EP1567991B1 - Verfahren und vorrichtung zur prüfung von wertdokumenten - Google Patents
Verfahren und vorrichtung zur prüfung von wertdokumenten Download PDFInfo
- Publication number
- EP1567991B1 EP1567991B1 EP03767703A EP03767703A EP1567991B1 EP 1567991 B1 EP1567991 B1 EP 1567991B1 EP 03767703 A EP03767703 A EP 03767703A EP 03767703 A EP03767703 A EP 03767703A EP 1567991 B1 EP1567991 B1 EP 1567991B1
- Authority
- EP
- European Patent Office
- Prior art keywords
- measuring
- vector
- reference vectors
- measuring vector
- previous
- Prior art date
- Legal status (The legal status is an assumption and is not a legal conclusion. Google has not performed a legal analysis and makes no representation as to the accuracy of the status listed.)
- Expired - Lifetime
Links
- 238000000034 method Methods 0.000 title claims abstract description 34
- 239000013598 vector Substances 0.000 claims abstract description 153
- 230000005855 radiation Effects 0.000 claims abstract description 35
- 238000004020 luminiscence type Methods 0.000 claims abstract description 33
- 239000000126 substance Substances 0.000 claims abstract description 8
- 230000003595 spectral effect Effects 0.000 claims description 44
- 238000005259 measurement Methods 0.000 claims description 39
- 238000011156 evaluation Methods 0.000 claims description 21
- 238000000926 separation method Methods 0.000 claims description 6
- 230000001419 dependent effect Effects 0.000 claims description 4
- 230000001678 irradiating effect Effects 0.000 claims 1
- 238000012360 testing method Methods 0.000 description 12
- 238000010606 normalization Methods 0.000 description 4
- 238000001228 spectrum Methods 0.000 description 4
- PXFBZOLANLWPMH-UHFFFAOYSA-N 16-Epiaffinine Natural products C1C(C2=CC=CC=C2N2)=C2C(=O)CC2C(=CC)CN(C)C1C2CO PXFBZOLANLWPMH-UHFFFAOYSA-N 0.000 description 3
- 230000015572 biosynthetic process Effects 0.000 description 2
- 238000001514 detection method Methods 0.000 description 2
- 238000010586 diagram Methods 0.000 description 2
- 238000000295 emission spectrum Methods 0.000 description 2
- 230000036962 time dependent Effects 0.000 description 2
- 230000007704 transition Effects 0.000 description 2
- 102100035971 Molybdopterin molybdenumtransferase Human genes 0.000 description 1
- 101710119577 Molybdopterin molybdenumtransferase Proteins 0.000 description 1
- 238000004458 analytical method Methods 0.000 description 1
- 238000013459 approach Methods 0.000 description 1
- 230000005540 biological transmission Effects 0.000 description 1
- 238000000354 decomposition reaction Methods 0.000 description 1
- 230000007423 decrease Effects 0.000 description 1
- 238000000151 deposition Methods 0.000 description 1
- 238000013461 design Methods 0.000 description 1
- 238000011161 development Methods 0.000 description 1
- 230000018109 developmental process Effects 0.000 description 1
- 230000004069 differentiation Effects 0.000 description 1
- 230000002452 interceptive effect Effects 0.000 description 1
- 238000001748 luminescence spectrum Methods 0.000 description 1
- 239000000203 mixture Substances 0.000 description 1
- 238000012545 processing Methods 0.000 description 1
- 238000011144 upstream manufacturing Methods 0.000 description 1
Images
Classifications
-
- G—PHYSICS
- G07—CHECKING-DEVICES
- G07D—HANDLING OF COINS OR VALUABLE PAPERS, e.g. TESTING, SORTING BY DENOMINATIONS, COUNTING, DISPENSING, CHANGING OR DEPOSITING
- G07D7/00—Testing specially adapted to determine the identity or genuineness of valuable papers or for segregating those which are unacceptable, e.g. banknotes that are alien to a currency
- G07D7/06—Testing specially adapted to determine the identity or genuineness of valuable papers or for segregating those which are unacceptable, e.g. banknotes that are alien to a currency using wave or particle radiation
- G07D7/12—Visible light, infrared or ultraviolet radiation
- G07D7/1205—Testing spectral properties
-
- G—PHYSICS
- G07—CHECKING-DEVICES
- G07D—HANDLING OF COINS OR VALUABLE PAPERS, e.g. TESTING, SORTING BY DENOMINATIONS, COUNTING, DISPENSING, CHANGING OR DEPOSITING
- G07D7/00—Testing specially adapted to determine the identity or genuineness of valuable papers or for segregating those which are unacceptable, e.g. banknotes that are alien to a currency
- G07D7/003—Testing specially adapted to determine the identity or genuineness of valuable papers or for segregating those which are unacceptable, e.g. banknotes that are alien to a currency using security elements
- G07D7/0034—Testing specially adapted to determine the identity or genuineness of valuable papers or for segregating those which are unacceptable, e.g. banknotes that are alien to a currency using security elements using watermarks
Definitions
- the invention relates to a method and a device for checking documents of value having an authenticity feature in the form of at least one luminescent substance, wherein the document of value is irradiated with light and the luminescence radiation emanating from the document of value is detected in a spectrally resolved manner in order to determine whether the authenticity feature in the checked document of value actually exists is available.
- a luminescent e.g. a fluorescent or phosphorescent authenticity feature a single substance or a mixture of several substances understood that show a luminescence.
- US 5 678 677 A discloses a classification scheme for recognizing and classifying banknotes, based on the classification of n-dimensional measurement vectors in the scanning of spectral regions.
- the present invention is thus based on the finding that a simple and reliable distinction between different authenticity features can best be obtained if a measurement vector is formed from the measured values which correspond to different frequencies and / or frequency ranges of the luminescence radiation, and a class assignment of Measuring vector to one of a plurality of predetermined reference vectors that correspond to different authenticity characteristics, characterized in that the reference vectors each at least one class assignment area is assigned and checked, in which class assignment area is the measurement vector.
- the measuring vector can consist of the measured values per se and / or variables derived therefrom.
- the determination of the class assignment regions and thus the class assignment from the measuring vector to one of the reference vectors can preferably be carried out by a comparison of the measuring vector with a plurality of reference vectors or with at least one variable, which depends on at least two reference vectors.
- a particularly preferred example of the former variant may be that the authenticity feature whose reference vector has the smallest difference, such as the smallest distance to the measuring vector, is determined or determinable as being present in the value document to be tested.
- This approach has especially with authenticity features a very similar spectral course proved to be much more suitable than a procedure in which it is checked whether the intensity and / or the course of a measured luminescence radiation differs only by a maximum of a predetermined value of the intensity or the course of a reference radiation.
- the second-mentioned variant in which no comparison of the measuring vector with each individual reference vector itself, but with at least one derived from at least two reference vectors size is performed significantly reduces the computational effort and is therefore particularly advantageous when it comes to high test speeds.
- the size which depends on at least two reference vectors, serves as a separation surface between the two reference vectors, e.g. a (n-1) dimensional hyperplane is formed between the two n-dimensional reference vectors, the separation surface separating the class assignment regions of the two reference vectors. In this case, e.g. determines the position of the measuring vector with respect to the separating surface.
- the test system according to the invention can preferably be extended to include a further step, in which it is checked whether the magnitude of the measurement vector is greater than a predetermined reference value or not.
- This step is particularly preferably performed prior to the step of assigning the class assignment areas and / or the step of checking in which of these areas the measurement vector is located.
- the measuring vector is thus preferably formed from measured values of the infrared spectral range.
- the measuring vector and the reference vectors are normalized in a similar manner.
- this can be done, for example, by normalizing to an n-1 dimensional unit sphere, so that the magnitude of all normalized vectors is the same, i.e., the same. in particular has the value 1.
- the measurements have a background signal, which does not originate from the luminescence radiation and superimposes the luminescence radiation.
- This background signal interferes with the evaluation, since the ratios of the measuring vectors to the reference vectors change significantly as a function of the height of the background signals due to the normalization and can thus lead to less accurate results of the evaluation.
- a background signal is taken into account in the evaluation of the measured values, which does not originate from the Lunünzenzstrahlung.
- an amount may be deducted from the measured values to form the measuring vector, which amount depends on the size of the background signal.
- the amount may vary from measured value to measured value of the measuring vector, i. it is also possible to use a background vector generated by the background signal.
- the amount will be particularly preferably dependent on the size of a minimum and / or maximum of the measured values and / or a ratio of a plurality of measured values to one another. If the emission spectrum of the background signal is known, by measuring the background signal at a single or e.g. a few frequencies of the background vector are calculated. If the background vector is known, it can e.g. stored in the sensor stored and be deducted without measurement of the measured values.
- FIG. 1 is a schematic view of a test apparatus according to a first embodiment
- the FIG. 2 shows a two-dimensional representation for illustrating the method according to the invention
- the FIG. 3 shows a two-dimensional representation to illustrate the class assignment method according to the invention
- FIG. 4 shows a schematic view of a spectral curve L1 measured by a banknote and of a portion L2 of the spectral curve L1 that is due only to the luminescence radiation.
- test system can be used in all devices which check luminescent authenticity features.
- banknote processing devices which can serve, for example, for counting, sorting, depositing and / or paying out banknotes.
- FIG. 1 illustrates in particular a device 1 which, in addition to components already known per se, which are not shown, also has, among other things, a transport device 2 by means of which banknotes 3 are occasionally transported past a checking device 4.
- the checking device 4 can be designed to check the authenticity, the state or the nominal value of the banknotes 3.
- the test device 4 has a light source 5, a spectral sensor 6 and an evaluation device 7, which is connected via a signal line 8 at least with the spectral sensor 6.
- the light source 5 serves to irradiate the banknote 3 with light beams 9 at an oblique angle to the banknote surface and the spectral sensor 6 for detecting and spectral decomposition of the remitted from the banknote surface radiation 10.
- the spectral sensor 6 detects by means of a spectrometer 6 luminescence 10 in the infrared Spectral range.
- the signals detected by the spectral sensor 6 are transmitted via the signal line 8 to the computer-based evaluation device 7, which checks on the basis of the measured signals whether a specific authenticity feature is present in the banknote 3.
