EP4179846B1 - Feststellen von funkenüberschlägen während eines mikrowellen-behandlungsablaufs eines haushalts-mikrowellengeräts - Google Patents
Feststellen von funkenüberschlägen während eines mikrowellen-behandlungsablaufs eines haushalts-mikrowellengeräts Download PDFInfo
- Publication number
- EP4179846B1 EP4179846B1 EP21737363.8A EP21737363A EP4179846B1 EP 4179846 B1 EP4179846 B1 EP 4179846B1 EP 21737363 A EP21737363 A EP 21737363A EP 4179846 B1 EP4179846 B1 EP 4179846B1
- Authority
- EP
- European Patent Office
- Prior art keywords
- microwave
- fluctuation range
- lms
- setting values
- operating parameter
- Prior art date
- Legal status (The legal status is an assumption and is not a legal conclusion. Google has not performed a legal analysis and makes no representation as to the accuracy of the status listed.)
- Active
Links
Images
Classifications
-
- H—ELECTRICITY
- H05—ELECTRIC TECHNIQUES NOT OTHERWISE PROVIDED FOR
- H05B—ELECTRIC HEATING; ELECTRIC LIGHT SOURCES NOT OTHERWISE PROVIDED FOR; CIRCUIT ARRANGEMENTS FOR ELECTRIC LIGHT SOURCES, IN GENERAL
- H05B6/00—Heating by electric, magnetic or electromagnetic fields
- H05B6/64—Heating using microwaves
- H05B6/6432—Aspects relating to testing or detecting leakage in a microwave heating apparatus
-
- H—ELECTRICITY
- H05—ELECTRIC TECHNIQUES NOT OTHERWISE PROVIDED FOR
- H05B—ELECTRIC HEATING; ELECTRIC LIGHT SOURCES NOT OTHERWISE PROVIDED FOR; CIRCUIT ARRANGEMENTS FOR ELECTRIC LIGHT SOURCES, IN GENERAL
- H05B6/00—Heating by electric, magnetic or electromagnetic fields
- H05B6/64—Heating using microwaves
- H05B6/66—Circuits
- H05B6/666—Safety circuits
Definitions
- the invention relates to a method for detecting sparking during a microwave treatment process of a household microwave appliance, in the course of which a setting value of at least one microwave operating parameter is varied.
- the invention also relates to a method for operating a household microwave appliance.
- the invention further relates to a household microwave appliance, having a microwave generator for generating microwaves, a microwave treatment chamber that can be acted upon by the generated microwaves, and a data processing device for detecting a sparking, wherein the household microwave appliance is set up to carry out at least one of the methods.
- the invention is particularly advantageously applicable to stand-alone microwave appliances and to ovens with a microwave function.
- spark gaps in microwave ovens is a common problem, especially when the appliances are operated at low loads and high power levels and/or when unsuitable cookware or accessories are used.
- the problem is but also with microwave generators equipped with inverters at high power levels.
- JP 2009019796 A a measuring method using a camera and microphone, which detects visible and audible effects of sparking.
- EP 3 5 16 928 A1 discloses a detection of sparkovers based on the presence of harmonics of the fundamental frequency of the fed-in microwaves.
- EP 2 880 963 A1 discloses how scattering parameters of the injected microwaves can be used for this purpose.
- EP 2 418 916 A1 and US 7 525 074 B disclose minimising the risk of sparks by detecting the presence of metallic bodies in the cooking chamber based on impedance measurements.
- EP 2 152 047 A1 discloses a safety device for detecting leakage radiation in a cooking appliance with a microwave function and a cooking appliance with such a safety device.
- the safety device comprises at least one microwave sensor, which comprises a probe in which an alternating current can be induced by leakage radiation, or which is suitable for tapping alternating currents that are induced in other objects by leakage radiation.
- the sensor also comprises a fuse through which the alternating current is passed.
- the safety device comprises a device that is suitable for switching off a microwave source of the cooking appliance as soon as the fuse is triggered.
- EP 2 148 553 A1 discloses methods for microwave leakage monitoring.
- microwave leakage radiation emerging from the cooking chamber is detected by means of a microwave sensor device and its temporal progression is stored.
- a subsequent evaluation of the stored microwave radiation values can in particular include a forecast of the future temporal progression of the detected microwave radiation and the early signaling of an expected exceedance of a predetermined threshold value based on the forecast progression.
- a corresponding device for microwave leakage monitoring and a cooking appliance equipped with such a device are also disclosed.
- DE 2 029 559 A1 discloses a safety device against the escape of radiation from microwave devices, using at least one gas tube sensitive to microwaves, which is arranged near the zone of possible radiation escape and is electrically connected to the control circuit of a controlled semiconductor diode which in turn is located in the supply circuit of a relay, the excitation of which causes the opening of the electrical supply circuit of a microwave generator.
- DE 195 37 755 A1 discloses a microwave oven, in particular for a laboratory, with a heating chamber surrounded by a housing, into which microwaves can be coupled, and which is accessible through a closable access opening.
- a microwave sensor In the area of a gap in the housing extending from the heating chamber, a microwave sensor is arranged in such a way that when microwave radiation exceeding a certain value enters and/or passes through the gap, the sensor activates the emission of a warning signal or switches off the microwave exposure to the heating chamber.
- the documents JP 2009 127923 A , JP2009 127 9222A and JP2009 250444A disclose measurement methods for detecting spark arcing during a microwave treatment process of a household microwave oven using a camera and microphone, which detect visible and audible effects of spark arcing.
- This method has the advantage of reliably detecting sparks that occur in the treatment room on and between the components involved, such as the walls of the treatment room, accessories and cookware.
- the technical implementation is also very cost-effective.
- the safety and protection function against sparks that is possible in this way can increase the service life of the cooking appliance and accessories and protects customers from injuries in areas that are overheated by sparks.
- This method uses the leakage radiation escaping through openings, cable feeds, etc. in the walls of a treatment room as a very sensitive indicator of the occurrence of sparks in the treatment room. This is based on the discovery that spark flashovers represent a disturbance of the microwave field conditions prevailing in the treatment room (distributions, modes, etc.) and thus also of the leakage radiation that depends on them. Due to their partially chaotic properties, the spark flashovers lead to a very clear spread or fluctuation in the measured values that represent the strength of the microwave leakage radiation.
- the microwave treatment process can be initiated, for example, by a user or by a cooking program.
- microwaves are fed into the treatment chamber of the household microwave oven, typically in order to treat the goods inside (e.g. food to be cooked) with microwaves.
- the household microwave appliance can be a household microwave cooking appliance, for example a stand-alone microwave appliance or a microwave/oven combination, e.g. a microwave appliance with at least one additional radiant heater or an oven with a microwave function.
- the treatment chamber can also be referred to as a cooking chamber, which is surrounded by a cooking chamber wall.
- the household microwave device typically has a microwave generator for generating microwaves and a treatment chamber that can be acted upon by the generated microwaves. It usually has a front loading opening that can be closed off microwave-tight by a door.
- the microwave generator can be a magnetron or a semiconductor-based microwave generator. It can be operated in a clocked manner or be inverter-controlled.
- the microwave frequency can be in the range of 915 MHz or 2.45 GHz, for example.
- the microwave generator can feed the microwaves into the treatment chamber directly or via a microwave guide.
- means for distributing the microwaves in the treatment chamber can be present, such as, in particular, rotatable feed antennas, mode stirrers, wobblers, etc.
- the generation and introduction of microwaves into the treatment chamber is basically well known and will therefore not be discussed further here.
- the leakage radiation emerging from the treatment chamber during a microwave operating sequence or when the treatment chamber is exposed to microwaves can be measured by means of at least one microwave detection device.
- the microwave detection device can be provided, for example, to detect microwave leakage radiation in an area of the household microwave appliance between a wall of the treatment chamber (also referred to as a cooking chamber wall or muffle) and an outer housing, but also in door gaps, etc.
- the microwaves can be fed into the treatment room in particular by setting a specific setting value from a set of several possible setting values of at least one variable microwave operating parameter. Each variable microwave operating parameter is therefore assigned a respective set of several adjustable setting values.
- at least some of the setting values of at least one of the microwave operating parameters can be varied, in particular according to a predetermined rule or sequence, e.g. cyclically.
- a microwave operating parameter can be understood in particular as an operating parameter which, when changed, can noticeably change the power distribution or mode pattern of the microwaves in the treatment room.
- the at least one microwave operating parameter can comprise exactly one microwave operating parameter or several microwave operating parameters.
- the measured value indicates the strength of the leakage radiation, for example its power, energy, amplitude, etc.
- the measured value can be an electrical parameter generated in the microwave detection device due to the irradiation with microwaves, such as a voltage or a digital value derived from it.
- the fact that the microwave leakage radiation is measured several times in succession under the same setting values of at least one microwave operating parameter or under the same combination of setting values includes in particular that the measurements are recorded under the same setting values of all microwave operating parameters that noticeably influence the field distribution of the microwaves in the treatment room (in the case of only one microwave operating parameter: under the same setting value).
- the fluctuation range is determined for at least one specific combination of setting values, since - under undisturbed conditions - with the same setting values, an equal field distribution of the microwaves in the treatment room results with high reproducibility. However, this field distribution is noticeably disturbed by sparking.
- the fluctuation range is determined in particular for all the microwaves that are used during the microwave treatment process. multiple accepted or set combinations of setting values.
- the "predetermined fluctuation range” corresponds to a threshold or limit value. If the measured fluctuation range remains below the predetermined fluctuation range, it is assumed that no sparking has occurred.
- the setting values of the rotating antenna with its microwave operating parameter "angle of rotation ⁇ " can, for example, fall into angle ranges [0°; 180°] or [0°; 360°], for example with a step size of 1°, 5° or 10°.
- the frequency f of the radiated microwaves can be varied between 2.4 GHz and 2.5 GHz, e.g. in steps of 0.01 GHz.
- only the setting values of the angle of rotation ⁇ of the rotating antenna are varied, e.g. in ascending or descending angle steps (e.g. 0°, 10°, 20°, ...) or in a different order (e.g. 0°, 30°, 20°, 60°, etc.).
- the "combinations of setting values" represent - since only a single Microwave operating parameters are varied - the setting values themselves. For each setting value of at least two measured values repeatedly (e.g. at least two measurements for the angle 0°, at least two measurements for the angle 10°, etc.) a respective fluctuation range is determined and compared with a predetermined fluctuation range or threshold or measured value.
- the setting values of the angle of rotation ⁇ of the rotating antenna and the setting values of the frequency f of the radiated microwaves are varied during a microwave treatment operation, multiple measurements of the strength of the leakage radiation are carried out for several, in particular all, combinations of setting values and a respective fluctuation range is determined for each of the combinations and compared with a predetermined fluctuation range.
- the measured values of the microwave leakage radiation are measured or recorded using a sniffer line arranged outside a treatment room, which represents a component of a microwave detection device.
- a "sniffer line” is understood to be an electrically conductive line in which alternating currents can be induced by microwaves. The strength (e.g. power, amplitude, etc.) of the induced alternating currents is representative of the strength of the inducing microwave leakage radiation.
- the sniffer line is connected to an evaluation circuit for the microwave leakage radiation, which converts the alternating currents into corresponding measured values ("leakage radiation measured values"), e.g. into an electrical voltage.
- the evaluation circuit can be connected to one or more sniffer lines.
- a sniffer line has the advantage that it can be laid in a particularly variable manner in the device, eg because it is functionally connected to the evaluation circuit at one end, but the other end is a freely positionable end.
- a wire, a cable, a conductor track applied to a substrate, etc. can be used as a sniffer line, for example, in which alternating currents can be induced by microwaves generated by the microwave generator.
- the fluctuation range is a difference between a minimum value and a maximum value from a set of several (i.e., at least two) leakage radiation measured values measured under the same setting values of the at least one microwave operating parameter.
- the fluctuation range is a standard deviation which has been calculated from a set of several leakage radiation measurement values measured under the same setting values of the at least one microwave operating parameter.
- One embodiment is that a sparkover is detected when the predetermined fluctuation range for exactly one combination of setting values of the at least one microwave operating parameter is reached or exceeded. This advantageously provides a particularly sensitive detection of a sparkover.
- One embodiment is that a sparkover is detected when the fluctuation range for several combinations of setting values of the at least one microwave operating parameter is reached or exceeded. This provides the advantage of providing particularly robust detection of a sparkover.
- different combinations of setting values are repeatedly set during a microwave treatment process, and the respective fluctuation ranges are determined and compared with a predetermined fluctuation range.
- the predetermined fluctuation ranges for at least two different combinations of setting values can be the same or different.
- the predetermined fluctuation range for the microwave treatment process is fixed.
- the predetermined fluctuation range can, for example, have been determined experimentally. It can be the same for all combinations of setting values or different for different combinations of setting values, e.g. different for different set angles of rotation of a rotating antenna.
- the specified fluctuation range is determined based on the measured values measured or recorded during the microwave treatment process is dynamically adjusted. This has the advantage that sparking can be detected particularly reliably.
- the fluctuation range specified for a specific combination of setting values of the microwave operating parameters corresponds to a product of an average fluctuation range determined for several - in particular for all - combinations of setting values and a factor A with A > 1.
- the factor A can, for example, have been determined empirically or experimentally.
- the factor A does not have to be an integer.
- the factor A can be the same or different for different combinations of setting values.
- the method is only carried out or started after a predetermined period of time has elapsed since the microwave treatment process has begun, in particular after the microwave generator has been switched on. This takes into account that the microwave generator has not yet reached a stable oscillation state during its heating phase and could cause a noticeable spread in the measured values during this initial period even without sparking.
- the method is only carried out five to ten seconds after the microwave treatment process has begun, since by then any fluctuation in the microwave leakage power or the leakage radiation measured values due to the heating effects of the microwave generator has already noticeably decreased or has become negligibly small.
- the object is also achieved by a method for operating a household microwave appliance, in which at least one action is triggered when a sparkover is detected by means of the method as described above.
- the method can be designed analogously to the method for detecting sparkovers and has the same advantages.
- the at least one action includes reducing the radiated microwave power for all setting values of the microwave operating parameters.
- This can be implemented in practice in such a way that the microwave power radiated into the treatment room is gradually reduced.
- the spark generation stops immediately, which is noticeable in a reduced fluctuation range.
- the microwave power can thus be gradually reduced until the measured fluctuation range falls below the specified limit value or the specified fluctuation range, in particular for all combinations of setting values of the microwave operating parameters.
- the fluctuation range can be recalculated after each reduction.
- the at least one action comprises reducing an irradiated microwave power only for combinations of setting values of the microwave operating parameters for which the predefined fluctuation range is exceeded.
- the irradiated microwave power can be maintained for other combinations of setting values of the microwave operating parameters for which the predefined fluctuation range is not exceeded, which supports a high power input into goods treated with microwaves such as water, food to be cooked, etc.
