DE69737221T2 - Akustischer Sensor mit Resonatorzelle zur kontinuierlichen Überwachung von Gasen - Google Patents

Akustischer Sensor mit Resonatorzelle zur kontinuierlichen Überwachung von Gasen Download PDF

Info

Publication number
DE69737221T2
DE69737221T2 DE1997637221 DE69737221T DE69737221T2 DE 69737221 T2 DE69737221 T2 DE 69737221T2 DE 1997637221 DE1997637221 DE 1997637221 DE 69737221 T DE69737221 T DE 69737221T DE 69737221 T2 DE69737221 T2 DE 69737221T2
Authority
DE
Germany
Prior art keywords
acoustic
sound
cell
signal
housing
Prior art date
Legal status (The legal status is an assumption and is not a legal conclusion. Google has not performed a legal analysis and makes no representation as to the accuracy of the status listed.)
Expired - Fee Related
Application number
DE1997637221
Other languages
English (en)
Other versions
DE69737221D1 (de
Inventor
Abdul Wajid
Clarence Hurd
Melvin C. Hetzel
Current Assignee (The listed assignees may be inaccurate. Google has not performed a legal analysis and makes no representation or warranty as to the accuracy of the list.)
Leybold Inficon Inc
Original Assignee
Leybold Inficon Inc
Priority date (The priority date is an assumption and is not a legal conclusion. Google has not performed a legal analysis and makes no representation as to the accuracy of the date listed.)
Filing date
Publication date
Application filed by Leybold Inficon Inc filed Critical Leybold Inficon Inc
Publication of DE69737221D1 publication Critical patent/DE69737221D1/de
Application granted granted Critical
Publication of DE69737221T2 publication Critical patent/DE69737221T2/de
Anticipated expiration legal-status Critical
Expired - Fee Related legal-status Critical Current

Links

Classifications

    • GPHYSICS
    • G01MEASURING; TESTING
    • G01NINVESTIGATING OR ANALYSING MATERIALS BY DETERMINING THEIR CHEMICAL OR PHYSICAL PROPERTIES
    • G01N29/00Investigating or analysing materials by the use of ultrasonic, sonic or infrasonic waves; Visualisation of the interior of objects by transmitting ultrasonic or sonic waves through the object
    • G01N29/22Details, e.g. general constructional or apparatus details
    • G01N29/222Constructional or flow details for analysing fluids
    • GPHYSICS
    • G01MEASURING; TESTING
    • G01NINVESTIGATING OR ANALYSING MATERIALS BY DETERMINING THEIR CHEMICAL OR PHYSICAL PROPERTIES
    • G01N29/00Investigating or analysing materials by the use of ultrasonic, sonic or infrasonic waves; Visualisation of the interior of objects by transmitting ultrasonic or sonic waves through the object
    • G01N29/02Analysing fluids
    • G01N29/036Analysing fluids by measuring frequency or resonance of acoustic waves
    • GPHYSICS
    • G01MEASURING; TESTING
    • G01NINVESTIGATING OR ANALYSING MATERIALS BY DETERMINING THEIR CHEMICAL OR PHYSICAL PROPERTIES
    • G01N2291/00Indexing codes associated with group G01N29/00
    • G01N2291/01Indexing codes associated with the measuring variable
    • G01N2291/014Resonance or resonant frequency
    • GPHYSICS
    • G01MEASURING; TESTING
    • G01NINVESTIGATING OR ANALYSING MATERIALS BY DETERMINING THEIR CHEMICAL OR PHYSICAL PROPERTIES
    • G01N2291/00Indexing codes associated with group G01N29/00
    • G01N2291/02Indexing codes associated with the analysed material
    • G01N2291/021Gases
    • G01N2291/0212Binary gases
    • GPHYSICS
    • G01MEASURING; TESTING
    • G01NINVESTIGATING OR ANALYSING MATERIALS BY DETERMINING THEIR CHEMICAL OR PHYSICAL PROPERTIES
    • G01N2291/00Indexing codes associated with group G01N29/00
    • G01N2291/02Indexing codes associated with the analysed material
    • G01N2291/028Material parameters
    • G01N2291/02809Concentration of a compound, e.g. measured by a surface mass change
    • GPHYSICS
    • G01MEASURING; TESTING
    • G01NINVESTIGATING OR ANALYSING MATERIALS BY DETERMINING THEIR CHEMICAL OR PHYSICAL PROPERTIES
    • G01N2291/00Indexing codes associated with group G01N29/00
    • G01N2291/02Indexing codes associated with the analysed material
    • G01N2291/028Material parameters
    • G01N2291/02881Temperature
    • GPHYSICS
    • G01MEASURING; TESTING
    • G01NINVESTIGATING OR ANALYSING MATERIALS BY DETERMINING THEIR CHEMICAL OR PHYSICAL PROPERTIES
    • G01N2291/00Indexing codes associated with group G01N29/00
    • G01N2291/02Indexing codes associated with the analysed material
    • G01N2291/028Material parameters
    • G01N2291/0289Internal structure, e.g. defects, grain size, texture
    • GPHYSICS
    • G01MEASURING; TESTING
    • G01NINVESTIGATING OR ANALYSING MATERIALS BY DETERMINING THEIR CHEMICAL OR PHYSICAL PROPERTIES
    • G01N2291/00Indexing codes associated with group G01N29/00
    • G01N2291/10Number of transducers
    • G01N2291/102Number of transducers one emitter, one receiver

Landscapes

  • Physics & Mathematics (AREA)
  • Acoustics & Sound (AREA)
  • Health & Medical Sciences (AREA)
  • Life Sciences & Earth Sciences (AREA)
  • Chemical & Material Sciences (AREA)
  • Analytical Chemistry (AREA)
  • Biochemistry (AREA)
  • General Health & Medical Sciences (AREA)
  • General Physics & Mathematics (AREA)
  • Immunology (AREA)
  • Pathology (AREA)
  • Investigating Or Analyzing Materials By The Use Of Ultrasonic Waves (AREA)

