JP2022040124A - デュシェンヌ型筋ジストロフィーの治療における抗flt-1抗体 - Google Patents
デュシェンヌ型筋ジストロフィーの治療における抗flt-1抗体 Download PDFInfo
- Publication number
- JP2022040124A JP2022040124A JP2021200631A JP2021200631A JP2022040124A JP 2022040124 A JP2022040124 A JP 2022040124A JP 2021200631 A JP2021200631 A JP 2021200631A JP 2021200631 A JP2021200631 A JP 2021200631A JP 2022040124 A JP2022040124 A JP 2022040124A
- Authority
- JP
- Japan
- Prior art keywords
- antibody
- flt
- seq
- muscle
- antigen
- Prior art date
- Legal status (The legal status is an assumption and is not a legal conclusion. Google has not performed a legal analysis and makes no representation as to the accuracy of the status listed.)
- Granted
Links
Images
Classifications
-
- C—CHEMISTRY; METALLURGY
- C07—ORGANIC CHEMISTRY
- C07K—PEPTIDES
- C07K16/00—Immunoglobulins [IGs], e.g. monoclonal or polyclonal antibodies
- C07K16/18—Immunoglobulins [IGs], e.g. monoclonal or polyclonal antibodies against material from animals or humans
- C07K16/28—Immunoglobulins [IGs], e.g. monoclonal or polyclonal antibodies against material from animals or humans against receptors, cell surface antigens or cell surface determinants
- C07K16/2863—Immunoglobulins [IGs], e.g. monoclonal or polyclonal antibodies against material from animals or humans against receptors, cell surface antigens or cell surface determinants against receptors for growth factors, growth regulators
-
- A—HUMAN NECESSITIES
- A61—MEDICAL OR VETERINARY SCIENCE; HYGIENE
- A61K—PREPARATIONS FOR MEDICAL, DENTAL OR TOILETRY PURPOSES
- A61K39/00—Medicinal preparations containing antigens or antibodies
- A61K39/395—Antibodies; Immunoglobulins; Immune serum, e.g. antilymphocytic serum
- A61K39/39533—Antibodies; Immunoglobulins; Immune serum, e.g. antilymphocytic serum against materials from animals
- A61K39/39566—Antibodies; Immunoglobulins; Immune serum, e.g. antilymphocytic serum against materials from animals against immunoglobulins, e.g. anti-idiotypic antibodies
-
- A—HUMAN NECESSITIES
- A61—MEDICAL OR VETERINARY SCIENCE; HYGIENE
- A61P—SPECIFIC THERAPEUTIC ACTIVITY OF CHEMICAL COMPOUNDS OR MEDICINAL PREPARATIONS
- A61P13/00—Drugs for disorders of the urinary system
- A61P13/12—Drugs for disorders of the urinary system of the kidneys
-
- A—HUMAN NECESSITIES
- A61—MEDICAL OR VETERINARY SCIENCE; HYGIENE
- A61P—SPECIFIC THERAPEUTIC ACTIVITY OF CHEMICAL COMPOUNDS OR MEDICINAL PREPARATIONS
- A61P15/00—Drugs for genital or sexual disorders; Contraceptives
-
- A—HUMAN NECESSITIES
- A61—MEDICAL OR VETERINARY SCIENCE; HYGIENE
- A61P—SPECIFIC THERAPEUTIC ACTIVITY OF CHEMICAL COMPOUNDS OR MEDICINAL PREPARATIONS
- A61P21/00—Drugs for disorders of the muscular or neuromuscular system
-
- A—HUMAN NECESSITIES
- A61—MEDICAL OR VETERINARY SCIENCE; HYGIENE
- A61P—SPECIFIC THERAPEUTIC ACTIVITY OF CHEMICAL COMPOUNDS OR MEDICINAL PREPARATIONS
- A61P21/00—Drugs for disorders of the muscular or neuromuscular system
- A61P21/04—Drugs for disorders of the muscular or neuromuscular system for myasthenia gravis
-
- A—HUMAN NECESSITIES
- A61—MEDICAL OR VETERINARY SCIENCE; HYGIENE
- A61K—PREPARATIONS FOR MEDICAL, DENTAL OR TOILETRY PURPOSES
- A61K39/00—Medicinal preparations containing antigens or antibodies
- A61K2039/505—Medicinal preparations containing antigens or antibodies comprising antibodies
-
- C—CHEMISTRY; METALLURGY
- C07—ORGANIC CHEMISTRY
- C07K—PEPTIDES
- C07K2317/00—Immunoglobulins specific features
- C07K2317/20—Immunoglobulins specific features characterized by taxonomic origin
- C07K2317/22—Immunoglobulins specific features characterized by taxonomic origin from camelids, e.g. camel, llama or dromedary
-
- C—CHEMISTRY; METALLURGY
- C07—ORGANIC CHEMISTRY
- C07K—PEPTIDES
- C07K2317/00—Immunoglobulins specific features
- C07K2317/20—Immunoglobulins specific features characterized by taxonomic origin
- C07K2317/24—Immunoglobulins specific features characterized by taxonomic origin containing regions, domains or residues from different species, e.g. chimeric, humanized or veneered
-
- C—CHEMISTRY; METALLURGY
- C07—ORGANIC CHEMISTRY
- C07K—PEPTIDES
- C07K2317/00—Immunoglobulins specific features
- C07K2317/30—Immunoglobulins specific features characterized by aspects of specificity or valency
- C07K2317/33—Crossreactivity, e.g. for species or epitope, or lack of said crossreactivity
-
- C—CHEMISTRY; METALLURGY
- C07—ORGANIC CHEMISTRY
- C07K—PEPTIDES
- C07K2317/00—Immunoglobulins specific features
- C07K2317/30—Immunoglobulins specific features characterized by aspects of specificity or valency
- C07K2317/34—Identification of a linear epitope shorter than 20 amino acid residues or of a conformational epitope defined by amino acid residues
-
- C—CHEMISTRY; METALLURGY
- C07—ORGANIC CHEMISTRY
- C07K—PEPTIDES
- C07K2317/00—Immunoglobulins specific features
- C07K2317/50—Immunoglobulins specific features characterized by immunoglobulin fragments
-
- C—CHEMISTRY; METALLURGY
- C07—ORGANIC CHEMISTRY
- C07K—PEPTIDES
- C07K2317/00—Immunoglobulins specific features
- C07K2317/50—Immunoglobulins specific features characterized by immunoglobulin fragments
- C07K2317/515—Complete light chain, i.e. VL + CL
-
- C—CHEMISTRY; METALLURGY
