EP4240905B1 - Segment für rauchartikel mit kalandrierter faserbahn - Google Patents
Segment für rauchartikel mit kalandrierter faserbahn Download PDFInfo
- Publication number
- EP4240905B1 EP4240905B1 EP23701682.9A EP23701682A EP4240905B1 EP 4240905 B1 EP4240905 B1 EP 4240905B1 EP 23701682 A EP23701682 A EP 23701682A EP 4240905 B1 EP4240905 B1 EP 4240905B1
- Authority
- EP
- European Patent Office
- Prior art keywords
- segment
- calendered
- fibrous web
- filter
- fibers
- Prior art date
- Legal status (The legal status is an assumption and is not a legal conclusion. Google has not performed a legal analysis and makes no representation as to the accuracy of the status listed.)
- Active
Links
Images
Classifications
-
- A—HUMAN NECESSITIES
- A24—TOBACCO; CIGARS; CIGARETTES; SIMULATED SMOKING DEVICES; SMOKERS' REQUISITES
- A24C—MACHINES FOR MAKING CIGARS OR CIGARETTES
- A24C5/00—Making cigarettes; Making tipping materials for, or attaching filters or mouthpieces to, cigars or cigarettes
- A24C5/52—Incorporating filters or mouthpieces into a cigarette rod or a tobacco rod
-
- A—HUMAN NECESSITIES
- A24—TOBACCO; CIGARS; CIGARETTES; SIMULATED SMOKING DEVICES; SMOKERS' REQUISITES
- A24D—CIGARS; CIGARETTES; TOBACCO SMOKE FILTERS; MOUTHPIECES FOR CIGARS OR CIGARETTES; MANUFACTURE OF TOBACCO SMOKE FILTERS OR MOUTHPIECES
- A24D3/00—Tobacco smoke filters, e.g. filter-tips, filtering inserts; Filters specially adapted for simulated smoking devices; Mouthpieces for cigars or cigarettes
- A24D3/04—Tobacco smoke filters characterised by their shape or structure
-
- A—HUMAN NECESSITIES
- A24—TOBACCO; CIGARS; CIGARETTES; SIMULATED SMOKING DEVICES; SMOKERS' REQUISITES
- A24D—CIGARS; CIGARETTES; TOBACCO SMOKE FILTERS; MOUTHPIECES FOR CIGARS OR CIGARETTES; MANUFACTURE OF TOBACCO SMOKE FILTERS OR MOUTHPIECES
- A24D3/00—Tobacco smoke filters, e.g. filter-tips, filtering inserts; Filters specially adapted for simulated smoking devices; Mouthpieces for cigars or cigarettes
- A24D3/06—Use of materials for tobacco smoke filters
- A24D3/062—Use of materials for tobacco smoke filters characterised by structural features
-
- A—HUMAN NECESSITIES
- A24—TOBACCO; CIGARS; CIGARETTES; SIMULATED SMOKING DEVICES; SMOKERS' REQUISITES
- A24D—CIGARS; CIGARETTES; TOBACCO SMOKE FILTERS; MOUTHPIECES FOR CIGARS OR CIGARETTES; MANUFACTURE OF TOBACCO SMOKE FILTERS OR MOUTHPIECES
- A24D3/00—Tobacco smoke filters, e.g. filter-tips, filtering inserts; Filters specially adapted for simulated smoking devices; Mouthpieces for cigars or cigarettes
- A24D3/06—Use of materials for tobacco smoke filters
- A24D3/062—Use of materials for tobacco smoke filters characterised by structural features
- A24D3/063—Use of materials for tobacco smoke filters characterised by structural features of the fibers
-
- A—HUMAN NECESSITIES
- A24—TOBACCO; CIGARS; CIGARETTES; SIMULATED SMOKING DEVICES; SMOKERS' REQUISITES
- A24D—CIGARS; CIGARETTES; TOBACCO SMOKE FILTERS; MOUTHPIECES FOR CIGARS OR CIGARETTES; MANUFACTURE OF TOBACCO SMOKE FILTERS OR MOUTHPIECES
- A24D3/00—Tobacco smoke filters, e.g. filter-tips, filtering inserts; Filters specially adapted for simulated smoking devices; Mouthpieces for cigars or cigarettes
- A24D3/06—Use of materials for tobacco smoke filters
- A24D3/08—Use of materials for tobacco smoke filters of organic materials as carrier or major constituent
- A24D3/10—Use of materials for tobacco smoke filters of organic materials as carrier or major constituent of cellulose or cellulose derivatives
-
- A—HUMAN NECESSITIES
- A24—TOBACCO; CIGARS; CIGARETTES; SIMULATED SMOKING DEVICES; SMOKERS' REQUISITES
- A24D—CIGARS; CIGARETTES; TOBACCO SMOKE FILTERS; MOUTHPIECES FOR CIGARS OR CIGARETTES; MANUFACTURE OF TOBACCO SMOKE FILTERS OR MOUTHPIECES
- A24D3/00—Tobacco smoke filters, e.g. filter-tips, filtering inserts; Filters specially adapted for simulated smoking devices; Mouthpieces for cigars or cigarettes
- A24D3/06—Use of materials for tobacco smoke filters
- A24D3/14—Use of materials for tobacco smoke filters of organic materials as additive
-
- D—TEXTILES; PAPER
- D21—PAPER-MAKING; PRODUCTION OF CELLULOSE
- D21H—PULP COMPOSITIONS; PREPARATION THEREOF NOT COVERED BY SUBCLASSES D21C OR D21D; IMPREGNATING OR COATING OF PAPER; TREATMENT OF FINISHED PAPER NOT COVERED BY CLASS B31 OR SUBCLASS D21G; PAPER NOT OTHERWISE PROVIDED FOR
- D21H13/00—Pulp or paper, comprising synthetic cellulose or non-cellulose fibres or web-forming material
- D21H13/02—Synthetic cellulose fibres
- D21H13/04—Cellulose ethers
-
- D—TEXTILES; PAPER
- D21—PAPER-MAKING; PRODUCTION OF CELLULOSE
- D21H—PULP COMPOSITIONS; PREPARATION THEREOF NOT COVERED BY SUBCLASSES D21C OR D21D; IMPREGNATING OR COATING OF PAPER; TREATMENT OF FINISHED PAPER NOT COVERED BY CLASS B31 OR SUBCLASS D21G; PAPER NOT OTHERWISE PROVIDED FOR
- D21H13/00—Pulp or paper, comprising synthetic cellulose or non-cellulose fibres or web-forming material
- D21H13/02—Synthetic cellulose fibres
- D21H13/06—Cellulose esters
-
- D—TEXTILES; PAPER
- D21—PAPER-MAKING; PRODUCTION OF CELLULOSE
- D21H—PULP COMPOSITIONS; PREPARATION THEREOF NOT COVERED BY SUBCLASSES D21C OR D21D; IMPREGNATING OR COATING OF PAPER; TREATMENT OF FINISHED PAPER NOT COVERED BY CLASS B31 OR SUBCLASS D21G; PAPER NOT OTHERWISE PROVIDED FOR
- D21H13/00—Pulp or paper, comprising synthetic cellulose or non-cellulose fibres or web-forming material
- D21H13/02—Synthetic cellulose fibres
- D21H13/08—Synthetic cellulose fibres from regenerated cellulose
-
- D—TEXTILES; PAPER
- D21—PAPER-MAKING; PRODUCTION OF CELLULOSE
- D21H—PULP COMPOSITIONS; PREPARATION THEREOF NOT COVERED BY SUBCLASSES D21C OR D21D; IMPREGNATING OR COATING OF PAPER; TREATMENT OF FINISHED PAPER NOT COVERED BY CLASS B31 OR SUBCLASS D21G; PAPER NOT OTHERWISE PROVIDED FOR
- D21H25/00—After-treatment of paper not provided for in groups D21H17/00 - D21H23/00
- D21H25/08—Rearranging applied substances, e.g. metering, smoothing; Removing excess material
- D21H25/12—Rearranging applied substances, e.g. metering, smoothing; Removing excess material with an essentially cylindrical body, e.g. roll or rod
- D21H25/14—Rearranging applied substances, e.g. metering, smoothing; Removing excess material with an essentially cylindrical body, e.g. roll or rod the body being a casting drum, a heated roll or a calender
-
- D—TEXTILES; PAPER
- D21—PAPER-MAKING; PRODUCTION OF CELLULOSE
- D21H—PULP COMPOSITIONS; PREPARATION THEREOF NOT COVERED BY SUBCLASSES D21C OR D21D; IMPREGNATING OR COATING OF PAPER; TREATMENT OF FINISHED PAPER NOT COVERED BY CLASS B31 OR SUBCLASS D21G; PAPER NOT OTHERWISE PROVIDED FOR
- D21H5/00—Special paper or cardboard not otherwise provided for
- D21H5/12—Special paper or cardboard not otherwise provided for characterised by the use of special fibrous materials
- D21H5/14—Special paper or cardboard not otherwise provided for characterised by the use of special fibrous materials of cellulose fibres only
- D21H5/16—Tobacco or cigarette paper
Definitions
- the invention relates to a segment of a smoking article, wherein the segment comprises a filter material that allows the properties of the segment, in particular draw resistance and filtration efficiency, to be easily and reliably adjusted over a wide range.
- the filter material of the segment comprises a calendered fiber web with special properties.
- Smoking articles are typically rod-shaped articles consisting of at least two consecutively arranged rod-shaped segments.
- One segment contains a material capable of forming an aerosol when heated, and at least one other segment contains a material designed to influence the properties of the aerosol.
- the smoking article may be a filter cigarette, in which a first segment contains the aerosol-forming material, in particular tobacco, and a further segment, designed as a filter, serves to filter the aerosol.
- the aerosol is generated by burning the aerosol-forming material, and the filter primarily serves to filter the aerosol and provide the filter cigarette with a defined draw resistance.
- the smoking article can also be a so-called tobacco heater, in which the aerosol-forming material is only heated but not burned. This reduces the number and quantity of harmful substances in the aerosol.
- a smoking article also consists of at least two, but more often of more, in particular four, segments.
- One segment contains the aerosol-forming material, which typically includes tobacco, reconstituted tobacco, tobacco prepared using other methods, or nicotine and glycerol or propylene glycol.
- Other, sometimes optional, segments in the tobacco heater serve to conduct the aerosol, cool the aerosol, or filter the aerosol.
- the segments are usually wrapped in a wrapping material. Paper is often used as the wrapping material.
- DE 197 53195 A1 discloses a filter for tobacco products, in particular cigarettes, which is made from a cellulose fleece produced by an air-laid process.
- DE 199 51062 A1 discloses a cigarette filter with mechanical disintegrability based on continuous cellulose ester fibers.
- the special feature of this cigarette filter is that the acetate weight/draw resistance ratio, based on the filament titer, exceeds a predetermined threshold.
- US$3,346,682 discloses methods for producing a material for filtering tobacco smoke, in which a crystalline synthetic polymer is spun through a nozzle to to form a strand, the strand is intercepted as it exits the die by an oscillating surface arranged at an angle to the direction of travel of the strand to spread the strand into a web and direct the web downwards to a moving collecting surface, collecting the web on the collecting surface in overlapping, multi-directionally intersecting layers to form a sheet, calendering the sheet, cutting the pressed sheet into ribbons, feeding a ribbon into a gas jet, injecting a gas stream onto the plane of the ribbon and at an angle of between about 10° and 45° thereto to increase the cross-sectional area of the ribbon by at least five times and reduce its density, and collecting the bulked ribbon.
- the invention is based on the object of providing a segment of a smoking article or for a smoking article whose draw resistance and filtration efficiency can be easily and reliably adjusted largely independently of each other and which is superior to conventional segments in this respect.
- a further object of the invention is to provide a readily biodegradable segment for smoking articles.
- a segment of a smoking article which comprises a wrapping material and a filter material, wherein the wrapping material wraps the filter material and the filter material is formed to at least 10% and at most 100% of its mass by a calendered fibrous web, and wherein at least 50% and at most 100% of the mass of the calendered fibrous web is formed by organic polymer fibers and wherein the calendered fibrous web has a compression factor of at least 0.45 and at most 0.85, wherein the compression factor is the ratio between the density of the calendered fibrous web and the volume-weighted density of the components of the calendered fibrous web.
- the skilled person would like the filter material in a segment of a smoking article to have a porous structure with a low density in order to provide the aerosol flowing through the segment with a sufficient surface area so that components of the aerosol can be efficiently filtered.
- the relationship between draw resistance and filtration efficiency is examined separately, and the type and mass of filter material in the segment are determined for the desired parameters.
- other aspects also play a role, in particular the hardness of the segment, which is determined primarily by the mass of the filter material and partly by the wrapping material.
- it has proven difficult to achieve low draw resistance and low filtration efficiency with sufficient hardness.
- a calendered fiber web as a component of the segment in a smoking article can solve this problem.
- a person skilled in the art would not consider a calendered fiber web for use as a filter material in a generic segment because they would assume that calendering would compact the fiber web, smooth and seal the surface, and thus create a non-porous structure that has very little filtration efficiency and makes such a fiber web unsuitable for segments in smoking articles.
- calendered fiber webs are suitable as a filter material for such segments if they are calendered such that their compression factor lies within the range according to the invention.
- the surprising effect is that the tensile strength of a segment made from it is comparatively low, but the filtration efficiency is nevertheless in the medium range.
- the filtration efficiency is virtually independent of the tensile strength and the mass of the calendered fiber web in the segment and constant.
- a calendered fiber web with the compression factor according to the invention therefore allows the tensile strength or hardness of the segment to be adjusted without changing the filtration efficiency. This is not possible to the same extent with the filter materials available in the prior art.
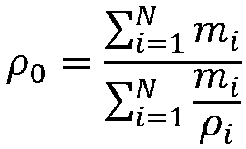
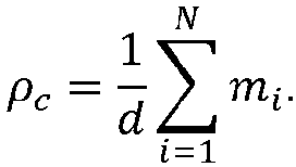
- the compression factor is the ratio of the density of the calendered fiber web to the volume-weighted density of the components of the calendered fiber web. This ratio essentially describes how strongly the fiber web is compressed.
- a compression factor of 1 represents maximum compression, meaning there is no pore volume in the calendered fiber web, while lower compression factors still retain pore volume in the calendered fiber web.
- the basis weight can be determined according to ISO 536:2019 and the thickness according to ISO 534:2011.
- the compression factor C must be at least 0.45 and at most 0.85. Calculating the compression factor C does not require the totality of all components. It is sufficient if the components used for the calculation together account for at least 90% of the mass of the calendered fiber web. Exemplary calculations of the compression factor are presented below.
- a calendered fiber web exhibits a filtration efficiency in the mid-range and why, in the compression factor range according to the invention, the tensile resistance is decoupled from the filtration efficiency.
- the compression factor of the calendered fiber web is the essential criterion for achieving the inventive effect. It can also be assumed that the porous structure and surface of the calendered fiber web created by calendering to the compression factor according to the invention are important.
- the segment according to the invention comprises a filter material, wherein at least 10% and at most 100% of the mass of the filter material is formed by a calendered fiber web.
- the calendered fiber web allows the tensile strength and filtration efficiency to be adjusted independently of one another. For example, the proportion of the calendered fiber web in the filter material can be increased to increase the tensile strength but leave the filtration efficiency unchanged. Therefore, at least 20% and at most 90% of the Mass of the filter material is formed by the calendered fiber web, and more preferably at least 25% and at most 75% of the mass of the filter material. In some embodiments, the proportion of the calendered fiber web in the filter material is rather high, amounting to at least 30% and at most 100% of the mass of the filter material.
- the compression factor of the calendered fiber web is essential for the segment according to the invention because, according to the inventors' findings, the tensile resistance and the filtration efficiency are decoupled only for a specific compression factor interval.
- the compression factor of the calendered fiber web is preferably at least 0.50 and at most 0.80, and particularly preferably at least 0.55 and at most 0.75.
- the inventors' investigations show that tensile resistance and filtration efficiency are decoupled from each other; however, the calendering process can be carried out particularly efficiently within the preferred compression factor intervals.
- the fiber web which forms at least part of the filter material, is calendered.
- This can mean that the fiber web has passed through at least one roll nip during its production, in which mechanical pressure is exerted on the fiber web, thereby compressing and smoothing it.
- the mechanical pressure and the number of roll nips can be selected such that the compression factor of the calendered fiber web lies within the range according to the invention.
- the rollers forming the roll nip can be heated and/or the moisture content of the fiber web can be adjusted before calendering.
- the moisture content of the fiber web is increased during calendering compared to the equilibrium state of a dry fiber web in order to achieve a compression factor according to the invention.
- the person skilled in the art is able to adjust further parameters of the calendering process based on the properties of the fiber web so that the desired compression factor is achieved.
- This calendering process must be distinguished from other processes, such as those in a size press or a coating unit, in which substances are applied to the surface of a fiber web.
- the fiber web may also pass through a roll nip, no significant pressure is exerted on the fiber web, so the fiber web is not compressed or is only slightly compressed, and the compression factor according to the invention is not achieved.
- the calendered fiber web comprises organic polymer fibers.
- Organic polymer fibers are fibers consisting of polymers whose main chain contains carbon atoms.
- Polymer fibers are, in principle, suitable for forming and calendering a fiber web, so that the invention can be realized with them.
- Inorganic fibers such as glass fibers, metal fibers or mineral fibers and fibers made of inorganic polymers such as polysiloxanes are not included in the invention.
- the biodegradability of the calendered fiber web can be improved or even enabled by the selection of organic polymer fibers. Since smoking articles are often disposed of in the environment after use, it is important that the segments that make up the smoking article are readily biodegradable.
- the organic polymer fibers are therefore preferably fibers made from biopolymers.
- Biopolymers are polymers that are synthesized by living organisms or are chemically identical to polymers synthesized by living organisms. Modified polymers synthesized or synthesizable by living organisms are also biopolymers within the meaning of this invention.
- Synthetic polymers such as polyethylene or polypropylene, for example, are not biopolymers and are therefore less preferred but are in accordance with the invention.
