RU2491237C2 - Одномодовое оптическое волокно - Google Patents
Одномодовое оптическое волокно Download PDFInfo
- Publication number
- RU2491237C2 RU2491237C2 RU2009117161/03A RU2009117161A RU2491237C2 RU 2491237 C2 RU2491237 C2 RU 2491237C2 RU 2009117161/03 A RU2009117161/03 A RU 2009117161/03A RU 2009117161 A RU2009117161 A RU 2009117161A RU 2491237 C2 RU2491237 C2 RU 2491237C2
- Authority
- RU
- Russia
- Prior art keywords
- fiber
- optical
- wavelength
- radius
- shell
- Prior art date
Links
- 239000013307 optical fiber Substances 0.000 title claims abstract description 87
- 239000000835 fiber Substances 0.000 claims abstract description 246
- 230000003287 optical effect Effects 0.000 claims abstract description 78
- 238000005452 bending Methods 0.000 claims abstract description 60
- 238000005253 cladding Methods 0.000 claims abstract description 24
- 230000001902 propagating effect Effects 0.000 claims abstract description 10
- 239000006185 dispersion Substances 0.000 claims description 21
- 230000002829 reductive effect Effects 0.000 claims description 3
- 238000004891 communication Methods 0.000 abstract description 10
- 230000000694 effects Effects 0.000 abstract description 2
- 239000000126 substance Substances 0.000 abstract description 2
- 238000004804 winding Methods 0.000 abstract description 2
- 239000000463 material Substances 0.000 description 18
- 238000000576 coating method Methods 0.000 description 11
- 239000010410 layer Substances 0.000 description 10
- 239000000203 mixture Substances 0.000 description 10
- 239000011248 coating agent Substances 0.000 description 9
- 238000000034 method Methods 0.000 description 9
- 239000011253 protective coating Substances 0.000 description 9
- 230000005540 biological transmission Effects 0.000 description 8
- -1 polyethylene Polymers 0.000 description 8
- 239000010453 quartz Substances 0.000 description 7
- VYPSYNLAJGMNEJ-UHFFFAOYSA-N silicon dioxide Inorganic materials O=[Si]=O VYPSYNLAJGMNEJ-UHFFFAOYSA-N 0.000 description 7
- 238000009434 installation Methods 0.000 description 6
- 239000002184 metal Substances 0.000 description 6
- 229910052751 metal Inorganic materials 0.000 description 6
- 230000000052 comparative effect Effects 0.000 description 5
- 230000006835 compression Effects 0.000 description 5
- 238000007906 compression Methods 0.000 description 5
- 230000009467 reduction Effects 0.000 description 5
- 230000009974 thixotropic effect Effects 0.000 description 5
- 238000007664 blowing Methods 0.000 description 4
- 230000000994 depressogenic effect Effects 0.000 description 4
- 238000005259 measurement Methods 0.000 description 4
- 238000010926 purge Methods 0.000 description 4
- YCKRFDGAMUMZLT-UHFFFAOYSA-N Fluorine atom Chemical compound [F] YCKRFDGAMUMZLT-UHFFFAOYSA-N 0.000 description 3
- 239000000853 adhesive Substances 0.000 description 3
- 230000001070 adhesive effect Effects 0.000 description 3
- 239000004760 aramid Substances 0.000 description 3
- 229920003235 aromatic polyamide Polymers 0.000 description 3
- 238000013461 design Methods 0.000 description 3
- 238000005516 engineering process Methods 0.000 description 3
- 229910052731 fluorine Inorganic materials 0.000 description 3
- 239000011737 fluorine Substances 0.000 description 3
- 239000004519 grease Substances 0.000 description 3
- 239000000314 lubricant Substances 0.000 description 3
- 238000005457 optimization Methods 0.000 description 3
- 238000000623 plasma-assisted chemical vapour deposition Methods 0.000 description 3
- 229920000728 polyester Polymers 0.000 description 3
- 229920000098 polyolefin Polymers 0.000 description 3
- 230000001681 protective effect Effects 0.000 description 3
- 229920000247 superabsorbent polymer Polymers 0.000 description 3
- 239000004583 superabsorbent polymers (SAPs) Substances 0.000 description 3
- 239000004677 Nylon Substances 0.000 description 2
- 239000004952 Polyamide Substances 0.000 description 2
- 239000004698 Polyethylene Substances 0.000 description 2
- 239000004743 Polypropylene Substances 0.000 description 2
- 239000000654 additive Substances 0.000 description 2
- 230000000712 assembly Effects 0.000 description 2
- 238000000429 assembly Methods 0.000 description 2
- 230000008901 benefit Effects 0.000 description 2
- 239000011247 coating layer Substances 0.000 description 2
- 230000008878 coupling Effects 0.000 description 2
- 238000010168 coupling process Methods 0.000 description 2
- 238000005859 coupling reaction Methods 0.000 description 2
- 238000000151 deposition Methods 0.000 description 2
- 238000009826 distribution Methods 0.000 description 2
- 238000012681 fiber drawing Methods 0.000 description 2
- 238000007380 fibre production Methods 0.000 description 2
- 239000011152 fibreglass Substances 0.000 description 2
- 239000003063 flame retardant Substances 0.000 description 2
- 239000006260 foam Substances 0.000 description 2
- 239000011521 glass Substances 0.000 description 2
- 239000003365 glass fiber Substances 0.000 description 2
- 230000001788 irregular Effects 0.000 description 2
- 230000000670 limiting effect Effects 0.000 description 2
- 230000007935 neutral effect Effects 0.000 description 2
- 229920001778 nylon Polymers 0.000 description 2
- 239000003921 oil Substances 0.000 description 2
- 230000000704 physical effect Effects 0.000 description 2
- 229920002647 polyamide Polymers 0.000 description 2
- 229920001707 polybutylene terephthalate Polymers 0.000 description 2
- 229920000573 polyethylene Polymers 0.000 description 2
- 229920001155 polypropylene Polymers 0.000 description 2
- 229920002635 polyurethane Polymers 0.000 description 2
- 239000004814 polyurethane Substances 0.000 description 2
- 239000004800 polyvinyl chloride Substances 0.000 description 2
- 230000004224 protection Effects 0.000 description 2
- 230000035945 sensitivity Effects 0.000 description 2
- 238000007740 vapor deposition Methods 0.000 description 2
- 238000004078 waterproofing Methods 0.000 description 2
- RNFJDJUURJAICM-UHFFFAOYSA-N 2,2,4,4,6,6-hexaphenoxy-1,3,5-triaza-2$l^{5},4$l^{5},6$l^{5}-triphosphacyclohexa-1,3,5-triene Chemical compound N=1P(OC=2C=CC=CC=2)(OC=2C=CC=CC=2)=NP(OC=2C=CC=CC=2)(OC=2C=CC=CC=2)=NP=1(OC=1C=CC=CC=1)OC1=CC=CC=C1 RNFJDJUURJAICM-UHFFFAOYSA-N 0.000 description 1
- NIXOWILDQLNWCW-UHFFFAOYSA-M Acrylate Chemical compound [O-]C(=O)C=C NIXOWILDQLNWCW-UHFFFAOYSA-M 0.000 description 1
- RYGMFSIKBFXOCR-UHFFFAOYSA-N Copper Chemical compound [Cu] RYGMFSIKBFXOCR-UHFFFAOYSA-N 0.000 description 1
- JOYRKODLDBILNP-UHFFFAOYSA-N Ethyl urethane Chemical compound CCOC(N)=O JOYRKODLDBILNP-UHFFFAOYSA-N 0.000 description 1
- 229920002430 Fibre-reinforced plastic Polymers 0.000 description 1
- 239000004831 Hot glue Substances 0.000 description 1
- 241000283984 Rodentia Species 0.000 description 1
- 229910000831 Steel Inorganic materials 0.000 description 1
- 206010044625 Trichorrhexis Diseases 0.000 description 1
- 230000006750 UV protection Effects 0.000 description 1
- 238000005299 abrasion Methods 0.000 description 1
- 239000006096 absorbing agent Substances 0.000 description 1
- 238000004026 adhesive bonding Methods 0.000 description 1
- 239000000956 alloy Substances 0.000 description 1
- 229910045601 alloy Inorganic materials 0.000 description 1
- 239000003963 antioxidant agent Substances 0.000 description 1
- 125000003118 aryl group Chemical group 0.000 description 1
- 230000002238 attenuated effect Effects 0.000 description 1
- 239000011230 binding agent Substances 0.000 description 1
- 230000003139 buffering effect Effects 0.000 description 1
- DQXBYHZEEUGOBF-UHFFFAOYSA-N but-3-enoic acid;ethene Chemical compound C=C.OC(=O)CC=C DQXBYHZEEUGOBF-UHFFFAOYSA-N 0.000 description 1
- 230000008859 change Effects 0.000 description 1
- 238000005229 chemical vapour deposition Methods 0.000 description 1
- 230000001427 coherent effect Effects 0.000 description 1
- 229920001940 conductive polymer Polymers 0.000 description 1
- 229910052802 copper Inorganic materials 0.000 description 1
- 239000010949 copper Substances 0.000 description 1
- 230000008021 deposition Effects 0.000 description 1
- 238000005137 deposition process Methods 0.000 description 1
- 230000006866 deterioration Effects 0.000 description 1
- 238000011161 development Methods 0.000 description 1
- 230000018109 developmental process Effects 0.000 description 1
- 239000003989 dielectric material Substances 0.000 description 1
- 239000002019 doping agent Substances 0.000 description 1
- 239000005038 ethylene vinyl acetate Substances 0.000 description 1
- 230000001747 exhibiting effect Effects 0.000 description 1
- 239000004744 fabric Substances 0.000 description 1
- 239000011151 fibre-reinforced plastic Substances 0.000 description 1
- 238000010438 heat treatment Methods 0.000 description 1
- 239000012535 impurity Substances 0.000 description 1
- 238000009776 industrial production Methods 0.000 description 1
- 238000009413 insulation Methods 0.000 description 1
- 238000005304 joining Methods 0.000 description 1
- 238000005461 lubrication Methods 0.000 description 1
- 238000004519 manufacturing process Methods 0.000 description 1
- 238000003032 molecular docking Methods 0.000 description 1
- 239000004745 nonwoven fabric Substances 0.000 description 1
- 239000002667 nucleating agent Substances 0.000 description 1
- 238000012856 packing Methods 0.000 description 1
- 230000035515 penetration Effects 0.000 description 1
- 230000036314 physical performance Effects 0.000 description 1
- 229920003023 plastic Polymers 0.000 description 1
- 239000004033 plastic Substances 0.000 description 1
- 239000004014 plasticizer Substances 0.000 description 1
- 229920001200 poly(ethylene-vinyl acetate) Polymers 0.000 description 1
- 229920002492 poly(sulfone) Polymers 0.000 description 1
- 229920000642 polymer Polymers 0.000 description 1
- 239000002861 polymer material Substances 0.000 description 1
- 229920000915 polyvinyl chloride Polymers 0.000 description 1
- 229920002620 polyvinyl fluoride Polymers 0.000 description 1
- 229920002981 polyvinylidene fluoride Polymers 0.000 description 1
- XIUFWXXRTPHHDQ-UHFFFAOYSA-N prop-1-ene;1,1,2,2-tetrafluoroethene Chemical group CC=C.FC(F)=C(F)F XIUFWXXRTPHHDQ-UHFFFAOYSA-N 0.000 description 1
- SOGFHWHHBILCSX-UHFFFAOYSA-J prop-2-enoate silicon(4+) Chemical compound [Si+4].[O-]C(=O)C=C.[O-]C(=O)C=C.[O-]C(=O)C=C.[O-]C(=O)C=C SOGFHWHHBILCSX-UHFFFAOYSA-J 0.000 description 1
- 230000005855 radiation Effects 0.000 description 1
- 230000002787 reinforcement Effects 0.000 description 1
- 230000002441 reversible effect Effects 0.000 description 1
- 239000012791 sliding layer Substances 0.000 description 1
- 239000000779 smoke Substances 0.000 description 1
- 239000010959 steel Substances 0.000 description 1
- 238000012360 testing method Methods 0.000 description 1
- 238000012956 testing procedure Methods 0.000 description 1
- 239000012815 thermoplastic material Substances 0.000 description 1
- 230000007704 transition Effects 0.000 description 1
- XLYOFNOQVPJJNP-UHFFFAOYSA-N water Substances O XLYOFNOQVPJJNP-UHFFFAOYSA-N 0.000 description 1
Images
Classifications
-
- G—PHYSICS
- G02—OPTICS
- G02B—OPTICAL ELEMENTS, SYSTEMS OR APPARATUS
- G02B6/00—Light guides; Structural details of arrangements comprising light guides and other optical elements, e.g. couplings
- G02B6/02—Optical fibres with cladding with or without a coating
- G02B6/036—Optical fibres with cladding with or without a coating core or cladding comprising multiple layers
-
- G—PHYSICS
- G02—OPTICS
- G02B—OPTICAL ELEMENTS, SYSTEMS OR APPARATUS
- G02B6/00—Light guides; Structural details of arrangements comprising light guides and other optical elements, e.g. couplings
- G02B6/02—Optical fibres with cladding with or without a coating
- G02B6/036—Optical fibres with cladding with or without a coating core or cladding comprising multiple layers
- G02B6/03616—Optical fibres characterised both by the number of different refractive index layers around the central core segment, i.e. around the innermost high index core layer, and their relative refractive index difference
- G02B6/03638—Optical fibres characterised both by the number of different refractive index layers around the central core segment, i.e. around the innermost high index core layer, and their relative refractive index difference having 3 layers only
- G02B6/0365—Optical fibres characterised both by the number of different refractive index layers around the central core segment, i.e. around the innermost high index core layer, and their relative refractive index difference having 3 layers only arranged - - +
-
- G—PHYSICS
- G02—OPTICS
- G02B—OPTICAL ELEMENTS, SYSTEMS OR APPARATUS
- G02B6/00—Light guides; Structural details of arrangements comprising light guides and other optical elements, e.g. couplings
- G02B6/02—Optical fibres with cladding with or without a coating
- G02B6/028—Optical fibres with cladding with or without a coating with core or cladding having graded refractive index
-
- G—PHYSICS
- G02—OPTICS
- G02B—OPTICAL ELEMENTS, SYSTEMS OR APPARATUS
- G02B6/00—Light guides; Structural details of arrangements comprising light guides and other optical elements, e.g. couplings
- G02B6/02—Optical fibres with cladding with or without a coating
- G02B6/02214—Optical fibres with cladding with or without a coating tailored to obtain the desired dispersion, e.g. dispersion shifted, dispersion flattened
- G02B6/02219—Characterised by the wavelength dispersion properties in the silica low loss window around 1550 nm, i.e. S, C, L and U bands from 1460-1675 nm
- G02B6/02266—Positive dispersion fibres at 1550 nm
-
- G—PHYSICS
- G02—OPTICS
- G02B—OPTICAL ELEMENTS, SYSTEMS OR APPARATUS
- G02B6/00—Light guides; Structural details of arrangements comprising light guides and other optical elements, e.g. couplings
- G02B6/02—Optical fibres with cladding with or without a coating
- G02B6/02395—Glass optical fibre with a protective coating, e.g. two layer polymer coating deposited directly on a silica cladding surface during fibre manufacture
Landscapes
- Physics & Mathematics (AREA)
- General Physics & Mathematics (AREA)
- Optics & Photonics (AREA)
- Optical Fibers, Optical Fiber Cores, And Optical Fiber Bundles (AREA)
- Lasers (AREA)
- Glass Compositions (AREA)
- Optical Communication System (AREA)
- Optical Integrated Circuits (AREA)
- Optical Modulation, Optical Deflection, Nonlinear Optics, Optical Demodulation, Optical Logic Elements (AREA)
- Manufacture, Treatment Of Glass Fibers (AREA)
Abstract
Изобретение относится к области оптоволоконной связи, в частности к волокну, имеющему значительно сниженные потери на изгибе. Техническим результатом изобретения является повышение устойчивости волокна на изгибе. Одномодовое оптическое волокно включает в себя, от центра к периферии, центральную сердцевину, промежуточную оболочку, оболочку, вдавленную канавку и внешнюю оптическую оболочку. Центральная сердцевина имеет радиус r1 и положительную разность показателей преломления Δn1 с оптической оболочкой; промежуточная оболочка имеет радиус r2 и положительную разность показателей преломления Δn2 с оптической оболочкой, причем Δn2 меньше разности показателей преломления Δn1 сердцевины. Оболочка с вдавленными канавками имеет радиус r3 и отрицательную разность показателей преломления Δn3 с оптической оболочкой. Оптическое волокно имеет номинальный диаметр поля моды (MFD) от 8,6 мкм до 9,5 мкм на длине волны 1310 нанометров, и, для длины волны 1550 нанометров, волокно имеет потери на изгибе меньше 0,15 дБ/виток для радиуса кривизны 5 миллиметров и длину волны отсечки кабеля, меньшую или равную 1260 нанометров, измеряемую как длину волны, на которой затухание моды LP11 больше или равно 19,3 дБ после распространения по двадцати двум метрам волокна. Такое волокно можно использовать в сложных условиях эксплуатации, например миниатюрных оптических коробках. 3 н. и 12 з.п. ф-лы, 4 табл., 2 ил.
Description
Область техники
Настоящее изобретение относится к области оптоволоконной связи и, в частности, к волокну, имеющему значительно сниженные потери на изгибе.
Уровень техники
Для оптических волокон, профиль показателя преломления, в общем случае, задан в отношении разности значений между двумя точками на графике функции, связывающей показатель преломления с радиусом волокна. Традиционно, расстояние r до центра волокна откладывается по оси x профиля. Разность между показателем преломления на расстоянии r и показателем преломления внешней оболочки волокна откладывается по оси y (фиг. 2, позиции 21-24). Внешняя оболочка функционирует как оптическая оболочка и имеет, по существу, постоянный показатель преломления; эта оптическая оболочка, в общем случае, состоит из чистого кварца, но также может содержать одну или несколько легирующих примесей. Профиль показателя преломления оптического волокна называется "ступенчатым" профилем, "трапецеидальным" профилем или "треугольным" профилем для графиков, имеющих соответствующие формы ступеньки, трапеции или треугольника. Эти кривые, в общем случае, представляют теоретический или эталонный профиль показателя преломления (т.е. заданный профиль) волокна. Ограничения, связанные с производством волокна, могут приводить к немного другому профилю в фактическом волокне.
Оптическое волокно традиционно состоит из (i) оптической сердцевины, имеющей функцию передачи и, в необязательном порядке, усиления оптического сигнала, и (ii) оптической оболочки, имеющей функцию ограничения оптического сигнала в сердцевине. С этой целью, показатели преломления сердцевины (nc) и оболочки (ng) должны удовлетворять условию nc>ng. Как известно в технике, распространение оптического сигнала в одномодовом оптическом волокне подразделяется на основную моду (известную как LP01), канализируемую в сердцевине, и вторичные моды, канализируемые в пределах определенного радиуса в комплексе сердцевина-оболочка.
Традиционно, ступенчатые волокна, также именуемые волокнами SMF ("одномодовыми волокнами") используются в качестве оптоволоконных линий для оптоволоконных систем связи. Эти волокна демонстрируют хроматическую дисперсию и наклон хроматической дисперсии, соответствующие конкретным стандартам телекоммуникаций.
Для обеспечения совместимости между оптическими системами от разных производителей, Международный союз электросвязи (ITU) установил стандарт для нормального волокна, именуемый ITU-T G.652, которому должно соответствовать стандартное одномодовое волокно (SSMF).
Этот стандарт G.652 для волокон связи рекомендует, помимо прочего, номинальный диапазон от 8,6 микрон до 9,5 микрон для диаметра поля моды (MFD) на длине волны 1310 нанометров, который может варьироваться в пределах ±0,4 мкм вследствие производственных допусков; максимальную длину волны отсечки кабеля 1260 нанометров; диапазон от 1300 нанометров до 1324 нанометров для длины волны компенсации дисперсии (обозначаемой λ0); и максимальный наклон кривой хроматической дисперсии 0,092 пс/(нм2·км) (т.е. пс/нм2/км).
Длина волны отсечки кабеля традиционно измеряется как длина волны, на которой оптический сигнал перестает быть одномодовым после распространения по 22 метрам волокна, например, установленная Подкомиссией 86A Международной электротехнической комиссии в стандарте IEC 60793-1-44.
В большинстве случаев, вторичная мода, наиболее устойчивая к потерям на изгибе, является модой LP11. Таким образом, длина волны отсечки кабеля является длиной волны, за пределами которой мода LP11 испытывает значительное затухание после распространения по 22 метрам волокна. Способ, предложенный согласно стандарту, исходит из того, что оптический сигнал является одномодовым, когда затухание моды LP11 больше или равно 19,3 дБ.
Кроме того, для данного волокна, так называемое значение MAC задается как отношение диаметра поля моды волокна на длине волны 1550 нанометров к эффективной длине волны отсечки λceff. Длина волны отсечки традиционно измеряется как длина волны, на которой оптический сигнал перестает быть одномодовым после распространения по двум метрам волокна, установленная Подкомиссией 86A Международной электротехнической комиссии в стандарте IEC 60793-1-44. MAC представляет собой параметр, позволяющий оценить характеристики волокна, в частности, для нахождения компромисса между диаметром поля моды, эффективной длиной волны отсечки и потерями на изгибе.
В Европейской патентной заявке № 1,845,399 и Европейской патентной заявке № 1,785,754, представлены экспериментальные результаты Заявителя. В этих более ранних заявках установлено соотношение между значением MAC на длине волны 1550 нанометров и потерями на изгибе на длине волны 1625 нанометров при радиусе кривизны 15 миллиметров в стандартном ступенчатом волокне SSMF. Каждая из этих Европейских патентных заявок, таким образом, включена сюда в полном объеме в порядке ссылки. Кроме того, в каждой заявке установлено, что значение MAC влияет на потери на изгибе волокна, и что снижение MAC приводит к снижению этих потерь на изгибе. Уменьшение диаметра поля моды и/или увеличение эффективной длины волны отсечки приводит к снижению значения MAC, но может приводить к несогласованности со стандартом G.652, из-за чего волокно становится коммерчески несовместимым с некоторыми системами связи.
Снижение потерь на изгибе, сохраняя определенные параметры оптической передачи, представляет проблему для применений волокон, предназначенных для оптоволоконных систем, ориентированных на пользователя, именуемых FTTH для проекта «Волокно до дома».
Международный союз электросвязи ITU также установил стандарты, именуемые ITU-T G.657A и ITU-T G.657B, которым должны удовлетворять оптические волокна, предназначенные для применений FTTH, в частности, в отношении устойчивости к потерям на изгибе. Стандарт G.657A налагает ограничения на значения потерь на изгибе, но нацелен, помимо прочего, на сохранение совместимости со стандартом G.652, в частности, в отношении диаметра поля моды MFD и хроматической дисперсии. С другой стороны, стандарт G.657B налагает строгие ограничения на потери на изгибе, в частности, (i) потери на изгибе меньше 0,003 дБ/виток на длине волны 1550 нанометров для радиуса кривизны 15 миллиметров и (ii) потери на изгибе меньше 0,01 дБ/виток на длине волны 1625 нанометров для радиуса кривизны 15 миллиметров.
В Европейской патентной заявке № 1,845,399 и Европейской патентной заявке № 1,785,754 предложены профили волокна, имеющие ограниченные потери на изгибе, соответствующие, в частности, критериям стандартов G.657A и G.657B. Однако профили, описанные в этих европейских патентных заявках, позволяют достигать только ограничений на потери на изгибе, налагаемых стандартом G.657B.
В патенте США № 7,164,835 и опубликованной патентной заявке США № 2007/0147756, которые, таким образом, включены сюда в полном объеме в порядке ссылки, также описаны профили волокна, демонстрирующие ограниченные потери на изгибе. Однако волокна, предложенные в этих патентах США, соответствуют только критериям стандартов G.657A и G.657B, в частности, в отношении диаметра поля моды и хроматической дисперсии.
В настоящее время, для определенных применений, снижение потерь на изгибе играет существенную роль, особенно, когда волокно подлежит креплению скобками или свертыванию в бухты в миниатюрной оптической коробке.
Технология производства волокна с воздушными каналами позволяет достигать высоких характеристик в отношении потерь на изгибе, но эта технология сложна и дорога в реализации и не может использоваться для волокон, предназначенных для систем FTTH, которые являются экономичными системами.
Заявитель продвигает на рынок волокно, нечувствительное к изгибу, имеющее высокую устойчивость к потерям на изгибе под торговой маркой BendBright-XS. Эта линейка волокон полностью согласуется с рекомендациями ITU-T G.652 и G.657B и представляет типичные потери на изгибе 0,3 дБ/виток при радиусе кривизны 5 мм на длине волны 1550 нм. Это обуславливает необходимость в оптическом волокне, имеющем типичную устойчивость к потерям на изгибе, которая значительно выше для радиуса кривизны 5 мм, чем типичный уровень для вышеупомянутого волокна, продвигаемого на рынке. Волокно, отвечающее этому критерию, также должно оставаться совместимым со стандартом G.652 в отношении профиля передачи и, в частности, диаметра поля моды и длины волны отсечки кабеля. Этого заметного снижения потерь на изгибе можно добиться в ущерб более высокой длины волны отсечки, при условии, что (i) мода LP11 непосредственно более высокого порядка испытывает существенное затухание, и (ii) длина волокна, необходимая для того, чтобы затухание моды LP11 достигало 19,3 дБ на длине волны 1260 нанометров, составляет меньше 22 метров, таким образом, гарантируя, что длина волны отсечки кабеля меньше или равна 1260 нм. Волокно, отвечающее этому критерию, также должно оставаться совместимым со стандартом G.657B.
