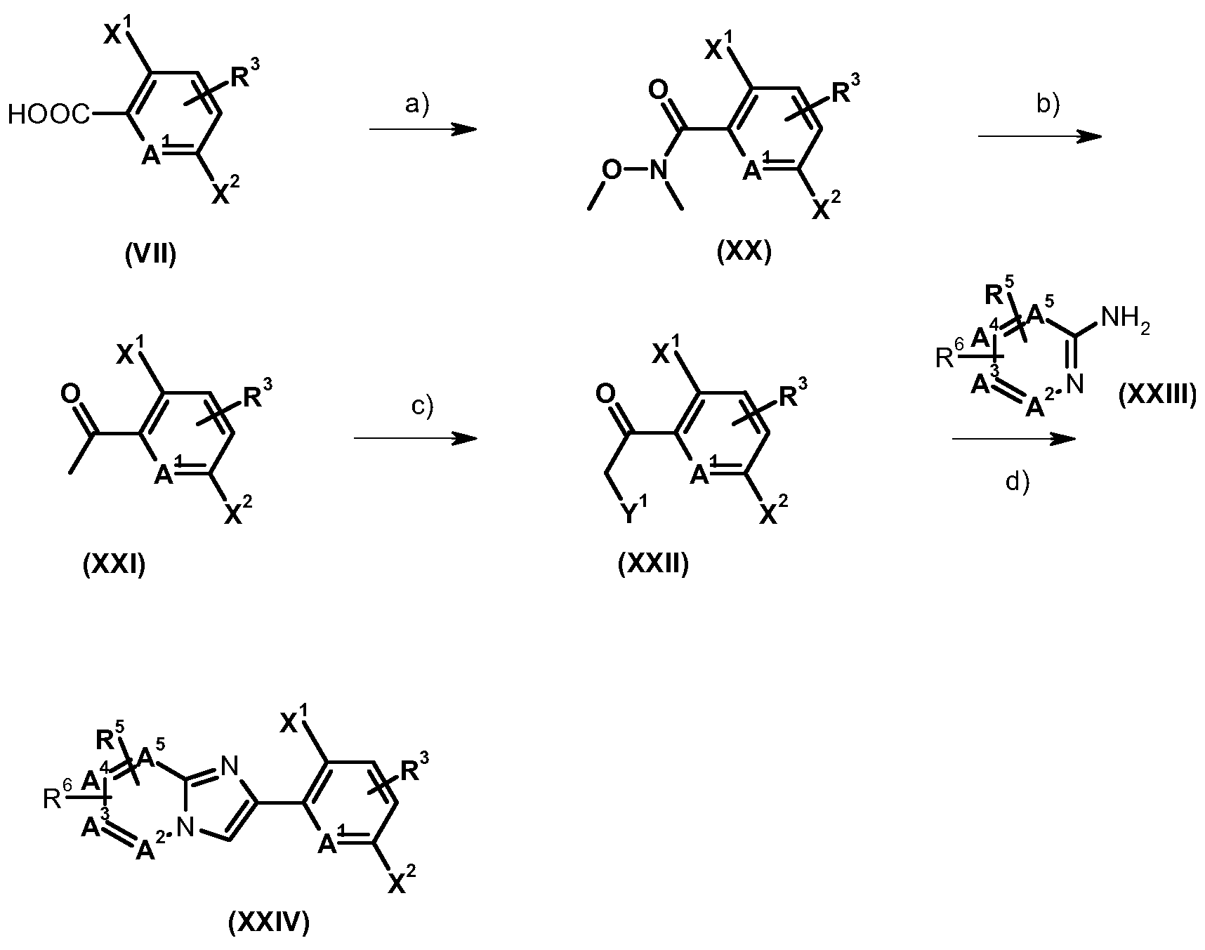
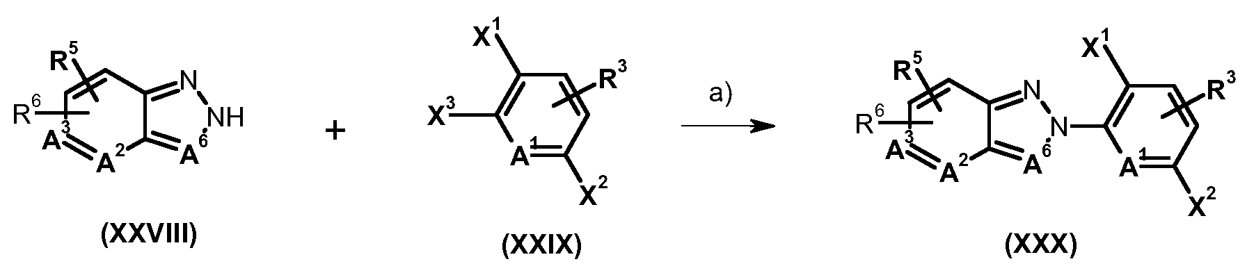
KR20180098410A - 해충 방제제로서의 헤테로사이클렌 유도체 - Google Patents
해충 방제제로서의 헤테로사이클렌 유도체 Download PDFInfo
- Publication number
- KR20180098410A KR20180098410A KR1020187023194A KR20187023194A KR20180098410A KR 20180098410 A KR20180098410 A KR 20180098410A KR 1020187023194 A KR1020187023194 A KR 1020187023194A KR 20187023194 A KR20187023194 A KR 20187023194A KR 20180098410 A KR20180098410 A KR 20180098410A
- Authority
- KR
- South Korea
- Prior art keywords
- alkyl
- alkoxy
- spp
- cycloalkyl
- carbonyl
- Prior art date
- Legal status (The legal status is an assumption and is not a legal conclusion. Google has not performed a legal analysis and makes no representation as to the accuracy of the status listed.)
- Withdrawn
Links
- 241000607479 Yersinia pestis Species 0.000 title claims abstract description 52
- 150000001875 compounds Chemical class 0.000 claims abstract description 310
- 238000000034 method Methods 0.000 claims abstract description 81
- 241001465754 Metazoa Species 0.000 claims abstract description 45
- -1 cyano, nitro, hydroxy, amino, carboxy, carbamoyl Chemical group 0.000 claims description 238
- 125000004178 (C1-C4) alkyl group Chemical group 0.000 claims description 160
- 125000004169 (C1-C6) alkyl group Chemical group 0.000 claims description 143
- 238000002360 preparation method Methods 0.000 claims description 82
- 239000000203 mixture Substances 0.000 claims description 71
- 125000004191 (C1-C6) alkoxy group Chemical group 0.000 claims description 68
- 125000004093 cyano group Chemical group *C#N 0.000 claims description 67
- 229910052736 halogen Inorganic materials 0.000 claims description 58
- 150000002367 halogens Chemical class 0.000 claims description 57
- 125000001424 substituent group Chemical group 0.000 claims description 55
- 125000005913 (C3-C6) cycloalkyl group Chemical group 0.000 claims description 48
- 229910052739 hydrogen Inorganic materials 0.000 claims description 46
- 239000001257 hydrogen Substances 0.000 claims description 46
- 238000009472 formulation Methods 0.000 claims description 44
- 125000004765 (C1-C4) haloalkyl group Chemical group 0.000 claims description 40
- IJGRMHOSHXDMSA-UHFFFAOYSA-N Atomic nitrogen Chemical compound N#N IJGRMHOSHXDMSA-UHFFFAOYSA-N 0.000 claims description 38
- 125000001072 heteroaryl group Chemical group 0.000 claims description 36
- 125000005843 halogen group Chemical group 0.000 claims description 35
- 150000002431 hydrogen Chemical class 0.000 claims description 35
- 125000004769 (C1-C4) alkylsulfonyl group Chemical group 0.000 claims description 34
- 125000002496 methyl group Chemical group [H]C([H])([H])* 0.000 claims description 34
- 125000002023 trifluoromethyl group Chemical group FC(F)(F)* 0.000 claims description 34
- 125000004739 (C1-C6) alkylsulfonyl group Chemical group 0.000 claims description 32
- 125000000229 (C1-C4)alkoxy group Chemical group 0.000 claims description 31
- 125000006552 (C3-C8) cycloalkyl group Chemical group 0.000 claims description 31
- 125000006650 (C2-C4) alkynyl group Chemical group 0.000 claims description 30
- 125000004767 (C1-C4) haloalkoxy group Chemical group 0.000 claims description 29
- 125000004738 (C1-C6) alkyl sulfinyl group Chemical group 0.000 claims description 29
- 125000004397 aminosulfonyl group Chemical group NS(=O)(=O)* 0.000 claims description 29
- 125000003601 C2-C6 alkynyl group Chemical group 0.000 claims description 28
- 125000001028 difluoromethyl group Chemical group [H]C(F)(F)* 0.000 claims description 28
- 125000003917 carbamoyl group Chemical group [H]N([H])C(*)=O 0.000 claims description 27
- 125000001997 phenyl group Chemical group [H]C1=C([H])C([H])=C(*)C([H])=C1[H] 0.000 claims description 27
- ZAMOUSCENKQFHK-UHFFFAOYSA-N Chlorine atom Chemical compound [Cl] ZAMOUSCENKQFHK-UHFFFAOYSA-N 0.000 claims description 25
- 239000000460 chlorine Substances 0.000 claims description 25
- 229910052801 chlorine Inorganic materials 0.000 claims description 25
- 125000002924 primary amino group Chemical group [H]N([H])* 0.000 claims description 25
- 125000004768 (C1-C4) alkylsulfinyl group Chemical group 0.000 claims description 24
- 125000000623 heterocyclic group Chemical group 0.000 claims description 24
- 125000004454 (C1-C6) alkoxycarbonyl group Chemical group 0.000 claims description 23
- 241001024304 Mino Species 0.000 claims description 23
- 125000004122 cyclic group Chemical group 0.000 claims description 23
- 125000004737 (C1-C6) haloalkoxy group Chemical group 0.000 claims description 22
- 125000000882 C2-C6 alkenyl group Chemical group 0.000 claims description 22
- 239000000575 pesticide Substances 0.000 claims description 22
- 125000000171 (C1-C6) haloalkyl group Chemical group 0.000 claims description 21
- 125000003342 alkenyl group Chemical group 0.000 claims description 21
- 125000001495 ethyl group Chemical group [H]C([H])([H])C([H])([H])* 0.000 claims description 21
- 229910052757 nitrogen Inorganic materials 0.000 claims description 21
- 125000003118 aryl group Chemical group 0.000 claims description 20
- 125000004916 (C1-C6) alkylcarbonyl group Chemical group 0.000 claims description 19
- 125000004399 C1-C4 alkenyl group Chemical group 0.000 claims description 19
- WKBOTKDWSSQWDR-UHFFFAOYSA-N Bromine atom Chemical compound [Br] WKBOTKDWSSQWDR-UHFFFAOYSA-N 0.000 claims description 18
- 125000004890 (C1-C6) alkylamino group Chemical group 0.000 claims description 17
- 125000006700 (C1-C6) alkylthio group Chemical group 0.000 claims description 17
- GDTBXPJZTBHREO-UHFFFAOYSA-N bromine Substances BrBr GDTBXPJZTBHREO-UHFFFAOYSA-N 0.000 claims description 17
- 229910052794 bromium Inorganic materials 0.000 claims description 17
- 125000001449 isopropyl group Chemical group [H]C([H])([H])C([H])(*)C([H])([H])[H] 0.000 claims description 17
- 125000006643 (C2-C6) haloalkenyl group Chemical group 0.000 claims description 16
- 125000003830 C1- C4 alkylcarbonylamino group Chemical group 0.000 claims description 16
- 125000002915 carbonyl group Chemical group [*:2]C([*:1])=O 0.000 claims description 16
- 125000004123 n-propyl group Chemical group [H]C([H])([H])C([H])([H])C([H])([H])* 0.000 claims description 16
- ZMZDMBWJUHKJPS-UHFFFAOYSA-N thiocyanic acid Chemical group SC#N ZMZDMBWJUHKJPS-UHFFFAOYSA-N 0.000 claims description 16
- 125000004760 (C1-C4) alkylsulfonylamino group Chemical group 0.000 claims description 15
- 125000004771 (C1-C4) haloalkylsulfinyl group Chemical group 0.000 claims description 15
- 125000004682 aminothiocarbonyl group Chemical group NC(=S)* 0.000 claims description 15
- PXGOKWXKJXAPGV-UHFFFAOYSA-N Fluorine Chemical compound FF PXGOKWXKJXAPGV-UHFFFAOYSA-N 0.000 claims description 14
- 239000011737 fluorine Substances 0.000 claims description 14
- 229910052731 fluorine Inorganic materials 0.000 claims description 14
- 125000006340 pentafluoro ethyl group Chemical group FC(F)(F)C(F)(F)* 0.000 claims description 14
- 125000004758 (C1-C4) alkoxyimino group Chemical group 0.000 claims description 13
- 125000004749 (C1-C6) haloalkylsulfinyl group Chemical group 0.000 claims description 12
- 125000005947 C1-C6 alkylsulfonyloxy group Chemical group 0.000 claims description 12
- 125000006577 C1-C6 hydroxyalkyl group Chemical group 0.000 claims description 12
- 125000002619 bicyclic group Chemical group 0.000 claims description 12
- UFHFLCQGNIYNRP-UHFFFAOYSA-N Hydrogen Chemical compound [H][H] UFHFLCQGNIYNRP-UHFFFAOYSA-N 0.000 claims description 11
- 125000000959 isobutyl group Chemical group [H]C([H])([H])C([H])(C([H])([H])[H])C([H])([H])* 0.000 claims description 11
- 125000004108 n-butyl group Chemical group [H]C([H])([H])C([H])([H])C([H])([H])C([H])([H])* 0.000 claims description 11
- 125000000999 tert-butyl group Chemical group [H]C([H])([H])C(*)(C([H])([H])[H])C([H])([H])[H] 0.000 claims description 11
- 125000004844 (C1-C6) alkoxyimino group Chemical group 0.000 claims description 10
- 125000004750 (C1-C6) alkylaminosulfonyl group Chemical group 0.000 claims description 10
- 125000006771 (C1-C6) haloalkylthio group Chemical group 0.000 claims description 10
- 230000009471 action Effects 0.000 claims description 10
- 125000000217 alkyl group Chemical group 0.000 claims description 10
- 125000001559 cyclopropyl group Chemical group [H]C1([H])C([H])([H])C1([H])* 0.000 claims description 10
- 125000004216 fluoromethyl group Chemical group [H]C([H])(F)* 0.000 claims description 10
- 125000004205 trifluoroethyl group Chemical group [H]C([H])(*)C(F)(F)F 0.000 claims description 10
- 125000004741 (C1-C6) haloalkylsulfonyl group Chemical group 0.000 claims description 9
- 125000004356 hydroxy functional group Chemical group O* 0.000 claims description 9
- 229920006395 saturated elastomer Polymers 0.000 claims description 9
- 125000003784 fluoroethyl group Chemical group [H]C([H])(F)C([H])([H])* 0.000 claims description 8
- 125000006337 tetrafluoro ethyl group Chemical group 0.000 claims description 8
- 239000004606 Fillers/Extenders Substances 0.000 claims description 7
- 229910052799 carbon Inorganic materials 0.000 claims description 7
- ORTFAQDWJHRMNX-UHFFFAOYSA-N hydroxidooxidocarbon(.) Chemical group O[C]=O ORTFAQDWJHRMNX-UHFFFAOYSA-N 0.000 claims description 7
- 125000000876 trifluoromethoxy group Chemical group FC(F)(F)O* 0.000 claims description 7
- 125000006644 (C2-C6) haloalkynyl group Chemical group 0.000 claims description 6
- 125000006615 aromatic heterocyclic group Chemical group 0.000 claims description 6
- 125000001995 cyclobutyl group Chemical group [H]C1([H])C([H])([H])C([H])(*)C1([H])[H] 0.000 claims description 6
- 125000005034 trifluormethylthio group Chemical group FC(S*)(F)F 0.000 claims description 6
- CPPKAGUPTKIMNP-UHFFFAOYSA-N cyanogen fluoride Chemical compound FC#N CPPKAGUPTKIMNP-UHFFFAOYSA-N 0.000 claims description 5
- 125000004995 haloalkylthio group Chemical group 0.000 claims description 5
- 125000004184 methoxymethyl group Chemical group [H]C([H])([H])OC([H])([H])* 0.000 claims description 5
- 239000004094 surface-active agent Substances 0.000 claims description 5
- 125000001889 triflyl group Chemical group FC(F)(F)S(*)(=O)=O 0.000 claims description 5
- 125000000113 cyclohexyl group Chemical group [H]C1([H])C([H])([H])C([H])([H])C([H])(*)C([H])([H])C1([H])[H] 0.000 claims description 4
- 125000004438 haloalkoxy group Chemical group 0.000 claims description 4
- 125000004692 haloalkylcarbonyl group Chemical group 0.000 claims description 4
- 241000219198 Brassica Species 0.000 claims description 3
- 125000004471 alkyl aminosulfonyl group Chemical group 0.000 claims description 3
- 125000005196 alkyl carbonyloxy group Chemical group 0.000 claims description 3
- 125000000262 haloalkenyl group Chemical group 0.000 claims description 3
- 125000000956 methoxy group Chemical group [H]C([H])([H])O* 0.000 claims description 3
- 125000000449 nitro group Chemical group [O-][N+](*)=O 0.000 claims description 3
- 230000000361 pesticidal effect Effects 0.000 claims description 3
- 125000000472 sulfonyl group Chemical group *S(*)(=O)=O 0.000 claims description 3
- 125000004845 (C1-C6) alkylsulfonylamino group Chemical group 0.000 claims description 2
- 125000006766 (C2-C6) alkynyloxy group Chemical group 0.000 claims description 2
- 125000006645 (C3-C4) cycloalkyl group Chemical group 0.000 claims description 2
- 125000003545 alkoxy group Chemical group 0.000 claims description 2
- 125000004457 alkyl amino carbonyl group Chemical group 0.000 claims description 2
- 125000005278 alkyl sulfonyloxy group Chemical group 0.000 claims description 2
- 125000001797 benzyl group Chemical group [H]C1=C([H])C([H])=C(C([H])=C1[H])C([H])([H])* 0.000 claims description 2
- 125000006297 carbonyl amino group Chemical group [H]N([*:2])C([*:1])=O 0.000 claims description 2
- 125000000753 cycloalkyl group Chemical group 0.000 claims description 2
- 125000000232 haloalkynyl group Chemical group 0.000 claims description 2
- 125000004414 alkyl thio group Chemical group 0.000 claims 3
- 235000011331 Brassica Nutrition 0.000 claims 2
- 125000003806 alkyl carbonyl amino group Chemical group 0.000 claims 2
- FIARMZDBEGVMLV-UHFFFAOYSA-N 1,1,2,2,2-pentafluoroethanolate Chemical group [O-]C(F)(F)C(F)(F)F FIARMZDBEGVMLV-UHFFFAOYSA-N 0.000 claims 1
- WJFKNYWRSNBZNX-UHFFFAOYSA-N 10H-phenothiazine Chemical compound C1=CC=C2NC3=CC=CC=C3SC2=C1 WJFKNYWRSNBZNX-UHFFFAOYSA-N 0.000 claims 1
- 239000003905 agrochemical Substances 0.000 claims 1
- 125000005133 alkynyloxy group Chemical group 0.000 claims 1
- 125000006310 cycloalkyl amino group Chemical group 0.000 claims 1
- 239000003090 pesticide formulation Substances 0.000 claims 1
- 229950000688 phenothiazine Drugs 0.000 claims 1
- 239000002917 insecticide Substances 0.000 abstract description 25
- 230000000895 acaricidal effect Effects 0.000 abstract description 8
- 239000000642 acaricide Substances 0.000 abstract description 8
- 239000013067 intermediate product Substances 0.000 abstract 1
- 206010057190 Respiratory tract infections Diseases 0.000 description 163
- 241000196324 Embryophyta Species 0.000 description 96
- 0 *N(C1O)C=C2N1C=CC=C2 Chemical compound *N(C1O)C=C2N1C=CC=C2 0.000 description 60
- 238000012360 testing method Methods 0.000 description 60
- 239000002904 solvent Substances 0.000 description 48
- 229910001868 water Inorganic materials 0.000 description 47
- WEVYAHXRMPXWCK-UHFFFAOYSA-N Acetonitrile Chemical compound CC#N WEVYAHXRMPXWCK-UHFFFAOYSA-N 0.000 description 45
- 241000238631 Hexapoda Species 0.000 description 39
- XLYOFNOQVPJJNP-UHFFFAOYSA-N water Substances O XLYOFNOQVPJJNP-UHFFFAOYSA-N 0.000 description 37
- YMWUJEATGCHHMB-UHFFFAOYSA-N Dichloromethane Chemical compound ClCCl YMWUJEATGCHHMB-UHFFFAOYSA-N 0.000 description 36
- ZMXDDKWLCZADIW-UHFFFAOYSA-N N,N-Dimethylformamide Chemical compound CN(C)C=O ZMXDDKWLCZADIW-UHFFFAOYSA-N 0.000 description 33
- 238000006243 chemical reaction Methods 0.000 description 32
- 238000011282 treatment Methods 0.000 description 29
- IAZDPXIOMUYVGZ-UHFFFAOYSA-N Dimethylsulphoxide Chemical compound CS(C)=O IAZDPXIOMUYVGZ-UHFFFAOYSA-N 0.000 description 28
- CSCPPACGZOOCGX-UHFFFAOYSA-N Acetone Chemical compound CC(C)=O CSCPPACGZOOCGX-UHFFFAOYSA-N 0.000 description 27
- 239000003112 inhibitor Substances 0.000 description 24
- 244000045947 parasite Species 0.000 description 23
- YXFVVABEGXRONW-UHFFFAOYSA-N Toluene Chemical compound CC1=CC=CC=C1 YXFVVABEGXRONW-UHFFFAOYSA-N 0.000 description 21
- 239000003995 emulsifying agent Substances 0.000 description 19
- 239000002585 base Substances 0.000 description 17
- 239000003795 chemical substances by application Substances 0.000 description 17
- 235000019441 ethanol Nutrition 0.000 description 16
- QTBSBXVTEAMEQO-UHFFFAOYSA-N Acetic acid Chemical compound CC(O)=O QTBSBXVTEAMEQO-UHFFFAOYSA-N 0.000 description 15
- 239000000463 material Substances 0.000 description 15
- 239000000047 product Substances 0.000 description 15
- 230000002829 reductive effect Effects 0.000 description 15
- 239000000243 solution Substances 0.000 description 15
- 239000002671 adjuvant Substances 0.000 description 14
- MVPPADPHJFYWMZ-UHFFFAOYSA-N chlorobenzene Chemical compound ClC1=CC=CC=C1 MVPPADPHJFYWMZ-UHFFFAOYSA-N 0.000 description 14
- 150000003839 salts Chemical class 0.000 description 14
- 241000193388 Bacillus thuringiensis Species 0.000 description 13
- 108090000623 proteins and genes Proteins 0.000 description 13
- 239000000126 substance Substances 0.000 description 13
- 241000238876 Acari Species 0.000 description 12
- OKKJLVBELUTLKV-UHFFFAOYSA-N Methanol Chemical compound OC OKKJLVBELUTLKV-UHFFFAOYSA-N 0.000 description 12
- 238000005481 NMR spectroscopy Methods 0.000 description 12
- 241000244206 Nematoda Species 0.000 description 12
- JUJWROOIHBZHMG-UHFFFAOYSA-N Pyridine Chemical compound C1=CC=NC=C1 JUJWROOIHBZHMG-UHFFFAOYSA-N 0.000 description 12
- VZGDMQKNWNREIO-UHFFFAOYSA-N tetrachloromethane Chemical compound ClC(Cl)(Cl)Cl VZGDMQKNWNREIO-UHFFFAOYSA-N 0.000 description 12
- 239000007788 liquid Substances 0.000 description 11
- 241000894006 Bacteria Species 0.000 description 10
- 235000004977 Brassica sinapistrum Nutrition 0.000 description 10
- HEDRZPFGACZZDS-UHFFFAOYSA-N Chloroform Chemical compound ClC(Cl)Cl HEDRZPFGACZZDS-UHFFFAOYSA-N 0.000 description 10
- RTZKZFJDLAIYFH-UHFFFAOYSA-N Diethyl ether Chemical compound CCOCC RTZKZFJDLAIYFH-UHFFFAOYSA-N 0.000 description 10
- 241000255925 Diptera Species 0.000 description 10
- 108050006807 Nicotinic acetylcholine receptors Proteins 0.000 description 10
- 210000003238 esophagus Anatomy 0.000 description 10
- 238000002156 mixing Methods 0.000 description 10
- BWHMMNNQKKPAPP-UHFFFAOYSA-L potassium carbonate Chemical compound [K+].[K+].[O-]C([O-])=O BWHMMNNQKKPAPP-UHFFFAOYSA-L 0.000 description 10
- 150000003254 radicals Chemical class 0.000 description 10
- 239000007921 spray Substances 0.000 description 10
- 239000013598 vector Substances 0.000 description 10
- 241000239290 Araneae Species 0.000 description 9
- 241000258924 Ctenocephalides felis Species 0.000 description 9
- XEKOWRVHYACXOJ-UHFFFAOYSA-N Ethyl acetate Chemical compound CCOC(C)=O XEKOWRVHYACXOJ-UHFFFAOYSA-N 0.000 description 9
- 241000282414 Homo sapiens Species 0.000 description 9
- 240000007594 Oryza sativa Species 0.000 description 9
- 235000007164 Oryza sativa Nutrition 0.000 description 9
- 240000008042 Zea mays Species 0.000 description 9
- 239000002253 acid Substances 0.000 description 9
- 229940097012 bacillus thuringiensis Drugs 0.000 description 9
- 239000002270 dispersing agent Substances 0.000 description 9
- 235000013399 edible fruits Nutrition 0.000 description 9
- 150000002170 ethers Chemical class 0.000 description 9
- BDAGIHXWWSANSR-UHFFFAOYSA-N methanoic acid Natural products OC=O BDAGIHXWWSANSR-UHFFFAOYSA-N 0.000 description 9
- WTJKGGKOPKCXLL-RRHRGVEJSA-N phosphatidylcholine Chemical compound CCCCCCCCCCCCCCCC(=O)OC[C@H](COP([O-])(=O)OCC[N+](C)(C)C)OC(=O)CCCCCCCC=CCCCCCCCC WTJKGGKOPKCXLL-RRHRGVEJSA-N 0.000 description 9
- 235000009566 rice Nutrition 0.000 description 9
- KXDAEFPNCMNJSK-UHFFFAOYSA-N Benzamide Chemical compound NC(=O)C1=CC=CC=C1 KXDAEFPNCMNJSK-UHFFFAOYSA-N 0.000 description 8
- MHAJPDPJQMAIIY-UHFFFAOYSA-N Hydrogen peroxide Chemical compound OO MHAJPDPJQMAIIY-UHFFFAOYSA-N 0.000 description 8
- 102000019315 Nicotinic acetylcholine receptors Human genes 0.000 description 8
- 241000258242 Siphonaptera Species 0.000 description 8
- WYURNTSHIVDZCO-UHFFFAOYSA-N Tetrahydrofuran Chemical compound C1CCOC1 WYURNTSHIVDZCO-UHFFFAOYSA-N 0.000 description 8
- 235000005824 Zea mays ssp. parviglumis Nutrition 0.000 description 8
- 235000002017 Zea mays subsp mays Nutrition 0.000 description 8
- FJDQFPXHSGXQBY-UHFFFAOYSA-L caesium carbonate Chemical compound [Cs+].[Cs+].[O-]C([O-])=O FJDQFPXHSGXQBY-UHFFFAOYSA-L 0.000 description 8
- 235000005822 corn Nutrition 0.000 description 8
- 230000035784 germination Effects 0.000 description 8
- 230000036541 health Effects 0.000 description 8
- 229920000151 polyglycol Polymers 0.000 description 8
- 239000010695 polyglycol Substances 0.000 description 8
- 241000238421 Arthropoda Species 0.000 description 7
- 241000254173 Coleoptera Species 0.000 description 7
- 229920000742 Cotton Polymers 0.000 description 7
- LFQSCWFLJHTTHZ-UHFFFAOYSA-N Ethanol Chemical compound CCO LFQSCWFLJHTTHZ-UHFFFAOYSA-N 0.000 description 7
- 244000299507 Gossypium hirsutum Species 0.000 description 7
- 150000004945 aromatic hydrocarbons Chemical class 0.000 description 7
- 230000015572 biosynthetic process Effects 0.000 description 7
- 239000012141 concentrate Substances 0.000 description 7
- 208000037265 diseases, disorders, signs and symptoms Diseases 0.000 description 7
- 239000000975 dye Substances 0.000 description 7
- 239000000417 fungicide Substances 0.000 description 7
- 239000008187 granular material Substances 0.000 description 7
- 150000008282 halocarbons Chemical class 0.000 description 7
- 230000001965 increasing effect Effects 0.000 description 7
- 230000002438 mitochondrial effect Effects 0.000 description 7
- 230000008569 process Effects 0.000 description 7
- 239000007787 solid Substances 0.000 description 7
- 230000009261 transgenic effect Effects 0.000 description 7
- 230000032258 transport Effects 0.000 description 7
- 125000004215 2,4-difluorophenyl group Chemical group [H]C1=C([H])C(*)=C(F)C([H])=C1F 0.000 description 6
- ZWEHNKRNPOVVGH-UHFFFAOYSA-N 2-Butanone Chemical compound CCC(C)=O ZWEHNKRNPOVVGH-UHFFFAOYSA-N 0.000 description 6
- FPQQSJJWHUJYPU-UHFFFAOYSA-N 3-(dimethylamino)propyliminomethylidene-ethylazanium;chloride Chemical compound Cl.CCN=C=NCCCN(C)C FPQQSJJWHUJYPU-UHFFFAOYSA-N 0.000 description 6
- 241000256186 Anopheles <genus> Species 0.000 description 6
- 240000002791 Brassica napus Species 0.000 description 6
- 229920002101 Chitin Polymers 0.000 description 6
- 241001663470 Contarinia <gall midge> Species 0.000 description 6
- XTHFKEDIFFGKHM-UHFFFAOYSA-N Dimethoxyethane Chemical compound COCCOC XTHFKEDIFFGKHM-UHFFFAOYSA-N 0.000 description 6
- SECXISVLQFMRJM-UHFFFAOYSA-N N-Methylpyrrolidone Chemical compound CN1CCCC1=O SECXISVLQFMRJM-UHFFFAOYSA-N 0.000 description 6
- KDLHZDBZIXYQEI-UHFFFAOYSA-N Palladium Chemical compound [Pd] KDLHZDBZIXYQEI-UHFFFAOYSA-N 0.000 description 6
- CDBYLPFSWZWCQE-UHFFFAOYSA-L Sodium Carbonate Chemical compound [Na+].[Na+].[O-]C([O-])=O CDBYLPFSWZWCQE-UHFFFAOYSA-L 0.000 description 6
- 241000256251 Spodoptera frugiperda Species 0.000 description 6
- 241000700605 Viruses Species 0.000 description 6
- 150000007513 acids Chemical class 0.000 description 6
- 150000001298 alcohols Chemical class 0.000 description 6
- 150000001338 aliphatic hydrocarbons Chemical class 0.000 description 6
- 125000002877 alkyl aryl group Chemical group 0.000 description 6
- 239000000969 carrier Substances 0.000 description 6
- 238000000576 coating method Methods 0.000 description 6
- 125000006001 difluoroethyl group Chemical group 0.000 description 6
- 239000003085 diluting agent Substances 0.000 description 6
- XBDQKXXYIPTUBI-UHFFFAOYSA-N dimethylselenoniopropionate Natural products CCC(O)=O XBDQKXXYIPTUBI-UHFFFAOYSA-N 0.000 description 6
- 229940052308 general anesthetics halogenated hydrocarbons Drugs 0.000 description 6
- 208000015181 infectious disease Diseases 0.000 description 6
- 239000012074 organic phase Substances 0.000 description 6
- 102000004169 proteins and genes Human genes 0.000 description 6
- UMJSCPRVCHMLSP-UHFFFAOYSA-N pyridine Natural products COC1=CC=CN=C1 UMJSCPRVCHMLSP-UHFFFAOYSA-N 0.000 description 6
- WSLDOOZREJYCGB-UHFFFAOYSA-N 1,2-Dichloroethane Chemical compound ClCCCl WSLDOOZREJYCGB-UHFFFAOYSA-N 0.000 description 5
- RYHBNJHYFVUHQT-UHFFFAOYSA-N 1,4-Dioxane Chemical compound C1COCCO1 RYHBNJHYFVUHQT-UHFFFAOYSA-N 0.000 description 5
- 125000004201 2,4-dichlorophenyl group Chemical group [H]C1=C([H])C(*)=C(Cl)C([H])=C1Cl 0.000 description 5
- 125000004105 2-pyridyl group Chemical group N1=C([*])C([H])=C([H])C([H])=C1[H] 0.000 description 5
- 241000256111 Aedes <genus> Species 0.000 description 5
- QGZKDVFQNNGYKY-UHFFFAOYSA-N Ammonia Chemical compound N QGZKDVFQNNGYKY-UHFFFAOYSA-N 0.000 description 5
- 241001124076 Aphididae Species 0.000 description 5
- 235000007319 Avena orientalis Nutrition 0.000 description 5
- 244000075850 Avena orientalis Species 0.000 description 5
- 241000995023 Empoasca Species 0.000 description 5
- 241000233866 Fungi Species 0.000 description 5
- 235000010469 Glycine max Nutrition 0.000 description 5
- 240000005979 Hordeum vulgare Species 0.000 description 5
- 235000007340 Hordeum vulgare Nutrition 0.000 description 5
- GGLZPLKKBSSKCX-YFKPBYRVSA-N L-ethionine Chemical compound CCSCC[C@H](N)C(O)=O GGLZPLKKBSSKCX-YFKPBYRVSA-N 0.000 description 5
- 241000721621 Myzus persicae Species 0.000 description 5
- 229910019142 PO4 Inorganic materials 0.000 description 5
- 235000007238 Secale cereale Nutrition 0.000 description 5
- 244000082988 Secale cereale Species 0.000 description 5
- 241000256248 Spodoptera Species 0.000 description 5
- 241000209140 Triticum Species 0.000 description 5
- 235000021307 Triticum Nutrition 0.000 description 5
- 235000011054 acetic acid Nutrition 0.000 description 5
- 238000009395 breeding Methods 0.000 description 5
- 239000003054 catalyst Substances 0.000 description 5
- 235000013339 cereals Nutrition 0.000 description 5
- 239000011248 coating agent Substances 0.000 description 5
- 244000038559 crop plants Species 0.000 description 5
- 230000034994 death Effects 0.000 description 5
- 231100000517 death Toxicity 0.000 description 5
- 201000010099 disease Diseases 0.000 description 5
- 239000003814 drug Substances 0.000 description 5
- 239000003480 eluent Substances 0.000 description 5
- 239000003337 fertilizer Substances 0.000 description 5
- 239000006260 foam Substances 0.000 description 5
- 235000019253 formic acid Nutrition 0.000 description 5
- IXORZMNAPKEEDV-OBDJNFEBSA-N gibberellin A3 Chemical class C([C@@]1(O)C(=C)C[C@@]2(C1)[C@H]1C(O)=O)C[C@H]2[C@]2(C=C[C@@H]3O)[C@H]1[C@]3(C)C(=O)O2 IXORZMNAPKEEDV-OBDJNFEBSA-N 0.000 description 5
- 125000005842 heteroatom Chemical group 0.000 description 5
- 239000004615 ingredient Substances 0.000 description 5
- 239000000543 intermediate Substances 0.000 description 5
- 238000004519 manufacturing process Methods 0.000 description 5
- 210000000056 organ Anatomy 0.000 description 5
- 244000052769 pathogen Species 0.000 description 5
- 235000021317 phosphate Nutrition 0.000 description 5
- 239000002798 polar solvent Substances 0.000 description 5
- 229910000027 potassium carbonate Inorganic materials 0.000 description 5
- 235000011181 potassium carbonates Nutrition 0.000 description 5
- 239000000843 powder Substances 0.000 description 5
- VYPSYNLAJGMNEJ-UHFFFAOYSA-N silicon dioxide Inorganic materials O=[Si]=O VYPSYNLAJGMNEJ-UHFFFAOYSA-N 0.000 description 5
- 239000002689 soil Substances 0.000 description 5
- 238000003860 storage Methods 0.000 description 5
- 238000006467 substitution reaction Methods 0.000 description 5
- 239000002562 thickening agent Substances 0.000 description 5
- 235000013311 vegetables Nutrition 0.000 description 5
- 239000008096 xylene Substances 0.000 description 5
- 125000004182 2-chlorophenyl group Chemical group [H]C1=C([H])C(Cl)=C(*)C([H])=C1[H] 0.000 description 4
- OSWFIVFLDKOXQC-UHFFFAOYSA-N 4-(3-methoxyphenyl)aniline Chemical compound COC1=CC=CC(C=2C=CC(N)=CC=2)=C1 OSWFIVFLDKOXQC-UHFFFAOYSA-N 0.000 description 4
- HBAQYPYDRFILMT-UHFFFAOYSA-N 8-[3-(1-cyclopropylpyrazol-4-yl)-1H-pyrazolo[4,3-d]pyrimidin-5-yl]-3-methyl-3,8-diazabicyclo[3.2.1]octan-2-one Chemical class C1(CC1)N1N=CC(=C1)C1=NNC2=C1N=C(N=C2)N1C2C(N(CC1CC2)C)=O HBAQYPYDRFILMT-UHFFFAOYSA-N 0.000 description 4
- 102000012440 Acetylcholinesterase Human genes 0.000 description 4
- 108010022752 Acetylcholinesterase Proteins 0.000 description 4
- 241000283690 Bos taurus Species 0.000 description 4
- 235000014698 Brassica juncea var multisecta Nutrition 0.000 description 4
- 235000006008 Brassica napus var napus Nutrition 0.000 description 4
- 235000006618 Brassica rapa subsp oleifera Nutrition 0.000 description 4
- 235000000536 Brassica rapa subsp pekinensis Nutrition 0.000 description 4
- 241000499436 Brassica rapa subsp. pekinensis Species 0.000 description 4
- 244000188595 Brassica sinapistrum Species 0.000 description 4
- 241001156313 Ceutorhynchus Species 0.000 description 4
- 241001267662 Criconemoides Species 0.000 description 4
- 241000258922 Ctenocephalides Species 0.000 description 4
- 241000256054 Culex <genus> Species 0.000 description 4
- 241000721021 Curculio Species 0.000 description 4
- 241001635274 Cydia pomonella Species 0.000 description 4
- 241001480824 Dermacentor Species 0.000 description 4
- 241000489975 Diabrotica Species 0.000 description 4
- 108050006905 Glutamate-Gated Chloride Channel Proteins 0.000 description 4
- PEDCQBHIVMGVHV-UHFFFAOYSA-N Glycerine Chemical compound OCC(O)CO PEDCQBHIVMGVHV-UHFFFAOYSA-N 0.000 description 4
- 241000771999 Hippobosca Species 0.000 description 4
- 240000008415 Lactuca sativa Species 0.000 description 4
- 235000003228 Lactuca sativa Nutrition 0.000 description 4
- 241000828880 Leucoptera <angiosperm> Species 0.000 description 4
- LRHPLDYGYMQRHN-UHFFFAOYSA-N N-Butanol Chemical compound CCCCO LRHPLDYGYMQRHN-UHFFFAOYSA-N 0.000 description 4
- 244000061176 Nicotiana tabacum Species 0.000 description 4
- 235000002637 Nicotiana tabacum Nutrition 0.000 description 4
- CTQNGGLPUBDAKN-UHFFFAOYSA-N O-Xylene Chemical compound CC1=CC=CC=C1C CTQNGGLPUBDAKN-UHFFFAOYSA-N 0.000 description 4
- 241000517325 Pediculus Species 0.000 description 4
- 241000562493 Pegomya Species 0.000 description 4
- 241001608567 Phaedon cochleariae Species 0.000 description 4
- XYFCBTPGUUZFHI-UHFFFAOYSA-N Phosphine Chemical compound P XYFCBTPGUUZFHI-UHFFFAOYSA-N 0.000 description 4
- SMWDFEZZVXVKRB-UHFFFAOYSA-N Quinoline Chemical compound N1=CC=CC2=CC=CC=C21 SMWDFEZZVXVKRB-UHFFFAOYSA-N 0.000 description 4
- 241000701421 Spodoptera exigua multiple nucleopolyhedrovirus Species 0.000 description 4
- 241000255626 Tabanus <genus> Species 0.000 description 4
- 241000532791 Tanymecus Species 0.000 description 4
- 241001414833 Triatoma Species 0.000 description 4
- 229940022698 acetylcholinesterase Drugs 0.000 description 4
- 239000000654 additive Substances 0.000 description 4
- 150000001412 amines Chemical class 0.000 description 4
- 125000000129 anionic group Chemical group 0.000 description 4
- 230000004071 biological effect Effects 0.000 description 4
- 230000001488 breeding effect Effects 0.000 description 4
- 229910000024 caesium carbonate Inorganic materials 0.000 description 4
- 150000001732 carboxylic acid derivatives Chemical class 0.000 description 4
- 238000004440 column chromatography Methods 0.000 description 4
- JHIVVAPYMSGYDF-UHFFFAOYSA-N cyclohexanone Chemical compound O=C1CCCCC1 JHIVVAPYMSGYDF-UHFFFAOYSA-N 0.000 description 4
- NXQGGXCHGDYOHB-UHFFFAOYSA-L cyclopenta-1,4-dien-1-yl(diphenyl)phosphane;dichloropalladium;iron(2+) Chemical compound [Fe+2].Cl[Pd]Cl.[CH-]1C=CC(P(C=2C=CC=CC=2)C=2C=CC=CC=2)=C1.[CH-]1C=CC(P(C=2C=CC=CC=2)C=2C=CC=CC=2)=C1 NXQGGXCHGDYOHB-UHFFFAOYSA-L 0.000 description 4
- OEBRKCOSUFCWJD-UHFFFAOYSA-N dichlorvos Chemical compound COP(=O)(OC)OC=C(Cl)Cl OEBRKCOSUFCWJD-UHFFFAOYSA-N 0.000 description 4
- 235000013601 eggs Nutrition 0.000 description 4
- 150000002148 esters Chemical class 0.000 description 4
- DNJIEGIFACGWOD-UHFFFAOYSA-N ethanethiol Chemical compound CCS DNJIEGIFACGWOD-UHFFFAOYSA-N 0.000 description 4
- 239000005556 hormone Substances 0.000 description 4
- 229940088597 hormone Drugs 0.000 description 4
- 150000007529 inorganic bases Chemical class 0.000 description 4
- 150000002596 lactones Chemical class 0.000 description 4
- 150000004702 methyl esters Chemical class 0.000 description 4
- 244000005700 microbiome Species 0.000 description 4
- 239000002480 mineral oil Substances 0.000 description 4
- NFHFRUOZVGFOOS-UHFFFAOYSA-N palladium;triphenylphosphane Chemical compound [Pd].C1=CC=CC=C1P(C=1C=CC=CC=1)C1=CC=CC=C1.C1=CC=CC=C1P(C=1C=CC=CC=1)C1=CC=CC=C1.C1=CC=CC=C1P(C=1C=CC=CC=1)C1=CC=CC=C1.C1=CC=CC=C1P(C=1C=CC=CC=1)C1=CC=CC=C1 NFHFRUOZVGFOOS-UHFFFAOYSA-N 0.000 description 4
- 230000000590 parasiticidal effect Effects 0.000 description 4
- 239000002297 parasiticide Substances 0.000 description 4
- 239000000546 pharmaceutical excipient Substances 0.000 description 4
- 150000003013 phosphoric acid derivatives Chemical class 0.000 description 4
- 229920003023 plastic Polymers 0.000 description 4
- 239000004033 plastic Substances 0.000 description 4
- 239000003755 preservative agent Substances 0.000 description 4
- 238000000746 purification Methods 0.000 description 4
- 239000011541 reaction mixture Substances 0.000 description 4
- 239000000018 receptor agonist Substances 0.000 description 4
- 229940044601 receptor agonist Drugs 0.000 description 4
- 238000005507 spraying Methods 0.000 description 4
- YLQBMQCUIZJEEH-UHFFFAOYSA-N tetrahydrofuran Natural products C=1C=COC=1 YLQBMQCUIZJEEH-UHFFFAOYSA-N 0.000 description 4
- 230000001225 therapeutic effect Effects 0.000 description 4
- MGSRCZKZVOBKFT-UHFFFAOYSA-N thymol Chemical compound CC(C)C1=CC=C(C)C=C1O MGSRCZKZVOBKFT-UHFFFAOYSA-N 0.000 description 4
- 239000003053 toxin Substances 0.000 description 4
- 231100000765 toxin Toxicity 0.000 description 4
- 108700012359 toxins Proteins 0.000 description 4
- RIOQSEWOXXDEQQ-UHFFFAOYSA-N triphenylphosphine Chemical compound C1=CC=CC=C1P(C=1C=CC=CC=1)C1=CC=CC=C1 RIOQSEWOXXDEQQ-UHFFFAOYSA-N 0.000 description 4
- LWIHDJKSTIGBAC-UHFFFAOYSA-K tripotassium phosphate Chemical compound [K+].[K+].[K+].[O-]P([O-])([O-])=O LWIHDJKSTIGBAC-UHFFFAOYSA-K 0.000 description 4
- 235000015112 vegetable and seed oil Nutrition 0.000 description 4
- 239000008158 vegetable oil Substances 0.000 description 4
- 239000002023 wood Substances 0.000 description 4
- KAATUXNTWXVJKI-NSHGMRRFSA-N (1R)-cis-(alphaS)-cypermethrin Chemical compound CC1(C)[C@@H](C=C(Cl)Cl)[C@H]1C(=O)O[C@H](C#N)C1=CC=CC(OC=2C=CC=CC=2)=C1 KAATUXNTWXVJKI-NSHGMRRFSA-N 0.000 description 3
- LMDZBCPBFSXMTL-UHFFFAOYSA-N 1-Ethyl-3-(3-dimethylaminopropyl)carbodiimide Substances CCN=C=NCCCN(C)C LMDZBCPBFSXMTL-UHFFFAOYSA-N 0.000 description 3
- GQHTUMJGOHRCHB-UHFFFAOYSA-N 2,3,4,6,7,8,9,10-octahydropyrimido[1,2-a]azepine Chemical compound C1CCCCN2CCCN=C21 GQHTUMJGOHRCHB-UHFFFAOYSA-N 0.000 description 3
- OISVCGZHLKNMSJ-UHFFFAOYSA-N 2,6-dimethylpyridine Chemical compound CC1=CC=CC(C)=N1 OISVCGZHLKNMSJ-UHFFFAOYSA-N 0.000 description 3
- NHQDETIJWKXCTC-UHFFFAOYSA-N 3-chloroperbenzoic acid Chemical compound OOC(=O)C1=CC=CC(Cl)=C1 NHQDETIJWKXCTC-UHFFFAOYSA-N 0.000 description 3
- 239000005660 Abamectin Substances 0.000 description 3
- 241000934067 Acarus Species 0.000 description 3
- WFDIJRYMOXRFFG-UHFFFAOYSA-N Acetic anhydride Chemical compound CC(=O)OC(C)=O WFDIJRYMOXRFFG-UHFFFAOYSA-N 0.000 description 3
- 241001506414 Aculus Species 0.000 description 3
- 241001480748 Argas Species 0.000 description 3
- 241001174347 Atomaria Species 0.000 description 3
- 241000414382 Babesia canis canis Species 0.000 description 3
- 244000063299 Bacillus subtilis Species 0.000 description 3
- 235000014469 Bacillus subtilis Nutrition 0.000 description 3
- 241001490249 Bactrocera oleae Species 0.000 description 3
- WVDDGKGOMKODPV-UHFFFAOYSA-N Benzyl alcohol Chemical compound OCC1=CC=CC=C1 WVDDGKGOMKODPV-UHFFFAOYSA-N 0.000 description 3
- 235000016068 Berberis vulgaris Nutrition 0.000 description 3
- 241000335053 Beta vulgaris Species 0.000 description 3
- 241001350371 Capua Species 0.000 description 3
- 241000902406 Chaetocnema Species 0.000 description 3
- 235000008733 Citrus aurantifolia Nutrition 0.000 description 3
- 241000134316 Culicoides <genus> Species 0.000 description 3
- XDTMQSROBMDMFD-UHFFFAOYSA-N Cyclohexane Chemical compound C1CCCCC1 XDTMQSROBMDMFD-UHFFFAOYSA-N 0.000 description 3
- 241001183634 Cylindrocopturus Species 0.000 description 3
- 108010002156 Depsipeptides Proteins 0.000 description 3
- ZAFNJMIOTHYJRJ-UHFFFAOYSA-N Diisopropyl ether Chemical compound CC(C)OC(C)C ZAFNJMIOTHYJRJ-UHFFFAOYSA-N 0.000 description 3
- 201000006353 Filariasis Diseases 0.000 description 3
- 229930191978 Gibberellin Natural products 0.000 description 3
- 241000235503 Glomus Species 0.000 description 3
- 244000068988 Glycine max Species 0.000 description 3
- 241001147381 Helicoverpa armigera Species 0.000 description 3
- 241000257303 Hymenoptera Species 0.000 description 3
- 241000257166 Lucilia cuprina Species 0.000 description 3
- 241000255134 Lutzomyia <genus> Species 0.000 description 3
- 241000124008 Mammalia Species 0.000 description 3
- 241000243786 Meloidogyne incognita Species 0.000 description 3
- LSDPWZHWYPCBBB-UHFFFAOYSA-N Methanethiol Chemical class SC LSDPWZHWYPCBBB-UHFFFAOYSA-N 0.000 description 3
- 241000257159 Musca domestica Species 0.000 description 3
- 241000488557 Oligonychus Species 0.000 description 3
- MUBZPKHOEPUJKR-UHFFFAOYSA-N Oxalic acid Chemical compound OC(=O)C(O)=O MUBZPKHOEPUJKR-UHFFFAOYSA-N 0.000 description 3
- 208000030852 Parasitic disease Diseases 0.000 description 3
- 241000722350 Phlebotomus <genus> Species 0.000 description 3
- ABLZXFCXXLZCGV-UHFFFAOYSA-N Phosphorous acid Chemical compound OP(O)=O ABLZXFCXXLZCGV-UHFFFAOYSA-N 0.000 description 3
- 241000275067 Phyllotreta Species 0.000 description 3
- 241000224016 Plasmodium Species 0.000 description 3
- 241000952063 Polyphagotarsonemus latus Species 0.000 description 3
- 241000589516 Pseudomonas Species 0.000 description 3
- 235000019484 Rapeseed oil Nutrition 0.000 description 3
