DE69833859T2 - Flüssige fahrbahnmarkierungszusammensetzungen - Google Patents

Flüssige fahrbahnmarkierungszusammensetzungen Download PDF

Info

Publication number
DE69833859T2
DE69833859T2 DE69833859T DE69833859T DE69833859T2 DE 69833859 T2 DE69833859 T2 DE 69833859T2 DE 69833859 T DE69833859 T DE 69833859T DE 69833859 T DE69833859 T DE 69833859T DE 69833859 T2 DE69833859 T2 DE 69833859T2
Authority
DE
Germany
Prior art keywords
amine
component
traffic
isocyanate
coating composition
Prior art date
Legal status (The legal status is an assumption and is not a legal conclusion. Google has not performed a legal analysis and makes no representation as to the accuracy of the status listed.)
Expired - Fee Related
Application number
DE69833859T
Other languages
English (en)
Other versions
DE69833859D1 (de
Inventor
D. Mark Oakdale PURGETT
C. David Hudson MAY
D. Mark White Bear Lake ZENDER
J. Daniel Minneapolis WILLIE
R. Thomas Oakdale BORDEN
Current Assignee (The listed assignees may be inaccurate. Google has not performed a legal analysis and makes no representation or warranty as to the accuracy of the list.)
3M Co
Original Assignee
Minnesota Mining and Manufacturing Co
Priority date (The priority date is an assumption and is not a legal conclusion. Google has not performed a legal analysis and makes no representation as to the accuracy of the date listed.)
Filing date
Publication date
Application filed by Minnesota Mining and Manufacturing Co filed Critical Minnesota Mining and Manufacturing Co
Publication of DE69833859D1 publication Critical patent/DE69833859D1/de
Application granted granted Critical
Publication of DE69833859T2 publication Critical patent/DE69833859T2/de
Anticipated expiration legal-status Critical
Expired - Fee Related legal-status Critical Current

Links

Classifications

    • CCHEMISTRY; METALLURGY
    • C08ORGANIC MACROMOLECULAR COMPOUNDS; THEIR PREPARATION OR CHEMICAL WORKING-UP; COMPOSITIONS BASED THEREON
    • C08GMACROMOLECULAR COMPOUNDS OBTAINED OTHERWISE THAN BY REACTIONS ONLY INVOLVING UNSATURATED CARBON-TO-CARBON BONDS
    • C08G18/00Polymeric products of isocyanates or isothiocyanates
    • C08G18/06Polymeric products of isocyanates or isothiocyanates with compounds having active hydrogen
    • C08G18/28Polymeric products of isocyanates or isothiocyanates with compounds having active hydrogen characterised by the compounds used containing active hydrogen
    • C08G18/30Low-molecular-weight compounds
    • C08G18/32Polyhydroxy compounds; Polyamines; Hydroxyamines
    • CCHEMISTRY; METALLURGY
    • C09DYES; PAINTS; POLISHES; NATURAL RESINS; ADHESIVES; COMPOSITIONS NOT OTHERWISE PROVIDED FOR; APPLICATIONS OF MATERIALS NOT OTHERWISE PROVIDED FOR
    • C09DCOATING COMPOSITIONS, e.g. PAINTS, VARNISHES OR LACQUERS; FILLING PASTES; CHEMICAL PAINT OR INK REMOVERS; INKS; CORRECTING FLUIDS; WOODSTAINS; PASTES OR SOLIDS FOR COLOURING OR PRINTING; USE OF MATERIALS THEREFOR
    • C09D175/00Coating compositions based on polyureas or polyurethanes; Coating compositions based on derivatives of such polymers
    • C09D175/02Polyureas
    • CCHEMISTRY; METALLURGY
    • C08ORGANIC MACROMOLECULAR COMPOUNDS; THEIR PREPARATION OR CHEMICAL WORKING-UP; COMPOSITIONS BASED THEREON
    • C08GMACROMOLECULAR COMPOUNDS OBTAINED OTHERWISE THAN BY REACTIONS ONLY INVOLVING UNSATURATED CARBON-TO-CARBON BONDS
    • C08G18/00Polymeric products of isocyanates or isothiocyanates
    • C08G18/06Polymeric products of isocyanates or isothiocyanates with compounds having active hydrogen
    • C08G18/28Polymeric products of isocyanates or isothiocyanates with compounds having active hydrogen characterised by the compounds used containing active hydrogen
    • C08G18/30Low-molecular-weight compounds
    • C08G18/38Low-molecular-weight compounds having heteroatoms other than oxygen
    • C08G18/3819Low-molecular-weight compounds having heteroatoms other than oxygen having nitrogen
    • C08G18/3821Carboxylic acids; Esters thereof with monohydroxyl compounds
    • CCHEMISTRY; METALLURGY
    • C08ORGANIC MACROMOLECULAR COMPOUNDS; THEIR PREPARATION OR CHEMICAL WORKING-UP; COMPOSITIONS BASED THEREON
    • C08KUse of inorganic or non-macromolecular organic substances as compounding ingredients
    • C08K7/00Use of ingredients characterised by shape
    • C08K7/16Solid spheres
    • C08K7/18Solid spheres inorganic
    • CCHEMISTRY; METALLURGY
    • C09DYES; PAINTS; POLISHES; NATURAL RESINS; ADHESIVES; COMPOSITIONS NOT OTHERWISE PROVIDED FOR; APPLICATIONS OF MATERIALS NOT OTHERWISE PROVIDED FOR
    • C09DCOATING COMPOSITIONS, e.g. PAINTS, VARNISHES OR LACQUERS; FILLING PASTES; CHEMICAL PAINT OR INK REMOVERS; INKS; CORRECTING FLUIDS; WOODSTAINS; PASTES OR SOLIDS FOR COLOURING OR PRINTING; USE OF MATERIALS THEREFOR
    • C09D5/00Coating compositions, e.g. paints, varnishes or lacquers, characterised by their physical nature or the effects produced; Filling pastes
    • C09D5/004Reflecting paints; Signal paints

Landscapes

  • Chemical & Material Sciences (AREA)
  • Organic Chemistry (AREA)
  • Health & Medical Sciences (AREA)
  • Polymers & Plastics (AREA)
  • Medicinal Chemistry (AREA)
  • Chemical Kinetics & Catalysis (AREA)
  • Wood Science & Technology (AREA)
  • Life Sciences & Earth Sciences (AREA)
  • Materials Engineering (AREA)
  • Engineering & Computer Science (AREA)
  • Paints Or Removers (AREA)
  • Road Signs Or Road Markings (AREA)
  • Polyurethanes Or Polyureas (AREA)
  • Application Of Or Painting With Fluid Materials (AREA)
  • Road Paving Structures (AREA)
  • Pens And Brushes (AREA)
  • Ink Jet (AREA)