Сущность изобретения
В вышеописанных целях, изобретение включает в себя волокно с центральной сердцевиной, промежуточной оболочкой и оболочкой с вдавленными канавками, окруженной внешней оптической оболочкой. Профиль показателя преломления оптимизирован для снижения потерь на изгибе в десять раз относительно ограничений, налагаемых стандартом G.657B, в то же время, сохраняя диаметр поля моды, совместимый со стандартом G.652, и гарантируя достаточное затухание моды LP11.
В частности, поверхность сердцевины, а также поверхность и объем оболочки с вдавленными канавками, оптимизированы для значительного снижения потерь на изгибе. В контексте изобретения, поверхность сердцевины или поверхность оболочки с вдавленными канавками не должна расширяться геометрически, но должна соответствовать значениям с учетом двух измерений - произведению радиуса и разности показателей преломления. Аналогично, объем оболочки с вдавленными канавками соответствует значению с учетом трех измерений - произведению квадрата радиуса и разности показателей преломления.
Изобретение предлагает, в частности, одномодовое оптическое волокно, включающее в себя, от центра к периферии, центральную сердцевину, промежуточную оболочку, оболочку с вдавленными канавками и внешнюю оптическую оболочку. Центральная сердцевина имеет радиус r1 и положительную разность показателей преломления Δn1 с внешней оптической оболочкой. Промежуточная оболочка имеет радиус r2 и положительную разность показателей преломления Δn2 с внешней оптической оболочкой. Разность Δn2 меньше разности показателей преломления Δn1 сердцевины. Оболочка с вдавленными канавками имеет радиус r3 и отрицательную разность показателей преломления Δn3 с внешней оптической оболочкой. Волокно, отвечающее этому изобретению, также отличается тем, что (i) его номинальный диаметр поля моды (MFD) составляет от 8,6 мкм до 9,5 мкм на длине волны 1310 нанометров и (ii) его потери на изгибе меньше 0,15 дБ/виток для радиуса кривизны 5 миллиметров на длине волны 1550 нанометров, и длина волны отсечки кабеля меньше или равна 1260 нм, причем она измеряется как длина волны, на которой затухание моды LP11 больше или равно 19,3 дБ после распространения по двадцати двум метрам волокна, причем волокно находится либо в прямом состоянии, либо намотано на бобину с радиусом кривизны 140 мм.
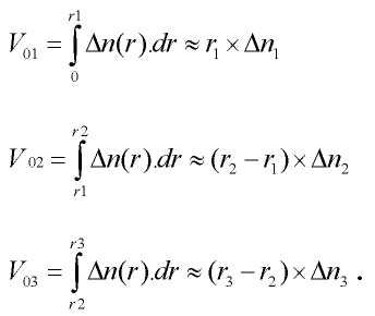
Согласно одному варианту осуществления волокна, отвечающего этому изобретению, поверхностный интеграл по центральной сердцевине (V01), заданный как
составляет от 19,0×10-3 мкм до 23,0×10-3 мкм и, предпочтительно, от 20,0×10-3 мкм до 23,0×10-3 мкм. В еще одном предпочтительном варианте осуществления поверхностный интеграл по центральной сердцевине (V01) составляет от 20,0×10-3 мкм до 21,5×10-3 мкм, поскольку это обеспечивает оптимизацию оптических свойств настоящего волокна.
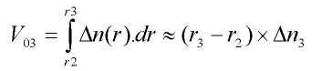
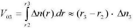
Согласно одному варианту осуществления волокна, отвечающего этому изобретению, поверхностный интеграл по оболочке с вдавленными канавками (V03), заданный как
составляет от -55,0×10-3 мкм до -30,0×10-3 мкм. В еще одном предпочтительном варианте осуществления поверхностный интеграл по оболочке с вдавленными канавками (V03) составляет от -42,5×10-3 мкм до -32,5×10-3 мкм, поскольку это обеспечивает оптимизацию оптических свойств настоящего волокна.
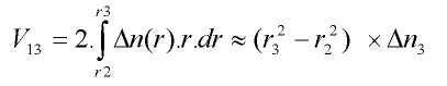
Согласно одному варианту осуществления волокна, отвечающего этому изобретению, объемный интеграл по оболочке с вдавленными канавками (V13), заданный как
составляет от -1200×10-3 мкм2 до -750×10-3 мкм2. В еще одном предпочтительном варианте осуществления объемный интеграл по оболочке с вдавленными канавками (V13) составляет от -1000×10-3 мкм2 до -750×10-3 мкм2, поскольку это обеспечивает оптимизацию оптических свойств настоящего волокна.
В предпочтительных вариантах осуществления, волокно имеет физические свойства и эксплуатационные параметры с повышенной устойчивостью к потерям на изгибе. Например, волокно имеет эффективную длину волны отсечки λceff больше 1300 нанометров, причем эффективная длина волны отсечки измеряется как длина волны, на которой оптический сигнал становится одномодовым после распространения по двум метрам волокна. Волокно имеет, для длины волны 1550 нанометров, потери на изгибе меньшие или равные 0,003 дБ/виток для радиуса кривизны 15 миллиметров, потери на изгибе меньшие или равные 3×10-2 дБ/виток, предпочтительно, 7,5×10-3 дБ/виток для радиуса кривизны 10 миллиметров, потери на изгибе меньшие или равные 0,05 дБ/виток для радиуса кривизны 7,5 миллиметров, и потери на изгибе меньше 0,15 дБ/виток, предпочтительно, меньше 0,10 дБ/виток для радиуса кривизны 5 миллиметров.
Раскрытое здесь волокно также демонстрирует снижение потерь на изгибе на более высоких длинах волны. Например, на длине волны 1625 нанометров, волокно имеет потери на изгибе меньше 10-2 дБ/виток, предпочтительно, меньше 1,5 × 10-3 дБ/виток для радиуса кривизны 15 миллиметров, потери на изгибе меньшие или равные 0,1 дБ/виток, предпочтительно, меньшие или равные 25×10-3 дБ/виток для радиуса кривизны 10 миллиметров, потери на изгибе меньшие или равные 0,15 дБ/виток, предпочтительно, меньшие или равные 0.08 дБ/виток для радиуса кривизны 7.5 миллиметров, и потери на изгибе меньшие или равные 0,25 дБ/виток для радиуса кривизны 5 миллиметров. Соответственно, в предпочтительном варианте осуществления, волокно имеет длину волны отсечки от 1240 нанометров до 1310 нанометров, причем длина волны отсечки измеряется как длина волны, на которой оптический сигнал перестает быть одномодовым после распространения по пяти метрам волокна. Длина волны отсечки отличается от длины волны отсечки кабеля, измеряемой как длина волны, на которой затухание моды LP11 больше или равно 19,3 дБ после распространения по 22 метрам волокна. Волокно имеет длину волны отсечки кабеля меньшую или равную 1260 нанометрам.
Четвертое определение длины волны отсечки, рассматриваемое здесь, представляет собой теоретическую длину волны отсечки, заданную как длину волны, за пределами которой мода LP11 распространяется в режиме утечки. В одном варианте осуществления, волокно имеет теоретическую длину волны отсечки меньшую или равную 1250 нанометрам. Волокно имеет затухание моды LP11 больше 5 дБ после распространения по 22 метрам волокна на длине волны 1260 нанометров.
Вышеописанные эксплуатационные параметры вытекают из предпочтительных физических свойств волокна. В одном варианте осуществления, центральная сердцевина волокна имеет радиус от 3,8 мкм до 4,35 мкм; промежуточная оболочка имеет радиус от 8,5 мкм до 9,7 мкм; оболочка с вдавленными канавками имеет радиус от 13,5 мкм до 16 мкм, который может быть меньше или равен 15 мкм. Центральная сердцевина, предпочтительно, имеет разность показателей преломления (Δn1) с внешней оптической оболочкой от 4,9×10-3 до 5,7×10-3.
Как отмечено выше, профиль показателя преломления волокна графически представлен в отношении разности между значениями показателя преломления в точках на радиусе волокна и внешней оптической оболочки. Промежуточная оболочка имеет разность показателей преломления с оптической оболочкой от -0,1×10-3 до 0,6×10-3. Оболочка с вдавленными канавками имеет разность показателей преломления с оптической оболочкой от -10,0×10-3 до -5,0×10-3. Волокно имеет длину волны нулевой хроматической дисперсии от 1300 нанометров до 1324 нанометров; волокно имеет значение коэффициента хроматической дисперсии на длине волны нулевой хроматической дисперсии меньше 0,092 пс/(нм2·км).
Изобретение также относится к оптической коробке, принимающей, по меньшей мере, один участок раскрытого здесь волокна. В такой коробке, волокно может располагаться с радиусом кривизны меньше 15 миллиметров, который может составлять порядка 5 миллиметров. Изобретение также относится к оптоволоконной системе, подведенной к дому абонента (FTTH), содержащей, по меньшей мере, один участок оптического волокна, отвечающего изобретению.
Вышеизложенные, а также другие характеристики и преимущества настоящего изобретения и порядок их реализации дополнительно раскрыты в нижеследующем подробном описании и прилагаемых чертежах.
Краткое описание чертежей
Фиг. 1 - вид в разрезе одномодового оптического волокна со слоями оболочки, отстоящими от центра на соответствующие радиусы.
Фиг. 2 - номинальный профиль показателя преломления иллюстративного одномодового оптического волокна, показанного на фиг. 1 согласно настоящему изобретению.
Подробное описание
Волокно (10), отвечающее изобретению, имеет центральную сердцевину (11), промежуточную оболочку (12) и оболочку (13) с вдавленными канавками. В целях настоящей заявки и без ограничения объема изобретения, оболочка с вдавленными канавками представляет собой радиальный участок волокна (10), показатель преломления которого меньше показателя преломления внешней оптической оболочки (14). Обычно центральная сердцевина (11), промежуточная оболочка (12) и оболочка (13) с вдавленными канавками формируются путем химического осаждения из паровой фазы в кварцевой трубке. Внешняя оптическая оболочка (14) включает в себя кварцевую трубку и внешнюю оболочку на трубке. В предпочтительных вариантах осуществления, внешняя оболочка, в общем случае, выполнена из природного или легированного кварца, но также может быть получена любым другим методом осаждения ((аксиального осаждения из паровой фазы ("VAD") или внешнего осаждения из паровой фазы ("OVD")).
На фиг. 2 показан профиль показателя преломления для волокна передачи (10), показанного на фиг. 1. Профиль, представленный на фиг. 2, является заданным профилем, т.е. представляет теоретический профиль волокна, но волокно, в действительности полученное после вытягивания волокна из заготовки, может иметь немного другой профиль.
Оптическое волокно (10) получают известным способом путем вытягивания заготовки. В порядке примера, заготовка может представлять собой трубку из стекла очень высокого качества (чистого кварца), из которой, в конце концов, образуется часть внешней оптической оболочки (14). Внешняя оптическая оболочка (14) окружает центральную сердцевину (11) и внутренние оболочки (12, 13) волокна (10). Затем эту трубку покрывают внешним покрытием для увеличения ее диаметра прежде, чем перейти к операции вытягивания волокна в колонне вытягивания волокна. Для создания заготовки, трубку, в общем случае, устанавливают горизонтально и удерживают на обоих концах стеклянными полосками на токарном станке; затем трубку вращают и подвергают локальному нагреву для процесса осаждения, определяющего состав заготовки. Этот состав определяет оптические характеристики будущего волокна.
Волокно включает в себя центральную сердцевину (11), имеющую разность показателей преломления Δn1 с внешней оболочкой (14), функционирующей как оптическая оболочка. Волокно (10) дополнительно включает в себя промежуточную оболочку (12), имеющую разность показателей преломления Δn2 с внешней оптической оболочкой (14) и оболочку (13) с вдавленными канавками, имеющую разность показателей преломления Δn3 с внешней оптической оболочкой (14). Показатели преломления в центральной сердцевине (11), промежуточной оболочке (12) и оболочке (13) с вдавленными канавками, по существу, постоянны на протяжении их соответствующей ширины, как указано на фиг. 2. На фиг. 1 показано, что ширина сердцевины (11) определяется ее радиусом r1, и ширина оболочек определяется их соответствующими внешними радиусами, r2 и r3. Внешняя оптическая оболочка обозначена как r4.
Для задания заданного профиля показателя преломления для оптического волокна, значение показателя преломления внешней оптической оболочки, в общем случае, считается опорным значением (ng). Значения показателя преломления центральной сердцевины (11), промежуточной оболочки (12) и оболочки (13) с вдавленными канавками затем выражаются на фиг. 2 как разности показателей преломления Δn1,2,3. В общем случае, внешняя оптическая оболочка (14) состоит из кварца, но эту оболочку можно легировать для увеличения или уменьшения ее показателя преломления - например, для изменения характеристик распространения сигнала.
Каждую секцию профиля волокна, показанного на фиг. 2 (21-24) также можно задать на основании интегралов, которые связывают изменения показателя преломления с радиусом каждой секции волокна (10). Таким образом, можно задать три поверхностных интеграла для волокна (10), отвечающего изобретению, представляющие поверхность сердцевины V01, поверхность промежуточной оболочки V02 и поверхность оболочки с вдавленными канавками V03. Выражение "поверхностный" не следует понимать в геометрическом смысле, но оно соответствует значению с учетом двух измерений. Эти три поверхностных интеграла можно выразить следующим образом:
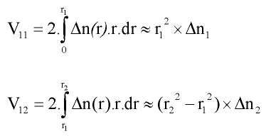
Аналогично, можно задать три объемных интеграла для волокна (10), отвечающего изобретению, представляющие объем сердцевины V11, объем промежуточной оболочки V12 и объем оболочки с вдавленными канавками V13. Выражение "объемный" не следует понимать в геометрическом смысле, но оно соответствует значению с учетом трех измерений. Эти три объемных интеграла можно выразить следующим образом:
В Таблице I (см. ниже) показано 9 примеров профилей волокна согласно предпочтительным вариантам осуществления изобретения по сравнению с тремя профилями волокна SSMF и одним профилем волокна, соответствующим стандартам G.657A и G.657B (обозначенным как "BIF" для волокна, нечувствительного к изгибу) а также 13 сравнительных примеров. Заявитель продвигает на рынок волокно, нечувствительное к изгибу, имеющее высокую устойчивость к потерям на изгибе под торговой маркой BendBright. Значения в таблицах соответствуют заданным профилям для каждого волокна.
Все профили также можно приспособить для обеспечения уровня многолучевых помех (MPI) ниже -30 дБ, что гарантирует полную совместимость с любыми надлежащим образом установленными сетями, в том числе Сетью доступа и Волокно к дому. MPI определена в работе W. Zheng и др., "Measurement and System Impact of Multipath Interference From Dispersion Compensating Fiber Modules", IEEE Transactions on Instrumentation and Measurement, 2004, 53, стр. 15-23) и в ее конкретных рассмотрениях измерений, детализированных в работе S. Ramachandran и др., "Measurement of Multipath Interference in the Coherent Crosstalk Regime", IEEE Photonics Technology Letters, 2003, 15, стр. 1171-1173.
В первом столбце Таблицы I указаны обозначения всех примеров (Ex для примера согласно изобретению и C.Ex для сравнительных примеров); в следующих трех столбцах приведены значения радиусов сердцевины (11), промежуточной оболочки (12), и оболочки (13) с вдавленными канавками, соответственно. В следующих трех столбцах приведены соответствующие значения разностей показателей преломления с внешней оптической оболочкой (14). Значения показателя преломления измеряются на длине волны 633 нанометров. В Таблице I также показаны значения заданных выше поверхностного интеграла и объемного интеграла сердцевины (11), промежуточной оболочки (12) и оболочки (13) с вдавленными канавками.
| Таблица I | ||||||||||||
| r1 | r2 | r3 | Δn1 | Δn2 | Δn3 | V01 | V02 | V03 | V11 | V12 | V13 | |
| (мкм) | (мкм) | (мкм) | [10-3] | [10-3] | [10-3] | (мкм) [10-3] |
(мкм) [10-3] |
(мкм) [10-3] |
(мкм2) [10-3] |
(мкм2) [10-3] |
(мкм2) [10-3] |
|
| BIF | 3,93 | 9,38 | 14,72 | 5,26 | 0,13 | -5,01 | 20,7 | 0,7 | -26,8 | 81,1 | 9,4 | -645 |
| SSMF1 | 4,35 | 13,92 | 5,00 | -0,20 | 21,8 | -1,9 | 0,0 | 94,6 | -35,0 | 0 | ||
| SSMF2 | 4,51 | 13,92 | 5,00 | -0,20 | 22,5 | -1,9 | 0,0 | 101,5 | -34,7 | 0 | ||
| SSMF3 | 4,55 | 13,92 | 5,24 | -0,20 | 23,8 | -1,9 | 0,0 | 108,4 | -34,6 | 0 | ||
| C.Ex1 | 3,82 | 9,01 | 13,55 | 5,67 | 0,57 | -9,63 | 21,7 | 2,9 | -43,7 | 82,8 | 37,7 | -986 |
| C.Ex2 | 3,96 | 8,61 | 13,86 | 5,58 | 0,31 | -7,87 | 22,1 | 1,4 | -41,3 | 87,6 | 17,9 | -928 |
| C.Ex3 | 3,92 | 8,78 | 13,84 | 5,55 | 0,32 | -8,75 | 21,7 | 1,5 | -44,3 | 85,2 | 19,7 | -1002 |
| C.Ex4 | 3,88 | 9,09 | 14,35 | 5,62 | 0,34 | -7,84 | 21,8 | 1,8 | -41,2 | 84,5 | 23,1 | -965 |
| C.Ex5 | 3,93 | 9,30 | 14,48 | 5,30 | 0,51 | -7,76 | 20,8 | 2,7 | -40,1 | 81,7 | 36,0 | -955 |
| C.Ex6 | 3,93 | 9,28 | 14,47 | 5,31 | 0,53 | -7,51 | 20,9 | 2,8 | -39,0 | 82,0 | 37,5 | -926 |
| C.Ex7 | 3,93 | 8,50 | 15,00 | 5,48 | 0,50 | -5,00 | 21,5 | 2,3 | -32,5 | 84,6 | 28,4 | -764 |
| C.Ex8 | 3,93 | 9,25 | 13,65 | 5,37 | 0,50 | -9,90 | 21,1 | 2,7 | -43,5 | 83,0 | 35,1 | -997 |
| C.Ex9 | 3,93 | 8,50 | 15,50 | 5,33 | 0,51 | -5,00 | 21,0 | 2,3 | -35,0 | 82,4 | 28,8 | -840 |
| C.Ex10 | 3,93 | 9,27 | 13,65 | 5,31 | 0,52 | -9,80 | 20,9 | 2,8 | -42,9 | 82,1 | 36,9 | -983 |
| C.Ex11 | 3,94 | 9,25 | 13,54 | 5,30 | 0,56 | -9,87 | 20,9 | 3,0 | -42,3 | 82,3 | 39,2 | -964 |
| C.Ex12 | 3,95 | 9,29 | 13,91 | 5,30 | 0,50 | -8,93 | 20,9 | 2,7 | -41,2 | 82,6 | 35,4 | -957 |
| C.Ex13 | 3,93 | 8,50 | 15,50 | 5,32 | 0,57 | -5,00 | 20,9 | 2,6 | -35,0 | 82,1 | 32,2 | -840 |
| Ex1 | 3,90 | 9,23 | 14,34 | 4,94 | 0,35 | -7,15 | 19,3 | 1,9 | -36,5 | 75,1 | 24,5 | -861 |
| Ex2 | 3,91 | 9,23 | 14,34 | 5,14 | 0,10 | -7,15 | 20,1 | 0,5 | -36,5 | 78,6 | 7,0 | -861 |
| Ex3 | 3,91 | 9,23 | 14,81 | 5,14 | 0,10 | -7,15 | 20,1 | 0,5 | -39,9 | 78,6 | 7,0 | -959 |
| Ex4 | 3,91 | 9,23 | 14,34 | 5,29 | -0,06 | -7,15 | 20,7 | -0,3 | -36,5 | 80,9 | -4,2 | -861 |
| Ex5 | 3,91 | 9,23 | 14,81 | 5,29 | -0,06 | -7,15 | 20,7 | -0,3 | -39,9 | 80,9 | -4,2 | -959 |
| Ex6 | 3,93 | 9,26 | 13,53 | 5,34 | 0,51 | -9,74 | 21,0 | 2,7 | -41,6 | 82,3 | 36,0 | -949 |
| Ex7 | 3,93 | 9,25 | 13,53 | 5,31 | 0,50 | -9,93 | 20,8 | 2,7 | -42,5 | 81,9 | 35,3 | -967 |
| Ex8 | 3,94 | 8,50 | 15,00 | 5,43 | 0,50 | -5,00 | 21,4 | 2,3 | -32,5 | 84,3 | 28,6 | -764 |
| Ex9 | 3,94 | 9,26 | 13,50 | 5,33 | 0,51 | -9,88 | 21,0 | 2,7 | -41,9 | 82,8 | 35,5 | -954 |
Волокно (10) согласно варианту осуществления, представленному на фиг. 1 и 2, отвечающее изобретению, представляет собой ступенчатое волокно, содержащее центральную сердцевину (11), промежуточную оболочку (12) и оболочку (13) с вдавленными канавками. Из Таблицы I следует, что центральная сердцевина (11) имеет радиус r1 от 3,8 мкм до 4,35 мкм и, предпочтительно, от 3,8 мкм до 4,05 мкм, т.е. она уже, чем сердцевина волокна SSMF. Волокно (10) имеет разность показателей преломления Δn1 (21) с внешней оптической оболочкой (14) от 4,9×10-3 до 5,7×10-3, т.е. порядка или больше, чем волокно SSMF. Поверхностный интеграл сердцевины V01 составляет от 19,0×10-3 мкм до 23,0×10-3 мкм, и объемный интеграл сердцевины V11 составляет от 75×10-3 мкм2 до 91×10-3 мкм2.
Из Таблицы I также следует, что волокно, отвечающее изобретению, имеет оболочку (13) с вдавленными канавками. Оболочка (13) с вдавленными канавками имеет большой объем и позволяет значительно ограничивать потери на изгибе. Таблица I, таким образом, показывает, что оболочка с (13) вдавленными канавками имеет радиус r3 от 13,5 мкм и 16 мкм и разность показателей преломления Δn3 (23) с внешней оптической оболочкой (14) от -10,0×10-3 до -5,0×10-3. Таблица I также показывает, что поверхностный интеграл оболочки с вдавленными канавками V03, заданный выше, составляет от -55,0×10-3 мкм до -30,0×10-3 мкм, и объемный интеграл оболочки с вдавленными канавками V13, заданный выше, составляет от -1200×10-3 мкм2 до -750×10-3 мкм2.
Согласно предпочтительному варианту осуществления, радиус оболочки с вдавленными канавками r3 можно ограничить до 15 мкм, чтобы дополнительно сократить стоимость производства волокна, и все волокна, отвечающие Примерам, согласуются с этим. Фактически, оболочку (13) с вдавленными канавками можно создавать посредством усиленного плазмой химического осаждения из паровой фазы (PCVD), что позволяет включать большое количество фтора в кварц для формирования оболочек с глубоко вдавленными канавками. Однако часть волокна (10), соответствующая трубке и осаждению PCVD является наиболее дорогостоящей; поэтому желательно как можно сильнее ограничить эту часть. Можно также предусмотреть создание оболочки (13) с вдавленными канавками путем включения микроканалов или микропузырьков вместо легирования фтором. Однако в условиях промышленного производства легче управлять легированием фтором, чем включением микропузырьков.
Оболочка (13) с вдавленными канавками, отвечающая заданным выше поверхностному и объемному критериям, позволяет достичь хорошего компромисса между значительным снижением потерь на изгибе по сравнению с существующими волокнами и достаточно согласованным режимом утечки моды LP11 на длине волны 1260 нанометров.
Из Таблицы I также следует, что предпочтительный вариант осуществления волокна имеет промежуточную оболочку (12) между центральной сердцевиной (11) и оболочкой (13) с вдавленными канавками. Эта промежуточная оболочка (12) позволяет ограничивать влияние оболочки с вдавленными канавками (13) на распространение оптического сигнала в сердцевине. Таблица I показывает, что промежуточная оболочка (12) имеет радиус r2 от 8,5 мкм до 9,7 мкм и разность показателей преломления Δn2 (22) с оптической оболочкой от -0,1×10-3 до 0,6×10-3. Таблица I показывает, что поверхностный интеграл промежуточной оболочки V02, заданный выше, составляет от -0,5×10-3 мкм до 3,0×10-3 мкм. Объемный интеграл промежуточной оболочки V12, заданный выше, составляет от -6×10-3 мкм2 до 40×10-3 мкм2.
Центральная сердцевина (11) волокна (10), отвечающего изобретению, оптимизирована, совместно с промежуточной оболочкой (12), для обеспечения параметров оптической передачи в волокне в соответствии со стандартами G.652 и G657A, в частности, в отношении диаметра поля моды и хроматической дисперсии. Это также помогает гарантировать совместимость с волокнами других оптических систем.
