DE69627770T2 - Verfahren zum Bestimmen der Gesamtchlormenge und Kit dafür - Google Patents

Verfahren zum Bestimmen der Gesamtchlormenge und Kit dafür Download PDF

Info

Publication number
DE69627770T2
DE69627770T2 DE69627770T DE69627770T DE69627770T2 DE 69627770 T2 DE69627770 T2 DE 69627770T2 DE 69627770 T DE69627770 T DE 69627770T DE 69627770 T DE69627770 T DE 69627770T DE 69627770 T2 DE69627770 T2 DE 69627770T2
Authority
DE
Germany
Prior art keywords
group
alkyl group
hydrogen atom
represent
formula
Prior art date
Legal status (The legal status is an assumption and is not a legal conclusion. Google has not performed a legal analysis and makes no representation as to the accuracy of the status listed.)
Expired - Fee Related
Application number
DE69627770T
Other languages
English (en)
Other versions
DE69627770D1 (de
Inventor
Noriyasu Hino-shi Kuzuhara
Minoru Hino-shi Takada
Masayuki Hino-shi Numa
Current Assignee (The listed assignees may be inaccurate. Google has not performed a legal analysis and makes no representation or warranty as to the accuracy of the list.)
Biotrace Ltd
Original Assignee
Biotrace Ltd
Priority date (The priority date is an assumption and is not a legal conclusion. Google has not performed a legal analysis and makes no representation as to the accuracy of the date listed.)
Filing date
Publication date
Application filed by Biotrace Ltd filed Critical Biotrace Ltd
Publication of DE69627770D1 publication Critical patent/DE69627770D1/de
Application granted granted Critical
Publication of DE69627770T2 publication Critical patent/DE69627770T2/de
Anticipated expiration legal-status Critical
Expired - Fee Related legal-status Critical Current

Links

Classifications

    • GPHYSICS
    • G01MEASURING; TESTING
    • G01NINVESTIGATING OR ANALYSING MATERIALS BY DETERMINING THEIR CHEMICAL OR PHYSICAL PROPERTIES
    • G01N31/00Investigating or analysing non-biological materials by the use of the chemical methods specified in the subgroup; Apparatus specially adapted for such methods
    • G01N31/22Investigating or analysing non-biological materials by the use of the chemical methods specified in the subgroup; Apparatus specially adapted for such methods using chemical indicators
    • GPHYSICS
    • G01MEASURING; TESTING
    • G01NINVESTIGATING OR ANALYSING MATERIALS BY DETERMINING THEIR CHEMICAL OR PHYSICAL PROPERTIES
    • G01N33/00Investigating or analysing materials by specific methods not covered by groups G01N1/00 - G01N31/00
    • G01N33/48Biological material, e.g. blood, urine; Haemocytometers
    • G01N33/50Chemical analysis of biological material, e.g. blood, urine; Testing involving biospecific ligand binding methods; Immunological testing
    • G01N33/84Chemical analysis of biological material, e.g. blood, urine; Testing involving biospecific ligand binding methods; Immunological testing involving inorganic compounds or pH
    • YGENERAL TAGGING OF NEW TECHNOLOGICAL DEVELOPMENTS; GENERAL TAGGING OF CROSS-SECTIONAL TECHNOLOGIES SPANNING OVER SEVERAL SECTIONS OF THE IPC; TECHNICAL SUBJECTS COVERED BY FORMER USPC CROSS-REFERENCE ART COLLECTIONS [XRACs] AND DIGESTS
    • Y10TECHNICAL SUBJECTS COVERED BY FORMER USPC
    • Y10TTECHNICAL SUBJECTS COVERED BY FORMER US CLASSIFICATION
    • Y10T436/00Chemistry: analytical and immunological testing
    • Y10T436/19Halogen containing
    • Y10T436/193333In aqueous solution

Landscapes

  • Life Sciences & Earth Sciences (AREA)
  • Health & Medical Sciences (AREA)
  • Chemical & Material Sciences (AREA)
  • Immunology (AREA)
  • Engineering & Computer Science (AREA)
  • Molecular Biology (AREA)
  • Physics & Mathematics (AREA)
  • General Physics & Mathematics (AREA)
  • Hematology (AREA)
  • Pathology (AREA)
  • General Health & Medical Sciences (AREA)
  • Biomedical Technology (AREA)
  • Urology & Nephrology (AREA)
  • Biochemistry (AREA)
  • Analytical Chemistry (AREA)
  • Inorganic Chemistry (AREA)
  • Medicinal Chemistry (AREA)
  • Food Science & Technology (AREA)
  • Microbiology (AREA)
  • Cell Biology (AREA)
  • Biotechnology (AREA)
  • Biophysics (AREA)
  • Investigating Or Analyzing Non-Biological Materials By The Use Of Chemical Means (AREA)

