JP2010059251A - スタッドレスタイヤ用ゴム組成物及びスタッドレスタイヤ - Google Patents
スタッドレスタイヤ用ゴム組成物及びスタッドレスタイヤ Download PDFInfo
- Publication number
- JP2010059251A JP2010059251A JP2008224047A JP2008224047A JP2010059251A JP 2010059251 A JP2010059251 A JP 2010059251A JP 2008224047 A JP2008224047 A JP 2008224047A JP 2008224047 A JP2008224047 A JP 2008224047A JP 2010059251 A JP2010059251 A JP 2010059251A
- Authority
- JP
- Japan
- Prior art keywords
- mass
- rubber
- less
- parts
- carboxylic acid
- Prior art date
- Legal status (The legal status is an assumption and is not a legal conclusion. Google has not performed a legal analysis and makes no representation as to the accuracy of the status listed.)
- Granted
Links
- 229920001971 elastomer Polymers 0.000 title claims abstract description 71
- 239000005060 rubber Substances 0.000 title claims abstract description 71
- 239000000203 mixture Substances 0.000 title claims abstract description 66
- 239000005062 Polybutadiene Substances 0.000 claims abstract description 32
- 150000003751 zinc Chemical class 0.000 claims abstract description 26
- 229920002857 polybutadiene Polymers 0.000 claims abstract description 24
- 150000007933 aliphatic carboxylic acids Chemical class 0.000 claims abstract description 22
- WPYMKLBDIGXBTP-UHFFFAOYSA-N benzoic acid Chemical compound OC(=O)C1=CC=CC=C1 WPYMKLBDIGXBTP-UHFFFAOYSA-N 0.000 claims abstract description 17
- 239000004014 plasticizer Substances 0.000 claims abstract description 9
- VYPSYNLAJGMNEJ-UHFFFAOYSA-N Silicium dioxide Chemical compound O=[Si]=O VYPSYNLAJGMNEJ-UHFFFAOYSA-N 0.000 claims description 53
- 239000000377 silicon dioxide Substances 0.000 claims description 26
- XLOMVQKBTHCTTD-UHFFFAOYSA-N Zinc monoxide Chemical compound [Zn]=O XLOMVQKBTHCTTD-UHFFFAOYSA-N 0.000 description 22
- 238000004073 vulcanization Methods 0.000 description 19
- YXFVVABEGXRONW-UHFFFAOYSA-N Toluene Chemical compound CC1=CC=CC=C1 YXFVVABEGXRONW-UHFFFAOYSA-N 0.000 description 18
- 239000003921 oil Substances 0.000 description 16
- 235000019198 oils Nutrition 0.000 description 16
- 230000000052 comparative effect Effects 0.000 description 15
- 230000000694 effects Effects 0.000 description 15
- 238000002156 mixing Methods 0.000 description 14
- 229920001194 natural rubber Polymers 0.000 description 14
- 244000043261 Hevea brasiliensis Species 0.000 description 13
- 229920003052 natural elastomer Polymers 0.000 description 13
- 230000007423 decrease Effects 0.000 description 12
- 239000006087 Silane Coupling Agent Substances 0.000 description 11
- 238000000034 method Methods 0.000 description 11
- 239000011787 zinc oxide Substances 0.000 description 11
- -1 aliphatic carboxylic acid zinc salt Chemical class 0.000 description 10
- 239000006229 carbon black Substances 0.000 description 10
- 239000000835 fiber Substances 0.000 description 8
- NINIDFKCEFEMDL-UHFFFAOYSA-N Sulfur Chemical compound [S] NINIDFKCEFEMDL-UHFFFAOYSA-N 0.000 description 7
- 239000003112 inhibitor Substances 0.000 description 7
- 239000010734 process oil Substances 0.000 description 7
- 229910052717 sulfur Inorganic materials 0.000 description 7
- 239000011593 sulfur Substances 0.000 description 7
- OKTJSMMVPCPJKN-UHFFFAOYSA-N Carbon Chemical compound [C] OKTJSMMVPCPJKN-UHFFFAOYSA-N 0.000 description 6
- 238000005299 abrasion Methods 0.000 description 6
- 230000006872 improvement Effects 0.000 description 6
- 238000012360 testing method Methods 0.000 description 6
- 235000019482 Palm oil Nutrition 0.000 description 5
- HCHKCACWOHOZIP-UHFFFAOYSA-N Zinc Chemical compound [Zn] HCHKCACWOHOZIP-UHFFFAOYSA-N 0.000 description 5
- 239000002540 palm oil Substances 0.000 description 5
- 239000011701 zinc Substances 0.000 description 5
- 229910052725 zinc Inorganic materials 0.000 description 5
- 229910052799 carbon Inorganic materials 0.000 description 4
- 239000003795 chemical substances by application Substances 0.000 description 4
- XNGIFLGASWRNHJ-UHFFFAOYSA-N phthalic acid Chemical compound OC(=O)C1=CC=CC=C1C(O)=O XNGIFLGASWRNHJ-UHFFFAOYSA-N 0.000 description 4
- 230000003014 reinforcing effect Effects 0.000 description 4
- 229920005549 butyl rubber Polymers 0.000 description 3
- 125000004432 carbon atom Chemical group C* 0.000 description 3
- 238000013329 compounding Methods 0.000 description 3
- 150000001875 compounds Chemical class 0.000 description 3
- 238000011156 evaluation Methods 0.000 description 3
- 125000000524 functional group Chemical group 0.000 description 3
- 229920003049 isoprene rubber Polymers 0.000 description 3
- 239000000126 substance Substances 0.000 description 3
- 239000004636 vulcanized rubber Substances 0.000 description 3
- WYTZZXDRDKSJID-UHFFFAOYSA-N (3-aminopropyl)triethoxysilane Chemical compound CCO[Si](OCC)(OCC)CCCN WYTZZXDRDKSJID-UHFFFAOYSA-N 0.000 description 2