Description

  • Hintergrund der Erfindung
  • Diese Erfindung betrifft eine schnelle, hochempfindliche Akustikzelle und, insbesondere, eine Akustikzelle, die für die kontinuierliche Durchflussmessung der MOCVD-Vorläufergase geeignet ist.
  • Es besteht ein wachsendes Interesse an Verfahren der metallorganischen Gasphasenepitaxie (MOCVD), insbesondere zum Bewirken des Wachstums komplexer dünnschichtiger Strukturen für, beispielsweise, InGaAsP-Bauelemente für optoelektronische Anwendungen. Beim Erzeugen dieser Bauelemente findet das Dünnschichtwachstum in einem kaltwandigen Reaktor statt, in den exakte Mengen der Reaktanten geregelt eingeleitet werden. Die Qualität und Reproduzierbarkeit der Bauelemente ist kritisch davon abhängig, dass die Vorläufer-Reaktanten in exakten Mengen in den Reaktor eingeleitet werden.
  • Die Vorläufer-Reaktanten werden üblicherweise durch ein Trägergas, beispielsweise Wasserstoff, von einer Feststoffquelle aus, beispielsweise Trimethylindium (TMI), oder von einer Flüssigstoffquelle aus, beispielsweise Trimethylgallium (TMG), in den Reaktor getragen. Die Konzentration des Vorläufer-Reaktants wird üblicherweise aus der Mengen-Flussrate, dem Partialdruck der Quelle und dem Betriebsdruck abgeschätzt. Dabei wird üblicherweise angenommen, dass der Dampfdruck der Quelle konstant ist und der Molenbruch (das partielle Molvolumen) des Vorläufer-Reaktants im Trägergas gleich bleibt. Diese Annahmen sind nicht immer gültig, insbesondere nicht bei niedrigem Dampfdruck der Quelle, wie er bei Feststoffquellen vorherrscht, oder wenn die Quelle schon ausgiebig genutzt worden ist. Obwohl es viele Wege gibt, die Qualität der bereits ausgebildeten Dünnschicht zu prüfen, ist es aus Sicht der Qualitätssicherung und Verfahrensregelung vorzuziehen, die Konsistenz der Vorläufer-Reaktanten zu überwachen und zu regeln bevor das Schichtwachstum beginnt.
  • Die Überwachung der Konsistenz eines Vorläufer-Reaktanten erfolgt durch Messung des Anteils des Vorläufer-Reaktants in dem Trägergas. Diese Analyse binärer Gase erfolgt üblicherweise mittels optischer, chemischer oder akustischer Methoden. Beispiele für akustischen Methoden sind die Flugzeit-Methode und die Hohlraumresonanz-Methode. Bei einem Flugzeit-Messgerät werden abgestimmte Ultraschall-Schallköpfe zum Abstrahlen und Einfangen von kurzen (5 μs) Schallimpulsen eingesetzt. Gemessen wird die Schallgeschwindigkeit, die unmittelbar mit der Zusammensetzung des binären Gases zusammenhängt. Die Betriebsfrequenz liegt üblicherweise bei 100 kHz oder höher. Übliche Probleme bei Flugzeit-Messgeräten sind, beispielsweise, ungenaue Pulsform, Echobildung, parasitäre Schallleitung, Signaldämpfung und Pulsform-Verzerrung. Durch diese Probleme ist der Einsatz von Flugzeit-Messgeräten für wasserstoffähnliche Gase bei niedrigen Drücken nur begrenzt möglich.
  • Hohlraumresonanz-Messgeräte bestimmen die Resonanzfrequenz der binären Gasmischung. Die Resonanzfrequenz hängt unmittelbar mit der Zusammensetzung des binären Gases zusammen. Probleme bei Hohlraumresonanz-Messgeräten entstehen aus verschiedenen Gründen. Erstens: es werden Breitband-Schallkopf eingesetzt, um den ganzen Bereich der Betriebsfrequenzen abzudecken. Das Hohlraumresonanz-Messgerät muss daher für ein bestimmtes Gas konstruiert werden, wodurch sein Einsatzbereich begrenzt wird. Zweitens: beim Betrieb mit Frequenzen von zehn bis mehrere hundert Kilohertz entstehen viele miteinander konkurrierende Resonanzmoden, beispielsweise, radiale, axiale und scheitelwinklige Resonanzen innerhalb des Sensors. Ferner koppeln sich diese Resonanzen an Obertonresonanzen einzelner Bauteile, beispielsweise, von Abschlussmembranen. Es ist sehr schwer zu erkennen, welche der Resonanzen allein auf des Prüfgas zurückzuführen sind und dann, diese Resonanz bei allen Veränderungen der Zusammensetzung, der Temperatur und des Drucks zu verfolgen. Drittens: es entstehen Probleme durch die vom Gasmedium selbst verursachte thermo-elastische Dämpfung, in anderen Worten, durch den intrinsischen Energieverlust der Schallwellen. In wasserstoffähnlichen Gasen steigt diese Dämpfung mit dem Quadrat der Betriebsfrequenz, wodurch die Hohlraumresonanz-Messtechnik im Ultraschallbereich uninteressant wird.
  • Auf dem oben Erwähnten aufbauend, sind die wesentliche Auslegungsgesichtspunkte kleines Volumen und niedrige Frequenz. Das Sensorvolumen beeinflusst unmittelbar die erforderliche Abtastzeit bei einer bestimmten Gasflussrate. Wenn eine schnelle Reaktion des Sensors erforderlich ist, muss das Volumen so klein wie möglich sein. Jedoch hat die Verkleinerung des Volumens einen wesentlichen Nachteil beim Einsatz von Wasserstoffgas. Da Wasserstoff ein sehr leichtes Gas ist, ist bei einem Betriebsdruck unter 133 mbar (100 Torr, also 10 % des atmosphärischen Drucks) im jeweils umschlossenen Raum nur eine geringe Menge fließenden Mediums vorhanden, in dem stehende Wellen entstehen können. Ein parasitäres durch das Metallgehäuse wanderndes Signal kann zu dem durch das Gas wandernde Signal vergleichbar sein oder es sogar übertönen, wodurch die Phasenverschiebung der Frequenz verzerrt würde. Der Qualitätsfaktor (Q) des Resonators verschlechtert sich merklich wodurch das Aufrechterhalten einer stabilen Resonanz erschwert wird. Den Qualitätsfaktor (Q) auf höchstmöglichem Niveau zu halten ist wichtig, um zu vermeiden, dass die Stabilität und damit die Messempfindlichkeit des Binärgas-Analysators abnimmt. Ein niedriges Volumen, kleiner als 20 ml, und ein hohes Q, größer als 20, sind daher anzustreben.
  • Die Betriebsfrequenz ist zum Teil abhängig von der Länge der Sensorzelle, und diese Länge wiederum vom Volumen und dem angestrebten Q. Bei einem Abschlussdurchmesser von einem Zoll (passend für die vom Rechtsnachfolger entwickelte 1-Zoll Abschlussmembran aus INCONEL) hat die zylindrische Sensorzelle eine Länge von 35,5 cm und ein Volumen von 18 ml. Beim Einsatz mit Wasserstoffgas (Schallgeschwindigkeit gleich 1260 m/s) liegt die niedrigsten Betriebsfrequenz bei ungefähr 17,735 kHz. Unter Beibehaltung des Volumens könnte man mit einem kleineren Durchmesser aber größerer Länge arbeiten, wodurch eine geringere Resonanzfrequenz erreichbar wäre. Da jedoch die Übertragung eines akustischen Signals durch eine Abschlussmembran mit der vierten Potenz des Durchmessers abfällt, wird jede Verkleinerung der Abschlussmembran vermieden.
  • Mit einem 17 kHz Resonator sind eine ganze Reihe von Problemen verbunden. Beispielsweise haben die meisten Mikrofone im Bereich bis 7 kHz eine relativ flache Ansprechcharakteristik. Oberhalb 10 kHz fällt die Mikrofonempfindlichkeit aber stark ab, außer bei den Eigenresonanzfrequenzen des Mikrofons. Die vom Rechtsnachfolger entwickelten INCONEL Abschlussmembranen haben ihren niedrigsten Schwingungsmodus im Bereich zwischen 5,5 und 7 Hz. Vorzugsweise erfolgt der Betrieb unterhalb dieser Frequenzen, damit Komplikationen durch interne Abschlussmembranresonanzen vermieden werden. Des weiteren steigt die interne Reibung im Wasserstoffgas mit dem Quadrat der Betriebsfrequenz.
  • Eine Akustikzelle mit den in der Einleitung zum Anspruch 1 genannten Eigenschaften ist in den Patentschriften GB 22 03 247 A oder US 5 524 477 A offenbart. Die Antriebs- und Empfangsmittel dieser dem Stand der Technik entsprechenden Akustikzelle sind mittels eines beispielsweise aus Nylon gefertigten Kragens direkt am jeweiligen Ende des Gehäuses der Zelle angebracht, was zu einer akustischen Dämpfung führt.
  • Ziele und zusammenfassende Beschreibung der vorliegenden Erfindung
  • Es ist somit ein Ziel der vorliegenden Erfindung, einen Akustiksensor vorzustellen, mit dem die Nachteile und Einschränkungen des Standes der Technik überwunden werden.