- the device 1 is distinguished, in particular, by the type of evaluation of the measurement signals in the evaluation device 7. This can be done, for example, according to an embodiment of the method according to the invention in the following manner:
- measuring vector X (x 1 ,..., X n ) be, for example, a measure of the spectral curve of the recorded luminescent radiation 10 of the banknote 3, where x 1 to x n are values which, on the basis of the measuring signals of n different photocells of the Spectral sensors 6 are formed.
- the spectral values x 1 to x n can preferably correspond to the measured luminescence intensity at different frequencies or frequency ranges in an invisible to the eye, such as ultraviolet or particularly preferably infrared spectral range.
- the measuring vector X thus represents, at least in the case n> 1, preferably n ⁇ 5 or n ⁇ 10; a measure of the shape, ie the course of the measured spectral curve.
- the banknote In order to decide whether at all one of the two allowed authenticity features is present in or on the banknote, it can first be checked whether the magnitude of the measurement vector X, i.
- the threshold can be 0, but is preferably chosen so that counterfeits without authenticity feature are already distinguishable here certainly.
- this reference value R has, for example, an amount
- counterfeits can be sorted out, in which the authenticity features are present in themselves, but in too low a concentration. This is particularly preferred because in the variant described in the infrared spectral range is measured and counterfeits usually have intensities in this spectral range, which are either negligible or at least substantially lower than the intensities of the authenticity features A, B in real banknotes 3.
- this criterion is that the amount
- This variant of the upstream amount check can significantly increase the speed of the banknote check.
- there is exactly one class assignment area for each reference vector in the general case there can be several class assignment areas per reference vector.
- these regions are half-planes G A , G B , as illustrated in FIG.
- the class allocation areas are averages of finitely many half-levels.
- the class assignment regions can now be defined either via the reference vectors A, B (in the general case A 1 ,..., A k ) or via a description of the hyperplanes delimiting them.
- the one reference vector A, B is determined which has the smallest difference to the measuring vector X.
- the distance of the measuring vector X to all possible authenticity features can be calculated for the two reference vectors A, B.
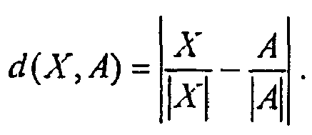
- the distance can be considered Euclidean distance between the relevant vectors, in the example so d (X, A) and d (X, B) are calculated.
- every function d (X, A) can be used with the following property: For any measurement vectors X and reference vectors A, B, then d (X, A) ⁇ d (X, B) if
- the class allocation areas are defined in the second case by a separation area T, which contains the two reference vectors A, B (in the general case A 1 ,..., A k ) limited.
- This variant has the advantage, in particular in real-time environments, that the computational effort is reduced.
- n-1-dimensional hyperplanes T for example as points ⁇ y 1 , ..., y n ) ⁇
- u 1 y 1 + ... + a n y n - u 0 0 ⁇ describe where (u 1, ..., u n) is a normal vector of the hyperplane T.
- the sign of u 1 x 1 + ... + u n x n - u 0 now indicates on which side of the hyperplane T the measurement X lies.
- an assignment of the measuring vector X to one of the reference vectors A, B takes place only if their mutual distance d (X, A) or d (X, B ) does not exceed a predetermined threshold.
- the class allocation areas G A , G B are limited so that the class allocation areas do not touch anymore. In this way arises between the class allocation areas G A , G B "no man's land", ie areas that are not assigned to any class and thus no reference vector A 1 , ..., A k . Banknotes 3, the measuring vector lying in these areas, for example, provided with a warning after the test in the test device 4 can be controlled or transferred to a special filing.
- the probability that a measurement vector X corresponds to one of at least two reference vectors A, B is not uniformly distributed, but is e.g. has a correlation.
- the distance of the measuring vector X from the reference vectors A, B increases with its intensity and the intensity of the individual reference curves A, B.
- the distance of its reference vector A or B to the measurement vector X can also be correspondingly larger.
- both the reference vectors A, B as well as the Measurement vector X normalized.
- ie A by amount of A
- each n components have the projection on the n-dimensional unit sphere E.
- the distance d (X, A) and d (X, B) of the normalized measurement vector X / (X) is normalized to all Reference vectors A /
- the classification is in turn carried out for the authenticity feature whose reference vector A, B has the smallest distance d (X, A) d (X, B) to the measurement vector X, in the illustrated case thus the authenticity feature A.
- d (X, A)
- every function d (X, A) can be used with the following property: For any measurement vectors X and reference vectors A, B, d (X, A) ⁇ d (X, B) if and only if
- applies ,
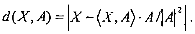
- the angle between the lines of origin defined by them can be used.
- d (X, A) here corresponds to the length of the lot from X to the origin straight line defined by A.
- d ( X, A)
- 2 This expression is particularly preferred when the distance must be calculated time-critical, since this saves the time-consuming calculation of the root in the second example.
- the luminescence radiation 10 of a banknote 3 is measured at different times and this is taken into account in the evaluation. On the one hand, it can be determined here whether the measured radiation 10 of the checked banknote 3 actually has the time behavior to be expected for the respective type of luminescence.
- the banknotes 3 are preferably irradiated intermittently in time by the light source 5, in order to obtain e.g. to be able to measure the decay behavior of the luminescence radiation 10 in a time-resolved manner.
- a time-dependent representation of the measuring vectors X and / or the reference vectors A, B can also be chosen with particular preference, and the distance formation can be carried out in a time-dependent manner.
- a further idea of the present invention is that the measurement of the luminescence radiation takes place only at predetermined subregions of the banknote surface, which are chosen to be nominal value-specific in a particularly preferred manner. This can be done, for example, by illuminating the light source 5 only one or more specific subregions of the banknote 3 during transport to a test device 3, or by taking into account information about the position of the respectively illuminated subregions of the banknote 3 during evaluation in the evaluation device 7.
- This location-dependent measurement of the luminescence radiation 10 can be used, for example, to be able to also distinguish spatially coded authenticity marks which are not homogeneously introduced in the banknote paper.
- the luminescence radiation 10 also does not necessarily have to be measured in reflection, but alternatively or additionally, it can also be measured and evaluated in transmission.
- FIG. 4 To illustrate the problem is shown in Figure 4 in a schematic manner with the solid line L1 drawn by the spectral sensor 6 measured spectral course of the measured signals of an illuminated bill 3, i. the dependence of the measured signal intensity I (f) of the measuring signal frequency f shown.
- the portion of the measuring curve L1 actually derived only from the luminescence radiation 10, corresponding to the dashed line L2, is lower in magnitude and superimposed by an interfering background signal which does not originate from the luminescence radiation 10.
- a reference measurement in a banknote gap can be carried out.
- measured values are recorded by means of the spectral sensor 6 when no banknote 3 is located in the detection range of the spectral sensor 6.
- the signals thus obtained then represent a measure of the strength of the background signal and can be taken into account in the subsequent formation or evaluation of the measuring vectors, e.g. be subtracted from the measured values in the measurement of the subsequent banknote 3.
- the size of a relative, preferably the absolute minimum and / or maximum of the measurement signals can be determined in a spectral range used for further evaluation.
- This may be, for example, a point in the spectrum at which the luminescent substances to be tested do not usually emit.
- this minimum is exemplarily at the frequency f Min1 and has an intensity I Min1 .
- another nonlinear offset can also be subtracted, in which the subtracted value coincides with the reference value Frequency f varies. That is, the amount may be different from measured value to measured value of the measuring vector, ie a background vector generated by the background signal may also be used. This makes sense, even if the background signals have a non-linear course, ie an amount that is not constant over all frequencies f. If the emission spectrum of the background signal is known, the background vector can be calculated by measuring the background signal at a single or multiple frequencies. If the background vector is known, it can for example be stored in the sensor and also be subtracted from the measured values without measurement.
- the said methods for compensating the background signals can also be used advantageously in other luminescence evaluation methods, independently of the subject matter of the main claims.
- the procedure according to the invention thus makes possible a simple and reliable testing and differentiation of authenticity features, in particular with a very similar spectral profile, which can be contained in value documents.
Landscapes
- Physics & Mathematics (AREA)
- General Health & Medical Sciences (AREA)
- General Physics & Mathematics (AREA)
- Health & Medical Sciences (AREA)
- Toxicology (AREA)
- Computer Security & Cryptography (AREA)
- Spectroscopy & Molecular Physics (AREA)
- Engineering & Computer Science (AREA)
- Inspection Of Paper Currency And Valuable Securities (AREA)
- Document Processing Apparatus (AREA)
- Financial Or Insurance-Related Operations Such As Payment And Settlement (AREA)
- Peptides Or Proteins (AREA)
- Investigating, Analyzing Materials By Fluorescence Or Luminescence (AREA)
Description
- Die Erfindung betrifft ein Verfahren und eine Vorrichtung zur Prüfung von Wertdokumenten mit einem Echtheitsmerkmal in Form zumindest einer lumineszierenden Substanz, wobei das Wertdokument mit Licht bestrahlt und die vom Wertdokument ausgehende Lumineszenzstrahlung spektral aufgelöst erfasst wird, um zu bestimmen, ob das Echtheitsmerkmal im geprüften Wertdokument tatsächlich vorhanden ist.
- Im Sinne der vorliegenden Erfindung wird unter einem lumineszierenden, wie z.B. einem fluoreszierenden oder phosphoreszierenden Echtheitsmerkmal eine einzelne Substanz oder eine Mischung von mehreren Substanzen verstanden, die ein Lumineszenzverhalten zeigen.
- Es gibt eine Reihe von bekannten Systemen zur Echtheitsprüfung solcher Wertdokumente. Ein System ist beispielsweise aus der DE 23 66 274 C2 der Anmelderin bekannt. Bei diesem System wird zur Prüfung der Echtheit einer Banknote, d. h. im speziellen der Prüfung, ob ein fluoreszierendes Echtheitsmerkmal tatsächlich in einer zu prüfenden Banknote vorhanden ist, diese bestrahlt und die remittierte Fluoreszenzstrahlung spektral aufgelöst erfaßt. Die Auswertung erfolgt durch einen Vergleich der Signale von unterschiedlichen Photozellen des Spektrometers.
- Dieses Verfahren arbeitet zwar in den meisten Fällen sehr zuverlässig, allerdings kann es insbesondere dann, wenn es mehrere mögliche Echtheitsmerkmale gibt, die ein sehr ähnliches Spektralverhalten haben, zu Schwierigkeiten bei der Unterscheidung und damit der Entscheidung geben, welches dieser Echtheitsmerkmale tatsächlich im geprüften Wertdokument vorhanden ist.