- 241001481703 Rhipicephalus <genus> Species 0.000 description 3
- KEAYESYHFKHZAL-UHFFFAOYSA-N Sodium Chemical compound [Na] KEAYESYHFKHZAL-UHFFFAOYSA-N 0.000 description 3
- PMZURENOXWZQFD-UHFFFAOYSA-L Sodium Sulfate Chemical compound [Na+].[Na+].[O-]S([O-])(=O)=O PMZURENOXWZQFD-UHFFFAOYSA-L 0.000 description 3
- UIIMBOGNXHQVGW-UHFFFAOYSA-M Sodium bicarbonate Chemical compound [Na+].OC([O-])=O UIIMBOGNXHQVGW-UHFFFAOYSA-M 0.000 description 3
- 235000002595 Solanum tuberosum Nutrition 0.000 description 3
- 244000061456 Solanum tuberosum Species 0.000 description 3
- 241001454295 Tetranychidae Species 0.000 description 3
- 241001454294 Tetranychus Species 0.000 description 3
- 241001454293 Tetranychus urticae Species 0.000 description 3
- 240000006909 Tilia x europaea Species 0.000 description 3
- 235000011941 Tilia x europaea Nutrition 0.000 description 3
- 241000131345 Tipula <genus> Species 0.000 description 3
- 241000224526 Trichomonas Species 0.000 description 3
- ZMANZCXQSJIPKH-UHFFFAOYSA-N Triethylamine Chemical compound CCN(CC)CC ZMANZCXQSJIPKH-UHFFFAOYSA-N 0.000 description 3
- KPCZJLGGXRGYIE-UHFFFAOYSA-N [C]1=CC=CN=C1 Chemical group [C]1=CC=CN=C1 KPCZJLGGXRGYIE-UHFFFAOYSA-N 0.000 description 3
- 125000002777 acetyl group Chemical group [H]C([H])([H])C(*)=O 0.000 description 3
- 229910052784 alkaline earth metal Inorganic materials 0.000 description 3
- 239000008346 aqueous phase Substances 0.000 description 3
- FTNJWQUOZFUQQJ-NDAWSKJSSA-N azadirachtin A Chemical compound C([C@@H]([C@]1(C=CO[C@H]1O1)O)[C@]2(C)O3)[C@H]1[C@]23[C@]1(C)[C@H](O)[C@H](OC[C@@]2([C@@H](C[C@@H]3OC(=O)C(\C)=C\C)OC(C)=O)C(=O)OC)[C@@H]2[C@]32CO[C@@](C(=O)OC)(O)[C@@H]12 FTNJWQUOZFUQQJ-NDAWSKJSSA-N 0.000 description 3
- 230000008901 benefit Effects 0.000 description 3
- VEMKTZHHVJILDY-UXHICEINSA-N bioresmethrin Chemical compound CC1(C)[C@H](C=C(C)C)[C@H]1C(=O)OCC1=COC(CC=2C=CC=CC=2)=C1 VEMKTZHHVJILDY-UXHICEINSA-N 0.000 description 3
- 150000001735 carboxylic acids Chemical class 0.000 description 3
- 230000006378 damage Effects 0.000 description 3
- 238000011161 development Methods 0.000 description 3
- 230000018109 developmental process Effects 0.000 description 3
- 125000004788 dichlorofluoromethoxy group Chemical group ClC(O*)(F)Cl 0.000 description 3
- GCKZANITAMOIAR-XWVCPFKXSA-N dsstox_cid_14566 Chemical compound [O-]C(=O)C1=CC=CC=C1.C1=C[C@H](C)[C@@H]([C@@H](C)CC)O[C@]11O[C@H](C\C=C(C)\[C@@H](O[C@@H]2O[C@@H](C)[C@H](O[C@@H]3O[C@@H](C)[C@H]([NH2+]C)[C@@H](OC)C3)[C@@H](OC)C2)[C@@H](C)\C=C\C=C/2[C@]3([C@H](C(=O)O4)C=C(C)[C@@H](O)[C@H]3OC\2)O)C[C@H]4C1 GCKZANITAMOIAR-XWVCPFKXSA-N 0.000 description 3
- 239000003974 emollient agent Substances 0.000 description 3
- 239000000839 emulsion Substances 0.000 description 3
- 230000012173 estrus Effects 0.000 description 3
- DDNRNCSGIYDEMC-UHFFFAOYSA-N ethanol;formic acid Chemical compound CCO.OC=O DDNRNCSGIYDEMC-UHFFFAOYSA-N 0.000 description 3
- ZHNUHDYFZUAESO-UHFFFAOYSA-N formamide Substances NC=O ZHNUHDYFZUAESO-UHFFFAOYSA-N 0.000 description 3
- 125000000524 functional group Chemical group 0.000 description 3
- 239000000499 gel Substances 0.000 description 3
- 238000010353 genetic engineering Methods 0.000 description 3
- 239000003448 gibberellin Substances 0.000 description 3
- 238000003306 harvesting Methods 0.000 description 3
- 210000001320 hippocampus Anatomy 0.000 description 3
- 238000003898 horticulture Methods 0.000 description 3
- 239000012535 impurity Substances 0.000 description 3
- 239000012770 industrial material Substances 0.000 description 3
- PNDPGZBMCMUPRI-UHFFFAOYSA-N iodine Chemical compound II PNDPGZBMCMUPRI-UHFFFAOYSA-N 0.000 description 3
- 150000002576 ketones Chemical class 0.000 description 3
- 239000004571 lime Substances 0.000 description 3
- 244000144972 livestock Species 0.000 description 3
- 230000014759 maintenance of location Effects 0.000 description 3
- 201000004792 malaria Diseases 0.000 description 3
- LULAYUGMBFYYEX-UHFFFAOYSA-N metachloroperbenzoic acid Natural products OC(=O)C1=CC=CC(Cl)=C1 LULAYUGMBFYYEX-UHFFFAOYSA-N 0.000 description 3
- 229910052751 metal Inorganic materials 0.000 description 3
- 239000002184 metal Substances 0.000 description 3
- 229960001952 metrifonate Drugs 0.000 description 3
- FXWHFKOXMBTCMP-WMEDONTMSA-N milbemycin Natural products COC1C2OCC3=C/C=C/C(C)CC(=CCC4CC(CC5(O4)OC(C)C(C)C(OC(=O)C(C)CC(C)C)C5O)OC(=O)C(C=C1C)C23O)C FXWHFKOXMBTCMP-WMEDONTMSA-N 0.000 description 3
- 210000004080 milk Anatomy 0.000 description 3
- 239000005645 nematicide Substances 0.000 description 3
- 150000002825 nitriles Chemical class 0.000 description 3
- 235000015097 nutrients Nutrition 0.000 description 3
- 239000003960 organic solvent Substances 0.000 description 3
- 239000007800 oxidant agent Substances 0.000 description 3
- 230000003647 oxidation Effects 0.000 description 3
- 238000007254 oxidation reaction Methods 0.000 description 3
- 230000001590 oxidative effect Effects 0.000 description 3
- 229910052763 palladium Inorganic materials 0.000 description 3
- 230000003071 parasitic effect Effects 0.000 description 3
- 239000012071 phase Substances 0.000 description 3
- 230000008635 plant growth Effects 0.000 description 3
- 229920000642 polymer Polymers 0.000 description 3
- NLKNQRATVPKPDG-UHFFFAOYSA-M potassium iodide Chemical compound [K+].[I-] NLKNQRATVPKPDG-UHFFFAOYSA-M 0.000 description 3
- 235000019260 propionic acid Nutrition 0.000 description 3
- FVSKHRXBFJPNKK-UHFFFAOYSA-N propionitrile Chemical compound CCC#N FVSKHRXBFJPNKK-UHFFFAOYSA-N 0.000 description 3
- IUVKMZGDUIUOCP-BTNSXGMBSA-N quinbolone Chemical compound O([C@H]1CC[C@H]2[C@H]3[C@@H]([C@]4(C=CC(=O)C=C4CC3)C)CC[C@@]21C)C1=CCCC1 IUVKMZGDUIUOCP-BTNSXGMBSA-N 0.000 description 3
- 239000011435 rock Substances 0.000 description 3
- 239000011734 sodium Substances 0.000 description 3
- 229910052708 sodium Inorganic materials 0.000 description 3
- 229910000029 sodium carbonate Inorganic materials 0.000 description 3
- 235000017550 sodium carbonate Nutrition 0.000 description 3
- 239000012312 sodium hydride Substances 0.000 description 3
- 229910000104 sodium hydride Inorganic materials 0.000 description 3
- 229910052938 sodium sulfate Inorganic materials 0.000 description 3
- 235000011152 sodium sulphate Nutrition 0.000 description 3
- 238000009331 sowing Methods 0.000 description 3
- 241000894007 species Species 0.000 description 3
- 238000001228 spectrum Methods 0.000 description 3
- 230000007480 spreading Effects 0.000 description 3
- 238000003892 spreading Methods 0.000 description 3
- 239000003381 stabilizer Substances 0.000 description 3
- 125000003396 thiol group Chemical group [H]S* 0.000 description 3
- 231100000331 toxic Toxicity 0.000 description 3
- 230000002588 toxic effect Effects 0.000 description 3
- NFACJZMKEDPNKN-UHFFFAOYSA-N trichlorfon Chemical compound COP(=O)(OC)C(O)C(Cl)(Cl)Cl NFACJZMKEDPNKN-UHFFFAOYSA-N 0.000 description 3
- 229940070710 valerate Drugs 0.000 description 3
- NQPDZGIKBAWPEJ-UHFFFAOYSA-N valeric acid Chemical compound CCCCC(O)=O NQPDZGIKBAWPEJ-UHFFFAOYSA-N 0.000 description 3
- 239000000080 wetting agent Substances 0.000 description 3
- JLIDBLDQVAYHNE-YKALOCIXSA-N (+)-Abscisic acid Chemical compound OC(=O)/C=C(/C)\C=C\[C@@]1(O)C(C)=CC(=O)CC1(C)C JLIDBLDQVAYHNE-YKALOCIXSA-N 0.000 description 2
- 125000003626 1,2,4-triazol-1-yl group Chemical group [*]N1N=C([H])N=C1[H] 0.000 description 2
- AZQWKYJCGOJGHM-UHFFFAOYSA-N 1,4-benzoquinone Chemical compound O=C1C=CC(=O)C=C1 AZQWKYJCGOJGHM-UHFFFAOYSA-N 0.000 description 2
- HNSDLXPSAYFUHK-UHFFFAOYSA-N 1,4-bis(2-ethylhexyl) sulfosuccinate Chemical compound CCCCC(CC)COC(=O)CC(S(O)(=O)=O)C(=O)OCC(CC)CCCC HNSDLXPSAYFUHK-UHFFFAOYSA-N 0.000 description 2
- JZWGZVIBYWRECK-RUMWWMSVSA-N 1-[(e)-[2-(4-cyanophenyl)-1-[3-(trifluoromethyl)phenyl]ethylidene]amino]-3-[4-(difluoromethoxy)phenyl]urea Chemical compound C1=CC(OC(F)F)=CC=C1NC(=O)N\N=C(C=1C=C(C=CC=1)C(F)(F)F)/CC1=CC=C(C#N)C=C1 JZWGZVIBYWRECK-RUMWWMSVSA-N 0.000 description 2
- XVTXMTOYQVRHSK-UHFFFAOYSA-N 1-[2-(2,4-dichlorophenyl)-2-prop-2-enoxyethyl]imidazole;sulfuric acid Chemical compound OS(O)(=O)=O.ClC1=CC(Cl)=CC=C1C(OCC=C)CN1C=NC=C1 XVTXMTOYQVRHSK-UHFFFAOYSA-N 0.000 description 2
- LQDARGUHUSPFNL-UHFFFAOYSA-N 1-[2-(2,4-dichlorophenyl)-3-(1,1,2,2-tetrafluoroethoxy)propyl]1,2,4-triazole Chemical compound C=1C=C(Cl)C=C(Cl)C=1C(COC(F)(F)C(F)F)CN1C=NC=N1 LQDARGUHUSPFNL-UHFFFAOYSA-N 0.000 description 2
- PAMIQIKDUOTOBW-UHFFFAOYSA-N 1-methylpiperidine Chemical compound CN1CCCCC1 PAMIQIKDUOTOBW-UHFFFAOYSA-N 0.000 description 2
- IIZPXYDJLKNOIY-JXPKJXOSSA-N 1-palmitoyl-2-arachidonoyl-sn-glycero-3-phosphocholine Chemical compound CCCCCCCCCCCCCCCC(=O)OC[C@H](COP([O-])(=O)OCC[N+](C)(C)C)OC(=O)CCC\C=C/C\C=C/C\C=C/C\C=C/CCCCC IIZPXYDJLKNOIY-JXPKJXOSSA-N 0.000 description 2
- 125000004206 2,2,2-trifluoroethyl group Chemical group [H]C([H])(*)C(F)(F)F 0.000 description 2
- ATGHGGBCGLFTCY-UHFFFAOYSA-N 2-(trifluoromethyl)-3h-imidazo[4,5-c]pyridine Chemical compound C1=NC=C2NC(C(F)(F)F)=NC2=C1 ATGHGGBCGLFTCY-UHFFFAOYSA-N 0.000 description 2
- AZSNMRSAGSSBNP-UHFFFAOYSA-N 22,23-dihydroavermectin B1a Natural products C1CC(C)C(C(C)CC)OC21OC(CC=C(C)C(OC1OC(C)C(OC3OC(C)C(O)C(OC)C3)C(OC)C1)C(C)C=CC=C1C3(C(C(=O)O4)C=C(C)C(O)C3OC1)O)CC4C2 AZSNMRSAGSSBNP-UHFFFAOYSA-N 0.000 description 2
- GNFTZDOKVXKIBK-UHFFFAOYSA-N 3-(2-methoxyethoxy)benzohydrazide Chemical compound COCCOC1=CC=CC(C(=O)NN)=C1 GNFTZDOKVXKIBK-UHFFFAOYSA-N 0.000 description 2
- UTNPLPXWDUEIJI-UHFFFAOYSA-N 4-[3-[2,6-dichloro-4-(3,3-dichloroprop-2-enoxy)phenoxy]propoxy]-2-methoxy-6-(trifluoromethyl)pyrimidine Chemical compound FC(F)(F)C1=NC(OC)=NC(OCCCOC=2C(=CC(OCC=C(Cl)Cl)=CC=2Cl)Cl)=C1 UTNPLPXWDUEIJI-UHFFFAOYSA-N 0.000 description 2
- 125000001255 4-fluorophenyl group Chemical group [H]C1=C([H])C(*)=C([H])C([H])=C1F 0.000 description 2
- OEDUIFSDODUDRK-UHFFFAOYSA-N 5-phenyl-1h-pyrazole Chemical compound N1N=CC=C1C1=CC=CC=C1 OEDUIFSDODUDRK-UHFFFAOYSA-N 0.000 description 2
- IBSREHMXUMOFBB-JFUDTMANSA-N 5u8924t11h Chemical compound O1[C@@H](C)[C@H](O)[C@@H](OC)C[C@@H]1O[C@@H]1[C@@H](OC)C[C@H](O[C@@H]2C(=C/C[C@@H]3C[C@@H](C[C@@]4(O3)C=C[C@H](C)[C@@H](C(C)C)O4)OC(=O)[C@@H]3C=C(C)[C@@H](O)[C@H]4OC\C([C@@]34O)=C/C=C/[C@@H]2C)/C)O[C@H]1C.C1=C[C@H](C)[C@@H]([C@@H](C)CC)O[C@]11O[C@H](C\C=C(C)\[C@@H](O[C@@H]2O[C@@H](C)[C@H](O[C@@H]3O[C@@H](C)[C@H](O)[C@@H](OC)C3)[C@@H](OC)C2)[C@@H](C)\C=C\C=C/2[C@]3([C@H](C(=O)O4)C=C(C)[C@@H](O)[C@H]3OC\2)O)C[C@H]4C1 IBSREHMXUMOFBB-JFUDTMANSA-N 0.000 description 2
- 108010011619 6-Phytase Proteins 0.000 description 2
- SPBDXSGPUHCETR-JFUDTMANSA-N 8883yp2r6d Chemical compound O1[C@@H](C)[C@H](O)[C@@H](OC)C[C@@H]1O[C@@H]1[C@@H](OC)C[C@H](O[C@@H]2C(=C/C[C@@H]3C[C@@H](C[C@@]4(O[C@@H]([C@@H](C)CC4)C(C)C)O3)OC(=O)[C@@H]3C=C(C)[C@@H](O)[C@H]4OC\C([C@@]34O)=C/C=C/[C@@H]2C)/C)O[C@H]1C.C1C[C@H](C)[C@@H]([C@@H](C)CC)O[C@@]21O[C@H](C\C=C(C)\[C@@H](O[C@@H]1O[C@@H](C)[C@H](O[C@@H]3O[C@@H](C)[C@H](O)[C@@H](OC)C3)[C@@H](OC)C1)[C@@H](C)\C=C\C=C/1[C@]3([C@H](C(=O)O4)C=C(C)[C@@H](O)[C@H]3OC\1)O)C[C@H]4C2 SPBDXSGPUHCETR-JFUDTMANSA-N 0.000 description 2
- 241000700606 Acanthocephala Species 0.000 description 2
- 241001143309 Acanthoscelides obtectus Species 0.000 description 2
- 241001558864 Aceria Species 0.000 description 2
- 102000000452 Acetyl-CoA carboxylase Human genes 0.000 description 2
- 108010016219 Acetyl-CoA carboxylase Proteins 0.000 description 2
- 241000526180 Acizzia Species 0.000 description 2
- 241000254032 Acrididae Species 0.000 description 2
- 241000251468 Actinopterygii Species 0.000 description 2
- 241001103582 Aelia Species 0.000 description 2
- 241001164222 Aeneolamia Species 0.000 description 2
- 241001136265 Agriotes Species 0.000 description 2
- 241000993143 Agromyza Species 0.000 description 2
- 241000218473 Agrotis Species 0.000 description 2
- 241000218475 Agrotis segetum Species 0.000 description 2
- 241000234282 Allium Species 0.000 description 2
- 235000002732 Allium cepa var. cepa Nutrition 0.000 description 2
- 241000238679 Amblyomma Species 0.000 description 2
- QGZKDVFQNNGYKY-UHFFFAOYSA-O Ammonium Chemical compound [NH4+] QGZKDVFQNNGYKY-UHFFFAOYSA-O 0.000 description 2
- 241000839189 Amrasca Species 0.000 description 2
- 241000663922 Anasa tristis Species 0.000 description 2
- 241000244023 Anisakis Species 0.000 description 2
- 241000256182 Anopheles gambiae Species 0.000 description 2
- 241000625764 Anticarsia gemmatalis Species 0.000 description 2
- 241001414827 Aonidiella Species 0.000 description 2
- 241001600407 Aphis <genus> Species 0.000 description 2
- 241000273311 Aphis spiraecola Species 0.000 description 2
- 241001227591 Apogonia Species 0.000 description 2
- 241000237518 Arion Species 0.000 description 2
- 241001367049 Autographa Species 0.000 description 2
- 241000271566 Aves Species 0.000 description 2
- 239000005878 Azadirachtin Substances 0.000 description 2
- 241000589941 Azospirillum Species 0.000 description 2
- 241000193830 Bacillus <bacterium> Species 0.000 description 2
- 241000193744 Bacillus amyloliquefaciens Species 0.000 description 2
- 241000193747 Bacillus firmus Species 0.000 description 2
- 241001235574 Balantidium Species 0.000 description 2
- 241001284802 Bertiella <tapeworm> Species 0.000 description 2
- 108010018763 Biotin carboxylase Proteins 0.000 description 2
- 241000929635 Blissus Species 0.000 description 2
- 241000589968 Borrelia Species 0.000 description 2
- 235000010149 Brassica rapa subsp chinensis Nutrition 0.000 description 2
- 241000244036 Brugia Species 0.000 description 2
- 241000195940 Bryophyta Species 0.000 description 2
- 241001453380 Burkholderia Species 0.000 description 2
- 241000589513 Burkholderia cepacia Species 0.000 description 2
- OYPRJOBELJOOCE-UHFFFAOYSA-N Calcium Chemical compound [Ca] OYPRJOBELJOOCE-UHFFFAOYSA-N 0.000 description 2
- 241000257163 Calliphora vicina Species 0.000 description 2
- 241000722666 Camponotus Species 0.000 description 2
- 241000253350 Capillaria Species 0.000 description 2
- KXDHJXZQYSOELW-UHFFFAOYSA-M Carbamate Chemical compound NC([O-])=O KXDHJXZQYSOELW-UHFFFAOYSA-M 0.000 description 2
- CURLTUGMZLYLDI-UHFFFAOYSA-N Carbon dioxide Chemical compound O=C=O CURLTUGMZLYLDI-UHFFFAOYSA-N 0.000 description 2
- 241001098608 Ceratophyllus Species 0.000 description 2
- 241000426499 Chilo Species 0.000 description 2
- 241000256128 Chironomus <genus> Species 0.000 description 2
- 108010062745 Chloride Channels Proteins 0.000 description 2
- 102000011045 Chloride Channels Human genes 0.000 description 2
- 241000359266 Chorioptes Species 0.000 description 2
- 241000669069 Chrysomphalus aonidum Species 0.000 description 2
- 241001124179 Chrysops Species 0.000 description 2
- 241001414836 Cimex Species 0.000 description 2
- 241001327942 Clonorchis Species 0.000 description 2
- 235000013162 Cocos nucifera Nutrition 0.000 description 2
- 244000060011 Cocos nucifera Species 0.000 description 2
- RYGMFSIKBFXOCR-UHFFFAOYSA-N Copper Chemical compound [Cu] RYGMFSIKBFXOCR-UHFFFAOYSA-N 0.000 description 2
- JJLJMEJHUUYSSY-UHFFFAOYSA-L Copper hydroxide Chemical compound [OH-].[OH-].[Cu+2] JJLJMEJHUUYSSY-UHFFFAOYSA-L 0.000 description 2
- 239000005750 Copper hydroxide Substances 0.000 description 2
- 241001509964 Coptotermes Species 0.000 description 2
- 241001266001 Cordyceps confragosa Species 0.000 description 2
- 241000223935 Cryptosporidium Species 0.000 description 2
- 241000866584 Cryptotermes Species 0.000 description 2
- 244000007835 Cyamopsis tetragonoloba Species 0.000 description 2
- 241000969022 Dasineura Species 0.000 description 2
- 241001414890 Delia Species 0.000 description 2
- 241001128004 Demodex Species 0.000 description 2
- 241000586568 Diaspidiotus perniciosus Species 0.000 description 2
- MDNWOSOZYLHTCG-UHFFFAOYSA-N Dichlorophen Chemical compound OC1=CC=C(Cl)C=C1CC1=CC(Cl)=CC=C1O MDNWOSOZYLHTCG-UHFFFAOYSA-N 0.000 description 2
- 241001147667 Dictyocaulus Species 0.000 description 2
- QOSSAOTZNIDXMA-UHFFFAOYSA-N Dicylcohexylcarbodiimide Chemical compound C1CCCCC1N=C=NC1CCCCC1 QOSSAOTZNIDXMA-UHFFFAOYSA-N 0.000 description 2
- 241000189163 Dipetalonema Species 0.000 description 2
- 241001137876 Diphyllobothrium Species 0.000 description 2
- 241000243990 Dirofilaria Species 0.000 description 2
- 241000255581 Drosophila <fruit fly, genus> Species 0.000 description 2
- 241001425477 Dysdercus Species 0.000 description 2
- 241000244160 Echinococcus Species 0.000 description 2
- 241001126301 Echinostoma Species 0.000 description 2
- 241000223924 Eimeria Species 0.000 description 2
- 102000015782 Electron Transport Complex III Human genes 0.000 description 2
- 108010024882 Electron Transport Complex III Proteins 0.000 description 2
- 241000498256 Enterobius Species 0.000 description 2
- 241000488562 Eotetranychus Species 0.000 description 2
- 241000303278 Epitrix Species 0.000 description 2
- 241001183323 Epitrix cucumeris Species 0.000 description 2
- 241000917109 Eriosoma Species 0.000 description 2
- ULGZDMOVFRHVEP-RWJQBGPGSA-N Erythromycin Chemical compound O([C@@H]1[C@@H](C)C(=O)O[C@@H]([C@@]([C@H](O)[C@@H](C)C(=O)[C@H](C)C[C@@](C)(O)[C@H](O[C@H]2[C@@H]([C@H](C[C@@H](C)O2)N(C)C)O)[C@H]1C)(C)O)CC)[C@H]1C[C@@](C)(OC)[C@@H](O)[C@H](C)O1 ULGZDMOVFRHVEP-RWJQBGPGSA-N 0.000 description 2
- 241000060469 Eupoecilia ambiguella Species 0.000 description 2
- 208000010201 Exanthema Diseases 0.000 description 2
- 241000371383 Fannia Species 0.000 description 2
- 241000322646 Felicola Species 0.000 description 2
- 241000668545 Fiorinia Species 0.000 description 2
- 241000189565 Frankliniella Species 0.000 description 2
- 241000255896 Galleria mellonella Species 0.000 description 2
- 241000287828 Gallus gallus Species 0.000 description 2
- 241001660203 Gasterophilus Species 0.000 description 2
- 241000237858 Gastropoda Species 0.000 description 2
- 241000224466 Giardia Species 0.000 description 2
- 239000005980 Gibberellic acid Substances 0.000 description 2
- 241000235500 Gigaspora Species 0.000 description 2
- 241000257324 Glossina <genus> Species 0.000 description 2
- DHMQDGOQFOQNFH-UHFFFAOYSA-N Glycine Chemical compound NCC(O)=O DHMQDGOQFOQNFH-UHFFFAOYSA-N 0.000 description 2
- 241000880292 Gnathostoma Species 0.000 description 2
- 241001441330 Grapholita molesta Species 0.000 description 2
- 241001243091 Gryllotalpa Species 0.000 description 2
- 241000790933 Haematopinus Species 0.000 description 2
- 241000562576 Haematopota Species 0.000 description 2
- 241000825556 Halyomorpha halys Species 0.000 description 2
- 235000003222 Helianthus annuus Nutrition 0.000 description 2
- 241000589989 Helicobacter Species 0.000 description 2
- 241000256257 Heliothis Species 0.000 description 2
- 241001278020 Hepatozoon Species 0.000 description 2
- 241000920462 Heterakis Species 0.000 description 2
- 241001480224 Heterodera Species 0.000 description 2
- 241000317608 Hieroglyphus Species 0.000 description 2
- 241000948219 Histomonas Species 0.000 description 2
- 241000282412 Homo Species 0.000 description 2
- 241001417351 Hoplocampa Species 0.000 description 2
- 241001480803 Hyalomma Species 0.000 description 2
- 241001251909 Hyalopterus pruni Species 0.000 description 2
- 241001483218 Hydrellia griseola Species 0.000 description 2
- AVXURJPOCDRRFD-UHFFFAOYSA-N Hydroxylamine Chemical compound ON AVXURJPOCDRRFD-UHFFFAOYSA-N 0.000 description 2
- 241000257176 Hypoderma <fly> Species 0.000 description 2
- 241000577499 Hypothenemus Species 0.000 description 2
- XEEYBQQBJWHFJM-UHFFFAOYSA-N Iron Chemical compound [Fe] XEEYBQQBJWHFJM-UHFFFAOYSA-N 0.000 description 2
- UQSXHKLRYXJYBZ-UHFFFAOYSA-N Iron oxide Chemical compound [Fe]=O UQSXHKLRYXJYBZ-UHFFFAOYSA-N 0.000 description 2
- 241000188153 Isaria fumosorosea Species 0.000 description 2
- KFZMGEQAYNKOFK-UHFFFAOYSA-N Isopropanol Chemical compound CC(C)O KFZMGEQAYNKOFK-UHFFFAOYSA-N 0.000 description 2
- 241000256602 Isoptera Species 0.000 description 2
- 241000567229 Isospora Species 0.000 description 2
- 241000238681 Ixodes Species 0.000 description 2
- 241000222722 Leishmania <genus> Species 0.000 description 2
- 241000255777 Lepidoptera Species 0.000 description 2
- 241001259424 Lepinotus Species 0.000 description 2
- 241000990101 Leucochloridium Species 0.000 description 2
- 241000540210 Leucoptera coffeella Species 0.000 description 2
- HLFSDGLLUJUHTE-SNVBAGLBSA-N Levamisole Chemical compound C1([C@H]2CN3CCSC3=N2)=CC=CC=C1 HLFSDGLLUJUHTE-SNVBAGLBSA-N 0.000 description 2
- 241001113970 Linognathus Species 0.000 description 2
- 241000322707 Liposcelis Species 0.000 description 2
- 241000594036 Liriomyza Species 0.000 description 2
- 241000257162 Lucilia <blowfly> Species 0.000 description 2
- 208000016604 Lyme disease Diseases 0.000 description 2
- 241000721715 Macrosiphum Species 0.000 description 2
- 244000070406 Malus silvestris Species 0.000 description 2
- 241000555303 Mamestra brassicae Species 0.000 description 2
- 241000902265 Megascelis Species 0.000 description 2
- 241001062280 Melanotus <basidiomycete fungus> Species 0.000 description 2
- 241001540472 Mesocriconema xenoplax Species 0.000 description 2
- NTIZESTWPVYFNL-UHFFFAOYSA-N Methyl isobutyl ketone Chemical compound CC(C)CC(C)=O NTIZESTWPVYFNL-UHFFFAOYSA-N 0.000 description 2
- UIHCLUNTQKBZGK-UHFFFAOYSA-N Methyl isobutyl ketone Natural products CCC(C)C(C)=O UIHCLUNTQKBZGK-UHFFFAOYSA-N 0.000 description 2
- LGDSHSYDSCRFAB-UHFFFAOYSA-N Methyl isothiocyanate Chemical compound CN=C=S LGDSHSYDSCRFAB-UHFFFAOYSA-N 0.000 description 2
- BZLVMXJERCGZMT-UHFFFAOYSA-N Methyl tert-butyl ether Chemical compound COC(C)(C)C BZLVMXJERCGZMT-UHFFFAOYSA-N 0.000 description 2
- 241001497122 Migdolus Species 0.000 description 2
- 239000005918 Milbemectin Substances 0.000 description 2
- 102000013379 Mitochondrial Proton-Translocating ATPases Human genes 0.000 description 2
- 108010026155 Mitochondrial Proton-Translocating ATPases Proteins 0.000 description 2
- 241000237852 Mollusca Species 0.000 description 2
- 241001524040 Monogenea Species 0.000 description 2
- 241000986227 Muellerius Species 0.000 description 2
- 241000257229 Musca <genus> Species 0.000 description 2
- JGFZNNIVVJXRND-UHFFFAOYSA-N N,N-Diisopropylethylamine (DIPEA) Chemical compound CCN(C(C)C)C(C)C JGFZNNIVVJXRND-UHFFFAOYSA-N 0.000 description 2
- 241001147660 Neospora Species 0.000 description 2
- 241001084186 Neotrombicula Species 0.000 description 2
- 241001445080 Neotylenchus Species 0.000 description 2
- 241001126829 Nosema Species 0.000 description 2
- 241000216953 Notocotylus Species 0.000 description 2
- 241000963703 Onychiurus armatus Species 0.000 description 2
- 241000238887 Ornithodoros Species 0.000 description 2
- 241000273340 Ornithonyssus Species 0.000 description 2
- 241000283973 Oryctolagus cuniculus Species 0.000 description 2
- 241000243795 Ostertagia Species 0.000 description 2
- 241001147398 Ostrinia nubilalis Species 0.000 description 2
- 241000131737 Otiorhynchus Species 0.000 description 2
- 241001480755 Otobius Species 0.000 description 2
- 239000004100 Oxytetracycline Substances 0.000 description 2
- 241000904715 Oxyuris Species 0.000 description 2
- 241000488581 Panonychus citri Species 0.000 description 2
- 241000488583 Panonychus ulmi Species 0.000 description 2
- 241001295760 Paraglomus Species 0.000 description 2
- 241001480233 Paragonimus Species 0.000 description 2
- 241000244187 Parascaris Species 0.000 description 2
- 241001450657 Parthenolecanium corni Species 0.000 description 2
- 241001668579 Pasteuria Species 0.000 description 2
- 241001494479 Pecora Species 0.000 description 2
- 241000721452 Pectinophora Species 0.000 description 2
- 241000721454 Pemphigus Species 0.000 description 2
- 241000258972 Pentastomida Species 0.000 description 2
- 235000010627 Phaseolus vulgaris Nutrition 0.000 description 2
- 244000046052 Phaseolus vulgaris Species 0.000 description 2
- 241001517955 Phyllonorycter blancardella Species 0.000 description 2
- 241001640279 Phyllophaga Species 0.000 description 2
- 241001516577 Phylloxera Species 0.000 description 2
- GLUUGHFHXGJENI-UHFFFAOYSA-N Piperazine Chemical compound C1CNCCN1 GLUUGHFHXGJENI-UHFFFAOYSA-N 0.000 description 2
- 241001503957 Pisolithus Species 0.000 description 2
- 235000010582 Pisum sativum Nutrition 0.000 description 2
- 241000500437 Plutella xylostella Species 0.000 description 2
- 239000004372 Polyvinyl alcohol Substances 0.000 description 2
- 241000254101 Popillia japonica Species 0.000 description 2
- 241001506000 Porotermes Species 0.000 description 2
- ATUOYWHBWRKTHZ-UHFFFAOYSA-N Propane Chemical compound CCC ATUOYWHBWRKTHZ-UHFFFAOYSA-N 0.000 description 2
- 235000005805 Prunus cerasus Nutrition 0.000 description 2
- 241000722238 Pseudococcus maritimus Species 0.000 description 2
- 241001649229 Psoroptes Species 0.000 description 2
- 241000255131 Psychodidae Species 0.000 description 2
- 241000526145 Psylla Species 0.000 description 2
- 241001160824 Psylliodes Species 0.000 description 2
- 241000220324 Pyrus Species 0.000 description 2
- YNQSILKYZQZHFJ-UHFFFAOYSA-N R-29148 Chemical compound CC1CN(C(=O)C(Cl)Cl)C(C)(C)O1 YNQSILKYZQZHFJ-UHFFFAOYSA-N 0.000 description 2
- 241000238680 Rhipicephalus microplus Species 0.000 description 2
- 241000589180 Rhizobium Species 0.000 description 2
- 241000722251 Rhodnius Species 0.000 description 2
- 241001350474 Rhopalosiphum nymphaeae Species 0.000 description 2
- 240000004808 Saccharomyces cerevisiae Species 0.000 description 2
- 241001450655 Saissetia Species 0.000 description 2
- 241000224003 Sarcocystis Species 0.000 description 2
- 241000257190 Sarcophaga <genus> Species 0.000 description 2
- 241000509416 Sarcoptes Species 0.000 description 2
- 241000242678 Schistosoma Species 0.000 description 2
- 241001249129 Scirpophaga incertulas Species 0.000 description 2
- 241000522594 Scorpio maurus Species 0.000 description 2
- 241000256108 Simulium <genus> Species 0.000 description 2
- 241000254181 Sitophilus Species 0.000 description 2
- 108010052164 Sodium Channels Proteins 0.000 description 2
- 102000018674 Sodium Channels Human genes 0.000 description 2
- FAPWRFPIFSIZLT-UHFFFAOYSA-M Sodium chloride Chemical compound [Na+].[Cl-] FAPWRFPIFSIZLT-UHFFFAOYSA-M 0.000 description 2
- 241000336929 Sogata Species 0.000 description 2
- 229920002125 Sokalan® Polymers 0.000 description 2
- 244000062793 Sorghum vulgare Species 0.000 description 2
- 241000448016 Stenoma Species 0.000 description 2
- 241000950030 Sternechus Species 0.000 description 2
- 241001595190 Sternochetus mangiferae Species 0.000 description 2
- 241000843044 Stilesia Species 0.000 description 2
- 241001494139 Stomoxys Species 0.000 description 2
- 241000187747 Streptomyces Species 0.000 description 2
- 241001157792 Tapinoma Species 0.000 description 2
- 241000787015 Tetanops Species 0.000 description 2
- 239000005840 Tetraconazole Substances 0.000 description 2
- 239000004098 Tetracycline Substances 0.000 description 2
- 241000224541 Tetratrichomonas Species 0.000 description 2
- 241000028626 Thermobia domestica Species 0.000 description 2
- 239000005844 Thymol Substances 0.000 description 2
- 241001414989 Thysanoptera Species 0.000 description 2
- 241001238452 Tortrix Species 0.000 description 2
- 241000244031 Toxocara Species 0.000 description 2
- 241000223996 Toxoplasma Species 0.000 description 2
- 241000271862 Toxoptera Species 0.000 description 2
- 241001136897 Toxotrypana Species 0.000 description 2
- 241000869417 Trematodes Species 0.000 description 2
- 241000243774 Trichinella Species 0.000 description 2
- 241001259047 Trichodectes Species 0.000 description 2
- 241000223260 Trichoderma harzianum Species 0.000 description 2
- 241001557886 Trichoderma sp. Species 0.000 description 2
- 241001489151 Trichuris Species 0.000 description 2
- 241000790999 Trinoton Species 0.000 description 2
- 241000530048 Triodontophorus Species 0.000 description 2
- 241001414858 Trioza Species 0.000 description 2
- 241000223104 Trypanosoma Species 0.000 description 2
- 241000254199 Urocerus Species 0.000 description 2
- BZHJMEDXRYGGRV-UHFFFAOYSA-N Vinyl chloride Chemical group ClC=C BZHJMEDXRYGGRV-UHFFFAOYSA-N 0.000 description 2
- 241000216750 Wilhelmia Species 0.000 description 2
- HCHKCACWOHOZIP-UHFFFAOYSA-N Zinc Chemical compound [Zn] HCHKCACWOHOZIP-UHFFFAOYSA-N 0.000 description 2
- 229950008167 abamectin Drugs 0.000 description 2
- 239000000853 adhesive Substances 0.000 description 2
- 230000001070 adhesive effect Effects 0.000 description 2
- 239000000443 aerosol Substances 0.000 description 2
- 150000001342 alkaline earth metals Chemical class 0.000 description 2
- 125000003282 alkyl amino group Chemical group 0.000 description 2
- 150000001350 alkyl halides Chemical class 0.000 description 2
- 125000004644 alkyl sulfinyl group Chemical group 0.000 description 2
- 230000003281 allosteric effect Effects 0.000 description 2
- 229940125516 allosteric modulator Drugs 0.000 description 2
- 150000001408 amides Chemical class 0.000 description 2
- 229910021529 ammonia Inorganic materials 0.000 description 2
- 150000003863 ammonium salts Chemical class 0.000 description 2
- BFNBIHQBYMNNAN-UHFFFAOYSA-N ammonium sulfate Chemical compound N.N.OS(O)(=O)=O BFNBIHQBYMNNAN-UHFFFAOYSA-N 0.000 description 2
- 229910052921 ammonium sulfate Inorganic materials 0.000 description 2
- 235000011130 ammonium sulphate Nutrition 0.000 description 2
- AVKUERGKIZMTKX-NJBDSQKTSA-N ampicillin Chemical compound C1([C@@H](N)C(=O)N[C@H]2[C@H]3SC([C@@H](N3C2=O)C(O)=O)(C)C)=CC=CC=C1 AVKUERGKIZMTKX-NJBDSQKTSA-N 0.000 description 2
- 238000010171 animal model Methods 0.000 description 2
- 244000000054 animal parasite Species 0.000 description 2
- 235000021016 apples Nutrition 0.000 description 2
- VEHPJKVTJQSSKL-UHFFFAOYSA-N azadirachtin Natural products O1C2(C)C(C3(C=COC3O3)O)CC3C21C1(C)C(O)C(OCC2(OC(C)=O)C(CC3OC(=O)C(C)=CC)OC(C)=O)C2C32COC(C(=O)OC)(O)C12 VEHPJKVTJQSSKL-UHFFFAOYSA-N 0.000 description 2
- FTNJWQUOZFUQQJ-IRYYUVNJSA-N azadirachtin A Natural products C([C@@H]([C@]1(C=CO[C@H]1O1)O)[C@]2(C)O3)[C@H]1[C@]23[C@]1(C)[C@H](O)[C@H](OC[C@@]2([C@@H](C[C@@H]3OC(=O)C(\C)=C/C)OC(C)=O)C(=O)OC)[C@@H]2[C@]32CO[C@@](C(=O)OC)(O)[C@@H]12 FTNJWQUOZFUQQJ-IRYYUVNJSA-N 0.000 description 2
- 229940005348 bacillus firmus Drugs 0.000 description 2
- 239000011230 binding agent Substances 0.000 description 2
- 230000005540 biological transmission Effects 0.000 description 2
- LLEMOWNGBBNAJR-UHFFFAOYSA-N biphenyl-2-ol Chemical compound OC1=CC=CC=C1C1=CC=CC=C1 LLEMOWNGBBNAJR-UHFFFAOYSA-N 0.000 description 2
- 239000008280 blood Substances 0.000 description 2
- 210000004369 blood Anatomy 0.000 description 2
- GZUXJHMPEANEGY-UHFFFAOYSA-N bromomethane Chemical compound BrC GZUXJHMPEANEGY-UHFFFAOYSA-N 0.000 description 2
- FOANIXZHAMJWOI-UHFFFAOYSA-N bromopropylate Chemical compound C=1C=C(Br)C=CC=1C(O)(C(=O)OC(C)C)C1=CC=C(Br)C=C1 FOANIXZHAMJWOI-UHFFFAOYSA-N 0.000 description 2
- BTANRVKWQNVYAZ-UHFFFAOYSA-N butan-2-ol Chemical compound CCC(C)O BTANRVKWQNVYAZ-UHFFFAOYSA-N 0.000 description 2
- 239000011575 calcium Substances 0.000 description 2
- 229910052791 calcium Inorganic materials 0.000 description 2
- 150000001718 carbodiimides Chemical class 0.000 description 2
- 150000001721 carbon Chemical group 0.000 description 2
- 125000004432 carbon atom Chemical group C* 0.000 description 2
- 150000004649 carbonic acid derivatives Chemical class 0.000 description 2
- 229920002678 cellulose Polymers 0.000 description 2
- 239000001913 cellulose Substances 0.000 description 2
- 239000000919 ceramic Substances 0.000 description 2
- 235000013330 chicken meat Nutrition 0.000 description 2
- 239000012320 chlorinating reagent Substances 0.000 description 2
- DQLATGHUWYMOKM-UHFFFAOYSA-L cisplatin Chemical compound N[Pt](N)(Cl)Cl DQLATGHUWYMOKM-UHFFFAOYSA-L 0.000 description 2
- 229960004316 cisplatin Drugs 0.000 description 2
- 235000020971 citrus fruits Nutrition 0.000 description 2
- 239000008199 coating composition Substances 0.000 description 2
- 230000002860 competitive effect Effects 0.000 description 2
- 229910052802 copper Inorganic materials 0.000 description 2
- 239000010949 copper Substances 0.000 description 2
- 229910001956 copper hydroxide Inorganic materials 0.000 description 2
- 230000008878 coupling Effects 0.000 description 2
- 238000010168 coupling process Methods 0.000 description 2
- 238000005859 coupling reaction Methods 0.000 description 2
- 230000001419 dependent effect Effects 0.000 description 2
- 238000002405 diagnostic procedure Methods 0.000 description 2
- MNNHAPBLZZVQHP-UHFFFAOYSA-N diammonium hydrogen phosphate Chemical compound [NH4+].[NH4+].OP([O-])([O-])=O MNNHAPBLZZVQHP-UHFFFAOYSA-N 0.000 description 2
- 229960003887 dichlorophen Drugs 0.000 description 2
- 229950001327 dichlorvos Drugs 0.000 description 2
- 235000014113 dietary fatty acids Nutrition 0.000 description 2
- 238000010790 dilution Methods 0.000 description 2
- 239000012895 dilution Substances 0.000 description 2
- 238000007598 dipping method Methods 0.000 description 2
- 208000035475 disorder Diseases 0.000 description 2
- 229960000878 docusate sodium Drugs 0.000 description 2
- QLFZZSKTJWDQOS-YDBLARSUSA-N doramectin Chemical compound O1[C@@H](C)[C@H](O)[C@@H](OC)C[C@@H]1O[C@@H]1[C@@H](OC)C[C@H](O[C@@H]2C(=C/C[C@@H]3C[C@@H](C[C@@]4(O3)C=C[C@H](C)[C@@H](C3CCCCC3)O4)OC(=O)[C@@H]3C=C(C)[C@@H](O)[C@H]4OC\C([C@@]34O)=C/C=C/[C@@H]2C)/C)O[C@H]1C QLFZZSKTJWDQOS-YDBLARSUSA-N 0.000 description 2
- 229960003997 doramectin Drugs 0.000 description 2
- 238000001035 drying Methods 0.000 description 2
- 239000000428 dust Substances 0.000 description 2
- 210000002257 embryonic structure Anatomy 0.000 description 2
- 238000005516 engineering process Methods 0.000 description 2
- 229960002125 enilconazole Drugs 0.000 description 2
- 230000007613 environmental effect Effects 0.000 description 2
- 208000028104 epidemic louse-borne typhus Diseases 0.000 description 2
- 210000002615 epidermis Anatomy 0.000 description 2
- 238000001704 evaporation Methods 0.000 description 2
- 201000005884 exanthem Diseases 0.000 description 2
- 239000000284 extract Substances 0.000 description 2
- 239000000194 fatty acid Substances 0.000 description 2
- 229930195729 fatty acid Natural products 0.000 description 2
- 230000002349 favourable effect Effects 0.000 description 2
- 239000012530 fluid Substances 0.000 description 2
- 230000000855 fungicidal effect Effects 0.000 description 2
- JLYXXMFPNIAWKQ-UHFFFAOYSA-N gamma-hexachlorocyclohexane Natural products ClC1C(Cl)C(Cl)C(Cl)C(Cl)C1Cl JLYXXMFPNIAWKQ-UHFFFAOYSA-N 0.000 description 2
- IXORZMNAPKEEDV-UHFFFAOYSA-N gibberellic acid GA3 Natural products OC(=O)C1C2(C3)CC(=C)C3(O)CCC2C2(C=CC3O)C1C3(C)C(=O)O2 IXORZMNAPKEEDV-UHFFFAOYSA-N 0.000 description 2
- 239000011521 glass Substances 0.000 description 2
- 150000002334 glycols Chemical class 0.000 description 2
- 230000012010 growth Effects 0.000 description 2
- 239000003966 growth inhibitor Substances 0.000 description 2
- 239000003630 growth substance Substances 0.000 description 2
- 125000001188 haloalkyl group Chemical group 0.000 description 2
- 239000004009 herbicide Substances 0.000 description 2
- 238000004128 high performance liquid chromatography Methods 0.000 description 2
- 125000002768 hydroxyalkyl group Chemical group 0.000 description 2
- 238000002347 injection Methods 0.000 description 2
- 239000007924 injection Substances 0.000 description 2
- 229910052500 inorganic mineral Inorganic materials 0.000 description 2
- 230000002262 irrigation Effects 0.000 description 2
- 238000003973 irrigation Methods 0.000 description 2
- 229960002418 ivermectin Drugs 0.000 description 2
- 239000010985 leather Substances 0.000 description 2
- 239000000787 lecithin Substances 0.000 description 2
- 235000010445 lecithin Nutrition 0.000 description 2
- 229940067606 lecithin Drugs 0.000 description 2
- 229960001614 levamisole Drugs 0.000 description 2
- 238000004895 liquid chromatography mass spectrometry Methods 0.000 description 2
- HQKMJHAJHXVSDF-UHFFFAOYSA-L magnesium stearate Chemical compound [Mg+2].CCCCCCCCCCCCCCCCCC([O-])=O.CCCCCCCCCCCCCCCCCC([O-])=O HQKMJHAJHXVSDF-UHFFFAOYSA-L 0.000 description 2
- 238000005259 measurement Methods 0.000 description 2
- 235000013372 meat Nutrition 0.000 description 2
- 239000012528 membrane Substances 0.000 description 2
- 230000000813 microbial effect Effects 0.000 description 2
- ZLBGSRMUSVULIE-GSMJGMFJSA-N milbemycin A3 Chemical compound O1[C@H](C)[C@@H](C)CC[C@@]11O[C@H](C\C=C(C)\C[C@@H](C)\C=C\C=C/2[C@]3([C@H](C(=O)O4)C=C(C)[C@@H](O)[C@H]3OC\2)O)C[C@H]4C1 ZLBGSRMUSVULIE-GSMJGMFJSA-N 0.000 description 2
- 235000013336 milk Nutrition 0.000 description 2