  • Ein weiteres Ziel der vorliegenden Erfindung ist, einen Akustiksensor vorzustellen, der ein niedriges Volumen, ein hohes Q und eine Betriebsfrequenz unter 5 kHz aufweist.
  • Ein weiteres Ziel der vorliegenden Erfindung ist, einen Akustiksensor vorzustellen, mit dem es möglich ist, ohne vorherige Firmenkalibrierung, die Zusammensetzung eines binären Gases zu bestimmen.
  • Ein weiteres Ziel der vorliegenden Erfindung ist, einen Akustiksensor vorzustellen, bei dem die parasitäre Signalleitung reduziert ist.
  • Ein weiteres Ziel der vorliegenden Erfindung ist, einen Akustiksensor vorzustellen, der bei sehr niedrigem Druck einen hohen Signalstörabstand aufweist.
  • Kurz zusammengefasst, enthält eine Akustikzelle eine Anzahl akustischer Hohlräume, die fließtechnisch miteinander verbunden sind. Zumindest zwei der akustischen Hohlräume haben unterschiedliche Längen und Querschnitte. Die Endabschnitte der akustischen Zelle sind gleichmäßig zylinder- oder kegelförmig ausgebildet. Ein Schallsendekopf am einen Ende der Akustikzelle und ein Schallempfangskopf am anderen Ende sind schalltechnisch von der Akustikzelle isoliert. Der Schallsendekopf enthält ein Schallerzeugerkapselgehäuse sowie ein in das Schallerzeugerkapselgehäuse eingepasstes Metallgehäuse, das das Schallsendemikrofon enthält. Innen und außen am Kapselgehäuse angebrachte schallisolierende O-Ringe führen zu einer wesentliche Verringerung der Leitung parasitärer Signale.
  • Ein Paar, vorzugsweise metallischer Abschlussmembranen übertragen akustische Signale zu und von den Schallsende- und -empfangsköpfen, ohne die Phasenverschiebung zwischen den Frequenzen der Akustiksignale wesentlich zu verändern. Die Akustikzelle arbeitet als ein akustischer Resonator und wird bei einer Frequenz betrieben, die niedriger liegt als mögliche Eigenresonanzfrequenzen der Abschlussmembranen oder der Schallsende- und -empfangsköpfe. Wird ein binäres Gase durch die Zelle gepumpt, erkennt ein Prozessor eine Resonanzfrequenz des Gases innerhalb der Zelle, um daraus dessen Zusammensetzung zu bestimmen.
  • Entsprechend einer Ausführung der Erfindung, besteht eine Akustikzelle aus einem Zellengehäuse, wobei besagtes Zellengehäuse eine Mehrzahl akustischer Hohlräume enthält sowie Strömungsvorrichtungen, die fließtechnisch an dem besagten Zellengehäuse angeschlossen sind, durch die ein Gas zum Durchströmen des Zellengehäuses gebracht wird. Des weiteren enthält das Zellengehäuse ein Schallerzeugungsmittel an seinem einen Ende, von dem aus ein akustisches Signal durch das das Zellengehäuse durchströmende Gas gesandt wird sowie einen Schallempfangsmittel am anderen Ende des besagten Zellengehäuses zum Empfangen des besagten akustischen Signals.
  • Entsprechend einer Ausführung der Erfindung, besteht eine Akustikzelle aus einem Zellengehäuse, wobei besagtes Zellengehäuse eine Mehrzahl akustischer Hohlräume enthält sowie Strömungsvorrichtungen, die fließtechnisch an dem besagten Zellengehäuse angeschlossen sind, durch die ein Gas zum Durchströmen des Zellengehäuses gebracht wird. Des weiteren enthält das Zellengehäuse einen Schallsendekopf an seinem einen Ende, der ein empfangenes elektrisches in ein akustisches Signal wandelt und dieses akustische Signal durch das das Zellengehäuse durchströmende Gas sendet sowie einen Schallempfangskopf am anderen Ende des besagten Zellengehäuses, der das besagte akustische Signal empfängt, es in ein elektrisches Signal umwandelt, dieses an einen Prozessor weiterleitet, der dieses elektrische Signal empfängt und aus dem empfangenen elektrischen Signal ein Antriebssignal für den Schallsendekopf erzeugt, wobei die Frequenz des vom Schallsendekopf ausgesandten Akustiksignals verändert werden kann, und dieser Prozessor des weiteren mit Mitteln zur Feststellung einer dem Gas entsprechenden Resonanzfrequenz ausgerüstet ist und des weiteren mit Mitteln, mittels derer die Zusammensetzung des Gases bestimmt werden kann.
  • Entsprechend einer Ausführung der Erfindung, umfasst eine Methode zur Bestimmung der Zusammensetzung eines binären Gases diverse Schritte, mit denen, im Einzelnen, eine Mehrzahl akustischer Höhlräume umfassende Akustikzelle bereitgestellt und diese Akustikzelle von einem Gas durchströmt wird; ein elektrisches Antriebssignal von einem digitalen Signalregler empfangen und dieses elektrische Antriebssignal in ein akustisches Antriebssignal verwandelt wird; dieses akustische Antriebssignal durch das die Akustikzelle durchströmende Gas gesendet und, nach dem Schritt des Sendens des akustischen Antriebssignals durch besagtes Gas, das empfangene akustische Signal in ein elektrisches Signal umgewandelt und in dieser Form an den digitalen Signalregler weitergeleitet wird; das besagte elektrische Empfangssignal in dem digitalen Signalregler so verarbeiten wird, dass eine mit dem besagten Gas verbundene Resonanzfrequenz festgestellt, und auf der Grundlage dieser Resonanzfrequenz die Zusammensetzung des Gases bestimmt werden kann.
  • Die obigen und weitere Ziele, Eigenschaften und Vorteile der vorliegende Erfindung werden aus der folgenden, im Zusammenhang mit den begleitenden Abbildungen zu lesenden Beschreibung offenbar, wobei in den Zeichnungen gleiche Elemente stets mit der gleichen Ziffer ausgewiesen sind.
  • Kurzbeschreibung der Abbildungen
  • 1 zeigt die monotone Relation zwischen Molenbruch und Schallgeschwindigkeit in einem Gasmedium.
  • 2 zeigt typische Phasen- und Amplitudenveränderungen in der Nähe einer Resonanz.
  • 3 zeigt den Verlauf von y(f) = 1/x0 2 und von x0 in der Nähe einer Resonanz.
  • 4 zeigt den Verlauf von -1/dφ und φ in der Nähe einer Resonanz.
  • 5 zeigt den Querschnitt durch eine Akustikzelle gemäß einer Ausführung der vorliegenden Erfindung.
  • 6A zeigt das Metallgehäuse für ein Schallsendemikrofon und ein Kompensationsmikrofon gemäß einer Ausführung der vorliegenden Erfindung.
  • 6B zeigt eine Schallsendemikrofonkapsel gemäß einer Ausführung der vorliegenden Erfindung.
  • 7 zeigt eine Schallempfangsmikrofonkapsel gemäß einer Ausführung der vorliegenden Erfindung.
  • 8 zeigt einen Akustiksensor gemäß einer Ausführung der vorliegenden Erfindung, der die in 5 dargestellte Akustikzelle enthält.
  • 9A zeigt ein elektrostatisches Schallsendemikrofon, das in einer Ausführung der vorliegenden Erfindung verwendet wird.
  • 9B zeigt ein kapazitives Schallsendemikrofon, das in einer Ausführung der vorliegenden Erfindung verwendet wird.
  • 10 ist eine Darstellung der in Wasserstoff bei 45 °C gemessenen Streuwerte der Resonanzfrequenzen.
  • 11 zeigt die Funktion des in Wasserstoff entstehenden Molenbruchs der Gase Ar, N2, CO2 und R134a in Abhängigkeit von der Flussrate der Gase.
  • 12 zeigt die Funktion des in Wasserstoff entstehenden Molenbruchs von N2 in Abhängigkeit von der N2-Flussrate.
  • 13 zeigt die Funktion des Molenbruchs von TMI in Abhängigkeit einer gemäß der vorliegenden Erfindung durchgeführten schrittweisen Änderung der Flussrate im Bubbler („Durchsprudler").
  • 14 zeigt die Funktion des im Wasserstoff entstehenden Molenbruchs des Gases R134a in Abhängigkeit von einer gemäß der vorliegenden Erfindung durchgeführten schrittweisen Änderung der Flussrate des Gases R134a.
  • Detaillierte Beschreibung der bevorzugten Ausführung der vorliegenden Erfindung
  • Eine Analyse der Zusammensetzung eines Gases kann durchgeführt werden, indem die Schallgeschwindigkeit in dem gasförmigen Medium bestimmt wird. Bei einer binären Gasmischung ist die Schallgeschwindigkeit c gegeben durch
    Figure 00060001
    mit γ, dem Verhältnis der mittleren spezifischen Wärmen des Gasgemisches, M, dem numerischen mittleren Molekulargewicht des Gasgemisches, R, der universellen Gaskonstanten (in metrischen Einheiten gleich 8311,7) und T, der Temperatur in Grad Kelvin.
  • Wenn x der Molenbruch des Vorläufergases im Trägergas ist, folgt