- C07—ORGANIC CHEMISTRY
- C07K—PEPTIDES
- C07K2317/00—Immunoglobulins specific features
- C07K2317/50—Immunoglobulins specific features characterized by immunoglobulin fragments
- C07K2317/55—Fab or Fab'
-
- C—CHEMISTRY; METALLURGY
- C07—ORGANIC CHEMISTRY
- C07K—PEPTIDES
- C07K2317/00—Immunoglobulins specific features
- C07K2317/50—Immunoglobulins specific features characterized by immunoglobulin fragments
- C07K2317/56—Immunoglobulins specific features characterized by immunoglobulin fragments variable (Fv) region, i.e. VH and/or VL
- C07K2317/565—Complementarity determining region [CDR]
-
- C—CHEMISTRY; METALLURGY
- C07—ORGANIC CHEMISTRY
- C07K—PEPTIDES
- C07K2317/00—Immunoglobulins specific features
- C07K2317/50—Immunoglobulins specific features characterized by immunoglobulin fragments
- C07K2317/56—Immunoglobulins specific features characterized by immunoglobulin fragments variable (Fv) region, i.e. VH and/or VL
- C07K2317/569—Single domain, e.g. dAb, sdAb, VHH, VNAR or nanobody®
-
- C—CHEMISTRY; METALLURGY
- C07—ORGANIC CHEMISTRY
- C07K—PEPTIDES
- C07K2317/00—Immunoglobulins specific features
- C07K2317/70—Immunoglobulins specific features characterized by effect upon binding to a cell or to an antigen
-
- C—CHEMISTRY; METALLURGY
- C07—ORGANIC CHEMISTRY
- C07K—PEPTIDES
- C07K2317/00—Immunoglobulins specific features
- C07K2317/70—Immunoglobulins specific features characterized by effect upon binding to a cell or to an antigen
- C07K2317/74—Inducing cell proliferation
-
- C—CHEMISTRY; METALLURGY
- C07—ORGANIC CHEMISTRY
- C07K—PEPTIDES
- C07K2317/00—Immunoglobulins specific features
- C07K2317/70—Immunoglobulins specific features characterized by effect upon binding to a cell or to an antigen
- C07K2317/76—Antagonist effect on antigen, e.g. neutralization or inhibition of binding
-
- C—CHEMISTRY; METALLURGY
- C07—ORGANIC CHEMISTRY
- C07K—PEPTIDES
- C07K2317/00—Immunoglobulins specific features
- C07K2317/90—Immunoglobulins specific features characterized by (pharmaco)kinetic aspects or by stability of the immunoglobulin
- C07K2317/92—Affinity (KD), association rate (Ka), dissociation rate (Kd) or EC50 value
-
- C—CHEMISTRY; METALLURGY
- C07—ORGANIC CHEMISTRY
- C07K—PEPTIDES
- C07K2317/00—Immunoglobulins specific features
- C07K2317/90—Immunoglobulins specific features characterized by (pharmaco)kinetic aspects or by stability of the immunoglobulin
- C07K2317/94—Stability, e.g. half-life, pH, temperature or enzyme-resistance
Landscapes
- Health & Medical Sciences (AREA)
- Chemical & Material Sciences (AREA)
- Organic Chemistry (AREA)
- Life Sciences & Earth Sciences (AREA)
- Medicinal Chemistry (AREA)
- General Health & Medical Sciences (AREA)
- Engineering & Computer Science (AREA)
- Veterinary Medicine (AREA)
- Pharmacology & Pharmacy (AREA)
- Bioinformatics & Cheminformatics (AREA)
- Public Health (AREA)
- Animal Behavior & Ethology (AREA)
- Immunology (AREA)
- Chemical Kinetics & Catalysis (AREA)
- General Chemical & Material Sciences (AREA)
- Nuclear Medicine, Radiotherapy & Molecular Imaging (AREA)
- Molecular Biology (AREA)
- Genetics & Genomics (AREA)
- Biochemistry (AREA)
- Biophysics (AREA)
- Proteomics, Peptides & Aminoacids (AREA)
- Neurology (AREA)
- Physical Education & Sports Medicine (AREA)
- Orthopedic Medicine & Surgery (AREA)
- Urology & Nephrology (AREA)
- Reproductive Health (AREA)
- Endocrinology (AREA)
- Microbiology (AREA)
- Mycology (AREA)
- Epidemiology (AREA)
- Medicines Containing Antibodies Or Antigens For Use As Internal Diagnostic Agents (AREA)
- Peptides Or Proteins (AREA)
- Medicines That Contain Protein Lipid Enzymes And Other Medicines (AREA)
- Preparation Of Compounds By Using Micro-Organisms (AREA)
- Micro-Organisms Or Cultivation Processes Thereof (AREA)
- Pharmaceuticals Containing Other Organic And Inorganic Compounds (AREA)
Abstract
【解決手段】本発明はとりわけ、筋ジストロフィー、特にデュシェンヌ型筋ジストロフィー(DMD)を治療するための抗Flt-1抗体及び方法を提供する。いくつかの実施形態において、本発明による方法は、DMDの少なくとも1つの症状または特徴が強度、重症度もしくは頻度において減少するように、またはその発症が遅延するように、DMDを患っているまたはそれを患いやすい個体に、抗Flt-1抗体またはその抗原結合タンパク質の治療に有効な量を投与することを含む。
【選択図】なし
Description
本出願は、2015年4月7日出願の米国特許仮出願第62/144,251号、及び2016年3月14日出願の米国特許仮出願第62/307,645号に対する優先権を主張するものであり、そのそれぞれの開示は本明細書に参照により取り込まれる。
CDR1ならびにVH CDR3、ならびに配列番号9、配列番号11または配列番号12のアミノ酸配列によって定義されるVH CDR2を含む。更に別の実施形態において、VH鎖は、それぞれ配列番号4、配列番号9及び配列番号17のアミノ酸配列によって定義されるVH CDR1、VH CDR2ならびにVH CDR3を含む。特定の実施形態において、VH鎖は、それぞれ配列番号3、配列番号12及び配列番号17のアミノ酸配列によって定義されるVH CDR1、VH CDR2ならびにVH CDR3を含む。
特定の実施形態において、例えば、以下が提供される:
(項目1)
配列番号19~配列番号21のいずれか一つに少なくとも80%の同一性を有するアミノ酸配列によって定義される可変軽(VL)鎖CDR1、
配列番号22~配列番号24のいずれか一つに少なくとも80%の同一性を有するアミノ酸配列によって定義されるVL CDR2、
配列番号25~配列番号34のいずれか一つに少なくとも80%の同一性を有するアミノ酸配列によって定義されるVL CDR3、
配列番号1~配列番号4のいずれか一つに少なくとも80%の同一性を有するアミノ酸配列によって定義される可変重(VH)鎖CDR1、
配列番号5~配列番号14のいずれか一つに少なくとも80%の同一性を有するアミノ酸配列によって定義されるVH CDR2、
配列番号15~配列番号18のいずれか一つに少なくとも80%の同一性を有するアミノ酸配列によって定義されるVH CDR3、
からなる群から選択される、1つ以上の相補性決定領域(CDR)を含むヒトFlt-1に特異的に結合する、抗体またはその抗原結合断片。
(項目2)
前記1つ以上のCDRが、配列番号25~配列番号34のいずれか一つに少なくとも80%の同一性を有する前記アミノ酸配列によって定義される前記VL CDR3、及び配列番号15~配列番号18のいずれか一つに少なくとも80%の同一性を有する前記アミノ酸配列によって定義される前記VH CDR3を含む、項目1に記載の抗体またはその抗原結合断片。
(項目3)