- at least 80% by weight, particularly preferably at least 90% by weight, and ideally all of the organic polymer fibers mentioned are fibers made from biopolymers.
- the organic polymer fibers are fibers made from cellulose-based biopolymers.
- fibers made from cellulose-based biopolymers are cellulose fibers, fibers made from regenerated cellulose, and fibers made from cellulose acetate.
- fibers made from polylactides which are a biopolymer but not a cellulose-based biopolymer and are less biodegradable than, for example, cellulose fibers.
- fibers made from cellulose acetate which are a cellulose-based biopolymer but are even less biodegradable than fibers made from polylactides.
- the said fibers made of biopolymers are pulp fibers, fibers made of regenerated cellulose or a mixture thereof.
- the said organic polymer fibers are cellulose fibers obtained from coniferous trees, deciduous trees, or other plants such as hemp, flax, jute, ramie, kenaf, kapok, coconut, abaca, sisal, bamboo, cotton, or esparto grass, or a mixture of cellulose fibers from two or more of these trees or plants.
- the cellulose fibers can be obtained from exactly one of the above-mentioned sources. It can be either a mixture of pulp fibers obtained from two or more of the above-mentioned sources. In addition to optimal biodegradability, the fibers are also available in consistent quality and large quantities.
- the proportion of organic polymer fibers in the calendered fiber web can vary. According to the invention, it is at least 50% and at most 100% of the mass of the calendered fiber web in order to impart strength to the fiber web favorable for further processing. However, the proportion of organic polymer fibers in the mass of the calendered fiber web is preferably higher, amounting to at least 60% and at most 100%, and particularly preferably at least 70% and at most 95%. A higher proportion of organic polymer fibers allows the fiber web to be calendered with less pressure in order to achieve the compression factor according to the invention.
- the calendered fibrous web contains less than 40%, more preferably less than 30%, and most preferably less than 20% cellulose acetate fibers, with the percentages referring to the mass of the calendered fibrous web.
- the calendered fibrous web is free of cellulose acetate fibers.
- the calendered fibrous web may contain filler.
- Filler creates a porous structure in the fibrous web and is generally not very compressible, so calendering the fibrous web requires higher pressure to achieve the desired compression factor.
- the filler content is therefore preferably at least 0% and at most 50% of the mass of the calendered fibrous web, more preferably at least 0% and at most 30%, and most preferably at least 0% and at most 5%, each based on the mass of the calendered fibrous web.
- the filler can be useful for increasing the whiteness of the fibrous web. This can be particularly important if the segment made from it is located at one end of the smoking article and its cross-sectional area is visible.
- the filler can also be used because it is cheaper than organic polymer fibers. For these reasons, a filler content of at least 5% and at most 35% based on the mass of the calendered fibrous web is also preferred.
- the filler is selected from the group consisting of calcium carbonate, magnesium carbonate, titanium dioxide, magnesium oxide, magnesium hydroxide, aluminum hydroxide, magnesium silicate, aluminum silicate, kaolin, talc, and bentonite, or formed by a mixture of two or more of these filler types.
- the calendered fibrous web may contain additives to impart special properties to the calendered fibrous web. These additives can, for example, influence the strength in the dry or wet state, water absorption, and filtration efficiency overall or for individual substances.
- the proportion of additives in the calendered fibrous web is preferably at least 0% and at most 10% of the mass of the calendered fibrous web, more preferably at least 1% and at most 9% of the mass of the calendered fibrous web.
- the basis weight of the calendered fiber web is preferably at least 15 g/m 2 and at most 44 g/m 2 , preferably at least 20 g/m 2 and at most 40 g/m 2 , and particularly preferably at least 23 g/m 2 and at most 38 g/m 2 , in particular at least 31 g/m 2 and at most 37 g/m 2 .
- This basis weight is advantageous for facilitating the calendering of the fiber web and the further processing of the calendered fiber web into the segment of a smoking article, and it can impart favorable strength to the calendered fiber web.
- the data refer to a basis weight measured according to ISO 536:2019.
- the thickness of the calendered fiber web is preferably at least 15 ⁇ m and at most 55 ⁇ m, more preferably at least 20 ⁇ m and at most 50 ⁇ m, and most preferably at least 30 ⁇ m and at most 37 ⁇ m.
- the thickness can be measured according to ISO 534:2011 and refers to the thickness of the fiber web after calendering.
- the mechanical properties of the calendered fiber web are important for processing into a segment for a smoking article.
- the width-related tensile strength of the calendered fiber web measured according to ISO 1924-2:2008, is preferably at least 6 N/15 mm and at most 70 N/15 mm, particularly preferably at least 8 N/15 mm and at most 60 N/15 mm.
- the elongation at break of the calendered fiber web is important because when the fiber web is processed into a segment of a smoking article, the fiber web is often crimped and A particularly high elongation at break is advantageous.
- the elongation at break of the calendered fiber web measured according to ISO 1924-2:2008, is therefore preferably at least 0.8% and at most 3.0%, and particularly preferably at least 1.0% and at most 2.5%.
- Tensile strength and elongation at break may depend on the direction in which the sample was taken from the filter material for measurement. However, due to calendering, this directional dependence is minimal. The aforementioned characteristics of the calendered fiber web are met if the tensile strength or elongation at break lie within the specified preferred or particularly preferred intervals in at least one direction.
- a coating can enhance the effectiveness of calendering and achieve an even better decoupling of tensile strength and filtration efficiency, especially when the basis weight of the calendered fiber web is low.
- a coating also allows the surface of the fiber web to be modified, for example, to achieve selective filtration of certain aerosol substances.
- the coating can be applied in the form of a composition comprising the coating material and a solvent, with the solvent being removed after application, for example, by drying. Only those components of the composition that remain on the calendered fiber web are considered to be the coating.
- the calendered fibrous web is coated on at least one side, wherein the coating on at least one side covers at least 20% and at most 100% of the area of this side of the calendered fibrous web, and wherein the coating comprises a material selected from the group consisting of sizing agents, alkyl ketene dimers (AKD), alkenyl succinic anhydrides (ASA), fatty acids, starch, starch derivatives, carboxymethylcellulose, alginates, chitosan, wet strength agents, citrates, trisodium citrate, tripotassium citrate, malates, tartrates, acetates, nitrates, succinates, fumarates, gluconates, glycolates, lactates, oxylates, salicylates, ⁇ -hydroxycaprylates, phosphates, polyphosphates, chlorides, hydrogen carbonates, triacetin, propylene glycol, ethylene glycol, sorbitol, Glycerol
- the coating comprises a material selected from the group consisting of starch, starch derivatives, cellulose derivatives and Mixtures thereof.
- the coating comprises a material selected from the group consisting of starch, starch derivatives, cellulose derivatives, and mixtures thereof (i.e., the material is a mixture of two or more of these substances), and the proportion of this material in the coating is at least 20% and at most 100%, preferably at least 50% and at most 100%, more preferably at least 70% and at most 98%, and most preferably at least 80% and at most 95%, in each case based on the mass of the coating applied to the calendered fibrous web.
- only one side of the calendered fiber web is coated, and the coating covers at least 50% and at most 100% of the surface area of the coated side of the calendered fiber web, and very particularly preferably at least 90% and at most 100% of the surface area of the coated side of the calendered fiber web, in particular, if, for example, one wishes to refrain from coating the entire surface of the fiber web for technical reasons, at least 80% and at most 95% of the surface area of the coated side of the calendered fiber web.
- Such technical reasons may be that part of the calendered fiber web should remain uncoated in order to be able to determine the properties of the fiber web without the coating on the finished fiber web.
- the calendered fiber web is coated on both sides and the coating covers at least 20% and at most 100% of the area of each of the two sides of the calendered fiber web and very particularly preferably at least 50% and at most 100% of the area of each of the two sides of the calendered fiber web, in particular at least 90% and at most 100% of the area of each of the two sides of the calendered fiber web, or, if, for example, for technical reasons, one wishes to refrain from coating the fiber web over the entire area, at least 80% and at most 95% of the area of each of the two sides of the calendered fiber web.
- the amount of coating material applied to one side or both sides of the calendered fiber web is particularly preferably at least 0.5 g/m 2 and at most 5.0 g/m 2 , most preferably at least 0.7 g/m 2 and at most 4.0 g/m 2 , wherein the amount in g/m 2 refers only to the area to which the coating material is actually applied.
- the calendered fibrous web is coated on at least one side, wherein the coating on at least one side covers at least 20% and at most 100% of the area of this side of the calendered fibrous web, and the basis weight of the calendered fibrous web including coating is at least 20 g/m 2 and at most 35 g/m 2 .
- the coating comprises a material selected from the group consisting of starch, starch derivatives, cellulose derivatives, and mixtures of two or more thereof.
- the calendered fibrous web is preferably a calendered paper or a calendered nonwoven. Such preferred calendered fibrous webs can be produced using methods known in the art.
- the segment according to the invention comprises a filter material, wherein at least 10% of the mass of the filter material is formed by the calendered fiber web.
- the filter material can be formed entirely by the calendered fiber web.
- the purpose of the calendered fiber web is primarily to decouple the segment's tensile resistance from the filtration efficiency.
- at least 10% of the mass of the filter material must be formed by the calendered fiber web.
- the filter material of the segment according to the invention comprises the calendered fiber web and a further filtration material, wherein the further filtration material is preferably selected from the group consisting of filter papers, nonwovens or tows and combinations thereof.
- the additional filtration material is selected from the group consisting of filter papers, cellulose-based nonwovens, wet-needled nonwovens, tows comprising cellulose acetate, tows comprising regenerated cellulose, and combinations of two or more thereof. These additional filtration materials allow for particularly effective influence on the filtration efficiency of the segment.
- the additional filtration material is a filter paper, a cellulose-based nonwoven, a wet-needled nonwoven, or a combination of two or more of these. These additional filtration materials exhibit good biodegradability and can therefore be particularly advantageously combined with the calendered fiber web.
- the additional filtration material is web-shaped and laminated to the calendered fiber web.
- At least 10% and at most 90% and particularly preferably at least 20% and at most 70% of the mass of the filter material is formed by the further filtration material.
- the segment of a smoking article comprises a wrapping material and a filter material, wherein the wrapping material wraps the filter material and at least 70% and at most 100% of the mass of the filter material is formed by a calendered fiber web, and wherein at least 50% and at most 100% of the mass of the calendered fiber web is formed by organic polymer fibers and wherein the calendered fiber web has a compression factor of at least 0.45 and at most 0.85 and at most 30% and in particular at most 20% of the mass of the filter material is formed by cellulose acetate.
- the segment according to the invention for a smoking article comprises the filter material and a wrapping material, wherein the wrapping material wraps the filter material and is preferably a paper or a film.
- the wrapping material must be strictly distinguished from the calendered fiber web, which is a component of the filter material.
- the wrapping material of a segment for a smoking article has completely different requirements, such as processability through bonding, air permeability, color, suitability for perforation, and, in some cases, printability. Filtration properties and the effect on draw resistance are irrelevant.
- the wrapping material of the segment according to the invention preferably has a basis weight of at least 20 g/m 2 and at most 150 g/m 2 , particularly preferably of at least 30 g/m 2 and at most 130 g/m 2 .
- a wrapping material with this preferred or particularly preferred basis weight imparts a particularly advantageous hardness to the wrapped segment according to the invention, in combination with the filter material. This prevents the smoker from accidentally compressing the segment contained in the smoking article.
- the segment is cylindrical with an approximately circular or oval outer boundary of the cross-sectional area with a nominal diameter of this boundary of at least 3 mm and at most 10 mm, particularly preferably of at least 4 mm and at most 9 mm and most preferably of at least 5 mm and at most 8 mm.
- These nominal Diameters are favorable for the use of the segments according to the invention in smoking articles.
- the nominal diameter can be determined according to ISO 2971:2013.
- the segment has a length of at least 4 mm and at most 40 mm, particularly preferably of at least 6 mm and at most 35 mm and most preferably of at least 10 mm and at most 28 mm.
- the draw resistance of the segment determines, among other things, the pressure difference the smoker must apply when consuming the smoking article to generate a certain volume flow through the smoking article, and therefore significantly influences the smoker's acceptance of the smoking article.
- the draw resistance of the segment can be measured according to ISO 6565:2015 and is expressed in mm water column (mmWG). To a very good approximation, the draw resistance of the segment is proportional to the length of the segment, so the draw resistance can also be measured on rods that differ from the segment only in length. From this, the draw resistance of the segment can be easily calculated.
- the tensile resistance of the segment per length of the segment is preferably at least 0.05 mmWG/mm and at most 12.0 mmWG/mm, more preferably at least 0.1 mmWG/mm and at most 10.0 mmWG/mm and most preferably at least 0.1 mmWG/mm and at most 4.0 mmWG/mm.
- the segment typically has a substantially cylindrical shape with an approximately circular or oval outer cross-sectional area and may have one or more cavities inside it, for example to accommodate activated carbon particles or breakable capsules containing flavorings.
- the cavities may also be formed as one or more elongated tubes that run at least approximately parallel to the longitudinal axis of the segment and are located entirely within the segment or terminate at one or both end surfaces of the segment. Such cavities can also influence filtration efficiency and draw resistance.
- the direction of the longitudinal axis corresponds to the flow direction of the aerosol in the smoking article when the smoker draws on the smoking article during use.
- the segment according to the invention may also contain an aerosol-forming material, in particular a tobacco material.
- the filter rod according to the invention is cylindrical with an approximately circular or oval outer boundary of the cross-sectional area, has a length of at least 40 mm and at most 200 mm and comprises at least one segment according to the invention.
- the filter rod preferably comprises at least one segment according to the invention and at least one further segment comprising a filter material, wherein the segments are arranged one after the other in the longitudinal direction of the filter rod.
- the filter material of the further segment comprises cellulose acetate.
- the filter rod preferably comprises a plurality of segments according to the invention and a plurality of further, mutually similar segments, wherein the number of segments according to the invention and the number of further, mutually similar segments in the filter rod are the same, and one segment according to the invention and one further segment are arranged alternately one after the other in the longitudinal direction of the filter rod.
- the number of segments according to the invention and the number of further, mutually similar segments is two, three, four, five, or six, respectively.
- Such a filter rod referred to as a “dual filter” allows the advantageous properties of the segment according to the invention to be combined with another segment which, in addition to its filtration properties, also ensures a good visual appearance of the mouth end of a smoking article made from the filter rod.
- the filter rod is cylindrical with an approximately circular or oval outer boundary of the cross-sectional area and a nominal diameter of at least 3 mm and at most 10 mm, more preferably at least 4 mm and at most 9 mm, and most preferably at least 5 mm and at most 8 mm.
- the nominal diameter can be determined according to ISO 2971:2013.
- the smoking article according to the invention comprises at least two segments, wherein one of the segments is a segment according to one of the embodiments described above and at least one of the segments contains an aerosol-forming material.
- the segments according to the invention can be used particularly advantageously in smoking articles which comprise at least three segments, wherein a first segment contains an aerosol-forming material, a second segment is a segment according to one of the embodiments described above and a third segment can serve for filtration, and wherein the second segment is arranged between the first and the third segment.
- a smoking article can be manufactured, for example, from the filter rod referred to above as a "dual filter.”
- the smoking article therefore comprises at least three segments, wherein a first segment contains an aerosol-forming material, a second segment is a segment according to one of the embodiments described above, and wherein the second segment is arranged between the first and the third segment.
- the draw resistance of the third segment is higher than that of the second segment.
- the ratio of the length of the second segment to the length of the third segment is at least 1:2 and at most 5:1, particularly preferably at least 1:1 and at most 3:1. The length of the segments influences the draw resistance, so that the draw resistance can be adjusted even better by choosing the length.
- the third segment comprises a filter paper, a cellulose-based nonwoven, a wet-needled nonwoven, a tow comprising cellulose acetate or a tow comprising regenerated cellulose.
- the smoking article is a filter cigarette and the aerosol-forming material comprises tobacco.
- the segment according to the invention is particularly well suited for smoking articles in which the aerosol-forming material is only heated but not burned during intended use.
- Such smoking articles often consist of several, typically two to four, segments, with one segment containing the aerosol-forming material and the other segments containing the These segments can be used for transferring, cooling, or filtering the aerosol.
- These segments require highly varying draw resistances and filtration efficiencies, so there is a particular need for such smoking articles to be able to easily and reliably adjust the draw resistance and filtration efficiency of a segment over a wide range.
- the smoking article is therefore a smoking article in which, during its intended use, the aerosol-forming material is only heated but not burned.
- the aerosol-forming material comprises a material selected from the group consisting of tobacco, reconstituted tobacco, nicotine, glycerol, propylene glycol, and flavorings, or a mixture of two or more of these materials. Particularly preferably, the aerosol-forming material is electrically heated.
- the aerosol-forming material can also be in gel or liquid form and can preferably be contained in a container in a segment of the smoking article.
- Both the segment according to the invention and a smoking article according to the invention can be produced by methods known from the prior art.
- the densities of the components of the calendered fiber web are generally known from the state of the art. Table 1 shows some typical values. Table 1 density g/ cm3 cellulose 1.5 Regenerated cellulose 1.5 Cellulose acetate 1.3 Polylactide 1.2 - 1.4 Polyethylene 0.9 - 1.0 Polypropylen 0.9 Calcium carbonate 2.7 Titanium dioxide 4.2 talc 2.6 - 2.8
- a pulp fiber mixture consisting of 80% spruce and pine pulp fibers and 20% birch pulp fibers was used to produce the calendered fiber web.
- the spruce and pine pulp fibers were refined to a freeness of 67 °SR, measured according to ISO 5267-1:1999.
- Starch was added to the fiber web so that it consisted of approximately 95% pulp fibers and 5% starch.
- the fiber web was produced on a conventional paper machine and calendered in a calender integrated into the paper machine at elevated moisture levels.
- the tensile strength and elongation at break of the calendered fiber web A were determined according to ISO 1924-2:2008, with a value of 51.6 N/15 mm for the tensile strength in the machine direction and 1.1% for the elongation at break in the machine direction.
