;
R1は、水素、C1-12アルキル、C2-12アルケニル、C2-12アルキニル、C3-10シクロアルキル、または、ヘテロシクリルであり、それらの各々を、水素以外は、1~3個のR11で任意に置換する;
R2は、C1-6ハロアルキルである;
R3は、水素、C1-12アルキル、C2-12アルケニル、C2-12アルキニル、C3-10シクロアルキル、ヘテロシクリル、アリール、または、ヘテロアリールであり、それらの各々を、水素以外は、1~5個のR11で任意に置換する;
R4及びR5は、独立して、水素、C1-12アルキル、C2-12アルケニル、または、C2-12アルキニルであり、それらの各々を、水素以外は、1~5個のR11で独立して任意に置換する;
または、R3、及び、R4は、それらが結合している原子と共に互いに結合してC3-10シクロアルキル、または、ヘテロシクリルを形成しており、それらの各々を、1~5個のR11で任意に置換する;
または、R4、及び、R5は、それらが結合している原子と共に互いに結合してC3-10シクロアルキル、ヘテロシクリルを形成しており、それらの各々を、1~5個のR11で任意に置換する;
R6、R7、及び、R8のそれぞれは、独立して、水素、C1-12アルキル、C2-12アルケニル、C2-12アルキニル、C3-10シクロアルキル、ヘテロシクリル、アリール、ヘテロアリール、-C(O)R20、-C(O)OR20、-C(O)NR20R21、-S(O)1-2R20、または、-S(O)1-2NR20であり、式中、R6、R7、及び、R8のそれぞれのアルキル、アルケニル、アルキニル、シクロアルキル、ヘテロシクリル、アリール、及び、ヘテロアリールを、独立して、1~5個のR12で任意に置換する;または、R6、R7、及び、R8の2つが、それらが結合する原子と共に互いに結合して、独立して、1個~3個のハロ、オキソ、または、独立して、1個~3個のオキソ、ハロ、ヒドロキシル、もしくは、アミノで任意に置換したC1-12アルキルで任意に置換したヘテロシクリルを形成する;
R9は、水素、C1-12アルキル、C2-12アルケニル、C2-12アルキニル、C3-10シクロアルキル、または、ヘテロシクリルであり、それらの各々を、水素以外は、1~3個のR11で任意に置換する;
それぞれのR11は、独立して、ハロ、シアノ、ニトロ、オキソ、-OR6、-SR6、-SF5、-NR6R7、C1-12アルキル、C2-12アルケニル、C2-12アルキニル、C3-10シクロアルキル、ヘテロシクリル、アリール、ヘテロアリール、-C(O)R6、-C(O)OR6、-OC(O)OR6、-OC(O)R6、-C(O)NR6R7、-OC(O)NR6R7、-NR6C(O)NR7R8、-S(O)1-2R6、-S(O)1-2NR6、-NR6S(O)1-2R7、-NR6S(O)1-2NR7R8、-NR6C(O)R7、または、-NR6C(O)OR7であり、式中、R11のそれぞれのアルキル、アルケニル、アルキニル、シクロアルキル、ヘテロシクリル、アリール、及び、ヘテロアリールを、独立して、1~5個のR12で任意に置換する;
それぞれのR12は、独立して、ハロ、シアノ、ニトロ、オキソ、-OR30、-SR30、-SF5、-NR30R31、C1-12アルキル、C2-12アルケニル、C2-12アルキニル、C3-10シクロアルキル、ヘテロシクリル、アリール、ヘテロアリール、-C(O)R30、-C(O)OR30、-OC(O)OR30、-OC(O)R30、-C(O)NR30R31、-OC(O)NR30R31、-NR30C(O)NR30R31、-S(O)1-2R30、-S(O)1-2NR30、-NR30S(O)1-2R31、-NR30S(O)1-2NR30R31、-NR30C(O)R31、または、-NR30C(=O)OR31であり、式中、R12のそれぞれのアルキル、アルケニル、アルキニル、シクロアルキル、ヘテロシクリル、アリール、及び、ヘテロアリールを、独立して、1~3個のハロ、または、独立して、1~3個のオキソ、ハロ、ヒドロキシル、もしくは、アミノで任意に置換したC1-12アルキルで任意に置換する;
それぞれのR13は、独立して、ハロ、シアノ、ニトロ、オキソ、-OR30、-SR30、-SF5、-NR30R31、C1-12アルキル、C2-12アルケニル、C2-12アルキニル、C3-10シクロアルキル、ヘテロシクリル、アリール、ヘテロアリール、-C(O)R30、-C(O)OR30、-OC(O)OR30、-OC(O)R30、-C(O)NR30R31、-OC(O)NR30R31、-NR30C(O)NR30R31、-S(O)1-2R30、-S(O)1-2NR30、-NR30S(O)1-2R31、-NR30S(O)1-2NR30R31、-NR30C(O)R31、または、-NR30C(=O)OR31あり、式中、R13のそれぞれのアルキル、アルケニル、アルキニル、シクロアルキル、ヘテロシクリル、アリール、及び、ヘテロアリールを、独立して、1~3個のハロ、または、独立して、1~3個のオキソ、ハロ、ヒドロキシル、もしくは、アミノで任意に置換したC1-12アルキルで任意に置換する;
それぞれのR14は、独立して、ハロ、シアノ、-NR6R7、C1-6アルキル、C1-6アルコキシ、または、C1-6ハロアルキルである、または、2つのR14が、それらが結合する原子と共に互いに結合して、環またはC=Oを形成する;
それぞれのR15は、独立して、水素、C1-6アルキル、または、C1-6ハロアルキルである;
それぞれのR20、及び、R21は、独立して、水素である、または、独立して、1~3個のオキソ、ハロ、ヒドロキシル、もしくは、アミノで任意に置換したC1-12アルキルである;または、R20、及び、R21は、それらが結合する原子と共に互いに結合して、独立して、1~3個のハロ、または、独立して、1~3個のオキソ、ハロ、ヒドロキシル、もしくは、アミノで任意に置換したC1-12アルキルで任意に置換したヘテロシクリルを形成する;及び
それぞれのR30、及び、R31は、独立して、水素である、または、独立して、1~3個のオキソ、ハロ、ヒドロキシル、もしくは、アミノで任意に置換したC1-12アルキルである;または、R30、及び、R31は、それらが結合する原子と共に互いに結合して、独立して、1~3個のハロ、または、独立して、1~3個のオキソ、ハロ、ヒドロキシル、もしくは、アミノで任意に置換したC1-12アルキルで任意に置換したヘテロシクリルを形成する。
pは、0、1、2、3、4、5、または、6である;
環Bは、5員または6員のヘテロアリールまたはフェニルであり、それぞれを、1~3個のR13で任意に置換する;
Q1及びQ2は、それぞれ、独立して、O、S、またはNR15である;
Lは、C1-6アルキレンリンカーであり、独立して、ハロ、シアノ、ニトロ、-OR6、-SR6、-SF5、-NR6R7、C1-6アルキル、C2-6アルケニル、C2-6アルキニル、-C(O)R6、-C(O)OR6、-OC(O)OR6、-OC(O)R6、-C(O)NR6R7、-OC(O)NR6R7、-NR6C(O)NR7R8、-S(O)1-2R6、-S(O)1-2NR6、-NR6S(O)1-2R7、-NR6S(O)1-2NR7R8、-NR6C(O)R7、及び、-NR6C(O)OR7から選択する1~3個の置換基で任意に置換する;
zは、0または1である;
X1は、O、NR9、または、結合である;
R1は、水素、C1-12アルキル、C2-12アルケニル、C2-12アルキニル、C3-10シクロアルキル、または、ヘテロシクリルであり、それらの各々を、水素以外は、1~3個のR11で任意に置換する;
R2は、C1-6ハロアルキルである;
R3は、水素、C1-12アルキル、C2-12アルケニル、C2-12アルキニル、C3-10シクロアルキル、ヘテロシクリル、アリール、または、ヘテロアリールであり、それらの各々を、水素以外は、1~5個のR11で任意に置換する;
R4及びR5は、独立して、水素、C1-12アルキル、C2-12アルケニル、または、C2-12アルキニルであり、それらの各々を、水素以外は、1~5個のR11で独立して任意に置換する;
または、R3、及び、R4は、それらが結合している原子と共に互いに結合してC3-10シクロアルキル、または、ヘテロシクリルを形成しており、それらの各々を、1~5個のR11で任意に置換する;
または、R4、及び、R5は、それらが結合している原子と共に互いに結合してC3-10シクロアルキル、ヘテロシクリルを形成しており、それらの各々を、1~5個のR11で任意に置換する;
R6、R7、及び、R8のそれぞれは、独立して、水素、C1-12アルキル、C2-12アルケニル、C2-12アルキニル、C3-10シクロアルキル、ヘテロシクリル、アリール、ヘテロアリール、-C(O)R20、-C(O)OR20、-C(O)NR20R21、-S(O)1-2R20、または、-S(O)1-2NR20であり、式中、R6、R7、及び、R8のそれぞれのアルキル、アルケニル、アルキニル、シクロアルキル、ヘテロシクリル、アリール、及び、ヘテロアリールを、独立して、1~5個のR12で任意に置換する;または、R6、R7、及び、R8の2つが、それらが結合する原子と共に互いに結合して、独立して、1個~3個のハロ、オキソ、または、独立して、1個~3個のオキソ、ハロ、ヒドロキシル、もしくは、アミノで任意に置換したC1-12アルキルで任意に置換したヘテロシクリルを形成する;
R9は、水素、C1-12アルキル、C2-12アルケニル、C2-12アルキニル、C3-10シクロアルキル、または、ヘテロシクリルであり、それらの各々を、水素以外は、1~3個のR11で任意に置換する;
それぞれのR11は、独立して、ハロ、シアノ、ニトロ、オキソ、-OR6、-SR6、-SF5、-NR6R7、C1-12アルキル、C2-12アルケニル、C2-12アルキニル、C3-10シクロアルキル、ヘテロシクリル、アリール、ヘテロアリール、-C(O)R6、-C(O)OR6、-OC(O)OR6、-OC(O)R6、-C(O)NR6R7、-OC(O)NR6R7、-NR6C(O)NR7R8、-S(O)1-2R6、-S(O)1-2NR6、-NR6S(O)1-2R7、-NR6S(O)1-2NR7R8、-NR6C(O)R7、または、-NR6C(O)OR7であり、式中、R11のそれぞれのアルキル、アルケニル、アルキニル、シクロアルキル、ヘテロシクリル、アリール、及び、ヘテロアリールを、独立して、1~5個のR12で任意に置換する;
それぞれのR12は、独立して、ハロ、シアノ、ニトロ、オキソ、-OR30、-SR30、-SF5、-NR30R31、C1-12アルキル、C2-12アルケニル、C2-12アルキニル、C3-10シクロアルキル、ヘテロシクリル、アリール、ヘテロアリール、-C(O)R30、-C(O)OR30、-OC(O)OR30、-OC(O)R30、-C(O)NR30R31、-OC(O)NR30R31、-NR30C(O)NR30R31、-S(O)1-2R30、-S(O)1-2NR30、-NR30S(O)1-2R31、-NR30S(O)1-2NR30R31、-NR30C(O)R31、または、-NR30C(=O)OR31であり、式中、R12のそれぞれのアルキル、アルケニル、アルキニル、シクロアルキル、ヘテロシクリル、アリール、及び、ヘテロアリールを、独立して、1~3個のハロ、または、独立して、1~3個のオキソ、ハロ、ヒドロキシル、もしくは、アミノで任意に置換したC1-12アルキルで任意に置換する;
それぞれのR13は、独立して、ハロ、シアノ、ニトロ、オキソ、-OR30、-SR30、-SF5、-NR30R31、C1-12アルキル、C2-12アルケニル、C2-12アルキニル、C3-10シクロアルキル、ヘテロシクリル、アリール、ヘテロアリール、-C(O)R30、-C(O)OR30、-OC(O)OR30、-OC(O)R30、-C(O)NR30R31、-OC(O)NR30R31、-NR30C(O)NR30R31、-S(O)1-2R30、-S(O)1-2NR30、-NR30S(O)1-2R31、-NR30S(O)1-2NR30R31、-NR30C(O)R31、または、-NR30C(=O)OR31あり、式中、R13のそれぞれのアルキル、アルケニル、アルキニル、シクロアルキル、ヘテロシクリル、アリール、及び、ヘテロアリールを、独立して、1~3個のハロ、または、独立して、1~3個のオキソ、ハロ、ヒドロキシル、もしくは、アミノで任意に置換したC1-12アルキルで任意に置換する;
それぞれのR14は、独立して、ハロ、シアノ、-NR6R7、C1-6アルキル、C1-6アルコキシ、または、C1-6ハロアルキルである、または、2つのR14が、それらが結合する原子と共に互いに結合して、環またはC=Oを形成する;
それぞれのR15は、独立して、水素、C1-6アルキル、または、C1-6ハロアルキルである;
それぞれのR20、及び、R21は、独立して、水素である、または、独立して、1~3個のオキソ、ハロ、ヒドロキシル、もしくは、アミノで任意に置換したC1-12アルキルである;または、R20、及び、R21は、それらが結合する原子と共に互いに結合して、独立して、1~3個のハロ、または、独立して、1~3個のオキソ、ハロ、ヒドロキシル、もしくは、アミノで任意に置換したC1-12アルキルで任意に置換したヘテロシクリルを形成する;及び
それぞれのR30、及び、R31は、独立して、水素である、または、独立して、1~3個のオキソ、ハロ、ヒドロキシル、もしくは、アミノで任意に置換したC1-12アルキルである;または、R30、及び、R31は、それらが結合する原子と共に互いに結合して、独立して、1~3個のハロ、または、独立して、1~3個のオキソ、ハロ、ヒドロキシル、もしくは、アミノで任意に置換したC1-12アルキルで任意に置換したヘテロシクリルを形成する。
特定の実施形態では、zが0であれば、X1は、Oではない。
特定の実施形態では、それぞれのR14は、独立して、水素、ハロ、またはC1-6アルコキシである。
特定の実施形態では、pは、0、1、2、3、4、または、5である。特定の実施形態では、pは、0、1、2、3、または、4である。特定の実施形態では、pは、0、1、2、または、3である。特定の実施形態では、pは、0、1、または、2である。特定の実施形態では、pは、1である。特定の実施形態では、pは、0である。
特定の実施形態では、2つのR14は、それらが結合する原子と共に互いに結合して、C3-6シクロアルキル環を形成する。特定の実施形態では、2つのR14は、それらが結合する原子と共に互いに結合して、C3シクロアルキル環を形成する。
特定の実施形態では、2つのR14が互いに結合して、エチレン架橋を形成する。特定の実施形態では、2つのR14が互いに結合して、メチレン架橋を形成する。
特定の実施形態では、式IIAの化合物:
または、医薬として許容可能なその塩、同位体濃縮類似体、立体異性体、立体異性体の混合物、または、プロドラッグを提供しており、式中:
z、R1、R2、R3、R4、R5、環B、Q1、Q2、L、及び、X1は、本明細書で定義した通りであり、R24及びR25は、それぞれ、独立して、水素、ハロ、または、C1-6アルコキシである。特定の実施形態では、R24及びR25は、それぞれ、独立して、ハロである。特定の実施形態では、R24及びR25は、フルオロである。特定の実施形態では、R24及びR25は、独立して、水素、または、C1-6アルコキシである。特定の実施形態では、R24及びR25の一方は水素であり、かつ、他方はメトキシである。
z、R1、R2、R3、R4、R5、環B、Q1、Q2、L、及び、X1は、本明細書で定義した通りであり、R24及びR25は、それぞれ、独立して、水素、ハロ、または、C1-6アルコキシである。特定の実施形態では、R24及びR25は、それぞれ、独立して、ハロである。特定の実施形態では、R24及びR25は、フルオロである。特定の実施形態では、R24及びR25は、独立して、水素、または、C1-6アルコキシである。特定の実施形態では、R24及びR25の一方は水素であり、かつ、他方はメトキシである。
特定の実施形態では、式IIBの化合物:
または、医薬として許容可能なその塩、同位体濃縮類似体、立体異性体、立体異性体の混合物、または、プロドラッグを提供しており、式中:
z、R1、R2、R3、R4、R5、環B、Q1、Q2、L、及び、X1は、本明細書で定義した通りであり、R26及びR27は、それぞれ、独立して、水素、ハロ、または、C1-6アルコキシである。特定の実施形態では、R26及びR27は、それぞれ、独立して、ハロである。特定の実施形態では、R26及びR27は、フルオロである。特定の実施形態では、R26及びR27は、独立して、水素、または、C1-6アルコキシである。特定の実施形態では、R26及びR27は水素であり、かつ、他方はメトキシである。
z、R1、R2、R3、R4、R5、環B、Q1、Q2、L、及び、X1は、本明細書で定義した通りであり、R26及びR27は、それぞれ、独立して、水素、ハロ、または、C1-6アルコキシである。特定の実施形態では、R26及びR27は、それぞれ、独立して、ハロである。特定の実施形態では、R26及びR27は、フルオロである。特定の実施形態では、R26及びR27は、独立して、水素、または、C1-6アルコキシである。特定の実施形態では、R26及びR27は水素であり、かつ、他方はメトキシである。
特定の実施形態では、式IIC:
または、医薬として許容可能なその塩、同位体濃縮類似体、立体異性体、立体異性体の混合物、または、プロドラッグを提供しており、式中:
z、R1、R2、R3、R4、R5、環B、Q1、Q2、L、及び、X1は、本明細書で定義した通りであり、R24及びR25は、それぞれ、独立して、水素、ハロ、または、C1-6アルコキシである。特定の実施形態では、R24及びR25は、それぞれ、独立して、ハロである。特定の実施形態では、R24及びR25は、フルオロである。特定の実施形態では、R24及びR25は、独立して、水素、または、C1-6アルコキシである。特定の実施形態では、R24及びR25の一方は水素であり、かつ、他方はメトキシである。
z、R1、R2、R3、R4、R5、環B、Q1、Q2、L、及び、X1は、本明細書で定義した通りであり、R24及びR25は、それぞれ、独立して、水素、ハロ、または、C1-6アルコキシである。特定の実施形態では、R24及びR25は、それぞれ、独立して、ハロである。特定の実施形態では、R24及びR25は、フルオロである。特定の実施形態では、R24及びR25は、独立して、水素、または、C1-6アルコキシである。特定の実施形態では、R24及びR25の一方は水素であり、かつ、他方はメトキシである。
特定の実施形態では、式IID:
または、医薬として許容可能なその塩、同位体濃縮類似体、立体異性体、立体異性体の混合物、または、プロドラッグを提供しており、式中:z、R1、R2、R3、R4、R5、環B、Q1、Q2、L、及び、X1は、本明細書で定義した通りであり、R26及びR27は、それぞれ、独立して、水素、ハロ、または、C1-6アルコキシである。特定の実施形態では、R26及びR27は、それぞれ、独立して、ハロである。特定の実施形態では、R26及びR27は、フルオロである。特定の実施形態では、R26及びR27は、独立して、水素、または、C1-6アルコキシである。特定の実施形態では、R26及びR27は水素であり、かつ、他方はメトキシである。
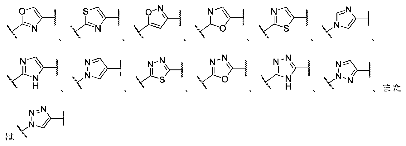
特定の実施形態では、環Bは、任意に置換した5員のC2-4ヘテロアリール環である。特定の実施形態では、環Bは、1~3個のR13で任意に置換した5員のC2-4ヘテロアリール環である。
特定の実施形態では、環Bは、1~3個の窒素環原子を有する、任意に置換した5員のC2-4ヘテロアリール環である。特定の実施形態では、環Bは、1~3個のR13で任意に置換した1~3個の窒素環原子を有する5員のC2-4ヘテロアリール環である。
特定の実施形態では、環Bは、任意に置換したトリアゾリル、オキサゾリル、イミダゾリル、オキサジアゾリル、または、イソキサゾリルである。特定の実施形態では、環Bは、1~3個のR13で任意に置換したトリアゾリル、オキサゾリル、イミダゾリル、オキサジアゾリル、または、イソキサゾリルである。
特定の実施形態では、環Bは、1~3個のR13で任意に置換したフェニル環である。
特定の実施形態では、環Bは、1~3個のR13で任意に置換しており、それぞれのR13は、独立して、ハロ、シアノ、オキソ、C1-6アルキル、C1-6アルコキシ、C1-6ハロアルキル、または、C1-6ハロアルコキシから選択する。
特定の実施形態では、R2は、-CHF2、-CF3、または、-CH2CF3である。
特定の実施形態では、Q1は、Oである。
特定の実施形態では、Q2は、Oである。
特定の実施形態では、Q1は、NR15であり、かつ、Q2は、Oである。
特定の実施形態では、Q1及びQ2は、それぞれ、Oである。
特定の実施形態では、Lは、C1-6アルキレンリンカーであり、1個または2個のメチルで任意に置換しており、そして、1~3個のハロで任意に置換する。特定の実施形態では、Lは、C1-6アルキレンリンカーであり、1~3個のハロで任意に置換する。
特定の実施形態では、Lは、エチレンリンカーであり、1個または2個のメチルで任意に置換しており、そして、1~3個のハロで任意に置換する。
特定の実施形態では、Lは、エチレンリンカーであり、1~3個のハロで任意に置換する。
特定の実施形態では、Lは、-CH2CH2-である。
特定の実施形態では、部分-Q1-L-Q2-R2は、-OCH2CH2OCH2CF3である。部分-Q1-L-Q2-R2は、-OCH2CH2OCF3である。部分-Q1-L-Q2-R2は、-NR15CH2CH2OCF3である。
特定の実施形態では、R4及びR5は、水素である。
特定の実施形態では、R1は、水素である。
特定の実施形態では、X1は、Oである。
特定の実施形態では、X1は、結合である。
特定の実施形態では、X1は、OまたはNR9である。
特定の実施形態では、X1は、NR9である。特定の実施形態では、R9は、水素、C1-12アルキル、C2-12アルケニル、C2-12アルキニル、C3-10シクロアルキル、または、ヘテロシクリルであり、それらの各々を、水素以外は、独立して、1~3個のハロ、オキソ、アセチル、アミノ、ヒドロキシル、または、C1-12アルキルで任意に置換する。
特定の実施形態では、R3は、C1-12アルキル、C2-12アルケニル、C2-12アルキニル、C3-10シクロアルキル、ヘテロシクリル、アリール、または、ヘテロアリールであり、それらの各々を、1~5個のR11で任意に置換する。特定の実施形態では、R3は、C1-12アルキル、C2-12アルケニル、C2-12アルキニル、C3-10シクロアルキル、ヘテロシクリル、アリール、または、ヘテロアリールであり、それらの各々を、1~3個のR11で任意に置換する。
特定の実施形態では、R3は、水素、C1-12アルキル、C2-12アルケニル、C2-12アルキニル、C3-10シクロアルキル、4~15員のヘテロシクリル、C6-10アリール、または、5~15員ヘテロアリールであり、それらの各々を、水素以外は、1~5個のR11で任意に置換する。特定の実施形態では、R3は、水素、C1-12アルキル、C2-12アルケニル、C2-12アルキニル、C3-10シクロアルキル、4~15員のヘテロシクリル、C6-10アリール、または、5~15員ヘテロアリールであり、それらの各々を、水素以外は、1~3個のR11で任意に置換する。
特定の実施形態では、R3は、C3-10シクロアルキル、ヘテロシクリル、アリール、または、ヘテロアリールであり、それらの各々を、1~5個のR11で任意に置換する。特定の実施形態では、R3は、C3-10シクロアルキル、ヘテロシクリル、アリール、または、ヘテロアリールであり、それらの各々を、1~3個のR11で任意に置換する。
特定の実施形態では、R3は、C3-10シクロアルキル、4~15員のヘテロシクリル、アリール、または、5~15員のヘテロアリールであり、それらの各々を、1~5個のR11で任意に置換する。特定の実施形態では、R3は、C3-10シクロアルキル、4~15員のヘテロシクリル、アリール、または、5~15員ヘテロアリールであり、それらの各々を、1~3個のR11で任意に置換する。
特定の実施形態では、R3は、C3-10シクロアルキル、アリール、または、ヘテロアリールであり、それらの各々を、1~5個のR11で任意に置換する。特定の実施形態では、R3は、C3-10シクロアルキル、アリール、または、ヘテロアリールであり、それらの各々を、1~3個のR11で任意に置換する。
特定の実施形態では、R3は、アリール、または、ヘテロアリールであり、それらの各々を、1~5個のR11で任意に置換する。特定の実施形態では、R3は、アリール、または、ヘテロアリールであり、それらの各々を、1~3個のR11で任意に置換する。
特定の実施形態では、R3は、アリール、または、ヘテロアリールであり、それらの各々を、独立して、ハロ、シアノ、C1-12ハロアルキル、及び、C1-12ハロアルコキシから選択する1~5個の置換基で任意に置換する。特定の実施形態では、R3は、アリール、または、ヘテロアリールであり、それらの各々を、独立して、ハロ、シアノ、C1-12ハロアルキル、及び、C1-12ハロアルコキシから選択する1~3個の置換基で任意に置換する。
特定の実施形態では、R3は、アリール、または、ヘテロアリールであり、それらの各々を、1~3個のクロロ、フルオロ、ブロモ、-CF3、または、それらの組み合わせで任意に置換する。特定の実施形態では、R3は、アリール、または、ヘテロアリールであり、それらの各々を、1~3個のクロロ、フルオロ、-CF3、または、それらの組み合わせで任意に置換する。
特定の実施形態では、R3は、任意に置換したフェニルである。特定の実施形態では、R3は、1~5個のR11で任意に置換したフェニルである。特定の実施形態では、R3は、1~3個のR11で任意に置換したフェニルである。
特定の実施形態では、R3は、任意に置換したヘテロアリールである。特定の実施形態では、R3は、1~5個のR11で任意に置換したヘテロアリールである。特定の実施形態では、R3は、1~3個のR11で任意に置換したヘテロアリールである。
特定の実施形態では、R3は、シクロブチル、ピリジニル、トリアゾリル、または、フェニルであり、それらの各々を、1~5個のR11で任意に置換する。特定の実施形態では、R3は、シクロブチル、ピリジニル、トリアゾリル、または、フェニルであり、それらの各々を、1~3個のR11で任意に置換する。
特定の実施形態では、R3は、シクロブチル、トリアゾリル、または、フェニルであり、それらの各々を、1~3個のR11で任意に置換する。
特定の実施形態では、少なくとも1つのR11は、ハロである。
特定の実施形態では、少なくとも1つのR11は、C1-6ハロアルキルである。
特定の実施形態では、少なくとも1つのR11は、-CF3である。
特定の実施形態では、少なくとも1つのR11は、-CHF2である。
特定の実施形態では、少なくとも1つのR11は、-OCF3である。
特定の実施形態では、少なくとも1つのR11は、-OCHF2である。
特定の実施形態では、R3は、独立して、1~5個のハロ、シアノ、1~3個のハロで任意に置換したC1-12アルキル、または、1~3個のハロで任意に置換したC1-12アルコキシで任意に置換したフェニルである。特定の実施形態では、R3は、独立して、1~5個のハロ、シアノ、1~3個のハロで任意に置換したC1-12アルキル、または、1~3個のハロで任意に置換したC1-12アルコキシで任意に置換したフェニルである。
特定の実施形態では、R3は、独立して、ハロ、シアノ、C1-12ハロアルキル、及び、C1-12ハロアルコキシから選択する1~5個の置換基で任意に置換したフェニルである。特定の実施形態では、R3は、独立して、ハロ、シアノ、C1-12ハロアルキル、及び、C1-12ハロアルコキシから選択する1~3個の置換基で任意に置換したフェニルである。
特定の実施形態では、R3は、クロロ、フルオロ、ブロモ、-CF3、または、それらの組み合わせで置換したフェニルである。特定の実施形態では、R3は、クロロ、フルオロ、ブロモ、または、それらの組み合わせで置換したフェニルである。特定の実施形態では、R3は、クロロ、フルオロ、-CF3、または、それらの組み合わせで置換したフェニルである。特定の実施形態では、R3は、クロロ、フルオロ、または、それらの組み合わせで置換したフェニルである。
特定の実施形態では、R3は、独立して、1~5個のハロ、シアノ、1~3個のハロで任意に置換したC1-12アルキル、または、1~3個のハロで任意に置換したC1-12アルコキシで任意に置換したヘテロアリールである。特定の実施形態では、R3は、独立して、1~3個のハロで任意に置換したヘテロアリールである。
特定の実施形態では、R3は、4-クロロフェニル、4-クロロ-3-フルオロフェニル、2-((トリフルオロメトキシ)メチル)シクロプロピル、または、3-(トリフルオロメトキシ)シクロブチルである。
特定の実施形態では、R3は、4-クロロフェニル、4-フルオロフェニル、4-クロロ-3-フルオロフェニル、2-((トリフルオロメトキシ)メチル)シクロプロピル、または、3-(トリフルオロメトキシ)シクロブチルである。
特定の実施形態では、R3は、4-クロロフェニル、4-フルオロフェニル、4-クロロ-3-フルオロフェニル、4-クロロ-2-フルオロフェニル、2,4-ジフルオロフェニル、3,4-ジフルオロフェニル、4-メチルフェニル、2-((トリフルオロメトキシ)メチル)シクロプロピル、または、3-(トリフルオロメトキシ)シクロブチルである。
特定の実施形態では、R3は、4-クロロフェニル、4-フルオロフェニル、4-クロロ-2-フルオロフェニル、4-クロロ-3-フルオロフェニル、4-クロロ-2-フルオロフェニル、2,4-ジフルオロフェニル、3,4-ジフルオロフェニル、4-メチルフェニル、2-((トリフルオロメトキシ)メチル)シクロプロピル、6-(トリフルオロメチル)ピリジン-3-イル、4-(トリフルオロメチル)フェニル、7-ブロモイミダゾ[1,2-a]ピリジン-2-イル、5-クロロベンゾ[d]チアゾール-2-イル、7-クロロイソキノリン-3-イル、6-クロロクロマン-2-イル、3-(トリフルオロメトキシ)ピリジン-1-イル、または、3-(トリフルオロメトキシ)シクロブチルである。
特定の実施形態では、R3は、4-クロロフェニル、4-フルオロフェニル、4-クロロ-2-フルオロフェニル、4-クロロ-3-フルオロフェニル、4-クロロ-2-フルオロフェニル、2,4-ジフルオロフェニル、3,4-ジフルオロフェニル、4-メチルフェニル、2-((トリフルオロメトキシ)メチル)シクロプロピル、6-(トリフルオロメチル)ピリジン-3-イル、4-(トリフルオロメチル)フェニル、7-ブロモイミダゾ[1,2-a]ピリジン-2-イル、5-クロロベンゾ[d]チアゾール-2-イル、7-クロロイソキノリン-3-イル、6-クロロキノリン-2-イル、6-フルオロイソキノリン-2-イル、6-(トリフルオロメチル)キノリン-2-イル、6-クロロクロマン-2-イル、6-フルオロクロマン-2-イル、6,7-ジフルオロキノリン-2-イル、5,6-ジフルオロキノリン-2-イル、3-(トリフルオロメトキシ)ピロリジン-1-イル、または、3-(トリフルオロメトキシ)シクロブチルである。
特定の実施形態では、R3は、4-クロロフェニル、4-ブロモフェニル、3-フルオロ-4-(トリフルオロメチル)フェニル、6-(トリフルオロメチル)キナゾリン-2-イル、6-(トリフルオロメチル)キノリン-2-イル、6-(トリフルオロメチル)キノキサリン-2-イル、6-クロロ-7-フルオロ-キノキサリン-2-イル、6-フルオロ-7-(トリフルオロメチル)キノキサリン-2-イル、7-フルオロ-6-(トリフルオロメチル)キノキサリン-2-イル、7-フルオロ-6-(トリフルオロメチル)キノリン-2-イル、または、6-クロロ-7-フルオロ-キノリン-2-イルである。
特定の実施形態では、zは、0である。特定の実施形態では、zは、1である。
特定の実施形態では、zは、0であり、X1は、結合であり、そして、R3は、任意に置換したヘテロアリールである。特定の実施形態では、zは、0であり、X1は、結合であり、そして、R3は、1~3個のR11で任意に置換したヘテロアリールである。
特定の実施形態では、R4及びR5は、独立して、水素、C1-12アルキル、C2-12アルケニル、または、C2-12アルキニルであり、それらの各々を、水素以外は、独立して、1~3個(例えば、1~3個)のハロ、オキソ、アセチル、アミノ、または、ヒドロキシルで任意に置換する。
特定の実施形態では、R4及びR5は、水素である。
3.方法
「処置」または「処置する」は、臨床結果を含めた有益な、または、所望の結果を得るための手法である。有益な、または、所望の臨床結果は、以下の1つ以上を含み得る:a)疾患または病態を阻害すること(例えば、当該疾患または病態に起因する1つ以上の症状の減少、及び/または、当該疾患または病態の程度の緩和)、b)当該疾患または病態に関連する1つ以上の臨床症状の進展を遅延または停止すること(例えば、当該疾患または病態の安定化、当該疾患または病態の悪化、または、進行の予防または遅延、及び/または、当該疾患または病態の拡散(例えば、転移)を予防または遅延させること)、及び/または、c)当該疾患を緩和すること、すなわち、臨床症状の退行を引き起こすこと(例えば、病状を改善すること、当該疾患または病態の部分的または全体的な緩和をもたらすこと、別の薬剤の効果を高めること、当該疾患の進行を遅延させること、生活の質を上げること、及び/または、生存期間を延長させること。
「処置」または「処置する」は、臨床結果を含めた有益な、または、所望の結果を得るための手法である。有益な、または、所望の臨床結果は、以下の1つ以上を含み得る:a)疾患または病態を阻害すること(例えば、当該疾患または病態に起因する1つ以上の症状の減少、及び/または、当該疾患または病態の程度の緩和)、b)当該疾患または病態に関連する1つ以上の臨床症状の進展を遅延または停止すること(例えば、当該疾患または病態の安定化、当該疾患または病態の悪化、または、進行の予防または遅延、及び/または、当該疾患または病態の拡散(例えば、転移)を予防または遅延させること)、及び/または、c)当該疾患を緩和すること、すなわち、臨床症状の退行を引き起こすこと(例えば、病状を改善すること、当該疾患または病態の部分的または全体的な緩和をもたらすこと、別の薬剤の効果を高めること、当該疾患の進行を遅延させること、生活の質を上げること、及び/または、生存期間を延長させること。