- LNETULKMXZVUST-UHFFFAOYSA-N 1-naphthoic acid Chemical compound C1=CC=C2C(C(=O)O)=CC=CC2=C1 LNETULKMXZVUST-UHFFFAOYSA-N 0.000 description 2
- IJGRMHOSHXDMSA-UHFFFAOYSA-N Atomic nitrogen Chemical compound N#N IJGRMHOSHXDMSA-UHFFFAOYSA-N 0.000 description 2
- 239000005711 Benzoic acid Substances 0.000 description 2
- 229920002943 EPDM rubber Polymers 0.000 description 2
- 229920000459 Nitrile rubber Polymers 0.000 description 2
- 235000021355 Stearic acid Nutrition 0.000 description 2
- 238000010521 absorption reaction Methods 0.000 description 2
- 239000003963 antioxidant agent Substances 0.000 description 2
- UJMDYLWCYJJYMO-UHFFFAOYSA-N benzene-1,2,3-tricarboxylic acid Chemical compound OC(=O)C1=CC=CC(C(O)=O)=C1C(O)=O UJMDYLWCYJJYMO-UHFFFAOYSA-N 0.000 description 2
- 235000010233 benzoic acid Nutrition 0.000 description 2
- 239000003431 cross linking reagent Substances 0.000 description 2
- 230000009477 glass transition Effects 0.000 description 2
- YDSWCNNOKPMOTP-UHFFFAOYSA-N mellitic acid Chemical compound OC(=O)C1=C(C(O)=O)C(C(O)=O)=C(C(O)=O)C(C(O)=O)=C1C(O)=O YDSWCNNOKPMOTP-UHFFFAOYSA-N 0.000 description 2
- 238000000465 moulding Methods 0.000 description 2
- 229910052757 nitrogen Inorganic materials 0.000 description 2
- QIQXTHQIDYTFRH-UHFFFAOYSA-N octadecanoic acid Chemical compound CCCCCCCCCCCCCCCCCC(O)=O QIQXTHQIDYTFRH-UHFFFAOYSA-N 0.000 description 2
- OQCDKBAXFALNLD-UHFFFAOYSA-N octadecanoic acid Natural products CCCCCCCC(C)CCCCCCCCC(O)=O OQCDKBAXFALNLD-UHFFFAOYSA-N 0.000 description 2
- 239000003346 palm kernel oil Substances 0.000 description 2
- 235000019865 palm kernel oil Nutrition 0.000 description 2
- 239000002245 particle Substances 0.000 description 2
- 229920001084 poly(chloroprene) Polymers 0.000 description 2
- 239000000843 powder Substances 0.000 description 2
- 239000008117 stearic acid Substances 0.000 description 2
- ARCGXLSVLAOJQL-UHFFFAOYSA-N trimellitic acid Chemical compound OC(=O)C1=CC=C(C(O)=O)C(C(O)=O)=C1 ARCGXLSVLAOJQL-UHFFFAOYSA-N 0.000 description 2
- 235000015112 vegetable and seed oil Nutrition 0.000 description 2
- 239000008158 vegetable oil Substances 0.000 description 2
- 239000003981 vehicle Substances 0.000 description 2
- OWRCNXZUPFZXOS-UHFFFAOYSA-N 1,3-diphenylguanidine Chemical compound C=1C=CC=CC=1NC(=N)NC1=CC=CC=C1 OWRCNXZUPFZXOS-UHFFFAOYSA-N 0.000 description 1
- GOJUJUVQIVIZAV-UHFFFAOYSA-N 2-amino-4,6-dichloropyrimidine-5-carbaldehyde Chemical group NC1=NC(Cl)=C(C=O)C(Cl)=N1 GOJUJUVQIVIZAV-UHFFFAOYSA-N 0.000 description 1
- IKBFHCBHLOZDKH-UHFFFAOYSA-N 2-chloroethyl(triethoxy)silane Chemical compound CCO[Si](CCCl)(OCC)OCC IKBFHCBHLOZDKH-UHFFFAOYSA-N 0.000 description 1
- CASYTJWXPQRCFF-UHFFFAOYSA-N 2-chloroethyl(trimethoxy)silane Chemical compound CO[Si](OC)(OC)CCCl CASYTJWXPQRCFF-UHFFFAOYSA-N 0.000 description 1
- DVNPFNZTPMWRAX-UHFFFAOYSA-N 2-triethoxysilylethanethiol Chemical compound CCO[Si](CCS)(OCC)OCC DVNPFNZTPMWRAX-UHFFFAOYSA-N 0.000 description 1
- LOSLJXKHQKRRFN-UHFFFAOYSA-N 2-trimethoxysilylethanethiol Chemical compound CO[Si](OC)(OC)CCS LOSLJXKHQKRRFN-UHFFFAOYSA-N 0.000 description 1
- KQVVPOMBWBKNRS-UHFFFAOYSA-N 3-(1,3-benzothiazol-2-yl)propyl-triethoxysilane Chemical compound C1=CC=C2SC(CCC[Si](OCC)(OCC)OCC)=NC2=C1 KQVVPOMBWBKNRS-UHFFFAOYSA-N 0.000 description 1
- HFGLXKZGFFRQAR-UHFFFAOYSA-N 3-(1,3-benzothiazol-2-yltetrasulfanyl)propyl-trimethoxysilane Chemical compound C1=CC=C2SC(SSSSCCC[Si](OC)(OC)OC)=NC2=C1 HFGLXKZGFFRQAR-UHFFFAOYSA-N 0.000 description 1
- OXYZDRAJMHGSMW-UHFFFAOYSA-N 3-chloropropyl(trimethoxy)silane Chemical compound CO[Si](OC)(OC)CCCCl OXYZDRAJMHGSMW-UHFFFAOYSA-N 0.000 description 1
- MIIBUHIQXLFJFP-UHFFFAOYSA-N 3-methyl-1-[[3-[(3-methyl-2,5-dioxopyrrol-1-yl)methyl]phenyl]methyl]pyrrole-2,5-dione Chemical compound O=C1C(C)=CC(=O)N1CC1=CC=CC(CN2C(C(C)=CC2=O)=O)=C1 MIIBUHIQXLFJFP-UHFFFAOYSA-N 0.000 description 1
- DCQBZYNUSLHVJC-UHFFFAOYSA-N 3-triethoxysilylpropane-1-thiol Chemical compound CCO[Si](OCC)(OCC)CCCS DCQBZYNUSLHVJC-UHFFFAOYSA-N 0.000 description 1
- ZSFMFCWJHYPFPG-UHFFFAOYSA-N 3-triethoxysilylpropyl 2-methylthiirane-2-carboxylate Chemical compound CCO[Si](OCC)(OCC)CCCOC(=O)C1(C)CS1 ZSFMFCWJHYPFPG-UHFFFAOYSA-N 0.000 description 1
- SJECZPVISLOESU-UHFFFAOYSA-N 3-trimethoxysilylpropan-1-amine Chemical compound CO[Si](OC)(OC)CCCN SJECZPVISLOESU-UHFFFAOYSA-N 0.000 description 1
- UUEWCQRISZBELL-UHFFFAOYSA-N 3-trimethoxysilylpropane-1-thiol Chemical compound CO[Si](OC)(OC)CCCS UUEWCQRISZBELL-UHFFFAOYSA-N 0.000 description 1
- AKQWHIMDQYDQSR-UHFFFAOYSA-N 3-trimethoxysilylpropyl 2-methylthiirane-2-carboxylate Chemical compound CO[Si](OC)(OC)CCCOC(=O)C1(C)CS1 AKQWHIMDQYDQSR-UHFFFAOYSA-N 0.000 description 1
- ZZMVLMVFYMGSMY-UHFFFAOYSA-N 4-n-(4-methylpentan-2-yl)-1-n-phenylbenzene-1,4-diamine Chemical compound C1=CC(NC(C)CC(C)C)=CC=C1NC1=CC=CC=C1 ZZMVLMVFYMGSMY-UHFFFAOYSA-N 0.000 description 1
- 235000019489 Almond oil Nutrition 0.000 description 1