Description

  • Es gibt einen erheblichen Bedarf an einer flüssigen Fahrbahnmarkierungszusammensetzung, die erhöhte Dauerhaftigkeit und beibehaltenes Reflexionsvermögen zur Verfügung stellt, wenn sie auf eine Oberfläche aufgebracht und getrocknet oder gehärtet wird. Zusammensetzungen dieses Typs werden typischerweise auf Straßen, Autobahnen, Parkplätzen und Freizeitanlagen verwendet, um Streifen, Balken und Markierungen zum Kennzeichnen von Fahrspuren, Fußgängerüberwegen, Parkräumen, Symbolen, Beschriftungen und dergleichen zu bilden. Sie werden üblicherweise durch Sprühbeschichten (d. h. Malen) auf die Fahrbahnoberfläche aufgebracht. Es sind auch vorgebildete Fahrbahnmarkierungsfolien oder -bänder verwendet worden, um Fahrbahnoberflächen oder Verkehr tragende Oberflächen zu markieren.
  • Fahrbahnmarkierungsstreifen oder Fahrbahnmarkierungen mit anderen Formen können reflektierende optische Elemente umfassen, die durch Verwendung eines Bindemittels an der Fahrbahnoberfläche haften. Aktuelle Verkehrsfarbsysteme verwenden typischerweise konventionelle 1,5 nD-Glasmikrokugeln zur Retroreflexion. Die Mikrokugeln werden typischerweise durch Aufschwimmbeschichtung unmittelbar nach dem Beschichten auf die feuchte Markierung ausgebracht. Dies verleiht der Farbe verbessertes Retroreflexionsvermögen und bedeckt auch die Oberseite der ungehärteten oder ungetrockneten Beschichtung mit einer Schutzschicht aus Mikrokugeln. Die Schutzschicht ermöglicht, dass die Markierungen früher für den Verkehr freigegeben werden können, weil die Schicht der Mikrokugeln auf der Oberfläche die Übertragung der Beschichtung auf die Oberfläche der Fahrzeugreifen verhindert. Dies ist für die Geschwindigkeit der Markierungsaufbringung wichtig. Die Zeit zwischen der Aufbringung und dem Punkt, an dem Material nicht länger auf Fahrzeugreifen übertragen wird, wird hier als die "verkehrsfreie" Zeit definiert. Kürzere verkehrsfreie Zeiten erhöhen die Markierungseffizienz, indem die Notwendigkeit der Verkehrsunterbrechung durch solche Maßnahmen wie Sperren von Fahrbahnen oder Anordnen von Verkehrsregelungsgeräten zum Schutze derartiger Markierungen verringert wird oder entfällt.
  • EP-A-0 667 362 betrifft eine Beschichtungszusammensetzung zur Herstellung einer Polyharnstoffbeschichtung, die a) eine Polyisocyanatkomponente, b) mindestens eine Verbindung, die der Formel
    Figure 00020001
    entspricht, wobei X für eine organische Gruppe steht, die eine Wertigkeit von n hat und gegenüber Isocyanatgruppen bei einer Temperatur von 100°C oder weniger inert ist, R1 und R2 gleich oder verschieden sein können und für organische Gruppen stehen, die bei einer Temperatur von 100°C oder darunter gegenüber Isocyanatgruppen inert sind, R3 und R4 gleich oder verschieden sein können und für Wasserstoff oder organische Gruppen stehen, die bei einer Temperatur von 100°C oder darunter gegenüber Isocyanatgruppen inert sind, und n für eine ganze Zahl mit einem Wert von mindestens 2 steht, und c) 0,1 bis 15 Gew.-%, bezogen auf das Gesamtgewicht der Beschichtungszusammensetzungen, von einem wasseradsorbierenden Zeolithen enthält.
  • JP-A-07 188 583 beschreibt eine Harzzusammensetzung zur Straßenmarkierung, die durch Mischen von (A) einem blockierten Urethanpräpolymer mit (B) einer Polyaminverbindung erhalten wird, die eine oder mehrere definierte Aminogruppen enthält.
  • Es wäre vorteilhaft, Markierungen in einem größeren Bereich von Wetterbedingungen aufzubringen, als mit bestehenden Zusammensetzungen möglich ist. Es besteht auch ein Bedarf an Markierungszusammensetzungen mit verbesserten Härtungsprofilen, um sowohl das Benetzen des Substrats als auch kurze verkehrsfreie Zeit zu gewährleisten. Es sind auch Verbesserungen nötig, um Zusammensetzungen zu erhalten, die im Wesentlichen frei von flüchtigen organischen Komponenten sind.
  • Die vorliegende Erfindung liefert eine Fahrbahnmarkierung, die ein Bindemittel mit Polyharnstoffgruppen enthält. Konventionelle flüssige Fahrbahnmarkierungszusammensetzungen enthalten Bindemittelzusammensetzungen auf Alkydbasis, wie sie in US-A-2,897,732 (Shuger), US-A-2,897,733 (Shuger) und US-A-3,326,098 (Boettler) beschrieben sind, und Zusammensetzungen auf Epoxidbasis, wie sie in US-A-4,088,633 (Gurney), US-A-4,185,132 (Gurney) und US-A-4,255,468 (Olson) beschrieben sind. Diese konventionellen Zusammensetzungen sind mindestens aus einem der folgenden Gründe nicht erwünscht: sie trocknen in der Regel zu langsam; sie benötigen erhöhte Temperaturen für vernünftige Härtungszeiten; sie enthalten chemische Bindungen (z. B. Esterbindungen), die Abbau unterliegen (wie beispielsweise durch Hydrolyse), und/oder sie erfordern die Verwendung von organischen Lösungsmitteln, Trocknungsölen oder Trocknungsbeschleunigern, die zu Verfärbung führen können.
  • Es sind zahlreiche andere konventionelle Fahrbahnmarkierungszusammensetzungen entwickelt worden, um raschere Trocknungszeiten zu erhalten, indem Auftragung von Materialien im erwärmten Zustand auf Straßenoberflächen verwendet wurde. Es sind auch wassergetragene Beschichtungen auf Basis von Acryllatizes, wie in US-A-5,527,853 (Landy et al.) offenbart wird, und Epoxidharzemulsionen, wie in US-A-4,906,716 (Cummings) offenbart wird, zur Verwendung in Fahrbahnmarkierungen vorgeschlagen worden. Derartige Markierungen haben die Vorteile von niedrigem Gehalt an flüchtigen organischen Materialien und Einkomponenten-Beschichtungszusammensetzungen, sind jedoch für Langzeitpräsenz auf der Straße und beibehaltene Reflexionsvermögensleistung noch nicht ausreichend dauerhaft.
  • US-A-4,076,671 (Bright) offenbart eine harzartige Zusammensetzung, die als brauchbar zum Markieren verkehrsfähiger Oberflächen bezeichnet wird. Die Zweikomponenten-Beschichtungszusammensetzungen auf Acrylatbasis werden als eine erwünschte Ausgewogenheit von Stabilität und rascher Härtung liefernd bezeichnet, erfordern jedoch die Verwendung freier Monomere und ethylenisch ungesättigter Verbindungen mit niedrigem Molekulargewicht, die signifikante Dampfdrücke haben. Sie erfordern auch die Verwendung von Peroxidkatalysatoren. US-A-5,478,596 (Gurney) offenbart flüssige Fahrbahnmarkierungszusammensetzungen, die aus einem Polyurethan bildenden Zweikomponentensystem einer ersten Komponente mit isocyanatreaktiven Gruppen (einem Polyol) und einer zweiten Komponente mit Isocyanatgruppen hergestellt werden.
  • Es besteht ein Bedarf an flüssigen Fahrbahnmarkierungszusammensetzungen, die ein oder mehrere und vorzugsweise alle der folgenden Merkmale bereitstellen können: verminderte Einwirkung auf die Umwelt durch Formulierungen mit niedrigem Gehalt an flüchtigem organischem Material; verbesserte Ausgewogenheit der Beschichtungsrheologie während der Aufbringung und Filmbildung, um Benetzung des Substrats und rasche Härtung zu spurfreien Filmen zu fördern; verbreiterten Bereich von Wetterbedingungen für die Aufbringung der Beschichtung und/oder verbesserte Markierungsleistung durch erhöhte Dauerhaftigkeit und beibehaltenes Reflexionsvermögen. Um ein oder mehrere und vorzugsweise alle dieser Merkmale zu erreichen, liefert die vorliegende Erfindung eine Fahrbahnmarkierung, die ein Bindemittel mit Polyharnstoffgruppen enthält.
  • Erfindungsgemäße Fahrbahnmarkierungen enthalten ein Bindemittel mit Polyharnstoffgruppen, wobei das Bindemittel aus einer Beschichtungszusammensetzung hergestellt ist, die ein oder mehrere aliphatische sekundäre Amine, ein oder mehrere Polyisocyanate, Material ausgewählt aus der Gruppe von Füllstoffen, Streckungsmitteln, Pigmenten und Kombinationen davon, und reflektierende Elemente (z. B. Glasperlen, usw.) umfasst, wobei die Fahrbahnmarkierung ein beibehaltenes Reflexionsvermögen von mindestens etwa 100 mcd/m2/Lux nach mindestens etwa 2 Jahren Gebrauch als Straßenverkehrsmarkierung in Längsrichtung hat, gemessen nach ASTM E 1710-95. Das Bindemittel wird vorzugsweise aus einer Zweikomponenten-Beschichtungszusammensetzung hergestellt, die eine Aminkomponente, die ein oder mehrere Asparaginesteramine und gegebenenfalls einen oder mehrere aminfunktionale Coreaktanten umfasst, und eine Isocyanatkomponente umfasst, die ein oder mehrere Polyisocyanate umfasst. Es wird auch eine Verkehr tragende Oberfläche bereitgestellt, die eine derartige Fahrbahnmarkierung aufweist.
  • Es wird auch eine Fahrbahnmarkierung bereitgestellt, die ein Bindemittel wie oben definiert mit Polyharnstoffgruppen enthält, wobei. das Bindemittel aus einer sprühbaren Zweikomponenten-Beschichtungszusammensetzung hergestellt ist, die im Wesentlichen frei von flüchtigen organischen Komponenten ist und eine Aminkomponente, die ein oder mehrere Asparaginesteramine umfasst, und eine Isocyanatkomponente umfasst, die ein oder mehrere Polyisocyanate umfasst. Mindestens eine der Aminkomponente und/oder der Isocyanatkomponente umfasst ferner Material ausgewählt aus der Gruppe von Füllstoffen, Streckungsmitteln, Pigmenten und Kombinationen davon. Die Beschichtungszusammensetzung hat eine Mindestaufbringungstemperatur von mindestens etwa 7 °C und eine verkehrsfreie Zeit von nicht mehr als etwa 5 Minuten. Bereitgestellt werden auch eine Verkehr tra gende Oberfläche, die eine derartige Fahrbahnmarkierung aufweist, und eine vorgebildete Fahrbahnmarkierung, wobei die Fahrbahnmarkierung als Beschichtung auf ein Substrat aufgebracht wird, das auf eine Verkehr tragende Oberfläche aufgebracht werden kann.
  • Die vorliegende Patentbeschreibung beschreibt auch Beschichtungszusammensetzungen. Die Beschichtungszusammensetzung enthält ein oder mehrere aliphatische sekundäre Amine, ein oder mehrere Polyisocyanate und Material ausgewählt aus der Gruppe von Füllstoffen, Streckungsmitteln, Pigmenten und Kombinationen davon. Die Beschichtungszusammensetzung hat eine Mindestaufbringungstemperatur von mindestens etwa 7 °C, eine verkehrsfreie Zeit von nicht mehr als etwa 5 Minuten und bildet eine Fahrbahnmarkierung mit reflektierenden Elementen mit einem beibehaltenen Reflexionsvermögen von mindestens etwa 100 mcd/m2/Lux nach mindestens etwa 2 Jahren Gebrauch als Straßenverkehrsmarkierung in Längsrichtung, gemessen nach ASTM E 1710-95.
  • Es wird auch eine sprühbare flüssige Zweikomponenten-Fahrbahnmarkierungszusammensetzung beschrieben, die eine Aminkomponente, die ein oder mehrere Asparaginesteramine und gegebenenfalls einen oder mehrere aminfunktionale Coreaktanten umfasst, und eine Isocyanatkomponente umfasst, die ein oder mehrere Polyisocyanate umfasst. Die Aminkomponente, die Isocyanatkomponente oder beide umfassen ferner Material ausgewählt aus der Gruppe von Füllstoffen, Streckungsmitteln, Pigmenten und Kombinationen davon. Die Beschichtungszusammensetzung ist sprühbar und hat eine Mindestaufbringungstemperatur von mindestens etwa 7 °C und eine verkehrsfreie Zeit von nicht mehr als etwa 5 Minuten. Die Fahrbahnmarkierungszusammensetzung umfasst vorzugsweise eine Aminkomponente, die ein oder mehrere Asparaginesteramine und gegebenenfalls einen oder mehrere aminfunktionale Coreaktanten umfasst, und eine Isocyanatkomponente, die ein oder mehrere Polyisocyanate umfasst.
  • Es werden auch Verfahren zur Herstellung der obigen Fahrbahnmarkierungen bereitgestellt. Es wird beispielsweise ein Verfahren zum Markieren einer Verkehr tragenden Oberfläche bereitgestellt. Dieses Verfahren umfasst Bereitstellen einer Aminkomponente, die ein oder mehrere Asparaginesteramine und gegebenenfalls einen oder mehrere aminfunktionale Coreaktanten umfasst, Bereitstellen einer Isocyanatkomponente, die ein oder mehrere Polyisocyanate umfasst, Bereitstellen von Material ausgewählt aus der Gruppe von Füllstoffen, Streckungsmitteln, Pigmenten und Kombinationen davon in entweder der Aminkomponente, der Isocyanatkomponente oder beiden, Kombinieren der Aminkomponente und der Isocyanatkomponente unter Bildung einer Beschichtungszusammensetzung mit einer Mindestaufbringungstemperatur von mindestens etwa 7 °C und einer verkehrsfreien Zeit von nicht mehr als etwa 5 Minuten, Sprühen der Beschichtungszusammensetzung auf eine Verkehr tragende Oberfläche, und Aufbringen reflektierender Elemente auf die Zusammensetzung, wobei die Verkehr tragende Oberfläche mit der Zusammensetzung beschichtet ist, unter Bildung einer Fahrbahnmarkierung.
  • Eine weitere Ausführungsform umfasst ein Verfahren zur Herstellung einer Fahrbahnmarkierung. Dieses Verfahren umfasst Bereitstellen einer Aminkomponente, die ein oder mehrere aliphatische sekundäre Amine umfasst, Bereitstellen einer Isocyanatkomponente, die ein oder mehrere Polyisocyanate umfasst, Bereitstellen von Material ausgewählt aus der Gruppe von Füllstoffen, Streckungsmitteln, Pigmenten und Kombinationen davon in entweder der Aminkomponente, der Isocyanatkomponente oder beiden, Kombinieren der Aminkomponente und der Isocyanatkomponente unter Bildung einer Beschichtungszusammensetzung mit einer Mindestaufbringungstemperatur von mindestens etwa 7 °C und einer verkehrsfreien Zeit von nicht mehr als etwa 5 Minuten, Aufbringen der Beschichtungszusammensetzung auf eine Oberfläche, und Aufbringen reflektierender Elemente auf die Zusammensetzung, mit der die Oberfläche beschichtet ist, um eine Fahrbahnmarkierung mit reflektierenden Elementen mit einem beibehaltenen Reflexionsvermögen von mindestens etwa 100 mcd/m2/Lux nach mindestens etwa 2 Jahren Gebrauch zu bilden.
  • Die erfindungsgemäßen Fahrbahnmarkierungszusammensetzungen umfassen ein Bindemittel, das Harnstoffgruppen (-NR-C(O)-NR-) umfasst. Dieses Bindemittel kann aus einem Zweikomponentensystem hergestellt werden, das eine Aminkomponente und eine Isocyanatkomponente enthält. Die Aminkomponente enthält ein oder mehrere sekundäre Amine, wie Asparaginesteramin, das ein aliphatisches sekundäres Diamin ist. Die Aminkomponente enthält vorzugsweise primäre oder sekundäre Amine. Die Aminkomponente enthält am meisten bevorzugt ein oder mehrere Asparaginesteramine, gegebenenfalls mit einem oder mehreren aminfunktionalen Coreaktanten gemischt, die von einem Asparaginesteramin verschieden sind. Die aminfunktionalen Coreaktanten sind vorzugsweise polymere Polyamine und insbesondere im Wesentlichen polymere Diamine. Diese aminfunktionalen Coreaktanten werden ausgewählt, um die Eigenschaften der Beschichtung während des Härtungsprozesses und in ihrer fertigen Form ausgewogen zu halten.
  • Die Amin- und Isocyanatkomponenten werden so gewählt, dass die resultierende Fahrbahnmarkierung allgemein beständig und dauerhaft gegenüber Umwelt- und Fahrzeugbelastungen ist und eine gute Sichtbarkeit bei Tageslicht hat. Sie hat vorzugsweise auch eine gute Sichtbarkeit zur Nachtzeit. Dauerhaftigkeit kann durch gute Adhäsion an vielen verschiedenen Substratoberflächen, einschließlich Beton, Asphalt und anderen Markierungen unabhängig davon, ob die Markierungen aus demselben oder einem anderen Material sind, nachgewiesen werden.