В Таблице II (см. ниже) приведены характеристики оптической передачи для волокон, отвечающих изобретению. В первом столбце повторяются обозначения, указанные в Таблице I. Следующие столбцы обеспечивают, для каждого профиля волокна, значения диаметра поля моды (MFD) для длины волны 1310 нанометров и 1550 нанометров, длины волны нулевой дисперсии (ZDW) и наклона нулевой дисперсии (ZDS).
| ТАБЛИЦА II | ||||
| MFD1310 (мкм) |
MFD1550 (мкм) |
ZDW (нм) |
ZDS пс/(нм2·км) |
|
| BIF | 8,80 | 9,90 | 1320 | 0,0878 |
| SSMF1 | 9,14 | 10,31 | 1314 | 0,0855 |
| SSMF2 | 9,27 | 10,39 | 1309 | 0,0871 |
| SSMF3 | 9,18 | 10,25 | 1306 | 0,088 |
| C.Ex1 | 8,67 | 9,68 | 1317 | 0,0908 |
| C.Ex2 | 8,65 | 9,59 | 1310 | 0,0917 |
| C.Ex3 | 8,66 | 9,62 | 1312 | 0,0914 |
| C.Ex4 | 8,64 | 9,65 | 1317 | 0,0897 |
| C.Ex5 | 8,95 | 10,01 | 1317 | 0,0905 |
| C.Ex6 | 8,96 | 10,02 | 1317 | 0,0905 |
| C.Ex7 | 8,80 | 9,81 | 1314 | 0,0906 |
| C.Ex8 | 8,89 | 9,91 | 1315 | 0,0913 |
| C.Ex9 | 8,88 | 9,91 | 1314 | 0,0909 |
| C.Ex10 | 8,94 | 9,97 | 1315 | 0,0914 |
| C.Ex11 | 8,97 | 10,00 | 1314 | 0,0917 |
| C.Ex12 | 8,95 | 9,99 | 1315 | 0,0911 |
| C.Ex13 | 8,92 | 9,95 | 1314 | 0,0911 |
| Ex1 | 9,00 | 10,10 | 1318 | 0,0906 |
| Ex2 | 8,75 | 9,81 | 1318 | 0,0895 |
| Ex3 | 8,75 | 9,81 | 1318 | 0,0895 |
| Ex4 | 8,60 | 9,64 | 1318 | 0,0888 |
| Ex5 | 8,60 | 9,64 | 1318 | 0,0888 |
| Ex6 | 8,91 | 9,94 | 1315 | 0,0913 |
| Ex7 | 8,92 | 9,95 | 1315 | 0,0914 |
| Ex8 | 8,83 | 9,84 | 1313 | 0,0908 |
| Ex9 | 8,93 | 9,95 | 1314 | 0,0915 |
Из Таблицы II следует, что волокно (10), отвечающее изобретению, совместимо с волокнами, соответствующими критериям стандарта G.652. В частности, раскрытое здесь волокно имеет диаметр поля моды MFD в стандартном диапазоне значений от 8,6 мкм до 9,5 мкм на длине волны 1310 нанометров, длину волны нулевой дисперсии от 1300 нанометров до 1324 нанометров, и наклон нулевой дисперсии меньше 0,092 пс/(нм2·км). Каждое из этих значений согласуется со стандартом G.652.
С другой стороны, согласно Таблице III (см. ниже), волокно имеет эффективную длину волны отсечки λceff (или длину волны отсечки стандартного волокна, третий столбец Таблицы III) больше 1300 нанометров или даже больше 1350 нанометров. Как рассмотрено выше, эффективная длина волны отсечки измеряется как длина волны, на которой оптический сигнал перестает быть одномодовым после распространения по двум метрам волокна, установленная Подкомиссией 86A Международной электротехнической комиссии в стандарте IEC 60793-1-44. Это увеличение эффективной длины волны отсечки значение обеспечивает значение длины волны отсечки кабеля λcc (или длина волны отсечки стандартного кабеля, пятый столбец Таблицы III) от 1200 нанометров до 1260 нанометров. Длина волны отсечки кабеля измеряется как длина волны, на которой оптический сигнал перестает быть одномодовым после распространения по 22 метрам волокна, установленная Подкомиссией 86A Международной электротехнической комиссии в стандарте IEC 60793-1-44. Оптический сигнал является одномодовым, когда затухание моды LP11 больше или равно 19,3 дБ. Стандарты G.652 и G.657 предусматривают максимальное значение 1260 нанометров для длины волны отсечки кабеля.
Одной целью раскрытых здесь разработок является создание волокон, которые можно использовать на всех диапазонах связи, используемых в оптических системах, т.е. волокон, которые можно использовать в одномодовом распространении, от исходного диапазона (OB), который простирается от 1260 нанометров до 1360 нанометров, и т.д. до диапазона сверхдлинных волны (UL), свыше 1625 нанометров. Низкая эффективная длина волны отсечки позволяет гарантировать возможность использования волокна на всех имеющихся диапазонах.
Однако цифры, приведенные в Таблице III (см. ниже), показывают, что мода LP11 непосредственно более высокого порядка распространяется в режиме утечки за пределами длины волны 1260 нанометров. Поэтому раскрытое здесь волокно можно использовать в одномодовой передаче в исходном диапазоне (OB: от 1260 нанометров до 1360 нанометров).
В Таблице III (см. ниже) приведено несколько значений длины волны отсечки для волокон, отвечающих изобретению. В первом столбце Таблицы III повторяются обозначения, указанные в Таблице I.
В столбце "Теоретическая длина волны отсечки волокна" приведены теоретические значения длины волны отсечки, которые соответствуют длине волны перехода между канализированным распространением моды LP11 и распространением этой моды LP11 в режиме утечки. Для рабочих длин волны за пределами этой эффективной длины волны отсечки, мода LP11 распространяется в режиме утечки.
Столбец "Длина волны отсечки стандартного волокна" соответствует эффективной длине волны отсечки λceff, установленной Подкомиссией 86A Международной электротехнической комиссии в стандарте IEC 60793-1-44.
Столбец "Длина волны отсечки 5 м волокна" соответствует длине волны отсечки, измеряемой как длина волны, на которой оптический сигнал перестает быть многомодовым после распространения по пяти метрам волокна. Поэтому это значение соответствует эффективной длине волны отсечки, измеренной после распространения по пяти метрам волокна, а не по 2 метрам волокна.
Столбец "Длина волны отсечки стандартного кабеля" соответствует длине волны отсечки кабеля λcc, установленной Подкомиссией 86A Международной электротехнической комиссии в стандарте IEC 60793-1-44. Согласно рекомендациям Подкомиссии 86A Международной электротехнической комиссии в стандарте IEC 60793-1-44, длина волны отсечки кабеля λcc определяется путем расположения волокна в двух петлях радиусом 40 миллиметров и путем размещения оставшегося волокна (т.е. 21,5 метров волокна) на бобине радиусом 140 миллиметров. Эта длина волны отсечки должна быть равна 1260 нм или менее согласно настоящему изобретению. Сравнительные примеры 7 согласуются с этим требованием, но имеют чуть более высокое значение относительно указанной длины волны отсечки прямого кабеля и поэтому выпадают из объема этого изобретения.
Столбец "Длина волны отсечки прямого кабеля" соответствует длине волны отсечки кабеля путем расположения волокна в двух петлях, каждая из которых имеет радиус 40 миллиметров, и путем размещения оставшегося волокна (т.е. 21,5 метров волокна) практически по прямой линии. Эта длина волны отсечки должна быть равна 1260 нм или менее согласно настоящему изобретению. Сравнительные примеры 9, 10 и 12 согласуются с этим требованием, но имеют чуть более высокое значение относительно длины волны отсечки стандартного кабеля и поэтому выпадают из объема этого изобретения. Все сравнительные примеры выпадают из объема этого изобретения, поскольку они представляют длину волны отсечки стандартного кабеля, немного превышающую 1260 нм или длину волны отсечки прямого кабеля, немного превышающую 1260 нм.
Столбец "LP11 LL @1260 после 22 м" указывает потери на утечку моды LP11 после распространения по 22 метрам практически прямого волокна.
Столбец "Длина - 19,3 дБ LP11 LL @1260 нм" указывает длину волокна, необходимую для достижения величины потерь на утечку моды LP11, равной 19,3 дБ, когда волокно остается практически прямым. Это указывает, в пределах какого расстояния волокно, размещенное практически по прямой линии, является одномодовым применительно к стандартам G.652 и G.657.
| Таблица III | |||||||
| Длина волны отсечки волокна (теория) | Длина волны отсечки стандартного волокна | Длина волны отсечки 5-м волокна | Длина волны отсечки стандартного кабеля | Длина волны отсечки прямого кабеля | LP11 LL @1260 нм после 22 м | Длина - 19,3 дБ LP11 LL @1260 нм | |
| (нм) | (нм) | (нм) | (нм) | (нм) | (дБ) | (м) | |
| BIF | 1197 | 1270 | 1234 | 1196 | 1208 | 180 | 2 |
| SSMF 1 | 1287 | 1226 | 1226 | 1151 | 1151 | 2 | 212 |
| SSMF 2 | 1334 | 1267 | 1267 | 1188 | 1188 | 0 | >1000 |
| SSMF 3 | 1381 | 1311 | 1311 | 1231 | 1231 | 0 | >1000 |
| C.Ex 1 | 1250 | 1379 | 1321 | 1271 | 1268 | 10 | 41 |
| C.Ex 2 | 1243 | 1383 | 1323 | 1271 | 1266 | 16 | 27 |
| C.Ex 3 | 1232 | 1397 | 1333 | 1271 | 1265 | 16 | 26 |
| C.Ex 4 | 1239 | 1392 | 1331 | 1272 | 1267 | 15 | 28 |
| C.Ex 5 | 1242 | 1382 | 1322 | 1268 | 1264 | 18 | 24 |
| C.Ex 6 | 1247 | 1376 | 1319 | 1267 | 1266 | 15 | 28 |
| C.Ex 7 | 1249 | 1351 | 1302 | 1259 | 1262 | 18 | 23 |
| C.Ex 8 | 1246 | 1378 | 1319 | 1268 | 1264 | 17 | 25 |
| C.Ex 9 | 1235 | 1373 | 1317 | 1264 | 1260 | 18 | 24 |
| C.Ex 10 | 1243 | 1371 | 1313 | 1263 | 1260 | 22 | 20 |
| C.Ex 11 | 1248 | 1367 | 1310 | 1263 | 1263 | 17 | 25 |
| C.Ex 12 | 1244 | 1371 | 1314 | 1264 | 1260 | 20 | 21 |
| C.Ex 13 | 1240 | 1375 | 1319 | 1267 | 1263 | 17 | 24 |
| Ex1 | 1175 | 1316 | 1255 | 1204 | 1201 | 88 | 5 |
| Ex2 | 1171 | 1316 | 1246 | 1205 | 1198 | 83 | 5 |
| Ex3 | 1171 | 1366 | 1271 | 1225 | 1205 | 44 | 10 |
| Ex4 | 1171 | 1316 | 1244 | 1207 | 1195 | 75 | 6 |
| Ex5 | 1171 | 1366 | 1269 | 1226 | 1200 | 40 | 11 |
| Ex9 | 1243 | 1360 | 1304 | 1257 | 1258 | 26 | 16 |
| Ex7 | 1238 | 1362 | 1305 | 1256 | 1255 | 24 | 17 |
| Ex8 | 1247 | 1350 | 1300 | 1257 | 1260 | 22 | 19 |
| Ex9 | 1245 | 1362 | 1306 | 1259 | 1259 | 24 | 18 |
Из Таблицы III следует, что стандартная эффективная длина волны отсечки λceff, т.е. измеренная согласно рекомендациям Подкомиссии 86A Международной электротехнической комиссии в стандарте IEC 60793-1-44, больше 1300 нм. Аналогично, из Таблицы III следует, что длина волны отсечки стандартного кабеля λcc, т.е. измеренная согласно рекомендациям Подкомиссии 86A Международной электротехнической комиссии в стандарте IEC 60793-1-44 IEC 60793-44, составляет от 1200 нанометров до 1260 нанометров, т.е. согласуется с ограничением в 1260 нанометров, налагаемым стандартами G.652 и G.657.
Из Таблицы III следует, что мода LP11 испытывает сильное затухание за пределами длины волны 1260 нанометров. Фактически, "теоретическая" длина волны отсечки волокна меньше или равна 1250 нанометров. Таким образом, мода LP11 более высокого порядка распространяется в режиме утечки в исходном диапазоне, и только основная мода остается канализированной в волокне, отвечающем изобретению, за пределами длины волны 1260 нанометров.
Аналогично, из Таблицы III следует, что длина волны отсечки волокна значительно снижается лишь после 5 метров распространения в волокне. Таким образом, длина волны отсечки, измеряемая как длина волны, на которой оптический сигнал перестает быть одномодовым после распространения по пяти метрам волокна, составляет от 1240 нанометров до 1310 нанометров для волокна, отвечающего изобретению.
Кроме того, из Таблицы III отчетливо следует, что мода LP11 уже сильно ослаблена после 22 метров распространения. Заметим, в частности, что затухание моды LP11 в волокне (10), отвечающем этому изобретению, больше затухания моды LP11 в волокне SSMF, когда волокно размещено практически по прямой линии. Фактически, в волокне SSMF существуют изгибы, обуславливающие сильное затухание моды LP11. Таким образом, волокно имеет затухание моды LP11 больше 5 дБ после 22 метров распространения в прямом волокне на длине волны 1260 нанометров.
Кроме того, Таблица III также показывает, что затухание, по меньшей мере, 19,3 дБ моды LP11 достигается сравнительно быстро, пройдя меньше 22 метров, в соответствии с длиной волны отсечки кабеля, предписанной в рекомендации.
Кроме того, увеличение эффективной длины волны отсечки позволяет увеличить заданное выше значение MAC и, следовательно, снизить потери на изгибе.
В Таблице IV (см. ниже) приведены значения потерь на изгибе для раскрытых здесь предпочтительных вариантов осуществления волокон. В первом столбце Таблицы IV повторяются обозначения, указанные в Таблице I. В следующих четырех столбцах указаны значения потерь на изгибе PPC для соответствующих радиусов кривизны 15 миллиметров, 10 миллиметров, 7,5 миллиметров и 5 миллиметров на длине волны 1550 нанометров. В следующих четырех столбцах указаны значения потерь на изгибе PPC для соответствующих радиусов кривизны 15 миллиметров, 10 миллиметров, 7,5 миллиметров и 5 миллиметров на длине волны 1625 нанометров.
В последнем столбце показан коэффициент добротности FOM, представляющий, по порядку величины, снижение потерь на изгибе для волокон, отвечающих этому изобретению, относительно ограничений, налагаемых стандартом G.657B. Значение FOM, приведенное в Таблице IV, таким образом, задается как среднее значение отношений между верхними границами, определяемыми стандартом G.657B, и потерями на изгибе в волокнах, отвечающих изобретению, для каждого измеренного радиуса кривизны. Все примеры представляют FOM, меньший или равный 1, и это означает, что все они согласуются с рекомендациями G.657B относительно потерь на изгибе.
В первой строке Таблицы IV приведены предельные значения потерь на изгибе, определяемые стандартом G.657B для каждого радиуса кривизны и для длин волны 1550 нанометров и 1625 нанометров.
| ТАБЛИЦА IV | |||||||||
| r = 15 мм | r = 10 мм | r = 7,5 мм | r = 5 мм | r = 15 мм | r = 10 мм | r = 7,5 мм | r = 5 мм | FOM | |
| PPC @1550 нм (дБ/виток) | PPC @1625 нм (дБ/виток) | ||||||||
| G657B | 3E-03 | 1E-01 | 5E-01 | 1E-02 | 2E-01 | 1E + 00 | 1,00 | ||
| BIF | 1,3E-03 | 2,9E-02 | 1,0E-01 | 3,3E-01 | 7,0E-03 | 8,4E-02 | 2,3E-01 | 6,3E-01 | 0,70 |
| SSMF1 | 1,5E-02 | 6,0E-01 | 3,4E+00 | 1,7E+01 | 7,5E-02 | 1,7E+00 | 6,9E+00 | 2,7E+01 | 8,44 |
| SSMF2 | 6,3E-03 | 3,6E-01 | 2,4E+00 | 1,4E+01 | 3,4E-02 | 1,0E+00 | 5,0E+00 | 2,3E+01 | 5,21 |
| SSMF3 | 9,6E-04 | 1,1E-01 | 1,0E+00 | 8,9E+00 | 6,5E-03 | 3,6E-01 | 2,5E+00 | 1,4E+01 | 2, 45 |
| C.Ex1 | 4,9E-05 | 2,9E-03 | 1,6E-02 | 7,1E-02 | 3,9E-04 | 1,1E-02 | 4,2E-02 | 1,3E-01 | 0,05 |
| C.Ex2 | 5,4E-05 | 2,9E-03 | 1,6E-02 | 6,5E-02 | 4,3E-04 | 1,1E-02 | 4,1E-02 | 1,3E-01 | 0,05 |
| C.Ex3 | 6,6E-05 | 3,0E-03 | 1,5E-02 | 5,6E-02 | 5,0E-04 | 1,1E-02 | 3,8E-02 | 1,1E-01 | 0,05 |
| C.Ex4 | 6,2E-05 | 3,1E-03 | 1,5E-02 | 6,3E-02 | 4,7E-04 | 1,1E-02 | 3,9E-02 | 1,2E-01 | 0,06 |
| C.Ex5 | 2,2E-04 | 6,9E-03 | 2,7E-02 | 1,0E-01 | 1,3E-03 | 2,1E-02 | 6,4E-02 | 1,8E-01 | 0,13 |
| C.Ex6 | 2,1E-04 | 7,1E-03 | 2,9E-02 | 1,1E-01 | 1,3E-03 | 2,2E-02 | 6,9E-02 | 2,0E-01 | 0,13 |
| C.Ex7 | 1,4E-04 | 6,5E-03 | 3,1E-02 | 1,3E-01 | 1,0E-03 | 2,2E-02 | 7,7E-02 | 2,4E-01 | 0,11 |
| C.Ex8 | 1,4E-04 | 5,4E-03 | 2,4E-02 | 9,0E-02 | 9,2E-04 | 1,8E-02 | 5,8E-02 | 1,7E-01 | 0,09 |
| C.Ex9 | 2,3E-04 | 7,3E-03 | 2,8E-02 | 1,0E-01 | 1,4E-03 | 2,3E-02 | 6,8E-02 | 2,0E-01 | 0,14 |
| C.Ex10 | 2,0E-04 | 6,8E-03 | 2,9E-02 | 1,0E-01 | 1,2E-03 | 2,2E-02 | 6,8E-02 | 2,0E-01 | 0,12 |
| C.Ex11 | 2,0E-04 | 7,1E-03 | 3,0E-02 | 1,1E-01 | 1,2E-03 | 2,3E-02 | 7,1E-02 | 2,1E-01 | 0,12 |
| C.Ex12 | 2,0E-04 | 7,0E-03 | 2,9E-02 | 1,0E-01 | 1,3E-03 | 2,2E-02 | 6,8E-02 | 2,0E-01 | 0,13 |
| C.Ex13 | 2,3E-04 | 7,4E-03 | 2,9E-02 | 1,1E-01 | 1,4E-03 | 2,3E-02 | 7,0E-02 | 2,1E-01 | 0,14 |
| Ex1 | 2,3E-03 | 2,8E-02 | 8,0E-02 | 1,4E-01 | 1,0E-02 | 7,5E-02 | 1,7E-01 | 2,5E-01 | 1,00 |
| Ex2 | 1,2E-03 | 1,9E-02 | 5,0E-02 | 1,0E-01 | 6,5E-03 | 5,4E-02 | 1,3E-01 | 2,1E-01 | 0,65 |
| Ex3 | 8,5E-04 | 1,2E-02 | 3,6E-02 | 6,7E-02 | 4,5E-03 | 3,7E-02 | 8,4E-02 | 1,4E-01 | 0,45 |
| Ex4 | 7,1E-04 | 1,3E-02 | 4,3E-02 | 8,7E-02 | 4,1E-03 | 4,2E-02 | 1,0E-01 | 1,8E-01 | 0,41 |
| Ex5 | 4,9E-04 | 8,7E-03 | 2,8E-02 | 5,6E-02 | 2,8E-03 | 2,8E-02 | 6,7E-02 | 1,2E-01 | 0,28 |
| Ex6 | 2,0E-04 | 7,1E-03 | 3,1E-02 | 1,1E-01 | 1,2E-03 | 2,3E-02 | 7,2E-02 | 2,1E-01 | 0,12 |
| Ex7 | 2,2E-04 | 7,4E-03 | 3,1E-02 | 1,1E-01 | 1,4E-03 | 2,4E-02 | 7,2E-02 | 2,1E-01 | 0,14 |
| Ex8 | 1,7E-04 | 7,4E-03 | 3,4E-02 | 1,3E-01 | 1,2E-03 | 2,4E-02 | 8,2E-02 | 2,5E-01 | 0,12 |
| Ex9 | 1,9E-04 | 7,0E-03 | 3,0E-02 | 1,1E-01 | 1,2E-03 | 2,3E-02 | 7,2E-02 | 2,1E-01 | 0,12 |
Из Таблицы следует IV, что потери на изгибе волокон, соответствующих профилю, отвечающему изобретению, значительно меньше ограничений, налагаемых стандартом G.657B. Только потери на изгибе на длине волны 1625 нанометров при кривизне 15 миллиметров для Примера 1 совпадают с рекомендацией.
Таким образом, раскрытое выше волокно имеет, для длины волны 1550 нанометров, потери на изгибе меньше 3×10-3 дБ/виток, предпочтительно, меньше 0,25×10-3 дБ/виток для радиуса кривизны 15 миллиметров, по сравнению с ограничением 3×10-3 дБ/виток, налагаемым стандартом G.657B. Волокно также имеет потери на изгибе меньшие или равные 3×10-2, предпочтительно, меньшие или равные 7,5×0-3 дБ/виток для радиуса кривизны 10 миллиметров, по сравнению с ограничением 0,1 дБ/виток, налагаемым стандартом G.657B. Потери на изгибе меньше или равны 0,05 дБ/виток для радиуса кривизны 7,5 миллиметров, по сравнению с ограничением 0,5 дБ/виток, налагаемым стандартом G.657B, и потери на изгибе меньше 0,15 дБ/виток, предпочтительно, меньшие или равные 0,10 дБ/виток для радиуса кривизны 5 миллиметров.
Аналогично, волокно, отвечающее изобретению, демонстрирует, для длины волны 1625 нанометров, потери на изгибе меньше 10-2 дБ/виток, предпочтительно, меньше 1,5×10-3 дБ/виток для радиуса кривизны 15 миллиметров, по сравнению с ограничением 10-2 дБ/виток, налагаемым стандартом G.657B. Потери на изгибе меньше или равны 0,1 дБ/виток, предпочтительно, меньше или равны 25×10-3 дБ/виток для радиуса кривизны 10 миллиметров, по сравнению с ограничением 0,2 дБ/виток, налагаемым стандартом G.657B. Волокно демонстрирует потери на изгибе меньшие или равные 0,15 дБ/виток, предпочтительно, меньшие или равные 0,08 дБ/виток для радиуса кривизны 7,5 миллиметров, по сравнению с ограничением 1 дБ/виток, налагаемым стандартом G.657B, и потери на изгибе меньше 0,25 дБ/виток для радиуса кривизны 5 миллиметров.
Раскрытые здесь волокна пригодны для использования в оптических системах, установленных в домах абонентов, типа FTTH, в которых волокно подвергается значительным изгибающим напряжениям по причине миниатюризации оптической коробки или удержания волокна на месте скобками. Волокно может располагаться в особо компактных оптических коробках. Фактически, оптическое волокно может располагаться с радиусом кривизны меньше 15 миллиметров, например, радиусом кривизны около 5 миллиметров. Волокно остается совместимым с волокнами существующих систем, в частности, в отношении диаметра поля моды для хорошего соединения волокон. Увеличение длины волны отсечки не приводит к ухудшению вследствие значительного затухания моды LP11 от длины волны 1260 нанометров.
Как указано в принадлежащей тому же правообладателю патентной заявке США № 60/986,737 «Microbend Resistant Optical Fiber» (Overton) и принадлежащей тому же правообладателю патентной заявке США № 61/041,484 (Overton) «Microbend Resistant Optical Fiber», каждая из которых, таким образом, включена сюда в полном объеме в порядке ссылки, спаривание стеклянного волокна, нечувствительного к изгибу (например, Draka Comteq одномодовых стеклянных волокон, доступных под торговой маркой BendBrightXS®) и первичного покрытия, имеющего очень низкий модуль упругости (например, продукт из уретан-акрилата УФ отверждения от DSM Desotech, обеспеченный под торговой маркой DeSolite® DP 1011) позволяет получить оптические волокна, имеющие исключительно низкие потери (например, снижение чувствительности к микроизгибу, по меньшей мере, в десять раз по сравнению с одномодовым оптическим волокном, в котором используется традиционная система покрытия). Соответственно, объем настоящего изобретения охватывает применение покрытий, раскрытых в патентной заявке США № 60/986,737 и патентной заявке США № 61/041,484 с одномодовым оптическим волокном, отвечающим настоящему изобретению.