- Die US 5 678 677 A offenbart ein Klassifikationsschema zur Erkennung und Einordnung von Banknoten, basierend auf der Klassifikation von n-dimensionalen Messvektoren bei der Abtastung von Spektralbereichen.
- Davon ausgehend ist es die Aufgabe der vorliegenden Erfindung, ein Verfahren und eine Vorrichtung zur Prüfung von Wertdokumenten bereitzustellen, welche eine Unterscheidung auch von Echtheitsmerkmalen mit ähnlichem Spektralverlauf auf einfache und sichere Weise ermöglichen.
- Diese Aufgabe wird durch die unabhängigen Ansprüche gelöst.
- Die vorliegende Erfindung basiert somit auf der Erkenntnis, daß eine einfache und sichere Unterscheidung zwischen unterschiedlichen Echtheitsmerkmalen dann am besten gewonnen werden kann, wenn aus den Meßwerten, welche unterschiedlichen Frequenzen und/ oder Frequenzbereichen der Lumineszenzstrahlung entsprechen, ein Meßvektor gebildet wird, und eine Klassenzuordnung des Meßvektors zu einem von mehreren vorgegebenen Referenzvektoren, die unterschiedlichen Echtheitsmerkmalen entsprechen, dadurch erfolgt, daß den Referenzvektoren jeweils zumindest ein Klassenzuordnungsgebiet zugeordnet und geprüft wird, in welchem Klassenzuordnungsgebiet sich der Meßvektor befindet. Der Meßvektor kann dabei aus den Meßwerten an sich und/oder daraus abgeleiteten Größen bestehen.
- Bevorzugt kann die Bestimmung der Klassenzuordnungsgebiete und damit die Klassenzuordnung vom Meßvektor zu einem der Referenzvektoren durch einen Vergleich des Meßvektors mit mehreren Referenzvektoren oder mit zumindest einer Größe erfolgen, welche von mindestens zwei Referenzvektoren abhängt.
- Ein besonders bevorzugtes Beispiel der erstgenannten Variante kann sein, daß das Echtheitsmerkmal, dessen Referenzvektor den kleinsten Unterschied, wie z.B. den kleinsten Abstand zum Meßvektor aufweist, als im zu prüfenden Wertdokument vorhanden bestimmt wird bzw. bestimmbar ist. Diese Vorgehensweise hat sich insbesondere bei Echtheitsmerkmalen mit sehr ähnlichem Spektralverlauf als wesentlich geeigneter erwiesen als eine Vorgehensweise, bei der geprüft wird, ob sich die Intensität und/ oder der Verlauf einer gemessenen Lumineszenzstrahlung nur um maximal einen vorgegebenen Wert von der Intensität bzw. dem Verlauf einer Referenzstrahlung unterscheidet.
- Die zweitgenannte Variante, bei der kein Vergleich des Meßvektors mit jedem einzelnen Referenzvektoren selbst, sondern mit mindestens einer aus mindestens zwei Referenzvektoren abgeleiteten Größe durchgeführt wird, vermindert den Rechenaufwand signifikant und ist deshalb insbesondere dann von Vorteil, wenn es auf hohe Prüfgeschwindigkeiten ankommt. Ein besonders bevorzugtes Beispiel hierfür ist, daß die Größe, welche von mindestens zwei Referenzvektoren abhängt, als eine Trennfläche zwischen den zwei Referenzvektoren, wie z.B. eine (n-1) dimensionale Hyperebene zwischen den zwei n-dimensionalen Referenzvektoren gebildet wird, wobei die Trennfläche die Klassenzuordnungsgebiete der zwei Referenzvektoren voneinander trennt. In diesem Fall wird z.B. die Lage des Meßvektors in Bezug auf die Trennfläche bestimmt.
- Das erfindungsgemäße Prüfsystem kann bevorzugt dahingehend erweitert werden, daß es einen weiteren Schritt aufweist, bei dem geprüft wird, ob der Betrag des Meßvektors größer als ein vorgegebener Referenzwert ist oder nicht. Dieser Schritt wird besonders bevorzugt vor dem Schritt der Zuordnung der Klassenzuordnungsgebiete und/ oder dem Schritt der Prüfung, in welchem dieser Gebiete sich der Meßvektor befindet, durchgeführt werden. Hierdurch kann eine signifikante Zeitersparnis bei der Auswertung erreicht werden, da die nachfolgenden zeitaufwendigeren Auswertungsschritte der Prüfung der Klassenzuordnungsgebiete nicht mehr notwendig sind, wenn bereits die einfache Betragsprüfung ein negatives Ergebnis liefert.
- Diese Vorgehensweise erweist sich insbesondere bei der Prüfung von Echtheitsmerkmalen als sinnvoll, deren Lumineszenzstrahlung in signifikantem Maße im nicht-sichtbaren, wie z.B. ultravioletten oder insbesondere im infraroten Spektralbereich liegt. Durch diesen Betragsvergleich kann z.B. bereits eine Reihe von nicht passenden Merkmalen in gefälschten Wertdokumenten erkannt werden, die nur im sichtbaren Spektralbereich emittieren. Unter anderem aus den vorgenannten Gründen wird der Meßvektor somit vorzugsweise aus Meßwerten des infraroten Spektralbereichs gebildet.
- Vorzugsweise kann alternativ oder zusätzlich vorgesehen sein, daß der Meßvektor und die Referenzvektoren in einer gleichen Weise normiert werden. Bei n-dimensionalen Meß- und Referenzvektoren kann dies beispielsweise durch eine Normierung auf eine n-1 dimensionale Einheitskugel geschehen, so daß der Betrag aller normierten Vektoren gleich, d.h. im speziellen den Wert 1 hat.
- Eine solche Normierung hat den Vorteil, daß ein einfacher Vergleich des Meßvektors mit den Referenzvektoren ermöglicht wird, der weitgehend unabhängig davon ist, in welcher Menge oder Konzentration das Echtheitsmerkmal in der Banknote tatsächlich eingebracht ist bzw. wie hoch die Gesamtintensität der gemessenen Strahlung tatsächlich ist. Im Gegensatz zu bekannten Verfahren der Farbraumanalyse beispielsweise, bei denen die Absolutwerte der einzelnen Farbanteile für eine korrekte Farbbestimmung wesentlich sind, ist dies bei der erfindungsgemäßen Lumineszenzprüfung nicht zwingend erforderlich, da es hierbei im wesentlichen nur auf die Form der erfaßten Spektralkurven, und nicht aber auf deren absolute Intensitätswerte ankommt.
- Insbesondere im vorstehend genannten Fall der Normierung kann es sich als Nachteil erweisen, daß die Messungen ein Hintergrundsignal aufweisen, welches nicht von der Lumineszenzstrahlung herrührt und die Lumineszenzstrahlung überlagert. Dieses Hintergrundsignal stört bei der Auswertung, da sich durch die Normierung die Verhältnisse der Meßvektoren zu den Referenzvektoren signifikant in Abhängigkeit vom der Höhe der Hintergrundsignale ändern und dadurch zu ungenaueren Ergebnissen der Auswertung führen können.
- Vorzugsweise wird deshalb bei der Auswertung der Meßwerte ein Hintergundsignal berücksichtigt, welches nicht von der Lunüneszenzstrahlung herrührt. Im speziellen kann, zur Bildung des Meßvektors, von den Meßwerten ein Betrag abgezogen werden, der von der Größe des Hintergundsignals abhängt. Der Betrag kann von Meßwert zu Meßwert des Meßvektors verschieden sein, d.h. es kann auch ein durch das Hintergrundsignal erzeugter Hintergrundvektor verwendet werden. Der Betrag wird besonders bevorzugt abhängig sein von der Größe eines Minimums und /oder Maximums der Meßwerte und/oder einem Verhältnis mehrerer Meßwerte zueinander. Ist das Emissionsspektrum des Hintergrundsignals bekannt, so kann durch Messung des Hintergrundsignals bei einer einzigen oder z.B. einigen wenigen Frequenzen der Hintergrundvektor berechnet werden. Ist der Hintergrundvektor bekannt, so kann er z.B. im Sensor hinterlegt gespeichert werden und auch ohne Messung von den Meßwerten abgezogen werden.
- Weitere Vorteile der vorliegenden Erfindung ergeben sich durch die beigefügten abhängigen Ansprüche und die nachfolgende Beschreibung bevorzugter Ausführungsbeispiele. Dabei zeigt die
Figur 1 eine schematische Ansicht auf eine Prüfvorrichtung nach einem ersten Ausführungsbeispiel; die
Figur 2 eine zweidimensionale Darstellung zur Veranschaulichung des erfindungsgemäßen Verfahrens; die
Figur 3 eine zweidimensionale Darstellung zur Veranschaulichung des erfindungsgemäßen Verfahrens der Klassenzuordnung und die
Figur 4 eine schematische Ansicht einer von einer Banknote gemessenen Spektralkurve L1 und eines nur auf die Lumineszenzstrahlung zurückgehenden Anteils L2 der Spektralkurve L1. - Das erfindungsgemäße Prüfsystem kann in allen Vorrichtungen verwendet werden, welche lumineszierende Echtheitsmerkmale prüfen. Obwohl nicht darauf beschränkt, wird im folgenden die besonders bevorzugte Variante der Prüfung von Banknoten in Banknotenbearbeitungsvorrichtungen beschrieben, die beispielsweise zum Zählen, Sortieren, Einzahlen und/ oder Auszahlen von Banknoten dienen können.
- Die Figur 1 stellt im speziellen eine Vorrichtung 1 dar, die neben an sich bereits bekannten Komponenten, welche nicht mit abgebildet sind, unter anderem eine Transporteinrichtung 2 aufweist, mittels derer Banknoten 3 vereinzelt an einer Prüfeinrichtung 4 vorbei transportiert werden. Die Prüfeinrichtung 4 kann zur Prüfung der Echtheit, des Zustands bzw. des Nennwerts der Banknoten 3 ausgelegt sein. Im speziellen weist die Prüfeinrichtung 4 dabei eine Lichtquelle 5, einen Spektralsensor 6 und eine Auswertungseinrichtung 7 auf, welche über eine Signalleitung 8 zumindest mit dem Spektralsensor 6 verbunden ist. Die Lichtquelle 5 dient dabei zur Bestrahlung der Banknote 3 mit Lichtstrahlen 9 in einem schrägen Winkel zur Banknotenoberfläche und der Spektralsensor 6 zur Erfassung und spektralen Zerlegung der von der Banknotenoberfläche remittierten Strahlung 10. Bevorzugt erfaßt der Spektralsensor 6 mittels eines Spektrometers 6 Lumineszenzstrahlung 10 im infraroten Spektralbereich. Die vom Spektralsensor 6 erfassten Signale werden über die Signalleitung 8 an die EDV-basierte Auswertungseinrichtung 7 übertragen, die anhand der gemessenen Signale überprüft, ob ein bestimmtes Echtheitsmerkmal in der Banknote 3 vorhanden ist.