- FSPIGXNLDXWYKZ-UHFFFAOYSA-N CCO[Si](CCC[S+]=C(N(C)C)SSSSC(N(C)C)=[S+]CCC[Si](OCC)(OCC)OCC)(OCC)OCC Chemical compound CCO[Si](CCC[S+]=C(N(C)C)SSSSC(N(C)C)=[S+]CCC[Si](OCC)(OCC)OCC)(OCC)OCC FSPIGXNLDXWYKZ-UHFFFAOYSA-N 0.000 description 1
- SXLPVOKGQWNWFD-UHFFFAOYSA-N CCO[Si](CC[S+]=C(N(C)C)SSSSC(N(C)C)=[S+]CC[Si](OCC)(OCC)OCC)(OCC)OCC Chemical compound CCO[Si](CC[S+]=C(N(C)C)SSSSC(N(C)C)=[S+]CC[Si](OCC)(OCC)OCC)(OCC)OCC SXLPVOKGQWNWFD-UHFFFAOYSA-N 0.000 description 1
- SKFGZHGVWONCTD-UHFFFAOYSA-N CN(C)C(SSSSC(N(C)C)=[S+]CCC[Si](OC)(OC)OC)=[S+]CCC[Si](OC)(OC)OC Chemical compound CN(C)C(SSSSC(N(C)C)=[S+]CCC[Si](OC)(OC)OC)=[S+]CCC[Si](OC)(OC)OC SKFGZHGVWONCTD-UHFFFAOYSA-N 0.000 description 1
- 102000002322 Egg Proteins Human genes 0.000 description 1
- 108010000912 Egg Proteins Proteins 0.000 description 1
- 239000006237 Intermediate SAF Substances 0.000 description 1
- 240000007594 Oryza sativa Species 0.000 description 1
- 235000007164 Oryza sativa Nutrition 0.000 description 1
- 235000019483 Peanut oil Nutrition 0.000 description 1
- 235000019484 Rapeseed oil Nutrition 0.000 description 1
- 230000001133 acceleration Effects 0.000 description 1
- 239000012190 activator Substances 0.000 description 1
- 239000000654 additive Substances 0.000 description 1
- 239000000853 adhesive Substances 0.000 description 1
- 230000001070 adhesive effect Effects 0.000 description 1
- 125000001931 aliphatic group Chemical group 0.000 description 1
- 125000003545 alkoxy group Chemical group 0.000 description 1
- 125000005370 alkoxysilyl group Chemical group 0.000 description 1
- 125000000217 alkyl group Chemical group 0.000 description 1
- 239000008168 almond oil Substances 0.000 description 1
- 125000003277 amino group Chemical group 0.000 description 1
- 239000010775 animal oil Substances 0.000 description 1
- 230000003712 anti-aging effect Effects 0.000 description 1
- 235000015278 beef Nutrition 0.000 description 1
- 239000010495 camellia oil Substances 0.000 description 1
- 239000000828 canola oil Substances 0.000 description 1
- 235000019519 canola oil Nutrition 0.000 description 1
- 125000002915 carbonyl group Chemical group [*:2]C([*:1])=O 0.000 description 1
- 150000001732 carboxylic acid derivatives Chemical class 0.000 description 1
- 239000004359 castor oil Substances 0.000 description 1
- 235000019438 castor oil Nutrition 0.000 description 1
- 125000001309 chloro group Chemical group Cl* 0.000 description 1
- 235000019868 cocoa butter Nutrition 0.000 description 1
- 229940110456 cocoa butter Drugs 0.000 description 1
- 235000012343 cottonseed oil Nutrition 0.000 description 1
- 239000002385 cottonseed oil Substances 0.000 description 1
- 230000001808 coupling effect Effects 0.000 description 1
- 238000004132 cross linking Methods 0.000 description 1
- 125000004122 cyclic group Chemical group 0.000 description 1
- 125000000753 cycloalkyl group Chemical group 0.000 description 1
- 230000003247 decreasing effect Effects 0.000 description 1
- 235000014113 dietary fatty acids Nutrition 0.000 description 1
- WHGNXNCOTZPEEK-UHFFFAOYSA-N dimethoxy-methyl-[3-(oxiran-2-ylmethoxy)propyl]silane Chemical compound CO[Si](C)(OC)CCCOCC1CO1 WHGNXNCOTZPEEK-UHFFFAOYSA-N 0.000 description 1
- GWZCCUDJHOGOSO-UHFFFAOYSA-N diphenic acid Chemical compound OC(=O)C1=CC=CC=C1C1=CC=CC=C1C(O)=O GWZCCUDJHOGOSO-UHFFFAOYSA-N 0.000 description 1
- QXYKBSYRGILOTK-UHFFFAOYSA-L disodium;1,6-bis(sulfonatosulfanyl)hexane Chemical compound [Na+].[Na+].[O-]S(=O)(=O)SCCCCCCSS([O-])(=O)=O QXYKBSYRGILOTK-UHFFFAOYSA-L 0.000 description 1
- 238000009826 distribution Methods 0.000 description 1
- 239000000428 dust Substances 0.000 description 1
- 210000003278 egg shell Anatomy 0.000 description 1
- 125000003700 epoxy group Chemical group 0.000 description 1
- 125000004185 ester group Chemical group 0.000 description 1
- NKSJNEHGWDZZQF-UHFFFAOYSA-N ethenyl(trimethoxy)silane Chemical compound CO[Si](OC)(OC)C=C NKSJNEHGWDZZQF-UHFFFAOYSA-N 0.000 description 1
- CWAFVXWRGIEBPL-UHFFFAOYSA-N ethoxysilane Chemical compound CCO[SiH3] CWAFVXWRGIEBPL-UHFFFAOYSA-N 0.000 description 1
- 239000000194 fatty acid Substances 0.000 description 1
- 229930195729 fatty acid Natural products 0.000 description 1
- 150000004665 fatty acids Chemical class 0.000 description 1
- 230000002349 favourable effect Effects 0.000 description 1
- 239000000945 filler Substances 0.000 description 1
- 239000000446 fuel Substances 0.000 description 1
- ZEMPKEQAKRGZGQ-XOQCFJPHSA-N glycerol triricinoleate Natural products CCCCCC[C@@H](O)CC=CCCCCCCCC(=O)OC[C@@H](COC(=O)CCCCCCCC=CC[C@@H](O)CCCCCC)OC(=O)CCCCCCCC=CC[C@H](O)CCCCCC ZEMPKEQAKRGZGQ-XOQCFJPHSA-N 0.000 description 1
- 125000003055 glycidyl group Chemical group C(C1CO1)* 0.000 description 1
- 229920005555 halobutyl Polymers 0.000 description 1
- 125000002887 hydroxy group Chemical group [H]O* 0.000 description 1