В этой связи, микроизгиб можно анализировать согласно тесту IEC с помощью барабана с наждачной бумагой фиксированного диаметра (т.е. IEC TR62221, Способ B, наждачная бумага класса 40 микрон), который обеспечивает ситуацию напряжения микроизгиба, которая влияет на одномодовые оптические волокна даже при комнатной температуре. Технический отчёт IEC TR62221 по чувствительности к микроизгибу и стандартные процедуры тестирования (например, IEC TR62221, Способ B (барабан с наждачной бумагой фиксированного диаметра) и Способ D (плетенка)), таким образом, включен в порядке ссылки в полном объеме.
Эта заявка дополнительно включает в себя в полном объеме, в порядке ссылки, следующие принадлежащие одному и тому же правообладателю патенты, патентные заявки и опубликованные патентные заявки, в каждой из которых раскрыты оптические волокна: патент США № 4,838,643 «Single Mode Bend Insensitive Fiber for Use in Fiber Optic Guidance Applications» (Hodges и др.); опубликованная патентная заявка США № US 2007/0127878 A1 и родственная ей патентная заявка США № 11/556,895 «Single Mode Optical Fiber» (de Montmorillon и др.); опубликованная патентная заявка США № US 2007/0280615 A1 и родственная ей патентная заявка США № 11/697,994 «Single Mode Optical Fiber» (de Montmorillon и др.); патент США № 7,356,234 и родственная ей патентная заявка США № 11/743,365 «Chromatic Dispersion Compensating Fiber» (de Montmorillon и др.); опубликованная патентная заявка США № US 2008/0152288 A1 и родственная ей патентная заявка США № 11/999,333 «Optical Fiber» (Flammer и др.); и патентная заявка США № 61/101,337 «Single Mode Optical Fiber» (de Montmorillon и др.).
Оптическое волокно, отвечающее настоящему изобретению, может дополнительно включать в себя один или несколько слоев покрытия (например, первичное покрытие и вторичное покрытие). По меньшей мере, один из слоев покрытия - обычно вторичное покрытие - может быть окрашен и/или обладать другой маркировкой, помогающей идентифицировать отдельные волокна. Альтернативно, первичное и вторичное покрытия могут быть окружены третичным слоем чернил.
Оптическое волокно, отвечающее настоящему изобретению, можно устанавливать в различных структурах, например, раскрытые ниже иллюстративные структуры.
Например, одно или несколько настоящих оптических волокон могут быть заключены в буферную трубку. Например, оптическое волокно можно устанавливать либо в одноволоконную свободную буферную трубку или многоволоконную свободную буферную трубку. В отношении последней, множественные оптические волокна могут быть связаны или свиты в буферной трубке или другой структуре. Этой связи, в многоволоконной свободной буферной трубке, оптоволоконные подпучки могут быть разделены связующими приспособлениями (например, каждый оптоволоконный подпучок заключен в связующее приспособление). Кроме того, трубки для разделанных концов могут быть установлены на концах таких свободных буферных трубок для непосредственного подключения свободно буферизованных оптических волокон с помощью соединителей, установленных в условиях эксплуатации.
В других вариантах осуществления, буферная трубка может плотно охватывать самое внешнее покрытие оптического волокна (т.е. плотно буферизованное волокно) или иначе охватывать самое внешнее покрытие оптического волокна или слой чернил для обеспечения иллюстративного радиального зазора в пределах от около 50 до около 100 микрон (т.е. полусвободно буферизованное волокно).
Что касается плотно буферизованного волокна, буферизация может обеспечиваться посредством покрытия оптического волокна отверждаемым составом (например, УФ-отверждаемым материалом) или термопластичным материалом. Наружный диаметр плотных буферных трубок, независимо от того, сформирована ли буферная трубка из отверждаемого или неотверждаемого материала, обычно меньше около 1,000 микрон (например, около 500 микрон или около 900 микрон).
Что касается полусвободно буферизованного волокна, между оптическим волокном и буферной трубкой может быть включен смазочный материал (например, для обеспечения скользящего слоя).
Как известно специалистам в данной области техники, иллюстративная буферная трубка, охватывающая раскрытые здесь оптические волокна, может быть выполнена из полиолефинов (например, полиэтилена или полипропилена), в том числе фторированных полиолефинов, полиэфиров (например, полибутилен-терефталата), полиамидов (например, нейлона), а также других полимерных материалов и их смесей. В общем случае, буферная трубка может быть выполнена из одного или нескольких слоев. Слои могут быть однородными или включать в себя смеси или примеси различных материалов в каждом слое.
В этом контексте, буферная трубка может быть экструдированной (например, состоять из экструдированного полимерного материала) или одноосно ориентированной (например, состоять из одноосно ориентированного, армированного волокном пластика). В порядке примера, буферная трубка может включать в себя материал, обеспечивающий высокотемпературную и химическую устойчивость (например, ароматический материал или полисульфоновый материал).
Хотя буферные трубки обычно имеют круглое поперечное сечение, буферные трубки, альтернативно, могут иметь неправильную или некруглую форму (например, овальное или трапецеидальное поперечное сечение).
Альтернативно, одно или несколько настоящих оптических волокон могут быть просто окружены внешним защитным покрытием или заключены в герметичную металлическую трубку. В любой структуре, никакой промежуточной буферной трубки не требуется.
Раскрытые здесь множественные оптические волокна можно располагать слоями, инкапсулировать и/или связывать краями для формирования оптоволоконного шлейфа. Оптоволоконные шлейфы могут делиться на подблоки (например, двенадцативолоконный оптический шлейф, который можно расщепить на шестиволоконные подблоки). Кроме того, совокупность таких оптоволоконных шлейфов можно объединить для формирования стопки шлейфов, которые могут иметь различные размеры и формы.
Например, можно сформировать прямоугольную стопку шлейфов или стопку шлейфов, в которой самый верхний и самый нижний оптоволоконные шлейфы имеют меньше оптических волокон, чем слои, расположенные ближе к центру стопки. Эта конструкция может быть полезной для повышения плотности оптических элементов (например, оптических волокон) в буферной трубке и/или кабеле.
В общем случае, желательно повысить наполнение передающих элементов в буферных трубках или кабелях, на которые наложены другие ограничения (например, затухание в кабеле или в середине пролета). Сами оптические элементы можно сконструировать для повышения плотности упаковки. Например, оптическое волокно может иметь измененные свойства, например, улучшенный профиль показателя преломления, размеры сердцевины или оболочки, или толщину и/или модуль упругости первичного покрытия, для улучшения характеристики микроизгиба и макроизгиба.
В порядке примера, прямоугольную стопку шлейфов можно формировать с центральным скручиванием (т.е. "первичным скручиванием") или без него. Специалисты в данной области техники понимают, что стопка шлейфов обычно изготавливается с поворотным скручиванием, чтобы трубка или кабель могла изгибаться без приложения избыточного механического напряжения к оптическим волокнам в ходе намотки, прокладки и использования. В альтернативной конструкции, скрученную (или нескрученную) прямоугольную стопку шлейфов также можно формировать в катушкообразной конфигурации (например, спиральной) или волнообразной конфигурации (например, синусоидальной). Иными словами, стопка шлейфов может иметь регулярные "вторичные" деформации.
Как известно специалистам в данной области техники, такие оптоволоконные шлейфы могут располагаться в буферной трубке или другой окружающей структуре, например, кабеле без буферной трубки. Ввиду определенных ограничений (например, затухания) желательно повысить плотность элементов, например, оптических волокон или оптоволоконных шлейфов в буферных трубках и/или оптоволоконных кабелях.
Совокупность буферных трубок, содержащих оптические волокна (например, свободные волокна или волокна, соединенные в шлейф) может располагаться снаружи рядом с центральным несущим элементом и обвиваться вокруг него. Это обвивание может быть выполнено в одном направлении, по спирали, и известно как "S" или "Z" обвивание, или обвивание методом Reverse Oscillated Lay, известное как обвивание "S-Z". Обвивание вокруг центрального несущего элемента снижает деформацию оптического волокна, когда деформация кабеля происходит в ходе прокладки и использования.
Специалистам в данной области техники очевидна выгода от минимизации деформации волокна, как в отношении деформации растяжения кабеля, так и в отношении деформации продольного сжатия кабеля в ходе прокладки или эксплуатации.
В отношении деформации растяжения кабеля, которая может возникать в ходе прокладки, кабель будет удлиняться, в то время как оптические волокна могут перемещаться ближе к нейтральной оси кабеля для снижения, если не устранения, деформации, переносимой на оптические волокна. В отношении деформации продольного сжатия, которая может возникать при низких рабочих температурах в силу сжатия компонентов кабеля, оптические волокна будут перемещаться дальше от нейтральной оси кабеля для снижения, если не устранения, деформации сжатия, переносимой на оптические волокна.
Альтернативно, два или несколько, по существу, концентрических слоев буферных трубок могут располагаться вокруг центрального несущего элемента. Согласно еще одной альтернативе, множественные обвивающие элементы (например, множественные буферные трубки, обвитые вокруг несущего элемента) могут сами обвиваться вокруг друг друга или вокруг первичного центрального несущего элемента.
Альтернативно, совокупность буферных трубок, содержащих оптические волокна (например, свободные волокна или волокна, соединенные в шлейф) могут просто располагаться снаружи и рядом с центральным несущим элементом (т.е. буферные трубки специально не обвиваются и не располагаются вокруг центрального несущего элемента конкретным образом и проходят, по существу, параллельно центральному несущему элементу).
Согласно еще одной альтернативе, настоящие оптические волокна могут располагаться в центральной буферной трубке (т.е. кабель с центральной буферной трубкой имеет центральную буферную трубку вместо центрального несущего элемента). В таком кабеле с центральной буферной трубкой несущие элементы могут располагаться в других местах. Например, металлические или неметаллические (например, GRP) несущие элементы могут располагаться в самом защитном покрытии кабеля, и/или один или несколько слоев высокопрочных нитей (например, арамидных или неарамидных нитей) могут располагаться параллельно или обертываться (например, по спирали в противоположном направлении) вокруг центральной буферной трубки (т.е. во внутреннем пространстве кабеля). Аналогично, несущие элементы могут быть включены в корпус буферной трубки.
В других вариантах осуществления, оптические волокна могут располагаться в кабеле с прорезной сердцевиной. В кабеле с прорезной сердцевиной, оптические волокна, по отдельности или в виде оптоволоконного шлейфа, могут располагаться в заранее сформированных спиральных канавках (т.е. каналах) на поверхности центрального несущего элемента, тем самым образуя блок прорезной сердцевины. Блок прорезной сердцевины может быть окружен буферной трубкой. Один или несколько таких блоков прорезной сердцевины могут располагаться в кабеле с прорезной сердцевиной. Например, совокупность блоков прорезной сердцевины могут по спирали обвиваться вокруг центрального несущего элемента.
Альтернативно, оптические волокна также могут обвиваться в конструкции макситрубочного кабеля, благодаря чему оптические волокна обвиваются вокруг самих себя в большой многоволоконной свободной буферной трубке, а не вокруг центрального несущего элемента. Иными словами, большая многоволоконная свободная буферная трубка располагается в центре макситрубочного кабеля. Например, такие макситрубочные кабели можно устанавливать в оптических проводах заземления (OPGW).
В другом варианте осуществления кабеля, множественные буферные трубки могут обвиваться вокруг самих себя в отсутствие центрального элемента. Эти скрученные буферные трубки могут быть окружены защитной трубкой. Защитная трубка может служить внешней броней оптоволоконного кабеля или может быть дополнительно окружена внешним защитным покрытием. Защитная трубка может плотно или свободно окружать скрученные буферные трубки.
Как известно специалистам в данной области техники, дополнительные элементы могут быть включены в сердцевину кабеля. Например, медные кабели или другие активные передающие элементы могут обвиваться или быть иначе связаны в защитном покрытии кабеля. Пассивные элементы также могут располагаться в сердцевине кабеля, например, между внутренними стенками буферных трубок и заключенными в них оптическими волокнами. Альтернативно и в порядке примера, пассивные элементы могут располагаться вне буферных трубок между соответствующими внешними стенками буферных трубок и внутренней стенкой рубашки кабеля, или во внутреннем пространстве кабеля без буферной трубки.
Например, пряжа, нетканый материал, ткань (например, лента), пена или другие материалы, содержащие набухающий от воды материал и/или покрытые набухающими от воды материалами (например, в том числе сверхпоглощающими полимерами (SAP), например, порошкообразным SAP), можно использовать для обеспечения гидроизоляции и/или для соединения оптических волокон с окружающей буферной трубкой и/или рубашкой кабеля (например, посредством склеивания, трения и/или сжатия). Иллюстративные набухающие от воды элементы раскрыты в принадлежащей тому же правообладателю опубликованной патентной заявке США № US 2007/0019915 A1 и в родственной ей патентной заявка США № 11/424,112 «Water-Swellable Tape, Adhesive-Backed for Coupling When Used Inside a Buffer Tube» (Overton и др.), каждая из которых, таким образом, включена сюда в полном объеме в порядке ссылки.
Кроме того, клей (например, термоклей или отверждаемый клей, например, кремний-акрилат с поперечными связями, образованными под действием актиничного излучения) может быть обеспечен на одном или нескольких пассивных элементов (например, набухающем от воды материале) для связывания элементов с буферной трубкой. Адгезионный материал также можно использовать для связывания набухающего от воды элемента с оптическими волокнами в буферной трубке. Иллюстративные конфигурации таких элементов раскрыты в принадлежащей тому же правообладателю опубликованной патентной заявке США № US 2008/0145010 A1 Gel-Free Buffer Tube with Adhesively Coupled Optical Element (Overton и др.), которая, таким образом, включена сюда в полном объеме в порядке ссылки.
Буферные трубки (или кабели без буферной рубки) также могут содержать тиксотропный состав (например, смазку или смазочный гель) между оптическими волокнами и внутренними стенками буферных трубок. Например, заполнение пустого пространства внутри буферной трубки гидроизолирующей заполняющей смазкой на основе нефти позволяет блокировать проникновение воды. Кроме того, тиксотропная заполняющая смазка механически (т.е. посредством вязкости) соединяет оптические волокна с окружающей буферной трубкой.
Такие тиксотропные заполняющие смазки сравнительно тяжелы и грязны, что затрудняет операции соединения и сращивания. Таким образом, настоящие оптические волокна можно устанавливать в сухих кабельных структурах (т.е. буферных трубках без смазки).
Иллюстративные структуры буферной трубки, которые не предусматривают использование тиксотропных заполняющих смазок, раскрыты в принадлежащей тому же правообладателю патентной заявке США № 12/146,588 «Coupling Composition for Optical Fiber Cables», поданной 26 июня 2008 г., (Parris и др.), которая, таким образом, включена сюда в полном объеме в порядке ссылки. Такие буферные трубки используют соединительные составы, образованные из смеси эластомерных полимеров с высокой молекулярной массой (например, около 35 весовых процентов или менее) и масел (например, около 65 весовых процентов или более), которые текут при низких температурах. В отличие от тиксотропных заполняющих смазок, соединительный состав (например, используемый в качестве связующего геля или пены) обычно является сухим и поэтому менее грязным в ходе сращивания.
Как известно специалистам в данной области техники, кабель, заключающий в себе раскрытые здесь оптические волокна, может иметь защитное покрытие, выполненное из различных материалов в различных конструкциях. Защитное покрытие кабеля может быть выполнено из полимерных материалов, например, полиэтилена, полипропилена, поливинилхлорида (ПВХ), полиамида (например, нейлона), полиэфира (например, PBT), фторированного пластика (например, перфторэтилен-пропилена, поливинилфторида или поливинилиден-дифторида) и этиленвинилацетата. Материалы защитного покрытия и/или буферной трубки также может содержать другие добавки, например, зародышеобразователи, огнезащитные добавки, противодымные добавки, антиоксиданты, поглотители УФ и/или пластификаторы.
Защитное покрытие кабеля может представлять собой единичную рубашку, выполненную из диэлектрического материала (например, непроводящего полимера), с или без дополнительных структурных компонентов, которые можно использовать для улучшения защиты (например, от грызунов) и прочности, обеспечиваемой защитным покрытием кабеля. Например, один или несколько слоев металлической (например, стальной) ленты совместно с одним или несколькими диэлектрическими рубашками могут образовывать защитное покрытие кабеля. Металлическая или стекловолоконная арматура (например, GRP) также может быть включена в защитное покрытие. Кроме того, можно использовать арамидные, стекловолоконные или полиэфирные нити под различными материалами защитного покрытия (например, между защитным покрытием кабеля и сердцевиной кабеля), и/или вытяжные тросы могут располагаться, например, в защитном покрытии кабеля.
По аналогии с буферными трубками, защитные покрытия оптоволоконного кабеля обычно имеют круглое поперечное сечение, но защитные покрытия кабеля, альтернативно, могут иметь неправильную или некруглую форму (например, овальное, трапецеидальное или плоское поперечное сечение).
В порядке примера, оптическое волокно, отвечающее настоящему изобретению, может входить в состав одноволоконных ответвительных кабелей, например, используемых в применениях Multiple Dwelling Unit (MDU). В таких конфигурациях установки, рубашка кабеля должна демонстрировать сопротивление раздавливанию, сопротивление истиранию, сопротивление проколу, термостойкость и огнестойкость, согласно требованиям строительного кодекса. Иллюстративным материалом для таких рубашек кабеля является термостойкий, огнеупорный полиуретан (PUR), который механически защищает оптические волокна, но все же достаточно гибок, позволяя без труда прокладывать MDU. Альтернативно, можно использовать защитное покрытие из огнестойкого полиолефина или поливинилхлорида.
В общем случае, как известно специалистам в данной области техники, несущий элемент обычно имеет форму стержня или плетеных/спирально намотанных проволок или волокон, хотя специалисты в данной области техники могут предложить другие конфигурации.
Оптоволоконные кабели, содержащие раскрытые оптические волокна, могут быть проложены по-разному, в том числе, как ответвительные кабели, распределительные кабели, фидерные кабели, магистральные кабели и соединительные кабели, каждый из которых может иметь изменяющиеся эксплуатационные требования (например, температурный диапазон, сопротивление раздавливанию, устойчивость к УФ и минимальный радиус изгиба).
Такие оптоволоконные кабели можно устанавливать в трубах, микротрубах, воздуховодах или стояках. В порядке примера, оптоволоконный кабель можно устанавливать в существующих трубах или микротрубах путем протяжки или продувки (например, с использованием сжатого воздуха). Иллюстративный способ прокладки кабеля раскрыт в принадлежащих одному и тому же правообладателю опубликованной патентной заявке США № 2007/0263960 «Communication Cable Assembly and Installation Method» (Lock и др.), и патентной заявке США № 12/200,095 «Modified Pre-Ferrulized Communication Cable Assembly and Installation Method», поданной 28 августа 2008 г., (Griffioen и др.), каждая из которых таким образом, включена сюда в полном объеме в порядке ссылки.
Как отмечено выше, буферные трубки, содержащие оптические волокна (например, свободные волокна или волокна, соединенные в шлейф) могут обвиваться (например, вокруг центрального несущего элемента). В таких конфигурациях, внешнее защитное покрытие оптоволоконного кабеля может иметь текстурированную внешнюю поверхность, которая периодически изменяется вдоль длины кабеля, повторяя обвитую форму находящихся под ним буферных трубок. Текстурированный профиль внешнего защитного покрытия может улучшить характеристики продувки оптоволоконного кабеля. Текстурированная поверхность уменьшает контактную поверхность между кабелем и трубой или микротрубой и увеличивает трение между средой продувки (например, воздухом) и кабелем. Внешнее защитное покрытие может быть выполнено из материала с низким коэффициентом трения, что может облегчать прокладку методом продувки. Кроме того, внешнее защитное покрытие можно снабдить смазкой, чтобы дополнительно облегчить прокладку методом продувки.
В общем случае, для достижения удовлетворительных характеристик продувки на большие расстояния (например, от около 3,000 до около 5,000 футов или более), наружный диаметр оптоволоконного кабеля не должен превышать от около семидесяти до около восьмидесяти процентов внутреннего диаметра трубы или микротрубы.
Сжатый воздух также можно использовать для прокладки оптических волокон, отвечающих настоящему изобретению в системе воздушной продувки волокна. В системе воздушной продувки волокна, сеть незаполненных кабелей или микротруб устанавливается до прокладки оптических волокон. Затем оптические волокна можно вдувать в установленные кабели по мере необходимости для поддержки изменяющихся требований сети.
Кроме того, оптоволоконные кабели можно непосредственно закапывать в землю или, в качестве воздушного кабеля, подвешивать на столбах или опорах. Воздушный кабель может быть самонесущим кабелем или прикрепляться или привязываться к опоре (например, несущему тросу или другому кабелю). Иллюстративные воздушные оптоволоконные кабели включают в себя воздушный провод заземления (OPGW), полностью диэлектрический самонесущий кабель (ADSS), полностью диэлектрический привязной кабель (AD-Lash), и кабель типа восьмерка, каждый из которых известен специалистам в данной области техники. Кабель типа восьмерка и другие конструкции можно непосредственно закапывать или устанавливать в трубы, и они могут, в необязательном порядке, включать в себя проявляющий элемент, например, металлическую проволоку, благодаря чему их можно находить с помощью металлодетектора.
Кроме того, хотя оптические волокна можно дополнительно защищать внешним защитным покрытием кабеля, само оптическое волокно может быть дополнительно усилены, чтобы оптическое волокно можно было включить в многомодовый кабель с отдельной изоляцией волокон, что позволяет по отдельности разводить отдельные оптические волокна.
Для эффективного применения настоящих оптических волокон в системе связи, необходимы соединения в различных точках сети. Соединение оптических волокон обычно осуществляется посредством сплавного сращивания, механического сращивания или механических соединителей.
Сочленяющиеся концы соединителей можно устанавливать на концах волокна, либо в условиях эксплуатации (например, в узле сети), либо на фабрике до прокладки сети. Концы соединителей сочленяются в условиях эксплуатации для соединения волокон друг с другом или присоединения волокон к пассивным или активным компонентам. Например, некоторые сборки оптоволоконных кабелей (например, разветвленные сборки) могут разделять и проводить отдельные оптические волокна из многожильного оптоволоконного кабеля к соединителям, обеспечивая их защиту.
Прокладка оптоволоконных кабелей может включать в себя вспомогательное оборудование. Например, для усиления оптических сигналов можно использовать усилитель. Модули компенсации дисперсии можно устанавливать для ослабления эффектов хроматической дисперсии и дисперсии поляризованной моды. Аналогично, можно устанавливать стыковочные коробки, цоколи и распределительные стойки, которые могут быть защищены корпусом. Дополнительные элементы включают в себя, например, дистанционные оконечные выключатели, оптические сетевые блоки, оптические разветвители и центральные коммутаторы.
Кабель, содержащий оптические волокна, отвечающие настоящему изобретению, можно устанавливать для использования в системе связи (например, для построения сетей и телекоммуникаций). Система связи может включать в себя архитектуру оптоволоконных кабелей, например, «волокно до узла» (FTTN), «волокно до телекоммуникационного шкафа» (FTTE), «волокно до группы зданий» (FTTC), «волокно до здания» (FTTB), и «волокно до дома» (FTTH), а также магистральную или городскую архитектуру.
Кроме того, оптические волокна, отвечающие настоящему изобретению, можно использовать в других областях применения, в том числе, без ограничения, в волоконно-оптических датчиках или осветительном оборудовании (например, освещении).
В описании изобретения и чертежах раскрыты типичные варианты осуществления изобретения. Настоящее изобретение не ограничивается такими иллюстративными вариантами осуществления. Если не указано обратное, конкретные термины были использованы в общем и описательном смысле, но не в целях ограничения.
Claims (15)
1. Одномодовое оптическое волокно, имеющее сниженные потери на изгибе, профиль показателя преломления которого измеряется на радиусах, проходящих от центра волокна к внешней оптической оболочке,
волокно содержит центральную сердцевину, имеющую радиус r1 и положительную разность показателей преломления Δn1 с оптической оболочкой,
промежуточную оболочку, имеющую радиус r2 и положительную разность показателей преломления Δn2 с оптической оболочкой, которая меньше разности показателей преломления Δn1 сердцевины,
оболочку с вдавленными канавками, имеющую радиус r3 и отрицательную разность показателей преломления Δn3 с оптической оболочкой,
причем волокно имеет номинальный диаметр поля моды (MFD) от 8,6 мкм до 9,5 мкм на длине волны 1310 нм, и, для длины волны 1550 нм, потери на изгибе меньше 0,15 дБ/виток для радиуса кривизны 5 мм, и
длину волны отсечки кабеля меньшую или равную 1260 нм, измеряемую как длину волны, на которой затухание моды LP11 больше или равно 19,3 дБ после распространения по двадцати двум метрам волокна.
волокно содержит центральную сердцевину, имеющую радиус r1 и положительную разность показателей преломления Δn1 с оптической оболочкой,
промежуточную оболочку, имеющую радиус r2 и положительную разность показателей преломления Δn2 с оптической оболочкой, которая меньше разности показателей преломления Δn1 сердцевины,
оболочку с вдавленными канавками, имеющую радиус r3 и отрицательную разность показателей преломления Δn3 с оптической оболочкой,
причем волокно имеет номинальный диаметр поля моды (MFD) от 8,6 мкм до 9,5 мкм на длине волны 1310 нм, и, для длины волны 1550 нм, потери на изгибе меньше 0,15 дБ/виток для радиуса кривизны 5 мм, и
длину волны отсечки кабеля меньшую или равную 1260 нм, измеряемую как длину волны, на которой затухание моды LP11 больше или равно 19,3 дБ после распространения по двадцати двум метрам волокна.
