JP2000241971A5 - - Google Patents
Download PDFInfo
- Publication number
- JP2000241971A5 JP2000241971A5 JP1999041461A JP4146199A JP2000241971A5 JP 2000241971 A5 JP2000241971 A5 JP 2000241971A5 JP 1999041461 A JP1999041461 A JP 1999041461A JP 4146199 A JP4146199 A JP 4146199A JP 2000241971 A5 JP2000241971 A5 JP 2000241971A5
- Authority
- JP
- Japan
- Prior art keywords
- weight
- compound
- benzophenone
- bis
- group
- Prior art date
- Legal status (The legal status is an assumption and is not a legal conclusion. Google has not performed a legal analysis and makes no representation as to the accuracy of the status listed.)
- Granted
Links
- 150000001875 compounds Chemical class 0.000 description 9
- VVBLNCFGVYUYGU-UHFFFAOYSA-N 4,4'-Bis(dimethylamino)benzophenone Chemical compound C1=CC(N(C)C)=CC=C1C(=O)C1=CC=C(N(C)C)C=C1 VVBLNCFGVYUYGU-UHFFFAOYSA-N 0.000 description 4
- -1 2- (o-chlorophenyl) -4,5-diphenylimidazolyl Chemical class 0.000 description 2
- 239000002253 acid Substances 0.000 description 2
- 125000003178 carboxy group Chemical group [H]OC(*)=O 0.000 description 2
- 239000000539 dimer Substances 0.000 description 2
- 125000000816 ethylene group Chemical group [H]C([H])([*:1])C([H])([H])[*:2] 0.000 description 2
- 239000003999 initiator Substances 0.000 description 2
- 229920000642 polymer Polymers 0.000 description 2
- RWCCWEUUXYIKHB-UHFFFAOYSA-N benzophenone Chemical class C=1C=CC=CC=1C(=O)C1=CC=CC=C1 RWCCWEUUXYIKHB-UHFFFAOYSA-N 0.000 description 1
- 239000012965 benzophenone Substances 0.000 description 1
- VYHBFRJRBHMIQZ-UHFFFAOYSA-N bis[4-(diethylamino)phenyl]methanone Chemical compound C1=CC(N(CC)CC)=CC=C1C(=O)C1=CC=C(N(CC)CC)C=C1 VYHBFRJRBHMIQZ-UHFFFAOYSA-N 0.000 description 1
- 125000001664 diethylamino group Chemical group [H]C([H])([H])C([H])([H])N(*)C([H])([H])C([H])([H])[H] 0.000 description 1
- 125000001183 hydrocarbyl group Chemical group 0.000 description 1
- 125000002496 methyl group Chemical class [H]C([H])([H])* 0.000 description 1
- 239000011347 resin Substances 0.000 description 1
- 229920005989 resin Polymers 0.000 description 1
- 239000000126 substance Substances 0.000 description 1
Description
【特許請求の範囲】
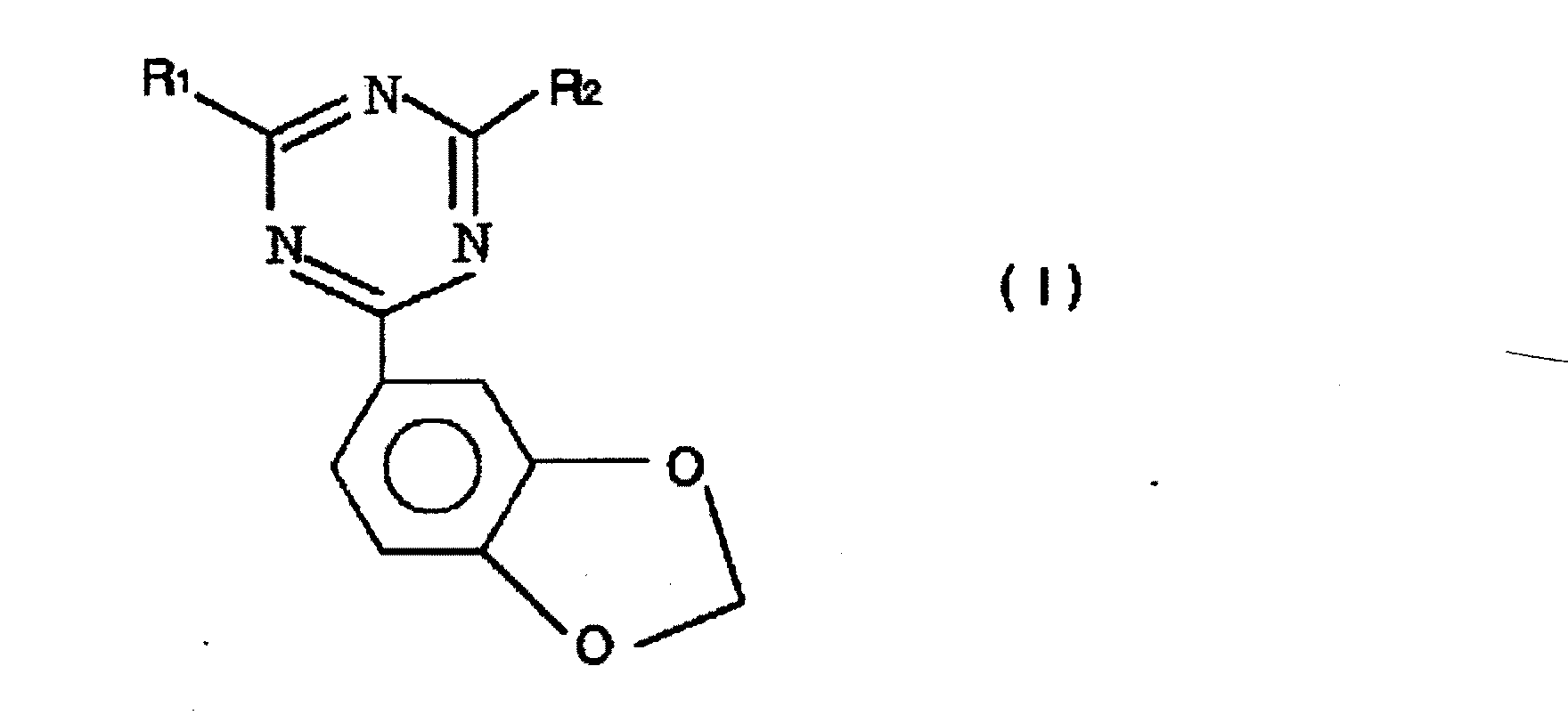