前記1つ以上のCDRが、配列番号19~配列番号21のいずれか一つに少なくとも80%の同一性を有する前記アミノ酸配列によって定義される前記VL CDR1、配列番号22~配列番号24のいずれか一つに少なくとも80%の同一性を有する前記アミノ酸配列によって定義される前記VL CDR2、及び配列番号25~配列番号34のいずれか一つに少なくとも80%の同一性を有する前記アミノ酸配列によって定義される前記VL CDR3を含む、項目1または2に記載の抗体またはその抗原結合断片。
(項目4)
前記1つ以上のCDRが、配列番号1~配列番号4のいずれか一つに少なくとも80%の同一性を有する前記アミノ酸配列によって定義される前記VH CDR1、配列番号5~配列番号14のいずれか一つに少なくとも80%の同一性を有する前記アミノ酸配列によって定義される前記VH CDR2、及び配列番号15~配列番号18のいずれか一つに少なくとも80%の同一性を有する前記アミノ酸配列によって定義される前記VH CDR3を含む、先行項目のいずれか一項に記載の抗体またはその抗原結合断片。
(項目5)
それぞれ配列番号19、配列番号22及び配列番号25のアミノ酸配列によって定義される前記VL CDR1、VL CDR2ならびにVL CDR3を含む、VL鎖を含む、先行項目のいずれか一項に記載の抗体またはその抗原結合断片。
(項目6)
それぞれ配列番号20、配列番号23及び配列番号25のアミノ酸配列によって定義される前記VL CDR1、VL CDR2ならびにVL CDR3を含む、VL鎖を含む、項目1~4のいずれか一項に記載の抗体またはその抗原結合断片。
(項目7)
それぞれ配列番号21及び配列番号24のアミノ酸配列によって定義される前記VL CDR1ならびにVL CDR2、ならびに配列番号26、配列番号27、配列番号28、配列番号29、配列番号30、配列番号31、配列番号32、配列番号33または配列番号34のアミノ酸配列によって定義される前記VL CDR3を含む、VL鎖を含む、項目1~4のいずれか一項に記載の抗体またはその抗原結合断片。
(項目8)
前記VL鎖は、それぞれ配列番号21、配列番号24及び配列番号32のアミノ酸配列によって定義される前記VL CDR1、VL CDR2ならびにVL CDR3を含む、項目1~4のいずれか一項に記載の抗体またはその抗原結合断片。
(項目9)
それぞれ配列番号1、配列番号5及び配列番号15のアミノ酸配列によって定義される前記VH CDR1、VH CDR2ならびにVH CDR3を含む、VH鎖を含む、先行項目のいずれか一項に記載の抗体またはその抗原結合断片。
(項目10)
それぞれ配列番号2、配列番号6及び配列番号16のアミノ酸配列によって定義される前記VH CDR1、VH CDR2ならびにVH CDR3を含む、VH鎖を含む、項目1~8のいずれか一項に記載の抗体またはその抗原結合断片。
(項目11)
それぞれ配列番号2、配列番号10及び配列番号18のアミノ酸配列によって定義される前記VH CDR1、VH CDR2ならびにVH CDR3を含む、VH鎖を含む、項目1~8のいずれか一項に記載の抗体またはその抗原結合断片。
(項目12)
それぞれ配列番号2及び配列番号17のアミノ酸配列によって定義される前記VH CDR1ならびに前記VH CDR3、ならびに配列番号7、配列番号8、配列番号13または配列番号14のアミノ酸配列によって定義される前記VH CDR2を含む、VH鎖を含む、項目1~8のいずれか一項に記載の抗体またはその抗原結合断片。
(項目13)
それぞれ配列番号3及び配列番号17のアミノ酸配列によって定義される前記VH CDR1ならびに前記VH CDR3、ならびに配列番号9、配列番号11または配列番号12のアミノ酸配列によって定義される前記VH CDR2を含む、VH鎖を含む、項目1~8のいずれか一項に記載の抗体またはその抗原結合断片。
(項目14)
それぞれ配列番号4、配列番号9及び配列番号17のアミノ酸配列によって定義される前記VH CDR1、VH CDR2ならびにVH CDR3を含む、VH鎖を含む、項目1~8のいずれか一項に記載の抗体またはその抗原結合断片。
(項目15)
それぞれ配列番号3、配列番号12及び配列番号17のアミノ酸配列によって定義される前記VH CDR1、VH CDR2ならびにVH CDR3を含む、VH鎖を含む、項目1~8のいずれか一項に記載の抗体またはその抗原結合断片。
(項目16)
(i)配列番号49~配列番号61のいずれか一つに少なくとも80%の同一性を有するアミノ酸配列を含む、軽鎖可変(VL)領域、及び/または(ii)配列番号35~配列番号48のいずれか一つに少なくとも80%の同一性を有するアミノ酸配列を含む、重鎖可変(VH)領域、を含む、ヒトFlt-1に特異的に結合する、抗体またはその抗原結合断片。
(項目17)
前記VL領域が配列番号60のアミノ酸配列を含み、及び前記VH領域が配列番号45のアミノ酸配列を含む、項目16に記載の抗体またはその抗原結合断片。
(項目18)
前記抗体が、配列番号87~配列番号89のいずれか一つに少なくとも80%の同一性を有するアミノ酸配列を含む、重鎖定常領域を更に含む、先行項目のいずれか一項に記載の抗体。
(項目19)
(i)配列番号75~配列番号86のいずれか一つに少なくとも80%の同一性を有するアミノ酸配列を含む軽鎖、及び/または(ii)配列番号62~配列番号74のいずれか一つに少なくとも80%の同一性を有するアミノ酸配列を含む重鎖、を含む、ヒトFlt-1に特異的に結合する、抗体またはその抗原結合断片。
(項目20)
前記軽鎖が配列番号76のアミノ酸配列を含み、及び前記重鎖が配列番号71のアミノ酸配列を含む、項目19に記載の抗体またはその抗原結合断片。
(項目21)
前記抗体またはその抗原結合断片が、IgG、F(ab’)2、F(ab)2、Fab’、Fab、scFv、二重特異性抗体、三重特異性抗体及び四重特異性抗体からなる群から選択される、先行項目のいずれか一項に記載の抗体またはその抗原結合断片。
(項目22)
前記抗体またはその抗原結合断片がIgGである、項目21に記載の抗体またはその抗原結合断片。
(項目23)
前記抗体またはその抗原結合断片がIgG1である、項目22に記載の抗体またはその抗原結合断片。
(項目24)
前記抗体またはその抗原結合断片がモノクローナル抗体である、先行項目のいずれか一項に記載の抗体またはその抗原結合断片。
(項目25)
前記抗体がヒト化モノクローナル抗体である、先行項目のいずれか一項に記載の抗体またはその抗原結合断片。
(項目26)
前記ヒト化モノクローナル抗体がヒトFc領域を含有する、項目25に記載の抗体またはその抗原結合断片。
(項目27)
前記抗体のin vivo半減期が長くなるように、前記Fc領域とFcRn受容体の間の結合親和性を強化する1つ以上の突然変異を、前記Fc領域が含む、項目26に記載の抗体またはその抗原結合断片。
(項目28)
前記Fc領域が、ヒトIgGlのLeu234、Leu235及び/またはGly237に対応する位置において、1つ以上の突然変異を含む、先行項目のいずれか一項に記載の抗体またはその抗原結合断片。
(項目29)
前記抗体またはその抗原結合断片がVEGF R2及び/またはVEGF R3と結合しない、先行項目のいずれか一項に記載の抗体またはその抗原結合断片。
(項目30)
前記抗体またはその抗原結合断片がマウスまたはサルFlt-1と結合しない、先行項目のいずれか一項に記載の抗体またはその抗原結合断片。
(項目31)
配列番号90の位置139~148、位置139~153、位置178~206、位置199~204及び位置128~138に対応するアミノ酸配列を含む、ペプチドもしくはその断片を認識する、単離した抗体またはその抗原結合断片。
(項目32)
前記ペプチドが、配列番号90の位置130~138、位置141~148、位置141~153及び位置193~206に対応する前記アミノ酸配列からなる、項目31に記載の単離した抗体またはその抗原結合断片。
(項目33)
先行項目のいずれか一項に記載の抗体またはその抗原結合断片と競う、単離した抗体またはその抗原結合断片。
(項目34)
先行項目のいずれか一項に記載の抗体またはその抗原結合断片、及び薬学的に許容できる担体、を含む医薬組成物。
(項目35)
項目1~33のいずれか一項に記載の抗体またはその抗原結合断片のCDR、VL領域、VH領域、軽鎖及び/または重鎖をコードするポリヌクレオチド。
(項目36)
項目35に記載のポリヌクレオチドを含む、発現ベクター。
(項目37)
項目35に記載のポリヌクレオチド、及び項目36に記載の発現ベクターを含む、宿主細胞。
(項目38)
項目37に記載の宿主細胞を培養することを含む、ヒトFlt-1に特異的に結合する、抗体またはその抗原結合断片を製造する方法。
(項目39)
項目1~33のいずれか一項に記載の抗体またはその抗原結合断片を生成する、ハイブリドーマ細胞。
(項目40)
治療を必要とする対象に、項目1~33のいずれか一項に記載の抗体またはその抗原結合断片を投与することを含む、Flt-1介在性疾患、障害または病態を治療する方法。(項目41)
前記Flt-1介在性疾患、障害または病態が、デュシェンヌ型筋ジストロフィー、ベッカー型筋ジストロフィー、子癇前症または慢性腎疾患である、項目40に記載の方法。(項目42)
デュシェンヌ型筋ジストロフィー(DMD)を治療する方法であって、前記方法が、
DMDの少なくとも1つの症状または特徴が強度、重症度もしくは頻度において減少されるように、または発症を遅延させるように、DMDを患っている対象またはDMDに罹患しやすい対象に、項目1~35のいずれか一項に記載の有効量の抗体またはその抗原結合断片を投与することを含む、前記方法。
(項目43)
前記方法が、前記対象に1つ以上の追加の治療薬を投与することを含む、項目42に記載の方法。
(項目44)
前記1つ以上の追加の治療薬が、プレドニゾン、デフラザコート、フォリスタチン、RNA調節療法、エキソンスキッピング療法及び遺伝子治療からなる群から選択される、項目43に記載の方法。
(項目45)
前記抗体またはその抗原結合断片が非経口的に投与される、項目42~44のいずれか一項に記載の方法。
(項目46)
前記非経口投与が、静脈内、皮内、髄腔内、吸入、経皮(局所)、眼球内、筋肉内、皮下及び/または経粘膜投与から選択される、項目45に記載の方法。
(項目47)
前記非経口投与が静脈内投与である、項目46に記載の方法。
(項目48)
前記非経口投与が皮下投与である、項目46に記載の方法。
(項目49)
前記抗体またはその抗原結合断片が、毎日、週2回、毎週または毎月投与される、項目42~48のいずれか一項に記載の方法。
(項目50)
前記抗体またはその抗原結合断片が週2回投与される、項目49に記載の方法。
(項目51)
前記抗体またはその抗原結合断片の前記有効量が、約1mg/kg~50mg/kgの投与量である、項目42~48のいずれか一項に記載の方法。
(項目52)
前記投与量が約1mg/kgである、項目51に記載の方法。
(項目53)
前記投与量が約3mg/kgである、項目51に記載の方法。
(項目54)
前記投与量が約10mg/kgである、項目51に記載の方法。
(項目55)
前記抗体またはその抗原結合断片の前記投与が、対照と比較して減少した線維症及び/または壊死をもたらす、項目42~54のいずれか一項に記載の方法。
(項目56)
前記抗体またはその抗原結合断片の前記投与が、対照と比較して前記対象の筋肉の改善した血管新生をもたらす、項目42~54のいずれか一項に記載の方法。
(項目57)
前記改善した血管新生が、筋病理の増加した血流量、血清の増大したVEGFレベル、血清の低下したクレアチンキナーゼ(CK)濃度、IHCによる増加したCD31スコア、及び/または血清の減少したsFlt-1レベルに反映される、項目56に記載の方法。
(項目58)
前記抗体またはその抗原結合断片の前記投与が、対照と比較して改善した筋機能をもたらす、項目42~54のいずれか一項に記載の方法。
(項目59)