- 239000008267 milk Substances 0.000 description 2
- 235000010755 mineral Nutrition 0.000 description 2
- LWGJTAZLEJHCPA-UHFFFAOYSA-N n-(2-chloroethyl)-n-nitrosomorpholine-4-carboxamide Chemical compound ClCCN(N=O)C(=O)N1CCOCC1 LWGJTAZLEJHCPA-UHFFFAOYSA-N 0.000 description 2
- YNFMRVVYUVPIAN-AQUURSMBSA-N nemadectin Chemical compound C1[C@H](O)[C@H](C)[C@@H](C(/C)=C/C(C)C)O[C@]11O[C@H](C\C=C(C)\C[C@@H](C)\C=C\C=C/2[C@]3([C@H](C(=O)O4)C=C(C)[C@@H](O)[C@H]3OC\2)O)C[C@H]4C1 YNFMRVVYUVPIAN-AQUURSMBSA-N 0.000 description 2
- 229950009729 nemadectin Drugs 0.000 description 2
- YNFMRVVYUVPIAN-UHFFFAOYSA-N nemadectin alpha Natural products C1C(O)C(C)C(C(C)=CC(C)C)OC11OC(CC=C(C)CC(C)C=CC=C2C3(C(C(=O)O4)C=C(C)C(O)C3OC2)O)CC4C1 YNFMRVVYUVPIAN-UHFFFAOYSA-N 0.000 description 2
- 230000001069 nematicidal effect Effects 0.000 description 2
- 230000007935 neutral effect Effects 0.000 description 2
- 125000004433 nitrogen atom Chemical group N* 0.000 description 2
- 108010003516 norsynephrine receptor Proteins 0.000 description 2
- 238000000655 nuclear magnetic resonance spectrum Methods 0.000 description 2
- 235000016709 nutrition Nutrition 0.000 description 2
- 230000010627 oxidative phosphorylation Effects 0.000 description 2
- 125000004269 oxiran-2-yl group Chemical group [H]C1([H])OC1([H])* 0.000 description 2
- IWVCMVBTMGNXQD-PXOLEDIWSA-N oxytetracycline Chemical compound C1=CC=C2[C@](O)(C)[C@H]3[C@H](O)[C@H]4[C@H](N(C)C)C(O)=C(C(N)=O)C(=O)[C@@]4(O)C(O)=C3C(=O)C2=C1O IWVCMVBTMGNXQD-PXOLEDIWSA-N 0.000 description 2
- 229960000625 oxytetracycline Drugs 0.000 description 2
- 235000019366 oxytetracycline Nutrition 0.000 description 2
- 125000003854 p-chlorophenyl group Chemical group [H]C1=C([H])C(*)=C([H])C([H])=C1Cl 0.000 description 2
- 238000010422 painting Methods 0.000 description 2
- 235000021017 pears Nutrition 0.000 description 2
- 230000035515 penetration Effects 0.000 description 2
- IZUPBVBPLAPZRR-UHFFFAOYSA-N pentachlorophenol Chemical compound OC1=C(Cl)C(Cl)=C(Cl)C(Cl)=C1Cl IZUPBVBPLAPZRR-UHFFFAOYSA-N 0.000 description 2
- JYVLIDXNZAXMDK-UHFFFAOYSA-N pentan-2-ol Chemical compound CCCC(C)O JYVLIDXNZAXMDK-UHFFFAOYSA-N 0.000 description 2
- 239000004477 pesticide formulation type Substances 0.000 description 2
- 239000003208 petroleum Substances 0.000 description 2
- JGCSKOVQDXEQHI-UHFFFAOYSA-N phenazine-1-carboxylic acid Chemical compound C1=CC=C2N=C3C(C(=O)O)=CC=CC3=NC2=C1 JGCSKOVQDXEQHI-UHFFFAOYSA-N 0.000 description 2
- 150000002989 phenols Chemical class 0.000 description 2
- 125000000951 phenoxy group Chemical group [H]C1=C([H])C([H])=C(O*)C([H])=C1[H] 0.000 description 2
- 150000004714 phosphonium salts Chemical class 0.000 description 2
- 239000011574 phosphorus Substances 0.000 description 2
- 229910052698 phosphorus Inorganic materials 0.000 description 2
- 229910000073 phosphorus hydride Inorganic materials 0.000 description 2
- XHXFXVLFKHQFAL-UHFFFAOYSA-N phosphoryl trichloride Chemical group ClP(Cl)(Cl)=O XHXFXVLFKHQFAL-UHFFFAOYSA-N 0.000 description 2
- 229940085127 phytase Drugs 0.000 description 2
- 239000000049 pigment Substances 0.000 description 2
- 239000000419 plant extract Substances 0.000 description 2
- 229920005862 polyol Polymers 0.000 description 2
- 150000003077 polyols Chemical class 0.000 description 2
- 229920001296 polysiloxane Polymers 0.000 description 2
- 229920002689 polyvinyl acetate Polymers 0.000 description 2
- 239000011118 polyvinyl acetate Substances 0.000 description 2
- 229920002451 polyvinyl alcohol Polymers 0.000 description 2
- 229910000160 potassium phosphate Inorganic materials 0.000 description 2
- 235000011009 potassium phosphates Nutrition 0.000 description 2
- 235000012015 potatoes Nutrition 0.000 description 2
- 238000002953 preparative HPLC Methods 0.000 description 2
- 230000002265 prevention Effects 0.000 description 2
- KJRCEJOSASVSRA-UHFFFAOYSA-N propane-2-thiol Chemical compound CC(C)S KJRCEJOSASVSRA-UHFFFAOYSA-N 0.000 description 2
- 230000000069 prophylactic effect Effects 0.000 description 2
- 239000011814 protection agent Substances 0.000 description 2
- 235000018102 proteins Nutrition 0.000 description 2
- 150000003230 pyrimidines Chemical class 0.000 description 2
- 206010037844 rash Diseases 0.000 description 2
- 239000005871 repellent Substances 0.000 description 2
- 230000002940 repellent Effects 0.000 description 2
- 102000042094 ryanodine receptor (TC 1.A.3.1) family Human genes 0.000 description 2
- 108091052345 ryanodine receptor (TC 1.A.3.1) family Proteins 0.000 description 2
- 229960001860 salicylate Drugs 0.000 description 2
- 210000003296 saliva Anatomy 0.000 description 2
- 229930000044 secondary metabolite Natural products 0.000 description 2
- 238000000926 separation method Methods 0.000 description 2
- 230000019491 signal transduction Effects 0.000 description 2
- 239000002002 slurry Substances 0.000 description 2
- 229940125794 sodium channel blocker Drugs 0.000 description 2
- 239000003195 sodium channel blocking agent Substances 0.000 description 2
- JQWHASGSAFIOCM-UHFFFAOYSA-M sodium periodate Chemical compound [Na+].[O-]I(=O)(=O)=O JQWHASGSAFIOCM-UHFFFAOYSA-M 0.000 description 2
- 238000004659 sterilization and disinfection Methods 0.000 description 2
- 125000000446 sulfanediyl group Chemical group *S* 0.000 description 2
- 125000000475 sulfinyl group Chemical group [*:2]S([*:1])=O 0.000 description 2
- 229910052717 sulfur Inorganic materials 0.000 description 2
- 239000000725 suspension Substances 0.000 description 2
- 238000003786 synthesis reaction Methods 0.000 description 2
- 230000021918 systemic acquired resistance Effects 0.000 description 2
- IWVCMVBTMGNXQD-UHFFFAOYSA-N terramycin dehydrate Natural products C1=CC=C2C(O)(C)C3C(O)C4C(N(C)C)C(O)=C(C(N)=O)C(=O)C4(O)C(O)=C3C(=O)C2=C1O IWVCMVBTMGNXQD-UHFFFAOYSA-N 0.000 description 2
- 235000019364 tetracycline Nutrition 0.000 description 2
- 150000003522 tetracyclines Chemical class 0.000 description 2
- CZDYPVPMEAXLPK-UHFFFAOYSA-N tetramethylsilane Chemical compound C[Si](C)(C)C CZDYPVPMEAXLPK-UHFFFAOYSA-N 0.000 description 2
- 239000004308 thiabendazole Substances 0.000 description 2
- 235000010296 thiabendazole Nutrition 0.000 description 2
- 229960004546 thiabendazole Drugs 0.000 description 2
- WJCNZQLZVWNLKY-UHFFFAOYSA-N thiabendazole Chemical compound S1C=NC(C=2NC3=CC=CC=C3N=2)=C1 WJCNZQLZVWNLKY-UHFFFAOYSA-N 0.000 description 2
- 229960000790 thymol Drugs 0.000 description 2
- 231100000419 toxicity Toxicity 0.000 description 2
- 230000001988 toxicity Effects 0.000 description 2
- 230000009466 transformation Effects 0.000 description 2
- QAEDZJGFFMLHHQ-UHFFFAOYSA-N trifluoroacetic anhydride Chemical compound FC(F)(F)C(=O)OC(=O)C(F)(F)F QAEDZJGFFMLHHQ-UHFFFAOYSA-N 0.000 description 2
- 206010061393 typhus Diseases 0.000 description 2
- 230000017260 vegetative to reproductive phase transition of meristem Effects 0.000 description 2
- 230000003612 virological effect Effects 0.000 description 2
- 229910052725 zinc Inorganic materials 0.000 description 2
- 239000011701 zinc Substances 0.000 description 2
- DBGIVFWFUFKIQN-UHFFFAOYSA-N (+-)-Fenfluramine Chemical compound CCNC(C)CC1=CC=CC(C(F)(F)F)=C1 DBGIVFWFUFKIQN-UHFFFAOYSA-N 0.000 description 1
- SNICXCGAKADSCV-JTQLQIEISA-N (-)-Nicotine Chemical compound CN1CCC[C@H]1C1=CC=CN=C1 SNICXCGAKADSCV-JTQLQIEISA-N 0.000 description 1
- CXBMCYHAMVGWJQ-LOACHALJSA-N (1R)-tetramethrin Chemical compound CC1(C)C(C=C(C)C)[C@H]1C(=O)OCN1C(=O)C(CCCC2)=C2C1=O CXBMCYHAMVGWJQ-LOACHALJSA-N 0.000 description 1
- KAATUXNTWXVJKI-GGPKGHCWSA-N (1R)-trans-(alphaS)-cypermethrin Chemical compound CC1(C)[C@H](C=C(Cl)Cl)[C@H]1C(=O)O[C@H](C#N)C1=CC=CC(OC=2C=CC=CC=2)=C1 KAATUXNTWXVJKI-GGPKGHCWSA-N 0.000 description 1
- ZXQYGBMAQZUVMI-RDDWSQKMSA-N (1S)-cis-(alphaR)-cyhalothrin Chemical compound CC1(C)[C@H](\C=C(/Cl)C(F)(F)F)[C@@H]1C(=O)O[C@@H](C#N)C1=CC=CC(OC=2C=CC=CC=2)=C1 ZXQYGBMAQZUVMI-RDDWSQKMSA-N 0.000 description 1
- CCCGEKHKTPTUHJ-VHSXEESVSA-N (1S,4R)-benzovindiflupyr Chemical compound C1([C@@]2([H])CC[C@@]3(C2=C(Cl)Cl)[H])=C3C=CC=C1NC(=O)C1=CN(C)N=C1C(F)F CCCGEKHKTPTUHJ-VHSXEESVSA-N 0.000 description 1
- JRHPOFJADXHYBR-HTQZYQBOSA-N (1r,2r)-1-n,2-n-dimethylcyclohexane-1,2-diamine Chemical compound CN[C@@H]1CCCC[C@H]1NC JRHPOFJADXHYBR-HTQZYQBOSA-N 0.000 description 1
- ZMYFCFLJBGAQRS-IRXDYDNUSA-N (2R,3S)-epoxiconazole Chemical compound C1=CC(F)=CC=C1[C@@]1(CN2N=CN=C2)[C@H](C=2C(=CC=CC=2)Cl)O1 ZMYFCFLJBGAQRS-IRXDYDNUSA-N 0.000 description 1
- LZTIMERBDGGAJD-SNAWJCMRSA-N (2e)-2-(nitromethylidene)-1,3-thiazinane Chemical compound [O-][N+](=O)\C=C1/NCCCS1 LZTIMERBDGGAJD-SNAWJCMRSA-N 0.000 description 1
- MJYQFWSXKFLTAY-OVEQLNGDSA-N (2r,3r)-2,3-bis[(4-hydroxy-3-methoxyphenyl)methyl]butane-1,4-diol;(2r,3r,4s,5s,6r)-6-(hydroxymethyl)oxane-2,3,4,5-tetrol Chemical compound OC[C@H]1O[C@@H](O)[C@H](O)[C@@H](O)[C@@H]1O.C1=C(O)C(OC)=CC(C[C@@H](CO)[C@H](CO)CC=2C=C(OC)C(O)=CC=2)=C1 MJYQFWSXKFLTAY-OVEQLNGDSA-N 0.000 description 1
- LJRDOKAZOAKLDU-UDXJMMFXSA-N (2s,3s,4r,5r,6r)-5-amino-2-(aminomethyl)-6-[(2r,3s,4r,5s)-5-[(1r,2r,3s,5r,6s)-3,5-diamino-2-[(2s,3r,4r,5s,6r)-3-amino-4,5-dihydroxy-6-(hydroxymethyl)oxan-2-yl]oxy-6-hydroxycyclohexyl]oxy-4-hydroxy-2-(hydroxymethyl)oxolan-3-yl]oxyoxane-3,4-diol;sulfuric ac Chemical compound OS(O)(=O)=O.N[C@@H]1[C@@H](O)[C@H](O)[C@H](CN)O[C@@H]1O[C@H]1[C@@H](O)[C@H](O[C@H]2[C@@H]([C@@H](N)C[C@@H](N)[C@@H]2O)O[C@@H]2[C@@H]([C@@H](O)[C@H](O)[C@@H](CO)O2)N)O[C@@H]1CO LJRDOKAZOAKLDU-UDXJMMFXSA-N 0.000 description 1
- RLLPVAHGXHCWKJ-HKUYNNGSSA-N (3-phenoxyphenyl)methyl (1r,3r)-3-(2,2-dichloroethenyl)-2,2-dimethylcyclopropane-1-carboxylate Chemical compound CC1(C)[C@@H](C=C(Cl)Cl)[C@H]1C(=O)OCC1=CC=CC(OC=2C=CC=CC=2)=C1 RLLPVAHGXHCWKJ-HKUYNNGSSA-N 0.000 description 1
- RLLPVAHGXHCWKJ-MJGOQNOKSA-N (3-phenoxyphenyl)methyl (1r,3s)-3-(2,2-dichloroethenyl)-2,2-dimethylcyclopropane-1-carboxylate Chemical compound CC1(C)[C@H](C=C(Cl)Cl)[C@H]1C(=O)OCC1=CC=CC(OC=2C=CC=CC=2)=C1 RLLPVAHGXHCWKJ-MJGOQNOKSA-N 0.000 description 1
- UJPFUWMCQXUOSM-ZLIFDBKOSA-N (3R,4S,6S)-7-(2,4-dichlorophenyl)-4-(1,3-dihydro-1,2,4-triazol-2-yl)-2,2,6-trimethylheptan-3-ol Chemical compound C[C@H](C[C@@H]([C@H](O)C(C)(C)C)N1CNC=N1)Cc1ccc(Cl)cc1Cl UJPFUWMCQXUOSM-ZLIFDBKOSA-N 0.000 description 1
- SGKRLCUYIXIAHR-AKNGSSGZSA-N (4s,4ar,5s,5ar,6r,12ar)-4-(dimethylamino)-1,5,10,11,12a-pentahydroxy-6-methyl-3,12-dioxo-4a,5,5a,6-tetrahydro-4h-tetracene-2-carboxamide Chemical compound C1=CC=C2[C@H](C)[C@@H]([C@H](O)[C@@H]3[C@](C(O)=C(C(N)=O)C(=O)[C@H]3N(C)C)(O)C3=O)C3=C(O)C2=C1O SGKRLCUYIXIAHR-AKNGSSGZSA-N 0.000 description 1
- VEMKTZHHVJILDY-WOJBJXKFSA-N (5-benzylfuran-3-yl)methyl (1s,3r)-2,2-dimethyl-3-(2-methylprop-1-enyl)cyclopropane-1-carboxylate Chemical compound CC1(C)[C@H](C=C(C)C)[C@@H]1C(=O)OCC1=COC(CC=2C=CC=CC=2)=C1 VEMKTZHHVJILDY-WOJBJXKFSA-N 0.000 description 1
- PPDBOQMNKNNODG-NTEUORMPSA-N (5E)-5-(4-chlorobenzylidene)-2,2-dimethyl-1-(1,2,4-triazol-1-ylmethyl)cyclopentanol Chemical compound C1=NC=NN1CC1(O)C(C)(C)CC\C1=C/C1=CC=C(Cl)C=C1 PPDBOQMNKNNODG-NTEUORMPSA-N 0.000 description 1
- WCXDHFDTOYPNIE-RIYZIHGNSA-N (E)-acetamiprid Chemical compound N#C/N=C(\C)N(C)CC1=CC=C(Cl)N=C1 WCXDHFDTOYPNIE-RIYZIHGNSA-N 0.000 description 1
- FZRBKIRIBLNOAM-UHFFFAOYSA-N (E,E)-2-propynyl 3,7,11-trimethyl-2,4-dodecadienoate Chemical compound CC(C)CCCC(C)CC=CC(C)=CC(=O)OCC#C FZRBKIRIBLNOAM-UHFFFAOYSA-N 0.000 description 1
- IQVNEKKDSLOHHK-FNCQTZNRSA-N (E,E)-hydramethylnon Chemical compound N1CC(C)(C)CNC1=NN=C(/C=C/C=1C=CC(=CC=1)C(F)(F)F)\C=C\C1=CC=C(C(F)(F)F)C=C1 IQVNEKKDSLOHHK-FNCQTZNRSA-N 0.000 description 1
- WHTVZRBIWZFKQO-AWEZNQCLSA-N (S)-chloroquine Chemical compound ClC1=CC=C2C(N[C@@H](C)CCCN(CC)CC)=CC=NC2=C1 WHTVZRBIWZFKQO-AWEZNQCLSA-N 0.000 description 1
- QNBTYORWCCMPQP-JXAWBTAJSA-N (Z)-dimethomorph Chemical compound C1=C(OC)C(OC)=CC=C1C(\C=1C=CC(Cl)=CC=1)=C/C(=O)N1CCOCC1 QNBTYORWCCMPQP-JXAWBTAJSA-N 0.000 description 1
- HOKKPVIRMVDYPB-UVTDQMKNSA-N (Z)-thiacloprid Chemical compound C1=NC(Cl)=CC=C1CN1C(=N/C#N)/SCC1 HOKKPVIRMVDYPB-UVTDQMKNSA-N 0.000 description 1
- XOJRCKNTZSQBOJ-UHFFFAOYSA-N 1,1,1,2,2-pentafluoro-3-(2,2,2-trifluoroethoxy)propane Chemical compound FC(F)(F)COCC(F)(F)C(F)(F)F XOJRCKNTZSQBOJ-UHFFFAOYSA-N 0.000 description 1
- IAKOZHOLGAGEJT-UHFFFAOYSA-N 1,1,1-trichloro-2,2-bis(p-methoxyphenyl)-Ethane Chemical compound C1=CC(OC)=CC=C1C(C(Cl)(Cl)Cl)C1=CC=C(OC)C=C1 IAKOZHOLGAGEJT-UHFFFAOYSA-N 0.000 description 1
- TZCPCKNHXULUIY-RGULYWFUSA-N 1,2-distearoyl-sn-glycero-3-phosphoserine Chemical compound CCCCCCCCCCCCCCCCCC(=O)OC[C@H](COP(O)(=O)OC[C@H](N)C(O)=O)OC(=O)CCCCCCCCCCCCCCCCC TZCPCKNHXULUIY-RGULYWFUSA-N 0.000 description 1
- TUBQDCKAWGHZPF-UHFFFAOYSA-N 1,3-benzothiazol-2-ylsulfanylmethyl thiocyanate Chemical compound C1=CC=C2SC(SCSC#N)=NC2=C1 TUBQDCKAWGHZPF-UHFFFAOYSA-N 0.000 description 1
- MNSDGJFEKUKHGO-UHFFFAOYSA-N 1,3-diphenylcyclopenta[l]phenanthren-2-one Chemical compound C=12C3=CC=CC=C3C3=CC=CC=C3C2=C(C=2C=CC=CC=2)C(=O)C=1C1=CC=CC=C1 MNSDGJFEKUKHGO-UHFFFAOYSA-N 0.000 description 1
- WEEGYLXZBRQIMU-UHFFFAOYSA-N 1,8-cineole Natural products C1CC2CCC1(C)OC2(C)C WEEGYLXZBRQIMU-UHFFFAOYSA-N 0.000 description 1
- IHGSAQHSAGRWNI-UHFFFAOYSA-N 1-(4-bromophenyl)-2,2,2-trifluoroethanone Chemical compound FC(F)(F)C(=O)C1=CC=C(Br)C=C1 IHGSAQHSAGRWNI-UHFFFAOYSA-N 0.000 description 1
- RMOGWMIKYWRTKW-UHFFFAOYSA-N 1-(4-chlorophenyl)-4,4-dimethyl-2-(1H-1,2,4-triazol-1-yl)pentan-3-ol Chemical compound C1=NC=NN1C(C(O)C(C)(C)C)CC1=CC=C(Cl)C=C1 RMOGWMIKYWRTKW-UHFFFAOYSA-N 0.000 description 1
- KDMZCYQCANNXSQ-UHFFFAOYSA-N 1-[2-(cyclopropylmethoxy)-4-(trifluoromethyl)phenoxy]-3-[6-(trifluoromethyl)pyridazin-3-yl]-3-azabicyclo[3.2.1]octane Chemical compound C1(CC1)COC1=C(OC23CN(CC(CC2)C3)C=2N=NC(=CC=2)C(F)(F)F)C=CC(=C1)C(F)(F)F KDMZCYQCANNXSQ-UHFFFAOYSA-N 0.000 description 1
- 125000006426 1-chlorocyclopropyl group Chemical group [H]C1([H])C([H])([H])C1(Cl)* 0.000 description 1
- YIKWKLYQRFRGPM-UHFFFAOYSA-N 1-dodecylguanidine acetate Chemical compound CC(O)=O.CCCCCCCCCCCCN=C(N)N YIKWKLYQRFRGPM-UHFFFAOYSA-N 0.000 description 1
- 125000006039 1-hexenyl group Chemical group 0.000 description 1
- NVEPPWDVLBMNMB-SNAWJCMRSA-N 1-methyl-2-[(e)-2-(3-methylthiophen-2-yl)ethenyl]-5,6-dihydro-4h-pyrimidine Chemical compound CN1CCCN=C1\C=C\C1=C(C)C=CS1 NVEPPWDVLBMNMB-SNAWJCMRSA-N 0.000 description 1
- NFGXHKASABOEEW-UHFFFAOYSA-N 1-methylethyl 11-methoxy-3,7,11-trimethyl-2,4-dodecadienoate Chemical compound COC(C)(C)CCCC(C)CC=CC(C)=CC(=O)OC(C)C NFGXHKASABOEEW-UHFFFAOYSA-N 0.000 description 1
- JHAHAUYJIIKYIC-UHFFFAOYSA-N 1-methylpyrazole-4-carboxamide Chemical compound CN1C=C(C(N)=O)C=N1 JHAHAUYJIIKYIC-UHFFFAOYSA-N 0.000 description 1
- 125000006023 1-pentenyl group Chemical group 0.000 description 1
- 125000006017 1-propenyl group Chemical group 0.000 description 1
- 125000000530 1-propynyl group Chemical group [H]C([H])([H])C#C* 0.000 description 1
- 238000005160 1H NMR spectroscopy Methods 0.000 description 1
- HYZJCKYKOHLVJF-UHFFFAOYSA-N 1H-benzimidazole Chemical compound C1=CC=C2NC=NC2=C1 HYZJCKYKOHLVJF-UHFFFAOYSA-N 0.000 description 1
- AFBBKYQYNPNMAT-UHFFFAOYSA-N 1h-1,2,4-triazol-1-ium-3-thiolate Chemical compound SC=1N=CNN=1 AFBBKYQYNPNMAT-UHFFFAOYSA-N 0.000 description 1
- WLODWTPNUWYZKN-UHFFFAOYSA-N 1h-pyrrol-2-ol Chemical compound OC1=CC=CN1 WLODWTPNUWYZKN-UHFFFAOYSA-N 0.000 description 1
- AVRPFRMDMNDIDH-UHFFFAOYSA-N 1h-quinazolin-2-one Chemical class C1=CC=CC2=NC(O)=NC=C21 AVRPFRMDMNDIDH-UHFFFAOYSA-N 0.000 description 1
- TVFWYUWNQVRQRG-UHFFFAOYSA-N 2,3,4-tris(2-phenylethenyl)phenol Chemical compound C=1C=CC=CC=1C=CC1=C(C=CC=2C=CC=CC=2)C(O)=CC=C1C=CC1=CC=CC=C1 TVFWYUWNQVRQRG-UHFFFAOYSA-N 0.000 description 1
- NYOKZHDTNBDPOB-UHFFFAOYSA-N 2,3,5-trimethylphenyl methylcarbamate Chemical compound CNC(=O)OC1=CC(C)=CC(C)=C1C NYOKZHDTNBDPOB-UHFFFAOYSA-N 0.000 description 1
- ZFFMLCVRJBZUDZ-UHFFFAOYSA-N 2,3-dimethylbutane Chemical group CC(C)C(C)C ZFFMLCVRJBZUDZ-UHFFFAOYSA-N 0.000 description 1
- MHKBMNACOMRIAW-UHFFFAOYSA-N 2,3-dinitrophenol Chemical class OC1=CC=CC([N+]([O-])=O)=C1[N+]([O-])=O MHKBMNACOMRIAW-UHFFFAOYSA-N 0.000 description 1
- RFFVPMBIBPQADE-UHFFFAOYSA-N 2,5-dimethyl-N-(1,1,3-trimethyl-2,3-dihydroinden-4-yl)-1H-pyrazole-5-carboxamide Chemical compound CN1NC(C=C1)(C(=O)NC1=C2C(CC(C2=CC=C1)(C)C)C)C RFFVPMBIBPQADE-UHFFFAOYSA-N 0.000 description 1
- JTHMHWAHAKLCKT-UHFFFAOYSA-N 2,6-difluoro-n-[[4-(trifluoromethyl)phenyl]carbamoyl]benzamide Chemical compound FC1=CC=CC(F)=C1C(=O)NC(=O)NC1=CC=C(C(F)(F)F)C=C1 JTHMHWAHAKLCKT-UHFFFAOYSA-N 0.000 description 1
- VUUVLUHQUVRAFY-UHFFFAOYSA-N 2-(3,6-dichloropyridin-2-yl)-3-methyl-6-(trifluoromethyl)imidazo[4,5-c]pyridine Chemical compound ClC=1C(=NC(=CC=1)Cl)C1=NC2=C(C=NC(=C2)C(F)(F)F)N1C VUUVLUHQUVRAFY-UHFFFAOYSA-N 0.000 description 1
- AGVACZYQCJRDQE-UHFFFAOYSA-N 2-(6-benzylpyridin-2-yl)quinazoline Chemical compound C=1C=CC(C=2N=C3C=CC=CC3=CN=2)=NC=1CC1=CC=CC=C1 AGVACZYQCJRDQE-UHFFFAOYSA-N 0.000 description 1
- FXJRDUKXWHFPND-NSHDSACASA-N 2-[(1s)-1-(2,3-dimethylphenyl)ethyl]-1h-imidazole Chemical compound C1([C@@H](C)C=2C(=C(C)C=CC=2)C)=NC=CN1 FXJRDUKXWHFPND-NSHDSACASA-N 0.000 description 1
- QKJJCZYFXJCKRX-HZHKWBLPSA-N 2-[(2s,3s,6r)-6-[4-amino-5-(hydroxymethyl)-2-oxopyrimidin-1-yl]-3-[[(2s)-2-amino-3-hydroxypropanoyl]amino]-3,6-dihydro-2h-pyran-2-yl]-5-(diaminomethylideneamino)-2,4-dihydroxypentanoic acid Chemical compound O1[C@H](C(O)(CC(O)CN=C(N)N)C(O)=O)[C@@H](NC(=O)[C@H](CO)N)C=C[C@@H]1N1C(=O)N=C(N)C(CO)=C1 QKJJCZYFXJCKRX-HZHKWBLPSA-N 0.000 description 1
- WCBVUETZRWGIJQ-UHFFFAOYSA-N 2-[[(methoxycarbonylamino)-(2-nitro-5-propylsulfanylanilino)methylidene]amino]ethanesulfonic acid Chemical compound CCCSC1=CC=C([N+]([O-])=O)C(NC(NC(=O)OC)=NCCS(O)(=O)=O)=C1 WCBVUETZRWGIJQ-UHFFFAOYSA-N 0.000 description 1
- CFWRDBDJAOHXSH-SECBINFHSA-N 2-azaniumylethyl [(2r)-2,3-diacetyloxypropyl] phosphate Chemical compound CC(=O)OC[C@@H](OC(C)=O)COP(O)(=O)OCCN CFWRDBDJAOHXSH-SECBINFHSA-N 0.000 description 1
- 125000004847 2-fluorobenzyl group Chemical group [H]C1=C([H])C(F)=C(C([H])=C1[H])C([H])([H])* 0.000 description 1
- 125000004198 2-fluorophenyl group Chemical group [H]C1=C([H])C(F)=C(*)C([H])=C1[H] 0.000 description 1
- 125000006040 2-hexenyl group Chemical group 0.000 description 1
- 125000004204 2-methoxyphenyl group Chemical group [H]C1=C([H])C(*)=C(OC([H])([H])[H])C([H])=C1[H] 0.000 description 1
- XWKFPIODWVPXLX-UHFFFAOYSA-N 2-methyl-5-methylpyridine Natural products CC1=CC=C(C)N=C1 XWKFPIODWVPXLX-UHFFFAOYSA-N 0.000 description 1
- YWDWYOALXURQPZ-CYBMUJFWSA-N 2-methyl-n-[3-[(6s)-2,3,5,6-tetrahydroimidazo[2,1-b][1,3]thiazol-6-yl]phenyl]propanamide Chemical compound CC(C)C(=O)NC1=CC=CC([C@@H]2N=C3SCCN3C2)=C1 YWDWYOALXURQPZ-CYBMUJFWSA-N 0.000 description 1
- BSKHPKMHTQYZBB-UHFFFAOYSA-N 2-methylpyridine Chemical compound CC1=CC=CC=N1 BSKHPKMHTQYZBB-UHFFFAOYSA-N 0.000 description 1
- ALYOQPBWHZJZLF-UHFFFAOYSA-N 2-nitrobutanedioic acid Chemical compound OC(=O)CC(C(O)=O)[N+]([O-])=O ALYOQPBWHZJZLF-UHFFFAOYSA-N 0.000 description 1
- 229940061334 2-phenylphenol Drugs 0.000 description 1
- 125000003903 2-propenyl group Chemical group [H]C([*])([H])C([H])=C([H])[H] 0.000 description 1
- 125000001494 2-propynyl group Chemical group [H]C#CC([H])([H])* 0.000 description 1
- UMZCLZPXPCNKML-UHFFFAOYSA-N 2h-imidazo[4,5-d][1,3]thiazole Chemical class C1=NC2=NCSC2=N1 UMZCLZPXPCNKML-UHFFFAOYSA-N 0.000 description 1
- SWDPECKACXBPCX-UHFFFAOYSA-N 3,3,3-tris(4-chlorophenyl)-1-(4-methylpiperazin-1-yl)propan-1-one Chemical compound C1CN(C)CCN1C(=O)CC(C=1C=CC(Cl)=CC=1)(C=1C=CC(Cl)=CC=1)C1=CC=C(Cl)C=C1 SWDPECKACXBPCX-UHFFFAOYSA-N 0.000 description 1
- 125000004211 3,5-difluorophenyl group Chemical group [H]C1=C(F)C([H])=C(*)C([H])=C1F 0.000 description 1
- CAAMSDWKXXPUJR-UHFFFAOYSA-N 3,5-dihydro-4H-imidazol-4-one Chemical compound O=C1CNC=N1 CAAMSDWKXXPUJR-UHFFFAOYSA-N 0.000 description 1
- GOLORTLGFDVFDW-UHFFFAOYSA-N 3-(1h-benzimidazol-2-yl)-7-(diethylamino)chromen-2-one Chemical compound C1=CC=C2NC(C3=CC4=CC=C(C=C4OC3=O)N(CC)CC)=NC2=C1 GOLORTLGFDVFDW-UHFFFAOYSA-N 0.000 description 1
- 125000004975 3-butenyl group Chemical group C(CC=C)* 0.000 description 1
- DNDLJUVNJLTMIE-UHFFFAOYSA-N 3-chloro-5-(4-chlorophenyl)-4-(2,6-difluorophenyl)-6-methylpyridazine Chemical compound C=1C=C(Cl)C=CC=1C=1C(C)=NN=C(Cl)C=1C1=C(F)C=CC=C1F DNDLJUVNJLTMIE-UHFFFAOYSA-N 0.000 description 1
- 125000004180 3-fluorophenyl group Chemical group [H]C1=C([H])C(*)=C([H])C(F)=C1[H] 0.000 description 1
- 125000006041 3-hexenyl group Chemical group 0.000 description 1
- ZXVONLUNISGICL-UHFFFAOYSA-N 4,6-dinitro-o-cresol Chemical compound CC1=CC([N+]([O-])=O)=CC([N+]([O-])=O)=C1O ZXVONLUNISGICL-UHFFFAOYSA-N 0.000 description 1
- HTXMJCHSFOPGME-UHFFFAOYSA-N 4,7-dimethoxy-1,3-benzodioxole Chemical compound COC1=CC=C(OC)C2=C1OCO2 HTXMJCHSFOPGME-UHFFFAOYSA-N 0.000 description 1
- FXSRCEOKVUFSGM-UHFFFAOYSA-N 4-(4-chlorophenyl)-5-(2,6-difluorophenyl)-3,6-dimethylpyridazine Chemical compound C=1C=C(Cl)C=CC=1C=1C(C)=NN=C(C)C=1C1=C(F)C=CC=C1F FXSRCEOKVUFSGM-UHFFFAOYSA-N 0.000 description 1
- IADUTHPCDKCKPO-UHFFFAOYSA-N 4-(trifluoromethyl)-1h-imidazo[4,5-c]pyridine Chemical compound FC(F)(F)C1=NC=CC2=C1N=CN2 IADUTHPCDKCKPO-UHFFFAOYSA-N 0.000 description 1
- NHZLNPMOSADWGC-UHFFFAOYSA-N 4-amino-N-(2-quinoxalinyl)benzenesulfonamide Chemical compound C1=CC(N)=CC=C1S(=O)(=O)NC1=CN=C(C=CC=C2)C2=N1 NHZLNPMOSADWGC-UHFFFAOYSA-N 0.000 description 1
- QKLPUVXBJHRFQZ-UHFFFAOYSA-N 4-amino-n-(6-chloropyrazin-2-yl)benzenesulfonamide Chemical compound C1=CC(N)=CC=C1S(=O)(=O)NC1=CN=CC(Cl)=N1 QKLPUVXBJHRFQZ-UHFFFAOYSA-N 0.000 description 1
- 125000006283 4-chlorobenzyl group Chemical group [H]C1=C([H])C(=C([H])C([H])=C1Cl)C([H])([H])* 0.000 description 1
- 125000004801 4-cyanophenyl group Chemical group [H]C1=C([H])C(C#N)=C([H])C([H])=C1* 0.000 description 1
- PGYDGBCATBINCB-UHFFFAOYSA-N 4-diethoxyphosphoryl-n,n-dimethylaniline Chemical compound CCOP(=O)(OCC)C1=CC=C(N(C)C)C=C1 PGYDGBCATBINCB-UHFFFAOYSA-N 0.000 description 1
- 125000006042 4-hexenyl group Chemical group 0.000 description 1
- IVJKCSCRNVMPNG-OWOJBTEDSA-N 5-[[(E)-3-chloroprop-2-enyl]amino]-1-[2,6-dichloro-4-(trifluoromethyl)phenyl]-4-(trifluoromethylsulfinyl)pyrazole-3-carbonitrile Chemical compound Cl/C=C/CNC1=C(C(=NN1C1=C(C=C(C=C1Cl)C(F)(F)F)Cl)C#N)S(=O)C(F)(F)F IVJKCSCRNVMPNG-OWOJBTEDSA-N 0.000 description 1
- ZOCSXAVNDGMNBV-UHFFFAOYSA-N 5-amino-1-[2,6-dichloro-4-(trifluoromethyl)phenyl]-4-[(trifluoromethyl)sulfinyl]-1H-pyrazole-3-carbonitrile Chemical compound NC1=C(S(=O)C(F)(F)F)C(C#N)=NN1C1=C(Cl)C=C(C(F)(F)F)C=C1Cl ZOCSXAVNDGMNBV-UHFFFAOYSA-N 0.000 description 1
- GDGIVSREGUOIJZ-UHFFFAOYSA-N 5-amino-3h-1,3,4-thiadiazole-2-thione Chemical compound NC1=NN=C(S)S1 GDGIVSREGUOIJZ-UHFFFAOYSA-N 0.000 description 1
- VVSLQYNHYOIDRL-UHFFFAOYSA-N 5-chlorothiophene-2-sulfonohydrazide Chemical compound NNS(=O)(=O)C1=CC=C(Cl)S1 VVSLQYNHYOIDRL-UHFFFAOYSA-N 0.000 description 1
- GOFJDXZZHFNFLV-UHFFFAOYSA-N 5-fluoro-1,3-dimethyl-N-[2-(4-methylpentan-2-yl)phenyl]pyrazole-4-carboxamide Chemical compound CC(C)CC(C)C1=CC=CC=C1NC(=O)C1=C(F)N(C)N=C1C GOFJDXZZHFNFLV-UHFFFAOYSA-N 0.000 description 1
- GNUDLKJUYSXMNO-UHFFFAOYSA-N 5-fluoro-3,3,4,4-tetramethyl-1-quinolin-3-ylisoquinoline Chemical compound C12=CC=CC(F)=C2C(C)(C)C(C)(C)N=C1C1=CN=C(C=CC=C2)C2=C1 GNUDLKJUYSXMNO-UHFFFAOYSA-N 0.000 description 1
- 125000006043 5-hexenyl group Chemical group 0.000 description 1
- GBKDPTQTQKHKLS-UHFFFAOYSA-N 6-bromo-2,3,4,5-tetrahydrothiopyran-6-ide Chemical compound Br[C-]1SCCCC1 GBKDPTQTQKHKLS-UHFFFAOYSA-N 0.000 description 1
- VUZQHUVRBPILAX-UHFFFAOYSA-N 6-chloro-1h-indazole Chemical compound ClC1=CC=C2C=NNC2=C1 VUZQHUVRBPILAX-UHFFFAOYSA-N 0.000 description 1
- VSVKOUBCDZYAQY-UHFFFAOYSA-N 7-chloro-1,2-benzothiazole Chemical compound ClC1=CC=CC2=C1SN=C2 VSVKOUBCDZYAQY-UHFFFAOYSA-N 0.000 description 1
- GJCOSYZMQJWQCA-UHFFFAOYSA-N 9H-xanthene Chemical compound C1=CC=C2CC3=CC=CC=C3OC2=C1 GJCOSYZMQJWQCA-UHFFFAOYSA-N 0.000 description 1
- 230000002407 ATP formation Effects 0.000 description 1
- 241001524388 Abrupta Species 0.000 description 1
- 244000215068 Acacia senegal Species 0.000 description 1
- 241000916767 Acalymma vittatum Species 0.000 description 1
- 241001098072 Acanthocephalus Species 0.000 description 1
- 241001316810 Acanthocephalus dirus Species 0.000 description 1
- 241000244044 Acanthocheilonema Species 0.000 description 1
- 241001580860 Acarapis Species 0.000 description 1
- 241000934064 Acarus siro Species 0.000 description 1
- IKHGUXGNUITLKF-UHFFFAOYSA-N Acetaldehyde Chemical compound CC=O IKHGUXGNUITLKF-UHFFFAOYSA-N 0.000 description 1
- 239000005875 Acetamiprid Substances 0.000 description 1
- QTBSBXVTEAMEQO-UHFFFAOYSA-M Acetate Chemical compound CC([O-])=O QTBSBXVTEAMEQO-UHFFFAOYSA-M 0.000 description 1
- 241000238818 Acheta domesticus Species 0.000 description 1
- 241001351288 Achroia grisella Species 0.000 description 1
- 241000526190 Acizzia uncatoides Species 0.000 description 1
- 241000896073 Acrida turrita Species 0.000 description 1
- 241001614182 Acrogonia Species 0.000 description 1
- 241000908424 Acromyrmex Species 0.000 description 1
- 241000819811 Acronicta major Species 0.000 description 1
- 241001506009 Aculops Species 0.000 description 1
- 241000079319 Aculops lycopersici Species 0.000 description 1
- 241000253988 Acyrthosiphon Species 0.000 description 1
- 241000253994 Acyrthosiphon pisum Species 0.000 description 1
- 241001227264 Adoretus Species 0.000 description 1
- 241001672675 Adoxophyes Species 0.000 description 1
- 241000256118 Aedes aegypti Species 0.000 description 1
- 241000256173 Aedes albopictus Species 0.000 description 1
- 241000484420 Aedia leucomelas Species 0.000 description 1
- 241001617415 Aelurostrongylus Species 0.000 description 1
- 241000220276 Aethina tumida Species 0.000 description 1
- 208000000230 African Trypanosomiasis Diseases 0.000 description 1
- 241000902874 Agelastica alni Species 0.000 description 1
- 241000702957 Aglenchus Species 0.000 description 1
- 241001254566 Aglenchus agricola Species 0.000 description 1
- 241000902467 Agonoscena Species 0.000 description 1
- 241000673167 Agriotes mancus Species 0.000 description 1
- 241000589158 Agrobacterium Species 0.000 description 1
- 241000589159 Agrobacterium sp. Species 0.000 description 1
- 241001003964 Agromyza frontella Species 0.000 description 1
- 241000566547 Agrotis ipsilon Species 0.000 description 1
- 241000449794 Alabama argillacea Species 0.000 description 1
- 244000005894 Albizia lebbeck Species 0.000 description 1
- 241000221702 Aleuria Species 0.000 description 1
- 241001155864 Aleurolobus barodensis Species 0.000 description 1
- 241000307865 Aleurothrixus floccosus Species 0.000 description 1
- 241000107983 Aleyrodes proletella Species 0.000 description 1
- RGCKGOZRHPZPFP-UHFFFAOYSA-N Alizarin Natural products C1=CC=C2C(=O)C3=C(O)C(O)=CC=C3C(=O)C2=C1 RGCKGOZRHPZPFP-UHFFFAOYSA-N 0.000 description 1
- 240000002234 Allium sativum Species 0.000 description 1
- 239000005877 Alpha-Cypermethrin Substances 0.000 description 1
- GUBGYTABKSRVRQ-XLOQQCSPSA-N Alpha-Lactose Chemical compound O[C@@H]1[C@@H](O)[C@@H](O)[C@@H](CO)O[C@H]1O[C@@H]1[C@@H](CO)O[C@H](O)[C@H](O)[C@H]1O GUBGYTABKSRVRQ-XLOQQCSPSA-N 0.000 description 1
- 241001124203 Alphitobius diaperinus Species 0.000 description 1
- 239000005995 Aluminium silicate Substances 0.000 description 1
- 241001466460 Alveolata Species 0.000 description 1
- 241001547413 Amidostomum Species 0.000 description 1
- ATRRKUHOCOJYRX-UHFFFAOYSA-N Ammonium bicarbonate Chemical compound [NH4+].OC([O-])=O ATRRKUHOCOJYRX-UHFFFAOYSA-N 0.000 description 1
- 229910000013 Ammonium bicarbonate Inorganic materials 0.000 description 1
- 241001398046 Amphimallon solstitiale Species 0.000 description 1
- 241000239241 Amphipoda Species 0.000 description 1
- 241001167029 Amrasca biguttula Species 0.000 description 1
- 241001259789 Amyelois transitella Species 0.000 description 1
- 241001673643 Anaphothrips obscurus Species 0.000 description 1
- 241000522128 Anarchias Species 0.000 description 1
- 241001198492 Anarsia Species 0.000 description 1
- 241000272525 Anas platyrhynchos Species 0.000 description 1
- 241001147657 Ancylostoma Species 0.000 description 1
- 241000243791 Angiostrongylus Species 0.000 description 1
- 241000252084 Anguilla Species 0.000 description 1
- 241000380490 Anguina Species 0.000 description 1
- 241000399940 Anguina tritici Species 0.000 description 1
- 241000896138 Anisolabis Species 0.000 description 1
- 241000411449 Anobium punctatum Species 0.000 description 1
- 241000256056 Anopheles arabiensis Species 0.000 description 1
- 241000256190 Anopheles quadrimaculatus Species 0.000 description 1
- 241001626718 Anoplocephala Species 0.000 description 1
- 241000027431 Anoplophora Species 0.000 description 1
- 241000272814 Anser sp. Species 0.000 description 1
- 241000693245 Antestiopsis Species 0.000 description 1
- 241000254177 Anthonomus Species 0.000 description 1
- 241000254175 Anthonomus grandis Species 0.000 description 1
- 241001640910 Anthrenus Species 0.000 description 1
- 241000625753 Anticarsia Species 0.000 description 1
- 241001414828 Aonidiella aurantii Species 0.000 description 1
- 241000586542 Aonidiella citrina Species 0.000 description 1
- 241000294569 Aphelenchoides Species 0.000 description 1
- 241001370455 Aphelenchoides arachidis Species 0.000 description 1
- 241000294568 Aphelenchoides fragariae Species 0.000 description 1
- 241001151957 Aphis aurantii Species 0.000 description 1
- 241000271857 Aphis citricidus Species 0.000 description 1
- 241000952611 Aphis craccivora Species 0.000 description 1
- 241001425390 Aphis fabae Species 0.000 description 1
- 241000566651 Aphis forbesi Species 0.000 description 1
- 241000952610 Aphis glycines Species 0.000 description 1
- 241001600408 Aphis gossypii Species 0.000 description 1
- 241000660739 Aphis hederae Species 0.000 description 1
- 241001094026 Aphis illinoisensis Species 0.000 description 1
- 241000569145 Aphis nasturtii Species 0.000 description 1
- 241001448479 Aphis nerii Species 0.000 description 1
- 241001095118 Aphis pomi Species 0.000 description 1
- 241001095086 Aphis viburniphila Species 0.000 description 1
- 241000224482 Apicomplexa Species 0.000 description 1
- 241000533363 Apion Species 0.000 description 1
- 244000105624 Arachis hypogaea Species 0.000 description 1
- 241000239223 Arachnida Species 0.000 description 1
- 241000872518 Aradus funestus Species 0.000 description 1
- 241000838579 Arboridia Species 0.000 description 1
- 241000238888 Argasidae Species 0.000 description 1
- 241001574902 Argyroploce Species 0.000 description 1
- 241000237521 Arion rufus Species 0.000 description 1
- 241000722809 Armadillidium vulgare Species 0.000 description 1
- 235000003097 Artemisia absinthium Nutrition 0.000 description 1
- 240000002877 Artemisia absinthium Species 0.000 description 1
- 241000776678 Arytainilla Species 0.000 description 1
- 241000204727 Ascaridia Species 0.000 description 1
- 241000244186 Ascaris Species 0.000 description 1
- 241001664281 Asphondylia Species 0.000 description 1
- 206010003497 Asphyxia Diseases 0.000 description 1
- 241000760149 Aspiculuris Species 0.000 description 1
- 241000668391 Aspidiella Species 0.000 description 1
- 241000387313 Aspidiotus Species 0.000 description 1
- 241000387321 Aspidiotus nerii Species 0.000 description 1
- 241000238708 Astigmata Species 0.000 description 1
- PYIXHKGTJKCVBJ-UHFFFAOYSA-N Astraciceran Natural products C1OC2=CC(O)=CC=C2CC1C1=CC(OCO2)=C2C=C1OC PYIXHKGTJKCVBJ-UHFFFAOYSA-N 0.000 description 1
- 241001437124 Atanus Species 0.000 description 1
- 241001503479 Athalia Species 0.000 description 1
- 241001503477 Athalia rosae Species 0.000 description 1
- 241000726103 Atta Species 0.000 description 1
- 241000131286 Attagenus Species 0.000 description 1
- 241000982146 Atylotus Species 0.000 description 1
- 241001166626 Aulacorthum solani Species 0.000 description 1
- 241001448292 Austrobilharzia Species 0.000 description 1
- 241000999616 Avitellina Species 0.000 description 1
- 241000894009 Azorhizobium caulinodans Species 0.000 description 1
- 241000589151 Azotobacter Species 0.000 description 1
- 241000223836 Babesia Species 0.000 description 1
- 241000223846 Babesia canis Species 0.000 description 1
- 241000414381 Babesia canis rossi Species 0.000 description 1
- 241000193755 Bacillus cereus Species 0.000 description 1
- 241000194103 Bacillus pumilus Species 0.000 description 1
- 241000194110 Bacillus sp. (in: Bacteria) Species 0.000 description 1
- 208000035143 Bacterial infection Diseases 0.000 description 1
- 241001109971 Bactericera cockerelli Species 0.000 description 1
- 241001124183 Bactrocera <genus> Species 0.000 description 1
- 241001124181 Bactrocera dorsalis Species 0.000 description 1
- 241001398899 Baris coerulescens Species 0.000 description 1
- 241000244181 Baylisascaris Species 0.000 description 1
- 241000751139 Beauveria bassiana Species 0.000 description 1
- 241000580217 Belonolaimus Species 0.000 description 1
- 241000865127 Belonolaimus gracilis Species 0.000 description 1
- 241000580218 Belonolaimus longicaudatus Species 0.000 description 1
- 241000254127 Bemisia tabaci Species 0.000 description 1
- PFJJMJDEVDLPNE-UHFFFAOYSA-N Benoxacor Chemical compound C1=CC=C2N(C(=O)C(Cl)Cl)C(C)COC2=C1 PFJJMJDEVDLPNE-UHFFFAOYSA-N 0.000 description 1
- 241000359271 Besnoitia Species 0.000 description 1
- 239000005884 Beta-Cyfluthrin Substances 0.000 description 1
- NDVRQFZUJRMKKP-UHFFFAOYSA-N Betavulgarin Natural products O=C1C=2C(OC)=C3OCOC3=CC=2OC=C1C1=CC=CC=C1O NDVRQFZUJRMKKP-UHFFFAOYSA-N 0.000 description 1
- 241001142392 Bibio Species 0.000 description 1
- BVKZGUZCCUSVTD-UHFFFAOYSA-M Bicarbonate Chemical compound OC([O-])=O BVKZGUZCCUSVTD-UHFFFAOYSA-M 0.000 description 1
- 239000005653 Bifenazate Substances 0.000 description 1
- 239000005874 Bifenthrin Substances 0.000 description 1
- 241000237359 Biomphalaria Species 0.000 description 1
- 241001573716 Blaniulus guttulatus Species 0.000 description 1
- 241000277945 Blastodacna atra Species 0.000 description 1
- 241000526194 Blastopsylla occidentalis Species 0.000 description 1
- 241000238662 Blatta orientalis Species 0.000 description 1
- 241001631693 Blattella asahinai Species 0.000 description 1
- 241000238657 Blattella germanica Species 0.000 description 1
- 241001516760 Boisea Species 0.000 description 1
- 241000238678 Boophilus Species 0.000 description 1
- 241001622619 Borbo cinnara Species 0.000 description 1
- 241000526183 Boreioglycaspis melaleucae Species 0.000 description 1
- ZOXJGFHDIHLPTG-UHFFFAOYSA-N Boron Chemical compound [B] ZOXJGFHDIHLPTG-UHFFFAOYSA-N 0.000 description 1
- 241000124827 Borrelia duttonii Species 0.000 description 1
- 239000005740 Boscalid Substances 0.000 description 1
- 241001323427 Bothridium Species 0.000 description 1
- 241000322475 Bovicola Species 0.000 description 1
- 241000273318 Brachycaudus cardui Species 0.000 description 1
- 241000310266 Brachycaudus helichrysi Species 0.000 description 1
- 241001088081 Brachycolus Species 0.000 description 1
- 241001262976 Brachylaima Species 0.000 description 1
- 241000589173 Bradyrhizobium Species 0.000 description 1
- 235000003351 Brassica cretica Nutrition 0.000 description 1
- 240000007124 Brassica oleracea Species 0.000 description 1
- 235000003899 Brassica oleracea var acephala Nutrition 0.000 description 1
- 235000011301 Brassica oleracea var capitata Nutrition 0.000 description 1
- 235000001169 Brassica oleracea var oleracea Nutrition 0.000 description 1
- 235000003343 Brassica rupestris Nutrition 0.000 description 1
- 241000219193 Brassicaceae Species 0.000 description 1
- 241001444260 Brassicogethes aeneus Species 0.000 description 1
- 241000941072 Braula Species 0.000 description 1
- 241000982105 Brevicoryne brassicae Species 0.000 description 1
- 241001643374 Brevipalpus Species 0.000 description 1
- 241001643371 Brevipalpus phoenicis Species 0.000 description 1
- 241001325378 Bruchus Species 0.000 description 1
- 241001414201 Bruchus pisorum Species 0.000 description 1
- 241001388466 Bruchus rufimanus Species 0.000 description 1
- 241000488564 Bryobia Species 0.000 description 1
- 241000398201 Bryobia praetiosa Species 0.000 description 1
- 241001517925 Bucculatrix Species 0.000 description 1
- 241000041029 Bulinus Species 0.000 description 1
- 241000931178 Bunostomum Species 0.000 description 1
- 241001491664 Bupalus Species 0.000 description 1
- 241001491790 Bupalus piniaria Species 0.000 description 1
- 241000243770 Bursaphelenchus Species 0.000 description 1
- 241000134389 Bursaphelenchus cocophilus Species 0.000 description 1
