CN113024552B - 一类新型非甾体fxr激动剂的合成及其应用 - Google Patents
一类新型非甾体fxr激动剂的合成及其应用 Download PDFInfo
- Publication number
- CN113024552B CN113024552B CN202110326565.9A CN202110326565A CN113024552B CN 113024552 B CN113024552 B CN 113024552B CN 202110326565 A CN202110326565 A CN 202110326565A CN 113024552 B CN113024552 B CN 113024552B
- Authority
- CN
- China
- Prior art keywords
- compound
- fxr
- group
- compounds
- substituted
- Prior art date
- Legal status (The legal status is an assumption and is not a legal conclusion. Google has not performed a legal analysis and makes no representation as to the accuracy of the status listed.)
- Active
Links
- 229940121360 farnesoid X receptor (fxr) agonists Drugs 0.000 title description 16
- 230000003637 steroidlike Effects 0.000 title description 6
- 230000015572 biosynthetic process Effects 0.000 title description 5
- 238000003786 synthesis reaction Methods 0.000 title description 5
- 150000001875 compounds Chemical class 0.000 claims abstract description 81
- 208000037265 diseases, disorders, signs and symptoms Diseases 0.000 claims abstract description 18
- 150000003839 salts Chemical class 0.000 claims abstract description 12
- 201000010099 disease Diseases 0.000 claims abstract description 11
- 208000035475 disorder Diseases 0.000 claims abstract description 7
- 239000008194 pharmaceutical composition Substances 0.000 claims abstract description 7
- 230000001404 mediated effect Effects 0.000 claims abstract description 4
- 230000002265 prevention Effects 0.000 claims abstract description 3
- 125000000217 alkyl group Chemical group 0.000 claims description 23
- 239000003814 drug Substances 0.000 claims description 13
- 239000001257 hydrogen Substances 0.000 claims description 5
- 229910052739 hydrogen Inorganic materials 0.000 claims description 5
- 239000003613 bile acid Substances 0.000 claims description 4
- 206010012601 diabetes mellitus Diseases 0.000 claims description 4
- 125000004438 haloalkoxy group Chemical group 0.000 claims description 4
- 206010053219 non-alcoholic steatohepatitis Diseases 0.000 claims description 4
- HSINOMROUCMIEA-FGVHQWLLSA-N (2s,4r)-4-[(3r,5s,6r,7r,8s,9s,10s,13r,14s,17r)-6-ethyl-3,7-dihydroxy-10,13-dimethyl-2,3,4,5,6,7,8,9,11,12,14,15,16,17-tetradecahydro-1h-cyclopenta[a]phenanthren-17-yl]-2-methylpentanoic acid Chemical compound C([C@@]12C)C[C@@H](O)C[C@H]1[C@@H](CC)[C@@H](O)[C@@H]1[C@@H]2CC[C@]2(C)[C@@H]([C@H](C)C[C@H](C)C(O)=O)CC[C@H]21 HSINOMROUCMIEA-FGVHQWLLSA-N 0.000 claims description 3
- 206010008609 Cholangitis sclerosing Diseases 0.000 claims description 3
- 208000032928 Dyslipidaemia Diseases 0.000 claims description 3
- UFHFLCQGNIYNRP-UHFFFAOYSA-N Hydrogen Chemical compound [H][H] UFHFLCQGNIYNRP-UHFFFAOYSA-N 0.000 claims description 3
- 208000017170 Lipid metabolism disease Diseases 0.000 claims description 3
- 208000008589 Obesity Diseases 0.000 claims description 3
- 125000001559 cyclopropyl group Chemical group [H]C1([H])C([H])([H])C1([H])* 0.000 claims description 3
- 235000020824 obesity Nutrition 0.000 claims description 3
- 201000000742 primary sclerosing cholangitis Diseases 0.000 claims description 3
- 208000010157 sclerosing cholangitis Diseases 0.000 claims description 3
- 206010012735 Diarrhoea Diseases 0.000 claims description 2
- 206010022489 Insulin Resistance Diseases 0.000 claims description 2
- 239000002671 adjuvant Substances 0.000 claims description 2
- 239000003085 diluting agent Substances 0.000 claims description 2
- 238000004519 manufacturing process Methods 0.000 claims description 2
- 208000007232 portal hypertension Diseases 0.000 claims description 2
- 229940124597 therapeutic agent Drugs 0.000 claims description 2
- 208000001072 type 2 diabetes mellitus Diseases 0.000 claims description 2
- 101000603876 Homo sapiens Bile acid receptor Proteins 0.000 abstract description 24
- 102100038495 Bile acid receptor Human genes 0.000 abstract description 23
- 230000000694 effects Effects 0.000 abstract description 15
- 150000002148 esters Chemical class 0.000 abstract description 5
- -1 WAY-450 Chemical compound 0.000 description 31
- XEKOWRVHYACXOJ-UHFFFAOYSA-N Ethyl acetate Chemical compound CCOC(C)=O XEKOWRVHYACXOJ-UHFFFAOYSA-N 0.000 description 27
- 238000006243 chemical reaction Methods 0.000 description 25
- YMWUJEATGCHHMB-UHFFFAOYSA-N Dichloromethane Chemical compound ClCCl YMWUJEATGCHHMB-UHFFFAOYSA-N 0.000 description 22
- 239000002904 solvent Substances 0.000 description 21
- IJGRMHOSHXDMSA-UHFFFAOYSA-N Atomic nitrogen Chemical compound N#N IJGRMHOSHXDMSA-UHFFFAOYSA-N 0.000 description 18
- 125000003118 aryl group Chemical group 0.000 description 18
- XLYOFNOQVPJJNP-UHFFFAOYSA-N water Substances O XLYOFNOQVPJJNP-UHFFFAOYSA-N 0.000 description 15
- 238000002360 preparation method Methods 0.000 description 14
- 239000000243 solution Substances 0.000 description 14
- 238000003756 stirring Methods 0.000 description 14
- 125000001424 substituent group Chemical group 0.000 description 14
- IAZDPXIOMUYVGZ-UHFFFAOYSA-N Dimethylsulphoxide Chemical class CS(C)=O IAZDPXIOMUYVGZ-UHFFFAOYSA-N 0.000 description 13
- 238000000132 electrospray ionisation Methods 0.000 description 13
- RTZKZFJDLAIYFH-UHFFFAOYSA-N Diethyl ether Chemical compound CCOCC RTZKZFJDLAIYFH-UHFFFAOYSA-N 0.000 description 12
- ZMANZCXQSJIPKH-UHFFFAOYSA-N Triethylamine Chemical compound CCN(CC)CC ZMANZCXQSJIPKH-UHFFFAOYSA-N 0.000 description 12
- 238000004949 mass spectrometry Methods 0.000 description 12
- 238000002390 rotary evaporation Methods 0.000 description 11
- 229910001868 water Inorganic materials 0.000 description 11
- JUJWROOIHBZHMG-UHFFFAOYSA-N Pyridine Chemical compound C1=CC=NC=C1 JUJWROOIHBZHMG-UHFFFAOYSA-N 0.000 description 10
- 229910052757 nitrogen Inorganic materials 0.000 description 10
- WEVYAHXRMPXWCK-UHFFFAOYSA-N Acetonitrile Chemical compound CC#N WEVYAHXRMPXWCK-UHFFFAOYSA-N 0.000 description 9
- LFQSCWFLJHTTHZ-UHFFFAOYSA-N Ethanol Chemical compound CCO LFQSCWFLJHTTHZ-UHFFFAOYSA-N 0.000 description 9
- OKKJLVBELUTLKV-UHFFFAOYSA-N Methanol Chemical compound OC OKKJLVBELUTLKV-UHFFFAOYSA-N 0.000 description 9
- 239000007787 solid Substances 0.000 description 9
- 229940079593 drug Drugs 0.000 description 8
- XHXFXVLFKHQFAL-UHFFFAOYSA-N phosphoryl trichloride Chemical compound ClP(Cl)(Cl)=O XHXFXVLFKHQFAL-UHFFFAOYSA-N 0.000 description 8
- 108090000623 proteins and genes Proteins 0.000 description 8
- WYURNTSHIVDZCO-UHFFFAOYSA-N Tetrahydrofuran Chemical compound C1CCOC1 WYURNTSHIVDZCO-UHFFFAOYSA-N 0.000 description 7
- 229940125898 compound 5 Drugs 0.000 description 7
- 239000000203 mixture Substances 0.000 description 7
- HEDRZPFGACZZDS-UHFFFAOYSA-N Chloroform Chemical compound ClC(Cl)Cl HEDRZPFGACZZDS-UHFFFAOYSA-N 0.000 description 6
- PMZURENOXWZQFD-UHFFFAOYSA-L Sodium Sulfate Chemical compound [Na+].[Na+].[O-]S([O-])(=O)=O PMZURENOXWZQFD-UHFFFAOYSA-L 0.000 description 6
- 125000004432 carbon atom Chemical group C* 0.000 description 6
- 210000004027 cell Anatomy 0.000 description 6
- 239000003153 chemical reaction reagent Substances 0.000 description 6
- 239000000460 chlorine Substances 0.000 description 6
- 125000001072 heteroaryl group Chemical group 0.000 description 6
- QWXYZCJEXYQNEI-OSZHWHEXSA-N intermediate I Chemical compound COC(=O)[C@@]1(C=O)[C@H]2CC=[N+](C\C2=C\C)CCc2c1[nH]c1ccccc21 QWXYZCJEXYQNEI-OSZHWHEXSA-N 0.000 description 6
- 239000012074 organic phase Substances 0.000 description 6
- 239000000126 substance Substances 0.000 description 6
- 230000002103 transcriptional effect Effects 0.000 description 6
- VEXZGXHMUGYJMC-UHFFFAOYSA-N Hydrochloric acid Chemical compound Cl VEXZGXHMUGYJMC-UHFFFAOYSA-N 0.000 description 5
- ZMXDDKWLCZADIW-UHFFFAOYSA-N N,N-Dimethylformamide Chemical compound CN(C)C=O ZMXDDKWLCZADIW-UHFFFAOYSA-N 0.000 description 5
- 241000700159 Rattus Species 0.000 description 5
- 229910052794 bromium Inorganic materials 0.000 description 5
- 230000001413 cellular effect Effects 0.000 description 5
- 229910052801 chlorine Inorganic materials 0.000 description 5
- 238000001035 drying Methods 0.000 description 5
- VLKZOEOYAKHREP-UHFFFAOYSA-N hexane Substances CCCCCC VLKZOEOYAKHREP-UHFFFAOYSA-N 0.000 description 5
- 238000001727 in vivo Methods 0.000 description 5
- 238000000034 method Methods 0.000 description 5
- 125000002950 monocyclic group Chemical group 0.000 description 5
- UMJSCPRVCHMLSP-UHFFFAOYSA-N pyridine Natural products COC1=CC=CN=C1 UMJSCPRVCHMLSP-UHFFFAOYSA-N 0.000 description 5