- Die Vorrichtung 1 ist insbesondere durch die Art der Auswertung der Meßsignale in der Auswertungseinrichtung 7 ausgezeichnet. Dies kann beispielsweise gemäß eines Ausführungsbeispiels des erfindungsgemäßen Verfahrens auf folgende Weise geschehen:
- Es werden alle oder zumindest eine Teilmenge der Meßwerte des Spektralsensors 6, die jeweils unterschiedlichen Frequenzen bzw. Frequenzbereichen entsprechen, als Meßvektor X dargestellt. Der Meßvektor X=(x1, ... , Xn) sei beispielsweise ein Maß für die Spektralkurve der aufgenommenen Lumineszenzstrahlung 10 der Banknote 3, wobei x1 bis xn Werte sind, welche auf der Grundlage der Meßsignale von n verschiedenen Photozellen des Spektralsensors 6 gebildet werden. Die Spektralwerte x1 bis xn können dabei bevorzugt der gemessenen Lumineszenzintensität bei unterschiedlichen Frequenzen bzw. Frequenzbereichen in einem für das Auge unsichtbaren, wie z.B. ultravioletten oder besonders bevorzugt infraroten Spektralbereich entsprechen. Der Meßvektor X stellt somit zumindest für den Fall n>1, bevorzugt von n≥5 oder n≥10; ein Maß für die Form, d.h. den Verlauf der gemessenen Spektralkurve dar.
- Es wird nun auf die nachfolgend exemplarisch beschriebene Weise ein Vergleich dieses Meßvektors X mit k vorgegebenen Referenzvektoren A1,..., Ak durchgeführt. Der besseren Anschaulichkeit halber wird mit Bezug auf die Figuren 2 und 3 eine einfache Fallgestaltung beschrieben, bei welcher der Meßvektor X nur zwei Meßwerte x1 und x2 aufweist, d. h. die Vektordimension n gleich 2 ist. In diesem Fall wird der Meßvektor X durch einen Punkt X im zweidimensionalen Diagramm der Figur 2 und der Figur 3 repräsentiert, wobei jede Achse des Diagramms einer anderen Koordinate des Meßvektors X entspricht.
- Die Vektoren A=(a1, ..., an) und B=(b1, ..., bn) sind dabei in exemplarischer Weise zwei vorgegebene Referenzvektoren A1= A, A2= B, die den Spektralkurven von zwei möglichen Echtheitsmerkmalen entsprechen, von denen eines eventuell in der geprüften Banknote 3 vorhanden sein kann.
- Um zu entscheiden, ob überhaupt eines der beiden erlaubten Echheitsmerkmale in oder auf der Banknote vorhanden ist, kann zunächst überprüft werden, ob der Betrag des Meßvektors X, d.h. |X| eine vorgegebene Schwelle überschreitet. Ist dies nicht der Fall, kann bereits hier die Banknote als unecht zurückgewiesen werden. Die Schwelle kann 0 sein, wird bevorzugt aber so gewählt, daß Fälschungen ohne Echtheitsmerkmal bereits hier sicher unterscheidbar sind. Dieser Referenzwert R hat im exemplarischen Fall der Figuren 2 und 3 beispielsweise einen Betrag |R| von 0,4. Mit dieser Prüfung können auch Fälschungen aussortiert werden, bei denen die Echtheitsmerkmale zwar an sich vorhanden, aber in zu geringer Konzentration vorliegen. Dies ist deshalb besonders bevorzugt, weil bei der beschriebenen Variante im infraroten Spektralbereich gemessen wird und Fälschungen üblicherweise Intensitäten in diesem Spektralbereich aufweisen, die entweder vernachlässigbar oder zumindest wesentlich geringer als die Intensitäten der Echtheitsmerkmale A, B in echten Banknoten 3 sind.
- Wie erwähnt wird dieses Kriterium, daß der Betrag |X| des Meßvektors X mindestens einem Referenzwert R entsprechen muß, besonders bevorzugt zur Vorauswertung der Meßwerte verwendet. Dies kann beispielsweise bedeuten, daß zuerst dieser Mindestwertvergleich des Betrages |X| des Meßvektors X durchgeführt wird, bevor die Klassenzuordnung des Referenzvektors A, B mit kleinstem Unterschied zum Meßvektor X durchgeführt wird. Diese Variante der vorgeschalteten Betragsprüfung kann die Geschwindigkeit der Banknotenprüfung signifikant erhöhen.
- Liegt der Betrag des Meßvektors X über der vorgegebenen Schwelle, ist zu entscheiden, welches der Echtheitsmerkmale A, B tatsächlich in der Banknote 3 vorhanden ist.
- Hierzu kann folgende Prozedur implementiert werden: Der affine Raum IRn, in dem sich die Mess- und Referenzvektoren (X, A1,..., Ak) befinden, wird in Klassenzuordnungsgebiete G i ⊆ (i=1,...,l) eingeteilt, wobei diese den Referenzvektoren (A1,..., Ak) zugeordnet sind. Im einfachsten Fall gibt es für jeden Referenzvektor genau ein Klassenzuordnungsgebiet, im allgemeinen Fall kann es mehrere Klassenzuordnungsgebiete pro Referenzvektor geben. Um zu entscheiden, welches Echtheitsmerkmal in oder auf der Banknote 3 vorhanden ist, wird festgestellt, in welchem Klassenzuordnungsgebiet G m der Meßvektor X liegt, d.h. es wird der Index m gesucht mit X ∈ G m . Im dargestellten zweidimensionalen Beispiel sind diese Gebiete Halbebenen GA, GB, wie in Figur 3 veranschaulicht ist. Im allgemeinen Fall sind die Klassenzuordnungsgebiete Durchschnitte von endlich vielen Halbebenen.
- Die Klassenzuordnungsgebiete können nun entweder über die Referenzvektoren A, B (im allgemeinen Fall A1,..., Ak) oder über eine Beschreibung der sie begrenzenden Hyperebenen definiert werden.
- Im erstgenannten Fall wird beispielsweise derjenige Referenzvektor A, B bestimmt, der den kleinsten Unterschied zum Meßvektor X aufweist. Hierzu kann der Abstand des Meßvektors X zu allen möglichen Echtheitsmerkmalen, im speziell beschriebenen Fall also zu den beiden Referenzvektoren A, B berechnet werden. Der Abstand kann als euklidischer Abstand zwischen den betreffenden Vektoren, im Beispiel also d(X,A) und d(X,B) berechnet werden. An Stelle des euklidischen Abstands kann jede Funktion d(X,A) verwendet werden mit folgender Eigenschaft: Für beliebige Messvektoren X und Referenzvektoren A, B gilt d(X,A) ≥ d(X,B) genau dann wenn |X-A| ≥ |X-B| gilt.
- Alternativ kann man diese Prozedur auf eine andere Weise implementieren, welche exakt zum gleichen Ergebnis führt: Die Klassenzuordnungsgebiete werden im zweitgenannten Fall durch eine Trennfläche T definiert, welche die beiden Referenzvektoren A, B (im allgemeinen Fall A1,..., Ak) begrenzt. Diese Variante hat insbesondere in Echtzeitumgebungen den Vorteil, dass der Rechenaufwand verringert wird.
- Um zu testen, ob ein Meßvektor X in einem Klassenzuordnungsgebiet G i liegt (d.h. X ∈ G i ), muß man für alle G i begrenzenden Trennflächen T prüfen, ob X auf der "richtigen" Seite liegt. Als Trennfläche lassen sich vorzugsweise n-1-dimensionale Hyperebenen T z.B. als Punktemengen {(y 1,...,y n ) ∈ |u 1 y 1+...+u n y n -u 0=0} beschreiben wobei (u 1, ..., u n ) ein Normalenvektor der Hyperebene T ist. Das Vorzeichen von u 1 x 1 + ... + u n x n - u 0 gibt nun an, auf welcher Seite der Hyperebene T die Messung X liegt.
- Um die Erkennungssicherheit zu erhöhen, kann in einer bevorzugten Ausprägung des Verfahrens gefordert werden, daß eine Zuordnung des Meßvektors X zu einem der Referenzvektoren A, B erst dann erfolgt, wenn ihr gegenseitiger Abstand d(X, A) bzw. d(X, B) eine vorgegebene Schwelle nicht überschreitet.
- Es kann in diesem Sinne festgelegt werden, daß die Klassenzuordnungsgebiete GA, GB so eingegrenzt werden, daß sich die Klassenzuordnungsgebiete nicht mehr berühren. Auf diese Weise entsteht zwischen den Klassenzuordnungsgebieten GA, GB "Niemandsland", d.h. Bereiche, die keiner Klasse und damit keinem Referenzvektor A1,..., Ak zugeordnet sind. Banknoten 3, deren Meßvektor in diesen Bereichen liegen, können z.B. mit einem Warnhinweis versehen nach der Prüfung in der Prüfeinrichtung 4 ausgesteuert bzw. in eine spezielle Ablage umgelegt werden.
- In einer möglichen Erweiterung des Verfahrens wird bei der Festlegung der Klassenzuordnungsgebiete berücksichtigt, dass die Wahrscheinlichkeit, dass ein Messvektors X einem von mindestens zwei Referenzvektoren A, B entspricht, nicht gleichverteilt ist, sondern z.B. eine Korrelation aufweist.
- Bei den bisher beschriebenen Verfahren ist allerdings zu beachten, daß der Abstand des Meßvektors X von den Referenzvektoren A, B mit seiner Intensität und der Intensität der einzelnen Referenzkurven A, B zunimmt. Dies führt dazu, daß dann, wenn einer der beiden möglichen Echtheitsmerkmale in wesentlich höherer Menge und Konzentration in die geprüfte Banknote 3 eingebracht ist, auch der Abstand seines Referenzvektors A bzw. B zum Meßvektor X in entsprechender Weise größer sein kann.