「予防」または「予防する」は、当該疾患または病態の臨床症状を発症させない疾患または病態のあらゆる処置を意味する。化合物は、一部の実施形態では、当該疾患もしくは病態を引き起こす危険性、または、当該疾患または病態の家族歴を有する対象(ヒトを含む)に対して投与し得る。
「対象」は、哺乳類(ヒトを含む)などの動物のことを指し、これは、治療、観察、または、実験の目的のもの、または、それらになるものがある。本明細書に記載の方法は、ヒトの治療、及び/または、獣医学用途に有用であり得る。ある実施形態では、当該対象は、哺乳類である。特定の実施形態では、当該対象は、ヒトである。
本明細書に記載の化合物、または、医薬として許容可能なその塩、同位体濃縮類似体、立体異性体、立体異性体の混合物、または、プロドラッグの「治療有効量」または「有効量」という用語は、対象に投与した場合に、症状の改善または疾患の進行の遅延など、治療的有用性をもたらす処置を達成するのに十分な量を意味する。例えば、治療有効量は、本明細書に記載の疾患または病態の症状を減少させるのに十分な量とし得る。当該治療有効量は、対象、及び、処置する疾患または病態、対象の体重及び年齢、疾患または病態の重症度、ならびに、投与方法によって変化し得るものであり、当業者であれば容易に決定し得る。
本明細書に記載の方法は、細胞集団に対して、インビボまたはエキソビボで適用し得る。「インビボ」は、動物内またはヒト内のような生体内を意味する。これに関連して、本明細書に記載の方法は、治療的に個体に用い得る。「エキソビボ」は、生体外を意味する。エキソビボ細胞集団の例として、インビトロ細胞培養、及び、個体から採取する液体または組織試料を含めた生体試料がある。かかる試料は、当該技術分野で周知の方法で採取し得る。例示的な生体液体試料として、血液、脳脊髄液、尿、及び、唾液がある。これに関連して、本明細書に記載した化合物及び組成物は、治療目的及び実験目的を含めた様々な目的に使用し得る。例えば、本明細書に記載の化合物及び組成物を、エキソビボで用い、所定の症状、細胞型、個体、及び、その他のパラメータに関する本開示の化合物の投与の最適スケジュール、及び/または、投与量を決定し得る。かかる使用から収集した情報を、実験目的または臨床で用いて、インビボ処置のプロトコルを設定し得る。本明細書に記載の化合物及び組成物が好適であるその他のエキソビボでの使用を、以下に記載しており、または、当業者には自明である。選択した化合物を、さらに特徴決定して、ヒトもしくは非ヒト対象での安全性または耐容用量を調べ得る。かかる特性は、当業者に公知の方法を用いて調べ得る。
特定の実施形態では、本明細書に開示した化合物は、がん性、及び、非がん性細胞増殖性障害の双方を含む細胞増殖性障害を処置するために使用することができる。細胞増殖性障害の処置として、急速増殖などの細胞増殖の阻害を含み得るが、これらに限定されない。本明細書に記載した化合物は、がん腫、肉腫、リンパ腫、白血病、及び、胚細胞腫瘍など、これらに限定されないあらゆるタイプのがんを処置するために使用できる、と考えられる。例示的ながんとして、副腎皮質癌、肛門癌、虫垂癌、基底細胞癌、胆管癌、膀胱癌、骨癌、骨肉腫、または、悪性線維性組織球腫、脳癌(例えば、脳幹神経膠腫、星状細胞腫(例えば、小脳、脳など)、非定型奇形腫様/ラブドイド腫瘍、中枢神経系胚性腫瘍、悪性神経膠腫、頭蓋咽頭腫、上衣芽腫、上衣腫、髄芽腫、髄上皮腫、中分化型の松果体実質腫瘍、テント上原始神経外胚葉腫瘍、及び/または松果体芽腫、視経路、及び/または、視床下部神経膠腫、脳腫瘍、及び、脊髄腫瘍など)、乳癌、気管支腫瘍、カルチノイド腫瘍(例えば、胃腸など)、原発不明のがん、子宮頸癌、脊索腫、慢性骨髄増殖性障害、結腸癌、大腸癌、胚性腫瘍、中枢神経系のがん、子宮内膜癌、上衣腫、食道癌、ユーイング腫瘍ファミリー、眼癌(例えば、眼内黒色腫、網膜芽細胞腫など)、胆嚢癌、胃癌、胃腸腫瘍(例えば、カルチノイド腫瘍、間質腫瘍(消化管間質腫瘍)、間質細胞腫瘍など)、胚細胞腫瘍(例えば、頭蓋外、性腺外、卵巣など)、妊娠性絨毛腫瘍、頭頸部癌、肝細胞癌、下咽頭癌、視床下部、及び、視経路グリオーマ、眼内黒色腫、膵島細胞腫瘍、カポジ肉腫、腎臓癌、大細胞腫瘍、喉頭癌(例えば、急性リンパ芽球性、急性骨髄性など)、白血病(例えば、骨髄性、急性骨髄性、急性リンパ芽球性、慢性リンパ球性、慢性骨髄性、多発性骨髄性、有毛細胞など)、口唇癌、及び/または、口腔癌、肝臓癌、肺癌(例えば、非小細胞、小細胞など)、リンパ腫(例えば、エイズ関連、バーキット、皮膚T細胞、ホジキン、非ホジキン、原発性中枢神経系、皮膚T細胞、ワルデンストロームマクログロブリン血症など)、骨、及び/または、骨肉腫の悪性線維性組織球腫、髄芽腫、髄上皮腫、メルケル細胞癌、中皮腫、転移性扁平上皮頸部癌、口腔癌、多発性内分泌腫瘍症候群、多発性骨髄腫/形質細胞腫瘍、菌状息肉腫、脊髄異形成症症候群、骨髄異形成/骨髄増殖性疾患(例えば、骨髄増殖性疾患、慢性など)、鼻腔、及び/または、副鼻腔癌、鼻咽頭癌、神経芽腫、口腔癌;口腔内癌、中咽頭癌;骨肉腫、及び/または、骨の悪性線維性組織球腫:卵巣癌(例えば、卵巣上皮癌、卵巣胚細胞腫瘍、卵巣低悪性腫瘍など)、膵臓癌(例えば、膵島細胞腫瘍など)、乳頭腫、副鼻腔癌、及び/または、鼻腔癌、副甲状腺癌、陰茎癌、咽頭癌、褐色細胞腫、中分化型の松果体実質腫瘍、松果体芽腫、及び、テント上原始神経外胚葉腫瘍、下垂体腫瘍、形質細胞腫瘍/多発性骨髄腫、胸膜肺芽腫、前立腺癌、直腸癌、腎細胞癌、移行上皮癌、染色体15のナッツ遺伝子が関与する気道癌、網膜芽細胞腫、横紋筋肉腫、唾液腺癌、肉腫(例えば、ユーイング腫瘍ファミリー、カポジ、軟部組織、子宮など)、セザリー症候群、皮膚癌(例えば、非黒色腫、黒色腫、メルケル細胞など)、小腸癌、扁平上皮癌、潜在性の原発性、転移性の胃癌を有する扁平頸部癌、テント上原始神経外胚葉性腫瘍、精巣癌、咽頭癌、胸腺腫、及び/または、胸腺癌、甲状腺癌、腎臓の移行上皮細胞癌、骨盤、及び/または、尿管(例えば、栄養膜腫瘍、不明原発部位癌、尿道癌、子宮癌、子宮内膜、子宮肉腫など)、膣癌、視経路、及び/または、視床下部神経膠腫、外陰癌、ウィルムス腫瘍などがあるが、これらに限定されない。非がん性細胞増殖性障害の例として、線維腺腫、腺腫、乳管内乳頭腫、乳腺腺腫、腺症、線維嚢胞性疾患、または、乳房の変化、形質細胞増殖性障害(PCPD)、再狭窄、アテローム性動脈硬化症、関節リウマチ、筋線維腫症、線維性過誤腫、顆粒リンパ球増殖性疾患、前立腺の良性過形成、重鎖疾患(HCD)、リンパ球増殖性疾患、乾癬、特発性肺線維症、強皮症、肝硬変、IgA腎症、メサンギウム増殖性糸球体腎炎、膜増殖性糸球体腎炎、血管腫、血管性、及び、非血管性眼内増殖性障害などがあるが、これらに限定されない。
特定の実施形態では、本明細書に開示した化合物は、肺損傷、及び/または、肺炎を処置するために使用することができる。
特定の実施形態では、本明細書に開示した化合物は、アルツハイマー病、神経障害性疼痛、脊髄損傷、外傷性脳損傷、虚血性脳卒中、脳卒中、パーキンソン病、糖尿病、代謝症候群、代謝障害、ハンチントン病、クロイツフェルト・ヤコブ病、致死性家族性不眠症、ゲルストマン・ストラウスラー・シャインカー症候群、及び、関連するプリオン病、筋萎縮性側索硬化症、進行性核上性麻痺、心筋梗塞、心血管疾患、炎症、臓器線維症、肝臓の慢性及び急性疾患、脂肪肝疾患、肝臓脂肪症、肝線維症、肺の慢性及び急性疾患、肺線維症、腎臓の慢性及び急性疾患、腎線維症、慢性外傷性脳症(CTE)、神経変性、認知症、前頭側頭型認知症、タウオパチー、ピック病、ネイマン・ピック病、アミロイドーシス、認知障害、アテローム性動脈硬化症、眼疾患、不整脈、臓器移植、及び、移植用臓器の移植など、活性化変性タンパク質応答経路に関連するがん、前がん性症候群、及び、疾患/損傷を処置するために使用することができる。
実施形態において、本明細書に開示した化合物は、がん、アルツハイマー病、脳卒中、1型糖尿病、パーキンソン病、ハンチントン病、筋萎縮性側索硬化症、心筋梗塞、心血管疾患、アテローム性動脈硬化症、不整脈、または、老化が関連する黄斑変性を、処置または軽減するために使用することができる。
特定の実施形態では、本明細書に開示した化合物は、神経障害性疼痛を処置するために使用することができる。
特定の実施形態では、本明細書に開示した化合物は、眼疾患/血管新生の重症度を処置または軽減するために使用することができる。特定の実施形態では、当該眼疾患として、血管漏出(例えば、虹彩ルベオーシス、新生血管緑内障、翼状片、血管新生緑内障濾過胞、結膜乳頭腫など、閉塞性または炎症性網膜血管疾患の浮腫または血管新生)、脈絡膜血管新生(例えば、血管新生加齢性黄斑変性症(AMD)、近視、前部ブドウ膜炎、外傷、または、特発性浮腫)、黄斑浮腫(例えば、術後黄斑浮腫、網膜、及び/または、脈絡膜炎症を含むブドウ膜炎に続発する黄斑浮腫、糖尿病に続発する黄斑浮腫、及び、網膜血管閉塞性疾患(すなわち、分岐、及び、中心網膜静脈閉塞)に続発する黄斑浮腫)、糖尿病に起因する網膜血管新生(例えば、網膜静脈閉塞、ブドウ膜炎、頸動脈疾患由来の眼虚血症候群、眼または網膜動脈閉塞、鎌状赤血球網膜症、その他の虚血性、または、閉塞性血管新生網膜症、未熟児網膜症、または、イールズ病)、及び、遺伝性障害(例えば、フォン・ヒッペル・リンドウ症候群)がある。特定の実施形態では、当該新生血管加齢黄斑変性は、湿性加齢黄斑変性である。特定の実施形態では、当該新生血管加齢黄斑変性は、乾性加齢黄斑変性であり、当該患者には、湿性加齢黄斑変性の発症リスクが高いという特徴がある。
特定の実施形態では、本明細書に開示した化合物は、ウイルス感染を処置するために(例えば、ウイルスタンパク質合成の開始を妨げるために)使用することができる。本明細書に開示した化合物を使用して処置することができる例示的なウイルスとして、ピコルナウイルス科(例えば、ポリオウイルス)、レオウイルス科(例えば、ロタウイルス)、トガウイルス科(例えば、脳炎ウイルス、黄熱ウイルス、風疹ウイルスなど)、オルソミクソウイルス科(例えば、インフルエンザウイルス)、パラミクソウイルス科(例えば、呼吸器合胞体ウイルス、麻疹ウイルス、おたふく風邪ウイルス、パラインフルエンザウイルスなど)、ラブドウイルス科(例えば、狂犬病ウイルス)、コロナウイルス科、ブニヤウイルス科、フラビウイルス科、フィロウイルス科、アレナウイルス科、ブニヤウイルス科、及び、レトロウイルス科(例えば、ヒトT細胞リンパ向性ウイルス(HTLV)、ヒト免疫不全ウイルス(HIV)など)、パポバウイルス科(例えば、パピローマウイルス)、アデノウイルス科(例えば、アデノウイルス)、ヘルペスウイルス科(例えば、単純ヘルペスウイルス)、及び、ポックスウイルス科(例えば、天然痘ウイルス)があるが、これらに限定されない。特定の実施形態では、当該ウイルス感染は、B型肝炎ウイルス、C型肝炎ウイルス、及び/または、HIVが引き起こす。
特定の実施形態では、本明細書に開示した化合物は、ウイルス感染に関連する障害を処置するために使用することができる。そのような障害として、神経学的症状(例えば、脳炎、髄膜脳炎、麻痺、脊髄障害、神経障害、無菌性髄膜炎、片麻痺、認知症、嚥下障害、筋肉協調の欠如、視覚障害、昏睡など)、消耗症状(例えば、炎症性細胞浸潤、血管の血管周囲細胞浸潤、脱髄、壊死、反応性神経膠症など)、胃腸炎の症状(下痢、嘔吐、痙攣など)、肝炎の症状(吐き気、嘔吐、右上腹部痛、肝酵素(例えば、AST、ALTなど)レベルの上昇、黄疸など)、出血熱症状(例えば、頭痛、発熱、悪寒、体の痛み、下痢、嘔吐、眩暈、錯乱、異常行動、咽頭炎、結膜炎、赤顔、赤首、出血、臓器不全など)、発がん症状(例えば、肉腫、白血病など、ならびに、「稀な」悪性腫瘍、例えば、カポジ肉腫、口腔毛状白板症、リンパ腫など)、免疫不全症状(例えば、日和見感染、消耗、稀な悪性腫瘍、神経疾患、発熱、下痢、皮膚発疹など)、病変(例えば、疣贅(例えば、一般的疣贅、扁平疣贅、深部過角化掌蹠疣贅、表面モザイク型掌蹠疣贅)など))、表皮形成異常、粘膜病変、潰瘍、及び、全身症状(例えば、発熱、悪寒、頭痛、筋肉痛、骨痛、関節痛、咽頭炎、扁桃炎、副鼻腔炎、中耳炎、気管支炎、肺炎、気管支肺炎、吐き気、嘔吐、唾液分泌の増加、発疹、斑点、リンパ節腫脹、関節炎、潰瘍、光線過敏症、体重減少、過敏症、情動不安、不安神経症、昏睡、死亡など)などがあるが、これらに限定されない。
特定の実施形態では、本明細書に開示した化合物は、1つ以上の変異体、及び/または、野生型タンパク質の望ましくない合成、及び/または、異常な蓄積を特徴とする障害を処置するために使用することができる。本明細書に開示した化合物は、翻訳開始を阻害することができ、したがって、タンパク質折りたたみ機構の負荷を軽減することができ、したがって、当該障害の重症度を軽減することができる。1つ以上の変異体、及び/または、野生型タンパク質の望ましくない合成、及び/または、異常な蓄積に関連する障害として、テイ・サックス病、嚢胞性線維症、フェニルケトン尿症、ファブリー病、アルツハイマー病、ハンチントン病、パーキンソン病、前頭側頭型認知症、コンゴーレッド親和性血管障害、プリオン関連障害(すなわち、クロイツフェルト・ヤコブ病、クールー、致死性家族性不眠症、スクレイピー、ウシ海綿状脳症などの伝染性海綿状脳症)などがあるが、これらに限定されない。
本明細書に開示した化合物、及び、組成物は、プリオン病などの神経細胞死を阻害することができる、と考えられる。一般に、この方法は、本明細書に記載の化合物、または、組成物の治療有効量を、それを必要とする患者に対して投与することを含む。
一部の実施形態では、当該障害は、神経変性疾患である。用語「神経変性疾患」とは、対象の神経系の機能を損なう疾患または病態のことを指す。神経変性疾患の例として、例えば、アレキサンダー病、アルパー病、アルツハイマー病、筋萎縮性側索硬化症、毛細血管拡張性運動失調、バッテン病(別名、スピルマイヤー・フォクト・シェーグレン・バッテン病)、ウシ海綿状脳症(BSE)、カナバン病、コケイン症候群、コルチコバサル変性、クロイツフェルト・ヤコブ病、前頭側頭型認知症、ゲルストマン・ストラウスラー・シャインカー症候群、ハンチントン病、HIV関連認知症、ケネディ病、クラッベ病、クールー、レビー小体型認知症、マチャド・ジョセフ病(3型脊髄小脳失調)、多発性硬化症、多系統萎縮症、ナルコレプシー、神経ボレリア症、パーキンソン病、ペリゼウス・メルツバッハー病、ピック病、原発性側索硬化症、プリオン病、レフサム病、サンドホフ病、シルダー病、悪性貧血に続発する亜急性脊髄連合変性症、統合失調症、脊髄小脳失調(特性が異なる複数のタイプ)、脊髄性筋萎縮症、スティール・リチャードソン・オルシェフスキー病、白質消失(VWM)病、インスリン抵抗性、または、脊髄癆がある。
その他の実施形態では、現在開示した化合物の治療での使用を含む。一部の実施形態は、神経変性疾患の処置におけるそれらの使用を含む。
その他の実施形態では、アルツハイマー病、パーキンソン病、認知症、または、ALSの処置に使用するための本開示の化合物を提供する。
その他の実施形態では、神経変性疾患を治療するための薬剤の製造のための本開示の化合物、または、医薬として許容可能なその塩の使用を提供する。
その他の実施形態では、アルツハイマー病、パーキンソン病、認知症、または、ALSを処置するための医薬の製造のための本開示の化合物、または、医薬として許容可能なその塩の使用を提供する。
その他の実施形態では、がんを処置するための医薬の製造のための本開示の化合物、または、医薬として許容可能なその塩の使用を提供する。
その他の実施形態では、治療での使用のための本開示の化合物、または、医薬として許容可能なその塩の使用を提供する。
その他の実施形態では、神経変性疾患の処置での使用のための本開示の化合物、または、医薬として許容可能なその塩の使用を提供する。
その他の実施形態では、がんの処置での使用のための本開示の化合物、または、医薬として許容可能なその塩の使用を提供する。
4.キット
本開示の化合物、または、医薬として許容可能なその塩、同位体濃縮類似体、立体異性体、立体異性体の混合物、または、プロドラッグ、及び、適切な包装材料を含むキットも、本明細書で提供する。特定の実施形態では、キットは、使用説明書をさらに含む。ある態様では、キットは、本開示の化合物、または、医薬として許容可能なその塩、同位体濃縮類似体、立体異性体、立体異性体の混合物、または、プロドラッグ、及び、ラベル、及び/または、本明細書に記載した疾患または病態を含めた症状の処置における当該化合物の使用説明書を含む。
本開示の化合物、または、医薬として許容可能なその塩、同位体濃縮類似体、立体異性体、立体異性体の混合物、または、プロドラッグ、及び、適切な包装材料を含むキットも、本明細書で提供する。特定の実施形態では、キットは、使用説明書をさらに含む。ある態様では、キットは、本開示の化合物、または、医薬として許容可能なその塩、同位体濃縮類似体、立体異性体、立体異性体の混合物、または、プロドラッグ、及び、ラベル、及び/または、本明細書に記載した疾患または病態を含めた症状の処置における当該化合物の使用説明書を含む。
本明細書に記載の化合物、または、医薬として許容可能なその塩、同位体濃縮類似体、立体異性体、立体異性体の混合物、または、プロドラッグを適切な容器に含む製品も本明細書で提供する。当該容器は、バイアル、ジャー、アンプル、予め組み込まれているシリンジ、または、点滴用バッグとし得る。
5.医薬組成物及び投与方法
本明細書に提供した化合物は、通常、医薬組成物の形態で投与する。したがって、本明細書に記載の化合物、医薬として許容可能なその塩、同位体濃縮類似体、立体異性体、立体異性体の混合物、または、プロドラッグの1つ以上と、担体、アジュバント、及び、賦形剤から選択する1つ以上の医薬として許容可能な媒体を含む医薬組成物も本明細書で提供する。医薬として許容可能な適切な媒体として、例えば、不活性固体希釈剤、及び、充填剤、滅菌水溶液、及び、各種有機溶剤を含めた希釈剤、透過促進剤、可溶化剤、ならびに、アジュバントがある。かかる組成物は、医薬分野で周知の方法で調製する。例えば、Remington’s Pharmaceutical Sciences,Mace
Publishing Co.,Philadelphia,Pa.17th Ed.(1985)、及びModern Pharmaceutics,Marcel Dekker,Inc.3rd Ed.(G.S. Banker & C.T.Rhodes,Eds.)を参照されたい。
本明細書に提供した化合物は、通常、医薬組成物の形態で投与する。したがって、本明細書に記載の化合物、医薬として許容可能なその塩、同位体濃縮類似体、立体異性体、立体異性体の混合物、または、プロドラッグの1つ以上と、担体、アジュバント、及び、賦形剤から選択する1つ以上の医薬として許容可能な媒体を含む医薬組成物も本明細書で提供する。医薬として許容可能な適切な媒体として、例えば、不活性固体希釈剤、及び、充填剤、滅菌水溶液、及び、各種有機溶剤を含めた希釈剤、透過促進剤、可溶化剤、ならびに、アジュバントがある。かかる組成物は、医薬分野で周知の方法で調製する。例えば、Remington’s Pharmaceutical Sciences,Mace
Publishing Co.,Philadelphia,Pa.17th Ed.(1985)、及びModern Pharmaceutics,Marcel Dekker,Inc.3rd Ed.(G.S. Banker & C.T.Rhodes,Eds.)を参照されたい。
当該医薬組成物は、単回投与または複数回投与のいずれかで投与し得る。当該医薬組成物は、例えば、直腸、口腔、鼻腔内、及び、経皮経路を含めた様々な方法で投与し得る。特定の実施形態では、当該医薬組成物は、動脈内注射によって、静脈内に、腹腔内に、非経口的に、筋肉内に、皮下に、経口で、局所に、または、吸入剤として投与し得る。
1つの投与方法は非経口であり、例えば、注射による。本明細書に記載した医薬組成物を注射投与のために組み込み得る形態として、例えば、水性または油性懸濁液、または、エマルションで、ゴマ油、コーン油、綿実油、または、落花生油、ならびに、エリキシル剤、マンニトール、デキストロース、または、滅菌水溶液、及び、同様の医薬媒体がある。
経口投与を、本明細書に記載の化合物の別の投与経路とし得る。投与は、例えば、カプセルまたは腸溶性錠剤経由とし得る。本明細書に記載した少なくとも1つの化合物、または、医薬として許容可能なその塩、同位体濃縮類似体、立体異性体、立体異性体の混合物、または、プロドラッグを含む医薬組成物の製造において、活性成分は、通常、賦形剤で希釈し、及び/または、例えば、カプセル、サシェ、紙、または、その他の容器の形態とし得る担体で包む。当該賦形剤が、希釈剤の役割を果たす場合、このものは、固体、半固体、または、液体材料の形態とすることができ、当該活性成分の媒体、担体、または、媒介物の機能を果たす。したがって、当該組成物は、錠剤、丸剤、散剤、ロゼンジ剤、サシェ剤、カシェ剤、エリキシル剤、懸濁剤、乳剤、液剤、シロップ剤、エアロゾル剤(固体として、または、液体媒体で)、例えば、10重量%までの活性化合物を含む軟膏、軟質または硬質ゼラチンカプセル剤、滅菌注射剤、及び、滅菌包装散剤の形態とすることができる。
適切な賦形剤の一部の例として、例えば、ラクトース、デキストロース、スクロース、ソルビトール、マンニトール、デンプン、アカシアゴム、リン酸カルシウム、アルギネート、トラガカント、ゼラチン、ケイ酸カルシウム、微結晶性セルロース、ポリビニルピロリドン、セルロース、滅菌水、シロップ、及び、メチルセルロースがある。当該製剤は、滑沢剤、例えば、タルク、ステアリン酸マグネシウム、及び、鉱油;湿潤剤;乳化剤及び懸濁剤;保存剤、例えば、ヒドロキシ安息香酸メチル、及び、ヒドロキシ安息香酸プロピル;甘味剤、及び、香味剤をさらに含むことができる。
本明細書に記載した少なくとも1つの化合物、または、医薬として許容可能なその塩、同位体濃縮類似体、立体異性体、立体異性体の混合物、または、プロドラッグを含む組成物は、当該技術分野で公知の手順を用いて、当該対象に対して投与した後に、当該活性成分を、即時放出、持続放出、または、遅延放出させるように処方し得る。経口投与用の放出制御薬物送達システムとして、浸透圧ポンプシステム、及び、溶解システムがあり、ポリマーコートリザーバーや、薬物-ポリマーマトリックス製剤を含む。本明細書に開示した方法で使用するための別の製剤は、経皮送達デバイス(「貼布」)を使用する。そのような経皮貼布を使用して、本明細書に記載した化合物を、制御した量で持続注入または不連続注入し得る。医薬品の送達のための経皮貼布の構築及び使用は、当該技術分野で周知である。そのような経皮貼布は、薬剤の連続的、脈動的、または、オン・デマンド送達用に構築し得る。
錠剤等の固体組成物の調製のため、主な活性成分を医薬賦形剤と混合して、本明細書に記載した化合物、または、医薬として許容可能なその塩、同位体濃縮類似体、立体異性体、立体異性体の混合物、または、プロドラッグの均質混合物を含む固体予備処方組成物を形成し得る。これらの予備処方組成物を均質とする場合、当該活性成分は、当該組成物が、錠剤、丸剤、及び、カプセル剤等の有効性が等しい単位剤形に容易に分割し得るように、当該組成物全体にわたって均等に分散し得る。
本明細書に記載した化合物の錠剤または丸剤は、被覆されるか、さもなければ、配合され、持続性作用の利点をもたらす剤形を与える場合もあれば、胃の酸性条件から保護する場合もある。例えば、当該錠剤または丸剤は、内側投与成分と、外側投与成分とを含むことができ、後者が前者の外皮の形態である。これらの2つの成分は、腸溶層で分離することができ、胃内での崩壊に耐える働きをして、当該内側成分を十二指腸内に無傷で通過させるか、または、放出を遅らせる。様々な材料を、当該腸溶層またはコーティングに用いることができ、そのような材料として、幾つかのポリマー酸、及び、ポリマー酸と、シェラック、セチルアルコール、ならびに、酢酸セルロース等の材料との混合物がある。
吸入または吹送用の組成物として、医薬として許容可能な水性もしくは有機溶媒、または、それらの混合物の溶液、あるいは、懸濁液、及び、粉体がある。当該液体または固体組成物は、本明細書に記載した医薬として許容可能な適切な賦形剤を含み得る。一部の実施形態では、当該組成物は、局所的または全身的効果のため、経口または経鼻呼吸経路に投与する。その他の実施形態では、医薬的として許容可能な溶媒での組成物は、不活性ガスを用いて霧状にし得る。霧状にした溶液は、噴霧装置から直接吸入する場合もあれば、当該噴霧装置をフェースマスクテントや間欠的陽圧呼吸器に取り付ける場合もある。溶液、懸濁液、または、粉体組成物は、当該製剤を適切な方法で送達する装置から、好ましくは、経口的または経鼻的に投与し得る。
6.投薬
ある特定の対象に対する本出願の化合物の具体的な用量レベルは、使用する具体的な化合物の活性、治療を受ける対象における年齢、体重、全身状態、性別、食事、投与時間、投与経路、ならびに、排泄率、混合薬、及び、特定の疾患の重症度を含めた様々な要因に依存する。例えば、投薬量は、対象の体重1キログラム当たりの本明細書に記載した化合物のミリグラム数(mg/kg)で表し得る。約0.1~150mg/kgの投薬量が適切であり得る。一部の実施形態では、約0.1及び100mg/kgが適切であり得る。その他の実施形態では、0.5~60mg/kgの投薬量が適切であり得る。一部の実施形態では、体重1kg当たり1日に約0.0001~約100mg、体重1kg当たり約0.001~約50mgの化合物、または、体重1kg当たり約0.01~約10mgの化合物の投薬量が適切であり得る。対象の体重に応じて標準化することは、広く異なるサイズの対象間での投薬量の調節の際に特に有用であり、このことは、例えば、ヒトの小児と成人の双方に当該薬物を使用する場合、または、イヌ等の非ヒト対象における有効投薬量をヒト対象に適切な投薬量に変換する場合に認められる。
ある特定の対象に対する本出願の化合物の具体的な用量レベルは、使用する具体的な化合物の活性、治療を受ける対象における年齢、体重、全身状態、性別、食事、投与時間、投与経路、ならびに、排泄率、混合薬、及び、特定の疾患の重症度を含めた様々な要因に依存する。例えば、投薬量は、対象の体重1キログラム当たりの本明細書に記載した化合物のミリグラム数(mg/kg)で表し得る。約0.1~150mg/kgの投薬量が適切であり得る。一部の実施形態では、約0.1及び100mg/kgが適切であり得る。その他の実施形態では、0.5~60mg/kgの投薬量が適切であり得る。一部の実施形態では、体重1kg当たり1日に約0.0001~約100mg、体重1kg当たり約0.001~約50mgの化合物、または、体重1kg当たり約0.01~約10mgの化合物の投薬量が適切であり得る。対象の体重に応じて標準化することは、広く異なるサイズの対象間での投薬量の調節の際に特に有用であり、このことは、例えば、ヒトの小児と成人の双方に当該薬物を使用する場合、または、イヌ等の非ヒト対象における有効投薬量をヒト対象に適切な投薬量に変換する場合に認められる。
7.化合物の合成
当該化合物は、本明細書で開示した方法、ならびに、本明細書の開示及び当該技術分野で周知の方法を前提として明らかになる、それらの通常の修正を用いて調製し得る。従来の周知の合成方法は、本明細書の開示に加え得る。本明細書に記載した典型的な化合物の合成は、以下の実施例に記載した通りに達成し得る。可能であれば、試薬、及び、出発物質は、例えば、Sigma Aldrich、または、その他の化学物質製造業者からの市販品を入手し得る。
当該化合物は、本明細書で開示した方法、ならびに、本明細書の開示及び当該技術分野で周知の方法を前提として明らかになる、それらの通常の修正を用いて調製し得る。従来の周知の合成方法は、本明細書の開示に加え得る。本明細書に記載した典型的な化合物の合成は、以下の実施例に記載した通りに達成し得る。可能であれば、試薬、及び、出発物質は、例えば、Sigma Aldrich、または、その他の化学物質製造業者からの市販品を入手し得る。
通常の、または、好ましい工程条件(すなわち、反応温度、時間、反応物質のモル比、溶媒、圧力等)が与えられている場合、特に断りのない限りは、その他の工程条件も用いることができる、ことが理解されよう。最適な反応条件は、特定の反応物質または使用する溶媒によって変化し得るが、かかる条件は、当業者であれば、通常の最適化手法によって決定することができる。
加えて、ある特定の官能基が望ましくない反応を起こすことを防ぐため、従来の保護基(「PG」)を必要とし得る。様々な官能基に対して適切な保護基、ならびに、特定の官能基の保護及び脱保護に適した条件は、当該技術分野で周知である。例えば、Wuts,P.G.M.,Greene,T.W.,& Greene,T.W.(2006).Greene’s protective groups in organic synthesis. Hoboken,N.J.,Wiley-Interscience、及び、そこで引用されている参考文献に数多くの保護基が記載されている。例えば、ヒドロキシルなどのアルコールに関する保護基として、シリルエーテル(トリメチルシリル(TMS)、tert-ブチルジメチルシリル(TBDMS)、トリ-イソ-プロピルシリルオキシメチル(TOM)、及び、トリイソプロピルシリル(TIPS)エーテルなどを含む)があり、これらは、酸またはフッ化物イオン、例えば、NaF、TBAF(テトラ-n-ブチルアンモニウムフルオリド)、HF-Py、または、HF-NEt3で除去することができる。アルコールに関するその他の保護基として、酸または塩基で除去するアセチル、酸または塩基で除去するベンゾイル、水素化で除去するベンジル、酸で除去するメトキシエトキシメチルエーテル、酸で除去するジメトキシトリチル、酸で除去するメトキシメチルエーテル、酸で除去するテトラヒドロピラニルまたはテトラヒドロフラニル、及び、酸で除去するトリチルがある。アミンに関する保護基の例として、水素化分解で除去するカルボベンジルオキシ、水素化分解で除去するp-メトキシベンジルカルボニル、濃強酸(HCl、または、CF3COOHなど)、または、約80℃超にまで加熱して除去するtert-ブチルオキシカルボニル、ピペリジンなどの塩基で除去する9-フルオレニルメチルオキシカルボニル、塩基処理で除去するアセチル、塩基処理で除去するベンゾイル、水素化分解で除去するベンジル、酸及び温和に加熱して除去するカルバメート基、水素化分解で除去するp-メトキシベンジル、水素化分解で除去する3,4-ジメトキシベンジル、硝酸セリウム(IV)アンモニウムで除去するp-メトキシフェニル、濃酸(HBr、または、H2SO4など)、及び、強力還元剤(ナトリウムを含む液体アンモニア、または、ナトリウムナフタレニド)で除去するトシル、酢酸の存在下でのZn挿入で除去するtroc(クロロギ酸トリクロロエチル)、及び、ヨウ化サマリウム、または、水素化トリブチルスズで除去するスルホンアミド(Nosyl & Nps)がある。
さらに、本開示の化合物は、1つ以上のキラル中心を含み得る。したがって、必要に応じて、かかる化合物は、純粋な立体異性体、すなわち、個々のエナンチオマーまたはジアステレオマー、または、立体異性体を濃縮した混合物として調製または単離することができる。すべてのかかる立体異性体(及び、濃縮した混合物)は、特に断りのない限り、本開示の範囲内に含まれる。純粋な立体異性体(または、濃縮した混合物)は、例えば、光学的に活性な出発物質、または、当該技術分野で周知の立体選択的試薬を用いて調製し得る。別の方法として、かかる化合物のラセミ混合物を、例えば、キラルカラムクロマトグラフィー、キラル分割剤等を用いて分離することができる。
以下の反応のための出発物質は、一般に知られている化合物であるか、または、公知の手順、もしくは、その明らかな修正によって調製することができる。例えば、当該出発物質の多くは、Aldrich Chemical Co.(Milwaukee,Wisconsin,USA)、Bachem(Torrance,California,USA)、Emka-Chemce、または、Sigma(St.Louis,Missouri,USA)などの商業的供給元から市販されている。その他は、Fieser and Fieser’s Reagents for Organic Synthesis,Volumes 1-15(John Wiley,and Sons,1991),Rodd’s Chemistry of Carbon Compounds,Volumes 1-5,and Supplementals(Elsevier Science Publishers, 1989) organic Reactions,Volumes 1-40(John Wiley,and Sons,1991),March’s Advanced Organic Chemistry,(John Wiley,and Sons,5th Edition,2001)、及びLarock’s Comprehensive Organic Transformations(VCH Publishers Inc.,1989)などの標準的な参照テキストに記載されている手順、または、その明らかな修正によって調製し得る。
一般的な合成
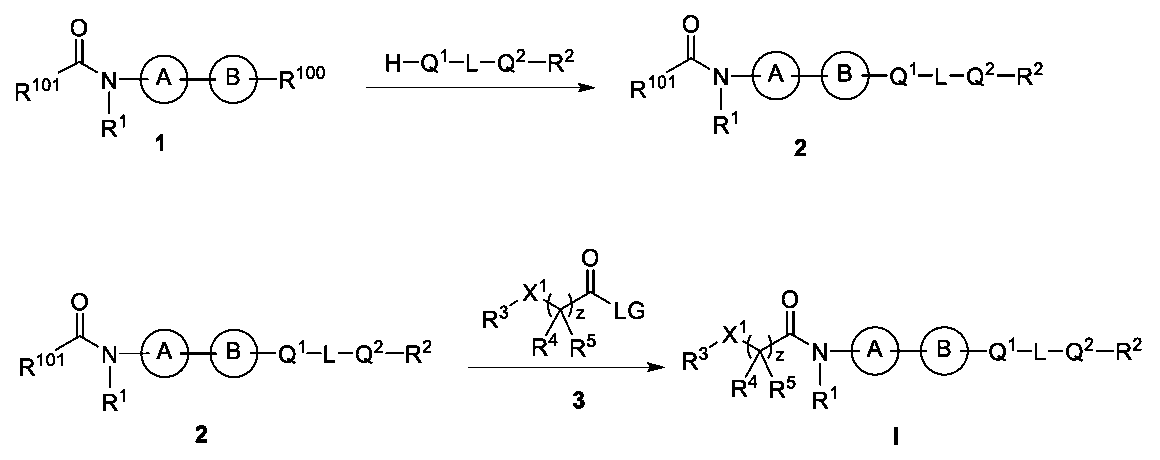
スキームIに示す以下の反応は、本明細書に開示した化合物の合成に使用することができる一般的な方法を例示している。スキームIでは、z、R1、R2、R3、R4、R5、環A、環B、Q1、Q2、L、及び、X1は、本明細書で定義した通りであり、R100は、ハロであり、R101は、部分
または窒素保護基であり、R102は、C1-6アルキルであり、及び、LGは、脱離基(例えば、C1-6アルコキシ、または、ハロ)である。式1の化合物と式H-Q1-L-Q2-R2の化合物とのカップリングは、式2の化合物を提供し、標準的なカップリング条件(例えば、求核芳香族置換反応条件)の下で実施することができる。R101が、部分
であれば、式Iの化合物が得られる。R101が窒素保護基の場合、この方法は、窒素原子を脱保護すること、そして、得られた中間体を式3の化合物と接触させることをさらに含み、その結果、式Iの化合物を提供する。
スキームI
スキームIに示す以下の反応は、本明細書に開示した化合物の合成に使用することができる一般的な方法を例示している。スキームIでは、z、R1、R2、R3、R4、R5、環A、環B、Q1、Q2、L、及び、X1は、本明細書で定義した通りであり、R100は、ハロであり、R101は、部分