前記改善した筋機能が、改善した筋力及び/または疲労に対する耐性に反映される、項目58に記載の方法。
(項目60)
治療を必要とする対象に、有効量の項目1~33のいずれか一項に記載の抗体またはその抗原結合断片を投与することを含む、組織の線維症を治療する方法。
本発明をより容易に理解するために、特定の用語を最初に以下に定義する。以下の用語及び他の用語についての追加の定義は、本明細書を通して記載する。
et al.,BioTechnology10:779-783(1992)に、VH及びVLドメインシャッフリングによる親和性成熟が記載されている。CDR及び/またはフレームワーク残基のランダム突然変異誘発は、Barbas et al.,Proc Nat.Acad.Sci,USA91:3809-3813(1994)、Schier et al.Gene169:147-155(1995)、Yelton et al.,J.Immunol.155:1994-2004(1995)、Jackson et al.,J.Immunol.154(7):3310-9(1995)、及び、Hawkins et al.,J.Mol.Biol.226:889-896(1992)に記載されている。
al.(1993)Ann.Biol.Clin.51:19-26、Jonsson,U.,et al.(1991)Biotechniques11:620-627、Johnsson,B.,et al.(1995)J.Mol.Recognit.8:125-131、及びJohnnson,B.,et al.(1991)Anal.Biochem.198:268-277を参照のこと。
本発明はとりわけ、筋ジストロフィーの治療のための治療薬として、抗Flt-1抗体またはその抗原結合断片の使用に基づいて、デュシェンヌ型筋ジストロフィー(DMD)及び/またはベッカー型筋ジストロフィーを含む筋ジストロフィーを治療するための方法及び組成物を提供する。いくつかの実施形態において、本発明は、DMDの少なくとも1つの症状または特徴が強度、重症度もしくは頻度において減少するように、またはその発症が遅延するように、DMDを患っているまたはそれを患いやすい個体に、抗Flt-1抗体またはその抗原結合断片の治療に有効な量を投与することを含む、DMDを治療する方法を提供する。
DMDは、体全体にわたる進行性の筋肉の低下及び筋肉関連機能の喪失によって特徴付けられる疾患である。本発明は、筋肉の低下を遅くする、遅延させるまたは防止する、筋肉を再生する、ならびに線維症、炎症ならびにDMD及び種々の筋組織における他の筋ジストロフィーに関連する他の症状または特徴を後退させる、排除する、遅延させる、予防するまたは最小化するための、方法及び組成物を提供することが企図される。
動物には2つの主要なタイプの筋組織、横紋筋及び平滑筋が存在する。本明細書で使用する場合「横紋筋」という用語は、連続するサルコメアを含有する筋組織を指す。横紋筋は、随意制御下にあり、骨格に付着する傾向がある。横紋筋は身体の随意運動を可能にし、四頭筋、腓腹筋、二頭筋、三頭筋、僧帽筋、三角筋及び他多数を含有する、主要な筋肉群を含む。横紋筋は非常に長い傾向があり、多くの横紋筋は独立して機能することができる。しかしいくつかの横紋筋は、口、肛門、心臓及び食道の上部にあるものを含めて、骨格に付着しない。
筋ジストロフィーは、虚弱かつ障害性の運動に至る筋肉の変性を引き起こす一群の遺伝性疾患である。すべての筋ジストロフィーの主要な特徴は、これらが本質的に進行性であることである。筋ジストロフィーとしては、デュシェンヌ型筋ジストロフィー(DMD)、ベッカー型筋ジストロフィー、エメリー-ドレーフス型筋ジストロフィー、顔面肩甲上腕型筋ジストロフィー、肢帯型筋ジストロフィー、ならびに筋強直性ジストロフィー1型の先天的な型を含む筋強直性ジストロフィー1型及び2型が挙げられるが、これらに限定されない。一部の筋肉またはすべての筋肉が罹患している筋ジストロフィーのタイプによって、症状は異なり得る。筋ジストロフィーの例示的な症状としては、筋肉運動技能の発達の遅延、1つ以上の筋群の使用の難しさ、嚥下、発語もしくは飲食の難しさ、よだれ落ち、眼瞼下垂、頻繁な転倒、筋もしくは筋群の成人としての強度の低下、筋サイズの低下、身体の虚弱もしくは変更された生体力学に起因する歩行障害、及び/または認知機能障害もしくは行動障害/精神遅滞が挙げられる。
デュシェンヌ型筋ジストロフィー(DMD)は筋ジストロフィーのX連鎖劣性遺伝型であり、結果として筋肉変性及び最終的に死をもたらす。DMDは、近位筋力の低下、異常歩行、腓腹(下腿)筋の肥大、及びクレアチンキナーゼの上昇によって特徴付けられる。多くのDMD患者は5歳頃に診断され、この時点で症状/徴候が通常はより明白になる。罹患した個体は通常、10~13歳頃に歩行できなくなり、呼吸器合併症及び心筋症のために、20代の半ばから後半にまたはその前に死亡する。
血管内皮増殖因子受容体1(VEGFR-1)またはFlt-1としても既知のFlt-1受容体は、FLT1遺伝子によってコードされて、内皮細胞及び単球細胞膜で発現する受容体である。シグナルグリコプロテインの血管内皮増殖因子(VEGF)の群は、胚形成及び生後の発育中、血管新生の強力なプロモータとして作用する。具体的には、VEGF-AリガンドとVEGF受容体の結合は、血管透過性を促進して、更に内皮細胞の遊走、増殖及び生存を惹起することを示しており、新しく形成された内皮細胞は、新しい脈管構造の基本構造を提供する。血管新生のためのドミナントVEGFシグナル分子(VEGF-A)は、VEGF受容体-1(VEGFR-l、別名Flt-1)及びVEGF受容体-2(VEGFR-2、別名Flk-1)を通してその信号を仲介する。Flt-1(sFlt-1)の可溶性形態も存在するが、細胞内シグナル伝達ドメインを欠いており、したがってVEGF-Aまたはそれに結合する他のリガンドを隔離することにより制御能力で役割を果たすだけであると考えられている。細胞内シグナル伝達経路に連結されていないFlt-1結合部位を含有するsFlt-1及び他の分子は「おとり受容体」と呼ばれる。Flt-1及びFlk-1受容体は細胞外VEGF-A結合ドメイン及び細胞内チロシンキナーゼドメインを含有し、両方とも血管芽細胞及び内皮細胞系譜の発達段階及び組織再生中に、発現を示す。Flt-1は、Flk-1と比較してVEGF-A(Kd約2-10pM)について約10倍超の結合親和性を有するが、より弱いチロシンキナーゼ活性は、VEGF-AのFlt-1への結合後の血管新生シグナル伝達がVEGF-AのFlk-1への結合から生じるものに比べて比較的弱いことを示す。したがってホモ接合型Flt-1遺伝子ノックアウトマウスは、内皮細胞過剰産生及び血管組織崩壊から胎児期で死ぬ。逆に、ホモ接合型Flk-1遺伝子ノックアウトマウスは、胚形成中の卵黄嚢血島形成の不足のため、器質化血管の発現の障害が原因で死ぬ。Flt-1及びFlk-1受容体の両方は正常な発育のために必要とされている。しかし、VEGF-A濃度の選択的増大は、Flk-1受容体へのより大きな結合を可能にさせることができ、毛細血管密度を上昇させて、筋肉の再生、線維症及び炎症の減少、ならびに種々の筋組織のDMD及び他の筋ジストロフィーと関連した症状及び特徴の緩和を容易にする、血管新生促進効果を誘発できる。
本明細書で使用する場合「抗Flt-1抗体」という用語は、Flt-1受容体(例えば、可溶性または膜結合性Flt-1受容体)に結合する任意の抗体またはその抗原結合断片を指す。いくつかの実施形態において、高親和性でFlt-1受容体に結合する抗Flt-1抗体を作成する。理論に束縛されるものではないが、抗Flt-1抗体のFlt-1受容体への結合は、1つ以上の内在性リガンドがFlt-1に結合するのを阻害して、それによってより大量の利用可能なリガンドが、Flk-1受容体などの他のVEGF受容体と関連するのを可能にすると考えられている。増大したVEGFの有効性は、筋肉への増加した血流量を備えた血管新生を促進して機能的虚血と闘い、DMDの構造及び機能的特徴の改善をもたらす。いくつかの実施形態では、抗体のFlt-1受容体への結合は、他のVEGF受容体に結合できるVEGFの量を増加させる。
CDR2ならびにVH CDR3を含む、VH鎖を含む。別の実施形態において、抗Flt-1抗体またはその抗原結合断片は、それぞれ配列番号2、配列番号6及び配列番号16のアミノ酸配列によって定義されるVH CDR1、VH CDR2ならびにVH CDR3を含む、VH鎖を含む。別の実施形態において、抗Flt-1抗体またはその抗原結合断片は、それぞれ配列番号2、配列番号10及び配列番号18のアミノ酸配列によって定義されるVH CDR1、VH CDR2ならびにVH CDR3を含む、VH鎖を含む。別の実施形態において、抗Flt-1抗体またはその抗原結合断片は、それぞれ配列番号2及び配列番号17のアミノ酸配列によって定義されるVH CDR1ならびにVH CDR3、ならびに配列番号7、配列番号8、配列番号13または配列番号14のアミノ酸配列によって定義されるVH CDR2を含む、VH鎖を含む。別の実施形態において、抗Flt-1抗体またはその抗原結合断片は、それぞれ配列番号3及び配列番号17のアミノ酸配列によって定義されるVH CDR1ならびにVH CDR3、ならびに配列番号9、配列番号11または配列番号12のアミノ酸配列によって定義されるVH
CDR2を含む、VH鎖を含む。別の実施形態において、抗Flt-1抗体またはその抗原結合断片は、それぞれ配列番号4、配列番号9及び配列番号17のアミノ酸配列によって定義されるVH CDR1、VH CDR2ならびにVH CDR3を含む、VH鎖を含む。特定の実施形態において、抗Flt-1抗体またはその抗原結合断片は、配列番号3のアミノ酸配列によって定義されるVH CDR1、配列番号12のアミノ酸配列によって定義されるVH CDR2、及び配列番号17のアミノ酸配列によって定義されるVH CDR3を含む、VH鎖を含む。いくつかの実施形態では、VH CDR3は配列番号15ではない。
MGWSCIILFLVATATGVHSELQLVESGGGLVQPGGSLRLSCAASGFTFSDYSASWVRQAPGKGLEWVSAISWSGDSTYYAESVKGRFTIFRDNSKNTLYLQMNSLRAEDTAVYYCAKSWATPIESLYYYGSDYWGQGTLVTVSSASTKGPSVFPLAPSSKSTSGGTAALGCLVKDYFPEPVTVSWNSGALTSGVHTFPAVLQSSGLYSLSSVVTVPSSSLGTQTYICNVNHKPSNTKVDKKVEPKSCDKTHTCPPCPAPEAAGGPSVFLFPPKPKDTLMISRTPEVTCVVVDVSHEDPEVKFNWYVDGVEVHNAKTKPREEQYNSTYRVVSVLTVLHQDWLNGKEYKCKVSNKALPAPIEKTISKAKGQPREPQVYTLPPSRDELTKNQVSLTCLVKGFYPSDIAVEWESNGQPENNYKTTPPVLDSDGSFFLYSKLTVDKSRWQQGNVFSCSVMHEALHNHYTQKSLSLSPGKX(配列番号108)を含む。いくつかの実施形態において、抗Flt-1抗体またはその抗原結合断片の重鎖は、アミノ酸配列
ELQLVESGGGLVQPGGSLRLSCAASGFTFSDYSASWVRQAPGKGLEWVSAISWSGDSTYYAESVKGRFTIFRDNSKNTLYLQMNSLRAEDTAVYYCAKSWATPIESLYYYGSDYWGQGTLVTVSSASTKGPSVFPLAPSSKSTSGGTAALGCLVKDYFPEPVTVSWNSGALTSGVHTFPAVLQSSGLYSLSSVVTVPSSSLGTQTYICNVNHKPSNTKVDKKVEPKSCDKTHTCPPCPAPEAAGGPSVFLFPPKPKDTLMISRTPEVTCVVVDVSHEDPEVKFNWYVDGVEVHNAKTKPREEQYNSTYRVVSVLTVLHQDWLNGKEYKCKVSNKALPAPIEKTISKAKGQPREPQVYTLPPSRDELTKNQVSLTCLVKGFYPSDIAVEWESNGQPENNYKTTPPVLDSDGSFFLYSKLTVDKSRWQQGNVFSCSVMHEALHNHYTQKSLSLSPGK(配列番号109)を含む。