- 238000003757 reverse transcription PCR Methods 0.000 description 5
- 229920006395 saturated elastomer Polymers 0.000 description 5
- 239000004215 Carbon black (E152) Substances 0.000 description 4
- OKKJLVBELUTLKV-MZCSYVLQSA-N Deuterated methanol Chemical compound [2H]OC([2H])([2H])[2H] OKKJLVBELUTLKV-MZCSYVLQSA-N 0.000 description 4
- 101000978937 Homo sapiens Nuclear receptor subfamily 0 group B member 2 Proteins 0.000 description 4
- 238000005481 NMR spectroscopy Methods 0.000 description 4
- 102100023172 Nuclear receptor subfamily 0 group B member 2 Human genes 0.000 description 4
- VYLOOGHLKSNNEK-PIIMJCKOSA-N OC(=O)c1cc(F)c2nc(sc2c1)N1[C@H]2CC[C@@H]1C[C@@H](C2)OCc1c(onc1-c1ccccc1OC(F)(F)F)C1CC1 Chemical compound OC(=O)c1cc(F)c2nc(sc2c1)N1[C@H]2CC[C@@H]1C[C@@H](C2)OCc1c(onc1-c1ccccc1OC(F)(F)F)C1CC1 VYLOOGHLKSNNEK-PIIMJCKOSA-N 0.000 description 4
- UIIMBOGNXHQVGW-UHFFFAOYSA-M Sodium bicarbonate Chemical class [Na+].OC([O-])=O UIIMBOGNXHQVGW-UHFFFAOYSA-M 0.000 description 4
- 101001082043 Sulfolobus acidocaldarius (strain ATCC 33909 / DSM 639 / JCM 8929 / NBRC 15157 / NCIMB 11770) Translation initiation factor 5A Proteins 0.000 description 4
- HEDRZPFGACZZDS-MICDWDOJSA-N Trichloro(2H)methane Chemical compound [2H]C(Cl)(Cl)Cl HEDRZPFGACZZDS-MICDWDOJSA-N 0.000 description 4
- DTQVDTLACAAQTR-UHFFFAOYSA-N Trifluoroacetic acid Chemical compound OC(=O)C(F)(F)F DTQVDTLACAAQTR-UHFFFAOYSA-N 0.000 description 4
- 239000003513 alkali Substances 0.000 description 4
- 125000003545 alkoxy group Chemical group 0.000 description 4
- 238000003556 assay Methods 0.000 description 4
- HVYWMOMLDIMFJA-DPAQBDIFSA-N cholesterol Chemical compound C1C=C2C[C@@H](O)CC[C@]2(C)[C@@H]2[C@@H]1[C@@H]1CC[C@H]([C@H](C)CCCC(C)C)[C@@]1(C)CC2 HVYWMOMLDIMFJA-DPAQBDIFSA-N 0.000 description 4
- 229940125782 compound 2 Drugs 0.000 description 4
- 229910052736 halogen Inorganic materials 0.000 description 4
- 150000002367 halogens Chemical class 0.000 description 4
- 229930195733 hydrocarbon Natural products 0.000 description 4
- 125000004435 hydrogen atom Chemical group [H]* 0.000 description 4
- 238000000338 in vitro Methods 0.000 description 4
- 229910052740 iodine Inorganic materials 0.000 description 4
- 210000004185 liver Anatomy 0.000 description 4
- 239000002207 metabolite Substances 0.000 description 4
- BDAGIHXWWSANSR-UHFFFAOYSA-N methanoic acid Natural products OC=O BDAGIHXWWSANSR-UHFFFAOYSA-N 0.000 description 4
- 125000006574 non-aromatic ring group Chemical group 0.000 description 4
- ZXERDUOLZKYMJM-ZWECCWDJSA-N obeticholic acid Chemical compound C([C@@]12C)C[C@@H](O)C[C@H]1[C@@H](CC)[C@@H](O)[C@@H]1[C@@H]2CC[C@]2(C)[C@@H]([C@H](C)CCC(O)=O)CC[C@H]21 ZXERDUOLZKYMJM-ZWECCWDJSA-N 0.000 description 4
- 229960001601 obeticholic acid Drugs 0.000 description 4
- 239000000843 powder Substances 0.000 description 4
- 238000000746 purification Methods 0.000 description 4
- 238000010898 silica gel chromatography Methods 0.000 description 4
- 210000001519 tissue Anatomy 0.000 description 4
- RIOQSEWOXXDEQQ-UHFFFAOYSA-N triphenylphosphine Chemical compound C1=CC=CC=C1P(C=1C=CC=CC=1)C1=CC=CC=C1 RIOQSEWOXXDEQQ-UHFFFAOYSA-N 0.000 description 4
- 238000005406 washing Methods 0.000 description 4
- 125000000171 (C1-C6) haloalkyl group Chemical group 0.000 description 3
- 102000001479 Member 11 Subfamily B ATP Binding Cassette Transporter Human genes 0.000 description 3
- 108010093662 Member 11 Subfamily B ATP Binding Cassette Transporter Proteins 0.000 description 3
- JGFZNNIVVJXRND-UHFFFAOYSA-N N,N-Diisopropylethylamine (DIPEA) Chemical compound CCN(C(C)C)C(C)C JGFZNNIVVJXRND-UHFFFAOYSA-N 0.000 description 3
- VYPSYNLAJGMNEJ-UHFFFAOYSA-N Silicium dioxide Chemical compound O=[Si]=O VYPSYNLAJGMNEJ-UHFFFAOYSA-N 0.000 description 3
- FAPWRFPIFSIZLT-UHFFFAOYSA-M Sodium chloride Chemical class [Na+].[Cl-] FAPWRFPIFSIZLT-UHFFFAOYSA-M 0.000 description 3
- HEMHJVSKTPXQMS-UHFFFAOYSA-M Sodium hydroxide Chemical compound [OH-].[Na+] HEMHJVSKTPXQMS-UHFFFAOYSA-M 0.000 description 3
- YXFVVABEGXRONW-UHFFFAOYSA-N Toluene Chemical compound CC1=CC=CC=C1 YXFVVABEGXRONW-UHFFFAOYSA-N 0.000 description 3
- 239000000556 agonist Substances 0.000 description 3
- 125000002947 alkylene group Chemical group 0.000 description 3
- 150000001408 amides Chemical group 0.000 description 3
- 125000003178 carboxy group Chemical group [H]OC(*)=O 0.000 description 3
- 239000002299 complementary DNA Substances 0.000 description 3
- 229940125904 compound 1 Drugs 0.000 description 3
- 125000000753 cycloalkyl group Chemical group 0.000 description 3
- 238000001212 derivatisation Methods 0.000 description 3
- 231100000673 dose–response relationship Toxicity 0.000 description 3
- 229910052731 fluorine Inorganic materials 0.000 description 3
- 125000000623 heterocyclic group Chemical group 0.000 description 3
- 125000004029 hydroxymethyl group Chemical group [H]OC([H])([H])* 0.000 description 3
- 210000003405 ileum Anatomy 0.000 description 3
- 238000011534 incubation Methods 0.000 description 3
- 125000001449 isopropyl group Chemical group [H]C([H])([H])C([H])(*)C([H])([H])[H] 0.000 description 3
- 125000005647 linker group Chemical group 0.000 description 3
- 125000001997 phenyl group Chemical group [H]C1=C([H])C([H])=C(*)C([H])=C1[H] 0.000 description 3
- 238000003753 real-time PCR Methods 0.000 description 3
- 102000005962 receptors Human genes 0.000 description 3
- 108020003175 receptors Proteins 0.000 description 3
- 238000006467 substitution reaction Methods 0.000 description 3
- 125000000999 tert-butyl group Chemical group [H]C([H])([H])C(*)(C([H])([H])[H])C([H])([H])[H] 0.000 description 3
- 238000013518 transcription Methods 0.000 description 3
- 230000035897 transcription Effects 0.000 description 3
- 230000005758 transcription activity Effects 0.000 description 3
- 125000006583 (C1-C3) haloalkyl group Chemical group 0.000 description 2
- 108091032973 (ribonucleotides)n+m Proteins 0.000 description 2
- MEKOFIRRDATTAG-UHFFFAOYSA-N 2,2,5,8-tetramethyl-3,4-dihydrochromen-6-ol Chemical compound C1CC(C)(C)OC2=C1C(C)=C(O)C=C2C MEKOFIRRDATTAG-UHFFFAOYSA-N 0.000 description 2
- OSWFIVFLDKOXQC-UHFFFAOYSA-N 4-(3-methoxyphenyl)aniline Chemical compound COC1=CC=CC(C=2C=CC(N)=CC=2)=C1 OSWFIVFLDKOXQC-UHFFFAOYSA-N 0.000 description 2
- XKRFYHLGVUSROY-UHFFFAOYSA-N Argon Chemical compound [Ar] XKRFYHLGVUSROY-UHFFFAOYSA-N 0.000 description 2
- IAZDPXIOMUYVGZ-WFGJKAKNSA-N Dimethyl sulfoxide Chemical compound [2H]C([2H])([2H])S(=O)C([2H])([2H])[2H] IAZDPXIOMUYVGZ-WFGJKAKNSA-N 0.000 description 2
- 108090000331 Firefly luciferases Proteins 0.000 description 2
- 102100025353 G-protein coupled bile acid receptor 1 Human genes 0.000 description 2
- 101000857733 Homo sapiens G-protein coupled bile acid receptor 1 Proteins 0.000 description 2
- KFZMGEQAYNKOFK-UHFFFAOYSA-N Isopropanol Chemical compound CC(C)O KFZMGEQAYNKOFK-UHFFFAOYSA-N 0.000 description 2
- BZLVMXJERCGZMT-UHFFFAOYSA-N Methyl tert-butyl ether Chemical compound COC(C)(C)C BZLVMXJERCGZMT-UHFFFAOYSA-N 0.000 description 2
- 101100390675 Mus musculus Fgf15 gene Proteins 0.000 description 2
- 108010052090 Renilla Luciferases Proteins 0.000 description 2
- 230000001270 agonistic effect Effects 0.000 description 2
- 150000001413 amino acids Chemical class 0.000 description 2
- RDOXTESZEPMUJZ-UHFFFAOYSA-N anisole Chemical compound COC1=CC=CC=C1 RDOXTESZEPMUJZ-UHFFFAOYSA-N 0.000 description 2
- 125000004429 atom Chemical group 0.000 description 2
- 239000011324 bead Substances 0.000 description 2
- 125000002619 bicyclic group Chemical group 0.000 description 2
- MCQRPQCQMGVWIQ-UHFFFAOYSA-N boron;methylsulfanylmethane Chemical compound [B].CSC MCQRPQCQMGVWIQ-UHFFFAOYSA-N 0.000 description 2
- 239000007853 buffer solution Substances 0.000 description 2
- FJDQFPXHSGXQBY-UHFFFAOYSA-L caesium carbonate Chemical compound [Cs+].[Cs+].[O-]C([O-])=O FJDQFPXHSGXQBY-UHFFFAOYSA-L 0.000 description 2
- 229910000024 caesium carbonate Inorganic materials 0.000 description 2
- 238000004440 column chromatography Methods 0.000 description 2
- 238000001816 cooling Methods 0.000 description 2
- 125000004093 cyano group Chemical group *C#N 0.000 description 2
- 125000004122 cyclic group Chemical group 0.000 description 2
- 125000001495 ethyl group Chemical group [H]C([H])([H])C([H])([H])* 0.000 description 2
- 238000002474 experimental method Methods 0.000 description 2
- 238000000605 extraction Methods 0.000 description 2