- Um ein Abstandsmaß der Echtheitsmerkmale A, B zu finden, welches unabhängig von der gemessenen Gesamtintensität bzw. der Menge und Konzentration der einzelnen Echtheitsmerkmale in der Banknote 3 ist, werden in einer besonders vorteilhaften Ausprägung der Erfindung sowohl die Referenzvektoren A, B, als auch der Meßvektor X normiert. Im Fall der zweidimensionalen Darstellung nach Figur 2 wird beispielsweise eine Normierung auf den Einheitskreis E durchgeführt. Das bedeutet, daß die normierten Vektoren A/|A| (also A durch Betrag von A), B/|B| und X/|X| gebildet werden, welche alle einen normierten Betrag von 1 haben. Im allgemeinen n-dimensionalen Fall von k Referenzvektoren A1, ..., Ak, die jeweils n Komponenten besitzen, erfolgt die Projektion auf die n-dimensionale Einheitskugel E.
- Mit dieser Normierung werden alle Meßvektoren X, die sich nur in der Länge unterscheiden, identifiziert. Sie liegen wie in der Figur 2 gezeigt ist, auf Ursprungsgeraden durch den Messvektor X. Diese Vorgehensweise entspricht dem Übergang vom affinen Raum IRn in einen projektiven Raum IPn-1, dessen Elemente im zugehörigen affinen Raum Ursprungsgeraden sind, die im folgenden ebenfalls durch die zugehörenden Vektoren X, A, B... beschrieben werden. Der Übergang in einen projektiven Raum hat sich insbesondere bei der Prüfung von Echtheitsmerkmalen als sehr vorteilhaft herausgestellt, die ein ähnliches Spektralverhalten haben.
- Um die Zuordnung des Messvektors X zu einem der im Beispiel gezeigten Referenzvektoren A, B zu treffen, wird im einfachsten Fall nun der Abstand d(X,A) und d(X,B) des normierten Meßvektors X / (X) zu allen normierten Referenzvektoren A/|A| bzw. B/|B| berechnet. Die Klassifizierung erfolgt dabei wiederum für das Echtheitsmerkmal, dessen Referenzvektor A, B den kleinsten Abstand d(X,A) d(X,B) zum Meßvektor X hat, im abgebildeten Fall also das Echtheitsmerkmal A.
- Als Abstand d(X,A) zweier Vektoren kann in diesem und im vorgenannten Fall beispielsweise der euklidische Abstand der normierten Vektoren X, A verwendet werden:
An Stelle des euklidischen Abstands kann jede Funktion d(X,A) verwendet werden mit folgender Eigenschaft: Für beliebige Messvektoren X und Referenzvektoren A, B gilt d(X,A) ≥ d(X,B) genau dann wenn - In einem ersten Beispiel kann als Abstand d(X,A) der Vektoren X und A der Winkel zwischen durch sie definierten Ursprungsgeraden verwendet werden.
-
-
-
- Zum vorstehend detailliert beschriebenen Ausführungsbeispiel sind zahlreiche Weiterbildungen und Alternativen denkbar.
- Obwohl beispielsweise der Fall von nur zwei möglichen Echtheitsmerkmalen beschrieben und in den Figuren dargestellt wurde, ist selbstverständlich auch eine Verallgemeinerung auf mehr als zwei Echtheitsmerkmale möglich. Ebenso ist selbstverständlich eine Verallgemeinerung auf Meß- und Referenzvektoren X, A1, ..., Ak, möglich, die mehr als n= 2 Komponenten, d. h. mehr als zwei spektrale Meßwerte pro Banknote 3 aufweisen.
- Weiterhin kann auch vorgesehen sein, daß die Lumineszenzstrahlung 10 einer Banknote 3 zu verschiedenen Zeiten gemessen und dies bei der Auswertung berücksichtigt wird. Zum einen kann hierbei festgestellt werden, ob die gemessene Strahlung 10 der geprüften Banknote 3 tatsächlich das für die jeweilige Lumineszenzart zu erwartende Zeitverhalten hat. Bevorzugt werden die Banknoten 3 hierbei zeitlich intermittierend durch die Lichtquelle 5 bestrahlt, um z.B. das Abklingverhalten der Lumineszenzstrahlung 10 zeitlich aufgelöst messen zu können. In diesem Fall kann besonders bevorzugt auch eine zeitabhängige Darstellung der Meßvektoren X und/oder der Referenzvektoren A, B gewählt und die Abstandsbildung zeitabhängig durchgeführt werden.
- Eine weitere Idee der vorliegenden Erfindung besteht darin, daß die Messung der Lumineszenzstrahlung nur an vorbestimmten Teilbereichen der Banknotenfläche erfolgt, welche in besonders bevorzugter Weise nennwertspezifisch gewählt sind. Dies kann beispielsweise dadurch geschehen, daß die Lichtquelle 5 nur einen oder mehrere spezielle Teilbereiche der Banknote 3 beim Vorbeitransport an einer Prüfeinrichtung 3 beleuchtet, bzw. Informationen über die Lage der jeweils beleuchteten Teilbereiche der Banknote 3 bei der Auswertung in der Auswertungseinrichtung 7 berücksichtigt. Diese ortsabhängige Messung der Lumineszenzstrahlung 10 kann beispielsweise dazu verwendet werden, um auch räumlich codierte Echtheitsmerkrnale, die im Banknotenpapier nicht homogen eingebracht sind, unterscheiden zu können.
- Des weiteren muß die Lumineszenzstrahlung 10 auch nicht zwingend in Reflexion, sondern sie kann alternativ oder zusätzlich auch in Transmission gemessen und ausgewertet werden.
- Wie erwähnt wurde, kann es bei der Auswertung störend sein, wenn die Meßsignale ein Hintergrundsignal aufweisen, welches nicht von der Lumineszenzstrahlung herrührt und die Lumineszenzstrahlung 10 überlagert. Diese störenden Hintergrundsignal verfälschen bei der Normierung die Verhältnisse der einzelnen Meßvektoren zu den Referenzvektoren.
- Zur Veranschaulichung der Problematik ist in der Figur 4 in schematischer Weise mit der durchgezogen gezeichneten Linie L1 der durch den Spektralsensor 6 gemessene spektrale Verlauf der Meßsignale einer beleuchteten Banknote 3, d.h. die Abhängigkeit der Meßsignalintensität I (f) von der Meßsignalfrequenz f dargestellt. Der tatsächlich nur von der Lumineszenzstrahlung 10 stammende Anteil der Meßkurve L1, entsprechend der gestrichelt gezeichneten Kurve L2, ist allerdings vom Betrag her niedriger und durch ein störendes Hintergrundsignal überlagert, welches nicht auf die Lumineszenzstrahlung 10 zurückgeht.
- Um dieses Hintergrundsignal herauszurechnen, kann zum einen eine Referenzmessung in einer Banknotenlücke durchgeführt werden. Es werden dabei gerade dann mittels des Spektralsensors 6 Meßwerte aufgenommen, wenn sich keine Banknote 3 im Erfassungsbereich des Spektralsensors 6 befindet. Die so gewonnen Signale stellen dann ein Maß für die Stärke des Hintergrundsignals dar und können bei der nachfolgenden Bildung oder Auswertung der Meßvektoren berücksichtigt, z.B. von den Meßwerten bei der Messung der nachfolgenden Banknote 3 abgezogen werden.
- Es gibt allerdings Spektralsensoren 6, bei denen die Meßverhältnisse bei der Messung mit Banknote 3 im Vergleich zur Messung ohne Banknote 3 so deutlich unterschieden sind, daß die beim Fall ohne Banknote gemessenen Hintergrundsignale nicht repräsentativ für die mit Banknote gemessenen Hintergrundsignale sind.
- Alternativ kann deswegen z.B. die Größe eines relativen, vorzugsweise des absoluten Minimums und/oder Maximums der Meßsignale in einem zur weiteren Auswertung benutzen Spektralbereich bestimmt werden. Dies kann z.B. eine Stelle im Spektrum sein, an der die zu prüfenden lumineszierenden Substanzen üblicheriveise nicht emittieren. Im Spektrum der Figur 4 befindet sich dieses Minimum exemplarisch bei der Frequenz fMin1 und hat eine Intensität IMin1. Indem nun zumindest vom nachfolgend weiter auszuwertenden Anteil des Spektrums dieser minimale Intensitätswert IMin1 abgezogen wird, d.h. für den betrachteten Spektralbereich die Differenz I(f) - IMin1 gebildet wird, erhält man ein effektives Meßsignal, welches im wesentlichen nur noch auf die Luminezenzstrahlung 10, entsprechend der Kurve L2 zurückgeht und bei der die Hintergrundsignale im wesentlichen abgezogen sind.
- Eine weitere Variante ist folgende: Da die nachzuweisenden luminesziexenden Substanzen eine vorbekannte Spektralkurve haben, so hat das Verhältnis der Intensität der Lumineszenzstrahlung bei zwei unterschiedlichen Frequenzen einen konstanten vorbekannten Wert. Die beiden Frequenzen können vorzugsweise so gewählt sein, daß sie einem Maximum und einem Minimum der Spektralkurve entsprechen. Beim Fall der Figur 4 sei z.B. das Intensitätsverhältnis I(fMax)/I(fMin2) der Lumineszenzstrahlung 10, entsprechend Kurve L2, gleich einem konstanten Wert ko. Die tatsächlich bei der Prüfung der Banknote 3 gewonnene Meßkurve L1 weist allerdings ein Intensitätsverhältnis I(fMax)/I(fMin2) = IMax/IMin2 auf, das geringer ist als dieser Wert ko. Dieser Unterschied ist gerade durch die Hintergrundsignale bewirkt, die das Lumineszenzspektrum L2 überlagernden.
- Es wird nun berechnet, um welches Maß I0 die Intensität des gesamten Spektrums I(f) gesenkt werden muß, damit das Intensitätsverhältnis I(fMax)/I(fMin2) wiederum dem für die zu erwartende Lumineszenzstrahlung 10 typischen Wert k0 entspricht. Durch Abzug dieses Werts I0 vom gesamten betrachteten Spektralbereich der Kurve L2 erhält man wiederum ein effektives Meßsignal, welches im wesentlichen nur noch auf die Luminezenzstrahlung 10, entsprechend der Kurve L2 zurückgeht, und bei der die Hintergrundsignale im wesentlichen abgezogen sind.
