DE69721985T2 - Gegeninduktionskorrektur - Google Patents

Gegeninduktionskorrektur Download PDF

Info

Publication number
DE69721985T2
DE69721985T2 DE69721985T DE69721985T DE69721985T2 DE 69721985 T2 DE69721985 T2 DE 69721985T2 DE 69721985 T DE69721985 T DE 69721985T DE 69721985 T DE69721985 T DE 69721985T DE 69721985 T2 DE69721985 T2 DE 69721985T2
Authority
DE
Germany
Prior art keywords
coils
radiation
coil
circuit
frequency
Prior art date
Legal status (The legal status is an assumption and is not a legal conclusion. Google has not performed a legal analysis and makes no representation as to the accuracy of the status listed.)
Expired - Lifetime
Application number
DE69721985T
Other languages
English (en)
Other versions
DE69721985D1 (de
Inventor
Assaf Govari
Daniel Osadchy
Maier Fenster
Current Assignee (The listed assignees may be inaccurate. Google has not performed a legal analysis and makes no representation or warranty as to the accuracy of the list.)
Biosense Webster Inc
Original Assignee
Biosense Inc
Priority date (The priority date is an assumption and is not a legal conclusion. Google has not performed a legal analysis and makes no representation as to the accuracy of the date listed.)
Filing date
Publication date
Application filed by Biosense Inc filed Critical Biosense Inc
Application granted granted Critical
Publication of DE69721985D1 publication Critical patent/DE69721985D1/de
Publication of DE69721985T2 publication Critical patent/DE69721985T2/de
Anticipated expiration legal-status Critical
Expired - Lifetime legal-status Critical Current

Links

Classifications

    • GPHYSICS
    • G01MEASURING; TESTING
    • G01BMEASURING LENGTH, THICKNESS OR SIMILAR LINEAR DIMENSIONS; MEASURING ANGLES; MEASURING AREAS; MEASURING IRREGULARITIES OF SURFACES OR CONTOURS
    • G01B7/00Measuring arrangements characterised by the use of electric or magnetic techniques
    • G01B7/004Measuring arrangements characterised by the use of electric or magnetic techniques for measuring coordinates of points
    • AHUMAN NECESSITIES
    • A61MEDICAL OR VETERINARY SCIENCE; HYGIENE
    • A61BDIAGNOSIS; SURGERY; IDENTIFICATION
    • A61B5/00Measuring for diagnostic purposes; Identification of persons
    • A61B5/06Devices, other than using radiation, for detecting or locating foreign bodies ; Determining position of diagnostic devices within or on the body of the patient
    • A61B5/061Determining position of a probe within the body employing means separate from the probe, e.g. sensing internal probe position employing impedance electrodes on the surface of the body
    • A61B5/062Determining position of a probe within the body employing means separate from the probe, e.g. sensing internal probe position employing impedance electrodes on the surface of the body using magnetic field
    • GPHYSICS
    • G01MEASURING; TESTING
    • G01VGEOPHYSICS; GRAVITATIONAL MEASUREMENTS; DETECTING MASSES OR OBJECTS; TAGS
    • G01V3/00Electric or magnetic prospecting or detecting; Measuring magnetic field characteristics of the earth, e.g. declination, deviation
    • G01V3/08Electric or magnetic prospecting or detecting; Measuring magnetic field characteristics of the earth, e.g. declination, deviation operating with magnetic or electric fields produced or modified by objects or geological structures or by detecting devices

Landscapes

  • Life Sciences & Earth Sciences (AREA)
  • Physics & Mathematics (AREA)
  • Engineering & Computer Science (AREA)
  • Health & Medical Sciences (AREA)
  • General Physics & Mathematics (AREA)
  • Remote Sensing (AREA)
  • Biophysics (AREA)
  • Public Health (AREA)
  • Biomedical Technology (AREA)
  • Heart & Thoracic Surgery (AREA)
  • Medical Informatics (AREA)
  • Molecular Biology (AREA)
  • Surgery (AREA)
  • Animal Behavior & Ethology (AREA)
  • General Health & Medical Sciences (AREA)
  • Pathology (AREA)
  • Veterinary Medicine (AREA)
  • Electromagnetism (AREA)
  • Human Computer Interaction (AREA)
  • Environmental & Geological Engineering (AREA)
  • Geology (AREA)
  • General Life Sciences & Earth Sciences (AREA)
  • Geophysics (AREA)
  • Measurement Of Length, Angles, Or The Like Using Electric Or Magnetic Means (AREA)
  • Magnetic Resonance Imaging Apparatus (AREA)