- 235000019253 formic acid Nutrition 0.000 description 2
- 125000001188 haloalkyl group Chemical group 0.000 description 2
- 125000002768 hydroxyalkyl group Chemical group 0.000 description 2
- 125000000959 isobutyl group Chemical group [H]C([H])([H])C([H])(C([H])([H])[H])C([H])([H])* 0.000 description 2
- 238000005259 measurement Methods 0.000 description 2
- 108020004999 messenger RNA Proteins 0.000 description 2
- 230000004060 metabolic process Effects 0.000 description 2
- 125000002496 methyl group Chemical group [H]C([H])([H])* 0.000 description 2
- 230000004048 modification Effects 0.000 description 2
- 238000012986 modification Methods 0.000 description 2
- 208000008338 non-alcoholic fatty liver disease Diseases 0.000 description 2
- 229910052760 oxygen Inorganic materials 0.000 description 2
- 210000004738 parenchymal cell Anatomy 0.000 description 2
- 239000003208 petroleum Substances 0.000 description 2
- 239000013641 positive control Substances 0.000 description 2
- BWHMMNNQKKPAPP-UHFFFAOYSA-L potassium carbonate Chemical compound [K+].[K+].[O-]C([O-])=O BWHMMNNQKKPAPP-UHFFFAOYSA-L 0.000 description 2
- 239000000047 product Substances 0.000 description 2
- 239000002994 raw material Substances 0.000 description 2
- 238000006722 reduction reaction Methods 0.000 description 2
- 125000002914 sec-butyl group Chemical group [H]C([H])([H])C([H])([H])C([H])(*)C([H])([H])[H] 0.000 description 2
- 210000002966 serum Anatomy 0.000 description 2
- 239000000741 silica gel Substances 0.000 description 2
- 229910002027 silica gel Inorganic materials 0.000 description 2
- 239000011734 sodium Substances 0.000 description 2
- 230000000087 stabilizing effect Effects 0.000 description 2
- 150000003431 steroids Chemical class 0.000 description 2
- 239000000758 substrate Substances 0.000 description 2
- 125000000472 sulfonyl group Chemical group *S(*)(=O)=O 0.000 description 2
- XSQUKJJJFZCRTK-UHFFFAOYSA-N urea group Chemical group NC(=O)N XSQUKJJJFZCRTK-UHFFFAOYSA-N 0.000 description 2
- AFINAILKDBCXMX-PBHICJAKSA-N (2s,3r)-2-amino-3-hydroxy-n-(4-octylphenyl)butanamide Chemical compound CCCCCCCCC1=CC=C(NC(=O)[C@@H](N)[C@@H](C)O)C=C1 AFINAILKDBCXMX-PBHICJAKSA-N 0.000 description 1
- 125000004737 (C1-C6) haloalkoxy group Chemical group 0.000 description 1
- 125000005913 (C3-C6) cycloalkyl group Chemical group 0.000 description 1
- KEQGZUUPPQEDPF-UHFFFAOYSA-N 1,3-dichloro-5,5-dimethylimidazolidine-2,4-dione Chemical compound CC1(C)N(Cl)C(=O)N(Cl)C1=O KEQGZUUPPQEDPF-UHFFFAOYSA-N 0.000 description 1
- RYHBNJHYFVUHQT-UHFFFAOYSA-N 1,4-Dioxane Chemical compound C1COCCO1 RYHBNJHYFVUHQT-UHFFFAOYSA-N 0.000 description 1
- SJKLCUGQVVYDCX-HRNVLBFRSA-N 1-(4-tert-butylphenyl)sulfonyl-3-[(3R)-3-[(3R,5S,6R,7R,8S,9S,10S,13R,14S,17R)-6-ethyl-3,7-dihydroxy-10,13-dimethyl-2,3,4,5,6,7,8,9,11,12,14,15,16,17-tetradecahydro-1H-cyclopenta[a]phenanthren-17-yl]butyl]urea Chemical compound CC[C@H]1[C@@H](O)[C@H]2[C@@H]3CC[C@H]([C@H](C)CCNC(=O)NS(=O)(=O)c4ccc(cc4)C(C)(C)C)[C@@]3(C)CC[C@@H]2[C@@]2(C)CC[C@@H](O)C[C@@H]12 SJKLCUGQVVYDCX-HRNVLBFRSA-N 0.000 description 1
- 238000005160 1H NMR spectroscopy Methods 0.000 description 1
- KZSKGLFYQAYZCO-UHFFFAOYSA-N 2-[3-[2-chloro-4-[[5-cyclopropyl-3-(2,6-dichlorophenyl)-1,2-oxazol-4-yl]methoxy]phenyl]-3-hydroxyazetidin-1-yl]pyridine-4-carboxylic acid Chemical compound OC(=O)C1=CC=NC(N2CC(O)(C2)C=2C(=CC(OCC=3C(=NOC=3C3CC3)C=3C(=CC=CC=3Cl)Cl)=CC=2)Cl)=C1 KZSKGLFYQAYZCO-UHFFFAOYSA-N 0.000 description 1
- JKMHFZQWWAIEOD-UHFFFAOYSA-N 2-[4-(2-hydroxyethyl)piperazin-1-yl]ethanesulfonic acid Chemical compound OCC[NH+]1CCN(CCS([O-])(=O)=O)CC1 JKMHFZQWWAIEOD-UHFFFAOYSA-N 0.000 description 1
- IGRCWJPBLWGNPX-UHFFFAOYSA-N 3-(2-chlorophenyl)-n-(4-chlorophenyl)-n,5-dimethyl-1,2-oxazole-4-carboxamide Chemical compound C=1C=C(Cl)C=CC=1N(C)C(=O)C1=C(C)ON=C1C1=CC=CC=C1Cl IGRCWJPBLWGNPX-UHFFFAOYSA-N 0.000 description 1
- ZCYVEMRRCGMTRW-UHFFFAOYSA-N 7553-56-2 Chemical compound [I] ZCYVEMRRCGMTRW-UHFFFAOYSA-N 0.000 description 1
- 206010002091 Anaesthesia Diseases 0.000 description 1
- 208000008439 Biliary Liver Cirrhosis Diseases 0.000 description 1
- 208000033222 Biliary cirrhosis primary Diseases 0.000 description 1
- WKBOTKDWSSQWDR-UHFFFAOYSA-N Bromine atom Chemical compound [Br] WKBOTKDWSSQWDR-UHFFFAOYSA-N 0.000 description 1
- UXVMQQNJUSDDNG-UHFFFAOYSA-L Calcium chloride Chemical compound [Cl-].[Cl-].[Ca+2] UXVMQQNJUSDDNG-UHFFFAOYSA-L 0.000 description 1
- ZAMOUSCENKQFHK-UHFFFAOYSA-N Chlorine atom Chemical compound [Cl] ZAMOUSCENKQFHK-UHFFFAOYSA-N 0.000 description 1
- 206010008635 Cholestasis Diseases 0.000 description 1
- VGGSQFUCUMXWEO-UHFFFAOYSA-N Ethene Chemical compound C=C VGGSQFUCUMXWEO-UHFFFAOYSA-N 0.000 description 1
- 239000005977 Ethylene Substances 0.000 description 1
- 208000004930 Fatty Liver Diseases 0.000 description 1
- PXGOKWXKJXAPGV-UHFFFAOYSA-N Fluorine Chemical compound FF PXGOKWXKJXAPGV-UHFFFAOYSA-N 0.000 description 1
- 102100031181 Glyceraldehyde-3-phosphate dehydrogenase Human genes 0.000 description 1
- 108010010234 HDL Lipoproteins Proteins 0.000 description 1
- 102000015779 HDL Lipoproteins Human genes 0.000 description 1
- 206010019708 Hepatic steatosis Diseases 0.000 description 1
- 206010019851 Hepatotoxicity Diseases 0.000 description 1
- DGAQECJNVWCQMB-PUAWFVPOSA-M Ilexoside XXIX Chemical compound C[C@@H]1CC[C@@]2(CC[C@@]3(C(=CC[C@H]4[C@]3(CC[C@@H]5[C@@]4(CC[C@@H](C5(C)C)OS(=O)(=O)[O-])C)C)[C@@H]2[C@]1(C)O)C)C(=O)O[C@H]6[C@@H]([C@H]([C@@H]([C@H](O6)CO)O)O)O.[Na+] DGAQECJNVWCQMB-PUAWFVPOSA-M 0.000 description 1
- 108010028554 LDL Cholesterol Proteins 0.000 description 1
- 241000124008 Mammalia Species 0.000 description 1
- FXHOOIRPVKKKFG-UHFFFAOYSA-N N,N-Dimethylacetamide Chemical compound CN(C)C(C)=O FXHOOIRPVKKKFG-UHFFFAOYSA-N 0.000 description 1
- 108020005497 Nuclear hormone receptor Proteins 0.000 description 1
- 229910019142 PO4 Inorganic materials 0.000 description 1
- 208000012654 Primary biliary cholangitis Diseases 0.000 description 1
- 208000003251 Pruritus Diseases 0.000 description 1
- 238000002123 RNA extraction Methods 0.000 description 1
- 102000040945 Transcription factor Human genes 0.000 description 1
- 108091023040 Transcription factor Proteins 0.000 description 1
- CSCPPACGZOOCGX-WFGJKAKNSA-N acetone d6 Chemical compound [2H]C([2H])([2H])C(=O)C([2H])([2H])[2H] CSCPPACGZOOCGX-WFGJKAKNSA-N 0.000 description 1
- 230000002378 acidificating effect Effects 0.000 description 1
- 230000008484 agonism Effects 0.000 description 1
- 125000003342 alkenyl group Chemical group 0.000 description 1
- 125000003282 alkyl amino group Chemical group 0.000 description 1
- 125000004448 alkyl carbonyl group Chemical group 0.000 description 1
- 125000005907 alkyl ester group Chemical group 0.000 description 1
- 125000000304 alkynyl group Chemical group 0.000 description 1
- 208000026935 allergic disease Diseases 0.000 description 1
- 238000003016 alphascreen Methods 0.000 description 1
- 230000009435 amidation Effects 0.000 description 1
- 238000007112 amidation reaction Methods 0.000 description 1
- 238000001949 anaesthesia Methods 0.000 description 1
- 230000037005 anaesthesia Effects 0.000 description 1
- 238000004458 analytical method Methods 0.000 description 1
- 239000008346 aqueous phase Substances 0.000 description 1
- 229910052786 argon Inorganic materials 0.000 description 1
- 150000005840 aryl radicals Chemical class 0.000 description 1
- 125000000732 arylene group Chemical group 0.000 description 1
- 239000002585 base Substances 0.000 description 1
- 238000010009 beating Methods 0.000 description 1
- 230000008901 benefit Effects 0.000 description 1
- SRSXLGNVWSONIS-UHFFFAOYSA-M benzenesulfonate Chemical compound [O-]S(=O)(=O)C1=CC=CC=C1 SRSXLGNVWSONIS-UHFFFAOYSA-M 0.000 description 1
- CSKNSYBAZOQPLR-UHFFFAOYSA-N benzenesulfonyl chloride Chemical compound ClS(=O)(=O)C1=CC=CC=C1 CSKNSYBAZOQPLR-UHFFFAOYSA-N 0.000 description 1
- 125000004603 benzisoxazolyl group Chemical group O1N=C(C2=C1C=CC=C2)* 0.000 description 1
- 125000004618 benzofuryl group Chemical group O1C(=CC2=C1C=CC=C2)* 0.000 description 1
- 125000001164 benzothiazolyl group Chemical group S1C(=NC2=C1C=CC=C2)* 0.000 description 1
- 125000004196 benzothienyl group Chemical group S1C(=CC2=C1C=CC=C2)* 0.000 description 1
- 125000003354 benzotriazolyl group Chemical group N1N=NC2=C1C=CC=C2* 0.000 description 1
- 230000033228 biological regulation Effects 0.000 description 1
- 210000004369 blood Anatomy 0.000 description 1