Description

  • Gebiet der Erfindung
  • Die Erfindung betrifft ein Verfahren zum Bestimmen des Gesamtchlorgehalts einer Probe unter Einsatz von Benzidin, Tetraalkylbenzidin und insbesondere 3,3',5,5'-Tetramethylbenzidin (TMB) und N-Sulfoalkyl-3,3',5,5'-Tetramethylbenzidin (SA-TMB) sowie eine Testpackung zum Bestimmen des Gesamtchlorgehalts.
  • Hintergrund der Erfindung
  • Der Chlorgehalt betrifft die hypochlorige Säure, die gebildet wird, wenn ein Chlorlieferant in Wasser und einem Chloramin gelöst wird, welches gebildet wird, wenn dieses an Ammoniak gebunden wird. Ersteres wird als freies Chlor und letzteres als gebundenes Chlor bezeichnet. Als Verfahren zum Bestimmen dieses Chlorgehalts wird üblicherweise ein kolorimetrisches Verfahren mit o-Toluidin eingesetzt. Bei relativ großem Chlorgehalt wird daneben die Titration mit Iod angewandt.
  • Bei der vorliegenden Erfindung bedeutet der Gesamtchlorgehalt die Summe aus freiem Chlor und gebundenem Chlor.
  • Benzidine wie TMB und SA-TMB sind Färbesubstrate, die für die Bestimmung der Peroxidaseaktivität in ELISA-tests (enzyme-linked immunosorbent assay, ELISA) häufig eingesetzt werden (siehe beispielsweise Holland, Tetrahedron, Band 30, S. 3299–3302 sowie die japanische Patentveröffentlichung O. P. I. 52 300/1986). Bei ELISA-Tests wird zur Bestimmung von geringen Mengen an in vivo existierendem Material normalerweise wie folgt vorgegangen. Ein Kopplungs- bzw. Bindungsmittel wie z. B. ein Antikörper gegen das Material wird in einem Hohlraum (Bohrung) an Kügelchen oder an spezielle Platten fixiert, die dann als "Träger" bezeichnet werden. Dann wird eine das Material enthaltende Lösung damit umgesetzt, um es zu binden. Danach wird ein zweites Material (beispielsweise ein Antikörper), welches Bindungseigenschaften zum Material hat und mit Peroxidase markiert ist, zur Bindung damit umgesetzt. Dann wird dem Material in Anwesenheit von Wasserstoffperoxid TMB zugesetzt. Als Ergebnis bildet das Wasserstoffperoxid unter der Wirkung der Peroxidase Sauerstoff. Als Ergebniss wird das TMB oxidiert und bildet einen Farbstoff. Mit diesem Verfahren kann die Korrelation zwischen der Lichextinktion des Farbstoffs und der Konzentration des Materials eingesetzt werden.
  • Zur Messung des Wasserstoffperoxids bei Anwesenheit von Peroxidase werden Benzidinverbindungen wie TMB und SA-TMB eingesetzt.
  • Gemäß JIS K0102 misst ein kolorimetrisches Verfahren auf der Basis von o-Toluidin oder DPD den Chlorgehalt in einer Lösung durch Vergleich der Gelbfärbung einer Kaliumchromat/Kaliumdichromat-Lösung oder der Rosafärbung einer Dinatrium-1-(4-methylbenzolsulfonamid)-7-(2-methylphenylazo)-8-hydroxy-3,6-naphtalinsulfonsäure-chlor-standardlösung mit einem Farbstoff, der durch das Gemisch der zu messenden Lösung und o-Toluidin oder DPD erzeugt wird.
  • Mit diesem Verfahren kann der Chlorgehalt genau gemessen werden. Es müssen jedoch kolorimetirsche Chlorstandards mit unterschiedlichen Konzentrationen hergestellt werden (beispielsweise Probengläser, deren Konzentration in Schritten von 0,01 mg/l von 0,01 bis 0,2 mg/l zunimmt). Weil diese Standardlösungen ausbleichen, können sie nicht lange Zeit gelagert werden. Deshalb müssen sie nach Bedarf hergestellt werden. Wenn außerdem Niederschläge bzw. Ausfällungen auftreten, müssen sie neu hergestellt werden. Dementsprechend ist das Verfahren sehr kompliziert.
  • Andererseits wird zur Messung des Chlorgehalts von relativ hoher Konzentration ein Titrationsverfahren mit Iod eingesetzt. Gemäß JIS K0102 werden auch bei diesem Verfahren eine Kaliumiodidlösung und die auf Chlor zu untersuchende Lösung gemischt, so dass das isolierte Iod mit Natriumthiosulfat titriert wird. Nachdem die Gelbfärbung der Lösung schwach geworden ist, wird eine Stärkelösung als Indikator zugesetzt. Die gemischte Lösung wird titriert, bis die blaue Farbe der Stärke verschwindet. Über die Menge des zur Titration erforderlichen Natriumthiosulfats kann über eine Gleichung der Chlorgehalt berechnet werden. Dieses Verfahren ist jedoch aufgrund der erforderlichen Titration ebenfalls sehr kompliziert.
  • Die Anzahl der Fälle, bei denen die Messung von Chlor erforderlich ist, kann auf unterschiedliche Art beträchtlich sein. Beispielsweise ist es bei der Lebensmittelherstellung, wenn zum Sterilisieren von Leitungen, Tanks etc. sowie bei der Herstellung von flüssigen Lebensmittelprodukten eine Lösung der hypochorigen Säure eingesetzt wird, erforderlich, dass die hypochlorige Säure durch Waschen entfernt wird. Bei der Steuerung von Routineschritten wie diesem ist es jedoch äußerst schwierig, komplizierte und arbeitsaufwendige Inspektionen durchzuführen; deshalb können solche Bestimmungen der Intuition des Fachmanns überlassen werden.
  • In Bezug auf die Färbung von TMB offenbart die (geprüfte) japanische Patentveröffentlichung 25 152 (1990), dass zwei sequenzielle Farbbildungsschritte stattfinden. Die darin erläuterten sequenziellen zwei Farbbildungsschritte führen zuerst zu blau und dann zu braun. Die erste Farbbildung zu blau ist nur vorübergehend und führt dann zu braun. Dies bedeutet, dass die blaue Farbe mit der Zeit in braun übergeht. Diese Druckschrift offenbart auch, dass dieses Phänomen bei höherer analytischer Dichte leichter auftritt. Jedoch bezieht sich die Druckschrift nur auf die erste und zweite Farbbildung (d. h. auf die blaue und die braune Farbe), wobei die Aufmerksamkeit der Erfinder dieses Patents nur darauf gerichtet ist, wie die blaue Farbe erhalten werden kann. Was den zeitlich später auftretenden braunen Farbstoff anlangt, sagt sie nur aus, dass dies ein nicht bevorzugtes Phänomen ist. Deshalb offenbart die Druckschrift in dieser Hinsicht nicht die Beziehung zwischen dem Farbton und einem veränderlichen Molverhältnis zwischen TMB und Oxidans.
  • Bei dem erwähnten kolorimetrischen Verfahren auf der Basis von o-Toluidin erscheint die Reaktionslösung gelblich, weshalb nur die Gelbdichte für die Bestimmung von Chlor verwendet wurde und eine Farbtonänderung keinerlei Einsatz fand. Zusätzlich erscheint beim Verfahren von Holland die reagierte Lösung bläulich, weshalb nur eine Veränderung der Blaudichte für die Be stimmung der Peroxidaseaktivität verwendet wurde. Beim Verfahren von Holland fand eine Farbtonänderung keinerlei Einsatz.
  • Dementsprechend offenbart die Druckschrift nicht die stabile Farbveränderung zu blau, grün, gelb, orange oder rot in Abhängigkeit von der Konzentration des Oxidans und gibt darauf auch keinen Hinweis.
  • Bei einer hohen TMB-Konzentration gibt es das Problem (dieses Phänomen tritt deutlich im Fall der blauen Farbe auf), dass nach der Farbbildung der Farbstoff zum Ausfällen neigt, wenn er für längere Zeit gelagert wird. Die japanische Patentveröffentlichung O. P. I. 62-182 659 (1987) offenbart, dass die Natur gewisser Farbstoffe, die von bestimmten Anionenverbindungen gebildet werden, dafür verwendet werden kann, diesen unlöslichen Farbstoff für die Visualisierung biologischer Substanzen zu verwenden, wie z. B. beim Färben von Immunogeweben etc.
  • Die erste Aufgabe der Erfindung liegt darin, ein Verfahren zum Bestimmen des Gesamtchlorgehalts in einer Untersuchungslösung zur Verfügung zu stellen, bei dem das Phänomen eingesetzt wird, dass das gesamte Chlor mit einer Benzidinverbindung unter Bildung eines Farbstoffs reagiert, wobei sich der Farbton des gebildeten Farbstoffs in Abhängigkeit vom Molverhältnis des Gesamtchorgehalts zur Benzidinverbindung ändert; außerdem soll eine Testpackung zum Bestimmen des Gesamtchlorgehalts zur Verfügung gestellt werden. Das Verfahren kann in einfacher Weise durchgeführt werden durch Beobachten des Farbtons der gebildeten Farbe in der Testlösung.
  • Die zweite Aufgabe der Erfindung liegt darin, ein Verfahren zum Bestimmen des Gesamtchlorgehalts zur Verfügung zu stellen, bei dem das Ausfällen von Farbstoffen selbst bei Koexistenz einer Benzidinverbindung und Chlor zurückgedrängt wird, sowie ein dafür eingesetzte Testpackung.
  • Zusammenfassung der Erfindung
  • Diese Aufgaben der Erfindung werden mit den folgenden Gegenständen gelöst.
    • (1) Verfahren zum Bestimmen des Gesamtchlorgehalts in einer Testlösung durch Verwendung des Farbtons eines Farbstoffs, der durch Mischen einer eine Benzidinverbindung enthaltenden Lösung mit der Testlösung erzeugt wird.
    • (2) Verfahren zum Bestimmen des Gesamtchlorgehalts in einer Testlösung durch Verwendung des Farbtons eines Farbstoffs, der durch Mischen einer eine Benzidinverbindung enthaltenden Lösung mit der Testlösung erzeugt wird, wobei das Verfahren durch einen Verfahrensschritt gekennzeichnet ist, bei dem sich der Bereich des Chlorgehalts ändert, wodurch eine Veränderung der Konzentration der Benzidinverbindung zu einer Veränderung des Farbtons des zu erzeugenden Farbstoffs führt.
    • (3) Verfahren zum Bestimmen des Gesamtchlorgehalts nach (1) oder (2), bei dem die Benzidinverbindung ein Tetraalkylbenzidin ist.
    • (4) Verfahren zum Bestimmen des Gesamtchlorgehalts nach (3), bei dem das Tetraalkylbenzidin 3,3',5,4'-Tetramethylbenzidin ist.
    • (5) Verfahren zum Bestimmen des Gesamtchlorgehalts nach (3), bei dem das Tetraalkylbenzidin eine durch Formel I wiedergegebene Verbindung ist: Formel I
      Figure 00050001
      In der Formel steht R1, R2, R3 und R4 jeweils für ein Wasserstoffatom oder eine Alkylgruppe mit 1 bis 6 Kohlenstoffatomen, unter der Vorraussetzung, dass von R1, R2, R3 und R4 mindestens drei für eine solche Alkylgruppe stehen und sie gleich oder unterschiedlich sein können; R5 und R6 stehen jeweils unabhängig für ein Wasserstoffatom oder eine Sulfoalkylgruppe, die durch Formel II wiedergegeben wird: -(CH2)nSO3, wobei n eine ganze Zahl von 1 bis 6 bedeutet, unter der Voraussetzung, dass R5 oder R6 für eine Sulfoalkylgruppe steht, die mit mindestens einer Hydroxylgruppe substituiert sein kann.
    • (6) Verfahren zum Bestimmen des Gesamtchlorgehalts nach (4), bei dem der Farbton blau, grün, gelb, orange oder rot oder eine Zwischenfarbe davon ist.
    • (7) Verfahren zum Bestimmen des Gesamtchlorgehalts nach (5), bei dem der Farbton eine Farbe ist, ausgewählt aus bläulich grün, gelb, orange, rot und Zwischenfarben davon.
    • (8) Testpackung zum Bestimmen des Gesamtchlorgehalts einer Testlösung unter Verwendung des Farbtons eines Farbstoffs, der erzeugt wird durch Mischen einer einen Benzidinindikator oder ein Salz davon enthaltenden Lösung und der Testlösung.
    • (9) Testpackung zum Bestimmen des Gesamtchlorgehalts einer Testlösung unter Verwendung des Farbtons eines Farbstoffs, der erzeugt wird durch Mischen einer einen Benzidinindikator oder ein Salz davon enthaltenden Lösung und der Testlösung, dadurch gekennzeichnet, dass die einen Benzidinindikator oder das Salz enthaltenden Lösung eine Lösung umfasst, mit der der Benzidinindikator oder das Salz verdünnt werden kann.
    • (10) Testpackung zum Bestimmen des Gesamtchlorgehalts einer Testlösung unter Verwendung des Farbtons eines Farbstoffs, der erzeugt wird durch Mischen einer einen Benzidinindikator oder ein Salz davon enthaltenden Lösung und der Testlösung, dadurch gekennzeichnet, dass die Testpackung Farbproben umfasst, die Namen enthalten sowie Farbproben der Standardfarben, die erhalten werden durch Kombination von mehreren Verdünnungs- und/oder Konzentrationsreihen des Gesamtchlorgehalts der Testlösung.
    • (11) Testpackung zum Bestimmen des Gesamtchlorgehalts nach einem von (8) bis (11), bei der der Benzidinindikator ein Tetraalkylbenzidin ist.
    • (12) Testpackung nach (11), bei der der Tetraalkylbenzidinindikator ein 3,3',5,5'-Tetraalkylbenzidin ist.
    • (13) Testpackung nach (11), bei der der Tetraalkylbenzidinindikator eine durch Formel I wiedergegebene Verbindung ist.
    • (14) Verfahren zum Bestimmen des Gesamtchlorgehalts in einer Testlösung durch Verwendung des Farbtons eines Farbstoffs, der erzeugt wird durch Mischen einer eine Benzidinverbindung enthaltenden Lösung, enthaltend einen Benzidinindikator oder ein Salz davon, mindestens einer Verbindung ausgewählt aus der Gruppe der Formeln (1 ), (2), (3) und in (4) und einer Testlösung; Fomel (1)
      Figure 00070001
      wobei W1 für NO2, CN, CHO oder COR7 steht, (R7 bedeutet eine Alkoxyl oder eine Hydroxylgruppe); X1, Y1 und Z1 jeweils für eine -NR8R9-Gruppe, wobei R8 und R9 jeweils eine Alkylgruppe oder ein Wasserstoffatom bedeuten, eine -OR10-Gruppe, wobei R10 eine Alkylgruppe oder ein Wasserstoffatom bedeutet, eine Alkylgruppe mit 1 bis 4 Kohlenstoffatomen, Cl, F, I oder ein Wasserstoffatom stehen, vorausge setzt, dass von X1, Y1 und 1, mindestens eines ein Atom oder eine Gruppe ist, die von Wasserstoff verschieden sind; Formel (2)
      Figure 00080001
      wobei X2, Y2 und Z2 jeweils für eine -NR12R13-Gruppe, (R12 und R13 bedeuten jeweils ein Alkylgruppe oder ein Wasserstoffatom), eine -OR14-Gruppe, wobei R14 eine Alkylgruppe oder ein Wasserstoffatom bedeutet, R15 stehen, wobei R15 eine Alkylgruppe mit 1 bis 4 Kohlenstoffatomen bedeutet, Cl, F, I oder ein Wasserstoffatom bedeuten, vorausgesetzt, dass von X2, Y2 und Z2 mindestens eines ein Atom oder eine Gruppe ist, die von Wasserstoff verschieden sind; Formel (3)
      Figure 00080002