- the fiber web was also calendered more and less intensively, resulting in different thicknesses and compression factors, as shown below in Table 3.
- Regenerated cellulose fibers were refined to a freeness of 73°SR, measured according to ISO 5267-1:1999.
- the fibers were formed into a fiber web on a paper machine using suitable processing aids, so that the fiber web consisted of approximately 99% of its mass from regenerated cellulose fibers.
- the fiber web was calendered in a calender integrated into the paper machine at elevated moisture levels.
- the tensile strength and elongation at break of the calendered fiber web B were determined according to ISO 1924-2:2008, with a value of 61.7 N/15 mm for the tensile strength in the machine direction and 1.0% for the elongation at break in the machine direction.
- Cylindrical filter rods with a length of 108 mm and a diameter of approximately 7.1 mm were manufactured from the calendered fiber webs A and B.
- the filter material of the filter rods was formed entirely by the calendered fiber web and wrapped in a suitable wrapping material with a basis weight of 78 g/ m2 .
- the width of the fiber web used to manufacture the filter rods varied between 60 mm and 242 mm, allowing different amounts of filter material to be present in the filter rod to vary the tensile strength.
- the length of the calendered fiber web used to manufacture the filter rods was approximately 108 mm.
- Filter cigarettes were made from the 108 mm long filter rods.
- the tobacco blend of the filter cigarettes was an American Blend , and the filter cigarettes differed, within the usual production tolerances, only in the filter segment.
- the filtration efficiency for nicotine was measured.
- the filter cigarettes were smoked according to the procedure specified in ISO 3308:2012 and both the mass of nicotine exiting the mouth end (m) and the mass of nicotine contained in the filter segment (m Filter ) were determined and divided by m Filter / m + m Filter
- the filtration efficiency for nicotine is calculated. It can be expressed as a percentage and describes the ratio of the amount of nicotine retained in the filter to the amount of nicotine flowing into the filter.
- Table 2 shows the used fiber web width (W), the draw resistance (PD), and the filtration efficiency (FE) for nicotine for an 18 mm long segment made from the calendered fiber webs A and B.
- Fig. 1 The diagram in Fig. 1 shows the draw resistance (PD) of an 18 mm long segment in mmWG on the horizontal axis and the filtration efficiency (FE) for nicotine in % on the vertical axis. Values are shown for segments made from calendered fiber web A (circles), calendered fiber web B (crosses), non-calendered filter paper (triangles), and cellulose acetate (square).
- PD draw resistance
- FE filtration efficiency
- a fiber web with the composition of fiber web A was tested at different settings of the calender, resulting in different thicknesses and densities of the calendered fiber web.
- 108 mm long filter rods were manufactured from a 40 mm and a 159 mm wide calendered fiber web and cut into 18 mm long segments.
- the draw resistance of the segments, ⁇ p 40 for the 40 mm wide fiber web and ⁇ p 159 for the 159 mm wide fiber web, and the filtration efficiency for nicotine of the segments, F 40 for the 40 mm wide fiber web and F 159 for the 159 mm wide fiber web, were determined as described above, and from this, an average rate of change in the filtration efficiency for nicotine was calculated based on the change in draw resistance by F 159 ⁇ F 40 / ⁇ p 159 ⁇ ⁇ p 40 certainly.
- Table 3 shows the thickness (D), compression factor (C), and mean rate of change of nicotine filtration efficiency ( ⁇ F/ ⁇ P).
- Table 3 shows that within a compression factor range of approximately 0.45 to approximately 0.85 for the calendered fiber web, the draw resistance and filtration efficiency for nicotine are largely decoupled. Although the average rate of change in filtration efficiency ( ⁇ F/ ⁇ P) is still low even at a compression factor above 0.85, the pressure required for calendering is already very high, so it is advantageous to select a compression factor no higher than 0.85.
- the data for the calendered fiber web B also shows that a decoupling of tensile resistance and filtration efficiency is largely occurs regardless of the composition of the calendered fiber web.
- the compression factor interval according to the invention therefore applies regardless of the composition of the fiber web.
- a fiber web with a basis weight of 23 g/ m2 was produced from a pulp fiber blend consisting of 45% spruce and pine pulp fibers and 55% eucalyptus pulp fibers.
- the spruce and pine pulp fibers were refined to a freeness of 94 °SR, measured according to ISO 5267-1:1999.
- the fiber web was produced on a conventional paper machine, then fully coated on both sides with starch in a separate coating device, and calendered in another device at elevated moisture content to obtain calendered fiber web C.
- the amount of starch applied to both sides together by the coating was approximately 1.5 g/m 2 , i.e. 6.12% of the mass of the calendered fiber web, resulting in a basis weight of 24.5 g/m 2 .
- the tensile strength and elongation at break of the calendered fiber web C were determined according to ISO 1924-2:2008, with a value of 29 N/15 mm for the tensile strength in the machine direction and 2.0% for the elongation at break in the machine direction.
- a calendered fiber web D was produced in the same way, but without coating.
- Filter rods with a length of 108 mm were produced from the calendered fiber webs, using calendered fiber web C in widths of 120 mm and 220 mm and calendered fiber web D in widths of 120 mm and 180 mm to produce four different segments.
- the length of the calendered fiber web was consistent in all In these cases, the filter rod length was approximately 108 mm.
- the filter rods were wrapped with a wrapping material with a basis weight of 78 g/ m2 .
- Table 4 shows the width (W) of the calendered fiber web, the draw resistance (PD) of an 18 mm long segment, and the filtration efficiency (FE) for nicotine.
- Table 4 Fibrous web W PD FE [mm] [mmWG] [%] C 120 5.9 29.3 C 220 22.5 30.8 D 120 2.9 35.9 D 180 6.7 37.4
- a filter cigarette F according to the invention with a length of 83 mm and a diameter of 7.8 mm was produced, consisting of three segments.
- the first segment contained an American Blend tobacco blend
- the second segment was a segment according to the invention made of the calendered fiber web C
- the third segment contained a filter paper.
- the second segment was arranged between the first and third segments, and the third segment formed the mouth end of the filter cigarette.
- the second segment was 18 mm long with a tensile strength of 22 mmWG, while the third segment was 9 mm long and had a tensile strength of 46 mmWG.
- the filter paper in the third segment was a paper consisting essentially of 100% cellulose fibers with a basis weight of 35 g/m 2 and a thickness of 88 ⁇ m.
- a filter cigarette X with a diameter of 83 mm, a diameter of 7.8 mm, an American Blend tobacco blend, and a 27 mm long filter segment made of cellulose acetate was produced.
- the filter cigarette F according to the invention and the filter cigarette X serving as a comparative example not according to the invention contained the same mass of tobacco and were ventilated by a perforation in the area of the filter, the degree of ventilation being adjusted so that both filter cigarettes had an open draw resistance of approximately 110 mmWG.
- Table 5 TPM nicotine CO PC cigarette mg/cig mg/cig mg/cig F 10.7 0.68 13.6 7.8 X 10.5 0.70 13.4 7.7
Landscapes
- Chemical & Material Sciences (AREA)
- Engineering & Computer Science (AREA)
- Materials Engineering (AREA)
- Paper (AREA)
- Cigarettes, Filters, And Manufacturing Of Filters (AREA)
- Chemical Or Physical Treatment Of Fibers (AREA)
- Nonwoven Fabrics (AREA)
Description
- Die Erfindung betrifft ein Segment eines Rauchartikels, wobei das Segment ein Filtermaterial umfasst, das es erlaubt, die Eigenschaften des Segments, insbesondere Zugwiderstand und Filtrationseffizienz, in einem weiten Bereich einfach und zuverlässig einzustellen. Das Filtermaterial des Segments umfasst dabei eine kalandrierte Faserbahn mit besonderen Eigenschaften.
- Rauchartikel sind typischerweise stabförmige Artikel, die aus mindestens zwei nacheinander angeordneten stabförmigen Segmenten bestehen. Ein Segment enthält ein Material, das in der Lage ist, beim Aufheizen ein Aerosol zu bilden, und mindestens ein weiteres Segment enthält ein Material, das dazu dient, Eigenschaften des Aerosols zu beeinflussen.
- Bei dem Rauchartikel kann es sich um eine Filterzigarette handeln, bei der ein erstes Segment das aerosolbildende Material, insbesondere Tabak, enthält und ein weiteres Segment, das als Filter ausgeführt ist und der Filtration des Aerosols dient. Das Aerosol wird dabei durch Verbrennen des aerosolbildenden Materials erzeugt, und der Filter dient primär dazu, das Aerosol zu filtern und die Filterzigarette mit einem definierten Zugwiderstand auszustatten.
- Bei dem Rauchartikel kann es sich aber auch um einen sogenannten Tabakerhitzer handeln, bei dem das aerosolbildende Material nur aufgeheizt aber nicht verbrannt wird. Dadurch wird die Zahl und Menge der gesundheitsschädlichen Substanzen im Aerosol vermindert. Ein derartiger Rauchartikel besteht ebenfalls aus mindestens zwei, häufiger aber aus mehr, insbesondere aus vier Segmenten. Ein Segment enthält das aerosolbildende Material, das typischerweise Tabak, rekonstituierten Tabak, nach anderen Verfahren aufbereiteten Tabak oder Nikotin und Glycerol oder Propylenglykol umfasst. Weitere, teilweise optionale Segmente im Tabakerhitzer dienen dazu, das Aerosol weiterzuleiten, das Aerosol abzukühlen oder das Aerosol zu filtern.
- Die Segmente sind meistens von einem Umhüllungsmaterial umhüllt. Sehr oft wird Papier als Umhüllungsmaterial verwendet.
- Aus dem Stand der Technik ist bekannt, derartige Segmente aus Celluloseacetat oder Polylactiden zu bilden. Da Polylactide und insbesondere Celluloseacetat in der Umwelt nur sehr langsam biologisch abgebaut werden, hat die Industrie ein Interesse, die Segmente des Rauchartikels aus anderen Materialien zu fertigen, die besser biologisch abbaubar sind, und es erlauben, vor allem auf die Verwendung von Celluloseacetat zu verzichten. Es ist im Stand der Technik bekannt, Segmente für Rauchartikel, insbesondere Filtersegmente, aus Papier herzustellen. Derartige Segmente sind zwar generell gut biologisch abbaubar, weisen aber auch Nachteile auf. Beispielsweise haben Filtersegmente aus Papier generell eine hohe Filtrationseffizienz und führen daher zu einem trockenen Aerosol, was den Geschmack des Aerosols verglichen mit Zigaretten mit den üblichen Filtersegmenten aus Celluloseacetat beeinträchtigt. Des Weiteren haben sie aber oft eine niedrigere Filtrationseffizienz für Phenole als Celluloseacetat. Zudem erweist es sich als schwierig, aus Papier ein Segment herzustellen, das hinsichtlich der Kombination aus Zugwiderstand, Filtrationseffizienz und Härte für den Konsumenten akzeptabel ist. Um die Filtrationseffizienz zu senken, verwendet man oft weniger Papier pro Filtervolumen, was jedoch zur Folge hat, dass das Segment weich wird und einen zu niedrigen Zugwiderstand hat.
- Bei der Gestaltung der Segmente eines Rauchartikels spielen der Zugwiderstand und die Filtrationseffizienz eine große Rolle. Für Rauchartikel benötigt man sowohl Segmente mit hohem Zugwiderstand als auch mit niedrigem Zugwiderstand und ebenso mit hoher oder niedriger Filtrationseffizienz. Da Zugwiderstand und Filtrationseffizienz eng zusammenhängen, hat es sich als schwierig erwiesen, diese Parameter über einen großen Bereich unabhängig voneinander einzustellen.
- Es besteht daher ein Interesse in der Industrie, ein Filtermaterial zur Verfügung zu haben, das es erlaubt, Segmente zu fertigen, bei denen Zugwiderstand und Filtrationseffizienz unabhängig voneinander über einen weiten Bereich verändert werden können.
-
DE 197 53195 A1 offenbart einen Filter für Tabakwaren, insbesondere Zigaretten, der aus einem nach einem Air-Laid-Verfahren hergestellten Cellulosevlies hergestellt ist. -
DE 199 51062 A1 offenbart einen Zigarettenfilter mit mechanischer Desintegrierbarkeit auf der Basis endloser Celluloseesterfasern. Die Besonderheit dieses Zigarettenfilters wird darin gesehen, dass ein auf den Filamenttiter bezogenes Acetatgewicht/Zugwiderstands-Verhältnis einen vorbestimmten Schwellenwert übersteigt. -
US3,346,682 offenbart Verfahren zur Herstellung eines Materials zum Filtern von Tabakrauch, bei dem ein kristallines synthetisches Polymer durch eine Düse gesponnen wird, um einen Strang zu bilden, der Strang bei seinem Austritt aus der Düse durch eine oszillierende Oberfläche abgefangen wird, die unter einem Winkel zur Bewegungsrichtung des Strangs angeordnet ist, um den Strang zu einer Bahn auszubreiten und die Bahn nach unten zu einer sich bewegenden Sammelfläche zu leiten, Sammeln der Bahn auf der Sammelfläche in überlappenden, sich in mehreren Richtungen überschneidenden Schichten, um ein Blatt zu bilden, Kalandrieren des Blattes, Schneiden des gepressten Blattes in Bänder, Zuführen eines Bandes in einen Gasstrahl, Einstrahlen eines Gasstroms auf die Ebene des Bandes und in einem Winkel zwischen etwa 10° und 45° dazu, um die Querschnittsfläche des Bandes um mindestens das Fünffache zu vergrößern und seine Dichte zu verringern und Sammeln des gebauschten Bandes. - Der Erfindung liegt die Aufgabe zugrunde, ein Segment eines Rauchartikels oder für einen Rauchartikel zur Verfügung zu stellen, dessen Zugwiderstand und Filtrationseffizienz einfach und zuverlässig weitgehend unabhängig voneinander eingestellt werden können und das in dieser Hinsicht herkömmlichen Segmenten überlegen ist. Eine weitere Aufgabe der Erfindung liegt darin, ein gut biologisch abbaubares Segment für Rauchartikel zur Verfügung zu stellen.
- Diese Aufgabe wird durch ein Segment nach Anspruch 1, einen Filterstab nach Anspruch 12 und einen Rauchartikel nach Anspruch 13 gelöst. Vorteilhafte Weiterbildungen sind in den abhängigen Ansprüchen angegeben.
- Die Erfinder haben gefunden, dass diese Aufgabe durch ein Segment eines Rauchartikels gelöst werden kann, das ein Umhüllungsmaterial und ein Filtermaterial umfasst, wobei das Umhüllungsmaterial das Filtermaterial umhüllt und das Filtermaterial zu mindestens 10% und höchstens 100% seiner Masse durch eine kalandrierte Faserbahn gebildet wird, und wobei mindestens 50% und höchstens 100% der Masse der kalandrierten Faserbahn durch organische Polymerfasern gebildet werden und wobei die kalandrierte Faserbahn einen Kompressionsfaktor von mindestens 0,45 und höchstens 0,85 aufweist, wobei der Kompressionsfaktor das Verhältnis zwischen der Dichte der kalandrierten Faserbahn und der volumengewichteten Dichte der Bestandteile der kalandrierten Faserbahn ist.
- Gemäß dem Stand der Technik möchte der Fachmann, dass das Filtermaterial in einem Segment eines Rauchartikels eine poröse Struktur mit geringer Dichte aufweist, um dem durch das Segment strömenden Aerosol eine ausreichende Oberfläche zu bieten, sodass Bestandteile des Aerosols effizient gefiltert werden können. Dabei wird für jedes Filtermaterial separat untersucht, wie Zugwiderstand und Filtrationseffizienz zusammenhängen und für die gewünschten Parameter die Art und Masse des Filtermaterials in dem Segment festgelegt. Dabei spielen aber neben dem Zugwiderstand und der Filtrationseffizienz auch andere Aspekte eine Rolle, insbesondere die Härte des Segments, die vor allem durch die Masse des Filtermaterials und teilweise durch das Umhüllungsmaterial bestimmt wird. Insbesondere erweist es sich als schwierig, einen niedrigen Zugwiderstand und niedrige Filtrationseffizienz bei ausreichender Härte zu erreichen. Ebenso ist es schwierig, für ein Segment einen niedrigen Zugwiderstand und hohe Filtrationseffizienz oder umgekehrt einen hohen Zugwiderstand und niedrige Filtrationseffizienz einzustellen. Es besteht aber in Rauchartikeln, insbesondere in Tabakerhitzern, großer Bedarf an solchen Segmenten.
- Die Erfinder haben überraschend gefunden, dass eine kalandrierte Faserbahn als Bestandteil des Segments in einem Rauchartikel diese Aufgabe lösen kann. Gemäß dem Stand der Technik würde der Fachmann eine kalandrierte Faserbahn zur Verwendung als Filtermaterial in einem gattungsgemäßen Segment nicht in Betracht ziehen, weil er davon ausgeht, dass das Kalandrieren die Faserbahn verdichtet, die Oberfläche glättet und verschließt und so eine unporöse Struktur erzeugt, die eine sehr geringe Filtrationswirkung besitzt und eine solche Faserbahn für Segmente in Rauchartikeln ungeeignet macht. Die Erfinder haben aber gefunden, dass kalandrierte Faserbahnen als Filtermaterial für derartige Segmente entgegen der Erwartung des Fachmanns geeignet sind, wenn sie so kalandriert werden, dass ihr Kompressionsfaktor in dem erfindungsgemäßen Intervall liegt. In diesem engen Bereich des Kompressionsfaktors zeigt sich der überraschende Effekt, dass der Zugwiderstand eines daraus gefertigten Segments vergleichsweise niedrig ist, die Filtrationseffizienz aber trotzdem im mittleren Bereich liegt und insbesondere, dass die Filtrationseffizienz vom Zugwiderstand und der Masse der kalandrierten Faserbahn im Segment praktisch unabhängig und konstant ist. Eine kalandrierte Faserbahn mit dem erfindungsgemäßen Kompressionsfaktor erlaubt es daher, den Zugwiderstand oder die Härte des Segments anzupassen, ohne die Filtrationseffizienz zu verändern. Dies ist mit den im Stand der Technik verfügbaren Filtermaterialien nicht in gleichem Maß möglich.