  • Sie kann auch durch gute Adhäsion (oft als "Verankerung" bezeichnet) von Reflexionselementen an der Markierung nachgewiesen werden. Die "Dauerhaftigkeit" wie hier verwendet kann bestimmt werden, indem die Fahrbahnmarkierung auf eine Straßenoberfläche aufgebracht wird, die Verkehrsbedingungen ausgesetzt wird, und die Leistung der Markierung im Zeitverlauf aufgezeichnet wird. Reflexionsvermögen und Weißheit können instrumentell im Feld gemessen werden, und die Beständigkeit der Markierung gegenüber Verschleiß und Erosion kann subjektiv bewertet werden. Dauerhafte Markierungen haben andauernde Adhäsion an dem Substrat, gute Sichtbarkeit und vorzugsweise gutes Reflexionsvermögen über einen längeren Zeitraum.
  • Die aus der erfindungsgemäßen Zusammensetzung gebildeten Fahrbahnmarkierungen sind dauerhaft für (d. h. haben eine Gebrauchszeit von) mindestens etwa 2 Jahre(n), insbesondere mindestens etwa 3 Jahre und am meisten bevorzugt mindestens etwa 4 Jahre bei Gebrauch als Verkehrsmarkierungen in Längsrichtung. Die Fahrbahnmarkierungen haben ein beibehaltenes Reflexionsvermögen von mindestens etwa 100 mcd/m2/lux und insbesondere mindestens etwa 150 mcd/m2/lux während ihrer Gebrauchszeit als Verkehrsmarkierungen in Längsrichtung. "Beibehaltenes Reflexionsvermögen" wird, wie hier verwendet, zum Beschreiben der Wirksamkeit der beibehaltenen Retroreflexionsleistung einer Fahrbahnmarkierung über ihre Gebrauchszeit verwendet. Retroreflexionsvermögen wird derzeit in der Regel durch ein tragbares Instrument im Feld mit festgelegten Eintritts- und Beobachtungswinkeln nach ASTM E 1710-95 gemessen. Vergangene Arbeiten (Transportation Research Record 1409, veröffentlicht 1994 von dem Transportation Research Board) haben gezeigt, dass der Eintrittswinkel, in dem Licht einfällt, und die Beobachtungswinkel, von denen ein Fahrer eine Fahrbahnmarkierung tatsächlich sieht, hier als "ungefähre Fahrergeometrien" bezeichnet, für gemessene retroreflektierende Leistung von Straßenmarkierungen geeignet sind.
  • Die Amin- und Isocyanatkomponenten werden vorzugsweise so gewählt, dass die resultierende Fahrbahnmarkierungszusammensetzung: (1) eine Flüssigkeit mit hohem Feststoffgehalt ist, die im Wesentlichen frei von flüchtigen organischen Komponenten ist (vorzugsweise weniger als etwa 5 Gew.-% flüchtige organische Komponenten, in der Regel Lösungsmittel, bezogen auf das Gesamtgewicht der Zusammensetzung); (2) ein allgemein rasches Härtungsprofil mit einer verkehrsfreien Zeit (d. h. einer Trockenzeit bei Umgebungsstraßenbedingungen, wenn die Beschichtung aufgebracht wird) von vorzugsweise nicht mehr als etwa 5 Minuten, insbesondere nicht mehr als etwa 4 Minuten und am meisten bevorzugt nicht mehr als etwa 3 Minuten und eine brauchbare Offenzeit (d. h. die Zeitdauer, die die Zusammensetzung nach Aufbringung auf eine Oberfläche im flüssigen Zustand bleibt) hat, um das Substrat adäquat zu benetzen und Partikel- oder Reflexionselement aufzunehmen/zu verankern (vorzugsweise eine Offenzeit von mindestens etwa 30 Sekunden und insbesondere mindestens etwa 1 Minute); (3) ein breites Aufbringungsfenster (d. h. lässt sich über einen großen Temperaturbereich aufbringen) mit Betonung auf der Verwendung bei niedrigeren Temperaturen (vorzugsweise mit einer Mindestaufbringungstemperatur von mindestens etwa 7°C, insbesondere mindestens etwa 4°C, bevorzugter mindestens etwa 2°C und am meisten bevorzugt mindestens etwa –4°C) hat; (4) mit statischen Zweikomponentenmisch- oder luftfreien Hochdruck-Prallmisch-Auftragungsgeräten verträglich ist; (5) im Handel erhältliche, preisgünstige Rohmaterialien enthält und (6) allgemein lagerbeständig ist (vorzugsweise eine brauchbare Lagerungszeit von mindestens 6 Monaten, insbesondere mindestens einem Jahr und am meisten bevorzugt mindestens zwei Jahren hat). Eine flüchtige Komponente (VOC) ist hier eine organische Verbindung mit einem Dampfdruck von mehr als 0,01 mm Hg (13,33 Pascal) bei 20°C. Derartige Verbindungen haben in der Regel einen Siedepunkt von mehr als 250°C.
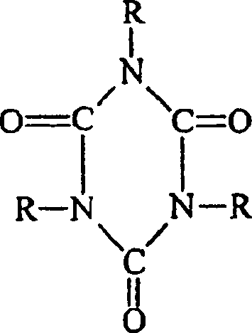
  • Die erfindungsgemäßen Fahrbahnmarkierungszusammensetzungen umfassen ein Bindemittel, das Harnstoffgruppen (-NR-C(O)-NR-) umfasst, obwohl auch andere Gruppen vorhanden sein können, wie Biuretgruppen (-NR-C(O)-NR-C(O)-NR-), Isocyanuratgruppen
    Figure 00110001
    sowie Urethangruppen (-NR-C(O)-O-) und dergleichen, wobei R ein Wasserstoff oder eine organische Gruppe ist. Derartige Polymere, die Harnstoffgruppen enthalten, werden hier oft als Polyharnstoffe bezeichnet. Für Fahrbahnmarkierungsanwendungen formulierte Polyharnstoffe sollten abriebbeständig sein und Adhäsion an Straßenoberflächen und reflektierenden Elementen liefern.
  • Das Bindemittelsystem ist das Reaktionsprodukt eines Amins mit einem Isocyanat unter Bildung einer Harnstoffbindung. Das Bindemittelsystem ist vorzugsweise das Reaktionsprodukt eines Polyasparaginesteramins, welches vorzugsweise difunktional ist, mit einem Polyisocyanat, um einen Polyharnstoff zu bilden.
  • Bevorzugte Asparaginesteramine haben die folgende Formel:
    Figure 00120001
    worin R1 eine zweiwertige organische Gruppe (vorzugsweise mit 1 bis 40 Kohlenstoffatomen) ist und jedes R2 unabhängig eine organische Gruppe ist, die bei Temperaturen von 100°C oder weniger inert gegenüber Isocyanatgruppen ist.
  • In der obigen Formel ist R1 vorzugsweise eine aliphatische Gruppe (vorzugsweise mit 1 bis 40 Kohlenstoffatomen), die verzweigt, unverzweigt oder cyclisch sein kann, und insbesondere ist R1 aus der Gruppe zweiwertiger Kohlenwasserstoffgruppen ausgewählt, die durch Entfernen der Aminogruppen von 1,4-Diaminobutan, 1,6-Diaminohexan, 2,2,4- und 2,4,4-Trimethyl-1,6-diaminohexan, 1-Amino-3,3,5-trimethyl-5-aminomethylcyclohexan, 4,4'-Diaminodicyclohexylmethan oder 3,3-Dimethyl-4,4'-diaminodicyclohexylmethan erhalten werden. Ebenfalls geeignet sind zweiwertige Kohlenwasserstoffgruppen, die durch die Entfernung der Aminogruppen aus Polyetheraminen mit relativ hohem Molekulargewicht erhalten werden, die aliphatisch gebundene Aminogruppen enthalten, wie die Produkte, die unter den Handelsbezeichnungen "JEFFAMINE" von Texaco und Huntsman, und "HYCAR" von B. F. Goodrich vermarktet werden. Zu anderen geeigneten Polyaminvorläufern gehören Ethylendiamin, 1,2-Diaminopropan, 2,5-Diamino-2,5-dimethylhexan, 1,11-Diaminoundecan, 1,12-Diaminododecan, 2,4- und/oder 2,6-Hexahydrotoluylendiamin und 2,4'-Diaminodicyclohexylmethan. Aromatische Polyamine, wie 2,4- und/oder 2,6-Diaminotoluol und 2,4'- und/oder 4,4'-Diaminodiphenylmethan, sind auch geeignet, aber weniger bevorzugt.
  • In der obigen Formel ist vorzugsweise jedes R2 unabhängig eine organische Gruppe mit 1 bis 40 Kohlenstoffatomen, insbesondere ist jedes R2 unabhängig eine Alkylgruppe (vorzugsweise mit 1 bis 20 Kohlenstoffatomen), die verzweigt oder unverzweigt sein kann, und am meisten bevorzugt ist jedes R2 unabhängig eine niedere Alkylgruppe (mit 1 bis 4 Kohlenstoffatomen).
  • Geeignete Asparaginesteramine sind im Handel von Bayer (Pittsburgh, PA, USA) beispielsweise unter den Handelsbezeichnungen "DESMOPHEN" XP-7053, XP-7059 und XP-7109 erhältlich.
  • "DESMOPHEN" XP-7053 ist im Wesentlichen aus der folgenden Verbindung zusammengesetzt:
    Figure 00130001
  • "DESMOPHEN" XP-7059 ist im Wesentlichen aus der folgenden Verbindung zusammengesetzt:
    Figure 00130002
  • "DESMOPHEN" XP-7109 ist im Wesentlichen aus der folgenden Verbindung zusammengesetzt:
    Figure 00130003
  • Für besonders vorteilhafte Ergebnisse können zusätzlich zu den Asparaginesteraminen ein oder mehrere aminfunktionale Coreaktanten verwendet werden. Diese (von den Asparaginesteraminen verschiedenen) Amine wirken in der Regel als Kettenverlängerungsmittel und/oder Schlagzähigkeitsmodifizierungsmittel. Die Verwendung eines derartigen aminfunktionalen Coreaktanten kann zu der Anwesenheit von weichen Segmenten in dem Polymergrundgerüst beitragen, um die Zähigkeitseigenschaften zu verbessern. Sie können primäre Amine, sekundäre Amine oder Kombinationen davon sein. Vorzugsweise sind sie sekundäre Amine, ein Gemisch von sekundären Aminen oder ein Gemisch von sekundären Aminen und primären Aminen. Einige primäre Amine neigen dazu, so rasch zu reagieren, dass sie nur in geringen Mengen oder in Kombination mit einem sehr langsam reagierenden Isocyanat brauchbar sind, wie m-Tetramethylxyloldiisocyanat (TMXDI). In einigen Fällen kann eine signifikante Menge an primären Aminen verwendet werden, und die Gesamthärtungsgeschwindigkeit der Beschichtung kann durch Verwendung eines langsameren Asparaginesteramins, wie beispielsweise "DESMOPHEN" XP-7053, gemäßigt oder abgebremst werden. Der aminfunktionale Coreaktant umfasst am meisten bevorzugt ein sekundäres Amin.
  • Der aminfunktionale Coreaktant ist vorzugsweise ein Polymer mit endständigem Amin. Zu Beispielen für solche Polymere gehören jene, die von Huntsman Chemical unter der Handelsbezeichnung "JEFFAMINE" Polypropylenglykoldiamine erhältlich sind, wie "JEFFAMINE" D-2000, jene, die von B. F. Goodrich, Cleveland, Ohio, USA, unter der Handelsbezeichnung "HYCAR" ATBN (Acylonitril-Butadien-Copolymere mit endständigem Amin) erhältlich sind, und jene, die in US-A-3,436,359 (Hubin et al.) und US-A-4,833,213 (Leir et al.) (Polyether mit endständigem Amin, und insbesondere Polytetrahydrofurandiamine) offenbart sind, aber nicht auf diese beschränkt.
  • Es können viele verschiedene Polyisocyanate bei der Herstellung der erfindungsgemäßen Bindemittel verwendet werden. "Polyisocyanat" bedeutet jede organische Verbindung, die in einem einzigen Molekül zwei oder mehr reaktive Isocyanatgruppen (-NCO) hat. Besonders brauchbare Polyisocyanate können aliphatisch, alicyclisch oder eine Kombination davon sein. Diese Definition enthält Diisocyanate, Triisocyanate, Tetraisocyanate, usw. und Mischungen davon. Am meisten bevorzugt werden aliphatische Isocyanate einschließlich cycloaliphatischer Isocyanate verwendet, um die Bewitterbarkeit zu verbessern und das Vergilben zu verringern.
  • Zu brauchbaren Polyisocyanaten gehören jene ausgewählt aus der Gruppe von Bis(4-isocyanatocyclohexyl)methan (H12MDI, erhältlich von Bayer Corp., Pittsburgh, PA, USA), Diphenylmethandiisocyanat (MDI, erhältlich von Bayer Corp., Pittsburgh, PA, USA), Isophorondiisocyanat (IPDI, erhältlich von Huels America, Piscataway, NJ, USA), Toluol-2,4-diisocyanat (TDI, erhältlich von Aldrich Chemical Co., Milwaukee, WI, USA), Hexamethylendiisocyanat (HDI, erhältlich von Aldrich Chemical Co., Milwaukee, WI, USA), m-Tetramethylxyloldiisocyanat (TMXDI, erhältlich von Aldrich Chemical Co., Milwaukee, WI, USA), und 1,3-Phenylendiisocyanat, jedoch nicht darauf beschränkt. Es können auch Mischungen von Polyisocyanaten verwendet werden. Obwohl monomere Isocyanate brauchbar sein können, sind sie jedoch nicht bevorzugt, können jedoch zur Herstellung von Addukten und Präpolymeren verwendet werden, die bevorzugt wären.
  • Zu bevorzugten Polyisocyanaten gehören Derivate der oben aufgeführten monomeren Polyisocyanate. Zu diesen Derivaten gehören Polyisocyanate, die Biuretgruppen enthalten, wie das Biuretaddukt von Hexamethylendiisocyanat (HDI), erhältlich von Bayer Corp., Pittsburgh, PA, USA, unter der Handelsbezeich nung "DESMODUR" N-100, Polyisocyanate, die Isocyanuratgruppen enthalten, wie jene, die von Bayer Corp., Pittsburgh, PA, USA, unter der Handelsbezeichnung "DESMODUR" N-3300 erhältlich sind, sowie Polyisocyanate, die Urethangruppen, Uretdiongruppen, Carbodiimidgruppen, Allophonatgruppen und dergleichen enthalten, jedoch nicht darauf beschränkt. Diese Derivate sind bevorzugt, da sie polymer sind und sehr niedrige Dampfdrücke haben und freies Isocyanatmonomer in vernachlässigbaren Mengen enthalten.
  • Es gibt viele brauchbare, im Handel erhältliche Addukte der monomeren Isocyanate. Es gibt auch viele brauchbare Addukte und Präpolymere, die derzeit nicht im Handel erhältlich sind, jedoch hergestellt werden könnten, wie beispielsweise die Reaktionsprodukte der oben genannten Asparaginesteramine mit Diisocyanaten, wie IPDI, TMXDI und dergleichen.
  • Die Stöchiometrie der Polyharnstoffreaktion basiert auf einem Verhältnis der Isocyanatäquivalente zu Äquivalenten an Asparaginesteramin und optionalem Amincoreaktant. Das Isocyanat wird vorzugsweise im Überschuss verwendet. Das Isocyanat:Amin-Verhältnis beträgt insbesondere weniger als etwa 1,15:1. Das Isocyanat:Amin-Verhältnis beträgt besonders bevorzugt weniger als etwa 1,1:1. Das Isocyanat:Amin-Verhältnis beträgt am meisten bevorzugt weniger als etwa 1,05:1. Die niedrigeren Verhältnisse von Isocyanat zu Amin können potentiell zur Bildung eines loseren Polymernetzwerks und erhöhter viskoelastischer Dämpfung in der gehärteten Beschichtung führen.
  • Um die gewünschten Stöchiometrien zu erhalten, werden die Amin- und Isocyanatkomponenten in einem Volumenverhältnis von vorzugsweise etwa 1:1 bis etwa 5:1 Amin- zu Isocyanatkomponenten kombiniert. Das Verhältnis liegt insbesondere in einem Bereich von etwa 1:1 bis 3:1 Amin- zu Isocyanatkomponenten. Besonders bevorzugte Verhältnisse sind 2:1 und 3:1 Amin- zu Isocyanatkomponenten.
  • Die erfindungsgemäßen Fahrbahnmarkierungszusammensetzungen werden als Zweikomponentensysteme bezeichnet, die ein oder mehrere Asparaginesteramine, gegebenenfalls gemischt mit einem oder mehreren aminfunktionalen Coreaktanten (die von einem Asparaginesteramin verschieden sind), und ein oder mehrere Polyisocyanate als das reaktive Zweikomponentensystem enthalten. Es können weitere Komponenten, wie verschiedene Additive, verwendet werden, um erwünschte Ergebnisse zu erreichen. Bewitterungsadditive, wie UV-Absorbentien, gehinderte Amin-Lichtstabilisatoren, Antioxidantien, Dispergier- und Mahlhilfsmittel, Benetzungsmittel, Schlagzähigkeitsmodifizierungsmittel (z. B. Kautschuk-Zähmacher, wie jene, die unter den Handelsbezeichnungen "PARALOID" 2691 und EXL-2330 von Rohm and Haas erhältlich sind), Entschäumer, Suspensionsstabilisatoren, Biozide können beispielsweise zu dem Bindemittel gegeben werden, um die Verarbeitbarkeit und die Gesamtdauerhaftigkeit der erfindungsgemäßen Markierungen zu verbessern. Es sind, was von Bedeutung ist, jedoch keine Katalysatoren erforderlich, um die wünschenswerten verkehrsfreien Zeiten zu erreichen.