- Es sei betont, daß anstelle eines linearen Offsets, d.h. eines Abzugs eines konstanten Werts IMin1 bzw. I0 von der Meßintensität I(f) der Meßkurve L2, auch ein anderer, nichtlinearer Offset abgezogen werden kann, bei dem der abgezogenen Wert mit der Frequenz f variiert. D.h., der Betrag kann von Meßwert zu Meßwert des Meßvektors verschieden sein, d.h. es kann auch ein durch das Hintergrundsignal erzeugter Hintergrundvektor verwendet werden. Dies macht dann Sinn, wenn auch die Hintergrundsignale einen nicht-linearen Verlauf, d.h. einen über alle Frequenzen f nicht konstanten Betrag haben. Ist das Emissionsspektrum des Hintergrundsignals bekannt, so kann durch Messung des Hintergrundsignals bei einer einzigen oder mehreren Frequenzen der Hintergrundvektor berechnet werden. Ist der Hintergrundvektor bekannt, so kann er z.B. im Sensor gespeichert und auch ohne Messung von den Meßwerten abgezogen werden.
- Zudem können die genannten Verfahren zur Kompensation der Hintergrundsignale auch unabhängig vom Gegenstand der Hauptansprüche auch bei anderen Lumineszenzauswerteverfahren mit Vorteil eingesetzt werden.
- Die erfindungsgemäße Vorgehensweise ermöglicht folglich eine einfache und sichere Prüfung und Unterscheidung von Echtheitsmerkmalen, insbesondere mit sehr ähnlichem Spektralverlauf, die in Wertdokumenten enthalten sein können.
Claims (15)
- Verfahren zur Prüfung von Wertdokumenten (3) mit einem Echtheitsmerkmal in Form zumindest einer lumineszierenden Substanz, wobei das Wertdokument (3) mit Licht (9) bestrahlt und die vom Wertdokument (3) ausgehende Lumineszenzstrahlung (10) spektral aufgelöst erfaßt wird, um zu bestimmen, ob das Echtheitsmerkmal im Wertdokument (3) vorhanden ist,
dadurch gekennzeichnet, daß
aus den Meßwerten, welche unterschiedlichen Frequenzen und/oder Frequenzbereichen der Lumineszenzstrahlung (10) entsprechen, ein Meßvektor (X) gebildet wird, und eine Klassenzuordnung des Meßvektors (X) zu einem von mehreren vorgegebenen Referenzvektoren (A1, .., Ak), die unterschiedlichen Echtheitsmerkmalen entsprechen, dadurch erfolgt, daß den Referenzvektoren (A1, .., Ak) jeweils zumindest ein Klassenzuordnungsgebiet (G1, .., Gl) zugeordnet und geprüft wird, in welchem Klassenzuordnungsgebiet (G1, .., Gl) sich der Meßvektor (X) befindet. - Verfahren nach Anspruch 1, dadurch gekennzeichnet, daß das Prüfverfahren einen weiteren Schritt aufweist, bei dem geprüft wird, ob der Betrag (|X|) des Meßvektors (X) größer als ein vorgegebener Referenzwert (R) ist.
- Verfahren nach Anspruch 2, dadurch gekennzeichnet, daß der Schritt der Prüfung, ob der Betrag (|X|) des Meßvektors (X) größer als ein vorgegebener Referenzwert (R) ist, vor dem Schritt der Klassenzuordnung des Meßvektors (X) zu einem von mehreren vorgegebenen Referenzvektoren (A1, .., Ak) durchgeführt wird.
- Verfahren nach zumindest einem der vorherigen Ansprüche, dadurch gekennzeichnet, daß der Meßvektor (X) und die Referenzvektoren (A1,...,Ak) normiert werden.
- Verfahren nach zumindest einem der vorherigen Ansprüche, dadurch gekennzeichnet, daß die Klassenzuordnung vom Meßvektor (X) zu einem der Referenzvektoren (Am) durch einen Vergleich des Meßvektors (X) mit mehreren Referenzvektoren (A1, .., Ak) und/ oder mit zumindest einer Größe (T) erfolgt, welche von mindestens zwei Referenzvektoren (A1, .., Ak) abhängt.
- Verfahren nach zumindest einem der vorherigen Ansprüche, dadurch gekennzeichnet, daß die Klassenzuordnung vom Meßvektor (X) zu einem der Referenzvektoren (Am) dadurch erfolgt, daß der kleinste Unterschied, wie z.B. der kleinste Abstand (d(X,Am)) vom Meßvektor (X) zu den Referenzvektoren (A1, ... Ak) bestimmt wird.
- Verfahren nach zumindest einem der vorherigen Ansprüche, dadurch gekennzeichnet, daß die Größe (T), welche von mindestens zwei Referenzvektoren (A, B) abhängt, als eine Trennfläche (T) zwischen den zwei Referenzvektoren (A, B), wie z.B. eine (n-1) dimensionale Hyperebene (T) zwischen den zwei n-dimensionalen Referenzvektoren (A, B) gebildet wird, wobei die Trennfläche (T) die Klassenzuordnungsgebiete (GA, GB) der zwei Referenzvektoren (A, B) voneinander trennt.
- Verfahren nach zumindest einem der vorherigen Ansprüche, dadurch gekennzeichnet, daß die Klassenzuordnung vom Meßvektor (X) zu einem der Referenzvektoren (Am) dadurch bestimmt wird, daß die Lage des Meßvektors (X) in Bezug auf die Trennfläche (Tbestimmt wird.
- Verfahren nach zumindest einem der vorherigen Ansprüche, dadurch gekennzeichnet, daß bei einem zu prüfenden Wertdokument (3) die Lumineszenzstrahlung (10) zeitaufgelöst gemessen wird, wobei der Vergleich von Meßvektor (X) und Referenzvektoren (A, B) zeitabhängig erfolgen kann.
- Verfahren nach zumindest einem der vorherigen Ansprüche, dadurch gekennzeichnet, daß die Messung der Lumineszenzstrahlung (10) nur an einem oder mehreren vorbestimmten Teilbereichen der Wertdokumentenfläche erfolgt, welche nennwertspezifisch vorbestimmt sein können.
- Verfahren nach zumindest einem der vorherigen Ansprüche, dadurch gekennzeichnet, daß der Meßvektor (X) Meßwerte des infraroten oder ultravioletten, d.h. eines nicht sichtbaren Spektralbereichs umfaßt.
- Verfahren nach zumindest einem der vorherigen Ansprüche, dadurch gekennzeichnet, daß bei der Auswertung der Meßwerte ein Hintergundsignal (L2-L1) berücksichtigt wird, welches nicht von der Lumineszenzstrahlung (10) herrührt.
- Verfahren nach Anspruch 13, dadurch gekennzeichnet, daß zur Bildung des Meßvektors von den Meßwerten ein Betrag abgezogen wird, der von der Größe des Hintergundsignals (L2-L1) abhängt.
- Verfahren nach Anspruch 14, dadurch gekennzeichnet, daß der Betrag abhängig ist von der Größe eines Minimums und/oder Maximums der Meßwerte und/oder einem Verhältnis zweier Meßwerte.
- Vorrichtung (1) zur Prüfung von Wertdokumenten (3) mit einem Echtheitsmerkmal in Form zumindest einer lumineszierenden Substanz, mit einer Lichtquelle (5) zur Bestrahlung des Wertdokuments (3) und einem Spektralsensor (6), um die vom Wertdokument (3) ausgehende Lumineszenzstrahlung (10) spektral aufgelöst zu erfassen, und mit einer Auswertungseinrichtung (7), die mit dem Spektralsensor (6) verbunden ist, um zu bestimmen, ob das Echtheitsmerkmal im Wertdokument (3) vorhanden ist,
dadurch gekennzeichnet, daß
die Auswertungseinrichtung (7) so ausgestaltet ist, daß aus den Meßwerten, welche unterschiedlichen Frequenzen und/ oder Frequenzbereichen der Lumineszenzstrahlung (10) entsprechen, ein Meßvektor (X) gebildet wird, und eine Klassenzuordnung des Meßvektors (X) zu einem von mehreren vorgegebenen Referenzvektoren (A1, Ak), die unterschiedlichen Echtheitsmerkmalen entsprechen, dadurch erfolgt, daß den Referenzvektoren (A1, .., Ak) jeweils zumindest ein Klassenzuordnungsgebiet (G1, .., Gl) zugeordnet und geprüft wird, in welchem Klassenzuordnungsgebiet sich der Meßvektor (X) befindet.