- 239000000944 linseed oil Substances 0.000 description 1
- 235000021388 linseed oil Nutrition 0.000 description 1
- 238000004519 manufacturing process Methods 0.000 description 1
- 239000002480 mineral oil Substances 0.000 description 1
- 235000010446 mineral oil Nutrition 0.000 description 1
- 238000005065 mining Methods 0.000 description 1
- PHQOGHDTIVQXHL-UHFFFAOYSA-N n'-(3-trimethoxysilylpropyl)ethane-1,2-diamine Chemical compound CO[Si](OC)(OC)CCCNCCN PHQOGHDTIVQXHL-UHFFFAOYSA-N 0.000 description 1
- 125000000449 nitro group Chemical group [O-][N+](*)=O 0.000 description 1
- ZWLPBLYKEWSWPD-UHFFFAOYSA-N o-toluic acid Chemical compound CC1=CC=CC=C1C(O)=O ZWLPBLYKEWSWPD-UHFFFAOYSA-N 0.000 description 1
- 239000004006 olive oil Substances 0.000 description 1
- 235000008390 olive oil Nutrition 0.000 description 1
- 239000000312 peanut oil Substances 0.000 description 1
- 150000002978 peroxides Chemical class 0.000 description 1
- 239000003208 petroleum Substances 0.000 description 1
- 125000002924 primary amino group Chemical group [H]N([H])* 0.000 description 1
- 230000009467 reduction Effects 0.000 description 1
- 235000009566 rice Nutrition 0.000 description 1
- 238000005096 rolling process Methods 0.000 description 1
- GPNLWUFFWOYKLP-UHFFFAOYSA-N s-(1,3-benzothiazol-2-yl)thiohydroxylamine Chemical compound C1=CC=C2SC(SN)=NC2=C1 GPNLWUFFWOYKLP-UHFFFAOYSA-N 0.000 description 1
- 239000008159 sesame oil Substances 0.000 description 1
- 235000011803 sesame oil Nutrition 0.000 description 1
- 125000005372 silanol group Chemical group 0.000 description 1
- 238000001179 sorption measurement Methods 0.000 description 1
- 239000003549 soybean oil Substances 0.000 description 1
- 235000012424 soybean oil Nutrition 0.000 description 1
- 229920003048 styrene butadiene rubber Polymers 0.000 description 1
- PXQLVRUNWNTZOS-UHFFFAOYSA-N sulfanyl Chemical class [SH] PXQLVRUNWNTZOS-UHFFFAOYSA-N 0.000 description 1
- 238000010059 sulfur vulcanization Methods 0.000 description 1
- 239000003760 tallow Substances 0.000 description 1
- 229920002725 thermoplastic elastomer Polymers 0.000 description 1
- KUAZQDVKQLNFPE-UHFFFAOYSA-N thiram Chemical compound CN(C)C(=S)SSC(=S)N(C)C KUAZQDVKQLNFPE-UHFFFAOYSA-N 0.000 description 1
- 229960002447 thiram Drugs 0.000 description 1
- FPBXRRDHCADTAL-UHFFFAOYSA-N triethoxy(3-nitropropyl)silane Chemical compound CCO[Si](OCC)(OCC)CCC[N+]([O-])=O FPBXRRDHCADTAL-UHFFFAOYSA-N 0.000 description 1
- FJXRKYLOOJTENP-UHFFFAOYSA-N triethoxy-[2-(2-triethoxysilylethyldisulfanyl)ethyl]silane Chemical compound CCO[Si](OCC)(OCC)CCSSCC[Si](OCC)(OCC)OCC FJXRKYLOOJTENP-UHFFFAOYSA-N 0.000 description 1
- ASAOXGWSIOQTDI-UHFFFAOYSA-N triethoxy-[2-(2-triethoxysilylethyltetrasulfanyl)ethyl]silane Chemical compound CCO[Si](OCC)(OCC)CCSSSSCC[Si](OCC)(OCC)OCC ASAOXGWSIOQTDI-UHFFFAOYSA-N 0.000 description 1
- URIYERBJSDIUTC-UHFFFAOYSA-N triethoxy-[2-(2-triethoxysilylethyltrisulfanyl)ethyl]silane Chemical compound CCO[Si](OCC)(OCC)CCSSSCC[Si](OCC)(OCC)OCC URIYERBJSDIUTC-UHFFFAOYSA-N 0.000 description 1
- FBBATURSCRIBHN-UHFFFAOYSA-N triethoxy-[3-(3-triethoxysilylpropyldisulfanyl)propyl]silane Chemical compound CCO[Si](OCC)(OCC)CCCSSCCC[Si](OCC)(OCC)OCC FBBATURSCRIBHN-UHFFFAOYSA-N 0.000 description 1
- VTHOKNTVYKTUPI-UHFFFAOYSA-N triethoxy-[3-(3-triethoxysilylpropyltetrasulfanyl)propyl]silane Chemical compound CCO[Si](OCC)(OCC)CCCSSSSCCC[Si](OCC)(OCC)OCC VTHOKNTVYKTUPI-UHFFFAOYSA-N 0.000 description 1
- KLFNHRIZTXWZHT-UHFFFAOYSA-N triethoxy-[3-(3-triethoxysilylpropyltrisulfanyl)propyl]silane Chemical compound CCO[Si](OCC)(OCC)CCCSSSCCC[Si](OCC)(OCC)OCC KLFNHRIZTXWZHT-UHFFFAOYSA-N 0.000 description 1
- JXUKBNICSRJFAP-UHFFFAOYSA-N triethoxy-[3-(oxiran-2-ylmethoxy)propyl]silane Chemical compound CCO[Si](OCC)(OCC)CCCOCC1CO1 JXUKBNICSRJFAP-UHFFFAOYSA-N 0.000 description 1
- PTRSAJDNBVXVMV-UHFFFAOYSA-N triethoxy-[4-(4-triethoxysilylbutyldisulfanyl)butyl]silane Chemical compound CCO[Si](OCC)(OCC)CCCCSSCCCC[Si](OCC)(OCC)OCC PTRSAJDNBVXVMV-UHFFFAOYSA-N 0.000 description 1
- NOPBHRUFGGDSAD-UHFFFAOYSA-N triethoxy-[4-(4-triethoxysilylbutyltetrasulfanyl)butyl]silane Chemical compound CCO[Si](OCC)(OCC)CCCCSSSSCCCC[Si](OCC)(OCC)OCC NOPBHRUFGGDSAD-UHFFFAOYSA-N 0.000 description 1
- KZAORBYGVQCRQZ-UHFFFAOYSA-N triethoxy-[4-(4-triethoxysilylbutyltrisulfanyl)butyl]silane Chemical compound CCO[Si](OCC)(OCC)CCCCSSSCCCC[Si](OCC)(OCC)OCC KZAORBYGVQCRQZ-UHFFFAOYSA-N 0.000 description 1
- QPPXVBLDIDEHBA-UHFFFAOYSA-N trimethoxy(3-nitropropyl)silane Chemical compound CO[Si](OC)(OC)CCC[N+]([O-])=O QPPXVBLDIDEHBA-UHFFFAOYSA-N 0.000 description 1
- JQBSHJQOBJRYIX-UHFFFAOYSA-N trimethoxy-[2-(2-trimethoxysilylethyldisulfanyl)ethyl]silane Chemical compound CO[Si](OC)(OC)CCSSCC[Si](OC)(OC)OC JQBSHJQOBJRYIX-UHFFFAOYSA-N 0.000 description 1