Description

  • Gebiet der Erfindung
  • Die vorliegende Erfindung betrifft im Allgemeinen eine Vorrichtung zur Erzeugung und zum Detektieren von elektromagnetischen Feldern, und speziell kontaktlose, elektromagnetische Verfahren und Vorrichtungen zur Spurverfolgung der Position und Ausrichtung eines Objekts.
  • Hintergrund der Erfindung
  • Kontaktlose, elektromagnetische Spurverfolgungssysteme sind gut im Stand der Technik bekannt, mit einem breiten Bereich von Anwendungen.
  • Zum Beispiel beschreibt das US-Patent Nr. 4,054,881 ein Spurverfolgungssystem, das drei Spulen verwendet, um elektromagnetische Felder in der Umgebung des Objekts zu erzeugen. Die Felder, die durch diese drei Spulen erzeugt werden, werden voneinander durch offenes Regelkreismultiplexing der Zeit. Frequenz oder Phase unterschieden. Die Signalströme, die in drei orthogonalen Sensorspulen fließen, werden verwendet, um die Position des Objekts zu bestimmen, basierend auf einem iterativen Berechnungsverfahren.
  • Das US Patent Nr. 5,391,199, angemeldet am 20. Juli 1993, das dem Anmelder der vorliegenden Erfindung zugeordnet ist, beschreibt ein System zur Erzeugung dreidimensionaler Ortsinformationen betreffend eine medizinische Sonde oder Katheter. Eine Sensorspule wird in dem Katheter plaziert und erzeugt Signale in Reaktion auf extern angelegte magnetische Felder. Die magnetischen Felder werden durch drei Strahlungsspulen, die an einem externen Referenzrahmen in bekannten, gegenseitig voneinander beabstandeten Orten angebracht sind, erzeugt. Die Amplituden der Signale, die in Reaktion auf die Strahlungsspulenfelder erzeugt werden, werden detektiert und verwendet, um den Ort der Sensorspule zu berechnen. Jede Strahlungsspule wird bevorzugt durch eine Treiberschaltung zur Erzeugung eines Feldes bei einer bekannten Frequenz, die sich von denen anderer Strahlungsspulen unterscheidet, gesteuert, so daß die Signale, die durch die Sensorspule erzeugt werden, mittels der Frequenz in Komponenten bezüglich der verschiedenen Strahlungsspulen getrennt werden können.
  • Die PCT-Patentanmeldung Nr. WO 96/05768, die dem Anmelder der vorliegenden Erfindung zugeordnet ist, beschreibt ein System, das sechs-dimensionale Positions- und Ausrichtungsinformationen bezüglich der Spitze eines Katheters erzeugt. Dieses System verwendet eine Vielzahl von nicht konzentrischen Sensorspulen, benachbart zu einer festgelegten Stelle in dem Katheter, z. B. nahe seinem distalen Ende, und eine Vielzahl von Strahlungsspulen, die an einem externen Referenzrahmen angebracht sind. Diese Spulen erzeugen Signale in Reaktion auf magnetische Felder, die durch die Strahlungsspulen erzeugt werden, wobei diese Signale die Berechnung von sechs Orts- und Ausrichtungskoordinaten ermöglichen. Wie in dem Fall der '539 Patentanmeldung, die zuvor beschrieben wurde, arbeiten die Strahlungsspulen gleichzeitig jeweils bei verschiedenen Frequenzen, z. B. bei 1000, 2000 und 3000 Hz.
  • Die Europäische Patentanmeldung EP-A-0339723 beschreibt eine magnetische Resonanzvorrichtung, die ein Magnetsystem zur Erzeugung eines konstanten Magnetfelds und ein HF-Spulensystem zur Erzeugung von Gradientenfeldern aufweist. In dem HF-Spulensystem kann jede Spule im Bezug auf eine gegebene Frequenz einer anderen Spule verstimmt werden. Dadurch wird eine gegenseitige Beeinflussung vermieden.
  • Die zuvor beschriebenen Spurverfolgungssysteme beruhen auf der Trennung von auf eine Position reagierenden Signalen in Frequenzkomponenten, wobei davon ausgegangen wird, daß jede dieser Komponenten einzig zu einer einzelnen Strahlungsspule, die sich in einer bekannten Position befindet und in einem schmalen, genau definierten Frequenzband ausstrahlt, korrespondiert. In der Realität erzeugen die Strahlungsspulen jedoch auch magnetische Felder bei den Frequenzen außerhalb der gewünschten Bänder, z. B. aufgrund von gegenseitigen Induktivitätseffekten. Diese gegenseitig induzierten Felder führen zu Fehlern in der Bestimmung der Position des Objekts, dessen Spur verfolgt wird.
  • Zusammenfassung der Erfindung
  • Es ist eine Aufgabe der vorliegenden Erfindung verbesserte elektromagnetische Stralungsspulen und Treiberschaltungen für diese zur Benutzung im Zusammenhang mit Ob jektspurverfolgungssystemen derartig bereitzustellen, um die Genauigkeit der Objektspurverfolgung zu verbessern.
  • Es ist eine weitere Aufgabe der vorliegenden Erfindung, magnetische Felderzeugungsspulen und dazugehörige Treiberschaltungstechnik bereitzustellen, die Felder erzeugen, die schmale Bandbreiten in dem Frequenzbereich aufweisen.
  • In der vorliegenden Erfindung wird eine schmalere Feldbandbreite durch Eliminierung von gegenseitigen Induktivitätseffekten zwischen einer Vielzahl von Spulen, die magnetische Felder bei verschiedenen Frequenzen erzeugen, erreicht.
  • Die vorliegende Erfindung stellt eine Vorrichtung zur Spurverfolgung eines Objekts durch Erzeugung von magnetischen Felder bereit, umfassend eine Vielzahl von Strahlungsspulen; eine damit verbundene Treiberschaltung, die die Spulen ansteuert, um magnetische Felder bei einer Vielzahl von Steuerfrequenzen zu erzeugen; wobei jede der Vielzahl von Strahlungsspulen ein Feld bei im Wesentlichen einer einzelnen, jeweiligen Steuerfrequenz erzeugt; dadurch gekennzeichnet, daß die Schaltung mit zumindest einer der Vielzahl von Strahlungsspulen verknüpft ist, wobei die Schaltung magnetische Felder zur im wesentlichen Eliminierung von magnetischen Feldern, die durch zumindest eine Spule in Reaktion auf Felder, die durch die andern Spulen erzeugt werden, erzeugt.
  • In einigen bevorzugten Ausführungsformen der vorliegenden Erfindung sind eine oder mehrere zusätzliche Trimmspulen benachbart zu jeder der Strahlungsspulen vorhanden. Vorzugsweise sind die Trimmspulen mit Windungen der Strahlungsspulen verzwirnt. Die Trimmspulen von jeder Strahlungsspule werden durch Treiberschaltungen derartig gesteuert, um magnetische Felder zu erzeugen, die im Wesentlichen gleich in ihrer Amplitude und Frequenz und in entgegengesetzter Richtung zu magnetischen Feldkomponenten, die entlang der Achse dieser Strahlungsspule durch andere Strahlungsspulen induziert werden, sind.