  • Pigmente (z. B. TiO2), Füllstoffe (z. B. Talkum, CaCO3, Ton, Keramikmikrokugeln, hohle Polymermikrokugeln und hohle Glasmikrokugeln), Streckungsmittel, Verdünnungsmittel, Plastifizierungsmittel, Nivelliermittel und oberflächenaktive Mittel können auch verwendet werden. Pigmente verleihen erwünschte Eigenschaften des visuellen Aussehens während des Tages und tragen zur Reflexionsleistung der Markierung bei Nacht bei. Füllstoffe und Streckungsmittel können verwendet werden, um die Fließeigenschaften der flüssigen Beschichtung zu modifizieren und mit Materialien mit günstigerem Kosten-zu-Volumen-Verhältnis zu dem Massenvolumen der fertigen Beschichtung beizutragen. Füllstoffe, wie Kera mikmikrokugeln, hohle Polymermikrokugeln (wie jene, die unter der Handelsbezeichnung EXPANCEL 551 DE von Akzo Nobel, Duluth, GA, USA, erhältlich sind), und hohle Glasmikrokugeln (wie jene, die unter der Handelsbezeichnung K37 von Minnesota Mining and Manufacturing Co., St. Paul, MN, USA) erhältlich sind, sind besonders brauchbar und können auch zugesetzt werden, um ein spezielles Volumenverhältnis für die beiden Komponenten dieser Zweikomponentenbeschichtung zu erreichen, ohne die reaktive Chemie der Beschichtungsmischung signifikant zu beeinflussen. Die Pigmente, Füllstoffe und Streckungsmittel können einen erheblichen Einfluss auf die ungehärtete Formulierung und Dichte des gehärteten Films, das Filmhärtungsprofil und die verkehrsfreie Zeit, den Modul des gehärteten Films, die Beschichtungsadhäsion an einem Substrat, die Reaktion auf Temperaturwechsel, die mögliche Schrumpfung der Polymerkomponenten, den Abrieb und die Dauerhaftigkeit der Beschichtung haben. Typischerweise bestehen mindestens etwa 15 Gew.-% der fertigen getrockneten Beschichtung aus derartigem unlöslichem Material, insbesondere mindestens etwa 20 Gew.-% und am meisten bevorzugt mindestens etwa 25 Gew.-%. In einigen Fällen können etwa 30 Gew.-% bis etwa 42 Gew.-% Pigmente, Füllstoffe und Streckungsmittel verwendet werden.
  • Ein besonders bevorzugter Füllstofftyp ist hohle Glasmikrokugeln. Hohle Glasmikrokugeln sind besonders vorteilhaft, weil sie hervorragende Wärmebeständigkeit zeigen und einen minimalen Einfluss auf die Viskosität und Dichte der Dispersion haben. Sie werden auch rasch und leicht durch Mischen mit niedriger Scherung dispergiert und zeigen relativ wenig Abrieb im Gerät. Die Mikrokugeln werden zur erhöhten Lagerbeständigkeit vorzugsweise in die Aminkomponente eingebracht. Feldversuche haben gezeigt, dass Einbringung von mindestens etwa 30 Vol.% und vorzugsweise etwa 30 Vol.% bis etwa 40 Vol.% hohlen Glasmikrokugeln in erfindungsgemäße Fahrbahnmarkierungszusammensetzungen zu verbesserter Dauerhaftigkeit der Fahrbahnmarkierung führen.
  • Die erfindungsgemäßen Fahrbahnmarkierungszusammensetzungen werden in der Regel direkt mit oder ohne eine Grundierungsschicht auf eine Verkehr tragende Oberfläche oder auf ein Substrat aufgebracht, das auf die Oberfläche aufgebracht wird. Dies kann unter Verwendung von Sprühbeschichtungstechniken erfolgen. Die Aminkomponente und die Isocyanatkomponente werden typischerweise mit einer Sprühvorrichtung aufgebracht, die das Kombinieren der Komponenten unmittelbar vor Austreten aus der Vorrichtung erlaubt. Es können beispielsweise luftfreie Hochdruck-Zweikomponenten-Aufprallmischsysteme verwendet werden. Es können auch Mehrkomponenten-Sprühvorrichtungen mit einem statischen Mischer verwendet werden.
  • Ein Beispiel für ein luftfreies Aufprall-Misch-Sprühsystem wird von Gusmer (1 Gusmer Drive, Lakewood, NJ, USA, 08701-0110) hergestellt. Das System beinhaltet die folgenden Komponenten: einen Proportionierabschnitt, der die beiden Komponenten dosiert und den Druck auf mehr als etwa 1500 psi (10,34 MPa) erhöht; einen Heizabschnitt, um die Temperaturen der beiden Komponenten (vorzugsweise unabhängig) zu erhöhen, um die Viskosität zu steuern, und eine Aufprall-Sprühpistole, welche die beiden Komponenten kombiniert und das Mischen unmittelbar vor der Zerstäubung erlaubt. Andere Hersteller für Aufprallsysteme sind Binks Manufacturing (Chicago, Illinois, USA) und Glas-Craft (Indianapolis, IN, USA).
  • Ein weiteres System, das zum Aufbringen von Polyharnstoffbeschichtungen brauchbar ist, ist ein System, welches ein statisches Mischrohr verwendet, um Vermischen der beiden Komponenten zu erreichen. Das System ist demjenigen der Aufpralleinheit insofern ähnlich, dass es die Komponenten dosiert, Druck aufbaut und sie erwärmt. An der Sprühpistole werden die Komponenten je doch kombiniert und durch eine Länge eines Rohrmaterials gepumpt, das Elemente enthält, die zum Mischen der Komponenten vor dem Zerstäuben vorgesehen sind. Dieses System erfordert periodisches Spülen des statischen Mischrohrs, um Ansammlung von gehärtetem Polyharnstoff zu verhindern, der die Sprühpistole verstopfen könnte. Ein Beispiel für eine derartige Sprühpistole ist eine Binks Modell 43P.
  • Das Viskositätsverhalten von jeder der beiden Komponenten ist für Zweikomponenten-Sprühbeschichtungsverfahren wichtig. Beim Aufprallmischen sollten die Viskositäten beider Komponenten bei hohen Schergeschwindigkeiten so nahe wie möglich aneinander liegen, um adäquates Mischen und gleichförmiges Härten zu ermöglichen. Das statische Mehrkomponenten-Misch/Sprühsystem scheint bei Viskositätsunterschieden zwischen den beiden Komponenten gutmütiger zu sein. Die Charakterisierung der Viskositäten als Funktionen der Schergeschwindigkeit und Temperatur können die Entscheidung hinsichtlich des Ausgangspunkts von Temperaturen und Drücken der Beschichtungen in den Zweikomponenten-Sprühgerätestraßen erleichtern.
  • Die erfindungsgemäßen flüssigen Fahrbahnmarkierungszusammensetzungen liefern Polyharnstoffbeschichtungen mit konventioneller Sichtbarkeit bei Tageslicht. Sie können auch als Bindemittel wirken, um reflektierende optische Elemente zu verankern. Die reflektierenden Elemente haben allgemein nicht mehr als etwa einige Millimeter Durchmesser. Wenn die reflektierenden Elemente Glas- oder Keramikmikrokugeln sind, liegen sie in der Regel im Bereich von etwa 200 μm bis etwa 600 μm.
  • Die reflektierenden Elemente können in Form von Glasperlen vorliegen (auch als Mikrokugeln oder Mikrokugellinsen bezeichnet), die vorzugsweise lichtdurchlässig sind. Die chemische Behandlung der Perlenoberflächen, wie mit einer Organochromverbindung, kann, wie in der Technik bekannt ist, zur Erhöhung der Adhäsion von Harz an Glas verwendet werden. Andere chemische Kopplungsmittel wie Silane, Titanate und Zirkonate sind auch bekannt. Fluorkohlenstoffbehandlung der Glasperlen kann auch dazu beitragen, ein im Wesentlichen gleichförmiges halbkugelförmiges Einsinken der Perle zu erreichen.
  • Nach dem Sprühen aufgebrachte Elemente in Form von Glas- oder Keramikperlen oder Mikrokugeln können zusätzlich zu ihrer Bereitstellung von Reflexionsvermögen des Nachts auch als Bindefüllstoff verwendet werden. Sie können ähnlich wie Mineralpartikelmaterialien auf der Verschleißfläche eines beschichteten Schleifmittels (Sandpapier) wirken, um das Polymerbindemittel vor einwirkenden Belastungen zu schützen. Der durchschnittliche Durchmesser der Mikrokugeln, die Aufbringungs- oder Bedeckungsrate (Gewicht pro Flächeneinheit) und die Oberflächenchemie (z. B. Behandlung mit Kupplungsmittel) beeinflussen die Dauerhaftigkeit der Fahrbahnmarkierungen. Typische Bedeckungsraten entsprechen vorzugsweise mehr als etwa 4 lb Glasperlen pro Gallon (479 g/L) Bindemittel, insbesondere mehr als etwa 10 lb pro Gallon (1200 g/L). Dies entspricht vorzugsweise mehr als etwa 6 g Glasperlen auf 300 cm2 Fläche für einen 15 mil (0,4 mm) dicken gehärteten Film, insbesondere mehr als etwa 15 g Glasperlen auf 300 cm2 Fläche für einen 0,4 mm dicken gehärteten Film.
  • Die reflektierenden Elemente können auch in Form von Keramikmikrokugeln (d. h. Kugeln) vorliegen. "Keramik" wird hier zur Bezeichnung anorganischer Materialien verwendet, die entweder kristallin (ein Material mit einer strukturierten Atomstruktur, die ausreicht, um ein charakteristisches Röntgenbeugungsspektrum zu erzeugen) oder amorph (ein Material ohne Weitbereichordnung in seiner Atomstruktur, wie durch das Fehlen eines charakteristischen Röntgenbeugungsspektrums deutlich wird) sein können. Amorphe Keramiken sind gebräuchlicher als Gläser. Keramikperlen sind bevorzugt, weil sie dauerhafter und verschleißbeständiger als Glasmikrokugeln sind. Vor der vorliegenden Erfindung konnten Keramikperlen in gemahlten Fahrbahnmarkierungen nicht praktisch eingesetzt werden, weil das Bindemittel nicht ausreichend dauerhaft und an Straßen haftend war.
  • Die Keramikperlen oder anderen reflektierenden Mikrokugeln können direkt auf das Bindemittel aufgebracht werden, das als Beschichtung auf der Fahrbahnoberfläche vorliegt. Sie können alternativ in Form von retroreflektierenden optischen Elementen mit vertikalen Oberflächen aufgebracht werden. Vertikale Oberflächen liefern eine bessere Orientierung für die Retroreflexion. Sie können auch den Aufbau einer Wasserschicht über der retroreflektierenden Oberfläche während Regenwetter verhindern, die ansonsten den Retroreflexionsmechanismus stören könnte.
  • Ein Typ derartiger retroreflektierender optischer Elemente mit vertikalen Oberflächen ist aus Pellets zusammengesetzt, die einen thermoplastischen Kern mit einer Beschichtung aus Keramikperlen umfassen. Derartige reflektierende Elemente und Verfahren zu ihrer Herstellung sind in der veröffentlichten internationalen Patentschrift Nr. WO-A-97/03814 (Bescup et al.) offenbart. Es sind Schichtelemente unter Verwendung von Polymeren mit unterschiedlichem Schmelzverhalten verwendet worden. Zu den retroreflektierenden Elementen gehören mehrere optische Elemente, wie Glas- oder Keramikmikrokugeln, die teilweise in die vertikalen Oberflächen der Zentralschicht des Kerns des reflektierenden Elements eingebettet sind. Derartige reflektierende Elemente und Verfahren zu ihrer Herstellung sind in der Internationalen Patentschrift Nr. WO-A-97/28471 offenbart.
  • Es können rein keramische retroreflektierende Elemente mit deutlich verbesserter Beständigkeit gegen Verschleiß und Auswirkungen von Bewitterung hergestellt werden, die in Fahrbahnmarkierungen verwendet werden können. Diese retroreflektierenden Elemente sind vorzugsweise frei von Metallen und Polymermaterialien. Diese retroreflektierenden Elemente sind aus einem opazifizierten Keramikkern und optischen Keramikelementen zusammengesetzt, die teilweise in den Kern eingebettet sind. Die opazifizierten Keramikkerne dieser reflektierenden optischen Kompositelemente enthalten oft eine Mischung aus amorphen (Glas) und kristallinen Phasen. Das retroreflektierende Element kann eine unregelmäßige Form haben oder in Form einer Kugel, Scheibe, Fliese, usw. vorliegen. Der diffus reflektierende Keramikkern liefert in Kombination mit den in die Oberfläche eingebetteten transparenten, optischen Elementen ein überraschend hell retroreflektierendes Element ohne die graue Verfärbung und die Korrosionsanfälligkeit, die mit Metallspiegelreflektoren verbunden sind. Derartige reflektierende Elemente und Verfahren zu ihrer Herstellung sind in der US-Patentanmeldung mit dem Aktenzeichen Nr. 08/591,570 offenbart.
  • Es sind viele andere Varianten von retroreflektierenden Kompositelementen oder von Aggregaten bekannt, die einen Polymerkern mit in die Kernoberfläche eingebetteten optischen Elementen aufweisen. Siehe beispielsweise US-A-3,252,376; US-A-3,254,563; US-A-4,983,458; US-A-4,072,403; U5-A-4,652,172 und US-A-5,268,789. Andere retroreflektierende Elemente können mit einem Keramikkern und optischen Glaselementen mit einer Metallspiegelbeschichtung aufgebaut werden. Siehe beispielsweise US-A-3,043,196; US-A-3,175,935; US-A-3,556,637; US-A-3,274,888 und US-A-3,486,952 sowie EP-Veröffentlichung Nr. 0 322 671. Retroreflektierende Keramikelemente zeigen in der Regel größere Beständigkeit gegenüber Bewitterung und Verschleiß. Einige bekannte Ausführungsformen enthalten auch optische Elemente, die über den Kern verteilt sind. Der Kern kann eine unregelmäßige Form sein oder kann regelmäßig geformt sein, z. B. Kugeln, Tetraeder, Scheiben, quadratische Fliesen, usw.
  • Retroreflektierende Elemente sind vorteilhaft, weil sie in preisgünstige gemalte Markierungen eingebettet werden können.
  • Unabhängig von dem Typ des reflektierenden Elements können sie durch Aufschwimmbeschichten auf die gesamte Oberfläche des auf die Fahrbahnoberfläche aufgemalten Bindemittels aufgebracht werden, dies kann bei Keramikmikrokugeln jedoch recht teuer sein. Alternativ können die reflektierenden Elemente nur in dem wirksamsten optischen Teil der Oberfläche angeordnet werden. Die Kontrolle der Anordnung des Elements auf flüssigen Markierungen ist wichtig, um dauerhaft hohes Retroreflexionsvermögen zu erhalten. Sie können auch einer der Komponenten vor dem Mischen zugefügt werden und beispielsweise während des Sprühbeschichtens der Zweikomponentenflüssigkeit aufgebracht werden.
  • Es ist auch wichtig, den Mechanismus des Einbettens von Elementen, ob in Form von beschichteten Pellets oder Mikrokugeln, zu verstehen. Oberflächenbehandlungen können verwendet werden, um geeignetes Einsinken, nicht zu tief und nicht zu flach, zu erhalten und die Benetzung und Kapillarwirkung der Beschichtung an den Seiten des Elements aufwärts zu kontrollieren. Die Härtungsrheologie des Zweikomponenten-Bindemittelsystems kann die Fähigkeit zu Einsinken von Elementen auch beeinflussen.
  • Einige Ausführungsformen und bevorzugte Ausführungsformen der vorliegenden Erfindung sind in den folgenden Punkten zusammengefasst:
    • 1. Fahrbahnmarkierung, umfassend: Bindemittel mit Polyharnstoffgruppen, wobei das Bindemittel aus einer Beschichtungszusammensetzung hergestellt ist, umfassend: ein oder mehrere aliphatische sekundäre Amine; ein oder mehrere Polyisocyanate; und Material ausgewählt aus der Gruppe bestehend aus Füllstoffen, Streckungsmitteln, Pigmenten und Kombinationen davon; und reflektierende Elemente, wobei die Fahrbahnmarkierung ein beibehaltenes Reflexionsvermögen von mindestens etwa 100 mcd/m2/Lux nach mindestens etwa 2 Jahren Gebrauch als Straßenverkehrsmarkierung in Längsrichtung hat, gemessen nach ASTM E 1710-95.
    • 2. Fahrbahnmarkierung nach Punkt 1, wobei das eine oder die mehreren aliphatischen sekundären Amine ein Asparaginesteramin umfassen.
    • 3. Fahrbahnmarkierung nach Punkt 1, wobei die Beschichtungszusammensetzung eine Mindestaufbringungstemperatur von mindestens etwa 7 °C und eine verkehrsfreie Zeit von nicht mehr als etwa 5 Minuten hat.
    • 4. Fahrbahnmarkierung nach Punkt 1, wobei die reflektierenden Elemente Keramikmikrokugeln umfassen.