【請求項1】(a)カルボキシル基含有量が酸当量で100〜600であり、かつ重量平均分子量が2万〜50万の線状重合体、20〜90重量%、(b)少なくとも二つの末端エチレン基を持つ光重合性不飽和化合物、3〜60重量%、(c)光重合開始剤として、4、4’−ビス(ジメチルアミノ)ベンゾフェノンまたは4、4’−ビス(ジエチルアミノ)ベンゾフェノンと2−(o−クロロフェニル)−4、5−ジフェニルイミダゾリル二量体との組み合わせ、0.01〜30重量%、(d)(i)下記一般式(I)で表される化合物、及び(ii)アゾメチン系色素化合物、からなる群から選ばれる少なくとも1種の化合物、0.01〜10重量%を含有する光重合性組成物。
【化1】
(式中、R 1 、R 2 は炭化水素基またはトリハロゲン置換メチル基を示す)
【請求項2】支持体上に請求項1記載の光重合性組成物からなる層を設けた光重合性樹脂積層体。
【請求項1】(a)カルボキシル基含有量が酸当量で100〜600であり、かつ重量平均分子量が2万〜50万の線状重合体、20〜90重量%、(b)少なくとも二つの末端エチレン基を持つ光重合性不飽和化合物、3〜60重量%、(c)光重合開始剤として、4、4’−ビス(ジメチルアミノ)ベンゾフェノンまたは4、4’−ビス(ジエチルアミノ)ベンゾフェノンと2−(o−クロロフェニル)−4、5−ジフェニルイミダゾリル二量体との組み合わせ、0.01〜30重量%、(d)(i)下記一般式(I)で表される化合物、及び(ii)アゾメチン系色素化合物、からなる群から選ばれる少なくとも1種の化合物、0.01〜10重量%を含有する光重合性組成物。
【化1】
(式中、R 1 、R 2 は炭化水素基またはトリハロゲン置換メチル基を示す)
【請求項2】支持体上に請求項1記載の光重合性組成物からなる層を設けた光重合性樹脂積層体。
【0007】
【課題を解決するための手段】上記課題を解決すべく鋭意検討を重ねた結果、特定の化合物を光重合性組成物の成分として用いることによって達成できることを見出し、本発明を
完成するに至った。すなわち、本願の第一発明は、(a)カルボキシル基含有量が酸当量で100〜600であり、かつ重量平均分子量が2万〜50万の線状重合体、20〜90重量%、(b)少なくとも二つの末端エチレン基を持つ光重合性不飽和化合物、3〜60重量%、(c)光重合開始剤として、4、4’−ビス(ジメチルアミノ)ベンゾフェノンまたは4、4’−ビス(ジエチルアミノ)ベンゾフェノンと2−(o−クロロフェニル)−4、5−ジフェニルイミダゾリル二量体を組み合わせて、0.01〜30重量%、(d)(i)下記一般式(I)で表される化合物、及び(ii)アゾメチン系色素化合物、からなる群から選ばれる少なくとも1種の化合物、0.01〜10重量%を含有する光重合性組成物である。
【課題を解決するための手段】上記課題を解決すべく鋭意検討を重ねた結果、特定の化合物を光重合性組成物の成分として用いることによって達成できることを見出し、本発明を
完成するに至った。すなわち、本願の第一発明は、(a)カルボキシル基含有量が酸当量で100〜600であり、かつ重量平均分子量が2万〜50万の線状重合体、20〜90重量%、(b)少なくとも二つの末端エチレン基を持つ光重合性不飽和化合物、3〜60重量%、(c)光重合開始剤として、4、4’−ビス(ジメチルアミノ)ベンゾフェノンまたは4、4’−ビス(ジエチルアミノ)ベンゾフェノンと2−(o−クロロフェニル)−4、5−ジフェニルイミダゾリル二量体を組み合わせて、0.01〜30重量%、(d)(i)下記一般式(I)で表される化合物、及び(ii)アゾメチン系色素化合物、からなる群から選ばれる少なくとも1種の化合物、0.01〜10重量%を含有する光重合性組成物である。
Priority Applications (1)
| Application Number | Priority Date | Filing Date | Title |
|---|---|---|---|
| JP04146199A JP4326059B2 (ja) | 1999-02-19 | 1999-02-19 | 光重合性組成物 |
Applications Claiming Priority (1)
| Application Number | Priority Date | Filing Date | Title |
|---|---|---|---|
| JP04146199A JP4326059B2 (ja) | 1999-02-19 | 1999-02-19 | 光重合性組成物 |
Publications (3)
| Publication Number | Publication Date |
|---|---|
| JP2000241971A JP2000241971A (ja) | 2000-09-08 |
| JP2000241971A5 true JP2000241971A5 (ja) | 2006-03-02 |
| JP4326059B2 JP4326059B2 (ja) | 2009-09-02 |
Family
ID=12609022
Family Applications (1)
| Application Number | Title | Priority Date | Filing Date |
|---|---|---|---|
| JP04146199A Expired - Fee Related JP4326059B2 (ja) | 1999-02-19 | 1999-02-19 | 光重合性組成物 |