- the at least one action comprises a shortened feeding of microwave radiation into the treatment room for combinations of setting values of the microwave operating parameters with a high fluctuation range and/or a longer feeding of microwave radiation into the treatment room for combinations of setting values of the microwave operating parameters with a low fluctuation range.
- the shortened feeding of the microwave radiation can also comprise a suspension of the feeding.
- the at least one action includes issuing a user notice by the household microwave appliance to a user.
- the user For example, you may be advised to position accessories differently or reduce the microwave power setting.
- the object is also achieved by a household microwave appliance, having a microwave generator for generating microwaves, a treatment chamber that can be acted upon by the generated microwaves, a microwave detection device for measuring microwave leakage radiation emerging from the treatment chamber and a data processing device for detecting a sparkover by evaluating the microwave leakage radiation measured by the microwave leakage sensor, wherein the household microwave appliance is set up to carry out at least one of the methods as described above.
- the household microwave appliance can be designed analogously to the methods described above, and vice versa, and has the same advantages.
- the household microwave device can have a microwave detection device equipped with at least one sniffer line.
- This is used to detect microwave leakage radiation outside the treatment room, and it has at least one electrically conductive line (antenna or "sniffer line") in which alternating currents can be induced by microwaves, and an evaluation circuit connected to the at least one sniffer line, which is designed to determine alternating currents induced in the at least one sniffer line.
- the sniffer line can be very long and can be laid in a variety of ways in the household microwave device. This means that large areas of the household microwave device outside the treatment room can also be monitored for microwave leakage, which means that the number of detection devices and/or their components can be reduced compared to microwave detection devices that only measure at specific points.
- the evaluation circuit can be located far away from sources of radiation leakage in areas of the household microwave oven that are not subject to thermal, chemical and/or electromagnetic stress.
- the sniffer lines are noticeably more resistant and can easily pass through areas that are subject to thermal and chemical stress (e.g. hot and/or humid).
- microwave leakages can be detected with high sensitivity.
- At least one sniffer line can detect a dedicated sniffer line in the sense that it has no further signal-conducting function (ie, no power and/or data-conducting function), in particular it has no further function.
- Such a (“pure") sniffer line is only installed for the purpose of detecting microwave-based induction.
- at least one sniffer line can also have at least one signal-conducting function ("combination sniffer line").
- the evaluation circuit is particularly designed to determine the strength of a microwave-induced current induced in the at least one sniffer line, which is a measure of the strength of the leakage radiation.
- the evaluation circuit can have one or more electrical and/or electronic components and/or functional units such as capacitors, resistors, processors (e.g. microcontrollers, ASICs, FPGAs), rectifiers, A/D converters, etc.
- an evaluation circuit can be connected to exactly one sniffer line and therefore only evaluate this sniffer line or determine the strength of a microwave-induced current induced in this sniffer line.
- An alternative development is for an evaluation circuit to be connected to several sniffer lines. In this case, several sniffer lines can be evaluated together by the evaluation circuit. The joint evaluation enables the provision of a particularly simple and inexpensive detection device. The covered or detectable detection area can also be increased in this way, so that the evaluation unit can respond even more quickly in the event of a possible leak.
- several sniffer lines can be electrically connected and connected to the evaluation circuit at a common node. Alternatively, several sniffer lines can be evaluated individually using the same evaluation circuit, e.g. separately in time or in parallel. The individual evaluation enables an improved localization of a source of leakage radiation.
- the household microwave appliance can have several evaluation circuits, each connected to a sniffer line, for example. These can be arranged distributed over the household microwave appliance.
- the evaluation circuit is connected to the at least one sniffer line via at least one conductor track on a circuit board of the control device. This enables a particularly simple, space-saving and robust connection of the evaluation circuit to the at least one conductor track.
- a sniffer line is led to the circuit board in particular and connected to the conductor track there, e.g. by soldering points, terminals, plugs, etc.
- the evaluation circuit is connected to the at least one sniffer line via a coupling capacitor.
- This has the advantage that the sniffer line is galvanically isolated from the evaluation circuit, but alternating current signals can be transmitted through the coupling capacitor.
- the coupling capacitor thus achieves a DC voltage separation between the sniffer line and the evaluation circuit.
- one connection of the coupling capacitor is electrically connected to at least one sniffer line and the other connection is electrically connected to the evaluation circuit.
- the coupling capacitor can also represent part of the evaluation circuit.
- the coupling capacitor is a component of a high-pass filter.
- This has the advantage that the comparatively high-frequency microwave-induced alternating currents (which can have a frequency in the range of the microwave frequency, for example) are allowed to pass through to the evaluation circuit, while low-frequency alternating currents, such as those typically used to supply a consumer with alternating current (e.g. with a mains frequency of 50 Hz), are not allowed to pass through.
- low-frequency alternating currents such as those typically used to supply a consumer with alternating current (e.g. with a mains frequency of 50 Hz)
- This prevents interference with the measurement signal of the microwave leakage radiation by electrical currents in combination sniffer lines with lower frequencies, which in turn increases evaluation accuracy.
- the coupling capacitor together with a particularly grounded ohmic resistor forms the high-pass filter.
- the resistor can be a component of the evaluation circuit, e.g. its input resistance.
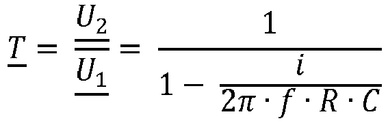
- T U 2 _
- U 1 _ 1 1 ⁇ i 2 ⁇ ⁇ e ⁇ R ⁇ C
- a lower limit frequency f u of the resulting high-pass filter is as high as the signal to be measured requires (the measurement signal has a typical microwave frequency of 915 MHz or 2.45 GHz).
- a pure sniffer line is connected to the evaluation circuit, this does not need to be electrically isolated from the evaluation circuit by a coupling capacitor. There is also no need to provide a high-pass filter.
- the pure sniffer line is connected via a coupling capacitor and/or a high-pass filter.
- At least one sniffer line has a length of at least 800 mm, in particular of at least 1000 mm, in particular of at least 1500 mm, in particular of at least 2000 mm.
- a long length offers the advantage that as many/large areas as possible inside the housing of the household microwave appliance can be covered with a sniffer line and thus locally distributed sources of leakage radiation can be sensed or detected with a small number of sniffer lines.
- the sniffer line Since the sources of leakage radiation are not only distributed locally, but often also emit at different levels over time (for example due to different mode distributions in the treatment room caused by the movement of a feed antenna, a mode stirrer and/or a turntable), it is advantageous for the sniffer line to have a property that integrates locally and, if necessary, over time. The superposition of the different microwave signals emitted then produces the sum signal present at the microwave sensor. This superposition is more pronounced the longer the sniffer line is.
- Fig.1 shows a sectional side view of a sketch of a household microwave appliance 1 with a treatment chamber in the form of a cooking chamber 2.
- the household microwave appliance 1 can be, for example, an oven with microwave functionality.
- the cooking chamber 2 is surrounded by a cooking chamber wall or muffle 3, which has a front loading opening that can be closed with a door 4.
- the household microwave appliance 1 has at least one microwave generator 5 for treating goods located in the cooking chamber 2 (not shown), and possibly also further heating elements such as one or more resistance heating elements (not shown).
- the microwaves generated by the microwave generator 5 are fed into the cooking chamber 2 via a microwave guide 5a by means of a rotating antenna 5b that can be rotated about its longitudinal axis by a stepper motor (not shown).
- an operating device 6 which can have one or more operating elements and/or display devices, e.g. in the form of a touch-sensitive screen.
- the household microwave appliance 1 comprises a rotating plate 7 in the cooking chamber 2, which can be rotated by means of a motor 8 arranged outside the cooking chamber 2.
- the household microwave appliance 1 or its controllable components 5, 6, 8 can be controlled or actuated by means of a central control device 9 (also referred to as "appliance control").
- An evaluation circuit 10 is integrated into the control device 9 and is connected to a combination sniffer line 11.
- the combination sniffer line 11 is the electrical line that leads from the control device 9 to the motor 8 in order to supply the motor 8 with power and/or to transmit data to the motor 8 in order to control it.
- the combination sniffer line 11 is also suitable for alternating currents to be induced in it by microwaves.
- the evaluation circuit 10 is designed to determine alternating currents induced in the antenna line 11.
- the evaluation circuit 10 and the antenna line 11 form a detection device 10, 11 for detecting microwave leakage radiation outside the cooking chamber 2, in particular in a space between the muffle 3 and an outer housing 12 of the household microwave device 1.
- the combination sniffer line 11 therefore has a dual function, namely firstly for power and/or data transmission between the control device 9 and the motor 8 and secondly as a "sensor line" for detecting microwave leakage radiation.
- the combination sniffer line 11 can, for example, be routed around an opening in the muffle 3 through which a drive shaft of the motor 8 leads to the turntable 7.
- the combination sniffer line 11 can, for example, have at least one corrugated or meandering section which, for example, runs over assembly joints, further openings or the like in the muffle 3.
- the household microwave appliance 1 can have at least one pure sniffer line 13 connected to the evaluation circuit 10, e.g. a simple wire or a simple cable, which is only intended to serve as a sensor line.
- the evaluation circuit 10 e.g. a simple wire or a simple cable, which is only intended to serve as a sensor line.
- the combination sniffer line 11 and/or the pure sniffer line 13 can have a length of at least 800 mm, in particular of at least 1000 mm, in particular of at least 1500 mm, in particular of at least 2000 mm.
- Fig.2 shows a plan view of the evaluation circuit 10 integrated in the control device 9 with some other components present on the control device 9.
- Several electrical lines 15 are led to a circuit board 14 of the control device 9.
- the lines 15 can be combination sniffer lines 11, which are connected to their other ends are connected to functional units of the household microwave appliance 1 such as electrical consumers and/or sensors, and/or be pure sniffer lines 13.
- connection points 16 such as terminals or similar, where they merge into corresponding conductor tracks 17 of the circuit board 14.
- connection points 16 such as terminals or similar, where they merge into corresponding conductor tracks 17 of the circuit board 14.
- a processor 18 e.g. a microcontroller, ASIC or FPGA, of the control device 9.
- the evaluation circuit 10 is connected here from the conductor track 17 connected to the combination sniffer line 11 via a coupling capacitor 19, which causes a DC voltage separation between the evaluation circuit 10 and the combination sniffer line 11.
- the evaluation circuit 10 has, as shown in the enlarged section A, at least one ohmic resistor 20, which is connected on the one hand to the connection connected to the processor 18 and on the other hand to a predetermined reference potential or ground.
- the coupling capacitor 19 and the resistor 20 form a high-pass filter 19, 20 for the signal arriving from the combination sniffer line 11.
- the lower cut-off frequency f u is chosen so that practically only the microwave-induced voltage components are allowed to pass.
- the - eg analog - output signal of the evaluation circuit 10 is passed to the processor 18 for evaluation (eg to an analog input of a microcontroller).
- the evaluation circuit 10 can also have other components or parts (not shown), for example an A/D converter, operational amplifier, etc.
- the control device 9 can be set up to detect spark formation in the cooking chamber 2 during microwave operation based on a strength of the microwave-induced alternating current in the combination sniffer line 11, represented by the measurement/output signal or the measured values of the evaluation circuit 10, and to trigger at least one corresponding action if necessary, e.g. to reduce the power of the microwave generator 5, to issue a notice to a user, etc.
- Fig.3 shows a plot of a leakage radiation measurement value LM in mV, representing the strength of the leakage radiation, measured by the evaluation circuit 10, as output by the evaluation circuit 10, for example, against a rotation angle ⁇ of the rotating antenna 5b in degrees during microwave treatment with a power of 600 W of a water load introduced into the cooking chamber 2 without sparking.
- the at least one relevant variable microwave operating parameter here therefore only includes the angle of rotation ⁇ of the rotating antenna 5b, which can assume setting values in a range [0°; 360°], e.g. in steps of 1°, 5° or 10°.
- the rotating antenna 5b serves the purpose of equalizing the microwave power introduced into the food being cooked (not shown). During rotation of the rotating antenna 5b, the microwave field in the cooking chamber 2 is changed cyclically and can cause arcing under unfavorable but unforeseeable conditions and at certain angles of rotation.
- Fig.4 shows a plot of a leakage radiation measurement value LM in mV representing the strength of the leakage radiation against a rotation angle ⁇ of the rotating antenna 5b in degrees during microwave treatment with a power of 600 W, a water load introduced into the cooking chamber 2 and an additional metal baking tray inserted (not shown). Due to the inserted baking tray, microwave-based sparking now occurs.
- Fig.5 shows a plot of a fluctuation range LMS of the leakage radiation measured value LM in mV against a rotation angle ⁇ of the rotating antenna 5b in degrees for the leakage radiation measured values LM from Fig.3 and Fig.4 , each calculated from the standard deviation of the leakage radiation measurements LM for the individual rotation angles ⁇ .
- the number of antenna revolutions used for the evaluation is at least two, but can advantageously be more than two.
- the limit value LMS_thr can be calculated based on the average value of all fluctuation ranges LMS.
- the leakage radiation measured values LM or their curves are subjected to data processing.
- the leakage radiation measurements LM from the first (eg five to ten) seconds of microwave operation cannot be used, since the magnetron 5 is The heating phase has not yet reached a stable vibration state and would therefore possibly cause a spread of the leakage radiation measured values LM even without sparking.
- the leakage radiation measurements LM can also be subjected to curve fitting (e.g. by interpolation) and/or smoothing.
- one countermeasure can be to gradually reduce the microwave power radiated into the cooking chamber 2. As soon as the microwave power has been reduced to such an extent that the breakdown field strength is no longer reached, the spark generation stops immediately, which can be seen in a greatly reduced fluctuation range LMS.
- the household microwave appliance can also initiate an interaction with the user, instructing the user to remove the accessories, reposition them or reduce the set microwave power.
- a numerical value can also include exactly the number stated as well as a usual tolerance range, as long as this is not explicitly excluded.
Landscapes
- Physics & Mathematics (AREA)
- Electromagnetism (AREA)
- Electric Ovens (AREA)
- Control Of High-Frequency Heating Circuits (AREA)
Description
- Die Erfindung betrifft ein Verfahren zum Feststellen von Funkenüberschlägen während eines Mikrowellen-Behandlungsablaufs eines Haushalts-Mikrowellengeräts, in dessen Verlauf ein Einstellwert mindestens eines Mikrowellen-Betriebsparameters variiert wird. Die Erfindung betrifft auch ein Verfahren zum Betreiben eines Haushalts-Mikrowellengeräts. Die Erfindung betrifft ferner ein Haushalts-Mikrowellengerät, aufweisend einen Mikrowellengenerator zum Erzeugen von Mikrowellen, einen Mikrowellen-Behandlungsraum, der mittels der erzeugten Mikrowellen beaufschlagbar ist, und eine Datenverarbeitungseinrichtung zum Erkennen eines Funkenüberschlags, wobei das Haushalts-Mikrowellengerät zum Durchführen zumindest eines der Verfahren eingerichtet ist. Die Erfindung ist insbesondere vorteilhaft anwendbar auf eigenständige Mikrowellengeräte und auf Backöfen mit Mikrowellenfunktion.