- 241001428312 Bursaphelenchus eremus Species 0.000 description 1
- 241000243771 Bursaphelenchus xylophilus Species 0.000 description 1
- 241000661267 Busseola Species 0.000 description 1
- SLZWBCGZQRRUNG-UHFFFAOYSA-N Butacarb Chemical compound CNC(=O)OC1=CC(C(C)(C)C)=CC(C(C)(C)C)=C1 SLZWBCGZQRRUNG-UHFFFAOYSA-N 0.000 description 1
- 241001058840 Buxtonella Species 0.000 description 1
- XGNRYDVNKSCERP-UHFFFAOYSA-N C#CN(CC1)c2c1nccc2 Chemical compound C#CN(CC1)c2c1nccc2 XGNRYDVNKSCERP-UHFFFAOYSA-N 0.000 description 1
- AZSVURUYKJGRBL-UHFFFAOYSA-N C(C)(C)(C)C1=C(CN(C(=O)C=2C=NNC2)C)C=C(C=C1)C Chemical compound C(C)(C)(C)C1=C(CN(C(=O)C=2C=NNC2)C)C=C(C=C1)C AZSVURUYKJGRBL-UHFFFAOYSA-N 0.000 description 1
- FGUUSXIOTUKUDN-IBGZPJMESA-N C1(=CC=CC=C1)N1C2=C(NC([C@H](C1)NC=1OC(=NN=1)C1=CC=CC=C1)=O)C=CC=C2 Chemical compound C1(=CC=CC=C1)N1C2=C(NC([C@H](C1)NC=1OC(=NN=1)C1=CC=CC=C1)=O)C=CC=C2 FGUUSXIOTUKUDN-IBGZPJMESA-N 0.000 description 1
- SJMNQXLXIIXDDS-UHFFFAOYSA-N C1NCc2c1cccn2 Chemical compound C1NCc2c1cccn2 SJMNQXLXIIXDDS-UHFFFAOYSA-N 0.000 description 1
- AAJCBQBOOWGPDM-UHFFFAOYSA-N C=CN(C(c1c2cncc1)=O)C2=O Chemical compound C=CN(C(c1c2cncc1)=O)C2=O AAJCBQBOOWGPDM-UHFFFAOYSA-N 0.000 description 1
- JFLRKDZMHNBDQS-UCQUSYKYSA-N CC[C@H]1CCC[C@@H]([C@H](C(=O)C2=C[C@H]3[C@@H]4C[C@@H](C[C@H]4C(=C[C@H]3[C@@H]2CC(=O)O1)C)O[C@H]5[C@@H]([C@@H]([C@H]([C@@H](O5)C)OC)OC)OC)C)O[C@H]6CC[C@@H]([C@H](O6)C)N(C)C.CC[C@H]1CCC[C@@H]([C@H](C(=O)C2=C[C@H]3[C@@H]4C[C@@H](C[C@H]4C=C[C@H]3C2CC(=O)O1)O[C@H]5[C@@H]([C@@H]([C@H]([C@@H](O5)C)OC)OC)OC)C)O[C@H]6CC[C@@H]([C@H](O6)C)N(C)C Chemical compound CC[C@H]1CCC[C@@H]([C@H](C(=O)C2=C[C@H]3[C@@H]4C[C@@H](C[C@H]4C(=C[C@H]3[C@@H]2CC(=O)O1)C)O[C@H]5[C@@H]([C@@H]([C@H]([C@@H](O5)C)OC)OC)OC)C)O[C@H]6CC[C@@H]([C@H](O6)C)N(C)C.CC[C@H]1CCC[C@@H]([C@H](C(=O)C2=C[C@H]3[C@@H]4C[C@@H](C[C@H]4C=C[C@H]3C2CC(=O)O1)O[C@H]5[C@@H]([C@@H]([C@H]([C@@H](O5)C)OC)OC)OC)C)O[C@H]6CC[C@@H]([C@H](O6)C)N(C)C JFLRKDZMHNBDQS-UCQUSYKYSA-N 0.000 description 1
- MPUJBXWINAUKNJ-UHFFFAOYSA-N CN(C(C1)O)c2c1cccc2 Chemical compound CN(C(C1)O)c2c1cccc2 MPUJBXWINAUKNJ-UHFFFAOYSA-N 0.000 description 1
- FIRXFHJQGIIJDB-UHFFFAOYSA-N CN(CC1)c2c1cccc2 Chemical compound CN(CC1)c2c1cccc2 FIRXFHJQGIIJDB-UHFFFAOYSA-N 0.000 description 1
- MBIHRUBPAKXXBI-UHFFFAOYSA-N CN(CC1)c2c1ccnc2 Chemical compound CN(CC1)c2c1ccnc2 MBIHRUBPAKXXBI-UHFFFAOYSA-N 0.000 description 1
- JHMBTUMIVBSJFS-UHFFFAOYSA-N CN(Cc1c2cccc1)C2=O Chemical compound CN(Cc1c2cccc1)C2=O JHMBTUMIVBSJFS-UHFFFAOYSA-N 0.000 description 1
- PYEHNKXDXBNHQQ-UHFFFAOYSA-N CN(c(cccc1)c1N1)C1=O Chemical compound CN(c(cccc1)c1N1)C1=O PYEHNKXDXBNHQQ-UHFFFAOYSA-N 0.000 description 1
- JWBRNYGXJYMMSI-UHFFFAOYSA-N CN(c1c(N2)nccc1)C2=O Chemical compound CN(c1c(N2)nccc1)C2=O JWBRNYGXJYMMSI-UHFFFAOYSA-N 0.000 description 1
- MGMMUSCADIODQW-UHFFFAOYSA-N CN1C=CSC1CN2C(=NC=N2)SC#N Chemical compound CN1C=CSC1CN2C(=NC=N2)SC#N MGMMUSCADIODQW-UHFFFAOYSA-N 0.000 description 1
- ZHRWOPMANBDMSZ-UHFFFAOYSA-N CNc1cnc(cc1N)C(F)(F)F Chemical compound CNc1cnc(cc1N)C(F)(F)F ZHRWOPMANBDMSZ-UHFFFAOYSA-N 0.000 description 1
- 241001212014 Cacoecia Species 0.000 description 1
- 241000526185 Cacopsylla Species 0.000 description 1
- 241000776777 Cacopsylla mali Species 0.000 description 1
- 241000526200 Cacopsylla pyri Species 0.000 description 1
- 241001425384 Cacopsylla pyricola Species 0.000 description 1
- 229910021532 Calcite Inorganic materials 0.000 description 1
- 239000006009 Calcium phosphide Substances 0.000 description 1
- 241001126289 Calicophoron Species 0.000 description 1
- 241000257160 Calliphora Species 0.000 description 1
- 241000906761 Calocoris Species 0.000 description 1
- 241000333978 Caloglyphus Species 0.000 description 1
- 241001184747 Caloptilia theivora Species 0.000 description 1
- 241000282832 Camelidae Species 0.000 description 1
- 241000613201 Campylomma livida Species 0.000 description 1
- 241000282472 Canis lupus familiaris Species 0.000 description 1
- 241000283707 Capra Species 0.000 description 1
- 235000002567 Capsicum annuum Nutrition 0.000 description 1
- 240000004160 Capsicum annuum Species 0.000 description 1
- OKTJSMMVPCPJKN-UHFFFAOYSA-N Carbon Chemical compound [C] OKTJSMMVPCPJKN-UHFFFAOYSA-N 0.000 description 1
- BVKZGUZCCUSVTD-UHFFFAOYSA-L Carbonate Chemical compound [O-]C([O-])=O BVKZGUZCCUSVTD-UHFFFAOYSA-L 0.000 description 1
- 229920002134 Carboxymethyl cellulose Polymers 0.000 description 1
- 241001347511 Carposina sasakii Species 0.000 description 1
- 241000162408 Cassida Species 0.000 description 1
- 241001643117 Cassidae Species 0.000 description 1
- 241000614965 Catatropis Species 0.000 description 1
- 240000001829 Catharanthus roseus Species 0.000 description 1
- 241000781521 Cavelerius Species 0.000 description 1
- 241001427143 Cavelerius excavatus Species 0.000 description 1
- 241000700198 Cavia Species 0.000 description 1
- 241000296609 Celastrus angulatus Species 0.000 description 1
- 229940123982 Cell wall synthesis inhibitor Drugs 0.000 description 1
- 241000239327 Centruroides Species 0.000 description 1
- 241000255579 Ceratitis capitata Species 0.000 description 1
- 241000134979 Ceratovacuna lanigera Species 0.000 description 1
- 235000006228 Cercis occidentalis Nutrition 0.000 description 1
- 240000005099 Cercis occidentalis Species 0.000 description 1
- 241001414824 Cercopidae Species 0.000 description 1
- 241000486829 Cercopithifilaria Species 0.000 description 1
- 241001450758 Ceroplastes Species 0.000 description 1
- 241001124201 Cerotoma trifurcata Species 0.000 description 1
- 241000242722 Cestoda Species 0.000 description 1
- 241000893172 Chabertia Species 0.000 description 1
- 241000724059 Chaetanaphothrips Species 0.000 description 1
- 241000877105 Chaetocnema confinis Species 0.000 description 1
- 241001094931 Chaetosiphon fragaefolii Species 0.000 description 1
- 241000689258 Chamaecrista nigricans Species 0.000 description 1
- 241000604356 Chamaepsila rosae Species 0.000 description 1
- 241000219312 Chenopodium Species 0.000 description 1
- 240000006162 Chenopodium quinoa Species 0.000 description 1
- 235000015493 Chenopodium quinoa Nutrition 0.000 description 1
- 241000426497 Chilo suppressalis Species 0.000 description 1
- 241000700114 Chinchillidae Species 0.000 description 1
- 241000668556 Chionaspis Species 0.000 description 1
- RAPBNVDSDCTNRC-UHFFFAOYSA-N Chlorobenzilate Chemical compound C=1C=C(Cl)C=CC=1C(O)(C(=O)OCC)C1=CC=C(Cl)C=C1 RAPBNVDSDCTNRC-UHFFFAOYSA-N 0.000 description 1
- 239000005944 Chlorpyrifos Substances 0.000 description 1
- 206010008631 Cholera Diseases 0.000 description 1
- 241001076191 Chondracris rosea Species 0.000 description 1
- 241001340573 Choreutis pariana Species 0.000 description 1
- 241000255945 Choristoneura Species 0.000 description 1
- 241000118402 Chromaphis juglandicola Species 0.000 description 1
- 244000035851 Chrysanthemum leucanthemum Species 0.000 description 1
- 235000008495 Chrysanthemum leucanthemum Nutrition 0.000 description 1
- 241001273872 Chrysodeixis chalcites Species 0.000 description 1
- 241001367803 Chrysodeixis includens Species 0.000 description 1
- 241000191839 Chrysomya Species 0.000 description 1
- 241001097338 Cicadulina Species 0.000 description 1
- 241000223782 Ciliophora Species 0.000 description 1
- 241001635686 Cimex adjunctus Species 0.000 description 1
- 241001635683 Cimex hemipterus Species 0.000 description 1
- 241001327638 Cimex lectularius Species 0.000 description 1
- 241000235394 Cimex pilosellus Species 0.000 description 1
- 244000241235 Citrullus lanatus Species 0.000 description 1
- 235000012828 Citrullus lanatus var citroides Nutrition 0.000 description 1
- 235000005979 Citrus limon Nutrition 0.000 description 1
- 244000131522 Citrus pyriformis Species 0.000 description 1
- 241000186650 Clavibacter Species 0.000 description 1
- 241001152840 Cleonus Species 0.000 description 1
- 241000098277 Cnaphalocrocis Species 0.000 description 1
- 241000098289 Cnaphalocrocis medinalis Species 0.000 description 1
- 241001350387 Cnephasia Species 0.000 description 1
- 241000224483 Coccidia Species 0.000 description 1
- 241001478240 Coccus Species 0.000 description 1
- 241001479447 Coccus hesperidum Species 0.000 description 1
- 241000952448 Coccus longulus Species 0.000 description 1
- 241001479453 Coccus pseudomagnoliarum Species 0.000 description 1
- 241001677188 Coccus viridis Species 0.000 description 1
- 240000007154 Coffea arabica Species 0.000 description 1
- 241000287937 Colinus Species 0.000 description 1
- 241000478483 Collaria <Myxogastria> Species 0.000 description 1
- 241000085576 Collyriclum Species 0.000 description 1
- 241000272201 Columbiformes Species 0.000 description 1
- 241001079597 Colus Species 0.000 description 1
- 208000035473 Communicable disease Diseases 0.000 description 1
- 239000005748 Coniothyrium minitans Strain CON/M/91-08 (DSM 9660) Substances 0.000 description 1
- 241000683561 Conoderus Species 0.000 description 1
- 241001476526 Conopomorpha Species 0.000 description 1
- 241000532667 Conotrachelus Species 0.000 description 1
- 241000084473 Contarinia nasturtii Species 0.000 description 1
- 241001663467 Contarinia tritici Species 0.000 description 1
- 241001126268 Cooperia Species 0.000 description 1
- 241000582510 Copitarsia Species 0.000 description 1
- 239000005752 Copper oxychloride Substances 0.000 description 1
- 241001509962 Coptotermes formosanus Species 0.000 description 1
- 241000304165 Cordylobia anthropophaga Species 0.000 description 1
- 241000422839 Cornitermes cumulans Species 0.000 description 1
- 241001212536 Cosmopolites Species 0.000 description 1
- 241001212534 Cosmopolites sordidus Species 0.000 description 1
- 241000500845 Costelytra zealandica Species 0.000 description 1
- 241000512048 Cotylophoron Species 0.000 description 1
- 241000606678 Coxiella burnetii Species 0.000 description 1
- 241001302314 Crassicauda Species 0.000 description 1
- 241000986238 Crenosoma Species 0.000 description 1
- 241000720929 Creontiades dilutus Species 0.000 description 1
- 241000699800 Cricetinae Species 0.000 description 1
- 241001658072 Cricotopus sylvestris Species 0.000 description 1
- 208000000307 Crimean Hemorrhagic Fever Diseases 0.000 description 1
- 201000003075 Crimean-Congo hemorrhagic fever Diseases 0.000 description 1
- 241000238424 Crustacea Species 0.000 description 1
- 241000592377 Cryptolestes ferrugineus Species 0.000 description 1
- 241000456565 Cryptolestes pusillus Species 0.000 description 1
- 241001094916 Cryptomyzus ribis Species 0.000 description 1
- 241000871899 Cryptoneossa Species 0.000 description 1
- 241001152745 Cryptorhynchus lapathi Species 0.000 description 1
- 235000004035 Cryptotaenia japonica Nutrition 0.000 description 1
- 241000526128 Ctenarytaina Species 0.000 description 1
- 241000242268 Ctenicera Species 0.000 description 1
- 241000490513 Ctenocephalides canis Species 0.000 description 1
- 241001124552 Ctenolepisma Species 0.000 description 1
- VMQMZMRVKUZKQL-UHFFFAOYSA-N Cu+ Chemical compound [Cu+] VMQMZMRVKUZKQL-UHFFFAOYSA-N 0.000 description 1
- 235000009849 Cucumis sativus Nutrition 0.000 description 1
- 240000008067 Cucumis sativus Species 0.000 description 1
- 241000256059 Culex pipiens Species 0.000 description 1
- 241000256057 Culex quinquefasciatus Species 0.000 description 1
- 241000732108 Culiseta Species 0.000 description 1
- 241000721020 Curculio caryae Species 0.000 description 1
- 241000692095 Cuterebra Species 0.000 description 1
- XFXPMWWXUTWYJX-UHFFFAOYSA-N Cyanide Chemical compound N#[C-] XFXPMWWXUTWYJX-UHFFFAOYSA-N 0.000 description 1
- 241000522489 Cyathostomum Species 0.000 description 1
- 241000217886 Cyclocoelum Species 0.000 description 1
- 241001617565 Cyclodontostomum Species 0.000 description 1
- CMSMOCZEIVJLDB-UHFFFAOYSA-N Cyclophosphamide Chemical compound ClCCN(CCCl)P1(=O)NCCCO1 CMSMOCZEIVJLDB-UHFFFAOYSA-N 0.000 description 1
- 241001634817 Cydia Species 0.000 description 1
- 241001580979 Cydia nigricana Species 0.000 description 1
- 241000520249 Cylicocyclus Species 0.000 description 1
- 241001235115 Cylicostephanus Species 0.000 description 1
- 239000005946 Cypermethrin Substances 0.000 description 1
- 241001513864 Cystocaulus Species 0.000 description 1
- 241000987822 Cystoisospora Species 0.000 description 1
- YVGGHNCTFXOJCH-UHFFFAOYSA-N DDT Chemical compound C1=CC(Cl)=CC=C1C(C(Cl)(Cl)Cl)C1=CC=C(Cl)C=C1 YVGGHNCTFXOJCH-UHFFFAOYSA-N 0.000 description 1
- 241001262815 Dactylogyrus Species 0.000 description 1
- 241000801939 Dalaca Species 0.000 description 1
- 241001260003 Dalbulus Species 0.000 description 1
- 241000268912 Damalinia Species 0.000 description 1
- 241001077419 Damas Species 0.000 description 1
- 244000000626 Daucus carota Species 0.000 description 1
- 235000002767 Daucus carota Nutrition 0.000 description 1
- 241000084475 Delia antiqua Species 0.000 description 1
- 241001585354 Delia coarctata Species 0.000 description 1
- 241000975729 Delia florilega Species 0.000 description 1
- 241001609607 Delia platura Species 0.000 description 1
- 241001414892 Delia radicum Species 0.000 description 1
- 208000001490 Dengue Diseases 0.000 description 1
- 206010012310 Dengue fever Diseases 0.000 description 1
- 208000006558 Dental Calculus Diseases 0.000 description 1
- 241001481694 Dermanyssus Species 0.000 description 1
- 241001481695 Dermanyssus gallinae Species 0.000 description 1
- 241000202828 Dermatobia hominis Species 0.000 description 1
- 241000238710 Dermatophagoides Species 0.000 description 1
- 241000238740 Dermatophagoides pteronyssinus Species 0.000 description 1
- 241001641895 Dermestes Species 0.000 description 1
- 241001300085 Deroceras Species 0.000 description 1
- 241001326474 Deroceras laeve Species 0.000 description 1
- 241001529600 Diabrotica balteata Species 0.000 description 1
- 241000489972 Diabrotica barberi Species 0.000 description 1
- 241000489973 Diabrotica undecimpunctata Species 0.000 description 1
- 241000489976 Diabrotica undecimpunctata howardi Species 0.000 description 1
- 241000489947 Diabrotica virgifera virgifera Species 0.000 description 1
- 241000381325 Diabrotica virgifera zeae Species 0.000 description 1
- 241001205778 Dialeurodes citri Species 0.000 description 1
- MUMQYXACQUZOFP-UHFFFAOYSA-N Dialifor Chemical compound C1=CC=C2C(=O)N(C(CCl)SP(=S)(OCC)OCC)C(=O)C2=C1 MUMQYXACQUZOFP-UHFFFAOYSA-N 0.000 description 1
- 241000832201 Diaphania Species 0.000 description 1
- 241000526125 Diaphorina citri Species 0.000 description 1
- 241000368291 Diaspidiotus juglansregiae Species 0.000 description 1
- 241000643949 Diaspis <angiosperm> Species 0.000 description 1
- 241000122106 Diatraea saccharalis Species 0.000 description 1
- 241001549096 Dichelops furcatus Species 0.000 description 1
- YRMLFORXOOIJDR-UHFFFAOYSA-N Dichlormid Chemical compound ClC(Cl)C(=O)N(CC=C)CC=C YRMLFORXOOIJDR-UHFFFAOYSA-N 0.000 description 1
- 241001573484 Dichocrocis Species 0.000 description 1
- 241001295638 Dichroplus Species 0.000 description 1
- 241000162400 Dicladispa armigera Species 0.000 description 1
- 241000577452 Dicrocoelium Species 0.000 description 1
- 241001389925 Digenea <Rhodophyta> Species 0.000 description 1
- 239000005947 Dimethoate Substances 0.000 description 1
- 239000005761 Dimethomorph Substances 0.000 description 1
- 241001222688 Diorchis Species 0.000 description 1
- 241000043067 Diplogonoporus Species 0.000 description 1
- 241000224460 Diplomonadida Species 0.000 description 1
- 241001626447 Diplopylidium Species 0.000 description 1
- 241000217468 Diplostomum Species 0.000 description 1
- 241000511318 Diprion Species 0.000 description 1
- 241001417635 Diprion similis Species 0.000 description 1
- 241000935794 Dipylidium Species 0.000 description 1
- 241000399934 Ditylenchus Species 0.000 description 1
- 241000399949 Ditylenchus dipsaci Species 0.000 description 1
- 241001279825 Diuraphis Species 0.000 description 1
- 239000005766 Dodine Substances 0.000 description 1
- 241000932610 Dolichodorus Species 0.000 description 1
- 241000256866 Dolichovespula Species 0.000 description 1
- 235000003550 Dracunculus Nutrition 0.000 description 1
- 241000316827 Dracunculus <angiosperm> Species 0.000 description 1
- 241000193907 Dreissena Species 0.000 description 1
- 241001595884 Drosicha Species 0.000 description 1
- 241000255601 Drosophila melanogaster Species 0.000 description 1
- 241001136566 Drosophila suzukii Species 0.000 description 1
- 241000196131 Dryopteris filix-mas Species 0.000 description 1
- 241001581005 Dysaphis Species 0.000 description 1
- 241001150865 Dysaphis apiifolia Species 0.000 description 1
- 241001581006 Dysaphis plantaginea Species 0.000 description 1
- 241001088935 Dysaphis tulipae Species 0.000 description 1
- 241001516600 Dysmicoccus Species 0.000 description 1
- 241000241133 Earias Species 0.000 description 1
- 241001575036 Ecdytolopha Species 0.000 description 1
- 241001271717 Echinochasmus Species 0.000 description 1
- 241001183635 Echinocnemus Species 0.000 description 1
- 241000578473 Echinorhynchida Species 0.000 description 1
- 241000578380 Echinorhynchus Species 0.000 description 1
- 241000223931 Eimeria acervulina Species 0.000 description 1
- 241000499566 Eimeria brunetti Species 0.000 description 1
- 241000223934 Eimeria maxima Species 0.000 description 1
- 241000179199 Eimeria mitis Species 0.000 description 1
- 241000499544 Eimeria praecox Species 0.000 description 1
- 241000223932 Eimeria tenella Species 0.000 description 1
- 241001439622 Elaphostrongylus Species 0.000 description 1
- 241000400698 Elasmopalpus lignosellus Species 0.000 description 1
- 241000661278 Eldana saccharina Species 0.000 description 1
- 241000611421 Elia Species 0.000 description 1
- 239000005894 Emamectin Substances 0.000 description 1
- MBYXEBXZARTUSS-QLWBXOBMSA-N Emetamine Natural products O(C)c1c(OC)cc2c(c(C[C@@H]3[C@H](CC)CN4[C@H](c5c(cc(OC)c(OC)c5)CC4)C3)ncc2)c1 MBYXEBXZARTUSS-QLWBXOBMSA-N 0.000 description 1
- 241000995027 Empoasca fabae Species 0.000 description 1
- 206010014596 Encephalitis Japanese B Diseases 0.000 description 1
- 241000243234 Encephalitozoon Species 0.000 description 1
- 241000915524 Entamoeba sp. Species 0.000 description 1
- 241001464848 Entamoebidae Species 0.000 description 1
- 241000194033 Enterococcus Species 0.000 description 1
- 241001126836 Enterocytozoon Species 0.000 description 1
- 241000630736 Ephestia Species 0.000 description 1
- 241001555556 Ephestia elutella Species 0.000 description 1
- 241000122098 Ephestia kuehniella Species 0.000 description 1
- 241001301805 Epilachna Species 0.000 description 1
- 241000284096 Epilachna borealis Species 0.000 description 1
- 241000462639 Epilachna varivestis Species 0.000 description 1
- 241001147395 Epinotia Species 0.000 description 1
- 241000918644 Epiphyas postvittana Species 0.000 description 1
- 241000079320 Epitrimerus Species 0.000 description 1
- 241001183322 Epitrix hirtipennis Species 0.000 description 1
- 241001183281 Epitrix subcrinita Species 0.000 description 1
- 241001183280 Epitrix tuberis Species 0.000 description 1
- 239000005767 Epoxiconazole Substances 0.000 description 1
- 241000283086 Equidae Species 0.000 description 1
- 241000195950 Equisetum arvense Species 0.000 description 1
- 239000005768 Equisetum arvense L. Substances 0.000 description 1
- 241000283074 Equus asinus Species 0.000 description 1
- 241001491718 Erannis Species 0.000 description 1
- 241000156978 Erebia Species 0.000 description 1
- 241001558857 Eriophyes Species 0.000 description 1
- 241000207525 Eriophyes pyri Species 0.000 description 1
- 241001095015 Eriosoma americanum Species 0.000 description 1
- 241000917107 Eriosoma lanigerum Species 0.000 description 1
- 241001515686 Erythroneura Species 0.000 description 1
- IAYPIBMASNFSPL-UHFFFAOYSA-N Ethylene oxide Chemical compound C1CO1 IAYPIBMASNFSPL-UHFFFAOYSA-N 0.000 description 1
- 241001486247 Etiella Species 0.000 description 1
- 239000005896 Etofenprox Substances 0.000 description 1
- WEEGYLXZBRQIMU-WAAGHKOSSA-N Eucalyptol Chemical compound C1C[C@H]2CC[C@]1(C)OC2(C)C WEEGYLXZBRQIMU-WAAGHKOSSA-N 0.000 description 1
- 241001520643 Eucalyptolyma Species 0.000 description 1
- 241001008221 Eudocima Species 0.000 description 1
- 241001467465 Euglenozoa Species 0.000 description 1
- 241001136540 Euleia Species 0.000 description 1
- 241001201696 Eulia Species 0.000 description 1
- 241000239366 Euphausiacea Species 0.000 description 1
- 241000221079 Euphorbia <genus> Species 0.000 description 1
- 241000008702 Euphyllura Species 0.000 description 1
- 241001331999 Euproctis Species 0.000 description 1
- 241000483001 Euproctis chrysorrhoea Species 0.000 description 1
- 241000825563 Eurydema Species 0.000 description 1
- 241000515838 Eurygaster Species 0.000 description 1
- 241000144295 Eurytrema Species 0.000 description 1
- 241000239245 Euscelis Species 0.000 description 1
- 241000098297 Euschistus Species 0.000 description 1
- 241000098295 Euschistus heros Species 0.000 description 1
- 241001619920 Euschistus servus Species 0.000 description 1
- 241000560155 Euschistus tristigmus Species 0.000 description 1
- 241000341889 Euschistus variolarius Species 0.000 description 1
- 241000216093 Eusimulium Species 0.000 description 1
- 241001034433 Eutetranychus Species 0.000 description 1
- 241001034432 Eutetranychus banksi Species 0.000 description 1
- 241001585293 Euxoa Species 0.000 description 1
- 241001126309 Fasciolopsis Species 0.000 description 1
- 241000282326 Felis catus Species 0.000 description 1
- 241000233488 Feltia Species 0.000 description 1
- 241000259097 Ferrisia Species 0.000 description 1
- 241000239183 Filaria Species 0.000 description 1
- 241000986243 Filaroides Species 0.000 description 1
- 239000005899 Fipronil Substances 0.000 description 1
- 241001652048 Fischoederius Species 0.000 description 1
- 239000005901 Flubendiamide Substances 0.000 description 1
- KVKHBPGBGOVMBN-PWLVHAGJSA-N Flubenzimine Chemical compound C=1C=CC=CC=1N/1C(=N/C(F)(F)F)/S\C(=N/C(F)(F)F)\C\1=N/C1=CC=CC=C1 KVKHBPGBGOVMBN-PWLVHAGJSA-N 0.000 description 1
- 241001147665 Foraminifera Species 0.000 description 1
- 241000720914 Forficula auricularia Species 0.000 description 1
- AIKKULXCBHRFOS-UHFFFAOYSA-N Formothion Chemical compound COP(=S)(OC)SCC(=O)N(C)C=O AIKKULXCBHRFOS-UHFFFAOYSA-N 0.000 description 1
- 241000654868 Frankliniella fusca Species 0.000 description 1
- 241000927584 Frankliniella occidentalis Species 0.000 description 1
- 241000654849 Frankliniella schultzei Species 0.000 description 1
- 241000189591 Frankliniella tritici Species 0.000 description 1
- 241000508745 Frankliniella williamsi Species 0.000 description 1
- 241001466042 Fulgoromorpha Species 0.000 description 1
- 241000668543 Furcaspis Species 0.000 description 1
- 241000585112 Galba Species 0.000 description 1
- 241000982383 Gametis jucunda Species 0.000 description 1
- 239000005903 Gamma-cyhalothrin Substances 0.000 description 1
- 241001057692 Geococcus coffeae Species 0.000 description 1
- 241000248126 Geophilus Species 0.000 description 1
- 241001043186 Gibbium Species 0.000 description 1
- 241001448191 Gigantobilharzia Species 0.000 description 1
- 241000284013 Gigantocotyle Species 0.000 description 1
- 241000896533 Gliocladium Species 0.000 description 1
- 241001442498 Globodera Species 0.000 description 1
- 241001489135 Globodera pallida Species 0.000 description 1
- 241001442497 Globodera rostochiensis Species 0.000 description 1
- 241000526126 Glycaspis Species 0.000 description 1
- ZWZWYGMENQVNFU-UHFFFAOYSA-N Glycerophosphorylserin Natural products OC(=O)C(N)COP(O)(=O)OCC(O)CO ZWZWYGMENQVNFU-UHFFFAOYSA-N 0.000 description 1
- 239000004471 Glycine Substances 0.000 description 1
- 241001510515 Glycyphagus domesticus Species 0.000 description 1
- 239000005562 Glyphosate Substances 0.000 description 1
- 241001163576 Gnathocerus cornutus Species 0.000 description 1
- 241001167431 Gongylonema Species 0.000 description 1
- 241000206581 Gracilaria Species 0.000 description 1
- 241001579964 Gracillaria Species 0.000 description 1
- 241001547355 Graphidium Species 0.000 description 1
- 241001150411 Grapholita prunivora Species 0.000 description 1
- 241000659076 Grapholitha Species 0.000 description 1
- 229920000084 Gum arabic Polymers 0.000 description 1
- 241001636403 Gyalocephalus Species 0.000 description 1
- 241001523601 Gyrodactylus Species 0.000 description 1
- 241000315566 Habronema Species 0.000 description 1
- 241001480796 Haemaphysalis Species 0.000 description 1
- 241000257224 Haematobia Species 0.000 description 1
- 241000775881 Haematopota pluvialis Species 0.000 description 1
- 241000243976 Haemonchus Species 0.000 description 1
- 241000224015 Haemosporida Species 0.000 description 1
- 241000406101 Hammondia Species 0.000 description 1
- 241000742468 Haplothrips <genus> Species 0.000 description 1
- 241000208818 Helianthus Species 0.000 description 1
- 244000020551 Helianthus annuus Species 0.000 description 1
- 241001148481 Helicotylenchus Species 0.000 description 1
- 241000710418 Helicotylenchus dihystera Species 0.000 description 1
- 241000255990 Helicoverpa Species 0.000 description 1
- 241000255967 Helicoverpa zea Species 0.000 description 1
- 241000243781 Heligmosomoides Species 0.000 description 1
- 241000256244 Heliothis virescens Species 0.000 description 1
- 241000339323 Heliothrips Species 0.000 description 1
- 241001581044 Hellula undalis Species 0.000 description 1
- 241001148478 Hemicriconemoides Species 0.000 description 1
- 241001267658 Hemicycliophora Species 0.000 description 1
- 241001659688 Hercinothrips femoralis Species 0.000 description 1
- 241001481225 Heterodera avenae Species 0.000 description 1
- 241000498254 Heterodera glycines Species 0.000 description 1
- 241000379510 Heterodera schachtii Species 0.000 description 1
- 241001176496 Heteronychus arator Species 0.000 description 1
- 241001458247 Heteronyx Species 0.000 description 1
- 241001491880 Heterophyes Species 0.000 description 1
- 241000526136 Heteropsylla Species 0.000 description 1
- 241000526137 Heteropsylla cubana Species 0.000 description 1
- 241000282821 Hippopotamus Species 0.000 description 1
- 241000207190 Hirschia Species 0.000 description 1
- 241001201623 Hofmannophila pseudospretella Species 0.000 description 1
- 241001288674 Holotrichia consanguinea Species 0.000 description 1
- 241001503238 Homalodisca vitripennis Species 0.000 description 1
- 241000526466 Homoeosoma Species 0.000 description 1
- 241000679711 Homona Species 0.000 description 1
- 241000291732 Hoplocampa testudinea Species 0.000 description 1
- 241001540513 Hoplolaimus Species 0.000 description 1
- 241000561960 Hybomitra Species 0.000 description 1
- 241001464082 Hydatigera Species 0.000 description 1
- 241000319560 Hydrellia Species 0.000 description 1
- 241000238729 Hydrotaea Species 0.000 description 1
- 241000115042 Hylamorpha elegans Species 0.000 description 1
- 241001351188 Hylemya Species 0.000 description 1
- 241000832180 Hylotrupes bajulus Species 0.000 description 1
- 241001547406 Hyostrongylus Species 0.000 description 1
- 241001508566 Hypera postica Species 0.000 description 1
- 241001590577 Hypodectes Species 0.000 description 1
- 241000223816 Hypoderaeum Species 0.000 description 1
- 241000577496 Hypothenemus hampei Species 0.000 description 1
- 241000144044 Hypothenemus obscurus Species 0.000 description 1
- ZOPHBLGIWDBBJT-UHFFFAOYSA-N IN(CC1)c2c1nccc2 Chemical compound IN(CC1)c2c1nccc2 ZOPHBLGIWDBBJT-UHFFFAOYSA-N 0.000 description 1
- 241001058149 Icerya Species 0.000 description 1
- 241001058150 Icerya purchasi Species 0.000 description 1
- 241001595209 Idiocerus Species 0.000 description 1
- 241000761334 Idioscopus Species 0.000 description 1
- DGAQECJNVWCQMB-PUAWFVPOSA-M Ilexoside XXIX Chemical compound C[C@@H]1CC[C@@]2(CC[C@@]3(C(=CC[C@H]4[C@]3(CC[C@@H]5[C@@]4(CC[C@@H](C5(C)C)OS(=O)(=O)[O-])C)C)[C@@H]2[C@]1(C)O)C)C(=O)O[C@H]6[C@@H]([C@H]([C@@H]([C@H](O6)CO)O)O)O.[Na+] DGAQECJNVWCQMB-PUAWFVPOSA-M 0.000 description 1
- 239000005906 Imidacloprid Substances 0.000 description 1
- 241000204026 Incisitermes Species 0.000 description 1
- 206010061217 Infestation Diseases 0.000 description 1
- LFVLUOAHQIVABZ-UHFFFAOYSA-N Iodofenphos Chemical compound COP(=S)(OC)OC1=CC(Cl)=C(I)C=C1Cl LFVLUOAHQIVABZ-UHFFFAOYSA-N 0.000 description 1
- 239000005796 Ipconazole Substances 0.000 description 1
- 244000017020 Ipomoea batatas Species 0.000 description 1
- 235000002678 Ipomoea batatas Nutrition 0.000 description 1
- 239000005908 Isaria fumosorosea Apopka strain 97 (formely Paecilomyces fumosoroseus) Substances 0.000 description 1
- PIWKPBJCKXDKJR-UHFFFAOYSA-N Isoflurane Chemical compound FC(F)OC(Cl)C(F)(F)F PIWKPBJCKXDKJR-UHFFFAOYSA-N 0.000 description 1
- 241000238889 Ixodidae Species 0.000 description 1
- 201000005807 Japanese encephalitis Diseases 0.000 description 1
- 241000710842 Japanese encephalitis virus Species 0.000 description 1
- 241000397365 Javesella pellucida Species 0.000 description 1
- 241001626440 Joyeuxiella Species 0.000 description 1
- 241000896288 Kakothrips Species 0.000 description 1
- 241001506109 Kalotermes Species 0.000 description 1
- 239000005909 Kieselgur Substances 0.000 description 1
- 241001467800 Knemidokoptes Species 0.000 description 1
- XUJNEKJLAYXESH-REOHCLBHSA-N L-Cysteine Chemical compound SC[C@H](N)C(O)=O XUJNEKJLAYXESH-REOHCLBHSA-N 0.000 description 1
- 241000490517 Labidura riparia Species 0.000 description 1
- 241001149568 Laccaria Species 0.000 description 1
- 241000186679 Lactobacillus buchneri Species 0.000 description 1
- GUBGYTABKSRVRQ-QKKXKWKRSA-N Lactose Natural products OC[C@H]1O[C@@H](O[C@H]2[C@H](O)[C@@H](O)C(O)O[C@@H]2CO)[C@H](O)[C@@H](O)[C@H]1O GUBGYTABKSRVRQ-QKKXKWKRSA-N 0.000 description 1
- 241000321896 Lampides Species 0.000 description 1
- 241001470017 Laodelphax striatella Species 0.000 description 1
- 241001177117 Lasioderma serricorne Species 0.000 description 1
- 241000256686 Lasius <genus> Species 0.000 description 1
- 241001163604 Latheticus oryzae Species 0.000 description 1
- 241000238867 Latrodectus Species 0.000 description 1
- 241001121967 Lecanicillium Species 0.000 description 1
- 241000222697 Leishmania infantum Species 0.000 description 1
- 241001142635 Lema Species 0.000 description 1
- 241000669027 Lepidosaphes Species 0.000 description 1
- 241000368289 Lepidosaphes ulmi Species 0.000 description 1
- 241000270322 Lepidosauria Species 0.000 description 1
- 241000500881 Lepisma Species 0.000 description 1
- 241000258916 Leptinotarsa decemlineata Species 0.000 description 1
- 241000369496 Leptocoris Species 0.000 description 1
- 241000661348 Leptocorisa acuta Species 0.000 description 1
- 241000661785 Leptoglossus occidentalis Species 0.000 description 1
- 241000560153 Leptoglossus phyllopus Species 0.000 description 1
- 241000866636 Leptorhynchoides Species 0.000 description 1
- 241000086074 Leucinodes orbonalis Species 0.000 description 1
- 241001470497 Leucocytozoon Species 0.000 description 1
- 229920001732 Lignosulfonate Polymers 0.000 description 1
- 241000360065 Ligula Species 0.000 description 1
- 241001646979 Linepithema Species 0.000 description 1
- 241001541121 Linguatula Species 0.000 description 1
- 241000272317 Lipaphis erysimi Species 0.000 description 1
- 241000692237 Lipoptena Species 0.000 description 1
- 241000685571 Liriomyza brassicae Species 0.000 description 1
- 241000594034 Liriomyza huidobrensis Species 0.000 description 1
- 241000594031 Liriomyza sativae Species 0.000 description 1
- 241000966204 Lissorhoptrus oryzophilus Species 0.000 description 1
- 241000532832 Listronotus Species 0.000 description 1
- 241001535742 Listrophorus Species 0.000 description 1
- 241000004742 Lithophane antennata Species 0.000 description 1
- 241000244011 Litomosoides Species 0.000 description 1
- 241000532753 Lixus Species 0.000 description 1
- 241001261102 Lobesia Species 0.000 description 1
- 241001261104 Lobesia botrana Species 0.000 description 1
- 241000986926 Loboptera decipiens Species 0.000 description 1
- 241000254023 Locusta Species 0.000 description 1
- 241000254022 Locusta migratoria Species 0.000 description 1
- 241001220360 Longidorus Species 0.000 description 1
- 241001630092 Lopholeucaspis japonica Species 0.000 description 1
- 241000238864 Loxosceles Species 0.000 description 1
- 241000134264 Luperomorpha xanthodera Species 0.000 description 1
- 244000241872 Lycium chinense Species 0.000 description 1
- 235000007688 Lycopersicon esculentum Nutrition 0.000 description 1
- 241000885584 Lycorma delicatula Species 0.000 description 1
- 241001177134 Lyctus Species 0.000 description 1
- 241000502639 Lygocoris Species 0.000 description 1
- 241000283636 Lygocoris pabulinus Species 0.000 description 1
- 241001414826 Lygus Species 0.000 description 1
- 241001117312 Lygus elisus Species 0.000 description 1
- 241001414823 Lygus hesperus Species 0.000 description 1
- 241000501345 Lygus lineolaris Species 0.000 description 1
- 241000721696 Lymantria Species 0.000 description 1
- 241000721703 Lymantria dispar Species 0.000 description 1
- 241000237354 Lymnaea Species 0.000 description 1
- 241001190211 Lyonetia Species 0.000 description 1
- 241001581015 Lyonetia clerkella Species 0.000 description 1
- 241000193386 Lysinibacillus sphaericus Species 0.000 description 1
- 241000866639 Macracanthorhynchus Species 0.000 description 1
- 241000721714 Macrosiphum euphorbiae Species 0.000 description 1
- 241000180172 Macrosiphum rosae Species 0.000 description 1
- 241001414659 Macrosteles Species 0.000 description 1
- FYYHWMGAXLPEAU-UHFFFAOYSA-N Magnesium Chemical compound [Mg] FYYHWMGAXLPEAU-UHFFFAOYSA-N 0.000 description 1
- 241001164204 Mahanarva Species 0.000 description 1
- 241000255685 Malacosoma neustria Species 0.000 description 1
- 239000005949 Malathion Substances 0.000 description 1
- 239000005802 Mancozeb Substances 0.000 description 1
- 241001354481 Mansonia <mosquito genus> Species 0.000 description 1
- 241001523499 Marshallagia Species 0.000 description 1
- 241001232130 Maruca testulalis Species 0.000 description 1
- 241001375804 Mastigophora Species 0.000 description 1
- 241001223554 Megacopta cribraria Species 0.000 description 1
- 241001179564 Melanaphis sacchari Species 0.000 description 1
- 241000590505 Melanitis leda Species 0.000 description 1
- 241001415013 Melanoplus Species 0.000 description 1
- 241001478928 Melanoplus devastator Species 0.000 description 1
- 241000732745 Melanotus longulus oregonensis Species 0.000 description 1
- 241001143352 Meloidogyne Species 0.000 description 1
- 241000611260 Meloidogyne chitwoodi Species 0.000 description 1
- 241001237450 Meloidogyne fallax Species 0.000 description 1
- 241000243787 Meloidogyne hapla Species 0.000 description 1
- 241000254071 Melolontha Species 0.000 description 1
- 241000254099 Melolontha melolontha Species 0.000 description 1
- 241000771995 Melophagus Species 0.000 description 1
- 241000035436 Menopon Species 0.000 description 1
- 241000239205 Merostomata Species 0.000 description 1
- 241000520690 Mesocestoides Species 0.000 description 1
- 241001251426 Mesocriconema curvatum Species 0.000 description 1
- 241001483602 Mesocriconema onoense Species 0.000 description 1
- 241001268433 Mesocriconema ornatum Species 0.000 description 1
- 241000233457 Mesophyllum Species 0.000 description 1
- 241001481698 Mesostigmata Species 0.000 description 1
- 241001660197 Metagonimus Species 0.000 description 1
- 241000223250 Metarhizium anisopliae Species 0.000 description 1
- 229940127048 Metastron Drugs 0.000 description 1
- 241000556230 Metastrongylus Species 0.000 description 1
- 241000834252 Metcalfa pruinosa Species 0.000 description 1
- 241000131592 Metcalfiella Species 0.000 description 1
- 239000005951 Methiocarb Substances 0.000 description 1
- 239000005916 Methomyl Substances 0.000 description 1
- 241000168713 Metopolophium dirhodum Species 0.000 description 1
- 241001549582 Metorchis Species 0.000 description 1
- 241000775788 Metschnikowia fructicola Species 0.000 description 1
- 241001467578 Microbacterium Species 0.000 description 1
- 241000274183 Micromeria Species 0.000 description 1
- 241000243190 Microsporidia Species 0.000 description 1
- 241000333575 Microtermes obesi Species 0.000 description 1
- 241001414825 Miridae Species 0.000 description 1
- 241001653186 Mocis Species 0.000 description 1
- 239000004909 Moisturizer Substances 0.000 description 1
- ZOKXTWBITQBERF-UHFFFAOYSA-N Molybdenum Chemical compound [Mo] ZOKXTWBITQBERF-UHFFFAOYSA-N 0.000 description 1
- 241001094463 Monellia Species 0.000 description 1