- Der Kompressionsfaktor ist das Verhältnis aus der Dichte der kalandrierten Faserbahn und der volumengewichteten Dichte der Bestandteile der kalandrierten Faserbahn. Das Verhältnis beschreibt im Wesentlichen, wie stark die Faserbahn komprimiert ist. Ein Kompressionsfaktor von 1 bedeutet eine maximale Kompression, sodass in der kalandrierten Faserbahn kein Porenvolumen vorhanden ist, während bei niedrigeren Kompressionsfaktoren noch Porenvolumen in der kalandrierten Faserbahn verbleibt.
- Besteht die Faserbahn aus i = 1,2,3, ... ,N Bestandteilen mit den Dichten ρi und den flächenbezogenen Massen mi, dann berechnet sich die volumengewichtete Dichte ρo der Bestandteile der kalandrierten Faserbahn durch
und die Dichte der kalandrierten Faserbahn ρc ergibt sich aus der flächenbezogenen Masse der Bestandteile und der Dicke d der kalandrierten Faserbahn durch -
- Um den erfindungsgemäßen Effekt zu erzielen muss der Kompressionsfaktor C mindestens 0,45 und höchstens 0,85 betragen. Für die Berechnung des Kompressionsfaktors C ist es nicht erforderlich, die Gesamtheit aller Bestandteile zu erfassen. Es genügt, wenn die für die Berechnung verwendeten Bestandteile in Summe mindestens 90% der Masse der kalandrierten Faserbahn ausmachen. Beispielhafte Berechnungen des Kompressionsfaktors sind weiter unten ausgeführt.
- Eine Theorie, wieso wider Erwarten eine kalandrierte Faserbahn eine Filtrationseffizienz im mittleren Bereich aufweist und wieso in dem erfindungsgemäßen Bereich des Kompressionsfaktors der Zugwiderstand von der Filtrationseffizienz entkoppelt ist, haben die Erfinder bisher nicht gefunden. Wie weiter unten erläutert, lässt sich aber experimentell nachweisen, dass der Kompressionsfaktor der kalandrierten Faserbahn das wesentliche Kriterium ist, um den erfinderischen Effekt zu erzielen. Ebenso ist davon auszugehen, dass die durch das Kalandrieren auf den erfindungsgemäßen Kompressionsfaktor erzeugte poröse Struktur und Oberfläche der kalandrierten Faserbahn von Bedeutung sind.
- Das erfindungsgemäße Segment umfasst ein Filtermaterial, wobei mindestens 10% und höchstens 100% der Masse des Filtermaterials durch eine kalandrierte Faserbahn gebildet werden. Durch die kalandrierte Faserbahn können Zugwiderstand und Filtrationseffizienz unabhängig voneinander eingestellt werden. Beispielsweise kann der Anteil der kalandrierten Faserbahn im Filtermaterial erhöht werden, um den Zugwiderstand zu erhöhen aber die Filtrationseffizienz unverändert zu lassen. Bevorzugt sind daher mindestens 20% und höchstens 90% der Masse des Filtermaterials durch die kalandrierte Faserbahn gebildet und besonders bevorzugt mindestens 25% und höchstens 75% der Masse des Filtermaterials. In manchen Ausführungsformen ist der Anteil der kalandrierten Faserbahn im Filtermaterial eher hoch und beträgt mindestens 30% und höchstens 100% der Masse des Filtermaterials.
- Der Kompressionsfaktor der kalandrierten Faserbahn ist für das erfindungsgemäße Segment wesentlich, weil nach den Erkenntnissen der Erfinder nur für ein bestimmtes Intervall des Kompressionsfaktors der Zugwiderstand und die Filtrationseffizient entkoppelt sind. Bevorzugt beträgt der Kompressionsfaktor der kalandrierten Faserbahn mindestens 0,50 und höchstens 0,80 und besonders bevorzugt mindestens 0,55 und höchstens 0,75. Innerhalb des erfindungsgemäßen Intervalls zeigen die Untersuchungen der Erfinder, dass Zugwiderstand und Filtrationseffizienz voneinander entkoppelt sind, in den bevorzugten Intervallen des Kompressionsfaktors kann der Kalandrierprozess aber besonders effizient durchgeführt werden.
- In dem erfindungsgemäßen Segment ist die Faserbahn, die mindestens einen Teil des Filtermaterials bildet, kalandriert. Dies kann bedeuten, dass die Faserbahn im Zuge ihrer Herstellung mindestens einen Walzspalt durchlaufen hat, in dem mechanischer Druck auf die Faserbahn ausgeübt wird und sie dabei komprimiert und geglättet wird. Dabei können beispielsweise der mechanische Druck und die Zahl der Walzspalte so gewählt werden, dass der Kompressionsfaktor der kalandrierten Faserbahn im erfindungsgemäßen Intervall liegt. Zur Unterstützung des Kalandrierprozesses können die den Walzspalt bildenden Walzen beheizt und/oder kann die Feuchtigkeit der Faserbahn vor dem Kalandrieren angepasst werden. Zur Herstellung der kalandrierten Faserbahn für das erfindungsgemäße Segment ist es wichtig, dass die Feuchtigkeit der Faserbahn beim Kalandrieren gegenüber dem Gleichgewichtszustand einer trockenen Faserbahn erhöht ist, um einen erfindungsgemäßen Kompressionsfaktor zu erzielen. Darüberhinaus ist der Fachmann in der Lage, weitere Parameter des Kalandrierprozesses anhand der Eigenschaften der Faserbahn so einzustellen, dass der gewünschte Kompressionsfaktor erreicht wird.
- Dieser Prozess des Kalandrierens ist dabei von anderen Prozessen, wie beispielsweise jenem in einer Leimpresse oder einem Streichaggregat zu unterscheiden, in denen Substanzen auf die Oberfläche einer Faserbahn aufgetragen werden. Dabei kann die Faserbahn zwar auch einen Walzspalt durchlaufen, es wird aber kein großer Druck auf die Faserbahn ausgeübt, sodass die Faserbahn nicht oder nur wenig komprimiert wird und der erfindungsgemäße Kompressionsfaktor nicht erreicht wird.
- Die kalandrierte Faserbahn umfasst organische Polymerfasern. Organische Polymerfasern sind Fasern, die aus Polymeren bestehen, deren Hauptkette Kohlenstoffatome enthält. Solche
- Polymerfasern eignen sich prinzipiell, um eine Faserbahn zu bilden und zu kalandrieren, sodass die Erfindung damit verwirklicht werden kann.
- Nicht erfindungsgemäß sind anorganische Fasern, wie Glasfasern, Metallfasern oder Mineralfasern und Fasern aus anorganischen Polymeren wie Polysiloxanen.
- Die biologische Abbaubarkeit der kalandrierten Faserbahn kann durch Auswahl der organischen Polymerfasern verbessert oder überhaupt erst ermöglicht werden. Da Rauchartikel nach Gebrauch oft in der Umwelt entsorgt werden, ist es von Bedeutung, dass die Segmente, aus denen der Rauchartikel besteht, gut biologisch abbaubar sind.
- Bevorzugt sind die organischen Polymerfasern daher Fasern aus Biopolymeren. Biopolymere sind Polymere, die von Lebewesen synthetisiert sind oder zu von Lebewesen synthetisierten Polymeren chemisch identisch sind. Modifizierte von Lebewesen synthetisierte oder synthetisierbare Polymere sind ebenfalls Biopolymere im Sinn dieser Erfindung. Keine Biopolymere und daher weniger bevorzugt, aber erfindungsgemäß, sind beispielsweise synthetische Polymere wie Polyethylen oder Polypropylen. Dabei sind vorzugweise mindestens 80 Gew.-%, besonders vorzugsweise mindestens 90 Gew.-% und idealerweise sämtliche der genannten organischen Polymerfasern Fasern aus Biopolymeren.
- Um die biologische Abbaubarkeit noch weiter zu optimieren sind in einer besonders bevorzugten Ausführungsform die organischen Polymerfasern Fasern aus cellulosebasierten Biopolymeren. Beispiele für Fasern aus cellulosebasierten Biopolymeren sind Zellstofffasern, Fasern aus regenerierter Cellulose und Fasern aus Celluloseacetat. Weniger bevorzugt, aber erfindungsgemäß, sind Fasern aus Polylactiden, die zwar ein Biopolymer aber kein cellulosebasiertes Biopolymer sind und schlechter biologisch abbaubar sind als beispielsweise Zellstofffasern. Ebenso weniger bevorzugt sind Fasern aus Celluloseacetat, die zwar ein cellulosebasiertes Biopolymer sind, aber noch schlechter biologisch abbaubar sind als Fasern aus Polylactiden.
- Um die beste biologische Abbaubarkeit des erfindungsgemäßen Segments zu erzielen, sind in einer ganz besonders bevorzugten Ausführungsform die genannten Fasern aus Biopolymeren Zellstofffasern, Fasern aus regenerierter Cellulose oder eine Mischung daraus.
- Insbesondere sind mindestens 80 Gew.-%, vorzugsweise mindestens 90 Gew.-% und insbesondere sämtliche der genannten organischen Polymerfasern Zellstofffasern, die aus Nadelbäumen, Laubbäumen oder anderen Pflanzen wie Hanf, Flachs, Jute, Ramie, Kenaf, Kapok, Kokosnuss, Abacá, Sisal, Bambus, Baumwolle oder aus Espartogras gewonnen sind, oder eine Mischung aus Zellstofffasern von zwei oder mehr dieser Bäume oder Pflanzen. Mit anderen Worten können die Zellstofffasern aus genau einer der oben genannten Quellen gewonnen sein, oder eine Mischung aus Zellstofffasern sein, die aus zwei oder mehr der genannten Quellen gewonnen sind. Neben der optimalen biologischen Abbaubarkeit sind die Fasern auch noch in gleichmäßiger Qualität und großer Menge verfügbar.
- Der Anteil der organischen Polymerfasern an der kalandrierten Faserbahn kann variieren. Erfindungsgemäß beträgt er mindestens 50% und höchstens 100% der Masse der kalandrierten Faserbahn, um der Faserbahn eine für die weitere Verarbeitung günstige Festigkeit zu verleihen. Bevorzugt ist der Anteil der organischen Polymerfasern an der Masse der kalandrierten Faserbahn aber höher und beträgt mindestens 60% und höchstens 100% und besonders bevorzugt mindestens 70% und höchstens 95%. Ein höherer Anteil an organischen Polymerfasern erlaubt es, die Faserbahn mit weniger Druck zu kalandrieren, um den erfindungsgemäßen Kompressionsfaktor einzustellen.
- Für die gute biologische Abbaubarkeit ist es bevorzugt, wenn die kalandrierte Faserbahn weniger als 40%, besonders bevorzugt weniger als 30% und ganz besonders bevorzugt weniger als 20% Fasern aus Celluloseacetat enthält, wobei sich die Prozentangaben auf die Masse der kalandrierten Faserbahn beziehen. Insbesondere ist die kalandrierte Faserbahn frei von Fasern aus Celluloseacetat.
- Die kalandrierte Faserbahn kann Füllstoff enthalten. Füllstoff erzeugt in der Faserbahn eine poröse Struktur und ist generell wenig kompressibel, sodass das Kalandrieren der Faserbahn einen höheren Druck erfordert, um den gewünschten Kompressionsfaktor zu erreichen. Bevorzugt beträgt der Anteil an Füllstoff daher mindestens 0% und höchstens 50% der Masse der kalandrierten Faserbahn, besonders bevorzugt beträgt er mindestens 0% und höchstens 30% und ganz besonders bevorzugt mindestens 0% und höchstens 5% jeweils bezogen auf die Masse der kalandrierten Faserbahn. Der Füllstoff kann nützlich sein, um die Weiße der Faserbahn zu erhöhen. Dies kann besonders von Bedeutung sein, wenn sich das daraus gefertigte Segment an einem Ende des Rauchartikels befindet und dessen Querschnittsfläche sichtbar ist. Der Füllstoff kann auch deshalb eingesetzt werden, weil er billiger als organische Polymerfasern ist. Aus diesen Gründen ist alternativ auch ein Füllstoffgehalt von mindestens 5% und höchstens 35% bezogen auf die Masse der kalandrierten Faserbahn bevorzugt.
- Bevorzugt ist der Füllstoff ausgewählt aus der Gruppe bestehend aus Calciumcarbonat, Magnesiumcarbonat, Titandioxid, Magnesiumoxid, Magnesiumhydroxid, Aluminiumhydroxid, Magnesiumsilikat, Aluminiumsilikat, Kaolin, Talkum, und Bentonit, oder durch eine Mischung aus zwei oder mehr dieser Füllstoffarten gebildet.
- Die kalandrierte Faserbahn kann Zusatzstoffe enthalten, um der kalandrierten Faserbahn besondere Eigenschaften zu verleihen. Diese Zusatzstoffe können beispielsweise die Festigkeit in trockenem oder nassem Zustand, die Wasseraufnahme, die Filtrationseffizienz insgesamt oder für einzelne Substanzen beeinflussen. Der Anteil der Zusatzstoffe in der kalandrierten Faserbahn beträgt bevorzugt mindestens 0% und höchstens 10% der Masse der kalandrierten Faserbahn, besonders bevorzugt mindestens 1% und höchstens 9% der Masse der kalandrierten Faserbahn.
- Bevorzugt sind die Zusatzstoffe ausgewählt aus der Gruppe bestehend aus Leimungsmitteln, Alkylketendimeren (AKD), Alkenylbernsteinsäureanhydriden (ASA), Fettsäuren, Stärke, Stärkederivaten, Carboxymethylcellulose, Alginaten, Chitosan, Nassfestmitteln, Zitraten, Trinatriumzitrat, Trikaliumzitrat, Malaten, Tartraten, Acetaten, Nitraten, Succinaten, Fumaraten, Gluconaten, Glycolaten, Lactaten, Oxyalaten, Salicylaten, α-Hydroxycaprylaten, Phosphaten, Polyphosphaten, Chloriden, Hydrogencarbonaten, Triacetin, Propylenglykol, Ethylenglykol, Sorbitol, Glycerol, Polyethylenglykol, Polypropylenglykol, Polyvinylalkohol, Tri-Ethlyzitrat, Katalysatoren, Aktivkohle, Aromastoffen, verkapselten Aromastoffen und Mischungen daraus.
- Das Flächengewicht der kalandrierten Faserbahn beträgt bevorzugt mindestens 15 g/m2 und höchstens 44 g/m2, bevorzugt mindestens 20 g/m2 und höchstens 40 g/m2 und besonders bevorzugt mindestens 23 g/m2 und höchstens 38 g/m2, insbesondere mindestens 31 g/m2 und höchstens 37 g/m2. Dieses Flächengewicht ist vorteilhaft, um das Kalandrieren der Faserbahn und die Weiterverarbeitung der kalandrierten Faserbahn zum Segment eines Rauchartikels zu erleichtern und es kann der kalandrierten Faserbahn eine günstige Festigkeit verleihen. Die Angaben beziehen sich auf ein Flächengewicht, das nach ISO 536:2019 gemessen wird.
- Die Dicke der kalandrierten Faserbahn beträgt bevorzugt mindestens 15 µm und höchstens 55 µm und besonders bevorzugt mindestens 20 µm und höchstens 50 µm und ganz besonders bevorzugt mindestens 30 µm und höchstens 37 µm. Die Dicke kann nach ISO 534:2011 gemessen werden und bezieht sich auf die Dicke der Faserbahn nach dem Kalandrieren.
- Die mechanischen Eigenschaften der kalandrierten Faserbahn sind für die Verarbeitung zu einem Segment für einen Rauchartikel von Bedeutung. Die breitenbezogene Zugfestigkeit der kalandrierten Faserbahn, gemessen nach ISO 1924-2:2008, beträgt bevorzugt mindestens 6 N/15 mm und höchstens 70 N/15 mm, besonders bevorzugt mindestens 8 N/15 mm und höchstens 60 N/15 mm.
- Die Bruchdehnung der kalandrierten Faserbahn ist von Bedeutung, weil bei der Verarbeitung der Faserbahn zu einem Segment eines Rauchartikels die Faserbahn oft gecrimpt wird und dabei eine besonders hohe Bruchdehnung günstig ist. Die Bruchdehnung der kalandrierten Faserbahn, gemessen nach ISO 1924-2:2008, beträgt daher bevorzugt mindestens 0,8% und höchstens 3,0% und besonders bevorzugt mindestens 1,0% und höchstens 2,5%.
- Zugfestigkeit und Bruchdehnung können zwar von der Richtung abhängen, in der die Probe für die Messung aus dem Filtermaterial entnommen wurde. Durch das Kalandrieren ist diese Richtungsabhängigkeit allerdings gering. Die genannten Merkmale der kalandrierten Faserbahn sind jeweils erfüllt, wenn Zugfestigkeit oder Bruchdehnung in mindestens einer Richtung in den angegebenen bevorzugten oder besonders bevorzugten Intervallen liegen.
- Die Erfinder haben zudem gefunden, dass eine Beschichtung die Wirkung des Kalandrierens steigern kann und sich eine noch bessere Entkopplung von Zugwiderstand und Filtrationseffizienz erreichen lässt, insbesondere dann, wenn das Flächengewicht der kalandrierten Faserbahn niedrig ist. Eine Beschichtung erlaubt es auch, die Oberfläche der Faserbahn zu verändern und beispielsweise eine selektive Filtration bestimmter Substanzen des Aerosols zu erreichen.
- Die Beschichtung kann dabei in Form einer Zusammensetzung aufgetragen werden, die das Beschichtungsmaterial und ein Lösungsmittel umfasst, wobei das Lösungsmittel nach dem Auftrag beispielsweise durch Trocknen entfernt wird. Zur Beschichtung zählen nur jene Bestandteile der Zusammensetzung, die auf der kalandrierten Faserbahn verbleiben.