      wobei X3 für eine -R16R17-Gruppe, wobei R16 und R17 jeweils eine Alkylgruppe, eine Alkenylgruppe oder eine Alkinylgruppe, eine Phenylgruppe, eine herterocyclische Gruppe oder ein Wasserstoffatom bedeuten, eine Alkylgruppe mit 1 bis 4 Kohlenstoffatomen, Cl, F, I oder ein Wasserstoffatom steht; wobei Y3 für eine Alkylgruppe, eine Alkenylgruppe oder eine Alkinylgruppe, eine Phenylgruppe, eine herterocyclische Gruppe, eine -NR20R21-Gruppe, wobei R20 und R2 1 jeweils eine Alkylgruppe oder ein Wasserstoffatom, eine Alkylthiogruppe, eine Phenylthiogruppe bedueten, ein -OR22, wobei R22 eine Alkylgruppe oder ein Wasserstoffatom bedeutet, eine Alkylgruppe mit 1 bis 4 Kohlenstoffatomen, Cl, F, I oder ein Wasserstoffatom steht; wobei Z3 für eine Hydroxylgruppe, eine Alkoxylgruppe, eine Alkylgruppe oder eine Cycloalkylgruppe steht; Formel (4) X4-COCH2CO-Y4 wobei X4 und Y4 jeweils für eine Alkylgruppe, eine Alkoxylgruppe, eine Phenylgruppe, eine mit einer Hydroxylgruppe oder einer Aminogruppe substituierte Phenylgruppe oder eine -NR24R25-Gruppe stehen, wobei R24 und R25 eine Alkylgruppe oder ein Wasserstoffatom bedeuten.
    • (15) Ein Verfahren zum Bestimmen des Gesamtchlorgehalts in einer Testlösung durch Verwendung des Farbtons eines Farbstoffs, der erzeugt wird durch Mischen einer eine Benzidinverbindung enthaltenden Lösung, enthaltend einen Benzidinindikator oder ein Salz davon und mindestens eine Verbindung, die durch die Formels (1) bis (4) wiedergegeben wird und die Testlösung, wobei das Verfahren durch einen Verfahrensschritt gekennzeichnet ist, bei dem sich der Bereich des Chlorgehalts ändert, was durch eine Veränderung der Konzentration des Benzidinindikators oder eines Salzes davon zu einer Veränderung des Farbtons des zu erzeugenden Farbstoffs führt.
    • (16) Verfahren zum Bestimmen des Gesamtchlorgehalts nach (14) oder (15) bei dem der Benzidinindikator ein Tetraalkylbenzidin ist.
    • (17) Verfahren zum Bestimmen des Gesamtchlorgehalts nach (16), bei dem das Tetraalkylbezidin 3,3',5,5'-Tetramethylbenzidin ist.
    • (18) Verfahren zum Bestimmen des Gesamtchlorgehalts nach (16), bei dem das Tetraalkylbenzidin ein Derivat von 3,3',5,5'-Tetremethylbenzidin ist, welches durch die Fomel I wiedergegeben wird.
    • (19) Testpackung zum Bestimmen des Gesamtchlorgehalts einer Testlösung unter Verwendung des Farbtons eines Farbstoffs, der erzeugt wird durch Mischen einer Lösung, die einen Benzidinindikator oder ein Salz davon und mindestens eine Verbindung enthält, ausgewählt aus den obigen Formeln (1) bis (4) und einer Testlösung.
    • (20) Testpackung zum Bestimmen des Gesamtchlorgehalts einer Testlösung unter Verwendung des Farbtons eines Farbstoffs, der erzeugt wird durch Mischen einer einem Benzidinindikator oder ein Salz davon enthaltenden Lösung und der Testlösung, dadurch gekennzeichnet, dass die Lösung einen Benzidinindikator oder ein Salz davon und mindestens eine Verbindung ausgewählt aus den Formeln (1 ), (2), (3) und (4) enthält, wobei die Packung eine Lösung enthält, mit der der Benzidinindikator oder das Salz davon verdünnt werden kann.
    • (21) Testpackung zum Bestimmen des Gesamtchlorgehalts einer Testlösung unter Verwendung des Farbtons eines Farbstoffs, der erzeugt wird durch Mischen einer einem Benzidinindikator oder ein Salz davon enthaltenden Lösung und mindestens einer Verbindung ausgewählt aus den Formeln (1), (2), (3) und (4) und der Testlösung, wobei die Packung Farbproben mit Standardfarben aufweist, die erhalten wurden durch Kombination von mehreren Benzidinindikatoren mit unterschiedlichen Benzidinmengen und dem Gesamtchlorgehalt der Testlösung.
    • (22) Testpackung zur Bestimmung des Gesamtchlorgehalts nach einem von (19) bis (22), bei dem der Benzidinindikator ein Tetraalkylbenzidin ist.
    • (23) Testpackung nach (22), bei der der Tetraalkylbenzidinindikator ein 3,3',5,5'-Tetraalkylbenzidin ist.
    • (24) Testpackung nach (22), bei der der Tetraalkylbenzidinindikator eine durch die Formel I wiedergegebene Verbindung ist.
  • Kurzbeschreibung der Zeichnungen
  • 1 ist ein Blockdiagramm ein Testpackungs zum Bestimmen eines oxidierten Produkts, die ein Beispiel der Erfindung wiedergibt.
  • 2 ist eine Zeichnung, die einen Behälter (Reagenz) sowie eine Injektionseinrichtung (für die zu untersuchende Lösung) zeigt, die ein Beispiel der Erfindung darstellt.
  • 3 ist eine Zeichnung, die einen Querschnitt eines erfindungsgemäßen Flächenmaterials aus Aluminium zeigt, die ein Beispiel der Erfindung darstellt.
  • Detailbeschreibung der Erfindung
  • Nachfolgend wird die Erfindung in weiteren Einzelheiten erläutert.
  • Der Benzidinindikator oder das Salz davon werden erläutert.
  • Zuerst wird der durch die erwähnte allgemeine Formel I wiedergegebene Benzidinindikator erläutert, der bevorzugt bei der Erfindung eingesetzt wird.
  • In Formel I bedeuten R1, R2, R3 und R4 unabhängig voneinander ein Wasserstoffatom oder eine geradkettige Alkylgruppe mit 1 bis 6 Kohlenstoffatomen, vorausgesetzt, dass mindestens drei R1, R2, R3 und R4 diese Alkylgruppe mit 1 bis 6 Kohlenstoffatomen darstellen und sie gleich oder unterschiedlich sein können; R3 und R4 bedeuten unabhängig voneinander ein Wasserstoffatom oder eine Sulfoalkylgruppe, die durch die Formel II wiedergegeben wird: -(CH2)nSO3H, wobei n eine ganze Zahl von 1 bis 6 bedeutet, unter der Voraussetzung, dass R5 oder R6 die Sulfoalkylgruppe bedeutet und die Sulfoalkylgruppe mit mindestens Hydroylgruppe substituiert sein kann. Zur Bildung eines Salzes wird gewöhnliche Säure eingesetzt, beispielsweise können Hydrochloride, Sulfate und Citrate etc. erwähnt werden.
  • Spezielle Beispiele für die Benzidinindikatoren sind nachfolgend genannt, die jedoch den Schutzumfang der Erfindung nicht begrenzen.
  • N-(2-Sulfoethyl)-3,3',5,5'-tetramethylbenzidin
    N-(3-Sulfopropyl)-3,3',5,5'-tetramethylbenzidin
    N-(4-Sulfobutyl)-3,3',5,5'-tetramethylbenzidin
    N-(3-Sulfopropyl)-3,3',5,5'-tetraethylbenzidin
    N-(2-Hydroxy-3-sulfopropyl)-3,3',5,5'-tetramethylbenzidin
    N,N'-bis(2-Sulfoethyl)-3,3',5,5'-tetramethylbenzidine
    N,N'-bis(3-Sulfopropyl)-3,3',5,5'-tetramethylbenzidine
    N,N'-bis(4-Sulfobutyl)-3,3',5,5'-tetraethylbenzidine
    N,N'-bis(3-Sulfopropyl)-3,3',5,5'-tetraethylbenzidine
    N,N'-bis(2-Hydroxy-3-sulfoethyl)-3,3',5,5'-tetramethylbenzidine
    N,N'-bis(2-Hydroxy-3-sulfopropyl)-3,3',5,5'-tetramethylbenzidine
  • Als Salz des Benzidinindikators können beispielsweise das Salz der Chlorwasserstoftsäure, Sulfate, Citrate der genannten Verbindungen genannt werden.
  • Wenn bei Formel I R1, R2, R3 und R4 alle Methylgruppen und R5 und R6 Wasserstoffatome sind, handelt es sich um 3,3',5,5'-Tetramethylbenzidin (TMB). Wenn jedoch R1, R2, R3 und R4 alle Methylgruppen sind, R5 eine Sulfoalkylgruppe und R6 ein Wasserstoffatom ist, liegt die Verbindung N-Sulfoalkyl-3,3',5,5'-Tetramethylbenzidin (SA-TMB) vor, die beide für die Erfindung bevorzugt sind. Erfindungsgemäß besonders bevorzugt ist TMB.
  • Als eine spezielle Ausführungsform der Erfindung wird der Fall von TMB als Beispiel erläutert. TMB wird zunächst in einer geringen Flüssigkeitsmenge gelöst, in der TMB löslich ist. Das in diesem Fall verwendete Lösemittel kann beliebig sein, solange es TMB löst. Beispielsweise kann es entweder ein nicht protonisches organisches Lösemittel sein wie z. B. Dimethylsulfoxid (DMSO) oder ein protonisches organisches Lösemittel wie z. B. Dimethylformamid (DMF) oder ein niederer Alkohol. Es kann sich auch um eine wässrige saure Lösung handeln. Bevorzugt kann eine dünne wässrige Lösung einer Mineralsäure wie z. B. eine verdünnte Chlorwasserstoffsäurelösung mit einem pH-Wert von 2,0 eingesetzt werden.
  • Ein Reagenz zum Bestimmen des Gesamtchlorgehalts kann hergestellt werden durch Zusetzen einer vorgewählten Menge dieser Lösung zu einer Pufferlösung. In diesem Fall kann der pH-Wert der Lösung in einem Bereich gehalten werden, in dem TMB nicht ausfällt. Bevorzugt beträgt er 3 bis 7, bevorzugter 4 bis 5 und am meisten bevorzugt 4,6 bis 5,0. Wenn auch für das eingesetzte Puffersystem keine spezielle Beschränkung besteht, können beispielsweise Malonsäure, Phthalsäure, Fumarsäure, Weinsäure, Citronensäure, β-Alanin, Dimethylglutarsäure, Asparaginsäure, Barbitursäure, Benzoesäure, Succinsäure, Oxalsäure, Essigsäure, Apfelsäure, 2-(N-Morpholin)ethansulfonsäure und und Maleinsäure und dergleichen eingesetzt werden. Durch Zusatz einer Chlor enthaltenden Lösung, beispielsweise Zusatz von einem Zehntel der Gesamtmenge der Lösung der hypochlorigen Säure, die geeignet verdünnt wird, findet eine Farbbildung von blau, grün, gelb, orange, rot oder einer Zwischenfarbe davon statt, wobei dies den Bereich von Proben mit geringer Konzentration an hypochloriger Säure bis zu Proben mit höherer Konzentration abdeckt.
  • Genauer ausgedrückt hat die Dichte der Farbbildung eine positiove Korrelation mit der Konzentration der hypochlorigen Säure in Bezug auf die erwähnten Farben. Insbesondere ist bei blau (ein Bereich, bei dem die Konzentration der hypochlorigen Säure in Bezug auf die Konzentration von TMB relativ niedrig ist) und orange oder rot (ein Bereich in dem die Konzentration der hypochlorigen Säure in Bezug auf die TMB-Konzentration relativ hoch ist) die Information über die Variation der Konzentration der jeweiligen Farben nützlich für die Bestimmung der Konzentration der hypochlorigen Säure. Der Konzentrationbereich der hypochlorigen Säure, in dem die Veränderung des Farbton stattfindet, kann variiert werden durch Steuern der Konzentration von TMB im Bestimmungsreagens. Dies bedeutet, dass durch Verringerung der Konzentration von TMB im Indikator der Konzentrationsbereich der hypochlorigen Säure, in dem die Veränderung des Farbtons stattfindet, zu kleineren Konzentrationen verschoben wird. Andererseits kann durch eine Erhöhung der Konzentration von TMB im Indikator der Konzentrationsbereich der hypochlorigen Säure, in dem die Veränderung des Farbtons stattfindet, zu höheren Konzentrationen verschoben werden.
  • Wie nachfolgend durch die Arbeitsbeispiele gezeigt wird, kann mit diesem Verfahren der Verfolgung der Farbtonänderung sowie durch Veränderung der Konzentration von TMB im Bestimmungsreagenz die Konzentration der hypochlorigen Säure beispielsweise von 10 bis 20 mg/l oder von 500 bis 2.000 mg/l erfasst werden. Es ist selbstverständlich möglich, die Empfindlichkeit der Messung einige Male zu erhöhen, in dem man die Menge der Testlösung, die in Bezug. auf das Bestimmungsreagenz zugesetzt wird, relativ erhöht. Falls erforderlich, kann im Voraus die Pufferkapazität erhöht werden, beispielsweise durch Anheben der Konzentration der Pufferlösung im Bestimmungsreagenz, um nachteilige Auswirkungen von pH-Schwankungen wie z. B. Ausfällung von TMB zu vermeiden, wenn die Indikatorlösung und die Messlösung gemischt werden.
  • Was die Korrelation zwischen TMB, dem Chlorgehalt und dem Farbton nach der Farbbildung anlangt, so behält sich z. B. bei Einsatz einer Lösung, die hergestellt wurde durch Lösen von TMB in einer geringen Menge einer wässrigen Chlorwasserstoffsäurelösung mit einem pH-Wert von 2,0. Einer Pufferlösung aus Zitronensäure (0,1 mol/l)/Phosphorsäure (0,1 mol/l) zugesetzt wird, die Farbbildung des Molverhältnisses (Chlorgehalt/TMB) des Chlorgehalts gegenüber TMB wie folgt:
    nicht größer als 3,0 (Null ausgeschlossen): Blau
    2,0 bis 6: Grün
    3,5 bis 40: Gelb
    nicht kleiner als 4,5: Orange oder Rot
  • Es entstehen Überlappungen der Molverhältnisswerte der Farbbereiche. Wenn ein Bestimmungsreagenz eine niedrige TMB-Konzentration hat, ergeben sich folgende Molverhältnisse der Färbung.
    kleiner als 2,0 (Null ausgeschlossen): Blau
    nicht kleiner als 2 und kleiner als 5: Grün
    nicht kleiner als 5 und kleiner als 20: Gelb
    größer als 20: Rot
  • Wenn ein Bestimmungsreagenz mit einer hohen TMB-Konzentration eingesetzt wird, ergeben sich folgende Molverhältnisse der Färbung:
    kleiner als 3,0 (Null ausgeschlossen): Blau
    nicht kleiner als 3,0 und kleiner als 6,0: Grün
    nicht kleiner als 6 und kelienr als 11: Gelb
    nicht kleiner als 11: Rot
  • Dies deutet darauf hin, dass die Molverhältnisse von Grenzen, in denen die Farbtonveränderung stattfindet voneinander unterschiedlich sind, wobei dies von der TMB-Konzentration abhängt.
  • Die obigen Ergebnisse deuten nicht auf die Möglichkeit hin, dass mehrere Farbveränderungen in einem identischen Molverhältnis einer Bestimmungslösung stattfinden.
  • Wenn das TMB zum Messen des Gesamtchlorgehalts eingesetzt wird, werden zwei Farbstoffe erzeugt, die die Maximalextinktion bei einer Wellenlänge von 655 bzw. 450 nm haben.
  • Weil sich das Verhältnis, mit dem sie entstehen, mit dem Molverhältnis des Gesamtchlorverhältnisses zu TMB verändert, verändert sich auch der Farbton von blau, grün, gelb, orange und rot in dieser Reihenfolge.
  • Insbesondere im Bereich der TMB-Konzentration von 10 bis 50 mg/l, in dem die Bestimmung durch Farbtonänderung leicht ausgeführt werden kann, verhält sich die Farbbildung in Bezug auf das Molverhältnis wie folgt:
    kleiner als 3,0: blau
    nicht kleiner als 3,0 und kleiner als 6,0: grün
    nicht kleiner als 6,0 und kleiner als 10,0: gelb
    nicht kleiner als 10,0: rot
  • unter der Vorraussetzung, dass es eine Möglichkeit gibt, dass diese Beziehung von der Zusammensetzung der Reaktionlösung beeinflusst wird.
  • Wenn kein auf einer Farbtonänderung aufbauendes Bestimmungsverfahren eingesetzt wird, ist es möglich, ein Verfahren einzusetzen, bei dem die Konzentrationdifferenz der blauen Farbe bestimmt wird, wobei ein Bestimmungsreagenz mit einer relativ hohen TMB-Konzentration verwendet wird. Insbesondere im Bereich, in dem die Konzentration der hypochlorigen Säure kleiner ist als der Bereich, in dem die Farbtonveränderung stattfindet, vergrößert ein Verfahren, bei dem die Konzentration der hypochlorigen Säure über die Konzentrationsdifferenz der blauen Farbe gemessen wird, beträchtlich den Messbereich des Chlorgehalts.