- 241001094800 Monelliopsis Species 0.000 description 1
- 229930191564 Monensin Natural products 0.000 description 1
- GAOZTHIDHYLHMS-UHFFFAOYSA-N Monensin A Natural products O1C(CC)(C2C(CC(O2)C2C(CC(C)C(O)(CO)O2)C)C)CCC1C(O1)(C)CCC21CC(O)C(C)C(C(C)C(OC)C(C)C(O)=O)O2 GAOZTHIDHYLHMS-UHFFFAOYSA-N 0.000 description 1
- 241001137878 Moniezia Species 0.000 description 1
- 241000700603 Moniliformida Species 0.000 description 1
- 241000700601 Moniliformis Species 0.000 description 1
- 241001442208 Monochamus Species 0.000 description 1
- 241000952627 Monomorium pharaonis Species 0.000 description 1
- 241001198179 Monopis obviella Species 0.000 description 1
- 241000512624 Morelia <snake> Species 0.000 description 1
- 241001351098 Morellia Species 0.000 description 1
- 101100460719 Mus musculus Noto gene Proteins 0.000 description 1
- 241000699670 Mus sp. Species 0.000 description 1
- 241001615768 Musca domestica vicina Species 0.000 description 1
- 241000257226 Muscidae Species 0.000 description 1
- 241000282339 Mustela Species 0.000 description 1
- 241001373727 Myobia Species 0.000 description 1
- 241001477928 Mythimna Species 0.000 description 1
- 241000409991 Mythimna separata Species 0.000 description 1
- 241001477931 Mythimna unipuncta Species 0.000 description 1
- 241001494184 Myxozoa Species 0.000 description 1
- 241000721623 Myzus Species 0.000 description 1
- 241000512856 Myzus ascalonicus Species 0.000 description 1
- 241000332345 Myzus cerasi Species 0.000 description 1
- 241000165113 Myzus ligustri Species 0.000 description 1
- 241000180178 Myzus ornatus Species 0.000 description 1
- 241001140180 Myzus persicae nicotianae Species 0.000 description 1
- YRWLZFXJFBZBEY-UHFFFAOYSA-N N-(6-butyl-1H-benzimidazol-2-yl)carbamic acid methyl ester Chemical compound CCCCC1=CC=C2N=C(NC(=O)OC)NC2=C1 YRWLZFXJFBZBEY-UHFFFAOYSA-N 0.000 description 1
- RAOCRURYZCVHMG-UHFFFAOYSA-N N-(6-propoxy-1H-benzimidazol-2-yl)carbamic acid methyl ester Chemical compound CCCOC1=CC=C2N=C(NC(=O)OC)NC2=C1 RAOCRURYZCVHMG-UHFFFAOYSA-N 0.000 description 1
- YDRUGWIATXCAOT-UHFFFAOYSA-N N-cyclopropyl-3-(difluoromethyl)-5-methyl-1H-pyrazole-4-carboxamide Chemical compound C1(CC1)NC(=O)C=1C(=NNC=1C)C(F)F YDRUGWIATXCAOT-UHFFFAOYSA-N 0.000 description 1
- LWOZKZWFJGACQK-UHFFFAOYSA-N N-ethyl-N,2,5-trimethyl-4-[3-(1,1,2,2,2-pentafluoroethoxy)phenyl]sulfanylbenzenecarboximidamide Chemical compound CC1=C(C=C(C(=C1)SC1=CC(=CC=C1)OC(C(F)(F)F)(F)F)C)C(N(C)CC)=N LWOZKZWFJGACQK-UHFFFAOYSA-N 0.000 description 1
- 241000201433 Nacobbus Species 0.000 description 1
- 241001501625 Nanophyetus Species 0.000 description 1
- 241000133263 Nasonovia ribisnigri Species 0.000 description 1
- 241000203988 Nasutitermes Species 0.000 description 1
- 241000196499 Naupactus xanthographus Species 0.000 description 1
- 241000498271 Necator Species 0.000 description 1
- 241000041821 Necrobia Species 0.000 description 1
- 241001308575 Neglecta Species 0.000 description 1
- 241001340913 Nemapogon Species 0.000 description 1
- 241001137882 Nematodirus Species 0.000 description 1
- 241000204644 Neogalerucella Species 0.000 description 1
- 241000105988 Neomaskellia Species 0.000 description 1
- 241000920083 Neostylopyga rhombifolia Species 0.000 description 1
- 241000359016 Nephotettix Species 0.000 description 1
- 241000358422 Nephotettix cincticeps Species 0.000 description 1
- 241000615716 Nephotettix nigropictus Species 0.000 description 1
- 241001671714 Nezara Species 0.000 description 1
- 241001671709 Nezara viridula Species 0.000 description 1
- 241001556089 Nilaparvata lugens Species 0.000 description 1
- 241001126260 Nippostrongylus Species 0.000 description 1
- 241001385056 Niptus hololeucus Species 0.000 description 1
- 241000256259 Noctuidae Species 0.000 description 1
- 241000562097 Notoedres Species 0.000 description 1
- 241001338708 Nymphula Species 0.000 description 1
- 241000660989 Nysius Species 0.000 description 1
- ZRKGTINFVOLLNT-UHFFFAOYSA-N O=C(c1c2nccc1)NC2=O Chemical compound O=C(c1c2nccc1)NC2=O ZRKGTINFVOLLNT-UHFFFAOYSA-N 0.000 description 1
- MFFBKXZOIIIDSC-UHFFFAOYSA-N O=C1N(C=CC=C2)C2=CN1 Chemical compound O=C1N(C=CC=C2)C2=CN1 MFFBKXZOIIIDSC-UHFFFAOYSA-N 0.000 description 1
- ZCVBEVJBVLYBBU-UHFFFAOYSA-N O=C1N(C=CC=N2)C2=NN1 Chemical compound O=C1N(C=CC=N2)C2=NN1 ZCVBEVJBVLYBBU-UHFFFAOYSA-N 0.000 description 1
- KAUMDYDNLPQESC-UHFFFAOYSA-N OC(c1c2cccc1)NC2=O Chemical compound OC(c1c2cccc1)NC2=O KAUMDYDNLPQESC-UHFFFAOYSA-N 0.000 description 1
- ANOHXKXBFRSTDK-UHFFFAOYSA-N OC1Nc(nccc2)c2N1 Chemical compound OC1Nc(nccc2)c2N1 ANOHXKXBFRSTDK-UHFFFAOYSA-N 0.000 description 1
- 241000517028 Ochlerotatus sticticus Species 0.000 description 1
- 241000866537 Odontotermes Species 0.000 description 1
- 241001102020 Oebalus Species 0.000 description 1
- 241000520254 Oesophagodontus Species 0.000 description 1
- 241000510960 Oesophagostomum Species 0.000 description 1
- 241001157094 Oiketicus Species 0.000 description 1
- 241000866665 Oligacanthorhynchida Species 0.000 description 1
- 108091034117 Oligonucleotide Proteins 0.000 description 1
- 241001236489 Oligonychus coffeae Species 0.000 description 1
- 241000168120 Oligonychus ilicis Species 0.000 description 1
- 241000536403 Oligonychus indicus Species 0.000 description 1
- 241000851136 Oligonychus mangiferus Species 0.000 description 1
- 241000608383 Oligonychus punicae Species 0.000 description 1
- 241000863910 Ollulanus Species 0.000 description 1
- 241000541094 Omphisa Species 0.000 description 1
- 241000243981 Onchocerca Species 0.000 description 1
- 241000565675 Oncomelania Species 0.000 description 1
- 241000777573 Oncometopia Species 0.000 description 1
- 241000384103 Oniscus asellus Species 0.000 description 1
- 241001491890 Operophtera Species 0.000 description 1
- 241001491877 Operophtera brumata Species 0.000 description 1
- 241000242716 Opisthorchis Species 0.000 description 1
- 241001448188 Ornithobilharzia Species 0.000 description 1
- 241000319573 Orthaga Species 0.000 description 1
- 241001446191 Orthezia Species 0.000 description 1
- 241001250072 Oryctes rhinoceros Species 0.000 description 1
- 241000131101 Oryzaephilus surinamensis Species 0.000 description 1
- 241000975417 Oscinella frit Species 0.000 description 1
- 241000986228 Oslerus Species 0.000 description 1
- 241001147397 Ostrinia Species 0.000 description 1
- 241000431050 Otiorhynchus cribricollis Species 0.000 description 1
- 241001404635 Otiorhynchus ligustici Species 0.000 description 1
- 241001168441 Otiorhynchus ovatus Species 0.000 description 1
- 241000532856 Otiorhynchus sulcatus Species 0.000 description 1
- 241000790250 Otodectes Species 0.000 description 1
- 241000131062 Oulema Species 0.000 description 1
- 241001160353 Oulema melanopus Species 0.000 description 1
- 241001570894 Oulema oryzae Species 0.000 description 1
- YXLXNENXOJSQEI-UHFFFAOYSA-L Oxine-copper Chemical compound [Cu+2].C1=CN=C2C([O-])=CC=CC2=C1.C1=CN=C2C([O-])=CC=CC2=C1 YXLXNENXOJSQEI-UHFFFAOYSA-L 0.000 description 1
- 241000382923 Oxya chinensis Species 0.000 description 1
- 108010004210 PF 1022A Proteins 0.000 description 1
- YJNUXGPXJFAUQJ-LYWANRAQSA-N PF1022A Chemical compound C([C@@H]1C(=O)N(C)[C@H](C(O[C@H](C)C(=O)N(C)[C@@H](CC(C)C)C(=O)O[C@H](CC=2C=CC=CC=2)C(=O)N(C)[C@@H](CC(C)C)C(=O)O[C@H](C)C(=O)N(C)[C@@H](CC(C)C)C(=O)O1)=O)CC(C)C)C1=CC=CC=C1 YJNUXGPXJFAUQJ-LYWANRAQSA-N 0.000 description 1
- 241001516564 Pachypsylla Species 0.000 description 1
- 241001510250 Panchlora Species 0.000 description 1
- 241000486438 Panolis flammea Species 0.000 description 1
- 241000488585 Panonychus Species 0.000 description 1
- 241000919536 Panstrongylus Species 0.000 description 1
- 241000282320 Panthera leo Species 0.000 description 1
- 241000648839 Parabronema Species 0.000 description 1
- 241001598033 Paracooperia Species 0.000 description 1
- 239000005662 Paraffin oil Substances 0.000 description 1
- 241000545637 Parafilaroides Species 0.000 description 1
- 241001059642 Paralauterborniella Species 0.000 description 1
- 241001130174 Paralongidorus Species 0.000 description 1
- 241000531596 Paramphistomum Species 0.000 description 1
- 241001234663 Paranoplocephala Species 0.000 description 1
- 241000887182 Paraphaeosphaeria minitans Species 0.000 description 1
- 241001149249 Paraphelenchus Species 0.000 description 1
- 241001633066 Paratanytarsus Species 0.000 description 1
- 241000396383 Paratlanticus ussuriensis Species 0.000 description 1
- 241000593498 Paratrechina Species 0.000 description 1
- 241001220391 Paratrichodorus Species 0.000 description 1
- 241001143330 Paratrichodorus minor Species 0.000 description 1
- 241001516563 Paratrioza Species 0.000 description 1
- 241001148650 Paratylenchus Species 0.000 description 1
- 241001523676 Parcoblatta Species 0.000 description 1
- 241001344126 Parelaphostrongylus Species 0.000 description 1
- 241001130603 Parlatoria <angiosperm> Species 0.000 description 1
- 241001622647 Parnara Species 0.000 description 1
- UOZODPSAJZTQNH-UHFFFAOYSA-N Paromomycin II Natural products NC1C(O)C(O)C(CN)OC1OC1C(O)C(OC2C(C(N)CC(N)C2O)OC2C(C(O)C(O)C(CO)O2)N)OC1CO UOZODPSAJZTQNH-UHFFFAOYSA-N 0.000 description 1
- 241000219098 Parthenocissus Species 0.000 description 1
- 241000069686 Passalurus Species 0.000 description 1
- 241001668578 Pasteuria penetrans Species 0.000 description 1
- 241000721451 Pectinophora gossypiella Species 0.000 description 1
- 241000609952 Pemphigus bursarius Species 0.000 description 1
- 241000228555 Pemphigus populivenae Species 0.000 description 1
- 239000005815 Penflufen Substances 0.000 description 1
- 241000224537 Pentatrichomonas Species 0.000 description 1
- 241000256682 Peregrinus maidis Species 0.000 description 1
- 241000238661 Periplaneta Species 0.000 description 1
- 241000238675 Periplaneta americana Species 0.000 description 1
- 241001510004 Periplaneta australasiae Species 0.000 description 1
- 241001427557 Periplaneta sp. Species 0.000 description 1
- 241001253325 Perkinsiella Species 0.000 description 1
- 241000218196 Persea Species 0.000 description 1
- 241001058119 Phenacoccus Species 0.000 description 1
- 241001058022 Phenacoccus madeirensis Species 0.000 description 1
- 241001432757 Philipomyia Species 0.000 description 1
- 241000916808 Phloeomyzus passerinii Species 0.000 description 1
- 241000257149 Phormia Species 0.000 description 1
- 241001401861 Phorodon humuli Species 0.000 description 1
- OAICVXFJPJFONN-UHFFFAOYSA-N Phosphorus Chemical compound [P] OAICVXFJPJFONN-UHFFFAOYSA-N 0.000 description 1
- 241001674048 Phthiraptera Species 0.000 description 1
- 241001439020 Phthorimaea Species 0.000 description 1
- 241001439019 Phthorimaea operculella Species 0.000 description 1
- 241001525654 Phyllocnistis citrella Species 0.000 description 1
- 241000497192 Phyllocoptruta oleivora Species 0.000 description 1
- 241000720470 Phyllonorycter Species 0.000 description 1
- 241000633354 Phyllonorycter crataegella Species 0.000 description 1
- 241000265757 Phyllotreta armoraciae Species 0.000 description 1
- 241000437063 Phyllotreta striolata Species 0.000 description 1
- 241001516578 Phylloxera notabilis Species 0.000 description 1
- 241001277123 Physaloptera Species 0.000 description 1
- IHPVFYLOGNNZLA-UHFFFAOYSA-N Phytoalexin Natural products COC1=CC=CC=C1C1OC(C=C2C(OCO2)=C2OC)=C2C(=O)C1 IHPVFYLOGNNZLA-UHFFFAOYSA-N 0.000 description 1
- 241001396980 Phytonemus pallidus Species 0.000 description 1
- 239000005818 Picoxystrobin Substances 0.000 description 1
- 241000255972 Pieris <butterfly> Species 0.000 description 1
- 241000907661 Pieris rapae Species 0.000 description 1
- 241000690748 Piesma Species 0.000 description 1
- 241000940371 Piezodorus Species 0.000 description 1
- 241000098283 Piezodorus guildinii Species 0.000 description 1
- 241000669426 Pinnaspis aspidistrae Species 0.000 description 1
- 241001437281 Piophila casei Species 0.000 description 1
- 240000003889 Piper guineense Species 0.000 description 1
- 241000223834 Piroplasmida Species 0.000 description 1
- 241000219843 Pisum Species 0.000 description 1
- 240000004713 Pisum sativum Species 0.000 description 1
- 241001251082 Plagiolepis Species 0.000 description 1
- 241001657532 Plagiorchis Species 0.000 description 1
- 241000193804 Planococcus <bacterium> Species 0.000 description 1
- 241000691880 Planococcus citri Species 0.000 description 1
- 241000125161 Planococcus lilacinus Species 0.000 description 1
- 108010064851 Plant Proteins Proteins 0.000 description 1
- 241000223960 Plasmodium falciparum Species 0.000 description 1
- 241000242594 Platyhelminthes Species 0.000 description 1
- 241001456328 Platynota stultana Species 0.000 description 1
- 241000157265 Plioreocepta poeciloptera Species 0.000 description 1
- 241000595629 Plodia interpunctella Species 0.000 description 1
- 241000233870 Pneumocystis Species 0.000 description 1
- 241000209504 Poaceae Species 0.000 description 1
- 241000189528 Polymorphida Species 0.000 description 1
- 239000004721 Polyphenylene oxide Substances 0.000 description 1
- 241000331522 Polystoma Species 0.000 description 1
- 241000123781 Polytoma Species 0.000 description 1
- 241001251227 Pomacea Species 0.000 description 1
- 241000908127 Porcellio scaber Species 0.000 description 1
- 241000258974 Porocephalida Species 0.000 description 1
- 241000578525 Posthodiplostomum Species 0.000 description 1
- ZLMJMSJWJFRBEC-UHFFFAOYSA-N Potassium Chemical compound [K] ZLMJMSJWJFRBEC-UHFFFAOYSA-N 0.000 description 1
- 241000522483 Poteriostomum Species 0.000 description 1
- 241000193943 Pratylenchus Species 0.000 description 1
- 241000193940 Pratylenchus penetrans Species 0.000 description 1
- 241001201614 Prays Species 0.000 description 1
- 244000309737 Probstmayria Species 0.000 description 1
- 241001647214 Prodiplosis Species 0.000 description 1
- 239000005821 Propamocarb Substances 0.000 description 1
- MKIMSXGUTQTKJU-UHFFFAOYSA-N Propamocarb hydrochloride Chemical compound [Cl-].CCCOC(=O)NCCC[NH+](C)C MKIMSXGUTQTKJU-UHFFFAOYSA-N 0.000 description 1
- 239000005822 Propiconazole Substances 0.000 description 1
- GOOHAUXETOMSMM-UHFFFAOYSA-N Propylene oxide Chemical compound CC1CO1 GOOHAUXETOMSMM-UHFFFAOYSA-N 0.000 description 1
- 241001459653 Prostephanus truncatus Species 0.000 description 1
- 241000753253 Prosthenorchis Species 0.000 description 1
- 241000408369 Prosthogonimus Species 0.000 description 1
- 241000238705 Prostigmata Species 0.000 description 1
- 108010009736 Protein Hydrolysates Proteins 0.000 description 1
- 241001483625 Protopulvinaria pyriformis Species 0.000 description 1
- 241001617421 Protostrongylus Species 0.000 description 1
- 241000914631 Psallus Species 0.000 description 1
- 241001274600 Pseudacysta Species 0.000 description 1
- 241000668989 Pseudaulacaspis Species 0.000 description 1
- 241000722234 Pseudococcus Species 0.000 description 1
- 241000895644 Pseudococcus calceolariae Species 0.000 description 1
- 241000596535 Pseudococcus comstocki Species 0.000 description 1
- 241000722240 Pseudococcus longispinus Species 0.000 description 1
- 241001058006 Pseudococcus viburni Species 0.000 description 1
- 241000589774 Pseudomonas sp. Species 0.000 description 1
- 241001137874 Pseudophyllidea Species 0.000 description 1
- 241001148522 Psilenchus Species 0.000 description 1
- 241001016411 Psorergates Species 0.000 description 1
- 241000526146 Psylla buxi Species 0.000 description 1
- 241000738912 Psylliodes affinis Species 0.000 description 1
- 241001180370 Psylliodes chrysocephalus Species 0.000 description 1
- 241001366294 Psyllopsis Species 0.000 description 1
- 241001534486 Pterolichus Species 0.000 description 1
- 241001454908 Pteromalus Species 0.000 description 1
- 241000517309 Pthirus Species 0.000 description 1
- 241000517304 Pthirus pubis Species 0.000 description 1
- 241001105129 Ptinus Species 0.000 description 1
- 241001675082 Pulex Species 0.000 description 1
- 241000718000 Pulex irritans Species 0.000 description 1
- 241000531582 Pulvinaria <Pelagophyceae> Species 0.000 description 1
- 241000040495 Punctodera Species 0.000 description 1
- 241001465752 Purpureocillium lilacinum Species 0.000 description 1
- 241001510228 Pycnoscelus surinamensis Species 0.000 description 1
- 239000005869 Pyraclostrobin Substances 0.000 description 1
- 239000005663 Pyridaben Substances 0.000 description 1
- 241000932787 Pyrilla Species 0.000 description 1
- 206010037688 Q fever Diseases 0.000 description 1
- 240000003085 Quassia amara Species 0.000 description 1
- 235000009694 Quassia amara Nutrition 0.000 description 1
- 241000219492 Quercus Species 0.000 description 1
- 241000944747 Quesada gigas Species 0.000 description 1
- 241001092473 Quillaja Species 0.000 description 1
- 235000009001 Quillaja saponaria Nutrition 0.000 description 1
- LOUPRKONTZGTKE-WZBLMQSHSA-N Quinine Chemical class C([C@H]([C@H](C1)C=C)C2)C[N@@]1[C@@H]2[C@H](O)C1=CC=NC2=CC=C(OC)C=C21 LOUPRKONTZGTKE-WZBLMQSHSA-N 0.000 description 1
- 241000327778 Quinisulcius Species 0.000 description 1
- 241001456339 Rachiplusia nu Species 0.000 description 1
- 241000201377 Radopholus Species 0.000 description 1
- 241000216550 Radopholus citrophilus Species 0.000 description 1
- 241000201375 Radopholus similis Species 0.000 description 1
- 241001408411 Raillietia Species 0.000 description 1
- 241001222576 Raillietina Species 0.000 description 1
- 241000282941 Rangifer tarandus Species 0.000 description 1
- 241000549289 Rastrococcus Species 0.000 description 1
- 241000700159 Rattus Species 0.000 description 1
- 108020004511 Recombinant DNA Proteins 0.000 description 1
- 241001509970 Reticulitermes <genus> Species 0.000 description 1
- 241001509967 Reticulitermes flavipes Species 0.000 description 1
- 241001152954 Reticulitermes hesperus Species 0.000 description 1
- 241001136852 Rhagoletis Species 0.000 description 1
- 241000156898 Rhagoletis cingulata Species 0.000 description 1
- 241001481668 Rhagoletis completa Species 0.000 description 1
- 241000156823 Rhagoletis fausta Species 0.000 description 1
- 241000156912 Rhagoletis indifferens Species 0.000 description 1
- 241001465970 Rhagoletis mendax Species 0.000 description 1
- 241001136903 Rhagoletis pomonella Species 0.000 description 1
- 241001194723 Rhinoestrus Species 0.000 description 1
- 241000589194 Rhizobium leguminosarum Species 0.000 description 1
- 241001617044 Rhizoglyphus Species 0.000 description 1
- 241000222557 Rhizopogon Species 0.000 description 1
- 241000133112 Rhizopogonia Species 0.000 description 1
- 241000125162 Rhopalosiphum Species 0.000 description 1
- 241000426569 Rhopalosiphum insertum Species 0.000 description 1
- 241000167882 Rhopalosiphum maidis Species 0.000 description 1
- 241000125167 Rhopalosiphum padi Species 0.000 description 1
- 241000433831 Rhopalosiphum rufiabdominalis Species 0.000 description 1
- 241000344244 Rhynchophorus Species 0.000 description 1
- 241001078693 Rhynchophorus ferrugineus Species 0.000 description 1
- 241000344245 Rhynchophorus palmarum Species 0.000 description 1
- 241001510236 Rhyparobia maderae Species 0.000 description 1
- 241000752065 Rhyzobius Species 0.000 description 1
- 241000318997 Rhyzopertha dominica Species 0.000 description 1
- 241000606701 Rickettsia Species 0.000 description 1
- 241001540480 Rotylenchulus Species 0.000 description 1
- 241000702971 Rotylenchulus reniformis Species 0.000 description 1
- 241000855013 Rotylenchus Species 0.000 description 1
- 241001253920 Ryania Species 0.000 description 1
- 229930001406 Ryanodine Natural products 0.000 description 1
- AUVVAXYIELKVAI-UHFFFAOYSA-N SJ000285215 Natural products N1CCC2=CC(OC)=C(OC)C=C2C1CC1CC2C3=CC(OC)=C(OC)C=C3CCN2CC1CC AUVVAXYIELKVAI-UHFFFAOYSA-N 0.000 description 1
- 240000000111 Saccharum officinarum Species 0.000 description 1
- 235000007201 Saccharum officinarum Nutrition 0.000 description 1
- 241000914334 Sahlbergella singularis Species 0.000 description 1
- 241001450674 Saissetia coffeae Species 0.000 description 1
- 241000863550 Saissetia miranda Species 0.000 description 1
- 241000316887 Saissetia oleae Species 0.000 description 1
- KQXDHUJYNAXLNZ-XQSDOZFQSA-N Salinomycin Chemical compound O1[C@@H]([C@@H](CC)C(O)=O)CC[C@H](C)[C@@H]1[C@@H](C)[C@H](O)[C@H](C)C(=O)[C@H](CC)[C@@H]1[C@@H](C)C[C@@H](C)[C@@]2(C=C[C@@H](O)[C@@]3(O[C@@](C)(CC3)[C@@H]3O[C@@H](C)[C@@](O)(CC)CC3)O2)O1 KQXDHUJYNAXLNZ-XQSDOZFQSA-N 0.000 description 1
- 239000004189 Salinomycin Substances 0.000 description 1
- OUNSASXJZHBGAI-UHFFFAOYSA-N Salithion Chemical compound C1=CC=C2OP(OC)(=S)OCC2=C1 OUNSASXJZHBGAI-UHFFFAOYSA-N 0.000 description 1
- 241000170989 Scaphoideus titanus Species 0.000 description 1
- 241000726725 Scaptocoris castanea Species 0.000 description 1
- 241001222586 Schistocephalus Species 0.000 description 1
- 241000253973 Schistocerca gregaria Species 0.000 description 1
- 241000722027 Schizaphis graminum Species 0.000 description 1
- 241001579307 Schoenobius Species 0.000 description 1
- 241000296425 Sciothrips cardamomi Species 0.000 description 1
- 241001249127 Scirpophaga Species 0.000 description 1
- 241000098281 Scirpophaga innotata Species 0.000 description 1
- 241000365762 Scirtothrips Species 0.000 description 1
- 206010039710 Scleroderma Diseases 0.000 description 1
- 241000985898 Scleroderma sp. Species 0.000 description 1
- 241000239226 Scorpiones Species 0.000 description 1
- 241000332476 Scutellonema Species 0.000 description 1
- 241001157779 Scutigera Species 0.000 description 1
- 241000883293 Scutigerella Species 0.000 description 1
- 241001313237 Scutigerella immaculata Species 0.000 description 1
- 241000669326 Selenaspidus articulatus Species 0.000 description 1
- 241000607720 Serratia Species 0.000 description 1
- 241000931987 Sesamia Species 0.000 description 1
- 241000563489 Sesamia inferens Species 0.000 description 1
- 244000000231 Sesamum indicum Species 0.000 description 1
- 235000003434 Sesamum indicum Nutrition 0.000 description 1
- 235000005775 Setaria Nutrition 0.000 description 1
- 241000232088 Setaria <nematode> Species 0.000 description 1
- 235000011984 Simarouba amara Nutrition 0.000 description 1
- 241000256103 Simuliidae Species 0.000 description 1
- 241001503607 Simulium meridionale Species 0.000 description 1
- 241001177138 Sinoxylon Species 0.000 description 1
- 241001279786 Sipha flava Species 0.000 description 1
- 241000254168 Siphoninus phillyreae Species 0.000 description 1
- 241001508555 Sirex Species 0.000 description 1
- 241000180219 Sitobion avenae Species 0.000 description 1
- 241001212673 Sitophilus linearis Species 0.000 description 1
- 241000254152 Sitophilus oryzae Species 0.000 description 1
- 241000254154 Sitophilus zeamais Species 0.000 description 1
- 241001562124 Sminthurus viridis Species 0.000 description 1
- VMHLLURERBWHNL-UHFFFAOYSA-M Sodium acetate Chemical compound [Na+].CC([O-])=O VMHLLURERBWHNL-UHFFFAOYSA-M 0.000 description 1
- DWAQJAXMDSEUJJ-UHFFFAOYSA-M Sodium bisulfite Chemical compound [Na+].OS([O-])=O DWAQJAXMDSEUJJ-UHFFFAOYSA-M 0.000 description 1
- 241000176085 Sogatella Species 0.000 description 1
- 241000176086 Sogatella furcifera Species 0.000 description 1
- 240000003768 Solanum lycopersicum Species 0.000 description 1
- 241000044136 Solenopotes Species 0.000 description 1
- 241000736128 Solenopsis invicta Species 0.000 description 1
- 206010041349 Somnolence Diseases 0.000 description 1
- 235000011684 Sorghum saccharatum Nutrition 0.000 description 1
- 241001341014 Sparganothis Species 0.000 description 1
- 241000532885 Sphenophorus Species 0.000 description 1
- 235000009337 Spinacia oleracea Nutrition 0.000 description 1
- 244000300264 Spinacia oleracea Species 0.000 description 1
- 239000005929 Spinetoram Substances 0.000 description 1
- GOENIMGKWNZVDA-OAMCMWGQSA-N Spinetoram Chemical compound CO[C@@H]1[C@H](OCC)[C@@H](OC)[C@H](C)O[C@H]1OC1C[C@H]2[C@@H]3C=C4C(=O)[C@H](C)[C@@H](O[C@@H]5O[C@H](C)[C@H](CC5)N(C)C)CCC[C@H](CC)OC(=O)CC4[C@@H]3CC[C@@H]2C1 GOENIMGKWNZVDA-OAMCMWGQSA-N 0.000 description 1
- 239000005930 Spinosad Substances 0.000 description 1
- 241000922629 Spirocerca Species 0.000 description 1
- 239000005664 Spirodiclofen Substances 0.000 description 1
- 241000203992 Spirometra Species 0.000 description 1
- 241001533587 Spironucleus Species 0.000 description 1
- 241000244042 Spirurida Species 0.000 description 1
- 241001414853 Spissistilus festinus Species 0.000 description 1
- 241000256247 Spodoptera exigua Species 0.000 description 1
- 241000701424 Spodoptera frugiperda multiple nucleopolyhedrovirus Species 0.000 description 1
- 241000256250 Spodoptera littoralis Species 0.000 description 1
- 241000931706 Spodoptera praefica Species 0.000 description 1
- 206010041896 St. Louis Encephalitis Diseases 0.000 description 1
- 241001338640 Stathmopoda Species 0.000 description 1
- 241001177161 Stegobium paniceum Species 0.000 description 1
- 241001161749 Stenchaetothrips biformis Species 0.000 description 1
- 241000349644 Steneotarsonemus Species 0.000 description 1
- 241000349647 Steneotarsonemus spinki Species 0.000 description 1
- 241000201776 Steno Species 0.000 description 1
- 241000283614 Stephanitis nashi Species 0.000 description 1
- 241001617580 Stephanurus Species 0.000 description 1
- 241001513492 Sternostoma Species 0.000 description 1
- 241000063073 Stomopteryx Species 0.000 description 1
- 241001467541 Streptomyces galbus Species 0.000 description 1
- 241000187395 Streptomyces microflavus Species 0.000 description 1
- 241000098292 Striacosta albicosta Species 0.000 description 1
- 241000244174 Strongyloides Species 0.000 description 1
- 241001568450 Strongyluris Species 0.000 description 1
- 241000122932 Strongylus Species 0.000 description 1
- 241000196660 Subanguina Species 0.000 description 1
- 241001301282 Succinea Species 0.000 description 1
- 229930006000 Sucrose Natural products 0.000 description 1
- CZMRCDWAGMRECN-UGDNZRGBSA-N Sucrose Chemical compound O[C@H]1[C@H](O)[C@@H](CO)O[C@@]1(CO)O[C@@H]1[C@H](O)[C@@H](O)[C@H](O)[C@@H](CO)O1 CZMRCDWAGMRECN-UGDNZRGBSA-N 0.000 description 1
- 241000282887 Suidae Species 0.000 description 1
- 241000222562 Suillus Species 0.000 description 1
- QAOWNCQODCNURD-UHFFFAOYSA-L Sulfate Chemical compound [O-]S([O-])(=O)=O QAOWNCQODCNURD-UHFFFAOYSA-L 0.000 description 1
- 229940100389 Sulfonylurea Drugs 0.000 description 1
- NINIDFKCEFEMDL-UHFFFAOYSA-N Sulfur Chemical compound [S] NINIDFKCEFEMDL-UHFFFAOYSA-N 0.000 description 1
- 239000005935 Sulfuryl fluoride Substances 0.000 description 1
- 235000019486 Sunflower oil Nutrition 0.000 description 1
- 241001649248 Supella longipalpa Species 0.000 description 1
- 235000005865 Symphytum officinale Nutrition 0.000 description 1
- 240000002299 Symphytum officinale Species 0.000 description 1
- 241001528589 Synanthedon Species 0.000 description 1
- 241001220316 Syngamus Species 0.000 description 1
- 241000975704 Syphacia Species 0.000 description 1
- 241000244155 Taenia Species 0.000 description 1
- 241000228343 Talaromyces flavus Species 0.000 description 1
- 240000004460 Tanacetum coccineum Species 0.000 description 1
- 239000005937 Tebufenozide Substances 0.000 description 1
- 241001507681 Technomyrmex albipes Species 0.000 description 1
- 241000913276 Tecia solanivora Species 0.000 description 1
- 241000347415 Teladorsagia Species 0.000 description 1
- 241000254109 Tenebrio molitor Species 0.000 description 1
- 241000344246 Tetranychus cinnabarinus Species 0.000 description 1
- 241000916142 Tetranychus turkestani Species 0.000 description 1
- 241000488533 Tetranychus viennensis Species 0.000 description 1
- 241001231951 Thaumetopoea Species 0.000 description 1
- 241000223777 Theileria Species 0.000 description 1
- 241001477954 Thelazia Species 0.000 description 1
- 239000005940 Thiacloprid Substances 0.000 description 1
- JZRWCGZRTZMZEH-UHFFFAOYSA-N Thiamine Natural products CC1=C(CCO)SC=[N+]1CC1=CN=C(C)N=C1N JZRWCGZRTZMZEH-UHFFFAOYSA-N 0.000 description 1
- GNVMUORYQLCPJZ-UHFFFAOYSA-M Thiocarbamate Chemical compound NC([S-])=O GNVMUORYQLCPJZ-UHFFFAOYSA-M 0.000 description 1
- 241001061127 Thione Species 0.000 description 1
- 239000005842 Thiophanate-methyl Substances 0.000 description 1
- 241000339373 Thrips palmi Species 0.000 description 1
- 241000339374 Thrips tabaci Species 0.000 description 1
- 241000999614 Thysaniezia Species 0.000 description 1
- 208000004006 Tick-borne encephalitis Diseases 0.000 description 1
- 241000130764 Tinea Species 0.000 description 1
- 208000002474 Tinea Diseases 0.000 description 1
- 241000130771 Tinea pellionella Species 0.000 description 1
- 241000333690 Tineola bisselliella Species 0.000 description 1
- 241001519477 Tinocallis Species 0.000 description 1
- 241000511627 Tipula paludosa Species 0.000 description 1
- GWEVSGVZZGPLCZ-UHFFFAOYSA-N Titan oxide Chemical compound O=[Ti]=O GWEVSGVZZGPLCZ-UHFFFAOYSA-N 0.000 description 1
- 239000005845 Tolclofos-methyl Substances 0.000 description 1
- 241001432111 Tomaspis Species 0.000 description 1
- 241000607216 Toxascaris Species 0.000 description 1
- 241001136888 Toxotrypana curvicauda Species 0.000 description 1
- 102000007641 Trefoil Factors Human genes 0.000 description 1
- 241000242541 Trematoda Species 0.000 description 1
- 239000005846 Triadimenol Substances 0.000 description 1
- 241000018137 Trialeurodes vaporariorum Species 0.000 description 1
- 241000254086 Tribolium <beetle> Species 0.000 description 1
- 241001129166 Tribolium audax Species 0.000 description 1
- 241000254113 Tribolium castaneum Species 0.000 description 1
- 241000254112 Tribolium confusum Species 0.000 description 1
- 241000243773 Trichinellida Species 0.000 description 1
- 241001448053 Trichobilharzia Species 0.000 description 1
- 241000223259 Trichoderma Species 0.000 description 1
- 241000894120 Trichoderma atroviride Species 0.000 description 1
- 241001220308 Trichodorus Species 0.000 description 1
- 241000355095 Trichodorus obtusus Species 0.000 description 1
- 241001220305 Trichodorus primitivus Species 0.000 description 1
- 241001502500 Trichomonadida Species 0.000 description 1
- 208000005448 Trichomonas Infections Diseases 0.000 description 1
- 206010044620 Trichomoniasis Diseases 0.000 description 1
- 241000539634 Trichophaga tapetzella Species 0.000 description 1
- 241000255985 Trichoplusia Species 0.000 description 1
- 241000255993 Trichoplusia ni Species 0.000 description 1
- 241000243797 Trichostrongylus Species 0.000 description 1
- 239000005942 Triflumuron Substances 0.000 description 1
- 235000015724 Trifolium pratense Nutrition 0.000 description 1
- OKJPEAGHQZHRQV-UHFFFAOYSA-N Triiodomethane Natural products IC(I)I OKJPEAGHQZHRQV-UHFFFAOYSA-N 0.000 description 1
- 239000005859 Triticonazole Substances 0.000 description 1
- 240000000359 Triticum dicoccon Species 0.000 description 1
- 241000224528 Tritrichomonas Species 0.000 description 1
- 241000986248 Troglostrongylus Species 0.000 description 1
- 241001116191 Troglotrema Species 0.000 description 1
- 241000267823 Trogoderma Species 0.000 description 1
- 241001245280 Tropilaelaps Species 0.000 description 1
- 241001232874 Tunga Species 0.000 description 1
- 241001584775 Tunga penetrans Species 0.000 description 1
- 241001389006 Tuta absoluta Species 0.000 description 1
- 241000429609 Tychus Species 0.000 description 1
- 241000243782 Tylenchida Species 0.000 description 1
- 241000855019 Tylenchorhynchus Species 0.000 description 1
- 241000947507 Tylenchorhynchus annulatus Species 0.000 description 1
- 241001267618 Tylenchulus Species 0.000 description 1
- 241001267621 Tylenchulus semipenetrans Species 0.000 description 1
- 241000404851 Typhlocoelum Species 0.000 description 1
- 241000841223 Typhlocyba Species 0.000 description 1
- 241000132125 Tyrophagus Species 0.000 description 1
- 241000669245 Unaspis Species 0.000 description 1
- 241000571986 Uncinaria Species 0.000 description 1
- 244000274883 Urtica dioica Species 0.000 description 1
- 235000009108 Urtica dioica Nutrition 0.000 description 1
- 241001466100 Vaejovis Species 0.000 description 1
- 241000895647 Varroa Species 0.000 description 1
- 241000256862 Vespa crabro Species 0.000 description 1
- 241000221013 Viscum album Species 0.000 description 1
- 241000219094 Vitaceae Species 0.000 description 1
- 241001274787 Viteus Species 0.000 description 1
- 241001274788 Viteus vitifoliae Species 0.000 description 1
- 241000908414 Wasmannia auropunctata Species 0.000 description 1
- 241000061203 Werneckiella Species 0.000 description 1
- 241000609108 Wohlfahrtia Species 0.000 description 1
- 241000244002 Wuchereria Species 0.000 description 1
- CVQODEWAPZVVBU-UHFFFAOYSA-N XMC Chemical compound CNC(=O)OC1=CC(C)=CC(C)=C1 CVQODEWAPZVVBU-UHFFFAOYSA-N 0.000 description 1
- 241000353224 Xenopsylla Species 0.000 description 1
- 241000353223 Xenopsylla cheopis Species 0.000 description 1
- 241000269370 Xenopus <genus> Species 0.000 description 1
- 101100187345 Xenopus laevis noto gene Proteins 0.000 description 1
- 241000949975 Xeris Species 0.000 description 1
- 241000201423 Xiphinema Species 0.000 description 1
- 241000201421 Xiphinema index Species 0.000 description 1
- 241001604425 Xylotrechus Species 0.000 description 1
- 241000885034 Xyphon Species 0.000 description 1
- 208000003152 Yellow Fever Diseases 0.000 description 1
- 241001466337 Yponomeuta Species 0.000 description 1
- 241001035865 Zabrus Species 0.000 description 1
- 241000424289 Zabrus tenebrioides Species 0.000 description 1
- 235000007244 Zea mays Nutrition 0.000 description 1
- 241001136529 Zeugodacus cucurbitae Species 0.000 description 1
- 239000006011 Zinc phosphide Substances 0.000 description 1
- 241000839659 Zygina Species 0.000 description 1
- VXSIXFKKSNGRRO-MXOVTSAMSA-N [(1s)-2-methyl-4-oxo-3-[(2z)-penta-2,4-dienyl]cyclopent-2-en-1-yl] (1r,3r)-2,2-dimethyl-3-(2-methylprop-1-enyl)cyclopropane-1-carboxylate;[(1s)-2-methyl-4-oxo-3-[(2z)-penta-2,4-dienyl]cyclopent-2-en-1-yl] (1r,3r)-3-[(e)-3-methoxy-2-methyl-3-oxoprop-1-enyl Chemical class CC1(C)[C@H](C=C(C)C)[C@H]1C(=O)O[C@@H]1C(C)=C(C\C=C/C=C)C(=O)C1.CC1(C)[C@H](/C=C(\C)C(=O)OC)[C@H]1C(=O)O[C@@H]1C(C)=C(C\C=C/C=C)C(=O)C1 VXSIXFKKSNGRRO-MXOVTSAMSA-N 0.000 description 1
- QQODLKZGRKWIFG-RUTXASTPSA-N [(R)-cyano-(4-fluoro-3-phenoxyphenyl)methyl] (1S)-3-(2,2-dichloroethenyl)-2,2-dimethylcyclopropane-1-carboxylate Chemical compound CC1(C)C(C=C(Cl)Cl)[C@@H]1C(=O)O[C@@H](C#N)C1=CC=C(F)C(OC=2C=CC=CC=2)=C1 QQODLKZGRKWIFG-RUTXASTPSA-N 0.000 description 1
- BZMIHNKNQJJVRO-LVZFUZTISA-N [(e)-c-(3-chloro-2,6-dimethoxyphenyl)-n-ethoxycarbonimidoyl] benzoate Chemical compound COC=1C=CC(Cl)=C(OC)C=1C(=N/OCC)\OC(=O)C1=CC=CC=C1 BZMIHNKNQJJVRO-LVZFUZTISA-N 0.000 description 1
- KAATUXNTWXVJKI-QPIRBTGLSA-N [(s)-cyano-(3-phenoxyphenyl)methyl] 3-(2,2-dichloroethenyl)-2,2-dimethylcyclopropane-1-carboxylate Chemical compound CC1(C)C(C=C(Cl)Cl)C1C(=O)O[C@H](C#N)C1=CC=CC(OC=2C=CC=CC=2)=C1 KAATUXNTWXVJKI-QPIRBTGLSA-N 0.000 description 1
- FSAVDKDHPDSCTO-WQLSENKSSA-N [(z)-2-chloro-1-(2,4-dichlorophenyl)ethenyl] diethyl phosphate Chemical compound CCOP(=O)(OCC)O\C(=C/Cl)C1=CC=C(Cl)C=C1Cl FSAVDKDHPDSCTO-WQLSENKSSA-N 0.000 description 1
- ZUSWDTWYONAOPH-UHFFFAOYSA-N [2-(trifluoromethyl)phenyl]hydrazine;hydrochloride Chemical group [Cl-].[NH3+]NC1=CC=CC=C1C(F)(F)F ZUSWDTWYONAOPH-UHFFFAOYSA-N 0.000 description 1
- CFGPESLNPCIKIX-UHFFFAOYSA-N [2-[ethoxy(propylsulfanyl)phosphoryl]oxyphenyl] n-methylcarbamate Chemical compound CCCSP(=O)(OCC)OC1=CC=CC=C1OC(=O)NC CFGPESLNPCIKIX-UHFFFAOYSA-N 0.000 description 1
- ROVGZAWFACYCSP-MQBLHHJJSA-N [2-methyl-4-oxo-3-[(2z)-penta-2,4-dienyl]cyclopent-2-en-1-yl] (1r,3r)-2,2-dimethyl-3-(2-methylprop-1-enyl)cyclopropane-1-carboxylate Chemical compound CC1(C)[C@H](C=C(C)C)[C@H]1C(=O)OC1C(C)=C(C\C=C/C=C)C(=O)C1 ROVGZAWFACYCSP-MQBLHHJJSA-N 0.000 description 1