- In einer bevorzugten Ausführungsform des Segments ist die kalandrierte Faserbahn auf mindestens einer Seite beschichtet, wobei die Beschichtung auf mindestens einer Seite mindestens 20% und höchstens 100% der Fläche dieser Seite der kalandrierten Faserbahn bedeckt, und wobei die Beschichtung ein Material umfasst, das ausgewählt ist aus der Gruppe bestehend aus Leimungsmitteln, Alkylketendimeren (AKD), Alkenylbernsteinsäureanhydriden (ASA), Fettsäuren, Stärke, Stärkederivaten, Carboxymethylcellulose, Alginaten, Chitosan, Nassfestmitteln, Zitraten, Trinatriumzitrat, Trikaliumzitrat, Malaten, Tartraten, Acetaten, Nitraten, Succinaten, Fumaraten, Gluconaten, Glycolaten, Lactaten, Oxyalaten, Salicylaten, α-Hydroxycaprylaten, Phosphaten, Polyphosphaten, Chloriden, Hydrogencarbonaten, Triacetin, Propylenglykol, Ethylenglykol, Sorbitol, Glycerol, Polyethylenglykol, Polypropylenglykol, Polyvinylalkohol, Tri-Ethlyzitrat, Katalysatoren, Aktivkohle, Aromastoffen, und verkapselten Aromastoffen oder wobei die Beschichtung eine Mischung aus zwei oder mehr dieser Materialien umfasst.
- In einer besonders bevorzugten Ausführungsform umfasst die Beschichtung ein Material, das ausgewählt ist aus der Gruppe bestehend aus Stärke, Stärkederivaten, Cellulosederivaten und Mischungen daraus. Ganz besonders bevorzugt umfasst die Beschichtung ein Material, das ausgewählt ist aus der Gruppe bestehend aus Stärke, Stärkederivaten, Cellulosederivaten und Mischungen daraus (d. h. das Material ist eine Mischung aus zwei oder mehr dieser Substanzen), und der Anteil dieses Materials in der Beschichtung beträgt mindestens 20% und höchstens 100%, bevorzugt mindestens 50% und höchstens 100%, besonders bevorzugt mindestens 70% und höchstens 98% und ganz besonders bevorzugt mindestens 80% und höchstens 95% jeweils bezogen auf die Masse der Beschichtung, die auf die kalandrierte Faserbahn aufgetragen ist.
- In einer besonders bevorzugten Ausführungsform ist nur eine Seite der kalandrierten Faserbahn beschichtet und die Beschichtung bedeckt mindestens 50% und höchstens 100% der Fläche der beschichteten Seite der kalandrierten Faserbahn, und ganz besonders bevorzugt mindestens 90% und höchstens 100% der Fläche der beschichteten Seite der kalandrierten Faserbahn, insbesondere, wenn man beispielsweise aus technischen Gründen von einer vollflächigen Beschichtung der Faserbahn absehen möchte, mindestens 80% und höchstens 95% der Fläche der beschichteten Seite der kalandrierten Faserbahn. Solche technischen Gründe können sein, dass ein Teil der kalandrierten Faserbahn unbeschichtet bleiben soll, um an der fertigen Faserbahn noch Eigenschaften der Faserbahn ohne Beschichtung bestimmen zu können.
- In einer besonders bevorzugten Ausführungsform ist die kalandrierte Faserbahn auf beiden Seiten beschichtet und die Beschichtung bedeckt mindestens 20% und höchstens 100% der Fläche jeder der beiden Seiten der kalandrierten Faserbahn und ganz besonders bevorzugt mindestens 50% und höchstens 100% der Fläche jeder der beiden Seite der kalandrierten Faserbahn, insbesondere mindestens 90% und höchstens 100% der Fläche jeder der beiden Seiten der kalandrierten Faserbahn, oder, wenn man beispielsweise aus technischen Gründen von einer vollflächigen Beschichtung der Faserbahn absehen möchte, mindestens 80% und höchstens 95% der Fläche jeder der beiden Seiten der kalandrierten Faserbahn.
- Die Menge an Beschichtungsmaterial, die auf eine Seite oder beiden Seiten der kalandrierten Faserbahn aufgetragen ist, beträgt besonders bevorzugt mindestens 0,5 g/m2 und höchstens 5,0 g/m2, ganz besonders bevorzugt mindestens 0,7 g/m2 und höchstens 4,0 g/m2, wobei sich die Menge in g/m2 jeweils nur auf die Fläche bezieht, auf die das Beschichtungsmaterial tatsächlich aufgetragen ist.
- In einer bevorzugten Ausführungsform des Segments ist die kalandrierte Faserbahn auf mindestens einer Seite beschichtet, wobei die Beschichtung auf mindestens einer Seite mindestens 20% und höchstens 100% der Fläche dieser Seite der kalandrierten Faserbahn bedeckt, und das Flächengewicht der kalandrierten Faserbahn inklusive Beschichtung beträgt mindestens 20 g/m2 und höchstens 35 g/m2. In einer besonders bevorzugten Ausführungsform dieses Segments umfasst die Beschichtung ein Material, das ausgewählt ist aus der Gruppe bestehend aus Stärke, Stärkederivaten, Cellulosederivaten und Mischungen aus zwei oder mehr derselben.
- Die kalandrierte Faserbahn ist bevorzugt ein kalandriertes Papier oder ein kalandriertes Vlies. Solche bevorzugten kalandrierten Faserbahnen können mittels den im Stand der Technik bekannten Verfahren hergestellt werden.
- Das erfindungsgemäße Segment umfasst ein Filtermaterial, wobei mindestens 10% der Masse des Filtermaterials durch die kalandrierte Faserbahn gebildet werden. Das Filtermaterial kann vollständig durch die kalandrierte Faserbahn gebildet werden. Der Zweck der kalandrierten Faserbahn besteht aber vor allem darin, den Zugwiderstand des Segments von der Filtrationseffizienz zu entkoppeln. Um diesen Zweck zu erfüllen, müssen mindestens 10% der Masse des Filtermaterials durch die kalandrierte Faserbahn gebildet werden. Es ist aber vorteilhaft, die kalandrierte Faserbahn mit weiterem Filtrationsmaterial zu kombinieren.
- In einer bevorzugten Ausführungsform umfasst das Filtermaterial des erfindungsgemäßen Segments die kalandrierte Faserbahn und ein weiteres Filtrationsmaterial, wobei das weitere Filtrationsmaterial vorzugsweise ausgewählt ist aus der Gruppe bestehend aus Filterpapieren, Vliesen oder Spinnkabeln und Kombinationen derselben.
- Besonders bevorzugt ist das weitere Filtrationsmaterial ausgewählt aus der Gruppe bestehend aus Filterpapieren, cellulosebasierten Vliesen, nassvernadelten Vliesen, Spinnkabeln umfassend Celluloseacetat, Spinnkabeln umfassend regenerierte Cellulose und Kombinationen zwei oder mehr derselben. Diese weiteren Filtrationsmaterialien erlauben es besonders gut die Filtrationseffizienz des Segments zu beeinflussen.
- In einer ganz besonders bevorzugten Ausführungsform ist das weitere Filtrationsmaterial ein Filterpapier, ein cellulosebasiertes Vlies, ein nassvernadeltes Vlies oder eine Kombination von zwei oder mehr derselben. Diese weiteren Filtrationsmaterialien weisen eine gute biologische Abbaubarkeit auf und können daher besonders vorteilhaft mit der kalandrierten Faserbahn kombiniert werden. In einer Weiterbildung dieser ganz besonders bevorzugten Ausführungsform ist das weitere Filtrationsmaterial bahnförmig und auf die kalandrierte Faserbahn kaschiert.
- Bevorzugt sind mindestens 10% und höchstens 90% und besonders bevorzugt mindestens 20% und höchstens 70% der Masse des Filtermaterials durch das weitere Filtrationsmaterial gebildet.
- In einer ganz besonders bevorzugten Ausführungsform, die die Wirkung der kalandrierten Faserbahn auf den Zugwiderstand und die Filtrationseffizienz mit der biologischen Abbaubarkeit des Segments in besonders günstiger Weise kombiniert, umfasst das Segment eines Rauchartikels ein Umhüllungsmaterial und ein Filtermaterial, wobei das Umhüllungsmaterial das Filtermaterial umhüllt und mindestens 70% und höchstens 100% der Masse des Filtermaterials durch eine kalandrierte Faserbahn gebildet werden, und wobei mindestens 50% und höchstens 100% der Masse der kalandrierten Faserbahn durch organische Polymerfasern gebildet werden und wobei die kalandrierte Faserbahn einen Kompressionsfaktor von mindestens 0,45 und höchstens 0,85 aufweist und höchstens 30% und insbesondere höchstens 20% der Masse des Filtermaterials durch Celluloseacetat gebildet werden.
- Das erfindungsgemäße Segment für einen Rauchartikel umfasst das Filtermaterial und ein Umhüllungsmaterial, wobei das Umhüllungsmaterial das Filtermaterial umhüllt und bevorzugt ein Papier oder eine Folie ist.
- Das Umhüllungsmaterial ist dabei streng von der kalandrierten Faserbahn zu unterscheiden, die Bestandteil des Filtermaterials ist. An das Umhüllungsmaterial eines Segments für einen Rauchartikel werden ganz andere Anforderungen gestellt, wie Verarbeitbarkeit durch Verklebung, Luftdurchlässigkeit, Farbe, die Eignung zur Perforation und fallweise die Bedruckbarkeit, während Filtrationseigenschaften und die Auswirkung auf den Zugwiderstand bedeutungslos sind.
- Das Umhüllungsmaterial des erfindungsgemäßen Segments hat bevorzugt ein Flächengewicht von mindestens 20 g/m2 und höchstens 150 g/m2, besonders bevorzugt von mindestens 30 g/m2 und höchstens 130 g/m2. Ein Umhüllungsmaterial mit diesem bevorzugten oder besonders bevorzugten Flächengewicht verleiht dem damit umhüllten, erfindungsgemäßen Segment in Kombination mit dem Filtermaterial eine besonders vorteilhafte Härte. Damit kann der Raucher das im Rauchartikel befindliche Segment nicht versehentlich zusammendrücken.
- In einer bevorzugten Ausführungsform des erfindungsgemäßen Segments ist das Segment zylindrisch mit einer näherungsweise kreisrunden oder ovalen äußeren Begrenzung der Querschnittsfläche mit einem nominalen Durchmesser dieser Begrenzung von mindestens 3 mm und höchstens 10 mm, besonders bevorzugt von mindestens 4 mm und höchstens 9 mm und ganz besonders bevorzugt von mindestens 5 mm und höchstens 8 mm. Diese nominalen Durchmesser sind für die Verwendung der erfindungsgemäßen Segmente in Rauchartikeln günstig. Der nominale Durchmesser kann gemäß ISO 2971:2013 bestimmt werden.
- In einer bevorzugten Ausführungsform des erfindungsgemäßen Segments hat das Segment eine Länge von mindestens 4 mm und höchstens 40 mm, besonders bevorzugt von mindestens 6 mm und höchstens 35 mm und ganz besonders bevorzugt von mindestens 10 mm und höchstens 28 mm.
- Der Zugwiderstand des Segments bestimmt unter anderem, welche Druckdifferenz der Raucher beim Konsum des Rauchartikels aufbringen muss, um einen bestimmten Volumenstrom durch den Rauchartikel zu erzeugen, und er beeinflusst daher wesentlich die Akzeptanz des Rauchartikels beim Raucher. Der Zugwiderstand des Segments kann nach ISO 6565:2015 gemessen werden und wird in mm Wassersäule (mmWG) angegeben. In sehr guter Näherung ist der Zugwiderstand des Segments proportional zur Länge des Segments, sodass die Messung des Zugwiderstands auch an Stäben erfolgen kann, die sich vom Segment nur in der Länge unterscheiden. Daraus kann der Zugwiderstand des Segments einfach berechnet werden.
- Der Zugwiderstand des Segments pro Länge des Segments beträgt bevorzugt mindestens 0,05 mmWG/mm und höchstens 12,0 mmWG/mm, besonders bevorzugt mindestens 0,1 mmWG/mm und höchstens 10,0 mmWG/mm und ganz besonders bevorzugt mindestens 0,1 mmWG/mm und höchstens 4,0 mmWG/mm.
- Das Segment weist typischerweise eine im Wesentlichen zylindrische Form mit näherungsweise kreisrunder oder ovaler äußerer Begrenzung der Querschnittsfläche auf und kann in seinem Inneren einen oder mehrere Hohlräume aufweisen, beispielsweise um Aktivkohlepartikel oder zerbrechbare Kapseln mit Aromastoffen aufzunehmen. Die Hohlräume können auch als eine oder mehrere längliche Röhren gebildet sein, die zumindest näherungsweise parallel zur Längsachse des Segments verlaufen und sich ganz innerhalb des Segments befinden oder an einer oder beiden Endflächen des Segments enden. Solche Hohlräume können ebenfalls die Filtrationseffizienz und den Zugwiderstand beeinflussen. Die Richtung der Längsachse stimmt mit der Strömungsrichtung des Aerosols im Rauchartikel überein, wenn der Raucher beim Gebrauch des Rauchartikels an dem Rauchartikel zieht.
- Das erfindungsgemäße Segment kann auch ein aerosolbildendes Material, insbesondere ein Tabakmaterial enthalten.
- Die Herstellung eines erfindungsgemäßen Segments kann nach den im Stand der Technik bekannten Verfahren erfolgen.
- Der erfindungsgemäße Filterstab ist zylindrisch mit näherungsweise kreisrunder oder ovaler äußerer Begrenzung der Querschnittsfläche, weist eine Länge von mindestens 40 mm und höchstens 200 mm auf und umfasst mindestens ein erfindungsgemäßes Segment.
- Bevorzugt umfasst der Filterstab mindestens ein erfindungsgemäßes Segment und mindestens ein weiteres Segment, das ein Filtermaterial umfasst, wobei die Segmente in Längsrichtung des Filterstabs nacheinander angeordnet sind. Besonders bevorzugt umfasst das Filtermaterial des weiteren Segments Celluloseactetat.
- Bevorzugt umfasst der Filterstab eine Vielzahl erfindungsgemäßer Segmente und eine Vielzahl weiterer, untereinander gleichartiger Segmente, wobei die Anzahl der erfindungsgemäßen Segmente und die Anzahl der weiteren, untereinander gleichartigen Segmente im Filterstab gleich ist und in Längsrichtung des Filterstabs jeweils ein erfindungsgemäßes Segment und ein weiteres Segment abwechselnd nacheinander angeordnet sind. In einer besonders bevorzugten Ausführungsform dieses Filterstabs beträgt die Anzahl der erfindungsgemäßen Segmente und die Anzahl der weiteren, untereinander gleichartigen Segmente jeweils zwei, drei, vier, fünf oder sechs.
- Ein solcher, als "Dual-Filter" bezeichneter Filterstab erlaubt es, die günstigen Eigenschaften des erfindungsgemäßen Segments mit einem anderen Segment zu kombinieren, das neben seinen Filtrationseigenschaften auch für ein gutes optisches Erscheinungsbild des Mundendes eines aus dem Filterstab gefertigten Rauchartikels sorgt.
- Bevorzugt ist der Filterstab zylindrisch mit einer näherungsweise kreisrunden oder ovalen äußeren Begrenzung der Querschnittsfläche mit einem nominalen Durchmesser von mindestens 3 mm und höchstens 10 mm, besonders bevorzugt von mindestens 4 mm und höchstens 9 mm und ganz besonders bevorzugt von mindestens 5 mm und höchstens 8 mm. Der nominale Durchmesser kann gemäß ISO 2971:2013 bestimmt werden.
- Die Herstellung eines erfindungsgemäßen Filterstabs kann nach den im Stand der Technik bekannten Verfahren erfolgen.
- Der erfindungsgemäße Rauchartikel umfasst mindestens zwei Segmente, wobei eines der Segmente ein Segment nach einer der vorstehend beschriebenen Ausführungsformen ist und mindestens eines der Segmente ein aerosolbildendes Material enthält.
- Die Erfinder haben gefunden, dass sich die erfindungsgemäßen Segmente besonders vorteilhaft in Rauchartikeln einsetzen lassen, die mindestens drei Segmente umfassen, wobei ein erstes Segment ein aerosolbildendes Material enthält, ein zweites Segment ein Segment nach einer der vorstehend beschriebenen Ausführungsformen ist und ein drittes Segment der Filtration dienen kann, und wobei das zweite Segment zwischen dem ersten und dem dritten Segment angeordnet ist.
- Durch die Kombination des zweiten Segments mit dem dritten Segment lässt sich ein noch größerer Bereich an Filtrationseffizienzen und Zugwiderständen abdecken und die Filtrationseffizienz noch besser an jene von üblichen Filtern, beispielsweise aus Celluloseacetat, anpassen. Dabei ergibt sich die gewünschte Filtrationseffizienz durch die Kombination des zweiten und dritten Segments und der Zugwiderstand kann dann durch die Menge der kalandrierten Faserbahn im zweiten Segment eingestellt werden, ohne die Filtrationseffizienz wesentlich zu verändern. Ein solcher Rauchartikel lässt sich beispielsweise aus dem weiter oben als "Dual-Filter" bezeichneten Filterstab herstellen.
- In einer bevorzugten Ausführungsform umfasst der Rauchartikel daher mindestens drei Segmente, wobei ein erstes Segment ein aerosolbildendes Material enthält, ein zweites Segment ein Segment nach einer der vorstehend beschriebenen Ausführungsformen ist und wobei das zweite Segment zwischen dem ersten und dem dritten Segment angeordnet ist. In einer besonders bevorzugten Ausführungsform dieses Rauchartikels ist der Zugwiderstand des dritten Segments höher als jener des zweiten Segments. In einer besonders bevorzugten Ausführungsform dieses Rauchartikels beträgt das Verhältnis der Länge des zweiten Segments zur Länge des dritten Segments mindestens 1:2 und höchstens 5:1, besonders bevorzugt mindestens 1:1 und höchstens 3:1. Die Länge der Segmente beeinflusst den Zugwiderstand, sodass sich durch Wahl der Länge der Zugwiderstand noch besser anpassen lässt.