    Figure 00070001
    oder, in umgeschriebener Form,
    Figure 00070002
    und
    Figure 00070003
    wobei sich der Index 1 und 2 jeweils auf das Vorläufergas, bzw. das Trägergas bezieht. Die Werte des Molenbruchs des jeweiligen binären Gases erhält man aus Gleichungen (1) bis (4), wie im Folgenden dargestellt. Zur Vereinfachung gelten folgende Festlegungen:
    Figure 00070004
  • Durch Einsetzen der Werte (5) bis (7) in die Gleichungen (1) bis (4), erhalten wir
    Figure 00070005
  • Die Gleichungen (8) und (9) führen in Verbindung mit Gleichung (1) zu
    Figure 00070006
    worin c2 die Schallgeschwindigkeit im reinen Trägergas ist, also
    Figure 00070007
  • Da die gemessenen Resonanzfrequenzen in einem akustischen Resonator direkt proportional zur Schallgeschwindigkeit sind, können wir das folgende Verhältnis definieren
    Figure 00080001
    worin f und f2 die Resonanzfrequenzen der Gasmischung, bzw. des reinen Trägergases sind. Durch Vereinigung der Gleichungen (10) bis (12) erhalten wir
    Figure 00080002
  • Ein Vereinfachung der Gleichung (13) führt zu folgender quadratischen Gleichung Ax2 + Bx + C = 0 (14)worin A = λ(m – 1)(1 – g), (15) B = λm(g – h) + λ(1 - 2g + h) – h(1 – g), and (16) C = (λ – 1)(g – h). (17)
  • Die Lösungen der Gleichung (14) haben die Form
    Figure 00080003
  • Akzeptable Lösungen müssen innerhalb realistischer Grenzen bleiben, beispielsweise 0 ≤ x1,2 ≤ 1. Bei der überwiegenden Zahl binäre Gassysteme gibt es nur eine Lösung für x, was darauf hin weist, dass eine monotone Relation zwischen dem Molenbruch des Trägergases und der Schallgeschwindigkeit besteht. 1 zeigt diese Abhängigkeit für TMI in dem Trägergas Wasserstoff.
  • Bei dieser Erfindung sind die in Gleichung (13) enthaltenen Variablen m, g und i (h ?!) für das zu analysierende binäre Gas bekannt. Sobald λ bestimmt worden ist, kann x1,2 berechnet werden. Da f2 bekannt ist, können wir aus Gleichung (12) den Wert für x errechnen sobald wir f bestimmt haben. Die folgende Diskussion zur akustischen Resonanz ist hilfreich für das Verständnis der vorliegende Erfindung.
  • Ein Gasresonator kann als ein durch eine harmonische Schwingung angeregter gedämpfter Resonator betrachtet werden, also
    Figure 00080004
    mit m, der Masse des Resonators, λ, dem Dämpfungskoeffizienten (logarithmisches Dekrement), k, der Federkonstanten, A0, der Amplitude der Anregungskraft, f, der Frequenz der Anregungskraft, und x, die unmittelbare Auslenkung der Masse zum Zeitpunkt t. Die Lösung nach x hat die Form x = x0 cos(2πft + φ) mit x0, der Schwingungsamplitude bei der Anregungsfrequenz, und φ, der Phasenverzögerung zwischen der Kraft und der resultierenden Auslenkung x der Masse. Es ist bekannt, dass x0 wie folgt dargestellt werden kann
    Figure 00090001
    mit f0, der wie folgt zu berechnenden Resonanzfrequenz
    Figure 00090002
    und Q, dem wie folgt zu berechnenden Qualitätsfaktor des Resonators Q = πf0m/λ. (22)
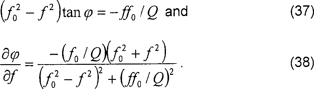
  • Die Phasenverzögerung ergibt sich aus
    Figure 00090003
  • Somit ist das betrachtete System durch die Schwingungsamplitude x0 und die Phasenverzögerung φ vollständig beschrieben. Die Schwingungsamplitude x0 ist am größten, wenn f gleich f0. Eine Analyse der Gleichung (23) zeigt, dass
    φ = 0 für f<<f0,
    φ = -π/2 für f=f0, and
    φ = -π für f>>f0.
  • Da Q-1 das Verhältnis der durch Dämpfung verursachten Energieverlustrate zu der im Resonator insgesamt gespeicherten Energie darstellt, bestimmen f0 und Q die Mechanik des Resonatorsystems in hinreichender Weise.
  • 2 zeigt typische Änderungen der Phasen und Amplituden in der Nähe einer Resonanz.
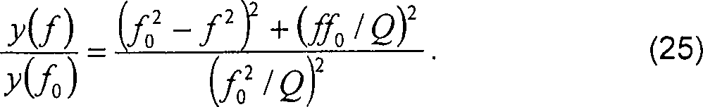
  • Die Bestimmung der Resonanzfrequenz f0 aus Amplitudenmessungen erfolgt mittels der folgenden aus Gleichung (20) entwickelten Gleichung
    Figure 00090004
  • Die Division von y(f) durch y(f0) ergibt
    Figure 00100001
  • In der Nähe der Resonanz gilt f2 – f2 ≈ 2f0(f0 – f). Da f0 bis hierher noch nicht bestimmt ist, beziehen wir die Frequenzen auf eine in der Nähe der Resonanzfrequenz f0 liegende Referenzfrequenz fR, wobei f0 – f = (fR – f)+(f0 – fR) = Δ + Δ0 (26)
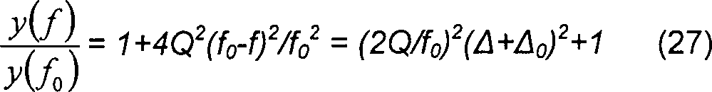
  • Wenn wir jetzt y(f)/y(f0) unter Bezug auf die inkrementelle Frequenz Δ umformen, erhalten wir
    Figure 00100002
    und, in die quadratische Form umgeschrieben, Y(Δ) = b0 + b1Δ + b2Δ2 (28)worin b0 = (1 + (2Q/f0)2Δ0 2)Y(f0), (29) b1 = 2 Δ0(2Q/f0)2y(f0), and (30) b2 = (2Q/f0)2Y(f0). (31)
  • Im Hinblick auf die zur Bestimmung der bestangepassten Werte für b0, b1, and b2 erforderliche parabolische Regression für y(Δ), werden um fR herum mehrere Messungen vorgenommen, was weiter unten näher erklärt wird. Die Gleichungen (29) bis (31) ergeben dann
    Figure 00100003
    3 zeigt den Verlauf von y(f) = 1/x0 2 und von x0 in der Nähe einer Resonanz.
  • Um die Resonanzfrequenz f0 aus einer Phasenmessung bestimmen zu können, schreiben wir Gleichung (23) folgendermaßen um
    Figure 00110001
  • Wie oben erwähnt gilt in der Nähe der Resonanz f2 – f2 ≈ 2f0(f0 – f). Deshalb gilt
    Figure 00110002
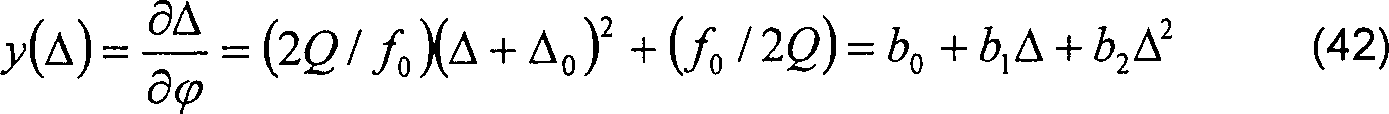
  • Wiederum, da f0 bis hierher noch nicht bestimmt ist, beziehen wir die Frequenzen auf eine in der Nähe der Resonanzfrequenz f0 liegende Referenzfrequenz fR, wobei f0 – f = (fR – f) + (f0 – fR) = Δ + Δ0. (40)
  • Somit gilt
    Figure 00110003
    and
    Figure 00110004
    where b0 = (f/2Q) + (2Q/f00 2, (43) b1 _ (2Q/f0)2Δ0, and (44) b2 = (2Q/f0). (45)
  • Vor Ausführung der parabolische Regression werden, zur Bestimmung der bestangepassten Werte für die Regressionskoeffizienten, um fR herum mehrere Messungen vorgenommen. Gleichungen (43) bis (45) ergeben sodann
    Figure 00110005
    4 zeigt den Verlauf von –1/dφ and φ in der Nähe einer Resonanz.
  • Die oben erwähnte parabolische Regressionsmethode wird wie folgt erklärt. Ausgehend von einem Modell der Form y(x) = b0 + b1x + b2X2 (49) können die Regressionsgleichungen matrizenförmig wie folgt dargestellt werden
  • Figure 00120001
  • Die bestangepassten Parameter erhält man durch Invertierung dieser Regressionsmatrix. Obwohl diese Matrix für jede beliebig Zahl von Messpunkten invertiert werden kann, ergibt sich eine Vereinfachung, wenn man symmetrisch um den Referenz-Nullpunkt verteilte Messpunkte in gleichen Abständen voneinander wählt. Dann werden die Hälfte der Matrizenelemente auf Null reduziert. Beispielsweise, 11 um den Referenzpunkt herum verteilte Messpunkte im Abstand von jeweils 1 Hz ergeben n = 11, ∑x = 0, ∑x2 = 110, ∑x3 = 0, und ∑x4 = 1958. Mit diesen Werten lassen sich die Werte für b aus der folgenden invertierten Matrix-Gleichung berechnen
    Figure 00120002
  • Sobald die b-Parameter bekannt sind, kann die Resonanzfrequenz f0 wie oben beschrieben aus Amplitudenmessungen oder Phasenmessungen bestimmt werden. Bei gleichen Abständen der Messpunkte, aber nicht notwendigerweise 1 Hz, müssen die b-Parameter wie folgt auf die Inkremente s skaliert werden:
    b0 → b0,
    b1 → b1/s, und
    b2 → b2/s2.
  • Bezug nehmend auf die 5 bis 7, hat eine Akustikzelle 1 ein vorzugsweise aus Metall gefertigtes Gehäuse 10. Das Gehäuse 10 enthält eine Mehrzahl akustischer Hohlräume, beispielsweise die akustischen Hohlräume 11, 12 und 13. Der akustische Hohlraum 12 ist kleiner als die akustischen Hohlräume 11 und 13. Eine erste und zweite Abschlussmembran 20a, 20b bestehen vorzugsweise aus Metall, beispielsweise aus INCONEL, rostfreiem Stahl oder einer anderen nicht oxidierenden metallischen Legierung. Wenn die erste und zweite Abschlussmembran 20a, 20b im Gehäuse 10 eingebaut wir, wird vorher ein O-Ring 21 in die O-Ring-Nut 22 im Gehäuse 10 eingesetzt. Sodann bilden die erste und zweite Abschlussmembran 20a, 20b jeweils eine Seitenwand der akustischen Hohlräume 11 und 13.