- JLCPHMBAVCMARE-UHFFFAOYSA-N [3-[[3-[[3-[[3-[[3-[[3-[[3-[[3-[[3-[[3-[[3-[[5-(2-amino-6-oxo-1H-purin-9-yl)-3-[[3-[[3-[[3-[[3-[[3-[[5-(2-amino-6-oxo-1H-purin-9-yl)-3-[[5-(2-amino-6-oxo-1H-purin-9-yl)-3-hydroxyoxolan-2-yl]methoxy-hydroxyphosphoryl]oxyoxolan-2-yl]methoxy-hydroxyphosphoryl]oxy-5-(5-methyl-2,4-dioxopyrimidin-1-yl)oxolan-2-yl]methoxy-hydroxyphosphoryl]oxy-5-(6-aminopurin-9-yl)oxolan-2-yl]methoxy-hydroxyphosphoryl]oxy-5-(6-aminopurin-9-yl)oxolan-2-yl]methoxy-hydroxyphosphoryl]oxy-5-(6-aminopurin-9-yl)oxolan-2-yl]methoxy-hydroxyphosphoryl]oxy-5-(6-aminopurin-9-yl)oxolan-2-yl]methoxy-hydroxyphosphoryl]oxyoxolan-2-yl]methoxy-hydroxyphosphoryl]oxy-5-(5-methyl-2,4-dioxopyrimidin-1-yl)oxolan-2-yl]methoxy-hydroxyphosphoryl]oxy-5-(4-amino-2-oxopyrimidin-1-yl)oxolan-2-yl]methoxy-hydroxyphosphoryl]oxy-5-(5-methyl-2,4-dioxopyrimidin-1-yl)oxolan-2-yl]methoxy-hydroxyphosphoryl]oxy-5-(5-methyl-2,4-dioxopyrimidin-1-yl)oxolan-2-yl]methoxy-hydroxyphosphoryl]oxy-5-(6-aminopurin-9-yl)oxolan-2-yl]methoxy-hydroxyphosphoryl]oxy-5-(6-aminopurin-9-yl)oxolan-2-yl]methoxy-hydroxyphosphoryl]oxy-5-(4-amino-2-oxopyrimidin-1-yl)oxolan-2-yl]methoxy-hydroxyphosphoryl]oxy-5-(4-amino-2-oxopyrimidin-1-yl)oxolan-2-yl]methoxy-hydroxyphosphoryl]oxy-5-(4-amino-2-oxopyrimidin-1-yl)oxolan-2-yl]methoxy-hydroxyphosphoryl]oxy-5-(6-aminopurin-9-yl)oxolan-2-yl]methoxy-hydroxyphosphoryl]oxy-5-(4-amino-2-oxopyrimidin-1-yl)oxolan-2-yl]methyl [5-(6-aminopurin-9-yl)-2-(hydroxymethyl)oxolan-3-yl] hydrogen phosphate Polymers Cc1cn(C2CC(OP(O)(=O)OCC3OC(CC3OP(O)(=O)OCC3OC(CC3O)n3cnc4c3nc(N)[nH]c4=O)n3cnc4c3nc(N)[nH]c4=O)C(COP(O)(=O)OC3CC(OC3COP(O)(=O)OC3CC(OC3COP(O)(=O)OC3CC(OC3COP(O)(=O)OC3CC(OC3COP(O)(=O)OC3CC(OC3COP(O)(=O)OC3CC(OC3COP(O)(=O)OC3CC(OC3COP(O)(=O)OC3CC(OC3COP(O)(=O)OC3CC(OC3COP(O)(=O)OC3CC(OC3COP(O)(=O)OC3CC(OC3COP(O)(=O)OC3CC(OC3COP(O)(=O)OC3CC(OC3COP(O)(=O)OC3CC(OC3COP(O)(=O)OC3CC(OC3COP(O)(=O)OC3CC(OC3COP(O)(=O)OC3CC(OC3CO)n3cnc4c(N)ncnc34)n3ccc(N)nc3=O)n3cnc4c(N)ncnc34)n3ccc(N)nc3=O)n3ccc(N)nc3=O)n3ccc(N)nc3=O)n3cnc4c(N)ncnc34)n3cnc4c(N)ncnc34)n3cc(C)c(=O)[nH]c3=O)n3cc(C)c(=O)[nH]c3=O)n3ccc(N)nc3=O)n3cc(C)c(=O)[nH]c3=O)n3cnc4c3nc(N)[nH]c4=O)n3cnc4c(N)ncnc34)n3cnc4c(N)ncnc34)n3cnc4c(N)ncnc34)n3cnc4c(N)ncnc34)O2)c(=O)[nH]c1=O JLCPHMBAVCMARE-UHFFFAOYSA-N 0.000 description 1
- CWVZGJORVTZXFW-UHFFFAOYSA-N [benzyl(dimethyl)silyl]methyl carbamate Chemical compound NC(=O)OC[Si](C)(C)CC1=CC=CC=C1 CWVZGJORVTZXFW-UHFFFAOYSA-N 0.000 description 1
- 210000001015 abdomen Anatomy 0.000 description 1
- 210000000683 abdominal cavity Anatomy 0.000 description 1
- 239000000205 acacia gum Substances 0.000 description 1
- 235000010489 acacia gum Nutrition 0.000 description 1
- 150000001242 acetic acid derivatives Chemical class 0.000 description 1
- 150000001252 acrylic acid derivatives Chemical class 0.000 description 1
- 239000013543 active substance Substances 0.000 description 1
- 230000000996 additive effect Effects 0.000 description 1
- 230000002411 adverse Effects 0.000 description 1
- 230000032683 aging Effects 0.000 description 1
- 239000000556 agonist Substances 0.000 description 1
- 229960002669 albendazole Drugs 0.000 description 1
- HXHWSAZORRCQMX-UHFFFAOYSA-N albendazole Chemical compound CCCSC1=CC=C2NC(NC(=O)OC)=NC2=C1 HXHWSAZORRCQMX-UHFFFAOYSA-N 0.000 description 1
- VXTGHWHFYNYFFV-UHFFFAOYSA-N albendazole S-oxide Chemical compound CCCS(=O)C1=CC=C2NC(NC(=O)OC)=NC2=C1 VXTGHWHFYNYFFV-UHFFFAOYSA-N 0.000 description 1
- QGLZXHRNAYXIBU-WEVVVXLNSA-N aldicarb Chemical compound CNC(=O)O\N=C\C(C)(C)SC QGLZXHRNAYXIBU-WEVVVXLNSA-N 0.000 description 1
- 125000001931 aliphatic group Chemical group 0.000 description 1
- HFVAFDPGUJEFBQ-UHFFFAOYSA-M alizarin red S Chemical compound [Na+].O=C1C2=CC=CC=C2C(=O)C2=C1C=C(S([O-])(=O)=O)C(O)=C2O HFVAFDPGUJEFBQ-UHFFFAOYSA-M 0.000 description 1
- 239000003513 alkali Substances 0.000 description 1
- 229910052783 alkali metal Inorganic materials 0.000 description 1
- 229910000102 alkali metal hydride Inorganic materials 0.000 description 1
- 150000008046 alkali metal hydrides Chemical class 0.000 description 1
- 150000001340 alkali metals Chemical class 0.000 description 1
- 150000004996 alkyl benzenes Chemical class 0.000 description 1
- 125000004448 alkyl carbonyl group Chemical group 0.000 description 1
- 125000005376 alkyl siloxane group Chemical group 0.000 description 1
- 125000004390 alkyl sulfonyl group Chemical group 0.000 description 1
- 125000004656 alkyl sulfonylamino group Chemical group 0.000 description 1
- 125000000304 alkynyl group Chemical group 0.000 description 1
- HSFWRNGVRCDJHI-UHFFFAOYSA-N alpha-acetylene Natural products C#C HSFWRNGVRCDJHI-UHFFFAOYSA-N 0.000 description 1
- PNEYBMLMFCGWSK-UHFFFAOYSA-N aluminium oxide Inorganic materials [O-2].[O-2].[O-2].[Al+3].[Al+3] PNEYBMLMFCGWSK-UHFFFAOYSA-N 0.000 description 1
- 235000012211 aluminium silicate Nutrition 0.000 description 1
- 150000001409 amidines Chemical class 0.000 description 1
- 150000008361 aminoacetonitriles Chemical class 0.000 description 1
- 229960002587 amitraz Drugs 0.000 description 1
- QXAITBQSYVNQDR-ZIOPAAQOSA-N amitraz Chemical compound C=1C=C(C)C=C(C)C=1/N=C/N(C)\C=N\C1=CC=C(C)C=C1C QXAITBQSYVNQDR-ZIOPAAQOSA-N 0.000 description 1
- 235000012538 ammonium bicarbonate Nutrition 0.000 description 1
- 239000001099 ammonium carbonate Substances 0.000 description 1
- 150000008064 anhydrides Chemical class 0.000 description 1
- 238000003975 animal breeding Methods 0.000 description 1
- 239000005557 antagonist Substances 0.000 description 1
- 230000000844 anti-bacterial effect Effects 0.000 description 1
- 239000002519 antifouling agent Substances 0.000 description 1
- 239000003429 antifungal agent Substances 0.000 description 1
- 229940121375 antifungal agent Drugs 0.000 description 1
- 239000000427 antigen Substances 0.000 description 1
- 230000000890 antigenic effect Effects 0.000 description 1
- 108091007433 antigens Proteins 0.000 description 1
- 102000036639 antigens Human genes 0.000 description 1
- 239000004599 antimicrobial Substances 0.000 description 1
- 239000003963 antioxidant agent Substances 0.000 description 1
- 239000003096 antiparasitic agent Substances 0.000 description 1
- 229940125687 antiparasitic agent Drugs 0.000 description 1
- 238000013459 approach Methods 0.000 description 1
- 238000009360 aquaculture Methods 0.000 description 1
- 244000144974 aquaculture Species 0.000 description 1
- 239000007864 aqueous solution Substances 0.000 description 1
- 239000001138 artemisia absinthium Substances 0.000 description 1
- 150000001543 aryl boronic acids Chemical class 0.000 description 1
- 238000006254 arylation reaction Methods 0.000 description 1
- 238000003556 assay Methods 0.000 description 1
- 229960000892 attapulgite Drugs 0.000 description 1
- 239000005667 attractant Substances 0.000 description 1
- RRZXIRBKKLTSOM-XPNPUAGNSA-N avermectin B1a Chemical compound C1=C[C@H](C)[C@@H]([C@@H](C)CC)O[C@]11O[C@H](C\C=C(C)\[C@@H](O[C@@H]2O[C@@H](C)[C@H](O[C@@H]3O[C@@H](C)[C@H](O)[C@@H](OC)C3)[C@@H](OC)C2)[C@@H](C)\C=C\C=C/2[C@]3([C@H](C(=O)O4)C=C(C)[C@@H](O)[C@H]3OC\2)O)C[C@H]4C1 RRZXIRBKKLTSOM-XPNPUAGNSA-N 0.000 description 1
- RQVGAIADHNPSME-UHFFFAOYSA-N azinphos-ethyl Chemical group C1=CC=C2C(=O)N(CSP(=S)(OCC)OCC)N=NC2=C1 RQVGAIADHNPSME-UHFFFAOYSA-N 0.000 description 1
- CJJOSEISRRTUQB-UHFFFAOYSA-N azinphos-methyl Chemical compound C1=CC=C2C(=O)N(CSP(=S)(OC)OC)N=NC2=C1 CJJOSEISRRTUQB-UHFFFAOYSA-N 0.000 description 1
- 239000000987 azo dye Substances 0.000 description 1
- ONHBDDJJTDTLIR-UHFFFAOYSA-N azocyclotin Chemical compound C1CCCCC1[Sn](N1N=CN=C1)(C1CCCCC1)C1CCCCC1 ONHBDDJJTDTLIR-UHFFFAOYSA-N 0.000 description 1
- 201000008680 babesiosis Diseases 0.000 description 1
- 239000003899 bactericide agent Substances 0.000 description 1
- XEGGRYVFLWGFHI-UHFFFAOYSA-N bendiocarb Chemical compound CNC(=O)OC1=CC=CC2=C1OC(C)(C)O2 XEGGRYVFLWGFHI-UHFFFAOYSA-N 0.000 description 1
- 230000009286 beneficial effect Effects 0.000 description 1
- FYZBOYWSHKHDMT-UHFFFAOYSA-N benfuracarb Chemical compound CCOC(=O)CCN(C(C)C)SN(C)C(=O)OC1=CC=CC2=C1OC(C)(C)C2 FYZBOYWSHKHDMT-UHFFFAOYSA-N 0.000 description 1
- WPYMKLBDIGXBTP-UHFFFAOYSA-N benzoic acid Chemical compound OC(=O)C1=CC=CC=C1 WPYMKLBDIGXBTP-UHFFFAOYSA-N 0.000 description 1
- 150000008047 benzoylureas Chemical class 0.000 description 1
- 235000019445 benzyl alcohol Nutrition 0.000 description 1
- VHLKTXFWDRXILV-UHFFFAOYSA-N bifenazate Chemical compound C1=C(NNC(=O)OC(C)C)C(OC)=CC=C1C1=CC=CC=C1 VHLKTXFWDRXILV-UHFFFAOYSA-N 0.000 description 1
- OMFRMAHOUUJSGP-IRHGGOMRSA-N bifenthrin Chemical compound C1=CC=C(C=2C=CC=CC=2)C(C)=C1COC(=O)[C@@H]1[C@H](\C=C(/Cl)C(F)(F)F)C1(C)C OMFRMAHOUUJSGP-IRHGGOMRSA-N 0.000 description 1
- 239000003139 biocide Substances 0.000 description 1
- 239000003124 biologic agent Substances 0.000 description 1
- 229950002373 bioresmethrin Drugs 0.000 description 1
- 238000010352 biotechnological method Methods 0.000 description 1
- 125000006269 biphenyl-2-yl group Chemical group [H]C1=C([H])C([H])=C(C([H])=C1[H])C1=C(*)C([H])=C([H])C([H])=C1[H] 0.000 description 1
- KULDXINYXFTXMO-UHFFFAOYSA-N bis(2-chloroethyl) (3-chloro-4-methyl-2-oxochromen-7-yl) phosphate Chemical compound C1=C(OP(=O)(OCCCl)OCCCl)C=CC2=C1OC(=O)C(Cl)=C2C KULDXINYXFTXMO-UHFFFAOYSA-N 0.000 description 1
- QKSKPIVNLNLAAV-UHFFFAOYSA-N bis(2-chloroethyl) sulfide Chemical compound ClCCSCCCl QKSKPIVNLNLAAV-UHFFFAOYSA-N 0.000 description 1
- OIPMQULDKWSNGX-UHFFFAOYSA-N bis[[ethoxy(oxo)phosphaniumyl]oxy]alumanyloxy-ethoxy-oxophosphanium Chemical compound [Al+3].CCO[P+]([O-])=O.CCO[P+]([O-])=O.CCO[P+]([O-])=O OIPMQULDKWSNGX-UHFFFAOYSA-N 0.000 description 1
- 229960002326 bithionol Drugs 0.000 description 1
- JFIOVJDNOJYLKP-UHFFFAOYSA-N bithionol Chemical class OC1=C(Cl)C=C(Cl)C=C1SC1=CC(Cl)=CC(Cl)=C1O JFIOVJDNOJYLKP-UHFFFAOYSA-N 0.000 description 1
- 229910021538 borax Inorganic materials 0.000 description 1
- 229910052796 boron Inorganic materials 0.000 description 1
- 125000005620 boronic acid group Chemical group 0.000 description 1
- 229940118790 boscalid Drugs 0.000 description 1
- WYEMLYFITZORAB-UHFFFAOYSA-N boscalid Chemical compound C1=CC(Cl)=CC=C1C1=CC=CC=C1NC(=O)C1=CC=CN=C1Cl WYEMLYFITZORAB-UHFFFAOYSA-N 0.000 description 1
- 210000000481 breast Anatomy 0.000 description 1
- 239000012267 brine Substances 0.000 description 1
- 229950000536 butamisole Drugs 0.000 description 1
- 239000001273 butane Substances 0.000 description 1
- SFNPDDSJBGRXLW-UITAMQMPSA-N butocarboxim Chemical compound CNC(=O)O\N=C(\C)C(C)SC SFNPDDSJBGRXLW-UITAMQMPSA-N 0.000 description 1
- 239000006227 byproduct Substances 0.000 description 1
- KXRPCFINVWWFHQ-UHFFFAOYSA-N cadusafos Chemical compound CCC(C)SP(=O)(OCC)SC(C)CC KXRPCFINVWWFHQ-UHFFFAOYSA-N 0.000 description 1
- 235000020289 caffè mocha Nutrition 0.000 description 1
- 229960003475 cambendazole Drugs 0.000 description 1
- 239000001511 capsicum annuum Substances 0.000 description 1
- 239000002775 capsule Substances 0.000 description 1
- AIXAANGOTKPUOY-UHFFFAOYSA-N carbachol Chemical group [Cl-].C[N+](C)(C)CCOC(N)=O AIXAANGOTKPUOY-UHFFFAOYSA-N 0.000 description 1
- DUEPRVBVGDRKAG-UHFFFAOYSA-N carbofuran Chemical compound CNC(=O)OC1=CC=CC2=C1OC(C)(C)C2 DUEPRVBVGDRKAG-UHFFFAOYSA-N 0.000 description 1
- 239000001569 carbon dioxide Substances 0.000 description 1
- 229910002092 carbon dioxide Inorganic materials 0.000 description 1
- KXDHJXZQYSOELW-UHFFFAOYSA-N carbonic acid monoamide Natural products NC(O)=O KXDHJXZQYSOELW-UHFFFAOYSA-N 0.000 description 1
- PFKFTWBEEFSNDU-UHFFFAOYSA-N carbonyldiimidazole Chemical compound C1=CN=CN1C(=O)N1C=CN=C1 PFKFTWBEEFSNDU-UHFFFAOYSA-N 0.000 description 1
- JLQUFIHWVLZVTJ-UHFFFAOYSA-N carbosulfan Chemical compound CCCCN(CCCC)SN(C)C(=O)OC1=CC=CC2=C1OC(C)(C)C2 JLQUFIHWVLZVTJ-UHFFFAOYSA-N 0.000 description 1
- 150000003857 carboxamides Chemical class 0.000 description 1
- GYSSRZJIHXQEHQ-UHFFFAOYSA-N carboxin Chemical compound S1CCOC(C)=C1C(=O)NC1=CC=CC=C1 GYSSRZJIHXQEHQ-UHFFFAOYSA-N 0.000 description 1
- 239000001768 carboxy methyl cellulose Substances 0.000 description 1
- 235000010948 carboxy methyl cellulose Nutrition 0.000 description 1
- 239000008112 carboxymethyl-cellulose Substances 0.000 description 1
- 125000002091 cationic group Chemical group 0.000 description 1
- 239000004568 cement Substances 0.000 description 1
- KXZJHVJKXJLBKO-UHFFFAOYSA-N chembl1408157 Chemical compound N=1C2=CC=CC=C2C(C(=O)O)=CC=1C1=CC=C(O)C=C1 KXZJHVJKXJLBKO-UHFFFAOYSA-N 0.000 description 1
- HKMOPYJWSFRURD-UHFFFAOYSA-N chloro hypochlorite;copper Chemical compound [Cu].ClOCl HKMOPYJWSFRURD-UHFFFAOYSA-N 0.000 description 1
- 150000008422 chlorobenzenes Chemical class 0.000 description 1
- WHTVZRBIWZFKQO-UHFFFAOYSA-N chloroquine Natural products ClC1=CC=C2C(NC(C)CCCN(CC)CC)=CC=NC2=C1 WHTVZRBIWZFKQO-UHFFFAOYSA-N 0.000 description 1
- 229960003677 chloroquine Drugs 0.000 description 1
- CYDMQBQPVICBEU-UHFFFAOYSA-N chlorotetracycline Natural products C1=CC(Cl)=C2C(O)(C)C3CC4C(N(C)C)C(O)=C(C(N)=O)C(=O)C4(O)C(O)=C3C(=O)C2=C1O CYDMQBQPVICBEU-UHFFFAOYSA-N 0.000 description 1
- SBPBAQFWLVIOKP-UHFFFAOYSA-N chlorpyrifos Chemical compound CCOP(=S)(OCC)OC1=NC(Cl)=C(Cl)C=C1Cl SBPBAQFWLVIOKP-UHFFFAOYSA-N 0.000 description 1
- HRBKVYFZANMGRE-UHFFFAOYSA-N chlorpyrifos-methyl Chemical group COP(=S)(OC)OC1=NC(Cl)=C(Cl)C=C1Cl HRBKVYFZANMGRE-UHFFFAOYSA-N 0.000 description 1
- CYDMQBQPVICBEU-XRNKAMNCSA-N chlortetracycline Chemical compound C1=CC(Cl)=C2[C@](O)(C)[C@H]3C[C@H]4[C@H](N(C)C)C(O)=C(C(N)=O)C(=O)[C@@]4(O)C(O)=C3C(=O)C2=C1O CYDMQBQPVICBEU-XRNKAMNCSA-N 0.000 description 1
- 238000004587 chromatography analysis Methods 0.000 description 1
- 229960001020 ciclobendazole Drugs 0.000 description 1
- OXLKOMYHDYVIDM-UHFFFAOYSA-N ciclobendazole Chemical compound C1=C2NC(NC(=O)OC)=NC2=CC=C1C(=O)C1CC1 OXLKOMYHDYVIDM-UHFFFAOYSA-N 0.000 description 1
- 229960005233 cineole Drugs 0.000 description 1
- 239000004927 clay Substances 0.000 description 1
- 238000004140 cleaning Methods 0.000 description 1
- KDLRVYVGXIQJDK-AWPVFWJPSA-N clindamycin Chemical compound CN1C[C@H](CCC)C[C@H]1C(=O)N[C@H]([C@H](C)Cl)[C@@H]1[C@H](O)[C@H](O)[C@@H](O)[C@@H](SC)O1 KDLRVYVGXIQJDK-AWPVFWJPSA-N 0.000 description 1
- 229960002227 clindamycin Drugs 0.000 description 1
- DGBIGWXXNGSACT-UHFFFAOYSA-N clonazepam Chemical compound C12=CC([N+](=O)[O-])=CC=C2NC(=O)CN=C1C1=CC=CC=C1Cl DGBIGWXXNGSACT-UHFFFAOYSA-N 0.000 description 1
- 229960003120 clonazepam Drugs 0.000 description 1
- 239000010941 cobalt Substances 0.000 description 1
- 229910017052 cobalt Inorganic materials 0.000 description 1
- GUTLYIVDDKVIGB-UHFFFAOYSA-N cobalt atom Chemical compound [Co] GUTLYIVDDKVIGB-UHFFFAOYSA-N 0.000 description 1
- 235000016213 coffee Nutrition 0.000 description 1
- 235000013353 coffee beverage Nutrition 0.000 description 1
- 239000000084 colloidal system Substances 0.000 description 1
- 210000001520 comb Anatomy 0.000 description 1
- 238000004891 communication Methods 0.000 description 1
- 239000008139 complexing agent Substances 0.000 description 1
- 238000011109 contamination Methods 0.000 description 1
- 238000007796 conventional method Methods 0.000 description 1
- 238000001816 cooling Methods 0.000 description 1
- 229910000365 copper sulfate Inorganic materials 0.000 description 1
- XTVVROIMIGLXTD-UHFFFAOYSA-N copper(II) nitrate Chemical compound [Cu+2].[O-][N+]([O-])=O.[O-][N+]([O-])=O XTVVROIMIGLXTD-UHFFFAOYSA-N 0.000 description 1
- ARUVKPQLZAKDPS-UHFFFAOYSA-L copper(II) sulfate Chemical compound [Cu+2].[O-][S+2]([O-])([O-])[O-] ARUVKPQLZAKDPS-UHFFFAOYSA-L 0.000 description 1
- 239000006184 cosolvent Substances 0.000 description 1
- 238000006880 cross-coupling reaction Methods 0.000 description 1
- 229910001610 cryolite Inorganic materials 0.000 description 1
- 238000005520 cutting process Methods 0.000 description 1
- 125000005159 cyanoalkoxy group Chemical group 0.000 description 1
- SCKHCCSZFPSHGR-UHFFFAOYSA-N cyanophos Chemical compound COP(=S)(OC)OC1=CC=C(C#N)C=C1 SCKHCCSZFPSHGR-UHFFFAOYSA-N 0.000 description 1
- 125000000582 cycloheptyl group Chemical group [H]C1([H])C([H])([H])C([H])([H])C([H])([H])C([H])(*)C([H])([H])C1([H])[H] 0.000 description 1
- 125000000640 cyclooctyl group Chemical group [H]C1([H])C([H])([H])C([H])([H])C([H])([H])C([H])(*)C([H])([H])C([H])([H])C1([H])[H] 0.000 description 1
- XCIXKGXIYUWCLL-UHFFFAOYSA-N cyclopentanol Chemical compound OC1CCCC1 XCIXKGXIYUWCLL-UHFFFAOYSA-N 0.000 description 1
- 125000002433 cyclopentenyl group Chemical group C1(=CCCC1)* 0.000 description 1
- 125000001511 cyclopentyl group Chemical group [H]C1([H])C([H])([H])C([H])([H])C([H])(*)C1([H])[H] 0.000 description 1
- 229960004397 cyclophosphamide Drugs 0.000 description 1
- LSFUGNKKPMBOMG-UHFFFAOYSA-N cycloprothrin Chemical compound ClC1(Cl)CC1(C=1C=CC=CC=1)C(=O)OC(C#N)C1=CC=CC(OC=2C=CC=CC=2)=C1 LSFUGNKKPMBOMG-UHFFFAOYSA-N 0.000 description 1
- 229960001591 cyfluthrin Drugs 0.000 description 1
- QQODLKZGRKWIFG-QSFXBCCZSA-N cyfluthrin Chemical compound CC1(C)[C@@H](C=C(Cl)Cl)[C@H]1C(=O)O[C@@H](C#N)C1=CC=C(F)C(OC=2C=CC=CC=2)=C1 QQODLKZGRKWIFG-QSFXBCCZSA-N 0.000 description 1
- NNRSYETYEADPBW-UHFFFAOYSA-N cyhalodiamide Chemical compound CC1=CC(C(F)(C(F)(F)F)C(F)(F)F)=CC=C1NC(=O)C1=CC=CC(Cl)=C1C(=O)NC(C)(C)C#N NNRSYETYEADPBW-UHFFFAOYSA-N 0.000 description 1
- ZXQYGBMAQZUVMI-UNOMPAQXSA-N cyhalothrin Chemical compound CC1(C)C(\C=C(/Cl)C(F)(F)F)C1C(=O)OC(C#N)C1=CC=CC(OC=2C=CC=CC=2)=C1 ZXQYGBMAQZUVMI-UNOMPAQXSA-N 0.000 description 1
- WCMMILVIRZAPLE-UHFFFAOYSA-M cyhexatin Chemical compound C1CCCCC1[Sn](C1CCCCC1)(O)C1CCCCC1 WCMMILVIRZAPLE-UHFFFAOYSA-M 0.000 description 1
- KAATUXNTWXVJKI-UHFFFAOYSA-N cypermethrin Chemical compound CC1(C)C(C=C(Cl)Cl)C1C(=O)OC(C#N)C1=CC=CC(OC=2C=CC=CC=2)=C1 KAATUXNTWXVJKI-UHFFFAOYSA-N 0.000 description 1
- 229960005424 cypermethrin Drugs 0.000 description 1
- XUJNEKJLAYXESH-UHFFFAOYSA-N cysteine Natural products SCC(N)C(O)=O XUJNEKJLAYXESH-UHFFFAOYSA-N 0.000 description 1
- 235000018417 cysteine Nutrition 0.000 description 1
- 235000013365 dairy product Nutrition 0.000 description 1
- 230000007123 defense Effects 0.000 description 1
- 239000013530 defoamer Substances 0.000 description 1
- PGRHXDWITVMQBC-UHFFFAOYSA-N dehydroacetic acid Natural products CC(=O)C1C(=O)OC(C)=CC1=O PGRHXDWITVMQBC-UHFFFAOYSA-N 0.000 description 1
- 229950003960 demiditraz Drugs 0.000 description 1
- 208000025729 dengue disease Diseases 0.000 description 1
- 239000000645 desinfectant Substances 0.000 description 1
- FCRACOPGPMPSHN-UHFFFAOYSA-N desoxyabscisic acid Natural products OC(=O)C=C(C)C=CC1C(C)=CC(=O)CC1(C)C FCRACOPGPMPSHN-UHFFFAOYSA-N 0.000 description 1
- GUJOJGAPFQRJSV-UHFFFAOYSA-N dialuminum;dioxosilane;oxygen(2-);hydrate Chemical compound O.[O-2].[O-2].[O-2].[Al+3].[Al+3].O=[Si]=O.O=[Si]=O.O=[Si]=O.O=[Si]=O GUJOJGAPFQRJSV-UHFFFAOYSA-N 0.000 description 1
- 150000001470 diamides Chemical class 0.000 description 1
- FHIVAFMUCKRCQO-UHFFFAOYSA-N diazinon Chemical compound CCOP(=S)(OCC)OC1=CC(C)=NC(C(C)C)=N1 FHIVAFMUCKRCQO-UHFFFAOYSA-N 0.000 description 1
- PFBUKDPBVNJDEW-UHFFFAOYSA-N dichlorocarbene Chemical group Cl[C]Cl PFBUKDPBVNJDEW-UHFFFAOYSA-N 0.000 description 1
- UOAMTSKGCBMZTC-UHFFFAOYSA-N dicofol Chemical compound C=1C=C(Cl)C=CC=1C(C(Cl)(Cl)Cl)(O)C1=CC=C(Cl)C=C1 UOAMTSKGCBMZTC-UHFFFAOYSA-N 0.000 description 1
- 235000013681 dietary sucrose Nutrition 0.000 description 1
- JXSJBGJIGXNWCI-UHFFFAOYSA-N diethyl 2-[(dimethoxyphosphorothioyl)thio]succinate Chemical compound CCOC(=O)CC(SP(=S)(OC)OC)C(=O)OCC JXSJBGJIGXNWCI-UHFFFAOYSA-N 0.000 description 1
- RCKMWOKWVGPNJF-UHFFFAOYSA-N diethylcarbamazine Chemical compound CCN(CC)C(=O)N1CCN(C)CC1 RCKMWOKWVGPNJF-UHFFFAOYSA-N 0.000 description 1
- 229960003974 diethylcarbamazine Drugs 0.000 description 1
- MCWXGJITAZMZEV-UHFFFAOYSA-N dimethoate Chemical compound CNC(=O)CSP(=S)(OC)OC MCWXGJITAZMZEV-UHFFFAOYSA-N 0.000 description 1
- YKBZOVFACRVRJN-UHFFFAOYSA-N dinotefuran Chemical compound [O-][N+](=O)\N=C(/NC)NCC1CCOC1 YKBZOVFACRVRJN-UHFFFAOYSA-N 0.000 description 1
- 230000006806 disease prevention Effects 0.000 description 1
- PYZSVQVRHDXQSL-UHFFFAOYSA-N dithianon Chemical compound S1C(C#N)=C(C#N)SC2=C1C(=O)C1=CC=CC=C1C2=O PYZSVQVRHDXQSL-UHFFFAOYSA-N 0.000 description 1
- 239000010459 dolomite Substances 0.000 description 1
- 229910000514 dolomite Inorganic materials 0.000 description 1
- 230000005059 dormancy Effects 0.000 description 1
- 229960003722 doxycycline Drugs 0.000 description 1
- 238000010981 drying operation Methods 0.000 description 1
- 238000010410 dusting Methods 0.000 description 1
- 201000006549 dyspepsia Diseases 0.000 description 1
- 230000000694 effects Effects 0.000 description 1
- 239000002659 electrodeposit Substances 0.000 description 1
- 238000004070 electrodeposition Methods 0.000 description 1
- 239000005712 elicitor Substances 0.000 description 1
- 229940096118 ella Drugs 0.000 description 1
- 239000002895 emetic Substances 0.000 description 1
- AUVVAXYIELKVAI-CKBKHPSWSA-N emetine Chemical compound N1CCC2=CC(OC)=C(OC)C=C2[C@H]1C[C@H]1C[C@H]2C3=CC(OC)=C(OC)C=C3CCN2C[C@@H]1CC AUVVAXYIELKVAI-CKBKHPSWSA-N 0.000 description 1
- 229960002694 emetine Drugs 0.000 description 1
- AUVVAXYIELKVAI-UWBTVBNJSA-N emetine Natural products N1CCC2=CC(OC)=C(OC)C=C2[C@H]1C[C@H]1C[C@H]2C3=CC(OC)=C(OC)C=C3CCN2C[C@H]1CC AUVVAXYIELKVAI-UWBTVBNJSA-N 0.000 description 1
- 206010014599 encephalitis Diseases 0.000 description 1
- RDYMFSUJUZBWLH-SVWSLYAFSA-N endosulfan Chemical compound C([C@@H]12)OS(=O)OC[C@@H]1[C@]1(Cl)C(Cl)=C(Cl)[C@@]2(Cl)C1(Cl)Cl RDYMFSUJUZBWLH-SVWSLYAFSA-N 0.000 description 1
- 239000003623 enhancer Substances 0.000 description 1
- VMNULHCTRPXWFJ-UJSVPXBISA-N enoxastrobin Chemical compound CO\C=C(\C(=O)OC)C1=CC=CC=C1CO\N=C(/C)\C=C\C1=CC=C(Cl)C=C1 VMNULHCTRPXWFJ-UJSVPXBISA-N 0.000 description 1
- 229960003276 erythromycin Drugs 0.000 description 1
- 235000015114 espresso Nutrition 0.000 description 1
- 125000001301 ethoxy group Chemical group [H]C([H])([H])C([H])([H])O* 0.000 description 1
- FAMRKDQNMBBFBR-UHFFFAOYSA-N ethyl n-ethoxycarbonyliminocarbamate Chemical compound CCOC(=O)N=NC(=O)OCC FAMRKDQNMBBFBR-UHFFFAOYSA-N 0.000 description 1
- 125000000219 ethylidene group Chemical group [H]C(=[*])C([H])([H])[H] 0.000 description 1
- 125000002534 ethynyl group Chemical group [H]C#C* 0.000 description 1
- YREQHYQNNWYQCJ-UHFFFAOYSA-N etofenprox Chemical compound C1=CC(OCC)=CC=C1C(C)(C)COCC1=CC=CC(OC=2C=CC=CC=2)=C1 YREQHYQNNWYQCJ-UHFFFAOYSA-N 0.000 description 1
- 229950005085 etofenprox Drugs 0.000 description 1
- 230000008020 evaporation Effects 0.000 description 1
- 150000004665 fatty acids Chemical class 0.000 description 1
- 150000002191 fatty alcohols Chemical class 0.000 description 1
- 229960001582 fenfluramine Drugs 0.000 description 1
- HJUFTIJOISQSKQ-UHFFFAOYSA-N fenoxycarb Chemical compound C1=CC(OCCNC(=O)OCC)=CC=C1OC1=CC=CC=C1 HJUFTIJOISQSKQ-UHFFFAOYSA-N 0.000 description 1
- RWTNPBWLLIMQHL-UHFFFAOYSA-N fexofenadine Chemical compound C1=CC(C(C)(C(O)=O)C)=CC=C1C(O)CCCN1CCC(C(O)(C=2C=CC=CC=2)C=2C=CC=CC=2)CC1 RWTNPBWLLIMQHL-UHFFFAOYSA-N 0.000 description 1
- 239000007888 film coating Substances 0.000 description 1
- 238000009501 film coating Methods 0.000 description 1
- 239000012467 final product Substances 0.000 description 1
- 229940013764 fipronil Drugs 0.000 description 1
- 235000004426 flaxseed Nutrition 0.000 description 1
- 235000013312 flour Nutrition 0.000 description 1
- 229960004500 flubendazole Drugs 0.000 description 1
- CPEUVMUXAHMANV-UHFFFAOYSA-N flubendazole Chemical compound C1=C2NC(NC(=O)OC)=NC2=CC=C1C(=O)C1=CC=C(F)C=C1 CPEUVMUXAHMANV-UHFFFAOYSA-N 0.000 description 1
- ZGNITFSDLCMLGI-UHFFFAOYSA-N flubendiamide Chemical compound CC1=CC(C(F)(C(F)(F)F)C(F)(F)F)=CC=C1NC(=O)C1=CC=CC(I)=C1C(=O)NC(C)(C)CS(C)(=O)=O ZGNITFSDLCMLGI-UHFFFAOYSA-N 0.000 description 1
- XRECTZIEBJDKEO-UHFFFAOYSA-N flucytosine Chemical compound NC1=NC(=O)NC=C1F XRECTZIEBJDKEO-UHFFFAOYSA-N 0.000 description 1
- RYLHNOVXKPXDIP-UHFFFAOYSA-N flufenoxuron Chemical compound C=1C=C(NC(=O)NC(=O)C=2C(=CC=CC=2F)F)C(F)=CC=1OC1=CC=C(C(F)(F)F)C=C1Cl RYLHNOVXKPXDIP-UHFFFAOYSA-N 0.000 description 1
- MBHXIQDIVCJZTD-RVDMUPIBSA-N flufenoxystrobin Chemical compound CO\C=C(\C(=O)OC)C1=CC=CC=C1COC1=CC=C(C(F)(F)F)C=C1Cl MBHXIQDIVCJZTD-RVDMUPIBSA-N 0.000 description 1
- 125000004785 fluoromethoxy group Chemical group [H]C([H])(F)O* 0.000 description 1
- MLBZKOGAMRTSKP-UHFFFAOYSA-N fluralaner Chemical compound C1=C(C(=O)NCC(=O)NCC(F)(F)F)C(C)=CC(C=2CC(ON=2)(C=2C=C(Cl)C=C(Cl)C=2)C(F)(F)F)=C1 MLBZKOGAMRTSKP-UHFFFAOYSA-N 0.000 description 1
- 229960004498 fluralaner Drugs 0.000 description 1
- 238000005187 foaming Methods 0.000 description 1
- WSFSSNUMVMOOMR-UHFFFAOYSA-N formaldehyde Substances O=C WSFSSNUMVMOOMR-UHFFFAOYSA-N 0.000 description 1
- 239000003205 fragrance Substances 0.000 description 1
- PGBHMTALBVVCIT-VCIWKGPPSA-N framycetin Chemical compound N[C@@H]1[C@@H](O)[C@H](O)[C@H](CN)O[C@@H]1O[C@H]1[C@@H](O)[C@H](O[C@H]2[C@@H]([C@@H](N)C[C@@H](N)[C@@H]2O)O[C@@H]2[C@@H]([C@@H](O)[C@H](O)[C@@H](CN)O2)N)O[C@@H]1CO PGBHMTALBVVCIT-VCIWKGPPSA-N 0.000 description 1
- WHGLQYBALPTZNJ-UHFFFAOYSA-N furan;oxolane Chemical compound C1CCOC1.C=1C=COC=1 WHGLQYBALPTZNJ-UHFFFAOYSA-N 0.000 description 1
- HAWJXYBZNNRMNO-UHFFFAOYSA-N furathiocarb Chemical compound CCCCOC(=O)N(C)SN(C)C(=O)OC1=CC=CC2=C1OC(C)(C)C2 HAWJXYBZNNRMNO-UHFFFAOYSA-N 0.000 description 1
- 230000004927 fusion Effects 0.000 description 1
- ZXQYGBMAQZUVMI-GCMPRSNUSA-N gamma-cyhalothrin Chemical compound CC1(C)[C@@H](\C=C(/Cl)C(F)(F)F)[C@H]1C(=O)O[C@H](C#N)C1=CC=CC(OC=2C=CC=CC=2)=C1 ZXQYGBMAQZUVMI-GCMPRSNUSA-N 0.000 description 1
- JLYXXMFPNIAWKQ-GNIYUCBRSA-N gamma-hexachlorocyclohexane Chemical compound Cl[C@H]1[C@H](Cl)[C@@H](Cl)[C@@H](Cl)[C@H](Cl)[C@H]1Cl JLYXXMFPNIAWKQ-GNIYUCBRSA-N 0.000 description 1
- 235000004611 garlic Nutrition 0.000 description 1
- 239000007789 gas Substances 0.000 description 1
- 210000001035 gastrointestinal tract Anatomy 0.000 description 1
- 238000007429 general method Methods 0.000 description 1
- 230000002068 genetic effect Effects 0.000 description 1
- 235000003869 genetically modified organism Nutrition 0.000 description 1
- 210000002816 gill Anatomy 0.000 description 1
- 229940097068 glyphosate Drugs 0.000 description 1
- XDDAORKBJWWYJS-UHFFFAOYSA-N glyphosate Chemical compound OC(=O)CNCP(O)(O)=O XDDAORKBJWWYJS-UHFFFAOYSA-N 0.000 description 1
- 235000021021 grapes Nutrition 0.000 description 1
- 150000004795 grignard reagents Chemical class 0.000 description 1
- 210000004209 hair Anatomy 0.000 description 1
- 125000004993 haloalkoxycarbonyl group Chemical group 0.000 description 1
- 230000026030 halogenation Effects 0.000 description 1
- 238000005658 halogenation reaction Methods 0.000 description 1
- KWLMIXQRALPRBC-UHFFFAOYSA-L hectorite Chemical compound [Li+].[OH-].[OH-].[Na+].[Mg+2].O1[Si]2([O-])O[Si]1([O-])O[Si]([O-])(O1)O[Si]1([O-])O2 KWLMIXQRALPRBC-UHFFFAOYSA-L 0.000 description 1
- 229910000271 hectorite Inorganic materials 0.000 description 1
- FRCCEHPWNOQAEU-UHFFFAOYSA-N heptachlor Chemical compound ClC1=C(Cl)C2(Cl)C3C=CC(Cl)C3C1(Cl)C2(Cl)Cl FRCCEHPWNOQAEU-UHFFFAOYSA-N 0.000 description 1
- ACGUYXCXAPNIKK-UHFFFAOYSA-N hexachlorophene Chemical class OC1=C(Cl)C=C(Cl)C(Cl)=C1CC1=C(O)C(Cl)=CC(Cl)=C1Cl ACGUYXCXAPNIKK-UHFFFAOYSA-N 0.000 description 1
- 229960004068 hexachlorophene Drugs 0.000 description 1
- RGNPBRKPHBKNKX-UHFFFAOYSA-N hexaflumuron Chemical compound C1=C(Cl)C(OC(F)(F)C(F)F)=C(Cl)C=C1NC(=O)NC(=O)C1=C(F)C=CC=C1F RGNPBRKPHBKNKX-UHFFFAOYSA-N 0.000 description 1
- 230000000971 hippocampal effect Effects 0.000 description 1
- 235000012907 honey Nutrition 0.000 description 1
- 208000029080 human African trypanosomiasis Diseases 0.000 description 1
- 239000003906 humectant Substances 0.000 description 1
- 125000004435 hydrogen atom Chemical group [H]* 0.000 description 1
- USZLCYNVCCDPLQ-UHFFFAOYSA-N hydron;n-methoxymethanamine;chloride Chemical compound Cl.CNOC USZLCYNVCCDPLQ-UHFFFAOYSA-N 0.000 description 1
- ZQDWXGKKHFNSQK-UHFFFAOYSA-N hydroxyzine Chemical compound C1CN(CCOCCO)CCN1C(C=1C=CC(Cl)=CC=1)C1=CC=CC=C1 ZQDWXGKKHFNSQK-UHFFFAOYSA-N 0.000 description 1
- 229960000930 hydroxyzine Drugs 0.000 description 1
- 230000000147 hypnotic effect Effects 0.000 description 1
- 229940056881 imidacloprid Drugs 0.000 description 1
- YWTYJOPNNQFBPC-UHFFFAOYSA-N imidacloprid Chemical compound [O-][N+](=O)\N=C1/NCCN1CC1=CC=C(Cl)N=C1 YWTYJOPNNQFBPC-UHFFFAOYSA-N 0.000 description 1
- SCEVFJUWLLRELN-UHFFFAOYSA-N imidocarb Chemical compound C=1C=CC(C=2NCCN=2)=CC=1NC(=O)NC(C=1)=CC=CC=1C1=NCCN1 SCEVFJUWLLRELN-UHFFFAOYSA-N 0.000 description 1
- 229960004683 imidocarb Drugs 0.000 description 1
- 238000007654 immersion Methods 0.000 description 1
- 230000006872 improvement Effects 0.000 description 1
- 238000000338 in vitro Methods 0.000 description 1
- 201000001371 inclusion conjunctivitis Diseases 0.000 description 1
- 230000001939 inductive effect Effects 0.000 description 1
- 230000002401 inhibitory effect Effects 0.000 description 1
- 239000002054 inoculum Substances 0.000 description 1
- 239000001023 inorganic pigment Substances 0.000 description 1
- 230000000749 insecticidal effect Effects 0.000 description 1
- INQOMBQAUSQDDS-UHFFFAOYSA-N iodomethane Chemical compound IC INQOMBQAUSQDDS-UHFFFAOYSA-N 0.000 description 1
- 239000002555 ionophore Substances 0.000 description 1
- 230000000236 ionophoric effect Effects 0.000 description 1
- QTYCMDBMOLSEAM-UHFFFAOYSA-N ipconazole Chemical compound C1=NC=NN1CC1(O)C(C(C)C)CCC1CC1=CC=C(Cl)C=C1 QTYCMDBMOLSEAM-UHFFFAOYSA-N 0.000 description 1
- 229910052742 iron Inorganic materials 0.000 description 1
- DCYOBGZUOMKFPA-UHFFFAOYSA-N iron(2+);iron(3+);octadecacyanide Chemical compound [Fe+2].[Fe+2].[Fe+2].[Fe+3].[Fe+3].[Fe+3].[Fe+3].N#[C-].N#[C-].N#[C-].N#[C-].N#[C-].N#[C-].N#[C-].N#[C-].N#[C-].N#[C-].N#[C-].N#[C-].N#[C-].N#[C-].N#[C-].N#[C-].N#[C-].N#[C-] DCYOBGZUOMKFPA-UHFFFAOYSA-N 0.000 description 1
- KQNPFQTWMSNSAP-UHFFFAOYSA-M isobutyrate Chemical compound CC(C)C([O-])=O KQNPFQTWMSNSAP-UHFFFAOYSA-M 0.000 description 1
- 229960002725 isoflurane Drugs 0.000 description 1
- VFQXVTODMYMSMJ-UHFFFAOYSA-N isonicotinamide Chemical compound NC(=O)C1=CC=NC=C1 VFQXVTODMYMSMJ-UHFFFAOYSA-N 0.000 description 1
- 125000001972 isopentyl group Chemical group [H]C([H])([H])C([H])(C([H])([H])[H])C([H])([H])C([H])([H])* 0.000 description 1
- 125000000555 isopropenyl group Chemical group [H]\C([H])=C(\*)C([H])([H])[H] 0.000 description 1
- 150000002547 isoxazolines Chemical class 0.000 description 1
- NLYAJNPCOHFWQQ-UHFFFAOYSA-N kaolin Chemical compound O.O.O=[Al]O[Si](=O)O[Si](=O)O[Al]=O NLYAJNPCOHFWQQ-UHFFFAOYSA-N 0.000 description 1
- 229930001540 kinoprene Natural products 0.000 description 1
- 150000003951 lactams Chemical class 0.000 description 1
- 239000008101 lactose Substances 0.000 description 1
- 239000005910 lambda-Cyhalothrin Substances 0.000 description 1
- 239000004611 light stabiliser Substances 0.000 description 1
- OJMMVQQUTAEWLP-KIDUDLJLSA-N lincomycin Chemical class CN1C[C@H](CCC)C[C@H]1C(=O)N[C@H]([C@@H](C)O)[C@@H]1[C@H](O)[C@H](O)[C@@H](O)[C@@H](SC)O1 OJMMVQQUTAEWLP-KIDUDLJLSA-N 0.000 description 1
- 229960002809 lindane Drugs 0.000 description 1
- 150000002632 lipids Chemical class 0.000 description 1
- 239000011777 magnesium Substances 0.000 description 1
- 229910052749 magnesium Inorganic materials 0.000 description 1
- 235000019359 magnesium stearate Nutrition 0.000 description 1
- NXPHGHWWQRMDIA-UHFFFAOYSA-M magnesium;carbanide;bromide Chemical compound [CH3-].[Mg+2].[Br-] NXPHGHWWQRMDIA-UHFFFAOYSA-M 0.000 description 1
- 229960000453 malathion Drugs 0.000 description 1
- 210000001161 mammalian embryo Anatomy 0.000 description 1
- 239000004579 marble Substances 0.000 description 1
- 230000035800 maturation Effects 0.000 description 1
- 229960003439 mebendazole Drugs 0.000 description 1
- BAXLBXFAUKGCDY-UHFFFAOYSA-N mebendazole Chemical compound [CH]1C2=NC(NC(=O)OC)=NC2=CC=C1C(=O)C1=CC=CC=C1 BAXLBXFAUKGCDY-UHFFFAOYSA-N 0.000 description 1
- 230000010534 mechanism of action Effects 0.000 description 1
- 230000008099 melanin synthesis Effects 0.000 description 1
- AFCCDDWKHLHPDF-UHFFFAOYSA-M metam-sodium Chemical compound [Na+].CNC([S-])=S AFCCDDWKHLHPDF-UHFFFAOYSA-M 0.000 description 1
- JCHMGYRXQDASJE-UHFFFAOYSA-N metcamifen Chemical compound C1=CC(NC(=O)NC)=CC=C1S(=O)(=O)NC(=O)C1=CC=CC=C1OC JCHMGYRXQDASJE-UHFFFAOYSA-N 0.000 description 1
- NNKVPIKMPCQWCG-UHFFFAOYSA-N methamidophos Chemical compound COP(N)(=O)SC NNKVPIKMPCQWCG-UHFFFAOYSA-N 0.000 description 1
- MEBQXILRKZHVCX-UHFFFAOYSA-N methidathion Chemical compound COC1=NN(CSP(=S)(OC)OC)C(=O)S1 MEBQXILRKZHVCX-UHFFFAOYSA-N 0.000 description 1
- YFBPRJGDJKVWAH-UHFFFAOYSA-N methiocarb Chemical compound CNC(=O)OC1=CC(C)=C(SC)C(C)=C1 YFBPRJGDJKVWAH-UHFFFAOYSA-N 0.000 description 1
- FFEARJCKVFRZRR-UHFFFAOYSA-M methioninate Chemical compound CSCCC(N)C([O-])=O FFEARJCKVFRZRR-UHFFFAOYSA-M 0.000 description 1
- UHXUZOCRWCRNSJ-QPJJXVBHSA-N methomyl Chemical compound CNC(=O)O\N=C(/C)SC UHXUZOCRWCRNSJ-QPJJXVBHSA-N 0.000 description 1
- 229930002897 methoprene Natural products 0.000 description 1
- 229950003442 methoprene Drugs 0.000 description 1
- 125000001160 methoxycarbonyl group Chemical group [H]C([H])([H])OC(*)=O 0.000 description 1
- BFBPISPWJZMWJN-UHFFFAOYSA-N methyl 2-[(7-hydroxy-3,7-dimethyloctylidene)amino]benzoate Chemical compound COC(=O)C1=CC=CC=C1N=CCC(C)CCCC(C)(C)O BFBPISPWJZMWJN-UHFFFAOYSA-N 0.000 description 1
- 229940102396 methyl bromide Drugs 0.000 description 1
- 229920000609 methyl cellulose Polymers 0.000 description 1
- YLGXILFCIXHCMC-JHGZEJCSSA-N methyl cellulose Chemical compound COC1C(OC)C(OC)C(COC)O[C@H]1O[C@H]1C(OC)C(OC)C(OC)OC1COC YLGXILFCIXHCMC-JHGZEJCSSA-N 0.000 description 1
- HAMGRBXTJNITHG-UHFFFAOYSA-N methyl isocyanate Chemical compound CN=C=O HAMGRBXTJNITHG-UHFFFAOYSA-N 0.000 description 1
- 125000000250 methylamino group Chemical group [H]N(*)C([H])([H])[H] 0.000 description 1
- 239000001923 methylcellulose Substances 0.000 description 1
- 125000000325 methylidene group Chemical group [H]C([H])=* 0.000 description 1
- 239000011785 micronutrient Substances 0.000 description 1
- 235000013369 micronutrients Nutrition 0.000 description 1
- CKVMAPHTVCTEMM-ALPQRHTBSA-N milbemycin oxime Chemical compound O1[C@H](C)[C@@H](C)CC[C@@]11O[C@H](C\C=C(C)\C[C@@H](C)\C=C\C=C/2[C@]3([C@H](C(=O)O4)C=C(C)C(=N/O)/[C@H]3OC\2)O)C[C@H]4C1.C1C[C@H](C)[C@@H](CC)O[C@@]21O[C@H](C\C=C(C)\C[C@@H](C)\C=C\C=C/1[C@]3([C@H](C(=O)O4)C=C(C)C(=N/O)/[C@H]3OC\1)O)C[C@H]4C2 CKVMAPHTVCTEMM-ALPQRHTBSA-N 0.000 description 1
- 229940099245 milbemycin oxime Drugs 0.000 description 1
- KCIRYJNISRMYFI-UHFFFAOYSA-N mildiomycin Natural products NC(CO)C(=O)NC1C=CC(OC1C(O)(CC(O)CNC(=N)N)C(=O)O)N2CN=C(N)C(=C2)CO KCIRYJNISRMYFI-UHFFFAOYSA-N 0.000 description 1
- 235000019713 millet Nutrition 0.000 description 1
- 230000004048 modification Effects 0.000 description 1
- 238000012986 modification Methods 0.000 description 1
- 230000001333 moisturizer Effects 0.000 description 1
- 229910052750 molybdenum Inorganic materials 0.000 description 1
- 239000011733 molybdenum Substances 0.000 description 1
- 229960005358 monensin Drugs 0.000 description 1
- GAOZTHIDHYLHMS-KEOBGNEYSA-N monensin A Chemical compound C([C@@](O1)(C)[C@H]2CC[C@@](O2)(CC)[C@H]2[C@H](C[C@@H](O2)[C@@H]2[C@H](C[C@@H](C)[C@](O)(CO)O2)C)C)C[C@@]21C[C@H](O)[C@@H](C)[C@@H]([C@@H](C)[C@@H](OC)[C@H](C)C(O)=O)O2 GAOZTHIDHYLHMS-KEOBGNEYSA-N 0.000 description 1
- WTERNLDOAPYGJD-SFHVURJKSA-N monepantel Chemical compound C([C@@](C)(NC(=O)C=1C=CC(SC(F)(F)F)=CC=1)C#N)OC1=CC(C#N)=CC=C1C(F)(F)F WTERNLDOAPYGJD-SFHVURJKSA-N 0.000 description 1
- 229950003439 monepantel Drugs 0.000 description 1
- KRTSDMXIXPKRQR-AATRIKPKSA-N monocrotophos Chemical compound CNC(=O)\C=C(/C)OP(=O)(OC)OC KRTSDMXIXPKRQR-AATRIKPKSA-N 0.000 description 1
- CQDGTJPVBWZJAZ-UHFFFAOYSA-N monoethyl carbonate Chemical compound CCOC(O)=O CQDGTJPVBWZJAZ-UHFFFAOYSA-N 0.000 description 1
- 229910052901 montmorillonite Inorganic materials 0.000 description 1
- 229960005121 morantel Drugs 0.000 description 1
- 235000011929 mousse Nutrition 0.000 description 1
- YZBLFMPOMVTDJY-CBYMMZEQSA-N moxidectin Chemical compound O1[C@H](C(\C)=C\C(C)C)[C@@H](C)C(=N/OC)\C[C@@]11O[C@H](C\C=C(C)\C[C@@H](C)\C=C\C=C/2[C@]3([C@H](C(=O)O4)C=C(C)[C@@H](O)[C@H]3OC\2)O)C[C@H]4C1 YZBLFMPOMVTDJY-CBYMMZEQSA-N 0.000 description 1
- 229960004816 moxidectin Drugs 0.000 description 1
- 235000010460 mustard Nutrition 0.000 description 1
- 238000002703 mutagenesis Methods 0.000 description 1
- 231100000350 mutagenesis Toxicity 0.000 description 1
- DHQKLWKZSFCKTA-UHFFFAOYSA-N n-[1-[(6-chloropyridin-3-yl)methyl]pyridin-2-ylidene]-2,2,2-trifluoroacetamide Chemical compound FC(F)(F)C(=O)N=C1C=CC=CN1CC1=CC=C(Cl)N=C1 DHQKLWKZSFCKTA-UHFFFAOYSA-N 0.000 description 1
- UWKQSUQMFIRFMM-UHFFFAOYSA-N n-[2-(tert-butylcarbamoyl)-4-chloro-6-methylphenyl]-2-(3-chloropyridin-2-yl)-5-(fluoromethoxy)pyrazole-3-carboxamide Chemical compound CC1=CC(Cl)=CC(C(=O)NC(C)(C)C)=C1NC(=O)C1=CC(OCF)=NN1C1=NC=CC=C1Cl UWKQSUQMFIRFMM-UHFFFAOYSA-N 0.000 description 1
- DPLHJUQFGXECAS-UHFFFAOYSA-N n-[3-(benzylcarbamoyl)-4-chlorophenyl]-2-methyl-5-(1,1,2,2,2-pentafluoroethyl)-4-(trifluoromethyl)pyrazole-3-carboxamide Chemical compound CN1N=C(C(F)(F)C(F)(F)F)C(C(F)(F)F)=C1C(=O)NC1=CC=C(Cl)C(C(=O)NCC=2C=CC=CC=2)=C1 DPLHJUQFGXECAS-UHFFFAOYSA-N 0.000 description 1