  • Wenn ein Bestimmungsreagenz mit einem Gehalt von 33 μg/ml TMB eingesetzt wird, was eine relativ hohe Konzentration darstellt und der Messbereich der Konzentration der hypochlorigen Säure 200 bis 1.000. mg/l beträgt, dann wird durch die Kombination mit dem auf der Konzentration der blauen Farbe basierenden Bestimmungsverfahren der Messbereich des Chlorgehalts auf 2 bis 1.000 mg/l erweitert. Dies wird in den nachfolgenden Beispielen offenbart. Dieses Messbereichserweiterung ist besonders wertvoll für die Messung einer Testlösung, deren Chlorgehalt völlig unbekannt ist. Bei erstmaliger Messung einer Testlösung, deren Chlorgehalt nicht bekannt ist, sowie dann, wenn die Konzentration außerhalb des durch die Farbtonänderung vorgegebenen Messbereichs liegt, kann der ungefähre Konzentrationsbereich der Testlösung über den Glanzwert des gebildeten Farbstoffs (beispielsweise blau) der Testlösung abgeschätzt werden, deren Chlorgehalt unbekannt ist. Der abgeschätzte Chlorgehalt kann dann mit einer weiteren Messung unter Verwendung eines Bestimmungsreagenzes gemessen werden, bei dem die Messung des Chlorgehalts auf der Basis der Farbänderung durchgeführt wird. Beispielsweise kann der Messbereich eingestellt werden, indem man die Konzentration des TMB im Bestimmungsreagenz einstellt.
  • Dies leistet einen beträchtlichen Beitrag, den Experimentator von der unnützen Herstellung unterschiedlicher Verdünnungslösungen zu bewahren; er muss außerdem nicht mehrere komplexe Tests durchführen.
  • Weil nach dem Zusatz der Testlösung zur Bestimmungslösung die Farbentwicklung schnell voranschreitet, kann der Messwert genommen werden, wenn die Farbe einheitlich ist, indem die Reaktionlösung vorsichtig geschüttelt oder gerührt wird, um eine uneinheitliche Färbung zu vermeiden. Weil der erzeugte Farbstoff mindestens einige Stunden stabil existiert, kann der Messwert eine Stunde nach seiner Bildung genommen werden.
  • Wenn die TMB-Konzentration im Bestimmungsreagenz hoch ist, gibt es das Problem, dass Farbstoffe wenn sie länger stehen zur Bildung von Ausfällungen neigen. Die japanische Patentveröffentlichung O. P. I. 62-182 659 (1987) offenbart, dass die Natur gewisse Anionen, bei denen entstandene Farbstoffe mit gewissen Anionen sich in unlösliche Farbstoffe verwandeln, dafür verwendet werden kann, diesen unlöslichen Farbstoff für die Visualisierung biologischer Substanzen zu verwenden, wie z. B. beim Färben von Immunogeweben etc.
  • Bei der vorliegenden Erfindung kann jedoch die Insolubilisierung von Farbstoffen (die Bildung von Ausfällungen nach der Farbbildung) für die Aufgaben der Erfindung eher schädlich als hilfreich sein. Wenn es keine Einflussgröße gibt, mit der die Löslichkeit äußerst klein gemacht werden kann, beobachtet man diese Art der Bildung von Ausfällungen erst nach einer gewissen Zeit, die ausreicht, um die Messung durchzuführen, nachdem die Farbe gebildet ist. Jedoch wird die Insolubisierung von Farbstoffen häufig beobachtet, insbesondere bei blauen Farbstoffen in hoher Konzentration.
  • Die ausführlichen Untersuchungen der Erfinder zur Verbesserung dieses Punktes haben ergeben, dass die Entstehung von Ausfällungen wirksam durch den Zusatz bestimmter aromatischer Verbindungen, bestimmter Dicarbonylverbindungen oder bestimmter Benzimidazolverbindungen verhindert werden kann.
  • Indem diese Verbindungen koexistent gemacht werden, ist die Bestimmung des Gesamtchlorgehalts selbst nach dem Verstreichen von 24 Stunden möglich.
  • Insbesondere wird die quantitative Messung durch visuelle Beobachtung der Farbkonzentration oder durch Messung der Extinktion möglich.
  • Bei einem oxidationsfähigen Material wie Chlor kann das erfindungsgemäß offenbarte Bestimmungsverfahren in ähnlicher Weise eingesetzt werden. Nachfolgend werden die durch die allgemeinen Formeln (1) bis (4) dargestellten Verbindungen erläutert.
  • In der allgemeinen Formel (1) steht W, für NO2, CN, CHO oder COR7 (R7 bedeutet eine Alkoxylgruppe oder eine Hydroxylgruppe); X1, Y1 und Z1 stehen jeweils für eine -NR8R9-Gruppe (wobei R8 und R9 jeweils eine Alkylgruppe oder ein Wasserstoffatom bedeuten), eine -OR10-Gruppe (wobei R10 eine Alkylgruppe oder ein Wasserstoffatom bedeutet); eine Alkylgruppe mit 1 bis 4 Kohlenstoffatomen, Cl, F, I oder H; vorausgesetzt, dass von X1, Y1 und Z1 mindestens eines ein Atom oder eine Gruppe ist, die von Wasserstoff verschieden sind.
  • In Formel (2) stehen X2, Y2 und Z2 jeweils für eine -NR12R13-Gruppe, (wobei R12 und R13 jeweils ein Alkylgruppe oder ein Wasserstoffatom bedeuten); eine -OR14-Gruppe (wobei R14 eine Alkylgruppe oder ein Wasserstoffatom bedeutet); eine Alkylgruppe mit 1 bis 4 Kohlenstoffatomen oder Cl, F, I oder H; vorausgesetzt, dass von X2, Y2 und Z2 mindestens eines ein Atom oder eine Gruppe ist, die von Wasserstoff verschieden sind.
  • In Formel (3) steht X3 für eine -NR16R17-Gruppe, wobei R16 und R17 jeweils eine Alkylgruppe, eine Alkenylgruppe, eine Alkinylgruppe, eine Phenylgruppe, eine heterocyclische Gruppe oder ein Wasserstoffatom bedeuten; eine -R18-Gruppe, wobei R18 eine Alkylgruppe oder ein Wasserstoffatom bedeutet; eine Alkylgruppe mit 1 bis 4 Kohlenstoftatomen; oder Cl, F, I und H; Y3 steht für eine Alkylgruppe, eine Alkenylgruppe, eine Alkinylgruppe, eine Phenylgruppe, eine heterocyclische Gruppe, eine -NR20R21-Gruppe, wobei R20 und R21 jeweils eine Alkylgruppe oder ein Wasserstoffatom bedeuten); eine Alkylthiogruppe, eine Phenylthiogruppe, eine -OR22 (wobei R22 eine Alkylgruppe oder ein Wasserstoffatom bedeutet); R23 (wobei R23 eine Alkylgruppe mit 1 bis 4 Kohlenstoffatomen, Cl, F, I oder H bedeutet); Z3 steht für eine Hydroxylgruppe, eine Alkoxylgruppe, eine Alkylgruppe oder eine Cycloalkylgruppe.
  • Für die heterocyclische Gruppe kann beispielsweise eine heterocyclische Gruppe wie eine Pyridingruppe, eine Thiophengruppe, eine Furangruppe, eine Tetrahydropyrangruppe etc. genannt werden.
  • Bei den Gruppen der Formeln 1 bis 3 können die erwähnten Gruppen substituiert sein mit einer Hydroxylgruppe, einer Aminogruppe einer Nitrilgruppe, einer Sulfonsäuregruppe etc..
  • In Formel (4) stehen X4 und Y4 jeweils für eine Alkylgruppe, eine Alkoxygruppe, eine Phenylgruppe und eine -NR24R25-Gruppe, wobei R24 und R25 jeweils für eine Alkylgruppe oder ein Wasserstoffatom stehen.
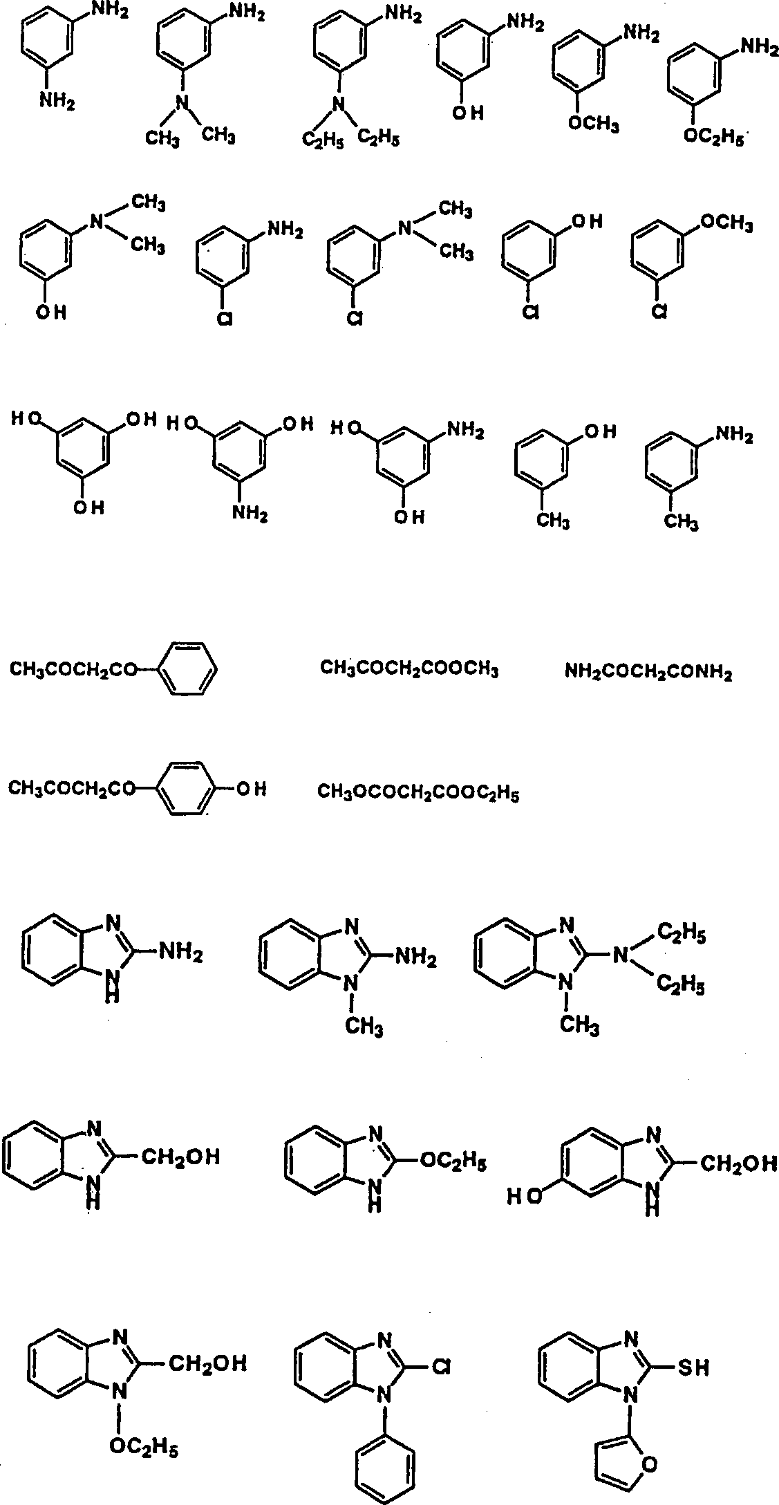
  • Nachfolgend werden beispielhaft spezielle Verbindungen angegeben, die durch die Formeln (1) bis (4) dargestellt werden. Der Schutzumfang der Erfindung ist jedoch nicht auf diese beschränkt.
  • Figure 00190001
  • Figure 00200001
  • Figure 00210001
  • Diese Verbindungen können koexistieren, solange sie in der TMB-Lösung für die Zeit der Farbbildungsreaktion koexistent sind. Eine Testlösung, die das TMB und mindestens eine Testlösung enthält, die eine der erfindungsgemäßen Verbindungen enthält, kann separat verpackt sein. Sie können dann zur Zeit der Experimente gemischt oder in vorgemischter Form geliefert werden. Die Menge der erfindungsgemäßen Verbindung, die mit der TMB-Verbindung koexistieren muss, beträgt bevorzugt nicht weniger als 0,01 in Bezug auf die Menge des TMB bezogen auf das Molverhältnis. Mehr bevorzugt beträgt sie nicht weniger als 0,1 und am meisten bevorzugt nicht weniger als 1. Ein Zusatz im Überschuss kann für die Erfindung kein Hinderniss sein, jedoch sollten Probleme in Betracht gezogen werden, die durch den Zusatz der Verbindung er se verursacht werden.
  • Bei SA-TMB ist auch die Bestimmung des Gesamtchlorgehalts möglich, insbesondere die Bestimmung der Konzentration der hypochlorigen Säure. Beachtet werden sollte, dass anstelle der Farbbildung zu einer blauen Farbe, die dann beobachtet wird, wenn TMB allein anwesend ist, eine Farbbildung zu bläulich grün beobachtet wird. Die Farbbildung beginnt von der unteren Chlorkonzentration aus in der Reihenfolge bläulich grün, gelb, orange und rot sowie Zwischenstufen dieser Farben. Was andere Eigenschaften, die Konzentrationsabhängigkeit der Farbstoffbildung etc. anlangt, so habe sie ähnliche Eigenschaften wie im Fall von TMB, weshalb die Bestimmung der Konzentration des Chlorgehalts entweder auf der Grundlage nur der Farbänderung oder der Konzentrationsdifferenz oder sowohl Farbänderung als auch Konzentrationdifferenz in Kombination möglich sind.
  • Die Erfinder haben gefunden, dass sich im Fall von SA-TMB leicht Niederschläge bilden, wenn die Konzentration hoch ist wie im Fall von Tetraalkylbenzidinen, und dass die Entstehung solcher Niederschläge verhindert werden kann durch Zusatz mindestens einer kleinen Menge der erwähnten Dicarbonylverbindungen oder Benzimidazolverbindungen, wie auch durch Zusatz eines bestimmten organischen Lösemittels bis zu einer vorgewählten Konzentration (üblicherweise nicht weniger als 5%).
  • Durch die Koexistenz dieser Verbindungen ist es möglich, die quantitative Bestimmung selbst nach dem Verstreichen einer Zeitspanne von 24 Stunden durchzuführen, und zwar entweder durch visuelle Beurteilung unter Verwendung der Konzentrationdifferenz im blauen Farbbereich oder durch Messung der Extinktion.
  • Die Erfindung betrifft weiter eine Testpackung zum Bestimmen des Gesamtchlorgehalt unter Einsatz einer Benzidinverbindung, bevorzugt von Tetraalkylbenzidinverbindungen, und am meisten bevorzugt unter Einsatz von 3,3',5,5'-Tetramethylbenzidin (TMB) oder N-Sulfoalkyl-3,3',5,5'-tetramethylbenzidin (SA-TMB). Spezielle Ausführungsformen der Testpackung verwenden Benzidine, bevorzugt Tetraalkylbenzidine und besonders bevorzugt 3,3',5,5'-Tetramethylbenzidin (TMB) oder N-Sulfoalkyl-3,3',5,5'-tetramethylbenzidin (SA-TMB). Diese lösen zuerst das TMB in einem Lösemittel, indem das TMB löslich ist. Dieses Lösemittel kann beliebig sein, solange es das TMB zu lösen vermag. Beispielsweise kann es ein nicht protonisches organisches Lösemittel wie Dimethylsulfoxid (DMSO) oder ein protonisches organisches Lösemittel wie Dimethylformamid (DMF) oder ein niederer Alkohol sein. Es kann auch eine wässrige Säurelösung sein. Bevorzugt kann ein dünne wässrige Lösung einer Mineralsäure wie eine verdünnte Chlorwasserstoffsäurelösung mit einem pH-Wert von 2,0 eingesetzt werden. Beispielsweise können 5 mg TMB in 1 ml der verdünnten wässrigen Chlorwasserstoffsäure mit einem pH-Wert von 2,0 gelöst werden.
  • Die Testpackung zum Bestimmen des Chlorgehalts kann hergestellt werden durch Zusatz einer bestimmten Menge dieser Lösung zu einer Pufferlösung. Der pH-Wert der Lösung kann auf einen Bereich eingestellt werden, in dem TMB nicht ausfällt. Bevorzugt beträgt der pH-Wert 2 bis 7, bevorzugter 4 bis 5 und am meisten bevorzugt 4,6 bis 5,0. Für das eingesetzte Puffersystem gibt es keine spezielle Beschränkung, jedoch können beispielsweise Malonsäure, Phthalsäure, Fumarsäure, Weinsäure, Citronensäure, β-Alanin, Dimethylglutarsäure, Asparaginsäure, Barbitursäure, Benzoesäure, Succinsäure, Oxalsäure, Essigsäure, Apfelsäure, 2-(N-Morpholin)ethansulfonsäure und Maleinsäure etc. eingesetzt werden. Bei einem speziellen Einsatz der Testpackung erfolgt die Bestimmung des Chlorgehalts durch Zusatz von 1/10 der Menge einer wässrigen Chlorwasserstoffsäurelösung, die mit Wasser in geeigneter Weise verdünnt zum Bestimmungsreagenz wurde und visueller Beurteilung der Farbbildung, die bei niederer Konzentration von Chlor zu hoher Konzentration in der Reihenfolge blau, grün, gelb, orange und rot stattfindet. Es besteht eine positive Korrelation zwischen der Konzentration der Farbbildung und der Konzentration der hypochlorigen Säure und insbesondere die Infor mation der Dichteveränderung zu blau, orange oder rot ist nützlich für die Bestimmung der Konzentration der hypochlorigen Säure.
  • Die erfindungsgemäße Testpackung zum Bestimmen des Gesamtchlorgehalts muss als Mindestanforderungen für die Bestimmung des Gesamtchlorgehalts einen Benzidinindikator enthalten. Außerdem ist es möglich, den einfachen Einsatz der erfindungsgemäßen Testpackung zu verbessern beispielsweise durch Beipacken eines Pipette, mit der eine bestimmte Menge der Testlösung oder ein Satz dafür abgemessen werden kann, sowie einer Farbprobe, mit der die Bestimmung der Färbung oder des Glanzes der Farbe leichter durchgeführt werden kann.
  • Die Farbprobe kann eine Farblösung sein oder die Form von gelatineartigem Material haben. Weiter kann die Bedienungsfreundlichkeit verbessert werden, wenn beispielsweise mit Farbe bedruckte Materialien auf einem Substrat wie Papier eingesetzt werden.
  • Die Erfindung betrifft auch eine Testpackung zum Bestimmen des Gesamtchorgehaltes, die ein Bestimmungsreagenz und eine Lösung zur Verdünnung des Bestimmungsreagenzes umfasst. Messbare Konzentrationsbereiche des Chlorgehalts, beispielsweise wenn der messbare Konzentrationsbereich des Chlorgehalts durch eine Farbtonänderung bestimmt werden kann, der messbare Konzentrationbereich des Chlorgehalts kann variiert werden durch Veränderung der TMB-Konzentration im Bestimmungsreagenz. Dies bedeutet, dass durch Herabsetzen der TMB-Konzentration im Bestimmungsreagenz wird der messbare Bereich des Gesamtchlorgehalts, in dem eine erfassbare Farbänderung stattfindet zu kleineren Konzentrationsbereichen verschoben wird; auf der anderen Seite verschiebt sich durch Erhöhung der TMB-Konzentration der messbare Bereich, in dem die Farbänderung stattfindet, zu höheren Konzentrationsbereichen. Diese Beziehung kann hier angegeben werden.