MGWSCIILFLVATATGVHSSYELTQPLSVSVALRQAAKITCGGNNIGSQTAQWYQQKPGQAPVLVIYANNRRPSGIPERFSGSKSGNTATLTISRAQAGDEADYYCQVWDASTQAIVFGGGTKLTVLGQPKAAPSVTLFPPSSEELQANKATLVCLISDFYPGAVTVAWKADSSPVKAGVETTTPSKQSNNKYAASSYLSLTPEQWKSHRSYSCQVTHEGSTVEKTVAPTECSX(配列番号110)を含む。
いくつかの実施形態では、好適な抗Flt-1抗体は、FcRn受容体に結合するFcドメインまたはその一部分を含有する。非限定的な例として、好適なFcドメインは、IgGなどの免疫グロブリンサブクラス由来であり得る。いくつかの実施形態では、好適なFcドメインは、IgG1、IgG2、IgG3またはIgG4由来である。特に好適なFcドメインは、ヒトまたはヒト化抗体由来のものを含む。
(配列番号105)(GAGリンカー)に少なくとも50%(例えば、少なくとも55%、60%、65%、70%、75%、80%、85%、90%、95%、96%、97%、98%、99%または100%)同一の配列を含む。いくつかの実施形態において、リンカーまたはスペーサーは
(配列番号106)(GAG2リンカー)に少なくとも50%(例えば、少なくとも55%、60%、65%、70%、75%、80%、85%、90%、95%、96%、97%、98%、99%または100%)同一の配列を含む。いくつかの実施形態において、リンカーまたはスペーサーは
(配列番号107)(GAG3リンカー)に少なくとも50%(例えば、少なくとも55%、60%、65%、70%、75%、80%、85%、90%、95%、96%、97%、98%、99%または100%)同一の配列を含む。
本発明の好適な組換え抗Flt-1抗体またはその抗原結合断片は、任意の利用可能な方法によって産生されることができる。例えば組換え抗Flt-1抗体または抗原結合断片は、組換え抗Flt-1抗体または抗原結合断片をコードする核酸を発現するよう操作された宿主細胞系を利用することによって組換え的に産生され得る。
本発明は、本発明に従った治療的活性成分(例えば、抗Flt-1抗体またはその抗原結合断片)と共に1つ以上の薬学的に許容される担体または賦形剤を含む、医薬組成物を更に提供する。このような医薬組成物は所望により、1つ以上の追加の治療的活性物質を含むことができる。
本明細書に記載の抗Flt-1抗体またはその抗原結合断片(または本明細書に記載の抗Flt-1抗体もしくはその抗原結合断片を含有する組成物もしくは薬剤)は、任意の適切な経路によって投与される。いくつかの実施形態では、抗Flt-1抗体もしくは抗原結合断片タンパク質、またはこれを含有する医薬組成物は、非経口的に投与される。非経口投与は、静脈内投与、皮内投与、髄腔内投与、吸入投与、経皮(局所)投与、眼球内投与、筋肉内投与、皮下投与、筋肉内投与及び/または経粘膜投与であり得る。いくつかの実施形態では、抗Flt-1抗体もしくはその抗原結合断片、またはこれを含有する医薬組成物は、皮下に投与される。本明細書で使用する場合「皮下組織」という用語は、皮膚のすぐ下の疎性の不規則な結合組織の層として定義される。例えば皮下投与は、大腿部、腹部、臀部または肩甲骨部を含む領域内に組成物を注射することによって実施することができるが、これらに限定されない。いくつかの実施形態では、抗Flt-1抗体もしくはその抗原結合断片、またはこれを含有する医薬組成物は、静脈内に投与される。いくつかの実施形態では、抗Flt-1抗体もしくはその抗原結合断片、またはこれを含有する医薬組成物は、経口投与される。所望する場合、2つ以上の経路を同時に使用することができる。
いくつかの実施形態では、組成物は、特定の所望の転帰に(例えば、デュシェンヌ型筋ジストロフィーなどの筋ジストロフィーを治療するまたはそのリスクを減少させることに)関連付けられている、治療に有効な量で及び/または投与レジメンに従って投与される。
いくつかの実施形態では、抗Flt-1抗体またはその抗原結合断片は、1つ以上の追加の治療薬と組み合わせて投与される。一実施形態において、追加の治療薬はコルチコステロイド、例えばプレドニゾンである。別の実施形態では、追加の治療薬はグルココルチコイド、例えばデフラザコートである。別の実施形態では、追加の治療薬は、フォリスタチンまたはその組換えタンパク質である。別の実施形態では、追加の治療薬はRNA調節療法である。RNA調節療法は、エキソンスキッピング療法または遺伝子治療であり得る。RNA調節療法は、例えば、Drispersen、PRO044、PRO045、Eteplirsen(AVI-4658)、SRP-4053、SRP-4045、SRP-4050、SRP-4044、SRP-4052、SRP-4055またはSRP-4008であり得る。いくつかの実施形態において、追加の治療薬は現在、筋ジストロフィーの治療のために使用される。他の実施形態において、追加の治療薬は、他の疾患または障害を治療するためにも使用することができる。いくつかの実施形態では、既知の治療薬(複数可)は、その標準的なまたは承認された投与レジメン及び/またはスケジュールに従って投与される。いくつかの実施形態では、既知の治療薬(複数可)は、その標準的なまたは承認された投与レジメン及び/またはスケジュールと比較した場合、変更されているレジメンに従って投与される。いくつかの実施形態では、このような変更されたレジメンは、1つ以上の単位用量が量で変更されている(例えば、減少または増加されている)という点で、及び/または投与が頻度で変更されている点で(例えば、単位投与量間の1つ以上の間隔が広げられ、結果的により低い頻度をもたらす、または間隔が狭められ、結果的により高い頻度をもたらすという点で)、標準的なまたは承認された投与レジメンとは異なる。
抗体の生成
モノクローナル抗体は、ラマモノクローナル抗体方法を用いた可溶性Flt-1に対して作成された。簡潔に説明すると、ラマは組換えヒト可溶性Flt-1(ABCAMから購入)により免疫感作して、血清を収集した。
ヒト及びマウスFlt-1と結合した抗体は、1)VHファミリー、2)Flt-1に対する親和性、3)IC50、4)Biacoreアッセイによる解離速度スクリーニング、5)カニクイザルFlt-1に対する交差反応性、及び6)VEGF R2及びVEGF R3への結合について更に特性決定した。ヒトFlt-1(hFl-1)及びマウスFlt-1(mFlt-1)に対する候補抗体は、表4に示すように特性評価された。
Mdxマウス(すなわち、デュシェンヌ型筋ジストロフィーのマウスモデル)を、生後4週間から開始して、週2回1か月間、静脈内投与によって抗体13B4または抗体10G12のいずれか20mg/kgで処置した。対照マウスは、溶媒のみ、Flt-1と結合しないアイソタイプ対照抗体だけ、またはFlt-1として既知の市販の抗Flt-1抗体:VEGFアンタゴニスト(Angio Proteomie、カタログ番号AP-MAB0702)で処置した。最低曝露点で血清中抗体濃度を評価するために、5回目の静脈内投与の4日後に血液を収集した。最大曝露点で血清中抗体濃度を評価するために、最後の投与の24時間後に血液を収集した。抗体13B4及び10G12の最高及び最低濃度を、図2A及び図2Bに示す。血液中の遊離抗体13B4及び遊離抗体10G12の濃度は、最大及び最低曝露時点の両方で、アイソタイプ対照抗体及び市販の対照抗体より高かった。
マウスは30日の処置期間の終了時に屠殺され、横隔膜筋及び前脛骨(TA)筋を収集して、抗Flt-1抗体が骨格筋の血管新生を誘発したか判定するために切断した。筋肉切片を内皮細胞マーカーCD31で染色した。毛細血管密度の著しい増大は、アイソタイプ対照抗体で処置したマウスの横隔膜と比較して、抗体13B4、10G12または市販の対照抗体で処置したマウスの横隔膜で見られた(図5A~図5D)。データは、図6A~図6Bに示すように自動定量的イメージングソフトウェアを使用して定量化された。アイソタイプ対照抗体で処置したマウスの横隔膜と比較して、市販の対照抗体(p<0.05)、抗体13B4(p<0.01)及び抗体10G12(p<0.0001)で処置したマウスの横隔膜のCD31陽性領域で著しい増大が見られた。アイソタイプ対照抗体で処置したマウスの前脛骨筋と比較して、抗体10G12(p<0.01)で処置したマウスの前脛骨(TA)筋のCD31陽性領域での著しい増大も、示された。
追加の抗Flt-1モノクローナル抗体は、上述のとおり作製された。これらの抗体は、sFlt-1抗原に対する結合親和性(ELISA及びBiacoreによって)、sFlt-l:VEGF競合ELISAにおけるVEGFについての競合、及び細胞系アッセイでの性能を更に特性評価した。
モノクローナル抗Flt-1抗体を、ELISAアッセイにおいて組換えsFlt-1抗原との結合について分析した(図7)。すべての抗体は、結合において投与量依存的な増加を示した。マウス及びヒトFlt-1抗原に対する抗Flt-1抗体の結合親和性は、表面プラズモン共鳴方法論(すなわち、Biacore)で測定した(表6)。抗体は、ナノモル範囲でヒトFlt-1と結合し、抗体11A11がヒトFlt-1に対して最も高い結合親和性を示した。抗体がVEGF R2またはVEGF R3と交差反応しなかった(表6)が、すべての抗体はカニクイザルFlt-1と交差反応したことも、Biacore分析は示した。
抗体の効力を推定するために、抗体を、ヒトsFlt-1及びVEGFを用いた競合ELISAで分析した。試験した抗体濃度は、0.1mg/mL~10,000ng/mLの範囲であった。市販の抗Flt-1抗体を、対照として使用した。11A11を除き、すべての抗体は、sFlt-1へのVEGFの結合を阻止することができた(図8)。
ヒト主要静脈内皮細胞(HUVEC)は、sFlt-1及びモノクローナル抗体02G07、11A11及び13B4の存在下で、VEGFによって刺激された。細胞のVEGF誘発性活性化は、VEGF R2受容体のリン酸化状態を判定することによって試験した。データは、sFlt-1のみの存在下で(例えば、抗Flt-1抗体なしで)、VEGF R2受容体のリン酸化に対して、VEGF R2受容体のリン酸化の救済%として表した。モノクローナル抗体は、可溶性Flt-1に拮抗することにより、細胞の活性化(すなわちリン酸化)を救済した。
実施例2に記載の抗体18B6、11A11及び13B4の軽鎖シャッフルを、候補抗体の親和性及び効力を増加させるために実施した。
得られた抗体は、Flt-1抗原に対する増大した親和性を示した。例えば抗体21C6のKDは、親抗体11A11より約10倍増加した。同様に抗体21B3のKDは、親抗体13B4より約5倍増加した(表7)。
軽鎖シャッフル後、抗体の効力を推定するために、抗体を、ヒトsFlt-1及びVEGFを用いた競合ELISAで分析した。試験した抗体濃度は、0.2mg/mL~200ng/mLの範囲であった。sFlt-1に競合的に結合する親抗体13B4の能力を、軽鎖シャッフルによって生成した抗体のものと比較した。すべての抗体は、最も有効な競合者であるクローン21B3によるヒトsFlt-1へのVEGFの結合の用量依存的な阻害を示した(図10)。