- In einer besonders bevorzugten Ausführungsform dieses Rauchartikels umfasst das dritte Segment ein Filterpapier, ein cellulosebasiertes Vlies, ein nassvernadeltes Vlies, ein Spinnkabel umfassend Celluloseacetat oder ein Spinnkabel umfassend regenerierte Cellulose.
- In einer bevorzugten Ausführungsform ist der Rauchartikel eine Filterzigarette und das aerosolbildende Material umfasst Tabak.
- Das erfindungsgemäße Segment ist besonders gut für Rauchartikel geeignet, in deren bestimmungsgemäßem Gebrauch das aerosolbildende Material nur aufgeheizt aber nicht verbrannt wird. Solche Rauchartikel bestehen oft aus mehreren, typischerweise zwei bis vier Segmenten, wobei ein Segment das aerosolbildende Material enthält und die anderen Segmente dem Transfer, dem Abkühlen oder dem Filtrieren des Aerosols dienen können. Diese Segmente erfordern höchst unterschiedliche Zugwiderstände und Filtrationseffizienzen, sodass für derartige Rauchartikel ein besonderer Bedarf besteht, Zugwiderstand und Filtrationseffizienz eines Segments einfach und zuverlässig in einem weiten Bereich einstellen zu können.
- In einer bevorzugten Ausführungsform ist daher der Rauchartikel ein Rauchartikel, in dessen bestimmungsgemäßem Gebrauch das aerosolbildende Material nur aufgeheizt, aber nicht verbrannt wird und das aerosolbildende Material umfasst ein Material ausgewählt aus der Gruppe bestehend aus Tabak, rekonstituiertem Tabak, Nikotin, Glycerol, Propylenglykol, und Aromastoffen, oder eine Mischung aus zwei oder mehr dieser Materialien, und besonders bevorzugt wird das aerosolbildende Material elektrisch aufgeheizt. Das aerosolbildende Material kann dabei auch als Gel oder in flüssiger Form vorliegen und bevorzugt in einem Behältnis in einem Segment des Rauchartikels enthalten sein.
- Sowohl das erfindungsgemäße Segment als auch ein erfindungsgemäßer Rauchartikel können mittels aus dem Stand der Technik bekannten Verfahren hergestellt werden.
-
- Fig. 1
- zeigt ein Diagramm der Filtrationseffizienz für Nikotin in Abhängigkeit von dem Zugwiderstand für Segmente gemäß der Erfindung und gemäß dem Stand der Technik.
- Im Folgenden werden einige bevorzugte Ausführungsformen eines erfindungsgemäßen Segments beschrieben und mit nicht erfindungsgemäßen Beispielen verglichen.
- Eine bespielhafte Faserbahn eines erfindungsgemäßen Segments mit einem Flächengewicht von 32 g/m2, deren flächenbezogene Masse aus m1 = 27,0 g/m2 Zellstofffasern, mit der Dichte ρ1 = 1,5 g/cm3, aus m2 = 3,2 g/m2 Calciumcarbonatpartikeln, mit der Dichte ρ2 = 2,7 g/cm3 und der restlichen Masse aus weiteren Zusatzstoffen besteht, hat im Sinne dieser Erfindung eine volumengewichtete Dichte ρo der Bestandteile von
- Die weiteren Zusatzstoffe wurden dabei vernachlässigt, weil ihr Einfluss auf die Dichte gering ist.
-
- Eine weitere beispielhafte Faserbahn eines erfindungsgemäßen Segments mit einem Flächengewicht von 25 g/m2, deren flächenbezogene Masse aus m1 = 22,5 g/m2 Polyethylenfasern, mit der Dichte ρ1 = 0,95 g/cm3, aus m2 = 2,0 g/m2 Titandioxidpartikeln, mit der Dichte ρ2 = 4,2 g/cm3 und der restlichen Masse aus weiteren Zusatzstoffen besteht, hat im Sinne dieser Erfindung eine Dichte ρo der Bestandteile von
- Die weiteren Zusatzstoffe wurden dabei vernachlässigt, weil ihr Einfluss auf die Dichte gering ist.
-
- Die Dichten der Bestandteile der kalandrierten Faserbahn sind im Allgemeinen aus dem Stand der Technik bekannt. Beispielhaft zeigt Tabelle 1 einige typische Werte.
Tabelle 1 Dichte g/cm3 Zellstoff 1,5 Regenerierte Cellulose 1,5 Celluloseacetat 1,3 Polylactide 1,2 - 1,4 Polyethlyen 0,9 - 1,0 Polypropylen 0,9 Calciumcarbonat 2,7 Titandioxid 4,2 Talkum 2,6 - 2,8 - Ein Gemisch aus Zellstofffasern bestehend aus 80% Zellstofffasern aus Fichte und Kiefer und 20% Zellstofffasern aus Birke wurde zur Herstellung der kalandrierten Faserbahn verwendet. Die Zellstofffasern aus Fichte und Kiefer wurden auf einen Mahlgrad von 67 °SR, gemessen nach ISO 5267-1:1999, gemahlen. Der Faserbahn wurde Stärke hinzugefügt, sodass sie zu etwa 95% ihrer Masse aus Zellstofffasern und zu 5% aus Stärke bestand. Die Faserbahn wurde auf einer üblichen Papiermaschine hergestellt und in einem in die Papiermaschine integrierten Kalander bei erhöhter Feuchtigkeit der Faserbahn kalandriert.
- Die Dichte der Bestandteile, unter Vernachlässigung der Stärke, betrug also ρo = 1,5 g/m2.
-
- Die Zugfestigkeit und die Bruchdehnung der kalandrierten Faserbahn A wurden gemäß ISO 1924-2:2008 bestimmt, wobei für die Zugfestigkeit in Maschinenrichtung ein Wert von 51,6 N/15 mm und für die Bruchdehnung in Maschinenrichtung ein Wert von 1,1% erhalten wurde.
- Die Faserbahn wurde auch noch intensiver und weniger intensiv kalandriert, sodass sich andere Dicken und Kompressionsfaktoren ergaben, wie weiter unten in Tabelle 3 ausgeführt.
- Fasern regenerierter Cellulose wurden auf einen Mahlgrad von 73°SR, gemessen nach ISO 5267-1:1999, gemahlen. Aus den Fasern wurde mit geeigneten Prozesshilfsmitteln eine Faserbahn auf einer Papiermaschine gebildet, sodass die Faserbahn zu etwa 99% ihrer Masse aus den Fasern regenerierter Cellulose bestand. Die Faserbahn wurde in einem in die Papiermaschine integrierten Kalander bei erhöhter Feuchtigkeit der Faserbahn kalandriert.
- Die Dichte der Bestandteile betrug also ρo = 1,5 g/cm3.
-
- Die Zugfestigkeit und die Bruchdehnung der kalandrierten Faserbahn B wurden gemäß ISO 1924-2:2008 bestimmt, wobei für die Zugfestigkeit in Maschinenrichtung ein Wert von 61,7 N/15 mm und für die Bruchdehnung in Maschinenrichtung ein Wert von 1,0% erhalten wurde.
- Aus den kalandrierten Faserbahnen A und B wurden jeweils zylindrische Filterstäbe mit einer Länge von 108 mm und einem Durchmesser von etwa 7,1 mm gefertigt, wobei das Filtermaterial der Filterstäbe vollständig durch die kalandrierte Faserbahn gebildet wurde und von einem geeigneten Umhüllungsmaterial mit einem Flächengewicht von 78 g/m2 umhüllt war. Die Breite der Faserbahn, die zur Herstellung der Filterstäbe verwendet wurde, variierte zwischen 60 mm und 242 mm, wodurch unterschiedlich viel Filtermaterial im Filterstab vorhanden war, um den Zugwiderstand zu verändern. Die Länge der kalandrierten Faserbahn, die zur Herstellung der Filterstäbe verwendet wurde, betrug etwa 108 mm.
- Aus den Filterstäben mit 108 mm Länge wurden Filterzigaretten hergestellt, wobei die Filterstäbe, geschnitten zu Segmenten mit einer Länge von 18 mm, als Filtersegment in der Filterzigarette dienten. Die Tabakmischung der Filterzigarette war ein American Blend und die Filterzigaretten unterschieden sich im Rahmen der üblichen Produktionstoleranzen nur durch das Filtersegment.
- Als charakteristischer Parameter für die Filtrationseffizienz wurde die Filtrationseffizienz für Nikotin gemessen. Dazu wurden die Filterzigaretten nach dem in ISO 3308:2012 spezifizierten Verfahren abgeraucht und sowohl die aus dem Mundende austretende Masse an Nikotin (m) als auch die im Filtersegment enthaltene Masse an Nikotin (mFilter) bestimmt und durch
die Filtrationseffizienz für Nikotin berechnet. Sie kann als Prozentsatz ausgedrückt werden und beschreibt das Verhältnis der im Filter zurückgehaltenen Menge an Nikotin zu der in den Filter einströmenden Menge an Nikotin. - Tabelle 2 zeigt die verwendete Breite der Faserbahn (W), den Zugwiderstand (PD) und die Filtrationseffizienz (FE) für Nikotin jeweils für ein 18 mm langes Segment, gefertigt aus den kalandrierten Faserbahnen A und B.
- Diese Ergebnisse wurden mit Filtern aus Papier, das der kalandrierten Faserbahn A hinsichtlich Zusammensetzung und Flächengewicht sehr ähnlich aber nicht kalandriert war, und Celluloseacetat verglichen. Die Ergebnisse sind in
Fig. 1 dargestellt. Das Diagramm inFig. 1 zeigt auf der horizontalen Achse den Zugwiderstand (PD) eines 18 mm langen Segments in mmWG und auf der vertikalen Achse die Filtrationseffizienz (FE) für Nikotin in %. Dabei sind Werte für Segmente aus der kalandrierten Faserbahn A (Kreise), aus der kalandrierten Faserbahn B (Kreuze), aus einem nicht kalandrierten Filterpapier (Dreiecke) und Celluloseacetat (Quadrat) dargestellt. Man erkennt den überraschenden Effekt, dass sich bei den Segmenten aus den kalandrierten Faserbahnen A und B die Filtrationseffizienz mit steigendem Zugwiderstand im Rahmen der Messtoleranzen nicht ändert, während sie für die Segmente aus dem nicht kalandrierten Filterpapier und dem Celluloseacetat deutlich zunimmt. Der Vergleich zwischen den Segmenten aus der kalandrierten Faserbahn A (Kreise) und aus dem nicht kalandrierten Filterpapier (Dreiecke) zeigt, dass das Kalandrieren und der damit erzielte Kompressionsfaktor ein wesentliches Merkmal ist, um Zugwiderstand und Filtrationseffizienz zu entkoppeln.Tabelle 2 Faserbahn W PD FE [mm] [mmWG] [%] A 40 1,2 37,3 A 79 9,2 37,1 A 119 27,8 39,7 A 159 46,4 36,4 B 60 1,8 56,8 B 121 14,1 56,1 B 181 42,3 54,6 B 242 70,7 55,4 - Um festzustellen, in welchem Bereich des Kompressionsfaktors der kalandrierten Faserbahn der Zugwiderstand und die Filtrationseffizienz im Wesentlichen entkoppelt sind, wurde eine Faserbahn mit der Zusammensetzung der Faserbahn A bei unterschiedlichen Einstellungen des Kalanders kalandriert, sodass sich verschiedene Dicken und Dichten der kalandrierten Faserbahn ergaben. Es wurden jeweils aus einer 40 mm und einer 159 mm breiten kalandrierten Faserbahn 108 mm lange Filterstäbe gefertigt und in 18 mm lange Segmente geschnitten. Der Zugwiderstand der Segmente, Δp40 für die 40 mm breite Faserbahn und Δp159 für die 159 mm breite Faserbahn und die Filtrationseffizienz für Nikotin der Segmente, F40 für die 40 mm breite Faserbahn und F159 für die 159 mm breite Faserbahn, wurden wie weiter oben beschrieben bestimmt und daraus eine mittlere Änderungsrate der Filtrationseffizienz für Nikotin bezogen auf die Änderung des Zugwiderstands durch
bestimmt. - Die Ergebnisse sind in Tabelle 3 angegeben, wobei zum Vergleich auch eine in analoger Weise bestimmte mittlere Änderungsrate der Filtrationseffizienz für Nikotin für das Segment aus dem nicht kalandrierten Filterpapier (Y), ρo = 1,5 g/cm3, und aus Celluloseacetat (Z) aus den Daten von
Fig.1 angegeben sind. Die Tabelle 3 enthält die Dicke (D), den Kompressionsfaktor (C) und die mittlere Änderungsrate der Filtrationseffizienz für Nikotin (ΔF/ΔP).Tabelle 3 Material D C ΔF/ΔP [µm] [%/mmWG] A 48 0,462 0,33 A 41 0,541 0,08 A 33 0,672 -0,02 A 27 0,821 0,03 A 25 0,887 0,15 Y 52 0,426 0,46 Z --- --- 0,45 - Aus Tabelle 3 erkennt man, dass in einem Bereich des Kompressionsfaktors der kalandrierten Faserbahn von etwa 0,45 bis etwa 0,85 der Zugwiderstand und die Filtrationseffizienz für Nikotin weitgehend entkoppelt sind. Zwar ist auch bei einem Kompressionsfaktor von über 0,85 die mittlere Änderungsrate der Filtrationseffizient (ΔF/ΔP) noch gering, aber der für das Kalandrieren erforderliche Druck ist schon sehr hoch, sodass es sich als günstig erweist, den Kompressionsfaktor nicht höher als 0,85 zu wählen.
- Im Zusammenhang mit Tabelle 2 zeigt sich des Weiteren anhand der Daten für die kalandrierte Faserbahn B, dass eine Entkopplung von Zugwiderstand und Filtrationseffizienz weitgehend unabhängig von der Zusammensetzung der kalandrierten Faserbahn auftritt. Das erfindungsgemäße Intervall des Kompressionsfaktors gilt daher unabhängig von der Zusammensetzung der Faserbahn.
- Eine Faserbahn mit einem Flächengewicht von 23 g/m2 wurde aus einem Gemisch aus Zellstofffasern bestehend aus 45% Zellstofffasern aus Fichte und Kiefer und 55% Zellstofffasern aus Eukalyptus hergestellt. Die Zellstofffasern aus Fichte und Kiefer wurden auf einen Mahlgrad von 94 °SR, gemessen nach ISO 5267-1:1999, gemahlen. Die Faserbahn wurde auf einer üblichen Papiermaschine hergestellt, danach auf einer separaten Beschichtungsvorrichtung mit Stärke vollflächig auf beiden Seiten beschichtet und in einer weiteren Vorrichtung bei erhöhter Feuchtigkeit der Faserbahn kalandriert, um die kalandrierte Faserbahn C zu erhalten.
- Die auf die beiden Seiten zusammen durch die Beschichtung aufgetragene Menge an Stärke betrug etwa 1,5 g/m2, also 6,12% der Masse der kalandrierten Faserbahn, sodass sich ein Flächengewicht von 24,5 g/m2 ergab.
- Die Dichte der Bestandteile, unter Vernachlässigung der Stärke, betrug also ρo = 1,5 g/cm3.
-
- Die Zugfestigkeit und die Bruchdehnung der kalandrierten Faserbahn C wurden gemäß ISO 1924-2:2008 bestimmt, wobei für die Zugfestigkeit in Maschinenrichtung ein Wert von 29 N/15 mm und für die Bruchdehnung in Maschinenrichtung ein Wert von 2,0% erhalten wurde.
- Eine kalandrierte Faserbahn D wurde auf gleiche Weise, allerdings ohne Beschichtung hergestellt.
- Aus den kalandrierten Faserbahnen wurden Filterstäbe mit einer Länge von 108 mm hergestellt, wobei die kalandrierte Faserbahn C in einer Breite von 120 mm und 220 mm und die kalandrierte Faserbahn D in einer Breite von 120 mm und 180 mm verwendet wurden, um vier verschiedene Segmente zu erzeugen. Die Länge der kalandrierten Faserbahn stimmte in allen Fällen etwa mit der Länge der Filterstäbe von 108 mm überein. Die Filterstäbe waren mit einem Umhüllungsmaterial mit einem Flächengewicht von 78 g/m2 umhüllt. Wie für die Faserbahnen A und B wurde die Filtrationseffizienz für Nikotin bestimmt und in Tabelle 4 sind die Breite (W) der kalandrierten Faserbahn, der Zugwiderstand (PD) eines 18 mm langen Segments und die Filtrationseffizienz (FE) für Nikotin angegeben.
Tabelle 4 Faserbahn W PD FE [mm] [mmWG] [%] C 120 5,9 29,3 C 220 22,5 30,8 D 120 2,9 35,9 D 180 6,7 37,4 - Während bei den aus der kalandrierten Faserbahn D hergestellten erfindungsgemäßen Segmenten, die Filtrationseffizienz noch etwas vom Zugwiderstand abhängt und sich mit einer Änderungsrate von (37,4 - 35,9)/(6,7-2,9) = 0,39 %/mmWG ändert, beträgt diese Änderungsrate bei den aus der beschichteten und kalandrierten Faserbahn C hergestellten erfindungsgemäßen Segmenten nur noch (29,3 - 30,8)/(22,5 - 5,9) = 0,09 %/mmwG. Dies zeigt, dass sich durch die Beschichtung Zugwiderstand und Filtrationseffizienz noch besser entkoppeln lassen.
- Ein Vergleich dieser Änderungsraten von Segmenten aus den kalandrierten Faserbahnen A und B, mit einem Flächengewicht von 35 g/m2 bzw. 42 g/m2, mit Segmenten aus den kalandrierten Faserbahnen C und D, mit einem Flächengewicht von 24,5 g/m2 bzw. 23 g/m2, zeigt auch, dass die positive Wirkung des Kalandrierens bei geringerem Flächengewicht der kalandrierten Faserbahn geringer ausfällt und dieser Effekt durch eine Beschichtung gut kompensiert werden kann.