Applications Claiming Priority (3)
| Application Number | Priority Date | Filing Date | Title |
|---|---|---|---|
| DE10256114 | 2002-11-29 | ||
| DE10256114A DE10256114A1 (de) | 2002-11-29 | 2002-11-29 | Verfahren und Vorrichtung zur Prüfung von Wertdokumenten |
| PCT/EP2003/013435 WO2004051582A2 (de) | 2002-11-29 | 2003-11-28 | Verfahren und vorrichtung zur prüfung von wertdokumenten |
Publications (2)
| Publication Number | Publication Date |
|---|---|
| EP1567991A2 EP1567991A2 (de) | 2005-08-31 |
| EP1567991B1 true EP1567991B1 (de) | 2006-04-19 |
Family
ID=32308893
Family Applications (1)
| Application Number | Title | Priority Date | Filing Date |
|---|---|---|---|
| EP03767703A Expired - Lifetime EP1567991B1 (de) | 2002-11-29 | 2003-11-28 | Verfahren und vorrichtung zur prüfung von wertdokumenten |
Country Status (7)
| Country | Link |
|---|---|
| US (1) | US7873199B2 (de) |
| EP (1) | EP1567991B1 (de) |
| AT (1) | ATE323920T1 (de) |
| AU (1) | AU2003292157A1 (de) |
| DE (2) | DE10256114A1 (de) |
| ES (1) | ES2259149T3 (de) |
| WO (1) | WO2004051582A2 (de) |
Families Citing this family (4)
| Publication number | Priority date | Publication date | Assignee | Title |
|---|---|---|---|---|
| DE10346636A1 (de) | 2003-10-08 | 2005-05-12 | Giesecke & Devrient Gmbh | Vorrichtung und Verfahren zur Prüfung von Wertdokumenten |
| US8330122B2 (en) * | 2007-11-30 | 2012-12-11 | Honeywell International Inc | Authenticatable mark, systems for preparing and authenticating the mark |
| DE102011016509A1 (de) | 2011-04-08 | 2012-10-11 | Giesecke & Devrient Gmbh | Verfahren zur Prüfung von Wertdokumenten |
| DE102023101915A1 (de) | 2023-01-26 | 2024-08-01 | Giesecke+Devrient Currency Technology Gmbh | Datenträger mit maschinenlesbarem Sicherheitsmerkmal, Herstellungsverfahren und Sicherheitssubstratbogen |
Family Cites Families (11)
| Publication number | Priority date | Publication date | Assignee | Title |
|---|---|---|---|---|
| AT330574B (de) | 1972-05-03 | 1976-07-12 | Int Security Systems Sa | Falschungsgesichertes wertpapier |
| JPS5532132A (en) * | 1978-08-28 | 1980-03-06 | Laurel Bank Machine Co | Bill discriminator |
| JPS5665291A (en) | 1979-10-31 | 1981-06-02 | Tokyo Shibaura Electric Co | Discriminator for printed matter |
| US4464786A (en) * | 1981-06-17 | 1984-08-07 | Tokyo Shibaura Denki Kabushiki Kaisha | System for identifying currency note |
| NL8202920A (nl) | 1982-07-20 | 1984-02-16 | Tno | Inrichting voor het herkennen en onderzoeken van bladvormige voorwerpen zoals bankbiljetten of dergelijke. |
| CH684856A5 (de) * | 1992-11-30 | 1995-01-13 | Mars Inc | Verfahren zur Klassifizierung eines Musters - insbesondere eines Musters einer Banknote oder einer Münze - und Einrichtung zur Durchführung des Verfahrens. |
| GB2284293B (en) * | 1993-11-30 | 1998-06-03 | Mars Inc | Article classifying method and apparatus |
| JP3366438B2 (ja) * | 1994-05-25 | 2003-01-14 | 東洋通信機株式会社 | 紙葉類の種類識別方法 |
| US5757001A (en) * | 1996-05-01 | 1998-05-26 | The Regents Of The University Of Calif. | Detection of counterfeit currency |
| DE60124598T2 (de) * | 2000-06-06 | 2007-09-06 | Agilent Technologies, Inc., Palo Alto | Verfahren und System zur Bestimmung der Orientierung eines Microarrays |
| DE10113268B4 (de) | 2001-03-16 | 2021-06-24 | Bundesdruckerei Gmbh | Sensor für die Echtheitserkennung von Sicherheitsmerkmalen auf Wert und/oder Sicherheitsdokumenten |
-
2002
- 2002-11-29 DE DE10256114A patent/DE10256114A1/de not_active Withdrawn
-
2003
- 2003-11-28 AT AT03767703T patent/ATE323920T1/de active
- 2003-11-28 DE DE50303063T patent/DE50303063D1/de not_active Expired - Lifetime
- 2003-11-28 ES ES03767703T patent/ES2259149T3/es not_active Expired - Lifetime
- 2003-11-28 WO PCT/EP2003/013435 patent/WO2004051582A2/de not_active Ceased
- 2003-11-28 AU AU2003292157A patent/AU2003292157A1/en not_active Abandoned
- 2003-11-28 EP EP03767703A patent/EP1567991B1/de not_active Expired - Lifetime
- 2003-11-28 US US10/535,409 patent/US7873199B2/en active Active
Also Published As
| Publication number | Publication date |
|---|---|
| ATE323920T1 (de) | 2006-05-15 |
| US7873199B2 (en) | 2011-01-18 |
| DE50303063D1 (de) | 2006-05-24 |
| DE10256114A1 (de) | 2004-06-09 |
| WO2004051582A3 (de) | 2004-08-26 |
| WO2004051582A2 (de) | 2004-06-17 |
| AU2003292157A8 (en) | 2004-06-23 |
| ES2259149T3 (es) | 2006-09-16 |
| AU2003292157A1 (en) | 2004-06-23 |
| EP1567991A2 (de) | 2005-08-31 |
| US20060153437A1 (en) | 2006-07-13 |
Similar Documents
| Publication | Publication Date | Title |
|---|---|---|
| DE3587836T2 (de) | Verfahren und Vorrichtung zur Validierung von Zahlungsmitteln. | |
| EP2577620B1 (de) | Vorrichtung zur echtheitsprüfung von wertdokumenten | |
| DE2320731A1 (de) | Faelschungsgesichertes wertpapier und einrichtung zur echtheitspruefung derartiger wertpapiere | |
| DE102007019107A1 (de) | Verfahren und Vorrichtung zur Prüfung von Wertdokumenten | |
| EP2936455B1 (de) | Sensor und verfahren zur prüfung von wertdokumenten | |
| EP3400584B1 (de) | Vollständigkeitsprüfung eines wertdokuments | |
| EP1456819B1 (de) | Verfahren und vorrichtungen für die überprüfung der echtheit von blattgut | |
| DE2924605C2 (de) | Verfahren zur optischen Unterscheidung von Prüfobjekten | |
| EP3108461B1 (de) | Verfahren zum untersuchen eines wertdokuments und mittel zur durchführung des verfahrens | |
| EP2997553B1 (de) | Vorrichtung und verfahren zur prüfung von wertdokumenten, insbesondere banknoten, sowie wertdokumentbearbeitungssystem | |
| EP1567991B1 (de) | Verfahren und vorrichtung zur prüfung von wertdokumenten | |
| EP3443542B1 (de) | Vorrichtung und verfahren zur prüfung von wertdokumenten, insbesondere banknoten, sowie wertdokumentbearbeitungssystem | |
| EP3210195B1 (de) | Vorrichtung und verfahren zur prüfung von wertdokumenten, insbesondere banknoten, sowie wertdokumentbearbeitungssystem | |
| DE102020004471A1 (de) | Verfahren und Sensor zur Prüfung von Wertdokumenten | |
| EP4295333B1 (de) | Sensor zur prüfung der lumineszenz von wertdokumenten | |
| DE102012022216A1 (de) | Vorrichtung und Verfahren zur Prüfung von Wertdokumenten | |
| EP3134878B1 (de) | Verfahren zum prüfen eines wertdokuments | |
| WO2024012634A1 (de) | Sensor und verfahren zum prüfen von wertdokumenten mit mindestens einem reflektierenden sicherheitselement | |
| WO2012136363A1 (de) | Verfahren zur prüfung von wertdokumenten | |
| DE102024116746A1 (de) | Verfahren zum Prüfen eines Wertdokuments mit einem optischen Merkmals, das eine magnetische Eigenschaft hat, und Mittel zur Durchführung | |
| WO2014029476A1 (de) | Verfahren und vorrichtung zur prüfung von wertdokumenten | |
| DE10233052A1 (de) | Erkennung von Mehrfachabzügen | |
| DE102020002587A1 (de) | Verfahren und Vorrichtung zum Prüfen eines Substrats mit einem Lumineszenzstoff |
Legal Events
| Date | Code | Title | Description |
|---|---|---|---|
| PUAI | Public reference made under article 153(3) epc to a published international application that has entered the european phase |
Free format text: ORIGINAL CODE: 0009012 |
|
| 17P | Request for examination filed |
Effective date: 20050629 |
|
| AK | Designated contracting states |
Kind code of ref document: A2 Designated state(s): AT BE BG CH CY CZ DE DK EE ES FI FR GB GR HU IE IT LI LU MC NL PT RO SE SI SK TR |
|
| AX | Request for extension of the european patent |
Extension state: AL LT LV MK |
|
| GRAP | Despatch of communication of intention to grant a patent |
Free format text: ORIGINAL CODE: EPIDOSNIGR1 |
|
| GRAS | Grant fee paid |
Free format text: ORIGINAL CODE: EPIDOSNIGR3 |
|
| GRAA | (expected) grant |
Free format text: ORIGINAL CODE: 0009210 |
|
| DAX | Request for extension of the european patent (deleted) | ||
| AK | Designated contracting states |
Kind code of ref document: B1 Designated state(s): AT BE BG CH CY CZ DE DK EE ES FI FR GB GR HU IE IT LI LU MC NL PT RO SE SI SK TR |
|
| PG25 | Lapsed in a contracting state [announced via postgrant information from national office to epo] |
Ref country code: IT Free format text: LAPSE BECAUSE OF FAILURE TO SUBMIT A TRANSLATION OF THE DESCRIPTION OR TO PAY THE FEE WITHIN THE PRESCRIBED TIME-LIMIT;WARNING: LAPSES OF ITALIAN PATENTS WITH EFFECTIVE DATE BEFORE 2007 MAY HAVE OCCURRED AT ANY TIME BEFORE 2007. THE CORRECT EFFECTIVE DATE MAY BE DIFFERENT FROM THE ONE RECORDED. Effective date: 20060419 Ref country code: SI Free format text: LAPSE BECAUSE OF FAILURE TO SUBMIT A TRANSLATION OF THE DESCRIPTION OR TO PAY THE FEE WITHIN THE PRESCRIBED TIME-LIMIT Effective date: 20060419 Ref country code: IE Free format text: LAPSE BECAUSE OF FAILURE TO SUBMIT A TRANSLATION OF THE DESCRIPTION OR TO PAY THE FEE WITHIN THE PRESCRIBED TIME-LIMIT Effective date: 20060419 Ref country code: RO Free format text: LAPSE BECAUSE OF FAILURE TO SUBMIT A TRANSLATION OF THE DESCRIPTION OR TO PAY THE FEE WITHIN THE PRESCRIBED TIME-LIMIT Effective date: 20060419 Ref country code: NL Free format text: LAPSE BECAUSE OF FAILURE TO SUBMIT A TRANSLATION OF THE DESCRIPTION OR TO PAY THE FEE WITHIN THE PRESCRIBED TIME-LIMIT Effective date: 20060419 Ref country code: CZ Free format text: LAPSE BECAUSE OF FAILURE TO SUBMIT A TRANSLATION OF THE DESCRIPTION OR TO PAY THE FEE WITHIN THE PRESCRIBED TIME-LIMIT Effective date: 20060419 Ref country code: FI Free format text: LAPSE BECAUSE OF FAILURE TO SUBMIT A TRANSLATION OF THE DESCRIPTION OR TO PAY THE FEE WITHIN THE PRESCRIBED TIME-LIMIT Effective date: 20060419 Ref country code: SK Free format text: LAPSE BECAUSE OF FAILURE TO SUBMIT A TRANSLATION OF THE DESCRIPTION OR TO PAY THE FEE WITHIN THE PRESCRIBED TIME-LIMIT Effective date: 20060419 |