  • In anderen, bevorzugten Ausführungsformen der vorliegenden Erfindung ist die Treiberschaltung jeder der Spulen zugeordnet und erzeugt elektrische Steuerströme in diesen, wobei der Strom für jede Spule eine Hauptkomponente bei der jeweiligen Spulensteuerfrequenz und geringere Komponenten bei anderen Frequenzen umfaßt. Die geringeren Komponenten sind im Wesentlichen gleich in ihrer Amplitude und Frequenz und 180° phasenverschoben zu den Strömen, die in der Spule aufgrund der magnetischen Felder, die durch andere Strah lungsspulen erzeugt werden, ist, um im wesentlichen den Effekt der induzierten Ströme aufzuheben.
  • In einer dieser bevorzugten Ausführungsformen der vorliegenden Erfindung enthält die Treiberschaltung eine Sensiervorrichtung, die die Amplitude, Frequenz und Phase der in einer Spule induzierten Ströme mißt. Die Treiberschaltung enthält ferner eine anpassungsfähige Stromversorgung, die die Amplituden-, Frequenz- und Phasendaten, die durch die Sensiervorrichtung gemessen werden, empfängt, und erzeugt die phasenverschobenen, geringeren Stromkomponenten, um im Wesentlichen den Effekt der induzierten Ströme aufzuheben.
  • In einer weiteren, bevorzugten Ausführungsform der vorliegenden Erfindung umfaßt die Treiberschaltung ideale Stromquellen, die derart arbeiten, um einen konstanten Strom in jeder der Spulen bei ihrer festgelegten, jeweiligen Steuerfrequenz aufrecht zu erhalten.
  • Die Schaltung zur Eliminierung von magnetischen Feldern umfaßt bevorzugt eine oder mehrere Trimmspulen, die vorzugsweise zumindest mit der einen der Vielzahl von Spannungsspulen verzwirnt ist. Darüber hinaus steuert die Treiberschaltung vorzugsweise eine der einen oder mehreren Trimmspulen, die zumindest einer der Vielzahl von Strahlungsspulen zugeordnet ist, bei der jeweiligen Steuerfrequenz einer weiteren der Vielzahl von Strahlungsspulen.
  • Vorzugsweise enthält die Schaltung zur Eliminierung eine anpassungsfähige Stromversorgung, die elektrische Ströme in zumindest einer der Vielzahl von Strahlungspulen bei der jeweiligen Steuerfrequenz einer anderen der Vielzahl von Strahlungsspulen erzeugt.
  • Vorzugsweise enthält die Schaltung zur Eliminierung ferner einen Stromanalysator, der mit der anpassungsfähigen Stromversorgung verbunden ist, wobei der Stromanalysator parasitären elektrischen Strom mißt, der zumindest in einer der Vielzahl von Strahlungsspulen bei der jeweiligen Steuerfrequenz einer anderen der Vielzahl von Strahlungsspulen fließt, und bewirkt, daß die anpassungsfähige Stromversorgung den erzeugten Strom anpaßt, um den parasitären elektrischen Strom zu minimieren.
  • Vorzugsweise ist die Steuerschaltung geeignet, einen konstanten Strom in jeder der Vielzahl von Strahlungsspulen bei der einzelnen, jeweiligen Steuerfrequenz derselben beizubehalten.
  • Kurze Beschreibung der Zeichnungen
  • Die vorliegende Erfindung wird noch besser aus der nachfolgenden, detaillierten Beschreibung der bevorzugten Ausführungsformen derselben, zusammengenommen mit den Zeichnungen, verständlich, wobei:
  • 1 eine schematische Darstellung eines Objektspurverfolgungssystems, das in Übereinstimmung mit einer bevorzugten Ausführungsform der vorliegenden Erfindung wirksam ist, ist;
  • 2 eine schematische Darstellung einer Strahlungsspule in Übereinstimmung mit einer bevorzugten Ausführungsform der vorliegenden Erfindung ist;
  • 3 eine schematische Darstellung einer Spulentreiberschaltung in Übereinstimmung mit einer weiteren bevorzugten Ausführungsform der vorliegenden Erfindung ist; und
  • 4 ein Flußdiagramm, das schematisch ein Verfahren zur Objektspurverfolgung in Übereinstimmung mit einer bevorzugten Ausführungsform der vorliegenden Erfindung darstellt, ist.
  • Detaillierte Beschreibung der bevorzugten Ausführungsformen
  • Es wird nun Bezug genommen auf 1, die schematisch ein System zur Spurverfolgung einer Sonde 20, wie einem Katheter zur medizinischen Verwendung, das in Übereinstimmung mit einer bevorzugten Ausführungsform der vorliegenden Erfindung wirksam ist, darstellt. Wie im US-Patent Nr. 5,391,199 von Ben-Haim, und mit der PCT-Patentanmeldung Nr. WO 96/05768, die dem Anmelder der vorliegenden Erfindung zugeordnet ist, umfaßt das System eine Vielzahl von Strahlungsspulen 22, 24 und 26. Diese Spulen erzeugen jeweils magnetische Felder H1, H2 und H3 bei jeweiligen Frequenzen ω1, ω2 und ω3 in der Umgebung der Sonde 20. Die Sonde enthält ferner Sensorspulen 27, 28 und 29, die elektrische Stromsignale in Reaktion auf die magnetischen Felder erzeugen, wobei die Signale Komponenten bei Frequenzen ω1, ω2 und ω3, deren jeweilige Amplituden von der Position und der Ausrichtung der Sonde 20 abhängen, umfaßt.
  • Das System umfaßt ferner Treiberschaltungen 30, 32 und 33, die mit jeder der Strahlungsspulen verbunden sind und die Spulen 22, 24 und 26 bei jeweiligen Steuerfrequenzen ω1, ω2 und ω3 steuern. Die Signale, die durch die Sensorspulen 27, 28 und 29 erzeugt werden, werden bevorzugt mittels einer Signalverarbeitungsschaltung 34 verarbeitet und dann mittels eines Computers 36 verwendet, um Positions- und Ausrichtungskoordinaten der Sonde 20 zu berechnen.
  • Zum Zwecke der Deutlichkeit zeigt 1 drei Strahlungsspulen 23, 24 und 26 und drei Sensorspulen 27, 28 und 29 in einer Sonde 20. Es wird jedoch verstanden werden, daß die vorliegende Erfindung gleichermaßen anwendbar ist auf Spurverfolgungssysteme, die zwei, vier oder mehr Strahlungsspulen und eine, zwei oder mehr Sensorspulen umfassen. Die vorliegende Erfindung kann auch zur Spurverfolgung anderer Arten von Objekten verwendet werden.