- 239000008280 blood Substances 0.000 description 1
- GDTBXPJZTBHREO-UHFFFAOYSA-N bromine Substances BrBr GDTBXPJZTBHREO-UHFFFAOYSA-N 0.000 description 1
- 239000011575 calcium Substances 0.000 description 1
- 239000001110 calcium chloride Substances 0.000 description 1
- 229910001628 calcium chloride Inorganic materials 0.000 description 1
- 239000004202 carbamide Substances 0.000 description 1
- 125000006297 carbonyl amino group Chemical group [H]N([*:2])C([*:1])=O 0.000 description 1
- 239000003054 catalyst Substances 0.000 description 1
- 229910052729 chemical element Inorganic materials 0.000 description 1
- XTHPWXDJESJLNJ-UHFFFAOYSA-N chlorosulfonic acid Substances OS(Cl)(=O)=O XTHPWXDJESJLNJ-UHFFFAOYSA-N 0.000 description 1
- KNVLCWQKYHCADB-UHFFFAOYSA-N chlorosulfonyloxymethane Chemical compound COS(Cl)(=O)=O KNVLCWQKYHCADB-UHFFFAOYSA-N 0.000 description 1
- 229940070042 cilofexor Drugs 0.000 description 1
- 208000019425 cirrhosis of liver Diseases 0.000 description 1
- 238000003776 cleavage reaction Methods 0.000 description 1
- 229940126214 compound 3 Drugs 0.000 description 1
- 230000008878 coupling Effects 0.000 description 1
- 238000010168 coupling process Methods 0.000 description 1
- 238000005859 coupling reaction Methods 0.000 description 1
- 238000005336 cracking Methods 0.000 description 1
- 239000012043 crude product Substances 0.000 description 1
- 230000006240 deamidation Effects 0.000 description 1
- 238000007257 deesterification reaction Methods 0.000 description 1
- 230000007547 defect Effects 0.000 description 1
- 230000007812 deficiency Effects 0.000 description 1
- 238000001514 detection method Methods 0.000 description 1
- 238000011161 development Methods 0.000 description 1
- FAMRKDQNMBBFBR-BQYQJAHWSA-N diethyl azodicarboxylate Substances CCOC(=O)\N=N\C(=O)OCC FAMRKDQNMBBFBR-BQYQJAHWSA-N 0.000 description 1
- 238000007865 diluting Methods 0.000 description 1
- 238000010790 dilution Methods 0.000 description 1
- 239000012895 dilution Substances 0.000 description 1
- UXGNZZKBCMGWAZ-UHFFFAOYSA-N dimethylformamide dmf Chemical compound CN(C)C=O.CN(C)C=O UXGNZZKBCMGWAZ-UHFFFAOYSA-N 0.000 description 1
- 238000004090 dissolution Methods 0.000 description 1
- YEWZQCDRZRYAEB-UHFFFAOYSA-N ditert-butyl hydrogen phosphate Chemical compound CC(C)(C)OP(O)(=O)OC(C)(C)C YEWZQCDRZRYAEB-UHFFFAOYSA-N 0.000 description 1
- 239000002552 dosage form Substances 0.000 description 1
- 238000010864 dual luciferase reporter gene assay Methods 0.000 description 1
- 229920001971 elastomer Polymers 0.000 description 1
- 239000006274 endogenous ligand Substances 0.000 description 1
- 238000005516 engineering process Methods 0.000 description 1
- 230000002255 enzymatic effect Effects 0.000 description 1
- 230000032050 esterification Effects 0.000 description 1
- 238000005886 esterification reaction Methods 0.000 description 1
- FAMRKDQNMBBFBR-UHFFFAOYSA-N ethyl n-ethoxycarbonyliminocarbamate Chemical compound CCOC(=O)N=NC(=O)OCC FAMRKDQNMBBFBR-UHFFFAOYSA-N 0.000 description 1
- 238000011156 evaluation Methods 0.000 description 1
- 239000000284 extract Substances 0.000 description 1
- 208000010706 fatty liver disease Diseases 0.000 description 1
- 239000012065 filter cake Substances 0.000 description 1
- 239000000706 filtrate Substances 0.000 description 1
- 125000003983 fluorenyl group Chemical group C1(=CC=CC=2C3=CC=CC=C3CC12)* 0.000 description 1
- 239000011737 fluorine Substances 0.000 description 1
- 125000002541 furyl group Chemical group 0.000 description 1
- 230000002496 gastric effect Effects 0.000 description 1
- 230000014101 glucose homeostasis Effects 0.000 description 1
- 108020004445 glyceraldehyde-3-phosphate dehydrogenase Proteins 0.000 description 1
- 239000001963 growth medium Substances 0.000 description 1
- 125000005843 halogen group Chemical group 0.000 description 1
- 208000006454 hepatitis Diseases 0.000 description 1
- 231100000283 hepatitis Toxicity 0.000 description 1
- 231100000304 hepatotoxicity Toxicity 0.000 description 1
- 230000007686 hepatotoxicity Effects 0.000 description 1
- 125000005842 heteroatom Chemical group 0.000 description 1
- 230000007062 hydrolysis Effects 0.000 description 1
- 238000006460 hydrolysis reaction Methods 0.000 description 1
- 125000002887 hydroxy group Chemical group [H]O* 0.000 description 1
- 239000005457 ice water Substances 0.000 description 1
- 238000012623 in vivo measurement Methods 0.000 description 1
- 125000003392 indanyl group Chemical group C1(CCC2=CC=CC=C12)* 0.000 description 1
- 125000003453 indazolyl group Chemical group N1N=C(C2=C1C=CC=C2)* 0.000 description 1
- 125000001041 indolyl group Chemical group 0.000 description 1
- 230000002401 inhibitory effect Effects 0.000 description 1
- 150000007529 inorganic bases Chemical class 0.000 description 1
- 230000002452 interceptive effect Effects 0.000 description 1
- 210000004347 intestinal mucosa Anatomy 0.000 description 1
- 210000000936 intestine Anatomy 0.000 description 1
- 239000011630 iodine Substances 0.000 description 1
- 230000007794 irritation Effects 0.000 description 1
- 125000000654 isopropylidene group Chemical group C(C)(C)=* 0.000 description 1
- 210000003734 kidney Anatomy 0.000 description 1
- 238000002372 labelling Methods 0.000 description 1
- 239000003446 ligand Substances 0.000 description 1
- 150000002632 lipids Chemical class 0.000 description 1
- 108010022197 lipoprotein cholesterol Proteins 0.000 description 1
- 239000007788 liquid Substances 0.000 description 1
- 201000007270 liver cancer Diseases 0.000 description 1
- 208000014018 liver neoplasm Diseases 0.000 description 1
- 210000005228 liver tissue Anatomy 0.000 description 1
- 238000012423 maintenance Methods 0.000 description 1
- 239000000463 material Substances 0.000 description 1
- 208000030159 metabolic disease Diseases 0.000 description 1
- UZKWTJUDCOPSNM-UHFFFAOYSA-N methoxybenzene Substances CCCCOC=C UZKWTJUDCOPSNM-UHFFFAOYSA-N 0.000 description 1
- 125000000325 methylidene group Chemical group [H]C([H])=* 0.000 description 1
- 239000012046 mixed solvent Substances 0.000 description 1
- 238000012544 monitoring process Methods 0.000 description 1
- 125000004108 n-butyl group Chemical group [H]C([H])([H])C([H])([H])C([H])([H])C([H])([H])* 0.000 description 1
- 125000004123 n-propyl group Chemical group [H]C([H])([H])C([H])([H])C([H])([H])* 0.000 description 1
- 125000001624 naphthyl group Chemical group 0.000 description 1
- 239000013642 negative control Substances 0.000 description 1
- 125000004433 nitrogen atom Chemical group N* 0.000 description 1
- 102000006255 nuclear receptors Human genes 0.000 description 1
- 108020004017 nuclear receptors Proteins 0.000 description 1
- 108020004707 nucleic acids Proteins 0.000 description 1
- 102000039446 nucleic acids Human genes 0.000 description 1
- 150000007523 nucleic acids Chemical class 0.000 description 1
- 238000010534 nucleophilic substitution reaction Methods 0.000 description 1
- 210000000056 organ Anatomy 0.000 description 1
- 150000007530 organic bases Chemical class 0.000 description 1
- 230000003647 oxidation Effects 0.000 description 1
- 238000007254 oxidation reaction Methods 0.000 description 1
- 125000004430 oxygen atom Chemical group O* 0.000 description 1
- 230000000737 periodic effect Effects 0.000 description 1
- 230000003285 pharmacodynamic effect Effects 0.000 description 1
- 239000012071 phase Substances 0.000 description 1
- 239000010452 phosphate Substances 0.000 description 1
- 239000013612 plasmid Substances 0.000 description 1
- 238000003752 polymerase chain reaction Methods 0.000 description 1
- 230000029279 positive regulation of transcription, DNA-dependent Effects 0.000 description 1
- 229910000027 potassium carbonate Inorganic materials 0.000 description 1
- VVWRJUBEIPHGQF-UHFFFAOYSA-N propan-2-yl n-propan-2-yloxycarbonyliminocarbamate Chemical compound CC(C)OC(=O)N=NC(=O)OC(C)C VVWRJUBEIPHGQF-UHFFFAOYSA-N 0.000 description 1
- 238000000425 proton nuclear magnetic resonance spectrum Methods 0.000 description 1
- 230000001823 pruritic effect Effects 0.000 description 1
- 238000010926 purge Methods 0.000 description 1
- 125000004076 pyridyl group Chemical group 0.000 description 1
- 230000009467 reduction Effects 0.000 description 1
- 238000010992 reflux Methods 0.000 description 1
- 230000018406 regulation of metabolic process Effects 0.000 description 1
- 125000006413 ring segment Chemical group 0.000 description 1