|
| REG | Reference to a national code |
Ref country code: GB Ref legal event code: FG4D Free format text: NOT ENGLISH |
|
| REG | Reference to a national code |
Ref country code: CH Ref legal event code: NV Representative=s name: PATENTANWAELTE SCHAAD, BALASS, MENZL & PARTNER AG |
|
| GBT | Gb: translation of ep patent filed (gb section 77(6)(a)/1977) |
Effective date: 20060503 |
|
| REF | Corresponds to: |
Ref document number: 50303063 Country of ref document: DE Date of ref document: 20060524 Kind code of ref document: P |
|
| REG | Reference to a national code |
Ref country code: IE Ref legal event code: FG4D Free format text: LANGUAGE OF EP DOCUMENT: GERMAN |
|
| PG25 | Lapsed in a contracting state [announced via postgrant information from national office to epo] |
Ref country code: SE Free format text: LAPSE BECAUSE OF FAILURE TO SUBMIT A TRANSLATION OF THE DESCRIPTION OR TO PAY THE FEE WITHIN THE PRESCRIBED TIME-LIMIT Effective date: 20060719 Ref country code: DK Free format text: LAPSE BECAUSE OF FAILURE TO SUBMIT A TRANSLATION OF THE DESCRIPTION OR TO PAY THE FEE WITHIN THE PRESCRIBED TIME-LIMIT Effective date: 20060719 |
|
| REG | Reference to a national code |
Ref country code: ES Ref legal event code: FG2A Ref document number: 2259149 Country of ref document: ES Kind code of ref document: T3 |
|
| PG25 | Lapsed in a contracting state [announced via postgrant information from national office to epo] |
Ref country code: PT Free format text: LAPSE BECAUSE OF FAILURE TO SUBMIT A TRANSLATION OF THE DESCRIPTION OR TO PAY THE FEE WITHIN THE PRESCRIBED TIME-LIMIT Effective date: 20060919 |
|
| ET | Fr: translation filed | ||
| NLV1 | Nl: lapsed or annulled due to failure to fulfill the requirements of art. 29p and 29m of the patents act | ||
| REG | Reference to a national code |
Ref country code: IE Ref legal event code: FD4D |
|
| PG25 | Lapsed in a contracting state [announced via postgrant information from national office to epo] |
Ref country code: MC Free format text: LAPSE BECAUSE OF NON-PAYMENT OF DUE FEES Effective date: 20061130 Ref country code: BE Free format text: LAPSE BECAUSE OF NON-PAYMENT OF DUE FEES Effective date: 20061130 |
|
| PLAX | Notice of opposition and request to file observation + time limit sent |
Free format text: ORIGINAL CODE: EPIDOSNOBS2 |
|
| PLBI | Opposition filed |
Free format text: ORIGINAL CODE: 0009260 |
|
| 26 | Opposition filed |
Opponent name: BUNDESDRUCKEREI GMBH Effective date: 20070117 |
|
| PLAF | Information modified related to communication of a notice of opposition and request to file observations + time limit |
Free format text: ORIGINAL CODE: EPIDOSCOBS2 |
|
| PLBB | Reply of patent proprietor to notice(s) of opposition received |
Free format text: ORIGINAL CODE: EPIDOSNOBS3 |
|
| BERE | Be: lapsed |
Owner name: GIESECKE & DEVRIENT G.M.B.H. Effective date: 20061130 |
|
| PG25 | Lapsed in a contracting state [announced via postgrant information from national office to epo] |
Ref country code: GR Free format text: LAPSE BECAUSE OF FAILURE TO SUBMIT A TRANSLATION OF THE DESCRIPTION OR TO PAY THE FEE WITHIN THE PRESCRIBED TIME-LIMIT Effective date: 20060720 |
|
| PG25 | Lapsed in a contracting state [announced via postgrant information from national office to epo] |
Ref country code: EE Free format text: LAPSE BECAUSE OF FAILURE TO SUBMIT A TRANSLATION OF THE DESCRIPTION OR TO PAY THE FEE WITHIN THE PRESCRIBED TIME-LIMIT Effective date: 20060419 Ref country code: BG Free format text: LAPSE BECAUSE OF FAILURE TO SUBMIT A TRANSLATION OF THE DESCRIPTION OR TO PAY THE FEE WITHIN THE PRESCRIBED TIME-LIMIT Effective date: 20060719 |
|
| PG25 | Lapsed in a contracting state [announced via postgrant information from national office to epo] |
Ref country code: TR Free format text: LAPSE BECAUSE OF FAILURE TO SUBMIT A TRANSLATION OF THE DESCRIPTION OR TO PAY THE FEE WITHIN THE PRESCRIBED TIME-LIMIT Effective date: 20060419 Ref country code: LU Free format text: LAPSE BECAUSE OF NON-PAYMENT OF DUE FEES Effective date: 20061128 Ref country code: HU Free format text: LAPSE BECAUSE OF FAILURE TO SUBMIT A TRANSLATION OF THE DESCRIPTION OR TO PAY THE FEE WITHIN THE PRESCRIBED TIME-LIMIT Effective date: 20061020 |
|
| PG25 | Lapsed in a contracting state [announced via postgrant information from national office to epo] |
Ref country code: CY Free format text: LAPSE BECAUSE OF FAILURE TO SUBMIT A TRANSLATION OF THE DESCRIPTION OR TO PAY THE FEE WITHIN THE PRESCRIBED TIME-LIMIT Effective date: 20060419 |
|
| PLCK | Communication despatched that opposition was rejected |
Free format text: ORIGINAL CODE: EPIDOSNREJ1 |
|
| PLBN | Opposition rejected |
Free format text: ORIGINAL CODE: 0009273 |
|
| STAA | Information on the status of an ep patent application or granted ep patent |
Free format text: STATUS: OPPOSITION REJECTED |
|
| 27O | Opposition rejected |
Effective date: 20100929 |
|
| REG | Reference to a national code |
Ref country code: DE Ref legal event code: R082 Ref document number: 50303063 Country of ref document: DE |
|
| REG | Reference to a national code |
Ref country code: FR Ref legal event code: PLFP Year of fee payment: 13 |
|
| REG | Reference to a national code |
Ref country code: FR Ref legal event code: PLFP Year of fee payment: 14 |
|
| REG | Reference to a national code |
Ref country code: DE Ref legal event code: R081 Ref document number: 50303063 Country of ref document: DE Owner name: GIESECKE+DEVRIENT CURRENCY TECHNOLOGY GMBH, DE Free format text: FORMER OWNER: GIESECKE & DEVRIENT GMBH, 81677 MUENCHEN, DE |
|
| REG | Reference to a national code |
Ref country code: FR Ref legal event code: PLFP Year of fee payment: 15 |
|
| REG | Reference to a national code |
Ref country code: CH Ref legal event code: PUE Owner name: GIESECKE+DEVRIENT CURRENCY TECHNOLOGY GMBH, DE Free format text: FORMER OWNER: GIESECKE AND DEVRIENT GMBH, DE |
|
| REG | Reference to a national code |
Ref country code: ES Ref legal event code: PC2A Owner name: GIESECKE+DEVRIENT CURRENCY TECHNOLOGY GMBH Effective date: 20180123 |
|
| REG | Reference to a national code |
Ref country code: GB Ref legal event code: 732E Free format text: REGISTERED BETWEEN 20180118 AND 20180124 |
|
| REG | Reference to a national code |
Ref country code: AT Ref legal event code: PC Ref document number: 323920 Country of ref document: AT Kind code of ref document: T Owner name: GIESECKE+DEVRIENT CURRENCY TECHNOLOGY GMBH, DE Effective date: 20180425 |
|
| REG | Reference to a national code |
Ref country code: FR Ref legal event code: TP Owner name: GIESECKE+DEVRIENT CURRENCY TECHNOLOGY GMBH, DE Effective date: 20180530 |
|
| PGFP | Annual fee paid to national office [announced via postgrant information from national office to epo] |
Ref country code: GB Payment date: 20221123 Year of fee payment: 20 Ref country code: FR Payment date: 20221121 Year of fee payment: 20 Ref country code: ES Payment date: 20221216 Year of fee payment: 20 Ref country code: DE Payment date: 20221130 Year of fee payment: 20 Ref country code: AT Payment date: 20221117 Year of fee payment: 20 |
|
| PGFP | Annual fee paid to national office [announced via postgrant information from national office to epo] |
Ref country code: CH Payment date: 20221124 Year of fee payment: 20 |
|
| P01 | Opt-out of the competence of the unified patent court (upc) registered |
Effective date: 20230520 |
|
| REG | Reference to a national code |
Ref country code: DE Ref legal event code: R071 Ref document number: 50303063 Country of ref document: DE |
|
| REG | Reference to a national code |
Ref country code: CH Ref legal event code: PL |
|
| REG | Reference to a national code |
Ref country code: ES Ref legal event code: FD2A Effective date: 20231205 |
|
| REG | Reference to a national code |
Ref country code: GB Ref legal event code: PE20 Expiry date: 20231127 |
|
| REG | Reference to a national code |
Ref country code: AT Ref legal event code: MK07 Ref document number: 323920 Country of ref document: AT Kind code of ref document: T Effective date: 20231128 |
|
| PG25 | Lapsed in a contracting state [announced via postgrant information from national office to epo] |
Ref country code: GB Free format text: LAPSE BECAUSE OF EXPIRATION OF PROTECTION Effective date: 20231127 |
|
| PG25 | Lapsed in a contracting state [announced via postgrant information from national office to epo] |
Ref country code: ES Free format text: LAPSE BECAUSE OF EXPIRATION OF PROTECTION Effective date: 20231129 |
|
| PG25 | Lapsed in a contracting state [announced via postgrant information from national office to epo] |
Ref country code: GB Free format text: LAPSE BECAUSE OF EXPIRATION OF PROTECTION Effective date: 20231127 Ref country code: ES Free format text: LAPSE BECAUSE OF EXPIRATION OF PROTECTION Effective date: 20231129 |