- Die Bildung von Funkenstrecken in Mikrowellengeräten ist ein häufig auftretendes Problem, insbesondere falls die Geräte mit geringer Last und bei hohen Leistungsstufen betrieben werden und/oder wenn ungeeignetes Geschirr oder Zubehör verwendet wird.
- Gerade beim Einsatz von Transformatoren für die Energiezufuhr eines Magnetrons, welche nur die Leistungsstufen "Maximal" oder "Aus" annehmen und daher getaktet werden müssen, um Leistungszwischenstufen zu erreichen, können punktuell elektrische Felder zwischen metallischen Komponenten oder Zubehör des Gargeräts auftreten, die stärker als die Durchbruchfeldstärke der Luft sind (ca. 3 kV/mm). Dies führt zu Funkenstrecken, welche eine lonisation der Luft (Plasma) bewirken. Bedingt durch die hohe elektrische Leitfähigkeit des Plasmas kann nun ein hoher elektrischer Strom fließen. Die hierbei durch ohmsche Verluste auftretende lokal sehr hohe Erwärmung kann das Zubehör / und/oder eine Garraumwandung empfindlich beschädigen. Beispielsweise kann es zu einer Schädigung, z.B. einem Schmelzen, von schützenden Emailleschichten der Garraumwandung und sogar zu einem Einbrennen von Löchern in die Garraumwandung oder des Zubehörs kommen, vorher lose Teile können dabei auch fest miteinander verschweißen, usw. Zudem entstehen so Ansatzpunkte für eine Korrosion. Grundsätzlich besteht das Problem aber auch bei mit Invertern ausgerüsteten Mikrowellengeneratoren bei hohen Leistungsstufen.
- Kunden, die ihr Gargerät unsachgemäß betreiben, beispielsweise durch Verwenden eines Backblechs bei hohen Mikrowellenleistungsstufen oder von mikrowellen-ungeeigneten Gefäßen, können so versehentlich die Lebensdauer von Gerät und Zubehör drastisch verringern, wodurch nachteiligerweise Kundendiensteinsätze die Folge sind.
- Zum Feststellen von Funkenüberschlägen während eines Mikrowellen-Behandlungsablaufs eines Haushalts-Mikrowellengeräts offenbart
eine Messmethode mittels Kamera und Mikrofon, welche sicht- und hörbare Effekte von Funkenüberschlägen detektiert.JP 2009019796 A -
EP 3 5 16 928 A1 offenbart ein Feststellen von Funkenüberschlägen anhand eines Vorhandenseins von Harmonischen der Grundschwingungsfrequenz der eingespeisten Mikrowellen. -
EP 2 880 963 A1 offenbart, wie zu diesem Zweck Streuparameter der eingespeisten Mikrowellen verwendet werden können. -
EP 2 418 916 A1 undUS 7 525 074 B offenbaren, ein Funkenrisiko zu minimieren, indem das Vorhandensein von metallischen Körpern im Garraum auf Basis von Impedanzmessungen erkannt wird. -
EP 2 152 047 A1 offenbart eine Sicherheitseinrichtung zum Detektieren von Leckagestrahlung bei einem Gargerät mit Mikrowellenfunktion sowie ein Gargerät mit einer derartigen Sicherheitseinrichtung. Die Sicherheitseinrichtung umfasst mindestens einen Mikrowellensensor, der eine Sonde umfasst, in der durch Leckagestrahlung ein Wechselstrom induzierbar ist, oder die geeignet ist, Wechselströme, die in weiteren Gegenständen durch Leckagestrahlung induziert werden, abzugreifen. Der Sensor umfasst ferner eine Sicherung, durch die der Wechselstrom geleitet wird. Schließlich umfasst die Sicherheitseinrichtung eine Einrichtung, die geeignet ist, eine Mikrowellenquelle des Gargeräts abzuschalten, sobald die Sicherung auslöst. -
EP 2 148 553 A1 offenbart Verfahren zur Mikrowellen-Leckageüberwachung. Dabei wird bei einem Gargerät eine aus dem Garraum austretende Mikrowellen-Leckagestrahlung mittels einer Mikrowellensensoreinrichtung erfasst und ihr zeitlicher Verlauf gespeichert. Eine nachfolgende Auswertung der gespeicherten Mikrowellenstrahlungswerte kann insbesondere eine Prognose des zukünftigen zeitlichen Verlaufs der erfassten Mikrowellenstrahlung und das frühzeitige Signalisieren einer auf der Grundlage des prognostizierten Verlaufs zu erwartenden Überschreitung eines vorbestimmten Schwellwertes umfassen. Offenbart ist ebenfalls eine entsprechende Vorrichtung zur Mikrowellen-Leckageüberwachung sowie ein mit einer solchen Vorrichtung ausgerüstetes Gargerät. -
DE 2 029 559 A1 offenbart eine Sicherheitsvorrichtung gegen den Austritt von Strahlungen aus Mikrowellengeräten, wobei mindestens eine auf Mikrowellen ansprechende Gasröhre Verwendung findet, die in der Nähe der Zone eines möglichen Strahlungsaustrittes angeordnet und elektrisch in den Steuerstromkreis einer gesteuerten Halbleiterdiode eingeschaltet ist, welche ihrerseits im Speisestromkreis eines Relais liegt, dessen Erregung das Öffnen des elektrischen Speisestromkreises eines Mikrowellgenerators hervorruft.DE 195 37 755 A1 offenbart einen Mikrowellenofen, insbesondere für ein Labor, mit einer von einem Gehäuse umgebenen Heizkammer, in die Mikrowellen einkoppelbar sind, und die durch eine verschließbare Zugangsöffnung zugänglich ist. Im Bereich eines von der Heizkammer ausgehenden Spaltes des Gehäuses ist ein Mikrowellensensor so angeordnet, dass beim Eintritt und/oder Durchtritt einer einen bestimmten Wert übersteigenden Mikrowellenstrahlung in bzw. durch den Spalt der Sensor die Abgabe eines Warnsignals aktiviert oder die Mikrowellen-Beaufschlagung der Heizkammer abschaltet. Die Dokumenten ,JP 2009 127923 A undJP 2009 127 9222A offenbaren Messmethoden zum Feststellen von Funkenüberschlägen während eines Mikrowellen-Behandlungsablaufs eines Haushalts-Mikrowellengeräts mittels Kamera und Mikrofon, welche sicht- und hörbare Effekte von Funkenüberschlägen detektieren.JP 2009 250444A - Nachteilig ist bisher unter anderem die Notwendigkeit, kostenintensive Hardware wie Kameras, Mikrofone oder komplexe HF-Messtechnik vorzusehen, um das Auftreten von Funken während einer Einspeisung von Mikrowellen zu detektieren.
- Es ist die Aufgabe der vorliegenden Erfindung, die Nachteile des Standes der Technik zumindest teilweise zu überwinden und insbesondere eine Möglichkeit bereitzustellen, zuverlässig und mit geringem apparativen Aufwand Funkenüberschläge während eines Mikrowellen-Behandlungsablaufs eines Haushalts-Mikrowellengeräts festzustellen.
- Diese Aufgabe wird gemäß den Merkmalen der unabhängigen Ansprüche gelöst. Vorteilhafte Ausführungsformen sind Gegenstand der abhängigen Ansprüche, der Beschreibung und der Zeichnungen.
- Die Aufgabe wird gelöst durch ein Verfahren zum Feststellen von Funkenüberschlägen in einem Behandlungsraum eines Haushalts-Mikrowellengeräts während eines Mikrowellen-Behandlungsablaufs, in dessen Verlauf ein Einstellwert mindestens eines Mikrowellen-Betriebsparameters variiert wird, wobei bei dem Verfahren
- während des Mikrowellen-Behandlungsablaufs eine Mikrowellen-Leckagestrahlung unter gleichen Einstellwerten des mindestens einen Mikrowellen-Betriebsparameters mehrfach hintereinander gemessen wird und
- ein Funkenüberschlag erkannt wird, wenn Messwerte der Mikrowellen-Leckagestrahlung für mehrere unter gleichen Einstellwerten des mindestens einen Mikrowellen-Betriebsparameters durchgeführte Messungen eine vorgegebene Schwankungsbreite überschreiten.
- Dieses Verfahren ergibt den Vorteil, dass eine zuverlässige Detektion von in dem Behandlungsraum auftretenden Funken an und zwischen den beteiligten Bauteilen wie einer Wandung des Behandlungsraums, Zubehör und Kochgeschirr erreicht wird. Die technische Umsetzung ist zudem sehr kostengünstig. Durch die so mögliche Sicherheits- und Schutzfunktion vor Funken kann die Lebensdauer von Gargerät und Zubehör erhöht werden und schützt Kunden vor Verletzungen an durch Funkenüberschläge überhitzten Bereichen.
- Dieses Verfahren nutzt die durch Öffnungen, Kabelzuführungen usw. einer Wandung eines Behandlungsraums nach außen austretende Leckagestrahlung als sehr empfindlichen Indikator für das Auftreten von Funken in dem Behandlungsraum. Dies beruht auf der Entdeckung, dass Funkenüberschläge eine Störung der in dem Behandlungsraum herrschenden Mikrowellen-Feldverhältnisse (Verteilungen, Moden, usw.) und damit auch der davon abhängigen Leckagestrahlung darstellen. Die Funkenüberschläge führen aufgrund ihrer teilweise chaotischen Eigenschaften zu einer sehr deutlichen Aufspreizung oder Schwankung der die Stärke der Mikrowellen-Leckagestrahlung abbildenden Messwerte.
- Der Mikrowellen-Behandlungsablauf kann z.B. durch einen Nutzer oder durch ein Garprogramm initiiert worden sein. Während des Mikrowellen-Behandlungsablaufs werden Mikrowellen in den Behandlungsraum des Haushalts-Mikrowellengeräts eingespeist, typischerweise, um darin befindliches Gut (z.B. Gargut) mit Mikrowellen zu behandeln.
- Das Haushalts-Mikrowellengerät kann ein Haushalts-Mikrowellengargerät sein, beispielsweise ein eigenständiges Mikrowellengerät oder eine Mikrowellen/Ofen-Kombination, z.B. ein Mikrowellengerät mit mindestens einem zusätzlichen Strahlungsheizkörper oder ein Backofen mit Mikrowellenfunktion. Der Behandlungsraum kann bei Vorliegen eines Haushalts-Mikrowellengargeräts auch als Garraum bezeichnet werden, welcher von einer Garraumwandung umgeben ist.
- Das Haushalts-Mikrowellengerät weist typischerweise einen Mikrowellengenerator zum Erzeugen von Mikrowellen und einen Behandlungsraum, der mittels der erzeugten Mikrowellen beaufschlagbar ist, auf. Er weist meist eine frontseitige Beschickungsöffnung auf, welche durch eine Tür mikrowellendicht verschließbar ist. Der Mikrowellengenerator kann ein Magnetron oder ein halbleiterbasierter Mikrowellengenerator sein. Er kann getaktet betrieben werden oder invertergesteuert sein. Die Mikrowellenfrequenz kann beispielsweise im Bereich von 915 MHz oder 2,45 GHz liegen. Der Mikrowellengenerator kann die Mikrowellen direkt oder über eine Mikrowellenführung in den Behandlungsraum einspeisen. Zudem können Mittel zur Verteilung der Mikrowellen in dem Behandlungsraum wie, insbesondere drehbare, Einspeiseantennen, Modenrührer ("Stirrer"), Wobbler usw. vorhanden sein. Die Erzeugung und Einleitung von Mikrowellen in den Behandlungsraum ist grundsätzlich gut bekannt und wird deshalb hier nicht weiter ausgeführt.
- Die während eines Mikrowellen-Betriebsablaufs bzw. während einer Beaufschlagung des Behandlungsraums mit Mikrowellen aus dem Behandlungsraum austretende Leckagestrahlung ist mittels mindestens einer Mikrowellen-Detektionseinrichtung messbar. Die Mikrowellen-Detektionseinrichtung kann beispielsweise zur Erfassung von Mikrowellen-Leckagestrahlung in einem Bereich des Haushalts-Mikrowellengeräts zwischen einer Wandung des Behandlungsraums (auch als Garraumwandung oder Muffel bezeichenbar) und einem äußeren Gehäuse, aber auch in Türspalten usw. vorgesehen sein.
- Die Einspeisung der Mikrowellen in den Behandlungsraum kann insbesondere unter Einstellung eines bestimmten Einstellwerts aus einem Satz von mehreren möglichen Einstellwerten mindestens eines variablen Mikrowellen-Betriebsparameters vorgenommen werden. Jedem variablen Mikrowellen-Betriebsparameter ist also ein jeweiliger Satz von mehreren einstellbaren Einstellwerten zugeordnet. Während eines Mikrowellen-Behandlungsablaufs können zumindest einige der Einstellwerte zumindest eines der Mikrowellen-Betriebsparameter variiert werden, insbesondere nach einer vorgegebenen Regel oder Abfolge, z.B. zyklisch. Unter einem Mikrowellen-Betriebsparameter kann insbesondere ein Betriebsparameter verstanden werden, bei dessen Änderung sich eine Leistungsverteilung bzw. ein Modenbild der Mikrowellen in dem Behandlungsraum merklich ändern kann.
- Der mindestens eine Mikrowellen-Betriebsparameter kann genau einen Mikrowellen-Betriebsparameter oder mehrere Mikrowellen-Betriebsparameter umfassen.
- Der Messwert gibt die Stärke der Leckagestrahlung wieder, beispielsweise deren Leistung, Energie, Amplitude, usw. Der Messwert kann eine in der Mikrowellen-Detektionseinrichtung aufgrund der Bestrahlung mit Mikrowellen erzeugte elektrische Kenngröße wie eine Spannung oder ein daraus abgeleiteter digitaler Wert sein.
- Dass die Mikrowellen-Leckagestrahlung unter gleichen Einstellwerten des mindestens einen Mikrowellen-Betriebsparameters bzw. unter der gleichen Kombination von Einstellwerten mehrfach hintereinander gemessen wird, umfasst insbesondere, dass die Messungen unter gleichen Einstellwerten sämtlicher die Feldverteilung der Mikrowellen in dem Behandlungsraum merklich beeinflussenden Mikrowellen-Betriebsparameter (für den Fall nur eines Mikrowellen-Betriebsparameters: unter dem gleichen Einstellwert) aufgenommen werden.