3. Волокно по любому из предыдущих пунктов, в котором поверхностный интеграл по оболочке с вдавленными канавками (V03), заданный как
составляет от -55,0·10-3 мкм до -30,0·10-3 мкм, предпочтительно, поверхностный интеграл по оболочке с вдавленными канавками (V03) составляет от -42,5·10-3 мкм до -32,5·10-3 мкм.
составляет от -55,0·10-3 мкм до -30,0·10-3 мкм, предпочтительно, поверхностный интеграл по оболочке с вдавленными канавками (V03) составляет от -42,5·10-3 мкм до -32,5·10-3 мкм.
5. Волокно по п.1, дополнительно имеющее эффективную длину волны отсечки λceff больше 1300 нм, причем эффективная длина волны отсечки измеряется как длина волны, на которой оптический сигнал становится одномодовым после распространения по двум метрам волокна.
6. Волокно по п.1, дополнительно имеющее длину волны отсечки от 1240 нм до 1310 нм.
7. Волокно по п.1, дополнительно имеющее теоретическую длину волны отсечки меньшую или равную 1250 нм, причем теоретическая длина волны отсечки это длина волны, за пределами которой мода LP11 распространяется в режиме утечки.
8. Волокно по п.1, в котором центральная сердцевина имеет радиус (r1) от 3,8 мкм до 4,35 мкм, и/или центральная сердцевина имеет разность показателей преломления (Δn1) с оптической оболочкой от 4,9·10-3 до 5,7·10-3.
9. Волокно по п.1, в котором промежуточная оболочка имеет радиус (r2) от 8,5 мкм до 9,7 мкм, и/или промежуточная оболочка имеет разность показателей преломления (Δn2) с оптической оболочкой от -0,1·10-3 до 0,6·10-3.
10. Волокно по п.1, в котором оболочка с вдавленными канавками имеет радиус (r3) от 13,5 мкм до 16 мкм, и/или оболочка с вдавленными канавками имеет разность показателей преломления (Δn3) с оптической оболочкой от -10,0·10-3 до -5,0·10-3.
11. Волокно по п.1, дополнительно имеющее длину волны нулевой хроматической дисперсии (ZDW) от 1300 нм до 1324 нм.
12. Волокно по п.1, дополнительно имеющее значение наклона хроматической дисперсии на длине волны нулевой хроматической дисперсии (ZDS) меньше 0,092 пс/(нм2·км).
13. Оптическая коробка, принимающая, по меньшей мере, участок оптического волокна по любому из предыдущих пунктов.
14. Оптическая коробка по п.13, в которой волокно имеет радиус кривизны меньше 15 мм, предпочтительно волокно имеет радиус кривизны около 5 мм.
15. Оптоволоконная система, подведенная к дому абонента (FTTH), содержащая, по меньшей мере, один участок оптического волокна по любому из предыдущих пп.1-12.
Applications Claiming Priority (8)
| Application Number | Priority Date | Filing Date | Title |
|---|---|---|---|
| FR08/02503 | 2008-05-06 | ||
| FR0802503A FR2930997B1 (fr) | 2008-05-06 | 2008-05-06 | Fibre optique monomode |
| US10133708P | 2008-09-30 | 2008-09-30 | |
| US61/101,337 | 2008-09-30 | ||
| US11200608P | 2008-11-06 | 2008-11-06 | |
| US61/112,006 | 2008-11-06 | ||
| US11237408P | 2008-11-07 | 2008-11-07 | |
| US61/112,374 | 2008-11-07 |
Publications (2)
| Publication Number | Publication Date |
|---|---|
| RU2009117161A RU2009117161A (ru) | 2010-11-10 |
| RU2491237C2 true RU2491237C2 (ru) | 2013-08-27 |
Family
ID=40029012
Family Applications (2)
| Application Number | Title | Priority Date | Filing Date |
|---|---|---|---|
| RU2009117160/28A RU2489740C2 (ru) | 2008-05-06 | 2009-05-05 | Одномодовое оптическое волокно, нечувствительное к изгибу |
| RU2009117161/03A RU2491237C2 (ru) | 2008-05-06 | 2009-05-05 | Одномодовое оптическое волокно |
Family Applications Before (1)
| Application Number | Title | Priority Date | Filing Date |
|---|---|---|---|
| RU2009117160/28A RU2489740C2 (ru) | 2008-05-06 | 2009-05-05 | Одномодовое оптическое волокно, нечувствительное к изгибу |
Country Status (12)
| Country | Link |
|---|---|
| US (4) | US7889960B2 (ru) |
| EP (2) | EP2116877B1 (ru) |
| KR (2) | KR101614943B1 (ru) |
| CN (2) | CN101576631B (ru) |
| AT (2) | ATE538401T1 (ru) |
| BR (2) | BRPI0903858B1 (ru) |
| DK (2) | DK2116878T3 (ru) |
| ES (1) | ES2377531T3 (ru) |
| FR (1) | FR2930997B1 (ru) |
| PL (1) | PL2116877T3 (ru) |
| PT (1) | PT2116877E (ru) |
| RU (2) | RU2489740C2 (ru) |
Families Citing this family (364)
| Publication number | Priority date | Publication date | Assignee | Title |
|---|---|---|---|---|
| FR2893149B1 (fr) * | 2005-11-10 | 2008-01-11 | Draka Comteq France | Fibre optique monomode. |
| US8041167B2 (en) | 2007-11-09 | 2011-10-18 | Draka Comteq, B.V. | Optical-fiber loose tube cables |
| US8081853B2 (en) | 2007-11-09 | 2011-12-20 | Draka Comteq, B.V. | Single-fiber drop cables for MDU deployments |
| US8041168B2 (en) | 2007-11-09 | 2011-10-18 | Draka Comteq, B.V. | Reduced-diameter ribbon cables with high-performance optical fiber |
| CN102099711B (zh) | 2007-11-09 | 2014-05-14 | 德雷卡通信技术公司 | 抗微弯光纤 |
| US8145026B2 (en) | 2007-11-09 | 2012-03-27 | Draka Comteq, B.V. | Reduced-size flat drop cable |
| US8467650B2 (en) | 2007-11-09 | 2013-06-18 | Draka Comteq, B.V. | High-fiber-density optical-fiber cable |
| US8165439B2 (en) | 2007-11-09 | 2012-04-24 | Draka Comteq, B.V. | ADSS cables with high-performance optical fiber |
| US8031997B2 (en) | 2007-11-09 | 2011-10-04 | Draka Comteq, B.V. | Reduced-diameter, easy-access loose tube cable |
| FR2930997B1 (fr) | 2008-05-06 | 2010-08-13 | Draka Comteq France Sa | Fibre optique monomode |
| FR2931253B1 (fr) * | 2008-05-16 | 2010-08-20 | Draka Comteq France Sa | Cable de telecommunication a fibres optiques |
| FR2932932B1 (fr) | 2008-06-23 | 2010-08-13 | Draka Comteq France Sa | Systeme optique multiplexe en longueur d'ondes avec fibres optiques multimodes |
| FR2933779B1 (fr) | 2008-07-08 | 2010-08-27 | Draka Comteq France | Fibres optiques multimodes |
| US9664012B2 (en) | 2008-08-20 | 2017-05-30 | Foro Energy, Inc. | High power laser decomissioning of multistring and damaged wells |
| US9089928B2 (en) | 2008-08-20 | 2015-07-28 | Foro Energy, Inc. | Laser systems and methods for the removal of structures |
| EP2315904B1 (en) | 2008-08-20 | 2019-02-06 | Foro Energy Inc. | Method and system for advancement of a borehole using a high power laser |
| US9669492B2 (en) | 2008-08-20 | 2017-06-06 | Foro Energy, Inc. | High power laser offshore decommissioning tool, system and methods of use |
| US9242309B2 (en) | 2012-03-01 | 2016-01-26 | Foro Energy Inc. | Total internal reflection laser tools and methods |
| US9719302B2 (en) | 2008-08-20 | 2017-08-01 | Foro Energy, Inc. | High power laser perforating and laser fracturing tools and methods of use |
| US9360631B2 (en) | 2008-08-20 | 2016-06-07 | Foro Energy, Inc. | Optics assembly for high power laser tools |
| US9080425B2 (en) | 2008-10-17 | 2015-07-14 | Foro Energy, Inc. | High power laser photo-conversion assemblies, apparatuses and methods of use |
| US8627901B1 (en) | 2009-10-01 | 2014-01-14 | Foro Energy, Inc. | Laser bottom hole assembly |
| US9267330B2 (en) | 2008-08-20 | 2016-02-23 | Foro Energy, Inc. | Long distance high power optical laser fiber break detection and continuity monitoring systems and methods |
| US9347271B2 (en) | 2008-10-17 | 2016-05-24 | Foro Energy, Inc. | Optical fiber cable for transmission of high power laser energy over great distances |
| US9138786B2 (en) | 2008-10-17 | 2015-09-22 | Foro Energy, Inc. | High power laser pipeline tool and methods of use |
| US10301912B2 (en) * | 2008-08-20 | 2019-05-28 | Foro Energy, Inc. | High power laser flow assurance systems, tools and methods |
| US8571368B2 (en) * | 2010-07-21 | 2013-10-29 | Foro Energy, Inc. | Optical fiber configurations for transmission of laser energy over great distances |
| US9027668B2 (en) | 2008-08-20 | 2015-05-12 | Foro Energy, Inc. | Control system for high power laser drilling workover and completion unit |
| US9244235B2 (en) | 2008-10-17 | 2016-01-26 | Foro Energy, Inc. | Systems and assemblies for transferring high power laser energy through a rotating junction |
| US7970247B2 (en) * | 2008-09-12 | 2011-06-28 | Draka Comteq B.V. | Buffer tubes for mid-span storage |
| US7974507B2 (en) * | 2008-09-12 | 2011-07-05 | Draka Comteq, B.V. | High-fiber-density optical fiber cable |
| ES2543879T3 (es) | 2008-11-07 | 2015-08-25 | Draka Comteq B.V. | Fibra óptica de diámetro reducido |
| FR2938389B1 (fr) * | 2008-11-07 | 2011-04-15 | Draka Comteq France | Systeme optique multimode |
| ES2487443T3 (es) * | 2008-11-12 | 2014-08-20 | Draka Comteq B.V. | Fibra óptica de amplificación y procedimiento para fabricarla |
| FR2939246B1 (fr) * | 2008-12-02 | 2010-12-24 | Draka Comteq France | Fibre optique amplificatrice et procede de fabrication |
| FR2939522B1 (fr) * | 2008-12-08 | 2011-02-11 | Draka Comteq France | Fibre optique amplificatrice resistante aux radiations ionisantes |
| FR2939911B1 (fr) * | 2008-12-12 | 2011-04-08 | Draka Comteq France | Fibre optique gainee, cable de telecommunication comportant plusieurs fibres optiques et procede de fabrication d'une telle fibre |
| NL1036343C2 (nl) * | 2008-12-19 | 2010-06-22 | Draka Comteq Bv | Werkwijze en inrichting voor het vervaardigen van een optische voorvorm. |
| EP2204681B1 (en) | 2008-12-30 | 2016-03-09 | Draka Comteq B.V. | Optical fibre cable comprising a perforated water-blocking element |
| WO2010077132A1 (en) | 2008-12-31 | 2010-07-08 | Draka Comteq B.V. | Uvled apparatus for curing glass-fiber coatings |
| FR2940839B1 (fr) * | 2009-01-08 | 2012-09-14 | Draka Comteq France | Fibre optique multimodale a gradient d'indice, procedes de caracterisation et de fabrication d'une telle fibre |
| EP2209029B1 (en) | 2009-01-19 | 2015-03-11 | Sumitomo Electric Industries, Ltd. | Optical fiber |
| WO2010082656A1 (ja) * | 2009-01-19 | 2010-07-22 | 住友電気工業株式会社 | マルチコア光ファイバ |
| FR2941539B1 (fr) * | 2009-01-23 | 2011-02-25 | Draka Comteq France | Fibre optique monomode |
| FR2941541B1 (fr) * | 2009-01-27 | 2011-02-25 | Draka Comteq France | Fibre optique monomode |
| FR2941540B1 (fr) * | 2009-01-27 | 2011-05-06 | Draka Comteq France | Fibre optique monomode presentant une surface effective elargie |
| US8489219B1 (en) | 2009-01-30 | 2013-07-16 | Draka Comteq B.V. | Process for making loose buffer tubes having controlled excess fiber length and reduced post-extrusion shrinkage |
| US9360647B2 (en) * | 2009-02-06 | 2016-06-07 | Draka Comteq, B.V. | Central-tube cable with high-conductivity conductors encapsulated with high-dielectric-strength insulation |
| US8582941B2 (en) * | 2009-02-16 | 2013-11-12 | Corning Cable Systems Llc | Micromodule cables and breakout cables therefor |
| FR2942571B1 (fr) * | 2009-02-20 | 2011-02-25 | Draka Comteq France | Fibre optique amplificatrice comprenant des nanostructures |
| FR2942551B1 (fr) * | 2009-02-23 | 2011-07-15 | Draka Comteq France | Cable comportant des elements a extraire, procede d'extraction desdits elements et procede de fabrication associe |
| US8625945B1 (en) | 2009-05-13 | 2014-01-07 | Draka Comteq, B.V. | Low-shrink reduced-diameter dry buffer tubes |
| US8625944B1 (en) | 2009-05-13 | 2014-01-07 | Draka Comteq, B.V. | Low-shrink reduced-diameter buffer tubes |
| FR2946436B1 (fr) * | 2009-06-05 | 2011-12-09 | Draka Comteq France | Fibre optique multimode a tres large bande passante avec une interface coeur-gaine optimisee |
| US20110026889A1 (en) * | 2009-07-31 | 2011-02-03 | Draka Comteq B.V. | Tight-Buffered Optical Fiber Unit Having Improved Accessibility |
| US8783360B2 (en) | 2011-02-24 | 2014-07-22 | Foro Energy, Inc. | Laser assisted riser disconnect and method of use |
| US8783361B2 (en) | 2011-02-24 | 2014-07-22 | Foro Energy, Inc. | Laser assisted blowout preventer and methods of use |
| US8684088B2 (en) | 2011-02-24 | 2014-04-01 | Foro Energy, Inc. | Shear laser module and method of retrofitting and use |
| US8720584B2 (en) | 2011-02-24 | 2014-05-13 | Foro Energy, Inc. | Laser assisted system for controlling deep water drilling emergency situations |
| FR2953605B1 (fr) | 2009-12-03 | 2011-12-16 | Draka Comteq France | Fibre optique multimode a large bande passante et a faibles pertes par courbure |
| FR2957153B1 (fr) | 2010-03-02 | 2012-08-10 | Draka Comteq France | Fibre optique multimode a large bande passante et a faibles pertes par courbure |
| US9014525B2 (en) | 2009-09-09 | 2015-04-21 | Draka Comteq, B.V. | Trench-assisted multimode optical fiber |
| FR2953030B1 (fr) | 2009-11-25 | 2011-11-18 | Draka Comteq France | Fibre optique multimode a tres large bande passante avec une interface coeur-gaine optimisee |
| FR2953606B1 (fr) | 2009-12-03 | 2012-04-27 | Draka Comteq France | Fibre optique multimode a large bande passante et a faibles pertes par courbure |
| FR2949870B1 (fr) | 2009-09-09 | 2011-12-16 | Draka Compteq France | Fibre optique multimode presentant des pertes en courbure ameliorees |
| FR2953029B1 (fr) | 2009-11-25 | 2011-11-18 | Draka Comteq France | Fibre optique multimode a tres large bande passante avec une interface coeur-gaine optimisee |
| US8306380B2 (en) * | 2009-09-14 | 2012-11-06 | Draka Comteq, B.V. | Methods and devices for cable insertion into latched-duct conduit |
| FR2950156B1 (fr) | 2009-09-17 | 2011-11-18 | Draka Comteq France | Fibre optique multimode |
| FR2950443B1 (fr) * | 2009-09-22 | 2011-11-18 | Draka Comteq France | Fibre optique pour la generation de frequence somme et son procede de fabrication |
| FR2951282B1 (fr) * | 2009-10-13 | 2012-06-15 | Draka Comteq France | Fibre optique monomode a tranchee enterree |
| US8805143B2 (en) * | 2009-10-19 | 2014-08-12 | Draka Comteq, B.V. | Optical-fiber cable having high fiber count and high fiber density |
| FR2952634B1 (fr) * | 2009-11-13 | 2011-12-16 | Draka Comteq France | Fibre en silice dopee en terre rare a faible ouverture numerique |
| US9042693B2 (en) | 2010-01-20 | 2015-05-26 | Draka Comteq, B.V. | Water-soluble water-blocking element |
| DK2352047T3 (da) * | 2010-02-01 | 2019-11-11 | Draka Comteq Bv | Ikke-nul dispersionsskiftet optisk fiber med et stort effektivt areal |
| EP2352046B1 (en) * | 2010-02-01 | 2018-08-08 | Draka Comteq B.V. | Non-zero dispersion shifted optical fiber having a short cutoff wavelength |
| EP2369379B1 (en) | 2010-03-17 | 2015-05-06 | Draka Comteq B.V. | Fibre optique monomode ayant des pertes par courbures réduites |
| CN102804006B (zh) * | 2010-03-23 | 2015-03-25 | 株式会社藤仓 | 光纤型光学元件、激光二极管模块及光纤激光器 |
| WO2011130642A2 (en) * | 2010-04-16 | 2011-10-20 | Adc Telecommunications, Inc. | Fiber optic cable assembly and method of making the same |
| US8693830B2 (en) | 2010-04-28 | 2014-04-08 | Draka Comteq, B.V. | Data-center cable |
| EP2390700B1 (en) | 2010-05-03 | 2016-07-06 | Draka Comteq B.V. | Bundled fiber optic cables |
| EP2567207B1 (en) * | 2010-05-07 | 2017-03-22 | Prysmian S.p.A. | Method for checking the correct installation of a. bend-insensitive optical cable and optical cable suitable for the method thereof |
| EP2388239B1 (en) | 2010-05-20 | 2017-02-15 | Draka Comteq B.V. | Curing apparatus employing angled UV-LEDs |
| US8625947B1 (en) | 2010-05-28 | 2014-01-07 | Draka Comteq, B.V. | Low-smoke and flame-retardant fiber optic cables |
| US8871311B2 (en) | 2010-06-03 | 2014-10-28 | Draka Comteq, B.V. | Curing method employing UV sources that emit differing ranges of UV radiation |
| FR2962230B1 (fr) * | 2010-07-02 | 2012-07-27 | Draka Comteq France | Fibre optique monomode |
| US8682123B2 (en) | 2010-07-15 | 2014-03-25 | Draka Comteq, B.V. | Adhesively coupled optical fibers and enclosing tape |
| DK2418183T3 (en) | 2010-08-10 | 2018-11-12 | Draka Comteq Bv | Method of curing coated glass fibers which provides increased UVLED intensity |
| FR2963787B1 (fr) * | 2010-08-10 | 2012-09-21 | Draka Comteq France | Procede de fabrication d'une preforme de fibre optique |
| CA2808214C (en) | 2010-08-17 | 2016-02-23 | Foro Energy Inc. | Systems and conveyance structures for high power long distance laser transmission |
| US8571369B2 (en) | 2010-09-03 | 2013-10-29 | Draka Comteq B.V. | Optical-fiber module having improved accessibility |
| FR2966256B1 (fr) * | 2010-10-18 | 2012-11-16 | Draka Comteq France | Fibre optique multimode insensible aux pertes par |
| US8824845B1 (en) | 2010-12-03 | 2014-09-02 | Draka Comteq, B.V. | Buffer tubes having reduced stress whitening |
| WO2012075509A2 (en) * | 2010-12-03 | 2012-06-07 | Ofs Fitel, Llc | Large-mode-area optical fibers with bend compensation |
| DK2482106T5 (da) | 2011-01-31 | 2014-09-22 | Draka Comteq Bv | Multimode-fiber |
| FR2971061B1 (fr) | 2011-01-31 | 2013-02-08 | Draka Comteq France | Fibre optique a large bande passante et a faibles pertes par courbure |
| WO2012161775A1 (en) | 2011-02-21 | 2012-11-29 | Draka Comteq B.V. | Optical-fiber interconnect cable |
| WO2012116155A1 (en) | 2011-02-24 | 2012-08-30 | Foro Energy, Inc. | Electric motor for laser-mechanical drilling |
| EP2678512A4 (en) | 2011-02-24 | 2017-06-14 | Foro Energy Inc. | Method of high power laser-mechanical drilling |
| WO2012161811A1 (en) * | 2011-02-24 | 2012-11-29 | Ofs Fitel, Llc | Multicore fiber designs for spatial multiplexing |
| EP2495589A1 (en) | 2011-03-04 | 2012-09-05 | Draka Comteq B.V. | Rare earth doped amplifying optical fiber for compact devices and method of manufacturing thereof |
| EP2503368A1 (en) | 2011-03-24 | 2012-09-26 | Draka Comteq B.V. | Multimode optical fiber with improved bend resistance |
| EP2506044A1 (en) | 2011-03-29 | 2012-10-03 | Draka Comteq B.V. | Multimode optical fiber |
| EP2518546B1 (en) | 2011-04-27 | 2018-06-20 | Draka Comteq B.V. | High-bandwidth, radiation-resistant multimode optical fiber |
| DK2527893T3 (da) | 2011-05-27 | 2013-12-16 | Draka Comteq Bv | Optisk singlemode fiber |
| WO2012167102A1 (en) | 2011-06-03 | 2012-12-06 | Foro Energy Inc. | Rugged passively cooled high power laser fiber optic connectors and methods of use |
| EP2533082B1 (en) | 2011-06-09 | 2013-12-25 | Draka Comteq BV | Single mode optical fiber |
| DK2541292T3 (en) | 2011-07-01 | 2014-12-01 | Draka Comteq Bv | A multimode optical fiber |
| WO2013006868A2 (en) * | 2011-07-07 | 2013-01-10 | Ofs Fitel, Llc | Non-linear fiber resistant to perturbations |
| US8412012B2 (en) * | 2011-09-06 | 2013-04-02 | Ofs Fitel, Llc | Compact, low-cost outside plant or indoor/outdoor cables |
| KR101273801B1 (ko) | 2011-10-17 | 2013-06-11 | 에쓰이에이치에프코리아 (주) | 구부림 손실 강화 광섬유 |
| EP2584340A1 (en) | 2011-10-20 | 2013-04-24 | Draka Comteq BV | Hydrogen sensing fiber and hydrogen sensor |
| NL2007831C2 (en) | 2011-11-21 | 2013-05-23 | Draka Comteq Bv | Apparatus and method for carrying out a pcvd deposition process. |
| KR101285500B1 (ko) * | 2011-11-24 | 2013-07-12 | 에쓰이에이치에프코리아 (주) | 초저손실 광섬유 |
| JP5668708B2 (ja) | 2012-02-14 | 2015-02-12 | 住友電気工業株式会社 | 光プローブ |
| US8929701B2 (en) | 2012-02-15 | 2015-01-06 | Draka Comteq, B.V. | Loose-tube optical-fiber cable |
| KR101990337B1 (ko) * | 2012-02-16 | 2019-06-18 | 엘에스전선 주식회사 | Mpi특성이 개선된 굴곡 강화 광섬유를 위한 mpi 평가 시스템 |
| KR101436723B1 (ko) * | 2012-04-26 | 2014-09-01 | 신에쓰 가가꾸 고교 가부시끼가이샤 | 광섬유 |
| WO2013160714A1 (en) | 2012-04-27 | 2013-10-31 | Draka Comteq Bv | Hybrid single and multimode optical fiber for a home network |
| EP2890859A4 (en) | 2012-09-01 | 2016-11-02 | Foro Energy Inc | REDUCED MECHANICAL ENERGY WELL CONTROL SYSTEMS AND METHODS OF USE |
| US9500830B2 (en) | 2012-09-28 | 2016-11-22 | Commscope Technologies Llc | Splice-on cable breakout assembly |
| CN103257393B (zh) * | 2012-10-30 | 2015-03-04 | 长飞光纤光缆股份有限公司 | 一种大有效面积光纤 |
| EP2914996A4 (en) * | 2012-11-05 | 2016-07-06 | Oceaneering Int Inc | METHOD AND DEVICE FOR HARDENING PRE-PRIMGENTED PLASTIC COMPONENTS IN SITU |
| US10009065B2 (en) | 2012-12-05 | 2018-06-26 | At&T Intellectual Property I, L.P. | Backhaul link for distributed antenna system |
| US9113347B2 (en) | 2012-12-05 | 2015-08-18 | At&T Intellectual Property I, Lp | Backhaul link for distributed antenna system |
| CN103021555B (zh) * | 2013-01-05 | 2015-11-18 | 长飞光纤光缆股份有限公司 | 一种光电复合缆 |
| US9146346B2 (en) | 2013-01-31 | 2015-09-29 | Institut National D'optique | Optical fiber for Coherent Anti-Stokes Raman scattering endoscopes |
| US9188754B1 (en) | 2013-03-15 | 2015-11-17 | Draka Comteq, B.V. | Method for manufacturing an optical-fiber buffer tube |
| US9057817B2 (en) * | 2013-04-15 | 2015-06-16 | Corning Incorporated | Low diameter optical fiber |
| US9999038B2 (en) | 2013-05-31 | 2018-06-12 | At&T Intellectual Property I, L.P. | Remote distributed antenna system |
| US9525524B2 (en) | 2013-05-31 | 2016-12-20 | At&T Intellectual Property I, L.P. | Remote distributed antenna system |
| NL2011075C2 (en) | 2013-07-01 | 2015-01-05 | Draka Comteq Bv | Pcvd process with removal of substrate tube. |
| CN104297869A (zh) * | 2013-07-15 | 2015-01-21 | 昆山联滔电子有限公司 | 线缆 |
| US8897697B1 (en) | 2013-11-06 | 2014-11-25 | At&T Intellectual Property I, Lp | Millimeter-wave surface-wave communications |
| US9209902B2 (en) | 2013-12-10 | 2015-12-08 | At&T Intellectual Property I, L.P. | Quasi-optical coupler |
| PT3084490T (pt) * | 2013-12-20 | 2021-02-05 | Draka Comteq Bv | Fibra monomodo com um núcleo trapezoidal que exibe perdas reduzidas |
| US20150331181A1 (en) * | 2014-05-16 | 2015-11-19 | Corning Incorporated | Multimode optical fiber and system including such |
| US9692101B2 (en) | 2014-08-26 | 2017-06-27 | At&T Intellectual Property I, L.P. | Guided wave couplers for coupling electromagnetic waves between a waveguide surface and a surface of a wire |