軽鎖シャッフルした抗体の血清半減期及び薬物動態学的特性を判定するために、それぞれI125で標識した、軽鎖シャッフルした抗体27H9及び21B3ならびに親抗体13B4の単回投与量10mg/kgをマウスに投与した。血清を0.083、0.25、0.5、1、4、8及び24時間、ならびに3、5、7、14、21及び28日目に収集して、抗体の血清中濃度を確定した。血清半減期は、親抗体と比較して、軽鎖シャッフルした抗体で減少した(図11)。しかし軽鎖シャッフルした抗体は、親と比較して、改善した薬力学的特性を示した。例えば抗体27H9は、0.083時間で最大濃度222.4μg/mLに達したのに対して、親抗体13B4は0.5時間で最大濃度217μg/mLに達した(表8)。
軽鎖がシャッフルされたか、及び親抗体が内皮細胞増殖を誘発できるか判定するために、mdxマウスを、静脈内投与によって4週間隔週で20mg/kgの抗体で処置した。マウスは処置期間の終了時に屠殺され、横隔膜筋及び前脛骨筋を収集して、抗体が骨格筋の血管新生を誘発したか判定するために切断した。筋肉切片を内皮細胞マーカーCD31で染色した。横隔膜の毛細血管密度の著しい増大は、アイソタイプ対照抗体で処置したマウスの横隔膜と比較して、抗体13B4及び21B3で処置したマウスで見られた(図12A~図12C)。更に、アイソタイプ対照抗体で処置したマウスの前脛骨筋と比較して、軽鎖シャッフルした抗体21B3で処置したマウスの前脛骨筋の毛細血管密度の著しい増大もあった(図12D~図12F)。
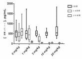
Mdxマウスを、生後4週間から開始して、週2回1か月間、静脈内投与によって抗体21B3の1、3、10もしくは20mg/kg、またはアイソタイプ対照抗体の20mg/kgで処置した。最低曝露点で血清中抗体濃度を評価するために、5回目の静脈内投与の4日後に血液を収集した。最大曝露点で血液中抗体濃度を評価するために、最後の投与の24時間後に血液を収集した。抗体21B3及びアイソタイプ対照抗体の最高及び最低血清中濃度を、図14A及び図14Bに示す。抗体21B3の最大及び最低濃度は用量依存的であり、アイソタイプ対照抗体より高かった。
マウスは30日の処置期間の終了時に屠殺され、横隔膜筋及び前脛骨筋を収集して、抗Flt-1抗体が骨格筋の血管新生を誘発したか判定するために切断した。筋肉切片を内皮細胞マーカーCD31で染色した。抗体21B3で処置したマウスの横隔膜筋の毛細血管密度の著しい増大は、アイソタイプ対照抗体で処置したマウスの横隔膜筋の毛細血管密度と比較して、見られた(図17A~図17E)。データは、図18に示すように自動定量的イメージングソフトウェアを使用して定量化された。アイソタイプ対照抗体で処置したマウスの横隔膜のCD31陽性領域と比較して、10mg/kgまたは20mg/kg(p<0.0001)で処置したマウスの横隔膜筋のCD31陽性領域で著しい増大があった。
脱グリコシルした21B3抗体の分子量を、逆相液体クロマトグラフィー/質量分析(RP-LC/MS)によって測定した(図21A)。還元反応の後、軽鎖及び重鎖の分子量を測定した。重鎖のグリコシル化パターンも測定した(図21B)。
実施例3に記載されている軽鎖シャッフルした抗体を、CDR領域及びまたはFcエフェクター領域に配列変異を導入するために更に改質した。これらの抗体を、結合特性を判定するために表面プラズモン共鳴方法(例えば、Biacore)により評価した(表9)。抗体27H9 NG/NA AAAは、Flt-1に対する約2倍の減少した結合親和性を示した。
最も近いヒトVH及びVL生殖細胞系配列を同定し、ならびにフレームワーク領域内の異なる残基及びCDR内の酸化/異性化部位を同定するために、候補抗体を分析した。ヒト及び野生型残基を含有するFabライブラリが構築されて、ヒト定常ドメインに融合した。Fabを同一または親抗体(21B3)より高い解離速度(すなわち、親和性を失わない)と識別するために、ファージディスプレイを適用した。所望の解離速度を有するFabを配列決定して、ヒト生殖系配列と比較し、最も高い同一性(例えば、VH+VL同一性>95%)及び相同性(例えば、相同性>96%)を有するものを、ヒトモノクローナル抗体への転換のために選択した。Fabは、不必要なアミノ酸についても分析される。表10は、最高97.6%のヒト同一性及び98.8%の相同性を有するいくつかのクローンとのヒト同一性パーセントによって順位付けしたFabを提供する。
モノクローナル抗体の熱耐性を、Biacore方法を使用して分析した。100μg/mLの濃度で、各モノクローナル抗体を、異なる温度にてリン酸緩衝生理食塩水中で1時間インキュベートした。1時間のインキュベート後、抗体をゆっくり2時間かけて25℃に冷却して、それから4℃にて一晩インキュベートした。それから機能性抗体の割合を、BiocoreによってヒトFlt-1への結合を判定することで測定した(表11を参照)。野生型抗体における熱耐性は、以前の実験と一致した。しかし、27H6 DG/DAクローンを除いて、VHまたはVL領域の突然変異は、約2℃融解温度を低下させた。Fc領域のAAA突然変異は、抗体の熱耐性に影響を及ぼさなかった。
Mdxマウスを、生後3週間から開始して、週2回6または12週間、静脈内投与によって抗Flt-1抗体21B3の1、3、10もしくは10mg/kg、またはIgG1アイソタイプ対照抗体の10mg/kgで処置した。
マウスは処置期間の6及び12週目に屠殺され、横隔膜筋、腓腹筋及び前脛骨筋を収集して、抗Flt-1抗体による処置が血管新生を誘発して、骨格筋の線維症及び壊死を防いだか判定するために切断した。
筋肉切片を内皮細胞マーカーCD31で染色した(図27A~図27H、図28A~図28H及び図29A~図29H)。毛細血管密度の著しい増大は、アイソタイプ対照抗体で処置したマウスの筋肉と比較して、抗体21B3で処置したマウスの試験したすべての筋肉群で見られた。データは、自動定量的イメージングソフトウェアを使用して定量化された。アイソタイプ対照抗体で処置したマウスの横隔膜筋のCD31陽性領域と比較して、抗体21B3の3mg/kg(p<0.01)及び10mg/kg(p<0.0001)で処置したマウスの横隔膜筋の6及び12週目にてCD31陽性領域で統計学的に有意な増大があった。アイソタイプ対照抗体で処置したマウスの腓腹筋のCD31陽性領域と比較して、抗体21B3の10mg/kg(p<0.05)で処置したマウスの腓腹筋の6及び12週目にてCD31陽性領域で統計学的に有意な増大があった。アイソタイプ対照抗体で処置したマウスの前脛骨筋のCD31陽性領域と比較して、抗体21B3の3mg/kgで処置したマウスの6週目(p<0.05)及び12週目(p<0.0001)にて、ならびに抗体21B3の10mg/kg(p<0.0001)で処置したマウスの6週目及び12週目にて、前脛骨筋のCD31陽性領域で統計学的に有意な増大があった。(図30A~図30C)。
筋肉切片を更にI型コラーゲンについて免疫組織化学によって染色した(図31A~図31H、図32A~図32H及び図33A~図33H)。I型コラーゲン染色の著しい減少は、アイソタイプ対照抗体で処置したマウスの横隔膜筋及び腓腹筋と比較して、抗体21B3で処置したマウスの横隔膜筋及び腓腹筋で見られた。アイソタイプ対照抗体で処置したマウスの横隔膜筋のI型コラーゲン染色と比較して、抗体21B3の1mg/kg(p<0.0001)、3mg/kg(p<0.001)及び10mg/kg(p<0.0001)で処置したマウスの横隔膜筋の12週目にて、I型コラーゲン染色で統計学的に有意な減少があった。アイソタイプ対照抗体で処置したマウスの腓腹筋のI型コラーゲン染色と比較して、抗体21B3の1mg/kg(p<0.01)、3mg/kg(p<0.05)及び10mg/kg(p<0.001)で処置したマウスの腓腹筋の12週目にて、I型コラーゲン染色で統計学的に有意な減少があった。(図34A~図34C)。
抗体21B3で処置したマウスの腓腹筋中に存在する壊死の割合は、アイソタイプ対照抗体で処置したマウスの腓腹筋中に存在する壊死の割合と比較して判定した。壊死が改善する傾向が見られた(図35A~図35B)。
抗ヒトsFlt-1モノクローナル抗体(mAb)21B3及び21C6によって標的とされるヒトsFlt-1のペプチドレベルでのエピトープは、水素重水素交換(HDX)質量分析によって確定された。
ペプシン消化において、10μgのsFlt-1、またはsFlt-1と抗体(21B3)の混合物(10μg:20μg)、またはsFlt-1と抗体(21C6)の混合物(10μg:20μg)を、0.365MのTCEP及び1.7Mの塩酸グアニジン酸(pH2.5)中で変性させた。混合物にオンラインペプシン消化を行い、得られたペプチドを、MicroTOF-Q2質量分析計(Bruker)に連結するWaters Acquity UPLCからなるUPLC-MSシステムを使用して分析した。ペプチドは、5~28.5%溶媒B(アセトニトリル中0.1%ギ酸)から19分の勾配による50mm×1mmC8カラムで分離した。溶媒Aは、水中0.1%ギ酸である。溶媒混合弁、注入弁、C8カラム及びすべての接続ステンレス鋼管を、0℃に維持した冷却した循環水浴に浸した。ペプチド同定は、MascotでsFlt-1配列に対してMS/MSデータを検索することによって行った。前駆体及び生成イオンにおける質量許容差は、それぞれ0.1Da及び0.2Daであった。
200μgのヒトsFlt-1組換え型タンパク質を、10μlのPNGaseFによって37℃にて4時間インキュベートした。
Fabを、パパイン消化及びPierce Fab調製キットを使用するタンパク質A捕捉により、2つの抗sFlt-1 mAb(21B3及び21C6)から調製した。
SECの天然または脱グリコシルしたヒトsFlt-1のいずれかと2つの抗ヒトsFlt-1 mAb(21B3及び21C6)の間の結合を確認するために、10μgのsFlt-1(天然または脱グリコシルのいずれか)を、40μgの抗sFlt-1 mAbと混合した。移動位相及びタンパク質を280nmでモニタする際、天然または脱グリコシルしたsFlt-1単独、抗sFlt-1 mAb単独または複合体を、PBSと共に0.35ml/分の流量でSECカラムに注入した。抗sFlt-1 mAb(21B3及び21C6)から生成したFab及び抗sFlt-1 FabとsFlt-1の間の結合も、SECを使用して評価した。
10μLのヒトsFlt-1(10μg)、またはsFlt-1とmAb(21B3)の混合物(10μg:20μg)、またはsFlt-1とmAb(21C6)の混合物(10μg:20μg)を、0秒、30秒、2分、10分、1時間または4時間、90μLの酸化重水素で標識した緩衝剤(pH7.4の50mMのリン酸塩、100mMの塩化ナトリウム)でインキュベートした。重水素交換を、最終的なpH2.5にて100μLの3.4Mの塩酸グアニジン、0.73MのTCEP緩衝剤を添加することによってクエンチして、それから上述のペプシン消化及びLC-MS分析を行った。質量スペクトルは、MSのみのモードで記録した。未加工のMSデータを、HDExaminerソフトウェア(Sierra Analytics、CA)を使用して処理した。重水素濃度を、重水素化されたペプチドとその天然型(t0)の間の平均質量差を使用して計算した。