スキームI
したがって、特定の実施形態では、式Iの化合物を調製する方法を提供しており、同方法は、式I:
の化合物をカップリングすることを含み、
同カップリングは、式1:
の化合物、式中、R100は、ハロであり、そして、R101は、部分
または、窒素保護基である同化合物を、式2:
の化合物の提供に適した条件下で、式H-Q1-L-Q2-R2の化合物と接触させることを含み:
式中:
a)R101が、部分
であれば、当該方法は、式Iの化合物、または、その塩、同位体濃縮類似体、立体異性体、または、立体異性体の混合物を提供する;及び
b)R101が、窒素保護基であれば、当該方法は、式Iの化合物、または、その塩、同位体濃縮類似体、立体異性体、または、立体異性体の混合物の提供に適した条件下で、窒素保護基を除去する、及び、式2の化合物を、式3:
の化合物と接触させる、ことをさらに含み:
式中、z、R1、R2、R3、R4、R5、環A、環B、Q1、Q2、L、及び、X1は、本明細書で定義した通りであり、また、LGは、脱離基(例えば、-OH、C1-6アルコキシ、または、ハロ)である。
同カップリングは、式1:
式中:
a)R101が、部分
b)R101が、窒素保護基であれば、当該方法は、式Iの化合物、または、その塩、同位体濃縮類似体、立体異性体、または、立体異性体の混合物の提供に適した条件下で、窒素保護基を除去する、及び、式2の化合物を、式3:
式中、z、R1、R2、R3、R4、R5、環A、環B、Q1、Q2、L、及び、X1は、本明細書で定義した通りであり、また、LGは、脱離基(例えば、-OH、C1-6アルコキシ、または、ハロ)である。
式2の化合物と式3の化合物とのカップリングでは、一般的には、カルボジイミド(例えば、Ν、Ν’-ジシクロヘキシルカルボジイミド(DCC)、Ν、Ν’-ジシクロペンチルカルボジイミド、N、N’-ジイソプロピルカルボジイミド(DIC)、1-エチル-3-(3-ジメチルアミノプロピル)カルボジイミド(EDC)、N-t-ブチル-N-メチルカルボジイミド(BMC)、N-t-ブチル-N-エチルカルボジイミド(BEC)、1,3-ビス(2,2-ジメチル-1,3-ジオキソラン-4-イルメチル)カルボジイミド(BDDC)など)、無水物(例えば、対称の、混合した、または、環状の無水物)、活性化エステル(例えば、フェニル活性化エステル誘導体、p-ヒドロキサム酸活性化エステル、ヘキサフルオロアセトン(HFA)など)、アシルアゾール(CDIを使用するアシルイミダゾール、アシルベンゾトリアゾールなど)、アシルアジド、酸ハロゲン化物、ホスホニウム塩(HOBt、PyBOP、HOAtなど)、アミニウム/ウロニウム塩(例えば、テトラメチルアミニウム塩、ビスピロリジノアミニウム塩、ビスピペリジノアミニウム塩、イミダゾリウムウロニウム塩、ピリミジニウムウロニウム塩、N、N、N’-トリメチル-N’-フェニル尿素から誘導したウロニウム塩、モルホリノをベースとしたアミニウム/ウロニウムカップリング試薬、アンチモン酸ウロニウム塩など)、有機リン試薬(例えば、ホスフィン酸誘導体、及び、リン酸誘導体、例えば、プロピルホスホン酸無水物など)、有機硫黄試薬(例えば、スルホン酸誘導体)、トリアジンカップリング試薬(例えば、2-クロロ-4,6-ジメトキシ-1,3,5-トリアジン、4-(4,6-ジメトキシ-1、3,5-トリアジン-2-イル)-4 メチルモルホリニウムクロリド、4-(4,6-ジメトキシ-1,3,5-トリアジン-2-イル)-4 メチルモルホリニウムテトラフルオロボレートなど)、ピリジニウムカップリング試薬(例えば、Mukaiyama’s reagent,テトラフルオロホウ酸ピリジニウムカップリング試薬など)など(例えば、El-Faham,et al.,Chem.Rev.,2011,111(11):6557-6602;Han,et al.,Tetrahedron,2004,60:2447-2467を参照されたい)の適切な試薬を使用する。
スキームIIに示す以下の反応は、本明細書に記載した様々なB環の合成のために使用することができる例示的な一般的方法を示しており、この方法は、式1の様々な化合物を調製するために利用することができ、同化合物を、本明細書に記載した方法、例えば、スキームIで使用すると、式Iの化合物を提供することができる。スキームIIでは、R1と環Aは、本明細書で定義した通りのものであり、そして、R101は、部分
または、窒素保護基である。スキームIIでは、環Bがイソキサゾリルである式Iの化合物は、式1-aの化合物で示している対応するアルキンから調製することができる。環Bがオキサジアゾリルである式Iの化合物は、式1-bの化合物で示している対応するエステル(例えば、メチルエステル)から調製することができる。環Bがオキサジアゾリルである式Iの化合物は、式1-bの化合物で示している対応するエステル(例えば、メチルエステル)を介して、式1-cの化合物で示している対応するヒドラジンカルボニルから調製することができる。環Bがオキサジアゾリルである式Iの化合物は、式1-dの化合物で示している対応するシアノ置換中間体から調製することができる。環Bがオキサゾリルである式Iの化合物は、式1-eの化合物で示している対応するアルファ-ハロエステルから調製することができる。あるいは、環Bがイソキサゾリルである式Iの化合物は、式1-fの化合物で示している対応するオキソプロパン酸メチルから調製することができる。
適切な出発物質、及び、試薬(すなわち、ジアミン、エステル、及び、酸)は、当業者に公知の方法で購入または調製することができる。
以下の実施例で、本開示の特定の実施形態を説明する。当業者であれば、以下の実施例に開示する技術が、本開示を実施する上で十分に機能するための技術を表しており、それ故に、その実施のための特定の方法を構成するものと見なすことができることを理解する。しかしながら、当業者には、本開示の趣旨及び範囲から逸脱することなく、本開示に照らして、開示した特定の実施形態において数多くの変更を加えることができ、なおも同様の、または、類似の結果を得ることができることを理解するであろう。
一般的な実験方法
使用した溶媒は、すべて市販されており、さらに精製をせずに使用した。反応は、通常、窒素の不活性雰囲気下で、無水溶媒を使用して実施した。
使用した溶媒は、すべて市販されており、さらに精製をせずに使用した。反応は、通常、窒素の不活性雰囲気下で、無水溶媒を使用して実施した。
NMR分光法:
1H核磁気共鳴(NMR)分光法を、300MHzで作動するBBFO 300MHzプローブを装備したBruker Avance III、または、以下の機器:プローブDUAL 400 MHz S1を装備したBruker Avance 400機器、プローブ6 S1 400MHz 5mm 1H-13C IDを装備したBruker Avance 400機器、プローブBroadband BBFO 5mmダイレクトを装備したnanobayを有するBruker Avance III 400機器、すべてが400MHzで作動するBruker 400 BBOプローブを装備したBruker Mercury Plus 400 NMR分光計の1つを使用して実施した。すべての重水素化溶媒は、通常、0.03%~0.05%v/vのテトラメチルシランを含んでおり、このものを、参照シグナルとして使用した(1H、及び、13Cの双方で、δ0.00に設定した)。特に断りの無い限り、室温付近で規定の溶媒を使用して、400MHzで作動するBruker Avance 400機器を使用して、1H核磁気共鳴(NMR)分光法を実施した。すべての事例において、NMRデータは、提案した構造と一致した。特徴的な化学シフト(δ)は、主要なピークの特定のための従来の略語を使用して、100万率で付与される;例えば、s、一重線;d、二重線;t、三重線;q、四重線;dd、二重線の二重線;dt、三重線の二重線;br、ブロード。
1H核磁気共鳴(NMR)分光法を、300MHzで作動するBBFO 300MHzプローブを装備したBruker Avance III、または、以下の機器:プローブDUAL 400 MHz S1を装備したBruker Avance 400機器、プローブ6 S1 400MHz 5mm 1H-13C IDを装備したBruker Avance 400機器、プローブBroadband BBFO 5mmダイレクトを装備したnanobayを有するBruker Avance III 400機器、すべてが400MHzで作動するBruker 400 BBOプローブを装備したBruker Mercury Plus 400 NMR分光計の1つを使用して実施した。すべての重水素化溶媒は、通常、0.03%~0.05%v/vのテトラメチルシランを含んでおり、このものを、参照シグナルとして使用した(1H、及び、13Cの双方で、δ0.00に設定した)。特に断りの無い限り、室温付近で規定の溶媒を使用して、400MHzで作動するBruker Avance 400機器を使用して、1H核磁気共鳴(NMR)分光法を実施した。すべての事例において、NMRデータは、提案した構造と一致した。特徴的な化学シフト(δ)は、主要なピークの特定のための従来の略語を使用して、100万率で付与される;例えば、s、一重線;d、二重線;t、三重線;q、四重線;dd、二重線の二重線;dt、三重線の二重線;br、ブロード。
薄層クロマトグラフィー:
薄層クロマトグラフィー(TLC)を使用する場合、それは、シリカゲルF254(Merck)プレートを使用したシリカゲルTLCのことを指し、Rfとは、TLCプレートでの溶媒が移動した距離でもって、化合物が移動した距離を割って得た値である。シリカゲルカートリッジでの自動フラッシュクロマトグラフィーシステムを使用して、または、C18カートリッジでの逆相クロマトグラフィーの場合には、カラムクロマトグラフィーを実行した。あるいは、薄層クロマトグラフィー(TLC)を、Mancherey-NagelのAlugram(登録商標)(シリカゲル60 F254)で実行し、そして、通常、UVを使用して、スポットを視覚化した。一部の事例では、視覚化のためのさらなる方法も使用した。これらの事例では、当該TLCプレートを、ヨウ素(約1gのI2を、10gのシリカゲルに対して加え、次いで、十分に混合して生成させた)、ニンヒドリン(Aldrichから市販されている)、または、Magic Stain(25g (ΝΗ4)6Mo7O24・4Η2O、5gの(NH4)2Ce(IV)(NO3)6を含む450mLの水と、50mLの濃H2SO4とを十分に混合して生成させた)で発色させて、当該化合物を可視化する。
薄層クロマトグラフィー(TLC)を使用する場合、それは、シリカゲルF254(Merck)プレートを使用したシリカゲルTLCのことを指し、Rfとは、TLCプレートでの溶媒が移動した距離でもって、化合物が移動した距離を割って得た値である。シリカゲルカートリッジでの自動フラッシュクロマトグラフィーシステムを使用して、または、C18カートリッジでの逆相クロマトグラフィーの場合には、カラムクロマトグラフィーを実行した。あるいは、薄層クロマトグラフィー(TLC)を、Mancherey-NagelのAlugram(登録商標)(シリカゲル60 F254)で実行し、そして、通常、UVを使用して、スポットを視覚化した。一部の事例では、視覚化のためのさらなる方法も使用した。これらの事例では、当該TLCプレートを、ヨウ素(約1gのI2を、10gのシリカゲルに対して加え、次いで、十分に混合して生成させた)、ニンヒドリン(Aldrichから市販されている)、または、Magic Stain(25g (ΝΗ4)6Mo7O24・4Η2O、5gの(NH4)2Ce(IV)(NO3)6を含む450mLの水と、50mLの濃H2SO4とを十分に混合して生成させた)で発色させて、当該化合物を可視化する。
液体クロマトグラフィー質量分析、及び、HPLC分析:
HPLC分析は、Shimadzu 20AB HPLCシステム、フォトダイオードアレイ検出器、及び、Luna-C18(2)2.0×50mm、5μmカラムにて、流量1.2mL/分で勾配溶媒の移動相A(MPA、H2O+0.037%(v/v)TFA):移動相B(MPB、ACN+0.018%(v/v)TFA)(0.01分、10%MPB、4分、80%MPB、4,9分、80%MPB、4.92分、10%MPB、5.5分、10%MPB)で行った。LCMSは、220及び254nmで検出し、または、蒸発光散乱(ELSD)検出、及び、ポジティブエレクトロスプレーイオン化(MS)を用いた。セミ分取HPLCは、酸性または中性条件のいずれかで行った。酸性:Luna C18 100×30mm、5μm、MPA:HCl/H2O=0.04%、または、ギ酸/H2O=0.2%(v/v)、MPB:ACN。中性:Waters Xbridge 150×25、5μm、MPA:10mM NH4HCO3 H2O溶液、MPB:ACN。双方の条件に対する勾配:10%MPB~80%MPB、12分間、流量20mL/分、その後、100%MPB、2分間、10%MPB、2分間、UV検出器。SFC分析は、Thar分析SFCシステム、UV/可視検出器、ならびに、AD-3、AS-H、OJ-3、OD-3、AY-3、及び、IC-3を含む一連のキラルカラム、4.6×100mm、3μmカラムにて、流量4mL/分で勾配溶媒の移動相A(MPA、CO2):移動相B(MPB、MeOH+0.05%(v/v)IPAm)(0.01分、10%MPB、3分、40%MPB、3.5分、40%MPB、3.56~5分、10%MPB)で行った。SFC分取は、Thar80分取SFCシステム、UV/可視検出器、ならびに、AD-H、AS-H、OJ-H、OD-H、AY-H、及び、IC-Hを含む一連のキラル分取カラム、30×250mm、5umカラムにて、流量65mL/分で勾配溶媒移動相A(MPA、CO2):移動相B(MPB、MeOH+0.1%(v/v)NH3H2O)(0.01分、10%MPB、5分、40%MPB,6分、40%MPB、6.1~10分、10%MPB)で行った。また、LC-MSデータを、PDA検出器を装備し、かつ、ポジティブ及びネガティブの交互のエレクトロスプレーイオン化モードで作動するWatersの単一四重極質量分析計に接続したUPLC-MS Acquity(商標)システムを使用して収集した。使用したカラムは、Cortecs UPLC C18、1.6μm、2.1×50mmであった。95%A(A:0.1%ギ酸水溶液)で開始し、そして、95%B(B:0.1%ギ酸を含むMeCN)で終わる線形勾配を、2.0分以上、総実行時間2.5分で適用した。カラム温度は、40℃で、流速は、0.8mL/分であった。
HPLC分析は、Shimadzu 20AB HPLCシステム、フォトダイオードアレイ検出器、及び、Luna-C18(2)2.0×50mm、5μmカラムにて、流量1.2mL/分で勾配溶媒の移動相A(MPA、H2O+0.037%(v/v)TFA):移動相B(MPB、ACN+0.018%(v/v)TFA)(0.01分、10%MPB、4分、80%MPB、4,9分、80%MPB、4.92分、10%MPB、5.5分、10%MPB)で行った。LCMSは、220及び254nmで検出し、または、蒸発光散乱(ELSD)検出、及び、ポジティブエレクトロスプレーイオン化(MS)を用いた。セミ分取HPLCは、酸性または中性条件のいずれかで行った。酸性:Luna C18 100×30mm、5μm、MPA:HCl/H2O=0.04%、または、ギ酸/H2O=0.2%(v/v)、MPB:ACN。中性:Waters Xbridge 150×25、5μm、MPA:10mM NH4HCO3 H2O溶液、MPB:ACN。双方の条件に対する勾配:10%MPB~80%MPB、12分間、流量20mL/分、その後、100%MPB、2分間、10%MPB、2分間、UV検出器。SFC分析は、Thar分析SFCシステム、UV/可視検出器、ならびに、AD-3、AS-H、OJ-3、OD-3、AY-3、及び、IC-3を含む一連のキラルカラム、4.6×100mm、3μmカラムにて、流量4mL/分で勾配溶媒の移動相A(MPA、CO2):移動相B(MPB、MeOH+0.05%(v/v)IPAm)(0.01分、10%MPB、3分、40%MPB、3.5分、40%MPB、3.56~5分、10%MPB)で行った。SFC分取は、Thar80分取SFCシステム、UV/可視検出器、ならびに、AD-H、AS-H、OJ-H、OD-H、AY-H、及び、IC-Hを含む一連のキラル分取カラム、30×250mm、5umカラムにて、流量65mL/分で勾配溶媒移動相A(MPA、CO2):移動相B(MPB、MeOH+0.1%(v/v)NH3H2O)(0.01分、10%MPB、5分、40%MPB,6分、40%MPB、6.1~10分、10%MPB)で行った。また、LC-MSデータを、PDA検出器を装備し、かつ、ポジティブ及びネガティブの交互のエレクトロスプレーイオン化モードで作動するWatersの単一四重極質量分析計に接続したUPLC-MS Acquity(商標)システムを使用して収集した。使用したカラムは、Cortecs UPLC C18、1.6μm、2.1×50mmであった。95%A(A:0.1%ギ酸水溶液)で開始し、そして、95%B(B:0.1%ギ酸を含むMeCN)で終わる線形勾配を、2.0分以上、総実行時間2.5分で適用した。カラム温度は、40℃で、流速は、0.8mL/分であった。
一般手順A、T3Pカップリング:
アミン(1当量)、及び、カルボン酸(1.5当量)を含有するDMFまたはEtOAc(0.1M~0.2M)が入ったフラスコに、N-メチルイミダゾール、ジイソプロピルエチルアミン、または、トリエチルアミン(3.0~5.0当量)のいずれかを加え、続いて、T3P溶液(1.5~3.0当量、EtOAc中50%)を加えた。得られた反応混合物を、室温で、4時間攪拌し、この時点で、1M NaOH溶液を加え、続いて、EtOAcを加えた。これらの層を分離し、そして、水層を、EtOAc(3×)で抽出した。合わせた有機層を、無水MgSO4で乾燥させ、濾過し、そして、減圧下で濃縮した。当該粗反応混合物を、シリカフラッシュクロマトグラフィー、または、逆相HPLCを使用して精製して、所望の産物を得た。
アミン(1当量)、及び、カルボン酸(1.5当量)を含有するDMFまたはEtOAc(0.1M~0.2M)が入ったフラスコに、N-メチルイミダゾール、ジイソプロピルエチルアミン、または、トリエチルアミン(3.0~5.0当量)のいずれかを加え、続いて、T3P溶液(1.5~3.0当量、EtOAc中50%)を加えた。得られた反応混合物を、室温で、4時間攪拌し、この時点で、1M NaOH溶液を加え、続いて、EtOAcを加えた。これらの層を分離し、そして、水層を、EtOAc(3×)で抽出した。合わせた有機層を、無水MgSO4で乾燥させ、濾過し、そして、減圧下で濃縮した。当該粗反応混合物を、シリカフラッシュクロマトグラフィー、または、逆相HPLCを使用して精製して、所望の産物を得た。
一般手順B、ヒドラジド形成:
メチルエステル(1当量)を含むEtOH(0.25~0.1M)の懸濁液に対して、ヒドラジン水和物(3~5当量)を加え、そして、反応混合物を、90℃で、一晩、加熱した。当該反応混合物を室温にまで冷却すると、しばしば、溶液から産物が結晶化した。この固形物を、上清を除去して回収した。産物が結晶化しない場合、当該溶液を濃縮して得た当該粗産物は、次工程での使用に十分なほどの純粋であった。
メチルエステル(1当量)を含むEtOH(0.25~0.1M)の懸濁液に対して、ヒドラジン水和物(3~5当量)を加え、そして、反応混合物を、90℃で、一晩、加熱した。当該反応混合物を室温にまで冷却すると、しばしば、溶液から産物が結晶化した。この固形物を、上清を除去して回収した。産物が結晶化しない場合、当該溶液を濃縮して得た当該粗産物は、次工程での使用に十分なほどの純粋であった。
中間体1:tert-ブチル((3R,6S)-6-(5-(2-(トリフルオロメトキシ)エトキシ)-1,3,4-オキサジアゾール-2-イル)テトラヒドロ-2H-ピラン-3-イル)カルバメート
tert-ブチル((3R,6S)-6-(5-メルカプト-1,3,4-オキサジアゾール-2-イル)テトラヒドロ-2H-ピラン-3-イル)カルバメート:
tert-ブチル((3R,6S)-6-(ヒドラジンカルボニル)テトラヒドロ-2H-ピラン-3-イル)カルバメート(1.0g、3.86mmol)を含むMeOH(15mL)の混合物に対して、KOH(260mg、4.63mmol)に加え、この混合物を、25℃で、0.5時間撹拌し、CS2(587mg、7.71mmol)を加え、そして、混合物を、80℃で、16時間撹拌した。反応混合物を減圧下で濃縮して残渣を得て、そして、この残渣を、H2O(50mL)で再溶解し、次いで、pH=3に調整し、濾過し、濾過したケーキを減圧下で濃縮して、所望の産物を得た。LCMS:m/z
= 246.1 [M-55]+. 1H NMR (400MHz, CDCl3) δ =
4.58-4.41 (m, 2H), 4.15 (br d, J = 7.8 Hz, 1H), 3.76 (br d, J = 18.3 Hz, 1H), 3.25(br t, J = 10.1 Hz, 1H), 2.27-1.95 (m, 3H), 1.46 (br
s, 10H).
tert-ブチル((3R,6S)-6-(5-メルカプト-1,3,4-オキサジアゾール-2-イル)テトラヒドロ-2H-ピラン-3-イル)カルバメート:
tert-ブチル((3R,6S)-6-(ヒドラジンカルボニル)テトラヒドロ-2H-ピラン-3-イル)カルバメート(1.0g、3.86mmol)を含むMeOH(15mL)の混合物に対して、KOH(260mg、4.63mmol)に加え、この混合物を、25℃で、0.5時間撹拌し、CS2(587mg、7.71mmol)を加え、そして、混合物を、80℃で、16時間撹拌した。反応混合物を減圧下で濃縮して残渣を得て、そして、この残渣を、H2O(50mL)で再溶解し、次いで、pH=3に調整し、濾過し、濾過したケーキを減圧下で濃縮して、所望の産物を得た。LCMS:m/z
= 246.1 [M-55]+. 1H NMR (400MHz, CDCl3) δ =
4.58-4.41 (m, 2H), 4.15 (br d, J = 7.8 Hz, 1H), 3.76 (br d, J = 18.3 Hz, 1H), 3.25(br t, J = 10.1 Hz, 1H), 2.27-1.95 (m, 3H), 1.46 (br
s, 10H).
tert-ブチル((3R,6S)-6-(5-(メチルチオ)-1,3,4-オキサジアゾール-2-イル)テトラヒドロ-2H-ピラン-3-イル)カルバメート:
tert-ブチル((3R,6S)-6-(5-メルカプト-1,3,4-オキサジアゾール-2-イル)テトラヒドロ-2H-ピラン-3-イル)カルバメート(3.7g、12.28mmol)を含むDMF(60mL)の混合物に対して、K2CO3(3.39g、24.56mmol)と、MeI(3.49g、24.56mmol)を加え、そして、この混合物を、20℃で、12時間撹拌した。反応混合物を、H2O(50mL)で希釈し、そして、EtOAc(3×30mL)で抽出した。合わせた有機層を飽和食塩水(50mL)で洗浄し、無水Na2SO4で乾燥させ、濾過し、減圧下で濃縮して残渣を得て、このものを、シリカゲルカラムクロマトグラフィー(PE:EtOAc=1:0~0:1)で精製して、所望の産物を得た。LCMS:m/z = 260.1 [M-5
5]+. 1H NMR (400MHz, CDCl3) δ =4.62 (br dd,
J = 2.8, 9.5 Hz, 1H), 4.49 (br s, 1H), 4.14 (
br dd, J = 3.4, 10.9 Hz,1H), 3.81-3.69 (m, 1
H), 3.26 (br t, J = 10.0 Hz, 1H), 2.72 (s, 3H
), 2.27-2.00 (m,3H), 1.56-1.39 (m, 10H).
tert-ブチル((3R,6S)-6-(5-メルカプト-1,3,4-オキサジアゾール-2-イル)テトラヒドロ-2H-ピラン-3-イル)カルバメート(3.7g、12.28mmol)を含むDMF(60mL)の混合物に対して、K2CO3(3.39g、24.56mmol)と、MeI(3.49g、24.56mmol)を加え、そして、この混合物を、20℃で、12時間撹拌した。反応混合物を、H2O(50mL)で希釈し、そして、EtOAc(3×30mL)で抽出した。合わせた有機層を飽和食塩水(50mL)で洗浄し、無水Na2SO4で乾燥させ、濾過し、減圧下で濃縮して残渣を得て、このものを、シリカゲルカラムクロマトグラフィー(PE:EtOAc=1:0~0:1)で精製して、所望の産物を得た。LCMS:m/z = 260.1 [M-5
5]+. 1H NMR (400MHz, CDCl3) δ =4.62 (br dd,
J = 2.8, 9.5 Hz, 1H), 4.49 (br s, 1H), 4.14 (
br dd, J = 3.4, 10.9 Hz,1H), 3.81-3.69 (m, 1
H), 3.26 (br t, J = 10.0 Hz, 1H), 2.72 (s, 3H
), 2.27-2.00 (m,3H), 1.56-1.39 (m, 10H).
tert-ブチル((3R,6S)-6-(5-(メチルスルホニル)-1,3,4-オキサジアゾール-2-イル)テトラヒドロ-2H-ピラン-3-イル)カルバメート:
tert-ブチル((3R,6S)-6-(5-(メチルチオ)-1,3,4-オキサジアゾール-2-イル)テトラヒドロ-2H-ピラン-3-イル)カルバメート(2.6g、8.24mmol)を含むDCM(40mL)の混合物に対して、25℃で、N2下で、m-CPBA(7.11g、32.98mmol、純度80%)を加え、そして、この混合物を、25℃で、16時間撹拌した。反応混合物を、Na2S2O3溶液(3×40mL)で希釈し、NaHCO3溶液(3×40mL)で洗浄し、そして、DCM(3×30mL)で抽出した。合わせた有機層を、飽和食塩水(30mL)で洗浄し、無水Na2SO4で乾燥させ、濾過し、減圧下で濃縮して、所望の産物を得た。LCMS: m/
z = 292.0 [M-55]+. 1HNMR (400MHz, CDCl3) δ =
4.74 (dd, J = 2.8, 10.2 Hz, 1H), 4.46 (br s,
1H), 4.19 (br dd, J = 3.6, 10.7 Hz, 1H), 3.77
(br d, J = 6.2 Hz, 1H), 3.48 (s, 3H),3.29 (b
r t, J = 10.0 Hz, 1H), 2.31-2.05 (m, 3H), 1.63-1.38 (m, 10H).
tert-ブチル((3R,6S)-6-(5-(メチルチオ)-1,3,4-オキサジアゾール-2-イル)テトラヒドロ-2H-ピラン-3-イル)カルバメート(2.6g、8.24mmol)を含むDCM(40mL)の混合物に対して、25℃で、N2下で、m-CPBA(7.11g、32.98mmol、純度80%)を加え、そして、この混合物を、25℃で、16時間撹拌した。反応混合物を、Na2S2O3溶液(3×40mL)で希釈し、NaHCO3溶液(3×40mL)で洗浄し、そして、DCM(3×30mL)で抽出した。合わせた有機層を、飽和食塩水(30mL)で洗浄し、無水Na2SO4で乾燥させ、濾過し、減圧下で濃縮して、所望の産物を得た。LCMS: m/
z = 292.0 [M-55]+. 1HNMR (400MHz, CDCl3) δ =
4.74 (dd, J = 2.8, 10.2 Hz, 1H), 4.46 (br s,
1H), 4.19 (br dd, J = 3.6, 10.7 Hz, 1H), 3.77
(br d, J = 6.2 Hz, 1H), 3.48 (s, 3H),3.29 (b
r t, J = 10.0 Hz, 1H), 2.31-2.05 (m, 3H), 1.63-1.38 (m, 10H).
tert-ブチル((3R,6S)-6-(5-(2-(トリフルオロメトキシ)エトキシ)-1,3,4-オキサジアゾール-2-イル)テトラヒドロ-2H-ピラン-3-イル)カルバメート:
2-(トリフルオロメトキシ)エタノールの溶液(7.49g、2.88mmol、THFでの5%溶液)に対して、NaH(138mg、3.45mmol、鉱油中60%)を加え、そして、この混合物を、0℃で、N2下で、0.5時間撹拌した。次いで、tert-ブチル((3R,6S)-6-(5-(メチルスルホニル)-1,3,4-オキサジアゾール-2-イル)テトラヒドロ-2H-ピラン-3-イル)カルバメート(1.0g、2.88mmol)を加え、そして、この混合物を、25℃で、2時間撹拌した。反応混合物を、NH4Cl(20mL)で希釈し、そして、EtOAc(3×20mL)で抽出した。合わせた有機層を、飽和食塩水(20mL)で洗浄し、無水Na2SO4で乾燥させ、減圧下で濃縮して残渣を得て、このものを、シリカゲルカラムクロマトグラフィー(PE:EtOAc=1:0~1:1)で精製して、所望の産物を得た。LCMS:m/z = 342.1 [M-55]+. 1H NMR (400MHz, CDCl3) δ
=4.73-4.67 (m, 2H), 4.51 (m, 2H), 4.37-4.3
1 (m, 2H), 4.17-4.13 (m, 1H), 3.72 (brs, 1H), 3.24 (br t, J = 10.1 Hz, 1H), 2.28-2.00 (m,
3H), 1.44 (s, 10H).
2-(トリフルオロメトキシ)エタノールの溶液(7.49g、2.88mmol、THFでの5%溶液)に対して、NaH(138mg、3.45mmol、鉱油中60%)を加え、そして、この混合物を、0℃で、N2下で、0.5時間撹拌した。次いで、tert-ブチル((3R,6S)-6-(5-(メチルスルホニル)-1,3,4-オキサジアゾール-2-イル)テトラヒドロ-2H-ピラン-3-イル)カルバメート(1.0g、2.88mmol)を加え、そして、この混合物を、25℃で、2時間撹拌した。反応混合物を、NH4Cl(20mL)で希釈し、そして、EtOAc(3×20mL)で抽出した。合わせた有機層を、飽和食塩水(20mL)で洗浄し、無水Na2SO4で乾燥させ、減圧下で濃縮して残渣を得て、このものを、シリカゲルカラムクロマトグラフィー(PE:EtOAc=1:0~1:1)で精製して、所望の産物を得た。LCMS:m/z = 342.1 [M-55]+. 1H NMR (400MHz, CDCl3) δ
=4.73-4.67 (m, 2H), 4.51 (m, 2H), 4.37-4.3
1 (m, 2H), 4.17-4.13 (m, 1H), 3.72 (brs, 1H), 3.24 (br t, J = 10.1 Hz, 1H), 2.28-2.00 (m,
3H), 1.44 (s, 10H).
実施例1:2-(4-クロロフェノキシ)-N-((3R,6S)-6-(5-(2-(トリフルオロメトキシ)エトキシ)-1,3,4-オキサジアゾール-2-イル)テトラヒドロ-2H-ピラン-3-イル)アセトアミド
((2-(トリフルオロメトキシ)エトキシ)メチル)ベンゼン:
AgOTf(50.7g、197.1mmol)を含むEtOAc(380mL)の混合物に対して、窒素雰囲気下で、耐光性容器にて、1-(クロロメチル)-4-フルオロ-1,4-ジアゾニアビシクロ[2.2.2]オクタンジテトラフルオロボレート(52.4g、147.8mmol)、KF(17.2g、295.7mmol)、及び、2-ベンジルオキシエタノール(15.0g、98.6mmol)を加えた後に、2-フルオロピリジン(16.9mL、197.1mmol)、及び、トリメチル(トリフルオロメチル)シラン(28.0g、197.1mmol)を加えた。反応混合物を、30℃で、16時間撹拌した。この反応混合物を、セライトのパッドを通して濾過して、減圧下で濃縮して濾液を得た。粗残渣を、シリカゲルカラムクロマトグラフィーで精製して、所望の産物を得た。1H-NMR(400 MHz, CDCl3): δ 7.40-7.28
(m, 5H), 4.60 (s, 2H), 4.16-4.10 (m, 2H),3.
74-3.67 (m, 2H).
AgOTf(50.7g、197.1mmol)を含むEtOAc(380mL)の混合物に対して、窒素雰囲気下で、耐光性容器にて、1-(クロロメチル)-4-フルオロ-1,4-ジアゾニアビシクロ[2.2.2]オクタンジテトラフルオロボレート(52.4g、147.8mmol)、KF(17.2g、295.7mmol)、及び、2-ベンジルオキシエタノール(15.0g、98.6mmol)を加えた後に、2-フルオロピリジン(16.9mL、197.1mmol)、及び、トリメチル(トリフルオロメチル)シラン(28.0g、197.1mmol)を加えた。反応混合物を、30℃で、16時間撹拌した。この反応混合物を、セライトのパッドを通して濾過して、減圧下で濃縮して濾液を得た。粗残渣を、シリカゲルカラムクロマトグラフィーで精製して、所望の産物を得た。1H-NMR(400 MHz, CDCl3): δ 7.40-7.28
(m, 5H), 4.60 (s, 2H), 4.16-4.10 (m, 2H),3.
74-3.67 (m, 2H).
2-(トリフルオロメトキシ)エタノール:
パラジウム(500mg、炭素に対して10%純度)を含むEtOAc(10mL)の懸濁液に対して、((2-(トリフルオロメトキシ)エトキシ)メチル)ベンゼン(2.0g、9.08mmol)を加えた。反応混合物を、H2(50psi)下で、35℃で、24時間撹拌した。反応混合物を、セライトを通して濾過して、減圧下で濃縮して濾液を得た。この粗残渣を、直接に使用した。1H-NMR(400 MHz, CDCl3): δ 4.00-3.96 (m, 2H), 3.76 (t, J = 4.5 Hz, 2
H).
パラジウム(500mg、炭素に対して10%純度)を含むEtOAc(10mL)の懸濁液に対して、((2-(トリフルオロメトキシ)エトキシ)メチル)ベンゼン(2.0g、9.08mmol)を加えた。反応混合物を、H2(50psi)下で、35℃で、24時間撹拌した。反応混合物を、セライトを通して濾過して、減圧下で濃縮して濾液を得た。この粗残渣を、直接に使用した。1H-NMR(400 MHz, CDCl3): δ 4.00-3.96 (m, 2H), 3.76 (t, J = 4.5 Hz, 2
H).