  • Bezug nehmend auf die 6A und 6B, wird ein Schallsendekopf, beispielsweise eine Schallsendemikrofonkapsel 30, in das Gehäuse 10 direkt an der ersten Abschlussmembran 20a eingepasst. Die Schallsendemikrofonkapsel 30 enthält innerhalb eines Metallgehäuses 33 ein zum Antrieb der ersten Abschlussmembran 20a dienendes Schallsendemikrofon 34 und ein Kompensationsmikrofon 32. Das Schallsendemikrofon 34 und das Kompensationsmikrofon 32 werden vorzugsweise mittels Epoxydharz in das Gehäuse 33 eingeklebt. Das Gehäuse 33 wird vorzugsweise durch zwei (nicht dargestellte) schallisolierende O-Ringe in der inneren Zylinderwand der Schallsendemikrofonkapsel 30 von der Schallsendemikrofonkapsel 30 isoliert. Zwei Nuten 38 für schallisolierende O-Ringe in einer äußeren Zylinderwand der Schallsendemikrofonkapsel 30 nehmen zwei die Schallsendemikrofonkapsel 30 akustisch dämpfende O-Ringe 37 auf, so dass die Signalübermittlung über einen parasitären Pfad durch das Gehäuse 10 stark reduziert wird. Elektrodynamische Mikrofone sind geeignet für Schallsendeköpfe im Bereich 1 bis 7 kHz. Zwei Entlüftungslöcher 65, jeweils eins auf jeder Seite der O-Ring-Nut 38, sorgen für einen Ausgleich von Druckunterschieden innerhalb der Schallsendemikrofonkapsel 30.
  • Die Schallsendemikrofonkapsel 30 enthält am Ende eine Unterlegscheibe 22a, womit das Gehäuse 33 innerhalb der Schallsendemikrofonkapsel 30 fixiert wird. Die Unterlegscheibe 22a am Ende wird vorzugsweise mittels (nicht dargestellter) Schrauben, die in die in 6B dargestellten Löcher passen, an der Schallsendemikrofonkapsel 30 befestigt. Vorzugsweise wird zwischen der Unterlegscheibe 22a am Ende und dem Gehäuse 33 ein (nicht dargestellter) schallisolierender O-Ring eingebracht. Die Schallsendemikrofonkapsel 30 wird im Gehäuse 10 mittels des Kragens 23 befestigt.
  • Ein Antriebssignal 35 aktiviert das Schallsendemikrofon 34 und das Kompensationsmikrofon 32 in synchroner Weise, so dass die Schallsendemikrofonkapsel 30 beim Senden des akustischen Signals durch das in der Akustikzelle 1 vorhandene Gasmedium nur ein minimales Moment auf das Gehäuse 10 überträgt. Somit findet fast keine Signalübertragung über den parasitären Pfad statt, während das Signal unvermindert durch das Gasmedium übertragen wird. Wahlweise können das Schallsendemikrofon 34 und das Kompensationsmikrofon 32 einzeln hinsichtlich Phase und Amplitude justiert werden. Wenn die Mikrofone vom selben Hersteller mit kommerziell gängigen Toleranzen gefertigt worden sind, sind sie ausreichend hinsichtlich Phase und Amplitude aneinander angepasst.
  • Bezug nehmend auf die 7, wird ein Schallempfangskopf, beispielsweise, eine Schallempfangsmikrofonkapsel 40, in das Gehäuse 10 direkt an der zweiten Abschlussmembran 20b eingepasst. Die Schallempfangsmikrofonkapsel 40 enthält ein Schallempfangsmikrofon 42 zum Empfangen der Schwingungen der zweiten Abschlussmembran 20b und zum Weiterleiten des empfangenen Signals 41a. Vorzugsweise ist das Schallempfangsmikrofon 42 vom Typ eines Electret-Mikrofons (Kondensatormikrofon) wegen dessen hoher Empfindlichkeit und relativ flachem Frequenzverlauf beim Empfangen akustischer Signale. Wegen seiner geringe Größe passt das Empfangsmikrofon 42 direkt in die Schallempfangsmikrofonkapsel 40. Das Schallempfangsmikrofon 42 wird vorzugsweise durch einen schallisolierenden O-Ring 43 von der Schallempfangsmikrofonkapsel 40 isoliert. Die Schallempfangsmikrofonkapsel 40 ist vom Gehäuse 10 durch einen schallisolierenden O-Ring 47 isoliert, der in eine O-Ring-Nut 48 passt. Zwei Entlüftungslöcher 65, jeweils eins auf jeder Seite der O-Ring-Nut 38, sorgen für einen Ausgleich von Druckunterschieden innerhalb der Schallempfangsmikrofonkapsel 40. Das Empfangsignal 41a, das Stromkabel 41b und das Endungskabel 41c sind von der Schallempfangsmikrofonkapsel 40 elektrisch isoliert.
  • Das Schallempfangsmikrofon 42, das Schallsendemikrofon 34 und das Kompensationsmikrofon 32 sind, wie vorher beschrieben, so montiert, dass eine Geräuschübertragung über die Metallteile von einem Ende der Akustikzelle 1 zum anderen Ende minimiert wird. Minimierung der Geräuschübertragung ist wesentlich bei den niedrigen Betriebsdrücken der vorliegenden Erfindung.
  • Bezug nehmend auf 5, sind Metallmembranen 20a, 20b zwischen der aus den akustischen Hohlräumen 11, 12 und 13 bestehenden akustischer Resonanzkammer und den aus nicht-metallischen Bauteilen bestehenden Schallsende- und Schallempfangsmikrofonen 34, 42, eingesetzt; damit wird erreicht, dass der Gasfluss kontaminationsfrei bleibt und die Mikrofone von möglichen Druckimpulsen innerhalb der akustischen Resonanzkammer geschützt bleiben. Die Abschlussmembranen 20a, 20b sind vorzugsweise vorgespannte Abschlussmembranen von einem Zoll Durchmesser mit einer Grundschwingungsfrequenz von ungefähr 6 kHz bei atmosphärischem Druck.
  • Ein Gaszuführungsrohr 70 ist mit dem akustischen Hohlraum 11 über den Gaszuführung 71 verbunden. Ein Gasableitungsrohr 80 ist mit dem akustischen Hohlraum 12 über den Gasableitung 81 verbunden. Ein vorzugsweise aus Platin bestehender RTD-Temperaturfühler 50 (Widerstands-Temperatur-Detektor), ist zur Übermittlung genauer Temperaturwerte in das Gehäuse 10 eingesetzt. Zwei Löcher 60 werde vorzugsweise durch einen dicken Teil des Gehäuses 10 gebohrt, in denen ein (nicht dargestelltes) Heizelement befestigt werden kann, mit dem die Akustikzelle 1 mit einer Genauigkeit von 0,1 K auf einer bestimmten Temperatur gehalten werden kann.
  • Bezug nehmend auf 8, sendet der Digitalsignal-Prozessrechner 100 ein Treibersignal 35 an die Akustikzelle 1. Der Digitalsignal-Prozessrechner 100 enthält vorzugsweise einen digitalen Wellenform-Synthesizer, beispielsweise einen Sinuswellengenerator, um eine synthetisierte Sinuswelle 98 zu einem Digital-Analog-Umwandler 97 weiterzuleiten, von dem sodann eine analoge Sinuswelle 96 ausgegeben wird. Ein Verstärker 95 verstärkt die Sinuswelle 96 und erzeugt somit das Treibersignal 35 für die Akustikzelle 1. Die Akustikzelle 1 gibt das empfangene Signal 41a aus, das ein direktes Indiz für die Zusammensetzung des Gases in der Akustikzelle 1 darstellt. Das empfangene Signal 41a wird vom Verstärker 90 verstärkt, der sodann das Verstärkerausgangssignal 91 an einen Analog-Digital-Umwandler 92 und dieser das entstehende Digitalsignal 93 an den Digitalsignal-Prozessor 100 weiterleitet. Der Digitalsignal-Prozessor 100 empfängt ferner ein (nicht dargestelltes) Temperatursignal 50 zur Verwendung in dessen Berechnungen. Der Digitalsignal-Prozessor 100 enthält einen digitalen Phasendetektor, der die Phase des empfangenen Signals 41 etwas 200 mal pro Sekunde mit der Phase des Treibersignals 35 vergleicht. Ein eingebauter Mikroprozessrechner bestimmt die durchschnittliche Resonanzfrequenz fünf mal pro Sekunde. Der Digitalsignal-Prozessor 100 gibt sodann ein Prozessor-Ausgangssignal 101 aus, das einen Hinweis auf die Gaszusammensetzung des binären Gases in der Akustikzelle 1 gibt.
  • Eine alternative Messmethode, die als Phasen-Sperr-Methode bezeichnet werden kann, wird kurz beschrieben. In einem bestimmten gasförmigen Medium ist die Phasenverzögerung zwischen Schallempfangs- und Schallsendekopf bei der Resonanzfrequenz f0 konstant, solange die Zusammensetzung des Gases nicht schwankt. Jede auf eine Veränderung der Gaszusammensetzung zurückzuführende Änderung der Phasenverzögerung zwingt den digitalen Sinuswellengenerator, die Frequenz des Treibersignals 35 so zu justieren, dass die Phasenverzögerung wieder zum Wert des stationären Zustands zurückkehrt. Sofern das Schallsendemikrofon 34 und Schallempfangsmikrofon 42 in ihrer Phase aufeinander abgestimmt sind, zeigt im Betrieb der Akustikzelle 1 ein Unterschied der Phasen eine Änderung des Gaszusammensetzung an. Die Frequenz des Treibersignals 35 wird verändert, um die Phase wieder anzugleichen. Die zum Angleichen der Phase erforderliche Höhe der Frequenzveränderung liefert die zum Bestimmen der Gaszusammensetzung erforderliche Information. Folglich erlaubt die Differenz zwischen einjustierter Frequenz und der Resonanzfrequenz f0 im stationären Zustand, die Veränderung der Gaszusammensetzung zu berechnen. Diese Messmethode ist schneller als die oben beschriebene, sie ist aber nur bei der Überwachung von Verfahren mit stationären Zuständen anwendbar.