グリカン除去がヒトsFlt-1の抗体への結合を変えないことを検証するために、天然型及び脱グリコシルしたsFlt-1タンパク質を、抗ヒトsFlt-1 IgG(21B3及び21C6)と混合して、複合体形成をサイズ排除クロマトグラフィーでモニタした。天然型ヒトsFlt-1が2つの抗ヒトsFlt-1 IgG(21B3及び21C6)に完全に結合する一方で、脱グリコシルしたヒトsFlt-1が抗ヒトsFlt-1 mAb(21B3)に不完全に結合する、または抗ヒトsFlt-1 mAb(21C6)に結合しないことを、データは証明し、脱グリコシルはヒトsFlt-1と抗体の間の相互作用を乱すことを示した。したがって天然型ヒトsFlt-1は、HD交換実験を実施するために選択された。不均質なグリコシル化及び12つのN-結合型グリコシル化部位の高度の複雑性が原因で、不良な配列包括度は、天然型ヒトsFlt-1において最初に達成された。配列包括度を改善するために、各グリコシル化部位のグリカン質量を同定して、高い配列包括度(85.2%)を天然型ヒトsFlt-1において達成した。
85.2%の配列包括度が、ヒトsFlt-1において得られた。残基117~129及び169~180は、抗ヒトsFlt-1 mAb 21B3との結合の際、強力な重水素保護を受けたが、一方で残基106~114及び117~124は、抗ヒトsFlt-1 mAb 21C6との結合の際、強力な重水素保護を受けた。これらの強く保護された領域は、対応する抗ヒトsFlt-1 mAbにおいてエピトープペプチドとして割り当てられた。
Claims (1)
- 本明細書に記載の発明。
Priority Applications (1)
| Application Number | Priority Date | Filing Date | Title |
|---|---|---|---|
| JP2024039804A JP7741225B2 (ja) | 2015-04-07 | 2024-03-14 | デュシェンヌ型筋ジストロフィーの治療における抗flt-1抗体 |
Applications Claiming Priority (6)
| Application Number | Priority Date | Filing Date | Title |
|---|---|---|---|
| US201562144251P | 2015-04-07 | 2015-04-07 | |
| US62/144,251 | 2015-04-07 | ||
| US201662307645P | 2016-03-14 | 2016-03-14 | |
| US62/307,645 | 2016-03-14 | ||
| JP2017552899A JP6993880B2 (ja) | 2015-04-07 | 2016-04-07 | デュシェンヌ型筋ジストロフィーの治療における抗flt-1抗体 |
| PCT/US2016/026352 WO2016164528A1 (en) | 2015-04-07 | 2016-04-07 | Anti-flt-1 antibodies for treating duchenne muscular dystrophy |
Related Parent Applications (1)
| Application Number | Title | Priority Date | Filing Date |
|---|---|---|---|
| JP2017552899A Division JP6993880B2 (ja) | 2015-04-07 | 2016-04-07 | デュシェンヌ型筋ジストロフィーの治療における抗flt-1抗体 |
Related Child Applications (1)
| Application Number | Title | Priority Date | Filing Date |
|---|---|---|---|
| JP2024039804A Division JP7741225B2 (ja) | 2015-04-07 | 2024-03-14 | デュシェンヌ型筋ジストロフィーの治療における抗flt-1抗体 |
Publications (2)
| Publication Number | Publication Date |
|---|---|
| JP2022040124A true JP2022040124A (ja) | 2022-03-10 |
| JP7456989B2 JP7456989B2 (ja) | 2024-03-27 |
Family
ID=55754471
Family Applications (3)
| Application Number | Title | Priority Date | Filing Date |
|---|---|---|---|
| JP2017552899A Active JP6993880B2 (ja) | 2015-04-07 | 2016-04-07 | デュシェンヌ型筋ジストロフィーの治療における抗flt-1抗体 |
| JP2021200631A Active JP7456989B2 (ja) | 2015-04-07 | 2021-12-10 | デュシェンヌ型筋ジストロフィーの治療における抗flt-1抗体 |
| JP2024039804A Active JP7741225B2 (ja) | 2015-04-07 | 2024-03-14 | デュシェンヌ型筋ジストロフィーの治療における抗flt-1抗体 |
Family Applications Before (1)
| Application Number | Title | Priority Date | Filing Date |
|---|---|---|---|
| JP2017552899A Active JP6993880B2 (ja) | 2015-04-07 | 2016-04-07 | デュシェンヌ型筋ジストロフィーの治療における抗flt-1抗体 |
Family Applications After (1)
| Application Number | Title | Priority Date | Filing Date |
|---|---|---|---|
| JP2024039804A Active JP7741225B2 (ja) | 2015-04-07 | 2024-03-14 | デュシェンヌ型筋ジストロフィーの治療における抗flt-1抗体 |
Country Status (10)
| Country | Link |
|---|---|
| US (3) | US10787515B2 (ja) |
| EP (2) | EP3280734B1 (ja) |
| JP (3) | JP6993880B2 (ja) |
| CN (3) | CN114539408B (ja) |
| AU (2) | AU2016246722B2 (ja) |
| ES (1) | ES2910783T3 (ja) |
| MA (1) | MA41899A (ja) |
| MX (1) | MX2017012828A (ja) |
| PL (1) | PL3280734T3 (ja) |
| WO (1) | WO2016164528A1 (ja) |
Families Citing this family (4)
| Publication number | Priority date | Publication date | Assignee | Title |
|---|---|---|---|---|
| MA41899A (fr) | 2015-04-07 | 2018-02-13 | Shire Human Genetic Therapies | Anticorps anti-flt-1 pour traiter la dystrophie musculaire de duchenne |
| WO2020108497A1 (zh) * | 2018-11-29 | 2020-06-04 | 和铂医药(香港)有限公司 | 一种抗pd-l1抗体制剂 |
| JP7753186B2 (ja) * | 2019-08-02 | 2025-10-14 | シーティーティーキュー-アケソ(シャンハイ) バイオメド テク カンパニー リミテッド | 抗pd-1抗体およびその医学的使用 |
| CN114230666B (zh) * | 2021-12-20 | 2022-09-02 | 南京诺唯赞生物科技股份有限公司 | 一种t7 rna聚合酶的单克隆抗体及其制备方法 |
Citations (1)
| Publication number | Priority date | Publication date | Assignee | Title |
|---|---|---|---|---|
| WO2014117160A1 (en) * | 2013-01-28 | 2014-07-31 | Shire Human Genetic Therapies, Inc. | Anti-flt-1 antibodies in treating duchenne muscular dystrophy |
Family Cites Families (6)
| Publication number | Priority date | Publication date | Assignee | Title |
|---|---|---|---|---|
| US8287864B2 (en) * | 2002-02-14 | 2012-10-16 | Immunomedics, Inc. | Structural variants of antibodies for improved therapeutic characteristics |
| WO2006055809A2 (en) * | 2004-11-18 | 2006-05-26 | Imclone Systems Incorporated | Antibodies against vascular endothelial growth factor receptor-1 |
| JP5823871B2 (ja) | 2008-12-10 | 2015-11-25 | アブリンクス エン.ヴェー. | 血管新生に関連した疾患及び障害の治療のための、アンジオポイエチン/Tieシステムに指向性を有するアミノ酸配列及びこれを含むポリペプチド |
| US9592331B2 (en) * | 2011-02-07 | 2017-03-14 | Aggamin Llc | Methods and systems for treating eclampsia or pre-eclampsia |
| TW201517916A (zh) | 2013-03-15 | 2015-05-16 | Lilly Co Eli | Vegfr1抗體之治療用途 |
| MA41899A (fr) | 2015-04-07 | 2018-02-13 | Shire Human Genetic Therapies | Anticorps anti-flt-1 pour traiter la dystrophie musculaire de duchenne |
-
2016
- 2016-04-06 MA MA041899A patent/MA41899A/fr unknown
- 2016-04-07 CN CN202210037246.0A patent/CN114539408B/zh active Active
- 2016-04-07 EP EP16716795.6A patent/EP3280734B1/en active Active
- 2016-04-07 MX MX2017012828A patent/MX2017012828A/es unknown
- 2016-04-07 WO PCT/US2016/026352 patent/WO2016164528A1/en not_active Ceased
- 2016-04-07 PL PL16716795T patent/PL3280734T3/pl unknown
- 2016-04-07 JP JP2017552899A patent/JP6993880B2/ja active Active