- JSXKIRYGYMKWSK-UHFFFAOYSA-N trimethoxy-[2-(2-trimethoxysilylethyltetrasulfanyl)ethyl]silane Chemical compound CO[Si](OC)(OC)CCSSSSCC[Si](OC)(OC)OC JSXKIRYGYMKWSK-UHFFFAOYSA-N 0.000 description 1
- XHKVDRDQEVZMGO-UHFFFAOYSA-N trimethoxy-[2-(2-trimethoxysilylethyltrisulfanyl)ethyl]silane Chemical compound CO[Si](OC)(OC)CCSSSCC[Si](OC)(OC)OC XHKVDRDQEVZMGO-UHFFFAOYSA-N 0.000 description 1
- NQRACKNXKKOCJY-UHFFFAOYSA-N trimethoxy-[3-(3-trimethoxysilylpropyldisulfanyl)propyl]silane Chemical compound CO[Si](OC)(OC)CCCSSCCC[Si](OC)(OC)OC NQRACKNXKKOCJY-UHFFFAOYSA-N 0.000 description 1
- JTTSZDBCLAKKAY-UHFFFAOYSA-N trimethoxy-[3-(3-trimethoxysilylpropyltetrasulfanyl)propyl]silane Chemical compound CO[Si](OC)(OC)CCCSSSSCCC[Si](OC)(OC)OC JTTSZDBCLAKKAY-UHFFFAOYSA-N 0.000 description 1
- BPSIOYPQMFLKFR-UHFFFAOYSA-N trimethoxy-[3-(oxiran-2-ylmethoxy)propyl]silane Chemical compound CO[Si](OC)(OC)CCCOCC1CO1 BPSIOYPQMFLKFR-UHFFFAOYSA-N 0.000 description 1
- BNBXBRPOAJZBNB-UHFFFAOYSA-N trimethoxy-[4-(4-trimethoxysilylbutyldisulfanyl)butyl]silane Chemical compound CO[Si](OC)(OC)CCCCSSCCCC[Si](OC)(OC)OC BNBXBRPOAJZBNB-UHFFFAOYSA-N 0.000 description 1
- GSZUEPNJCPXEGU-UHFFFAOYSA-N trimethoxy-[4-(4-trimethoxysilylbutyltrisulfanyl)butyl]silane Chemical compound CO[Si](OC)(OC)CCCCSSSCCCC[Si](OC)(OC)OC GSZUEPNJCPXEGU-UHFFFAOYSA-N 0.000 description 1
- 125000000391 vinyl group Chemical group [H]C([*])=C([H])[H] 0.000 description 1
- 229920002554 vinyl polymer Polymers 0.000 description 1
- JDLYKQWJXAQNNS-UHFFFAOYSA-L zinc;dibenzoate Chemical compound [Zn+2].[O-]C(=O)C1=CC=CC=C1.[O-]C(=O)C1=CC=CC=C1 JDLYKQWJXAQNNS-UHFFFAOYSA-L 0.000 description 1
Classifications
-
- C—CHEMISTRY; METALLURGY
- C08—ORGANIC MACROMOLECULAR COMPOUNDS; THEIR PREPARATION OR CHEMICAL WORKING-UP; COMPOSITIONS BASED THEREON
- C08L—COMPOSITIONS OF MACROMOLECULAR COMPOUNDS
- C08L9/00—Compositions of homopolymers or copolymers of conjugated diene hydrocarbons
-
- B—PERFORMING OPERATIONS; TRANSPORTING
- B60—VEHICLES IN GENERAL
- B60C—VEHICLE TYRES; TYRE INFLATION; TYRE CHANGING; CONNECTING VALVES TO INFLATABLE ELASTIC BODIES IN GENERAL; DEVICES OR ARRANGEMENTS RELATED TO TYRES
- B60C1/00—Tyres characterised by the chemical composition or the physical arrangement or mixture of the composition
- B60C1/0016—Compositions of the tread
-
- C—CHEMISTRY; METALLURGY
- C08—ORGANIC MACROMOLECULAR COMPOUNDS; THEIR PREPARATION OR CHEMICAL WORKING-UP; COMPOSITIONS BASED THEREON
- C08K—Use of inorganic or non-macromolecular organic substances as compounding ingredients
- C08K3/00—Use of inorganic substances as compounding ingredients
- C08K3/02—Elements
- C08K3/04—Carbon
-
- C—CHEMISTRY; METALLURGY
- C08—ORGANIC MACROMOLECULAR COMPOUNDS; THEIR PREPARATION OR CHEMICAL WORKING-UP; COMPOSITIONS BASED THEREON
- C08K—Use of inorganic or non-macromolecular organic substances as compounding ingredients
- C08K5/00—Use of organic ingredients
- C08K5/0008—Organic ingredients according to more than one of the "one dot" groups of C08K5/01 - C08K5/59
- C08K5/0016—Plasticisers
-
- C—CHEMISTRY; METALLURGY
- C08—ORGANIC MACROMOLECULAR COMPOUNDS; THEIR PREPARATION OR CHEMICAL WORKING-UP; COMPOSITIONS BASED THEREON
- C08K—Use of inorganic or non-macromolecular organic substances as compounding ingredients
- C08K5/00—Use of organic ingredients
- C08K5/01—Hydrocarbons
-
- C—CHEMISTRY; METALLURGY
- C08—ORGANIC MACROMOLECULAR COMPOUNDS; THEIR PREPARATION OR CHEMICAL WORKING-UP; COMPOSITIONS BASED THEREON
- C08K—Use of inorganic or non-macromolecular organic substances as compounding ingredients
- C08K5/00—Use of organic ingredients
- C08K5/04—Oxygen-containing compounds
- C08K5/09—Carboxylic acids; Metal salts thereof; Anhydrides thereof
- C08K5/098—Metal salts of carboxylic acids
-
- C—CHEMISTRY; METALLURGY
- C08—ORGANIC MACROMOLECULAR COMPOUNDS; THEIR PREPARATION OR CHEMICAL WORKING-UP; COMPOSITIONS BASED THEREON
- C08L—COMPOSITIONS OF MACROMOLECULAR COMPOUNDS
- C08L7/00—Compositions of natural rubber
-
- C—CHEMISTRY; METALLURGY
- C08—ORGANIC MACROMOLECULAR COMPOUNDS; THEIR PREPARATION OR CHEMICAL WORKING-UP; COMPOSITIONS BASED THEREON
- C08L—COMPOSITIONS OF MACROMOLECULAR COMPOUNDS
- C08L2666/00—Composition of polymers characterized by a further compound in the blend, being organic macromolecular compounds, natural resins, waxes or and bituminous materials, non-macromolecular organic substances, inorganic substances or characterized by their function in the composition
- C08L2666/02—Organic macromolecular compounds, natural resins, waxes or and bituminous materials
- C08L2666/04—Macromolecular compounds according to groups C08L7/00 - C08L49/00, or C08L55/00 - C08L57/00; Derivatives thereof
- C08L2666/08—Homopolymers or copolymers according to C08L7/00 - C08L21/00; Derivatives thereof
Landscapes
- Chemical & Material Sciences (AREA)
- Health & Medical Sciences (AREA)
- Chemical Kinetics & Catalysis (AREA)
- Medicinal Chemistry (AREA)