  • Weil die TMB-Konzentration mit der Verdünnungslösung, die in der erwähnten Testpackung vorgesehen ist, variiert werden kann, ist es möglich, eine Testpackung herzustellen, die eine geeignete Farbtonänderung liefert, die dem Gesamtchlorgehalt der Testlösung entspricht. Die erwähnte Verdünnungslösung kann beliebig sein, solang sie die Farbbildungsreaktion von TMB nicht beeinflusst. Bevorzugt ist sie eine Pufferlösung oder destilliertes Wasser, in dem TMB die Pufferlösung oder das destillierte Wasser gelöst ist. Die Pufferlösung, in der das TMB gelöst ist, kann selbstverständlich die erwähnten weiteren Reagenzien zur Verhinderung der sich bildenden Farbstoffe enthalten. Bei einer bevorzugten Ausführungsform und dann, wenn das Bestimmungsreagenz in der Lösung enthalten ist, in der TMB gelöst ist, wird eine Lösung verwendet, in der das Reagenz mit gleicher Konzentration enthalten ist wie wenn das Bestimmungsreagenz nicht enthalten ist, eine Pufferlösung wird eingesetzt, die das Reagenz nicht enthält. Bei SA-TMB kann eine Testpackung mit ähnlichem Aufbau eingesetzt werden.
  • Weiterhin betrifft die Erfindung eine Testpackung zur Bestimmung des Gesamtchlorgehalts mit mehreren Behältern, in die vorher ein Benzidinindikator oder ein Salz davon eingespritzt und festverschlossen ist.
  • Die Testpackung ist aufgebaut aus einem Gehäuse, welches mehrere Behälter enthält, in die vorher ein Indikator eingespritzt und fest verschlossen wurde (1a), eine Farbprobe (Farbskala) (1b) und einer Injektionseinrichtung (für die zu untersuchende Lösung).
  • Als Benzidinindikator können die Verbindungen Tetraalkylbenzidin, beispielsweise Tetramethylbenzidin (TMB), die durch die Formel I wiedergegeben werden und o-Toluidin (OT) genannt werden.
  • Davon ist 3,3',5,5'-Tetramethylbenzidin (TMB) besonders bevorzugt.
  • Die Erfindung ist dadurch gekennzeichnet, dass der Benzidinindikator vorher eingespritzt und in einem dicht verschlossenen Behälter enthalten ist. Es ist wichtig, den Indikator genau einzuspritzen.
  • Die Einspritzgenauigkeit muss bei der Erfindung so sein, dass der Einspritzfehler innerhalb von ± 4% liegt.
  • Das Einspritzen bedeutet bei der Erfindung, dass die vorbestimmte Reagenzmenge vorher mit einer genauen Pipette (beispielsweise FH-10S, ein Produkt von Hirasawa Corporation) abgewogen und mit einer genauen Waage (beispielsweise AT-250, ein Produkt von Metler) das Gewicht bestimmt wird.
  • Das Einspritzvolumen des Benzidinindikators wird erfindungsgemäß auf 1 bis 5 ml eingestellt, bevorzugt auf 1 bis 2 ml.
  • Die Form des Behälters kann beliebig sein, er muss jedoch fest verschließbar sein. Reagenzgläser werden jedoch bevorzugt eingesetzt.
  • Die physikalischen Eigenschaften des Behältermaterials ergeben bevorzugt eine Feuchtigkeitsaufnahme von 0,01 bis 0,06% sowie eine spezifische Gasdurchlässigkeit von 50 bis 900 ml/100m2/mm/24h atm bei 25°C für CO2 und von 50 bis 350 ml/100m2/mm/24h atm bei 25°C für O2. Genannt werden kann insbesondere Polystyrol.
  • Es kann jeder Deckel verwendet werden, der den Behälter der Erfindung abdichtend verschließt. Ablaßhähne und Dichtungsbänder sind bevorzugt. Besonders bevorzugt sind Dichtungsbänder.
  • Die physikalischen Eigenschaften des Deckelmaterials sind beispielsweise im Fall von Polymeren wie Polyethylen, Polypropylen, Polyvinylchlorid, Poylvinylidenchlorid, Polytetrafluorethylen, Polyester und Polyethylenterephthalat eine Zugfestigkeit von 1,1 bis 2,2, kg/cm2, eine Bruchdehnung von 100 bis 600% und eine Reißfestigkeit von 1 bis 25 kg/mm2.
  • Bei einer Aluminiumfolie beträgt die Zugfestigkeit bevorzugt 10 bis 90 N/mm2, die Bruchdehnung bevorzugt 2 bis 45% und die Reißfestigkeit bevorzugt 5 bis 60 kg/mm2.
  • Die Feuchtigkeitsaufnahme des erwähnten Deckels beträgt bevorzugt 0 bis 9%. Seine spezifische Gasdurchlässigkeit beträgt bevorzugt 1,5 bis 2.700 ml/100m2/mm/24h atm bei 25°C für CO2 und 20 bis 2.000 ml/100m2/mm/24h atm bei 25°C für O2.
  • Der Deckel kann mit dem Behälter durch Wärme, elektromagnetische Strahlung, Ultraschallstrahlung, Laserstrahlung oder einem Klebstoff versiegelt sein. Wenn die Versiegelung mit Wärme. erfolgt, kann elektromagnetische Stahlung, Ultraschallstahlung oder Laserstrahlung eingesetzt werden, womit der Deckel bei 150 bis 160°C in 1 Sekunde mit dem Behälter versiegelt werden kann. Mit einem Klebstoff kann er bei planer Haftung so versiegelt werden, dass er 2 kg/cm2 wiedersteht.
  • Unter dem Gesichtspunkt der Dichtheit und Herstellbarkeit ist es erfindungsgemäß bevorzugt, mit Wärme oder Laserstrahlung zu versiegeln.
  • Unter Berücksichtigung der Funktion des Deckels und des Behälter des Testpackung zum Bestimmen des Indikators ist der Deckel bevorzugt ein komplex aufgebautes Flächenmaterial (siehe die 2 und 3), bei dem eine Aluminiufolie und ein Polymer (beispielsweise Polyethylen), und der Behälter ist bevorzugt ein Reagenzglas aus Polystyrol (siehe die 1 und 2).
  • Bei dem komplexen Flächenmaterial, bei dem eine Aluminiumfolie und ein Polymer versiegelt sind, beträgt die Dicke des Polymers bevorzugt 1 bis 10 μm, wobei das Aluminium bevorzugt eine Dicke von 5 bis 50 μm aufweist, vorausgesetzt das Flächenmaterial wird nicht von einem Dorn bzw. einer Spitze aufgeschnitten, der für die Einspritzvorrichtung verwendet wird, die eine zu untersuchende Lösung einspritzt (ein oxidiertes Produkt).
  • Als Kraft zum Aufschneiden eines versiegelten Flächenmaterials aus Aluminium genügen bei dem Dorn für die 20 μl der üblicherweise eingesetzten Einspritzvorrichtung 50 g/m2 oder mehr, während 200 g/m2 oder mehr erforderlich sind, um Wasseraustritt sicherzustellen. Das Flächenmaterial aus Aluminium umfass die von Showa Aluminum Co., Ltd. hergestellten (siehe 3).
  • Die Dicke des Reagenzglases aus Polystyrol beträgt normalerweise 200 bis 2.000 μm, bevorzugt 600 bis 1.300 μm.
  • Die erfindungsgemäße Testpackung zum Bestimmen des Gesamtchlorgehalts kann für jeden Zweck eingesetzt werden. Unter anderem ist sie geeignet zum Bestimmen des Gesamtchlorgehalts.
  • Es wird nun die Testpackung zum Bestimmen des Gesamtchlorgehalts erläutert, die mehrere Behälter aufnimmt und bei der im Voraus ein Indikator eingespritzt und dicht versiegelt wird.
  • Eine Testpackung zum Bestimmen des Gesamtchlorgehalts gemäß einem Beispiel der Erfindung (1) ist wie folgt aufgebaut. 1(a) wird gebildet von einem Behälter 1, der dicht versiegelt bzw. verschlossen ist mit einem Flächenmaterial 3 aus Aluminium (gezeigt in 3), wobei der erfindungsgemäße Indikator (ein Reagenz, 1 ml) in den Behälter (ein Reagenzglas, 120 φ × 75 mm) eingespritzt ist.
  • Weiterhin vorgesehen sind ein Konstanttemperaturblock (ein Heizblock, dessen Temperatur konstant auf 60°C eingestellt werden kann), ein Spektralphotometer (mit ihm kann die Extinktion bei einer Wellenlänge von 450 nm gemessen werden), ein Kolorimeter (1(b)), eine Standardfarbenskala (1(c)), eine Reagenzglashalterung und eine Einspritzvorrichtung.
  • Bei der vorliegenden Testpackung sind ein Kolorimeter (1(b)) sowie eine Standardfarbenskale (1(c)) vorgesehen. In den 1(b) und 1(c) bedeutet das Bezugszeichen 1a eine Standardfarbenskala, 1b das Umgebungslicht, 1c ein Farbvergleichsfenster, 1d eine Halterung für die Standardfarbenskale, 1e eine Reagenzglashalterung, 1f eine Anzeige für den Gesamtchlorgehalt und 1g das Farbvergleichsergebnis.
  • Arbeitsvorschrift
  • Behälter 1 in die in 2 gezeigte Richtung halten. Mit einer handlesüblichen Einspritzvorrichtung, in die vorher 100 μl einer zu untersuchenden Lösung eingespritzt wurden, mit dem Dorn bzw. der Spitze 4 eine Kraft von 70 g/m2 aufbringen, die Aluminiumversiegelung 3 (Verschluss) durch Stoßen bzw. durch Schneiden und 100 μl der zu untersuchenden Lösung in den Reagenzbehälter 1 einspritzen; dann zum Mischen leicht schütteln; dann jeden Behäl ter 10 Sekunden bis 10 Minuten bei Zimmertemperatur stehen lassen und in einem Kolorimeter eine Standardfarbskala vorbereiten. Durch Farbvergleich den Gesamtchlorgehalt bestimmen.
  • Durch Messen der Lichtextinktion bei einer Wellenlänge von 450 nm mit einem Spektralphotometer kann außerdem die zu untersuchende Lösung (oxidiertes Produkt) in geeigneter Weise gemessen werden, indem der Gesamtchlorgehalt verglichen wird (beispielsweise mit einer vorher aufgestellten Kalibrierkurve für Chor).
  • 3 zeigt einen Querschnitt eines Flächenmaterials aus Aluminium (hergestellt von Showa Aluminum Co., Ltd.), welches ein bevorzugtes Beispiel der Erfindung darstellt.
  • Bezugszeichen 11 bezeichnet eine Schutzschicht, Bezugszeichen 12 eine Aluminiumfolie, 13 eine Trockenschicht und 14 eine Heißschmelzschicht, mit der die Aluminiumfolie mit dem erfindungsgemäßen Behälter versiegelt werden kann.
  • Beispiele
  • Die Erfindung wird nachfolgend unter Bezugnahme auf die Arbeitsbeispiele weiter erläutert, wobei jedoch der Schutzumfang der Erfindung durch diese Beispiele nicht beschränkt wird.
  • Beispiel 1 (Herstellung eines Reagenzes zum Bestimmen der Konzentration von Restchlor unter Einsatz von TMB)
  • Zur Herstellung einer TMB-Lösung wurden 2 ml einer wässrigen Chlonrwasserstoftsäurelösung mit pH = 2,0 einer Menge von 10 mg TMB (ein Produkt von Aldrich Ltd.) zugesetzt, gerührt und das TMB gelöst. Daneben wurde eine Zitronensäure (0,1 mol/l)/Phosphorsäure (0,1 mol/l)-Pufferlösung hergestellt (pH = 4,8, nachfolgend als CP-Pufferlösung bezeichnet). Dann wurden 1 ml dieser CP-Pufterlösung und 20 μl der TMB-Lösung vereinigt (um Ausfällungen zu verhindern, wurde 1 ml der CP-Pufterlösung zu 20 μl der TMB-Lösung gegeben) und gerührt, um das Bestimmungsreagenz A herzustellen. Durch Mischen des getrennt hergestellten Bestimmungsreagenzes A und der CP-Pufferlösung im Volumenverhältnis von 1 : 2 wurde das Bestimmungsreagenz B hergestellt, in dem die TMB-Konzentration gegenüber Bestimmungsreagenz A dreifach verdünnt ist.
  • Die TMB-Konzentration wurde weiter nach diesem Prinzip herabgesetzt. In Bestimmungsreagenz C war die TMB-Konzentration gegenüber Bestimmungsreagenz A neunfach verdünnt. In Bestimmungsreagenz D war sie gegenüber Bestimmungsreagenz A 27fach verdünnt. In Bestimmungsreagenz E war sie gegenüber Bestimmungsreagenz A 81fach verdünnt.
  • Beispiel 2 (Bestimmung des Gesamtchlorgehalts unter Einsatz von TMB)
  • Die Bestimmung des Restchlors wurde wie nachfolgend beschrieben durchgeführt, wobei verdünnte Natriumhypochloritlösungen als Chlorlieferanten eingesetzt wurden. Beim nachfolgenden Experiment besteht die Minimalanforderung an den aktiven Chlorgehalt, dass er nicht kleiner als 5% ist; der aktive Chlorgehalt der jeweiligen Lösungen wurde deshalb auf der Grundlage eines aktiven Chlorgehalts von 5% berechnet. Natriumhypochloritlösung (ein Pro dukt von Kanto Chemical Co. Ltd.) wurde mit destilliertem Wasser verdünnt, um Lösungen herzustellen, deren aktiver Chlorgehalt 2 mg/l, 10 mg/l, 20 mg/l, 50 mg/l, 100 mg/l, 200 mg/l, 300 mg/l, 400 mg/l, 500 mg/l, 800 mg/l, 1.000 mg/l, 2.000 mg/l bzw. 5.000 mg/l betrug. Dann wurden 100 μl der Natriumhypochloritlösung der jeweiligen Konzentration in Reagenzgläser gegeben, die 1 ml der Reagenzlösungen A bis E enthielten und leicht geschüttelt, wonach die Farbbildung sofort erfolgte. Nach Schütteln der Reagenzgläser bis zu einer einheitlichen Farbe und nach Abwarten einer weiteren Minute nach der Farbbildung wurden die Farbtonveränderungen visuell beurteilt. Die Ergebnisse sind in Tabelle 1 gezeigt.
  • Tabelle 1
    Figure 00310001
  • Mit einem Spektralphotometer (Microflow Spectrophotometer Cl-750, ein Produkt von Shimazu Manufacturing Co., Ltd) wurde außerdem bei Bestimmungsreagenz B insbesondere im blauen Konzentrationsbereich die Extinktion bei 655 nm gemessen. Die Ergebnisse sind in Tabelle 2 gezeigt.
  • Tabelle 2
    Figure 00320001
  • Den in Tabelle 1 gezeigeten Ergebnissen ist zu entnehmen, dass die Farbveränderung stattfindet gemäß der Konzentrationsveränderung der Natriumhypochloritlösung von blau, grün und gelb oder rot, wobei dies einen Bereich von niedriger zu hoher Konzentration des Natriumhypochlorits entspricht. Die Bestimmung des Gesamtchlorgehalts kann deshalb in einfacher Weise durchgeführt werden. Den Ergebnissen ist außerdem zu entnehmen, dass das Bestimmungsreagenz für die Messung entweder bei relativ hoher Messempfindlichkeit oder relativ niedriger Messempfindlichkeit hergestellt werden kann durch Einstellen des Konzentrationsbereiches für die Messung durch Variation der TMB-Konzentration in der Reagenzlösung. Nach den Ergebnisses dieses Beipiels kann mit Bestimmungsreagenz A ein Konzentrationsbereich von 500 bis 2.000 mg/l festgestellt werden. In ähnlicher Weise kann mit Bestimmungsreagenz B ein Konzentrationsbereich von 200 bis 1.000 mg/l, mit Bestimmungsreagenz C ein Konzentrationsbereich von 20 (oder 50) bis 200 mg/l bzw. mit Bestimmungsreagenz D ein Konzentrationsbereich von 10 bis 200 mg/l angegeben werden.
  • Nach den in Tabelle 2 gezeigten Ergebnissen besteht klar eine positive Korrelation zwischen Farbdichte und Gesamtchlorgehalt im unteren Konzentrationsbereich der Testlösungen, wenn die blaue Farbdichte gemessen wird und im Konzentrationsbereichs oberhalb des Bereiches niedriger Konzentrationen, indem die Farbtonänderung gemessen wird. Es ist deshalb möglich, die Messung im Konzentrationsbereich von 2 bis 1.000 mg/l durchzuführen. Es werden Standardlösungen hergestellt und eine Kalibrierkurve aufgestellt, so dass auch quantitative Bestimmungen möglich sind.
  • Beispiel 3 (Herstellung eines Reagenzes zur Bestimmung des Gesamtchlorgehalts (2) mit TMB)