- 2016-04-07 CN CN201680032814.0A patent/CN107787330B/zh active Active
- 2016-04-07 AU AU2016246722A patent/AU2016246722B2/en active Active
- 2016-04-07 ES ES16716795T patent/ES2910783T3/es active Active
- 2016-04-07 US US15/564,976 patent/US10787515B2/en active Active
- 2016-04-07 EP EP22153298.9A patent/EP4056593A1/en active Pending
- 2016-04-07 CN CN202510178279.0A patent/CN120290577A/zh active Pending
-
2020
- 2020-08-12 US US16/991,762 patent/US20210206860A1/en not_active Abandoned
-
2021
- 2021-12-10 JP JP2021200631A patent/JP7456989B2/ja active Active
-
2022
- 2022-01-25 AU AU2022200466A patent/AU2022200466B2/en active Active
-
2023
- 2023-03-23 US US18/189,065 patent/US12435146B2/en active Active
-
2024
- 2024-03-14 JP JP2024039804A patent/JP7741225B2/ja active Active
Patent Citations (1)
| Publication number | Priority date | Publication date | Assignee | Title |
|---|---|---|---|---|
| WO2014117160A1 (en) * | 2013-01-28 | 2014-07-31 | Shire Human Genetic Therapies, Inc. | Anti-flt-1 antibodies in treating duchenne muscular dystrophy |
Also Published As
| Publication number | Publication date |
|---|---|
| PL3280734T3 (pl) | 2022-07-04 |
| EP3280734A1 (en) | 2018-02-14 |
| US12435146B2 (en) | 2025-10-07 |
| CN107787330B (zh) | 2022-02-01 |
| JP2018518153A (ja) | 2018-07-12 |
| CN107787330A (zh) | 2018-03-09 |
| ES2910783T3 (es) | 2022-05-13 |
| WO2016164528A9 (en) | 2017-01-12 |
| BR112017021414A2 (pt) | 2018-07-03 |
| AU2022200466A1 (en) | 2022-02-17 |
| CN120290577A (zh) | 2025-07-11 |
| AU2016246722A1 (en) | 2017-10-26 |
| HK1249912A1 (en) | 2018-11-16 |
| US20240076387A1 (en) | 2024-03-07 |
| MA41899A (fr) | 2018-02-13 |
| MX2017012828A (es) | 2018-06-19 |
| US20180072806A1 (en) | 2018-03-15 |
| US20210206860A1 (en) | 2021-07-08 |
| JP6993880B2 (ja) | 2022-01-14 |
| JP7741225B2 (ja) | 2025-09-17 |
| JP7456989B2 (ja) | 2024-03-27 |
| CN114539408B (zh) | 2025-03-11 |
| WO2016164528A1 (en) | 2016-10-13 |
| US10787515B2 (en) | 2020-09-29 |
| EP3280734B1 (en) | 2022-01-26 |
| AU2016246722B2 (en) | 2021-10-28 |
| CN114539408A (zh) | 2022-05-27 |
| EP4056593A1 (en) | 2022-09-14 |
| JP2024069463A (ja) | 2024-05-21 |
| CA2981954A1 (en) | 2016-10-13 |
| AU2022200466B2 (en) | 2024-06-13 |
Similar Documents
| Publication | Publication Date | Title |
|---|---|---|
| JP2022040124A (ja) | デュシェンヌ型筋ジストロフィーの治療における抗flt-1抗体 | |
| JP2021506297A (ja) | Wntサロゲート分子及びその使用 | |
| JP2020195382A (ja) | α−シヌクレインを認識する抗体を含む血液脳関門シャトル | |
| BR122012004341A2 (pt) | Anticorpos monoclonais contra proteína rgm a e usos destes | |
| JP7051150B2 (ja) | 気分障害の治療及び診断のための抗-配列類似性19を持つファミリー、メンバーa5抗体の用途 | |
| JP2019023230A (ja) | デュシェンヌ型筋ジストロフィーの治療における抗−flt−1抗体 | |
| JP2021014473A (ja) | 気管支肺異形成症を治療する抗flt−1抗体 | |
| CA2981954C (en) | Anti-flt-1 antibodies for treating duchenne muscular dystrophy | |
| HK40079861A (en) | Anti-flt-1 antibodies for treating duchenne muscular dystrophy | |
| BR112017021414B1 (pt) | Anticorpos anti-flt-1 e composição farmacêutica compreendendo os referidos anticorpos | |
| BR122024023570A2 (pt) | Polinucleotídeo que codifica um anticorpo anti-flt-1 ou seu fragmento de ligação ao antígeno, composição farmacêutica, usos relacionados, vetor de expressão, célula isolada e anticorpos anti-flt-1 ou seu fragmento de ligação ao antígeno | |
| HK1249912B (en) | Anti-flt-1 antibodies for treating duchenne muscular dystrophy |
Legal Events
| Date | Code | Title | Description |
|---|---|---|---|
| A621 | Written request for application examination |
Free format text: JAPANESE INTERMEDIATE CODE: A621 Effective date: 20211210 |
|
| A131 | Notification of reasons for refusal |
Free format text: JAPANESE INTERMEDIATE CODE: A131 Effective date: 20221109 |
|
| A601 | Written request for extension of time |
Free format text: JAPANESE INTERMEDIATE CODE: A601 Effective date: 20221222 |
|
| A521 | Request for written amendment filed |
Free format text: JAPANESE INTERMEDIATE CODE: A523 Effective date: 20230307 |
|
| A131 | Notification of reasons for refusal |
Free format text: JAPANESE INTERMEDIATE CODE: A131 Effective date: 20230519 |
|
| A601 | Written request for extension of time |
Free format text: JAPANESE INTERMEDIATE CODE: A601 Effective date: 20230714 |
|
| A521 | Request for written amendment filed |
Free format text: JAPANESE INTERMEDIATE CODE: A523 Effective date: 20230919 |
|
| A131 | Notification of reasons for refusal |
Free format text: JAPANESE INTERMEDIATE CODE: A131 Effective date: 20231108 |
|
| A521 | Request for written amendment filed |
Free format text: JAPANESE INTERMEDIATE CODE: A523 Effective date: 20231220 |
|
| TRDD | Decision of grant or rejection written | ||
| A01 | Written decision to grant a patent or to grant a registration (utility model) |
Free format text: JAPANESE INTERMEDIATE CODE: A01 Effective date: 20240214 |
|
| A61 | First payment of annual fees (during grant procedure) |
Free format text: JAPANESE INTERMEDIATE CODE: A61 Effective date: 20240314 |
|
| R150 | Certificate of patent or registration of utility model |
Ref document number: 7456989 Country of ref document: JP Free format text: JAPANESE INTERMEDIATE CODE: R150 |



