  • Bei Abwesenheit von gegenseitigen Induktivitätseffekten sind die Signale, die durch die Sensorspulen 27, 28 und 29 bei einer Frequenz ω1 erzeugt werden, proportional zu der Amplitude der Zeitableitung der Projektion des magnetischen Flusses aufgrund des Feld H, bei der Sonde 20 entlang jeder der jeweiligen Achsen der Sensorspulen. Die Signale, die bei Frequenzen ω2 und ω3 erzeugt werden, sind auf ähnliche Weise proportional zu den Projektionen von H2 und H3. Da die Richtung und Amplitude des magnetischen Feldes aufgrund einer einzelnen solchen Strahlungsspule leicht unter Verwendung von aus dem Stand der Technik bekannten Verfahren berechnet werden kann, können die Sensorspulensignale aufgrund einer einzelnen Strahlungsspule direkt von dem Abstand der Sensorspule von der Strahlungsspule und einer Ausrichtung relativ zu der Strahlungsspule abhängig sein.
  • In der Praxis ist jedoch das magnetische Feld H1, das durch die Strahlungsspule 22 erzeugt wird, nicht in seiner Ausdehnung auf die direkte Umgebung der Sonde 20 beschränkt, sondern weist auch eine von 0 verschiedene Amplitude in der Umgebung der Spulen 24 und 26 auf. Wie es sehr gut aus dem Stand der Technik bekannt ist (siehe z. B. Lorrain und Corson, „Electromagnetic Fields and Waves", zweite Ausgabe, 1970, Seiten 343 bis 345), kann der magnetische Fluß Φ2 durch die Spule 24 aufgrund des Stroms I1, der in der Spule 22 fließt, ausgedrückt werden als: Φ2 = M12I1, (1) wobei M12 die gegenseitige Induktivität der Spulen 22 und 24 ist, und die Spannung, die in der Spule 24 induziert wird, wird
    Figure 00070001
    sein. Angenommen, daß die Spule 24 eine Induktivität L und einen Widerstand von 0 hat, wird die gesamte Spannung in der Spule
    Figure 00070002
    sein.
  • Da die Treiberschaltungen 30 und 32 vorzugsweise die Spulen 22 und 24 mit sinusförmigen elektrischen Strömungen bei den jeweiligen Frequenzen ω1 und ω2 der Spulen steuern und zusätzlich der Strom I12 bei der Frequenz ω1 in der Spule 24 fließen wird, ist die vorliegende Amplitude gegeben durch:
  • Figure 00070003
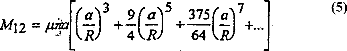
  • Der Strom I12, der in der Strahlungsspule 24 fließt, wird bewirken, daß ein parasitäres magnetisches Feld H12 bei der Frequenz ω1 erzeugt wird, dessen Amplitude ungefähr proportional zum Verhältnis M12/L sein wird, wenn ω1 ≈ ω2 ist. M12 hängt von geometrischen Faktoren und der Anzahl von Windungen in jeder der Spulen ab. Es kann gezeigt werden (siehe z. B. J. D. Jackson „,Classical Elextrodynamics", zweite Ausgabe, Seite 263), daß für zwei koplanare Stromschleifen mit einem Radius a, die gegenseitig um einen Abstand R beabstandet sind, gilt:
  • Figure 00070004
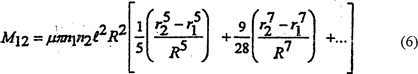
  • Für Spulen 22 und 24, die jeweils n1 und n2 Windungen pro Längeneinheit umfassen und im wesentlichen identische Längen 1, innere Radien r1 und äußere Radien r2 aufweisen, und angenommen, daß das magnetische Feld H1 im Wesentlichen gleichmäßig über alle Windungen der Spule 24 ist, können wir die Gleichung (5) integrieren, um die gegenseitige Induktivität der Spulen zu finden:
  • Figure 00080001
  • Daher wird z. B. in einem Spurverfolgungssystem, wie in demjenigen, das im US-Patent Nr. 5,391,199 und in der PCT-Anmeldung Nr. WO 96/05768 beschrieben ist, bei denen Spulen 22 und 24 innere Radien von 25 mm und äußere Radien von ungefähr 60 mm aufweisen und voneinander 39 cm entfernt sind, beobachtet, daß I12 = 0,0025 (ω12)I1 ist, was zu einem Fehler von 0,5% führen kann, wenn ω1 = 2ω2 ist. Daher werden die Signale, die durch die Sensorspulen 27, 28 und 29 bei einer Frequenz ω1 erzeugt werden, sowohl eine Positionssignalkomponente aufgrund von H1 und eine parasitäre Signalkomponete aufgrund von H1 2 enthalten, die Fehler von bis zu einem 1% in die Bestimmung der Position der Sonde 20 einführen können. Zusätzliche parasitäre Signalkomponenten bei Frequenz ω1 werden durch gegenseitige Induktivität in die Spule 26 und jede andere Strahlungsspule eingeführt. Ähnlich werden auch die Sensorspulensignale bei Frequenzen ω1 und ω2 ebenfalls parasitäre Komponenten enthalten
  • Aus diesem Grund befinden sich in einer bevorzugten Ausführungsform der vorliegenden Erfindung, die in 2 gezeigt ist, eine oder mehrere Trimmspulen 40 benachbart zu der Strahlungsspule 24 und sind vorzugsweise mit dieser verzwirnt. Die Treiberschaltung 32 steuert die Spule 24 mit einem Strom I2, bei der Steuerfrequenz ω2 der Spule. Die Schaltung 32 steuert ferner eine Trimmspule 40 mit einem Strom I2 (1) bei einer Frequenz ω1, wobei dieser Strom bewirkt, daß ein magnetisches Feld H2 (1) entlang der Achse der Spule 24 erzeugt wird, das gleich in der Amplitude und 180° phasenverschoben zu dem magnetischen Feld H12 ist. Folglich wird der gegenseitig induzierte Strom I12 im Wesentlichen aufgehoben durch einen gleichen und entgegengesetzten Strom, der aufgrund des Feldes H2 (1) induziert wird.
  • Obwohl sich zum Zwecke der Deutlichkeit 2 und die vorangehende Erklärung nur auf eine einzelne Trimmspule, die bei einer einzelnen Frequenz angesteuert wird, bezieht, wird es verstanden werden, daß in bevorzugten Ausführungsformen der vorliegenden Erfindung jede der Spulen 22, 24 und 26 mit zumindest einer Trimmspule, die mit geeigneten Strömen und Frequenzen angesteuert wird, um im wesentlichen gegenseitig induzierte Ströme aufgrund aller anderen Spulen aufzuheben, verzwirnt ist.
  • 3 stellt schematisch eine alternative, bevorzugte Ausführungsform der vorliegenden Erfindung, bei der die Treiberschaltung 32 geeignet ist, um die Spule 24 anzusteuern, so daß im wesentlichen gegenseitig induzierte Ströme aufgehoben werden, dar. Die Schaltung 32 umfaßt eine Systemstromversorgung 50, die eine Spule 24 bei ihrer Steuerfrequenz ω2 ansteuert und eine anpassungsfähige Stromversorgung 52, die einen Strom zur Ansteuerung der Spule 24 bei den jeweiligen Frequenzen der Spulen 22 und 26, ω1 und ω3, mit deren Amplituden und Phasen, bestimmt durch einen Stromanalysator 54, erzeugt. Der Stromanalysator prüft den Strom in der Spule 24, unter Verwendung von Verfahren, die aus dem Stand der Technik bekannt sind, und teilt den geprüften Strom in Frequenzkomponenten auf. Der Analysator 54 bewirkt, daß die anpassungsfähige Versorgung 52 die Amplituden und Phasen der erzeugten ω1- und ω3- Ströme anpasst, um die Komponenten, die bei Frequenzen ω1 und ω3 in dem geprüften Strom der Spule 24 sensiert werden, zu minimieren. Typischerweise sind die erzeugten ω1- und ω3- Ströme im wesentlichen gleich in ihrer Amplitude mit den gegenseitig induzierten Ströme I12 und I32 und 180° phasenverschoben zu diesen. Es wird verstanden werden, daß die Spulen 22 und 26 durch ähnliche adaptive Treiberschaltungen angesteuert werden.