  • Zur Herstellung einer TMB-Lösung wurden 2 ml einer wässrigen Chlorwasserstoffsäurelösung mit pH = 2,0 zu 10 mg TMB (ein Prdoukt der Aldrich Company) gegeben, gut gerührt und das TMB gelöst. Daneben wurde eine Zitronensäure (0,1 mol/l)/Phosphorsäure (0,1 mol/l)-Pufferlösung hergestellt (pH = 4,8, nachfolgend als CP-Pufferlösung bezeichnet). Zu dieser Lösung wurden 2,4-Dihydroxybenzolsäure, 4-Hydroxybenzolsäure, Salicylamid, 4-Aminobenzamid, 4-Chlophenol, 2-Aminobenzinidazol, Dimethylmalonat bzw. Ethyl-3-Oxobutanat gegeben, so dass jede Lösung eine Endkonzentration der jeweiligen Verbindungen hatte, die dem Doppelten der Äquivalente (0,84 mmol/l) des TMB entsprach. Dann wurden 20 μl der TMB-Lösung 1 ml der CP-Pufferlösung vereinigt (um Ausfällungen zu verhindern, wurde 1 ml der CP-Pufferlösung zu 20 μl der TMB-Lösung gegeben) und gerührt, um die Bestimmungsreagenzien A1 bis A8 herzustellen.
  • Beispiel 4 (Bestimmung des Gesamtchlorgehalts (2) mit TMB)
  • Die Bestimmung des Restchlors wurde wie nachfolgend beschrieben durchgeführt, wobei verdünnte Natriumhypochloritlösungen als Chlorlieferanten eingesetzt wurden. Beim nachfolgenden Experiment besteht die Minimalanforderung an den aktiven Chlorgehalt, dass er nicht kleiner als 5% ist; der aktive Chlorgehalt der jeweiligen Lösungen wurde deshalb auf der Grundlage eines aktiven Chlorgehalts von 5% berechnet. Natriumhypochloritlösung (ein Produkt von Kanto Chemical Co. Ltd.) wurde mit destilliertem Wasser verdünnt, um Lösungen herzustellen, deren aktiver Chlorgehalt 2 mg/l, 10 mg/l, 20 mg/l, 50 mg/l, 100 mg/l, 200 mg/l, 300 mg/l, 400 mg/l, 500 mg/l, 800 mg/l, 1.000 mg/l, 2.000 mg/l bzw. 5.000 mg/l betrug.
  • Dann wurden 100 μl der Natriumhypochloritlösung der jeweiligen Konzentration in Reagenzgläser gegeben, die 1 ml der Reagenzlösungen A1 bis A8 enthielten und leicht geschüttelt, wonach die Farbbildung sofort erfolgte. Nach Schütteln der Reagenzgläser bis zu einer einheitlichen Farbe und nach Abwarten von 24 Stunden nach der Farbbildung wurden die Farbtonveränderungen visuell beurteilt. Die Ergebnisse sind in Tabelle 3 gezeigt.
  • Tabelle 3
    Figure 00340001
  • Hinweise
  • keine Ausfällung beobachtet
    ±
    geringfügige Ausfällung beobachtet
    +
    Ausfällung beobachtet Qe mehr +, desto größer die Menge der Ausfällung)
  • Aus diesen Ergebnissen ergibt sich, dass die Ausfällung von Farbstoffen nach Verstreichen einer bestimmten Zeit nach der Farbbildung zurückgedrängt wurde.
  • Beispiel 5 (Herstellung eines Reagenzes für die Bestimmung von Gesamtchlor unter Einsatz von Sulfopropyl-TMB)
  • Zur Herstellung einer TMB-Lösung wurden 2 ml einer wässrigen Chlorwasserstoftsäurelösung mit pH = 2,0 zu einer Menge von 10 mg N-Sulfopropyl-3,3',5,5'-tetremethylbenzidin gegeben (nachfolgend als SP-TMB bezeichnet), gut gerührt und das TMB gelöst. Daneben wurde eine Zitronensäure (0,1 mol/l)/Phosphorsäure (0,1 mol/l)-Pufferlösung hergestellt (pH = 4,8, nachfolgend als CP-Pufferlösung bezeichnet). Dann wurden 1 ml dieser CP-Pufferlösung und 20 μl der TMB-Lösung vereinigt (um Ausfällungen zu verhindern, wurde 1 ml der CP-Pufferlösung zu 20 μl der TMB-Lösung gegeben) und gerührt, um das Bestimmungsreagenz a herzustellen. Durch Mischen des getrennt hergestellten Bestimmungsreagenzes a und der CP-Pufferlösung im Volumenverhältnis von 1 : 2 wurde das Bestimmungsreagenz a hergestellt, in dem die TMB-Konzentration gegenüber Bestimmungsreagenz a dreifach verdünnt ist.
  • Die TMB-Konzentration wurde weiter nach diesem Prinzip herabgesetzt. In Bestimmungsreagenz c war die TMB-Konzentration gegenüber Bestimmungsreagenz a neunfach verdünnt. In Bestimmungsreagenz d war sie gegenüber Bestimmungsreagenz a 27fach verdünnt. In Bestimmungsreagenz e war sie gegenüber Bestimmungsreagenz a 81fach verdünnt.
  • Beispiel 6 (Bestimmung des Gesamtchlorgehalts unter Einsatz von SP-TMB)
  • Die Bestimmung des Restchlors wurde wie nachfolgend beschrieben durchgeführt, wobei verdünnte Natriumhypochloritlösungen als Chlorlieferanten eingesetzt wurden.
  • Beim nachfolgenden Experiment besteht die Minimalanforderung an den aktiven Chlorgehalt, dass er nicht kleiner als 5% ist; der aktive Chlorgehalt der jeweiligen Lösungen wurde deshalb unter dieses Annahme berechnet. Natriumhypochloritlösung (ein Produkt von Kanto Chemical Co. Ltd.) wurde mit destillierten Wasser verdünnt, um Lösungen herzustellen, deren aktiver Chlorgehalt 2 mg/l, 10 mg/l, 20 mg/l, 50 mg/l, 100 mg/l, 200 mg/l, 300 mg/l, 400 mg/l, 500 mg/l, 800 mg/l, 1.000 mg/l, 2.000 mg/l bzw. 5.000 mg/l betrug. Dann wurden 100 μl der Natriumhypochloritlösung der jeweiligen Konzentration in Reagenzgläser gegeben, die 1 ml der Reagenzlösungen a bis e enthielten und leicht geschüttelt, wonach die Farbbildung sofort erfolgte. Nach Schütteln der Reagenzgläser bis zu einer einheitlichen Farbe und nach Abwarten einer Minute nach der Farbbildung wurden die Farbtonveränderungen visuell beurteilt. Die Ergebnisse sind in Tabelle 4 gezeigt.
  • Tabelle 4
    Figure 00360001
  • Mit einem Spektralphotometer (Microflow Spectrophotometer Cl-750, ein Produkt von Shimazu Manufacturing Co., Ltd) wurde außerdem bei Bestimmungsreagenz b insbesondere im blauen Konzentrationsbereich die Extinktion bei 655 nm gemessen. Die Ergebnisse sind in Tabelle 5 gezeigt.
  • Tabelle 5
    Figure 00370001
  • Den in Tabelle 4 gezeigeten Ergebnissen ist zu entnehmen, dass die Farbveränderung stattfindet gemäß der Konzentrationsveränderung der Natriumhypochloritlösung von bläulich grün, gelb, orange oder rot, wobei dies einen Bereich von niedriger zu hoher Konzentration des Natriumhypochlorits entspricht. Die Bestimmung des Gesamtchlorgehalts kann deshalb in einfacher Weise durchgeführt werden. Den Ergebnissen ist außerdem zu entnehmen, dass das Bestimmungsreagenz für die Messung entweder bei relativ hoher Messempfindlichkeit oder relativ niedriger Messempfindlichkeit hergestellt werden kann durch Einstellen des Konzentrationsbereiches für die Messung durch Variation der SP-TMB-Konzentration in der Reagenzlösung.
  • Nach den Ergebnisses dieses Beipiels kann mit Bestimmungsreagenz a ein Konzentrationsbereich von 500 bis 2.000 mg/l festgestellt werden. In ähnlicher Weise kann mit Bestimmungsreagenz b ein Konzentrationsbereich von 200 bis 1.000 mg/l, mit Bestimmungsreagenz c ein Konzentrationsbereich von 20 (oder 50) bis 200 mg/l bzw. mit Bestimmungsreagenz d ein Konzentrationsbereich von 10 bis 200 mg/l angegeben werden.
  • Nach den in Tabelle 5 gezeigten Ergebnissen besteht in dem Bereich, in dem Farbbildung als bläulich grün stattfindet, klar eine positive Korrelation zwischen Konzentration der Färbung und Konzentration des aktiven Chlors. Es ist deshalb möglich, den Gesamtchlorgehalt von mehreren Testlösungen miteinander zu vergleichen.
  • Beispiel 7 (Herstellung eines Reagenzes für die Bestimmung von Gesamtchlor (2) unter Einsatz von SP-TMB)
  • Zur Herstellung einer TMB-Lösung wurden 2 ml einer wässrigen Chlorwasserstoffsäurelösung mit pH = 2,0 zu 10 mg SP-TMB (ein Prdoukt der Aldrich Company) gegeben, gut gerührt und das TMB gelöst. Daneben wurde eine Zitronensäure (0,1 mol/l)/Phosphorsäure (0,1 mol/l)-Pufferlösung hergestellt (pH = 4,8, nachfolgend als CP-Pufferlösung bezeichnet). Zu dieser Lösung wurden 2,4-Dihydroxybenzolsäure, 4-Hydroxybenzolsäure, Salicylamid, 4-Aminobenzamid, 4-Chlophenol oder 2-Aminobenzimidazol gegeben, so dass jede Lösung eine Endkonzentration der jeweiligen Verbindungen hatte, die dem Doppelten der Äquivalente (0,84 mmol/l) des TMB entsprach.
  • Dann wurden 20 μl der TMB-Lösung 1 ml der CP-Pufferlösung vereinigt (um Ausfällungen zu verhindern, wurde 1 ml der CP-Pufferlösung zu 20 μl der TMB-Lösung gegeben) und gerührt, um die Bestimmungsreagenzien a1 bis A6 herzustellen.
  • Beispiel 8 (Bestimmung des Gesamtchlorgehalts (2) unter Einsatz von SP-TMB)
  • Die Bestimmung des Restchlors wurde wie nachfolgend beschrieben durchgeführt, wobei verdünnte Natriumhypochloritlösungen als Chlorlieferanten eingesetzt wurden.
  • Beim nachfolgenden Experiment besteht die Minimalanforderung an den aktiven Chlorgehalt, dass er nicht kleiner als 5% ist; der aktive Chlorgehalt der jeweiligen Lösungen wurde deshalb unter dieses Annahme berechnet. Natriumhypochloritlösung (ein Produkt von Kanto Chemical Co. Ltd.) wurde mit destillierten Wasser verdünnt, um Lösungen herzustellen, deren aktiver Chlorgehalt 2 mg/l, 10 mg/l, 20 mg/l, 50 mg/l, 100 mg/l, 200 mg/l, 300 mg/l, 400 mg/l, 500 mg/l, 800 mg/l, 1.000 mg/l, 2.000 mg/l bzw. 5.000 mg/l betrug.
  • Dann wurden 100 μl der Natriumhypochloritlösung der jeweiligen Konzentration in Reagenzgläser gegeben, die 1 ml der Reagenzlösung a sowie der Reagenzlösungen a1 bis a6 enthielten und leicht geschüttelt, wonach die Farbbildung sofort erfolgte. Nach Schütteln der Reagenzgläser bis zu einer einheitlichen Farbe und nach Abwarten von 24 Stunden nach der Farbbildung wurden die Farbtonveränderungen visuell beurteilt. Die Ergebnisse sind in Tabelle 6 gezeigt.
  • Dann wurden 100 μl der Natriumhypochloritlösung der jeweiligen Konzentration in Reagenzgläser gegeben, die 1 ml der Reagenzlösungen a bis e enthielten und leicht geschüttelt, wonach die Farbbildung sofort erfolgte. Nach Schütteln der Reagenzgläser bis zu einer einheitlichen Farbe und nach Abwarten einer Minute nach der Farbbildung wurden die Farbtonveränderungen visuell beurteilt. Die Ergebnisse sind in Tabelle 6 gezeigt.
  • Tabelle 6
    Figure 00390001
  • Hinweise
  • keine Ausfällung beobachtet
    ±
    geringfügige Ausfällung beobachtet
    +
    Ausfällung beobachtet (je mehr +, desto größer die Menge der Ausfällung)
  • Aus diesen Ergebnissen ergibt sich, dass die Ausfällung von Farbstoffen nach Verstreichen einer bestimmten Zeit nach der Farbbildung zurückgedrängt wurde.
  • Beispiel 9 (Beurteilung der Einspritzgenauigkeit)
  • Mit einer genauen Pipette (der Variationskoeffizient des Einspritzfehlers muss innerhalb von 1% sein) wurde 1 ml des in Beispiel 1 hergestellten REagenzes A in Reagenzgläser eingespritzt (12 × 75mm, 3 Flaschen).
  • Um den Einfluss der Reaktion aufgrund des Einspritzfehlers zu ermitteln, wurden Fehler von –2%, –4%, –8% und –12% gesetzt, d. h. Reagenzien von 0,98 ml, 0,96 ml, 0,92 ml und 0,88 ml wurden hergestellt und genau in Reagenzgläser eingespritzt (jeweils 3 Flaschen, entsprechend 12 Reagenzgläser).
  • Dann wurde eine Standardlösung von hypochloriger Säure in Reagenzgläser eingespritzt, wobei das Reagenz A mit 50 ppm, 100 ppm bzw. 200 ppm eingespritzt wurde. Die Reagenzgläser wurden zum Mischen von Hand geschüttelt. Nach einer Zeit von 30 Sekunden bis 3 Minuten wurde die Veränderung des Farbtons des Reagenzes, die dem Einspritzfehler von Reagenz A entsprach, visuell beobachtet. Tabelle 7 zeigt die Ergebnisse.
  • Tabelle 7
    Figure 00400001
  • Wie Tabelle 7 zu entnehmen ist, ergab eine visuelle Untersuchung des Farbtons gegenüber den Standards aus hypochloriger Säure wahrnehmbare Unterschiede.
  • Einspritzfehler
  • Es wurde fortlaufend 1 ml Reagenz A eingespritzt, wobei Anwender, Injektor und Arbeitsumgebung gewechselt wurden. Dann wurde das Gewicht von Bestimmungsreagenz A mit einer genauen Waage gemessen. Die Ergebnisse sind nachfolgend gezeigt.
  • Tabelle 8
    Figure 00410001
  • Den in Tabelle 8 gezeigten Ergebnissen ist zu entnehmen, dass bei normalen Einspritzen der Gesamtvariationskoeffizient aufgrund der Bediener, der Injektoren und der Arbeitsumgebung im Bereich von etwa 5% liegt.
  • Es wird auch deutlich, dass die Zuverlässigkeit der Bestimmungsgenauigkeit verbessert werden kann, indem ein Reagenz genau vorher individuell eingespritzt wird, wenn das Leistungsverhalten des erfindungsgemäßen Testkits optimiert werden soll.
  • Untersuchungen zur Lagerstabilität
    • 1. Es wurde 1 ml von Reagenz A in Reagenzgläser eingespritzt, die hergestellt waren aus Polystyrol (A), Acryl (B), Polyethylen (C) bzw. Polypropylen (D). Durch Einsatz eines in 3 gezeigten Flächenmaterials aus Aluminium wurden die Reagenzgläser zum Versiegeln mit Laserlicht 1 Sekunde lang auf 150 bis 160°C erwärmt. Von dieser Probe wurden als 5 Flaschen hergestellt.
    • 2. In eine Flasche mit großer Öffnung (der Durchmesser betrug 8 cm) wurden 100 ml von Reagenz A gegossen und mit einer Kappe mit Ablasshahn verschlossen. Von dieser Probe (sie wird nachfolgend als Bulkprobe A, B und C bezeichnet) wurden 3 Stück hergestellt.
    • 3. Jede der hergestellten Proben wurden 6 Monate bei normalen Umgebungsbedingungen gelagert. 4 Um das Ausmaß zu beurteilen, mit dem Reagenz A verschlechtert bzw. abgebaut wurde, wurde die Extinktion bei einer Wellenlänge von 450 nm gemessen, die den Hintergrundsignal für Reagenz A darstellt.
    • 5. Um die Verschlechterung der Farbbildung von Reagenz A zu beurteilen, wurden 100 μl einer Standardlösung der hypochlorigen Säure (55 ppm) in 1 ml von Reagenz A eingespritzt. Nach Stehen für eine Zeit wurde die Extinktion bei einer Wellenlänge von 450 nm gemessen. Die folgende Tabelle zeigt die Ergebnisse.
  • Tabelle 9
    Figure 00430001
  • Wie Tabelle 9 zu entnehmen ist, stieg das Hintergrundsignal der zusammen gelagerten (Bulk) Proben A, B und Z an und zeigte höhere Werte in Bezug auf den Farbton der Färbung von Reagenz A im Vergleich zum tatsächlichen Untersuchungspegel.
  • Andererseits wurde bei Reagenz A der Probe, die durch Einspritzen in Reagenzgläser A, B, C und D gelagert wurden, ein Anstieg des Hintergrundsignals nicht beobachtet. Zusätzlich wird auch keine Verschlechterung der Farbbildung von Reagenz A beobachtet. Selbstverständlich wurde kein Einfluss auf die Dichteuntersuchung beobachtet.
  • TMB in Reagenz A wurde mit OT (Orthtridine) bzw. DPD ersetzt und das gleiche Experiment wie bei Beispiel 7 durchgeführt. Es wurden die gleichen Ergebnisse wie in Beispiel 7 erhalten.