- Polymers & Plastics (AREA)
- Organic Chemistry (AREA)
- Engineering & Computer Science (AREA)
- Mechanical Engineering (AREA)
- Compositions Of Macromolecular Compounds (AREA)
- Tires In General (AREA)
Abstract
【解決手段】脂肪族カルボン酸の亜鉛塩と芳香族カルボン酸の亜鉛塩との混合物、及びオイル又は可塑剤を含み、ゴム成分100質量%中にブタジエンゴムを40質量%以上含むスタッドレスタイヤ用ゴム組成物。
【選択図】なし
Description
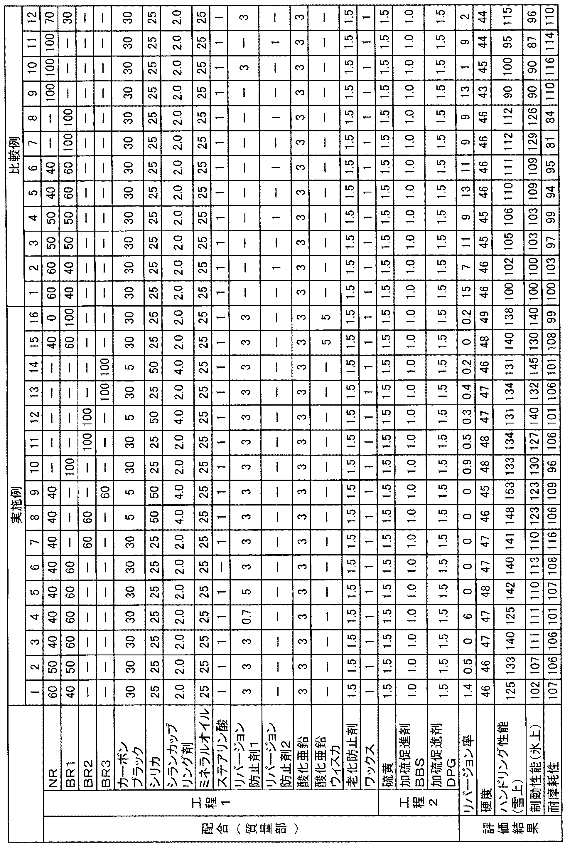
上記ゴム組成物は、更に、シリカをゴム成分100質量部に対して10質量部以上含むことが好ましい。
本発明はまた、上記ゴム組成物をトレッドに用いたスタッドレスタイヤでもある。
シランカップリング剤としては、ゴム工業において、従来からシリカと併用される任意のシランカップリング剤を使用することができ、例えば、ビス(3−トリエトキシシリルプロピル)テトラスルフィド、ビス(2−トリエトキシシリルエチル)テトラスルフィド、ビス(4−トリエトキシシリルブチル)テトラスルフィド、ビス(3−トリメトキシシリルプロピル)テトラスルフィド、ビス(2−トリメトキシシリルエチル)テトラスルフィド、ビス(4−トリメトキシシリルブチル)テトラスルフィド、ビス(3−トリエトキシシリルプロピル)トリスルフィド、ビス(2−トリエトキシシリルエチル)トリスルフィド、ビス(4−トリエトキシシリルブチル)トリスルフィド、ビス(3−トリメトキシシリルプロピル)トリスルフィド、ビス(2−トリメトキシシリルエチル)トリスルフィド、ビス(4−トリメトキシシリルブチル)トリスルフィド、ビス(3−トリエトキシシリルプロピル)ジスルフィド、ビス(2−トリエトキシシリルエチル)ジスルフィド、ビス(4−トリエトキシシリルブチル)ジスルフィド、ビス(3−トリメトキシシリルプロピル)ジスルフィド、ビス(2−トリメトキシシリルエチル)ジスルフィド、ビス(4−トリメトキシシリルブチル)ジスルフィド、3−トリメトキシシリルプロピル−N,N−ジメチルチオカルバモイルテトラスルフィド、3−トリエトキシシリルプロピル−N,N−ジメチルチオカルバモイルテトラスルフィド、2−トリエトキシシリルエチル−N,N−ジメチルチオカルバモイルテトラスルフィド、2−トリメトキシシリルエチル−N,N−ジメチルチオカルバモイルテトラスルフィド、3−トリメトキシシリルプロピルベンゾチアゾリルテトラスルフィド、3−トリエトキシシリルプロピルベンゾチアゾールテトラスルフィド、3−トリエトキシシリルプロピルメタクリレートモノスルフィド、3−トリメトキシシリルプロピルメタクリレートモノスルフィド等のスルフィド系、3−メルカプトプロピルトリメトキシシラン、3−メルカプトプロピルトリエトキシシラン、2−メルカプトエチルトリメトキシシラン、2−メルカプトエチルトリエトキシシラン等のメルカプト系、ビニルトリエトキシシラン、ビニルトリメトキシシラン等のビニル系、3−アミノプロピルトリエトキシシラン、3−アミノプロピルトリメトキシシラン、3−(2−アミノエチル)アミノプロピルトリエトキシシラン、3−(2−アミノエチル)アミノプロピルトリメトキシシラン等のアミノ系、γ−グリシドキシプロピルトリエトキシシラン、γ−グリシドキシプロピルトリメトキシシラン、γ−グリシドキシプロピルメチルジエトキシシラン、γ−グリシドキシプロピルメチルジメトキシシラン等のグリシドキシ系、3−ニトロプロピルトリメトキシシラン、3−ニトロプロピルトリエトキシシラン等のニトロ系、3−クロロプロピルトリメトキシシラン、3−クロロプロピルトリエトキシシラン、2−クロロエチルトリメトキシシラン、2−クロロエチルトリエトキシシラン等のクロロ系等が挙げられる。これらのシランカップリング剤は、単独で用いてもよく、2種以上を組み合わせて用いてもよい。
天然ゴム(NR):RSS#3
BR1:宇部興産株式会社製のBR150B(シス1,4結合量97%、ML1+4(100℃)40、25℃における5%トルエン溶液粘度48cps、Mw/Mn3.3)
BR2:宇部興産株式会社製のBR360L(シス1,4結合量98%、ML1+4(100℃)51、25℃における5%トルエン溶液粘度124cps、Mw/Mn2.4)
BR3:宇部興産株式会社製のBR A(試作品、シス1,4結合量98%、ML1+4(100℃)47、25℃における5%トルエン溶液粘度122cps、Mw/Mn3.3)
カーボンブラック:三菱化学株式会社製のダイアブラックI(ISAFカーボン、平均粒子径23nm、DBP吸油量114ml/100g)
シリカ:デグッサ社製のUltrasil VN3(N2SA:175m2/g)
シランカップリング剤:デグッサ社製のSi−69
ミネラルオイル:出光興産社製のPS−32(パラフィン系プロセスオイル)
ステアリン酸:日本油脂(株)製の桐
リバージョン防止剤1(脂肪族カルボン酸の亜鉛塩及び芳香族カルボン酸の亜鉛塩の混合物):ストラクトール社製のアクチベーター73A((i)脂肪族カルボン酸亜鉛塩:やし油由来の脂肪酸(炭素数:8〜12)の亜鉛塩、(ii)芳香族カルボン酸亜鉛塩:安息香酸亜鉛、含有モル比率:1/1、亜鉛含有率:17質量%)
リバージョン防止剤2:フレキシス社製のパーカリンク900(1,3−ビス(シトラコンイミドメチル)ベンゼン)
酸化亜鉛:三井金属鉱業(株)製の酸化亜鉛2種
酸化亜鉛ウィスカ:アムテック(株)製のパナテトラWZ−0501(突起の数4個、針状短繊維長2〜50μm、針状短繊維径(平均値)0.2〜3.0μm)
老化防止剤:大内新興化学工業(株)製のノクラック6C(N−(1,3−ジメチルブチル)−N’−フェニル−p−フェニレンジアミン)
ワックス:日本精蝋(株)製のオゾエースワックス
硫黄:鶴見化学工業(株)製の粉末硫黄
加硫促進剤BBS:大内新興化学工業(株)製のノクセラーNS(N−tert−ブチル−2−ベンゾチアゾリルスルフェンアミド)
加硫促進剤DPG:大内新興化学工業(株)製のノクセラーD(N,N’−ジフェニルグアニジン)
バンバリーミキサーを用いて、表1の工程1に示す配合量の薬品を投入して、排出温度が約150℃となるよう5分間混練りした。その後、工程1により得られた混合物に対して、工程2に示す配合量の硫黄及び加硫促進剤を加え、オープンロールを用いて、約80℃の条件下で3分混練りして、未加硫ゴム組成物を得た。得られた未加硫ゴム組成物をトレッド形状に成形して、他のタイヤ部材と貼り合わせ、170℃で15分間加硫することにより、実施例1〜16及び比較例1〜12のスタッドレスタイヤを作製した。
キュラストメーターを用い、170℃における未加硫ゴム組成物の加硫曲線を測定した。最大トルク上昇値(MH−ML)を100として、加硫開始時点から15分後のトルク上昇値を相対値で示し、相対値を100から引いた値をリバージョン率とした。リバージョン率が小さいほど、リバージョンが抑制され、良好であることを示す。
JIS K6253の「加硫ゴム及び熱可塑性ゴムの硬さ試験方法」に従って、タイプAデュロメーターにより、各実施例及び比較例の加硫ゴム試験片の硬度を測定した。
各実施例及び比較例のスタッドレスタイヤを用いて、下記の条件で雪氷上で実車性能を評価した。なお、スタッドレスタイヤとして、195/65R15サイズのDS−2パターンの乗用車用スタッドレスタイヤを製造し、これらのタイヤを国産2000ccのFR車に装着した。試験場所は、住友ゴム工業株式会社の北海道名寄テストコースで行い、氷上気温は−1〜−6℃、雪上気温は−2〜−10℃であった。
・ハンドリング性能(フィーリング評価):上記車両を用いて発進、加速及び停止についてフィーリングによる評価を行った。フィーリング評価は、比較例1を100とした基準とし、明らかに性能が向上したとテストドライバーが判断したものを120、これまでで全く見られなかった良いレベルであるものを140とするような評点付けを行った。
・制動性能(氷上制動停止距離):時速30km/hでロックブレーキを踏み停止させるまでに要した氷上の停止距離を測定した。そして、比較例1をリファレンスとして、下記式から算出した。
(制動性能指数)=(比較例1の制動停止距離)÷(停止距離)×100
タイヤサイズ195/65R15にて、国産FF車に装着し、走行距離8000km後のタイヤトレッド部の溝探さを測定し、タイヤ溝深さが1mm減るときの走行距離を算出し下記式により指数化した。
(耐摩耗性指数)=(1mm溝深さが減るときの走行距離)÷(比較例1のタイヤ溝が1mm減るときの走行距離)×100
指数が大きいほど、耐摩耗性が良好であることを示す。
従って、特に、BR比率が高くなった際に、耐摩耗性を良好に維持するとともに、優れたハンドリング性能及び氷上制動性能が得られた。
また、酸化亜鉛ウィスカを併用した実施例15と16では氷上制動性能をより一層向上させることができた上に、耐加硫戻り性もより改善できた。
また、BR比率が30質量%と少ない状況でリバージョン防止剤1を配合した比較例12でも、良好な耐加硫戻り性を有しているものの雪上でのハンドリング性能や氷上での制動性能が劣っていた。
Claims (3)
- 脂肪族カルボン酸の亜鉛塩と芳香族カルボン酸の亜鉛塩との混合物、及びオイル又は可塑剤を含み、ゴム成分100質量%中にブタジエンゴムを40質量%以上含むスタッドレスタイヤ用ゴム組成物。
- 更に、シリカをゴム成分100質量部に対して10質量部以上含む請求項1記載のスタッドレスタイヤ用ゴム組成物。
- 請求項1又は2記載のゴム組成物をトレッドに用いたスタッドレスタイヤ。
Priority Applications (4)
| Application Number | Priority Date | Filing Date | Title |
|---|---|---|---|
| JP2008224047A JP4902611B2 (ja) | 2008-09-01 | 2008-09-01 | スタッドレスタイヤ用ゴム組成物及びスタッドレスタイヤ |
| CN200910142460A CN101665592A (zh) | 2008-09-01 | 2009-06-09 | 无钉防滑轮胎用橡胶组合物及用该组合物的无钉防滑轮胎 |
| US12/484,369 US8859660B2 (en) | 2008-09-01 | 2009-06-15 | Rubber composition for studless tire and studless tire using the same |
| DE102009033610A DE102009033610A1 (de) | 2008-09-01 | 2009-07-17 | Kautschukzusammensetzung für einen Winterreifen und Winterreifen unter Verwendung desselben |