メチル(2S,5R)-5-(tert-ブトキシカルボニルアミノ)テトラヒドロピラン-2-カルボキシレート:
(2S,5R)-5-(tert-ブトキシカルボニルアミノ)テトラヒドロピラン-2-カルボン酸(245mg、1.00mmol)を含むDCM(4.0mL)の混合物に対して、(トリメチルシリル)ジアゾメタン(1.00mL、2.00mmol、ヘキサンにて2M)を滴下した。この反応混合物を、23℃で、1時間撹拌し、次いで、減圧下で濃縮した。この粗残渣を、直接に使用した。
(2S,5R)-5-(tert-ブトキシカルボニルアミノ)テトラヒドロピラン-2-カルボン酸(245mg、1.00mmol)を含むDCM(4.0mL)の混合物に対して、(トリメチルシリル)ジアゾメタン(1.00mL、2.00mmol、ヘキサンにて2M)を滴下した。この反応混合物を、23℃で、1時間撹拌し、次いで、減圧下で濃縮した。この粗残渣を、直接に使用した。
メチル(2R,5S)-5-アミノテトラヒドロピラン-2-カルボキシレート:
メチル(2R,5S)-5-(tert-ブトキシカルボニルアミノ)テトラヒドロピラン-2-カルボキシレート(1.05g、4.05mmol)を含むDCM(13mL)の混合物に対して、0℃で、トリフルオロ酢酸(3.1mL、40.5mmol)を加えた。反応混合物を、23℃で、4時間撹拌し、次いで、揮発性物質を減圧下で除去した。次に、残渣を、DCM(30mL)で希釈し、そして、飽和含水NaHCO3(50mL)に注いだ。有機物を分離し、そして、DCM:i-PrOHの3:1混合物(3×30mL)を使用して、水溶液を抽出した。合わせた有機物を、無水MgSO4で乾燥させ、濾過し、減圧下で濃縮した。この残渣を、直接に使用した。LCMS:m/z = 160.2 [M+H]+.
メチル(2R,5S)-5-(tert-ブトキシカルボニルアミノ)テトラヒドロピラン-2-カルボキシレート(1.05g、4.05mmol)を含むDCM(13mL)の混合物に対して、0℃で、トリフルオロ酢酸(3.1mL、40.5mmol)を加えた。反応混合物を、23℃で、4時間撹拌し、次いで、揮発性物質を減圧下で除去した。次に、残渣を、DCM(30mL)で希釈し、そして、飽和含水NaHCO3(50mL)に注いだ。有機物を分離し、そして、DCM:i-PrOHの3:1混合物(3×30mL)を使用して、水溶液を抽出した。合わせた有機物を、無水MgSO4で乾燥させ、濾過し、減圧下で濃縮した。この残渣を、直接に使用した。LCMS:m/z = 160.2 [M+H]+.
メチル(2S,5R)-5-[[2-(4-クロロフェノキシ)アセチル]アミノ]テトラヒドロピラン-2-カルボキシレート:
メチル(2S,5R)-5-アミノテトラヒドロピラン-2-カルボキシレート(644mg、4.05mmol)、2-(4-クロロフェノキシ)酢酸(906mg、4.85mmol)、Et3N(2.82mL、20.2mmol)、及び、T3P溶液(7.23mL、12.1mmol、EtOAc中50%)を含むEtOAc(10.1mL)を使用する一般的手順Aを使用して調製した。この粗残渣を、シリカゲルカラムクロマトグラフィーで精製して、所望の産物を得た。LCMS:m/z = 328.3 [M+H
]+.
メチル(2S,5R)-5-アミノテトラヒドロピラン-2-カルボキシレート(644mg、4.05mmol)、2-(4-クロロフェノキシ)酢酸(906mg、4.85mmol)、Et3N(2.82mL、20.2mmol)、及び、T3P溶液(7.23mL、12.1mmol、EtOAc中50%)を含むEtOAc(10.1mL)を使用する一般的手順Aを使用して調製した。この粗残渣を、シリカゲルカラムクロマトグラフィーで精製して、所望の産物を得た。LCMS:m/z = 328.3 [M+H
]+.
2-(4-クロロフェノキシ)-N-((3R,6S)-6-(ヒドラジンカルボニル)テトラヒドロピラン-3-イル)アセトアミド:
メチル(2S,5R)-5-[[2-(4-クロロフェノキシ)アセチル]アミノ]テトラヒドロピラン-2-カルボキシレート(622mg、1.9mmol)、及び、ヒドラジン水和物を含むEtOH(12.7mL)を使用して、一般手順Bに従って調製した。反応混合物を、減圧下で濃縮し、そして、この粗残渣を、直接に使用した。LCMS:m/z = 328.3 [M+H]+.
メチル(2S,5R)-5-[[2-(4-クロロフェノキシ)アセチル]アミノ]テトラヒドロピラン-2-カルボキシレート(622mg、1.9mmol)、及び、ヒドラジン水和物を含むEtOH(12.7mL)を使用して、一般手順Bに従って調製した。反応混合物を、減圧下で濃縮し、そして、この粗残渣を、直接に使用した。LCMS:m/z = 328.3 [M+H]+.
2-(トリフルオロメトキシ)エチル2-((2S,5R)-5-(2-(4-クロロフェノキシ)アセトアミド)テトラヒドロ-2H-ピラン-2-カルボニル)ヒドラジンカルボキシレート:
2-(トリフルオロメトキシ)エタノール(100mg、0.76mmol)、及び、トリホスゲン(46mg、0.15mmol)を含むTHF(2.0mL)の溶液に対して、0℃で、ピリジン(91mg、1.15mmol)を滴下して加えた。反応混合物を、20℃で、1時間撹拌し、次いで、2-(4-クロロフェノキシ)-N-((3R、6S)-6-(ヒドラジンカルボニル)テトラヒドロ-2H-ピラン-3-イル)アセトアミド(126mg、0.38mmol)を加えた。得られた混合物を、20℃で、さらに15時間撹拌した。反応混合物にH2O(10mL)を加えて反応を停止し、そして、EtOAc(2×5mL)で抽出した。合わせた有機物を、飽和食塩水(5mL)で洗浄し、無水Na2SO4で乾燥させ、濾過し、減圧下で濃縮した。この粗残渣を、逆相HPLCを使用して精製して、所望の産物を得た。LCMS:m/z = 484.1 [M+H
]+.
2-(トリフルオロメトキシ)エタノール(100mg、0.76mmol)、及び、トリホスゲン(46mg、0.15mmol)を含むTHF(2.0mL)の溶液に対して、0℃で、ピリジン(91mg、1.15mmol)を滴下して加えた。反応混合物を、20℃で、1時間撹拌し、次いで、2-(4-クロロフェノキシ)-N-((3R、6S)-6-(ヒドラジンカルボニル)テトラヒドロ-2H-ピラン-3-イル)アセトアミド(126mg、0.38mmol)を加えた。得られた混合物を、20℃で、さらに15時間撹拌した。反応混合物にH2O(10mL)を加えて反応を停止し、そして、EtOAc(2×5mL)で抽出した。合わせた有機物を、飽和食塩水(5mL)で洗浄し、無水Na2SO4で乾燥させ、濾過し、減圧下で濃縮した。この粗残渣を、逆相HPLCを使用して精製して、所望の産物を得た。LCMS:m/z = 484.1 [M+H
]+.
2-(4-クロロフェノキシ)-N-((3R,6S)-6-(5-(2-(トリフルオロメトキシ)エトキシ)-1,3,4-オキサジアゾール-2-イル)テトラヒドロ-2H-ピラン-3-イル)アセトアミド:
2-(トリフルオロメトキシ)エチル2-((2S,5R)-5-(2-(4-クロロフェノキシ)アセトアミド)テトラヒドロ-2H-ピラン-2-カルボニル)ヒドラジンカルボキシレート(50mg、0.10mmol)を含むMeCN(2.0mL)の溶液に対して、p-TsCl(79mg、0.41mmol)と、Cs2CO3(202mg、0.62mmol)を加えた。反応混合物を、15℃で、16時間撹拌した。反応混合物を、氷水(15mL)に注ぎ、そして、水層を、EtOAc(3×5mL)で抽出した。有機層を、飽和食塩水(5mL)で洗浄し、無水Na2SO4で乾燥させ、濾過し、そして、減圧下で濃縮した。この粗残渣を、逆相HPLCを使用して精製して、所望の産物を得た。LCMS:m/z = 466.1 [M+H]+. 1H-NMR (400 MHz, CDCl3): δ7.33-7.28 (m, 2H), 6.90-6.85 (m, 2H), 6.46 (br d, J = 7.7 Hz, 1H), 4.75-4.69
(m,2H), 4.62-4.57 (m, 1H), 4.47 (s, 2H), 4.37-4.32 (m, 2H), 4.22-4.10 (m, 2H), 3.41-3.34(m, 1H), 2.31-2.21 (m, 1H), 2.16-2.06 (m,
2H), 1.72-1.62 (m, 1H).
2-(トリフルオロメトキシ)エチル2-((2S,5R)-5-(2-(4-クロロフェノキシ)アセトアミド)テトラヒドロ-2H-ピラン-2-カルボニル)ヒドラジンカルボキシレート(50mg、0.10mmol)を含むMeCN(2.0mL)の溶液に対して、p-TsCl(79mg、0.41mmol)と、Cs2CO3(202mg、0.62mmol)を加えた。反応混合物を、15℃で、16時間撹拌した。反応混合物を、氷水(15mL)に注ぎ、そして、水層を、EtOAc(3×5mL)で抽出した。有機層を、飽和食塩水(5mL)で洗浄し、無水Na2SO4で乾燥させ、濾過し、そして、減圧下で濃縮した。この粗残渣を、逆相HPLCを使用して精製して、所望の産物を得た。LCMS:m/z = 466.1 [M+H]+. 1H-NMR (400 MHz, CDCl3): δ7.33-7.28 (m, 2H), 6.90-6.85 (m, 2H), 6.46 (br d, J = 7.7 Hz, 1H), 4.75-4.69
(m,2H), 4.62-4.57 (m, 1H), 4.47 (s, 2H), 4.37-4.32 (m, 2H), 4.22-4.10 (m, 2H), 3.41-3.34(m, 1H), 2.31-2.21 (m, 1H), 2.16-2.06 (m,
2H), 1.72-1.62 (m, 1H).
実施例6:N-[(3R,6S)-6-[5-[2-(トリフルオロメトキシ)エトキシ]-1,3,4-オキサジアゾール-2-イル]テトラヒドロピラン-3-イル]-6-(トリフルオロメチル)キノキサリン-2-カルボキサミド
N-[(3R,6S)-6-[5-[2-(トリフルオロメトキシ)エトキシ]-1,3,4-オキサジアゾール-2-イル]テトラヒドロピラン-3-イル]-6-(トリフルオロメチル)キノキサリン-2-カルボキサミドは、(3R,6S)-6-(5-(2-(トリフルオロメトキシ)エトキシ)-1,3,4-オキサジアゾール-2-イル)テトラヒドロ-2H-ピラン-3-アミン(50mg、0.122mmol)、6-(トリフルオロメチル)キノキサリン-2-カルボン酸(35.4mg、0.146mmol)、NEt3(61.5mg、0.61mmol)、及び、T3P溶液(77mg、0.243mmol、0.145mL、EtOAc中50%)を含むEtOAc(0.82mL)を、25℃で、16時間使用して、一般手順Aに従って調製した。残渣を、逆相HPLCで精製して、所望の産物を得た。LC-MS:m/z = 522.2. 1H-NMR (400 MHz;CDCl3): δ 8.54 (s, 1H), 8.31(d, J =
8.8 Hz, 1H), 8.06 (dd, J = 8.9, 2.0 Hz, 1H), 7.94 (d, J = 8.4 Hz, 1H), 4.77-4.70(m, 3H),
4.41-4.28 (m, 4H), 3.58 (dd, J = 11.1, 8.8 H
z, 1H), 2.46-2.40 (m, 1H),2.30-2.17 (m, 2H), 1.93-1.84 (m, 1H).
8.8 Hz, 1H), 8.06 (dd, J = 8.9, 2.0 Hz, 1H), 7.94 (d, J = 8.4 Hz, 1H), 4.77-4.70(m, 3H),
4.41-4.28 (m, 4H), 3.58 (dd, J = 11.1, 8.8 H
z, 1H), 2.46-2.40 (m, 1H),2.30-2.17 (m, 2H), 1.93-1.84 (m, 1H).
実施例21:2-(4-クロロフェノキシ)-N-((3R,6S)-6-(5-(3-(トリフルオロメトキシ)プロピル)-1,3,4-オキサジアゾール-2-イル)テトラヒドロ-2H-ピラン-3-イル)アセトアミド
4-(トリフルオロメトキシ)ブタン酸:
暗所に置いたフラスコに、KF(3.55g、60.0mmol)、SelectFluor(15.9g、45.0mmol)、AgOTf(11.6g、45.0mmol)、及び、tert-ブチル4-ヒドロキシブタノエート(2.4g、15.0mmol)を入れた。次いで、この混合物を、EtOAc(73mL)に溶解し、続いて、2-フルオロピリジン(3.87mL、45.0mmol)、及び、トリメチル(トリフルオロメチル)シラン(6.65mL、45.0mmol)を加えた。反応混合物を、23℃で、16時間撹拌し、次いで、セライトのプラグを通して濾過し、そして、減圧下で濃縮した。この残渣を、Et2Oとヘキサンの1:1混合物に懸濁させた。この懸濁液を、シリカのパッドを通して濾過し、減圧下で濃縮した。残渣を、23℃で、DCM(10mL)及びTFA(10mL)に溶解し、そして、4時間撹拌した。次いで、混合物を減圧下で濃縮し、そして、残渣を、Et2O(25mL)と水(25mL)との間で分配した。層を分離し、そして、水層を、Et2O(3×10mL)で抽出した。合わせた有機層を、無水MgSO4で乾燥させ、濾過し、減圧下で濃縮した。この粗残渣を、直接に使用した。
暗所に置いたフラスコに、KF(3.55g、60.0mmol)、SelectFluor(15.9g、45.0mmol)、AgOTf(11.6g、45.0mmol)、及び、tert-ブチル4-ヒドロキシブタノエート(2.4g、15.0mmol)を入れた。次いで、この混合物を、EtOAc(73mL)に溶解し、続いて、2-フルオロピリジン(3.87mL、45.0mmol)、及び、トリメチル(トリフルオロメチル)シラン(6.65mL、45.0mmol)を加えた。反応混合物を、23℃で、16時間撹拌し、次いで、セライトのプラグを通して濾過し、そして、減圧下で濃縮した。この残渣を、Et2Oとヘキサンの1:1混合物に懸濁させた。この懸濁液を、シリカのパッドを通して濾過し、減圧下で濃縮した。残渣を、23℃で、DCM(10mL)及びTFA(10mL)に溶解し、そして、4時間撹拌した。次いで、混合物を減圧下で濃縮し、そして、残渣を、Et2O(25mL)と水(25mL)との間で分配した。層を分離し、そして、水層を、Et2O(3×10mL)で抽出した。合わせた有機層を、無水MgSO4で乾燥させ、濾過し、減圧下で濃縮した。この粗残渣を、直接に使用した。
2-(4-クロロフェノキシ)-N-[(3S,6R)-6-[[4-(トリフルオロメトキシ)ブタノイルアミノ]カルバモイル]テトラヒドロピラン-3-イル]アセトアミド:
2-(4-クロロフェノキシ)-N-[(3S,6R)-6-(ヒドラジンカルボニル)テトラヒドロピラン-3-イル]アセトアミド(400mg、1.22mmol)を、MeCN(12.2mL)で懸濁させ、そして、4-(トリフルオロメトキシ)ブタン酸(315mg、1.83mmol)、NEt3(0.85mL、6.1mmol)、及び、T3P溶液(1.09mL、3.66mmol、EtOAc中50%)を加えた。得られた反応混合物を、23℃で、12時間撹拌した。飽和含水NaHCO3(5mL)、及び、DCM(10mL)を加えて、反応混合物の反応を停止した。層を分離し、そして、水層を、3:1のDCM:i-PrOH(3×10mL)で抽出した。合わせた有機層を、無水MgSO4で乾燥させ、濾過し、減圧下で濃縮した。この粗残渣を、直接に使用した。
2-(4-クロロフェノキシ)-N-[(3S,6R)-6-(ヒドラジンカルボニル)テトラヒドロピラン-3-イル]アセトアミド(400mg、1.22mmol)を、MeCN(12.2mL)で懸濁させ、そして、4-(トリフルオロメトキシ)ブタン酸(315mg、1.83mmol)、NEt3(0.85mL、6.1mmol)、及び、T3P溶液(1.09mL、3.66mmol、EtOAc中50%)を加えた。得られた反応混合物を、23℃で、12時間撹拌した。飽和含水NaHCO3(5mL)、及び、DCM(10mL)を加えて、反応混合物の反応を停止した。層を分離し、そして、水層を、3:1のDCM:i-PrOH(3×10mL)で抽出した。合わせた有機層を、無水MgSO4で乾燥させ、濾過し、減圧下で濃縮した。この粗残渣を、直接に使用した。
2-(4-クロロフェノキシ)-N-((3R,6S)-6-(5-(3-(トリフルオロメトキシ)プロピル)-1,3,4-オキサジアゾール-2-イル)テトラヒドロ-2H-ピラン-3-イル)アセトアミド:
2-(4-クロロフェノキシ)-N-[(3R,6S)-6-[[4-(トリフルオロメトキシ)ブタノイルアミノ]カルバモイル]テトラヒドロピラン-3-イル]アセトアミド(588mg、1.22mmol)を、MeCN(5.5mL)で懸濁させ、そして、p-TsCl(558mg、2.93mmol)、及び、Cs2CO3(1.60g、4.88mmol)を添加した。反応混合物を、80℃で、一晩撹拌した。この反応混合物を、飽和食塩水(10mL)及びEtOAc(10mL)で希釈した。層を分離し、水層を、EtOAc(3×10mL)で抽出した。合わせた有機層を、無水MgSO4で乾燥させ、濾過し、減圧下で濃縮した。この粗反応混合物を、シリカゲルカラムクロマトグラフィーを使用して精製し、次いで、逆相分取HPLCでさらに精製して、所望の産物を得た。LCMS:m/z = 464.4 [M+H]+. 1H-NMR (400 MHz, CDCl3): δ7.33-7.29 (m, 2H), 6.91-6.87 (m,
2H), 6.47 (d, J = 8.0 Hz, 1H), 4.72 (dd, J =
9.1,3.8 Hz, 1H), 4.48-4.47 (m, 2H), 4.22-4.11 (m, 4H), 3.42-3.37 (m, 1H), 3.03 (t, J= 7
.4 Hz, 2H), 2.31-2.09 (m, 5H), 1.74-1.66 (m
, 1H).
2-(4-クロロフェノキシ)-N-[(3R,6S)-6-[[4-(トリフルオロメトキシ)ブタノイルアミノ]カルバモイル]テトラヒドロピラン-3-イル]アセトアミド(588mg、1.22mmol)を、MeCN(5.5mL)で懸濁させ、そして、p-TsCl(558mg、2.93mmol)、及び、Cs2CO3(1.60g、4.88mmol)を添加した。反応混合物を、80℃で、一晩撹拌した。この反応混合物を、飽和食塩水(10mL)及びEtOAc(10mL)で希釈した。層を分離し、水層を、EtOAc(3×10mL)で抽出した。合わせた有機層を、無水MgSO4で乾燥させ、濾過し、減圧下で濃縮した。この粗反応混合物を、シリカゲルカラムクロマトグラフィーを使用して精製し、次いで、逆相分取HPLCでさらに精製して、所望の産物を得た。LCMS:m/z = 464.4 [M+H]+. 1H-NMR (400 MHz, CDCl3): δ7.33-7.29 (m, 2H), 6.91-6.87 (m,
2H), 6.47 (d, J = 8.0 Hz, 1H), 4.72 (dd, J =
9.1,3.8 Hz, 1H), 4.48-4.47 (m, 2H), 4.22-4.11 (m, 4H), 3.42-3.37 (m, 1H), 3.03 (t, J= 7
.4 Hz, 2H), 2.31-2.09 (m, 5H), 1.74-1.66 (m
, 1H).
実施例22:N-[(3S,6R)-6-[5-[3-(トリフルオロメトキシ)プロピル]-1,3,4-オキサジアゾール-2-イル]テトラヒドロピラン-3-イル]-2-[4-(トリフルオロメチル)フェノキシ]アセトアミド
N-[(3S,6R)-6-[[4-(トリフルオロメトキシ)ブタノイルアミノ]カルバモイル]テトラヒドロピラン-3-イル]-2-[4-(トリフルオロメチル)フェノキシ]アセトアミド:
N-[(3S,6R)-6-(ヒドラジンカルボニル)テトラヒドロピラン-3-イル]-2-[4-(トリフルオロメチル)フェノキシ]アセトアミド(150mg、0.42mmol)を、MeCN(4.5mL)に懸濁させ、そして、4-(トリフルオロメトキシ)ブタン酸(107mg、0.62mmol)、及び、NEt3(0.29mL、2.1mmol)、及び、T3P溶液(0.37mL、1.25mmol、EtOAc中50%)を加えた。得られた反応混合物を、23℃で、12時間撹拌した。飽和含水NaHCO3(5mL)、及び、DCM(10mL)を加えて、反応混合物の反応を停止した。層を分離し、そして、水層を、3:1のDCM:i-PrOH(3×10mL)で抽出した。合わせた有機層を、無水MgSO4で乾燥させ、濾過し、減圧下で濃縮した。この粗残渣を、シリカゲルクロマトグラフィーで精製した。
N-[(3S,6R)-6-(ヒドラジンカルボニル)テトラヒドロピラン-3-イル]-2-[4-(トリフルオロメチル)フェノキシ]アセトアミド(150mg、0.42mmol)を、MeCN(4.5mL)に懸濁させ、そして、4-(トリフルオロメトキシ)ブタン酸(107mg、0.62mmol)、及び、NEt3(0.29mL、2.1mmol)、及び、T3P溶液(0.37mL、1.25mmol、EtOAc中50%)を加えた。得られた反応混合物を、23℃で、12時間撹拌した。飽和含水NaHCO3(5mL)、及び、DCM(10mL)を加えて、反応混合物の反応を停止した。層を分離し、そして、水層を、3:1のDCM:i-PrOH(3×10mL)で抽出した。合わせた有機層を、無水MgSO4で乾燥させ、濾過し、減圧下で濃縮した。この粗残渣を、シリカゲルクロマトグラフィーで精製した。
N-[(3S,6R)-6-[5-[3-(トリフルオロメトキシ)プロピル]-1,3,4-オキサジアゾール-2-イル]テトラヒドロピラン-3-イル]-2-[4-(トリフルオロメチル)フェノキシ]アセトアミド:
N-[(3S,6R)-6-[[4-(トリフルオロメトキシ)ブタノイルアミノ]カルバモイル]テトラヒドロピラン-3-イル]-2-[4-(トリフルオロメチル)フェノキシ]アセトアミド(180mg、0.35mmol)を、MeCN(1.7mL)に懸濁させ、そして、p-TsCl(160mg、0.84mmol)、及び、Cs2CO3(458mg、1.4mmol)を加えた。反応混合物を、80℃で、16時間撹拌した。この反応混合物を、飽和食塩水(10mL)及びEtOAc(10mL)で希釈した。層を分離し、水層をEtOAc(3×10mL)で抽出した。合わせた有機層を、無水MgSO4で乾燥させ、濾過し、減圧下で濃縮した。この粗反応混合物を、逆相分取HPLCを使用して精製して、所望の産物を得た。LCMS:m/z = 498.4 [M+
H]+. 1H-NMR (400 MHz, CDCl3): δ7.63-7.61 (m, 2H), 7.03 (dd, J = 9.0, 0.6 Hz, 2H), 6.49 (
d, J = 7.8 Hz, 1H), 4.72(dd, J = 9.1, 3.8 Hz, 1H), 4.56 (s, 2H), 4.24-4.15 (m, 2H), 4.12 (t, J = 6.0 Hz,2H), 3.44-3.38 (m, 1H), 3.03 (
dd, J = 8.2, 6.6 Hz, 2H), 2.32-2.10 (m, 5H), 1.76-1.66(m, 1H).
N-[(3S,6R)-6-[[4-(トリフルオロメトキシ)ブタノイルアミノ]カルバモイル]テトラヒドロピラン-3-イル]-2-[4-(トリフルオロメチル)フェノキシ]アセトアミド(180mg、0.35mmol)を、MeCN(1.7mL)に懸濁させ、そして、p-TsCl(160mg、0.84mmol)、及び、Cs2CO3(458mg、1.4mmol)を加えた。反応混合物を、80℃で、16時間撹拌した。この反応混合物を、飽和食塩水(10mL)及びEtOAc(10mL)で希釈した。層を分離し、水層をEtOAc(3×10mL)で抽出した。合わせた有機層を、無水MgSO4で乾燥させ、濾過し、減圧下で濃縮した。この粗反応混合物を、逆相分取HPLCを使用して精製して、所望の産物を得た。LCMS:m/z = 498.4 [M+
H]+. 1H-NMR (400 MHz, CDCl3): δ7.63-7.61 (m, 2H), 7.03 (dd, J = 9.0, 0.6 Hz, 2H), 6.49 (
d, J = 7.8 Hz, 1H), 4.72(dd, J = 9.1, 3.8 Hz, 1H), 4.56 (s, 2H), 4.24-4.15 (m, 2H), 4.12 (t, J = 6.0 Hz,2H), 3.44-3.38 (m, 1H), 3.03 (
dd, J = 8.2, 6.6 Hz, 2H), 2.32-2.10 (m, 5H), 1.76-1.66(m, 1H).
実施例23:6-クロロ-7-フルオロ-N-((3R,6S)-6-(5-(2-(トリフルオロメトキシ)エトキシ)-1,3,4-オキサジアゾール-2-イル)テトラヒドロ-2H-ピラン-3-イル)キノリン-2-カルボキサミド
(3R,6S)-6-(5-(2-(トリフルオロメトキシ)エトキシ)-1,3,4-オキサジアゾール-2-イル)テトラヒドロ-2H-ピラン-3-アミン(50mg、0.168mmol)、6-クロロ-7-フルオロキノリン-2-カルボン酸(45.54mg、0.201mmol)、NEt3(68.09mg、0.672mmol)、及び、T3P溶液(321.14mg、0.504mmol、0.300mL、EtOAc中50%)を含むEtOAc(2mL)を、25℃で、16時間使用して、一般手順Aに従って調製した。残渣を、以下の条件の分取HPLCで精製した:カラム:Waters
Xbridge Prep OBD C18 150* 40mm* 10μm;移動相:[水(10mM NH4HCO3)-ACN];B%:45%~75%、8分で所望の産物を得た。LC-MS:m/z = 505.1, 507.1 [M+H]+. 1H-NMR (400MHz, CDCl3):δ 8.33-8.24 (m, 2H), 8.10 (br d, J = 7.6 Hz, 1H), 7.98 (d, J = 7.7 H
z, 1H), 7.87(d, J = 9.7 Hz, 1H), 4.76-4.71 (
m, 2H), 4.68 (dd, J = 3.7, 9.1 Hz, 1H), 4.39-4.34(m, 2H), 4.34-4.26 (m, 2H), 3.57-3.50 (m, 1H), 2.40 (br d, J = 12.1 Hz, 1H), 2.29-2.13(m, 2H), 1.91-1.78 (m, 1H).
Xbridge Prep OBD C18 150* 40mm* 10μm;移動相:[水(10mM NH4HCO3)-ACN];B%:45%~75%、8分で所望の産物を得た。LC-MS:m/z = 505.1, 507.1 [M+H]+. 1H-NMR (400MHz, CDCl3):δ 8.33-8.24 (m, 2H), 8.10 (br d, J = 7.6 Hz, 1H), 7.98 (d, J = 7.7 H
z, 1H), 7.87(d, J = 9.7 Hz, 1H), 4.76-4.71 (
m, 2H), 4.68 (dd, J = 3.7, 9.1 Hz, 1H), 4.39-4.34(m, 2H), 4.34-4.26 (m, 2H), 3.57-3.50 (m, 1H), 2.40 (br d, J = 12.1 Hz, 1H), 2.29-2.13(m, 2H), 1.91-1.78 (m, 1H).
実施例24:N-((3R,6S)-6-(5-(2-(トリフルオロメトキシ)エトキシ)-1,3,4-オキサジアゾール-2-イル)テトラヒドロ-2H-ピラン-3-イル)-6-(トリフルオロメチル)キナゾリン-2-カルボキサミド
(3R,6S)-6-(5-(2-(トリフルオロメトキシ)エトキシ)-1,3,4-オキサジアゾール-2-イル)テトラヒドロ-2H-ピラン-3-アミン(59mg、0.20mmol)、6-(トリフルオロメチル)キナゾリン-2-カルボン酸(48mg、0.20mmol)、DIEA(103mg、0.79mmol)、及び、T3P溶液(253mg、0.40mmol、0.24mL、EtOAc中50%)を含むEtOAc(5mL)を、20℃で、5時間使用して、一般手順Aに従って調製した。残渣を、シリカゲルカラムクロマトグラフィー(PE:EtOAc=1:0~0:1)で精製して、所望の産物を得た。LC-MS: m/z = 522.1 [M+H]+. 1H NMR
(400 MHz, CDCl3):δ 9.64 (s, 1H), 8.43-8.36 (m, 2H), 8.27-8.16 (m, 2H), 4.78-4.61 (m, 3
H), 4.44-4.27(m, 4H), 3.54 (dd, J = 8.9, 11.1 Hz, 1H), 2.47-2.36 (m, 1H), 2.28-2.11 (m, 2H),1.93-1.78 (m, 1H).
(400 MHz, CDCl3):δ 9.64 (s, 1H), 8.43-8.36 (m, 2H), 8.27-8.16 (m, 2H), 4.78-4.61 (m, 3
H), 4.44-4.27(m, 4H), 3.54 (dd, J = 8.9, 11.1 Hz, 1H), 2.47-2.36 (m, 1H), 2.28-2.11 (m, 2H),1.93-1.78 (m, 1H).
実施例25:2-(4-ブロモフェノキシ)-N-((3R,6S)-6-(5-(2-(トリフルオロメトキシ)エトキシ)-1,3,4-オキサジアゾール-2-イル)テトラヒドロ-2H-ピラン-3-イル)アセトアミド
(3R,6S)-6-(5-(2-(トリフルオロメトキシ)エトキシ)-1,3,4-オキサジアゾール-2-イル)テトラヒドロ-2H-ピラン-3-アミン:
tert-ブチル((3R,6S)-6-(5-(2-(トリフルオロメトキシ)エトキシ)-1,3,4-オキサジアゾール-2-イル)テトラヒドロ-2H-ピラン-3-イル)カルバメート(50mg、0.13mmol)を含むDCM(2mL)に対して、25℃で、TFA(440mg、3.86mmol、0.29mL)を加え、そして、混合物を、2時間撹拌した。反応混合物を、飽和含水NaHCO3(10mL)で希釈し、そして、DCM(2×10mL)で抽出した。合わせた有機層を、飽和食塩水(10mL)で洗浄し、無水Na2SO4で乾燥させ、濾過し、減圧下で濃縮して、標記化合物を得た。
tert-ブチル((3R,6S)-6-(5-(2-(トリフルオロメトキシ)エトキシ)-1,3,4-オキサジアゾール-2-イル)テトラヒドロ-2H-ピラン-3-イル)カルバメート(50mg、0.13mmol)を含むDCM(2mL)に対して、25℃で、TFA(440mg、3.86mmol、0.29mL)を加え、そして、混合物を、2時間撹拌した。反応混合物を、飽和含水NaHCO3(10mL)で希釈し、そして、DCM(2×10mL)で抽出した。合わせた有機層を、飽和食塩水(10mL)で洗浄し、無水Na2SO4で乾燥させ、濾過し、減圧下で濃縮して、標記化合物を得た。
2-(4-ブロモフェノキシ)-N-((3R,6S)-6-(5-(2-(トリフルオロメトキシ)エトキシ)-1,3,4-オキサジアゾール-2-イル)テトラヒドロ-2H-ピラン-3-イル)アセトアミド:
(3R,6S)-6-(5-(2-(トリフルオロメトキシ)エトキシ)-1,3,4-オキサジアゾール-2-イル)テトラヒドロ-2H-ピラン-3-アミン(30mg、0.10mmol)、2-(4-ブロモフェノキシ)酢酸(28mg、0.12mmol)、NEt3(41mg、0.40mmol)、及び、T3P溶液(193mg、0.30mmol、0.18mL、EtOAc中50%)を含むEtOAc(2mL)を、25℃で、16時間使用して、一般手順Aに従って調製した。残渣を、以下の条件の分取HPLCで精製した:カラム:Waters Xbridge BEH C18 100* 30mm* 10μm;移動相:[水(10mM NH4HCO3)-ACN];B%:40%~70%、10分で所望の産物を得た。LCMS:m/z = 510.1, 51
2.1 [M+H]+. 1H-NMR (400 MHz, CDCl3):δ 7.44
(d, J = 8.8 Hz, 2H), 6.83 (d, J = 8.9 Hz, 2H),
6.45 (br d, J = 7.9 Hz, 1H),4.75-4.69 (m, 2H), 4.60 (t, J = 6.3 Hz, 1H), 4.47 (s, 2H), 4.
38-4.31 (m, 2H), 4.14(br d, J = 8.2 Hz, 2H), 3.37 (br t, J = 10.9 Hz, 1H), 2.26 (br d, J =
12.1 Hz, 1H),2.17-2.09 (m, 2H), 1.66 (br s, 1H).
(3R,6S)-6-(5-(2-(トリフルオロメトキシ)エトキシ)-1,3,4-オキサジアゾール-2-イル)テトラヒドロ-2H-ピラン-3-アミン(30mg、0.10mmol)、2-(4-ブロモフェノキシ)酢酸(28mg、0.12mmol)、NEt3(41mg、0.40mmol)、及び、T3P溶液(193mg、0.30mmol、0.18mL、EtOAc中50%)を含むEtOAc(2mL)を、25℃で、16時間使用して、一般手順Aに従って調製した。残渣を、以下の条件の分取HPLCで精製した:カラム:Waters Xbridge BEH C18 100* 30mm* 10μm;移動相:[水(10mM NH4HCO3)-ACN];B%:40%~70%、10分で所望の産物を得た。LCMS:m/z = 510.1, 51
2.1 [M+H]+. 1H-NMR (400 MHz, CDCl3):δ 7.44
(d, J = 8.8 Hz, 2H), 6.83 (d, J = 8.9 Hz, 2H),
6.45 (br d, J = 7.9 Hz, 1H),4.75-4.69 (m, 2H), 4.60 (t, J = 6.3 Hz, 1H), 4.47 (s, 2H), 4.
38-4.31 (m, 2H), 4.14(br d, J = 8.2 Hz, 2H), 3.37 (br t, J = 10.9 Hz, 1H), 2.26 (br d, J =
12.1 Hz, 1H),2.17-2.09 (m, 2H), 1.66 (br s, 1H).
実施例26:2-(3-フルオロ-4-(トリフルオロメチル)フェノキシ)-N-((3R,6S)-6-(5-(2-(2,2,2-トリフルオロエトキシ)エトキシ)-1,3,4-オキサジアゾール-2-イル)テトラヒドロ-2H-ピラン-3-イル)アセトアミド
tert-ブチル((3R,6S)-6-(5-(2-(2,2,2-トリフルオロエトキシ)エトキシ)-1,3,4-オキサジアゾール-2-イル)テトラヒドロ-2H-ピラン-3-イル)カルバメート:
2-(2,2,2-トリフルオロエトキシ)エタノール(40mg、0.28mmol)を含むTHF(2.0mL)の溶液に対して、0℃で、NaH(13.3mg、0.33mmol、鉱油中60%)を加え、そして、混合物を、0℃で、30分間撹拌した。tert-ブチルN-[(3R,6S)-6-(5-メチルスルホニル-1,3,4-オキサジアゾール-2-イル)テトラヒドロピラン-3-イル]カルバメート(96.43mg、0.28mmol)を、0℃で加え、そして、混合物を、18℃で、2時間撹拌した。この混合物を、飽和NH4Cl溶液(10mL)に注いだ。水相を、EtOAc(3×8mL)で抽出した。合わせた有機相を、飽和食塩水(5mL)で洗浄し、無水Na2SO4で乾燥させ、濾過し、減圧下で濃縮した。残渣を、分取TLC(SiO2、PE:EtOAc=1:3)で精製して、標記化合物を得た。1H-NMR(400MHz, C
DCl3): δ 4.69-4.61 (m, 2H), 4.55-4.42 (m, 2
H), 4.17-4.11 (m,1H), 4.04-3.99 (m, 2H), 3.92 (q, J = 8.6 Hz, 2H), 3.73 (br s, 1H), 3.25 (br t, J= 10.1 Hz, 1H), 2.29-2.16 (m, 1H), 2
.15-1.98 (m, 2H), 1.57-1.42 (m, 10H).