Claims (12)

  1. Verfahren zum Bestimmen des Gesamtchlorgehalts einer Probe, umfassend die Schritte a) Mischen der Probe mit einer Benzldinindikatorlösung, enthaltend eine Benzidinverbindung, die durch Reaktion mit Chlor eine Farbstoff bilden kann, wobei die Farbe des so gebildeten Farbstoffs sich in Abhängigkeit vom Molverhältnis des Chlors zur Benzidinverbindung ändert, und b) Bestimmen des Gesamtchlorgehalts nach der Farbe des gebildeten Farbstoffs.
  2. Verfahren nach Anspruch 1, wobei die Benzidinverbindung durch die Formel I wiedergegeben wird: Formel I
    Figure 00440001
    wobei R1, R2, R3 und R4 jeweils für ein Wasserstoffatom oder eine Alkylgruppe mit 1 bis 6 Kohlenstoffatomen steht, unter der Voraussetzung, dass von R1, R2, R3 und R4 mindestens drei für eine solche Alkylgruppe stehen und sie gleich oder unterschiedlich sein können; wobei R5 und R6 jeweils für ein Wasserstoffatom oder eine Sulfoalkylgruppe stehen, die durch Formel II wiedergegeben wird: Formel II -(CH2)nSO3 wobei n eine ganze Zahl von 1 bis 6 bedeutet, unter der Voraussetzung, dass R5 oder R6 für eine Sulfoalkygruppe steht, die durch mindestens eine Hydroxylgruppe substituiert werden kann.
  3. Verfahren nach Anspruch 2, wobei R1, R2, R3 und R4 in Formel I jeweils für eine Alkylgruppe mit 1 bis 6 Kohlenstoffatomen stehen, vorausgesetzt sie sind gleich oder unterschiedlich.
  4. Verfahren nach Anspruch 3, wobei R5 und R6 in Formel I jeweils für eine Sulfoalkylgruppe stehen, die durch Formel II wiedergegeben wird.
  5. Verfahren nach Anspruch 1, wobei die Benzidinverbindung 3,3',5,5'-Tetramethylbenzidin ist.
  6. Verfahren nach Anspruch 1, bei dem die Benzidinindikatiorlösung mindestens eine Verbindung enthält, die ausgewählt ist aus der Gruppe bestehend aus Fomel 1, 2, 3 und 4: Fomel 1
    Figure 00450001
    wobei W1 für NO2, CN, CHO, COR7 steht, wobei R7 eine Alkoxyl oder eine Hydroxylgruppe bedeutet, wobei X1, 1 und 1 jeweils für eine – NR8R9-Gruppe, wobei R8 und R9 jeweils eine Alkylgruppe oder ein Wasserstoffatom bedeuten, eine -OR10-Gruppe, wobei R10 eine Alkylgruppe oder ein Wasserstoffatom bedeutet, eine Alkylgruppe mit 1 bis 4 Kohlenstoffatomen, Cl, F, I oder ein Wasserstoffatom stehen, vor vorausgesetzt, dass von X1, Y1 und Z1 mindestens eines ein Atom oder eine Gruppe ist, die von Wasserstoff verschieden sind. Formel 2
    Figure 00460001
    wobei X2, Y2 und Z2 jeweils für eine -NR12R13-Gruppe, wobei R12 und R13 jeweils ein Alkylgruppe oder ein Wasserstoffatom bedeuten, oder eine -OR14-Gruppe, wobei R14 eine Alkylgruppe oder ein Wasserstoffatom bedeutet, eine Alkylgruppe mit 1 bis 4 Kohlenstoffatomen, Cl, F, I oder ein Wasserstoffatom stehen, vorausgesetzt, dass von X2, Y2 und Z2 mindestens eines ein Atom oder eine Gruppe ist, die von Wasserstoff verschieden sind. Formel 3
    Figure 00460002
    wobei X3 für eine -NR16R17-Gruppe, wobei R16 und R17 jeweils eine Alkylgruppe, eine Alkenylgruppe oder eine Alkinylgruppe, eine Phenylgruppe, eine herterocyclische Gruppe oder ein Wasserstoffatom bedeuten, eine Alkylgruppe mit 1 bis 4 Kohlenstoffatomen, Cl, F, I oder ein Wasserstoffatom steht; wobei Y3 für eine Alkylgruppe, eine Alkenylgruppe oder eine Alkinylgruppe, eine Phenylgruppe, eine heterocyclische Gruppe, eine -NR20R21-Gruppe, wobei R20 und R21 jeweils eine Alkylgruppe oder ein Wasserstoffatom, eine Alkylthiogruppe, eine Phenylthiogruppe bedueten, ein -OR22, wobei R22 eine Alkylgruppe oder ein Wasserstoffatom bedeutet, eine Alkylgruppe mit 1 bis 4 Kohlenstoffatomen, Cl, F, I oder ein Wasserstoffatom steht; wobei Z3 für eine Hydroxylgruppe, eine Alkoxylgruppe, eine Alkylgruppe oder eine Cycloalkylgruppe steht. Formel 4 X4-COCH2CO-Y4 wobei X4 und Y4 jeweils für eine Alkylgruppe, eine Alkoxylgruppe, eine Phenylgruppe, eine mit einer Hydroxylgruppe oder einer Aminogruppe substituierte Phenylgruppe oder eine -NR24R25-Gruppe stehen, wobei R24 und R25 eine Alkylgruppe oder ein Wasserstoffatom bedeuten.
  7. Testpackung zum Bestimmen des in einer Probe enthaltenen Gesamtchlorgehalts, enthaltend: a) einen Behälter, der eine Benzidinindikatorlösung mit einer Benzidinverbindung enthält, die durch die Reaktion mit Chlor einen Farbstoff bilden kann, wobei die Farbe des Farbstoffs sich in Abhängigkeit vom Molverhältnis des Chlorgehalts zur Benzidinverbindung ändert, b) Mittel zum Mischen der Probe mit der Benzidinindikatorlösung, um den Farbstoff zu bilden, und c) eine Farbskala mit mehreren unterschiedlichen Farbproben zur kolorimetrischen Bestimmung, wobei jede dieser unterschiedlichen Farbproben einen anderen Gesamtchlorgehalt wiedergibt, so dass der Gesamtchlorgehalt der Probe durch Vergleichen der Farbe des Farbstoffs mit den verschiedenen Farbproben bestimmt wird.
  8. Testpackung nach Anspruch 7, wobei die Benzidinindikatorlösung eine Benzidinverbindung enthält, die durch die Formel I dargestellt wird: Formel I
    Figure 00480001
    wobei R1, R2, R3 und R4 jeweils für ein Wasserstoffatom oder eine Alkylgruppe mit 1 bis 6 Kohlenstoffatomen stehen, vorausgesetzt, dass von R1, R2, R3 und R4 mindestens drei für eine solche Alkylgruppe stehen und sie gleich oder unterschiedlich sind; wobei R5 und R6 jeweils für ein Wasserstoffatom oder eine Sulfoalkylgruppe stehen, die durch die Formel II dargestellt wird: Formel II -(CH2)nSO3 wobei n eine ganze Zahl von 1 bis 6 bedeutet, vorausgesetzt, dass R5 oder R6 für eine Sulfoalkylgruppe steht, die durch mindestens eine Hydroxylgruppe substituiert werden kann.
  9. Testpackung nach Anspruch 8, wobei R1, R2, R3 und R4 in Formel I jeweils für eine Alkylgruppe mit 1 bis 6 Kohlenstoffatomen stehen, vorausgesetzt sie sind gleich oder unterschiedlich.
  10. Testpackung nach Anspruch 9, wobei R5 und R6 in Formel I jeweils für eine Sulfoalkylgruppe stehen, die durch Formel II dargestellt wird.
  11. Testpackung nach Anspruch 7, bei der die Benzidinverbindung 3,3',5,5'-Tetramethylbenzidin ist.
  12. Testpackung nach Anspruch 7, bei der die Benzidinindikatorlösung mindestens eine Verbindung enthält, die ausgewählt ist aus der Gruppe bestehend aus den Formeln 1, 2, 3 und 4: Formel 1
    Figure 00490001
    wobei W1 für NO2, CN, CHO, COR7 steht, wobei R7 eine Alkoxyl oder eine Hydroxylgruppe bedeutet; wobei X1, Y1 und Z1 jeweils für eine -NR8R9-Gruppe, wobei R8 und R9 jeweils eine Alkylgruppe oder ein Wasserstoffatom bedeuten, eine -OR10-Gruppe, wobei R10 eine Alkylgruppe oder ein Wasserstoffatom bedeutet, eine Alkylgruppe mit 1 bis 4 Kohlenstoffatomen, Cl, F, I oder ein Wasserstoffatom stehen, vorausgesetzt, dass von X1, Y1 und Z1 mindestens eines ein Atom oder eine Gruppe ist, die von Wasserstoff verschieden sind. Formel 2
    Figure 00490002
    wobei X2, Y2 und Z2 jeweils für eine -NR12R13-Gruppe, wobei R12 und R13 jeweils ein Alkylgruppe oder ein Wasserstoffatom bedeuten, oder eine -OR14-Gruppe, wobei R14 eine Alkylgruppe oder ein Wasserstoffatom bedeutet, eine Alkylgruppe mit 1 bis 4 Kohlenstoffatomen, Cl, F, I oder ein Wasserstoffatom stehen, vorausgesetzt, dass von X2, Y2 und Z2 wenigstens eines ein Atom oder eine Gruppe ist, die von Wasserstoff verschieden sind. Formel 3
    Figure 00500001
    wobei X3 für eine -NR16R17-Gruppe, wobei R16 und R17 jeweils eine Alkylgruppe, eine Alkenylgruppe oder eine Alkinylgruppe, eine Phenylgruppe, eine heterocyclische Gruppe oder ein Wasserstoffatom bedeuten, eine Alkylgruppe mit 1 bis 4 Kohlenstoffatomen, Cl, F, I oder ein Wasserstoffatom steht; wobei Y3 für eine Alkylgruppe, eine Alkenylgruppe, eine Alkinylgruppe, eine Phenylgruppe, eine herterocyclische Gruppe, eine -NR20R21-Gruppe, wobei R20 und R1 jeweils eine Alkylgruppe oder ein Wasserstoffatom, eine Alkylthiogruppe, eine Phenylthiogruppe bedeuten, ein -OR22, wobei R22 eine Alkylgruppe oder ein Wasserstoffatom bedeutet, eine Alkylgruppe mit 1 bis 4 Kohlenstoffatomen, Cl, F, l oder ein Wasserstoffatom steht; wobei Z3 für eine Hydroxylgruppe, eine Alkoxylgruppe, eine Alkylgruppe oder eine Cycloalkylgruppe steht. Formel 4 X4-COCH2CO-Y4 wobei X4 und Y4jeweils für eine Alkylgruppe, eine Alkoxylgruppe, eine Phenylgruppe, eine mit einer Hydroxylgruppe oder einer Aminogruppe substituierte Phenylgruppe oder eine -NR24R25-Gruppe stehen, wobei R24 und R25 eine Alkylgruppe oder ein Wasserstoffatom bedeuten.
DE69627770T 1995-09-05 1996-09-03 Verfahren zum Bestimmen der Gesamtchlormenge und Kit dafür Expired - Fee Related DE69627770T2 (de)