- 230000007017 scission Effects 0.000 description 1
- 150000003384 small molecules Chemical class 0.000 description 1
- 229910052708 sodium Inorganic materials 0.000 description 1
- 229910000030 sodium bicarbonate Inorganic materials 0.000 description 1
- 235000017557 sodium bicarbonate Nutrition 0.000 description 1
- 239000011780 sodium chloride Substances 0.000 description 1
- HPALAKNZSZLMCH-UHFFFAOYSA-M sodium;chloride;hydrate Chemical class O.[Na+].[Cl-] HPALAKNZSZLMCH-UHFFFAOYSA-M 0.000 description 1
- 239000012453 solvate Substances 0.000 description 1
- 238000001228 spectrum Methods 0.000 description 1
- 238000009987 spinning Methods 0.000 description 1
- 125000003003 spiro group Chemical group 0.000 description 1
- 238000010561 standard procedure Methods 0.000 description 1
- 231100000240 steatosis hepatitis Toxicity 0.000 description 1
- 125000003107 substituted aryl group Chemical group 0.000 description 1
- QAHVHSLSRLSVGS-UHFFFAOYSA-N sulfamoyl chloride Chemical compound NS(Cl)(=O)=O QAHVHSLSRLSVGS-UHFFFAOYSA-N 0.000 description 1
- 229940124530 sulfonamide Drugs 0.000 description 1
- 150000003456 sulfonamides Chemical class 0.000 description 1
- 150000003458 sulfonic acid derivatives Chemical class 0.000 description 1
- 229910052717 sulfur Inorganic materials 0.000 description 1
- 208000024891 symptom Diseases 0.000 description 1
- 125000004213 tert-butoxy group Chemical group [H]C([H])([H])C(O*)(C([H])([H])[H])C([H])([H])[H] 0.000 description 1
- 125000005931 tert-butyloxycarbonyl group Chemical group [H]C([H])([H])C(OC(*)=O)(C([H])([H])[H])C([H])([H])[H] 0.000 description 1
- 150000003512 tertiary amines Chemical group 0.000 description 1
- 238000012360 testing method Methods 0.000 description 1
- YLQBMQCUIZJEEH-UHFFFAOYSA-N tetrahydrofuran Natural products C=1C=COC=1 YLQBMQCUIZJEEH-UHFFFAOYSA-N 0.000 description 1
- WHRNULOCNSKMGB-UHFFFAOYSA-N tetrahydrofuran thf Chemical compound C1CCOC1.C1CCOC1 WHRNULOCNSKMGB-UHFFFAOYSA-N 0.000 description 1
- 125000001712 tetrahydronaphthyl group Chemical group C1(CCCC2=CC=CC=C12)* 0.000 description 1
- 125000003831 tetrazolyl group Chemical class 0.000 description 1
- 125000000335 thiazolyl group Chemical group 0.000 description 1
- 125000001544 thienyl group Chemical group 0.000 description 1
- 231100000419 toxicity Toxicity 0.000 description 1
- 230000001988 toxicity Effects 0.000 description 1
- 125000004205 trifluoroethyl group Chemical group [H]C([H])(*)C(F)(F)F 0.000 description 1
- 125000000876 trifluoromethoxy group Chemical group FC(F)(F)O* 0.000 description 1
- 125000002023 trifluoromethyl group Chemical group FC(F)(F)* 0.000 description 1
- 229940070126 tropifexor Drugs 0.000 description 1
- 238000007039 two-step reaction Methods 0.000 description 1
- 229910021642 ultra pure water Inorganic materials 0.000 description 1
- 239000012498 ultrapure water Substances 0.000 description 1
- 238000000825 ultraviolet detection Methods 0.000 description 1
- 238000011144 upstream manufacturing Methods 0.000 description 1
- XLGQSYUNOIJBNR-UHFFFAOYSA-N vonafexor Chemical compound C=1C=C2OC(C(=O)O)=CC2=C(Cl)C=1N(CC1)CCN1S(=O)(=O)C1=C(Cl)C=CC=C1Cl XLGQSYUNOIJBNR-UHFFFAOYSA-N 0.000 description 1
Images
Classifications
-
- C—CHEMISTRY; METALLURGY
- C07—ORGANIC CHEMISTRY
- C07D—HETEROCYCLIC COMPOUNDS
- C07D471/00—Heterocyclic compounds containing nitrogen atoms as the only ring hetero atoms in the condensed system, at least one ring being a six-membered ring with one nitrogen atom, not provided for by groups C07D451/00 - C07D463/00
- C07D471/02—Heterocyclic compounds containing nitrogen atoms as the only ring hetero atoms in the condensed system, at least one ring being a six-membered ring with one nitrogen atom, not provided for by groups C07D451/00 - C07D463/00 in which the condensed system contains two hetero rings
- C07D471/08—Bridged systems
-
- A—HUMAN NECESSITIES
- A61—MEDICAL OR VETERINARY SCIENCE; HYGIENE
- A61P—SPECIFIC THERAPEUTIC ACTIVITY OF CHEMICAL COMPOUNDS OR MEDICINAL PREPARATIONS
- A61P1/00—Drugs for disorders of the alimentary tract or the digestive system
- A61P1/12—Antidiarrhoeals
-
- A—HUMAN NECESSITIES
- A61—MEDICAL OR VETERINARY SCIENCE; HYGIENE
- A61P—SPECIFIC THERAPEUTIC ACTIVITY OF CHEMICAL COMPOUNDS OR MEDICINAL PREPARATIONS
- A61P1/00—Drugs for disorders of the alimentary tract or the digestive system
- A61P1/16—Drugs for disorders of the alimentary tract or the digestive system for liver or gallbladder disorders, e.g. hepatoprotective agents, cholagogues, litholytics
-
- A—HUMAN NECESSITIES
- A61—MEDICAL OR VETERINARY SCIENCE; HYGIENE
- A61P—SPECIFIC THERAPEUTIC ACTIVITY OF CHEMICAL COMPOUNDS OR MEDICINAL PREPARATIONS
- A61P3/00—Drugs for disorders of the metabolism
- A61P3/04—Anorexiants; Antiobesity agents
-
- A—HUMAN NECESSITIES
- A61—MEDICAL OR VETERINARY SCIENCE; HYGIENE
- A61P—SPECIFIC THERAPEUTIC ACTIVITY OF CHEMICAL COMPOUNDS OR MEDICINAL PREPARATIONS
- A61P3/00—Drugs for disorders of the metabolism
- A61P3/06—Antihyperlipidemics
-
- A—HUMAN NECESSITIES
- A61—MEDICAL OR VETERINARY SCIENCE; HYGIENE
- A61P—SPECIFIC THERAPEUTIC ACTIVITY OF CHEMICAL COMPOUNDS OR MEDICINAL PREPARATIONS
- A61P3/00—Drugs for disorders of the metabolism
- A61P3/08—Drugs for disorders of the metabolism for glucose homeostasis
- A61P3/10—Drugs for disorders of the metabolism for glucose homeostasis for hyperglycaemia, e.g. antidiabetics
-
- A—HUMAN NECESSITIES
- A61—MEDICAL OR VETERINARY SCIENCE; HYGIENE
- A61P—SPECIFIC THERAPEUTIC ACTIVITY OF CHEMICAL COMPOUNDS OR MEDICINAL PREPARATIONS
- A61P5/00—Drugs for disorders of the endocrine system
- A61P5/48—Drugs for disorders of the endocrine system of the pancreatic hormones
- A61P5/50—Drugs for disorders of the endocrine system of the pancreatic hormones for increasing or potentiating the activity of insulin
-
- A—HUMAN NECESSITIES
- A61—MEDICAL OR VETERINARY SCIENCE; HYGIENE
- A61P—SPECIFIC THERAPEUTIC ACTIVITY OF CHEMICAL COMPOUNDS OR MEDICINAL PREPARATIONS
- A61P9/00—Drugs for disorders of the cardiovascular system
- A61P9/12—Antihypertensives
-
- C—CHEMISTRY; METALLURGY
- C07—ORGANIC CHEMISTRY
- C07F—ACYCLIC, CARBOCYCLIC OR HETEROCYCLIC COMPOUNDS CONTAINING ELEMENTS OTHER THAN CARBON, HYDROGEN, HALOGEN, OXYGEN, NITROGEN, SULFUR, SELENIUM OR TELLURIUM
- C07F9/00—Compounds containing elements of Groups 5 or 15 of the Periodic Table
- C07F9/02—Phosphorus compounds
- C07F9/547—Heterocyclic compounds, e.g. containing phosphorus as a ring hetero atom
- C07F9/6561—Heterocyclic compounds, e.g. containing phosphorus as a ring hetero atom containing systems of two or more relevant hetero rings condensed among themselves or condensed with a common carbocyclic ring or ring system, with or without other non-condensed hetero rings
Landscapes
- Health & Medical Sciences (AREA)
- Chemical & Material Sciences (AREA)
- Organic Chemistry (AREA)
- General Health & Medical Sciences (AREA)
- Life Sciences & Earth Sciences (AREA)
- Veterinary Medicine (AREA)
- Diabetes (AREA)
- Nuclear Medicine, Radiotherapy & Molecular Imaging (AREA)
- General Chemical & Material Sciences (AREA)
- Pharmacology & Pharmacy (AREA)
- Chemical Kinetics & Catalysis (AREA)
- Animal Behavior & Ethology (AREA)
- Bioinformatics & Cheminformatics (AREA)
- Public Health (AREA)
- Engineering & Computer Science (AREA)
- Medicinal Chemistry (AREA)
- Obesity (AREA)
- Hematology (AREA)
- Endocrinology (AREA)
- Gastroenterology & Hepatology (AREA)
- Child & Adolescent Psychology (AREA)
- Heart & Thoracic Surgery (AREA)
- Cardiology (AREA)
- Biochemistry (AREA)
- Molecular Biology (AREA)
- Emergency Medicine (AREA)
- Plural Heterocyclic Compounds (AREA)
- Pharmaceuticals Containing Other Organic And Inorganic Compounds (AREA)
Abstract
本发明涉及式(I)化合物、其药学可接受的盐或酯;在式(I)中,各变量如本文所定义。本发明还涉及其药用组合物,它们可以用作法尼醇X受体活性的调节剂,预防和/或治疗FXR介导和/或涉及FXR的疾病、病症或病况。
Description
技术领域
本发明涉及医药技术领域,具体涉及一类新型FXR激动剂的合成及该类化合物在疾病中的应用。
背景技术
法尼醇X受体(FXR)属于核受体家族的一员,是配体激活的的转录因子(D.J.Mangelsdorf,et al.,Cell,1995,83(6),841-850),共存在四个亚型,广泛分布于肝脏、肠道和肾脏等组织器官。FXR可被内源性配体胆汁酸激活(Makishima M,etal.Identification ofa Nuclear Receptor for BileAcids.Science 1999,284(5418),1362-1365;Wang H,et al.Endogenous bile acids are ligands for the nuclearreceptor FXR/BAR.Molecular cell 1999,3(5),543-53.),直接或者间接参与超过四十种下游靶基因的转录调控。FXR对调控代谢,维持胆汁酸、脂质和葡萄糖的体内稳态至关重要。由于FXR在体内的多种重要作用,其被认为是治疗肝炎和肝纤维化、糖尿病、肥胖等疾病的重要靶点。