  • In anderen bevorzugten Ausführungsformen der vorliegenden Erfindung arbeiten die Signalverarbeitungsschaltung 34 und der Computer 36, um die Amplituden und Phasen der parasitären Signalkomponenten, die durch die Sensorspulen 27, 28 und 29 aufgrund der gegenseitigen Induktion zwischen den Strahlungsspulen erzeugt werden, zu bestimmen und korrigieren die Bestimmung der Position der Sonde 20, um die parasitären Komponenten zu berücksichtigen.
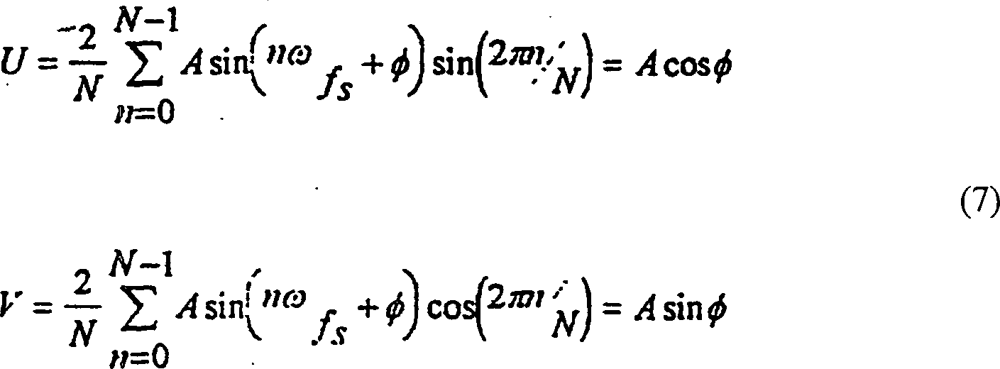
  • In einer solchen bevorzugten Ausführungsform der vorliegenden Erfindung wird die Amplitude und Phase des magnetischen Feldes aufgrund jeder der Spulen unter Verwendung eines Oberschwingungserkennungsverfahrens aufgefunden. In Übereinstimmung mit diesem Verfahren werden die Signale geprüft, so daß eine ganzzahlige Anzahl von Perioden von jedem der Signale gemessen wird, d. h. 2πfs/ω = N, wobei fs die Prüffrequenz und N die Anzahl von Prüfpunkten ist. Auf diese Weise wird die Signalprüfung daher mit den magnetischen Feldfrequenzen synchronisiert. Wenn N eine kleine Zahl ist, dann wird die Prüfung vorzugsweise mit dem magnetischen Feld synchronisiert und kann vorzugsweise synchronisiert werden, um am Höchstwert des periodischen, magnetischen Feldes stattzufinden. Die Signale, die so bei einer Frequenz ω erhalten werden, können ausgedrückt werden als:
  • Figure 00100001
  • In der Anwesenheit von gegenseitigen Induktivitäten enthalten die Signale, die durch die j-te Sensorspule erzeugt werden, Frequenzkomponenten, deren jeweilige Amplituden Uij und Vij bei einer Strahlungsspulenfrequenz ω1, die wie folgt ausgedrückt werden können:
  • Figure 00100002
  • In den Gleichungen (8) und (9) repräsentieren Aij und Φi jeweils die Amplitude und Phase der Positionssignalkomponenten, die von der Sensorspule 28 (hier identifiziert als die j-te Sensorspule) bei einer Frequenz ωi aufgrund des magnetischen Felds der i-te Strahlungsspule empfangen werden, unter Mißachtung von gegenseitigen Induktivitätseffekten. Aijkm und Φikm sind die jeweiligen Amplituden und Phasen der parasitären Signalkomponenten, die durch die j-te Sensorspule bei einer Frequenz ωi aufgrund der gegenseitigen Induktivität zwischen der i-ten und k-ten Strahlungsspule erzeugt werden.
  • Um korrekt die Position der Sensorspulen 27, 28 und 29 und der Sonde 20 zu bestimmen, werden die Signale, die von der Spule empfangen werden, vorzugsweise unter Verwendung eines Verfahrens, das in 4 dargestellt ist, verarbeitet. Zuerst (60) werden die Signale in Komponenten Uij und Vij bei Frequenzen ω1, ω2 und ω3 unter Verwendung von Verfahren, die aus dem Stand der Technik bekannt sind, wie eine Oberschwingungserkennung, getrennt. Die Amplituden dieser Signale Aij werden dann bestimmt (62), unter der Annahme, daß die gegenseitigen Induktivitätseffekte unbeachtlich sind, d. h. alle Aijkm sind null. Die Phasen Φi und Φikm, die nur von den Strahlungsspulen abhängen, werden durch Messung der jeweiligen Strahlungsspulenphasen (64) abgeleitet. Die Amplituden Aij werden dann verwendet, um die Position und Ausrichtung der Spulen 27, 28 und 29 (66) abzuschätzen, wie z. B. in der PCT-Anmeldung Nr. WO 96/05768 beschrieben ist.
  • Die theoretischen Werte der Aijkm werden dann berechnet, um die Position der Sensorspulen (68) abzuschätzen. Um diese Berechnung auszuführen, werden die parasitären magnetischen Felder, die aufgrund der gegenseitigen Induktivität zwischen den Strahlungsspulen erzeugt werden, Hik, an der abgeschätzten Position der Sensorspulen bestimmt. Diese parasitären Felder werden aus dem Koordinatennetzrahmen der Strahlungsspulen in den der Sensorspulen, basierend auf den Projektionen der parasitären Felder entlang der jeweiligen Achsen der Sensorspulen, übertragen. Die Feldprojektionen werden verwendet, um theoretische Amplituden der parasitären Signalkomponenten, die durch die Sensorspulen erzeugt werden, unter Verwendung der Beziehung
    Figure 00110001
    berechnet, wobei die drei Werte von A m ipk die theoretischen Signalamplituden in dem Referenzrahmen der Strahlungsspulen sind und Mjp die Elemente der Ausrichtungsmatrix sind.
  • Verschiedene Verfahren können verwendet werden, um die Amplituden und Richtungen der parasitären magnetischen Felder Hik bei den Positionen der Sensorspulen zu bestimmen. In einer bevorzugten Ausführungsform der vorliegenden Erfindung werden die gegenseitigen Induktivitäten zwischen den Spulen und die resultierenden magnetischen Felder theoretisch aus geometrischen Überlegungen, unter Verwendung von Verfahren, die sehr gut aus dem Stand der Technik bekannt sind, berechnet. In einer alternativen, bevorzugten Ausführungsform wird die gegenseitige Induktivität eines Paares von Radiatorspulen durch Aktivierung der Treiberschaltung von einer der Spulen bestimmt, um ein magnetisches Feld bei seiner Steuerfrequenz zu erzeugen, und dann dann Messen des elektrischen Stroms, der in den anderen Spulen bei dieser Frequenz fließt. Diese gemessenen, gegenseitigen Induktivitäten werden dann verwendet, um die resultierenden, parasitären magnetischen Felder, wie zuvor erläutert, zu berechnen.
  • Schließlich werden die theoretischen Aijkm Koeffizienten in die Gleichungen 8 und 9 zurückgetauscht, um korrekte Werte der neuen Aij-Elemente (70) zu bestimmen und diese Werte werden dann verwendet, um die Positions- und Ausrichtungskoordinaten der Sonde zu korrigieren (72). Die Schritte (68), (70) und (72) werden vorzugsweise iterativ wiederholt, bis die Positions- und Ausrichtungskoordinaten der Sonde konvergieren.
  • Es wird verstanden werden, daß obwohl das obige Verfahren in Bezug auf ein System beschrieben wurde, das drei Strahlungsspulen und drei Sensorspulen umfaßt, das Verfahren äquivalent auf andere elektromagnetische Objektspurverfolgungssysteme angewendet werden kann, die eine größere oder eine geringere Anzahl von Spulen oder Antennen verwenden.