Applications Claiming Priority (1)
| Application Number | Priority Date | Filing Date | Title |
|---|---|---|---|
| JP2008224047A JP4902611B2 (ja) | 2008-09-01 | 2008-09-01 | スタッドレスタイヤ用ゴム組成物及びスタッドレスタイヤ |
Related Child Applications (1)
| Application Number | Title | Priority Date | Filing Date |
|---|---|---|---|
| JP2011289450A Division JP5421351B2 (ja) | 2011-12-28 | 2011-12-28 | スタッドレスタイヤ用ゴム組成物及びスタッドレスタイヤ |
Publications (2)
| Publication Number | Publication Date |
|---|---|
| JP2010059251A true JP2010059251A (ja) | 2010-03-18 |
| JP4902611B2 JP4902611B2 (ja) | 2012-03-21 |
Family
ID=41606325
Family Applications (1)
| Application Number | Title | Priority Date | Filing Date |
|---|---|---|---|
| JP2008224047A Expired - Fee Related JP4902611B2 (ja) | 2008-09-01 | 2008-09-01 | スタッドレスタイヤ用ゴム組成物及びスタッドレスタイヤ |
Country Status (4)
| Country | Link |
|---|---|
| US (1) | US8859660B2 (ja) |
| JP (1) | JP4902611B2 (ja) |
| CN (1) | CN101665592A (ja) |
| DE (1) | DE102009033610A1 (ja) |
Cited By (7)
| Publication number | Priority date | Publication date | Assignee | Title |
|---|---|---|---|---|
| JP2010059250A (ja) * | 2008-09-01 | 2010-03-18 | Sumitomo Rubber Ind Ltd | トラック・バス用またはライトトラック用スタッドレスタイヤ |
| JP2010215884A (ja) * | 2009-02-17 | 2010-09-30 | Ube Ind Ltd | タイヤ用ゴム組成物及びそれを用いたタイヤ |
| JP2011016976A (ja) * | 2009-06-12 | 2011-01-27 | Sumitomo Rubber Ind Ltd | スタッドレスタイヤ用ゴム組成物及びスタッドレスタイヤ |
| JP2011074324A (ja) * | 2009-10-01 | 2011-04-14 | Sumitomo Rubber Ind Ltd | トレッド用ゴム組成物及び空気入りタイヤ |
| JP2011105789A (ja) * | 2009-11-12 | 2011-06-02 | Sumitomo Rubber Ind Ltd | スタッドレスタイヤ用ゴム組成物及びスタッドレスタイヤ |
| JP2012046565A (ja) * | 2010-08-24 | 2012-03-08 | Sumitomo Rubber Ind Ltd | スタッドレスタイヤ用ゴム組成物及びスタッドレスタイヤ |
| JP2018035207A (ja) * | 2016-08-29 | 2018-03-08 | 住友ゴム工業株式会社 | ゴム組成物 |
Families Citing this family (2)
| Publication number | Priority date | Publication date | Assignee | Title |
|---|---|---|---|---|
| ITTV20110032A1 (it) * | 2011-03-03 | 2012-09-04 | Marco Cisolla | Miscela a base idrocarburi per il miglioramento delle proprieta' della gomma sintetica |
| JP7200591B2 (ja) * | 2018-10-15 | 2023-01-10 | 住友ゴム工業株式会社 | スタッドレスタイヤ用トレッドゴム組成物 |
Citations (3)
| Publication number | Priority date | Publication date | Assignee | Title |
|---|---|---|---|---|
| JP2002097304A (ja) * | 2000-09-21 | 2002-04-02 | Ohtsu Tire & Rubber Co Ltd :The | タイヤトレッド用ゴム組成物 |
| JP2006063094A (ja) * | 2004-08-24 | 2006-03-09 | Sumitomo Rubber Ind Ltd | タイヤトレッド用ゴム組成物および空気入りタイヤ |
| JP2007321041A (ja) * | 2006-05-31 | 2007-12-13 | Sumitomo Rubber Ind Ltd | ゴム組成物およびそれを用いた空気入りタイヤ |
Family Cites Families (12)
| Publication number | Priority date | Publication date | Assignee | Title |
|---|---|---|---|---|
| US5302315A (en) * | 1988-09-20 | 1994-04-12 | Schill & Seilacher (Gmbh & Co.) | Vulcanization activator method |
| JP3406105B2 (ja) | 1995-01-13 | 2003-05-12 | 横浜ゴム株式会社 | 空気入りタイヤ |
| KR100193491B1 (ko) * | 1995-06-21 | 1999-06-15 | 신형인 | 항공기 타이어용 카카스에 쓰이는 항-리버전 고무조성물 |
| JP3654865B2 (ja) | 2002-01-17 | 2005-06-02 | 住友ゴム工業株式会社 | ゴム組成物 |
| EP1497363B1 (en) * | 2002-04-23 | 2013-06-12 | Pirelli Tyre S.p.A. | Tyre comprising an elastomeric composition having a high wear resistance |
| EP1505112B1 (en) * | 2003-08-06 | 2011-08-24 | Sumitomo Rubber Industries Limited | Rubber composition for tire and pneumatic tire using the same |
| JP2007176417A (ja) | 2005-12-28 | 2007-07-12 | Sumitomo Rubber Ind Ltd | スタッドレスタイヤ |
| RU2394051C2 (ru) | 2006-01-06 | 2010-07-10 | Сумитомо Раббер Индастриз, Лтд. | Резиновая смесь для протектора |
| JP2007204735A (ja) | 2006-01-06 | 2007-08-16 | Sumitomo Rubber Ind Ltd | トレッド用ゴム組成物 |
| JP4124273B2 (ja) * | 2006-01-16 | 2008-07-23 | 宇部興産株式会社 | タイヤ用ゴム組成物及びタイヤ |
| JP5281032B2 (ja) * | 2009-06-12 | 2013-09-04 | 住友ゴム工業株式会社 | スタッドレスタイヤ用ゴム組成物及びスタッドレスタイヤ |
| JP4943491B2 (ja) * | 2009-11-12 | 2012-05-30 | 住友ゴム工業株式会社 | スタッドレスタイヤ用ゴム組成物及びスタッドレスタイヤ |
-
2008
- 2008-09-01 JP JP2008224047A patent/JP4902611B2/ja not_active Expired - Fee Related
-
2009
- 2009-06-09 CN CN200910142460A patent/CN101665592A/zh active Pending
- 2009-06-15 US US12/484,369 patent/US8859660B2/en not_active Expired - Fee Related
- 2009-07-17 DE DE102009033610A patent/DE102009033610A1/de not_active Ceased
Patent Citations (3)
| Publication number | Priority date | Publication date | Assignee | Title |
|---|---|---|---|---|
| JP2002097304A (ja) * | 2000-09-21 | 2002-04-02 | Ohtsu Tire & Rubber Co Ltd :The | タイヤトレッド用ゴム組成物 |
| JP2006063094A (ja) * | 2004-08-24 | 2006-03-09 | Sumitomo Rubber Ind Ltd | タイヤトレッド用ゴム組成物および空気入りタイヤ |
| JP2007321041A (ja) * | 2006-05-31 | 2007-12-13 | Sumitomo Rubber Ind Ltd | ゴム組成物およびそれを用いた空気入りタイヤ |
Cited By (9)
| Publication number | Priority date | Publication date | Assignee | Title |
|---|---|---|---|---|
| JP2010059250A (ja) * | 2008-09-01 | 2010-03-18 | Sumitomo Rubber Ind Ltd | トラック・バス用またはライトトラック用スタッドレスタイヤ |