在文献和专利中已经报道了多种FXR小分子激动剂:WO200037077、WO2008025539、Bioorg.Med.Chem.Lett.19(2009)2595-2598、Bioorg.Med.Chem.Lett.19(2009)4733-4739、J. Med.Chem.2009,52(4):904-7、WO2009012125、WO2011020615、WO2012087519、WO2013007387、WO2016097933、J.Med.Chem.2017,60(24):9960-9973、J.Med.Chem.2020,63,8,3868–3880。
目前已经报道的FXR激动剂可主要分为两大类,一类是甾体类,以Intercept公司的奥贝胆酸为代表(obeticholic acid,OCA);另一类是非甾体分子,多以早期研发的化合物如GW4604 (WO2000037077)为参照设计与合成。一些FXR激动剂,包括OCA、EDP-305、cilofexor、 tropifexor、WAY-450和EYP001等,曾经或正在临床研究阶段。甾体类FXR激动剂(如OCA) 在临床中出现了瘙痒和对胆固醇代谢的影响(使血清总胆固醇和低密度脂蛋白胆固醇水平升高,高密度脂蛋白降低)。其瘙痒作用被推测可能与其甾体母核对TGR5的激动有关(Alemi F, et al.The TGR5 receptor mediates bile acid-induced itch andanalgesia.J Clin Invest 2013:1513–1530)。非甾体类FXR激动剂被认为可能减轻和避免药物相关副作用,因此,是当前开发的重点。
目前在研FXR激动剂类药物都具有较强的疏水性,因此水溶性较差。
Novartis研发的LJN-452(tropifexor)是已报道的FXR激动活性最高的一个化合物,正处于临床II期,适应症为原发性胆管性肝硬化、原发性硬化性胆管炎、非酒精性脂肪肝炎。该化合物在临床试验中具有剂量依赖的药效关系,在药物的安全性评价中出现ALT/AST的瞬时升高,预示了存在一定的肝毒性(Clin.Pharm.Drug.Dev.2020,9(3).)。
在WO2012087519描述的作为FXR激动剂通式结构(A)中,含有末端羧基、烷基酯基、羟基烷基、酰胺、取代酰胺或四唑基的衍生物被明确提及,但是,其羟基甲基基团的衍生化既没有被公开,也没有被申请保护。WO2017201155公开了具有通式(B)的FXR激动剂中含有末端氮原子被磺酰基取代的脲或被磺酰基取代的酰胺,但未涉及到羟基甲基基团的衍生化。类似地,CN110357875公开了具有通式(C)的FXR激动剂,其中结构末端含有烷基羰基、酯基、取代氨基、取代酰胺基、取代磺酰胺基或取代羰基氨基,但未涉及羟基甲基基团的其他衍生化。
本发明公开了一类以含有末端羧基的非甾体类FXR激动剂(例如LJN-452)结构为基础,通过磷酰氧甲基、磺酰氧甲基或亚甲基季铵盐等极性基团或可电离基团替换羧基的新型分子实体。这类化合物可以有效激动FXR受体,提升BSEP、SHP以及FGF15/19基因表达水平;同时可增加分子的溶解性,与本领域已报道的化合物相比具有改进的物理化学性质和药代动力学性质。本发明化合物可用于治疗FXR活力不足相关的疾病,如脂肪肝、非酒精性脂肪性肝炎、胆汁淤积性肝病、血脂异常、代谢性疾病如糖尿病及并发症。
发明详述
定义和一般术语
除非另外说明,本发明所使用的所有科技术语具有与本发明所属领域技术人员的通常理解相同的含义。本发明涉及的所有专利和公开出版物通过引用方式整体并入本发明。
除非另外说明,应当应用本文所使用的下列定义。处于本发明的目的,化学元素与元素周期表CAS版,和《化学和物理手册》,第75版,1994一致。此外,有机化学一般原理可参考“Organic Chemistry”,Thomas Sorrell,University Science Books,Sausalito:1999,和“Advanced Organic Chemistry”by Michael B.Smith and Jerry March,John Wiley&Sons,New York:2007中的描述,其全部内容通过引用并入本文。
除非另有说明或者上下文中有明显的冲突,本文所使用的冠词“一”、“一个(种)”和“所述”旨在包括“至少一个”或“一个或多个”。因此,本文所使用的这些冠词是指一个或多于一个(即至少一个)宾语的冠词。例如,“一组分”指一个或多个组分,即可能有多于一个的组分被考虑在所述实施方案的实施方式中采用或使用。
术语“包含”为开放式表达,即包括本发明所指明的内容,但并不排除其他方面的内容。
像本发明所描述的,本发明的化合物可以任选地被一个或多个取代基所取代,如上面的通式化合物或者像实施例/实施方案里面特殊的例子,子类,和本发明所包含的一类化合物。
一般而言,术语“取代的”表示所给结构中的一个或多个氢原子被具体取代基所取代。除非其他方面表明,一个取代的基团中可以有一个或多个可被取代的位置。当所给出的结构式中含有不只一个一个取代基时,那么取代基可以相同、不同或在不同位置取代。术语“任选地被……取代”,可以与术语“未取代或被……所取代”交换使用,即所述结构是未取代的或者被一个或多个本发明所述的取代基取代。本发明所述的取代基包括,但不限于F、Cl、 Br、I、CN、OH、SH、NH2、烷基、卤代烷基、烯基、炔基、烷氧基、烷基氨基、羟烷基、氰基取代的烷基、环烷基、芳基、杂芳基等等。另外,需要说明的是,除非以其他方式明确指出,在本发明中所采用的描述方式“各……独立地选自”与“……各自独立地选自”和“……独立地选自”可以互换,均应做广义理解,其既可以是指在不同基团中,相同符号之间所表达的具体选项之间互相不影响,也可以表示在相同的基团中,相同符号之间所表达的具体选项之间互相不影响。
在本说明书的各部分,公开化合物的取代基按照基团种类或范围公开。特别指出,本发明包括这些基团种类和范围的各个成员的所有独立的次级组合。例如,术语“C1-6烷基”特别指独立公开的甲基、乙基、C3烷基、C4烷基、C5烷基和C6烷基。
在本发明中,当所述结构清楚地需要连接基团时,针对所述基团所列举的马库什变量应理解为连接基团。例如,如果所述结构需要连接基团并且针对所述变量的马库什基团定义列举了“烷基”和“芳基”,则应理解,所述“烷基”或“芳基”分别代表连接的亚烷基基团或亚芳基基团。
本发明使用的术语“烷基”或“烷基基团”,表示含有1至6个碳原子,饱和的直链或支链一价烃基基团,其中,所述烷基基团可以任选地被一个或多个本发明描述的取代基所取代。在一实施方案中,烷基基团含有1-3个碳原子;在另一实施方案中,烷基基团含有1-6个碳原子;在另一实施方案中,烷基基团含有1-4个碳原子;在又一实施方案中,烷基基团含有 1-3个碳原子;还在一实施方案中,烷基基团含有1-2个碳原子。所述烷基基团可以任选地被一个或多个本发明描述的取代基所取代。
烷基基团的实例包含,但并不限于,甲基(Me、-CH3),乙基(Et、-CH2CH3),正丙基(n-Pr、-CH2CH2CH3),异丙基(i-Pr、CH(CH3)2),正丁基(n-Bu、-CH2CH2CH2CH3),异丁基(i-Bu、-CH2CH(CH3)2),仲丁基(s-Bu、-CH(CH3)CH2CH3),叔丁基(t-Bu、-C(CH3)3),等等。
术语“亚烷基”表示从饱和的直链或支链烃基中去掉两个氢原子所得到的的饱和的二价烃基基团。这样的实例包括亚甲基(-CH2-),亚乙基(-CH2CH2-),亚异丙基(-CH(CH3)CH2-) 等等。所述亚烷基基团可以任选地被一个或多个本发明表述的取代基所取代。
术语“烷氧基”表示烷基基团通过氧原子与分子其余部分相连,其中烷基基团具有如本发明所述的定义。所述烷氧基基团可以任选地被一个或多个本发明描述的取代基所取代。
术语“卤代烷基”或“卤代烷氧基”表示烷基或烷氧基基团被一个或多个卤素原子锁取代,这样的实例包含,但并不限于三氟甲基、三氟乙基、三氟甲氧基等。
本发明使用的术语“环烷基”,除非另有说明,是指一价饱和或部分不饱和(但非芳香族) 的单环或多环烃。
术语“杂环基”除非另有说明,是指包含至少一个非芳香环的一价单环非芳香环体系和/ 或多环体系。在一些实施方案,所述杂环基是单环、双环、三环以及螺环和桥环结构。
术语“卤素”是指氟(F)、氯(Cl)、溴(Br)或碘(I)。
本发明使用的术语“芳基”,除非另有说明,是指包含至少一个芳环或杂芳环体系,可以是单环、二环、或三环。所述芳基可通过其结构中任何芳香环或非芳香环连接至主结构上。在一些实施方案,芳基是苯基、萘基、二环[4.2.0]辛-1,3,5-三烯基、茚满基、芴基、或四氢萘基。当芳基被取代时,其可在任何环上即在由芳基包含的任何芳香环或非芳香环上被取代。
本发明使用的术语“杂芳基”,除非另有说明,是指单环或多环芳香基团,其中至少1个 (在某些实施方案,1、2、3或4个)环原子是独立地选自O、S(O)0-2和N的杂原子。所述杂芳基基团是通过环体系中的任何原子,其化合价规则允许情况下,连接至分子其余部分。在一些实施方案,杂芳基是吡啶基、吲哚基、噻吩基、吲唑基、呋喃基,噻唑基,苯并噻吩基、苯并异噁唑基、苯并呋喃基、苯并三氮唑基、或苯并噻唑基。
本发明所描述的,取代基画一个键连接到中心的环上形成的环体系(如下结构式所示)代表取代基可在任一环上任何可取代的位置取代。例如,式a代表A环或B环上任何可能被取代的位置均可被取代,如式b-f等所示。
“药学上可接受的”是指这样一些化合物、原料、组合物和/或剂型,它们在合理医学判断的范围内,适用于与患者组织接触而无过度毒性、刺激性、变态反应或与合理的利益/风险比相对称的其他问题和并发症,并有效用于既定用途。
本发明所使用的术语“代谢物”是指具体的化合物或其盐在体内通过代谢作用所得到的产物。一个化合物的代谢产物可以通过所属领域公知的技术来进行鉴定,其活性可以通过如本发明所描述的那样采用试验的方法进行表征。这样的产物可以是通过给药化合物经过氧化,还原,水解,酰胺化,脱酰胺作用,酯化,脱酯作用,酶裂解等等方法得到。相应地,本发明包括化合物的代谢产物,包括本发明的化合物与哺乳动物充分接触一段时间所产生的代谢产物。
本发明所使用的“药学上可接受的盐”是指本发明的化合物的有机盐和无机盐。药学上可接受的盐在所属领域是为我们所熟知的,如文献:S.M.Berge et al.,describepharmaceutically acceptable salt in detail in J.Pharmaceutical Sciences,1977,66:1-19.所记载的。
本发明的“溶剂化物”是指一个或多个溶剂分子与本发明的化合物所形成的缔合物。形成溶剂化合物的溶剂包括,但并不限于,水,异丙醇,乙醇和甲醇。术语“水合物”是指溶剂分子是谁所形成的的缔合物。
本发明所使用的术语“治疗”任何疾病或病症,在另一些实施方案中,“治疗”指缓和或改善至少一种身体参数,包括可能不为患者所察觉的身体参数。在另一些实施方案中,“治疗”指从身体上(例如稳定可察觉的症状)或生理学上(例如稳定身体的参数)或上述两方面调节疾病或病症。在另一些实施方案中,“治疗”指预防或延迟疾病或病症的发作、发生或恶化。
发明内容
本发明公开了一类新型的FXR激动剂。这类激动剂具有改善的溶解度,有可能克服已报道的类似药物成药性的不足,提供副作用小的非甾体FXR激动剂类化合物,用于治疗、抑制或改善法尼醇X受体介导的疾病。
本发明一方面提供了新型FXR激动剂类化合物;
1.式(I)所示的化合物或其药学可接受的盐或酯:
其中,
R1选自C6-10芳基或C1-9杂芳基,其任选地被1-3个R1a取代;
R1a选自氢、卤素、氰基、C1-6烷基、C3-6环烷基、C1-6烷氧基、C1-6卤代烷基或C1-6卤代烷氧基;
R2选自C1-3烷基、C1-3卤代烷基、或C3-6环烷基,其中C3-6环烷基任选地被C1-3烷基或C1-3卤代烷基取代;
X选自CH2、NH或O;
L选自4-8个原子组成的杂环基;
Ar选自C6-10芳基或C1-9杂芳基,其中Z任选地被1-3个R3取代;
R3选自氢、卤素、氰基、C1-6烷基、C1-6烷氧基、C1-6卤代烷基或C1-6卤代烷氧基;
R4a、R4b和R4c各自独立地选自C1-4烷基、C3-6环烷基、C6-10芳基或C6-10取代芳基;
R5a、R5b和R5c各自独立地选自=CH-或=N-;
Z选自F、Cl、Br或I;
R6a、R7a和R7b各自独立地选自-ORi、-NRiiRiii、C1-4烷基、C3-6环烷基、C6-10芳基或取代C6-10芳基;和
Ri、Rii和Riii各自独立地选自氢、C1-4烷基、C3-6环烷基、C6-10芳基或取代C6-10芳基。
2.在一些实施方案,其中,本发明化合物具有式(Ia)所示结构:
其中,
R1a选自卤素、C1-6卤代烷基、C1-6卤代烷氧基或环丙基;
R2选自异丙基或环丙基;
R4a、R4b和R4c各自独立地选自C1-4烷基或C3-6环烷基;
Z选自Cl或Br;
R6a、R7a和R7b各自独立地选自-ORi、-NRiiRiii、C1-4烷基或苯基;和
Ri、Rii和Riii各自独立地选自氢、C1-4烷基或苯基;
或其药学上可接受的盐或酯。
3.在一些实施方案,本发明化合物为具有以下结构之一的化合物:
其中,
Mn+是Li+、Na+、K+、Ca2+、Mg2+、Ba2+、NH4 +、Et3NH+、Lys+、Arg+、或Gly+;和 n是1或2;
或其药学上可接受的盐、或酯。
本发明第二方面提供了一种药物组合物,所述药物组合物包含所述化合物及任选的药学上可接受的辅料、稀释剂或载体;
在一些实施方案中,本发明所述的药物组合物进一步包含附加治疗剂。
本发明第三方面提供了所述化合物或药物组合物在制备预防和/或治疗FXR介导和/或涉及FXR的疾病、病症或病况的药物中的用途。
所述疾病、病症或病况是血脂异常、肥胖症、NASH、原发性硬化性胆管炎、PBC、门静脉高压、胆汁酸性腹泻、或糖尿病胰岛素抵抗。
本发明提供的化合物通过在分子水平的受体亲和力测定表明了其对FXR蛋白的亲和作用,并通过聚合酶链式反应(RT-PCR)在体外和体内水平证明了化合物对FXR及其下游靶基因的调控作用,验证了化合物良好的FXR激动活性。因其体内活力高可减少应用剂量,同时减少副作用。
附图说明
图1化合物细胞水平转录活性测定(RT-PCR);
图2化合物体内转录活性测定。
具体实施方式
为描述本发明,以下列出了实施例。但需要理解,本发明不限于这些实施例,只是提供实践本发明的方法。
一般地,本发明的化合物可以通过本发明所描述的方法制备得到,除非有进一步的说明,其中取代基的定义如式I、Ia、Ib、Ic、Id、Ie、If、Ig或Ih所示。下面的反应方案合实施例用于进一步举例说明本发明的内容。
所述领域的专业人员将认识到:本发明所描述的化学反应可以用来合适德制备许多本发明的其他化合物,且用于制备本发明的化合物的其它方法都被认为是在本发明的范围之内。例如,根据本发明那些非例证的化合物的合成可以成功地被所属领域的技术人员通过修饰方法完成,如适当的保护干扰基团,通过利用其他已知的试剂除了本发明所描述的,或将反应条件做一些常规的修改。另外,本发明所公开的反应或已知的反应条件也公认地适用于本发明其他化合物的制备。
下面所描述的实施例,除非其他方面表明所有的温度定为摄氏度。试剂购买于商品供应商如Aldrich Chemical Company,Arco Chemical Company and Alfa ChemicalCompany,使用时都没有经过进一步纯化,除非其他方面表明。一般的试剂从汕头西陇化工厂,广东光华化学试剂厂,武汉鑫华远科技发展有限公司,和青岛海洋化工厂购买得到。
无水四氢呋喃,乙腈,二氧六环,甲苯,乙醚是经过金属钠回流干燥得到。无水二氯甲烷和氯仿是经过氯化钙干燥得到。乙酸乙酯,石油醚,正己烷,N,N-二甲基乙酰胺和N,N-二甲基甲酰胺是经过无水硫酸钠事先干燥使用。
以下反应一般是在氮气或氩气正压下或在无水溶剂上套一干燥管(除非其他方面表明),反应瓶都塞上合适的橡皮塞,底物通过注射器打入。玻璃器皿都是干燥过的。
色谱柱是使用硅胶柱。硅胶(300-400目)购于青岛海洋化工厂。
1HNMR谱使用Bruker 400MH核磁共振谱仪记录。1H NMR谱以CDCl3、DMSO-d6、CD3OD或丙酮-d6为溶剂(以ppm为单位),用TMS(0ppm)或氯仿(7.26ppm)作为参照标准。当出现多重峰的时候,将使用下面的缩写:s(singlet,单峰)、d(doublet,双峰)、 t(triplet,三重峰)、m(multiplet,多重峰)、br(broadened,宽峰)、dd(doublet ofdoublets,双二重峰)、dt(doublet oftriplets,双三重峰)。耦合常数,用赫兹(Hz)表示。
低分辨率质谱(MS)数据的测定条件是:Agilent 6120四级杆HPLC-M(柱子型号:Zorbax SB-C18,2.1*30mm,3.5微米,6min),流速为0.6mL/min。流动相:5%-95%((含0.1%甲酸的CH3CN)在(含0.1%甲酸的H2O)中的比例),采用电喷雾电离(ESI),在210nm/254nm下,用UV检测。
下面简写词的使用贯穿本发明:
D2O
CD3OD 氘代甲醇
CDCl3 氘代氯仿
DMSO-d6 氘代DMSO
DMF N,N-二甲基甲酰胺
THF 四氢呋喃
g 克
h 小时
min 分钟
mL、ml 毫升
RT、rt、r.t. 室温
Boc 叔丁氧羰基
本发明中公开化合物的典型合成步骤如合成方案1所示
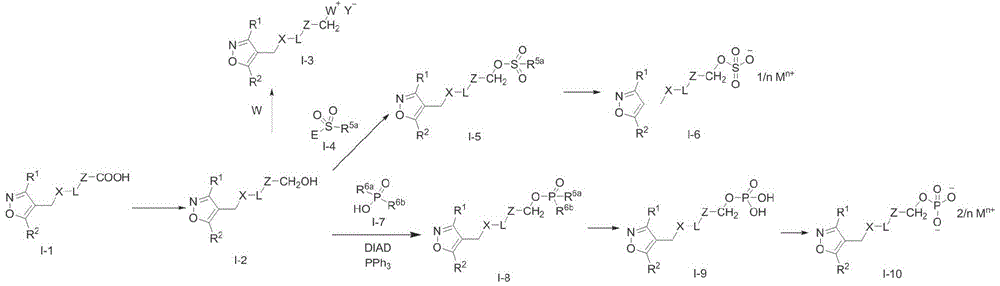
合成方案1:
将羧基化合物原料I-1在硼烷-二甲硫醚络合物的条件下室温通过还原反应得到羟甲基化合物中间体I-2;中间体I-2在三氯氧磷和室温条件下被三级胺(如三乙胺、吡啶或二异丙基乙胺) 亲核取代得到得到式I-3的季铵盐类化合物;中间体I-2与卤代磺酸衍生物I-4在碱(碳酸钾、碳酸铯、三乙胺或吡啶)存在下通过亲核取代反应得到式I-5的化合物,当R5a为羟基时,化合物 I-5可进一步在溶剂(甲醇、乙醇或乙酸乙酯)和碱(无机碱、有机碱或氨基酸)条件下成盐得式I-6的磺酸盐类化合物;中间体I-2在三苯基膦和偶氮试剂(偶氮二甲酸二乙酯或偶氮二甲酸二异丙酯)条件下与磷酸衍生物I-7通过mitsunobu反应得到式I-8的化合物,当R6a和R6b均为叔丁氧基时,化合物I-8可在酸性条件下(盐酸或三氟乙酸)脱去叔丁基得到式I-9的化合物,化合物I-9可进一步在溶剂(甲醇、乙醇或乙酸乙酯)和碱(无机碱、有机碱或氨基酸)条件下成盐得式I-10的磷酸盐类化合物。
实施例1
化合物(1)的制备
步骤1:
中间体I的制备
将原料I(200mg,0.66mmol,1.0eq.)置于25ml三颈瓶中,加入3ml四氢呋喃溶清,氮气保护下加入1ml硼烷二甲硫醚的四氢呋喃溶液(2M),室温搅拌过夜后原料反应完全。向反应体系中加入5ml稀盐酸(1M),搅拌40min后将反应液加入到50ml纯水中稀释20ml乙酸乙酯萃取三次,合并有机相用饱和碳酸氢钠溶液洗2次,纯水和饱和食盐水各洗一次,无水硫酸钠干燥后旋蒸除去溶剂。石油醚:乙酸乙酯=3:1进行柱色谱分离纯化,洗脱液合并旋干得目标化合物6(120mg,收率61.4%),为白色固体粉末。1H NMR(400MHz,DMSO-d6)δ 7.71-7.64(m,2H),7.58-7.54(m,2H),7.51(s,1H),7.06(d,J=11.2Hz,1H),5.27(t,J=5.6Hz,1H),4.50(d,J=5.6Hz,2H),4.35(s,2H),4.17(br.s,2H),3.55(br.s,1H),2.41-2.30(m,1H),2.02-1.98(m, 2H),1.82(br.s,4H),1.73(d,J=16.4Hz,2H),1.15-1.13(m,2H)1.10-1.08(m,2H).MS(ESI):m/z 590.0[M+H+].