    • 5. Fahrbahnmarkierung nach Punkt 1, wobei die Beschichtungszusammensetzung im Wesentlichen frei von flüchtigen organischen Komponenten ist.
    • 6. Fahrbahnmarkierung nach Punkt 1, wobei die Beschichtungszusammensetzung eine Offenzeit von mindestens etwa 30 Sekunden hat.
    • 7. Fahrbahnmarkierung nach Punkt 1, wobei der Füllstoff hohle Glasmikrokugeln umfasst.
    • 8. Fahrbahnmarkierung nach Punkt 1, die Material ausgewählt aus der Gruppe von Füllstoffen, Streckungsmitteln, Pigmenten und Kombinationen davon in einer Menge von mindestens etwa 15 Gew.-% um fasst, bezogen auf das Gewicht der fertigen getrockneten Beschichtung.
    • 9. Fahrbahnmarkierung nach Punkt 8, die Material ausgewählt aus der Gruppe von Füllstoffen, Streckungsmitteln, Pigmenten und Kombinationen davon in einer Menge von etwa 30 Gew.-% bis etwa 42 Gew.-% umfasst, bezogen auf das Gewicht der fertigen getrockneten Beschichtung.
    • 10. Fahrbahnmarkierung nach Punkt 1, wobei das Bindemittel aus einer sprühbaren Zweikomponenten-Beschichtungszusammensetzung hergestellt ist, die im Wesentlichen frei von flüchtigen organischen Komponenten ist und eine Aminkomponente, die ein oder mehrere Asparaginesteramine umfasst, und eine Isocyanatkomponente umfasst, die ein oder mehrere Polyisocyanate umfasst, wobei mindestens eine der Aminkomponente und der Isocyanatkomponente ferner Material ausgewählt aus der Gruppe von Füllstoffen, Streckungsmitteln, Pigmenten und Kombinationen davon umfasst, und die Beschichtungszusammensetzung eine Mindestaufbringungstemperatur von mindestens etwa 7 °C und eine verkehrsfreie Zeit von nicht mehr als etwa 5 Minuten hat.
    • 11. Verkehr tragende Oberfläche, die darauf eine Fahrbahnmarkierung nach Punkt 1 aufweist.
    • 12. Verkehr tragende Oberfläche, die darauf eine Fahrbahnmarkierung nach Punkt 10 aufweist.
    • 13. Vorgebildete Fahrbahnmarkierung, die ein mit einer Fahrbahnmarkierung nach Punkt 10 beschichtetes Substrat umfasst.
    • 14. Verfahren zur Herstellung einer Fahrbahnmarkierung, umfassend: Bereitstellen einer Aminkomponente, die ein oder mehrere aliphatische sekundäre Amine umfasst; Bereitstellen einer Isocyanatkomponente, die ein oder mehrere Polyisocyanate umfasst; Bereitstellen von Material ausgewählt aus der Gruppe von Füllstoffen, Streckungsmitteln, Pigmenten und Kombinationen davon in entweder der Aminkomponente, der Isocyanatkomponente oder beiden; Kombinieren der Aminkomponente und der Isocyanatkomponente unter Bildung einer Beschichtungszusammensetzung mit einer Mindestaufbringungstemperatur von mindestens etwa 7 °C und einer verkehrsfreien Zeit von nicht mehr als etwa 5 Minuten; Aufbringen der Beschichtungszusammensetzung auf eine Oberfläche; und Aufbringen reflektierender Elemente auf die Zusammensetzung, wobei die Oberfläche mit der Zusammensetzung beschichtet ist, zur Bildung einer Fahrbahnmarkierung mit reflektierenden Elementen mit einem beibehaltenen Reflexionsvermögen von mindestens etwa 100 mcd/m2/Lux nach mindestens etwa 2 Jahren Gebrauch als Straßenverkehrsmarkierung in Längsrichtung, gemessen nach ASTM E 1710-95.
    • 15. Verfahren nach Punkt 14, wobei die Oberfläche eine Verkehr tragende Oberfläche ist.
    • 16. Verfahren nach Punkt 14, wobei die Stufe des Aufbringens der Beschichtungszusammensetzung das Sprühen der Beschichtungszusammensetzung umfasst.
    • 17. Verfahren nach Punkt 14, wobei die Amin- und Isocyanatkomponenten in einem Volumenverhältnis von etwa 2:1 Amin zu Isocyanat kombiniert werden.
    • 18. Verfahren nach Punkt 14, wobei die Amin- und Isocyanatkomponenten in einem Volumenverhältnis von etwa 3:1 Amin zu Isocyanat kombiniert werden.
    • 19. Verfahren nach Punkt 14, umfassend: Bereitstellen einer Aminkomponente, die ein oder mehrere Asparaginesteramine und gegebenenfalls einen oder mehrere aminfunktionale Coreaktanten umfasst; Bereitstellen einer Isocyanatkomponente, die ein oder mehrere Polyisocyanate umfasst; Bereitstellen von Material ausgewählt aus der Gruppe von Füllstoffen, Streckungsmitteln, Pigmenten und Kombinationen davon in entweder der Aminkomponente, der Isocyanatkomponente oder beiden; Kombinieren der Aminkomponente und der Isocyanatkomponente unter Bildung einer Beschichtungszusammensetzung mit einer Mindestaufbringungstemperatur von mindestens etwa 7 °C und einer verkehrsfreien Zeit von nicht mehr als etwa 5 Minuten; Sprühen der Beschichtungszusammensetzung auf eine Verkehr tragende Oberfläche; und Aufbringen reflektierender Elemente auf die Zusammensetzung, wobei die Verkehr tragende Oberfläche mit der Zusammensetzung beschichtet ist, unter Bildung einer Fahrbahnmarkierung.
  • Die folgenden Beispiele werden gegeben, um die verschiedenen speziellen und bevorzugten Ausführungsformen und Techniken weiter zu illustrieren. Es sei jedoch darauf hingewiesen, dass viele Variationen und Modifikationen vorgenommen werden können, während man innerhalb des Geltungsbereichs der vorliegenden Erfindung bleibt. Die in diesen Beispielen genannten speziellen Materialien und deren Mengen sowie andere Bedingungen und Details sind beispielsweise so zu interpretieren, dass sie allgemein in der Technik verwendet werden, und sollen nicht als die Erfindung übermäßig einschränkend angesehen werden.
  • Beispiele
  • Das folgende Verfahren ist typischerweise brauchbar zur Herstellung der Aminkomponente von erfindungsgemäßen Zweikomponentenzusammensetzungen
  • Pigmentdispersionsverfahren
    • Stufe 1: In das geeignet bemessene Mischgefäß wurde eine Hälfte oder weniger, bezogen auf das Gewicht, von der Aminkomponente (vorzugsweise die viskoseste) und das Dispergiermittel, falls verwendet, eingebracht. Es wurde eine Minute mit geringer Scherung (500 bis 1000 UpM) gemischt, um zu vermischen. Es wurde TiO2-Pigment, falls verwendet, in zwei Portionen zugegeben. Es wurde mehrere Minuten lang mit einer Laufschaufel vom Cowles-Typ mit niedriger Scherung (500 bis 1000 UpM) bis zur gleichförmigen Konsistenz gemischt.
    • Stufe 2: Es wurden weitere Streckungsmittel (diejenigen, die nicht scherempfindlich sind) in mehreren Portionen in das Mischgefäß gegeben und anschließend gemischt, um Klumpenbildung zu vermeiden.
    • Stufe 3: Nachdem alle nicht scherempfindlichen Streckungsmitteln zugegeben worden waren, wurde mit hoher Scherung gemischt, um agglomeriertes Pigment und Streckungsmittel zu dispergieren. Hierfür musste in der Regel die geeignet bemessene Schaufel vom Cowles-Typ (z. B. 4 Inch (10,2 cm) Durchmesser zur Verwendung in 5 Gallon (19 L) Kübeln) mit 2000 bis 3000 Umdrehungen pro Minute (UpM) im Verlauf von 20 bis 60 Minuten oder länger verwendet werden. Die optimale UpM hängt von der Chargengröße, der Viskosität und den Komponententypen ab. Zusätzliche Amin/Flüssigkomponente kann nach Bedarf zugegeben werden, um eine Viskosität beizubehalten, die zum Mahlen geeignet ist.
    • Die Chargentemperatur stieg auf 120°F bis 140°F (49°C bis 60°C). Zur Überwachung des Fortschreitens der Dispersion wurde ein Mahlmaß vom Hegman-Typ verwendet. Es wurde in der Regel Mahlen auf eine Partikelgröße von weniger als einem mil erreicht, was auf der PC-Mahlskala einer 7,0 entspricht.
    • Stufe 4: An diesem Zeitpunkt wurden restliches Amin und andere Flüssigkeiten unter Mischen mit niedriger Scherung zugefügt.
    • Stufe 5: Scherempfindliche Streckungsmittel, wie die hohlen Glas- oder Polymermikrokugeln, wurden portionsweise nach Bedarf zugefügt, um Klumpenbildung zu vermeiden, und mit einer Schaufel mit niedriger Scherung, wie einem Propeller oder Mischer vom Jiffy-Typ, und UpM-Werten von 500 oder weniger für 10 bis 15 Minuten dispergiert.
  • Zur Herstellung der erfindungsgemäßen Beispiele wurden die folgenden Materialien verwendet.
  • Figure 00300001
  • Figure 00310001
  • Die folgenden Beispiele wurden hergestellt.
  • Figure 00310002
  • Figure 00320001
  • Figure 00330001
  • Die Beschichtungen wurden aus Beispiel 1 hergestellt, indem die pigmentierte Aminkomponente in eine Kammer und die Isocyanatkomponente in die andere Kammer einer Zweikammerspritze eingebracht wurden, die beiden Komponenten gleichzeitig durch ein statisches Mischrohr injiziert wurden, um die Amin- und Isocyanatkomponenten zu mischen, und ein Rakel verwendet wurde, um die reaktive Mischung als Beschichtung auf Metall- und Glastestplatten aufzubringen. Die Beschichtungen wurden auch auf Papiertrennliner aufgebracht und härten gelassen. Die Zieldicke betrug 0,38 mm.
  • Die Beschichtungen wurden aus großen Chargen (d. h. 20 Litern) der Beispiele 2 bis 10 hergestellt, indem die gefüllten Amin- und Isocyanatkomponenten in die separaten Reservoirkammern eines Airtech Zweikomponentensprühsystems eingebracht wurden und die Beschichtung mit einer statischen Mischsprühpistole Binks 43P auf eine Fahrbahnfläche gesprüht wurde. Die Beschichtungen wurden auch durch Sprühen auf Metalltestplatten und Papiertrennliner aufgebracht und härten gelassen. Die Zieldicke betrug 0,38 mm.
  • Aus den Beispielen 11 und 12 wurden Beschichtungen hergestellt, indem die Aminkomponenten wie in dem Pigmentdispersionsverfahren angegeben gemischt wurden. Die angegebene Menge der Amin- und Isocyanatkomponenten wurde in ein Mischgefäß gegeben und durch Mischen mit niedriger Scherung gemischt. Die reaktive Mischung wurde mit einem Rakel als Beschichtung auf Papiertrennliner, Metall- oder Glastestplatten aufgebracht. Die Zieldicke betrug 0,38 mm.
  • Bei allen Proben wurde das Härtungsprofil in Intervallen von 30 Sekunden aufgezeichnet, indem ein Zungendepressor über die Probe gezogen und die Fingerklebrigkeit bewertet wurde. Die verkehrsfreie Zeit war als jene Zeit definiert, zu der die Härtung bis zu dem Punkt abgelaufen war, an dem das Material nicht länger floss und einen kohärenten Film gebildet hatte.
  • Testen
  • Die folgenden Daten sind zur Charakterisierung der Leistung, der Härtungsprofile und der Dauerhaftigkeit von erfindungsgemäßen Beschichtungen nützlich: Trockenzeit oder verkehrsfreie Zeit (Minuten), Abriebverlust (Gramm) und Retroreflexionsleistung (mcd/m2/lx) von Markierungen mit den retroreflektierenden optischen Elementen.
  • Die Abriebbeständigkeit der Beschichtungen kann mit einem Taber-Abraser gemessen werden. Proben von Beispiel 7, die als Beschichtung auf Aluminiumtestplatten aufgebracht worden waren, wurden gewogen und danach 2000 Zyklen mit 500 g Last mit einem CS-17-Abraderkörper bei Umgebungslaborbedingungen abgerieben. Nach der Abrasion wurde das Verschleißabriebmaterial von den Proben abgewischt und die Proben erneut gewogen. Der durchschnittliche Gewichtsverlust in Gramm betrug 0,0472, verglichen mit einem Verlust von 0,112 Gramm für im Handel erhältliche Verkehrsfarbe auf Wasserbasis.
  • Fahrbahnmarkierungen des in dieser Erfindung offenbarten Typs werden zur Definition von Fahrspuren verwendet und daher als kontinuierliche Linien am Rand einer Spur oder in gestrichelten Linien zur Trennung von Fahrspuren aufgebracht, was als unterbrochene Linien bezeichnet wird. Diese Markierungen werden als Markierungen in Längsrichtung bezeichnet, da sie parallel zur Verkehrsrichtung verlaufen. Bei echtem Einsatz wird ein relativ kleiner Prozentsatz der die Straße benutzenden Fahrzeuge diese Markierungen wirklich überqueren.
  • Es ist zur Untersuchung der Verschleißeigenschaften einer Verkehrsmarkierung üblich, das Material in einem quer verlaufenden Muster auf eine Straßenoberfläche aufzubringen, das heißt, es wird quer über die Fahrspuren und rechtwinklig zu der Verkehrsrichtung aufgebracht. Auf diese Weise trifft jedes Fahrzeug einen Abschnitt der Testlinie. Das Verschleißmuster, welches erzeugt wird, kann ferner als "Reifenspur", oder jener Abschnitt der Linie direkt in dem Weg eines Fahrzeugreifens, der dem höchsten Verschleiß ausgesetzt ist, oder als "Randlinie" beschrieben werden, die Bereiche näher an der Grenze der Fahrspur bezeichnet, die weniger häufig getroffen werden. Es ist durch Analyse der Leistung einer auf diese Weise aufgebrachten Testmarkierung möglich, die Verschleißeigenschaften einer Markierung in einem beschleunigten Zeitrahmen zu untersuchen, um eine Abschätzung der tatsächlichen Dauerhaftigkeit zu liefern.
  • Es wurde ein Test dieses Typs aufgebaut, um die Leistung der vorliegenden Markierung mit zwei im Handel erhältlichen Straßenmarkierungsprodukten zu vergleichen. Diese wurden als Kontrollen oder Referenzmaterialien gewählt, da sie bekanntermaßen hervorragende Dauerhaftigkeit und mehr als 2 Jahre Gebrauchszeit als Markierungen in Längsrichtungen lieferten. Die angegebenen Daten sind Reflexionsvermögen, gemessen gemäß ASTM E 1710-95a und genommen in der Reifenspur oder dem Bereich des höchsten Verschleißes. Wie aus der Tabelle ersichtlich ist, schneidet das vorliegende Material im Vergleich mit den handelsüblichen Produkten trotz der niedrigeren Beschichtungsdicke recht vorteilhaft ab.
    Figure 00360001
    Figure 00370001
    • * Messung wurde nach 3 Monaten vorgenommen.
  • Die Proben 1 bis 10 wurden wie oben beschrieben aufgebracht und bewertet. Die höchste Dauerhaftigkeit (definiert als beibehaltene Verankerung an den Substraten) wurde unter Verwendung jener Formulierungen erhalten, die eine hohe Beladung an hohlen Glasbläschen/Mikrokugeln enthielten. Beispiel 6, das 37 Vol.% Glasbläschen enthielt, verhielt sich beispielsweise besser als Beispiel 5, das auf den gleichen Coreaktanten basierte, jedoch nur 10 Vol.% Glasbläschen enthielt. Beispiel 10, das 24 Vol.% Glasbläschen enthielt, zeigte bessere Dauerhaftigkeit, verglichen mit Beispiel 9, in das identische Coreaktanten eingebaut waren, das jedoch keine Glasbläschen enthielt. Der "JEFFAMINE" Coreaktant in den Beispielen 9 und 10 und das "HYCAR" Copolymer mit endständigem Amin erhöhten beide die Flexibilität und Reißfestigkeit der erzeugten Beschichtungen. Die Auswahl des Amins kann die Dauerhaftigkeit der Beschichtung auch beeinflussen. Beispiel 8 zeigte verglichen mit Beispiel 2 bessere Dauerhaftigkeit. In diesem Fall wurde gefunden, dass der in Beispiel 8 unter Verwendung der steiferen XP-7053 und XP-7059 Asparaginesteraminkomponenten gebildete Film mit höherem Modul verbesserte Dauerhaftigkeitsleistung verlieh, verglichen mit Beispiel 2, das auf dem flexibleren XP-7109 Amin basierte. Die Zugabe des Dispergiermittels in Beispiel 8 verringerte die Viskosität und verbesserte die Lagerbarkeit der gefüllten Aminkomponente.
  • Bei tatsächlichem Gebrauch wurden Markierungen auf Basis der Beispiele 2 und 8 bei –8°C aufgebracht, und es wurde gefunden, dass die Beschichtung mit verkehrsfreien Zeiten von weniger als 5 Minuten härtete.