- Die Schwankungsbreite wird für mindestens eine bestimmte Kombination von Einstellwerten bestimmt, da sich - unter ungestörten Bedingungen - bei gleichen Einstellwerten mit hoher Reproduzierbarkeit eine gleiche Feldverteilung der Mikrowellen in dem Behandlungsraum ergibt. Diese Feldverteilung wird jedoch durch eine Funkenbildung merklich gestört. Die Schwankungsbreite wird insbesondere für alle während des Mikrowellen-Behandlungsablaufs mehrfach angenommenen oder eingestellten Kombinationen von Einstellwerten bestimmt.
- Die "vorgegebene Schwankungsbreite" entspricht einem Schwell- oder Grenzwert. Bleibt die gemessene Schwankungsbreite unterhalb der vorgegebenen Schwankungsbreite, wird angenommen, dass es nicht zu einer Funkenbildung gekommen ist.
- Es ist eine Ausgestaltung, dass der mindestens eine Mikrowellen-Betriebsparameter mindestens einen Mikrowellen-Betriebsparameter aus der Gruppe
- Drehwinkel mindestens einer Drehantenne,
- Drehwinkel mindestens eines Modenrührers,
- Drehwinkel eines Drehtellers,
- Leistung der eingestrahlten Mikrowellen,
- Frequenz der eingestrahlten Mikrowellen,
- Phasenunterschied zwischen über unterschiedliche Einspeisungspunkte eingestrahlten Mikrowellen,
- Leistungsunterschied zwischen über unterschiedliche Einspeisungspunkte eingestrahlten Mikrowellen,
- Die Einstellwerte der Drehantenne mit ihrem Mikrowellen-Betriebsparameter "Drehwinkel ϕ" können z.B. in Winkelbereiche [0°; 180°] oder [0°; 360°] fallen, beispielsweise mit einer Schrittweite von 1°, 5° oder 10°.
- Die Frequenz f der eingestrahlten Mikrowellen kann z.B. zwischen 2,4 GHz und 2,5 GHz variiert werden, z.B. in Schritten von 0,01 GHz.
- Während eines Mikrowellen-Behandlungsbetriebs werden in einer beispielhaften Variante nur die Einstellwerte des Drehwinkel ϕ der Drehantenne variiert, z.B. in auf- oder absteigenden Winkelstufen (z.B. 0°, 10°, 20°, ...) oder in einer anderen Reihenfolge (z.B. 0°, 30°, 20°, 60°, usw.). Die "Kombinationen der Einstellwerte" stellen - da hier nur ein einziger Mikrowellen-Betriebsparameter variiert wird - die Einstellwerte selbst dar. Für jeweilige Einstellwerte wiederholt gemessenen mindestens zwei Messwerte (z.B. mindestens zwei Messungen für den Winkel 0°, mindestens zwei Messungen für den Winkel 10°, usw.) wird eine jeweilige Schwankungsbreite bestimmt und mit einer vorgegebenen Schwankungsbreite bzw. Schwell- oder Messwert verglichen.
- Werden in einer weiteren beispielhaften Variante während eines Mikrowellen-Behandlungsbetriebs die Einstellwerte des Drehwinkel ϕ der Drehantenne und die Einstellwerte der Frequenz f der eingestrahlten Mikrowellen variiert, werden mehrfache Messungen der Stärke der Leckagestrahlung für mehrere, insbesondere alle, Kombinationen von Einstellwerten vorgenommen und für jede der Kombinationen eine jeweilige Schwankungsbreite bestimmt und mit einer vorgegebenen Schwankungsbreite verglichen. Die Kombinationen können beispielsweise alle während des Mikrowellen-Behandlungsbetriebs mehrfach durchlaufene Paarungen von Einstellwerten von Drehwinkel ϕ und Frequenz f umfassen, z.B. die Paare [ϕ; f] = [0°; 2,4 GHz], [10°; 2,4 GHz], ...., [0°; 2,41 GHz], ..., [350°; 2,5 GHz], usw.
- Es ist eine Ausgestaltung, dass die Messwerte der Mikrowellen-Leckagestrahlung mittels einer außenhalb eines Behandlungsraums angeordneten Schnüffelleitung gemessen bzw. aufgenommen werden, welche eine Komponente einer Mikrowellen-Detektionseinrichtung darstellt. Unter einer "Schnüffelleitung" wird insbesondere eine elektrisch leitfähige Leitung verstanden, in der durch Mikrowellen Wechselströme induzierbar sind. Die Stärke (z.B. Leistung, Amplitude, usw.) der induzierten Wechselströme ist repräsentativ für die Stärke der induzierenden Mikrowellen-Leckagestrahlung. Die Schnüffelleitung ist mit einer Auswerteschaltung der Mikrowellen-Leckagestrahlung verbunden, welche die Wechselströme in entsprechende Messwerte ("Leckagestrahlungs-Messwerte") umwandelt, z.B. in eine elektrische Spannung. Die Auswerteschaltung kann mit einer oder mehreren Schnüffelleitungen verbunden sein. Das Vorsehen einer Schnüffelleitung ergibt den Vorteil, dass sie besonders variabel in dem Gerät verlegbar ist, z.B. weil sie an einem Ende funktional mit der Auswerteschaltung verbunden ist, aber das andere Ende ein frei positionierbares Ende ist. Als Schnüffelleitung kann z.B. ein Draht, ein Kabel, eine auf einem Substrat aufgebrachte Leiterbahn usw. verwendet werden, in die durch mittels des Mikrowellengenerators erzeugte Mikrowellen Wechselströme induzierbar sind.
- Es ist eine Ausgestaltung, dass die Schwankungsbreite eine Differenz zwischen einem Minimalwert und einem Maximalwert aus einer Menge von mehreren (d.h., zumindest zwei) unter gleichen Einstellwerten des mindestens einen Mikrowellen-Betriebsparameters gemessenen Leckagestrahlungs-Messwerten ist.
- Es ist eine Ausgestaltung, dass die Schwankungsbreite eine Standardabweichung ist, die anhand einer Menge von mehreren unter den gleichen Einstellwerten des mindestens einen Mikrowellen-Betriebsparameters gemessenen Leckagestrahlungs-Messwerten berechnet worden ist.
- Es ist eine Ausgestaltung, dass ein Funkenüberschlag erkannt wird, wenn die vorgegebene Schwankungsbreite für genau eine Kombination von Einstellwerten des mindestens einen Mikrowellen-Betriebsparameters erreicht oder überschritten wird. So wird vorteilhafterweise eine besonders sensitive Erkennung eines Funkenüberschlags bereitgestellt.
- Es ist eine Ausgestaltung, dass ein Funkenüberschlag erkannt wird, wenn die Schwankungsbreite für mehrere Kombinationen von Einstellwerten des mindestens einen Mikrowellen-Betriebsparameters erreicht oder überschritten wird. So wird der Vorteil erreicht, dass eine besonders robuste Erkennung eines Funkenüberschlags bereitgestellt wird. Bei dieser Ausgestaltung werden also verschiedene Kombinationen von Einstellwerten während eines Mikrowellen-Behandlungsablaufs wiederkehrend eingestellt, und es werden die jeweiligen Schwankungsbreiten bestimmt und mit einer vorgegebenen Schwankungsbreite verglichen. Die vorgegebenen Schwankungsbreite für mindestens zwei unterschiedliche Kombinationen von Einstellwerten können gleich oder unterschiedlich sein.
- Es ist eine Ausgestaltung, dass die vorgegebene Schwankungsbreite für den Mikrowellen-Behandlungsablauf fest vorgegeben ist. Die vorgegebene Schwankungsbreite kann z.B. experimentell bestimmt worden sein. Sie kann für alle Kombinationen von Einstellwerten gleich oder für unterschiedliche Kombinationen von Einstellwerten unterschiedlich sein, z.B. unterschiedlich für unterschiedliche eingestellte Drehwinkel einer Drehantenne.
- Es ist eine Ausgestaltung, dass die vorgegebene Schwankungsbreite anhand der während des Mikrowellen-Behandlungsablaufs gemessenen bzw. aufgenommenen Messwerte dynamisch angepasst wird. So wird der Vorteil erreicht, dass sich eine Funkenbildung besonders zuverlässig erkennen lässt.
- Es ist eine Ausgestaltung, dass die für eine bestimmte Kombination von Einstellwerten der Mikrowellen-Betriebsparameter vorgegebene Schwankungsbreite einem Produkt aus einem für mehrere - insbesondere für alle - Kombinationen von Einstellwerten bestimmten durchschnittlichen Schwankungsbreite und einem Faktor A mit A > 1 entspricht. Dies ermöglicht eine besonders einfache Umsetzung einer dynamischen Anpassung der vorgegebenen Schwankungsbreite. Der Faktor A kann z.B. empirisch bzw. experimentell bestimmt worden sein. Beispielsweise kann die vorgegebene Schwankungsbreite LMS_thr als LMS_thr = A ·
LMS mitLMS dem Durchschnitt der Schwankungsbreiten LMS der Leckagestrahlungs-Messwerte LM für mehrere Kombinationen von Einstellwerten und A einem vorgegebenen Faktor mit A > 1 bestimmt werden. Der Faktor A braucht nicht ganzzahlig zu sein. Der Faktor A kann für unterschiedliche Kombinationen von Einstellwerten gleich oder unterschiedlich sein. - Es ist eine Ausgestaltung, dass das Verfahren erst ab einer vorgegebenen Zeitdauer nach Beginn des Mikrowellen-Behandlungsablaufs, insbesondere nach Einschalten des Mikrowellen-Generators, durchgeführt oder gestartet wird. Dadurch wird berücksichtigt, dass der Mikrowellen-Generator während seiner Erwärmungsphase noch keinen stabilen Schwingungszustand erreicht und in diesem Anfangszeitraum auch ohne Funkenbildung ein merkliches Aufspreizen der Messwerte verursachen werden könnte. Es ist eine Weiterbildung, dass das Verfahren erst fünf bis zehn Sekunden nach Beginn des Mikrowellen-Behandlungsablaufs durchgeführt wird, da dann eine Schwankung der Mikrowellen-Leckageleistung bzw. der Leckagestrahlungs-Messwerte durch Erwärmungseffekte des Mikrowellen-Generators bereits merklich nachgelassen hat bzw. vernachlässigbar klein geworden ist.
- Die Aufgabe wird auch gelöst durch ein Verfahren zum Betreiben eines Haushalts-Mikrowellengeräts, bei dem dann, wenn mittels des Verfahrens wie oben beschrieben ein Funkenüberschlag erkannt wird, mindestens eine Aktion ausgelöst wird. Das Verfahren kann analog zu dem Verfahren zum Feststellen von Funkenüberschlägen ausgebildet werden und weist die gleichen Vorteile auf.
- Es ist eine Ausgestaltung, dass die mindestens eine Aktion ein Verringern einer eingestrahlten Mikrowellenleistung für alle Einstellwerte der Mikrowellen-Betriebsparameter umfasst. Dies kann praktisch so umgesetzt sein, dass die in den Behandlungsraum eingestrahlte Mikrowellenleistung schrittweise reduziert wird. Sobald die Mikrowellenleistung soweit reduziert wurde, dass die Durchbruchfeldstärke nicht mehr erreicht wird, endet die Funkenerzeugung augenblicklich, was sich in einer verringerten Schwankungsbreite bemerkbar macht. Die Mikrowellenleistung kann somit so lange schrittweise reduziert werden, bis die gemessene Schwankungsbreite den vorgegebenen Grenzwert bzw. die vorgegebene Schwankungsbreite unterschreitet, insbesondere für alle Kombinationen von Einstellwerten der Mikrowellen-Betriebsparameter. Die Schwankungsbreite kann nach jeder Reduzierung erneut berechnet werden.
- Es ist eine Ausgestaltung, dass die mindestens eine Aktion ein Verringern einer eingestrahlten Mikrowellenleistung nur für Kombinationen von Einstellwerten der Mikrowellen-Betriebsparameter, bei denen die vorgegebene Schwankungsbreite überschritten wird, umfasst. Dadurch kann die eingestrahlte Mikrowellenleistung für andere Kombinationen von Einstellwerten der Mikrowellen-Betriebsparameter, bei denen die vorgegebene Schwankungsbreite nicht überschritten wird, aufrechterhalten werden, was eine hohe Leistungseinbringung in durch Mikrowellen behandeltes Gut wie Wasser, Gargut usw. unterstützt.
- Es ist eine Ausgestaltung, dass die mindestens eine Aktion ein zeitlich verkürztes Einspeisen von Mikrowellenstrahlung in den Behandlungsraum für Kombinationen von Einstellwerten der Mikrowellen-Betriebsparameter mit hoher Schwankungsbreite und/oder ein zeitlich verlängertes Einspeisen von Mikrowellenstrahlung in den Behandlungsraum für Kombinationen von Einstellwerten der Mikrowellen-Betriebsparameter mit geringer Schwankungsbreite umfasst. Auch so kann das zeitliche Auftreten von Funken verhindert werden und zudem die Einwirkdauer der Mikrowellen deutlich reduziert werden. Das zeitlich verkürzte Einspeisen der Mikrowellenstrahlung kann auch ein Aussetzen des Einspeisens umfassen.
- Es ist eine Weiterbildung, dass die mindestens eine Aktion ein Ausgeben eines Nutzerhinweises durch das Haushalts-Mikrowellengerät an einen Nutzer umfasst. Der Nutzer kann z.B. darauf hingewiesen werden, Zubehör anders zu positionieren oder die eingestellte Mikrowellenleistung zu reduzieren.
- Die Aufgabe wird auch gelöst durch ein Haushalts-Mikrowellengerät, aufweisend einen Mikrowellengenerator zum Erzeugen von Mikrowellen, einen Behandlungsraum, der mittels der erzeugten Mikrowellen beaufschlagbar ist, eine Mikrowellen-Detektionseinrichtung zum Messen von aus dem Behandlungsraum austretender Mikrowellen-Leckagestrahlung und eine Datenverarbeitungseinrichtung zum Erkennen eines Funkenüberschlags durch Auswerten der durch den Mikrowellen-Leckagesensor gemessenen Mikrowellen-Leckagestrahlung, wobei das Haushalts-Mikrowellengerät zum Durchführen zumindest eines der Verfahren wie oben beschrieben eingerichtet ist. Das Haushalts-Mikrowellengerät kann analog zu den oben beschriebenen Verfahren ausgebildet sein, und umgekehrt, und weist die gleichen Vorteile auf.