步骤2:
化合物(1)的制备
0.2ml三氯氧磷溶于1ml DCM后置于10ml圆底烧瓶中,120mg——和0.3ml三乙胺共同用1ml DCM溶解,搅拌下加入反应瓶中,氮气吹扫体系5秒钟,氮气保护下室温搅拌反应2h。
将反应液滴加到10ml纯水中室温搅拌30min,旋蒸除去二氯甲烷后用乙酸乙酯萃取三次,合并有机相后分别用纯水和饱和食盐水洗涤,干燥并除去溶剂。乙醚打浆后正己烷研磨并抽滤,得目标化合物2(20mg,收率14.6%),为灰白色固体粉末。1HNMR(400MHz,DMSO)δ7.77 (s,1H),7.66(dd,J=13.4,7.2Hz,2H),7.61–7.55(m,2H),7.30(d,J=11.7Hz,1H),4.46(s,2H), 4.35(s,2H),4.23(brs,2H),3.56(s,1H),3.18(q,J=7.0Hz,6H),2.32-2.36(m,1H),1.94-2.02(m, 2H),1.81-1.87(m,4H),1.74-1.80(m,2H),1.30(t,J=6.9Hz,9H),1.12-1.16(m,2H),1.07-1.10 (m,2H);MS(ESI):m/z 674.0[M+H+].
实施例2
化合物(2)的制备
0.1ml三氯氧磷(3.16eq.)溶于1ml DCM后置于10ml圆底烧瓶中。180mg——和0.1ml吡啶(3.7eq.)共同用1ml DCM溶解,搅拌下加入反应瓶中,氮气吹扫体系5秒钟,氮气保护下室温搅拌反应。反应6h后补加一倍的三氯氧磷和吡啶,继续搅拌反应,氮气保护下室温搅拌过夜。旋蒸除去溶剂,加3ml冰水稀释,7ml饱和碳酸氢钠水溶液逐滴加入。10ml乙醚萃取2次,水相中加入6M盐酸1.5ml调PH=1,室温静置3h后倾出水层,下层油状物用3ml DCM溶解后旋蒸除去溶剂。乙醚打浆纯化,得目标化合物3(71mg,收率33.8%),为棕黄色固体。1H NMR(400MHz,DMSO)δ9.21(d,J=6.0Hz,2H),8.61(t,J=7.3Hz,1H),8.17(t,J=6.9Hz,2H),7.84(s,1H),7.62-7.69(m,2H),7.60–7.54(m,2H),7.46(d,J=11.0Hz,1H),5.85(s,2H), 4.34(s,2H),4.19(brs,2H),3.53(s,1H),2.32-2.36(m,1H),1.95(d,J=14.9Hz,2H),1.81(s,4H), 1.73(d,J=15.0Hz,2H),1.11-1.15(m,2H),1.096-1.10(m,2H);MS(ESI):m/z652.0[M+H+].
实施例3
化合物(3)的制备
中间体I(500mg,0.85mmol)溶于干燥氯仿和干燥乙腈的混合溶剂(1:10,V/V,10mL),完全溶解后体系用冰盐浴降温至0℃,搅拌下向体系中缓慢滴加氯磺酸(0.85mmol),继续搅拌反应2h后减压浓缩除去溶剂。加水稀释,乙酸乙酯萃取三次,合并有机相后无水硫酸钠干燥,旋蒸除去溶剂得到目标化合物(3)(332mg,收率58.4%),为无色结晶性固体。MS(ESI): m/z 670.0[M+H+].
实施例4
化合物(5)的制备
,-15℃;1h,-15℃
中间体I(500mg,0.85mmol)溶于干燥二氯甲烷中,完全溶解后体系用冰盐浴降温至0℃,继续向体系中加入三乙胺(0.85mmol),搅拌下向体系中缓慢滴加甲基氯磺酸(0.85mmol),继续搅拌反应2h后体系中加入饱和碳酸氢钠溶液洗涤,分离有机相,继续水洗三次后无水硫酸钠干燥,旋蒸除去溶剂,硅胶柱色谱纯化,得到目标化合物(5)(302mg,收率53.3%),为类白色粉末状固体。MS(ESI):m/z 668.0[M+H+].
实施例5
化合物(6)苯基磺酸酯的制备
中间体I(500mg,0.85mmol)溶于乙腈中(1ml),加入碳酸铯(1mol%)和苯磺酰氯(0.94 mmol),室温搅拌反应1h后反应完全。体系中加入10ml水淬灭,10ml乙酸乙酯萃取。合并有机相无水硫酸钠干燥后旋蒸除去溶剂,硅胶柱色谱纯化,得目标化合物(6)(462mg,收率74.6%),为白色粉末状固体。MS(ESI):m/z 730.0[M+H+].
实施例6
化合物(7)的制备中间体I(500mg,0.85mmol)溶于DMF中(1ml),冰盐浴控温0℃下加入氨基磺酰氯(2.55mmol),室温搅拌反应2h。反应结束后体系中加入20ml乙酸乙酯稀释,纯水洗涤,有机相用无水硫酸钠干燥后旋蒸除去溶剂,硅胶柱色谱纯化,得目标化合物(7)(435mg,收率 76.7%),为白色粉末状固体。MS(ESI):m/z 669.0[M+H+].
实施例7
化合物(11)的制备
中间体I(100mg,0.85mmol)溶于无水THF中(1ml),加入二叔丁基磷酸酯(中间体III) (参照文献Org.ProcessRes.Dev.2013,17,1440-1444.制备)搅拌溶解。冰盐浴降温至0℃,氮气流保护下加入三苯基膦。体系充分分散后缓慢滴加DIEA(1.70mmol)的THF溶液(0.5ml),滴毕撤去冰盐浴,室温下继续搅拌反应(TLC监测反应进程)8h。反应结束后旋蒸除去溶剂,粗品中加入5-8ml正己烷进行3-5次洗涤,合并滤液旋蒸除去溶剂,硅胶柱色谱纯化得到目标化合物(11)(100mg,收率75.4%),为类白色固体粉末。MS(ESI):m/z 782.0[M+H+].
实施例8
化合物(10)的制备
参照实施例7,用中间体V(参照文献Journal ofMedicinal Chemistry,2004,47(15):3843.和 Bioorganic Chemistry,2020,98:103747.经两步反应制备)代替中间体III制备得到化合物(10)。 MS(ESI):m/z 724.0[M+H+].
实施例9
化合物(9)的制备
参照实施例8,用中间体VI代替中间体V制备得到化合物(9)。MS(ESI):m/z 696.0[M+H+].
实施例10
化合物(8)的制备
将化合物7(100mg,0.13mmol)溶于1ml二氯甲烷并加入55μl苯甲醚和107μl三氟乙酸。试问搅拌反应80min后旋蒸除去溶剂,加入甲基叔丁基醚打浆,收集滤饼,得目标化合物1 (53mg,两步总收率46.6%),为白色固体粉末。1H NMR(400MHz,DMSO)δ7.73–7.60(m,3H),7.59–7.51(m,2H),7.13(d,J=11.7Hz,1H),4.87(d,J=7.7Hz,2H),4.33(s,2H),4.17(brs, 2H),3.53(brs,1H),2.34(dt,J=18.4,6.7Hz,1H),1.99(d,J=14.8Hz,2H),1.81(s,4H)1.72(d,J= 14.5Hz,2H),1.13(d,J=8.2Hz,2H),1.07(d,J=4.6Hz,2H).MS(ESI):m/z670.0[M+H+].