Claims (9)

  1. Vorrichtung zur Spurverfolgung eines Objekts durch Erzeugung von magnetischen Feldern, umfassend: eine Vielzahl von Strahlungsspulen (22, 24, 26); eine damit verbundene Treiberschaltung (30, 32, 33), die die Spulen (22, 24, 26) ansteuert, um magnetische Felder bei einer Vielzahl von Steuerfrequenzen zu erzeugen; wobei jede der Vielzahl von Strahlungsspulen (22, 24, 26) ein Feld bei im Wesentlichen einer einzelnen, jeweiligen Steuerfrequenz erzeugt; dadurch gekennzeichnet, daß die Schaltung (32) mit zumindest einer der Vielzahl von Strahlungsspulen (24) verknüpft ist, wobei die Schaltung (32) magnetische Felder zur im Wesentlichen Eliminierung von magnetischen Feldern, die durch zumindest eine Spule (24) in Reaktion auf Felder, die durch die anderen Spulen (22, 26) erzeugt werden, erzeugt.
  2. Vorrichtung nach Anspruch 1, dadurch gekennzeichnet, daß die Schaltung zur Eliminierung eine oder mehrere Trimmspulen (40) umfaßt.
  3. Vorrichtung nach Anspruch 2, dadurch gekennzeichnet, daß eine oder mehrere Trimmspulen (40) mit zumindest einer der Vielzahl von Strahlungsspulen (24) verzwirnt ist bzw. sind.
  4. Vorrichtung nach Anspruch 2 oder 3, dadurch gekennzeichnet, daß die Treiberschaltung (32) ferner eine der einen oder mehreren Trimmspulen (40), die mit zumindest einer der Vielzahl von Strahlungsspulen (24) bei der jeweiligen Frequenz von einer anderen der Vielzahl von Strahlungsspulen (22) verknüpft ist, ansteuert.
  5. Vorrichtung nach einem der vorangehenden Ansprüche, dadurch gekennzeichnet, daß die Schaltung (32) zur Eliminierung eine anpassungsfähige Stromversorgung (52) enthält.
  6. Vorrichtung nach Anspruch 5, dadurch gekennzeichnet, daß die anpassungsfähige Stromversorgung (52) elektrische Ströme in zumindest einer der Vielzahl von Strahlungsspulen (24) bei der jeweiligen Steuerfrequenz einer anderen der Vielzahl von Strahlungsspulen (22) erzeugt.
  7. Vorrichtung nach Anspruch 5 oder 6, dadurch gekennzeichnet, daß die Schaltung (32) zur Eliminierung ferner einen Stromanalysator (54) enthält, der mit der anpassungsfähigen Stromversorgung (52) verbunden ist.
  8. Vorrichtung nach Anspruch 7, dadurch gekennzeichnet, daß der Stromanalysator (54) parasitären elektrischen Strom mißt, der zumindest in einer der Vielzahl von Strahlungsspulen (24) bei der jeweiligen Steuerfrequenz einer anderen der Vielzahl von Strahlungsspulen (22) fließt, und bewirkt, daß die anpassungsfähige Stromversorgung (52) den erzeugten Strom anpaßt, um den parasitären elektrischen Strom zu minimieren.
  9. Vorrichtung nach einem der vorangehenden Ansprüche, dadurch gekennzeichnet, daß Steuerschaltung einen konstanten Strom in jeder der Vielzahl von Strahlungsspulen (22, 24, 26) bei der einzelnen, jeweiligen Steuerfrequenz derselben beibehält.
DE69721985T 1996-03-26 1997-03-18 Gegeninduktionskorrektur Expired - Lifetime DE69721985T2 (de)