- So kann das Haushalts-Mikrowellengerät beispielsweise eine mit mindestens einer Schnüffelleitung ausgerüstete Mikrowellen-Detektionseinrichtung aufweisen. Diese dient zur Erfassung von Mikrowellen-Leckagestrahlung außerhalb des Behandlungsraums, wobei sie mindestens eine elektrisch leitfähige Leitung (Antennen- oder "Schnüffelleitung"), in der durch Mikrowellen Wechselströme induzierbar sind, und eine mit der mindestens einen Schnüffelleitung verbundene Auswerteschaltung, die zur Bestimmung von in der mindestens einen Schnüffelleitung induzierten Wechselströmen ausgebildet ist, aufweist. Dadurch wird der Vorteil erreicht, dass die Schnüffelleitung eine große Länge aufweisen und vielfältig in dem Haushalts-Mikrowellengerät verlegt sein kann. So können auch große Bereiche des Haushalts-Mikrowellengeräts außerhalb des Behandlungsraums auf Mikrowellen-Leckage überwacht werden , wodurch die Zahl der Detektionseinrichtungen und/oder ihrer Komponenten im Vergleich zu nur punktuell messenden Mikrowellen-Detektionseinrichtungen verringert werden kann. Ermöglicht wird somit ein besonders zuverlässiger und kostengünstiger Aufbau. Ein weiterer Vorteil besteht darin, dass die Auswerteschaltung ortsfern von Leckstrahlungsherden in thermisch, chemisch und/oder elektromagnetisch wenig beanspruchten Bereichen des Haushalts-Mikrowellengeräts anordenbar ist. Die Schnüffelleitungen sind dagegen merklich widerstandsfähiger und können problemlos auch thermisch und chemisch beanspruchte (z.B. heiße und/oder feuchte) Bereiche durchlaufen. Noch ein Vorteil besteht darin, dass Mikrowellen-Leckagen mit hoher Empfindlichkeit erkennbar sind. Mindestens eine Schnüffelleitung kann eine dedizierte Schnüffelleitung in dem Sinne sein, dass sie keine weitere signalleitende (d.h., keine Strom und/oder Daten leitende) Funktion aufweist, insbesondere keine weitere Funktion aufweist. Eine solche ("reine") Schnüffelleitung ist nur zum Zweck der Detektion einer mikrowellenbasierten Induktion verlegt. Alternativ oder zusätzlich kann mindestens eine Schnüffelleitung zusätzlich mindestens eine signalleitende Funktion aufweisen ("Kombinations-Schnüffelleitung").
- Die Auswerteschaltung ist insbesondere dazu eingerichtet, die Stärke eines in der mindestens einen Schnüffelleitung induzierten mikrowelleninduzierten Stroms zu bestimmen, der ein Maß für die Stärke der Leckagestrahlung ist. Die Auswerteschaltung kann ein oder mehrere elektrische und/oder elektronische Bauteile und/oder Funktionseinheiten wie Kondensatoren, Widerstände, Prozessoren (z.B. Mikrokontroller, ASICs, FPGAs), Gleichrichter, A/D-Wandler usw. aufweisen.
- Eine Auswerteschaltung kann in einer Weiterbildung mit genau einer Schnüffelleitung verbunden sein und daher nur diese Schnüffelleitung auswerten bzw. die Stärke eines in dieser Schnüffelleitung induzierten mikrowelleninduzierten Stroms bestimmen. Es ist eine alternative Weiterbildung, dass eine Auswerteschaltung mit mehreren Schnüffelleitungen verbunden ist. In diesem Fall können mehrere Schnüffelleitungen von der Auswerteschaltung gemeinsam ausgewertet werden. Die gemeinsame Auswertung ermöglicht die Bereitstellung einer besonders einfachen und preiswerten Detektionseinrichtung. Auch kann die abgedeckte oder erfassbare Detektionsfläche hierdurch zusätzlich vergrößert werden, so dass die Auswerteeinheit bei einer eventuellen Leckage noch eher ansprechen kann. In einer Weiterbildung können dazu mehrere Schnüffelleitungen elektrisch zusammengeführt werden und an einem gemeinsamen Knotenpunkt mit der Auswerteschaltung verbunden sein. Alternativ können mehrere Schnüffelleitungen mittels der gleichen Auswerteschaltung individuell ausgewertet werden, z.B. zeitlich getrennt oder parallel. Die individuelle Auswertung ermöglicht eine verbesserte Lokalisierung eines Leckstrahlungsherds.
- Alternativ kann das Haushalts-Mikrowellengerät mehrere z.B. mit jeweils einer Schnüffelleitung verbundene Auswerteschaltungen aufweisen. Diese können über das Haushalts-Mikrowellengerät verteilt angeordnet sein.
- Es ist eine Ausgestaltung, dass die Auswerteschaltung über mindestens eine Leiterbahn einer Leiterplatte der Steuereinrichtung mit der mindestens einen Schnüffelleitung verbunden ist. So wird eine besonders einfache, platzsparende und robuste Anbindung der Auswerteschaltung an die mindestens eine Leiterbahn ermöglicht. Eine Schnüffelleitung wird dabei insbesondere an die Platine geführt und dort mit der Leiterbahn verbunden, z.B. durch Lötstellen, Klemmen, Stecker usw.
- Es ist eine insbesondere für Kombinations-Schnüffelleitungen vorteilhafte Ausgestaltung, dass die Auswerteschaltung über einen Koppelkondensator mit der mindestens einen Schnüffelleitung verbunden ist. Dadurch wird der Vorteil erreicht, dass die Schnüffelleitung galvanisch von der Auswerteschaltung getrennt ist, aber Wechselstromsignale durch den Koppelkondensator übertragbar sind. Durch den Koppelkondensator wird also eine Gleichspannungsabtrennung zwischen Schnüffelleitung und Auswerteschaltung erreicht. Insbesondere ist ein Anschluss des Koppelkondensators elektrisch mit mindestens einer Schnüffelleitung und der andere Anschluss mit der Auswerteschaltung elektrisch verbunden. Der Koppelkondensator kann auch einen Teil der Auswerteschaltung darstellen.
- Es ist eine Ausgestaltung, dass der Koppelkondensator eine Komponente eines Hochpassfilters ist. So wird der Vorteil erreicht, dass die vergleichsweise hochfrequenten mikrowelleninduzierten Wechselströme (die z.B. eine Frequenz im Bereich der Mikrowellenfrequenz aufweisen können) zu der Auswerteschaltung durchgelassen werden, während niederfrequente Wechselströme, wie sie z.B. typischerweise für eine Stromversorgung eines Verbrauchers mit Wechselstrom verwendet werden (z.B. mit einer Netzfrequenz von 50 Hz), nicht durchgelassen werden. Dadurch wird eine Störung des Messsignals der Mikrowellen-Leckagestrahlung durch elektrische Ströme in Kombinations-Schnüffelleitungen mit niedrigeren Frequenzen verhindert, was wiederum eine Auswertegenauigkeit erhöht.
- Es ist eine Weiterbildung, dass der Koppelkondensator zusammen mit einem insbesondere geerdeten ohmschen Widerstand den Hochpassfilter bildet. Der Widerstand kann eine Komponente der Auswerteschaltung sein, z.B. deren Eingangswiderstand.
- Es ist eine Ausgestaltung, dass der Hochpassfilter zusätzlich einen mit dem Koppelkondensator verbundenen Widerstand, insbesondere Eingangswiderstand, aufweist und der Koppelkondensator eine Kapazität der Größe C (GI.1):
aufweist, wobei R dem Widerstandswert des ohmschen Widerstands und fu einer unteren Grenzfrequenz des Hochpassfilters entspricht. -
-
- Für die Auswahl und Dimensionierung des Koppelkondensators C wurde angenommen, dass eine untere Grenzfrequenz fu des resultierenden Hochpasses so hoch liegt, wie es das zu messende Signal mindestens erfordert (das Messsignal weist eine typische Mikrowellenfrequenz von 915 MHz oder 2,45 GHz auf). Die untere Grenzfrequenz fu wird so angesetzt, dass die übertragene Spannung U 2 nur noch 1/√2 bzw. ca. 70,7% der Amplitude des Originalsignals U 1 beträgt bzw. das Originalsignal U 1 um diesen Faktor abgeschwächt vorliegt. Es folgt daraus für den Betrag der Übertragungsfunktion
- Daraus ergibt sich die vorteilhafte Größe des Kapazitätswerts C des Koppelkondensators gemäß G1.1.
- Ist eine reine Schnüffelleitung an die Auswerteschaltung angeschlossen, braucht diese nicht durch einen Koppelkondensator von der Auswerteschaltung galvanisch getrennt zu sein. Auch kann auf das Vorsehen eines Hochpassfilters verzichtet werden. Alternativ ist auch die reine Schnüffelleitung über einen Koppelkondensator und/oder einen Hochpassfilter angeschlossen.
- Es ist eine Ausgestaltung, dass mindestens eine Schnüffelleitung mindestens eine Länge von mindestens 800 mm, insbesondere von mindestens 1000 mm, insbesondere von mindestens 1500 mm, insbesondere von mindestens 2000 mm aufweist. Eine so hohe Länge ergibt den Vorteil, dass möglichst viele/große Bereiche im Inneren des Gehäuses des Haushalts-Mikrowellengeräts mit einer Schnüffelleitung überdeckt werden können und dadurch örtlich verteilte Leckstrahlungsherde mit einer geringen Anzahl an Schnüffelleitungen sensiert oder detektiert werden können.
- Da die Leckstrahlungsherde nicht nur örtlich verteilt sind, sondern oft auch zeitlich unterschiedlich stark abstrahlen (beispielsweise aufgrund von zeitlich unterschiedlicher Modenverteilung in dem Behandlungsraum durch Bewegung einer Einspeiseantenne, eines Modenrührers und/oder eines Drehtellers), ist es vorteilhaft, dass die Schnüffelleitung eine örtlich und ggf. auch zeitlich aufintegrierende Eigenschaft aufweist. Die Superposition der verschieden eingestrahlten Mikrowellensignale ergibt dann das am Mikrowellensensor anliegende Summensignal. Diese Superposition ist umso stärker ausgeprägt, je länger die Schnüffelleitung ist.
- Die oben beschriebenen Eigenschaften, Merkmale und Vorteile dieser Erfindung sowie die Art und Weise, wie diese erreicht werden, werden klarer und deutlicher verständlich im Zusammenhang mit der folgenden schematischen Beschreibung eines Ausführungsbeispiels, das im Zusammenhang mit den Zeichnungen näher erläutert wird.
- Fig.1
- zeigt als Schnittdarstellung in Seitenansicht ein Haushalts-Mikrowellengerät;
- Fig.2
- zeigt in Draufsicht eine mögliche Auswerteschaltung des Haushalts-Mikrowellengeräts aus
Fig.1 ; - Fig.3
- zeigt eine Auftragung einer Messung einer Leckagestrahlung gegen einen Drehwinkel einer Drehantenne ohne Funkenbildung;
- Fig.4
- zeigt eine Auftragung einer Messung einer Leckagestrahlung gegen einen Drehwinkel einer Drehantenne mit Funkenbildung; und
- Fig.5
- zeigt eine Auftragung einer Schwankungsbreite der in
Fig.3 und Fig.4 dargestellten Messwerte der Leckagestrahlung gegen einen Drehwinkel einer Drehantenne mit und ohne Funkenbildung. -
Fig.1 zeigt als Schnittdarstellung in Seitenansicht eine Skizze eines Haushalts-Mikrowellengeräts 1 mit einem Behandlungsraum in Form eines Garraums 2. Das Haushalts-Mikrowellengerät 1 kann z.B. ein Backofen mit Mikrowellen-Funktionalität sein. - Der Garraum 2 ist von einer Garraumwandung oder Muffel 3 umgeben, die eine mit einer Tür 4 verschließbare frontseitige Beschickungsöffnung aufweist. Das Haushalts-Mikrowellengerät 1 weist zur Behandlung von in dem Garraum 2 befindlichem Gut (o. Abb.) zumindest einen Mikrowellengenerator 5 auf, ggf. auch weitere Heizelemente wie ein oder mehrere Widerstandsheizelemente (o. Abb.). Die von dem Mikrowellengenerator 5 erzeugten Mikrowellen werden über eine Mikrowellenführung 5a mittels einer durch einen Schrittmotor (o. Abb.) um ihre Längsachse drehbaren Drehantenne 5b in den Garraum 2 eingespeist.
- Ferner ist eine Bedieneinrichtung 6 vorhanden, die ein oder mehrere Bedienelemente und/oder Anzeigeeinrichtungen aufweisen kann, z.B. in Form eines berührungsempfindlichen Bildschirms.
- Zusätzlich oder alternativ zu der Drehantenne 5b umfasst das Haushalts-Mikrowellengerät 1 einen in dem Garraum 2 vorhandenen Drehteller 7, der mittels eines außerhalb des Garraums 2 angeordneten Motors 8 drehbar ist. Das Haushalts-Mikrowellengerät 1 bzw. dessen steuerbare Komponenten 5, 6, 8 sind mittels einer zentralen Steuereinrichtung 9 (auch als "Gerätesteuerung" bezeichnet) ansteuerbar oder betätigbar.
- In die Steuereinrichtung 9 ist eine Auswerteschaltung 10 integriert, die mit einer Kombinations-Schnüffelleitung 11 verbunden ist. Die Kombinations-Schnüffelleitung 11 ist hier diejenige elektrische Leitung, welche von der Steuereinrichtung 9 zu dem Motor 8 führt, um den Motor 8 mit Strom zu versorgen und/oder Daten zum Motor 8 zu dessen Ansteuerung zu übertragen. Die Kombinations-Schnüffelleitung 11 ist auch dazu geeignet, dass in ihr durch Mikrowellen Wechselströme induzierbar sind. Die Auswerteschaltung 10 ist zur Bestimmung von in der Antennenleitung 11 induzierten Wechselströmen ausgebildet. Die Auswerteschaltung 10 und die Antennenleitung 11 bilden eine Detektionseinrichtung 10, 11 zur Erfassung von Mikrowellen-Leckagestrahlung außerhalb des Garraums 2, insbesondere in einem Zwischenraum zwischen der Muffel 3 und einem äußeren Gehäuse 12 des Haushalts-Mikrowellengeräts 1. Die Kombinations-Schnüffelleitung 11 weist also eine Doppelfunktion auf, nämlich erstens zur Strom- und/oder Daten-Übertragung zwischen der Steuereinrichtung 9 und dem Motor 8 und zweitens als "Sensorleitung" zur Erfassung von Mikrowellen-Leckagestrahlung. Dazu kann die Kombinations-Schnüffelleitung 11 z.B. um einen Durchbruch in der Muffel 3 herumgeführt sein, durch den eine Antriebsachse des Motors 8 zu dem Drehteller 7 führt. Zusätzlich oder alternativ kann die Kombinations-Schnüffelleitung 11 z.B. mindestens einen gewellt oder mäanderförmig verlaufenden Abschnitt aufweisen, der beispielsweise über Montagefugen, weitere Öffnungen o.ä. der Muffel 3 verläuft.