Country Status (1)
| Country | Link |
|---|---|
| JP (1) | JP4326059B2 (ja) |
Families Citing this family (3)
| Publication number | Priority date | Publication date | Assignee | Title |
|---|---|---|---|---|
| MY148552A (en) | 2005-10-25 | 2013-04-30 | Hitachi Chemical Co Ltd | Photosensitive resin composition, photosensitive element comprising the same, method of forming resist pattern, and process for producing printed wiring board |
| TW200745749A (en) * | 2006-02-21 | 2007-12-16 | Hitachi Chemical Co Ltd | Photosensitive resin composition, method for forming resist pattern, method for manufacturing printed wiring board, and method for producing substrate for plasma display panel |
| JP2011043854A (ja) * | 2010-11-15 | 2011-03-03 | Asahi Kasei E-Materials Corp | 感光性樹脂積層体 |
-
1999
- 1999-02-19 JP JP04146199A patent/JP4326059B2/ja not_active Expired - Fee Related
Similar Documents
| Publication | Publication Date | Title |
|---|---|---|
| JP2008510038A5 (ja) | ||
| EP1091247A3 (en) | Photopolymerizable composition | |
| JP2000298347A5 (ja) | ||
| JPH0912621A5 (ja) | ||
| EP1066813A3 (en) | Dental adhesive composition | |
| JP2005508436A5 (ja) | ||
| EP1710093A4 (en) | LIGHT-SENSITIVE RESIN COMPOSITION FOR LASER-FORMABLE PRINTED CARRIER | |
| DE50102595D1 (de) | Kosmetisches mittel | |
| JP2002541233A5 (ja) | ||
| JP2012513496A5 (ja) | ||
| JPWO2022024926A5 (ja) | ||
| JP2003327610A5 (ja) | ||
| JP2010506931A5 (ja) | ||
| EP1238654A3 (en) | Composition for external application containing a diamide derivative | |
| JP2002169296A5 (ja) | ||
| JP2007517110A5 (ja) | ||
| DE3473357D1 (de) | Photopolymerizable laminate | |
| JP2009509007A5 (ja) | ||
| TWI266143B (en) | Photosensitive resin compositions and photosensitive dry film using the same | |
| JP2002517570A5 (ja) | ||
| JP2000241971A5 (ja) | ||
| WO2001067179A3 (de) | Verwendung von carboxylgruppenhaltigen acetalpolymeren in lichtempfindlichen zusammensetzungen und lithographischen druckplatten | |
| DE50103196D1 (de) | (Co-)Polymerisate von Hydroxyalkyl(meth)acrylaten, Verfahren zu deren Herstellung sowie deren Verwendung in pharmazeutischen Darreichungsformen | |
| CA2351232A1 (en) | Bifunctional photoinitiators suitable for photopolymerization and photopolymerizable systems containing the same | |
| JP2008506698A5 (ja) |