  • Die Kalibrierung erfolgt bei den zu erwartenden Betriebswerten der Temperatur, des Drucks und der Flussrate, indem reines Trägergas durch die Akustikzelle 1 geschickt und sodann eine Grundlinie der Frequenz gemessen wird. All Messungen des binären Gases erfolgen dann relativ zu dieser Grundlinie. Der Akustiksensor ist somit unabhängig von anderenfalls erforderlichen Kalibrierungen beim Hersteller. Selbstverständlich erfordert jede starke Veränderung der Betriebsbedingungen (Betriebstemperatur, -druck und -fussrate), dass zur Aufrechterhaltung der Genauigkeit eine neue Grundlinien-Messung durchgeführt wird.
  • Bezug nehmend auf 9A, wird bei den hohen Temperaturen, in denen die vorliegende Erfindung eingesetzt wird, vorzugsweise ein elektrostatisches Schallsendemikrofon anstelle von elektrodynamischen Mikrofonen 32, 34 verwendet. Eine elektrostatische Antriebseinrichtung 120 kann direkt an der ersten Abschlussmembran 20a angreifen. Die im Spannungsbereich 100 bis 500V von einer Gleichstromquelle 124 vorgespannte erste Abschlussmembran 20a wird von einem Sinuswellengenerator 122 durch diese Gleichstromquelle hindurch angetrieben. Der Sinuswellengenerator 122 wird über die Erdungsplatte 121 geerdet. Die an der Abschlussmembran 20a ansetzende Kraft F(t) kann durch die Formel F(t) = -CV0ucosωt ausgedrückt werden, mit C, der statischen Kapazität zwischen Abschlussmembran 20a und Erdungsplatte 121, V0, der Gleichstromvorspannung 124 und u, der Amplitude des Sinuswellengenerators 122.
  • Bezug nehmend auf 9B, wird bei den hohen Temperaturen, in denen die vorliegende Erfindung eingesetzt wird, vorzugsweise ein elektrostatisches Mikrofon anstelle des Electret-Mikrofons 42 verwendet. Eine Rückplatte 131 bildet zusammen mit der Abschlussmembran 20b einen Kondensator. Eine von der Gleichstromquelle 134 erzeugte Vorspannung, vorzugsweise im Bereich 20 bis 100V, und ein Widerstand R, vorzugsweise kleiner als 10 MΩ, erlaubt, dass ein Signal e(t) festgestellt werden kann.
  • Das Signal e(t) kann durch die Formel e(t) = RV0( ∂c / ∂t)C ausgedrückt werden, mit ∂c / ∂t, der zeitlichen Ableitung der Kapazität zwischen der Abschlussmembran 20b und der Rückplatte 131.
  • Im Folgenden wird die Auswertung des Betriebs der vorliegenden Erfindung beschrieben. Die Akustikzelle 1 hatte eine typische Länge von 3,850 Zoll und einen typisch Durchmesser von 1,750 Zoll. Die akustischen Hohlräume 11 und 13 hatten eine typische Länge von 0,600 Zoll und einen typischen Durchmesser von 1,000 Zoll, während der akustischen Hohlraum 12 eine typische Länge von 1,200 Zoll und einen typischen Durchmesser von 0,375 Zoll hatte. Die Abschlussmembranen 20a, 20b sowie die isolierenden O-Ringe 21 hatte einen typischen Durchmesser von 1,206 Zoll.
  • 10 zeigt die Streuwerte der Resonanzfrequenzen im Wasserstoffgas, gemessen bei einer Flussrate von 500 ml/min und einem Druck von 200 mbar (150 Torr). Die jeweilige Messzeit betrug 200 ms. Aus 10 ist ersichtlich, dass über ein Zeitraum von fünfzehn Minuten der Streubereich ungefähr 0,2 Hz beträgt, woraus sich eine Kuzzeit-Temperaturstabilität in der Größenordnung von 0,05 K ergibt. Daraus lässt sich die Genauigkeit der Frequenzbestimmung zu 0,0045 % und die des Trimethylindiums (TMI) im Wasserstoffgas zu 0,00011 % errechnen.
  • Bezug nehmend auf 11, ist die quantitative Prüfung mit mehreren Gasen in dem Primärgas Wasserstoff durchgeführt worden. Jeder Mengen-Durchflussregler des jeweiligen Gases wurde genau kalibriert, indem die erforderliche Zeit zum Füllen eines bestimmten Volumens (ungefähr 500 ml) bei einer festgelegten Druckdifferenz (667 mbar (500 Torr)) gemessen, und damit die nominelle Mengen-Flussrate festgelegt wurde. Bei Stickstoffgas schwankte der Kalibrierfaktor zwischen 0,99 und 1,02. Bei Wasserstoffgas schwankte der Kalibrierfaktorzwischen 1,09 und 1,15. Bei den Gases Argon, Kohlendioxid und R134a waren die jeweiligen Kalibrierfaktoren 1,36, 0,70, beziehungsweise 0,28. Diese für jeden Mengenflussregler spezifischen Gaskalibrierfaktoren wurden angewendet, um den Molenbruch des jeweiligen, in das Primärgas Wasserstoff eingeschleusten Gases zu schätzen. Diese Molenbruch-Schätzwerte für die Gase Argon, Stickstoff, Kohlendioxid und R134a sind in 11 als Funktion der Gasflussrate mit den durchgezogenen geraden Linien dargestellt. Die Flussrate des Primärgases Wasserstoff wurde dabei konstant auf 400 ml/min und der Druck auf 400 mbar (300 Torr) gehalten.
  • Sodann sind die Resonanzfrequenzen der Akustikzelle im jeweiligen Gas bei Flussraten von 5, 10 und 15 ml/min gemessen worden. Die Resultate sind in 11 als diskrete Datenpunkte der gemessenen Frequenzen eingetragen. Die Molenbruch-Werte sind mit einer Akustikzelle gemäß der vorliegenden Erfindung gemessen worden und es zeigte sich, dass die Ergebnisse sehr gut mit den Schätzwerten der kalibrierten Mengenflussregler übereinstimmen. Die größte Frequenzänderung bei diesem Satz von Messdaten betrug 1017 Hz, was bei Trimethylindium (TMI) in Wasserstoff einer Genauigkeit von 0,63 % entspricht.
  • Bezug nehmend auf 12, sind hierin als durchgezogene gerade Linien die Molenbruch-Schätzwerte für Stickstoff bei einer durch verschiedene Betriebsdrücke ausgelösten Änderung der Flussrate dargestellt. Die diskreten Messpunkte sind mit einer Akustikzelle gemäß der vorliegenden Erfindung bei verschiedenen Drücken gemessen worden. Die 11 und 12 beweisen die hohe quantitative Genauigkeit der vorliegenden Erfindung über einen großen Bereich von Betriebsdrücken und Flussraten hinweg bei einer Vielfalt von Gasen.
  • Bezug nehmend auf 13, ist hierbei die Akustikzelle der vorliegenden Erfindung in die Zuleitung des Trimethylindiums (TMI) eines metallorganischen Gasphasenepitaxie (MOCVD) Reaktors eingebaut worden. Die dargestellten Datenpunkte sind Ergebnisse eines Versuchs, bei dem die Flussrate des Wasserstoffs durch den TMI-Bubbler variiert wurde. Die durchgezogene Linie zeigt die Ergebnisse der Berechnung unter den Annahmen, dass sich ein stationärer Zustand der Flussrate des Wasserstoffs durch den Bubbler sowie ideale Dampfdruckbedingungen des TMI eingestellt haben. Die mit der Akustikzelle gemäß der vorliegenden Erfindung gemessenen Molenbruchwerte sind als diskrete Messpunkte dargestellt. Der Betriebsdruck betrug 200 mbar (150 Torr) und das Wasserstoffgas ist der Lösung mit 200 ml/min zugeführt worden.
  • Die Differenz zwischen gemessenem Molenbruch und geschätztem idealen Molenbruch steigt mit wachsender Flussrate im Bubbler. Es wird vermutet, dass bei die Mitreiß-Effizienz mit zunehmender Flussrate des Wasserstoffs durch den TMI-Bubbler abnimmt. Deshalb führen konventionelle, auf der Mengen-Flussrate basierende Berechnungsmethoden wahrscheinlich zu einer Überschätzung des resultierenden Molenbruchs.
  • Bezug nehmend auf 14, wurden ähnliche Versuche mit dem R134a-Gas durchgeführt. Die durchgezogene Linie basiert auf einem kalibrierten Mengen-Durchflussregler, während die diskreten Messwerte das Resultat von Messungen mit der vorliegenden Erfindung darstellen. Hier zeigt sich eine hervorragende quantitative Übereinstimmung zwischen der Akustikzelle und dem kalibrierten Mengen-Flussregler.