2-(2,2,2-トリフルオロエトキシ)エタノール(40mg、0.28mmol)を含むTHF(2.0mL)の溶液に対して、0℃で、NaH(13.3mg、0.33mmol、鉱油中60%)を加え、そして、混合物を、0℃で、30分間撹拌した。tert-ブチルN-[(3R,6S)-6-(5-メチルスルホニル-1,3,4-オキサジアゾール-2-イル)テトラヒドロピラン-3-イル]カルバメート(96.43mg、0.28mmol)を、0℃で加え、そして、混合物を、18℃で、2時間撹拌した。この混合物を、飽和NH4Cl溶液(10mL)に注いだ。水相を、EtOAc(3×8mL)で抽出した。合わせた有機相を、飽和食塩水(5mL)で洗浄し、無水Na2SO4で乾燥させ、濾過し、減圧下で濃縮した。残渣を、分取TLC(SiO2、PE:EtOAc=1:3)で精製して、標記化合物を得た。1H-NMR(400MHz, C
DCl3): δ 4.69-4.61 (m, 2H), 4.55-4.42 (m, 2
H), 4.17-4.11 (m,1H), 4.04-3.99 (m, 2H), 3.92 (q, J = 8.6 Hz, 2H), 3.73 (br s, 1H), 3.25 (br t, J= 10.1 Hz, 1H), 2.29-2.16 (m, 1H), 2
.15-1.98 (m, 2H), 1.57-1.42 (m, 10H).
(3R,6S)-6-(5-(2-(2,2,2-トリフルオロエトキシ)エトキシ)-1,3,4-オキサジアゾール-2-イル)テトラヒドロ-2H-ピラン-3-アミン:
tert-ブチル((3R,6S)-6-(5-(2-(2,2,2-トリフルオロエトキシ)エトキシ)-1,3,4-オキサジアゾール-2-イル)テトラヒドロ-2H-ピラン-3-イル)カルバメート(54mg、0.13mmol)を含むDCM(2mL)の溶液に対して、TFA(0.4mL)を加え、そして、20℃で、1時間撹拌した。この混合物を減圧下で濃縮して、所望の産物を得た。
tert-ブチル((3R,6S)-6-(5-(2-(2,2,2-トリフルオロエトキシ)エトキシ)-1,3,4-オキサジアゾール-2-イル)テトラヒドロ-2H-ピラン-3-イル)カルバメート(54mg、0.13mmol)を含むDCM(2mL)の溶液に対して、TFA(0.4mL)を加え、そして、20℃で、1時間撹拌した。この混合物を減圧下で濃縮して、所望の産物を得た。
2-(3-フルオロ-4-(トリフルオロメチル)フェノキシ)-N-((3R,6S)-6-(5-(2-(2,2,2-トリフルオロエトキシ)エトキシ)-1,3,4-オキサジアゾール-2-イル)テトラヒドロ-2H-ピラン-3-イル)アセトアミド:
(3R,6S)-6-(5-(2-(2,2,2-トリフルオロエトキシ)エトキシ)-1,3,4-オキサジアゾール-2-イル)テトラヒドロ-2H-ピラン-3-アミン(40mg、0.13mmol)、2-[3-フルオロ-4-(トリフルオロメチル)フェノキシ]酢酸(31mg、0.13mmol)、DIEA(67mg、0.51mmol)、及び、T3P(164mg、0.26mmol、EtOAc中50%)を含むEtOAc(2mL)を、20℃で、16時間使用して、一般手順Aに従って調製した。この混合物を、以下の条件で、p-HPLCで精製した:カラム:Waters Xbridge BEH C18 100*25mm* 5μm;移動相:[水(10mM NH4HCO3)-ACN];B%:30%~60%、10分で、標記化合物を得た。LCMS: m/z = 532.1 [M+H]+. 1H NMR (400 MHz, CDCl3
):δ 7.59 (t, J = 8.3 Hz, 1H), 6.80 (br d, J =
9.9 Hz, 2H), 6.40 (br d, J = 7.7 Hz,1H), 4.69-4.64 (m, 2H), 4.61 (t, J = 6.2 Hz, 1H), 4.53
(s, 2H), 4.23-4.11 (m, 2H),4.05-4.00 (m, 2
H), 3.93 (q, J = 8.6 Hz, 2H), 3.43-3.35 (m, 1H), 2.33-2.22 (m, 1H),2.18-2.07 (m, 2H), 1.71-1.62 (m, 1H).
(3R,6S)-6-(5-(2-(2,2,2-トリフルオロエトキシ)エトキシ)-1,3,4-オキサジアゾール-2-イル)テトラヒドロ-2H-ピラン-3-アミン(40mg、0.13mmol)、2-[3-フルオロ-4-(トリフルオロメチル)フェノキシ]酢酸(31mg、0.13mmol)、DIEA(67mg、0.51mmol)、及び、T3P(164mg、0.26mmol、EtOAc中50%)を含むEtOAc(2mL)を、20℃で、16時間使用して、一般手順Aに従って調製した。この混合物を、以下の条件で、p-HPLCで精製した:カラム:Waters Xbridge BEH C18 100*25mm* 5μm;移動相:[水(10mM NH4HCO3)-ACN];B%:30%~60%、10分で、標記化合物を得た。LCMS: m/z = 532.1 [M+H]+. 1H NMR (400 MHz, CDCl3
):δ 7.59 (t, J = 8.3 Hz, 1H), 6.80 (br d, J =
9.9 Hz, 2H), 6.40 (br d, J = 7.7 Hz,1H), 4.69-4.64 (m, 2H), 4.61 (t, J = 6.2 Hz, 1H), 4.53
(s, 2H), 4.23-4.11 (m, 2H),4.05-4.00 (m, 2
H), 3.93 (q, J = 8.6 Hz, 2H), 3.43-3.35 (m, 1H), 2.33-2.22 (m, 1H),2.18-2.07 (m, 2H), 1.71-1.62 (m, 1H).
実施例27:2-[3-フルオロ-4-(トリフルオロメチル)フェノキシ]-N-[(3R,6S)-6-[5-[3-(トリフルオロメトキシ)シクロブチル]-1,3,4-オキサジアゾール-2-イル]テトラヒドロピラン-3-イル]アセトアミド
(3R,6S)-6-(5-(2-(トリフルオロメトキシ)エトキシ)-1,3,4-オキサジアゾール-2-イル)テトラヒドロ-2H-ピラン-3-アミン(200mg、0.650mmol)、2-[3-フルオロ-4-(トリフルオロメチル)フェノキシ]酢酸(186mg、0.781mmol)、NEt3(329mg、3.25mmol)、及び、T3P溶液(414mg、1.30mmol、0.300mL、EtOAc中50%)を含むEtOAc(3.5mL)を、25℃で、16時間使用して、一般手順Aに従って調製した。残渣を、カラムクロマトグラフィー(0→100% EtOAc/ヘキサン)で精製し、次いで、ジエチルエーテルから再結晶して、所望の産物を得た。LC-MS:m/z = 518.71. 1H-NMR (400 MHz;CDCl3): δ
7.60 (t, J = 8.3 Hz,1H), 6.82 (s, 1H), 6.80
(s, 1H), 6.42 (d, J = 7.7 Hz, 1H), 4.75-4.72 (m, 2H), 4.64-4.61(m, 1H), 4.54 (s, 2H), 4.
37-4.35 (m, 2H), 4.22-4.14 (m, 2H), 3.43-3.38 (m, 1H),2.32-2.25 (m, 1H), 2.14 (dt, J =
9.7, 5.1 Hz, 2H), 1.74-1.63 (m, 1H).
7.60 (t, J = 8.3 Hz,1H), 6.82 (s, 1H), 6.80
(s, 1H), 6.42 (d, J = 7.7 Hz, 1H), 4.75-4.72 (m, 2H), 4.64-4.61(m, 1H), 4.54 (s, 2H), 4.
37-4.35 (m, 2H), 4.22-4.14 (m, 2H), 3.43-3.38 (m, 1H),2.32-2.25 (m, 1H), 2.14 (dt, J =
9.7, 5.1 Hz, 2H), 1.74-1.63 (m, 1H).
実施例28:N-((3R,6S)-6-(5-(2-(2,2,2-トリフルオロエトキシ)エトキシ)-1,3,4-オキサジアゾール-2-イル)テトラヒドロ-2H-ピラン-3-イル)-2-(4-(トリフルオロメチル)フェノキシ)アセトアミド
2-(2,2,2-トリフルオロエトキシ)エチル2-((2S,5R)-5-((tert-ブトキシカルボニル)アミノ)テトラヒドロ-2H-ピラン-2-カルボニル)ヒドラジンカルボキシレート:
2-(2,2,2-トリフルオロエトキシ)エタノール(300mg、2.08mmol)を含むTHF(5mL)の溶液に対して、ビス(トリクロロメチル)カルボネート(216mg、0.73mmol)を加え、続いて、ピリジン(988mg、12.49mmol、1.01mL)を、N2下、0℃で、滴下して加えた。混合物を、20℃で、2時間撹拌した。この混合物に、20℃で、tert-ブチルN-[(3R,6S)-6-(ヒドラジンカルボニル)テトラヒドロピラン-3-イル]カルバメート(378mg、1.46mmol)を加え、そして、14時間撹拌した。混合物を、氷水(45mL)に注ぎ、EtOAc(3×15mL)で抽出した。合わせた有機層を、飽和食塩水(15mL)で洗浄し、無水Na2SO4で乾燥させ、濾過し、減圧下で濃縮して、所望の産物を得た。LCMS: m/z = 374.1 [M+H]+. 1H NMR (400 MHz, DMSO-d6):δ 9.57 (br s, 1H), 9.10 (br s, 1H
), 6.82 (br d, J = 7.8 Hz, 1H), 4.17-4.05 (m,
4H),3.92-3.68 (m, 4H), 3.42-3.34 (m, 1H),
3.07-2.94 (m, 1H), 1.89 (br d, J = 7.9 Hz,2H
), 1.54-1.41 (m, 2H), 1.38 (s, 9H).
2-(2,2,2-トリフルオロエトキシ)エタノール(300mg、2.08mmol)を含むTHF(5mL)の溶液に対して、ビス(トリクロロメチル)カルボネート(216mg、0.73mmol)を加え、続いて、ピリジン(988mg、12.49mmol、1.01mL)を、N2下、0℃で、滴下して加えた。混合物を、20℃で、2時間撹拌した。この混合物に、20℃で、tert-ブチルN-[(3R,6S)-6-(ヒドラジンカルボニル)テトラヒドロピラン-3-イル]カルバメート(378mg、1.46mmol)を加え、そして、14時間撹拌した。混合物を、氷水(45mL)に注ぎ、EtOAc(3×15mL)で抽出した。合わせた有機層を、飽和食塩水(15mL)で洗浄し、無水Na2SO4で乾燥させ、濾過し、減圧下で濃縮して、所望の産物を得た。LCMS: m/z = 374.1 [M+H]+. 1H NMR (400 MHz, DMSO-d6):δ 9.57 (br s, 1H), 9.10 (br s, 1H
), 6.82 (br d, J = 7.8 Hz, 1H), 4.17-4.05 (m,
4H),3.92-3.68 (m, 4H), 3.42-3.34 (m, 1H),
3.07-2.94 (m, 1H), 1.89 (br d, J = 7.9 Hz,2H
), 1.54-1.41 (m, 2H), 1.38 (s, 9H).
tert-ブチル((3R,6S)-6-(5-(2-(2,2,2-トリフルオロエトキシ)エトキシ)-1,3,4-オキサジアゾール-2-イル)テトラヒドロ-2H-ピラン-3-イル)カルバメート:
2-(2,2,2-トリフルオロエトキシ)エチル2-((2S,5R)-5-((tert-ブトキシカルボニル)アミノ)テトラヒドロ-2H-ピラン-2-カルボニル)ヒドラジンカルボキシレート(600mg、1.40mmol)を含むMeCN(10mL)の溶液に対して、Cs2CO3(1.82g、5.59mmol)、及び、p-TsCl(533mg、2.79mmol)を、20℃で、N2下で、加えた。混合物を、16時間撹拌した。この混合物を、水(30mL)に注ぎ、そして、EtOAc(3×15mL)で抽出した。合わせた有機層を、飽和食塩水(15mL)で洗浄し、無水Na2SO4で乾燥させ、濾過し、減圧下で濃縮した。残渣を、シリカゲルカラムクロマトグラフィー(PE:EtOAc=1:0~0:1)で精製して、所望の産物を得た。LCMS:
m/z = 412.2 [M+H]+. 1H NMR (400 MHz, CDCl3)
:δ 4.69-4.61 (m, 2H), 4.56-4.48 (m, 1H), 4.
45 (br s, 1H), 4.19-4.13 (m, 1H), 4.06-3.98
(m, 2H), 3.97-3.87 (m, 2H), 3.81-3.62 (m, 1
H), 3.25 (br t, J = 10.3 Hz, 1H), 2.28-2.18(
m, 1H), 2.16-2.07 (m, 1H), 1.46 (s, 11H).
2-(2,2,2-トリフルオロエトキシ)エチル2-((2S,5R)-5-((tert-ブトキシカルボニル)アミノ)テトラヒドロ-2H-ピラン-2-カルボニル)ヒドラジンカルボキシレート(600mg、1.40mmol)を含むMeCN(10mL)の溶液に対して、Cs2CO3(1.82g、5.59mmol)、及び、p-TsCl(533mg、2.79mmol)を、20℃で、N2下で、加えた。混合物を、16時間撹拌した。この混合物を、水(30mL)に注ぎ、そして、EtOAc(3×15mL)で抽出した。合わせた有機層を、飽和食塩水(15mL)で洗浄し、無水Na2SO4で乾燥させ、濾過し、減圧下で濃縮した。残渣を、シリカゲルカラムクロマトグラフィー(PE:EtOAc=1:0~0:1)で精製して、所望の産物を得た。LCMS:
m/z = 412.2 [M+H]+. 1H NMR (400 MHz, CDCl3)
:δ 4.69-4.61 (m, 2H), 4.56-4.48 (m, 1H), 4.
45 (br s, 1H), 4.19-4.13 (m, 1H), 4.06-3.98
(m, 2H), 3.97-3.87 (m, 2H), 3.81-3.62 (m, 1
H), 3.25 (br t, J = 10.3 Hz, 1H), 2.28-2.18(
m, 1H), 2.16-2.07 (m, 1H), 1.46 (s, 11H).
(3R,6S)-6-(5-(2-(2,2,2-トリフルオロエトキシ)エトキシ)-1,3,4-オキサジアゾール-2-イル)テトラヒドロ-2H-ピラン-3-アミン:
tert-ブチル((3R,6S)-6-(5-(2-(2,2,2-トリフルオロエトキシ)エトキシ)-1,3,4-オキサジアゾール-2-イル)テトラヒドロ-2H-ピラン-3-イル)カルバメート(110mg、0.27mmol)を含むDCM(2mL)の溶液に対して、TFA(0.4mL)を、20℃で加え、そして、混合物を、1時間撹拌した。この混合物を、減圧下で濃縮し、残渣を水に注ぎ、NH3H2Oを加えて、pH=8に調整し、そして、DCM:i-PrOH(3×5mL、v:v=3:1)で抽出した。合わせた有機層を、飽和食塩水(5mL)で洗浄し、無水Na2SO4で乾燥させ、濾過し、減圧下で濃縮して、所望の産物を得た。
tert-ブチル((3R,6S)-6-(5-(2-(2,2,2-トリフルオロエトキシ)エトキシ)-1,3,4-オキサジアゾール-2-イル)テトラヒドロ-2H-ピラン-3-イル)カルバメート(110mg、0.27mmol)を含むDCM(2mL)の溶液に対して、TFA(0.4mL)を、20℃で加え、そして、混合物を、1時間撹拌した。この混合物を、減圧下で濃縮し、残渣を水に注ぎ、NH3H2Oを加えて、pH=8に調整し、そして、DCM:i-PrOH(3×5mL、v:v=3:1)で抽出した。合わせた有機層を、飽和食塩水(5mL)で洗浄し、無水Na2SO4で乾燥させ、濾過し、減圧下で濃縮して、所望の産物を得た。
N-((3R,6S)-6-(5-(2-(2,2,2-トリフルオロエトキシ)エトキシ)-1,3,4-オキサジアゾール-2-イル)テトラヒドロ-2H-ピラン-3-イル)-2-(4-(トリフルオロメチル)フェノキシ)アセトアミド:
(3R,6S)-6-(5-(2-(2,2,2-トリフルオロエトキシ)エトキシ)-1,3、4-オキサジアゾール-2-イル)テトラヒドロ-2H-ピラン-3-アミン(83mg、0.27mmol)、2-[4-(トリフルオロメチル)フェノキシ]酢酸(59mg、0.27mmol)、DIEA(207mg、1.60mmol、0.28mL)、及び、T3P(509mg、0.80mmol、0.48mL、EtOAc中50%)を含むEtOAc(3mL)を、20℃で、5時間使用して、一般手順Aに従って調製した。この混合物を、p-TLC(PE:EtOAc=0:1)で精製して、標記化合物を得た。LCMS: m/z = 514.1 [M+H]+. 1H NMR (400 MHz, DMSO): δ 7.61 (d, J= 8.7 Hz, 2H), 7.02 (d, J = 8.7 Hz, 2H), 6.48 (br d, J = 7.7 Hz, 1H
), 4.68-4.62(m, 2H), 4.62-4.56 (m, 1H), 4.54 (s, 2H), 4.23-4.10 (m, 2H), 4.06-3.98 (m, 2H),3.92 (q, J = 8.6 Hz, 2H), 3.43-3.32 (m,
1H), 2.30-2.20 (m, 1H), 2.16-2.04 (m, 2H),1.70-1.61 (m, 1H).
(3R,6S)-6-(5-(2-(2,2,2-トリフルオロエトキシ)エトキシ)-1,3、4-オキサジアゾール-2-イル)テトラヒドロ-2H-ピラン-3-アミン(83mg、0.27mmol)、2-[4-(トリフルオロメチル)フェノキシ]酢酸(59mg、0.27mmol)、DIEA(207mg、1.60mmol、0.28mL)、及び、T3P(509mg、0.80mmol、0.48mL、EtOAc中50%)を含むEtOAc(3mL)を、20℃で、5時間使用して、一般手順Aに従って調製した。この混合物を、p-TLC(PE:EtOAc=0:1)で精製して、標記化合物を得た。LCMS: m/z = 514.1 [M+H]+. 1H NMR (400 MHz, DMSO): δ 7.61 (d, J= 8.7 Hz, 2H), 7.02 (d, J = 8.7 Hz, 2H), 6.48 (br d, J = 7.7 Hz, 1H
), 4.68-4.62(m, 2H), 4.62-4.56 (m, 1H), 4.54 (s, 2H), 4.23-4.10 (m, 2H), 4.06-3.98 (m, 2H),3.92 (q, J = 8.6 Hz, 2H), 3.43-3.32 (m,
1H), 2.30-2.20 (m, 1H), 2.16-2.04 (m, 2H),1.70-1.61 (m, 1H).
実施例32:N-((3R,6S)-6-(5-(2-(トリフルオロメトキシ)エトキシ)-1,3,4-チアジアゾール-2-イル)テトラヒドロ-2H-ピラン-3-イル)-6-(トリフルオロメチル)キノキサリン-2-カルボキサミド(32):
tert-ブチル((3R,6S)-6-(5-メルカプト-1,3,4-チアジアゾール-2-イル)テトラヒドロ-2H-ピラン-3-イル)カルバメート:
tert-ブチル((3R,6S)-6-(ヒドラジンカルボニル)テトラヒドロ-2H-ピラン-3-イル)カルバメート(7.6g、29.3mmol)を含むMeOH(60mL)の混合物に対して、KOH(4.11g、73.3mmol)を、N2下、25℃で加えた。この混合物を、25℃で0.5時間撹拌し、CS2(8.93g、117mmol、7.08mL)を加え、そして、混合物を、80℃で、15.5時間撹拌した。反応混合物を減圧下で濃縮して、残渣を得た。この残渣に、25℃で、H2O(250mL)を加え、次いで、HCl(3M)でpH=3に調整した。この混合物を濾過し、濾過したケーキを減圧下で濃縮して、標記化合物を得た。
tert-ブチル((3R,6S)-6-(ヒドラジンカルボニル)テトラヒドロ-2H-ピラン-3-イル)カルバメート(7.6g、29.3mmol)を含むMeOH(60mL)の混合物に対して、KOH(4.11g、73.3mmol)を、N2下、25℃で加えた。この混合物を、25℃で0.5時間撹拌し、CS2(8.93g、117mmol、7.08mL)を加え、そして、混合物を、80℃で、15.5時間撹拌した。反応混合物を減圧下で濃縮して、残渣を得た。この残渣に、25℃で、H2O(250mL)を加え、次いで、HCl(3M)でpH=3に調整した。この混合物を濾過し、濾過したケーキを減圧下で濃縮して、標記化合物を得た。
tert-ブチル((3R,6S)-6-(5-(メチルチオ)-1,3,4-チアジアゾール-2-イル)テトラヒドロ-2H-ピラン-3-イル)カルバメート:
tert-ブチル((3R,6S)-6-(5-メルカプト-1,3,4-チアジアゾール-2-イル)テトラヒドロ-2H-ピラン-3-イル)カルバメート(5.0g、15.8mmol)を含むDMF(40mL)の溶液に対して、K2CO3(4.35g、31.5mmol)を、0℃、N2下で加えた。MeI(4.47g、31.5mmol)を、0℃で滴下して加え、そして、この混合物を、25℃で、15時間撹拌した。この混合物を、水(150mL)に注ぎ、そして、水相をEtOAc(3×30mL)で抽出した。合わせた有機相を、飽和食塩水(10mL)で洗浄し、無水Na2SO4で乾燥させ、濾過し、減圧下で濃縮した。残渣を、シリカゲルカラムクロマトグラフィー(PE:EtOAc=50:1~1:1)で精製して、標記化合物を得た。1HNMR (400
MHz, CDCl3): δ 4.71 (dd, J = 2.4, 10.7 Hz, 1H), 4.40 (br s, 1H),4.19 (ddd, J = 2.0, 4.4, 11.0 Hz, 1H), 3.70 (br d, J = 5.6 Hz, 1H), 3.3
0-3.18 (m,1H), 2.77 (s, 3H), 2.33 (br dd, J
= 2.8, 13.6 Hz, 1H), 2.25-2.16 (m, 1H), 1.89-1.75(m, 1H), 1.45 (m, 10H).
tert-ブチル((3R,6S)-6-(5-メルカプト-1,3,4-チアジアゾール-2-イル)テトラヒドロ-2H-ピラン-3-イル)カルバメート(5.0g、15.8mmol)を含むDMF(40mL)の溶液に対して、K2CO3(4.35g、31.5mmol)を、0℃、N2下で加えた。MeI(4.47g、31.5mmol)を、0℃で滴下して加え、そして、この混合物を、25℃で、15時間撹拌した。この混合物を、水(150mL)に注ぎ、そして、水相をEtOAc(3×30mL)で抽出した。合わせた有機相を、飽和食塩水(10mL)で洗浄し、無水Na2SO4で乾燥させ、濾過し、減圧下で濃縮した。残渣を、シリカゲルカラムクロマトグラフィー(PE:EtOAc=50:1~1:1)で精製して、標記化合物を得た。1HNMR (400
MHz, CDCl3): δ 4.71 (dd, J = 2.4, 10.7 Hz, 1H), 4.40 (br s, 1H),4.19 (ddd, J = 2.0, 4.4, 11.0 Hz, 1H), 3.70 (br d, J = 5.6 Hz, 1H), 3.3
0-3.18 (m,1H), 2.77 (s, 3H), 2.33 (br dd, J
= 2.8, 13.6 Hz, 1H), 2.25-2.16 (m, 1H), 1.89-1.75(m, 1H), 1.45 (m, 10H).
tert-ブチル((3R,6S)-6-(5-(メチルスルホニル)-1,3,4-チアジアゾール-2-イル)テトラヒドロ-2H-ピラン-3-イル)カルバメート:
tert-ブチル(3R,6S)-6-(5-(メチルチオ)-1,3,4-チアジアゾール-2-イル)テトラヒドロ-2H-ピラン-3-イル)カルバメート(1.6g、4.83mmol)を含むDCM(30mL)の溶液に対して、0℃で、m-CPBA(5.21g、24.1mmol、純度80%)を加えた。この混合物を、25℃で、15時間撹拌した。混合物を、飽和Na2S2O3(30mL)に加え、そして、飽和NaHCO3で、pH=7~8に調整した。水相を、DCM(3×15mL)で抽出した。合わせた有機相を、飽和食塩水(10mL)で洗浄し、無水Na2SO4で乾燥させ、濾過し、減圧下で濃縮した。残渣を、シリカゲルカラムクロマトグラフィー(PE:EtOAc=20:1~1:1)で精製して、標記化合物を得た。1HNMR (400MHz, CDCl3): δ 4.81 (dd, J = 2.8, 11.2 Hz, 1H), 4.36 (br s, 1H),4.31-4.22 (m, 1H), 3.76 (br d,
J = 13.2 Hz, 1H), 3.46 (s, 3H), 3.27 (t, J = 10.8Hz, 1H), 2.50-2.42 (m, 1H), 2.30-2.20 (m, 1H), 1.88-1.74 (m, 1H), 1.57-1.52 (m,1H),
1.46 (s, 9H).
tert-ブチル(3R,6S)-6-(5-(メチルチオ)-1,3,4-チアジアゾール-2-イル)テトラヒドロ-2H-ピラン-3-イル)カルバメート(1.6g、4.83mmol)を含むDCM(30mL)の溶液に対して、0℃で、m-CPBA(5.21g、24.1mmol、純度80%)を加えた。この混合物を、25℃で、15時間撹拌した。混合物を、飽和Na2S2O3(30mL)に加え、そして、飽和NaHCO3で、pH=7~8に調整した。水相を、DCM(3×15mL)で抽出した。合わせた有機相を、飽和食塩水(10mL)で洗浄し、無水Na2SO4で乾燥させ、濾過し、減圧下で濃縮した。残渣を、シリカゲルカラムクロマトグラフィー(PE:EtOAc=20:1~1:1)で精製して、標記化合物を得た。1HNMR (400MHz, CDCl3): δ 4.81 (dd, J = 2.8, 11.2 Hz, 1H), 4.36 (br s, 1H),4.31-4.22 (m, 1H), 3.76 (br d,
J = 13.2 Hz, 1H), 3.46 (s, 3H), 3.27 (t, J = 10.8Hz, 1H), 2.50-2.42 (m, 1H), 2.30-2.20 (m, 1H), 1.88-1.74 (m, 1H), 1.57-1.52 (m,1H),
1.46 (s, 9H).
tert-ブチル((3R,6S)-6-(5-(2-(トリフルオロメトキシ)エトキシ)-1,3,4-チアジアゾール-2-イル)テトラヒドロ-2H-ピラン-3-イル)カルバメート:
2-(トリフルオロメトキシ)エタノール(180mg、1.38mmol)を含むTHF(5mL)の溶液に対して、0℃で、NaH(66mg、1.66mmol、鉱油中60%)に加え、そして、この混合物を、0℃で、30分間撹拌した。次に、tert-ブチル((3R,6S)-6-(5-(メチルスルホニル)-1,3,4-チアジアゾール-2-イル)テトラヒドロ-2H-ピラン-3-イル)カルバメート(502mg、1.38mmol)を0℃で加え、そして、この混合物を、25℃で、1時間撹拌した。混合物を、飽和NH4Cl(15mL)に注ぎ、水相を、EtOAc(3×8mL)で抽出した。合わせた有機相を、飽和食塩水(5mL)で洗浄し、無水Na2SO4で乾燥させ、濾過し、減圧下で濃縮して、標記化合物を得た。1HNMR (400MHz,CDC
l3): δ 4.77-4.71 (m, 2H), 4.60 (dd, J = 2.8, 10.8 Hz,1H), 4.42-4.31 (m, 3H), 4.21-4.14 (m, 1H), 3.72 (br s, 1H), 3.21 (t, J = 10.8 Hz
,1H), 2.30 (br dd, J = 2.8, 13.6 Hz, 1H), 2.25-2.16 (m, 1H), 1.89-1.76 (m, 1H), 1.55-1.43(m, 10H).
2-(トリフルオロメトキシ)エタノール(180mg、1.38mmol)を含むTHF(5mL)の溶液に対して、0℃で、NaH(66mg、1.66mmol、鉱油中60%)に加え、そして、この混合物を、0℃で、30分間撹拌した。次に、tert-ブチル((3R,6S)-6-(5-(メチルスルホニル)-1,3,4-チアジアゾール-2-イル)テトラヒドロ-2H-ピラン-3-イル)カルバメート(502mg、1.38mmol)を0℃で加え、そして、この混合物を、25℃で、1時間撹拌した。混合物を、飽和NH4Cl(15mL)に注ぎ、水相を、EtOAc(3×8mL)で抽出した。合わせた有機相を、飽和食塩水(5mL)で洗浄し、無水Na2SO4で乾燥させ、濾過し、減圧下で濃縮して、標記化合物を得た。1HNMR (400MHz,CDC
l3): δ 4.77-4.71 (m, 2H), 4.60 (dd, J = 2.8, 10.8 Hz,1H), 4.42-4.31 (m, 3H), 4.21-4.14 (m, 1H), 3.72 (br s, 1H), 3.21 (t, J = 10.8 Hz
,1H), 2.30 (br dd, J = 2.8, 13.6 Hz, 1H), 2.25-2.16 (m, 1H), 1.89-1.76 (m, 1H), 1.55-1.43(m, 10H).
(3R,6S)-6-(5-(2-(トリフルオロメトキシ)エトキシ)-1,3,4-チアジアゾール-2-イル)テトラヒドロ-2H-ピラン-3-アミン:
tert-ブチル((3R,6S)-6-(5-(2-(トリフルオロメトキシ)エトキシ)-1,3,4-チアジアゾール-2-イル)テトラヒドロ-2H-ピラン-3-イル)カルバメート(100mg、0.24mmol)を含むDCM(5.0mL)の溶液に対して、TFA(1.0mL)を加え、そして、この混合物を、25℃で、1時間撹拌した。混合物を、飽和NaHCO3で、pH=7~8に調整した。水相を、DCM/i-PrOH(3×5mL、v:v=3:1)で抽出した。合わせた有機相を、無水Na2SO4で乾燥させ、濾過し、減圧下で濃縮して、標記化合物を得た。
tert-ブチル((3R,6S)-6-(5-(2-(トリフルオロメトキシ)エトキシ)-1,3,4-チアジアゾール-2-イル)テトラヒドロ-2H-ピラン-3-イル)カルバメート(100mg、0.24mmol)を含むDCM(5.0mL)の溶液に対して、TFA(1.0mL)を加え、そして、この混合物を、25℃で、1時間撹拌した。混合物を、飽和NaHCO3で、pH=7~8に調整した。水相を、DCM/i-PrOH(3×5mL、v:v=3:1)で抽出した。合わせた有機相を、無水Na2SO4で乾燥させ、濾過し、減圧下で濃縮して、標記化合物を得た。
N-((3R,6S)-6-(5-(2-(トリフルオロメトキシ)エトキシ)-1,3,4-チアジアゾール-2-イル)テトラヒドロ-2H-ピラン-3-イル)-6-(トリフルオロメチル)キノキサリン-2-カルボキサミド:
(3R,6S)-6-(5-(2-(トリフルオロメトキシ)エトキシ)-1,3,4-チアジアゾール-2-イル)テトラヒドロ-2H-ピラン-3-アミン(60mg、0.19mmol)、及び、6-(トリフルオロメチル)キノキサリン-2-カルボン酸(46mg、0.19mmol)を含むEtOAc(5mL)の溶液に対して、T3P溶液(0.38mmol、0.23mL、EtOAc中50%)、及び、DIEA(99mg、0.76mmol)を加え、そして、この混合物を、25℃で、2時間撹拌した。混合物を、水(15mL)に注いだ。水相を、EtOAc(3×5mL)で抽出した。合わせた有機相を、飽和食塩水(5mL)で洗浄し、無水Na2SO4で乾燥させ、濾過し、減圧下で濃縮した。残渣を、以下の条件下で分取HPLC(中性)で精製した:カラム:Welch Xtimate C18 150 *25mm *5mm;移動相:[水(10mM NH4HCO3)-ACN];B%:45%~70%、10分で標記化合物を得た。LC-MS:m/z: 538.0 [M+H]+. 1H NMR (400MHz, CDCl3): δ 9.78(s, 1H), 8.53 (s, 1H), 8.28 (d, J = 8.8 Hz, 1H), 8.05 (dd, J = 1.6, 8.8 Hz,
1H),7.82 (br d, J = 7.6 Hz, 1H), 4.81-4.70 (
m, 3H), 4.44-4.27 (m, 4H), 3.58-3.45 (m,1H), 2.49-2.30 (m, 2H), 2.05-1.93 (m, 1H), 1.9
2-1.80 (m, 1H).
(3R,6S)-6-(5-(2-(トリフルオロメトキシ)エトキシ)-1,3,4-チアジアゾール-2-イル)テトラヒドロ-2H-ピラン-3-アミン(60mg、0.19mmol)、及び、6-(トリフルオロメチル)キノキサリン-2-カルボン酸(46mg、0.19mmol)を含むEtOAc(5mL)の溶液に対して、T3P溶液(0.38mmol、0.23mL、EtOAc中50%)、及び、DIEA(99mg、0.76mmol)を加え、そして、この混合物を、25℃で、2時間撹拌した。混合物を、水(15mL)に注いだ。水相を、EtOAc(3×5mL)で抽出した。合わせた有機相を、飽和食塩水(5mL)で洗浄し、無水Na2SO4で乾燥させ、濾過し、減圧下で濃縮した。残渣を、以下の条件下で分取HPLC(中性)で精製した:カラム:Welch Xtimate C18 150 *25mm *5mm;移動相:[水(10mM NH4HCO3)-ACN];B%:45%~70%、10分で標記化合物を得た。LC-MS:m/z: 538.0 [M+H]+. 1H NMR (400MHz, CDCl3): δ 9.78(s, 1H), 8.53 (s, 1H), 8.28 (d, J = 8.8 Hz, 1H), 8.05 (dd, J = 1.6, 8.8 Hz,
1H),7.82 (br d, J = 7.6 Hz, 1H), 4.81-4.70 (
m, 3H), 4.44-4.27 (m, 4H), 3.58-3.45 (m,1H), 2.49-2.30 (m, 2H), 2.05-1.93 (m, 1H), 1.9
2-1.80 (m, 1H).