- Ausgehend von einem 18 mm langen Filtersegment aus Celluloseacetat mit einem Zugwiderstand von etwa 30 mmWG und einer Filtrationseffizienz für Nikotin von 22,4% wurde die Masse an Celluloseacetat reduziert und eine 79 mm breite, kalandrierte Faserbahn A in das Filtermaterial hinzugefügt. Das 18 mm lange Segment hatte dann einen Zugwiderstand von etwa 15 mmWG und eine Filtrationseffizienz von 22,8%. Daran zeigt sich, dass es mit dem erfindungsgemäßen Segment möglich ist, den Zugwiderstand auf etwa die Hälfte zu reduzieren und die Filtrationseffizienz für Nikotin annähernd konstant zu halten. Möchte man eine solche Reduktion des Zugwiderstands ohne den Einsatz der kalandrierten Faserbahn A erreichen, wären sowohl die Filtrationseffizienz für Nikotin zu niedrig als auch die Härte des Filtersegments unzureichend.
- Die Ergebnisse zeigen also, dass das erfindungsgemäße Segment große Vorteile bei der Einstellung von Zugwiderstand und Filtrationseffizienz unter Berücksichtigung der Härte des Segments bieten kann und dass auch zusätzliche Verbesserungen bei der biologischen Abbaubarkeit erreicht werden können.
- Eine erfindungsgemäße Filterzigarette F mit einer Länge von 83 mm und einem Durchmesser von 7,8 mm bestehend aus drei Segmenten wurde hergestellt, wobei das erste Segment eine American Blend Tabakmischung enthielt, das zweite Segment ein erfindungsgemäßes Segment aus der kalandrierten Faserbahn C war und das dritte Segment ein Filterpapier enthielt. Das zweite Segment war zwischen dem ersten und dem dritten Segment angeordnet und das dritte Segment bildete das Mundende der Filterzigarette.
- Das zweite Segment hatte eine Länge von 18 mm bei einem Zugwiderstand von 22 mmWG, während das dritte Segment 9 mm lang war und einen Zugwiderstand von 46 mmWG hatte.
- Das Filterpapier im dritten Segment war ein im Wesentlichen aus 100% Zellstofffasern bestehendes Papier mit einem Flächengewicht von 35 g/m2 und einer Dicke von 88 µm.
- Als nicht erfindungsgemäßes Vergleichsbeispiel wurde eine Filterzigarette X mit 83 mm, einem Durchmesser von 7,8 mm, einer American Blend Tabakmischung und einem 27 mm langen Filtersegment aus Celluloseacetat hergestellt. Das Filtersegment hatte einen Zugwiderstand von 84 mmWG.
- Die erfindungsgemäße Filterzigarette F und die als nicht erfindungsgemäßes Vergleichsbeispiel dienende Filterzigarette X enthielten dieselbe Masse an Tabak und waren durch eine Perforation im Bereich des Filters ventiliert, wobei der Ventilationsgrad so eingestellt wurde, dass beide Filterzigaretten einen offenen Zugwiderstand von etwa 110 mmWG aufwiesen.
- Beide Filterzigaretten wurde nach den in ISO 3308 und ISO 4387 standardisierten Verfahren abgeraucht und die gesamte partikuläre Phase (TPM), Nikotin und Kohlenmonoxid (CO), sowie die Zugzahl (PC) bestimmt.
- Dabei ergaben sich die in Tabelle 5 dargestellten Werte.
Tabelle 5 TPM Nikotin CO PC Zigarette mg/cig mg/cig mg/cig F 10,7 0,68 13,6 7,8 X 10,5 0,70 13,4 7,7 - Man erkennt an diesen Daten, dass durch die Kombination des erfindungsgemäßen Segments mit einem weiteren der Filtration dienenden Segment die Abrauchwerte sich sehr gut an eine ansonsten identische Filterzigarette mit einem Filter aus Celluloseacetat anpassen lassen. Neben der Flexibilität bei der Einstellung von Zugwiderstand und Filtrationseffizienz ergeben sich hier noch bedeutende ökologische Vorteile, weil auf das nur schwer biologisch abbaubare Celluloseacetat verzichtet werden kann.
Claims (15)
- Segment für einen Rauchartikel, welches ein Umhüllungsmaterial und ein Filtermaterial umfasst, wobei das Umhüllungsmaterial das Filtermaterial umhüllt und das Filtermaterial zu mindestens 10% und höchstens 100% seiner Masse durch eine kalandrierte Faserbahn gebildet wird, wobei mindestens 50% und höchstens 100% der Masse der kalandrierten Faserbahn durch organische Polymerfasern gebildet sind, dadurch kennzeichnet, dass die kalandrierte Faserbahn einen Kompressionsfaktor C von mindestens 0,45 und höchstens 0,85 aufweist,
wobei der Kompressionsfaktor C durch berechnet wird, wobeid die nach ISO 534:2011 bestimmte Dicke der kalandrierten Faserbahn ist, mi, mit 1 ≤ i ≤ N, die flächenbezogene Masse des i-ten von N ≥ 1 Bestandteilen der kalandrierten Faserbahn ist,und ρi, mit 1 ≤ i ≤ N, die Dichte des i-ten der N ≥ 1 Bestandteile ist,wobei die N bei der Berechnung des Kompressionsfaktors C berücksichtigten Bestandteile so gewählt sind, dass die Summe der flächenbezogenen Massen mi von i=1 bis i=N mindestens 90% der nach ISO 536:2019 bestimmten, flächenbezogenen Masse der kalandrierten Faserbahn beträgt. - Segment nach Anspruch 1, bei dem mindestens 20% und höchstens 90%, vorzugsweise mindestens 25% und höchstens 75% oder mindestens 30% und höchstens 100% der Masse des Filtermaterials durch die kalandrierte Faserbahn gebildet ist, und/oder bei dem der Kompressionsfaktor der kalandrierten Faserbahn mindestens 0,50 und höchstens 0,80, vorzugsweise mindestens 0,55 und höchstens 0,75 beträgt.
- Segment nach einem der vorhergehenden Ansprüche, bei dem mindestens 80 Gew.-%, vorzugsweise mindestens 90 Gew.-% und insbesondere sämtliche organischen Polymerfasern Fasern aus Biopolymeren sind, wobei die genannten Fasern aus Biopolymeren vorzugsweise Fasern aus cellulosebasierten Biopolymeren, und insbesondere Zellstofffasern, Fasern aus regenerierter Cellulose oder Fasern aus Celluloseacetat sind, wobei die genannten Fasern vorzugsweise aus Biopolymeren durch Zellstofffasern, Fasern aus regenerierter Cellulose, oder eine Mischung daraus gebildet sind, oder bei dem mindestens 80 Gew.-%, vorzugsweise mindestens 90 Gew.-% und insbesondere sämtliche der genannten organischen Polymerfasern durch Zellstofffasern gebildet sind, die aus Nadelbäumen, Laubbäumen, Hanf, Flachs, Jute, Ramie, Kenaf, Kapok, Kokosnuss, Abacá, Sisal, Bambus, Baumwolle oder Espartogras gewonnen sind, oder durch eine Mischung aus Zellstofffasern von zwei oder mehr dieser Bäume oder Pflanzen gebildet sind.
- Segment nach einem der vorhergehenden Ansprüche, bei dem der Anteil der organischen Polymerfasern an der Masse der kalandrierten Faserbahn mindestens 60% und höchstens 100%, vorzugsweise mindestens 70% und höchstens 95% beträgt, und/oder bei dem die kalandrierte Faserbahn weniger als 40%, vorzugsweise weniger als 30% und besonders bevorzugt weniger als 20% Fasern aus Celluloseacetat, jeweils bezogen auf die Masse der kalandrierten Faserbahn, enthält , und insbesondere frei von Fasern aus Celluloseacetat ist.
- Segment nach einem der vorhergehenden Ansprüche, bei dem die kalandrierte Faserbahn Füllstoff enthält, wobei der Anteil an Füllstoff bezogen auf die Masse der kalandrierten Faserbahn mindestens 0% und höchstens 50%, vorzugsweise mindestens 0% und höchstens 30% und besonders bevorzugt mindestens 0% und höchstens 5% beträgt, oder bei dem der Anteil an Füllstoff bezogen auf die Masse der kalandrierten Faserbahn zwischen 5 % und 35 % beträgt, wobei der Füllstoff vorzugsweise ausgewählt ist aus der Gruppe bestehend aus Calciumcarbonat, Magnesiumcarbonat, Titandioxid, Magnesiumoxid, Magnesiumhydroxid, Aluminiumhydroxid, Magnesiumsilikat, Aluminiumsilikat, Kaolin, Talkum, Bentonit, oder durch eine Mischung aus zwei oder mehr dieser Füllstoffarten gebildet ist, und/oder bei dem vorzugsweise mindestens 0% und höchstens 10% der Masse der kalandrierten Faserbahn, vorzugsweise mindestens 1% und höchstens 9% der Masse der kalandrierten Faserbahn durch einen oder mehrere Zusatzstoffe gebildet sind, der bzw. die ausgewählt sind aus der Gruppe bestehend aus Leimungsmitteln, Alkylketendimeren (AKD), Alkenylbernsteinsäureanhydriden (ASA), Fettsäuren, Stärke, Stärkederivaten, Carboxymethylcellulose, Alginaten, Chitosan, Nassfestmitteln, Zitraten, Trinatriumzitrat, Trikaliumzitrat, Malaten, Tartraten, Acetaten, Nitraten, Succinaten, Fumaraten, Gluconaten, Glycolaten, Lactaten, Oxyalaten, Salicylaten, α-Hydroxycaprylaten, Phosphaten, Polyphosphaten, Chloriden, Hydrogencarbonaten, Triacetin, Propylenglykol, Ethylenglykol, Sorbitol, Glycerol, Polyethylenglykol, Polypropylenglykol, Polyvinylalkohol, Tri-Ethlyzitrat, Katalysatoren, Aktivkohle, Aromastoffen, und verkapselten Aromastoffen.
- Segment nach einem der vorhergehenden Ansprüche, bei dem das Flächengewicht der kalandrierten Faserbahn mindestens 15 g/m2 und höchstens 44 g/m2, vorzugsweise mindestens 20 g/m2 und höchstens 40 g/m2, besonders bevorzugt mindestens 23 g/m2 und höchstens 38 g/m2, und ganz besonders bevorzugt mindestens 31 g/m2 und höchstens 37 g/m2 beträgt, und/oder bei dem die Dicke der kalandrierten Faserbahn mindestens 15 µm und höchstens 55 µm, vorzugsweise mindestens 20 µm und höchstens 50 µm und besonders bevorzugt mindestens 30 µm und höchstens 37 µm beträgt, und/oder bei dem die breitenbezogene Zugfestigkeit der kalandrierten Faserbahn, gemessen nach ISO 1924-2:2008, in mindestens einer Richtung mindestens 6 N/15 mm und höchstens 70 N/15 mm, vorzugsweise mindestens 8 N/15 mm und höchstens 60 N/15 mm beträgt, und/oder bei dem die Bruchdehnung der kalandrierten Faserbahn, gemessen nach ISO 1924-2:2008, in mindestens einer Richtung mindestens 0,8% und höchstens 3,0%, vorzugsweise mindestens 1,0% und höchstens 2,5% beträgt.
- Segment nach einem der vorhergehenden Ansprüche, bei dem die kalandrierte Faserbahn auf mindestens einer Seite beschichtet ist, wobei die Beschichtung auf mindestens einer Seite mindestens 20% und höchstens 100% der Fläche dieser Seite der kalandrierten Faserbahn bedeckt, und die Beschichtung ein Material umfasst, das ausgewählt ist aus der Gruppe bestehend aus Leimungsmitteln, Alkylketendimeren (AKD), Alkenylbernsteinsäureanhydriden (ASA), Fettsäuren, Stärke, Stärkederivaten, Carboxymethylcellulose, Alginaten, Chitosan, Nassfestmitteln, Zitraten, Trinatriumzitrat, Trikaliumzitrat, Malaten, Tartraten, Acetaten, Nitraten, Succinaten, Fumaraten, Gluconaten, Glycolaten, Lactaten, Oxyalaten, Salicylaten, α-Hydroxycaprylaten, Phosphaten, Polyphosphaten, Chloriden, Hydrogencarbonaten, Triacetin, Propylenglykol, Ethylenglykol, Sorbitol, Glycerol, Polyethylenglykol, Polypropylenglykol, Polyvinylalkohol, Tri-Ethlyzitrat, Katalysatoren, Aktivkohle, Aromastoffen, und verkapselten Aromastoffen, oder eine Mischung aus zwei oder mehr dieser Materialien umfasst, bei dem die Beschichtung vorzugsweise ein Material umfasst, das ausgewählt ist aus der Gruppe bestehend aus Stärke, Stärkederivaten, Cellulosederivaten, oder eine Mischung aus mindestens zwei dieser Substanzen, wobei der Anteil dieses Materials in der Beschichtung vorzugsweise mindestens 20% und höchstens 100%, besonders bevorzugt mindestens 50% und höchstens 100%, ganz besonders bevorzugt mindestens 70% und höchstens 98% und insbesondere mindestens 80% und höchstens 95% beträgt, jeweils bezogen auf die Masse der Beschichtung, die auf die kalandrierte Faserbahn aufgetragen ist.
- Segment nach Anspruch 7, bei dem nur eine Seite der kalandrierten Faserbahn beschichtet ist und die Beschichtung mindestens 50% und höchstens 100%, vorzugsweise mindestens 90% und höchstens 100% und besonders bevorzugt mindestens 80 % und höchstens 95 % der Fläche der beschichteten Seite der kalandrierten Faserbahn bedeckt, oder wobei die kalandrierte Faserbahn auf beiden Seiten beschichtet ist und die Beschichtung mindestens 20% und höchstens 100%, vorzugsweise mindestens 50% und höchstens 100%, besonders bevorzugt mindestens 90 % und höchstens 100 %, oder mindestens 80 % und höchstens 95 % der Fläche jeder der beiden Seiten der kalandrierten Faserbahn bedeckt, wobei die Menge an Beschichtungsmaterial, die auf eine Seite oder beiden Seiten der kalandrierten Faserbahn aufgetragen ist, vorzugsweise mindestens 0,5 g/m2 und höchstens 5,0 g/m2, bevorzugt mindestens 0,7 g/m2 und höchstens 4,0 g/m2 beträgt, wobei sich die Menge in g/m2 jeweils nur auf die Fläche bezieht, auf die das Beschichtungsmaterial tatsächlich aufgetragen ist, und/oder bei dem die kalandrierte Faserbahn vorzugsweise auf mindestens einer Seite beschichtet ist, wobei die Beschichtung auf mindestens einer Seite mindestens 20% und höchstens 100% der Fläche dieser Seite der kalandrierten Faserbahn bedeckt, und das Flächengewicht der kalandrierten Faserbahn inklusive Beschichtung mindestens 20 g/m2 und höchstens 35 g/m2 beträgt, wobei die Beschichtung vorzugsweise ein Material umfasst, das ausgewählt ist aus der Gruppe bestehend aus Stärke, Stärkederivaten, Cellulosederivaten und Mischungen aus zwei oder mehr derselben, und/oder bei dem die kalandrierte Faserbahn vorzugsweise ein kalandriertes Papier oder ein kalandriertes Vlies ist.
- Segment nach einem der vorhergehenden Ansprüche, bei dem das Filtermaterial die kalandrierte Faserbahn und ein weiteres Filtrationsmaterial umfasst, wobei das weitere Filtrationsmaterial vorzugsweise ausgewählt ist aus der Gruppe bestehend aus Filterpapieren, Vliesen oder Spinnkabeln und Kombinationen derselben, wobei das weitere Filtrationsmaterial vorzugsweise ausgewählt ist aus der Gruppe bestehend aus Filterpapieren, cellulosebasierten Vliesen, nassvernadelten Vliesen, Spinnkabeln umfassend Celluloseacetat, Spinnkabeln umfassend regenerierte Cellulose und Kombinationen von zwei oder mehr derselben, und/oder bei dem das weitere Filtrationsmaterial vorzugsweise ein Filterpapier, ein cellulosebasiertes Vlies, ein nassvernadeltes Vlies oder eine Kombination von mindestens zwei derselben ist, wobei das weitere Filtrationsmaterial vorzugsweise bahnförmig und auf die kalandrierte Faserbahn kaschiert ist, und/oder bei dem vorzugsweise mindestens 10% und höchstens 90%, besonders vorzugsweise mindestens 20% und höchstens 70% der Masse des Filtermaterials durch das weitere Filtrationsmaterial gebildet sind.
- Segment nach einem der vorhergehenden Ansprüche, bei dem mindestens 70% und höchstens 100% der Masse des Filtermaterials durch die kalandrierte Faserbahn gebildet werden und wobei höchstens 30%, bevorzugt höchstens 20%, der Masse des Filtermaterials durch Celluloseacetat gebildet werden, und/oder bei dem das Umhüllungsmaterial ein Papier oder eine Folie ist, und/oder bei dem das Umhüllungsmaterial ein Flächengewicht von mindestens 20 g/m2 und höchstens 150 g/m2, vorzugsweise von mindestens 30 g/m2 und höchstens 130 g/m2 hat.