| US9768833B2 (en) | 2014-09-15 | 2017-09-19 | At&T Intellectual Property I, L.P. | Method and apparatus for sensing a condition in a transmission medium of electromagnetic waves |
| US10063280B2 (en) | 2014-09-17 | 2018-08-28 | At&T Intellectual Property I, L.P. | Monitoring and mitigating conditions in a communication network |
| US9628854B2 (en) | 2014-09-29 | 2017-04-18 | At&T Intellectual Property I, L.P. | Method and apparatus for distributing content in a communication network |
| US9615269B2 (en) | 2014-10-02 | 2017-04-04 | At&T Intellectual Property I, L.P. | Method and apparatus that provides fault tolerance in a communication network |
| US9685992B2 (en) | 2014-10-03 | 2017-06-20 | At&T Intellectual Property I, L.P. | Circuit panel network and methods thereof |
| US9503189B2 (en) | 2014-10-10 | 2016-11-22 | At&T Intellectual Property I, L.P. | Method and apparatus for arranging communication sessions in a communication system |
| US9973299B2 (en) | 2014-10-14 | 2018-05-15 | At&T Intellectual Property I, L.P. | Method and apparatus for adjusting a mode of communication in a communication network |
| US9762289B2 (en) | 2014-10-14 | 2017-09-12 | At&T Intellectual Property I, L.P. | Method and apparatus for transmitting or receiving signals in a transportation system |
| US9653770B2 (en) | 2014-10-21 | 2017-05-16 | At&T Intellectual Property I, L.P. | Guided wave coupler, coupling module and methods for use therewith |
| US9564947B2 (en) | 2014-10-21 | 2017-02-07 | At&T Intellectual Property I, L.P. | Guided-wave transmission device with diversity and methods for use therewith |
| US9577306B2 (en) | 2014-10-21 | 2017-02-21 | At&T Intellectual Property I, L.P. | Guided-wave transmission device and methods for use therewith |
| US9627768B2 (en) | 2014-10-21 | 2017-04-18 | At&T Intellectual Property I, L.P. | Guided-wave transmission device with non-fundamental mode propagation and methods for use therewith |
| US9769020B2 (en) | 2014-10-21 | 2017-09-19 | At&T Intellectual Property I, L.P. | Method and apparatus for responding to events affecting communications in a communication network |
| US9312919B1 (en) | 2014-10-21 | 2016-04-12 | At&T Intellectual Property I, Lp | Transmission device with impairment compensation and methods for use therewith |
| US9520945B2 (en) | 2014-10-21 | 2016-12-13 | At&T Intellectual Property I, L.P. | Apparatus for providing communication services and methods thereof |
| US9780834B2 (en) | 2014-10-21 | 2017-10-03 | At&T Intellectual Property I, L.P. | Method and apparatus for transmitting electromagnetic waves |
| US9997819B2 (en) | 2015-06-09 | 2018-06-12 | At&T Intellectual Property I, L.P. | Transmission medium and method for facilitating propagation of electromagnetic waves via a core |
| US10554454B2 (en) | 2014-11-20 | 2020-02-04 | At&T Intellectual Property I, L.P. | Methods and apparatus for inducing electromagnetic waves in a cable |
| US10340573B2 (en) | 2016-10-26 | 2019-07-02 | At&T Intellectual Property I, L.P. | Launcher with cylindrical coupling device and methods for use therewith |
| US9742462B2 (en) | 2014-12-04 | 2017-08-22 | At&T Intellectual Property I, L.P. | Transmission medium and communication interfaces and methods for use therewith |
| US10505250B2 (en) | 2014-11-20 | 2019-12-10 | At&T Intellectual Property I, L.P. | Communication system having a cable with a plurality of stranded uninsulated conductors forming interstitial areas for propagating guided wave modes therein and methods of use |
| US10009067B2 (en) | 2014-12-04 | 2018-06-26 | At&T Intellectual Property I, L.P. | Method and apparatus for configuring a communication interface |
| US10516555B2 (en) | 2014-11-20 | 2019-12-24 | At&T Intellectual Property I, L.P. | Methods and apparatus for creating interstitial areas in a cable |
| US10505249B2 (en) | 2014-11-20 | 2019-12-10 | At&T Intellectual Property I, L.P. | Communication system having a cable with a plurality of stranded uninsulated conductors forming interstitial areas for guiding electromagnetic waves therein and method of use |
| US11025460B2 (en) | 2014-11-20 | 2021-06-01 | At&T Intellectual Property I, L.P. | Methods and apparatus for accessing interstitial areas of a cable |
| US10411920B2 (en) | 2014-11-20 | 2019-09-10 | At&T Intellectual Property I, L.P. | Methods and apparatus for inducing electromagnetic waves within pathways of a cable |
| US9680670B2 (en) | 2014-11-20 | 2017-06-13 | At&T Intellectual Property I, L.P. | Transmission device with channel equalization and control and methods for use therewith |
| US9800327B2 (en) | 2014-11-20 | 2017-10-24 | At&T Intellectual Property I, L.P. | Apparatus for controlling operations of a communication device and methods thereof |
| US9954287B2 (en) | 2014-11-20 | 2018-04-24 | At&T Intellectual Property I, L.P. | Apparatus for converting wireless signals and electromagnetic waves and methods thereof |
| US10243784B2 (en) | 2014-11-20 | 2019-03-26 | At&T Intellectual Property I, L.P. | System for generating topology information and methods thereof |
| US10505252B2 (en) | 2014-11-20 | 2019-12-10 | At&T Intellectual Property I, L.P. | Communication system having a coupler for guiding electromagnetic waves through interstitial areas formed by a plurality of stranded uninsulated conductors and method of use |
| US9461706B1 (en) | 2015-07-31 | 2016-10-04 | At&T Intellectual Property I, Lp | Method and apparatus for exchanging communication signals |
| US9544006B2 (en) | 2014-11-20 | 2017-01-10 | At&T Intellectual Property I, L.P. | Transmission device with mode division multiplexing and methods for use therewith |
| US9654173B2 (en) | 2014-11-20 | 2017-05-16 | At&T Intellectual Property I, L.P. | Apparatus for powering a communication device and methods thereof |
| US10505248B2 (en) | 2014-11-20 | 2019-12-10 | At&T Intellectual Property I, L.P. | Communication cable having a plurality of uninsulated conductors forming interstitial areas for propagating electromagnetic waves therein and method of use |
| WO2016114514A1 (ko) * | 2015-01-12 | 2016-07-21 | 한국과학기술원 | 소형화된 단일모드 광섬유로 구성된 리본 광섬유 |
| US10144036B2 (en) | 2015-01-30 | 2018-12-04 | At&T Intellectual Property I, L.P. | Method and apparatus for mitigating interference affecting a propagation of electromagnetic waves guided by a transmission medium |
| US9876570B2 (en) | 2015-02-20 | 2018-01-23 | At&T Intellectual Property I, Lp | Guided-wave transmission device with non-fundamental mode propagation and methods for use therewith |
| US9749013B2 (en) | 2015-03-17 | 2017-08-29 | At&T Intellectual Property I, L.P. | Method and apparatus for reducing attenuation of electromagnetic waves guided by a transmission medium |
| CA2981516C (en) | 2015-04-01 | 2023-09-19 | Afl Telecommunications Llc | Ultra-high fiber density micro-duct cable with extreme operating performance |
| US9705561B2 (en) | 2015-04-24 | 2017-07-11 | At&T Intellectual Property I, L.P. | Directional coupling device and methods for use therewith |
| US10224981B2 (en) | 2015-04-24 | 2019-03-05 | At&T Intellectual Property I, Lp | Passive electrical coupling device and methods for use therewith |
| US9793954B2 (en) | 2015-04-28 | 2017-10-17 | At&T Intellectual Property I, L.P. | Magnetic coupling device and methods for use therewith |
| US9948354B2 (en) | 2015-04-28 | 2018-04-17 | At&T Intellectual Property I, L.P. | Magnetic coupling device with reflective plate and methods for use therewith |
| US9871282B2 (en) | 2015-05-14 | 2018-01-16 | At&T Intellectual Property I, L.P. | At least one transmission medium having a dielectric surface that is covered at least in part by a second dielectric |
| US9490869B1 (en) | 2015-05-14 | 2016-11-08 | At&T Intellectual Property I, L.P. | Transmission medium having multiple cores and methods for use therewith |
| US9748626B2 (en) | 2015-05-14 | 2017-08-29 | At&T Intellectual Property I, L.P. | Plurality of cables having different cross-sectional shapes which are bundled together to form a transmission medium |
| US10679767B2 (en) | 2015-05-15 | 2020-06-09 | At&T Intellectual Property I, L.P. | Transmission medium having a conductive material and methods for use therewith |
| US10650940B2 (en) | 2015-05-15 | 2020-05-12 | At&T Intellectual Property I, L.P. | Transmission medium having a conductive material and methods for use therewith |
| US20160341923A1 (en) * | 2015-05-20 | 2016-11-24 | Corning Optical Communications LLC | Pushable fiber optic cable for small ducts |
| US9917341B2 (en) | 2015-05-27 | 2018-03-13 | At&T Intellectual Property I, L.P. | Apparatus and method for launching electromagnetic waves and for modifying radial dimensions of the propagating electromagnetic waves |
| US9866309B2 (en) | 2015-06-03 | 2018-01-09 | At&T Intellectual Property I, Lp | Host node device and methods for use therewith |
| US10348391B2 (en) | 2015-06-03 | 2019-07-09 | At&T Intellectual Property I, L.P. | Client node device with frequency conversion and methods for use therewith |
| US10154493B2 (en) | 2015-06-03 | 2018-12-11 | At&T Intellectual Property I, L.P. | Network termination and methods for use therewith |
| US9912381B2 (en) | 2015-06-03 | 2018-03-06 | At&T Intellectual Property I, Lp | Network termination and methods for use therewith |
| US10812174B2 (en) | 2015-06-03 | 2020-10-20 | At&T Intellectual Property I, L.P. | Client node device and methods for use therewith |
| US10103801B2 (en) | 2015-06-03 | 2018-10-16 | At&T Intellectual Property I, L.P. | Host node device and methods for use therewith |
| US9913139B2 (en) | 2015-06-09 | 2018-03-06 | At&T Intellectual Property I, L.P. | Signal fingerprinting for authentication of communicating devices |
| US9608692B2 (en) | 2015-06-11 | 2017-03-28 | At&T Intellectual Property I, L.P. | Repeater and methods for use therewith |
| US10142086B2 (en) | 2015-06-11 | 2018-11-27 | At&T Intellectual Property I, L.P. | Repeater and methods for use therewith |
| US9820146B2 (en) | 2015-06-12 | 2017-11-14 | At&T Intellectual Property I, L.P. | Method and apparatus for authentication and identity management of communicating devices |
| US9667317B2 (en) | 2015-06-15 | 2017-05-30 | At&T Intellectual Property I, L.P. | Method and apparatus for providing security using network traffic adjustments |
| US9865911B2 (en) | 2015-06-25 | 2018-01-09 | At&T Intellectual Property I, L.P. | Waveguide system for slot radiating first electromagnetic waves that are combined into a non-fundamental wave mode second electromagnetic wave on a transmission medium |
| US9509415B1 (en) | 2015-06-25 | 2016-11-29 | At&T Intellectual Property I, L.P. | Methods and apparatus for inducing a fundamental wave mode on a transmission medium |
| US9640850B2 (en) | 2015-06-25 | 2017-05-02 | At&T Intellectual Property I, L.P. | Methods and apparatus for inducing a non-fundamental wave mode on a transmission medium |
| US10148016B2 (en) | 2015-07-14 | 2018-12-04 | At&T Intellectual Property I, L.P. | Apparatus and methods for communicating utilizing an antenna array |
| US10170840B2 (en) | 2015-07-14 | 2019-01-01 | At&T Intellectual Property I, L.P. | Apparatus and methods for sending or receiving electromagnetic signals |
| US10205655B2 (en) | 2015-07-14 | 2019-02-12 | At&T Intellectual Property I, L.P. | Apparatus and methods for communicating utilizing an antenna array and multiple communication paths |
| US10033107B2 (en) | 2015-07-14 | 2018-07-24 | At&T Intellectual Property I, L.P. | Method and apparatus for coupling an antenna to a device |
| US10044409B2 (en) | 2015-07-14 | 2018-08-07 | At&T Intellectual Property I, L.P. | Transmission medium and methods for use therewith |
| US10320586B2 (en) | 2015-07-14 | 2019-06-11 | At&T Intellectual Property I, L.P. | Apparatus and methods for generating non-interfering electromagnetic waves on an insulated transmission medium |
| US9628116B2 (en) | 2015-07-14 | 2017-04-18 | At&T Intellectual Property I, L.P. | Apparatus and methods for transmitting wireless signals |
| US9847566B2 (en) | 2015-07-14 | 2017-12-19 | At&T Intellectual Property I, L.P. | Method and apparatus for adjusting a field of a signal to mitigate interference |
| US10033108B2 (en) | 2015-07-14 | 2018-07-24 | At&T Intellectual Property I, L.P. | Apparatus and methods for generating an electromagnetic wave having a wave mode that mitigates interference |
| US9853342B2 (en) | 2015-07-14 | 2017-12-26 | At&T Intellectual Property I, L.P. | Dielectric transmission medium connector and methods for use therewith |
| US9882257B2 (en) | 2015-07-14 | 2018-01-30 | At&T Intellectual Property I, L.P. | Method and apparatus for launching a wave mode that mitigates interference |
| US9722318B2 (en) | 2015-07-14 | 2017-08-01 | At&T Intellectual Property I, L.P. | Method and apparatus for coupling an antenna to a device |
| US10341142B2 (en) | 2015-07-14 | 2019-07-02 | At&T Intellectual Property I, L.P. | Apparatus and methods for generating non-interfering electromagnetic waves on an uninsulated conductor |
| US9836957B2 (en) | 2015-07-14 | 2017-12-05 | At&T Intellectual Property I, L.P. | Method and apparatus for communicating with premises equipment |
| US9793951B2 (en) | 2015-07-15 | 2017-10-17 | At&T Intellectual Property I, L.P. | Method and apparatus for launching a wave mode that mitigates interference |
| US9608740B2 (en) | 2015-07-15 | 2017-03-28 | At&T Intellectual Property I, L.P. | Method and apparatus for launching a wave mode that mitigates interference |
| US10090606B2 (en) | 2015-07-15 | 2018-10-02 | At&T Intellectual Property I, L.P. | Antenna system with dielectric array and methods for use therewith |
| US9948333B2 (en) | 2015-07-23 | 2018-04-17 | At&T Intellectual Property I, L.P. | Method and apparatus for wireless communications to mitigate interference |
| US9871283B2 (en) | 2015-07-23 | 2018-01-16 | At&T Intellectual Property I, Lp | Transmission medium having a dielectric core comprised of plural members connected by a ball and socket configuration |
| US9912027B2 (en) | 2015-07-23 | 2018-03-06 | At&T Intellectual Property I, L.P. | Method and apparatus for exchanging communication signals |
| US10784670B2 (en) | 2015-07-23 | 2020-09-22 | At&T Intellectual Property I, L.P. | Antenna support for aligning an antenna |
| US9749053B2 (en) | 2015-07-23 | 2017-08-29 | At&T Intellectual Property I, L.P. | Node device, repeater and methods for use therewith |
| US10020587B2 (en) | 2015-07-31 | 2018-07-10 | At&T Intellectual Property I, L.P. | Radial antenna and methods for use therewith |
| US9967173B2 (en) | 2015-07-31 | 2018-05-08 | At&T Intellectual Property I, L.P. | Method and apparatus for authentication and identity management of communicating devices |
| US9735833B2 (en) | 2015-07-31 | 2017-08-15 | At&T Intellectual Property I, L.P. | Method and apparatus for communications management in a neighborhood network |
| US9904535B2 (en) | 2015-09-14 | 2018-02-27 | At&T Intellectual Property I, L.P. | Method and apparatus for distributing software |
| US9705571B2 (en) | 2015-09-16 | 2017-07-11 | At&T Intellectual Property I, L.P. | Method and apparatus for use with a radio distributed antenna system |
| US10136434B2 (en) | 2015-09-16 | 2018-11-20 | At&T Intellectual Property I, L.P. | Method and apparatus for use with a radio distributed antenna system having an ultra-wideband control channel |
| US10079661B2 (en) | 2015-09-16 | 2018-09-18 | At&T Intellectual Property I, L.P. | Method and apparatus for use with a radio distributed antenna system having a clock reference |
| US10139561B2 (en) | 2015-09-16 | 2018-11-27 | Corning Incorporated | Low-loss and low-bend-loss optical fiber |
| US10009063B2 (en) | 2015-09-16 | 2018-06-26 | At&T Intellectual Property I, L.P. | Method and apparatus for use with a radio distributed antenna system having an out-of-band reference signal |
| US10051629B2 (en) | 2015-09-16 | 2018-08-14 | At&T Intellectual Property I, L.P. | Method and apparatus for use with a radio distributed antenna system having an in-band reference signal |
| US10009901B2 (en) | 2015-09-16 | 2018-06-26 | At&T Intellectual Property I, L.P. | Method, apparatus, and computer-readable storage medium for managing utilization of wireless resources between base stations |
| US9769128B2 (en) | 2015-09-28 | 2017-09-19 | At&T Intellectual Property I, L.P. | Method and apparatus for encryption of communications over a network |
| US9729197B2 (en) | 2015-10-01 | 2017-08-08 | At&T Intellectual Property I, L.P. | Method and apparatus for communicating network management traffic over a network |
| US9876264B2 (en) | 2015-10-02 | 2018-01-23 | At&T Intellectual Property I, Lp | Communication system, guided wave switch and methods for use therewith |
| US10074890B2 (en) | 2015-10-02 | 2018-09-11 | At&T Intellectual Property I, L.P. | Communication device and antenna with integrated light assembly |
| US9882277B2 (en) | 2015-10-02 | 2018-01-30 | At&T Intellectual Property I, Lp | Communication device and antenna assembly with actuated gimbal mount |
| US10355367B2 (en) | 2015-10-16 | 2019-07-16 | At&T Intellectual Property I, L.P. | Antenna structure for exchanging wireless signals |
| US10051483B2 (en) | 2015-10-16 | 2018-08-14 | At&T Intellectual Property I, L.P. | Method and apparatus for directing wireless signals |
| US10665942B2 (en) | 2015-10-16 | 2020-05-26 | At&T Intellectual Property I, L.P. | Method and apparatus for adjusting wireless communications |
| US10221687B2 (en) | 2015-11-26 | 2019-03-05 | Merger Mines Corporation | Method of mining using a laser |
| PL3876012T3 (pl) * | 2016-05-25 | 2026-02-23 | Corning Optical Communications LLC | Kabel światłowodowy o wysokiej gęstości włókien i niskich stratach na zgięciu |
| US9912419B1 (en) | 2016-08-24 | 2018-03-06 | At&T Intellectual Property I, L.P. | Method and apparatus for managing a fault in a distributed antenna system |
| US9860075B1 (en) | 2016-08-26 | 2018-01-02 | At&T Intellectual Property I, L.P. | Method and communication node for broadband distribution |
| US10291311B2 (en) | 2016-09-09 | 2019-05-14 | At&T Intellectual Property I, L.P. | Method and apparatus for mitigating a fault in a distributed antenna system |
| US11032819B2 (en) | 2016-09-15 | 2021-06-08 | At&T Intellectual Property I, L.P. | Method and apparatus for use with a radio distributed antenna system having a control channel reference signal |
| US10135147B2 (en) | 2016-10-18 | 2018-11-20 | At&T Intellectual Property I, L.P. | Apparatus and methods for launching guided waves via an antenna |
| US10135146B2 (en) | 2016-10-18 | 2018-11-20 | At&T Intellectual Property I, L.P. | Apparatus and methods for launching guided waves via circuits |
| US10340600B2 (en) | 2016-10-18 | 2019-07-02 | At&T Intellectual Property I, L.P. | Apparatus and methods for launching guided waves via plural waveguide systems |
| US9991580B2 (en) | 2016-10-21 | 2018-06-05 | At&T Intellectual Property I, L.P. | Launcher and coupling system for guided wave mode cancellation |
| US9876605B1 (en) | 2016-10-21 | 2018-01-23 | At&T Intellectual Property I, L.P. | Launcher and coupling system to support desired guided wave mode |
| US10811767B2 (en) | 2016-10-21 | 2020-10-20 | At&T Intellectual Property I, L.P. | System and dielectric antenna with convex dielectric radome |
| US10374316B2 (en) | 2016-10-21 | 2019-08-06 | At&T Intellectual Property I, L.P. | System and dielectric antenna with non-uniform dielectric |
| US10312567B2 (en) | 2016-10-26 | 2019-06-04 | At&T Intellectual Property I, L.P. | Launcher with planar strip antenna and methods for use therewith |
| US10291334B2 (en) | 2016-11-03 | 2019-05-14 | At&T Intellectual Property I, L.P. | System for detecting a fault in a communication system |
| US10498044B2 (en) | 2016-11-03 | 2019-12-03 | At&T Intellectual Property I, L.P. | Apparatus for configuring a surface of an antenna |
| US10224634B2 (en) | 2016-11-03 | 2019-03-05 | At&T Intellectual Property I, L.P. | Methods and apparatus for adjusting an operational characteristic of an antenna |
| US10225025B2 (en) | 2016-11-03 | 2019-03-05 | At&T Intellectual Property I, L.P. | Method and apparatus for detecting a fault in a communication system |
| EP3542201A4 (en) * | 2016-11-17 | 2020-06-10 | Corning Research And Development Corporation | HIGH DENSITY FIBERGLASS FLAT TAPE CABLE WITH LOW BEND LOSS |
| US10535928B2 (en) | 2016-11-23 | 2020-01-14 | At&T Intellectual Property I, L.P. | Antenna system and methods for use therewith |
| US10090594B2 (en) | 2016-11-23 | 2018-10-02 | At&T Intellectual Property I, L.P. | Antenna system having structural configurations for assembly |
| US10340601B2 (en) | 2016-11-23 | 2019-07-02 | At&T Intellectual Property I, L.P. | Multi-antenna system and methods for use therewith |
| US10178445B2 (en) | 2016-11-23 | 2019-01-08 | At&T Intellectual Property I, L.P. | Methods, devices, and systems for load balancing between a plurality of waveguides |
| US10340603B2 (en) | 2016-11-23 | 2019-07-02 | At&T Intellectual Property I, L.P. | Antenna system having shielded structural configurations for assembly |
| PL3548942T3 (pl) * | 2016-11-30 | 2022-05-02 | Corning Optical Communications LLC | Kabel światłowodowy o niskim tłumieniu, z cząsteczkami aktywnymi o małych rozmiarach |
| US10361489B2 (en) | 2016-12-01 | 2019-07-23 | At&T Intellectual Property I, L.P. | Dielectric dish antenna system and methods for use therewith |