Claims (17)

  1. Fahrbahnmarkierung, umfassend: Bindemittel mit Polyharnstoffgruppen, wobei das Bindemittel aus einer Beschichtungszusammensetzung hergestellt ist, umfassend: ein oder mehrere aliphatische sekundäre Amine; ein oder mehrere Polyisocyanate; und Material ausgewählt aus der Gruppe bestehend aus Füllstoffen, Streckungsmitteln, Pigmenten und Kombinationen davon; und reflektierende Elemente, wobei die Fahrbahnmarkierung ein beibehaltenes Reflexionsvermögen von mindestens etwa 100 mcd/m2/Lux nach mindestens etwa 2 Jahren Gebrauch als Straflenverkehrsmarkierung in Längsrichtung hat, gemessen nach ASTM E 1710-95.
  2. Fahrbahnmarkierung nach Anspruch 1, wobei das eine oder die mehreren aliphatischen sekundären Amine ein Asparaginesteramin umfassen.
  3. Fahrbahnmarkierung nach Anspruch 1, wobei die Beschichtungszusammensetzung eine Mindestaufbringungstemperatur von mindestens etwa 7 °C und eine verkehrsfreie Zeit von nicht mehr als etwa 5 Minuten hat.
  4. Fahrbahnmarkierung nach Anspruch 1, wobei die Beschichtungszusammensetzung eine Offenzeit von mindestens etwa 30 Sekunden hat.
  5. Fahrbahnmarkierung nach Anspruch 1, wobei der Füllstoff hohle Glasmikrokugeln umfasst.
  6. Fahrbahnmarkierung nach Anspruch 1, die Material ausgewählt aus der Gruppe von Füllstoffen, Streckungsmitteln, Pigmenten und Kombinationen davon in einer Menge von mindestens etwa 15 Gew.-% umfasst, bezogen auf das Gewicht der fertigen getrockneten Beschichtung.
  7. Fahrbahnmarkierung nach Anspruch 6, die Material ausgewählt aus der Gruppe von Füllstoffen, Streckungsmitteln, Pigmenten und Kombinationen davon in einer Menge von etwa 30 Gew.-% bis etwa 42 Gew.-% umfasst, bezogen auf das Gewicht der fertigen getrockneten Beschichtung.
  8. Fahrbahnmarkierung nach Anspruch 1, wobei das Bindemittel aus einer sprühbaren Zweikomponenten-Beschichtungszusammensetzung hergestellt ist, die im Wesentlichen frei von flüchtigen organischen Komponenten ist und eine Aminkomponente, die ein oder mehrere Asparaginesteramine umfasst, und eine Isocyanatkomponente umfasst, die ein oder mehrere Polyisocyanate umfasst, wobei mindestens eine der Aminkomponente und der Isocyanatkomponente ferner Material ausgewählt aus der Gruppe von Füllstoffen, Streckungsmitteln, Pigmenten und Kombinationen davon umfasst, und die Beschichtungszusammensetzung eine Mindestaufbringungstemperatur von mindestens etwa 7 °C und eine verkehrsfreie Zeit von nicht mehr als etwa 5 Minuten hat.
  9. Fahrbahnmarkierung nach Anspruch 1, die im Wesentlichen frei von flüchtigen organischen Komponenten ist.
  10. Verkehr tragende Oberfläche, die darauf eine Fahrbahnmarkierung nach den Ansprüchen 1 oder 8 aufweist.
  11. Vorgebildete Fahrbahnmarkierung, die ein mit einer Fahrbahnmarkierung nach Anspruch 8 beschichtetes Substrat umfasst.
  12. Verfahren zur Herstellung einer Fahrbahnmarkierung, umfassend: Bereitstellen einer Aminkomponente, die ein oder mehrere aliphatische sekundäre Amine umfasst; Bereitstellen einer Isocyanatkomponente, die ein oder mehrere Polyisocyanate umfasst; Bereitstellen von Material ausgewählt aus der Gruppe von Füllstoffen, Streckungsmitteln, Pigmenten und Kombinationen davon in entweder der Aminkomponente, der Isocyanatkomponente oder beiden; Kombinieren der Aminkomponente und der Isocyanatkomponente unter Bildung einer Beschichtungszusammensetzung mit einer Mindestaufbringungstemperatur von mindestens etwa 7 °C und einer verkehrsfreien Zeit von nicht mehr als etwa 5 Minuten; Aufbringen der Beschichtungszusammensetzung auf eine Oberfläche; und Aufbringen reflektierender Elemente auf die Zusammensetzung, wobei die Oberfläche mit der Zusammensetzung beschichtet ist, zur Bildung einer Fahrbahnmarkierung mit reflektierenden Elementen mit einem beibehaltenen Reflexionsvermögen von mindestens etwa 100 mcd/m2/Lux nach mindestens etwa 2 Jahren Gebrauch als Straßenverkehrsmarkierung in Längsrichtung, gemessen nach ASTM E 1710-95.
  13. Verfahren nach Anspruch 12, wobei die Oberfläche eine Verkehr tragende Oberfläche ist.
  14. Verfahren nach Anspruch 12, wobei die Stufe des Aufbringens der Beschichtungszusammensetzung das Sprühen der Beschichtungszusammensetzung umfasst.
  15. Verfahren nach Anspruch 12, wobei die Amin- und Isocyanatkomponenten in einem Volumenverhältnis von etwa 2:1 Amin zu Isocyanat kombiniert werden.
  16. Verfahren nach Anspruch 12, wobei die Amin- und Isocyanatkomponenten in einem Volumenverhältnis von etwa 3:1 Amin zu Isocyanat kombiniert werden.
  17. Verfahren nach Anspruch 12, umfassend: Bereitstellen einer Aminkomponente, die ein oder mehrere Asparaginesteramine und gegebenenfalls einen oder mehrere aminfunktionale Coreaktanten umfasst; Bereitstellen einer Isocyanatkomponente, die ein oder mehrere Polyisocyanate umfasst; Bereitstellen von Material ausgewählt aus der Gruppe von Füllstoffen, Streckungsmitteln, Pigmenten und Kombinationen davon in entweder der Aminkomponente, der Isocyanatkomponente oder beiden; Kombinieren der Aminkomponente und der Isocyanatkomponente unter Bildung einer Beschichtungszusammensetzung mit einer Mindestaufbringungstemperatur von mindestens etwa 7 °C und einer verkehrsfreien Zeit von nicht mehr als etwa 5 Minuten; Sprühen der Beschichtungszusammensetzung auf eine Verkehr tragende Oberfläche; und Aufbringen reflektierender Elemente auf die Zusammensetzung, wobei die Verkehr tragende Oberfläche mit der Zusammensetzung beschichtet ist, unter Bildung einer Fahrbahnmarkierung.
DE69833859T 1997-06-13 1998-06-12 Flüssige fahrbahnmarkierungszusammensetzungen Expired - Fee Related DE69833859T2 (de)