- Segment nach einem der vorhergehenden Ansprüche, wobei das Segment zylindrisch mit einer näherungsweise kreisrunden oder ovalen äußeren Begrenzung der Querschnittsfläche ist und einen nominalen Durchmesser von mindestens 3 mm und höchstens 10 mm, vorzugsweise von mindestens 4 mm und höchstens 9 mm und besonders bevorzugt von mindestens 5 mm und höchstens 8 mm aufweist, und/oder wobei das Segment eine Länge von mindestens 4 mm und höchstens 40 mm, vorzugsweise von mindestens 6 mm und höchstens 35 mm und besonders bevorzugt von mindestens 10 mm und höchstens 28 mm hat, und/oder dessen Zugwiderstand pro Länge des Segments mindestens 0,05 mmWG/mm und höchstens 12,0 mmWG/mm, vorzugsweise mindestens 0,1 mmWG/mm und höchstens 10,0 mmWG/mm und besonders bevorzugt mindestens 0,1 mmWG/mm und höchstens 4,0 mmWG/mm beträgt, und/oder welches in seinem Inneren einen oder mehrere Hohlräume aufweist,wobei in dem einen oder den mehreren Hohlräumen Aktivkohlepartikel oder zerbrechbare Kapseln mit Aromastoffen aufgenommen sind, oderwobei der eine oder die mehreren Hohlräume als längliche Röhre(n) ausgebildet ist bzw. sind, die zumindest näherungsweise parallel zu einer Längsachse des Segments verlaufen und sich ganz innerhalb des Segments befinden oder an einer oder beiden Endflächen des Segments enden, und/oder wobei das Segment ein aerosolbildendes Material, insbesondere ein Tabakmaterial enthält.
- Filterstab, wobei der Filterstab zylindrisch mit näherungsweise kreisrunder oder ovaler äußerer Begrenzung der Querschnittsfläche ist, eine Länge von mindestens 40 mm und höchstens 200 mm aufweist und mindestens ein Segment nach einem der Ansprüche 1 bis 11 umfasst, wobei der Filterstab vorzugsweise mindestens ein Segment nach einem der Ansprüche 1 bis 11 und mindestens ein weiteres Segment mit einem Filtermaterial umfasst, wobei die Segmente in Längsrichtung des Filterstabs nacheinander angeordnet sind, und wobei das Filtermaterial des weiteren Segments vorzugsweise Celluloseacetat umfasst, wobei der Filterstab vorzugsweise eine Vielzahl von Segmenten nach einem der Ansprüche 1 bis 11 und eine Vielzahl weiterer, untereinander gleichartiger Segmente umfasst, wobei die Anzahl der Segmente nach einem der Ansprüche 1 bis 11 und die Anzahl der weiteren, untereinander gleichartigen Segmente im Filterstab gleich ist und in Längsrichtung des Filterstabs jeweils ein Segment nach einem der Ansprüche 1 bis 11 und ein weiteres Segment abwechselnd nacheinander angeordnet sind, wobei die Anzahl der Segmente nach einem der Ansprüche 1 bis 11 und die Anzahl der weiteren, untereinander gleichartigen Segmente jeweils zwei, drei, vier, fünf oder sechs beträgt, und/oder wobei der Filterstab vorzugsweise zylindrisch mit einer näherungsweise kreisrunden oder ovalen äußeren Begrenzung der Querschnittsfläche ist und einen nominalen Durchmesser von mindestens 3 mm und höchstens 10 mm, vorzugsweise von mindestens 4 mm und höchstens 9 mm und besonders bevorzugt von mindestens 5 mm und höchstens 8 mm aufweist.
- Rauchartikel, der mindestens zwei Segmente umfasst, wobei eines der Segmente ein Segment nach einem der Ansprüche 1 bis 11 ist und mindestens eines der Segmente ein aerosolbildendes Material enthält.
- Rauchartikel nach Anspruch 13, der mindestens drei Segmente umfasst, wobei ein erstes Segment ein aerosolbildendes Material enthält, ein zweites Segment ein Segment nach einem der Ansprüche 1 bis 11 ist und ein drittes Segment vorgesehen ist, wobei das dritte Segment insbesondere der Filtration dient, und wobei das zweite Segment zwischen dem ersten und dem dritten Segment angeordnet ist, wobei der Zugwiderstand des dritten Segments vorzugsweise höher ist als jener des zweiten Segments, und/oder bei dem das Verhältnis der Länge des zweiten Segments zur Länge des dritten Segments vorzugsweise mindestens 1:2 und höchstens 5:1, vorzugsweise mindestens 1:1 und höchstens 3:1 beträgt, und/oder bei dem das dritte Segment vorzugsweise ein Filterpapier, ein cellulosebasiertes Vlies, ein nassvernadeltes Vlies, ein Spinnkabel umfassend Celluloseacetat oder ein Spinnkabel umfassend regenerierte Cellulose umfasst.
- Rauchartikel nach einem der Ansprüche 13 oder 14, wobei der Rauchartikel eine Filterzigarette ist und das aerosolbildende Material Tabak umfasst, oder wobei das aerosolbildende Material im bestimmungsgemäßen Gebrauch des Rauchartikels nur aufgeheizt, aber nicht verbrannt wird und das aerosolbildende Material ein Material umfasst, dass ausgewählt ist aus der Gruppe bestehend aus Tabak, rekonstituiertem Tabak, Nikotin, Glycerol, Propylenglykol, und Aromastoffen, oder eine Mischung aus zwei oder mehr dieser Materialien umfasst, wobei das aerosolbildende Material vorzugsweise im bestimmungsgemäßen Gebrauch elektrisch aufgeheizt wird und/oder wobei das aerosolbildende Material als Gel oder in flüssiger Form vorliegt und bevorzugt in einem Behältnis in einem Segment des Rauchartikels enthalten ist.
Applications Claiming Priority (2)
| Application Number | Priority Date | Filing Date | Title |
|---|---|---|---|
| DE102022102066.5A DE102022102066B4 (de) | 2022-01-28 | 2022-01-28 | Segment für rauchartikel mit kalandrierter faserbahn |
| PCT/EP2023/051409 WO2023144038A1 (de) | 2022-01-28 | 2023-01-20 | Segment für rauchartikel mit kalandrierter faserbahn |
Publications (2)
| Publication Number | Publication Date |
|---|---|
| EP4240905A1 EP4240905A1 (de) | 2023-09-13 |
| EP4240905B1 true EP4240905B1 (de) | 2025-04-09 |
Family
ID=85037074
Family Applications (1)
| Application Number | Title | Priority Date | Filing Date |
|---|---|---|---|
| EP23701682.9A Active EP4240905B1 (de) | 2022-01-28 | 2023-01-20 | Segment für rauchartikel mit kalandrierter faserbahn |
Country Status (9)
| Country | Link |
|---|---|
| US (1) | US20250127208A1 (de) |
| EP (1) | EP4240905B1 (de) |
| JP (1) | JP2025503872A (de) |
| KR (1) | KR20240141769A (de) |
| CN (1) | CN118742688A (de) |
| DE (1) | DE102022102066B4 (de) |
| ES (1) | ES3033607T3 (de) |
| PL (1) | PL4240905T3 (de) |
| WO (1) | WO2023144038A1 (de) |
Family Cites Families (4)
| Publication number | Priority date | Publication date | Assignee | Title |
|---|---|---|---|---|
| US3346682A (en) * | 1962-03-16 | 1967-10-10 | Du Pont | Method for making a filtering medium from plexifilamentary material |
| DE19753195A1 (de) * | 1997-11-21 | 1999-05-27 | Reemtsma H F & Ph | Biologisch abbaubarer Filter für Cigaretten |
| DE19951062C2 (de) * | 1999-10-22 | 2002-04-04 | Rhodia Acetow Gmbh | Hochleistungs-Zigarettenfilter |
| DE102004048651A1 (de) | 2004-10-06 | 2006-04-13 | Rhodia Acetow Gmbh | Tabakrauchfilter oder -filterelemente mit einem Gehalt an Zusatzstoffen |
-
2022
- 2022-01-28 DE DE102022102066.5A patent/DE102022102066B4/de active Active
-
2023
- 2023-01-20 ES ES23701682T patent/ES3033607T3/es active Active
- 2023-01-20 CN CN202380017260.7A patent/CN118742688A/zh active Pending
- 2023-01-20 US US18/730,602 patent/US20250127208A1/en active Pending
- 2023-01-20 PL PL23701682.9T patent/PL4240905T3/pl unknown
- 2023-01-20 JP JP2024541903A patent/JP2025503872A/ja active Pending
- 2023-01-20 EP EP23701682.9A patent/EP4240905B1/de active Active
- 2023-01-20 KR KR1020247027468A patent/KR20240141769A/ko active Pending
- 2023-01-20 WO PCT/EP2023/051409 patent/WO2023144038A1/de not_active Ceased
Also Published As
| Publication number | Publication date |
|---|---|
| DE102022102066B4 (de) | 2025-09-04 |
| WO2023144038A1 (de) | 2023-08-03 |
| PL4240905T3 (pl) | 2025-07-21 |
| KR20240141769A (ko) | 2024-09-27 |
| CN118742688A (zh) | 2024-10-01 |
| US20250127208A1 (en) | 2025-04-24 |
| JP2025503872A (ja) | 2025-02-06 |
| ES3033607T3 (en) | 2025-08-06 |
| DE102022102066A1 (de) | 2023-08-03 |
| EP4240905A1 (de) | 2023-09-13 |
Similar Documents
| Publication | Publication Date | Title |
|---|---|---|
| EP3861159B1 (de) | Wasserstrahlverfestigtes filtermaterial für rauchartikel | |
| DE69009103T2 (de) | Nichtgewebte Faserbahn für Tabakrauchfilter. | |
| EP1796488B1 (de) | Tabakrauchfilter oder-filterelemente mit einem gehalt an zusatzstoffen | |
| DE19951062C2 (de) | Hochleistungs-Zigarettenfilter | |
| DE69414938T2 (de) | Tabakrauchfiltermaterials und Verfahren zu dessen Herstellung | |
| DE69520816T2 (de) | Tabakrauchfiltermaterial und Tabakrauchfilter hergestellt aus diesem Material | |
| DE3855848T2 (de) | Verfahren und Einrichtung zur Bildung eines Stranges für die Herstellung von Rauchartikeln | |
| EP1299012B1 (de) | Rezessfilter und rauchbarer gegenstand mit einem rezessfilter | |
| EP3970521B1 (de) | Biologisch abbaubares segment eines rauchartikels | |
| EP0885321A1 (de) | Melt-blown-vlies, verfahren zu dessen herstellung und dessen verwendungen | |
| DE102021115456A1 (de) | Filtermaterial für segmente für rauchartikel mit reduzierter kriechneigung | |
| EP4064883B1 (de) | Strukturiertes filtermaterial für nikotinabgabeprodukte | |
| DE69015185T3 (de) | Konzentrischer Rauchfilter mit Filtriermedien aus Fadenmaterial und Bahnmaterial. | |
| EP4132303B1 (de) | Wasserstrahlverfestigtes filtermaterial für rauchartikel mit verbessertem dehnungsverhalten | |
| DE2744796A1 (de) | Filtermaterial, seine herstellung und verwendung | |
| EP4240905B1 (de) | Segment für rauchartikel mit kalandrierter faserbahn | |
| DE102021115450A1 (de) | Filtermaterial für rauchartikel mit verbessertem dehnungsverhalten | |
| EP4475696B1 (de) | Filterelement für mundstücke, mundstück zur verwendung mit rauchwaren oder hnb-produkten und zigarettenfilter | |
| DE1532152C (de) | Filtermaterial für Tabakrauchfilter od. dgl. und Verfahren zu dessen Herstellung | |
| DE1532152B (de) | Filtermaterial für Tabakrauchfilter od. dgl. und Verfahren zu dessen Herstellung |
Legal Events
| Date | Code | Title | Description |
|---|---|---|---|
| STAA | Information on the status of an ep patent application or granted ep patent |
Free format text: STATUS: UNKNOWN |
|
| STAA | Information on the status of an ep patent application or granted ep patent |
Free format text: STATUS: THE INTERNATIONAL PUBLICATION HAS BEEN MADE |
|
| PUAI | Public reference made under article 153(3) epc to a published international application that has entered the european phase |
Free format text: ORIGINAL CODE: 0009012 |
|
| STAA | Information on the status of an ep patent application or granted ep patent |
Free format text: STATUS: REQUEST FOR EXAMINATION WAS MADE |
|
| 17P | Request for examination filed |
Effective date: 20230530 |
|
| AK | Designated contracting states |
Kind code of ref document: A1 Designated state(s): AL AT BE BG CH CY CZ DE DK EE ES FI FR GB GR HR HU IE IS IT LI LT LU LV MC ME MK MT NL NO PL PT RO RS SE SI SK SM TR |
|
| P01 | Opt-out of the competence of the unified patent court (upc) registered |
Effective date: 20231030 |
|
| GRAP | Despatch of communication of intention to grant a patent |
Free format text: ORIGINAL CODE: EPIDOSNIGR1 |
|
| STAA | Information on the status of an ep patent application or granted ep patent |
Free format text: STATUS: GRANT OF PATENT IS INTENDED |
|
| RIC1 | Information provided on ipc code assigned before grant |
Ipc: A24D 3/04 20060101ALN20240930BHEP Ipc: D21H 13/08 20060101ALI20240930BHEP Ipc: D21H 13/06 20060101ALI20240930BHEP Ipc: D21H 13/04 20060101ALI20240930BHEP Ipc: A24D 3/14 20060101ALI20240930BHEP Ipc: A24D 3/10 20060101ALI20240930BHEP Ipc: A24D 3/06 20060101ALI20240930BHEP Ipc: D21H 25/14 20060101AFI20240930BHEP |
|
| DAV | Request for validation of the european patent (deleted) | ||
| DAX | Request for extension of the european patent (deleted) | ||
| INTG | Intention to grant announced |
Effective date: 20241104 |
|
| GRAS | Grant fee paid |
Free format text: ORIGINAL CODE: EPIDOSNIGR3 |
|
| GRAA | (expected) grant |
Free format text: ORIGINAL CODE: 0009210 |
|
| STAA | Information on the status of an ep patent application or granted ep patent |
Free format text: STATUS: THE PATENT HAS BEEN GRANTED |
|
| AK | Designated contracting states |
Kind code of ref document: B1 Designated state(s): AL AT BE BG CH CY CZ DE DK EE ES FI FR GB GR HR HU IE IS IT LI LT LU LV MC ME MK MT NL NO PL PT RO RS SE SI SK SM TR |
|
| REG | Reference to a national code |
Ref country code: GB Ref legal event code: FG4D Free format text: NOT ENGLISH |
|
| REG | Reference to a national code |
Ref country code: CH Ref legal event code: EP |
|
| REG | Reference to a national code |
Ref country code: DE Ref legal event code: R096 Ref document number: 502023000817 Country of ref document: DE |
|
| REG | Reference to a national code |
Ref country code: IE Ref legal event code: FG4D Free format text: LANGUAGE OF EP DOCUMENT: GERMAN |
|
| REG | Reference to a national code |
Ref country code: ES Ref legal event code: FG2A Ref document number: 3033607 Country of ref document: ES Kind code of ref document: T3 Effective date: 20250806 |
|
| REG | Reference to a national code |
Ref country code: NL Ref legal event code: MP Effective date: 20250409 |
|
| REG | Reference to a national code |
Ref country code: GR Ref legal event code: EP Ref document number: 20250401389 Country of ref document: GR Effective date: 20250808 |
|
| PG25 | Lapsed in a contracting state [announced via postgrant information from national office to epo] |
Ref country code: NL Free format text: LAPSE BECAUSE OF FAILURE TO SUBMIT A TRANSLATION OF THE DESCRIPTION OR TO PAY THE FEE WITHIN THE PRESCRIBED TIME-LIMIT Effective date: 20250409 |
|
| PG25 | Lapsed in a contracting state [announced via postgrant information from national office to epo] |
Ref country code: FI Free format text: LAPSE BECAUSE OF FAILURE TO SUBMIT A TRANSLATION OF THE DESCRIPTION OR TO PAY THE FEE WITHIN THE PRESCRIBED TIME-LIMIT Effective date: 20250409 Ref country code: PT Free format text: LAPSE BECAUSE OF FAILURE TO SUBMIT A TRANSLATION OF THE DESCRIPTION OR TO PAY THE FEE WITHIN THE PRESCRIBED TIME-LIMIT Effective date: 20250811 |
|
| REG | Reference to a national code |
Ref country code: LT Ref legal event code: MG9D |
|
| PG25 | Lapsed in a contracting state [announced via postgrant information from national office to epo] |
Ref country code: NO Free format text: LAPSE BECAUSE OF FAILURE TO SUBMIT A TRANSLATION OF THE DESCRIPTION OR TO PAY THE FEE WITHIN THE PRESCRIBED TIME-LIMIT Effective date: 20250709 |
|
| PG25 | Lapsed in a contracting state [announced via postgrant information from national office to epo] |
Ref country code: BG Free format text: LAPSE BECAUSE OF FAILURE TO SUBMIT A TRANSLATION OF THE DESCRIPTION OR TO PAY THE FEE WITHIN THE PRESCRIBED TIME-LIMIT Effective date: 20250409 |
|
| PG25 | Lapsed in a contracting state [announced via postgrant information from national office to epo] |
Ref country code: HR Free format text: LAPSE BECAUSE OF FAILURE TO SUBMIT A TRANSLATION OF THE DESCRIPTION OR TO PAY THE FEE WITHIN THE PRESCRIBED TIME-LIMIT Effective date: 20250409 |
|
| PG25 | Lapsed in a contracting state [announced via postgrant information from national office to epo] |
Ref country code: RS Free format text: LAPSE BECAUSE OF FAILURE TO SUBMIT A TRANSLATION OF THE DESCRIPTION OR TO PAY THE FEE WITHIN THE PRESCRIBED TIME-LIMIT Effective date: 20250709 |
|
| PG25 | Lapsed in a contracting state [announced via postgrant information from national office to epo] |
Ref country code: IS Free format text: LAPSE BECAUSE OF FAILURE TO SUBMIT A TRANSLATION OF THE DESCRIPTION OR TO PAY THE FEE WITHIN THE PRESCRIBED TIME-LIMIT Effective date: 20250809 |
|
| PG25 | Lapsed in a contracting state [announced via postgrant information from national office to epo] |
Ref country code: LV Free format text: LAPSE BECAUSE OF FAILURE TO SUBMIT A TRANSLATION OF THE DESCRIPTION OR TO PAY THE FEE WITHIN THE PRESCRIBED TIME-LIMIT Effective date: 20250409 |