Applications Claiming Priority (3)

Application Number Priority Date Filing Date Title
US1408496P 1996-03-26 1996-03-26
US14084P 1996-03-26
PCT/IL1997/000100 WO1997036143A1 (en) 1996-03-26 1997-03-18 Mutual induction correction

Publications (2)

Publication Number Publication Date
DE69721985D1 DE69721985D1 (de) 2003-06-18
DE69721985T2 true DE69721985T2 (de) 2004-05-19

Family

ID=21763453

Family Applications (1)

Application Number Title Priority Date Filing Date
DE69721985T Expired - Lifetime DE69721985T2 (de) 1996-03-26 1997-03-18 Gegeninduktionskorrektur

Country Status (8)

Country Link
EP (1) EP0892908B1 (de)
JP (1) JP4141502B2 (de)
AU (1) AU715167B2 (de)
CA (1) CA2249982C (de)
DE (1) DE69721985T2 (de)
ES (1) ES2200161T3 (de)
IL (1) IL126286A (de)
WO (1) WO1997036143A1 (de)

Families Citing this family (32)

* Cited by examiner, † Cited by third party
Publication number Priority date Publication date Assignee Title
US6147480A (en) * 1997-10-23 2000-11-14 Biosense, Inc. Detection of metal disturbance
EP1100373B1 (de) 1998-08-02 2008-09-03 Super Dimension Ltd. Intrakorporales navigationssystem für medizinische anwendungen
EP1873545A3 (de) * 1998-12-23 2008-02-13 Peter D. Jakab Magnetischer Resonanzscanner mit Vorrichtung zur Positions- und Orientierungsverfolgung
CA2356322A1 (en) 1998-12-23 2000-06-29 Peter D. Jakab Magnetic resonance scanner with electromagnetic position and orientation tracking device
US6498477B1 (en) * 1999-03-19 2002-12-24 Biosense, Inc. Mutual crosstalk elimination in medical systems using radiator coils and magnetic fields
US7778688B2 (en) 1999-05-18 2010-08-17 MediGuide, Ltd. System and method for delivering a stent to a selected position within a lumen
US6233476B1 (en) * 1999-05-18 2001-05-15 Mediguide Ltd. Medical positioning system
US9833167B2 (en) 1999-05-18 2017-12-05 Mediguide Ltd. Method and system for superimposing virtual anatomical landmarks on an image
US9572519B2 (en) 1999-05-18 2017-02-21 Mediguide Ltd. Method and apparatus for invasive device tracking using organ timing signal generated from MPS sensors
US6484118B1 (en) * 2000-07-20 2002-11-19 Biosense, Inc. Electromagnetic position single axis system
US7809421B1 (en) * 2000-07-20 2010-10-05 Biosense, Inc. Medical system calibration with static metal compensation
JP4880264B2 (ja) * 2005-08-24 2012-02-22 オリンパス株式会社 位置検出装置および医療装置位置検出システム
US8000772B2 (en) * 2005-10-19 2011-08-16 Biosense Webster, Inc. Metal immunity in a reverse magnetic system
US7860553B2 (en) * 2006-02-09 2010-12-28 Biosense Webster, Inc. Two-stage calibration of medical probes
US8798711B2 (en) * 2006-02-09 2014-08-05 Biosense Webster, Inc. Shielding of catheter handle
US8473030B2 (en) * 2007-01-12 2013-06-25 Medtronic Vascular, Inc. Vessel position and configuration imaging apparatus and methods
WO2009122273A2 (en) 2008-04-03 2009-10-08 Superdimension, Ltd. Magnetic interference detection system and method
WO2009147671A1 (en) 2008-06-03 2009-12-10 Superdimension Ltd. Feature-based registration method
US8218847B2 (en) 2008-06-06 2012-07-10 Superdimension, Ltd. Hybrid registration method
WO2012045578A1 (en) 2010-10-07 2012-04-12 Mettlert-Toledo Safeline Limited Method for operating a metal detection system and metal detection system
EP2439560B1 (de) 2010-10-07 2013-05-29 Mettler-Toledo Safeline Limited Verfahren für den Betrieb eines Metalldetektionssystems und Metalldetektionssystem
EP2439559B1 (de) 2010-10-07 2013-05-29 Mettler-Toledo Safeline Limited Verfahren für den Betrieb eines Metalldetektionssystems und Metalldetektionssystem
US9018935B2 (en) 2011-09-19 2015-04-28 Mettler-Toledo Safeline Limited Method for operating a metal detection apparatus and apparatus
US10722140B2 (en) 2014-07-03 2020-07-28 St. Jude Medical International Holding S.À R.L. Localized magnetic field generator
US10446931B2 (en) 2016-10-28 2019-10-15 Covidien Lp Electromagnetic navigation antenna assembly and electromagnetic navigation system including the same
US10517505B2 (en) 2016-10-28 2019-12-31 Covidien Lp Systems, methods, and computer-readable media for optimizing an electromagnetic navigation system
US10792106B2 (en) 2016-10-28 2020-10-06 Covidien Lp System for calibrating an electromagnetic navigation system
US10722311B2 (en) 2016-10-28 2020-07-28 Covidien Lp System and method for identifying a location and/or an orientation of an electromagnetic sensor based on a map
US10638952B2 (en) 2016-10-28 2020-05-05 Covidien Lp Methods, systems, and computer-readable media for calibrating an electromagnetic navigation system
US10418705B2 (en) 2016-10-28 2019-09-17 Covidien Lp Electromagnetic navigation antenna assembly and electromagnetic navigation system including the same
US10751126B2 (en) 2016-10-28 2020-08-25 Covidien Lp System and method for generating a map for electromagnetic navigation
US10615500B2 (en) 2016-10-28 2020-04-07 Covidien Lp System and method for designing electromagnetic navigation antenna assemblies