实施例5化合物受体亲和力测定实验方法:测定化合物与受体之间亲和力的反应体系由缓冲溶液,溶液A、B和C及溶解于 DMSO的一定浓度的各个化合物组成。缓冲体系包含:50mM Hepes/NaOH(pH7.4),1mM TECP, 0.069mM Brij-35,50mM NaCl,0.1mg/mL BSA,溶解于超纯水。溶液A由0.4nM GST-FXR-LBD (Thermo Scientific#PV4835),30nM biotin-SRC-1(AnaSpec#62152)组成;溶液B为 10ug/ml Acceptor Beads(PerkinElmer#6760603);溶液C为10ug/ml Donor Beads (PerkinElmer#6760603)。384孔板中每孔加入150nl某浓度化合物或DMSO或阳性对照 LJN452,依次加入15μl溶液A孵育1小时,加入7.5μl溶液B孵育1小时,加入7.5μl 溶液C孵育1小时,酶标仪上AlphaScreen检测。数据用GraphPad 8.0处理,得到量效曲线并计算EC50。
表1.FXR受体亲和力测定结果
化合物8对FXR具有<100nM的亲和力,化合物2和化合物3对FXR没有明显的亲和力。
实施例6化合物细胞水平转录活性测定(双荧光素酶报告基因检测)
Lipofectamin 2000试剂以及质粒:10ng pLV-hRXR,10.4ng pLV-hFXR和10.4ngpGL3-pBSEP-Luc和40ng pRL-TK转染96孔板中每个孔5*105个293T细胞,24h后细胞更换培养基并加入特定浓度各种化合物,24h后裂解细胞、加入底物,酶标仪分别检测萤火虫荧光素酶和海肾荧光素酶活力,二者比值代表化合物转录活力。数据GraphPad 8.0处理,得到量效曲线并计算EC50。
表2.细胞水平转录活性测定结果
由表2可知化合物8在细胞水平对FXR及下游靶基因具有转录激活作用。
实施例7化合物细胞水平转录活性测定(RT-PCR)
实验方法:使用DMSO(溶剂阴性对照)、一定浓度的化合物5(作为阳性对照)和化合物1处理体外培养的原代大鼠肝实质细胞和肝癌细胞系HepG2,RT-PCR检测FXR下游靶基因转录水平(GAPDH作为内参)。在细胞水平化合物2的激动剂活力与化合物5为nM级。RT-PCR按照标准程序,引物序列如下表:
| 基因 | 序列5’-3’ |
| hOSTaF | TGTTGGGCCCTTTCCAATAC |
| hOSTaR | GAATAGGGAGGCGAACAAGC |
| hGAPDHF | ATATGATTCCACCCATGGCA |
| hGAPDHR | GATGATGACCCTTTTGGCTC |
| rSHPF | ACTGCCTGGAGTCTTTCTGG |
| rSHPR | GATGACAGGGCGGAAGAAGAG |
| rGAPDHF | AGTGCCAGCCTCGTCTCATA |
| rGAPDHR | GATGGTGATGGGTTTCCCGT |
| rBSEPF | GTCTGTGGGTTGGTGGACAT |
| rBSEPR | CCCACAGAAGTGCAGTCGAA |
| rFXRF | GGAAGTGCAGAGAGATGGGAA |
| rFXRR | TTTTCTCCCTGCATAGCTTGGT |
在体外培养的原代大鼠肝实质细胞中,化合物2激活FXR下游靶基因BSEP和SHP转录,转录活性与化合物5相当,而不改变FXR基因转录情况。在体外培养的人HepG2细胞中,化合物 6和化合物2激活FXR下游靶基因OSTα转录,在100nM浓度下的转录活性与化合物5相当。
实施例8化合物体内转录活性测定
实验方法:雄性成年SD大鼠(体重200-250g)12只饲养3天适应环境,灌胃给药前3h断食,随机分为4组(n=3),每只灌胃1mL药物悬液或溶媒(配制见下表)。喂药后7h麻醉,取材肝、回肠及血液并分离血清。其中2-3cm回肠的肠粘膜和肝左叶同一部位组织液氮冷冻,用于RNA提取及基因分析。经典方法提取总RNA,取1μg总RNA合成cDNA,cDNA用于PCR反应和荧光定量PCR反应。
灌胃药物配置方法:
cDNA稀释20倍作为荧光定量PCR模板,反应体系中包含8μl模板、10μl 2X预混液,2μl 上下游引物。引物序列见下表:
| Gene | Sequence |
| rSHPF | ACTGCCTGGAGTCTTTCTGG |
| rSHPR | GATGACAGGGCGGAAGAAGAG |
| rBSEPF | GTCTGTGGGTTGGTGGACAT |
| rBSEPR | CCCACAGAAGTGCAGTCGAA |
| rFGF15F | TGTGTCGGATGAAGGTCCAC |
| rFGF15R | TCCGAGTAGCGAATCAGCC |
| rGAPDHF | AGTGCCAGCCTCGTCTCATA |
| rGAPDHR | GATGGTGATGGGTTTCCCGT |
由荧光定量PCR结果可知,A03给药后各组大鼠肝组织中SHP与BSEP mRNA表达水平与化合物5相当或高于化合物5,回肠组织中SHP与FGF15 mRNA表达水平高于化合物5。可以得出结论,化合物1在大鼠体内的活力高于化合物5。
总之,本发明化合物对FXR具有很好的激动活性,且体内活力高,在应用2可降低应用剂量,同时减少副作用,具有良好的应用前景。
Claims (6)
3.一种药物组合物,其包含权利要求1-2任一项所述的化合物及任选的药学上可接受的辅料、稀释剂、或载体。
4.根据权利要求3所述的药物组合物,其进一步包含附加治疗剂。
5.根据权利要求1-2任一项所述的化合物或权利要求3-4任一项所述药物组合物在制备预防和/或治疗FXR介导和/或涉及FXR的疾病、病症或病况的药物中的用途。
6.根据权利要求5所述的用途,其中所述疾病、病症或病况是血脂异常、肥胖症、NASH、原发性硬化性胆管炎、PBC、门静脉高压、胆汁酸性腹泻、或糖尿病胰岛素抵抗。
Priority Applications (1)
| Application Number | Priority Date | Filing Date | Title |
|---|---|---|---|
| CN202110326565.9A CN113024552B (zh) | 2021-03-26 | 2021-03-26 | 一类新型非甾体fxr激动剂的合成及其应用 |
Applications Claiming Priority (1)
| Application Number | Priority Date | Filing Date | Title |
|---|---|---|---|
| CN202110326565.9A CN113024552B (zh) | 2021-03-26 | 2021-03-26 | 一类新型非甾体fxr激动剂的合成及其应用 |
Publications (2)
| Publication Number | Publication Date |
|---|---|
| CN113024552A CN113024552A (zh) | 2021-06-25 |
| CN113024552B true CN113024552B (zh) | 2022-08-05 |
Family
ID=76474141
Family Applications (1)
| Application Number | Title | Priority Date | Filing Date |
|---|---|---|---|
| CN202110326565.9A Active CN113024552B (zh) | 2021-03-26 | 2021-03-26 | 一类新型非甾体fxr激动剂的合成及其应用 |
Country Status (1)
| Country | Link |
|---|---|
| CN (1) | CN113024552B (zh) |
Families Citing this family (4)
| Publication number | Priority date | Publication date | Assignee | Title |
|---|---|---|---|---|
| KR20200138283A (ko) | 2018-03-22 | 2020-12-09 | 바이킹 테라퓨틱스 인코포레이티드 | 결정질 형태, 및 결정질 형태의 화합물을 제조하는 방법 |
| US12102646B2 (en) | 2018-12-05 | 2024-10-01 | Viking Therapeutics, Inc. | Compositions for the treatment of fibrosis and inflammation |
| EP4161925A4 (en) * | 2020-06-09 | 2024-09-04 | Viking Therapeutics, Inc. | COMPOSITIONS AND METHODS FOR THE TREATMENT OF LIVER DISEASES |
| CN120289449A (zh) * | 2022-07-18 | 2025-07-11 | 厦门市博瑞来医药科技有限公司 | 一种合成非甾体类fxr调节剂的化合物 |
Citations (8)
| Publication number | Priority date | Publication date | Assignee | Title |
|---|---|---|---|---|
| CN101877966A (zh) * | 2007-07-02 | 2010-11-03 | 葛兰素史密丝克莱恩有限责任公司 | 类法尼醇x受体激动剂 |
| CN103443099A (zh) * | 2010-12-20 | 2013-12-11 | Irm责任有限公司 | 调节fxr的组合物和方法 |
| WO2016024010A1 (en) * | 2014-08-14 | 2016-02-18 | Deutsches Zentrum Für Neurodegenerative Erkrankungen E.V. (Dzne) | Perk activator for the treatment of neurodegenerative diseases |
| CN107021957A (zh) * | 2016-02-01 | 2017-08-08 | 山东轩竹医药科技有限公司 | Fxr受体激动剂 |
| WO2018059314A1 (zh) * | 2016-09-28 | 2018-04-05 | 四川科伦博泰生物医药股份有限公司 | 氮杂双环衍生物及其制备方法和用途 |
| CN109320517A (zh) * | 2017-07-31 | 2019-02-12 | 海南轩竹医药科技有限公司 | Fxr受体激动剂 |
| CN109906223A (zh) * | 2016-10-04 | 2019-06-18 | 英安塔制药有限公司 | 异噁唑类似物作为fxr激动剂及其使用方法 |
| CN110177783A (zh) * | 2016-08-23 | 2019-08-27 | 阿德利克斯股份有限公司 | 用于治疗代谢病状和病症的激素受体调节剂 |
Family Cites Families (1)
| Publication number | Priority date | Publication date | Assignee | Title |
|---|---|---|---|---|
| WO2017189652A1 (en) * | 2016-04-26 | 2017-11-02 | Enanta Pharmaceuticals, Inc. | Isoxazole derivatives as fxr agonists and methods of use thereof |
-
2021
- 2021-03-26 CN CN202110326565.9A patent/CN113024552B/zh active Active
Patent Citations (9)
| Publication number | Priority date | Publication date | Assignee | Title |
|---|---|---|---|---|
| CN101877966A (zh) * | 2007-07-02 | 2010-11-03 | 葛兰素史密丝克莱恩有限责任公司 | 类法尼醇x受体激动剂 |
| CN103443099A (zh) * | 2010-12-20 | 2013-12-11 | Irm责任有限公司 | 调节fxr的组合物和方法 |
| WO2016024010A1 (en) * | 2014-08-14 | 2016-02-18 | Deutsches Zentrum Für Neurodegenerative Erkrankungen E.V. (Dzne) | Perk activator for the treatment of neurodegenerative diseases |
| CN107021957A (zh) * | 2016-02-01 | 2017-08-08 | 山东轩竹医药科技有限公司 | Fxr受体激动剂 |
| CN110177783A (zh) * | 2016-08-23 | 2019-08-27 | 阿德利克斯股份有限公司 | 用于治疗代谢病状和病症的激素受体调节剂 |
| WO2018059314A1 (zh) * | 2016-09-28 | 2018-04-05 | 四川科伦博泰生物医药股份有限公司 | 氮杂双环衍生物及其制备方法和用途 |
| CN108430998A (zh) * | 2016-09-28 | 2018-08-21 | 四川科伦博泰生物医药股份有限公司 | 氮杂双环衍生物及其制备方法和用途 |
| CN109906223A (zh) * | 2016-10-04 | 2019-06-18 | 英安塔制药有限公司 | 异噁唑类似物作为fxr激动剂及其使用方法 |
| CN109320517A (zh) * | 2017-07-31 | 2019-02-12 | 海南轩竹医药科技有限公司 | Fxr受体激动剂 |
Also Published As
| Publication number | Publication date |
|---|---|
| CN113024552A (zh) | 2021-06-25 |
Similar Documents
| Publication | Publication Date | Title |
|---|---|---|
| CN113024552B (zh) | 一类新型非甾体fxr激动剂的合成及其应用 | |
| RU2764243C2 (ru) | Гетероциклические соединения в качестве ингибиторов PAD | |
| CN112608318B (zh) | 一种作为蛋白质激酶抑制剂的化合物及其用途 | |
| TWI434846B (zh) | 新穎化合物 | |
| CA3124898A1 (en) | Heterocyclic compound, intermediate, preparation method therefor and application thereof | |
| TW200911245A (en) | Pyridone derivatives | |
| JP7282039B2 (ja) | Mk2阻害剤、その合成、およびそれに至るまでの中間体 | |
| CA3013819A1 (en) | Indole and azaindole haloallylamine derivative inhibitors of lysyl oxidases and uses thereof | |
| WO2024067433A1 (zh) | 新型prmt5抑制剂及其应用 | |
| CA2607780A1 (en) | Purine derivatives | |
| AU2020320001B2 (en) | Heteroaryl-substituted pyrazolo-pyridine protein kinase inhibitors for promoting liver regeneration or reducing or preventing hepatocyte death | |
| AU2008248201A1 (en) | Compounds as CRTH2 and/or PGD2 receptors modulators and their use for treating asthma and allergic inflammation | |
| WO2008038768A1 (en) | Compound having bicyclic pyrimidine structure and pharmaceutical composition comprising the compound | |
| BRPI0716224A2 (pt) | Compostos inibidores de raf e métodos de uso dos mesmos. | |
| CA3048853A1 (en) | Pyrimidine derivative | |
| CN112300153A (zh) | 一种杂环化合物、药物组合物和用途 | |
| WO2020020288A1 (zh) | 作为溴区结构域蛋白抑制剂的亚氨基砜类化合物、药物组合物及其医药用途 | |
| BR112016023391B1 (pt) | Processo para a preparação de um composto de fórmula viii | |
| CN107108586A (zh) | 多环类间变性淋巴瘤激酶抑制剂 | |
| WO2024255790A1 (zh) | 稠环化合物、包含其的药物组合物及其用途 | |
| CN110305125A (zh) | 5-嘧啶-6-氧-吡唑并吡啶类衍生物及其制备方法和应用 | |
| EP4090659A1 (en) | 3-benzoyl-1h-pyrrolo[2,3-b]pyridine derivatives as mkk4 inhibitors for treating liver diseases | |
| JP2021501215A (ja) | アミノ置換窒素含有縮合環化合物、その調製方法及び使用 | |
| WO2025140518A1 (zh) | 稠环化合物、包含其的药物组合物及其用途 | |
| CN105384738B (zh) | 作为蛋白激酶抑制剂的杂环类化合物及其制备方法和用途 |
Legal Events
| Date | Code | Title | Description |
|---|---|---|---|
| PB01 | Publication | ||
| PB01 | Publication | ||
| SE01 | Entry into force of request for substantive examination | ||
| SE01 | Entry into force of request for substantive examination | ||
| GR01 | Patent grant | ||
| GR01 | Patent grant |


