Applications Claiming Priority (3)

Application Number Priority Date Filing Date Title
US4957297P 1997-06-13 1997-06-13
US49572P 1997-06-13
PCT/US1998/012097 WO1998056842A1 (en) 1997-06-13 1998-06-12 Liquid pavement marking compositions

Publications (2)

Publication Number Publication Date
DE69833859D1 DE69833859D1 (de) 2006-05-11
DE69833859T2 true DE69833859T2 (de) 2006-11-16

Family

ID=21960546

Family Applications (1)

Application Number Title Priority Date Filing Date
DE69833859T Expired - Fee Related DE69833859T2 (de) 1997-06-13 1998-06-12 Flüssige fahrbahnmarkierungszusammensetzungen

Country Status (11)

Country Link
US (4) US6166106A (de)
EP (1) EP0988333B1 (de)
JP (1) JP2002505696A (de)
KR (1) KR100565132B1 (de)
CN (1) CN1128170C (de)
AT (1) ATE320458T1 (de)
AU (1) AU729926B2 (de)
CA (1) CA2290346C (de)
DE (1) DE69833859T2 (de)
WO (1) WO1998056842A1 (de)
ZA (1) ZA985219B (de)

Cited By (1)

* Cited by examiner, † Cited by third party
Publication number Priority date Publication date Assignee Title
DE102010001894A1 (de) * 2010-02-12 2011-08-18 7-A ChemSystems GmbH, 90471 Verwendung einer zwei Komponenten umfassenden Mischung zum Verfugen eines elastischen Bodenbelags

Families Citing this family (76)

* Cited by examiner, † Cited by third party
Publication number Priority date Publication date Assignee Title
US6107436A (en) * 1998-10-05 2000-08-22 3M Innovative Properties Company Polyfunctional polymer
US6350823B1 (en) 1998-10-05 2002-02-26 3M Innovative Properties Company Pavement marking composition
US6437059B1 (en) 1999-02-11 2002-08-20 Reichhold, Inc. Composition of epoxy, urethane polyacrylate and polyamine
US6369189B1 (en) 1999-12-07 2002-04-09 Reichhold, Inc. Hindered amine adducts for polyurea systems
US6482333B1 (en) * 1999-12-30 2002-11-19 Bayer Corporation Polyurea coatings from dimethyl-substituted polyaspartic ester mixtures
US6533961B2 (en) * 2000-02-22 2003-03-18 3M Innovative Properties Company Durable fluorescent organic pigments and methods of making
AU2127902A (en) * 2001-03-16 2002-09-19 Rohm And Haas Company Method for preparing fracture-resistant multi-component coatings at low temperature
US7001948B2 (en) * 2001-05-16 2006-02-21 American Polymer Corporation Polyurea coating compositions
PT1404732E (pt) * 2001-06-15 2007-09-12 Huntsman Spec Chem Corp ''extensores de cadeia de amina sinergéticos em elastrómeros de pulverização de poliureia''
US6613389B2 (en) 2001-12-26 2003-09-02 Dow Global Technologies, Inc. Coating process and composition for same
US20030136859A1 (en) 2002-01-18 2003-07-24 3M Innovative Properties Company Method of applying two-component pavement markings and apparatus
JP2003259491A (ja) * 2002-03-04 2003-09-12 Nisshinbo Ind Inc 音響整合層用組成物、音響整合層成形品の製造方法及びそれらを用いる超音波センサー
US20040057793A1 (en) * 2002-09-23 2004-03-25 Gurzo Vincent R. Method for accelerating the drying rate of road marking compositions
US20040259713A1 (en) * 2003-06-11 2004-12-23 3M Innovative Properties Company Microspheres comprising titania and bismuth oxide
US7452598B2 (en) * 2003-10-06 2008-11-18 Certainteed Corporation Mineral-surfaced roofing shingles with increased solar heat reflectance, and process for producing same
US7241500B2 (en) 2003-10-06 2007-07-10 Certainteed Corporation Colored roofing granules with increased solar heat reflectance, solar heat-reflective shingles, and process for producing same
US7455899B2 (en) * 2003-10-07 2008-11-25 3M Innovative Properties Company Non-white construction surface
CN1878914A (zh) * 2003-11-06 2006-12-13 3M创新有限公司 包含粘结树脂芯体的逆向反射元件以及路面标记
US8287998B2 (en) * 2003-12-01 2012-10-16 Anthony David Skelhorn Composition of a thermaly insulating coating system
US7736738B2 (en) * 2003-12-17 2010-06-15 Terrasimco Inc. Coated mining bolt
US20050142329A1 (en) * 2003-12-24 2005-06-30 Anderson Mark T. Energy efficient construction surfaces
US7156528B2 (en) 2004-01-21 2007-01-02 3M Innovative Properties Company Retroreflective elements and articles
JP4584938B2 (ja) 2004-01-21 2010-11-24 スリーエム イノベイティブ プロパティズ カンパニー 再帰反射要素および物品
US7168815B2 (en) * 2004-01-21 2007-01-30 3M Innovative Properties Company Retroreflective elements and articles
US9732481B2 (en) * 2004-04-02 2017-08-15 Flint Trading, Inc. Preformed thermoplastic pavement marking and method utilizing large aggregate for improved long term skid resistance and reduced tire tracking
US7342056B2 (en) * 2004-06-17 2008-03-11 3M Innovative Properties Company Pavement marking comprising modified isocyanate
US20060011295A1 (en) * 2004-07-14 2006-01-19 Karsten Danielmeier Aspartic ester functional compounds
US20060068198A1 (en) * 2004-09-02 2006-03-30 Bratys Dan M Composite films and process for making the same
US20060083897A1 (en) * 2004-10-20 2006-04-20 Toman Richard A Polyurea coating containing an aggregate
US7387819B2 (en) 2005-01-10 2008-06-17 Ppg Industries Ohio, Inc. Method and apparatus for repairing bed-liner coatings
US7964695B2 (en) * 2005-03-28 2011-06-21 Albemarle Corporation Chain extenders
US8076518B2 (en) * 2005-03-28 2011-12-13 Albemarle Corporation Chain extenders
US9044921B2 (en) 2005-09-07 2015-06-02 Certainteed Corporation Solar heat reflective roofing membrane and process for making the same
US7513941B2 (en) 2005-11-14 2009-04-07 3M Innovative Properties Company Pavement marking, reflective elements, and methods of making micospheres
US7601390B1 (en) 2005-12-01 2009-10-13 Sewerkote LLC Protective system for concrete sewer applications
US7749593B2 (en) * 2006-07-07 2010-07-06 Certainteed Corporation Solar heat responsive exterior surface covering
KR100661133B1 (ko) * 2006-09-20 2006-12-22 김동규 미끄럼방지 기능을 갖는 유색포장재 및 그 도포방법
US7846548B2 (en) * 2006-10-27 2010-12-07 Certainteed Corporation Fence or decking materials with enhanced solar reflectance
US8361597B2 (en) 2007-04-02 2013-01-29 Certainteed Corporation Solar heat-reflective roofing granules, solar heat-reflective shingles, and process for producing same
US9207373B2 (en) 2007-04-10 2015-12-08 Stoncor Group, Inc. Methods for fabrication and highway marking usage of agglomerated retroreflective beads
US8292539B2 (en) * 2007-04-10 2012-10-23 Stoncor Group, Inc. Agglomerated retroreflective beads for highway marking and methods for fabrication and use thereof
US20080280034A1 (en) * 2007-05-11 2008-11-13 3M Innovative Properties Company Pavement marking and reflective elements having microspheres comprising lanthanum oxide and aluminum oxide with zirconia, titania, or mixtures thereof
CA2688340C (en) * 2007-05-24 2016-02-09 Certainteed Corporation Roofing granules with high solar reflectance, roofing products with high solar reflectance, and processes for preparing same
JP2011508265A (ja) 2007-12-21 2011-03-10 スリーエム イノベイティブ プロパティズ カンパニー 球形コア及び2つの同心光学干渉層を含む、再帰反射性物品及び再帰反射素子
EP2232310A1 (de) * 2007-12-21 2010-09-29 3M Innovative Properties Company Rückstrahlende artikel in form von kleidungsstücken, fasern und filamenten
EP2242656A2 (de) * 2007-12-21 2010-10-27 3M Innovative Properties Company Rückstrahlende sicherheitsartikel
US8119245B2 (en) * 2008-02-05 2012-02-21 Bayer Materialscience Llc Dual-cure coating compositions based on polyaspartates polyisocyanates and acrylate-containing compounds
WO2009145968A1 (en) 2008-03-31 2009-12-03 Certainteed Corporation Coating compositions for roofing granules, dark colored roofing granules with increased solar heat reflectance, solar heat-reflective shingles, and process for producing the same
KR100875593B1 (ko) 2008-05-08 2008-12-23 김은령 시인성이 우수한 차선의 도색방법
CN102149741A (zh) * 2008-09-12 2011-08-10 陶氏环球技术有限责任公司 基于多元胺、多元醇和多异氰酸酯的涂料配方和组合物及制备和使用它们的方法
US8394498B2 (en) 2008-12-16 2013-03-12 Certainteed Corporation Roofing granules with high solar reflectance, roofing materials with high solar reflectance, and the process of making the same
US20100239844A1 (en) * 2009-03-20 2010-09-23 Eric William Hearn Teather Diffusively light reflective paint composition, method for making paint composition, and diffusively light reflective articles
US8361611B2 (en) * 2009-03-20 2013-01-29 Whiteoptics Llc Diffusively light reflective paint composition, method for making paint composition, and diffusively light reflective articles
EP2419468A2 (de) * 2009-04-16 2012-02-22 3M Innovative Properties Company Verfahren und zusammensetzung zum beschichten von trinkwasserpipelines
EP2253678A1 (de) * 2009-05-18 2010-11-24 Pufas Werk KG Sportplatzmarkierungsfarbe
WO2011022022A1 (en) 2009-08-21 2011-02-24 3M Innovative Properties Company Pavement markings, reflective elements, and methods of making microspheres
EP2516345B1 (de) * 2009-12-21 2020-08-12 Soiltec GmbH Zusammengesetzte pflasterungsstruktur
EP2691486B1 (de) 2011-03-30 2019-03-27 3M Innovative Properties Company Zusammensetzungen mit einem cyclischen sekundären amin und verfahren zur beschichtung von trinkwasserleitungen
CN102831382A (zh) * 2011-06-15 2012-12-19 北京三星通信技术研究有限公司 人脸跟踪设备和方法
WO2012177818A2 (en) * 2011-06-23 2012-12-27 3M Innovative Properties Company Pavement marking composition system
EP2760952B1 (de) * 2011-09-30 2018-03-21 3M Innovative Properties Company Flexible strassenmarkierungen
US9797097B2 (en) 2012-05-29 2017-10-24 3M Innovative Properties Company Pavement marking compositions
SG11201601665QA (en) * 2013-09-06 2016-04-28 3M Innovative Properties Co Pavement marking tape with a modified polyurethane topcoat
CN103980754A (zh) * 2014-05-16 2014-08-13 吴江市英力达塑料包装有限公司 一种路面标志涂料及其制备方法
AT15324U1 (de) 2016-04-27 2017-06-15 Flexiskin Gmbh Oberflächenbelag
KR101812242B1 (ko) * 2016-06-17 2017-12-26 케이엔케이코팅스 주식회사 노면 표지용 도료 조성물
US11046860B2 (en) * 2016-09-02 2021-06-29 The Willamette Valley Company Llc Polymeric composition comprising spherical aggregate and method of use thereof
US10730799B2 (en) 2016-12-31 2020-08-04 Certainteed Corporation Solar reflective composite granules and method of making solar reflective composite granules
AU2018357957B2 (en) * 2017-10-31 2021-09-16 Line-X Llc Thin film aliphatic polyurea and system
US11467324B2 (en) 2018-10-26 2022-10-11 Tundra Composits, LLC Complex retroreflective bead
CN109913130A (zh) * 2019-01-16 2019-06-21 山东路美交通设施有限公司 一种水性立面反光涂料的制备方法
KR102095020B1 (ko) * 2019-08-21 2020-03-30 주식회사 정석케미칼 내구성 및 시인성이 우수한 2액형 폴리우레아 노면 표지용 도료 조성물 및 이를 이용한 노면 표지용 도막을 형성하는 방법
KR102146482B1 (ko) * 2019-10-02 2020-08-21 주식회사 한일기획 고시인성 및 미끄럼 방지 기능을 가지는 도로 노면 표시용 조성물 및 이를 이용한 시공방법
US12196987B2 (en) 2021-01-12 2025-01-14 Tundra COmpoistes, LLC Retroreflective composite reflective microspheres and reflective inorganic material
JP7663163B2 (ja) * 2021-08-26 2025-04-16 日本ライナー株式会社 路面塗装機
JP7121959B1 (ja) 2022-01-28 2022-08-19 株式会社Nippo ポリウレア系遮熱性塗料及びその塗装方法