| JP2010215884A (ja) * | 2009-02-17 | 2010-09-30 | Ube Ind Ltd | タイヤ用ゴム組成物及びそれを用いたタイヤ |
| JP2011016976A (ja) * | 2009-06-12 | 2011-01-27 | Sumitomo Rubber Ind Ltd | スタッドレスタイヤ用ゴム組成物及びスタッドレスタイヤ |
| JP2011074324A (ja) * | 2009-10-01 | 2011-04-14 | Sumitomo Rubber Ind Ltd | トレッド用ゴム組成物及び空気入りタイヤ |
| JP2011105789A (ja) * | 2009-11-12 | 2011-06-02 | Sumitomo Rubber Ind Ltd | スタッドレスタイヤ用ゴム組成物及びスタッドレスタイヤ |
| US8329799B2 (en) | 2009-11-12 | 2012-12-11 | Sumitomo Rubber Industries, Ltd. | Rubber composition for studless tire and studless tire |
| JP2012046565A (ja) * | 2010-08-24 | 2012-03-08 | Sumitomo Rubber Ind Ltd | スタッドレスタイヤ用ゴム組成物及びスタッドレスタイヤ |
| US8567462B2 (en) | 2010-08-24 | 2013-10-29 | Sumitomo Rubber Industries, Ltd. | Rubber composition for studless tire and studless tire |
| JP2018035207A (ja) * | 2016-08-29 | 2018-03-08 | 住友ゴム工業株式会社 | ゴム組成物 |
Also Published As
| Publication number | Publication date |
|---|---|
| US20100056684A1 (en) | 2010-03-04 |
| JP4902611B2 (ja) | 2012-03-21 |
| DE102009033610A1 (de) | 2010-03-04 |
| CN101665592A (zh) | 2010-03-10 |
| US8859660B2 (en) | 2014-10-14 |
Similar Documents
| Publication | Publication Date | Title |
|---|---|---|
| JP4630362B2 (ja) | 乗用車用スタッドレスタイヤ | |
| JP5281032B2 (ja) | スタッドレスタイヤ用ゴム組成物及びスタッドレスタイヤ | |
| JP4943491B2 (ja) | スタッドレスタイヤ用ゴム組成物及びスタッドレスタイヤ | |
| JP5079261B2 (ja) | ゴム組成物およびそれを用いた空気入りタイヤ | |
| JP4638950B2 (ja) | スタッドレスタイヤ用ゴム組成物及びスタッドレスタイヤ | |
| JP4964851B2 (ja) | スタッドレスタイヤ | |
| JP5409188B2 (ja) | スタッドレスタイヤ用ゴム組成物及びスタッドレスタイヤ | |
| JP4902611B2 (ja) | スタッドレスタイヤ用ゴム組成物及びスタッドレスタイヤ | |
| JP2009035643A (ja) | ビードエイペックス用ゴム組成物およびそれを用いたビードエイペックスを有する空気入りタイヤ | |
| JP5281109B2 (ja) | キャップトレッド用ゴム組成物及びスタッドレスタイヤ | |
| EP2325242B1 (en) | Rubber composition for cap tread and studless tire | |
| JP5508038B2 (ja) | トラック・バス用またはライトトラック用スタッドレスタイヤ | |
| JP5420868B2 (ja) | トラック・バス用またはライトトラック用スタッドレスタイヤ | |
| JP5437705B2 (ja) | トラック・バス用又はライトトラック用スタッドレスタイヤ | |
| JP6769028B2 (ja) | タイヤ | |
| JP5421351B2 (ja) | スタッドレスタイヤ用ゴム組成物及びスタッドレスタイヤ | |
| JP5394681B2 (ja) | トラック・バス用またはライトトラック用スタッドレスタイヤ | |
| JP5373729B2 (ja) | 乗用車用スタッドレスタイヤ | |
| JP5319807B2 (ja) | スタッドレスタイヤ用ゴム組成物及びスタッドレスタイヤ | |
| JP5361270B2 (ja) | ゴム組成物およびそれを用いたタイヤ | |
| JP2010111287A (ja) | スタッドレスタイヤ |
Legal Events
| Date | Code | Title | Description |
|---|---|---|---|
| A977 | Report on retrieval |
Free format text: JAPANESE INTERMEDIATE CODE: A971007 Effective date: 20101215 |
|
| A131 | Notification of reasons for refusal |
Free format text: JAPANESE INTERMEDIATE CODE: A131 Effective date: 20110105 |
|
| A521 | Request for written amendment filed |
Free format text: JAPANESE INTERMEDIATE CODE: A523 Effective date: 20110301 |
|
| RD02 | Notification of acceptance of power of attorney |
Free format text: JAPANESE INTERMEDIATE CODE: A7422 Effective date: 20110301 |
|
| A131 | Notification of reasons for refusal |
Free format text: JAPANESE INTERMEDIATE CODE: A131 Effective date: 20110510 |
|
| A521 | Request for written amendment filed |
Free format text: JAPANESE INTERMEDIATE CODE: A523 Effective date: 20110624 |
|
| A131 | Notification of reasons for refusal |
Free format text: JAPANESE INTERMEDIATE CODE: A131 Effective date: 20110719 |
|
| A521 | Request for written amendment filed |
Free format text: JAPANESE INTERMEDIATE CODE: A523 Effective date: 20110920 |
|
| TRDD | Decision of grant or rejection written | ||
| A01 | Written decision to grant a patent or to grant a registration (utility model) |
Free format text: JAPANESE INTERMEDIATE CODE: A01 Effective date: 20111206 |
|
| A01 | Written decision to grant a patent or to grant a registration (utility model) |
Free format text: JAPANESE INTERMEDIATE CODE: A01 |
|
| A61 | First payment of annual fees (during grant procedure) |
Free format text: JAPANESE INTERMEDIATE CODE: A61 Effective date: 20111228 |
|
| R150 | Certificate of patent or registration of utility model |
Ref document number: 4902611 Country of ref document: JP Free format text: JAPANESE INTERMEDIATE CODE: R150 Free format text: JAPANESE INTERMEDIATE CODE: R150 |
|
| FPAY | Renewal fee payment (event date is renewal date of database) |
Free format text: PAYMENT UNTIL: 20150113 Year of fee payment: 3 |
|
| R250 | Receipt of annual fees |
Free format text: JAPANESE INTERMEDIATE CODE: R250 |
|
| R250 | Receipt of annual fees |
Free format text: JAPANESE INTERMEDIATE CODE: R250 |
|
| R250 | Receipt of annual fees |
Free format text: JAPANESE INTERMEDIATE CODE: R250 |
|
| R250 | Receipt of annual fees |
Free format text: JAPANESE INTERMEDIATE CODE: R250 |
|
| R250 | Receipt of annual fees |
Free format text: JAPANESE INTERMEDIATE CODE: R250 |
|
| R250 | Receipt of annual fees |
Free format text: JAPANESE INTERMEDIATE CODE: R250 |
|
| R250 | Receipt of annual fees |
Free format text: JAPANESE INTERMEDIATE CODE: R250 |
|
| LAPS | Cancellation because of no payment of annual fees |