実施例33:2-(3-フルオロ-4-(トリフルオロメチル)フェノキシ)-N-((3R,6S)-6-(5-(2-(トリフルオロメトキシ)エトキシ)-1,3,4-チアジアゾール-2-イル)テトラヒドロ-2H-ピラン-3-イル)アセトアミド(33):
2-(3-フルオロ-4-(トリフルオロメチル)フェノキシ)-N-((3R,6S)-6-(5-(2-(トリフルオロメトキシ)エトキシ)-1,3,4-チアジアゾール-2-イル)テトラヒドロ-2H-ピラン-3-イル)アセトアミド:
(3R,6S)-6-(5-(2-(トリフルオロメトキシ)エトキシ)-1,3,4-チアジアゾール-2-イル)テトラヒドロ-2H-ピラン-3-アミン(75mg、0.24mmol)を含むEtOAc(3.0mL)の溶液に対して、2-[3-フルオロ-4-(トリフルオロメチル)フェノキシ]酢酸(57mg、0.24mmol)、DIEA(124mg、0.96mmol、0.17mL)、及び、T3P溶液(305mg、0.48mmol、0.28mL、EtOAc中50%)を、0℃、N2下で加えた。この混合物を、25℃で、2時間撹拌した。混合物を、NaHCO3(30mL)に注ぎ、EtOAc(3×10mL)で抽出した。合わせた有機層を、飽和食塩水(10mL)で洗浄し、Na2SO4で乾燥させ、濾過し、減圧下で濃縮した。残渣を、以下の条件下で、p-HPLC(中性)で精製した:カラム:Welch Xtimate C18 150×25mm×5μm。移動相:[水(10mM NH4HCO3)-ACN];B%:45%~70%、10分で、2-(3-フルオロ-4-(トリフルオロメチル)フェノキシ)-N-((3R,6S)-6-(5-(2-(トリフルオロメトキシ)エトキシ)-1,3,4-チアジアゾール-2-イル)テトラヒドロ-2H-ピラン-3-イル)アセトアミドを得た。LCMS:m/z = 534.1 [M+H]+. 1H NMR (400 MHz, CDCl3): δ7.58 (t, J = 8.3 Hz, 1H), 6.79 (d, J = 9.9 Hz, 2H), 6.30 (br d, J = 7.9 H
z, 1H),4.78-4.72 (m, 2H), 4.67 (dd, J = 2.8,
10.4 Hz, 1H), 4.53 (s, 2H), 4.38-4.32 (m,2H), 4.24-4.11 (m, 2H), 3.39-3.29 (m, 1H), 2.37-2.29 (m, 1H), 2.28-2.19 (m, 1H),1.97-1.
84 (m, 1H), 1.72-1.62 (m, 1H).
(3R,6S)-6-(5-(2-(トリフルオロメトキシ)エトキシ)-1,3,4-チアジアゾール-2-イル)テトラヒドロ-2H-ピラン-3-アミン(75mg、0.24mmol)を含むEtOAc(3.0mL)の溶液に対して、2-[3-フルオロ-4-(トリフルオロメチル)フェノキシ]酢酸(57mg、0.24mmol)、DIEA(124mg、0.96mmol、0.17mL)、及び、T3P溶液(305mg、0.48mmol、0.28mL、EtOAc中50%)を、0℃、N2下で加えた。この混合物を、25℃で、2時間撹拌した。混合物を、NaHCO3(30mL)に注ぎ、EtOAc(3×10mL)で抽出した。合わせた有機層を、飽和食塩水(10mL)で洗浄し、Na2SO4で乾燥させ、濾過し、減圧下で濃縮した。残渣を、以下の条件下で、p-HPLC(中性)で精製した:カラム:Welch Xtimate C18 150×25mm×5μm。移動相:[水(10mM NH4HCO3)-ACN];B%:45%~70%、10分で、2-(3-フルオロ-4-(トリフルオロメチル)フェノキシ)-N-((3R,6S)-6-(5-(2-(トリフルオロメトキシ)エトキシ)-1,3,4-チアジアゾール-2-イル)テトラヒドロ-2H-ピラン-3-イル)アセトアミドを得た。LCMS:m/z = 534.1 [M+H]+. 1H NMR (400 MHz, CDCl3): δ7.58 (t, J = 8.3 Hz, 1H), 6.79 (d, J = 9.9 Hz, 2H), 6.30 (br d, J = 7.9 H
z, 1H),4.78-4.72 (m, 2H), 4.67 (dd, J = 2.8,
10.4 Hz, 1H), 4.53 (s, 2H), 4.38-4.32 (m,2H), 4.24-4.11 (m, 2H), 3.39-3.29 (m, 1H), 2.37-2.29 (m, 1H), 2.28-2.19 (m, 1H),1.97-1.
84 (m, 1H), 1.72-1.62 (m, 1H).
生物学的実施例1
化合物の生化学的アッセイ
細胞ストレスは、4つの真核生物開始因子2αキナーゼの1つを介して統合的ストレス応答経路の活性化を招き、かつ、包括的な翻訳を停止する一方で、細胞ストレスへの応答に重要な(転写因子4を活性化する)ATF4などの選択転写産物の翻訳を許容する。通常の条件では、ATF4の5’UTRでの小さなオープンリーディングフレーム(ORF)がリボソームを占有し、そして、ATF4のコード配列の翻訳を妨げる。しかしながら、ストレス条件では、リボソームは、これらの上流のORFを通過してスキャンし、そして、ATF4のコーディング配列で優先的に翻訳を開始する。このように、当該翻訳、つまりは、ATF4のタンパク質レベルとは、ISR経路活性化の読み出しのことである。したがって、uORFと、ATFのコード配列の開始点とを、ナノルシフェラーゼなどの一般的な細胞レポーターに融合させると、ISR経路活性の高感度で高スループットの読み出しが可能になる。
化合物の生化学的アッセイ
細胞ストレスは、4つの真核生物開始因子2αキナーゼの1つを介して統合的ストレス応答経路の活性化を招き、かつ、包括的な翻訳を停止する一方で、細胞ストレスへの応答に重要な(転写因子4を活性化する)ATF4などの選択転写産物の翻訳を許容する。通常の条件では、ATF4の5’UTRでの小さなオープンリーディングフレーム(ORF)がリボソームを占有し、そして、ATF4のコード配列の翻訳を妨げる。しかしながら、ストレス条件では、リボソームは、これらの上流のORFを通過してスキャンし、そして、ATF4のコーディング配列で優先的に翻訳を開始する。このように、当該翻訳、つまりは、ATF4のタンパク質レベルとは、ISR経路活性化の読み出しのことである。したがって、uORFと、ATFのコード配列の開始点とを、ナノルシフェラーゼなどの一般的な細胞レポーターに融合させると、ISR経路活性の高感度で高スループットの読み出しが可能になる。
本明細書で提供する化合物を、以下のアッセイで試験した。ヒト完全長5’非翻訳領域(5’-UTR)と、その開始コドンを欠いたナノルシフェラーゼ(NLuc)コード配列の上流のATF4遺伝子のコード配列の小さな部分とを融合して、ATF4ナノルシフェラーゼレポーターを構築した。具体的には、EcoRI制限酵素部位で5’を、そして、BamHI制限酵素部位で3’に隣接したATF4転写変異体2(NCBINM_182810.2)のヌクレオチド+1~+364(転写開始部位に対して)を合成し、そして、pLVX-EFla-IRES-Puroレンチウイルスベクター(Clontech)のEcoRI/BamHIクローニング部位にクローニングした。レンチウイルス粒子を、製造業者の指示に従って、Lenti-Xシングルショット(VSV-G、Clontech)で生成し、そして、ヒトH4神経膠腫細胞株(ATCC HTB-148)の形質導入に使用した。H4細胞を、1.25μg/mLピューロマイシンで選択し、そして、限界希釈でクローン細胞株を生成した。この細胞株を利用して、統合ストレス応答(ISR)アッセイを生成し、そして、発光読み出しを介して、ISR経路阻害剤の活性を評価した。このH4 ATF4-NLuc(クローン17)細胞株を、DMEM+10%ウシ胎児血清の96ウェルまたは384ウェルのそれぞれに、15,000または2,50細胞の密度で播種した。24時間後に、ジメチルスルホキシド(DMSO)で希釈した試験化合物を、37℃で、30分間加え、続いて、50μm亜ヒ酸ナトリウム水溶液で、さらに6時間、ISR経路を活性化した。NanoGloルシフェラーゼ試薬(N1150、Promega)を、製造業者の指示に従って加え、そして、(ATF4翻訳のレベル、つまり、ISR経路活性化に対応する)発光シグナルを、発光検出機能を備えた標準プレートリーダーで読み取った。
特に断りのない限り、本明細書で使用するすべての技術用語及び科学用語は、本発明が属する当業者が一般に理解するものと同じ意味を有する。
本明細書に例示的に記載した本発明は、本明細書に具体的に開示していないあらゆる要素(複数可)、制限(複数可)の非存在下でもやはり実施し得る。したがって、例えば、用語「含む(comprising)」、「含む(including)」、「含む(containing)」などは、広範かつ無制限に解釈する。さらに、本明細書で使用する用語及び表現は、限定を意図するものではなく、説明のための用語として使用をしており、かかる用語及び表現の使用には、提示し、かつ、説明した特徴、または、その一部のあらゆる等価物を除外する意図はなく、特許請求した本発明の範囲内において様々な変更が可能である、ことを認識すべきである。
本明細書において引用した全ての刊行物、特許出願、特許、及び、その他の参考文献を、各文献が、援用されることが個別かつ具体的に明示しており、しかも、その全内容が本明細書において記載されているものと同然に、本明細書の一部を構成するものとして援用する。矛盾が生じた場合は、定義を含め、本明細書が優先する。
本開示は、上記した実施形態と併せて記載しているが、前出の説明及び実施例は、例示を目的とするものであり、本開示の範囲を限定するものではない、ことを理解すべきである。本開示の範囲内に含まれるその他の態様、利点、及び、変更は、本開示に関連する当業者には自明である。
本発明の実施形態において、例えば以下の項目が提供される。
(項目1)
式Iの化合物:
または、医薬として許容可能なその塩、同位体濃縮類似体、立体異性体、立体異性体の混合物、または、プロドラッグであって、式中:
環Aは、C3-10シクロアルキル、または、ヘテロシクリルである、ただし、環Aは、ビシクロ[1.1.1]ペンタン、または、ビシクロ[2.1.1]ヘキサンではない;それぞれを、1~6個のR14で任意に置換する;
環Bは、5員または6員のヘテロアリール、または、フェニルである;それぞれを、1~3個のR13で任意に置換する;
Q1及びQ2は、それぞれ、独立して、O、S、または、NR15である;
Lは、C1-6アルキレンリンカーであり、独立して、ハロ、シアノ、ニトロ、-OR6、-SR6、-SF5、-NR6R7、C1-6アルキル、C2-6アルケニル、C2-6アルキニル、-C(O)R6、-C(O)OR6、-OC(O)OR6、-OC(O)R6、-C(O)NR6R7、-OC(O)NR6R7、-NR6C(O)NR7R8、-S(O)1-2R6、-S(O)1-2NR6、-NR6S(O)1-2R7、-NR6S(O)1-2NR7R8、-NR6C(O)R7、及び、-NR6C(O)OR7から選択する、1~3個の置換基で任意に置換する;
zは、0または1である;
X1は、O、NR9、または、結合である;
R1は、水素、C1-12アルキル、C2-12アルケニル、C2-12アルキニル、C3-10シクロアルキル、または、ヘテロシクリルであり、それらの各々を、水素以外は、1~3個のR11で任意に置換する;
R2は、C1-6ハロアルキルである;
R3は、水素、C1-12アルキル、C2-12アルケニル、C2-12アルキニル、C3-10シクロアルキル、ヘテロシクリル、アリール、または、ヘテロアリールであり、それらの各々を、水素以外は、1~5個のR11で任意に置換する;
R4及びR5は、独立して、水素、C1-12アルキル、C2-12アルケニル、または、C2-12アルキニルであり、それらの各々を、水素以外は、独立して、1~5個のR11で任意に置換する;
または、R3、及び、R4は、それらが結合している原子と共に互いに結合してC3-10シクロアルキル、または、ヘテロシクリルを形成しており、それらの各々を、1~5個のR11で任意に置換する;
または、R4、及び、R5は、それらが結合している原子と共に互いに結合してC3-10シクロアルキル、または、ヘテロシクリルを形成しており、それらの各々を、1~5個のR11で任意に置換する;
R6、R7、及び、R8のそれぞれは、独立して、水素、C1-12アルキル、C2-12アルケニル、C2-12アルキニル、C3-10シクロアルキル、ヘテロシクリル、アリール、ヘテロアリール、-C(O)R20、-C(O)OR20、-C(O)NR20R21、-S(O)1-2R20、または、-S(O)1-2NR20であり、式中、R6、R7、及び、R8のそれぞれのアルキル、アルケニル、アルキニル、シクロアルキル、ヘテロシクリル、アリール、及び、ヘテロアリールを、独立して、1~5個のR12で任意に置換する;または、R6、R7、及び、R8の2つが、それらが結合する原子と共に互いに結合して、独立して、1個~3個のハロ、オキソ、または、独立して、1個~3個のオキソ、ハロ、ヒドロキシル、もしくは、アミノで任意に置換したC1-12アルキルで任意に置換したヘテロシクリルを形成している;
R9は、水素、C1-12アルキル、C2-12アルケニル、C2-12アルキニル、C3-10シクロアルキル、または、ヘテロシクリルであり、それらの各々を、水素以外は、1~3個のR11で任意に置換する;
それぞれのR11は、独立して、ハロ、シアノ、ニトロ、オキソ、-OR6、-SR6、-SF5、-NR6R7、C1-12アルキル、C2-12アルケニル、C2-12アルキニル、C3-10シクロアルキル、ヘテロシクリル、アリール、ヘテロアリール、-C(O)R6、-C(O)OR6、-OC(O)OR6、-OC(O)R6、-C(O)NR6R7、-OC(O)NR6R7、-NR6C(O)NR7R8、-S(O)1-2R6、-S(O)1-2NR6、-NR6S(O)1-2R7、-NR6S(O)1-2NR7R8、-NR6C(O)R7、または、-NR6C(O)OR7であり、式中、R11のそれぞれのアルキル、アルケニル、アルキニル、シクロアルキル、ヘテロシクリル、アリール、及び、ヘテロアリールを、独立して、1~5個のR12で任意に置換する;
それぞれのR12は、独立して、ハロ、シアノ、ニトロ、オキソ、-OR30、-SR30、-SF5、-NR30R31、C1-12アルキル、C2-12アルケニル、C2-12アルキニル、C3-10シクロアルキル、ヘテロシクリル、アリール、ヘテロアリール、-C(O)R30、-C(O)OR30、-OC(O)OR30、-OC(O)R30、-C(O)NR30R31、-OC(O)NR30R31、-NR30C(O)NR30R31、-S(O)1-2R30、-S(O)1-2NR30、-NR30S(O)1-2R31、-NR30S(O)1-2NR30R31、-NR30C(O)R31、または、-NR30C(=O)OR31であり、式中、R12のそれぞれのアルキル、アルケニル、アルキニル、シクロアルキル、ヘテロシクリル、アリール、及び、ヘテロアリールを、独立して、1~3個のハロ、または、独立して、1~3個のオキソ、ハロ、ヒドロキシル、もしくは、アミノで任意に置換したC1-12アルキルで任意に置換する;
それぞれのR13は、独立して、ハロ、シアノ、ニトロ、オキソ、-OR30、-SR30、-SF5、-NR30R31、C1-12アルキル、C2-12アルケニル、C2-12アルキニル、C3-10シクロアルキル、ヘテロシクリル、アリール、ヘテロアリール、-C(O)R30、-C(O)OR30、-OC(O)OR30、-OC(O)R30、-C(O)NR30R31、-OC(O)NR30R31、-NR30C(O)NR30R31、-S(O)1-2R30、-S(O)1-2NR30、-NR30S(O)1-2R31、-NR30S(O)1-2NR30R31、-NR30C(O)R31、または、-NR30C(=O)OR31あり、式中、R13のそれぞれのアルキル、アルケニル、アルキニル、シクロアルキル、ヘテロシクリル、アリール、及び、ヘテロアリールを、独立して、1~3個のハロ、または、独立して、1~3個のオキソ、ハロ、ヒドロキシル、もしくは、アミノで任意に置換したC1-12アルキルで任意に置換する;
それぞれのR14は、独立して、ハロ、シアノ、-NR6R7、C1-6アルキル、C1-6アルコキシ、または、C1-6ハロアルキルである、または、2つのR14が、それらが結合する原子と共に互いに結合して、環またはC=Oを形成する;
それぞれのR15は、独立して、水素、C1-6アルキル、または、C1-6ハロアルキルである;
それぞれのR20、及び、R21は、独立して、水素である、または、独立して、1~3個のオキソ、ハロ、ヒドロキシル、もしくは、アミノで任意に置換したC1-12アルキルである;または、R20、及び、R21は、それらが結合する原子と共に互いに結合して、独立して、1~3個のハロ、または、独立して、1~3個のオキソ、ハロ、ヒドロキシル、もしくは、アミノで任意に置換したC1-12アルキルで任意に置換したヘテロシクリルを形成する;及び
それぞれのR30、及び、R31は、独立して、水素である、または、独立して、1~3個のオキソ、ハロ、ヒドロキシル、もしくは、アミノで任意に置換したC1-12アルキルである;または、R30、及び、R31は、それらが結合する原子と共に互いに結合して、独立して、1~3個のハロ、または、独立して、1~3個のオキソ、ハロ、ヒドロキシル、もしくは、アミノで任意に置換したC1-12アルキルで任意に置換したヘテロシクリルを形成する、
前記化合物、または、医薬として許容可能なその塩、同位体濃縮類似体、立体異性体、立体異性体の混合物、または、プロドラッグ。
(項目2)
前記環Aが、単環式シクロアルキル、縮合二環式シクロアルキル、または、スピロ二環式シクロアルキルであり、それぞれを、1~6個のR14で任意に置換する、項目1に記載の化合物、または、医薬として許容可能なその塩、同位体濃縮類似体、立体異性体、立体異性体の混合物、または、プロドラッグ。
(項目3)
前記環Aが、ヘテロシクリルであり、それぞれを、1~6個のR14で任意に置換する、項目1に記載の化合物、または、医薬として許容可能なその塩、同位体濃縮類似体、立体異性体、立体異性体の混合物、または、プロドラッグ。
(項目4)
前記環Aを、
から選択し、それぞれを、独立して、1~4個のハロで任意に置換する、項目1に記載の化合物、または、医薬として許容可能なその塩、同位体濃縮類似体、立体異性体、立体異性体の混合物、または、プロドラッグ。
(項目5)
前記環Bが、1~3個のR13で任意に置換した5員のC2-4ヘテロアリール環である、先行項目のいずれか1項に記載の化合物、または、医薬として許容可能なその塩、同位体濃縮類似体、立体異性体、立体異性体の混合物、または、プロドラッグ。
(項目6)
前記環Bが、1~3個のR13で任意に置換した1~3個の窒素環原子を有する5員のC2-4ヘテロアリール環である、項目1~5のいずれか1項に記載の化合物、または、医薬として許容可能なその塩、同位体濃縮類似体、立体異性体、立体異性体の混合物、または、プロドラッグ。
(項目7)
前記環Bが、独立して、1~3個のR13で任意に置換した
である、項目1~5のいずれか1項に記載の化合物、または、医薬として許容可能なその塩、同位体濃縮類似体、立体異性体、立体異性体の混合物、または、プロドラッグ。
(項目8)
前記環Bが、独立して、1~3個のR13で任意に置換したフェニル環である、項目1~4のいずれか1項に記載の化合物、または、医薬として許容可能なその塩、同位体濃縮類似体、立体異性体、立体異性体の混合物、または、プロドラッグ。
(項目9)
式IIの化合物:
または、医薬として許容可能なその塩、同位体濃縮類似体、立体異性体、立体異性体の混合物、または、プロドラッグであって、式中:
pは、0、1、2、3、4、5、または、6である;
環Bは、
であり、式中、それぞれを、1~3個のR13で任意に置換する;
Q1及びQ2は、それぞれ、独立して、O、S、またはNR15である;
Lは、C1-6アルキレンリンカーであり、独立して、ハロ、シアノ、ニトロ、-OR6、-SR6、-SF5、-NR6R7、C1-6アルキル、C2-6アルケニル、C2-6アルキニル、-C(O)R6、-C(O)OR6、-OC(O)OR6、-OC(O)R6、-C(O)NR6R7、-OC(O)NR6R7、-NR6C(O)NR7R8、-S(O)1-2R6、-S(O)1-2NR6、-NR6S(O)1-2R7、-NR6S(O)1-2NR7R8、-NR6C(O)R7、及び、-NR6C(O)OR7から選択する1~3個の置換基で任意に置換する;
zは、0または1である;
X1は、O、NR9、または、結合である;
R1は、水素、C1-12アルキル、C2-12アルケニル、C2-12アルキニル、C3-10シクロアルキル、または、ヘテロシクリルであり、それらの各々を、水素以外は、1~3個のR11で任意に置換する;
R2は、C1-6ハロアルキルである;
R3は、水素、C1-12アルキル、C2-12アルケニル、C2-12アルキニル、C3-10シクロアルキル、ヘテロシクリル、アリール、または、ヘテロアリールであり、それらの各々を、水素以外は、1~5個のR11で任意に置換する;
R4及びR5は、独立して、水素、C1-12アルキル、C2-12アルケニル、または、C2-12アルキニルであり、それらの各々を、水素以外は、1~5個のR11で独立して任意に置換する;
または、R3、及び、R4は、それらが結合している原子と共に互いに結合してC3-10シクロアルキル、または、ヘテロシクリルを形成しており、それらの各々を、1~5個のR11で任意に置換する;
または、R4、及び、R5は、それらが結合している原子と共に互いに結合してC3-10シクロアルキル、または、ヘテロシクリルを形成しており、それらの各々を、1~5個のR11で任意に置換する;
R6、R7、及び、R8のそれぞれは、独立して、水素、C1-12アルキル、C2-12アルケニル、C2-12アルキニル、C3-10シクロアルキル、ヘテロシクリル、アリール、ヘテロアリール、-C(O)R20、-C(O)OR20、-C(O)NR20R21、-S(O)1-2R20、または、-S(O)1-2NR20であり、式中、R6、R7、及び、R8のそれぞれのアルキル、アルケニル、アルキニル、シクロアルキル、ヘテロシクリル、アリール、及び、ヘテロアリールを、独立して、1~5個のR12で任意に置換する;または、R6、R7、及び、R8の2つが、それらが結合する原子と共に互いに結合して、独立して、1個~3個のハロ、オキソ、または、独立して、1個~3個のオキソ、ハロ、ヒドロキシル、もしくは、アミノで任意に置換したC1-12アルキルで任意に置換したヘテロシクリルを形成する;
R9は、水素、C1-12アルキル、C2-12アルケニル、C2-12アルキニル、C3-10シクロアルキル、または、ヘテロシクリルであり、それらの各々を、水素以外は、1~3個のR11で任意に置換する;
それぞれのR11は、独立して、ハロ、シアノ、ニトロ、オキソ、-OR6、-SR6、-SF5、-NR6R7、C1-12アルキル、C2-12アルケニル、C2-12アルキニル、C3-10シクロアルキル、ヘテロシクリル、アリール、ヘテロアリール、-C(O)R6、-C(O)OR6、-OC(O)OR6、-OC(O)R6、-C(O)NR6R7、-OC(O)NR6R7、-NR6C(O)NR7R8、-S(O)1-2R6、-S(O)1-2NR6、-NR6S(O)1-2R7、-NR6S(O)1-2NR7R8、-NR6C(O)R7、または、-NR6C(O)OR7であり、式中、R11のそれぞれのアルキル、アルケニル、アルキニル、シクロアルキル、ヘテロシクリル、アリール、及び、ヘテロアリールを、独立して、1~5個のR12で任意に置換する;
それぞれのR12は、独立して、ハロ、シアノ、ニトロ、オキソ、-OR30、-SR30、-SF5、-NR30R31、C1-12アルキル、C2-12アルケニル、C2-12アルキニル、C3-10シクロアルキル、ヘテロシクリル、アリール、ヘテロアリール、-C(O)R30、-C(O)OR30、-OC(O)OR30、-OC(O)R30、-C(O)NR30R31、-OC(O)NR30R31、-NR30C(O)NR30R31、-S(O)1-2R30、-S(O)1-2NR30、-NR30S(O)1-2R31、-NR30S(O)1-2NR30R31、-NR30C(O)R31、または、-NR30C(=O)OR31であり、式中、R12のそれぞれのアルキル、アルケニル、アルキニル、シクロアルキル、ヘテロシクリル、アリール、及び、ヘテロアリールを、独立して、1~3個のハロ、または、独立して、1~3個のオキソ、ハロ、ヒドロキシル、もしくは、アミノで任意に置換したC1-12アルキルで任意に置換する;
それぞれのR13は、独立して、ハロ、シアノ、ニトロ、オキソ、-OR30、-SR30、-SF5、-NR30R31、C1-12アルキル、C2-12アルケニル、C2-12アルキニル、C3-10シクロアルキル、ヘテロシクリル、アリール、ヘテロアリール、-C(O)R30、-C(O)OR30、-OC(O)OR30、-OC(O)R30、-C(O)NR30R31、-OC(O)NR30R31、-NR30C(O)NR30R31、-S(O)1-2R30、-S(O)1-2NR30、-NR30S(O)1-2R31、-NR30S(O)1-2NR30R31、-NR30C(O)R31、または、-NR30C(=O)OR31あり、式中、R13のそれぞれのアルキル、アルケニル、アルキニル、シクロアルキル、ヘテロシクリル、アリール、及び、ヘテロアリールを、独立して、1~3個のハロ、または、独立して、1~3個のオキソ、ハロ、ヒドロキシル、もしくは、アミノで任意に置換したC1-12アルキルで任意に置換する;
それぞれのR14は、独立して、ハロ、シアノ、-NR6R7、C1-6アルキル、C1-6アルコキシ、または、C1-6ハロアルキルである、または、2つのR14が、それらが結合する原子と共に互いに結合して、環またはC=Oを形成する;
それぞれのR15は、独立して、水素、C1-6アルキル、または、C1-6ハロアルキルである;
それぞれのR20、及び、R21は、独立して、水素である、または、独立して、1~3個のオキソ、ハロ、ヒドロキシル、もしくは、アミノで任意に置換したC1-12アルキルである;または、R20、及び、R21は、それらが結合する原子と共に互いに結合して、独立して、1~3個のハロ、または、独立して、1~3個のオキソ、ハロ、ヒドロキシル、もしくは、アミノで任意に置換したC1-12アルキルで任意に置換したヘテロシクリルを形成する;及び
それぞれのR30、及び、R31は、独立して、水素である、または、独立して、1~3個のオキソ、ハロ、ヒドロキシル、もしくは、アミノで任意に置換したC1-12アルキルである;または、R30、及び、R31は、それらが結合する原子と共に互いに結合して、独立して、1~3個のハロ、または、独立して、1~3個のオキソ、ハロ、ヒドロキシル、もしくは、アミノで任意に置換したC1-12アルキルで任意に置換したヘテロシクリルを形成する、
前記化合物、または、医薬として許容可能なその塩、同位体濃縮類似体、立体異性体、立体異性体の混合物、または、プロドラッグ。
(項目10)
前記環Bを、1~3個のR13で任意に置換しており、それぞれのR13が、独立して、ハロ、シアノ、オキソ、C1-6アルキル、C1-6アルコキシ、C1-6ハロアルキル、または、C1-6ハロアルコキシである、項目1~9のいずれか1項に記載の化合物、または、医薬として許容可能なその塩、同位体濃縮類似体、立体異性体、立体異性体の混合物、または、プロドラッグ。
(項目11)
前記R2が、-CHF2、-CF3、または、-CH2CF3である、項目1~10のいずれか1項に記載の化合物、または、医薬として許容可能なその塩、同位体濃縮類似体、立体異性体、立体異性体の混合物、または、プロドラッグ。
(項目12)
前記Q1が、Oである、項目1~11のいずれか1項に記載の化合物、または、医薬として許容可能なその塩、同位体濃縮類似体、立体異性体、立体異性体の混合物、または、プロドラッグ。
(項目13)
前記Q2が、Oである、項目1~11のいずれか1項に記載の化合物、または、医薬として許容可能なその塩、同位体濃縮類似体、立体異性体、立体異性体の混合物、または、プロドラッグ。
(項目14)
前記Q1が、NR15であり、かつ、前記Q2が、Oである、項目1~11のいずれか1項に記載の化合物、または、医薬として許容可能なその塩、同位体濃縮類似体、立体異性体、立体異性体の混合物、または、プロドラッグ。
(項目15)
前記Q1及びQ2のそれぞれが、Oである、項目1~11のいずれか1項に記載の化合物、または、医薬として許容可能なその塩、同位体濃縮類似体、立体異性体、立体異性体の混合物、または、プロドラッグ。
(項目16)
前記Lが、エチレンリンカーであり、1~3個のハロで任意に置換する、項目1~15のいずれか1項に記載の化合物、または、医薬として許容可能なその塩、同位体濃縮類似体、立体異性体、立体異性体の混合物、または、プロドラッグ。
(項目17)
前記Lが、-CH2CH2-である、項目1~15のいずれか1項に記載の化合物、または、医薬として許容可能なその塩、同位体濃縮類似体、立体異性体、立体異性体の混合物、または、プロドラッグ。
(項目18)
前記部分-Q1-L-Q2-R2が、-OCH2CH2OCF3である、項目1~11のいずれか1項に記載の化合物、または、医薬として許容可能なその塩、同位体濃縮類似体、立体異性体、立体異性体の混合物、または、プロドラッグ。
(項目19)
前記部分-Q1-L-Q2-R2が、-NR15CH2CH2OCF3である、項目1~11のいずれか1項に記載の化合物、または、医薬として許容可能なその塩、同位体濃縮類似体、立体異性体、立体異性体の混合物、または、プロドラッグ。
(項目20)
前記X1が、Oである、先行項目のいずれか1項に記載の化合物、または、医薬として許容可能なその塩、同位体濃縮類似体、立体異性体、立体異性体の混合物、または、プロドラッグ。
(項目21)
前記R3が、C3-10シクロアルキル、ヘテロシクリル、アリール、または、ヘテロアリールであり、これらのそれぞれを、1~5個のR11で任意に置換する、先行項目のいずれか1項に記載の化合物、または、医薬として許容可能なその塩、同位体濃縮類似体、立体異性体、立体異性体の混合物、または、プロドラッグ。
(項目22)
前記R3が、C3-10シクロアルキル、アリール、または、ヘテロアリールであり、これらのそれぞれを、1~5個のR11で任意に置換する、先行項目のいずれか1項に記載の化合物、または、医薬として許容可能なその塩、同位体濃縮類似体、立体異性体、立体異性体の混合物、または、プロドラッグ。
(項目23)
前記R3が、アリール、または、ヘテロアリールであり、これらのそれぞれを、1~5個のR11で任意に置換する、先行項目のいずれか1項に記載の化合物、または、医薬として許容可能なその塩、同位体濃縮類似体、立体異性体、立体異性体の混合物、または、プロドラッグ。
(項目24)
前記R3が、アリール、または、ヘテロアリールであり、これらのそれぞれを、独立して、ハロ、シアノ、C1-12ハロアルキル、及び、C1-12ハロアルコキシから選択する1~5個の置換基で任意に置換する、先行項目のいずれか1項に記載の化合物、または、医薬として許容可能なその塩、同位体濃縮類似体、立体異性体、立体異性体の混合物、または、プロドラッグ。
(項目25)
前記R3が、アリール、または、ヘテロアリールであり、これらのそれぞれを、クロロ、フルオロ、-CF3、または、それらの組み合わせで任意に置換する、先行項目のいずれか1項に記載の化合物、または、医薬として許容可能なその塩、同位体濃縮類似体、立体異性体、立体異性体の混合物、または、プロドラッグ。
(項目26)
前記R3が、
であり、式中、それぞれを、1~5個のR11で任意に置換する、先行項目のいずれか1項に記載の化合物、または、医薬として許容可能なその塩、同位体濃縮類似体、立体異性体、立体異性体の混合物、または、プロドラッグ。
(項目27)
前記R3が、1~5個のR11で任意に置換したフェニルである、先行項目のいずれか1項に記載の化合物、または、医薬として許容可能なその塩、同位体濃縮類似体、立体異性体、立体異性体の混合物、または、プロドラッグ。
(項目28)
前記R3が、独立して、ハロ、シアノ、C1-12ハロアルキル、及び、C1-12ハロアルコキシから選択する1~5個の置換基で任意に置換したフェニルである、先行項目のいずれか1項に記載の化合物、または、医薬として許容可能なその塩、同位体濃縮類似体、立体異性体、立体異性体の混合物、または、プロドラッグ。
(項目29)
前記R3が、クロロ、フルオロ、ブロモ、-CF3、または、それらの組み合わせで置換したフェニルである、先行項目のいずれか1項に記載の化合物、または、医薬として許容可能なその塩、同位体濃縮類似体、立体異性体、立体異性体の混合物、または、プロドラッグ。
(項目30)
前記R4及びR5が、水素である、先行項目のいずれか1項に記載の化合物、または、医薬として許容可能なその塩、同位体濃縮類似体、立体異性体、立体異性体の混合物、または、プロドラッグ。
(項目31)
前記R1が、水素である、先行項目のいずれか1項に記載の化合物、または、医薬として許容可能なその塩、同位体濃縮類似体、立体異性体、立体異性体の混合物、または、プロドラッグ。
(項目32)
表1、表2、表1A、または、表2Aから選択する、化合物、または、医薬として許容可能なその塩、同位体濃縮類似体、立体異性体、立体異性体の混合物、または、プロドラッグ。
(項目33)
項目1~32のいずれか1項に記載の化合物、または、医薬として許容可能なその塩、立体異性体、立体異性体の混合物、または、プロドラッグ、及び、医薬として許容可能な担体を含む医薬組成物。
(項目34)
少なくとも一部を、真核生物開始因子2Bが媒介した疾患または病態を処置する方法であって、項目33に記載の医薬組成物の有効量を、それを必要とする対象に投与することを含む、前記方法。
(項目35)
前記疾患または病態が、神経変性疾患である、項目34に記載の方法。
(項目36)
前記疾患が、アレキサンダー病、アルパー病、アルツハイマー病、筋萎縮性側索硬化症、毛細血管拡張性運動失調、バッテン病(別名、スピルマイヤー・フォクト・シェーグレン・バッテン病)、ウシ海綿状脳症(BSE)、カナバン病、コケイン症候群、コルチコバサル変性、クロイツフェルト・ヤコブ病、前頭側頭型認知症、ゲルストマン・ストラウスラー・シャインカー症候群、ハンチントン病、HIV関連認知症、ケネディ病、クラッベ病、クールー、レビー小体型認知症、マチャド・ジョセフ病(3型脊髄小脳失調)、多発性硬化症、多系統萎縮症、ナルコレプシー、神経ボレリア症、パーキンソン病、ペリゼウス・メルツバッハー病、ピック病、原発性側索硬化症、プリオン病、レフサム病、サンドホフ病、シルダー病、悪性貧血に続発する亜急性脊髄連合変性症、統合失調症、脊髄小脳失調(特性が異なる複数のタイプ)、脊髄性筋萎縮症、スティール・リチャードソン・オルシェフスキー病、白質消失(VWM)病、インスリン抵抗性、または、脊髄癆である、項目34に記載の方法。
(項目37)
前記神経変性疾患が、アルツハイマー病、ALS、パーキンソン病、または、認知症である、項目36に記載の方法。
(項目38)
認知記憶を改善する方法であって、項目33に記載の医薬組成物の有効量を、それを必要とする対象に投与することを含む、前記方法。
(項目39)
疾患または病態が、がんである、項目34に記載の方法。
(項目40)
治療での使用のための項目1~32のいずれか1項に記載の化合物、または、医薬として許容可能なその塩、立体異性体、立体異性体の混合物、または、プロドラッグ。
(項目41)
神経変性疾患の治療、がんの治療、または、認知記憶の改善での使用のための項目1~32のいずれか1項に記載の化合物、または、医薬として許容可能なその塩、立体異性体、立体異性体の混合物、または、プロドラッグ。
(項目42)
アレキサンダー病、アルパー病、アルツハイマー病、筋萎縮性側索硬化症、毛細血管拡張性運動失調、バッテン病(別名、スピルマイヤー・フォクト・シェーグレン・バッテン病)、ウシ海綿状脳症(BSE)、カナバン病、コケイン症候群、コルチコバサル変性、クロイツフェルト・ヤコブ病、前頭側頭型認知症、ゲルストマン・ストラウスラー・シャインカー症候群、ハンチントン病、HIV関連認知症、ケネディ病、クラッベ病、クールー、レビー小体型認知症、マチャド・ジョセフ病(3型脊髄小脳失調)、多発性硬化症、多系統萎縮症、ナルコレプシー、神経ボレリア症、パーキンソン病、ペリゼウス・メルツバッハー病、ピック病、原発性側索硬化症、プリオン病、レフサム病、サンドホフ病、シルダー病、悪性貧血に続発する亜急性脊髄連合変性症、統合失調症、脊髄小脳失調(特性が異なる複数のタイプ)、脊髄性筋萎縮症、スティール・リチャードソン・オルシェフスキー病、白質消失(VWM)病、インスリン抵抗性、または、脊髄癆の治療での使用のための項目1~32のいずれか1項に記載の化合物、または、医薬として許容可能なその塩、立体異性体、立体異性体の混合物、または、プロドラッグ。
(項目43)
神経変性疾患の治療、がんの治療、または、認知記憶の改善のための医薬の製造のための項目1~32のいずれか1項に記載の化合物、または、医薬として許容可能なその塩、立体異性体、立体異性体の混合物、または、プロドラッグの使用。
(項目44)
アレキサンダー病、アルパー病、アルツハイマー病、筋萎縮性側索硬化症、毛細血管拡張性運動失調、バッテン病(別名、スピルマイヤー・フォクト・シェーグレン・バッテン病)、ウシ海綿状脳症(BSE)、カナバン病、コケイン症候群、コルチコバサル変性、クロイツフェルト・ヤコブ病、前頭側頭型認知症、ゲルストマン・ストラウスラー・シャインカー症候群、ハンチントン病、HIV関連認知症、ケネディ病、クラッベ病、クールー、レビー小体型認知症、マチャド・ジョセフ病(3型脊髄小脳失調)、多発性硬化症、多系統萎縮症、ナルコレプシー、神経ボレリア症、パーキンソン病、ペリゼウス・メルツバッハー病、ピック病、原発性側索硬化症、プリオン病、レフサム病、サンドホフ病、シルダー病、悪性貧血に続発する亜急性脊髄連合変性症、統合失調症、脊髄小脳失調(特性が異なる複数のタイプ)、脊髄性筋萎縮症、スティール・リチャードソン・オルシェフスキー病、白質消失(VWM)病、インスリン抵抗性、または、脊髄癆の治療のための医薬の製造のための項目1~32のいずれか1項に記載の化合物、または、医薬として許容可能なその塩、立体異性体、立体異性体の混合物、または、プロドラッグの使用。
(項目45)
式I
の化合物、または、その塩、同位体濃縮類似体、立体異性体、または、立体異性体の混合物を調製する方法であって:
式1:
式中、R100は、ハロであり、そして、R101は、部分
または、窒素保護基である化合物を、式2:
の化合物の提供に適した条件下で、式H-Q1-L-Q2-R2の化合物と接触させることを含み:
式中:
a)R101が、部分
であれば、前記方法は、式Iの化合物、または、その塩、同位体濃縮類似体、立体異性体、または、立体異性体の混合物を提供する;及び
b)R101が、窒素保護基であれば、前記方法は、窒素保護基を除去する、及び、式2の化合物を、式3:
の化合物と接触させる、ことをさらに含む:
式中、LGは、式Iの化合物、または、その塩、同位体濃縮類似体、立体異性体、または、立体異性体の混合物の提供に適した条件下での脱離基である;及び
環Aは、シクロアルキル、または、ヘテロシクリルである、ただし、環Aは、ビシクロ[1.1.1]ペンタン、または、ビシクロ[2.1.1]ヘキサンではない;それぞれを、1~6個のR14で任意に置換する;
環Bは、5員または6員のヘテロアリール、または、フェニルである;それぞれを、1~3個のR13で任意に置換する;
Q1及びQ2は、それぞれ、独立して、O、S、または、NR15である;
Lは、C1-6アルキレンリンカーであり、独立して、ハロ、シアノ、ニトロ、-OR6、-SR6、-SF5、-NR6R7、C1-6アルキル、C2-6アルケニル、C2-6アルキニル、-C(O)R6、-C(O)OR6、-OC(O)OR6、-OC(O)R6、-C(O)NR6R7、-OC(O)NR6R7、-NR6C(O)NR7R8、-S(O)1-2R6、-S(O)1-2NR6、-NR6S(O)1-2R7、-NR6S(O)1-2NR7R8、-NR6C(O)R7、及び、-NR6C(O)OR7から選択する、1~3個の置換基で任意に置換する;
zは、0または1である;
X1は、O、NR9、または、結合である;
R1は、水素、C1-12アルキル、C2-12アルケニル、C2-12アルキニル、C3-10シクロアルキル、または、ヘテロシクリルであり、それらの各々を、水素以外は、1~3個のR11で任意に置換する;
R2は、C1-6ハロアルキルである;