Claims (14)

  1. Eine Akustikzelle (1), die Folgendes umfasst ein Zellengehäuse (10) und fließtechnisch mit dem Zellengehäuse (10) verbundene Strömungsvorrichtungen (70, 80), durch die ein Gas zum Durchströmen des besagten Zellengehäuses(10) gebracht wird; Schallerzeugungsmittel (30, 20a) an einem (ersten) Ende des Zellengehäuses (10), dessen Akustiksignal durch das Gas, das das Zellengehäuse (10) durchströmt, geschickt wird; Schallempfangsmittel (40, 20b) am anderen (zweiten) Ende des Zellengehäuses (10), der das Akustiksignal empfängt; wobei besagtes Zellengehäuse (10) eine Reihe von akustischen Hohlräumen (11, 12, 13) aufweist; zumindest einer der Schallerzeugungsmittel (30, 20a) und einer der Schallempfangsmittel (40, 20b) schalltechnisch vom Gehäuse (10) der akustischen Zelle isoliert sind, und besagte Schallerzeugungsmittel einen Sendeschallkopf (30) und eine erste Abschlussmembran (20a) zwischen dem Sendeschallkopf (30) und dem ersten Ende des Zellengehäuses (10) aufweisen; und besagter Schallerzeuger Folgendes umfasst: ein Schallerzeugerkapselgehäuse (30); ein in das Schallerzeugerkapselgehäuse (30) eingepasstes Metallgehäuse (33); zumindest einen schallisolierenden O-Ring (37) außen auf dem Schallerzeugerkapselgehäuse (30); zumindest einen schallisolierenden O-Ring innen im Schallerzeugerkapselgehäuse (30); und ein innerhalb des Metallgehäuses (33) direkt an der ersten Abschlussmembran (20a) anliegendes Sehallsendemikrofon (34).
  2. Eine Akustikzelle gemäß Anspruch 1, dadurch gekennzeichnet, dass besagter Sendeschallkopf innerhalb des besagten Metallgehäuses (33) ein Kompensationsmikrofon (32) enthält und zwar Rücken-an-Rücken mit dem Schallsendemikrofon (34); und besagtes Schallsendemikrofon (34) und das besagte Kompensationsmikrofon (32) sich einen synchronisierten Eingang (35) teilen.
  3. Eine Akustikzelle gemäß Anspruch 1 oder 2, dadurch gekennzeichnet, dass besagtes Schallempfangsmittel Folgendes enthält: einen Schallempfangskopf (40); und eine zweite Abschlussmembran (20b) zwischen besagtem Schallempfangskopf (40) und dem zweiten Ende des besagten Zellengehäuses (10).
  4. Eine Akustikzelle gemäß Anspruch 3, dadurch gekennzeichnet, dass der besagte Schallempfangskopf Folgendes enthält: ein Gehäuse (40) der Schallempfängerkapsel; zumindest einen schallisolierenden O-Ring (47) außen auf dem Schallempfängerkapselgehäuse (40); ein innerhalb des Schallempfängerkapselgehäuses (40) direkt an der zweiten Abschlussmembran (20b) anliegendes Schallempfangsmikrofon (42).
  5. Eine Akustikzelle gemäß einem der Ansprüche 1 bis 4, dadurch gekennzeichnet, dass die Schallerzeugungsmittel (30, 20a) ein elektrostatisches Mikrofon und die Schallempfangsmittel (40, 20b) ein Kondensatormikrofon enthalten.
  6. Eine Akustikzelle gemäß Anspruch 1 und 4, dadurch gekennzeichnet, dass besagtes Schallsendemikrofon (34) und das Kompensationsmikrofon (32) aus elektrodynamischen Mikrofonen bestehen; besagtes Empfangsmikrofon (42) aus einem Electret-Mikrofon besteht.
  7. Eine Akustikzelle gemäß einem der Ansprüche 1 bis 6, dadurch gekennzeichnet, dass zumindest zwei der besagten akustischen Hohlräumen (11, 12, 13) unterschiedlicher Größe sind.
  8. Eine Akustikzelle gemäß Anspruch 1, des weiteren dadurch gekennzeichnet, dass eine Heizeinrichtung am Zellengehäuse angebracht ist, durch die die akustische Zelle erwärmt wird; und Messfühler (50) am Zellengehäuse angebracht sind, mit denen die Temperatur der besagten akustischen Zelle bestimmt werden kann.
  9. Eine Akustikzelle gemäß Anspruch 3 oder 4, dadurch gekennzeichnet, dass eine Betriebsfrequenz der besagten Akustikzelle sowohl unter der Eigenresonanzfrequenz der besagten ersten Abschlussmembran (20a) als auch unter der Eigenresonanzfrequenz der besagten zweiten Abschlussmembran (20b) liegt.
  10. Eine Akustikzelle (1) gemäß Anspruch 3 oder 4, dadurch gekennzeichnet, dass eine Betriebsfrequenz der besagten Akustikzelle sowohl unter der Eigenresonanzfrequenz des besagten Schallerzeugerkapselgehäuses (30) als auch unter der Eigenresonanzfrequenz des besagten Schallempfängerkapselgehäuses (40) liegt.
  11. Ein Akustiksensor, der eine Akustikzelle (1) gemäß einem der Ansprüche 1 bis 10 umfasst und gekennzeichnet ist durch einen an dem einen (ersten) Ende des besagten Gehäuses (10) eingebauten Schallsendekopf (30), der ein elektrisches Antriebssignal (35) empfängt, dieses Antriebssignal in ein Akustiksignal umwandelt und das Akustiksignal durch das das Gehäuse (10) durchströmende Gas hindurchschickt; einen an dem anderen (zweiten) Ende des besagten Gehäuses (10) eingebauten Schallempfangskopf (40), der das ausgesandte Akustiksignal empfängt, dieses akustische Empfangssignal in ein elektrisches Empfangssignal umwandelt und dieses elektrische Empfangssignal ausgibt; einen Prozessrechner (100), der das besagte elektrische Antriebssignal (35) dem Schallsendekopf (30) zuführt und das vom Schallempfangskopf (40) abgegebene elektrische Signal annimmt; Mittel, durch die die Frequenz des ausgesendeten Akustiksignals verändert werden kann; Mittel, durch die eine auf das Gas zurückzuführende Resonanzfrequenz ermittelt werden kann; und besagter Prozessrechner (100) Mittel enthält, die ihm ermöglichen, eine Zusammensetzung des besagten Gases zu bestimmen.
  12. Ein Akustiksensor gemäß Anspruch 11, dadurch gekennzeichnet, dass die besagten Mittel, die zur Bestimmung einer auf das Gas zurückzuführenden Resonanzfrequenz eingesetzt werden, auch die Phasenverzögerung des elektrischen Empfangssignals bezogen auf das elektrische Antriebssignal bestimmen.
  13. Ein Akustiksensor gemäß Anspruch 12, dadurch gekennzeichnet, dass die besagten Mittel, die zur Bestimmung einer auf das Gas zurückzuführenden Resonanzfrequenz eingesetzt werden, auch die Amplitude des elektrischen Empfangssignals bezogen auf die Amplitude des elektrischen Antriebssignals bestimmen.
  14. Eine Methode zur Bestimmung der Zusammensetzung eines binären Gasgemisches, gekennzeichnet durch die folgenden Schritte: Bereitstellen einer Akustikzelle (1) gemäß einer der Ansprüche 1 bis 10; Durchströmen der besagten Akustikzelle (1) mit einem Gas; Empfangen eines von einem Digitalsignal-Prozessrechner (100) ausgehenden elektrischen Antriebssignals (35); Umwandlung des besagten elektrischen Antriebssignals in ein Akustiksignal; Aussenden des besagten Akustiksignals in das besagte, die Akustikzelle (1) durchströmende Gas; Empfangen des auf den Schritt des Aussendens eines Akustiksignals in das besagte Gas zurückzuführenden Akustiksignals; Umwandlung des empfangenen Akustiksignals in ein, diesem Signal entsprechendes elektrisches Empfangssignal; Ausgabe des besagten elektrischen Empfangssignals an den Digitalsignal-Prozessrechner (100); Verarbeitung des besagten elektrischen Empfangssignals im Digitalsignal-Prozessrechner (100) zur Ermittlung einer auf das besagte Gas zurückzuführenden Resonanzfrequenz; und Bestimmung der Zusammensetzung des besagten Gases auf der Basis der besagten Resonanzfrequenz.
DE1997637221 1996-06-13 1997-06-12 Akustischer Sensor mit Resonatorzelle zur kontinuierlichen Überwachung von Gasen Expired - Fee Related DE69737221T2 (de)