- Das Haushalts-Mikrowellengerät 1 kann zusätzlich oder alternativ zu der Kombinations-Schnüffelleitung 11 mindestens eine mit der Auswerteschaltung 10 verbundene reine Schnüffelleitung 13, z.B. einen einfachen Draht oder ein einfaches Kabel, aufweisen, die nur dazu vorgesehen ist, als Sensorleitung zu dienen.
- Die Kombinations-Schnüffelleitung 11 und/oder die reine Schnüffelleitung 13 kann eine Länge von mindestens 800 mm, insbesondere von mindestens 1000 mm, insbesondere von mindestens 1500 mm, insbesondere von mindestens 2000 mm aufweisen.
-
Fig.2 zeigt in Draufsicht eine Skizze der in die Steuereinrichtung 9 integrierten Auswerteschaltung 10 mit einigen weiteren an der Steuereinrichtung 9 vorhandenen Komponenten. Zu einer Leiterplatte 14 der Steuereinrichtung 9 sind mehrere elektrische Leitungen 15 geführt. Die Leitungen 15 können Kombinations-Schnüffelleitungen 11, welche an ihren anderen Enden mit Funktionseinheiten des Haushalts-Mikrowellengeräts 1 wie elektrischen Verbrauchern und/oder Sensoren verbunden sind, und/oder reine Schnüffelleitungen 13 sein. - Die elektrischen Leitungen 15 sind an Anschlusspunkten 16 wie Klemmen o.ä. mit der Leiterplatte 14 verbunden und gehen dort in entsprechende Leiterbahnen 17 der Leiterplatte 14 über. In dem gezeigten Ausführungsbeispiel ist rein beispielhaft nur eine Kombinations-Schnüffelleitung 11 mit einer auf der Leiterplatte 14 angeordneten Auswerteschaltung 10 verbunden dargestellt, die wiederum mit einem Prozessor 18, z.B. einem Mikrokontroller, ASIC oder FPGA, der Steuereinrichtung 9 verbunden ist.
- Insbesondere ist die Auswerteschaltung 10 hier von der mit der Kombinations-Schnüffelleitung 11 verbundenen Leiterbahn 17 über einen Koppelkondensator 19 verbunden, der eine Gleichspannungsabtrennung zwischen der Auswerteschaltung 10 und der Kombinations-Schnüffelleitung 11 bewirkt.
- Die Auswerteschaltung 10 weist, wie in dem vergrößerten Ausschnitt A gezeigt, mindestens einen ohmschen Widerstand 20 auf, der einerseits mit dem mit dem Prozessor 18 verbundenen Anschluss verbunden ist und andererseits mit einem vorgegebenen Bezugspotential oder Masse verbunden ist. Der Koppelkondensator 19 und der Widerstand 20 bilden ein Hochpassfilter 19, 20 für das von der Kombinations-Schnüffelleitung 11 ankommende Signal.
- Der Koppelkondensator 19 weist hier vorteilhafterweise einen Kapazitätswert C der Größe
mit R dem Widerstandswert des Widerstands 20 und fu einer gewünschten unteren Grenzfrequenz des Hochpassfilters 19, 20 auf. Die untere Grenzfrequenz fu ist so gewählt, dass praktisch nur die mikrowelleninduzierten Spannungsanteile durchgelassen werden. - Das - z.B. analoge - Ausgangssignal der Auswerteschaltung 10 wird zur Auswertung zu dem Prozessor 18 geleitet (z.B. zu einem Analogeingang eines Mikrokontrollers). Jedoch kann die Auswerteschaltung 10 auch noch andere Komponenten oder Bauteile (o. Abb.) aufweisen, beispielsweise einen A/D-Wandler, Operationsverstärker usw.
- Die Steuereinrichtung 9 kann dazu eingerichtet ist, beruhend auf einer Stärke des in der Kombinations-Schnüffelleitung 11 mikrowelleninduzierten Wechselstroms, repräsentiert durch das Mess- / Ausgangssignal bzw. die Messwerte der Auswerteschaltung 10, während eines Mikrowellenbetriebs eine Funkenbildung in dem Garraum 2 zu detektieren und ggf. mindestens eine entsprechende Aktion auszulösen, z.B. eine Leistung des Mikrowellengenerators 5 zu reduzieren, einen Hinweis an einen Nutzer auszugeben, usw.
-
Fig.3 zeigt eine Auftragung eines die Stärke der Leckagestrahlung repräsentierenden, durch die Auswerteschaltung 10 gemessenen Leckagestrahlungs-Messwerts LM in mV, wie sie beispielsweise von der Auswerteschaltung 10 ausgegeben wird, gegen einen Drehwinkel ϕ der Drehantenne 5b in Grad bei Mikrowellenbehandlung mit einer Leistung von 600 W einer in den Garraum 2 eingebrachten Wasserlast ohne Funkenbildung. - Dabei wird angenommen, dass eine Feldverteilung der Mikrowellen im Garraum 2 nur durch Drehung der Drehantenne 5b eingestellt wird. Der mindestens eine relevante variable Mikrowellen-Betriebsparameter umfasst also hier nur den Drehwinkel ϕ der Drehantenne 5b, der Einstellwerte in einem Bereich [0°; 360°] annehmen kann, z.B. in Schritten von 1°, 5° oder 10°. Die Drehantenne 5b hat den Zweck, die eingebrachte Mikrowellenleistung im Gargut (o. Abb.) zu vergleichmäßigen. Während einer Drehung der Drehantenne 5b wird das Mikrowellenfeld im Garraum 2 zyklisch verändert und kann unter ungünstigen, aber nicht vorhersehbaren Bedingungen, und bei bestimmten Drehwinkeln Funkenüberschläge hervorrufen.
- Jedoch können allgemein alternativ oder zusätzlich weitere variabel einstellbare Mikrowellen-Betriebsparameter verwendet werden, z.B.
- ein Drehwinkel mindestens eines Modenrührers (o. Abb.),
- ein Drehwinkel des Drehtellers (7),
- eine Leistung der eingestrahlten Mikrowellen,
- eine Frequenz der eingestrahlten Mikrowellen,
- eine Phase zwischen über unterschiedliche Einspeisungspunkte eingestrahlten Mikrowellen (o. Abb.),
- usw.
- Die Auftragung zeigt, dass der Leckagestrahlungs-Messwert LM für zehn volle Umdrehungen der Drehantenne 5b sehr gut reproduzierbar ist, da beim Durchqueren jedes Drehwinkels ein (im Rahmen der Messgenauigkeit) sehr ähnlicher Messwert generiert wird. Daher ist eine Schwankungsbreite LMS für alle Einstellwerte des Drehwinkels ϕ gering, wie für den Winkelwert ϕ = 100 ° schematisch eingezeichnet (siehe auch
Fig.5 ). -
Fig.4 zeigt eine Auftragung eines die Stärke der Leckagestrahlung repräsentierenden Leckagestrahlungs-Messwerts LM in mV gegen einen Drehwinkel ϕ der Drehantenne 5b in Grad bei Mikrowellenbehandlung mit einer Leistung von 600 W einer in den Garraum 2 eingebrachten Wasserlast und zusätzlich eingelegtem metallischem Backblech (o. Abb.). Aufgrund des eingelegten Backblechs kommt es nun zu einer mikrowellen-basierten Funkenbildung. Die Schwankungsbreite LMS ist weitaus höher als für den inFig.3 dargestellt Fall ohne Backblech, wie beispielhaft für ϕ = 50 ° eingezeichnet. - Dabei hat es sich z.B. für einen Backofen mit Mikrowellenfunktion gezeigt, dass ab Mikrowellenleistungen von 360 W ein im Garraum 2 befindliches Backblech insbesondere an Kontaktstellen zum Einhängegestell oder Auszug eine Funkenbildung begünstigt. In diesem Fall waren während des gesamten Mikrowellenbetriebs regelmäßig Funkenüberschläge sicht- und hörbar. Die gezeigte Auftragung spiegelt dies wider: Durch die zufälligen Komponenten bei der Entstehung von Funken - es können bereits nanoskalige Effekte und Schwankungen ausreichend sein, um die Intensität und das räumliche Auftreten der Funken zu variieren - ist nun die Feldverteilung beim Durchqueren des gleichen Drehwinkels ϕ durch die Drehantenne 5b nicht mehr identisch. Diese Änderung der "Funkeneigenschaften" lässt sich direkt in den Leckraten- bzw. Leckagestrahlungs-Messwerten beobachten. Diese nehmen nun bei gleichen Drehwinkeln ϕ bei jeder erneuten Umdrehung der Drehantenne 5b merklich unterschiedliche Einstellwerte an.
-
Fig.5 zeigt eine Auftragung einer Schwankungsbreite LMS des Leckagestrahlungs-Messwerts LM in mV gegen einen Drehwinkel ϕ der Drehantenne 5b in Grad für die Leckagestrahlungs-Messwerte LM ausFig.3 und Fig.4 , jeweils berechnet aus der Standardabweichung der Leckagestrahlungs-Messwerte LM für die einzelnen Drehwinkel ϕ. - Die Zahl der zur Auswertung herangezogenen Antennenumdrehungen beträgt mindestens zwei, kann vorteilhafterweise aber auch mehr als zwei betragen.
- Aus
Fig.5 lässt sich automatisiert feststellen, ob sich in dem Garraum 2 Funken bilden bzw. Funkenüberschläge auftreten. Mögliche Kriterien, dass eine Funkenbildung vorliegt, können z.B. umfassen: - die Schwankungsbreite LMS der Leckagestrahlungs-Messwerte überschreitet eine vorgegebene Schwankungsbreite bzw. einen Grenzwert LMS_thr mindestens einmal, hier für einen bestimmten Einstellwert des Drehwinkels ϕ oder für einen bestimmten Drehwinkelbereich der Breite Δϕ: [ϕ - Δϕ/2; ϕ + Δϕ/2];
- die Schwankungsbreite LMS der Leckagestrahlungs-Messwerte überschreitet den Grenzwert LMS_thr für mehr als einen Einstellwert des Drehwinkels ϕ oder mehr als einen Drehwinkelbereich.
- Der Grenzwert LMS_thr - vorliegend beispielsweise bei LMS = 40 mV eingezeichnet - kann ein fest bestimmter Wert sein oder kann sich dynamisch aus den Messwerten ergeben. Beispielsweise kann der Grenzwert LMS_thr beruhend auf dem Durchschnittswert aller Schwankungsbreiten LMS berechnet werden.
- Auch können Funkenbildungen bzw. Funkenüberschläge besonders zuverlässig erkannt werden, wenn die obigen Kriterien für mehr als einen Messzyklus (d.h., ein volles Durchlaufen der Kombinationen der Einstellwerte der Mikrowellen-Betriebsparameter, hier: eine volle Antennenumdrehung) hintereinander erfüllt sind. Dies ist besonders vorteilhaft, da insbesondere an steilen Flanken der Messwertverläufe die Messungenauigkeit fehlerhafte Ergebnisse liefern kann (siehe z.B.
Fig.3 im Winkelbereich ϕ = [180°; 210°]). Allgemein zeigt aber der direkte Vergleich vonFig.3 und Fig.4 , dass sich Funkenbildungen bzw. Funkenüberschläge mit großer Zuverlässigkeit feststellen lassen. - Zur noch weiter gesteigerten Verbesserung der Zuverlässigkeit bei der Feststellung von Funkenbildungen bzw. Funkenüberschlägen - insbesondere ohne sog. "False Positives" - können die Leckagestrahlungs-Messwerte LM bzw. Verläufe davon (z.B. wie in
Fig.3 und Fig.4 gezeigt) einer Datenaufbereitung unterzogen werden. Beispielsweise können die Leckagestrahlungs-Messwerte LM aus den ersten (z.B. fünf bis zehn) Sekunden eines Mikrowellenbetriebs nicht herangezogen werden, da das Magnetron 5 während seiner Erwärmungsphase noch keinen stabilen Schwingungszustand erreicht hat und daher ggf. auch ohne Funkenbildung ein Aufspreizen der Leckagestrahlungs-Messwerte LM verursachen würde. - Auch können die Leckagestrahlungs-Messwerte LM einer Kurvenanpassung (z.B. durch Interpolation) und/oder einer Glättung unterworfen werden.
- Werden Funkenbildungen bzw. Funkenüberschläge erkannt, kann es eine Aktion in Form einer Gegenmaßnahme sein, die in den Garraum 2 eingestrahlte Mikrowellenleistung schrittweise zu reduzieren. Sobald die Mikrowellenleistung soweit reduziert wurde, dass die Durchbruchfeldstärke nicht mehr erreicht wird, endet die Funkenerzeugung augenblicklich, was sich in einer stark verringerten Schwankungsbreite LMS erkennen lässt.
- Zusätzlich oder alternativ können mittels Ansteuerung des Schrittmotors der Drehantenne 5b durch die Steuereinrichtung 9 Winkelbereiche mit erhöhter Schwankungsbreite LMS schneller durchlaufen oder ausgespart werden. In Winkelbereichen mit geringer Schwankungsbreite LMS kann die Drehantenne 5b langsamer rotiert werden. Folglich kann ein Zeitfenster des Auftretens von Funken und damit eine Behandlungs- oder Gardauer deutlich reduziert werden. Aus
Fig.5 lassen sich exemplarisch Winkelbereiche mit langsamerer und schnellerer Drehgeschwindigkeit der Drehantenne 5b für das inFig.4 beschriebene Szenario bestimmen: - Schnelle Rotation für die Winkelbereiche [10°; 20°], [45°; 55°], [100°; 110°], [140°; 170° ], [240°; 300°];
- Verlangsamte Rotation für die Winkelbereiche [20°; 45°], [60°; 95°], [110°; 135°], [180°; 230°], [310°; 360°].
- Auch kann als eine Gegenmaßnahme eine Interaktion des Haushalts-Mikrowellengeräts mit dem Nutzer initiiert werden, bei welcher dieser darauf hingewiesen wird, das Zubehör zu entfernen, anders zu positionieren oder die eingestellte Mikrowellenleistung zu reduzieren.
- Selbstverständlich ist die vorliegende Erfindung nicht auf das gezeigte Ausführungsbeispiel beschränkt.
- Allgemein kann unter "ein", "eine" usw. eine Einzahl oder eine Mehrzahl verstanden werden, insbesondere im Sinne von "mindestens ein" oder "ein oder mehrere" usw., solange dies nicht explizit ausgeschlossen ist, z.B. durch den Ausdruck "genau ein" usw.
- Auch kann eine Zahlenangabe genau die angegebene Zahl als auch einen üblichen Toleranzbereich umfassen, solange dies nicht explizit ausgeschlossen ist.