| US10305190B2 (en) | 2016-12-01 | 2019-05-28 | At&T Intellectual Property I, L.P. | Reflecting dielectric antenna system and methods for use therewith |
| US10382976B2 (en) | 2016-12-06 | 2019-08-13 | At&T Intellectual Property I, L.P. | Method and apparatus for managing wireless communications based on communication paths and network device positions |
| US10135145B2 (en) | 2016-12-06 | 2018-11-20 | At&T Intellectual Property I, L.P. | Apparatus and methods for generating an electromagnetic wave along a transmission medium |
| US10727599B2 (en) | 2016-12-06 | 2020-07-28 | At&T Intellectual Property I, L.P. | Launcher with slot antenna and methods for use therewith |
| US10637149B2 (en) | 2016-12-06 | 2020-04-28 | At&T Intellectual Property I, L.P. | Injection molded dielectric antenna and methods for use therewith |
| US10326494B2 (en) | 2016-12-06 | 2019-06-18 | At&T Intellectual Property I, L.P. | Apparatus for measurement de-embedding and methods for use therewith |
| US10755542B2 (en) | 2016-12-06 | 2020-08-25 | At&T Intellectual Property I, L.P. | Method and apparatus for surveillance via guided wave communication |
| US10694379B2 (en) | 2016-12-06 | 2020-06-23 | At&T Intellectual Property I, L.P. | Waveguide system with device-based authentication and methods for use therewith |
| US10819035B2 (en) | 2016-12-06 | 2020-10-27 | At&T Intellectual Property I, L.P. | Launcher with helical antenna and methods for use therewith |
| US10439675B2 (en) | 2016-12-06 | 2019-10-08 | At&T Intellectual Property I, L.P. | Method and apparatus for repeating guided wave communication signals |
| US9927517B1 (en) | 2016-12-06 | 2018-03-27 | At&T Intellectual Property I, L.P. | Apparatus and methods for sensing rainfall |
| US10020844B2 (en) | 2016-12-06 | 2018-07-10 | T&T Intellectual Property I, L.P. | Method and apparatus for broadcast communication via guided waves |
| US10027397B2 (en) | 2016-12-07 | 2018-07-17 | At&T Intellectual Property I, L.P. | Distributed antenna system and methods for use therewith |
| US10446936B2 (en) | 2016-12-07 | 2019-10-15 | At&T Intellectual Property I, L.P. | Multi-feed dielectric antenna system and methods for use therewith |
| US10547348B2 (en) | 2016-12-07 | 2020-01-28 | At&T Intellectual Property I, L.P. | Method and apparatus for switching transmission mediums in a communication system |
| US10359749B2 (en) | 2016-12-07 | 2019-07-23 | At&T Intellectual Property I, L.P. | Method and apparatus for utilities management via guided wave communication |
| US9893795B1 (en) | 2016-12-07 | 2018-02-13 | At&T Intellectual Property I, Lp | Method and repeater for broadband distribution |
| US10389029B2 (en) | 2016-12-07 | 2019-08-20 | At&T Intellectual Property I, L.P. | Multi-feed dielectric antenna system with core selection and methods for use therewith |
| US10243270B2 (en) | 2016-12-07 | 2019-03-26 | At&T Intellectual Property I, L.P. | Beam adaptive multi-feed dielectric antenna system and methods for use therewith |
| US10168695B2 (en) | 2016-12-07 | 2019-01-01 | At&T Intellectual Property I, L.P. | Method and apparatus for controlling an unmanned aircraft |
| US10139820B2 (en) | 2016-12-07 | 2018-11-27 | At&T Intellectual Property I, L.P. | Method and apparatus for deploying equipment of a communication system |
| US10938108B2 (en) | 2016-12-08 | 2021-03-02 | At&T Intellectual Property I, L.P. | Frequency selective multi-feed dielectric antenna system and methods for use therewith |
| US10326689B2 (en) | 2016-12-08 | 2019-06-18 | At&T Intellectual Property I, L.P. | Method and system for providing alternative communication paths |
| US10103422B2 (en) | 2016-12-08 | 2018-10-16 | At&T Intellectual Property I, L.P. | Method and apparatus for mounting network devices |
| US10916969B2 (en) | 2016-12-08 | 2021-02-09 | At&T Intellectual Property I, L.P. | Method and apparatus for providing power using an inductive coupling |
| US9998870B1 (en) | 2016-12-08 | 2018-06-12 | At&T Intellectual Property I, L.P. | Method and apparatus for proximity sensing |
| US10411356B2 (en) | 2016-12-08 | 2019-09-10 | At&T Intellectual Property I, L.P. | Apparatus and methods for selectively targeting communication devices with an antenna array |
| US10601494B2 (en) | 2016-12-08 | 2020-03-24 | At&T Intellectual Property I, L.P. | Dual-band communication device and method for use therewith |
| US10389037B2 (en) | 2016-12-08 | 2019-08-20 | At&T Intellectual Property I, L.P. | Apparatus and methods for selecting sections of an antenna array and use therewith |
| US10777873B2 (en) | 2016-12-08 | 2020-09-15 | At&T Intellectual Property I, L.P. | Method and apparatus for mounting network devices |
| US9911020B1 (en) | 2016-12-08 | 2018-03-06 | At&T Intellectual Property I, L.P. | Method and apparatus for tracking via a radio frequency identification device |
| US10069535B2 (en) | 2016-12-08 | 2018-09-04 | At&T Intellectual Property I, L.P. | Apparatus and methods for launching electromagnetic waves having a certain electric field structure |
| US10530505B2 (en) | 2016-12-08 | 2020-01-07 | At&T Intellectual Property I, L.P. | Apparatus and methods for launching electromagnetic waves along a transmission medium |
| US10340983B2 (en) | 2016-12-09 | 2019-07-02 | At&T Intellectual Property I, L.P. | Method and apparatus for surveying remote sites via guided wave communications |
| US9838896B1 (en) | 2016-12-09 | 2017-12-05 | At&T Intellectual Property I, L.P. | Method and apparatus for assessing network coverage |
| US10264586B2 (en) | 2016-12-09 | 2019-04-16 | At&T Mobility Ii Llc | Cloud-based packet controller and methods for use therewith |
| JP6360929B1 (ja) | 2017-02-15 | 2018-07-18 | 株式会社フジクラ | 光ファイバセンサ |
| US10162107B2 (en) | 2017-02-16 | 2018-12-25 | Institut National D'optique | Multicore optical fiber for multipoint distributed sensing and probing |
| US9973940B1 (en) | 2017-02-27 | 2018-05-15 | At&T Intellectual Property I, L.P. | Apparatus and methods for dynamic impedance matching of a guided wave launcher |
| CN110383130B (zh) * | 2017-03-03 | 2021-06-22 | 住友电气工业株式会社 | 光纤 |
| US10298293B2 (en) | 2017-03-13 | 2019-05-21 | At&T Intellectual Property I, L.P. | Apparatus of communication utilizing wireless network devices |
| US10591667B2 (en) * | 2017-05-19 | 2020-03-17 | Ofs Fitel, Llc | Optical fiber with specialized figure-of-merit and applications therefor |
| US10359577B2 (en) | 2017-06-28 | 2019-07-23 | Corning Research & Development Corporation | Multiports and optical connectors with rotationally discrete locking and keying features |
| US11300746B2 (en) | 2017-06-28 | 2022-04-12 | Corning Research & Development Corporation | Fiber optic port module inserts, assemblies and methods of making the same |
| US11187859B2 (en) | 2017-06-28 | 2021-11-30 | Corning Research & Development Corporation | Fiber optic connectors and methods of making the same |
| US12271040B2 (en) | 2017-06-28 | 2025-04-08 | Corning Research & Development Corporation | Fiber optic extender ports, assemblies and methods of making the same |
| US11668890B2 (en) | 2017-06-28 | 2023-06-06 | Corning Research & Development Corporation | Multiports and other devices having optical connection ports with securing features and methods of making the same |
| EP3646075B1 (en) | 2017-06-28 | 2025-07-30 | Corning Research & Development Corporation | Multiports having connection ports with securing features that actuate flexures and methods of making the same |
| EP3652575B1 (en) | 2017-07-11 | 2023-12-27 | Prysmian S.p.A. | An optical fiber ribbon and a method of producing the same |
| NZ760304A (en) | 2017-07-11 | 2022-05-27 | Prysmian Spa | An optical fiber ribbon assembly and a method of producing the same |
| US11007011B2 (en) * | 2017-11-10 | 2021-05-18 | Boston Scientific Scimed, Inc. | Medical laser fiber |
| WO2019122943A1 (en) | 2017-12-21 | 2019-06-27 | Draka Comteq France | Bending-loss insensitve single mode fibre, with a shallow trench, and corresponding optical system |
| US11256051B2 (en) | 2018-01-15 | 2022-02-22 | Prysmian S.P.A. | Flexible optical-fiber ribbon |
| KR20200105921A (ko) | 2018-01-15 | 2020-09-09 | 프리즈미안 에스피에이 | 광섬유 리본 그리고 그 제조 방법 및 시스템 |
| EP3740800A1 (en) | 2018-01-15 | 2020-11-25 | Prysmian S.p.A. | A method for producing a flexible optical fiber ribbon and said ribbon |
| US10871621B2 (en) * | 2018-03-27 | 2020-12-22 | Ofs Fitel, Llc | Rollable ribbon fibers with water-swellable coatings |
| US11584041B2 (en) | 2018-04-20 | 2023-02-21 | Pella Corporation | Reinforced pultrusion member and method of making |
| US11371280B2 (en) | 2018-04-27 | 2022-06-28 | Pella Corporation | Modular frame design |
| WO2020069053A1 (en) * | 2018-09-28 | 2020-04-02 | Corning Research & Development Corporation | Small diameter fiber optic cables having low-friction cable jackets and optical fibers with reduced cladding and coating diameters |
| WO2020112354A1 (en) | 2018-11-29 | 2020-06-04 | Corning Research & Development Corporation | Multiports having connection ports with rotating actuators and method for making the same |
| US10768382B2 (en) | 2018-11-29 | 2020-09-08 | Corning Research & Development Corporation | Multiport assemblies including access apertures and a release tool |
| US11262522B2 (en) * | 2018-12-18 | 2022-03-01 | Sterlite Technologies Limited | Multi loose tube ribbon cable |
| EP3903136B1 (en) | 2018-12-28 | 2024-11-06 | Corning Research & Development Corporation | Multiport assemblies including mounting features or dust plugs |
| EP3977190B1 (en) | 2019-05-31 | 2024-04-24 | Corning Research & Development Corporation | Multiports having optical connection ports with sliding actuators |
| US11714227B2 (en) * | 2019-06-17 | 2023-08-01 | Sterlite Technologies Limited | Universal optical fiber |
| US11294133B2 (en) | 2019-07-31 | 2022-04-05 | Corning Research & Development Corporation | Fiber optic networks using multiports and cable assemblies with cable-to-connector orientation |
| WO2021025858A1 (en) | 2019-08-07 | 2021-02-11 | Corning Incorporated | Single mode optical fiber with low bend loss at small and large bend diameters |
| CN110794509B (zh) * | 2019-09-29 | 2020-09-11 | 法尔胜泓昇集团有限公司 | 一种单模光纤及其制备方法 |
| US11487073B2 (en) | 2019-09-30 | 2022-11-01 | Corning Research & Development Corporation | Cable input devices having an integrated locking feature and assemblies using the cable input devices |
| EP3805827B1 (en) | 2019-10-07 | 2025-07-30 | Corning Research & Development Corporation | Fiber optic terminals and fiber optic networks having variable ratio couplers |
| PL4045957T3 (pl) | 2019-10-18 | 2024-04-29 | Corning Research & Development Corporation | Terminale mające optyczne porty połączeniowe z elementami mocującymi zapewniającymi stałe siły utrzymania |
| US10884213B1 (en) * | 2019-11-14 | 2021-01-05 | Prysmian S.P.A. | Optical-fiber ribbon with distorted sinusoidal adhesive pattern and method therefor |
| US11650388B2 (en) | 2019-11-14 | 2023-05-16 | Corning Research & Development Corporation | Fiber optic networks having a self-supporting optical terminal and methods of installing the optical terminal |
| US11536921B2 (en) | 2020-02-11 | 2022-12-27 | Corning Research & Development Corporation | Fiber optic terminals having one or more loopback assemblies |
| US11675124B2 (en) | 2020-06-26 | 2023-06-13 | Corning Incorporated | Optical fiber with increased bend performance |
| WO2022005952A1 (en) | 2020-06-29 | 2022-01-06 | Corning Research & Development Corporation | Terminals having a multi-fiber optical connection port that inhibits damage from single-fiber connectors |
| WO2022010667A1 (en) | 2020-07-07 | 2022-01-13 | Corning Incorporated | Optical fiber with inverse triangular trench design |
| CN111897045B (zh) * | 2020-09-17 | 2022-08-02 | 长飞光纤光缆股份有限公司 | 一种抗弯曲多芯光纤 |
| US11604320B2 (en) | 2020-09-30 | 2023-03-14 | Corning Research & Development Corporation | Connector assemblies for telecommunication enclosures |
| EP4237889B1 (en) | 2020-10-30 | 2025-08-27 | Corning Research & Development Corporation | Female fiber optic connectors having a rocker latch arm |
| US11927810B2 (en) | 2020-11-30 | 2024-03-12 | Corning Research & Development Corporation | Fiber optic adapter assemblies including a conversion housing and a release member |
| US11994722B2 (en) | 2020-11-30 | 2024-05-28 | Corning Research & Development Corporation | Fiber optic adapter assemblies including an adapter housing and a locking housing |
| US11686913B2 (en) | 2020-11-30 | 2023-06-27 | Corning Research & Development Corporation | Fiber optic cable assemblies and connector assemblies having a crimp ring and crimp body and methods of fabricating the same |
| US11880076B2 (en) | 2020-11-30 | 2024-01-23 | Corning Research & Development Corporation | Fiber optic adapter assemblies including a conversion housing and a release housing |
| EP4259025A1 (en) * | 2020-12-09 | 2023-10-18 | Smith & Nephew, Inc. | Fiber optic cable for less invasive bone tracking |
| US11460652B2 (en) | 2020-12-22 | 2022-10-04 | Prysmian S.P.A. | Optical-fiber ribbon with adhesive-free gaps |
| US11442238B2 (en) | 2020-12-22 | 2022-09-13 | Prysmian S.P.A. | Optical-fiber ribbon with spaced optical-fiber units |
| US11860429B2 (en) | 2020-12-22 | 2024-01-02 | Prysmian S.P.A. | Optical-fiber ribbon with spaced optical-fiber units |
| US11947167B2 (en) | 2021-05-26 | 2024-04-02 | Corning Research & Development Corporation | Fiber optic terminals and tools and methods for adjusting a split ratio of a fiber optic terminal |
| CN113588066A (zh) * | 2021-07-22 | 2021-11-02 | 武汉理工大学 | 一种基于弱导光纤宏弯效应的微振动传感装置 |
| WO2023081039A1 (en) * | 2021-11-03 | 2023-05-11 | Corning Research & Development Corporation | Optical fiber ribbon configured to maintain orientation of polarization-maintaining and multicore optical fibers |
| CN114847955B (zh) * | 2022-07-05 | 2022-10-11 | 诺尔医疗(深圳)有限公司 | 脑电极制造方法及脑电极 |
| US12353002B2 (en) * | 2022-12-22 | 2025-07-08 | Sterlite Technologies Limited | Optical fiber with improved microbending performance |
| US20250155662A1 (en) | 2023-11-09 | 2025-05-15 | Prysmian S.P.A. | Optical-Fiber Ribbon |
| US20250306320A1 (en) | 2024-03-28 | 2025-10-02 | Prysmian S.P.A. | Easy-access flat drop cable |
Citations (4)
| Publication number | Priority date | Publication date | Assignee | Title |
|---|---|---|---|---|
| US5608832A (en) * | 1993-04-14 | 1997-03-04 | Siemens Aktiengesellschaft | Optical cable having a plurality of light waveguides arranged in a prescribed structure and having different mechanical sensitivies |
| RU2152632C1 (ru) * | 1994-10-17 | 2000-07-10 | Корнинг Инкорпорейтед | Одномодовое оптическое волноводное волокно (варианты) |
| RU2234723C2 (ru) * | 2001-10-24 | 2004-08-20 | Ковшик Александр Петрович | Способ спектрально-селективного преобразования мод оптического излучения в волноводе и устройство для его реализации |
| US7164835B2 (en) * | 2003-04-11 | 2007-01-16 | Fujikura, Ltd. | Optical fiber |
Family Cites Families (193)
| Publication number | Priority date | Publication date | Assignee | Title |
|---|---|---|---|---|
| DE2444100C3 (de) * | 1974-09-14 | 1979-04-12 | Philips Patentverwaltung Gmbh, 2000 Hamburg | Verfahren zur Herstellung von innenbeschichteten Glasrohren zum Ziehen von Lichtleitfasern |
| US4114980A (en) * | 1976-05-10 | 1978-09-19 | International Telephone And Telegraph Corporation | Low loss multilayer optical fiber |
| DE2718228C2 (de) | 1977-04-23 | 1983-10-13 | WOCO Franz-Josef Wolf & Co, 6483 Bad Soden-Salmünster | Kondensatorabdeckscheibe |
| DE2929166A1 (de) | 1979-07-19 | 1981-01-29 | Philips Patentverwaltung | Verfahren zur herstellung von lichtleitfasern |
| US4385802A (en) * | 1980-06-09 | 1983-05-31 | Corning Glass Works | Long wavelength, low-loss optical waveguide |
| AU535343B2 (en) | 1981-02-27 | 1984-03-15 | Associated Electrical Industries Limited | Manufacture of optical fibre preform |
| US4750806A (en) * | 1985-06-17 | 1988-06-14 | Alcatel Usa Corporation | Glass fibers and capillaries with high temperature resistant coatings |
| US4641917A (en) * | 1985-02-08 | 1987-02-10 | At&T Bell Laboratories | Single mode optical fiber |
| US4836640A (en) | 1986-06-27 | 1989-06-06 | American Telephone And Telegraph Company, At&T Bell Laboratories | Depressed cladding optical fiber cable |
| US4852968A (en) * | 1986-08-08 | 1989-08-01 | American Telephone And Telegraph Company, At&T Bell Laboratories | Optical fiber comprising a refractive index trench |
| DE3700565A1 (de) | 1987-01-10 | 1988-07-28 | Licentia Gmbh | Lichtwellenleiter |
| DE3731604A1 (de) * | 1987-09-19 | 1989-03-30 | Philips Patentverwaltung | Verfahren zur herstellung einer monomode-lichtleitfaser |
| DE3804152A1 (de) | 1988-02-11 | 1989-08-24 | Rheydt Kabelwerk Ag | Lichtwellenleiter |
| US4838643A (en) | 1988-03-23 | 1989-06-13 | Alcatel Na, Inc. | Single mode bend insensitive fiber for use in fiber optic guidance applications |
| GB2228585A (en) | 1989-02-28 | 1990-08-29 | Stc Plc | Silica optical fibre having two cladding layers |
| US5044724A (en) * | 1989-12-22 | 1991-09-03 | At&T Bell Laboratories | Method of producing optical fiber, and fiber produced by the method |
| US5032001A (en) * | 1990-03-09 | 1991-07-16 | At&T Bell Laboratories | Optical fiber having enhanced bend resistance |
| US5175785A (en) | 1991-05-02 | 1992-12-29 | Ensign-Bickford Optical Technologies, Inc. | Optical waveguides having reduced bending loss and method of making the same |
| US5235660A (en) * | 1992-07-10 | 1993-08-10 | Peachtree Fiberoptics, Inc. | Graded polymer optical fibers and process for the manufacture thereof |
| US5448674A (en) | 1992-11-18 | 1995-09-05 | At&T Corp. | Article comprising a dispersion-compensating optical waveguide |
| GB2273389B (en) | 1992-12-14 | 1996-07-17 | Pirelli Cavi Spa | Rare earth doped optical fibre amplifiers |
| JPH07261048A (ja) | 1994-03-23 | 1995-10-13 | Sumitomo Electric Ind Ltd | 分散補償ファイバ |
| US5917109A (en) | 1994-12-20 | 1999-06-29 | Corning Incorporated | Method of making optical fiber having depressed index core region |
| US5574816A (en) * | 1995-01-24 | 1996-11-12 | Alcatel Na Cable Sytems, Inc. | Polypropylene-polyethylene copolymer buffer tubes for optical fiber cables and method for making the same |
| CA2170815C (en) * | 1995-03-10 | 2002-05-28 | Youichi Akasaka | Dispersion compensating optical fiber |
| US5586205A (en) * | 1995-04-10 | 1996-12-17 | National Science Council | Apparatus for selecting waveguide modes in optical fiber and the method of manufacturing the same |
| TW342460B (en) * | 1996-01-16 | 1998-10-11 | Sumitomo Electric Industries | A dispersion shift fiber |
| JP3437848B2 (ja) * | 1996-03-28 | 2003-08-18 | 三菱レイヨン株式会社 | 屈折率分布型光ファイバ及びその製法 |
| US5802236A (en) | 1997-02-14 | 1998-09-01 | Lucent Technologies Inc. | Article comprising a micro-structured optical fiber, and method of making such fiber |
| US5717805A (en) * | 1996-06-12 | 1998-02-10 | Alcatel Na Cable Systems, Inc. | Stress concentrations in an optical fiber ribbon to facilitate separation of ribbon matrix material |
| US5851259A (en) | 1996-10-30 | 1998-12-22 | Lucent Technologies Inc. | Method for making Ge-Doped optical fibers having reduced brillouin scattering |
| ZA9711125B (en) | 1996-12-12 | 1998-09-22 | Sumitomo Electric Industries | Single-mode optical fiber |
| US7322122B2 (en) | 1997-01-15 | 2008-01-29 | Draka Comteq B.V. | Method and apparatus for curing a fiber having at least two fiber coating curing stages |
| CA2229280A1 (en) * | 1997-02-12 | 1998-08-12 | Sumitomo Electric Industries, Ltd. | Dispersion-shifted fiber |
| DE69837506T2 (de) | 1997-02-26 | 2007-12-27 | Nippon Telegraph And Telephone Corp. | Optische Faser |
| FR2760540B1 (fr) * | 1997-03-10 | 1999-04-16 | Alsthom Cge Alcatel | Cable a fibres optiques serrees dans une gaine |
| US5966490A (en) | 1997-03-21 | 1999-10-12 | Sdl, Inc. | Clad optic fiber, and process for production thereof |
| GB9713422D0 (en) | 1997-06-26 | 1997-08-27 | Secr Defence | Single mode optical fibre |
| US5852690A (en) * | 1997-06-30 | 1998-12-22 | Minnesota Mining And Manufacturing Company | Depressed cladding fiber design for reducing coupling to cladding modes in fiber gratings |
| US5911023A (en) | 1997-07-10 | 1999-06-08 | Alcatel Alsthom Compagnie Generale D'electricite | Polyolefin materials suitable for optical fiber cable components |
| CA2295491A1 (en) * | 1997-07-15 | 1999-01-28 | Corning Incorporated | Suppression of stimulated brillouin scattering in optical fiber |
| AU9648798A (en) | 1997-10-29 | 1999-05-17 | Sumitomo Electric Industries, Ltd. | Dispersion-shifted optical fiber |
| US6535665B1 (en) * | 1998-02-12 | 2003-03-18 | Novera Optics, Inc. | Acousto-optic devices utilizing longitudinal acoustic waves |
| US6066397A (en) * | 1998-03-31 | 2000-05-23 | Alcatel | Polypropylene filler rods for optical fiber communications cables |
| US6175677B1 (en) | 1998-04-17 | 2001-01-16 | Alcatel | Optical fiber multi-ribbon and method for making the same |
| US6085009A (en) * | 1998-05-12 | 2000-07-04 | Alcatel | Water blocking gels compatible with polyolefin optical fiber cable buffer tubes and cables made therewith |
| KR100322131B1 (ko) | 1999-01-28 | 2002-02-04 | 윤종용 | 오.에이치.차단층을 구비한 광섬유 모재 및 그 제조방법 |