Applications Claiming Priority (2)

Application Number Priority Date Filing Date Title
US1967596P 1996-06-13 1996-06-13
US19675P 1996-06-13

Publications (2)

Publication Number Publication Date
DE69737221D1 DE69737221D1 (de) 2007-02-22
DE69737221T2 true DE69737221T2 (de) 2007-10-25

Family

ID=21794453

Family Applications (1)

Application Number Title Priority Date Filing Date
DE1997637221 Expired - Fee Related DE69737221T2 (de) 1996-06-13 1997-06-12 Akustischer Sensor mit Resonatorzelle zur kontinuierlichen Überwachung von Gasen

Country Status (3)

Country Link
EP (1) EP0813060B1 (de)
JP (1) JP3615019B2 (de)
DE (1) DE69737221T2 (de)

Families Citing this family (8)

* Cited by examiner, † Cited by third party
Publication number Priority date Publication date Assignee Title
JP2003315318A (ja) * 2002-04-26 2003-11-06 Japan Atom Energy Res Inst 容器内の混合気体の共鳴周波数を測定することによって混合気体の分圧比を非破壊・リアルタイムで測定する方法、及び装置
EP1860433A1 (de) * 2006-05-24 2007-11-28 TF Instruments, Inc. Ultraschallresonatorzelle mit gleichförmigen Andruck auf die Ultraschalltransducer
DE102006045921B4 (de) 2006-09-28 2022-07-14 Robert Bosch Gmbh Brennstoffzelle mit Vorrichtung zur quantitativen Bestimmung von Gasanteilen
GB201120887D0 (en) 2011-12-06 2012-01-18 The Technology Partnership Plc Acoustic sensor
EP2833953B1 (de) 2012-04-05 2019-01-16 Fisher&Paykel Healthcare Limited Atmungsunterstützungsvorrichtung
CN110354356B (zh) 2014-05-27 2022-11-01 费雪派克医疗保健有限公司 用于医疗装置的气体混合和测量
EP3230727B1 (de) 2014-12-11 2024-08-21 TTP plc Akustiksensor
EP3383470B8 (de) 2015-12-02 2022-05-25 Fisher&Paykel Healthcare Limited Strömungswegerfassung für strömungstherapievorrichtung

Family Cites Families (3)

* Cited by examiner, † Cited by third party
Publication number Priority date Publication date Assignee Title
FR1469145A (fr) * 1965-12-28 1967-02-10 Commissariat Energie Atomique Analyseur sonique
GB2203247A (en) * 1987-04-04 1988-10-12 Schlumberger Electronics Gas analyser
US5524477A (en) * 1993-11-29 1996-06-11 Leybold Inficon Inc. Quantitative determination of air present in refrigerant sample by measurement of pressure coefficient of resonance frequency

Also Published As

Publication number Publication date
JP3615019B2 (ja) 2005-01-26
EP0813060B1 (de) 2007-01-10
DE69737221D1 (de) 2007-02-22
JPH1073574A (ja) 1998-03-17
EP0813060A3 (de) 1998-09-16
EP0813060A2 (de) 1997-12-17

Similar Documents

Publication Publication Date Title
DE19531360B4 (de) Vorrichtung und Verfahren zum Steuern der Empfindlichkeit von Wandlern
EP2041529B1 (de) VORRICHTUNG ZUR BESTIMMUNG UND/ODER ÜBERWACHUNG EINER PROZESSGRÖßE EINES MEDIUMS
EP3084414B1 (de) Vorrichtung und verfahren zur bestimmung der konzentrationen von komponenten eines gasgemisches
US5768937A (en) Acoustic sensor for in-line continuous monitoring of gasses
DE60307871T2 (de) Vorrichtungen und verfahren zur wärmeverlustdruckmessung
DE3822716C2 (de) Einrichtung zum Überwachen von Änderungen der Ultraschalleigenschaften eines faserverstärkten Kunststoffes während eines Aushärteprozesses
DE69737221T2 (de) Akustischer Sensor mit Resonatorzelle zur kontinuierlichen Überwachung von Gasen
EP1208359A2 (de) Massendurchflussmessgerät
DD283560A5 (de) Verfahren und vorrichtung zur univasiven akustischen kontrolle der elastizitaet von weichen biologischen geweben
DE602004004709T2 (de) Verfahren und Vorrichtung zur Messung des Abgasdurchflusses
EP1498700A2 (de) Ultraschall-Gasdurchflusssensor sowie Vorrichtung zur Messung von Abgas-Strömungen von Verbrennungskraftmaschinen sowie Verfahren zur Ermittlung des Durchflusses von Gasen
DE3238155A1 (de) Verfahren und vorrichtung zur messung der stroemungsgeschwindigkeit einer schlammstroemung mit hilfe von ultraschall
DE69309939T2 (de) Durchflussmesser
AT515552B1 (de) Verfahren und Vorrichtung zur Ermittlung eines Dichtewertes
EP3521774B1 (de) Ultraschall-durchflussmessvorrichtung und verfahren zum bestimmen der strömungsgeschwindigkeit
DE102004037135B4 (de) Verfahren und Vorrichtung zur synchronen Druck- und Temperaturbestimmung in einem Hochdruckbehälter mittels Ultraschalllaufzeitmessung
DE69207859T2 (de) Hochfrequenz akustisches Rheometer, und dieses Rheometer verwendende Vorrichtung zur Messung der Viskosität eines Fluides
DE69710606T2 (de) Verfahren und vorrichtung zum elektronischen ausgleich von resonanz-messfehlern in einem kapazitiven druckwandler
DE69413543T2 (de) Verbesserungen bezüglich der überwachung von flüssigkeitsströmungen
EP1883791B1 (de) Verfahren zur bestimmung und/oder überwachung einer prozessgrösse
EP1218703B1 (de) Schalldruck-kalibrator
WO2003034015A1 (de) Druckmessaufnehmer mit trennmembran und temperaturkompensation
DE10062875A1 (de) Durchflussmesser
DE102016112679B4 (de) Verfahren und Anordnung zur Analyse von Gaseigenschaften
DE3411778A1 (de) Verfahren und vorrichtung zum messen der stroemungsgeschwindigkeit von fluiden mittels ultraschall

Legal Events

Date Code Title Description
8364 No opposition during term of opposition
8339 Ceased/non-payment of the annual fee