-
- 1
- Haushalts-Mikrowellengerät
- 2
- Garraum
- 3
- Muffel
- 4
- Tür
- 5
- Mikrowellengenerator
- 5a
- Mikrowellenführung
- 5b
- Drehantenne
- 6
- Bedieneinrichtung
- 7
- Drehteller
- 8
- Motor
- 9
- Steuereinrichtung
- 10
- Auswerteschaltung
- 11
- Kombinations-Schnüffelleitung
- 12
- Gehäuse
- 13
- Reine Schnüffelleitung
- 14
- Leiterplatte
- 15
- Elektrische Leitung
- 16
- Anschlusspunkt
- 17
- Leiterbahn
- 18
- Prozessor
- 19
- Koppelkondensator
- 20
- Widerstand
- A
- Ausschnitt
- C
- Kapazitätswert
- LM
- Leckagestrahlungs-Messwert
- LMS
- Schwankungsbreite des Leckagestrahlungs-Messwerts
- LMS_thr
- vorgegebene Schwankungsbreite / Grenzwert
- R
- Widerstandswert
- ϕ
- Drehwinkel der Drehantenne
Claims (15)
- Verfahren zum Feststellen von Funkenüberschlägen in einem Behandlungsraum (2) eines Haushalts-Mikrowellengeräts (1) während eines Mikrowellen-Behandlungsablaufs, in dessen Verlauf ein Einstellwert mindestens eines Mikrowellen-Betriebsparameters (ϕ) variiert wird, wobei bei dem Verfahren- während des Mikrowellen-Behandlungsablaufs Messwerte (LM) einer Leckagestrahlung unter gleichen Einstellwerten des mindestens einen Mikrowellen-Betriebsparameters (ϕ) mehrfach hintereinander gemessen werden und- ein Funkenüberschlag erkannt wird, wenn eine Schwankungsbreite (LMS) der Messwerte (LM), die unter gleichen Einstellwerten gemessen worden sind, eine vorgegebene Schwankungsbreite (LMS_thr) erreicht oder überschreitet.
- Verfahren nach Anspruch 1, bei dem die Messwerte (LM) der Leckagestrahlung mittels einer außenhalb eines Behandlungsraums (2) angeordneten Schnüffelleitung (11, 13) gemessen werden.
- Verfahren nach einem der vorhergehenden Ansprüche, bei dem die Schwankungsbreite (LMS) eine Differenz zwischen einem Minimalwert und einem Maximalwert von unter gleichen Einstellwerten des mindestens einen Mikrowellen-Betriebsparameters gemessenen Messwerten (LM) ist.
- Verfahren nach einem der Ansprüche 1 bis 2, bei dem die Schwankungsbreite (LMS) eine Standardabweichung von unter gleichen Einstellwerten des mindestens einen Mikrowellen-Betriebsparameters gemessenen Messwerten (LM) ist.
- Verfahren nach einem der vorhergehenden Ansprüche, bei dem ein Funkenüberschlag erkannt wird, wenn die Schwankungsbreite (LMS) für eine Kombination von Einstellwerten des mindestens einen Mikrowellen-Betriebsparameters (ϕ) erreicht oder überschritten wird.
- Verfahren nach einem der Ansprüche 1 bis 4, bei dem ein Funkenüberschlag erkannt wird, wenn die Schwankungsbreite (LMS) jeweils für mehrere Kombinationen von Einstellwerten des mindestens einen Mikrowellen-Betriebsparameters (ϕ) erreicht oder überschritten wird.
- Verfahren nach einem der vorhergehenden Ansprüche, bei dem die vorgegebene Schwankungsbreite (LMS_thr) für den Mikrowellen-Behandlungsablauf fest vorgegeben ist.
- Verfahren nach einem der vorhergehenden Ansprüche, bei dem die vorgegebene Schwankungsbreite (LMS_thr) anhand der gemessenen Messwerte (LM) dynamisch angepasst wird.
- Verfahren nach Anspruch 8, bei dem die für eine bestimmte Kombination von Einstellwerten der Mikrowellen-Betriebsparameter (ϕ) vorgegebene Schwankungsbreite (LMS_thr) einem Produkt aus einer für mehrere Kombinationen von Einstellwerten bestimmten durchschnittlichen Schwankungsbreite und einem Faktor A mit A > 1 entspricht.
- Verfahren nach einem der vorhergehenden Ansprüche, bei dem der mindestens eine Mikrowellen-Betriebsparameter (ϕ) mindestens einen Mikrowellen-Betriebsparameter aus der Gruppe- Drehwinkel (ϕ) mindestens einer Drehantenne (5b),- Drehwinkel mindestens eines Modenrührers,- Drehwinkel eines Drehtellers (7),- Leistung der eingestrahlten Mikrowellen,- Frequenz der eingestrahlten Mikrowellen,- Phase zwischen über unterschiedliche Einspeisungspunkte eingestrahlten Mikrowellenumfasst.
- Verfahren nach einem der vorhergehenden Ansprüche, bei dem das Verfahren erst ab einer vorgegebenen Zeitdauer nach Beginn des Mikrowellen-Behandlungsablaufs durchgeführt wird.
- Verfahren zum Betreiben eines Haushalts-Mikrowellengeräts (1), bei dem dann, wenn mittels des Verfahrens nach einem der vorhergehenden Ansprüche ein Funkenüberschlag erkannt wird, mindestens eine Aktion ausgelöst wird.
- Verfahren nach Anspruch 12, bei dem die mindestens eine Aktion ein Verringern einer eingestrahlten Mikrowellenleistung für alle Einstellwerte des mindestens einen Mikrowellen-Betriebsparameters (ϕ) umfasst.
- Verfahren nach Anspruch 12, bei dem die mindestens eine Aktion ein Verringern einer eingestrahlten Mikrowellenleistung nur für Einstellwerte des mindestens einen Mikrowellen-Betriebsparameters (ϕ), bei denen die vorgegebene Schwankungsbreite (LMS_thr) überschritten wird, umfasst.
- Haushalts-Mikrowellengerät (1), aufweisend einen Mikrowellengenerator (5) zum Erzeugen von Mikrowellen, einen Behandlungsraum (2), der mittels der erzeugten Mikrowellen beaufschlagbar ist, eine Mikrowellen-Detektionseinrichtung (10,11) zum Messen von aus dem Behandlungsraum (2) austretender Mikrowellen-Leckagestrahlung und eine Datenverarbeitungseinrichtung (10) zum Erkennen eines Funkenüberschlags durch Auswerten der durch die Mikrowellen-Detektionseinrichtung (10,11) gemessenen Mikrowellen-Leckagestrahlung (LM), wobei das Haushalts-Mikrowellengerät (1) zum Durchführen der Verfahren nach einem der vorhergehenden Ansprüche eingerichtet ist.
Applications Claiming Priority (2)
| Application Number | Priority Date | Filing Date | Title |
|---|---|---|---|
| DE102020208535.8A DE102020208535A1 (de) | 2020-07-08 | 2020-07-08 | Feststellen von Funkenüberschlägen während eines Mikrowellen-Behandlungsablaufs eines Haushalts-Mikrowellengeräts |
| PCT/EP2021/067287 WO2022008257A1 (de) | 2020-07-08 | 2021-06-24 | Feststellen von funkenüberschlägen während eines mikrowellen-behandlungsablaufs eines haushalts-mikrowellengeräts |
Publications (2)
| Publication Number | Publication Date |
|---|---|
| EP4179846A1 EP4179846A1 (de) | 2023-05-17 |
| EP4179846B1 true EP4179846B1 (de) | 2024-08-14 |
Family
ID=76765113
Family Applications (1)
| Application Number | Title | Priority Date | Filing Date |
|---|---|---|---|
| EP21737363.8A Active EP4179846B1 (de) | 2020-07-08 | 2021-06-24 | Feststellen von funkenüberschlägen während eines mikrowellen-behandlungsablaufs eines haushalts-mikrowellengeräts |
Country Status (5)
| Country | Link |
|---|---|
| US (1) | US12507326B2 (de) |
| EP (1) | EP4179846B1 (de) |
| CN (1) | CN115777235A (de) |
| DE (1) | DE102020208535A1 (de) |
| WO (1) | WO2022008257A1 (de) |
Families Citing this family (3)
| Publication number | Priority date | Publication date | Assignee | Title |
|---|---|---|---|---|
| KR20230031709A (ko) * | 2021-08-27 | 2023-03-07 | 삼성전자주식회사 | 플라즈마의 파라미터를 계측하는 방법, 플라즈마 파라미터를 계측하는 장치, 플라즈마 처리 시스템 및 웨이퍼 처리 방법 |
| DE102022202795A1 (de) * | 2022-03-22 | 2023-09-28 | Robert Bosch Gesellschaft mit beschränkter Haftung | Verfahren zur Ermittlung einer Wiederholstreuung |
| CN116908636B (zh) * | 2023-07-17 | 2024-06-25 | 北京中陆汇能科技有限公司 | 一种基于自调节比较点的火花闪络判断方法和电路 |
Family Cites Families (17)
| Publication number | Priority date | Publication date | Assignee | Title |
|---|---|---|---|---|
| DE2029559C3 (de) | 1970-01-17 | 1974-08-08 | Industrie A. Zanussi S.P.A., Pordenone (Italien) | Sicherheitsvorrichtung gegen den Austritt von Strahlungen aus Mikrowellengeräten |
| US3748424A (en) | 1972-08-07 | 1973-07-24 | Gen Electric | Built-in leakage radiation detecting device for a microwave oven |
| US3746824A (en) * | 1972-08-07 | 1973-07-17 | Gen Electric | Microwave oven leakage radiation detecting device |
| US4354153A (en) * | 1979-11-19 | 1982-10-12 | Litton Systems, Inc. | Microwave oven leakage detector and method of using same to test door seal leakage |
| DE19537755A1 (de) | 1995-10-10 | 1997-04-30 | Mikrowellen Systeme Mws Gmbh | Mikrowellenofen, insbesondere für ein Labor |
| US7525074B2 (en) | 2006-05-31 | 2009-04-28 | International Business Machines Corporation | Method and apparatus for detecting metal placed within a microwave oven |
| JP2009019796A (ja) | 2007-07-11 | 2009-01-29 | Panasonic Corp | 電子レンジ |
| DE102007051638B8 (de) * | 2007-10-26 | 2010-06-10 | Rational Ag | Verfahren zur Erkennung des Beladungszustandes eines Gargerätes mit Mikrowellengaren und Gargerät zur Durchführung solch eines Verfahrens |
| JP2009127922A (ja) * | 2007-11-22 | 2009-06-11 | Panasonic Corp | 電子レンジ |
| JP2009127923A (ja) * | 2007-11-22 | 2009-06-11 | Panasonic Corp | 電子レンジ |
| JP2009250444A (ja) * | 2008-04-01 | 2009-10-29 | Panasonic Corp | 電子レンジ |
| DE502008002740D1 (de) | 2008-07-21 | 2011-04-14 | Topinox Sarl | Verfahren und Vorrichtung zur Mikrowellen-Leckageüberwachung bei einem Gargerät |
| EP2152047A1 (de) | 2008-08-04 | 2010-02-10 | Topinox Sarl | Sicherheitseinrichtung zur Detektierung von Leckagestrahlung |
| DE102010036913A1 (de) | 2010-08-09 | 2012-02-09 | Miele & Cie. Kg | Gargerät |
| US9942950B2 (en) | 2012-08-06 | 2018-04-10 | Goji Limited | Method for detecting dark discharge and device utilizing the method |
| US11032878B2 (en) | 2016-09-26 | 2021-06-08 | Illinois Tool Works Inc. | Method for managing a microwave heating device and microwave heating device |
| JP6361049B2 (ja) * | 2017-08-07 | 2018-07-25 | 光洋サーモシステム株式会社 | マイクロ波監視装置、マイクロ波加熱装置、および、マイクロ波監視方法 |
-
2020
- 2020-07-08 DE DE102020208535.8A patent/DE102020208535A1/de active Pending
-
2021
- 2021-06-24 WO PCT/EP2021/067287 patent/WO2022008257A1/de not_active Ceased
- 2021-06-24 US US18/010,476 patent/US12507326B2/en active Active
- 2021-06-24 CN CN202180048394.6A patent/CN115777235A/zh active Pending
- 2021-06-24 EP EP21737363.8A patent/EP4179846B1/de active Active
Also Published As
| Publication number | Publication date |
|---|---|
| CN115777235A (zh) | 2023-03-10 |
| DE102020208535A1 (de) | 2022-01-13 |
| EP4179846A1 (de) | 2023-05-17 |
| US20230135333A1 (en) | 2023-05-04 |
| WO2022008257A1 (de) | 2022-01-13 |
| US12507326B2 (en) | 2025-12-23 |
Similar Documents
| Publication | Publication Date | Title |
|---|---|---|
| EP4179846B1 (de) | Feststellen von funkenüberschlägen während eines mikrowellen-behandlungsablaufs eines haushalts-mikrowellengeräts | |
| EP2236004B1 (de) | Induktionskochfeld mit einer mehrzahl von induktionsheizkörpern | |
| DE60028485T2 (de) | Objekterfassungssystem, welches zum Beispiel die Anwesenheit eines metallischen Kochgerätes auf einer nichtmetallischen Kochoberfläche erfasst | |
| DE102007051638B3 (de) | Verfahren zur Erkennung des Beladungszustandes eines Gargerätes mit Mikrowellengaren und Gargerät zur Durchführung solch eines Verfahrens | |
| DE102011052847A1 (de) | Verfahren und Vorrichtung zur Entstörung von Feuchtesensor-Signalen | |
| EP3861359B1 (de) | Verfahren zum bestimmen eines kurzschlusses mit auftreten eines lichtbogens an einem elektrischen leiter | |
| EP1087640A2 (de) | Anwesenheit- und/oder Grössetopferkennung | |
| DE10150545C1 (de) | Mikrowellenofen mit Magnetfeld-Erfassungsvorrichtung | |
| EP3105000B1 (de) | Plasmaschneidmaschine mit schutzeinrichtung sowie verfahren zum betreiben der plasmaschneidmaschine | |
| EP3637948B1 (de) | Heizvorrichtung und verfahren zur temperaturerfassung an einer heizvorrichtung | |
| EP1705687B1 (de) | Verfahren zur Arcerkennung | |
| DE2507175A1 (de) | Temperaturueberwachungsvorrichtung fuer mikrowellenherde | |
| EP3977817B1 (de) | Haushalts-mikrowellengerät mit detektionseinrichtung zur erfassung von mikrowellen-leckagestrahlung | |
| EP2418916B1 (de) | Gargerät | |
| EP3997961A1 (de) | Haushalts-mikrowellengerät mit modenvariationsvorrichtung | |
| DE69809536T2 (de) | Magnetronsteuersschaltung bei einem Mikrowellenofen | |
| DE202004020402U1 (de) | Vorrichtung zur Erkennung von Störlichtbögen | |
| EP3368829B1 (de) | Hausgeräteheizvorrichtung | |
| DE19754351C1 (de) | Verfahren und Vorrichtung zur Messung der Temperatur einer Wicklung | |
| DE102018105901A1 (de) | Gargerät, umfassend einen Garraum und ein Magnetron zur Erzeugung von elektromagnetischer Energie, und Verfahren zum Betrieb eines derartigen Gargeräts | |
| EP1768461A1 (de) | Verfahren zum Erzeugen, Verarbeiten und Auswerten eines mit der Temperatur korrelierten Signals und entsprechende Vorrichtung | |