Family Cites Families (3)

* Cited by examiner, † Cited by third party
Publication number Priority date Publication date Assignee Title
NL8801077A (nl) * 1988-04-26 1989-11-16 Philips Nv Magnetisch resonantie apparaat met ontkoppelde rf-spoelen.
US5068608A (en) * 1989-10-30 1991-11-26 Westinghouse Electric Corp. Multiple coil eddy current probe system and method for determining the length of a discontinuity
DE4300529C2 (de) * 1993-01-12 1995-07-13 Andreas Zierdt Verfahren und Vorrichtung zur Bestimmung der räumlichen Anordnung eines richtungsempfindlichen Magnetfeldsensors

Also Published As

Publication number Publication date
JP2000508067A (ja) 2000-06-27
IL126286A0 (en) 1999-05-09
EP0892908A4 (de) 2000-09-27
IL126286A (en) 2001-11-25
JP4141502B2 (ja) 2008-08-27
AU2041497A (en) 1997-10-17
ES2200161T3 (es) 2004-03-01
AU715167B2 (en) 2000-01-20
DE69721985D1 (de) 2003-06-18
CA2249982C (en) 2008-10-14
EP0892908B1 (de) 2003-05-14
CA2249982A1 (en) 1997-10-02
EP0892908A1 (de) 1999-01-27
WO1997036143A1 (en) 1997-10-02

Similar Documents

Publication Publication Date Title
DE69721985T2 (de) Gegeninduktionskorrektur
DE69928889T2 (de) System zur Verfolgung eines Objektes
DE69228691T2 (de) Anatomisch angepasste Quadratur-Oberflächenspule für die Bildgebung mittels magnetischer Resonanz.
DE69634035T2 (de) System zur bilderzeugung durch magnetische resonanz und katheter für eingriffsverfahren
DE69423682T2 (de) Vorrichtung mittels magnetischer Resonanz
DE4221759C2 (de) Empfangsspulenvorrichtung für ein Kernspintomographiegerät
DE602004008843T2 (de) Metallstörungserkennung in einem magnetischen Verfolgungssystem
DE69733341T2 (de) Ortungsverfahren mit feldbestätigungssequenzen
DE3853027T2 (de) Zwei-Frequenzen NMR Oberflächenspule.
DE68918389T2 (de) Kernspinresonanzgerät mit verbesserter Hf-Spule.
DE69932370T2 (de) Lokalisierte Shimspule zur Verwendung in einer Vorrichtung für die Magnetresonanzbildgebung
EP0672887A1 (de) Anordnung zur Bestimmung der räumlichen Position eines gegenüber einem Bezugselement verschiebbaren Abtastelements
DE2928551A1 (de) Verfahren und vorrichtung zum aufzeichnen von linien der atomkerndichte innerhalb eines objekts unter anwendung der magnetischen kernresonanz
EP0710849A2 (de) Verfahren zur Bestimmung der räumlichen Feldverteilung
EP1304581A2 (de) Verfahren zum Lokalisieren eines Gegenstandes in einer MR-Apparatur sowie Katheter und MR-Apparatur zur Durchführung des Verfahrens
DE69217142T2 (de) Kernspinresonanzgerät mit entkoppelten Empfangsspulen
EP1780556B1 (de) Kernspintomographie mit lokalen Magnetfeldgradienten in Verbindung mit lokalen Empfangsspulen
EP0826976A2 (de) MR-Anordnung mit einer Referenzspulen-Anordnung zur Rekonstruktion von MR-Bildern eines Spulen-Arrays
DE3819541C2 (de)
DE69415303T2 (de) Lokalisierung verlegter kabel
EP0142077A1 (de) Hochfrequenz-Einrichtung einer Kernspinresonanz-Apparatur mit einer Oberflächenspule
DE102014221269A1 (de) Magnetsensoren
DE102013226170A1 (de) Verfahren und Vorrichtung zur räumlichen Homogenisierung der Feldstärke von Hochfrequenzpulsen einer Sendeantenne eines Magnetresonanztomographiegerätes
EP0142079B1 (de) Hochfrequenz-Einrichtung einer Kernspinresonanz-Apparatur
DE4419061A1 (de) Anordnung zur Messung und Regelung des Grundfeldes eines Magneten eines Kernspintomographiegerätes

Legal Events

Date Code Title Description
8364 No opposition during term of opposition
8328 Change in the person/name/address of the agent

Representative=s name: BOEHMERT & BOEHMERT, 28209 BREMEN