R3は、水素、C1-12アルキル、C2-12アルケニル、C2-12アルキニル、C3-10シクロアルキル、ヘテロシクリル、アリール、または、ヘテロアリールであり、それらの各々を、水素以外は、1~5個のR11で任意に置換する;
R4及びR5は、独立して、水素、C1-12アルキル、C2-12アルケニル、または、C2-12アルキニルであり、それらの各々を、水素以外は、独立して、1~5個のR11で任意に置換する;
または、R3、及び、R4は、それらが結合している原子と共に互いに結合してC3-10シクロアルキル、または、ヘテロシクリルを形成しており、それらの各々を、1~5個のR11で任意に置換する;
または、R4、及び、R5は、それらが結合している原子と共に互いに結合してC3-10シクロアルキル、または、ヘテロシクリルを形成しており、それらの各々を、1~5個のR11で任意に置換する;
R6、R7、及び、R8のそれぞれは、独立して、水素、C1-12アルキル、C2-12アルケニル、C2-12アルキニル、C3-10シクロアルキル、ヘテロシクリル、アリール、ヘテロアリール、-C(O)R20、-C(O)OR20、-C(O)NR20R21、-S(O)1-2R20、または、-S(O)1-2NR20であり、式中、R6、R7、及び、R8のそれぞれのアルキル、アルケニル、アルキニル、シクロアルキル、ヘテロシクリル、アリール、及び、ヘテロアリールを、独立して、1~5個のR12で任意に置換する;または、R6、R7、及び、R8の2つが、それらが結合する原子と共に互いに結合して、独立して、1個~3個のハロ、オキソ、または、独立して、1個~3個のオキソ、ハロ、ヒドロキシル、もしくは、アミノで任意に置換したC1-12アルキルで任意に置換したヘテロシクリルを形成している;
R9は、水素、C1-12アルキル、C2-12アルケニル、C2-12アルキニル、C3-10シクロアルキル、または、ヘテロシクリルであり、それらの各々を、水素以外は、1~3個のR11で任意に置換する;
それぞれのR10は、独立して、ハロ、ヒドロキシ、C1-6アルキル、または、C1-6ハロアルキルである;
それぞれのR11は、独立して、ハロ、シアノ、ニトロ、オキソ、-OR6、-SR6、-SF5、-NR6R7、C1-12アルキル、C2-12アルケニル、C2-12アルキニル、C3-10シクロアルキル、ヘテロシクリル、アリール、ヘテロアリール、-C(O)R6、-C(O)OR6、-OC(O)OR6、-OC(O)R6、-C(O)NR6R7、-OC(O)NR6R7、-NR6C(O)NR7R8、-S(O)1-2R6、-S(O)1-2NR6、-NR6S(O)1-2R7、-NR6S(O)1-2NR7R8、-NR6C(O)R7、または、-NR6C(O)OR7であり、式中、R11のそれぞれのアルキル、アルケニル、アルキニル、シクロアルキル、ヘテロシクリル、アリール、及び、ヘテロアリールを、独立して、1~5個のR12で任意に置換する;
それぞれのR12は、独立して、ハロ、シアノ、ニトロ、オキソ、-OR30、-SR30、-SF5、-NR30R31、C1-12アルキル、C2-12アルケニル、C2-12アルキニル、C3-10シクロアルキル、ヘテロシクリル、アリール、ヘテロアリール、-C(O)R30、-C(O)OR30、-OC(O)OR30、-OC(O)R30、-C(O)NR30R31、-OC(O)NR30R31、-NR30C(O)NR30R31、-S(O)1-2R30、-S(O)1-2NR30、-NR30S(O)1-2R31、-NR30S(O)1-2NR30R31、-NR30C(O)R31、または、-NR30C(=O)OR31であり、式中、R12のそれぞれのアルキル、アルケニル、アルキニル、シクロアルキル、ヘテロシクリル、アリール、及び、ヘテロアリールを、独立して、1~3個のハロ、または、独立して、1~3個のオキソ、ハロ、ヒドロキシル、もしくは、アミノで任意に置換したC1-12アルキルで任意に置換する;
それぞれのR13は、独立して、ハロ、シアノ、ニトロ、オキソ、-OR30、-SR30、-SF5、-NR30R31、C1-12アルキル、C2-12アルケニル、C2-12アルキニル、C3-10シクロアルキル、ヘテロシクリル、アリール、ヘテロアリール、-C(O)R30、-C(O)OR30、-OC(O)OR30、-OC(O)R30、-C(O)NR30R31、-OC(O)NR30R31、-NR30C(O)NR30R31、-S(O)1-2R30、-S(O)1-2NR30、-NR30S(O)1-2R31、-NR30S(O)1-2NR30R31、-NR30C(O)R31、または、-NR30C(=O)OR31あり、式中、R13のそれぞれのアルキル、アルケニル、アルキニル、シクロアルキル、ヘテロシクリル、アリール、及び、ヘテロアリールを、独立して、1~3個のハロ、または、独立して、1~3個のオキソ、ハロ、ヒドロキシル、もしくは、アミノで任意に置換したC1-12アルキルで任意に置換する;
それぞれのR14は、独立して、ハロ、シアノ、-NR6R7、C1-6アルキル、C1-6アルコキシ、または、C1-6ハロアルキルである、または、2つのR14が、それらが結合する原子と共に互いに結合して、環またはC=Oを形成する;
それぞれのR15は、独立して、水素、C1-6アルキル、または、C1-6ハロアルキルである;
それぞれのR20、及び、R21は、独立して、水素である、または、独立して、1~3個のオキソ、ハロ、ヒドロキシル、もしくは、アミノで任意に置換したC1-12アルキルである;または、R20、及び、R21は、それらが結合する原子と共に互いに結合して、独立して、1~3個のハロ、または、独立して、1~3個のオキソ、ハロ、ヒドロキシル、もしくは、アミノで任意に置換したC1-12アルキルで任意に置換したヘテロシクリルを形成する;及び
それぞれのR30、及び、R31は、独立して、水素である、または、独立して、1~3個のオキソ、ハロ、ヒドロキシル、もしくは、アミノで任意に置換したC1-12アルキルである;または、R30、及び、R31は、それらが結合する原子と共に互いに結合して、独立して、1~3個のハロ、または、独立して、1~3個のオキソ、ハロ、ヒドロキシル、もしくは、アミノで任意に置換したC1-12アルキルで任意に置換したヘテロシクリルを形成する、前記方法。
(項目46)
前記LGが、-OH、C1-6アルコキシ、または、ハロである、項目45に記載の方法。
本発明の実施形態において、例えば以下の項目が提供される。
(項目1)
式Iの化合物:
環Aは、C3-10シクロアルキル、または、ヘテロシクリルである、ただし、環Aは、ビシクロ[1.1.1]ペンタン、または、ビシクロ[2.1.1]ヘキサンではない;それぞれを、1~6個のR14で任意に置換する;
環Bは、5員または6員のヘテロアリール、または、フェニルである;それぞれを、1~3個のR13で任意に置換する;
Q1及びQ2は、それぞれ、独立して、O、S、または、NR15である;
Lは、C1-6アルキレンリンカーであり、独立して、ハロ、シアノ、ニトロ、-OR6、-SR6、-SF5、-NR6R7、C1-6アルキル、C2-6アルケニル、C2-6アルキニル、-C(O)R6、-C(O)OR6、-OC(O)OR6、-OC(O)R6、-C(O)NR6R7、-OC(O)NR6R7、-NR6C(O)NR7R8、-S(O)1-2R6、-S(O)1-2NR6、-NR6S(O)1-2R7、-NR6S(O)1-2NR7R8、-NR6C(O)R7、及び、-NR6C(O)OR7から選択する、1~3個の置換基で任意に置換する;
zは、0または1である;
X1は、O、NR9、または、結合である;
R1は、水素、C1-12アルキル、C2-12アルケニル、C2-12アルキニル、C3-10シクロアルキル、または、ヘテロシクリルであり、それらの各々を、水素以外は、1~3個のR11で任意に置換する;
R2は、C1-6ハロアルキルである;
R3は、水素、C1-12アルキル、C2-12アルケニル、C2-12アルキニル、C3-10シクロアルキル、ヘテロシクリル、アリール、または、ヘテロアリールであり、それらの各々を、水素以外は、1~5個のR11で任意に置換する;
R4及びR5は、独立して、水素、C1-12アルキル、C2-12アルケニル、または、C2-12アルキニルであり、それらの各々を、水素以外は、独立して、1~5個のR11で任意に置換する;
または、R3、及び、R4は、それらが結合している原子と共に互いに結合してC3-10シクロアルキル、または、ヘテロシクリルを形成しており、それらの各々を、1~5個のR11で任意に置換する;
または、R4、及び、R5は、それらが結合している原子と共に互いに結合してC3-10シクロアルキル、または、ヘテロシクリルを形成しており、それらの各々を、1~5個のR11で任意に置換する;
R6、R7、及び、R8のそれぞれは、独立して、水素、C1-12アルキル、C2-12アルケニル、C2-12アルキニル、C3-10シクロアルキル、ヘテロシクリル、アリール、ヘテロアリール、-C(O)R20、-C(O)OR20、-C(O)NR20R21、-S(O)1-2R20、または、-S(O)1-2NR20であり、式中、R6、R7、及び、R8のそれぞれのアルキル、アルケニル、アルキニル、シクロアルキル、ヘテロシクリル、アリール、及び、ヘテロアリールを、独立して、1~5個のR12で任意に置換する;または、R6、R7、及び、R8の2つが、それらが結合する原子と共に互いに結合して、独立して、1個~3個のハロ、オキソ、または、独立して、1個~3個のオキソ、ハロ、ヒドロキシル、もしくは、アミノで任意に置換したC1-12アルキルで任意に置換したヘテロシクリルを形成している;
R9は、水素、C1-12アルキル、C2-12アルケニル、C2-12アルキニル、C3-10シクロアルキル、または、ヘテロシクリルであり、それらの各々を、水素以外は、1~3個のR11で任意に置換する;
それぞれのR11は、独立して、ハロ、シアノ、ニトロ、オキソ、-OR6、-SR6、-SF5、-NR6R7、C1-12アルキル、C2-12アルケニル、C2-12アルキニル、C3-10シクロアルキル、ヘテロシクリル、アリール、ヘテロアリール、-C(O)R6、-C(O)OR6、-OC(O)OR6、-OC(O)R6、-C(O)NR6R7、-OC(O)NR6R7、-NR6C(O)NR7R8、-S(O)1-2R6、-S(O)1-2NR6、-NR6S(O)1-2R7、-NR6S(O)1-2NR7R8、-NR6C(O)R7、または、-NR6C(O)OR7であり、式中、R11のそれぞれのアルキル、アルケニル、アルキニル、シクロアルキル、ヘテロシクリル、アリール、及び、ヘテロアリールを、独立して、1~5個のR12で任意に置換する;
それぞれのR12は、独立して、ハロ、シアノ、ニトロ、オキソ、-OR30、-SR30、-SF5、-NR30R31、C1-12アルキル、C2-12アルケニル、C2-12アルキニル、C3-10シクロアルキル、ヘテロシクリル、アリール、ヘテロアリール、-C(O)R30、-C(O)OR30、-OC(O)OR30、-OC(O)R30、-C(O)NR30R31、-OC(O)NR30R31、-NR30C(O)NR30R31、-S(O)1-2R30、-S(O)1-2NR30、-NR30S(O)1-2R31、-NR30S(O)1-2NR30R31、-NR30C(O)R31、または、-NR30C(=O)OR31であり、式中、R12のそれぞれのアルキル、アルケニル、アルキニル、シクロアルキル、ヘテロシクリル、アリール、及び、ヘテロアリールを、独立して、1~3個のハロ、または、独立して、1~3個のオキソ、ハロ、ヒドロキシル、もしくは、アミノで任意に置換したC1-12アルキルで任意に置換する;
それぞれのR13は、独立して、ハロ、シアノ、ニトロ、オキソ、-OR30、-SR30、-SF5、-NR30R31、C1-12アルキル、C2-12アルケニル、C2-12アルキニル、C3-10シクロアルキル、ヘテロシクリル、アリール、ヘテロアリール、-C(O)R30、-C(O)OR30、-OC(O)OR30、-OC(O)R30、-C(O)NR30R31、-OC(O)NR30R31、-NR30C(O)NR30R31、-S(O)1-2R30、-S(O)1-2NR30、-NR30S(O)1-2R31、-NR30S(O)1-2NR30R31、-NR30C(O)R31、または、-NR30C(=O)OR31あり、式中、R13のそれぞれのアルキル、アルケニル、アルキニル、シクロアルキル、ヘテロシクリル、アリール、及び、ヘテロアリールを、独立して、1~3個のハロ、または、独立して、1~3個のオキソ、ハロ、ヒドロキシル、もしくは、アミノで任意に置換したC1-12アルキルで任意に置換する;
それぞれのR14は、独立して、ハロ、シアノ、-NR6R7、C1-6アルキル、C1-6アルコキシ、または、C1-6ハロアルキルである、または、2つのR14が、それらが結合する原子と共に互いに結合して、環またはC=Oを形成する;
それぞれのR15は、独立して、水素、C1-6アルキル、または、C1-6ハロアルキルである;
それぞれのR20、及び、R21は、独立して、水素である、または、独立して、1~3個のオキソ、ハロ、ヒドロキシル、もしくは、アミノで任意に置換したC1-12アルキルである;または、R20、及び、R21は、それらが結合する原子と共に互いに結合して、独立して、1~3個のハロ、または、独立して、1~3個のオキソ、ハロ、ヒドロキシル、もしくは、アミノで任意に置換したC1-12アルキルで任意に置換したヘテロシクリルを形成する;及び
それぞれのR30、及び、R31は、独立して、水素である、または、独立して、1~3個のオキソ、ハロ、ヒドロキシル、もしくは、アミノで任意に置換したC1-12アルキルである;または、R30、及び、R31は、それらが結合する原子と共に互いに結合して、独立して、1~3個のハロ、または、独立して、1~3個のオキソ、ハロ、ヒドロキシル、もしくは、アミノで任意に置換したC1-12アルキルで任意に置換したヘテロシクリルを形成する、
前記化合物、または、医薬として許容可能なその塩、同位体濃縮類似体、立体異性体、立体異性体の混合物、または、プロドラッグ。
(項目2)
前記環Aが、単環式シクロアルキル、縮合二環式シクロアルキル、または、スピロ二環式シクロアルキルであり、それぞれを、1~6個のR14で任意に置換する、項目1に記載の化合物、または、医薬として許容可能なその塩、同位体濃縮類似体、立体異性体、立体異性体の混合物、または、プロドラッグ。
(項目3)
前記環Aが、ヘテロシクリルであり、それぞれを、1~6個のR14で任意に置換する、項目1に記載の化合物、または、医薬として許容可能なその塩、同位体濃縮類似体、立体異性体、立体異性体の混合物、または、プロドラッグ。
(項目4)
前記環Aを、
(項目5)
前記環Bが、1~3個のR13で任意に置換した5員のC2-4ヘテロアリール環である、先行項目のいずれか1項に記載の化合物、または、医薬として許容可能なその塩、同位体濃縮類似体、立体異性体、立体異性体の混合物、または、プロドラッグ。
(項目6)
前記環Bが、1~3個のR13で任意に置換した1~3個の窒素環原子を有する5員のC2-4ヘテロアリール環である、項目1~5のいずれか1項に記載の化合物、または、医薬として許容可能なその塩、同位体濃縮類似体、立体異性体、立体異性体の混合物、または、プロドラッグ。
(項目7)
前記環Bが、独立して、1~3個のR13で任意に置換した
(項目8)
前記環Bが、独立して、1~3個のR13で任意に置換したフェニル環である、項目1~4のいずれか1項に記載の化合物、または、医薬として許容可能なその塩、同位体濃縮類似体、立体異性体、立体異性体の混合物、または、プロドラッグ。
(項目9)
式IIの化合物:
pは、0、1、2、3、4、5、または、6である;
環Bは、
Q1及びQ2は、それぞれ、独立して、O、S、またはNR15である;
Lは、C1-6アルキレンリンカーであり、独立して、ハロ、シアノ、ニトロ、-OR6、-SR6、-SF5、-NR6R7、C1-6アルキル、C2-6アルケニル、C2-6アルキニル、-C(O)R6、-C(O)OR6、-OC(O)OR6、-OC(O)R6、-C(O)NR6R7、-OC(O)NR6R7、-NR6C(O)NR7R8、-S(O)1-2R6、-S(O)1-2NR6、-NR6S(O)1-2R7、-NR6S(O)1-2NR7R8、-NR6C(O)R7、及び、-NR6C(O)OR7から選択する1~3個の置換基で任意に置換する;
zは、0または1である;
X1は、O、NR9、または、結合である;
R1は、水素、C1-12アルキル、C2-12アルケニル、C2-12アルキニル、C3-10シクロアルキル、または、ヘテロシクリルであり、それらの各々を、水素以外は、1~3個のR11で任意に置換する;
R2は、C1-6ハロアルキルである;
R3は、水素、C1-12アルキル、C2-12アルケニル、C2-12アルキニル、C3-10シクロアルキル、ヘテロシクリル、アリール、または、ヘテロアリールであり、それらの各々を、水素以外は、1~5個のR11で任意に置換する;
R4及びR5は、独立して、水素、C1-12アルキル、C2-12アルケニル、または、C2-12アルキニルであり、それらの各々を、水素以外は、1~5個のR11で独立して任意に置換する;
または、R3、及び、R4は、それらが結合している原子と共に互いに結合してC3-10シクロアルキル、または、ヘテロシクリルを形成しており、それらの各々を、1~5個のR11で任意に置換する;
または、R4、及び、R5は、それらが結合している原子と共に互いに結合してC3-10シクロアルキル、または、ヘテロシクリルを形成しており、それらの各々を、1~5個のR11で任意に置換する;
R6、R7、及び、R8のそれぞれは、独立して、水素、C1-12アルキル、C2-12アルケニル、C2-12アルキニル、C3-10シクロアルキル、ヘテロシクリル、アリール、ヘテロアリール、-C(O)R20、-C(O)OR20、-C(O)NR20R21、-S(O)1-2R20、または、-S(O)1-2NR20であり、式中、R6、R7、及び、R8のそれぞれのアルキル、アルケニル、アルキニル、シクロアルキル、ヘテロシクリル、アリール、及び、ヘテロアリールを、独立して、1~5個のR12で任意に置換する;または、R6、R7、及び、R8の2つが、それらが結合する原子と共に互いに結合して、独立して、1個~3個のハロ、オキソ、または、独立して、1個~3個のオキソ、ハロ、ヒドロキシル、もしくは、アミノで任意に置換したC1-12アルキルで任意に置換したヘテロシクリルを形成する;
R9は、水素、C1-12アルキル、C2-12アルケニル、C2-12アルキニル、C3-10シクロアルキル、または、ヘテロシクリルであり、それらの各々を、水素以外は、1~3個のR11で任意に置換する;
それぞれのR11は、独立して、ハロ、シアノ、ニトロ、オキソ、-OR6、-SR6、-SF5、-NR6R7、C1-12アルキル、C2-12アルケニル、C2-12アルキニル、C3-10シクロアルキル、ヘテロシクリル、アリール、ヘテロアリール、-C(O)R6、-C(O)OR6、-OC(O)OR6、-OC(O)R6、-C(O)NR6R7、-OC(O)NR6R7、-NR6C(O)NR7R8、-S(O)1-2R6、-S(O)1-2NR6、-NR6S(O)1-2R7、-NR6S(O)1-2NR7R8、-NR6C(O)R7、または、-NR6C(O)OR7であり、式中、R11のそれぞれのアルキル、アルケニル、アルキニル、シクロアルキル、ヘテロシクリル、アリール、及び、ヘテロアリールを、独立して、1~5個のR12で任意に置換する;
それぞれのR12は、独立して、ハロ、シアノ、ニトロ、オキソ、-OR30、-SR30、-SF5、-NR30R31、C1-12アルキル、C2-12アルケニル、C2-12アルキニル、C3-10シクロアルキル、ヘテロシクリル、アリール、ヘテロアリール、-C(O)R30、-C(O)OR30、-OC(O)OR30、-OC(O)R30、-C(O)NR30R31、-OC(O)NR30R31、-NR30C(O)NR30R31、-S(O)1-2R30、-S(O)1-2NR30、-NR30S(O)1-2R31、-NR30S(O)1-2NR30R31、-NR30C(O)R31、または、-NR30C(=O)OR31であり、式中、R12のそれぞれのアルキル、アルケニル、アルキニル、シクロアルキル、ヘテロシクリル、アリール、及び、ヘテロアリールを、独立して、1~3個のハロ、または、独立して、1~3個のオキソ、ハロ、ヒドロキシル、もしくは、アミノで任意に置換したC1-12アルキルで任意に置換する;
それぞれのR13は、独立して、ハロ、シアノ、ニトロ、オキソ、-OR30、-SR30、-SF5、-NR30R31、C1-12アルキル、C2-12アルケニル、C2-12アルキニル、C3-10シクロアルキル、ヘテロシクリル、アリール、ヘテロアリール、-C(O)R30、-C(O)OR30、-OC(O)OR30、-OC(O)R30、-C(O)NR30R31、-OC(O)NR30R31、-NR30C(O)NR30R31、-S(O)1-2R30、-S(O)1-2NR30、-NR30S(O)1-2R31、-NR30S(O)1-2NR30R31、-NR30C(O)R31、または、-NR30C(=O)OR31あり、式中、R13のそれぞれのアルキル、アルケニル、アルキニル、シクロアルキル、ヘテロシクリル、アリール、及び、ヘテロアリールを、独立して、1~3個のハロ、または、独立して、1~3個のオキソ、ハロ、ヒドロキシル、もしくは、アミノで任意に置換したC1-12アルキルで任意に置換する;
それぞれのR14は、独立して、ハロ、シアノ、-NR6R7、C1-6アルキル、C1-6アルコキシ、または、C1-6ハロアルキルである、または、2つのR14が、それらが結合する原子と共に互いに結合して、環またはC=Oを形成する;
それぞれのR15は、独立して、水素、C1-6アルキル、または、C1-6ハロアルキルである;
それぞれのR20、及び、R21は、独立して、水素である、または、独立して、1~3個のオキソ、ハロ、ヒドロキシル、もしくは、アミノで任意に置換したC1-12アルキルである;または、R20、及び、R21は、それらが結合する原子と共に互いに結合して、独立して、1~3個のハロ、または、独立して、1~3個のオキソ、ハロ、ヒドロキシル、もしくは、アミノで任意に置換したC1-12アルキルで任意に置換したヘテロシクリルを形成する;及び
それぞれのR30、及び、R31は、独立して、水素である、または、独立して、1~3個のオキソ、ハロ、ヒドロキシル、もしくは、アミノで任意に置換したC1-12アルキルである;または、R30、及び、R31は、それらが結合する原子と共に互いに結合して、独立して、1~3個のハロ、または、独立して、1~3個のオキソ、ハロ、ヒドロキシル、もしくは、アミノで任意に置換したC1-12アルキルで任意に置換したヘテロシクリルを形成する、
前記化合物、または、医薬として許容可能なその塩、同位体濃縮類似体、立体異性体、立体異性体の混合物、または、プロドラッグ。
(項目10)
前記環Bを、1~3個のR13で任意に置換しており、それぞれのR13が、独立して、ハロ、シアノ、オキソ、C1-6アルキル、C1-6アルコキシ、C1-6ハロアルキル、または、C1-6ハロアルコキシである、項目1~9のいずれか1項に記載の化合物、または、医薬として許容可能なその塩、同位体濃縮類似体、立体異性体、立体異性体の混合物、または、プロドラッグ。
(項目11)
前記R2が、-CHF2、-CF3、または、-CH2CF3である、項目1~10のいずれか1項に記載の化合物、または、医薬として許容可能なその塩、同位体濃縮類似体、立体異性体、立体異性体の混合物、または、プロドラッグ。
(項目12)
前記Q1が、Oである、項目1~11のいずれか1項に記載の化合物、または、医薬として許容可能なその塩、同位体濃縮類似体、立体異性体、立体異性体の混合物、または、プロドラッグ。
(項目13)
前記Q2が、Oである、項目1~11のいずれか1項に記載の化合物、または、医薬として許容可能なその塩、同位体濃縮類似体、立体異性体、立体異性体の混合物、または、プロドラッグ。
(項目14)
前記Q1が、NR15であり、かつ、前記Q2が、Oである、項目1~11のいずれか1項に記載の化合物、または、医薬として許容可能なその塩、同位体濃縮類似体、立体異性体、立体異性体の混合物、または、プロドラッグ。
(項目15)
前記Q1及びQ2のそれぞれが、Oである、項目1~11のいずれか1項に記載の化合物、または、医薬として許容可能なその塩、同位体濃縮類似体、立体異性体、立体異性体の混合物、または、プロドラッグ。
(項目16)
前記Lが、エチレンリンカーであり、1~3個のハロで任意に置換する、項目1~15のいずれか1項に記載の化合物、または、医薬として許容可能なその塩、同位体濃縮類似体、立体異性体、立体異性体の混合物、または、プロドラッグ。
(項目17)
前記Lが、-CH2CH2-である、項目1~15のいずれか1項に記載の化合物、または、医薬として許容可能なその塩、同位体濃縮類似体、立体異性体、立体異性体の混合物、または、プロドラッグ。
(項目18)
前記部分-Q1-L-Q2-R2が、-OCH2CH2OCF3である、項目1~11のいずれか1項に記載の化合物、または、医薬として許容可能なその塩、同位体濃縮類似体、立体異性体、立体異性体の混合物、または、プロドラッグ。
(項目19)
前記部分-Q1-L-Q2-R2が、-NR15CH2CH2OCF3である、項目1~11のいずれか1項に記載の化合物、または、医薬として許容可能なその塩、同位体濃縮類似体、立体異性体、立体異性体の混合物、または、プロドラッグ。
(項目20)
前記X1が、Oである、先行項目のいずれか1項に記載の化合物、または、医薬として許容可能なその塩、同位体濃縮類似体、立体異性体、立体異性体の混合物、または、プロドラッグ。
(項目21)
前記R3が、C3-10シクロアルキル、ヘテロシクリル、アリール、または、ヘテロアリールであり、これらのそれぞれを、1~5個のR11で任意に置換する、先行項目のいずれか1項に記載の化合物、または、医薬として許容可能なその塩、同位体濃縮類似体、立体異性体、立体異性体の混合物、または、プロドラッグ。
(項目22)
前記R3が、C3-10シクロアルキル、アリール、または、ヘテロアリールであり、これらのそれぞれを、1~5個のR11で任意に置換する、先行項目のいずれか1項に記載の化合物、または、医薬として許容可能なその塩、同位体濃縮類似体、立体異性体、立体異性体の混合物、または、プロドラッグ。
(項目23)
前記R3が、アリール、または、ヘテロアリールであり、これらのそれぞれを、1~5個のR11で任意に置換する、先行項目のいずれか1項に記載の化合物、または、医薬として許容可能なその塩、同位体濃縮類似体、立体異性体、立体異性体の混合物、または、プロドラッグ。
(項目24)
前記R3が、アリール、または、ヘテロアリールであり、これらのそれぞれを、独立して、ハロ、シアノ、C1-12ハロアルキル、及び、C1-12ハロアルコキシから選択する1~5個の置換基で任意に置換する、先行項目のいずれか1項に記載の化合物、または、医薬として許容可能なその塩、同位体濃縮類似体、立体異性体、立体異性体の混合物、または、プロドラッグ。
(項目25)
前記R3が、アリール、または、ヘテロアリールであり、これらのそれぞれを、クロロ、フルオロ、-CF3、または、それらの組み合わせで任意に置換する、先行項目のいずれか1項に記載の化合物、または、医薬として許容可能なその塩、同位体濃縮類似体、立体異性体、立体異性体の混合物、または、プロドラッグ。
(項目26)
前記R3が、
(項目27)
前記R3が、1~5個のR11で任意に置換したフェニルである、先行項目のいずれか1項に記載の化合物、または、医薬として許容可能なその塩、同位体濃縮類似体、立体異性体、立体異性体の混合物、または、プロドラッグ。
(項目28)
前記R3が、独立して、ハロ、シアノ、C1-12ハロアルキル、及び、C1-12ハロアルコキシから選択する1~5個の置換基で任意に置換したフェニルである、先行項目のいずれか1項に記載の化合物、または、医薬として許容可能なその塩、同位体濃縮類似体、立体異性体、立体異性体の混合物、または、プロドラッグ。
(項目29)
前記R3が、クロロ、フルオロ、ブロモ、-CF3、または、それらの組み合わせで置換したフェニルである、先行項目のいずれか1項に記載の化合物、または、医薬として許容可能なその塩、同位体濃縮類似体、立体異性体、立体異性体の混合物、または、プロドラッグ。
(項目30)
前記R4及びR5が、水素である、先行項目のいずれか1項に記載の化合物、または、医薬として許容可能なその塩、同位体濃縮類似体、立体異性体、立体異性体の混合物、または、プロドラッグ。
(項目31)
前記R1が、水素である、先行項目のいずれか1項に記載の化合物、または、医薬として許容可能なその塩、同位体濃縮類似体、立体異性体、立体異性体の混合物、または、プロドラッグ。
(項目32)
表1、表2、表1A、または、表2Aから選択する、化合物、または、医薬として許容可能なその塩、同位体濃縮類似体、立体異性体、立体異性体の混合物、または、プロドラッグ。
(項目33)
項目1~32のいずれか1項に記載の化合物、または、医薬として許容可能なその塩、立体異性体、立体異性体の混合物、または、プロドラッグ、及び、医薬として許容可能な担体を含む医薬組成物。
(項目34)
少なくとも一部を、真核生物開始因子2Bが媒介した疾患または病態を処置する方法であって、項目33に記載の医薬組成物の有効量を、それを必要とする対象に投与することを含む、前記方法。
(項目35)
前記疾患または病態が、神経変性疾患である、項目34に記載の方法。
(項目36)
前記疾患が、アレキサンダー病、アルパー病、アルツハイマー病、筋萎縮性側索硬化症、毛細血管拡張性運動失調、バッテン病(別名、スピルマイヤー・フォクト・シェーグレン・バッテン病)、ウシ海綿状脳症(BSE)、カナバン病、コケイン症候群、コルチコバサル変性、クロイツフェルト・ヤコブ病、前頭側頭型認知症、ゲルストマン・ストラウスラー・シャインカー症候群、ハンチントン病、HIV関連認知症、ケネディ病、クラッベ病、クールー、レビー小体型認知症、マチャド・ジョセフ病(3型脊髄小脳失調)、多発性硬化症、多系統萎縮症、ナルコレプシー、神経ボレリア症、パーキンソン病、ペリゼウス・メルツバッハー病、ピック病、原発性側索硬化症、プリオン病、レフサム病、サンドホフ病、シルダー病、悪性貧血に続発する亜急性脊髄連合変性症、統合失調症、脊髄小脳失調(特性が異なる複数のタイプ)、脊髄性筋萎縮症、スティール・リチャードソン・オルシェフスキー病、白質消失(VWM)病、インスリン抵抗性、または、脊髄癆である、項目34に記載の方法。
(項目37)
前記神経変性疾患が、アルツハイマー病、ALS、パーキンソン病、または、認知症である、項目36に記載の方法。
(項目38)
認知記憶を改善する方法であって、項目33に記載の医薬組成物の有効量を、それを必要とする対象に投与することを含む、前記方法。
(項目39)
疾患または病態が、がんである、項目34に記載の方法。
(項目40)
治療での使用のための項目1~32のいずれか1項に記載の化合物、または、医薬として許容可能なその塩、立体異性体、立体異性体の混合物、または、プロドラッグ。
(項目41)
神経変性疾患の治療、がんの治療、または、認知記憶の改善での使用のための項目1~32のいずれか1項に記載の化合物、または、医薬として許容可能なその塩、立体異性体、立体異性体の混合物、または、プロドラッグ。
(項目42)
アレキサンダー病、アルパー病、アルツハイマー病、筋萎縮性側索硬化症、毛細血管拡張性運動失調、バッテン病(別名、スピルマイヤー・フォクト・シェーグレン・バッテン病)、ウシ海綿状脳症(BSE)、カナバン病、コケイン症候群、コルチコバサル変性、クロイツフェルト・ヤコブ病、前頭側頭型認知症、ゲルストマン・ストラウスラー・シャインカー症候群、ハンチントン病、HIV関連認知症、ケネディ病、クラッベ病、クールー、レビー小体型認知症、マチャド・ジョセフ病(3型脊髄小脳失調)、多発性硬化症、多系統萎縮症、ナルコレプシー、神経ボレリア症、パーキンソン病、ペリゼウス・メルツバッハー病、ピック病、原発性側索硬化症、プリオン病、レフサム病、サンドホフ病、シルダー病、悪性貧血に続発する亜急性脊髄連合変性症、統合失調症、脊髄小脳失調(特性が異なる複数のタイプ)、脊髄性筋萎縮症、スティール・リチャードソン・オルシェフスキー病、白質消失(VWM)病、インスリン抵抗性、または、脊髄癆の治療での使用のための項目1~32のいずれか1項に記載の化合物、または、医薬として許容可能なその塩、立体異性体、立体異性体の混合物、または、プロドラッグ。
(項目43)
神経変性疾患の治療、がんの治療、または、認知記憶の改善のための医薬の製造のための項目1~32のいずれか1項に記載の化合物、または、医薬として許容可能なその塩、立体異性体、立体異性体の混合物、または、プロドラッグの使用。
(項目44)
アレキサンダー病、アルパー病、アルツハイマー病、筋萎縮性側索硬化症、毛細血管拡張性運動失調、バッテン病(別名、スピルマイヤー・フォクト・シェーグレン・バッテン病)、ウシ海綿状脳症(BSE)、カナバン病、コケイン症候群、コルチコバサル変性、クロイツフェルト・ヤコブ病、前頭側頭型認知症、ゲルストマン・ストラウスラー・シャインカー症候群、ハンチントン病、HIV関連認知症、ケネディ病、クラッベ病、クールー、レビー小体型認知症、マチャド・ジョセフ病(3型脊髄小脳失調)、多発性硬化症、多系統萎縮症、ナルコレプシー、神経ボレリア症、パーキンソン病、ペリゼウス・メルツバッハー病、ピック病、原発性側索硬化症、プリオン病、レフサム病、サンドホフ病、シルダー病、悪性貧血に続発する亜急性脊髄連合変性症、統合失調症、脊髄小脳失調(特性が異なる複数のタイプ)、脊髄性筋萎縮症、スティール・リチャードソン・オルシェフスキー病、白質消失(VWM)病、インスリン抵抗性、または、脊髄癆の治療のための医薬の製造のための項目1~32のいずれか1項に記載の化合物、または、医薬として許容可能なその塩、立体異性体、立体異性体の混合物、または、プロドラッグの使用。
(項目45)
式I
式1:
式中:
a)R101が、部分
b)R101が、窒素保護基であれば、前記方法は、窒素保護基を除去する、及び、式2の化合物を、式3:
式中、LGは、式Iの化合物、または、その塩、同位体濃縮類似体、立体異性体、または、立体異性体の混合物の提供に適した条件下での脱離基である;及び
環Aは、シクロアルキル、または、ヘテロシクリルである、ただし、環Aは、ビシクロ[1.1.1]ペンタン、または、ビシクロ[2.1.1]ヘキサンではない;それぞれを、1~6個のR14で任意に置換する;
環Bは、5員または6員のヘテロアリール、または、フェニルである;それぞれを、1~3個のR13で任意に置換する;
Q1及びQ2は、それぞれ、独立して、O、S、または、NR15である;
Lは、C1-6アルキレンリンカーであり、独立して、ハロ、シアノ、ニトロ、-OR6、-SR6、-SF5、-NR6R7、C1-6アルキル、C2-6アルケニル、C2-6アルキニル、-C(O)R6、-C(O)OR6、-OC(O)OR6、-OC(O)R6、-C(O)NR6R7、-OC(O)NR6R7、-NR6C(O)NR7R8、-S(O)1-2R6、-S(O)1-2NR6、-NR6S(O)1-2R7、-NR6S(O)1-2NR7R8、-NR6C(O)R7、及び、-NR6C(O)OR7から選択する、1~3個の置換基で任意に置換する;
zは、0または1である;
X1は、O、NR9、または、結合である;
R1は、水素、C1-12アルキル、C2-12アルケニル、C2-12アルキニル、C3-10シクロアルキル、または、ヘテロシクリルであり、それらの各々を、水素以外は、1~3個のR11で任意に置換する;
R2は、C1-6ハロアルキルである;
R3は、水素、C1-12アルキル、C2-12アルケニル、C2-12アルキニル、C3-10シクロアルキル、ヘテロシクリル、アリール、または、ヘテロアリールであり、それらの各々を、水素以外は、1~5個のR11で任意に置換する;
R4及びR5は、独立して、水素、C1-12アルキル、C2-12アルケニル、または、C2-12アルキニルであり、それらの各々を、水素以外は、独立して、1~5個のR11で任意に置換する;
または、R3、及び、R4は、それらが結合している原子と共に互いに結合してC3-10シクロアルキル、または、ヘテロシクリルを形成しており、それらの各々を、1~5個のR11で任意に置換する;
または、R4、及び、R5は、それらが結合している原子と共に互いに結合してC3-10シクロアルキル、または、ヘテロシクリルを形成しており、それらの各々を、1~5個のR11で任意に置換する;
R6、R7、及び、R8のそれぞれは、独立して、水素、C1-12アルキル、C2-12アルケニル、C2-12アルキニル、C3-10シクロアルキル、ヘテロシクリル、アリール、ヘテロアリール、-C(O)R20、-C(O)OR20、-C(O)NR20R21、-S(O)1-2R20、または、-S(O)1-2NR20であり、式中、R6、R7、及び、R8のそれぞれのアルキル、アルケニル、アルキニル、シクロアルキル、ヘテロシクリル、アリール、及び、ヘテロアリールを、独立して、1~5個のR12で任意に置換する;または、R6、R7、及び、R8の2つが、それらが結合する原子と共に互いに結合して、独立して、1個~3個のハロ、オキソ、または、独立して、1個~3個のオキソ、ハロ、ヒドロキシル、もしくは、アミノで任意に置換したC1-12アルキルで任意に置換したヘテロシクリルを形成している;
R9は、水素、C1-12アルキル、C2-12アルケニル、C2-12アルキニル、C3-10シクロアルキル、または、ヘテロシクリルであり、それらの各々を、水素以外は、1~3個のR11で任意に置換する;
それぞれのR10は、独立して、ハロ、ヒドロキシ、C1-6アルキル、または、C1-6ハロアルキルである;
それぞれのR11は、独立して、ハロ、シアノ、ニトロ、オキソ、-OR6、-SR6、-SF5、-NR6R7、C1-12アルキル、C2-12アルケニル、C2-12アルキニル、C3-10シクロアルキル、ヘテロシクリル、アリール、ヘテロアリール、-C(O)R6、-C(O)OR6、-OC(O)OR6、-OC(O)R6、-C(O)NR6R7、-OC(O)NR6R7、-NR6C(O)NR7R8、-S(O)1-2R6、-S(O)1-2NR6、-NR6S(O)1-2R7、-NR6S(O)1-2NR7R8、-NR6C(O)R7、または、-NR6C(O)OR7であり、式中、R11のそれぞれのアルキル、アルケニル、アルキニル、シクロアルキル、ヘテロシクリル、アリール、及び、ヘテロアリールを、独立して、1~5個のR12で任意に置換する;
それぞれのR12は、独立して、ハロ、シアノ、ニトロ、オキソ、-OR30、-SR30、-SF5、-NR30R31、C1-12アルキル、C2-12アルケニル、C2-12アルキニル、C3-10シクロアルキル、ヘテロシクリル、アリール、ヘテロアリール、-C(O)R30、-C(O)OR30、-OC(O)OR30、-OC(O)R30、-C(O)NR30R31、-OC(O)NR30R31、-NR30C(O)NR30R31、-S(O)1-2R30、-S(O)1-2NR30、-NR30S(O)1-2R31、-NR30S(O)1-2NR30R31、-NR30C(O)R31、または、-NR30C(=O)OR31であり、式中、R12のそれぞれのアルキル、アルケニル、アルキニル、シクロアルキル、ヘテロシクリル、アリール、及び、ヘテロアリールを、独立して、1~3個のハロ、または、独立して、1~3個のオキソ、ハロ、ヒドロキシル、もしくは、アミノで任意に置換したC1-12アルキルで任意に置換する;
それぞれのR13は、独立して、ハロ、シアノ、ニトロ、オキソ、-OR30、-SR30、-SF5、-NR30R31、C1-12アルキル、C2-12アルケニル、C2-12アルキニル、C3-10シクロアルキル、ヘテロシクリル、アリール、ヘテロアリール、-C(O)R30、-C(O)OR30、-OC(O)OR30、-OC(O)R30、-C(O)NR30R31、-OC(O)NR30R31、-NR30C(O)NR30R31、-S(O)1-2R30、-S(O)1-2NR30、-NR30S(O)1-2R31、-NR30S(O)1-2NR30R31、-NR30C(O)R31、または、-NR30C(=O)OR31あり、式中、R13のそれぞれのアルキル、アルケニル、アルキニル、シクロアルキル、ヘテロシクリル、アリール、及び、ヘテロアリールを、独立して、1~3個のハロ、または、独立して、1~3個のオキソ、ハロ、ヒドロキシル、もしくは、アミノで任意に置換したC1-12アルキルで任意に置換する;
それぞれのR14は、独立して、ハロ、シアノ、-NR6R7、C1-6アルキル、C1-6アルコキシ、または、C1-6ハロアルキルである、または、2つのR14が、それらが結合する原子と共に互いに結合して、環またはC=Oを形成する;