Family Cites Families (45)

* Cited by examiner, † Cited by third party
Publication number Priority date Publication date Assignee Title
US2897733A (en) 1955-12-22 1959-08-04 Baltimore Paint & Color Works Traffic marker, material, and method
US2897732A (en) 1955-12-22 1959-08-04 Baltimore Paint & Color Works Highway marker comprising unsaturated alkyd resin and glass beads and method of making same
US3043196A (en) 1957-09-18 1962-07-10 Minnesota Mining & Mfg Reflective marking aggregate
US3175935A (en) 1961-05-08 1965-03-30 Minnesota Mining & Mfg Method of making reflective particles and resultant article
US3274888A (en) 1962-01-19 1966-09-27 Minnesota Mining & Mfg Inorganic reflex-reflective aggregate
US3252376A (en) 1962-02-16 1966-05-24 Prismo Safety Corp Reflex reflective granule and marking material made thereof
US3254563A (en) 1963-11-12 1966-06-07 Prismo Safety Corp Retro-reflective particles and reflective markers and compositions containing such particles
US3326098A (en) 1964-05-06 1967-06-20 Gerald L Boettler Method of applying a marking stripe to a road surface
US3436359A (en) 1965-10-14 1969-04-01 Minnesota Mining & Mfg Polyether polyprimary polyamines and elastomeric products thereof
US3556637A (en) 1968-06-27 1971-01-19 Minnesota Mining & Mfg Reflex-reflecting aggregate and markers prepared therefrom
GB1539891A (en) 1975-01-24 1979-02-07 Rohm & Haas Fast curing resinous compositions
DE2632107C2 (de) 1975-07-16 1986-01-09 Ludwig Dr. Vacallo Tessin Eigenmann Rückstrahlaggregat für Markierungsmaterial zur horizontalen Straßenmarkierung
US4088633A (en) 1975-11-26 1978-05-09 H. B. Fuller Company Method of marking paved surfaces and curable two-part epoxy systems therefor
US4185132A (en) 1975-11-26 1980-01-22 H. B. Fuller Company Method of marking paved surfaces using a curable two-part epoxy composition comprising curable liquid epoxide and amine co-curative
US4255468A (en) 1979-10-12 1981-03-10 H. B. Fuller Company Method of marking paved surfaces and curable two-part epoxy systems therefor
GB2113234A (en) * 1982-01-14 1983-08-03 Somerford Plastics Limited Method of marking a trafficway surface
US4607978A (en) 1982-08-23 1986-08-26 Ludwig Eigenmann Method and equipment for improving horizontal marking strips
US4725494A (en) 1982-09-02 1988-02-16 Minnesota Mining And Manufacturing Co. Retroreflective sheeting
US4983458A (en) 1984-09-21 1991-01-08 Potters Industries, Inc. Reflective particles
US4721649A (en) 1985-05-08 1988-01-26 Minnesota Mining And Manufacturing Company Retroreflective sheeting
US4732919A (en) 1986-11-06 1988-03-22 Texaco Inc. Reaction injection molded elastomer made from a quasi-prepolymer of a polyoxyalkylene polyamine and an aromatic isocyanate
US4705814A (en) 1986-11-06 1987-11-10 Texaco Inc. Reaction product of polyoxyalkylene polyamine and an aliphatic isocyanate
US4833213A (en) 1987-06-26 1989-05-23 Minnesota Mining And Manufacturing Company Method of making purely primary diamines from nitrogen containing nocleophile and terminally electrophilically active polyether
CH671986A5 (de) * 1987-12-24 1989-10-13 Eigenmann Ludwig
US4906716A (en) 1988-05-17 1990-03-06 Exxon Chemical Patents Inc. Method of incorporating hydrophobic monomers into acrylamide solutions
ATE113622T1 (de) * 1989-06-23 1994-11-15 Bayer Ag Verfahren zur herstellung von überzügen.
CA2020629C (en) 1989-07-21 2000-02-01 Frank Landy Shelf stable fast-cure aqueous coating
CA2020349C (en) 1989-09-05 2001-10-09 Dudley J. Ii Primeaux Aliphatic spray polyurea elastomers
US5266671A (en) 1989-09-25 1993-11-30 Texaco Chemical Co. Spray polyurea elastomers with abrasion resistance
US5013813A (en) 1989-12-18 1991-05-07 Texaco Chemical Company Polyurea elastomer with rapid dry time
US5171818A (en) 1990-03-23 1992-12-15 Bruce Wilson Sprayable aliphatic polyurea-polyurethane coating compositions and methods
US5162388A (en) 1991-06-04 1992-11-10 Texaco Chemical Company Aliphatic polyurea elastomers
US5140090A (en) 1991-06-10 1992-08-18 Texaco Chemical Company Aliphatic polyureas from polyoxyalkylene polyamines, aliphatic diisocyanates and sym-dialkylethylenediamines
US5270364A (en) 1991-09-24 1993-12-14 Chomerics, Inc. Corrosion resistant metallic fillers and compositions containing same
US5268789A (en) 1992-02-18 1993-12-07 Minnesota Mining And Manufacturing Company Retroreflective assembly and process for making same
US5317076A (en) 1993-04-12 1994-05-31 Texaco Chemical Co. Polyurea elastomer with reduced moisture vapor transmission
JPH07188583A (ja) * 1993-12-27 1995-07-25 Yoshida Doro Kk 路面標識用樹脂組成物
EP0667362A1 (de) * 1994-02-09 1995-08-16 Bayer Corporation Polyharnstoff-Beschichtungszusammensetzungen mit verlängerter Verarbeitungszeit
US5478596A (en) 1994-05-13 1995-12-26 Gurney; Richard S. Stripping composition and method for stripping a road or highway surface
US5750191A (en) 1994-05-20 1998-05-12 Minnesota Mining And Manufacturing Company Retroreflective elements
US5442034A (en) 1994-06-01 1995-08-15 Huntsman Corporation Spray polyurea elastomers containing organic carbonates to improve processing characteristics
CA2151672C (en) 1994-06-24 2007-05-29 Dudley Joseph Ii Primeaux Preparation of sprayable aliphatic polyurea elastomers having improved properties
WO1997028471A1 (en) 1996-02-05 1997-08-07 Minnesota Mining And Manufacturing Company Durable retroreflective elements
ID17941A (id) 1996-07-08 1998-02-12 Dow Chemical Co Metode penerapan komposisi pembuat marka jalan
US6013755A (en) 1997-03-11 2000-01-11 Huntsman Petrochemical Corporation Method of preparing an aliphatic polyurea spray elastomer system

Cited By (1)

* Cited by examiner, † Cited by third party
Publication number Priority date Publication date Assignee Title
DE102010001894A1 (de) * 2010-02-12 2011-08-18 7-A ChemSystems GmbH, 90471 Verwendung einer zwei Komponenten umfassenden Mischung zum Verfugen eines elastischen Bodenbelags

Also Published As

Publication number Publication date
CA2290346A1 (en) 1998-12-17
EP0988333A1 (de) 2000-03-29
AU729926B2 (en) 2001-02-15
EP0988333B1 (de) 2006-03-15
KR20010013708A (ko) 2001-02-26
USRE40729E1 (en) 2009-06-09
JP2002505696A (ja) 2002-02-19
AU7959498A (en) 1998-12-30
KR100565132B1 (ko) 2006-03-30
US6790880B2 (en) 2004-09-14
ATE320458T1 (de) 2006-04-15
ZA985219B (en) 1999-01-20
US6166106A (en) 2000-12-26
WO1998056842A1 (en) 1998-12-17
US6451874B1 (en) 2002-09-17
US20030036585A1 (en) 2003-02-20
CA2290346C (en) 2006-12-19
DE69833859D1 (de) 2006-05-11
CN1128170C (zh) 2003-11-19
CN1260808A (zh) 2000-07-19

Similar Documents

Publication Publication Date Title
DE69833859T2 (de) Flüssige fahrbahnmarkierungszusammensetzungen
DE69911631T2 (de) Strassenbelagmarkierungszusammensetzung
DE69100423T2 (de) Fahrbahnmarkierungsmaterial.
DE69917778T2 (de) Sekundäre asparaginsäureamidester
DE3686101T2 (de) Strassenmarkierungen.
US7342056B2 (en) Pavement marking comprising modified isocyanate
US20110151113A1 (en) Coating formulations, compositions and processes of preparing and using the same
DE69528788T2 (de) Retroreflektierender Gegenstand mit diskontinuierlicher Deckschicht
KR102052009B1 (ko) 도로 표지 조성물
US4025683A (en) Urethane-based water-proofing/sound-proofing coating composition
DE69618662T2 (de) Dauerhaftes strassenmarkierungsband mit siebbeschichteter polyurethan-deckschicht
KR101997051B1 (ko) 도로표지용 폴리우레아 차선 조성물 및 이를 이용한 시공방법
KR102483195B1 (ko) 폴리우레아 도료를 포함하는 돌출형 차선 표지용 조성물 및 이를 이용한 돌출형 차선 시공방법
KR102488792B1 (ko) 우천시 재귀반사·내마모성이 우수한 포장면 마킹용 코팅제 조성물 및 이를 이용한 시공방법
USRE40088E1 (en) Liquid pavement marking compositions
DE2133686A1 (de) Elastische Oberflachenschichten
KR102490419B1 (ko) 폴리우레아 도료를 이용한 고원식 횡단보도용 조성물 및 이를 이용한 고원식 횡단보도의 시공방법
MXPA99011101A (en) Liquid pavement marking compositions
EP2760952B1 (de) Flexible strassenmarkierungen

Legal Events

Date Code Title Description
8364 No opposition during term of opposition
8339 Ceased/non-payment of the annual fee