- IJDNQMDRQITEOD-UHFFFAOYSA-N n-butane Chemical compound CCCC IJDNQMDRQITEOD-UHFFFAOYSA-N 0.000 description 1
- QXZWXYMHKYWUJC-UHFFFAOYSA-N n-cyclopropyl-3-(difluoromethyl)-n-[(2-ethyl-5-fluorophenyl)methyl]-5-fluoro-1-methylpyrazole-4-carboxamide Chemical compound CCC1=CC=C(F)C=C1CN(C(=O)C=1C(=NN(C)C=1F)C(F)F)C1CC1 QXZWXYMHKYWUJC-UHFFFAOYSA-N 0.000 description 1
- PEQJBOMPGWYIRO-UHFFFAOYSA-N n-ethyl-3,4-dimethoxyaniline Chemical compound CCNC1=CC=C(OC)C(OC)=C1 PEQJBOMPGWYIRO-UHFFFAOYSA-N 0.000 description 1
- KYHLCISBAUJJDH-UHFFFAOYSA-N n-methyl-1h-pyrazole-4-carboxamide Chemical compound CNC(=O)C=1C=NNC=1 KYHLCISBAUJJDH-UHFFFAOYSA-N 0.000 description 1
- OFBQJSOFQDEBGM-UHFFFAOYSA-N n-pentane Natural products CCCCC OFBQJSOFQDEBGM-UHFFFAOYSA-N 0.000 description 1
- PSZYNBSKGUBXEH-UHFFFAOYSA-N naphthalene-1-sulfonic acid Chemical class C1=CC=C2C(S(=O)(=O)O)=CC=CC2=C1 PSZYNBSKGUBXEH-UHFFFAOYSA-N 0.000 description 1
- 229940042880 natural phospholipid Drugs 0.000 description 1
- 229920005615 natural polymer Polymers 0.000 description 1
- 229930014626 natural product Natural products 0.000 description 1
- 125000001971 neopentyl group Chemical group [H]C([*])([H])C(C([H])([H])[H])(C([H])([H])[H])C([H])([H])[H] 0.000 description 1
- 229960002715 nicotine Drugs 0.000 description 1
- SNICXCGAKADSCV-UHFFFAOYSA-N nicotine Natural products CN1CCCC1C1=CC=CN=C1 SNICXCGAKADSCV-UHFFFAOYSA-N 0.000 description 1
- IAIWVQXQOWNYOU-FPYGCLRLSA-N nitrofural Chemical class NC(=O)N\N=C\C1=CC=C([N+]([O-])=O)O1 IAIWVQXQOWNYOU-FPYGCLRLSA-N 0.000 description 1
- 229910017464 nitrogen compound Inorganic materials 0.000 description 1
- 150000002830 nitrogen compounds Chemical class 0.000 description 1
- JCXJVPUVTGWSNB-UHFFFAOYSA-N nitrogen dioxide Inorganic materials O=[N]=O JCXJVPUVTGWSNB-UHFFFAOYSA-N 0.000 description 1
- 239000003865 nucleic acid synthesis inhibitor Substances 0.000 description 1
- 125000003261 o-tolyl group Chemical group [H]C1=C([H])C(*)=C(C([H])=C1[H])C([H])([H])[H] 0.000 description 1
- 239000003921 oil Substances 0.000 description 1
- 235000019198 oils Nutrition 0.000 description 1
- 238000005457 optimization Methods 0.000 description 1
- 150000007524 organic acids Chemical class 0.000 description 1
- 235000005985 organic acids Nutrition 0.000 description 1
- 150000004045 organic chlorine compounds Chemical class 0.000 description 1
- 239000011368 organic material Substances 0.000 description 1
- 235000010292 orthophenyl phenol Nutrition 0.000 description 1
- 235000006408 oxalic acid Nutrition 0.000 description 1
- VRYKTHBAWRESFI-VOTSOKGWSA-N oxantel Chemical compound CN1CCCN=C1\C=C\C1=CC=CC(O)=C1 VRYKTHBAWRESFI-VOTSOKGWSA-N 0.000 description 1
- 229960000535 oxantel Drugs 0.000 description 1
- 229960002762 oxibendazole Drugs 0.000 description 1
- 229910052760 oxygen Inorganic materials 0.000 description 1
- 229910052625 palygorskite Inorganic materials 0.000 description 1
- 239000012188 paraffin wax Substances 0.000 description 1
- 230000036281 parasite infection Effects 0.000 description 1
- LCCNCVORNKJIRZ-UHFFFAOYSA-N parathion Chemical compound CCOP(=S)(OCC)OC1=CC=C([N+]([O-])=O)C=C1 LCCNCVORNKJIRZ-UHFFFAOYSA-N 0.000 description 1
- 229950007337 parbendazole Drugs 0.000 description 1
- UOZODPSAJZTQNH-LSWIJEOBSA-N paromomycin Chemical compound N[C@@H]1[C@@H](O)[C@H](O)[C@H](CN)O[C@@H]1O[C@H]1[C@@H](O)[C@H](O[C@H]2[C@@H]([C@@H](N)C[C@@H](N)[C@@H]2O)O[C@@H]2[C@@H]([C@@H](O)[C@H](O)[C@@H](CO)O2)N)O[C@@H]1CO UOZODPSAJZTQNH-LSWIJEOBSA-N 0.000 description 1
- 229960001914 paromomycin Drugs 0.000 description 1
- 230000032696 parturition Effects 0.000 description 1
- 235000020232 peanut Nutrition 0.000 description 1
- 229960001639 penicillamine Drugs 0.000 description 1
- QMMOXUPEWRXHJS-UHFFFAOYSA-N pent-2-ene Chemical class CCC=CC QMMOXUPEWRXHJS-UHFFFAOYSA-N 0.000 description 1
- 125000002255 pentenyl group Chemical group C(=CCCC)* 0.000 description 1
- 230000003239 periodontal effect Effects 0.000 description 1
- 239000008194 pharmaceutical composition Substances 0.000 description 1
- 239000003016 pheromone Substances 0.000 description 1
- HOKBIQDJCNTWST-UHFFFAOYSA-N phosphanylidenezinc;zinc Chemical compound [Zn].[Zn]=P.[Zn]=P HOKBIQDJCNTWST-UHFFFAOYSA-N 0.000 description 1
- 239000010452 phosphate Substances 0.000 description 1
- NBIIXXVUZAFLBC-UHFFFAOYSA-K phosphate Chemical compound [O-]P([O-])([O-])=O NBIIXXVUZAFLBC-UHFFFAOYSA-K 0.000 description 1
- 150000003904 phospholipids Chemical class 0.000 description 1
- 239000001007 phthalocyanine dye Substances 0.000 description 1
- 238000000053 physical method Methods 0.000 description 1
- 239000000280 phytoalexin Substances 0.000 description 1
- 150000001857 phytoalexin derivatives Chemical class 0.000 description 1
- 230000003032 phytopathogenic effect Effects 0.000 description 1
- 230000000885 phytotoxic effect Effects 0.000 description 1
- IBSNKSODLGJUMQ-SDNWHVSQSA-N picoxystrobin Chemical compound CO\C=C(\C(=O)OC)C1=CC=CC=C1COC1=CC=CC(C(F)(F)F)=N1 IBSNKSODLGJUMQ-SDNWHVSQSA-N 0.000 description 1
- PJGSXYOJTGTZAV-UHFFFAOYSA-N pinacolone Chemical compound CC(=O)C(C)(C)C PJGSXYOJTGTZAV-UHFFFAOYSA-N 0.000 description 1
- IWELDVXSEVIIGI-UHFFFAOYSA-N piperazin-2-one Chemical class O=C1CNCCN1 IWELDVXSEVIIGI-UHFFFAOYSA-N 0.000 description 1
- 150000004885 piperazines Chemical class 0.000 description 1
- 239000005962 plant activator Substances 0.000 description 1
- 239000005648 plant growth regulator Substances 0.000 description 1
- 235000021118 plant-derived protein Nutrition 0.000 description 1
- 201000000317 pneumocystosis Diseases 0.000 description 1
- 239000004584 polyacrylic acid Substances 0.000 description 1
- 229920000570 polyether Polymers 0.000 description 1
- 229920001184 polypeptide Polymers 0.000 description 1
- 229920000137 polyphosphoric acid Polymers 0.000 description 1
- 229920001021 polysulfide Polymers 0.000 description 1
- 239000005077 polysulfide Substances 0.000 description 1
- 150000008117 polysulfides Polymers 0.000 description 1
- 239000001267 polyvinylpyrrolidone Substances 0.000 description 1
- 229920000036 polyvinylpyrrolidone Polymers 0.000 description 1
- 235000013855 polyvinylpyrrolidone Nutrition 0.000 description 1
- 229910052573 porcelain Inorganic materials 0.000 description 1
- 239000011591 potassium Substances 0.000 description 1
- 229910052700 potassium Inorganic materials 0.000 description 1
- 229960003975 potassium Drugs 0.000 description 1
- 239000011736 potassium bicarbonate Substances 0.000 description 1
- 229910000028 potassium bicarbonate Inorganic materials 0.000 description 1
- 235000015497 potassium bicarbonate Nutrition 0.000 description 1
- NNFCIKHAZHQZJG-UHFFFAOYSA-N potassium cyanide Chemical compound [K+].N#[C-] NNFCIKHAZHQZJG-UHFFFAOYSA-N 0.000 description 1
- TYJJADVDDVDEDZ-UHFFFAOYSA-M potassium hydrogencarbonate Chemical compound [K+].OC([O-])=O TYJJADVDDVDEDZ-UHFFFAOYSA-M 0.000 description 1
- 229940086066 potassium hydrogencarbonate Drugs 0.000 description 1
- 229940096992 potassium oleate Drugs 0.000 description 1
- LPNYRYFBWFDTMA-UHFFFAOYSA-N potassium tert-butoxide Chemical compound [K+].CC(C)(C)[O-] LPNYRYFBWFDTMA-UHFFFAOYSA-N 0.000 description 1
- MLICVSDCCDDWMD-KVVVOXFISA-M potassium;(z)-octadec-9-enoate Chemical compound [K+].CCCCCCCC\C=C/CCCCCCCC([O-])=O MLICVSDCCDDWMD-KVVVOXFISA-M 0.000 description 1
- 244000144977 poultry Species 0.000 description 1
- 235000013594 poultry meat Nutrition 0.000 description 1
- LZLXHGFNOWILIY-APPDUMDISA-N pradofloxacin Chemical compound C12=C(C#N)C(N3C[C@H]4NCCC[C@H]4C3)=C(F)C=C2C(=O)C(C(=O)O)=CN1C1CC1 LZLXHGFNOWILIY-APPDUMDISA-N 0.000 description 1
- 229960001248 pradofloxacin Drugs 0.000 description 1
- 239000002243 precursor Substances 0.000 description 1
- 230000002335 preservative effect Effects 0.000 description 1
- 108090000765 processed proteins & peptides Proteins 0.000 description 1
- 102000004196 processed proteins & peptides Human genes 0.000 description 1
- 238000012545 processing Methods 0.000 description 1
- 238000003672 processing method Methods 0.000 description 1
- QXJKBPAVAHBARF-BETUJISGSA-N procymidone Chemical compound O=C([C@]1(C)C[C@@]1(C1=O)C)N1C1=CC(Cl)=CC(Cl)=C1 QXJKBPAVAHBARF-BETUJISGSA-N 0.000 description 1
- 230000035755 proliferation Effects 0.000 description 1
- WZZLDXDUQPOXNW-UHFFFAOYSA-N propamocarb Chemical compound CCCOC(=O)NCCCN(C)C WZZLDXDUQPOXNW-UHFFFAOYSA-N 0.000 description 1
- QZWHWHNCPFEXLL-UHFFFAOYSA-N propan-2-yl n-[2-(1,3-thiazol-4-yl)-3h-benzimidazol-5-yl]carbamate Chemical compound N1C2=CC(NC(=O)OC(C)C)=CC=C2N=C1C1=CSC=N1 QZWHWHNCPFEXLL-UHFFFAOYSA-N 0.000 description 1
- 239000001294 propane Substances 0.000 description 1
- PWYIUEFFPNVCMW-UHFFFAOYSA-N propaphos Chemical compound CCCOP(=O)(OCCC)OC1=CC=C(SC)C=C1 PWYIUEFFPNVCMW-UHFFFAOYSA-N 0.000 description 1
- 239000003380 propellant Substances 0.000 description 1
- 238000011321 prophylaxis Methods 0.000 description 1
- STJLVHWMYQXCPB-UHFFFAOYSA-N propiconazole Chemical compound O1C(CCC)COC1(C=1C(=CC(Cl)=CC=1)Cl)CN1N=CN=C1 STJLVHWMYQXCPB-UHFFFAOYSA-N 0.000 description 1
- 125000001436 propyl group Chemical group [H]C([*])([H])C([H])([H])C([H])([H])[H] 0.000 description 1
- MWWATHDPGQKSAR-UHFFFAOYSA-N propyne Chemical compound CC#C MWWATHDPGQKSAR-UHFFFAOYSA-N 0.000 description 1
- 230000001681 protective effect Effects 0.000 description 1
- 239000003531 protein hydrolysate Substances 0.000 description 1
- 238000000425 proton nuclear magnetic resonance spectrum Methods 0.000 description 1
- 210000001938 protoplast Anatomy 0.000 description 1
- 229960003351 prussian blue Drugs 0.000 description 1
- 239000013225 prussian blue Substances 0.000 description 1
- 239000008262 pumice Substances 0.000 description 1
- HZRSNVGNWUDEFX-UHFFFAOYSA-N pyraclostrobin Chemical compound COC(=O)N(OC)C1=CC=CC=C1COC1=NN(C=2C=CC(Cl)=CC=2)C=C1 HZRSNVGNWUDEFX-UHFFFAOYSA-N 0.000 description 1
- DWTVBEZBWMDXIY-UHFFFAOYSA-N pyrametostrobin Chemical compound COC(=O)N(OC)C1=CC=CC=C1COC1=C(C)C(C=2C=CC=CC=2)=NN1C DWTVBEZBWMDXIY-UHFFFAOYSA-N 0.000 description 1
- YSAUAVHXTIETRK-AATRIKPKSA-N pyrantel Chemical compound CN1CCCN=C1\C=C\C1=CC=CS1 YSAUAVHXTIETRK-AATRIKPKSA-N 0.000 description 1
- 229960005134 pyrantel Drugs 0.000 description 1
- HYJYGLGUBUDSLJ-UHFFFAOYSA-N pyrethrin Natural products CCC(=O)OC1CC(=C)C2CC3OC3(C)C2C2OC(=O)C(=C)C12 HYJYGLGUBUDSLJ-UHFFFAOYSA-N 0.000 description 1
- 229940070846 pyrethrins Drugs 0.000 description 1
- 239000002728 pyrethroid Substances 0.000 description 1
- 229940015367 pyrethrum Drugs 0.000 description 1
- DWFZBUWUXWZWKD-UHFFFAOYSA-N pyridaben Chemical compound C1=CC(C(C)(C)C)=CC=C1CSC1=C(Cl)C(=O)N(C(C)(C)C)N=C1 DWFZBUWUXWZWKD-UHFFFAOYSA-N 0.000 description 1
- WKSAUQYGYAYLPV-UHFFFAOYSA-N pyrimethamine Chemical compound CCC1=NC(N)=NC(N)=C1C1=CC=C(Cl)C=C1 WKSAUQYGYAYLPV-UHFFFAOYSA-N 0.000 description 1
- 229960000611 pyrimethamine Drugs 0.000 description 1
- BAUQXSYUDSNRHL-UHFFFAOYSA-N pyrimorph Chemical compound C1=CC(C(C)(C)C)=CC=C1C(C=1C=NC(Cl)=CC=1)=CC(=O)N1CCOCC1 BAUQXSYUDSNRHL-UHFFFAOYSA-N 0.000 description 1
- 239000010453 quartz Substances 0.000 description 1
- 239000001397 quillaja saponaria molina bark Substances 0.000 description 1
- DRYRBWIFRVMRPV-UHFFFAOYSA-N quinazolin-4-amine Chemical compound C1=CC=C2C(N)=NC=NC2=C1 DRYRBWIFRVMRPV-UHFFFAOYSA-N 0.000 description 1
- LISFMEBWQUVKPJ-UHFFFAOYSA-N quinolin-2-ol Chemical compound C1=CC=C2NC(=O)C=CC2=C1 LISFMEBWQUVKPJ-UHFFFAOYSA-N 0.000 description 1
- 125000004548 quinolin-3-yl group Chemical group N1=CC(=CC2=CC=CC=C12)* 0.000 description 1
- 150000007660 quinolones Chemical class 0.000 description 1
- 230000000384 rearing effect Effects 0.000 description 1
- 230000033458 reproduction Effects 0.000 description 1
- 230000001850 reproductive effect Effects 0.000 description 1
- 238000011160 research Methods 0.000 description 1
- 239000011347 resin Substances 0.000 description 1
- 229920005989 resin Polymers 0.000 description 1
- 230000035806 respiratory chain Effects 0.000 description 1
- PYWVYCXTNDRMGF-UHFFFAOYSA-N rhodamine B Chemical compound [Cl-].C=12C=CC(=[N+](CC)CC)C=C2OC2=CC(N(CC)CC)=CC=C2C=1C1=CC=CC=C1C(O)=O PYWVYCXTNDRMGF-UHFFFAOYSA-N 0.000 description 1
- 229940043267 rhodamine b Drugs 0.000 description 1
- 208000007442 rickets Diseases 0.000 description 1
- 238000007363 ring formation reaction Methods 0.000 description 1
- 230000021749 root development Effects 0.000 description 1
- 229940080817 rotenone Drugs 0.000 description 1
- JUVIOZPCNVVQFO-UHFFFAOYSA-N rotenone Natural products O1C2=C3CC(C(C)=C)OC3=CC=C2C(=O)C2C1COC1=C2C=C(OC)C(OC)=C1 JUVIOZPCNVVQFO-UHFFFAOYSA-N 0.000 description 1
- JJSYXNQGLHBRRK-SFEDZAPPSA-N ryanodine Chemical compound O([C@@H]1[C@]([C@@]2([C@]3(O)[C@]45O[C@@]2(O)C[C@]([C@]4(CC[C@H](C)[C@H]5O)O)(C)[C@@]31O)C)(O)C(C)C)C(=O)C1=CC=CN1 JJSYXNQGLHBRRK-SFEDZAPPSA-N 0.000 description 1
- YGSDEFSMJLZEOE-UHFFFAOYSA-M salicylate Chemical compound OC1=CC=CC=C1C([O-])=O YGSDEFSMJLZEOE-UHFFFAOYSA-M 0.000 description 1
- 229960001548 salinomycin Drugs 0.000 description 1
- 235000019378 salinomycin Nutrition 0.000 description 1
- 239000004576 sand Substances 0.000 description 1
- 229930182490 saponin Natural products 0.000 description 1
- 150000007949 saponins Chemical class 0.000 description 1
- 125000002914 sec-butyl group Chemical group [H]C([H])([H])C([H])([H])C([H])(*)C([H])([H])[H] 0.000 description 1
- 230000028327 secretion Effects 0.000 description 1
- 230000007226 seed germination Effects 0.000 description 1
- 230000011664 signaling Effects 0.000 description 1
- 150000004760 silicates Chemical class 0.000 description 1
- 239000000377 silicon dioxide Substances 0.000 description 1
- 238000004088 simulation Methods 0.000 description 1
- 210000003491 skin Anatomy 0.000 description 1
- 206010040872 skin infection Diseases 0.000 description 1
- 201000002612 sleeping sickness Diseases 0.000 description 1
- 239000000344 soap Substances 0.000 description 1
- 239000001632 sodium acetate Substances 0.000 description 1
- 235000017281 sodium acetate Nutrition 0.000 description 1
- 229910000030 sodium bicarbonate Inorganic materials 0.000 description 1
- 235000017557 sodium bicarbonate Nutrition 0.000 description 1
- 239000011780 sodium chloride Substances 0.000 description 1
- 229940079827 sodium hydrogen sulfite Drugs 0.000 description 1
- 235000010267 sodium hydrogen sulphite Nutrition 0.000 description 1
- 239000001488 sodium phosphate Substances 0.000 description 1
- 229910000162 sodium phosphate Inorganic materials 0.000 description 1
- 235000011008 sodium phosphates Nutrition 0.000 description 1
- 239000004328 sodium tetraborate Substances 0.000 description 1
- 235000010339 sodium tetraborate Nutrition 0.000 description 1
- HPALAKNZSZLMCH-UHFFFAOYSA-M sodium;chloride;hydrate Chemical compound O.[Na+].[Cl-] HPALAKNZSZLMCH-UHFFFAOYSA-M 0.000 description 1
- 239000012453 solvate Substances 0.000 description 1
- 229940014213 spinosad Drugs 0.000 description 1
- 229930185156 spinosyn Natural products 0.000 description 1
- DTDSAWVUFPGDMX-UHFFFAOYSA-N spirodiclofen Chemical compound CCC(C)(C)C(=O)OC1=C(C=2C(=CC(Cl)=CC=2)Cl)C(=O)OC11CCCCC1 DTDSAWVUFPGDMX-UHFFFAOYSA-N 0.000 description 1
- 230000002269 spontaneous effect Effects 0.000 description 1
- 230000000087 stabilizing effect Effects 0.000 description 1
- 239000007858 starting material Substances 0.000 description 1
- 230000001954 sterilising effect Effects 0.000 description 1
- 230000000638 stimulation Effects 0.000 description 1
- 239000004575 stone Substances 0.000 description 1
- AHBGXTDRMVNFER-FCHARDOESA-L strontium-89(2+);dichloride Chemical compound [Cl-].[Cl-].[89Sr+2] AHBGXTDRMVNFER-FCHARDOESA-L 0.000 description 1
- 229960004793 sucrose Drugs 0.000 description 1
- 235000000346 sugar Nutrition 0.000 description 1
- 229950008545 sulfaclozine Drugs 0.000 description 1
- 229960003097 sulfaquinoxaline Drugs 0.000 description 1
- QAZLUNIWYYOJPC-UHFFFAOYSA-M sulfenamide Chemical compound [Cl-].COC1=C(C)C=[N+]2C3=NC4=CC=C(OC)C=C4N3SCC2=C1C QAZLUNIWYYOJPC-UHFFFAOYSA-M 0.000 description 1
- 125000000020 sulfo group Chemical group O=S(=O)([*])O[H] 0.000 description 1
- 229940124530 sulfonamide Drugs 0.000 description 1
- 150000003456 sulfonamides Chemical class 0.000 description 1
- 125000001273 sulfonato group Chemical group [O-]S(*)(=O)=O 0.000 description 1
- 150000003457 sulfones Chemical class 0.000 description 1
- 150000003460 sulfonic acids Chemical class 0.000 description 1
- YROXIXLRRCOBKF-UHFFFAOYSA-N sulfonylurea Chemical class OC(=N)N=S(=O)=O YROXIXLRRCOBKF-UHFFFAOYSA-N 0.000 description 1
- 150000003462 sulfoxides Chemical class 0.000 description 1
- 239000011593 sulfur Substances 0.000 description 1
- 150000003467 sulfuric acid derivatives Chemical class 0.000 description 1
- OBTWBSRJZRCYQV-UHFFFAOYSA-N sulfuryl difluoride Chemical compound FS(F)(=O)=O OBTWBSRJZRCYQV-UHFFFAOYSA-N 0.000 description 1
- 239000002600 sunflower oil Substances 0.000 description 1
- 235000020238 sunflower seed Nutrition 0.000 description 1
- 239000004546 suspension concentrate Substances 0.000 description 1
- 230000009182 swimming Effects 0.000 description 1
- 229920001059 synthetic polymer Polymers 0.000 description 1
- 239000000454 talc Substances 0.000 description 1
- 229910052623 talc Inorganic materials 0.000 description 1
- 239000003760 tallow Substances 0.000 description 1
- XOAAWQZATWQOTB-UHFFFAOYSA-N taurine Chemical class NCCS(O)(=O)=O XOAAWQZATWQOTB-UHFFFAOYSA-N 0.000 description 1
- QYPNKSZPJQQLRK-UHFFFAOYSA-N tebufenozide Chemical compound C1=CC(CC)=CC=C1C(=O)NN(C(C)(C)C)C(=O)C1=CC(C)=CC(C)=C1 QYPNKSZPJQQLRK-UHFFFAOYSA-N 0.000 description 1
- 150000003512 tertiary amines Chemical class 0.000 description 1
- 229960002180 tetracycline Drugs 0.000 description 1
- 229930101283 tetracycline Natural products 0.000 description 1
- 229940040944 tetracyclines Drugs 0.000 description 1
- 150000005326 tetrahydropyrimidines Chemical class 0.000 description 1
- 239000004753 textile Substances 0.000 description 1
- KYMBYSLLVAOCFI-UHFFFAOYSA-N thiamine Chemical compound CC1=C(CCO)SCN1CC1=CN=C(C)N=C1N KYMBYSLLVAOCFI-UHFFFAOYSA-N 0.000 description 1
- 239000011721 thiamine Substances 0.000 description 1
- 235000019157 thiamine Nutrition 0.000 description 1
- 229960003495 thiamine Drugs 0.000 description 1
- 150000003544 thiamines Chemical class 0.000 description 1
- DNVLJEWNNDHELH-UHFFFAOYSA-N thiocyclam Chemical compound CN(C)C1CSSSC1 DNVLJEWNNDHELH-UHFFFAOYSA-N 0.000 description 1
- QGHREAKMXXNCOA-UHFFFAOYSA-N thiophanate-methyl Chemical compound COC(=O)NC(=S)NC1=CC=CC=C1NC(=S)NC(=O)OC QGHREAKMXXNCOA-UHFFFAOYSA-N 0.000 description 1
- RMVRSNDYEFQCLF-UHFFFAOYSA-N thiophenol Chemical compound SC1=CC=CC=C1 RMVRSNDYEFQCLF-UHFFFAOYSA-N 0.000 description 1
- 239000013008 thixotropic agent Substances 0.000 description 1
- OGIDPMRJRNCKJF-UHFFFAOYSA-N titanium oxide Inorganic materials [Ti]=O OGIDPMRJRNCKJF-UHFFFAOYSA-N 0.000 description 1
- OBZIQQJJIKNWNO-UHFFFAOYSA-N tolclofos-methyl Chemical compound COP(=S)(OC)OC1=C(Cl)C=C(C)C=C1Cl OBZIQQJJIKNWNO-UHFFFAOYSA-N 0.000 description 1
- WPALTCMYPARVNV-UHFFFAOYSA-N tolfenpyrad Chemical compound CCC1=NN(C)C(C(=O)NCC=2C=CC(OC=3C=CC(C)=CC=3)=CC=2)=C1Cl WPALTCMYPARVNV-UHFFFAOYSA-N 0.000 description 1
- JOXIMZWYDAKGHI-UHFFFAOYSA-N toluene-4-sulfonic acid Chemical compound CC1=CC=C(S(O)(=O)=O)C=C1 JOXIMZWYDAKGHI-UHFFFAOYSA-N 0.000 description 1
- 206010044325 trachoma Diseases 0.000 description 1
- YWSCPYYRJXKUDB-KAKFPZCNSA-N tralomethrin Chemical compound CC1(C)[C@@H](C(Br)C(Br)(Br)Br)[C@H]1C(=O)O[C@H](C#N)C1=CC=CC(OC=2C=CC=CC=2)=C1 YWSCPYYRJXKUDB-KAKFPZCNSA-N 0.000 description 1
- 238000012546 transfer Methods 0.000 description 1
- DDVNRFNDOPPVQJ-HQJQHLMTSA-N transfluthrin Chemical compound CC1(C)[C@H](C=C(Cl)Cl)[C@H]1C(=O)OCC1=C(F)C(F)=CC(F)=C1F DDVNRFNDOPPVQJ-HQJQHLMTSA-N 0.000 description 1
- 229910052723 transition metal Inorganic materials 0.000 description 1
- BAZVSMNPJJMILC-UHFFFAOYSA-N triadimenol Chemical compound C1=NC=NN1C(C(O)C(C)(C)C)OC1=CC=C(Cl)C=C1 BAZVSMNPJJMILC-UHFFFAOYSA-N 0.000 description 1
- JWXZLCFGVKMEEK-UHFFFAOYSA-N triarathene Chemical compound C1=CC(Cl)=CC=C1C1=CC(C=2C=CC=CC=2)=C(C=2C=CC=CC=2)S1 JWXZLCFGVKMEEK-UHFFFAOYSA-N 0.000 description 1
- NKNFWVNSBIXGLL-UHFFFAOYSA-N triazamate Chemical compound CCOC(=O)CSC1=NC(C(C)(C)C)=NN1C(=O)N(C)C NKNFWVNSBIXGLL-UHFFFAOYSA-N 0.000 description 1
- 150000003918 triazines Chemical class 0.000 description 1
- XOIOGKHKNQYULW-HTNNXBMUSA-N tribendimidine Chemical compound C1=CC(/N=C(\C)N(C)C)=CC=C1\N=C\C(C=C1)=CC=C1\C=N\C1=CC=C(\N=C(/C)N(C)C)C=C1 XOIOGKHKNQYULW-HTNNXBMUSA-N 0.000 description 1
- DQJCHOQLCLEDLL-UHFFFAOYSA-N tricyclazole Chemical compound CC1=CC=CC2=C1N1C=NN=C1S2 DQJCHOQLCLEDLL-UHFFFAOYSA-N 0.000 description 1
- XAIPTRIXGHTTNT-UHFFFAOYSA-N triflumuron Chemical compound C1=CC(OC(F)(F)F)=CC=C1NC(=O)NC(=O)C1=CC=CC=C1Cl XAIPTRIXGHTTNT-UHFFFAOYSA-N 0.000 description 1
- 229960001082 trimethoprim Drugs 0.000 description 1
- IEDVJHCEMCRBQM-UHFFFAOYSA-N trimethoprim Chemical compound COC1=C(OC)C(OC)=CC(CC=2C(=NC(N)=NC=2)N)=C1 IEDVJHCEMCRBQM-UHFFFAOYSA-N 0.000 description 1
- RYFMWSXOAZQYPI-UHFFFAOYSA-K trisodium phosphate Chemical compound [Na+].[Na+].[Na+].[O-]P([O-])([O-])=O RYFMWSXOAZQYPI-UHFFFAOYSA-K 0.000 description 1
- 238000001665 trituration Methods 0.000 description 1
- 201000002311 trypanosomiasis Diseases 0.000 description 1
- OOLLAFOLCSJHRE-ZHAKMVSLSA-N ulipristal acetate Chemical compound C1=CC(N(C)C)=CC=C1[C@@H]1C2=C3CCC(=O)C=C3CC[C@H]2[C@H](CC[C@]2(OC(C)=O)C(C)=O)[C@]2(C)C1 OOLLAFOLCSJHRE-ZHAKMVSLSA-N 0.000 description 1
- 238000009827 uniform distribution Methods 0.000 description 1
- 229960005486 vaccine Drugs 0.000 description 1
- 239000012808 vapor phase Substances 0.000 description 1
- VRNFXUOQGOAQBZ-DYXAMGHASA-N veratrin Chemical compound C1[C@@H](C)CC[C@H]2[C@](O)(C)[C@@]3(O)[C@@H](O)C[C@@]4(O)[C@@H]5CC[C@H]6[C@]7(C)CC[C@H](OC(=O)C(\C)=C/C)[C@@]6(O)O[C@@]75C[C@@]4(O)[C@@H]3CN21.C1=C(OC)C(OC)=CC=C1C(=O)O[C@@H]1[C@@]2(O)O[C@@]34C[C@@]5(O)[C@H](CN6[C@@H](CC[C@H](C)C6)[C@@]6(C)O)[C@]6(O)[C@@H](O)C[C@@]5(O)[C@@H]4CC[C@H]2[C@]3(C)CC1 VRNFXUOQGOAQBZ-DYXAMGHASA-N 0.000 description 1
- 125000000391 vinyl group Chemical group [H]C([*])=C([H])[H] 0.000 description 1
- 229920002554 vinyl polymer Polymers 0.000 description 1
- 239000002699 waste material Substances 0.000 description 1
- 239000001993 wax Substances 0.000 description 1
- 238000005303 weighing Methods 0.000 description 1
- 238000009736 wetting Methods 0.000 description 1
- 210000002268 wool Anatomy 0.000 description 1
- 229920001285 xanthan gum Polymers 0.000 description 1
- 150000003738 xylenes Chemical class 0.000 description 1
- 239000005943 zeta-Cypermethrin Substances 0.000 description 1
- 229940048462 zinc phosphide Drugs 0.000 description 1
Classifications
-
- A—HUMAN NECESSITIES
- A01—AGRICULTURE; FORESTRY; ANIMAL HUSBANDRY; HUNTING; TRAPPING; FISHING
- A01N—PRESERVATION OF BODIES OF HUMANS OR ANIMALS OR PLANTS OR PARTS THEREOF; BIOCIDES, e.g. AS DISINFECTANTS, AS PESTICIDES OR AS HERBICIDES; PEST REPELLANTS OR ATTRACTANTS; PLANT GROWTH REGULATORS
- A01N43/00—Biocides, pest repellants or attractants, or plant growth regulators containing heterocyclic compounds
- A01N43/90—Biocides, pest repellants or attractants, or plant growth regulators containing heterocyclic compounds having two or more relevant hetero rings, condensed among themselves or with a common carbocyclic ring system
-
- A—HUMAN NECESSITIES
- A61—MEDICAL OR VETERINARY SCIENCE; HYGIENE
- A61P—SPECIFIC THERAPEUTIC ACTIVITY OF CHEMICAL COMPOUNDS OR MEDICINAL PREPARATIONS
- A61P33/00—Antiparasitic agents
-
- C—CHEMISTRY; METALLURGY
- C07—ORGANIC CHEMISTRY
- C07D—HETEROCYCLIC COMPOUNDS
- C07D471/00—Heterocyclic compounds containing nitrogen atoms as the only ring hetero atoms in the condensed system, at least one ring being a six-membered ring with one nitrogen atom, not provided for by groups C07D451/00 - C07D463/00
- C07D471/02—Heterocyclic compounds containing nitrogen atoms as the only ring hetero atoms in the condensed system, at least one ring being a six-membered ring with one nitrogen atom, not provided for by groups C07D451/00 - C07D463/00 in which the condensed system contains two hetero rings
- C07D471/04—Ortho-condensed systems
-
- C—CHEMISTRY; METALLURGY
- C07—ORGANIC CHEMISTRY
- C07D—HETEROCYCLIC COMPOUNDS
- C07D487/00—Heterocyclic compounds containing nitrogen atoms as the only ring hetero atoms in the condensed system, not provided for by groups C07D451/00 - C07D477/00
- C07D487/02—Heterocyclic compounds containing nitrogen atoms as the only ring hetero atoms in the condensed system, not provided for by groups C07D451/00 - C07D477/00 in which the condensed system contains two hetero rings
- C07D487/04—Ortho-condensed systems
-
- C—CHEMISTRY; METALLURGY
- C07—ORGANIC CHEMISTRY
- C07D—HETEROCYCLIC COMPOUNDS
- C07D519/00—Heterocyclic compounds containing more than one system of two or more relevant hetero rings condensed among themselves or condensed with a common carbocyclic ring system not provided for in groups C07D453/00 or C07D455/00
Landscapes
- Organic Chemistry (AREA)
- Chemical & Material Sciences (AREA)
- Life Sciences & Earth Sciences (AREA)
- Health & Medical Sciences (AREA)
- General Health & Medical Sciences (AREA)
- Dentistry (AREA)
- Environmental Sciences (AREA)
- Zoology (AREA)
- Wood Science & Technology (AREA)
- Engineering & Computer Science (AREA)
- Plant Pathology (AREA)
- Pest Control & Pesticides (AREA)
- Agronomy & Crop Science (AREA)
- Veterinary Medicine (AREA)
- General Chemical & Material Sciences (AREA)
- Animal Behavior & Ethology (AREA)
- Chemical Kinetics & Catalysis (AREA)
- Pharmacology & Pharmacy (AREA)
- Tropical Medicine & Parasitology (AREA)
- Public Health (AREA)
- Nuclear Medicine, Radiotherapy & Molecular Imaging (AREA)
- Medicinal Chemistry (AREA)
- Plural Heterocyclic Compounds (AREA)
- Agricultural Chemicals And Associated Chemicals (AREA)
- Pharmaceuticals Containing Other Organic And Inorganic Compounds (AREA)
- Nitrogen Condensed Heterocyclic Rings (AREA)
- Nitrogen And Oxygen Or Sulfur-Condensed Heterocyclic Ring Systems (AREA)
Abstract
Description
본 발명은 신규의 화학식 (I) 의 헤테로사이클 유도체, 동물 해충, 특히 절지 동물 및 특별히 곤충 및 거미를 방제하기 위한 살비제 및/또는 살곤충제로서의 이들의 용도, 및 이들의 제조를 위한 방법 및 중간체에 관한 것이다.
살곤충 특성을 갖는 헤테로사이클 유도체는 문헌, 예를 들어 WO 2010/125985, WO 2012/074135, WO 2012/086848, WO 2013/018928, WO 2013/191113, WO 2014/142292, WO 2014/148451, WO 2015/000715, WO 2015/002211, WO 2015/121136, WO 2016/124563, WO 2016/124557, PCT/EP2016/068599, EP 15187145.6, WO 2015/133603, WO 2015/198859, WO 2015/002211, WO 2015/071180, WO 2015/091945, WO 2016/005263, WO 2015/198817, WO 2016/041819, WO 2016/039441, WO 2016/026848, WO 2016/023954, WO 2016/020286, WO 2016/046071 에 이미 기재되어 있다.
그러나, 적용시, 상기 인용된 간행물로부터 이미 공지된 활성 화합물의 일부는 단점을 가지며, 이는, 이들이 좁은 적용 범위만을 갖는다는 것, 또는 이들이 불만족스러운 살곤충 또는 살비 활성을 갖는다는 것이다.
신규의 헤테로사이클 유도체가 이제 발견되었고, 이들은 이미 공지된 화합물에 비해서 이점을 가지며, 이의 예는 보다 양호한 생물학적 또는 환경적 특성, 광범위한 적용 방법, 보다 양호한 살곤충 또는 살비 작용, 및 작물 식물과의 양호한 상용성을 포함한다. 헤테로사이클 유도체는, 특히 방제하기 어려운 곤충에 대한 효능을 향상시키기 위한 추가의 작용제와 함께 사용될 수 있다.
그러므로, 본 발명은 신규의 화학식 (I) 의 화합물을 제공한다:
[식 중 (구성 1),
A1 은 질소, =N+(O-)- 또는 =C(R4)- 를 나타내고,
R1 은 (C1-C6)-알킬, (C1-C6)-할로알킬, (C1-C6)-시아노알킬, (C1-C6)-히드록시알킬, (C1-C6)-알콕시-(C1-C6)-알킬, (C1-C6)-할로알콕시-(C1-C6)-알킬, (C2-C6)-알케닐, (C2-C6)-알케닐옥시-(C1-C6)-알킬, (C2-C6)-할로알케닐옥시-(C1-C6)-알킬, (C2-C6)-할로알케닐, (C2-C6)-시아노알케닐, (C2-C6)-알키닐, (C2-C6)-알키닐옥시-(C1-C6)-알킬, (C2-C6)-할로알키닐옥시-(C1-C6)-알킬, (C2-C6)-할로알키닐, (C2-C6)-시아노알키닐, (C3-C8)-시클로알킬, (C3-C8)-시클로알킬-(C3-C8)-시클로알킬, (C1-C6)-알킬-(C3-C8)-시클로알킬, 할로-(C3-C8)-시클로알킬, 아미노, (C1-C6)-알킬아미노, 디-(C1-C6)-알킬아미노, (C3-C8)-시클로알킬아미노, (C1-C6)-알킬카르보닐아미노, (C1-C6)-알킬티오-(C1-C6)-알킬, (C1-C6)-할로알킬티오-(C1-C6)-알킬, (C1-C6)-알킬술피닐-(C1-C6)-알킬, (C1-C6)-할로알킬술피닐-(C1-C6)-알킬, (C1-C6)-알킬술포닐-(C1-C6)-알킬, (C1-C6)-할로알킬술포닐-(C1-C6)-알킬, (C1-C6)-알콕시-(C1-C6)-알킬티오-(C1-C6)-알킬, (C1-C6)-알콕시-(C1-C6)-알킬술피닐-(C1-C6)-알킬, (C1-C6)-알콕시-(C1-C6)-알킬술포닐-(C1-C6)-알킬, (C1-C6)-알킬카르보닐-(C1-C6)-알킬, (C1-C6)-할로알킬카르보닐-(C1-C6)-알킬, (C1-C6)-알콕시카르보닐-(C1-C6)-알킬, (C1-C6)-할로알콕시카르보닐-(C1-C6)-알킬, (C1-C6)-알킬술포닐아미노, 아미노술포닐-(C1-C6)-알킬, (C1-C6)-알킬아미노술포닐-(C1-C6)-알킬, 디-(C1-C6)-알킬아미노술포닐-(C1-C6)-알킬을 나타내거나, 또는
(C1-C6)-알킬, (C1-C6)-알콕시, (C2-C6)-알케닐, (C2-C6)-알키닐, (C3-C8)-시클로알킬 (이들은 각각 아릴, 헤타릴 및 헤테로시클릴로 이루어진 군으로부터의 동일한 또는 상이한 치환기로 임의로 일- 또는 다치환되고, 상기 아릴, 헤타릴 및 헤테로시클릴은 각각 할로겐, 시아노, 니트로, 히드록시, 아미노, 카르복시, 카르바모일, 아미노술포닐, (C1-C6)-알킬, (C3-C6)-시클로알킬, (C1-C6)-알콕시, (C1-C6)-할로알킬, (C1-C6)-할로알콕시, (C1-C6)-알킬티오, (C1-C6)-알킬술피닐, (C1-C6)-알킬술포닐, (C1-C6)-알킬술피미노, (C1-C6)-알킬술피미노-(C1-C6)-알킬, (C1-C6)-알킬술피미노-(C2-C6)-알킬카르보닐, (C1-C6)-알킬술폭시미노, (C1-C6)-알킬술폭시미노-(C1-C6)-알킬, (C1-C6)-알킬술폭시미노-(C2-C6)-알킬카르보닐, (C1-C6)-알콕시카르보닐, (C1-C6)-알킬카르보닐, (C3-C6)-트리알킬실릴 및 벤질로 이루어진 군으로부터의 동일한 또는 상이한 치환기로 임의로 일- 또는 다치환될 수 있다) 을 나타내고, 또는
R1 은 아릴, 헤타릴 또는 헤테로시클릴 (이들은 각각 할로겐, 시아노, 니트로, 히드록시, 아미노, 카르복시, 카르바모일, (C1-C6)-알킬, (C3-C8)-시클로알킬, (C1-C6)-알콕시, (C1-C6)-할로알킬, (C1-C6)-할로알콕시, (C1-C6)-알킬티오, (C1-C6)-알킬술피닐, (C1-C6)-알킬술포닐, (C1-C6)-알킬술피미노, (C1-C6)-알킬술피미노-(C1-C6)-알킬, (C1-C6)-알킬술피미노-(C2-C6)-알킬카르보닐, (C1-C6)-알킬술폭시미노, (C1-C6)-알킬술폭시미노-(C1-C6)-알킬, (C1-C6)-알킬술폭시미노-(C2-C6)-알킬카르보닐, (C1-C6)-알콕시카르보닐, (C1-C6)-알킬카르보닐, (C3-C6)-트리알킬실릴, (=O) (헤테로시클릴의 경우에만) 및 (=O)2 (헤테로시클릴의 경우에만) 로 이루어진 군으로부터의 동일한 또는 상이한 치환기로 임의로 일- 또는 다치환된다) 을 나타내고,
R2 는 부분적으로 포화된 또는 포화된 헤테로시클릭 또는 헤테로방향족 8-, 9-, 10-, 11- 또는 12-원 융합 비시클릭 고리계 (임의로 하나 이상의 카르보닐기가 존재할 수 있고, 및/또는 상기 고리계는 동일한 또는 상이한 치환기로 임의로 일- 또는 다치환될 수 있으며, 상기 치환기는 시아노, 카르복시, 할로겐, 니트로, 아세틸, 히드록시, 아미노, SCN, 트리-(C1-C6)-알킬실릴, (C1-C6)-알킬, (C1-C6)-할로알킬, (C1-C6)-시아노알킬, (C1-C6)-히드록시알킬, 히드록시카르보닐-(C1-C6)-알콕시, (C1-C6)-알콕시카르보닐-(C1-C6)-알킬, (C1-C6)-알콕시-(C1-C6)-알킬, (C2-C6)-알케닐, (C2-C6)-할로알케닐, (C2-C6)-시아노알케닐, (C2-C6)-알키닐, (C2-C6)-할로알키닐, (C2-C6)-시아노알키닐, (C3-C6)-시클로알킬, (C3-C6)-시클로알킬-(C3-C6)-시클로알킬, (C1-C4)-알킬-(C3-C6)-시클로알킬, (C1-C6)-알콕시, (C1-C6)-할로알콕시, (C1-C6)-시아노알콕시, (C1-C6)-알콕시카르보닐-(C1-C6)-알콕시, (C1-C6)-알콕시-(C1-C6)-알콕시, (C1-C6)-알콕시이미노, -N=C(H)-O(C1-C6)-알킬, -C(H)=N-O(C1-C6)-알킬, (C1-C6)-할로알킬-(C1-C6)-알콕시이미노, (C1-C6)-알킬티오, (C1-C6)-할로알킬티오, (C1-C6)-알콕시-(C1-C6)-알킬티오, (C1-C6)-알킬티오-(C1-C6)-알킬, (C1-C6)-알킬술피닐, (C1-C6)-할로알킬술피닐, (C1-C6)-알콕시-(C1-C6)-알킬술피닐, (C1-C6)-알킬술피닐-(C1-C6)-알킬, (C1-C6)-알킬술포닐, (C1-C6)-할로알킬술포닐, (C1-C6)-알콕시-(C1-C6)-알킬술포닐, (C1-C6)-알킬술포닐-(C1-C6)-알킬, (C1-C6)-알킬술포닐옥시, (C1-C6)-알킬카르보닐, (C1-C6)-할로알킬카르보닐, (C1-C6)-알킬카르보닐옥시, (C1-C6)-알콕시카르보닐, (C1-C6)-할로알콕시카르보닐, 아미노카르보닐, (C1-C6)-알킬아미노카르보닐, 디-(C1-C6)-알킬아미노카르보닐, (C2-C6)-알케닐아미노카르보닐, 디-(C2-C6)-알케닐아미노카르보닐, (C3-C8)-시클로알킬아미노카르보닐, (C1-C6)-알킬술포닐아미노, (C1-C6)-알킬아미노, 디-(C1-C6)-알킬아미노, 아미노술포닐, (C1-C6)-알킬아미노술포닐, 디-(C1-C6)-알킬아미노술포닐, (C1-C6)-알킬술폭시미노, 아미노티오카르보닐, (C1-C6)-알킬아미노티오카르보닐, 디-(C1-C6)-알킬아미노티오카르보닐, (C3-C8)-시클로알킬아미노, (C1-C6)-알킬카르보닐아미노로 이루어진 군에서 서로 독립적으로 선택될 수 있다) 를 나타내고,
R3 은 수소, 시아노, 할로겐, 니트로, 아세틸, 히드록시, 아미노, SCN, 트리-(C1-C6)-알킬실릴, (C3-C8)-시클로알킬, (C3-C8)-시클로알킬-(C3-C8)-시클로알킬, (C1-C6)-알킬-(C3-C8)-시클로알킬, 할로-(C3-C8)-시클로알킬, (C1-C6)-알킬, (C1-C6)-할로알킬, (C1-C6)-시아노알킬, (C1-C6)-히드록시알킬, 히드록시카르보닐-(C1-C6)-알콕시, (C1-C6)-알콕시카르보닐-(C1-C6)-알킬, (C1-C6)-알콕시-(C1-C6)-알킬, (C2-C6)-알케닐, (C2-C6)-할로알케닐, (C2-C6)-시아노알케닐, (C2-C6)-알키닐, (C2-C6)-할로알키닐, (C2-C6)-시아노알키닐, (C1-C6)-알콕시, (C1-C6)-할로알콕시, (C1-C6)-시아노알콕시, (C1-C6)-알콕시카르보닐-(C1-C6)-알콕시, (C1-C6)-알콕시-(C1-C6)-알콕시, (C1-C6)-알킬히드록시이미노, (C1-C6)-알콕시이미노, (C1-C6)-알킬-(C1-C6)-알콕시이미노, (C1-C6)-할로알킬-(C1-C6)-알콕시이미노, (C1-C6)-알킬티오, (C1-C6)-할로알킬티오, (C1-C6)-알콕시-(C1-C6)-알킬티오, (C1-C6)-알킬티오-(C1-C6)-알킬, (C1-C6)-알킬술피닐, (C1-C6)-할로알킬술피닐, (C1-C6)-알콕시-(C1-C6)-알킬술피닐, (C1-C6)-알킬술피닐-(C1-C6)-알킬, (C1-C6)-알킬술포닐, (C1-C6)-할로알킬술포닐, (C1-C6)-알콕시-(C1-C6)-알킬술포닐, (C1-C6)-알킬술포닐-(C1-C6)-알킬, (C1-C6)-알킬술포닐옥시, (C1-C6)-알킬카르보닐, (C1-C6)-알킬티오카르보닐, (C1-C6)-할로알킬카르보닐, (C1-C6)-알킬카르보닐옥시, (C1-C6)-알콕시카르보닐, (C1-C6)-할로알콕시카르보닐, 아미노카르보닐, (C1-C6)-알킬아미노카르보닐, (C1-C6)-알킬아미노티오카르보닐, 디-(C1-C6)-알킬아미노카르보닐, 디-(C1-C6)-알킬아미노티오카르보닐, (C2-C6)-알케닐아미노카르보닐, 디-(C2-C6)-알케닐아미노카르보닐, (C3-C8)-시클로알킬아미노카르보닐, (C1-C6)-알킬술포닐아미노, (C1-C6)-알킬아미노, 디-(C1-C6)-알킬아미노, 아미노술포닐, (C1-C6)-알킬아미노술포닐, 디-(C1-C6)-알킬아미노술포닐, (C1-C6)-알킬술폭시미노, 아미노티오카르보닐, (C1-C6)-알킬아미노티오카르보닐, 디-(C1-C6)-알킬아미노티오카르보닐, (C3-C8)-시클로알킬아미노, NHCO-(C1-C6)-알킬 ((C1-C6)-알킬카르보닐아미노) 을 나타내고,
아릴 또는 헤타릴 (이들은 각각 동일한 또는 상이한 치환기로 임의로 일- 또는 다치환되고, (헤타릴의 경우) 임의로 하나 이상의 카르보닐기가 존재할 수 있으며, 및/또는 각 경우에 있어서 가능한 치환기는 다음과 같다: 시아노, 카르복시, 할로겐, 니트로, 아세틸, 히드록시, 아미노, SCN, 트리-(C1-C6)-알킬실릴, (C3-C8)-시클로알킬, (C3-C8)-시클로알킬-(C3-C8)-시클로알킬, (C1-C6)-알킬-(C3-C8)-시클로알킬, 할로-(C3-C8)-시클로알킬, (C1-C6)-알킬, (C1-C6)-할로알킬, (C1-C6)-시아노알킬, (C1-C6)-히드록시알킬, 히드록시카르보닐-(C1-C6)-알콕시, (C1-C6)-알콕시카르보닐-(C1-C6)-알킬, (C1-C6)-알콕시-(C1-C6)-알킬, (C2-C6)-알케닐, (C2-C6)-할로알케닐, (C2-C6)-시아노알케닐, (C2-C6)-알키닐, (C2-C6)-할로알키닐, (C2-C6)-시아노알키닐, (C1-C6)-알콕시, (C1-C6)-할로알콕시, (C1-C6)-시아노알콕시, (C1-C6)-알콕시카르보닐-(C1-C6)-알콕시, (C1-C6)-알콕시-(C1-C6)-알콕시, (C1-C6)-알킬히드록시이미노, (C1-C6)-알콕시이미노, (C1-C6)-알킬-(C1-C6)-알콕시이미노, (C1-C6)-할로알킬-(C1-C6)-알콕시이미노, (C1-C6)-알킬티오, (C1-C6)-할로알킬티오, (C1-C6)-알콕시-(C1-C6)-알킬티오, (C1-C6)-알킬티오-(C1-C6)-알킬, (C1-C6)-알킬술피닐, (C1-C6)-할로알킬술피닐, (C1-C6)-알콕시-(C1-C6)-알킬술피닐, (C1-C6)-알킬술피닐-(C1-C6)-알킬, (C1-C6)-알킬술포닐, (C1-C6)-할로알킬술포닐, (C1-C6)-알콕시-(C1-C6)-알킬술포닐, (C1-C6)-알킬술포닐-(C1-C6)-알킬, (C1-C6)-알킬술포닐옥시, (C1-C6)-알킬카르보닐, (C1-C6)-할로알킬카르보닐, (C1-C6)-알킬카르보닐옥시, (C1-C6)-알콕시카르보닐, (C1-C6)-할로알콕시카르보닐, 아미노카르보닐, (C1-C6)-알킬아미노카르보닐, 디-(C1-C6)-알킬아미노카르보닐, (C2-C6)-알케닐아미노카르보닐, 디-(C2-C6)-알케닐아미노카르보닐, (C3-C8)-시클로알킬아미노카르보닐, (C1-C6)-알킬술포닐아미노, (C1-C6)-알킬아미노, 디-(C1-C6)-알킬아미노, 아미노술포닐, (C1-C6)-알킬아미노술포닐, 디-(C1-C6)-알킬아미노술포닐, (C1-C6)-알킬술폭시미노, 아미노티오카르보닐, (C1-C6)-알킬아미노티오카르보닐, 디-(C1-C6)-알킬아미노티오카르보닐, (C3-C8)-시클로알킬아미노, (C1-C6)-알킬카르보닐아미노) 을 나타내고,
R4 는 수소, 시아노, 할로겐, 니트로, 아세틸, 히드록시, 아미노, SCN, 트리-(C1-C6)-알킬실릴, (C3-C8)-시클로알킬, (C3-C8)-시클로알킬-(C3-C8)-시클로알킬, (C1-C6)-알킬-(C3-C8)-시클로알킬, 할로-(C3-C8)-시클로알킬, (C1-C6)-알킬, (C1-C6)-할로알킬, (C1-C6)-시아노알킬, (C1-C6)-히드록시알킬, 히드록시카르보닐-(C1-C6)-알콕시, (C1-C6)-알콕시카르보닐-(C1-C6)-알킬, (C1-C6)-알콕시-(C1-C6)-알킬, (C2-C6)-알케닐, (C2-C6)-할로알케닐, (C2-C6)-시아노알케닐, (C2-C6)-알키닐, (C2-C6)-할로알키닐, (C2-C6)-시아노알키닐, (C1-C6)-알콕시, (C1-C6)-할로알콕시, (C1-C6)-시아노알콕시, (C1-C6)-알콕시카르보닐-(C1-C6)-알콕시, (C1-C6)-알콕시-(C1-C6)-알콕시, (C1-C6)-알킬히드록시이미노, (C1-C6)-알콕시이미노, (C1-C6)-알킬-(C1-C6)-알콕시이미노, (C1-C6)-할로알킬-(C1-C6)-알콕시이미노, (C1-C6)-알킬티오, (C1-C6)-할로알킬티오, (C1-C6)-알콕시-(C1-C6)-알킬티오, (C1-C6)-알킬티오-(C1-C6)-알킬, (C1-C6)-알킬술피닐, (C1-C6)-할로알킬술피닐, (C1-C6)-알콕시-(C1-C6)-알킬술피닐, (C1-C6)-알킬술피닐-(C1-C6)-알킬, (C1-C6)-알킬술포닐, (C1-C6)-할로알킬술포닐, (C1-C6)-알콕시-(C1-C6)-알킬술포닐, (C1-C6)-알킬술포닐-(C1-C6)-알킬, (C1-C6)-알킬술포닐옥시, (C1-C6)-알킬카르보닐, (C1-C6)-알킬티오카르보닐, (C1-C6)-할로알킬카르보닐, (C1-C6)-알킬카르보닐옥시, (C1-C6)-알콕시카르보닐, (C1-C6)-할로알콕시카르보닐, 아미노카르보닐, (C1-C6)-알킬아미노카르보닐, (C1-C6)-알킬아미노티오카르보닐, 디-(C1-C6)-알킬아미노카르보닐, 디-(C1-C6)-알킬아미노티오카르보닐, (C2-C6)-알케닐아미노카르보닐, 디-(C2-C6)-알케닐아미노카르보닐, (C3-C8)-시클로알킬아미노카르보닐, (C1-C6)-알킬술포닐아미노, (C1-C6)-알킬아미노, 디-(C1-C6)-알킬아미노, 아미노술포닐, (C1-C6)-알킬아미노술포닐, 디-(C1-C6)-알킬아미노술포닐, (C1-C6)-알킬술폭시미노, 아미노티오카르보닐, (C1-C6)-알킬아미노티오카르보닐, 디-(C1-C6)-알킬아미노티오카르보닐, (C3-C8)-시클로알킬아미노 또는 -NHCO-(C1-C6)-알킬 ((C1-C6)-알킬카르보닐아미노) 을 나타내고,
X 는 부분적으로 포화된 또는 포화된 헤테로시클릭 또는 헤테로방향족 8-, 9-, 10-, 11- 또는 12-원 융합 비시클릭 또는 트리시클릭 고리계 (임의로 하나 이상의 카르보닐기가 존재할 수 있으며, 및/또는 상기 고리계는 동일한 또는 상이한 치환기로 임의로 일- 또는 다치환되고, 상기 치환기는 시아노, 할로겐, 니트로, 아세틸, 히드록시, 아미노, SCN, 트리-(C1-C6)-알킬실릴, (C3-C8)-시클로알킬, (C3-C8)-시클로알킬-(C3-C8)-시클로알킬, (C1-C6)-알킬-(C3-C8)-시클로알킬, 할로-(C3-C8)-시클로알킬, (C1-C6)-알킬, (C1-C6)-할로알킬, (C1-C6)-시아노알킬, (C1-C6)-히드록시알킬, 히드록시카르보닐-(C1-C6)-알콕시, (C1-C6)-알콕시카르보닐-(C1-C6)-알킬, (C1-C6)-알콕시-(C1-C6)-알킬, (C2-C6)-알케닐, (C2-C6)-할로알케닐, (C2-C6)-시아노알케닐, (C2-C6)-알키닐, (C2-C6)-알키닐옥시-(C1-C4)-알킬, (C2-C6)-할로알키닐, (C2-C6)-시아노알키닐, (C1-C6)-알콕시, (C1-C6)-할로알콕시, (C1-C6)-할로알콕시-(C1-C6)-알킬, (C2-C6)-알케닐옥시-(C1-C6)-알킬, (C2-C6)-할로알케닐옥시-(C1-C6)-알킬, (C1-C6)-시아노알콕시, (C1-C6)-알콕시카르보닐-(C1-C6)-알콕시, (C1-C6)-알콕시-(C1-C6)-알콕시, (C1-C6)-알킬히드록시이미노, (C1-C6)-알콕시이미노, (C1-C6)-알킬-(C1-C6)-알콕시이미노, (C1-C6)-할로알킬-(C1-C6)-알콕시이미노, (C1-C6)-알킬티오, (C1-C6)-할로알킬티오, (C1-C6)-알콕시-(C1-C6)-알킬티오, (C1-C6)-알킬티오-(C1-C6)-알킬, (C1-C6)-알킬술피닐, (C1-C6)-할로알킬술피닐, (C1-C6)-알콕시-(C1-C6)-알킬술피닐, (C1-C6)-알킬술피닐-(C1-C6)-알킬, (C1-C6)-알킬술포닐, (C1-C6)-할로알킬술포닐, (C1-C6)-알콕시-(C1-C6)-알킬술포닐, (C1-C6)-알킬술포닐-(C1-C6)-알킬, (C1-C6)-알킬술포닐옥시, (C1-C6)-알킬카르보닐, (C1-C6)-알킬카르보닐-(C1-C6)-알킬, (C1-C6)-알킬티오카르보닐, (C1-C6)-할로알킬카르보닐, (C1-C6)-알킬카르보닐옥시, (C1-C6)-알콕시카르보닐, (C1-C6)-할로알콕시카르보닐, 아미노카르보닐, (C1-C6)-알킬아미노카르보닐, (C1-C6)-알킬아미노티오카르보닐, 디-(C1-C6)-알킬아미노카르보닐, 디-(C1-C6)-알킬아미노티오카르보닐, (C2-C6)-알케닐아미노카르보닐, 디-(C2-C6)-알케닐아미노카르보닐, (C3-C8)-시클로알킬아미노카르보닐, (C1-C6)-알킬술포닐아미노, (C1-C6)-알킬아미노, 디-(C1-C6)-알킬아미노, 아미노술포닐, (C1-C6)-알킬아미노술포닐, 디-(C1-C6)-알킬아미노술포닐, (C1-C6)-알킬술폭시미노, 아미노티오카르보닐, (C1-C6)-알킬아미노티오카르보닐, 디-(C1-C6)-알킬아미노티오카르보닐, (C3-C8)-시클로알킬아미노, NHCO-(C1-C6)-알킬 ((C1-C6)-알킬카르보닐아미노) 로 이루어진 군에서 서로 독립적으로 선택될 수 있거나,
또는 치환기는 페닐 또는 5- 또는 6-원 헤테로방향족 고리에서 독립적으로 선택될 수 있고, 상기 페닐 또는 고리는 동일하게 또는 상이하게 C1-C6-알킬, C2-C6-알케닐, C2-C6-알키닐, C3-C6-시클로알킬, C1-C6-할로알킬, C2-C6-할로알케닐, C2-C6-할로알키닐, C3-C6-할로시클로알킬, 할로겐, CN, NO2, C1-C4-알콕시, C1-C4-할로알콕시로 임의로 일- 또는 다치환될 수 있다) 를 나타내고,
n 은 0, 1 또는 2 를 나타낸다]
또한, 화학식 (I) 의 화합물은 살충제로서, 바람직하게는 살곤충제 및/또는 살비제로서 매우 양호한 효능을 가지며, 또한 일반적으로 특히 작물 식물에 대하여 매우 양호한 식물 적합성을 가지는 것이 밝혀졌다.