それぞれのR15は、独立して、水素、C1-6アルキル、または、C1-6ハロアルキルである;
それぞれのR20、及び、R21は、独立して、水素である、または、独立して、1~3個のオキソ、ハロ、ヒドロキシル、もしくは、アミノで任意に置換したC1-12アルキルである;または、R20、及び、R21は、それらが結合する原子と共に互いに結合して、独立して、1~3個のハロ、または、独立して、1~3個のオキソ、ハロ、ヒドロキシル、もしくは、アミノで任意に置換したC1-12アルキルで任意に置換したヘテロシクリルを形成する;及び
それぞれのR30、及び、R31は、独立して、水素である、または、独立して、1~3個のオキソ、ハロ、ヒドロキシル、もしくは、アミノで任意に置換したC1-12アルキルである;または、R30、及び、R31は、それらが結合する原子と共に互いに結合して、独立して、1~3個のハロ、または、独立して、1~3個のオキソ、ハロ、ヒドロキシル、もしくは、アミノで任意に置換したC1-12アルキルで任意に置換したヘテロシクリルを形成する、前記方法。
(項目46)
前記LGが、-OH、C1-6アルコキシ、または、ハロである、項目45に記載の方法。
Claims (1)
- 本明細書に記載の発明。
Applications Claiming Priority (6)
| Application Number | Priority Date | Filing Date | Title |
|---|---|---|---|
| US201962805263P | 2019-02-13 | 2019-02-13 | |
| US62/805,263 | 2019-02-13 | ||
| US201962877232P | 2019-07-22 | 2019-07-22 | |
| US62/877,232 | 2019-07-22 | ||
| JP2021547076A JP2022520236A (ja) | 2019-02-13 | 2020-02-12 | 化合物、組成物、及び、方法 |
| PCT/US2020/018007 WO2020168011A1 (en) | 2019-02-13 | 2020-02-12 | Compounds, compositions and methods |
Related Parent Applications (1)
| Application Number | Title | Priority Date | Filing Date |
|---|---|---|---|
| JP2021547076A Division JP2022520236A (ja) | 2019-02-13 | 2020-02-12 | 化合物、組成物、及び、方法 |
Publications (1)
| Publication Number | Publication Date |
|---|---|
| JP2024166311A true JP2024166311A (ja) | 2024-11-28 |
Family
ID=72043948
Family Applications (2)
| Application Number | Title | Priority Date | Filing Date |
|---|---|---|---|
| JP2021547076A Withdrawn JP2022520236A (ja) | 2019-02-13 | 2020-02-12 | 化合物、組成物、及び、方法 |
| JP2024156648A Pending JP2024166311A (ja) | 2019-02-13 | 2024-09-10 | 化合物、組成物、及び、方法 |
Family Applications Before (1)
| Application Number | Title | Priority Date | Filing Date |
|---|---|---|---|
| JP2021547076A Withdrawn JP2022520236A (ja) | 2019-02-13 | 2020-02-12 | 化合物、組成物、及び、方法 |
Country Status (21)
| Country | Link |
|---|---|
| US (2) | US11306077B2 (ja) |
| EP (1) | EP3923935A4 (ja) |
| JP (2) | JP2022520236A (ja) |
| KR (1) | KR20210126036A (ja) |
| CN (1) | CN113518618A (ja) |
| AU (1) | AU2020223228A1 (ja) |
| BR (1) | BR112021015639A2 (ja) |
| CA (1) | CA3129609A1 (ja) |
| CL (1) | CL2021002104A1 (ja) |
| CO (1) | CO2021010490A2 (ja) |
| CR (1) | CR20210426A (ja) |
| IL (1) | IL285302A (ja) |
| MA (1) | MA54953A (ja) |
| MX (1) | MX2021009669A (ja) |
| PE (1) | PE20212023A1 (ja) |
| PH (1) | PH12021551923A1 (ja) |
| SA (1) | SA521430021B1 (ja) |
| SG (1) | SG11202108552QA (ja) |
| TW (1) | TWI877136B (ja) |
| WO (1) | WO2020168011A1 (ja) |
| ZA (1) | ZA202105930B (ja) |
Families Citing this family (20)
| Publication number | Priority date | Publication date | Assignee | Title |
|---|---|---|---|---|
| MX2020001352A (es) | 2017-08-09 | 2020-03-20 | Denali Therapeutics Inc | Compuestos, composiciones y metodos. |
| CN111201245B (zh) | 2017-09-01 | 2024-04-05 | 戴纳立制药公司 | 化合物、组合物和方法 |
| MX2020006115A (es) | 2017-12-13 | 2020-11-09 | Praxis Biotech LLC | Inhibidores de la vía de respuesta al estrés integrada. |
| MX2020013269A (es) | 2018-06-05 | 2021-02-18 | Praxis Biotech LLC | Inhibidores de la vía de respuesta al estrés integrada. |
| SG11202108519TA (en) | 2019-02-13 | 2021-09-29 | Ptc Therapeutics Inc | Thioeno[3,2-b] pyridin-7-amine compounds for treating familial dysautonomia |
| CA3129609A1 (en) | 2019-02-13 | 2020-08-20 | Denali Therapeutics Inc. | Eukaryotic initiation factor 2b modulators |
| US12091392B2 (en) | 2019-02-13 | 2024-09-17 | Denali Therapeutics Inc. | Compounds, compositions and methods |
| WO2020167624A1 (en) | 2019-02-13 | 2020-08-20 | Ptc Therapeutics, Inc. | Pyrrolo[2,3-d]pyrimidine compounds for treating familial dysautonomia |
| CN114466654A (zh) | 2019-06-12 | 2022-05-10 | 普拉西斯生物技术有限责任公司 | 整合应激反应通路调节剂 |
| US12441720B2 (en) | 2020-03-11 | 2025-10-14 | Evotec International Gmbh | Modulators of the integrated stress response pathway |
| AU2021366303A1 (en) | 2020-10-22 | 2023-06-22 | Evotec International Gmbh | Modulators of the integrated stress response pathway |
| CA3195290A1 (en) | 2020-10-22 | 2022-04-28 | Holly Victoria Atton | Modulators of the integrated stress response pathway |
| CN116761803A (zh) * | 2020-10-22 | 2023-09-15 | 埃沃特克国际有限责任公司 | 整合应激反应途径的调节剂 |
| WO2022084447A1 (en) | 2020-10-22 | 2022-04-28 | Evotec International Gmbh | Modulators of the integrated stress response pathway |
| WO2022133236A1 (en) * | 2020-12-18 | 2022-06-23 | Denali Therapeutics Inc. | Solid forms of a compound |
| EP4570799A1 (en) * | 2022-08-08 | 2025-06-18 | Shenzhen Zhongge Biological Technology Co., Ltd. | Compound, pharmaceutical composition comprising same, and use thereof |
| CN120712297A (zh) | 2023-03-03 | 2025-09-26 | 大金工业株式会社 | 含氟聚合物 |
| EP4516773A4 (en) | 2023-03-03 | 2025-10-29 | Daikin Ind Ltd | COMPOUND CONTAINING FLUORIDE |
| WO2024185707A1 (ja) | 2023-03-03 | 2024-09-12 | ダイキン工業株式会社 | 含フッ素化合物 |
| WO2025019827A1 (en) * | 2023-07-20 | 2025-01-23 | Denali Therapeutics Inc. | Formulation, solid dosage form, and methods |
Family Cites Families (72)
| Publication number | Priority date | Publication date | Assignee | Title |
|---|---|---|---|---|
| US6429207B1 (en) | 1997-11-21 | 2002-08-06 | Nps Pharmaceuticals, Inc. | Metabotropic glutamate receptor antagonists and their use for treating central nervous system diseases |
| AU762345B2 (en) | 1998-10-16 | 2003-06-26 | Asubio Pharma Co., Ltd. | Aminophenoxyacetic acid derivatives as neuroprotectants |
| AR024077A1 (es) | 1999-05-25 | 2002-09-04 | Smithkline Beecham Corp | Compuestos antibacterianos |
| AU2001249417A1 (en) * | 2000-04-26 | 2001-11-07 | Gliatech, Inc. | Chiral imidazoyl intermediates for the synthesis of 2-(4-imidazoyl)-cyclopropyl derivatives |
| US7259157B2 (en) * | 2001-04-03 | 2007-08-21 | Merck & Co., Inc. | N-substituted nonaryl-heterocyclo amidyl NMDA/NR2B Antagonists |
| JO2397B1 (en) | 2002-12-20 | 2007-06-17 | ميرك شارب اند دوم كوربوريشن | Terazol derivatives as beta-hydroxy steroid dihydrogenase-1 inhibitors |
| DE602005015231D1 (de) | 2004-09-02 | 2009-08-13 | Vertex Pharma | Als ionenkanalmodulatoren geeignete chinazoline |
| US20090131444A1 (en) | 2005-05-24 | 2009-05-21 | Astrazeneca Ab | Aminopiperidine Quinolines and Their Azaisosteric Analogues with Antibacterial Activity |
| SG170767A1 (en) * | 2005-12-23 | 2011-05-30 | Zealand Pharma As | Modified lysine-mimetic compounds |
| AU2007309117A1 (en) | 2006-10-20 | 2008-05-02 | Arete Therapeutics, Inc. | Phenylurea compounds as soluble epoxide hydrolase inhibitors |
| CA2689102C (en) | 2007-06-15 | 2016-07-26 | Actelion Pharmaceuticals Ltd | 3-amino-6-(1-amino-ethyl)-tetrahydropyran derivatives |
| MX2011005905A (es) | 2008-12-12 | 2011-06-20 | Actelion Pharmaceuticals Ltd | Derivados de 5-amino-2-(1-hidroxi-etil)-tetrahidropirano. |
| WO2010138820A2 (en) | 2009-05-28 | 2010-12-02 | President And Fellows Of Harvard College | N,n-diarylurea compounds and n,n'-diarylthiourea compounds as inhibitors of translation initiation |
| JP5721706B2 (ja) | 2009-06-17 | 2015-05-20 | バーテックス ファーマシューティカルズ インコーポレイテッドVertex Pharmaceuticals Incorporated | インフルエンザウイルス複製の阻害剤 |
| AR084457A1 (es) | 2010-12-22 | 2013-05-15 | Lundbeck & Co As H | Derivados de biciclo[3,2,1]octilamida |
| RU2606497C2 (ru) | 2011-02-24 | 2017-01-10 | НЕРВИАНО МЕДИКАЛ САЙЕНСИЗ С.р.л. | Тиазолилфенилбензолсульфонамидопроизводные в качестве ингибиторов киназ |
| WO2012121361A1 (ja) | 2011-03-10 | 2012-09-13 | 第一三共株式会社 | ジスピロピロリジン誘導体 |
| HUE064883T2 (hu) | 2011-04-22 | 2024-04-28 | Signal Pharm Llc | Szubsztituált diaminokarboxamid- és diaminokarbonitril-pirimidinek, azok készítményei és azokkal történõ kezelési eljárások |
| EP2814321B1 (en) * | 2012-02-14 | 2018-09-26 | Syngenta Participations AG | Nematicidal cis (hetero)arylcyclopropylcarboxamide derivatives |
| MX2015004285A (es) | 2012-10-02 | 2015-08-06 | Sumitomo Dainippon Pharma Co Ltd | Derivado de imidazol. |
| TWI630194B (zh) | 2013-03-14 | 2018-07-21 | 凱立拉製藥公司 | 雙環止痛化合物 |
| AU2014233520B2 (en) | 2013-03-15 | 2019-02-21 | The Regents Of The University Of California | Modulators of the eIF2alpha pathway |
| US8952171B2 (en) | 2013-03-15 | 2015-02-10 | Global Blood Therapeutics, Inc. | Compounds and uses thereof for the modulation of hemoglobin |
| WO2015038778A1 (en) | 2013-09-11 | 2015-03-19 | The Brigham And Women's Hospital, Inc. | SUBSTITUTED UREA EIF2α KINASE ACTIVATORS |
| KR20170003553A (ko) | 2014-04-04 | 2017-01-09 | 사이로스 파마수티컬스, 인크. | 사이클린-의존성 키나제 7(cdk7)의 저해제 |
| US10308609B2 (en) | 2014-09-17 | 2019-06-04 | Zeno Royalties & Milestones, LLC | Bicyclic compounds |
| NZ730728A (en) | 2014-11-20 | 2022-04-29 | Merck Patent Gmbh | Heteroaryl compounds as irak inhibitors and uses thereof |
| CA2971413A1 (en) | 2014-12-16 | 2016-06-23 | Axovant Sciences Gmbh | Geminal substituted quinuclidine amide compounds as agonists of alpha-7 nicotinic acetylcholine receptors |
| CR20170438A (es) | 2015-02-25 | 2018-01-30 | Univ Rice William M | Desacetoxitubulisina h y análogos de esta |
| GB201506894D0 (en) * | 2015-04-23 | 2015-06-10 | Galapagos Nv | Novel dihydropyridoisoquinolinones and pharmaceutical compositions thereof for the treatment of inflammatory disorders |
| CR20170509A (es) | 2015-05-05 | 2018-04-16 | Bayer Pharma AG | Derivados de ciclohexano sustituido con amido |
| TW201718557A (zh) | 2015-10-08 | 2017-06-01 | 歌林達有限公司 | 經吡唑基取代之四氫吡喃基碸 |
| TW201808903A (zh) | 2016-05-05 | 2018-03-16 | 嘉來克生命科學有限責任公司 | 整合應激途徑之調節劑 |
| TW201808888A (zh) | 2016-05-05 | 2018-03-16 | 嘉來克生命科學有限責任公司 | 整合應激途徑之調節劑 |
| TW201808914A (zh) | 2016-05-05 | 2018-03-16 | 嘉來克生命科學有限責任公司 | 整合應激途徑之調節劑 |
| TWI844006B (zh) | 2016-05-05 | 2024-06-01 | 美商嘉來克生命科學有限責任公司 | 整合應激途徑之調節劑 |
| EP3468960B1 (en) | 2016-06-08 | 2022-03-23 | GlaxoSmithKline Intellectual Property Development Limited | Chemical compounds as atf4 pathway inhibitors |
| BR112018075615A2 (pt) * | 2016-06-08 | 2019-07-02 | Glaxosmithkline Ip Dev Ltd | compostos químicos |
| WO2018009615A1 (en) | 2016-07-06 | 2018-01-11 | Acquist Llc | Compounds and their use for reducing uric acid levels |
| JOP20190072A1 (ar) | 2016-10-13 | 2019-04-07 | Glaxosmithkline Ip Dev Ltd | مشتقات 1، 3 سيكلوبوتان ثنائي الاستبدال أو آزيتيدين كمثبطات للإنزيم المخلق للبروستاجلاندين d المكون للدم |
| AU2017371084B2 (en) | 2016-12-08 | 2022-04-28 | Board Of Regents, The University Of Texas System | Bicyclo[1.1.1]pentane inhibitors of dual leucine zipper (DLK) kinase for the treatment of disease |
| WO2018225093A1 (en) | 2017-06-07 | 2018-12-13 | Glaxosmithkline Intellectual Property Development Limited | Chemical compounds as atf4 pathway inhibitors |
| EP3634958B1 (en) * | 2017-06-09 | 2021-07-21 | Bristol-Myers Squibb Company | Cyclopropyl urea formyl peptide 2 receptor and formyl peptide 1 receptor agonists |
| BR112020000122A2 (pt) * | 2017-07-03 | 2020-07-07 | Glaxosmithkline Intellectual Property Development Limited | derivados da n-(3-(2-(4-clorofenóxi)acetamido)biciclo[1.1.1] pentan-1-il)-2-ciclobutano-1-carboxamida e compostos relacionados como inibidores do atf4 para tratamento contra o câncer e outras doenças |
| WO2019008507A1 (en) | 2017-07-03 | 2019-01-10 | Glaxosmithkline Intellectual Property Development Limited | 2- (4-CHLOROPHENOXY) -N - ((1- (2- (4-CHLOROPHENOXY) ETHYNAZETIDIN-3-YL) METHYL) ACETAMIDE DERIVATIVES AND RELATED COMPOUNDS AS INHIBITORS OF ATF4 FOR THE TREATMENT OF CANCER AND D OTHER DISEASES |
| MX2020001352A (es) | 2017-08-09 | 2020-03-20 | Denali Therapeutics Inc | Compuestos, composiciones y metodos. |
| CN111201245B (zh) | 2017-09-01 | 2024-04-05 | 戴纳立制药公司 | 化合物、组合物和方法 |
| WO2019054430A1 (ja) | 2017-09-14 | 2019-03-21 | 第一三共株式会社 | 芳香族複素環を有するアミド化合物 |
| UY37957A (es) | 2017-11-02 | 2019-05-31 | Abbvie Inc | Moduladores de la vía de estrés integrada |
| MX2020004556A (es) | 2017-11-02 | 2020-10-05 | Calico Life Sciences Llc | Moduladores de la vía de estrés integrada. |
| CA3080959A1 (en) | 2017-11-02 | 2019-05-09 | Calico Life Sciences Llc | Modulators of the integrated stress pathway |
| EP3704096A1 (en) | 2017-11-02 | 2020-09-09 | Calico Life Sciences LLC | Modulators of the integrated stress pathway |
| AU2018360847B2 (en) | 2017-11-02 | 2023-07-27 | Abbvie Inc. | Modulators of the integrated stress pathway |
| UY37958A (es) | 2017-11-02 | 2019-05-31 | Abbvie Inc | Moduladores de la vía de estrés integrada |
| UY37956A (es) | 2017-11-02 | 2019-05-31 | Abbvie Inc | Moduladores de la vía de estrés integrada |
| MX2020004557A (es) | 2017-11-02 | 2020-10-05 | Calico Life Sciences Llc | Moduladores de la vía de estrés integrada. |
| BR112020008817B8 (pt) | 2017-11-02 | 2023-10-03 | Abbvie Inc | Compostos moduladores da via de estresse integrada |
| MX2020006115A (es) | 2017-12-13 | 2020-11-09 | Praxis Biotech LLC | Inhibidores de la vía de respuesta al estrés integrada. |
| WO2019183589A1 (en) | 2018-03-23 | 2019-09-26 | Denali Therapeutics Inc. | Modulators of eukaryotic initiation factor 2 |
| WO2019193541A1 (en) | 2018-04-06 | 2019-10-10 | Glaxosmithkline Intellectual Property Development Limited | Bicyclic aromatic ring derivatives of formula (i) as atf4 inhibitors |
| WO2019193540A1 (en) | 2018-04-06 | 2019-10-10 | Glaxosmithkline Intellectual Property Development Limited | Heteroaryl derivatives of formula (i) as atf4 inhibitors |
| JP2021529814A (ja) | 2018-07-09 | 2021-11-04 | グラクソスミスクライン、インテレクチュアル、プロパティー、ディベロップメント、リミテッドGlaxosmithkline Intellectual Property Development Limited | 化学化合物 |
| WO2020031107A1 (en) | 2018-08-08 | 2020-02-13 | Glaxosmithkline Intellectual Property Development Limited | Chemical compounds |
| TWI771621B (zh) | 2018-10-11 | 2022-07-21 | 美商嘉來克生命科學有限責任公司 | 整合應激路徑之前藥調節劑 |
| US12091392B2 (en) | 2019-02-13 | 2024-09-17 | Denali Therapeutics Inc. | Compounds, compositions and methods |
| CA3129609A1 (en) | 2019-02-13 | 2020-08-20 | Denali Therapeutics Inc. | Eukaryotic initiation factor 2b modulators |
| US20220177456A1 (en) | 2019-03-06 | 2022-06-09 | Denali Therapeutics Inc. | Compounds, compositions and methods |
| CA3137213A1 (en) * | 2019-04-23 | 2020-10-29 | Evotec International Gmbh | Modulators of the integrated stress response pathway |
| PH12021552759A1 (en) | 2019-04-30 | 2022-07-04 | Abbvie Inc | Substituted cycloalkyls as modulators of the integrated stress pathway |
| BR112021021754A2 (pt) | 2019-04-30 | 2022-02-08 | Abbvie Inc | Cicloalquilas substituídas como moduladoras da via de estresse integrada |
| BR112022012643A2 (pt) * | 2020-01-28 | 2022-09-06 | Evotec Int Gmbh | Moduladores da via de resposta ao estresse integrada |
| WO2022133236A1 (en) | 2020-12-18 | 2022-06-23 | Denali Therapeutics Inc. | Solid forms of a compound |
-
2020
- 2020-02-12 CA CA3129609A patent/CA3129609A1/en active Pending
- 2020-02-12 BR BR112021015639-9A patent/BR112021015639A2/pt unknown
- 2020-02-12 WO PCT/US2020/018007 patent/WO2020168011A1/en not_active Ceased
- 2020-02-12 MX MX2021009669A patent/MX2021009669A/es unknown
- 2020-02-12 PH PH1/2021/551923A patent/PH12021551923A1/en unknown
- 2020-02-12 PE PE2021001317A patent/PE20212023A1/es unknown
- 2020-02-12 TW TW109104414A patent/TWI877136B/zh active
- 2020-02-12 AU AU2020223228A patent/AU2020223228A1/en not_active Abandoned
- 2020-02-12 JP JP2021547076A patent/JP2022520236A/ja not_active Withdrawn
- 2020-02-12 EP EP20755645.7A patent/EP3923935A4/en active Pending
- 2020-02-12 CR CR20210426A patent/CR20210426A/es unknown
- 2020-02-12 KR KR1020217027796A patent/KR20210126036A/ko active Pending
- 2020-02-12 SG SG11202108552QA patent/SG11202108552QA/en unknown
- 2020-02-12 CN CN202080017506.7A patent/CN113518618A/zh active Pending
- 2020-02-12 MA MA054953A patent/MA54953A/fr unknown
-
2021
- 2021-05-28 US US17/334,587 patent/US11306077B2/en active Active
- 2021-08-02 IL IL285302A patent/IL285302A/en unknown
- 2021-08-10 CO CONC2021/0010490A patent/CO2021010490A2/es unknown
- 2021-08-10 SA SA521430021A patent/SA521430021B1/ar unknown
- 2021-08-10 CL CL2021002104A patent/CL2021002104A1/es unknown
- 2021-08-18 ZA ZA2021/05930A patent/ZA202105930B/en unknown
-
2022
- 2022-03-23 US US17/702,718 patent/US11958840B2/en active Active
-
2024
- 2024-09-10 JP JP2024156648A patent/JP2024166311A/ja active Pending
Also Published As
| Publication number | Publication date |
|---|---|
| WO2020168011A1 (en) | 2020-08-20 |
| IL285302A (en) | 2021-09-30 |
| CO2021010490A2 (es) | 2021-08-30 |
| SG11202108552QA (en) | 2021-09-29 |
| AU2020223228A1 (en) | 2021-08-26 |
| TW202045164A (zh) | 2020-12-16 |
| US20230114472A1 (en) | 2023-04-13 |
| CR20210426A (es) | 2021-09-30 |
| MA54953A (fr) | 2021-12-22 |
| PE20212023A1 (es) | 2021-10-18 |
| KR20210126036A (ko) | 2021-10-19 |
| BR112021015639A2 (pt) | 2021-10-05 |
| EP3923935A1 (en) | 2021-12-22 |
| CL2021002104A1 (es) | 2022-04-08 |
| MX2021009669A (es) | 2021-10-13 |
| PH12021551923A1 (en) | 2022-08-01 |
| SA521430021B1 (ar) | 2024-08-11 |
| TWI877136B (zh) | 2025-03-21 |
| US11306077B2 (en) | 2022-04-19 |
| ZA202105930B (en) | 2025-03-26 |
| JP2022520236A (ja) | 2022-03-29 |
| US20210292311A1 (en) | 2021-09-23 |
| CA3129609A1 (en) | 2020-08-20 |
| US11958840B2 (en) | 2024-04-16 |
| EP3923935A4 (en) | 2022-10-26 |
| CN113518618A (zh) | 2021-10-19 |
Similar Documents
| Publication | Publication Date | Title |
|---|---|---|
| JP2024166311A (ja) | 化合物、組成物、及び、方法 | |
| JP7382308B2 (ja) | 化合物、組成物、及び、方法 | |
| JP2025031810A (ja) | 化合物、組成物、及び、方法 | |
| US12091392B2 (en) | Compounds, compositions and methods | |
| WO2020181247A1 (en) | Compounds, compositions and methods | |
| US20210130308A1 (en) | Modulators of eukaryotic initiation factor 2 | |
| HK40062379A (en) | Compounds, compositions and methods |
Legal Events
| Date | Code | Title | Description |
|---|---|---|---|
| A621 | Written request for application examination |
Free format text: JAPANESE INTERMEDIATE CODE: A621 Effective date: 20240910 |
|
| A131 | Notification of reasons for refusal |
Free format text: JAPANESE INTERMEDIATE CODE: A131 Effective date: 20250418 |
|
| A02 | Decision of refusal |
Free format text: JAPANESE INTERMEDIATE CODE: A02 Effective date: 20251009 |




































