| EP3443267A1 (de) | Gargerät mit einer flächenantenne und verfahren zum betreiben eines gargeräts | |
| EP3496509A1 (de) | Gargerätevorrichtung | |
| DE69911841T2 (de) | Elektrischer Gasanzünder | |
| EP4042836A1 (de) | Erkennen eines stillstands einer drehbaren mikrowellenverteilvorrichtung |
Legal Events
| Date | Code | Title | Description |
|---|---|---|---|
| STAA | Information on the status of an ep patent application or granted ep patent |
Free format text: STATUS: UNKNOWN |
|
| STAA | Information on the status of an ep patent application or granted ep patent |
Free format text: STATUS: THE INTERNATIONAL PUBLICATION HAS BEEN MADE |
|
| PUAI | Public reference made under article 153(3) epc to a published international application that has entered the european phase |
Free format text: ORIGINAL CODE: 0009012 |
|
| STAA | Information on the status of an ep patent application or granted ep patent |
Free format text: STATUS: REQUEST FOR EXAMINATION WAS MADE |
|
| 17P | Request for examination filed |
Effective date: 20230208 |
|
| AK | Designated contracting states |
Kind code of ref document: A1 Designated state(s): AL AT BE BG CH CY CZ DE DK EE ES FI FR GB GR HR HU IE IS IT LI LT LU LV MC MK MT NL NO PL PT RO RS SE SI SK SM TR |
|
| DAV | Request for validation of the european patent (deleted) | ||
| DAX | Request for extension of the european patent (deleted) | ||
| GRAP | Despatch of communication of intention to grant a patent |
Free format text: ORIGINAL CODE: EPIDOSNIGR1 |
|
| STAA | Information on the status of an ep patent application or granted ep patent |
Free format text: STATUS: GRANT OF PATENT IS INTENDED |
|
| INTG | Intention to grant announced |
Effective date: 20240402 |
|
| GRAS | Grant fee paid |
Free format text: ORIGINAL CODE: EPIDOSNIGR3 |
|
| GRAA | (expected) grant |
Free format text: ORIGINAL CODE: 0009210 |
|
| STAA | Information on the status of an ep patent application or granted ep patent |
Free format text: STATUS: THE PATENT HAS BEEN GRANTED |
|
| AK | Designated contracting states |
Kind code of ref document: B1 Designated state(s): AL AT BE BG CH CY CZ DE DK EE ES FI FR GB GR HR HU IE IS IT LI LT LU LV MC MK MT NL NO PL PT RO RS SE SI SK SM TR |
|
| REG | Reference to a national code |
Ref country code: GB Ref legal event code: FG4D Free format text: NOT ENGLISH |
|
| REG | Reference to a national code |
Ref country code: CH Ref legal event code: EP |
|
| REG | Reference to a national code |
Ref country code: DE Ref legal event code: R096 Ref document number: 502021004794 Country of ref document: DE |
|
| REG | Reference to a national code |
Ref country code: NL Ref legal event code: FP |
|
| REG | Reference to a national code |
Ref country code: IE Ref legal event code: FG4D Free format text: LANGUAGE OF EP DOCUMENT: GERMAN |
|
| REG | Reference to a national code |
Ref country code: LT Ref legal event code: MG9D |
|
| PG25 | Lapsed in a contracting state [announced via postgrant information from national office to epo] |
Ref country code: NO Free format text: LAPSE BECAUSE OF FAILURE TO SUBMIT A TRANSLATION OF THE DESCRIPTION OR TO PAY THE FEE WITHIN THE PRESCRIBED TIME-LIMIT Effective date: 20241114 |
|
| PG25 | Lapsed in a contracting state [announced via postgrant information from national office to epo] |
Ref country code: FI Free format text: LAPSE BECAUSE OF FAILURE TO SUBMIT A TRANSLATION OF THE DESCRIPTION OR TO PAY THE FEE WITHIN THE PRESCRIBED TIME-LIMIT Effective date: 20240814 Ref country code: GR Free format text: LAPSE BECAUSE OF FAILURE TO SUBMIT A TRANSLATION OF THE DESCRIPTION OR TO PAY THE FEE WITHIN THE PRESCRIBED TIME-LIMIT Effective date: 20241115 Ref country code: PL Free format text: LAPSE BECAUSE OF FAILURE TO SUBMIT A TRANSLATION OF THE DESCRIPTION OR TO PAY THE FEE WITHIN THE PRESCRIBED TIME-LIMIT Effective date: 20240814 Ref country code: PT Free format text: LAPSE BECAUSE OF FAILURE TO SUBMIT A TRANSLATION OF THE DESCRIPTION OR TO PAY THE FEE WITHIN THE PRESCRIBED TIME-LIMIT Effective date: 20241216 |
|
| PG25 | Lapsed in a contracting state [announced via postgrant information from national office to epo] |
Ref country code: BG Free format text: LAPSE BECAUSE OF FAILURE TO SUBMIT A TRANSLATION OF THE DESCRIPTION OR TO PAY THE FEE WITHIN THE PRESCRIBED TIME-LIMIT Effective date: 20240814 |
|
| PG25 | Lapsed in a contracting state [announced via postgrant information from national office to epo] |
Ref country code: LV Free format text: LAPSE BECAUSE OF FAILURE TO SUBMIT A TRANSLATION OF THE DESCRIPTION OR TO PAY THE FEE WITHIN THE PRESCRIBED TIME-LIMIT Effective date: 20240814 |
|
| PG25 | Lapsed in a contracting state [announced via postgrant information from national office to epo] |
Ref country code: IS Free format text: LAPSE BECAUSE OF FAILURE TO SUBMIT A TRANSLATION OF THE DESCRIPTION OR TO PAY THE FEE WITHIN THE PRESCRIBED TIME-LIMIT Effective date: 20241214 |
|
| PG25 | Lapsed in a contracting state [announced via postgrant information from national office to epo] |
Ref country code: HR Free format text: LAPSE BECAUSE OF FAILURE TO SUBMIT A TRANSLATION OF THE DESCRIPTION OR TO PAY THE FEE WITHIN THE PRESCRIBED TIME-LIMIT Effective date: 20240814 |
|
| PG25 | Lapsed in a contracting state [announced via postgrant information from national office to epo] |
Ref country code: RS Free format text: LAPSE BECAUSE OF FAILURE TO SUBMIT A TRANSLATION OF THE DESCRIPTION OR TO PAY THE FEE WITHIN THE PRESCRIBED TIME-LIMIT Effective date: 20241114 Ref country code: ES Free format text: LAPSE BECAUSE OF FAILURE TO SUBMIT A TRANSLATION OF THE DESCRIPTION OR TO PAY THE FEE WITHIN THE PRESCRIBED TIME-LIMIT Effective date: 20240814 |
|
| PG25 | Lapsed in a contracting state [announced via postgrant information from national office to epo] |
Ref country code: RS Free format text: LAPSE BECAUSE OF FAILURE TO SUBMIT A TRANSLATION OF THE DESCRIPTION OR TO PAY THE FEE WITHIN THE PRESCRIBED TIME-LIMIT Effective date: 20241114 Ref country code: PT Free format text: LAPSE BECAUSE OF FAILURE TO SUBMIT A TRANSLATION OF THE DESCRIPTION OR TO PAY THE FEE WITHIN THE PRESCRIBED TIME-LIMIT Effective date: 20241216 Ref country code: PL Free format text: LAPSE BECAUSE OF FAILURE TO SUBMIT A TRANSLATION OF THE DESCRIPTION OR TO PAY THE FEE WITHIN THE PRESCRIBED TIME-LIMIT Effective date: 20240814 Ref country code: NO Free format text: LAPSE BECAUSE OF FAILURE TO SUBMIT A TRANSLATION OF THE DESCRIPTION OR TO PAY THE FEE WITHIN THE PRESCRIBED TIME-LIMIT Effective date: 20241114 Ref country code: LV Free format text: LAPSE BECAUSE OF FAILURE TO SUBMIT A TRANSLATION OF THE DESCRIPTION OR TO PAY THE FEE WITHIN THE PRESCRIBED TIME-LIMIT Effective date: 20240814 Ref country code: IS Free format text: LAPSE BECAUSE OF FAILURE TO SUBMIT A TRANSLATION OF THE DESCRIPTION OR TO PAY THE FEE WITHIN THE PRESCRIBED TIME-LIMIT Effective date: 20241214 Ref country code: HR Free format text: LAPSE BECAUSE OF FAILURE TO SUBMIT A TRANSLATION OF THE DESCRIPTION OR TO PAY THE FEE WITHIN THE PRESCRIBED TIME-LIMIT Effective date: 20240814 Ref country code: GR Free format text: LAPSE BECAUSE OF FAILURE TO SUBMIT A TRANSLATION OF THE DESCRIPTION OR TO PAY THE FEE WITHIN THE PRESCRIBED TIME-LIMIT Effective date: 20241115 Ref country code: FI Free format text: LAPSE BECAUSE OF FAILURE TO SUBMIT A TRANSLATION OF THE DESCRIPTION OR TO PAY THE FEE WITHIN THE PRESCRIBED TIME-LIMIT Effective date: 20240814 Ref country code: ES Free format text: LAPSE BECAUSE OF FAILURE TO SUBMIT A TRANSLATION OF THE DESCRIPTION OR TO PAY THE FEE WITHIN THE PRESCRIBED TIME-LIMIT Effective date: 20240814 Ref country code: BG Free format text: LAPSE BECAUSE OF FAILURE TO SUBMIT A TRANSLATION OF THE DESCRIPTION OR TO PAY THE FEE WITHIN THE PRESCRIBED TIME-LIMIT Effective date: 20240814 |
|
| PG25 | Lapsed in a contracting state [announced via postgrant information from national office to epo] |
Ref country code: SM Free format text: LAPSE BECAUSE OF FAILURE TO SUBMIT A TRANSLATION OF THE DESCRIPTION OR TO PAY THE FEE WITHIN THE PRESCRIBED TIME-LIMIT Effective date: 20240814 Ref country code: RO Free format text: LAPSE BECAUSE OF FAILURE TO SUBMIT A TRANSLATION OF THE DESCRIPTION OR TO PAY THE FEE WITHIN THE PRESCRIBED TIME-LIMIT Effective date: 20240814 Ref country code: DK Free format text: LAPSE BECAUSE OF FAILURE TO SUBMIT A TRANSLATION OF THE DESCRIPTION OR TO PAY THE FEE WITHIN THE PRESCRIBED TIME-LIMIT Effective date: 20240814 |
|
| PG25 | Lapsed in a contracting state [announced via postgrant information from national office to epo] |
Ref country code: EE Free format text: LAPSE BECAUSE OF FAILURE TO SUBMIT A TRANSLATION OF THE DESCRIPTION OR TO PAY THE FEE WITHIN THE PRESCRIBED TIME-LIMIT Effective date: 20240814 |
|
| PG25 | Lapsed in a contracting state [announced via postgrant information from national office to epo] |
Ref country code: CZ Free format text: LAPSE BECAUSE OF FAILURE TO SUBMIT A TRANSLATION OF THE DESCRIPTION OR TO PAY THE FEE WITHIN THE PRESCRIBED TIME-LIMIT Effective date: 20240814 |
|
| PG25 | Lapsed in a contracting state [announced via postgrant information from national office to epo] |
Ref country code: SK Free format text: LAPSE BECAUSE OF FAILURE TO SUBMIT A TRANSLATION OF THE DESCRIPTION OR TO PAY THE FEE WITHIN THE PRESCRIBED TIME-LIMIT Effective date: 20240814 Ref country code: IT Free format text: LAPSE BECAUSE OF FAILURE TO SUBMIT A TRANSLATION OF THE DESCRIPTION OR TO PAY THE FEE WITHIN THE PRESCRIBED TIME-LIMIT Effective date: 20240814 |
|
| REG | Reference to a national code |
Ref country code: DE Ref legal event code: R097 Ref document number: 502021004794 Country of ref document: DE |
|
| PLBE | No opposition filed within time limit |
Free format text: ORIGINAL CODE: 0009261 |
|
| STAA | Information on the status of an ep patent application or granted ep patent |
Free format text: STATUS: NO OPPOSITION FILED WITHIN TIME LIMIT |
|
| PGFP | Annual fee paid to national office [announced via postgrant information from national office to epo] |
Ref country code: DE Payment date: 20250630 Year of fee payment: 5 |
|
| PGFP | Annual fee paid to national office [announced via postgrant information from national office to epo] |
Ref country code: GB Payment date: 20250620 Year of fee payment: 5 |
|
| PGFP | Annual fee paid to national office [announced via postgrant information from national office to epo] |
Ref country code: NL Payment date: 20250618 Year of fee payment: 5 |
|
| PGFP | Annual fee paid to national office [announced via postgrant information from national office to epo] |
Ref country code: FR Payment date: 20250624 Year of fee payment: 5 |
|
| 26N | No opposition filed |
Effective date: 20250515 |
|
| PGFP | Annual fee paid to national office [announced via postgrant information from national office to epo] |
Ref country code: AT Payment date: 20250721 Year of fee payment: 5 |
|
| PG25 | Lapsed in a contracting state [announced via postgrant information from national office to epo] |
Ref country code: SE Free format text: LAPSE BECAUSE OF FAILURE TO SUBMIT A TRANSLATION OF THE DESCRIPTION OR TO PAY THE FEE WITHIN THE PRESCRIBED TIME-LIMIT Effective date: 20240814 |
|
| REG | Reference to a national code |
Ref country code: CH Ref legal event code: H13 Free format text: ST27 STATUS EVENT CODE: U-0-0-H10-H13 (AS PROVIDED BY THE NATIONAL OFFICE) Effective date: 20260127 |
|
| PG25 | Lapsed in a contracting state [announced via postgrant information from national office to epo] |
Ref country code: MC Free format text: LAPSE BECAUSE OF FAILURE TO SUBMIT A TRANSLATION OF THE DESCRIPTION OR TO PAY THE FEE WITHIN THE PRESCRIBED TIME-LIMIT Effective date: 20240814 |
|
| PG25 | Lapsed in a contracting state [announced via postgrant information from national office to epo] |
Ref country code: LU Free format text: LAPSE BECAUSE OF NON-PAYMENT OF DUE FEES Effective date: 20250624 |
|
| REG | Reference to a national code |
Ref country code: BE Ref legal event code: MM Effective date: 20250630 |