| WO1999067178A1 (en) * | 1998-06-25 | 1999-12-29 | Samsung Electronics Co., Ltd. | Optical fiber preform having oh barrier and manufacturing method thereof |
| DE19839870A1 (de) * | 1998-09-02 | 2000-03-09 | Deutsche Telekom Ag | Optische Single-Mode-Lichtleitfaser |
| FR2790107B1 (fr) | 1999-02-18 | 2001-05-04 | Cit Alcatel | Fibre de ligne pour systemes de transmission a fibre optique a multiplexage en longueurs d'onde |
| JP4499288B2 (ja) | 1998-09-17 | 2010-07-07 | アルカテル−ルーセント | Wdm光ファイバ伝送システム用の有効面積と分散勾配との最適化された比を有する光ファイバ |
| FR2783609B1 (fr) * | 1998-09-17 | 2002-08-30 | Cit Alcatel | Fibre optique monomode optimisee pour les hauts debits |
| AU769369B2 (en) | 1998-09-18 | 2004-01-22 | Sumitomo Electric Industries, Ltd. | Dispersion compensating fiber |
| KR100636332B1 (ko) * | 1998-09-21 | 2006-10-19 | 피렐리 카비 에 시스테미 소시에떼 퍼 아찌오니 | 확장 파장 밴드용의 광파이버 |
| KR100642035B1 (ko) * | 1998-11-26 | 2006-11-03 | 스미토모덴키고교가부시키가이샤 | 광 파이버 및 이를 포함하는 광 전송 시스템 |
| DE69938651D1 (de) * | 1998-12-03 | 2008-06-19 | Sumitomo Electric Industries | Dispersionsentzerrende optische faser und diese enthaltende optische ubertragungsleitung |
| US6546180B1 (en) * | 1999-01-06 | 2003-04-08 | Sumitomo Electric Industries, Ltd. | Coiled optical assembly and fabricating method for the same |
| US6215931B1 (en) | 1999-01-26 | 2001-04-10 | Alcatel | Flexible thermoplastic polyolefin elastomers for buffering transmission elements in a telecommunications cable |
| US6134363A (en) * | 1999-02-18 | 2000-10-17 | Alcatel | Method for accessing optical fibers in the midspan region of an optical fiber cable |
| JP2000338353A (ja) | 1999-03-24 | 2000-12-08 | Furukawa Electric Co Ltd:The | 分散シフト光ファイバおよびその製造方法 |
| US6381390B1 (en) * | 1999-04-06 | 2002-04-30 | Alcatel | Color-coded optical fiber ribbon and die for making the same |
| EP1107027B1 (en) * | 1999-04-13 | 2011-10-12 | Sumitomo Electric Industries, Ltd. | Optical fiber and optical communication system comprising the same |
| AU4973100A (en) * | 1999-04-26 | 2000-11-10 | Corning Incorporated | Low water peak optical waveguide fiber and method of manufacturing same |
| DE60032363T2 (de) | 1999-04-26 | 2007-09-27 | Corning Incorporated | Optische faser mit niedrigen polarisationsmodendispersion sowie dämpfung und ihre herstelungsverfahren |
| US6181857B1 (en) | 1999-05-12 | 2001-01-30 | Alcatel | Method for accessing optical fibers contained in a sheath |
| US6314224B1 (en) | 1999-06-18 | 2001-11-06 | Alcatel | Thick-walled cable jacket with non-circular cavity cross section |
| US6334016B1 (en) * | 1999-06-30 | 2001-12-25 | Alcatel | Optical fiber ribbon matrix material having optimal handling characteristics |
| CN1302300C (zh) * | 1999-07-12 | 2007-02-28 | 株式会社藤仓 | 色散位移光纤 |
| US6466721B1 (en) | 1999-07-19 | 2002-10-15 | Sumitomo Electric Industries, Ltd. | Dispersion compensating optical fiber and optical transmission line |
| CN1285932C (zh) * | 1999-07-27 | 2006-11-22 | 株式会社藤仓 | 色散位移光纤 |
| AU7824500A (en) | 1999-07-27 | 2001-03-05 | Corning Incorporated | Optical waveguide having negative dispersion and large aeff |
| US6321012B1 (en) | 1999-08-30 | 2001-11-20 | Alcatel | Optical fiber having water swellable material for identifying grouping of fiber groups |
| FR2799006B1 (fr) | 1999-09-02 | 2002-02-08 | Cit Alcatel | Fibre optique pour la compensation en ligne de la dispersion chromatique d'une fibre optique a dispersion chromatique positive |
| US6493491B1 (en) | 1999-09-28 | 2002-12-10 | Alcatel | Optical drop cable for aerial installation |
| US6490396B1 (en) * | 1999-09-29 | 2002-12-03 | Corning Incorporated | Optical waveguide fiber |
| EP1222482A2 (en) | 1999-10-12 | 2002-07-17 | Corning Incorporated | Higher wavelength optimized optical fiber waveguide |
| US6321014B1 (en) * | 1999-11-01 | 2001-11-20 | Alcatel | Method for manufacturing optical fiber ribbon |
| CA2293132C (en) | 1999-12-24 | 2007-03-06 | Jocelyn Lauzon | Triple-clad rare-earth doped optical fiber and applications |
| AU1585301A (en) | 1999-12-28 | 2001-07-09 | Corning Incorporated | Low water peak optical waveguide and method of manufacturing same |
| FR2809499B1 (fr) * | 2000-05-29 | 2003-10-03 | Cit Alcatel | Peau de protection pour fibres optiques |
| US6418258B1 (en) * | 2000-06-09 | 2002-07-09 | Gazillion Bits, Inc. | Microstructured optical fiber with improved transmission efficiency and durability |
| WO2002012931A2 (en) | 2000-07-21 | 2002-02-14 | Crystal Fibre A/S | Dispersion manipulating fibre |
| US6603908B2 (en) * | 2000-08-04 | 2003-08-05 | Alcatel | Buffer tube that results in easy access to and low attenuation of fibers disposed within buffer tube |
| US6587623B1 (en) | 2000-08-14 | 2003-07-01 | The Board Of Trustees Of The University Of Illinois | Method for reducing stimulated brillouin scattering in waveguide systems and devices |
| US6941054B2 (en) | 2000-08-31 | 2005-09-06 | Pirelli S.P.A. | Optical transmission link with low slope, raman amplified fiber |
| JP2002082250A (ja) | 2000-09-07 | 2002-03-22 | Hitachi Cable Ltd | 低非線形単一モード光ファイバ |
| IT1318846B1 (it) * | 2000-09-11 | 2003-09-10 | Pirelli Cavi E Sistemi Spa | Rete di distribuzione di segnali ad una pluralita' di apparecchiatureutente. |
| JP3764040B2 (ja) * | 2000-10-03 | 2006-04-05 | 株式会社フジクラ | 光ファイバ |
| WO2002029459A1 (en) | 2000-10-04 | 2002-04-11 | I.L.C. Lasercomm Ltd. | Limited mode dispersion compensating optical fiber |
| KR20020029529A (ko) * | 2000-10-13 | 2002-04-19 | 이계철 | 큰 음의 분산 값을 갖는 분산 평탄 광섬유의 구조 및 제조방법 |
| US6856742B2 (en) | 2000-11-10 | 2005-02-15 | Crystal Fibre A/S | Optical fibres with special bending and dispersion properties |
| US6618538B2 (en) | 2000-12-20 | 2003-09-09 | Alcatel | Method and apparatus to reduce variation of excess fiber length in buffer tubes of fiber optic cables |
| US6922515B2 (en) | 2000-12-20 | 2005-07-26 | Alcatel | Method and apparatus to reduce variation of excess fiber length in buffer tubes of fiber optic cables |
| US6904772B2 (en) | 2000-12-22 | 2005-06-14 | Corning Incorporated | Method of making a glass preform for low water peak optical fiber |
| US6498887B1 (en) | 2001-02-21 | 2002-12-24 | Fitel Usa Corp. | Dispersion-compensating fiber having a high relative dispersion slope |
| US6490398B2 (en) | 2001-02-21 | 2002-12-03 | Fitel Usa Corp. | Dispersion-compensating fiber having a high figure of merit |
| US6687440B2 (en) | 2001-02-28 | 2004-02-03 | The Boeing Company | Optical fiber having an elevated threshold for stimulated brillouin scattering |
| US7346244B2 (en) | 2001-03-23 | 2008-03-18 | Draka Comteq B.V. | Coated central strength member for fiber optic cables with reduced shrinkage |
| WO2002088803A2 (en) * | 2001-04-30 | 2002-11-07 | Sterlite Optical Technologies Limited | Dispersion shifted fiber having low dispersion slope |
| CA2389498A1 (en) | 2001-06-13 | 2002-12-13 | Fumio Takahashi | Method of winding optical fiber on reel |
| US6687445B2 (en) * | 2001-06-25 | 2004-02-03 | Nufern | Double-clad optical fiber for lasers and amplifiers |
| JP3986842B2 (ja) | 2001-07-26 | 2007-10-03 | 株式会社フジクラ | ノンゼロ分散シフト光ファイバ用光ファイバ母材の製法 |
| JP2003114350A (ja) * | 2001-07-31 | 2003-04-18 | Furukawa Electric Co Ltd:The | 光ファイバ、光ファイバ部品および光伝送方法 |
| FR2828939B1 (fr) * | 2001-08-27 | 2004-01-16 | Cit Alcatel | Fibre optique pour un systeme de transmission a multiplexage en longueurs d'onde |
| US7045010B2 (en) | 2001-09-06 | 2006-05-16 | Alcatel | Applicator for high-speed gel buffering of flextube optical fiber bundles |
| US6749446B2 (en) * | 2001-10-10 | 2004-06-15 | Alcatel | Optical fiber cable with cushion members protecting optical fiber ribbon stack |
| US6650814B2 (en) | 2001-12-11 | 2003-11-18 | Corning Incorporated | Single mode dispersion compensating optical fiber |
| US6856744B2 (en) | 2002-02-13 | 2005-02-15 | The Furukawa Electric Co., Ltd. | Optical fiber and optical transmission line and optical communication system including such optical fiber |
| JP2003241000A (ja) | 2002-02-19 | 2003-08-27 | Furukawa Electric Co Ltd:The | 光ファイバおよびその光ファイバを用いた光増幅器ならびに光伝送システム |
| US7116887B2 (en) | 2002-03-19 | 2006-10-03 | Nufern | Optical fiber |
| US6771865B2 (en) | 2002-03-20 | 2004-08-03 | Corning Incorporated | Low bend loss optical fiber and components made therefrom |
| KR100419418B1 (ko) | 2002-04-03 | 2004-02-21 | 삼성전자주식회사 | 분산 제어 광섬유 |
| US6947652B2 (en) | 2002-06-14 | 2005-09-20 | 3M Innovative Properties Company | Dual-band bend tolerant optical waveguide |
| JP2004061741A (ja) | 2002-07-26 | 2004-02-26 | Sumitomo Electric Ind Ltd | 光ファイバ、光伝送路および光通信システム |
| JP4073806B2 (ja) | 2002-08-09 | 2008-04-09 | 株式会社フジクラ | 光ファイバ及び該光ファイバを用いた光伝送路 |
| US6928839B2 (en) | 2002-08-15 | 2005-08-16 | Ceramoptec Industries, Inc. | Method for production of silica optical fiber preforms |
| US6707976B1 (en) | 2002-09-04 | 2004-03-16 | Fitel Usa Corporation | Inverse dispersion compensating fiber |
| US20040052486A1 (en) | 2002-09-13 | 2004-03-18 | Fitel Usa Corp. | Optical fibers and modules for dispersion compensation with simultaneous raman amplification |
| GB0221858D0 (en) | 2002-09-20 | 2002-10-30 | Southampton Photonics Ltd | An optical fibre for high power lasers and amplifiers |
| CN1310045C (zh) | 2002-10-01 | 2007-04-11 | 古河电气工业株式会社 | 光纤、光传送线路以及光纤的制造方法 |
| US6912347B2 (en) | 2002-11-15 | 2005-06-28 | Alcatel | Optimized fiber optic cable suitable for microduct blown installation |
| KR100496143B1 (ko) | 2002-12-10 | 2005-06-17 | 삼성전자주식회사 | 수산화기 차단층을 포함하는 광섬유 모재 |
| US6901197B2 (en) | 2003-01-13 | 2005-05-31 | Sumitomo Electric Industries, Ltd. | Microstructured optical fiber |
| US7228040B2 (en) | 2003-04-17 | 2007-06-05 | Nippon Telegraph And Telephone Corporation | Hole-assisted single mode optical fiber |
| US6952519B2 (en) | 2003-05-02 | 2005-10-04 | Corning Incorporated | Large effective area high SBS threshold optical fiber |
| US6904218B2 (en) | 2003-05-12 | 2005-06-07 | Fitel U.S.A. Corporation | Super-large-effective-area (SLA) optical fiber and communication system incorporating the same |
| US6917740B2 (en) | 2003-05-30 | 2005-07-12 | Corning Incorporated | Optical fiber having reduced viscosity mismatch |
| US6959137B2 (en) | 2003-06-11 | 2005-10-25 | Fitel U.S.A. Corporation | Large-effective-area inverse dispersion compensating fiber, and a transmission line incorporating the same |
| US6941049B2 (en) | 2003-06-18 | 2005-09-06 | Alcatel | Fiber optic cable having no rigid strength members and a reduced coefficient of thermal expansion |
| JP2005017694A (ja) | 2003-06-26 | 2005-01-20 | Furukawa Electric Co Ltd:The | 光ファイバおよび光ファイバケーブル |
| CN1300609C (zh) * | 2003-10-28 | 2007-02-14 | 长飞光纤光缆有限公司 | 高性能色散补偿光纤及其制造方法 |
| US6985662B2 (en) | 2003-10-30 | 2006-01-10 | Corning Incorporated | Dispersion compensating fiber for moderate dispersion NZDSF and transmission system utilizing same |
| US7444838B2 (en) | 2003-10-30 | 2008-11-04 | Virginia Tech Intellectual Properties, Inc. | Holey optical fiber with random pattern of holes and method for making same |
| ES2297604T3 (es) | 2004-01-26 | 2008-05-01 | Draka Comteq B.V. | Arrollamiento de acoplamiento para un tubo de proteccion y metodo para instalacion de un cable de fibras. |
| US7292762B2 (en) | 2004-04-14 | 2007-11-06 | Fujikura Ltd. | Hole-assisted holey fiber and low bending loss multimode holey fiber |
| US7187833B2 (en) | 2004-04-29 | 2007-03-06 | Corning Incorporated | Low attenuation large effective area optical fiber |
| EP1777559A4 (en) | 2004-08-10 | 2010-03-24 | Fujikura Ltd | OPTICAL SINGLE FIBER |
| JP4444177B2 (ja) | 2004-08-11 | 2010-03-31 | 古河電気工業株式会社 | 光ファイバ、光ファイバテープおよび光インターコネクションシステム |
| EP2348344B1 (en) * | 2004-08-30 | 2013-02-20 | Fujikura Ltd. | Single-mode optical fiber |
| JP2006133314A (ja) | 2004-11-02 | 2006-05-25 | Fujikura Ltd | 光ファイバ及び伝送システム並びに波長多重伝送システム |
| US7171074B2 (en) * | 2004-11-16 | 2007-01-30 | Furakawa Electric North America Inc. | Large mode area fibers using higher order modes |
| JP2006154421A (ja) | 2004-11-30 | 2006-06-15 | Fujikura Ltd | シングルモード光ファイバ、光ファイバケーブル、光ファイバコード及び光ファイバの耐用年数保証方法 |
| US7072552B2 (en) | 2004-12-02 | 2006-07-04 | Nufern | Optical fiber with micro-structured cladding |
| JP4400454B2 (ja) | 2004-12-27 | 2010-01-20 | 住友電気工業株式会社 | 光ファイバ |
| JP4664703B2 (ja) | 2005-02-24 | 2011-04-06 | 昭和電線ケーブルシステム株式会社 | 誘導ブリユアン散乱抑制光ファイバ |
| JP4477555B2 (ja) | 2005-03-01 | 2010-06-09 | 古河電気工業株式会社 | 光ファイバおよび光インターコネクションシステム |
| JP2006293117A (ja) * | 2005-04-13 | 2006-10-26 | Furukawa Electric Co Ltd:The | 光ファイバおよびそれを用いた光通信システム |
| US20070003198A1 (en) | 2005-06-29 | 2007-01-04 | Lance Gibson | Low loss optical fiber designs and methods for their manufacture |
| US7171090B2 (en) | 2005-06-30 | 2007-01-30 | Corning Incorporated | Low attenuation optical fiber |
| US7599589B2 (en) | 2005-07-20 | 2009-10-06 | Draka Comteq B.V. | Gel-free buffer tube with adhesively coupled optical element |
| US7515795B2 (en) | 2005-07-20 | 2009-04-07 | Draka Comteq B.V. | Water-swellable tape, adhesive-backed for coupling when used inside a buffer tube |
| US7567739B2 (en) | 2007-01-31 | 2009-07-28 | Draka Comteq B.V. | Fiber optic cable having a water-swellable element |
| EP1904882B1 (en) | 2005-07-20 | 2012-11-14 | Draka Comteq B.V. | Grease-free buffer optical fiber buffer tube construction utilizing a water-swellable, texturized yarn |
| EP1764633A1 (en) | 2005-09-09 | 2007-03-21 | Draka Comteq B.V. | Optical fiber with reduced stimulated brillouin scattering |
| US7272289B2 (en) | 2005-09-30 | 2007-09-18 | Corning Incorporated | Low bend loss optical fiber |
| US7450806B2 (en) | 2005-11-08 | 2008-11-11 | Corning Incorporated | Microstructured optical fibers and methods |
| FR2893149B1 (fr) * | 2005-11-10 | 2008-01-11 | Draka Comteq France | Fibre optique monomode. |
| WO2007091879A1 (en) | 2006-02-08 | 2007-08-16 | Draka Comteq B.V. | Optical fiber cable suited for blown installation or pushing installation in microducts of small diameter |
| US7406237B2 (en) | 2006-02-21 | 2008-07-29 | Corning Incorporated | Multiband optical fiber |
| FR2899693B1 (fr) * | 2006-04-10 | 2008-08-22 | Draka Comteq France | Fibre optique monomode. |
| FR2900739B1 (fr) | 2006-05-03 | 2008-07-04 | Draka Comteq France | Fibre de compensation de la dispersion chromatique |
| US7665902B2 (en) | 2006-05-11 | 2010-02-23 | Draka Comteq, B.V. | Modified pre-ferrulized communication cable assembly and installation method |
| NL1031792C2 (nl) | 2006-05-11 | 2007-11-13 | Draka Comteq Bv | Kabelsamenstel alsmede werkwijze voor het installeren van een dergelijk kabelsamenstel. |
| US7505660B2 (en) | 2006-06-30 | 2009-03-17 | Corning Incorporated | Microstructured transmission optical fiber |
| WO2008013627A2 (en) | 2006-06-30 | 2008-01-31 | Corning Incorporated | Low bend loss optical fiber with high modulus coating |
| FR2904876B1 (fr) | 2006-08-08 | 2008-11-21 | Draka Comteq France | Cable de telecommunication a fibres optiques |
| US7450807B2 (en) | 2006-08-31 | 2008-11-11 | Corning Incorporated | Low bend loss optical fiber with deep depressed ring |
| JP2008058664A (ja) | 2006-08-31 | 2008-03-13 | Furukawa Electric Co Ltd:The | 光ファイバおよび光ファイバテープならびに光インターコネクションシステム |
| US7620282B2 (en) * | 2006-08-31 | 2009-11-17 | Corning Incorporated | Low bend loss single mode optical fiber |
| US7315677B1 (en) | 2006-09-14 | 2008-01-01 | Corning Incorporated | Dual dopant dual alpha multimode optical fiber |
| FR2908250B1 (fr) | 2006-11-03 | 2009-01-09 | Draka Comteq France Sa Sa | Fibre de compensation de la dispersion chromatique |
| US7526169B2 (en) | 2006-11-29 | 2009-04-28 | Corning Incorporated | Low bend loss quasi-single-mode optical fiber and optical fiber line |
| DK1930753T3 (en) | 2006-12-04 | 2015-03-30 | Draka Comteq Bv | Optical fiber having a high Brillouin threshold strength and low bending |
| US7283714B1 (en) | 2006-12-15 | 2007-10-16 | Ipg Photonics Corporation | Large mode area fiber for low-loss transmission and amplification of single mode lasers |
| US7787731B2 (en) | 2007-01-08 | 2010-08-31 | Corning Incorporated | Bend resistant multimode optical fiber |
| US7526166B2 (en) | 2007-01-31 | 2009-04-28 | Corning Incorporated | High numerical aperture fiber |
| JP2010520496A (ja) | 2007-02-28 | 2010-06-10 | コーニング インコーポレイテッド | 広有効面積光ファイバー |
| FR2915002B1 (fr) | 2007-04-11 | 2009-11-06 | Draka Comteq France | Procede d'acces a une ou plusieurs fibres optiques d'un cable de telecommunication |
| WO2008136918A2 (en) | 2007-05-07 | 2008-11-13 | Corning Incorporated | Large effective area fiber |
| CN101682298B (zh) * | 2007-05-08 | 2012-12-05 | Nxp股份有限公司 | 用于谐波抑制混合器的免校准的本机振荡器信号的产生 |
| US8107784B2 (en) | 2007-06-15 | 2012-01-31 | Ofs Fitel, Llc | Reduced bend sensitivity and catastrophic bend loss in single mode optical fibers and method of making same |
| US8374472B2 (en) | 2007-06-15 | 2013-02-12 | Ofs Fitel, Llc | Bend insensitivity in single mode optical fibers |
| US7724998B2 (en) | 2007-06-28 | 2010-05-25 | Draka Comteq B.V. | Coupling composition for optical fiber cables |
| US7639915B2 (en) | 2007-06-28 | 2009-12-29 | Draka Comteq B.V. | Optical fiber cable having a deformable coupling element |
| CN102099711B (zh) | 2007-11-09 | 2014-05-14 | 德雷卡通信技术公司 | 抗微弯光纤 |
| US8020410B2 (en) | 2007-11-15 | 2011-09-20 | Corning Incorporated | Methods for making optical fiber preforms and microstructured optical fibers |
| US20090169163A1 (en) | 2007-12-13 | 2009-07-02 | Abbott Iii John Steele | Bend Resistant Multimode Optical Fiber |
| EP2175295B1 (en) | 2008-02-22 | 2013-04-03 | Sumitomo Electric Industries, Ltd. | Optical fiber and optical cable |
| US20090214167A1 (en) | 2008-02-25 | 2009-08-27 | Draka Comteq B.V. | Optical Cable Buffer Tube with Integrated Hollow Channels |
| FR2929716B1 (fr) | 2008-04-04 | 2011-09-16 | Draka Comteq France Sa | Fibre optique a dispersion decalee. |
| FR2930997B1 (fr) | 2008-05-06 | 2010-08-13 | Draka Comteq France Sa | Fibre optique monomode |
| ES2543879T3 (es) | 2008-11-07 | 2015-08-25 | Draka Comteq B.V. | Fibra óptica de diámetro reducido |
| US8081854B2 (en) * | 2008-12-19 | 2011-12-20 | Sehf-Korea Co., Ltd. | Low bend loss optical fiber |
-
2008
- 2008-05-06 FR FR0802503A patent/FR2930997B1/fr active Active
-
2009
- 2009-05-05 RU RU2009117160/28A patent/RU2489740C2/ru active
- 2009-05-05 EP EP09006117A patent/EP2116877B1/en active Active
- 2009-05-05 BR BRPI0903858-2A patent/BRPI0903858B1/pt active IP Right Grant
- 2009-05-05 DK DK09006121.9T patent/DK2116878T3/da active
- 2009-05-05 AT AT09006117T patent/ATE538401T1/de active
- 2009-05-05 BR BRPI0903197A patent/BRPI0903197B1/pt active IP Right Grant
- 2009-05-05 PT PT09006117T patent/PT2116877E/pt unknown
- 2009-05-05 AT AT09006121T patent/ATE538402T1/de active
- 2009-05-05 RU RU2009117161/03A patent/RU2491237C2/ru active
- 2009-05-05 DK DK09006117.7T patent/DK2116877T3/da active
- 2009-05-05 PL PL09006117T patent/PL2116877T3/pl unknown
- 2009-05-05 ES ES09006117T patent/ES2377531T3/es active Active
- 2009-05-05 EP EP09006121A patent/EP2116878B1/en active Active
- 2009-05-06 KR KR1020090039421A patent/KR101614943B1/ko active Active
- 2009-05-06 CN CN2009101408036A patent/CN101576631B/zh active Active
- 2009-05-06 CN CN200910140806XA patent/CN101587204B/zh active Active
- 2009-05-06 KR KR1020090039426A patent/KR101605897B1/ko active Active
- 2009-05-06 US US12/436,484 patent/US7889960B2/en active Active
- 2009-05-06 US US12/436,423 patent/US8145025B2/en active Active
-
2011
- 2011-02-11 US US13/025,808 patent/US8131125B2/en active Active
-
2012
- 2012-03-26 US US13/429,825 patent/US8428414B2/en active Active
Patent Citations (4)
| Publication number | Priority date | Publication date | Assignee | Title |
|---|---|---|---|---|
| US5608832A (en) * | 1993-04-14 | 1997-03-04 | Siemens Aktiengesellschaft | Optical cable having a plurality of light waveguides arranged in a prescribed structure and having different mechanical sensitivies |
| RU2152632C1 (ru) * | 1994-10-17 | 2000-07-10 | Корнинг Инкорпорейтед | Одномодовое оптическое волноводное волокно (варианты) |
| RU2234723C2 (ru) * | 2001-10-24 | 2004-08-20 | Ковшик Александр Петрович | Способ спектрально-селективного преобразования мод оптического излучения в волноводе и устройство для его реализации |
| US7164835B2 (en) * | 2003-04-11 | 2007-01-16 | Fujikura, Ltd. | Optical fiber |
Also Published As
Similar Documents
| Publication | Publication Date | Title |
|---|---|---|
| RU2491237C2 (ru) | Одномодовое оптическое волокно | |
| US8428411B2 (en) | Single-mode optical fiber | |
| US8055111B2 (en) | Dispersion-shifted optical fiber | |
| US8520995B2 (en) | Single-mode optical fiber | |
| US8145027B2 (en) | Microbend-resistant optical fiber | |
| US8520993B2 (en) | Multimode optical fiber having improved bending losses | |
| US8867879B2 (en) | Single-mode optical fiber | |
| US8798424B2 (en) | Single-mode optical fiber | |
| US8290324B2 (en) | Single-mode optical fiber having an enlarged effective area | |
| US8676015B2 (en) | Non-zero dispersion shifted optical fiber having a short cutoff wavelength | |
| US20130287353A1 (en) | Hybrid Single-Mode and Multimode Optical Fiber | |
| EP2350720A1 (en) | Bend-insensitive optical cable |
Legal Events
| Date | Code | Title | Description |
|---|---|---|---|
| QB4A | Licence on use of patent |
Free format text: SUB-LICENCE Effective date: 20140717 Free format text: LICENCE Effective date: 20140717 |