Applications Claiming Priority (2)

Application Number Priority Date Filing Date Title
JP22802095 1995-09-05
JP22802095 1995-09-05

Publications (2)

Publication Number Publication Date
DE69627770D1 DE69627770D1 (de) 2003-06-05
DE69627770T2 true DE69627770T2 (de) 2004-02-26

Family

ID=16869942

Family Applications (1)

Application Number Title Priority Date Filing Date
DE69627770T Expired - Fee Related DE69627770T2 (de) 1995-09-05 1996-09-03 Verfahren zum Bestimmen der Gesamtchlormenge und Kit dafür

Country Status (3)

Country Link
US (1) US5972713A (de)
EP (1) EP0762120B1 (de)
DE (1) DE69627770T2 (de)

Cited By (1)

* Cited by examiner, † Cited by third party
Publication number Priority date Publication date Assignee Title
DE102019119480B3 (de) * 2019-07-18 2020-08-13 Axagarius Gmbh & Co. Kg Testvorrichtung und Verfahren zur semi-quantitativen Bestimmung von Chlordioxid in einer flüssigen Probe enthaltend freies Chlor

Families Citing this family (16)

* Cited by examiner, † Cited by third party
Publication number Priority date Publication date Assignee Title
US6255117B1 (en) * 1999-06-04 2001-07-03 Lamotte Company Method and device for determining monopersulfate
DE10130682B4 (de) * 2001-06-26 2015-08-06 Pereg Gmbh Vorrichtungen zum Testen der Effizienz eines Ultraschallreinigungsgeräts
US20030207458A1 (en) * 2002-05-06 2003-11-06 Taya Sookbumroong Exogenous oxidant test detection method and test strip for adulterated urine samples
JP4656603B2 (ja) * 2005-09-29 2011-03-23 三浦工業株式会社 残留塩素濃度測定用組成物
TW200736609A (en) * 2006-03-23 2007-10-01 Miura Kogyo Kk Composition for measuring concentration of residual chlorine
US7776270B2 (en) * 2006-04-25 2010-08-17 Ecocap's S.R.L. Resealer of test tubes for clinical analyses fed from ready-to-use containers of sealing tape
EP2288914A4 (de) * 2008-06-18 2015-08-26 Hach Co Erkennung von freiem chlor in wasser
DE102008057471B3 (de) 2008-11-14 2010-05-06 Axagarius Gmbh & Co. Kg Vorrichtung zur Bestimmung des Gesamtchlorgehaltes in einer Flüssigkeit
BR112013002041A2 (pt) * 2010-08-03 2016-05-31 Gen Electric composição de reagente multiuso e método para determinar simultaneamente as concentrações de pelo menos dois analitos em uma amostra de água
US8343771B2 (en) 2011-01-12 2013-01-01 General Electric Company Methods of using cyanine dyes for the detection of analytes
US9482354B2 (en) 2014-04-15 2016-11-01 Girard Equipment, Inc. Super high flow pressure relief vent
CN107735664A (zh) * 2015-04-28 2018-02-23 蝴蝶有限公司 便携式有机分子感测装置及相关系统和方法
CN108414465B (zh) * 2018-02-05 2020-07-10 清华大学 一种再生水中氯活性物质及余氯衰减的测定和预测方法
US10597352B1 (en) 2019-02-23 2020-03-24 OneStep Technologies Inc. Stable alkyl benzidine composition and methods of making and using same
IT201900024778A1 (it) * 2019-12-19 2021-06-19 Univ Degli Studi Di Firenze Kit per la determinazione colorimetrica del livello di cloro in acque utilizzate per scopi ricreativi
CN120084617B (zh) * 2025-04-30 2025-07-25 北京海岸鸿蒙标准物质技术有限责任公司 一种余氯溶液标准物质及其制备方法与应用

Family Cites Families (8)

* Cited by examiner, † Cited by third party
Publication number Priority date Publication date Assignee Title
US1986403A (en) * 1932-01-25 1935-01-01 Henry W Lehmkuhl Method for testing chlorine solutions
US4092115A (en) * 1974-04-11 1978-05-30 Miles Laboratories, Inc. Method, device and test reagent for detecting free available chlorine in aqueous fluids
US4339243A (en) * 1979-11-13 1982-07-13 Miles Laboratories, Inc. Stabilization of benzidine-type indicators with various enhancers
JPS6152300A (ja) * 1984-08-22 1986-03-14 Eiken Kagaku Kk 過酸化水素測定用組成物
JPH063346A (ja) * 1992-06-24 1994-01-11 Tome Sangyo Kk 遊離塩素検出用ヒドロゲル成形体
JPH06152300A (ja) * 1992-11-10 1994-05-31 Tokin Corp 積層形emiフィルタ
US5362650A (en) * 1993-10-04 1994-11-08 Hach Company Ultra-low range chlorine determination
US5491094A (en) * 1994-06-03 1996-02-13 Industrial Test Systems, Inc. Test strip for free chlorine analysis

Cited By (2)

* Cited by examiner, † Cited by third party
Publication number Priority date Publication date Assignee Title
DE102019119480B3 (de) * 2019-07-18 2020-08-13 Axagarius Gmbh & Co. Kg Testvorrichtung und Verfahren zur semi-quantitativen Bestimmung von Chlordioxid in einer flüssigen Probe enthaltend freies Chlor
US11371973B2 (en) 2019-07-18 2022-06-28 Axagarius Gmbh & Co. Kg Test device and method for the semi-quantitative determination of chlorine dioxide in a liquid sample containing free chlorine

Also Published As

Publication number Publication date
DE69627770D1 (de) 2003-06-05
EP0762120A1 (de) 1997-03-12
US5972713A (en) 1999-10-26
EP0762120B1 (de) 2003-05-02

Similar Documents

Publication Publication Date Title
DE69627770T2 (de) Verfahren zum Bestimmen der Gesamtchlormenge und Kit dafür
DE69805804T2 (de) Verfahren, zusammensetzung und gerät für die bestimmung von freien halogenen in wässrigen flüssigkeiten
DE69727579T2 (de) Trockenreagenz-Teststreifen mit einem Benzindinfarbstoff-Vorläufer und einer Antipyrinverbindung
DE69028312T2 (de) Verfahren zur überwachung der reagenzförderung in einem abtastspektrophotometer
DE69131126T2 (de) Kontrollreagenz zur glukosemessung
DE2555704A1 (de) Indikator zur quantitativen feststellung von in biologischen fluessigkeiten geloesten stoffen
DE1598818A1 (de) Trockene Indikatorzubereitung zur Bestimmung von Protein in Fluessigkeiten
DE2364844A1 (de) Mittel zur bestimmung von bilirubin und urobilinogen
DE1801278A1 (de) Bilirubin-Diagnostikum
EP0154152B1 (de) Verfahren und Mittel zur Bestimmung von Nitrationen
DE1816227C3 (de) Reaktionsbehälter
US8183051B2 (en) Method and system for determining residual chlorine or chloramine concentration in solution by colorimetry
EP1340072B1 (de) Verfahren und mittel zur bestimmung von gesamthärte
DE69424257T2 (de) Verfahren zum Justieren eines Kolorimeters
EP0707210B1 (de) Mittel und Verfahren zur Bestimmung von Ammoniumionen
EP0053283A1 (de) Verfahren zur Bestimmung von Wasser in wasserhaltigen Proben
DE3213183C2 (de)
DE2335350C2 (de) Bestimmung von Calcium
EP0445621A2 (de) Verfahren und Mittel zur kolorimetrischen Bestimmung von Nitrationen
EP0025889A1 (de) Diagnostisches Mittel zum Nachweis von Bilirubin in Körperflüssigkeiten und Verwendung eines dafür geeigneten Reagenzes
EP1344058B1 (de) Kit und verfahren zur bestimmung des redox-status im urin
EP0914602B1 (de) Verfahren und einrichtung zur bestimmung der extinktion einer lichtstrahlung beim durchdringen einer probe
WO2018054797A1 (de) Verfahren zur bestimmung von ammonium
EP0903581B1 (de) Karl-Fischer-Reagenz
EP3954994B1 (de) Reagenz zur bestimmung von ammonium-ionen in wässriger lösung

Legal Events

Date Code Title Description
8364 No opposition during term of opposition
8339 Ceased/non-payment of the annual fee