본 발명의 화합물의 일반적인 정의는 화학식 (I) 에 의해 제공된다. 이하에서, 상기 및 하기에서 언급되는 화학식에 나열된 라디칼에 대한 바람직한 치환기 또는 범위를 예시한다:
구성 2
A1 은 바람직하게는 질소, =N+(O-)- 또는 =C(R4 )- 를 나타내고,
R1 은 바람직하게는 (C1-C4)-알킬, (C1-C4)-히드록시알킬, (C1-C4)-할로알킬, (C1-C4)-시아노알킬, (C1-C4)-알콕시-(C1-C4)-알킬, (C1-C4)-할로알콕시-(C1-C4)-알킬, (C2-C4)-알케닐, (C2-C4)-알케닐옥시-(C1-C4)-알킬, (C2-C4)-할로알케닐옥시-(C1-C4)-알킬, (C2-C4)-할로알케닐, (C2-C4)-시아노알케닐, (C2-C4)-알키닐, (C2-C4)-알키닐옥시-(C1-C4)-알킬, (C2-C4)-할로알키닐옥시-(C1-C4)-알킬, (C2-C4)-할로알키닐, (C2-C4)-시아노알키닐, (C3-C6)-시클로알킬, (C3-C6)-시클로알킬-(C3-C6)-시클로알킬, (C1-C4)-알킬-(C3-C6)-시클로알킬, 할로-(C3-C6)-시클로알킬, (C1-C4)-알킬아미노, 디-(C1-C4)-알킬아미노, (C3-C6)-시클로알킬아미노, (C1-C4)-알킬카르보닐아미노, (C1-C4)-알킬티오-(C1-C4)-알킬, (C1-C4)-할로알킬티오-(C1-C4)-알킬, (C1-C4)-알킬술피닐-(C1-C4)-알킬, (C1-C4)-할로알킬술피닐-(C1-C4)-알킬, (C1-C4)-알킬술포닐-(C1-C4)-알킬, (C1-C4)-알킬카르보닐-(C1-C4)-알킬, (C1-C4)-할로알킬카르보닐-(C1-C4)-알킬, (C1-C4)-알킬술포닐아미노를 나타내거나, 또는
(C1-C4)-알킬, (C1-C4)-알콕시, (C2-C4)-알케닐, (C2-C4)-알키닐, (C3-C6)-시클로알킬 (이들은 각각 아릴, 헤타릴 및 헤테로시클릴로 이루어진 군으로부터의 동일한 또는 상이한 치환기로 임의로 일- 또는 이치환되고, 상기 아릴, 헤타릴 또는 헤테로시클릴은 각각 할로겐, 시아노, 카르바모일, 아미노술포닐, (C1-C4)-알킬, (C3-C4)-시클로알킬, (C1-C4)-알콕시, (C1-C4)-할로알킬, (C1-C4)-할로알콕시, (C1-C4)-알킬티오, (C1-C4)-알킬술피닐, (C1-C4)-알킬술포닐, (C1-C4)-알킬술피미노로 이루어진 군으로부터의 동일한 또는 상이한 치환기로 임의로 일- 또는 이치환될 수 있다) 을 나타내고, 또는
R1 은 바람직하게는 아릴, 헤타릴 또는 헤테로시클릴 (이들은 각각 할로겐, 시아노, 카르바모일, (C1-C4)-알킬, (C3-C6)-시클로알킬, (C1-C4)-알콕시, (C1-C4)-할로알킬, (C1-C4)-할로알콕시, (C1-C4)-알킬티오, (C1-C4)-알킬술피닐, (C1-C4)-알킬술포닐, (C1-C4)-알킬술피미노, (C1-C4)-알킬술폭시미노, (C1-C4)-알킬카르보닐, (C3-C4)-트리알킬실릴, (=O) (헤테로시클릴의 경우에만) 및 (=O)2 (헤테로시클릴의 경우에만) 로 이루어진 군으로부터의 동일한 또는 상이한 치환기로 임의로 일- 또는 이치환된다) 을 나타내고,
R2 는 바람직하게는 부분적으로 포화된 또는 포화된 헤테로시클릭 또는 헤테로방향족 8-, 9- 또는 10-원 융합 비시클릭 고리계 (임의로 하나 이상의 카르보닐기가 존재할 수 있고, 상기 고리계는 동일한 또는 상이한 치환기로 임의로 일- 또는 다치환될 수 있으며, 상기 치환기는 시아노, 할로겐, 니트로, 아세틸, 아미노, (C1-C4)-알킬, (C1-C4)-할로알킬, (C1-C4)-시아노알킬, (C1-C4)-히드록시알킬, (C1-C4)-알콕시-(C1-C4)-알킬, (C2-C4)-알케닐, (C2-C4)-할로알케닐, (C2-C4)-시아노알케닐, (C2-C4)-알키닐, (C2-C4)-할로알키닐, (C2-C4)-시아노알키닐, (C3-C6)-시클로알킬, (C3-C6)-시클로알킬-(C3-C6)시클로알킬, (C1-C4)-알킬-(C3-C6)시클로알킬, (C1-C4)-알콕시, (C1-C4)-할로알콕시, (C1-C4)-시아노알콕시, (C1-C4)-알콕시-(C1-C4)-알콕시, (C1-C4)-알콕시이미노, -N=C(H)-O(C1-C4)-알킬, -C(H)=N-O(C1-C4)-알킬, (C1-C4)-할로알킬-(C1-C4)-알콕시이미노, (C1-C4)-알킬티오, (C1-C4)-할로알킬티오, (C1-C4)-알킬티오-(C1-C4)-알킬, (C1-C4)-알킬술피닐, (C1-C4)-할로알킬술피닐, (C1-C4)-알킬술피닐-(C1-C4)-알킬, (C1-C4)-알킬술포닐, (C1-C4)-할로알킬술포닐, (C1-C4)-알킬술포닐-(C1-C4)-알킬, (C1-C4)-알킬술포닐옥시, (C1-C4)-알킬카르보닐, (C1-C4)-할로알킬카르보닐, 아미노카르보닐, (C1-C4)-알킬아미노카르보닐, 디-(C1-C4)-알킬아미노카르보닐, (C1-C4)-알킬술포닐아미노, (C1-C4)-알킬아미노, 디-(C1-C4)-알킬아미노, 아미노술포닐, (C1-C4)-알킬아미노술포닐, 디-(C1-C4)-알킬아미노술포닐, (C1-C4)-알킬카르보닐아미노로 이루어진 군에서 서로 독립적으로 선택될 수 있다) 를 나타내고,
R3 은 바람직하게는 수소, 시아노, 할로겐, 니트로, 아세틸, 히드록시, 아미노, SCN, 트리-(C1-C4)-알킬실릴, (C3-C6)-시클로알킬, (C3-C6)-시클로알킬-(C3-C6)시클로알킬, (C1-C4)-알킬-(C3-C6)-시클로알킬, 할로-(C3-C6)-시클로알킬, (C1-C4)-알킬, (C1-C4)-할로알킬, (C1-C4)-시아노알킬, (C1-C4)-히드록시알킬, (C1-C4)-알콕시-(C1-C4)-알킬, (C2-C4)-알케닐, (C2-C4)-할로알케닐, (C2-C4)-시아노알케닐, (C2-C4)-알키닐, (C2-C4)-할로알키닐, (C2-C4)-시아노알키닐, (C1-C4)-알콕시, (C1-C4)-할로알콕시, (C1-C4)-시아노알콕시, (C1-C4)-알콕시-(C1-C4)-알콕시, (C1-C4)-알킬히드록시이미노, (C1-C4)-알콕시이미노, (C1-C4)-알킬-(C1-C4)-알콕시이미노, (C1-C4)-할로알킬-(C1-C4)-알콕시이미노, (C1-C4)-알킬티오, (C1-C4)-할로알킬티오, (C1-C4)-알킬티오-(C1-C4)-알킬, (C1-C4)-알킬술피닐, (C1-C4)-할로알킬술피닐, (C1-C4)-알킬술피닐-(C1-C4)-알킬, (C1-C4)-알킬술포닐, (C1-C4)-할로알킬술포닐, (C1-C4)-알킬술포닐-(C1-C4)-알킬, (C1-C4)-알킬술포닐옥시, (C1-C4)-알킬카르보닐, (C1-C4)-할로알킬카르보닐, 아미노카르보닐, 아미노티오카르보닐, (C1-C4)-알킬아미노카르보닐, 디-(C1-C4)-알킬아미노카르보닐, (C1-C4)-알킬술포닐아미노, (C1-C4)-알킬아미노, 디-(C1-C4)-알킬아미노, 아미노술포닐, (C1-C4)-알킬아미노술포닐, 디-(C1-C4)-알킬아미노술포닐, 아미노티오카르보닐, NHCO-(C1-C4)-알킬 ((C1-C4)-알킬카르보닐아미노) 을 나타내고,
더욱 바람직하게는 페닐 또는 헤타릴 (이들은 각각 동일한 또는 상이한 치환기로 임의로 일- 또는 이치환되고, (헤타릴의 경우) 임의로 하나 이상의 카르보닐기가 존재할 수 있으며, 및/또는 각 경우에 있어서 가능한 치환기는 다음과 같다: 시아노, 할로겐, 니트로, 아세틸, 아미노, (C3-C6)-시클로알킬, (C3-C6)-시클로알킬-(C3-C6)-시클로알킬, (C1-C4)-알킬-(C3-C6)-시클로알킬, 할로-(C3-C6)-시클로알킬, (C1-C4)-알킬, (C1-C4)-할로알킬, (C1-C4)-시아노알킬, (C1-C4)-히드록시알킬, (C1-C4)-알콕시-(C1-C4)-알킬, (C2-C4)-알케닐, (C2-C4)-할로알케닐, (C2-C4)-시아노알케닐, (C2-C4)-알키닐, (C2-C4)-할로알키닐, (C2-C4)-시아노알키닐, (C1-C4)-알콕시, (C1-C4)-할로알콕시, (C1-C4)-시아노알콕시, (C1-C4)-알콕시-(C1-C4)-알콕시, (C1-C4)-알킬히드록시이미노, (C1-C4)-알콕시이미노, (C1-C4)-알킬-(C1-C4)-알콕시이미노, (C1-C4)-할로알킬-(C1-C4)-알콕시이미노, (C1-C4)-알킬티오, (C1-C4)-할로알킬티오, (C1-C4)-알킬티오-(C1-C4)-알킬, (C1-C4)-알킬술피닐, (C1-C4)-할로알킬술피닐, (C1-C4)-알킬술피닐-(C1-C4)-알킬, (C1-C4)-알킬술포닐, (C1-C4)-할로알킬술포닐, (C1-C4)-알킬술포닐-(C1-C4)-알킬, (C1-C4)-알킬술포닐옥시, (C1-C4)-알킬카르보닐, (C1-C4)-할로알킬카르보닐, 아미노카르보닐, (C1-C4)-알킬아미노카르보닐, 디-(C1-C4)-알킬아미노카르보닐, (C1-C4)-알킬술포닐아미노, (C1-C4)-알킬아미노, 디-(C1-C4)-알킬아미노, 아미노술포닐, (C1-C4)-알킬아미노술포닐, 디-(C1-C4)-알킬아미노술포닐, NHCO-(C1-C4)-알킬 ((C1-C4)-알킬카르보닐아미노)) 을 나타내고,
R4 는 바람직하게는 수소, 시아노, 할로겐, 니트로, 아세틸, 히드록시, 아미노, SCN, 트리-(C1-C4)-알킬실릴, (C3-C6)-시클로알킬, (C3-C6)-시클로알킬-(C3-C6)시클로알킬, (C1-C4)-알킬-(C3-C6)시클로알킬, 할로-(C3-C6)시클로알킬, (C1-C4)-알킬, (C1-C4)-할로알킬, (C1-C4)-시아노알킬, (C1-C4)-히드록시알킬, (C1-C4)-알콕시-(C1-C4)-알킬, (C2-C4)-알케닐, (C2-C4)-할로알케닐, (C2-C4)-시아노알케닐, (C2-C4)-알키닐, (C2-C4)-할로알키닐, (C2-C4)-시아노알키닐, (C1-C4)-알콕시, (C1-C4)-할로알콕시, (C1-C4)-시아노알콕시, (C1-C4)-알콕시-(C1-C4)-알콕시, (C1-C4)-알킬히드록시이미노, (C1-C4)-알콕시이미노, (C1-C4)-알킬-(C1-C4)-알콕시이미노, (C1-C4)-할로알킬-(C1-C4)-알콕시이미노, (C1-C4)-알킬티오, (C1-C4)-할로알킬티오, (C1-C4)-알킬티오-(C1-C4)-알킬, (C1-C4)-알킬술피닐, (C1-C4)-할로알킬술피닐, (C1-C4)-알킬술피닐-(C1-C4)-알킬, (C1-C4)-알킬술포닐, (C1-C4)-할로알킬술포닐, (C1-C4)-알킬술포닐-(C1-C4)-알킬, (C1-C4)-알킬술포닐옥시, (C1-C4)-알킬카르보닐, (C1-C4)-할로알킬카르보닐, 아미노카르보닐, 아미노티오카르보닐, (C1-C4)-알킬아미노카르보닐, 디-(C1-C4)-알킬아미노카르보닐, (C1-C4)-알킬술포닐아미노, (C1-C4)-알킬아미노, 디-(C1-C4)-알킬아미노, 아미노술포닐, (C1-C4)-알킬아미노술포닐, 디-(C1-C4)-알킬아미노술포닐, 아미노티오카르보닐 또는 NHCO-(C1-C4)-알킬 ((C1-C4)-알킬카르보닐아미노) 을 나타내고,
X 는 바람직하게는 헤테로방향족 8-, 9-, 10-, 11- 또는 12-원 융합 비시클릭 또는 트리시클릭 고리계 (상기 고리계는 동일한 또는 상이한 치환기로 임의로 일- 또는 다치환되고, 상기 치환기는 시아노, 할로겐, 니트로, 아세틸, 히드록시, 아미노, SCN, 트리-(C1-C6)-알킬실릴, (C3-C8)-시클로알킬, (C3-C8)-시클로알킬-(C3-C8)-시클로알킬, (C1-C6)-알킬-(C3-C8)-시클로알킬, 할로-(C3-C8)-시클로알킬, (C1-C6)-알킬, (C1-C6)-할로알킬, (C1-C6)-시아노알킬, (C1-C6)-히드록시알킬, (C1-C6)알콕시-(C1-C6)-알킬, (C2-C6)-알케닐, (C2-C6)-할로겐알케닐, (C2-C6)-시아노알케닐, (C2-C6)-알키닐, (C2-C6)-알키닐옥시-(C1-C4)-알킬, (C2-C6)-할로겐알키닐, (C1-C6)-알콕시, (C1-C6)-할로알콕시, (C1-C6)-할로알콕시-(C1-C6)-알킬, (C2-C6)-알케닐옥시-(C1-C6)-알킬, (C2-C6)-할로알케닐옥시-(C1-C6)-알킬, (C1-C6)-시아노알콕시, (C1-C6)-알콕시-(C1-C6)-알콕시, (C1-C6)-알킬히드록시이미노, (C1-C6)-알콕시이미노, (C1-C6)-알킬-(C1-C6)-알콕시이미노, (C1-C6)-알킬티오, (C1-C6)-할로겐알킬티오, (C1-C6)-알콕시-(C1-C6)-알킬티오, (C1-C6)-알킬티오-(C1-C6)-알킬, (C1-C6)-알킬술피닐, (C1-C6)-할로알킬술피닐, (C1-C6)-알콕시-(C1-C6)-알킬술피닐, (C1-C6)-알킬술피닐-(C1-C6)-알킬, (C1-C6)-알킬술포닐, (C1-C6)-할로알킬술포닐, (C1-C6)-알콕시-(C1-C6)-알킬술포닐, (C1-C6)-알킬술포닐-(C1-C6)-알킬, (C1-C6)-알킬술포닐옥시, (C1-C6)-알킬카르보닐, (C1-C6)-알킬카르보닐-(C1-C6)-알킬, (C1-C6)-알킬티오카르보닐, (C1-C6)-할로알킬카르보닐, (C1-C6)-알킬카르보닐옥시, (C1-C6)-알콕시카르보닐, (C1-C6)-할로알콕시카르보닐, 아미노카르보닐, (C1-C6)-알킬아미노카르보닐, (C1-C6)-알킬아미노티오카르보닐, 디-(C1-C6)-알킬아미노카르보닐, 디-(C1-C6)-알킬아미노티오카르보닐, (C3-C8)-시클로알킬아미노카르보닐, (C1-C6)-알킬술포닐아미노, (C1-C6)-알킬아미노, 디-(C1-C6)-알킬아미노, 아미노술포닐, (C1-C6)-알킬아미노술포닐, 디-(C1-C6)-알킬아미노술포닐, (C1-C6)-알킬술폭시미노, 아미노티오카르보닐, (C1-C6)-알킬아미노티오카르보닐, 디-(C1-C6)-알킬아미노티오카르보닐, (C3-C8)-시클로알킬아미노, NHCO-(C1-C6)-알킬 ((C1-C6)-알킬카르보닐아미노) 로 이루어진 군에서 서로 독립적으로 선택될 수 있거나,
또는 치환기는 페닐 또는 5- 또는 6-원 헤테로방향족 고리에서 독립적으로 선택될 수 있고, 상기 페닐 또는 고리는 동일하게 또는 상이하게 C1-C6-알킬, C2-C6-알케닐, C2-C6-알키닐, C3-C6-시클로알킬, C1-C6-할로알킬, C2-C6-할로알케닐, C2-C6-할로알키닐, C3-C6-할로시클로알킬, 할로겐, CN, C1-C4-알콕시, C1-C4-할로알콕시로 임의로 일- 또는 다치환될 수 있다) 를 나타내고,
n 은 바람직하게는 0, 1 또는 2 를 나타낸다.
구성 3-1
A1 은 특히 바람직하게는 질소 또는 =C(R4)- 를 나타내고,
R1 은 특히 바람직하게는 (C1-C4)-알킬, (C1-C4)-히드록시알킬, (C1-C4)-할로알킬, (C2-C4)-알케닐, (C2-C4)-할로알케닐, (C2-C4)-알키닐, (C2-C4)-할로알키닐, (C3-C6)-시클로알킬, (C1-C4)-알킬티오-(C1-C4)-알킬, (C1-C4)-알킬술피닐-(C1-C4)-알킬 또는 (C1-C4)-알킬술포닐-(C1-C4)-알킬을 나타내고,
R2 는 특히 바람직하게는 하기 시리즈 Q1 내지 Q151 로부터의 부분적으로 포화된 또는 헤테로방향족 융합된 비시클릭 고리계 (상기 고리계는 동일한 또는 상이한 치환기로 임의로 일- 또는 다치환될 수 있으며, 상기 치환기는 니트로, 히드록시, 아미노, 시아노, 할로겐, (C1-C4)-알킬, (C1-C4)-시클로알킬, (C1-C4)-할로알킬, (C1-C4)-알콕시, (C1-C4)-할로알콕시 및 (C1-C4)-할로알킬티오로 이루어진 군에서 서로 독립적으로 선택될 수 있다) 를 나타내고
(식 중, 분자의 나머지에 대한 결합은 별표 # 으로 표시된다),
R3 은 특히 바람직하게는 수소, 시아노, 할로겐, 니트로, 히드록시, 아미노, SCN, 트리-(C1-C4)-알킬실릴, (C3-C6)-시클로알킬, (C3-C6)-시클로알킬-(C3-C6)-시클로알킬, (C1-C4)-알킬-(C3-C6)-시클로알킬, 할로-(C3-C6)-시클로알킬, (C1-C4)-알킬, (C1-C4)-할로알킬, (C1-C4)-시아노알킬, (C1-C4)-알콕시-(C1-C4)-알킬, (C2-C4)-알케닐, (C2-C4)-할로알케닐, (C2-C4)-시아노알케닐, (C2-C4)-알키닐, (C2-C4)-할로알키닐, (C2-C4)-시아노알키닐, (C1-C4)-알콕시, (C1-C4)-할로알콕시, (C1-C4)-시아노알콕시, (C1-C4)-알킬히드록시이미노, (C1-C4)-알콕시이미노, (C1-C4)-알킬-(C1-C4)-알콕시이미노, (C1-C4)-알킬티오, (C1-C4)-할로알킬티오, (C1-C4)-알킬술피닐, (C1-C4)-할로알킬술피닐, (C1-C4)-알킬술포닐, (C1-C4)-할로알킬술포닐, (C1-C4)-알킬술포닐옥시, (C1-C4)-알킬카르보닐, (C1-C4)-할로알킬카르보닐, 아미노카르보닐, (C1-C4)-알킬아미노카르보닐, 디-(C1-C4)-알킬아미노카르보닐, (C1-C4)-알킬술포닐아미노, (C1-C4)-알킬아미노, 디-(C1-C4)-알킬아미노, 아미노술포닐, (C1-C4)-알킬아미노술포닐, 디-(C1-C4)-알킬-아미노술포닐 또는 NHCO-(C1-C4)-알킬 ((C1-C4)-알킬카르보닐아미노) 을 나타내고,
R4 는 특히 바람직하게는 수소, 할로겐, 시아노 또는 (C1-C4)알킬을 나타내고,
X 는 특히 바람직하게는 하기 H1 내지 H20 으로 이루어진 시리즈로부터의 헤테로방향족 9-원 또는 12-원 융합 비시클릭 또는 트리시클릭 고리계를 나타내고,
R5, R6 은 서로 독립적으로 특히 바람직하게는 수소, 시아노, 할로겐, (C1-C4)-알킬, (C1-C4)-할로알킬, (C2-C4)-알케닐, (C2-C4)-할로알케닐, (C2-C4)-알키닐, (C2-C4)-할로알키닐, (C3-C6)-시클로알킬, (C3-C6)-시클로알킬-(C3-C6)-시클로알킬, (C1-C4)-알킬-(C3-C6)-시클로알킬, (C1-C4)-알콕시, (C1-C4)-할로알콕시, (C1-C4)-알콕시이미노, (C1-C4)-알킬티오, (C1-C4)-할로알킬티오, (C1-C4)-알킬술피닐, (C1-C4)-할로알킬술피닐, (C1-C4)-알킬술포닐, (C1-C4)-할로알킬술포닐, (C1-C4)-알킬술포닐옥시, (C1-C4)-알킬카르보닐, (C1-C4)-할로알킬카르보닐, 아미노카르보닐, (C1-C4)-알킬아미노카르보닐, 디-(C1-C4)-알킬아미노카르보닐, (C1-C4)-알킬술포닐아미노, (C1-C4)-알킬아미노, 디-(C1-C4)-알킬아미노, 아미노술포닐, (C1-C4)-알킬아미노술포닐 또는 디-(C1-C4)-알킬아미노술포닐을 나타내고,
R7 은 특히 바람직하게는 수소, (C1-C4)-알킬, (C1-C4)-할로알킬, (C1-C4)-시아노알킬, (C1-C4)-히드록시알킬, (C1-C4)-알콕시-(C1-C4)-알킬, (C1-C4)-할로알콕시-(C1-C4)-알킬, (C2-C4)-알케닐, (C2-C4)-알케닐옥시-(C1-C4)-알킬, (C2-C4)-할로알케닐옥시-(C1-C4)-알킬, (C2-C4)-할로알케닐, (C2-C4)-시아노알케닐, (C2-C4)-알키닐, (C2-C4)-알키닐옥시-(C1-C4)-알킬, (C2-C4)-할로알키닐, (C3-C6)-시클로알킬, (C3-C6)-시클로알킬-(C3-C6)-시클로알킬, (C1-C4)-알킬-(C3-C6)-시클로알킬, 할로(C3-C6)-시클로알킬, (C1-C4)-알킬티오-(C1-C4)-알킬, (C1-C4)-알킬술피닐-(C1-C4)-알킬, (C1-C4)-알킬술포닐-(C1-C4)-알킬 또는 (C1-C4)-알킬카르보닐-(C1-C4)-알킬을 나타내고,
n 은 특히 바람직하게는 0, 1 또는 2 를 나타낸다.
고리 Q1 내지 Q151 에서의 치환은 탄소 원자에서의, 및/또는 질소 원자에서의 수소의 치환에 의한 것일 수 있다. 고리 Q1 내지 Q151 의 이성질체 형태가 포함되며, 본 발명의 일부를 형성한다.
구성 3-2
A1 은 특히 바람직하게는 질소 또는 =C(R4)- 를 나타내고,
R1 은 특히 바람직하게는 (C1-C4)-알킬, (C1-C4)-히드록시알킬, (C1-C4)-할로알킬, (C2-C4)-알케닐, (C2-C4)-할로알케닐, (C2-C4)-알키닐, (C2-C4)-할로알키닐, (C3-C6)-시클로알킬, (C1-C4)-알킬티오-(C1-C4)-알킬, (C1-C4)-알킬술피닐-(C1-C4)-알킬 또는 (C1-C4)-알킬술포닐-(C1-C4)-알킬을 나타내고,
R2 는 특히 바람직하게는 하기 시리즈 Q1 내지 Q152 로부터의 부분적으로 포화된 또는 헤테로방향족 융합된 비시클릭 고리계 (상기 고리계는 동일한 또는 상이한 치환기로 임의로 일- 또는 다치환될 수 있으며, 상기 치환기는 니트로, 히드록시, 아미노, 시아노, 할로겐, (C1-C4)-알킬, (C1-C4)-시클로알킬, (C1-C4)-할로알킬, (C1-C4)-알콕시, (C1-C4)-할로알콕시 및 (C1-C4)-할로알킬티오로 이루어진 군에서 서로 독립적으로 선택될 수 있다) 를 나타내고
(식 중, 분자의 나머지에 대한 결합은 별표 # 으로 표시된다),
R3 은 특히 바람직하게는 수소, 시아노, 할로겐, 니트로, 히드록시, 아미노, SCN, 트리-(C1-C4)-알킬실릴, (C3-C6)-시클로알킬, (C3-C6)-시클로알킬-(C3-C6)-시클로알킬, (C1-C4)-알킬-(C3-C6)-시클로알킬, 할로-(C3-C6)-시클로알킬, (C1-C4)-알킬, (C1-C4)-할로알킬, (C1-C4)-시아노알킬, (C1-C4)-알콕시-(C1-C4)-알킬, (C2-C4)-알케닐, (C2-C4)-할로알케닐, (C2-C4)-시아노알케닐, (C2-C4)-알키닐, (C2-C4)-할로알키닐, (C2-C4)-시아노알키닐, (C1-C4)-알콕시, (C1-C4)-할로알콕시, (C1-C4)-시아노알콕시, (C1-C4)-알킬히드록시이미노, (C1-C4)-알콕시이미노, (C1-C4)-알킬-(C1-C4)-알콕시이미노, (C1-C4)-알킬티오, (C1-C4)-할로알킬티오, (C1-C4)-알킬술피닐, (C1-C4)-할로알킬술피닐, (C1-C4)-알킬술포닐, (C1-C4)-할로알킬술포닐, (C1-C4)-알킬술포닐옥시, (C1-C4)-알킬카르보닐, (C1-C4)-할로알킬카르보닐, 아미노카르보닐, (C1-C4)-알킬아미노카르보닐, 디-(C1-C4)-알킬아미노카르보닐, (C1-C4)-알킬술포닐아미노, (C1-C4)-알킬아미노, 디-(C1-C4)-알킬아미노, 아미노술포닐, (C1-C4)-알킬아미노술포닐, 디-(C1-C4)-알킬-아미노술포닐 또는 NHCO-(C1-C4)-알킬 ((C1-C4)-알킬카르보닐아미노) 을 나타내고,
R4 는 특히 바람직하게는 수소, 할로겐, 시아노 또는 (C1-C4)알킬을 나타내고,
X 는 특히 바람직하게는 H1 내지 H20 으로 이루어진 시리즈로부터의 헤테로방향족 9-원 또는 12-원 융합 비시클릭 또는 트리시클릭 고리계를 나타내고,
R5, R6 은 특히 바람직하게는 서로 독립적으로 수소, 시아노, 할로겐, (C1-C4)-알킬, (C1-C4)-할로알킬, (C2-C4)-알케닐, (C2-C4)-할로알케닐, (C2-C4)-알키닐, (C2-C4)-할로알키닐, (C3-C6)-시클로알킬, (C3-C6)-시클로알킬-(C3-C6)-시클로알킬, (C1-C4)-알킬-(C3-C6)-시클로알킬, (C1-C4)-알콕시, (C1-C4)-할로알콕시, (C1-C4)-알콕시이미노, (C1-C4)-알킬티오, (C1-C4)-할로알킬티오, (C1-C4)-알킬술피닐, (C1-C4)-할로알킬술피닐, (C1-C4)-알킬술포닐, (C1-C4)-할로알킬술포닐, (C1-C4)-알킬술포닐옥시, (C1-C4)-알킬카르보닐, (C1-C4)-할로알킬카르보닐, 아미노카르보닐, (C1-C4)-알킬아미노카르보닐, 디-(C1-C4)-알킬아미노카르보닐, (C1-C4)-알킬술포닐아미노, (C1-C4)-알킬아미노, 디-(C1-C4)-알킬아미노, 아미노술포닐, (C1-C4)-알킬아미노술포닐 또는 디-(C1-C4)-알킬아미노술포닐을 나타내고,
R7 은 특히 바람직하게는 수소, (C1-C4)-알킬, (C1-C4)-할로알킬, (C1-C4)-시아노알킬, (C1-C4)-히드록시알킬, (C1-C4)-알콕시-(C1-C4)-알킬, (C1-C4)-할로알콕시-(C1-C4)-알킬, (C2-C4)-알케닐, (C2-C4)-알케닐옥시-(C1-C4)-알킬, (C2-C4)-할로알케닐옥시-(C1-C4)-알킬, (C2-C4)-할로알케닐, (C2-C4)-시아노알케닐, (C2-C4)-알키닐, (C2-C4)-알키닐옥시-(C1-C4)-알킬, (C2-C4)-할로알키닐, (C3-C6)-시클로알킬, (C3-C6)-시클로알킬-(C3-C6)-시클로알킬, (C1-C4)-알킬-(C3-C6)-시클로알킬, 할로(C3-C6)-시클로알킬, (C1-C4)-알킬티오-(C1-C4)-알킬, (C1-C4)-알킬술피닐-(C1-C4)-알킬, (C1-C4)-알킬술포닐-(C1-C4)-알킬 또는 (C1-C4)-알킬카르보닐-(C1-C4)-알킬을 나타내고,
n 은 특히 바람직하게는 0, 1 또는 2 를 나타낸다.
고리 Q1 내지 Q152 에서의 치환은 탄소 원자에서의, 및/또는 질소 원자에서의 수소의 치환에 의한 것일 수 있다. Q1 내지 Q152 의 이성질체 형태가 포함되며, 본 발명의 일부를 형성한다.
고리의 이성질체 형태는, 예를 들어 다음과 같다:
Q105:
Q106:
Q107:
상기 화합물은 혼합물로서 뿐만 아니라, 이들의 순수한 이성질체의 형태로 존재할 수 있다. 혼합물은 물리적 방법에 의해, 예를 들어 크로마토그래피 방법에 의해 임의로 분리될 수 있다.
하기의 내용은 명확성을 기하기 위해, 각 경우에 있어서 가능한 이성질체 중 하나만 언급할 것이다. 이것은, 적절한 경우, 화합물이 이성질체 혼합물의 형태로, 또는 각각의 다른 이성질체 형태로 존재할 수 있다는 것을 배제하지 않는다.
구성 4-1
A1 은 매우 특히 바람직하게는 질소 또는 =C(R4)- 를 나타내고,
R1 은 매우 특히 바람직하게는 메틸, 에틸, n-프로필, 이소프로필, 시클로프로필, n-부틸, 이소부틸, tert-부틸, 시클로부틸, 플루오로메틸, 디플루오로메틸, 트리플루오로메틸, 플루오로에틸, 디플루오로에틸, 트리플루오로에틸, 테트라플루오로에틸 또는 펜타플루오로에틸을 나타내고,
R2 는 매우 특히 바람직하게는 시리즈 Q1, Q2, Q3, Q4, Q5, Q6, Q7, Q8, Q9, Q10, Q11, Q12, Q13, Q14, Q15, Q16, Q17, Q18, Q19, Q20, Q21, Q22, Q23, Q27, Q28, Q29, Q30, Q31, Q32, Q33, Q34, Q35, Q36, Q37, Q38, Q39, Q40, Q41, Q42, Q43, Q44, Q45, Q46, Q51, Q52, Q53, Q54, Q55, Q56, Q57, Q58, Q59, Q60, Q61, Q62, Q63, Q64, Q65, Q66, Q67, Q68, Q77, Q78, Q79, Q80, Q81, Q82, Q83, Q84, Q85, Q86, Q87, Q88, Q89, Q90, Q91, Q92, Q93, Q94, Q95, Q96, Q97, Q104, Q105, Q106, Q107, Q108, Q109, Q114, Q115, Q116, Q117, Q118, Q119, Q120, Q121, Q124, Q125, Q126, Q127, Q128, Q129, Q130, Q131, Q132, Q133, Q134, Q135, Q136, Q137, Q138, Q139, Q140, Q141, Q142, Q143, Q144, Q145, Q146, Q147, Q148, Q149, Q150, Q151 로부터의 동일한 또는 상이한 치환기로 임의로 일- 또는 이치환되는 융합 비시클릭 고리계를 나타내고, 각 경우에 있어서 가능한 치환기는 시아노, 불소, 염소, 브롬, 메틸, 에틸, n-프로필, 이소프로필, 시클로프로필, 트리플루오로메틸, 펜타플루오로에틸, 메톡시, 에톡시, 트리플루오로메톡시, 트리플루오로에톡시, 펜타플루오로에톡시 또는 트리플루오로메틸티오이고,
R3 은 매우 특히 바람직하게는 수소, 시아노, 할로겐, (C1-C4)-알킬, (C1-C4)-할로알킬, (C1-C4)-할로알콕시, (C1-C4)-알킬티오, (C1-C4)-알킬술피닐, (C1-C4)-알킬술포닐, (C1-C4)-할로알킬티오, (C1-C4)-할로알킬술피닐, (C1-C4)-할로알킬술포닐 또는 NHCO-(C1-C4)-알킬 ((C1-C4)-알킬카르보닐아미노) 을 나타내고,
R4 는 매우 특히 바람직하게는 수소, 불소, 염소, 브롬 또는 시아노를 나타내고,
X 는 매우 특히 바람직하게는 시리즈 H1, H2, H3, H4, H5, H6, H7, H8, H9, H10, H11, H12, H13, H14, H15, H16, H17, H18, H19 및 H20 으로부터의 헤테로방향족 9-원 또는 12-원 융합 비시클릭 또는 트리시클릭 고리계를 나타내고,
R5 는 매우 특히 바람직하게는 불소, 염소, 플루오로메틸, 디플루오로메틸, 트리플루오로메틸, 플루오로에틸, 디플루오로에틸, 트리플루오로에틸, 테트라플루오로에틸, 펜타플루오로에틸, 트리플루오로메톡시, 디플루오로클로로메톡시, 디클로로플루오로메톡시, 트리플루오로메틸티오, 트리플루오로메틸술포닐 또는 트리플루오로메틸술피닐을 나타내고,
R6 은 매우 특히 바람직하게는 수소를 나타내고,
R7 은 매우 특히 바람직하게는 수소, 메틸, 에틸, n-프로필, 이소프로필, n-부틸, 이소부틸, tert-부틸, 메톡시메틸 또는 메톡시에틸을 나타내고,
n 은 매우 특히 바람직하게는 0, 1 또는 2 를 나타낸다.
구성 4-2
A1 은 매우 특히 바람직하게는 질소를 나타내고,
R1 은 매우 특히 바람직하게는 메틸, 에틸, n-프로필, 이소프로필, 시클로프로필, n-부틸, 이소부틸, tert-부틸, 시클로부틸, 플루오로메틸, 디플루오로메틸, 트리플루오로메틸, 플루오로에틸, 디플루오로에틸, 트리플루오로에틸, 테트라플루오로에틸 또는 펜타플루오로에틸을 나타내고,
R2 는 매우 특히 바람직하게는 시리즈 Q1, Q2, Q3, Q4, Q5, Q6, Q7, Q8, Q9, Q10, Q11, Q12, Q13, Q14, Q15, Q16, Q17, Q18, Q19, Q20, Q21, Q22, Q23, Q27, Q28, Q29, Q30, Q31, Q32, Q33, Q34, Q35, Q36, Q37, Q38, Q39, Q40, Q41, Q42, Q43, Q44, Q45, Q46, Q51, Q52, Q53, Q54, Q55, Q56, Q57, Q58, Q59, Q60, Q61, Q62, Q63, Q64, Q65, Q66, Q67, Q68, Q69, Q70, Q71, Q77, Q78, Q79, Q80, Q81, Q82, Q83, Q84, Q85, Q86, Q87, Q88, Q89, Q90, Q91, Q92, Q93, Q94, Q95, Q96, Q97, Q104, Q105, Q106, Q107, Q108, Q109, Q114, Q115, Q116, Q117, Q118, Q119, Q120, Q121, Q124, Q125, Q126, Q127, Q128, Q129, Q130, Q131, Q132, Q133, Q134, Q135, Q136, Q137, Q138, Q139, Q140, Q141, Q142, Q143, Q144, Q145, Q146, Q147, Q148, Q149, Q150, Q151, Q152 로부터의 동일한 또는 상이한 치환기로 임의로 일- 또는 이치환되는 융합 비시클릭 고리계를 나타내고, 각 경우에 있어서 가능한 치환기는 시아노, 불소, 염소, 브롬, 메틸, 에틸, n-프로필, 이소프로필, 시클로프로필, 트리플루오로메틸, 펜타플루오로에틸, 메톡시, 에톡시, 트리플루오로메톡시, 트리플루오로에톡시, 펜타플루오로에톡시 또는 트리플루오로메틸티오이고,
R3 은 매우 특히 바람직하게는 수소, 시아노, 할로겐, (C1-C4)-알킬, (C1-C4)-할로알킬, (C1-C4)-할로알콕시, (C1-C4)-알킬티오, (C1-C4)-알킬술피닐, (C1-C4)-알킬술포닐, (C1-C4)-할로알킬티오, (C1-C4)-할로알킬술피닐, (C1-C4)-할로알킬술포닐 또는 NHCO-(C1-C4)-알킬 ((C1-C4)-알킬카르보닐아미노) 을 나타내고,
X 는 매우 특히 바람직하게는 시리즈 H1, H2, H3, H4, H5, H6, H7, H8, H9, H10, H11, H12, H13, H14, H15, H16, H17, H18, H19 및 H20 으로부터의 헤테로방향족 9-원 또는 12-원 융합 비시클릭 또는 트리시클릭 고리계를 나타내고,
R5 는 매우 특히 바람직하게는 불소, 염소, 플루오로메틸, 디플루오로메틸, 트리플루오로메틸, 플루오로에틸, 디플루오로에틸, 트리플루오로에틸, 테트라플루오로에틸, 펜타플루오로에틸, 트리플루오로메톡시, 디플루오로클로로메톡시, 디클로로플루오로메톡시, 트리플루오로메틸티오, 트리플루오로메틸술포닐 또는 트리플루오로메틸술피닐을 나타내고,
R6 은 매우 특히 바람직하게는 수소를 나타내고,
R7 은 매우 특히 바람직하게는 수소, 메틸, 에틸, n-프로필, 이소프로필, n-부틸, 이소부틸, tert-부틸, 메톡시메틸 또는 메톡시에틸을 나타내고,
n 은 매우 특히 바람직하게는 0, 1 또는 2 를 나타낸다.
구성 4-3
A1 은 매우 특히 바람직하게는 질소를 나타내고,
R1 은 매우 특히 바람직하게는 메틸, 에틸, n-프로필, 이소프로필, 시클로프로필, n-부틸, 이소부틸, tert-부틸, 시클로부틸, 플루오로메틸, 디플루오로메틸, 트리플루오로메틸, 플루오로에틸, 디플루오로에틸, 트리플루오로에틸, 테트라플루오로에틸 또는 펜타플루오로에틸을 나타내고,
R2 는 매우 특히 바람직하게는 시리즈 Q1, Q6, Q11, Q12, Q15, Q16, Q17, Q20, Q27, Q28, Q32, Q33, Q34, Q35, Q37, Q38, Q51, Q56, Q57, Q61, Q62, Q66, Q67, Q69, Q82, Q87, Q105, Q106, Q107 및 Q152 로부터의 동일한 또는 상이한 치환기로 임의로 일- 또는 이치환되는 융합 비시클릭 고리계를 나타내고, 각 경우에 있어서 가능한 치환기는 시아노, 불소, 염소, 브롬, 메틸, 에틸, n-프로필, 이소프로필, 시클로프로필, 트리플루오로메틸, 펜타플루오로에틸, 메톡시, 에톡시, 트리플루오로메톡시, 트리플루오로에톡시, 펜타플루오로에톡시 또는 트리플루오로메틸티오이고,
R3 은 매우 특히 바람직하게는 수소, 시아노, 할로겐, (C1-C4)-알킬, (C1-C4)-할로알킬, (C1-C4)-할로알콕시, (C1-C4)-알킬티오, (C1-C4)-알킬술피닐, (C1-C4)-알킬술포닐, (C1-C4)-할로알킬티오, (C1-C4)-할로알킬술피닐, (C1-C4)-할로알킬술포닐 또는 NHCO-(C1-C4)-알킬 ((C1-C4)-알킬카르보닐아미노) 을 나타내고,
X 는 매우 특히 바람직하게는 시리즈 H1, H2, H3, H4, H5, H6, H7, H8, H9, H10, H11, H12, H13, H14, H15, H16, H17, H18, H19 및 H20 으로부터의 헤테로방향족 9-원 또는 12-원 융합 비시클릭 또는 트리시클릭 고리계를 나타내고,
R5 는 매우 특히 바람직하게는 불소, 염소, 플루오로메틸, 디플루오로메틸, 트리플루오로메틸, 플루오로에틸, 디플루오로에틸, 트리플루오로에틸, 테트라플루오로에틸, 펜타플루오로에틸, 트리플루오로메톡시, 디플루오로클로로메톡시, 디클로로플루오로메톡시, 트리플루오로메틸티오, 트리플루오로메틸술포닐 또는 트리플루오로메틸술피닐을 나타내고,
R6 은 매우 특히 바람직하게는 수소를 나타내고,
R7 은 매우 특히 바람직하게는 수소, 메틸, 에틸, n-프로필, 이소프로필, n-부틸, 이소부틸, tert-부틸, 메톡시메틸 또는 메톡시에틸을 나타내고,
n 은 매우 특히 바람직하게는 0, 1 또는 2 를 나타낸다.
구성 5-1
A1 은 가장 바람직하게는 질소를 나타내고,
R1 은 가장 바람직하게는 에틸을 나타내고,
R2 는 가장 바람직하게는 염소, 시아노, 메틸 및 트리플루오로메틸로 이루어진 군으로부터의 동일한 또는 상이한 치환기로 일- 또는 이치환되는 시리즈 Q1, Q6, Q32, Q33, Q34, Q35, Q37 및 Q51 로부터의 고리를 나타내고,
R3 은 가장 바람직하게는 수소를 나타내고,
X 는 가장 바람직하게는 시리즈 H20 으로부터의 헤테로방향족 고리계를 나타내고,
R5 는 가장 바람직하게는 트리플루오로메틸을 나타내고,
R6 은 가장 바람직하게는 수소를 나타내고,
R7 은 가장 바람직하게는 메틸을 나타내고,
n 은 가장 바람직하게는 2 를 나타낸다.
구성 5-2
A1 은 가장 바람직하게는 질소를 나타내고,
R1 은 가장 바람직하게는 에틸을 나타내고,
R2 는 가장 바람직하게는 시리즈 Q1, Q6, Q11, Q12, Q15, Q16, Q17, Q20, Q27, Q28, Q32, Q33, Q34, Q35, Q37, Q38,Q51, Q56, Q57, Q61, Q62, Q66, Q67, Q69, Q82, Q87, Q105, Q106, Q107 및 Q152 로부터의, 염소, 브롬, 시아노, 메틸, 메톡시 및 트리플루오로메틸로 이루어진 군으로부터의 동일한 또는 상이한 치환기로 일- 또는 이치환되는 융합 비시클릭 고리계를 나타내고,
R3 은 가장 바람직하게는 수소를 나타내고,
X 는 가장 바람직하게는 시리즈 H20 으로부터의 헤테로방향족 고리계를 나타내고,
R5 는 가장 바람직하게는 트리플루오로메틸을 나타내고,
R6 은 가장 바람직하게는 수소를 나타내고,
R7 은 가장 바람직하게는 메틸을 나타내고,
n 은 가장 바람직하게는 1 또는 2 를 나타낸다.
바람직한 구현예에 있어서, 본 발명은 X 가 H1 을 나타내고, A1, R1, R2, R3, R4 , R5, R6, R7 및 n 이 구성 (3-1) 또는 구성 (3-2) 또는 구성 (4-1) 또는 구성 (4-2) 또는 구성 (4-3) 또는 구성 (5-1) 또는 구성 (5-2) 에서 기술한 의미를 가지는 화학식 (I) 의 화합물에 관한 것이다.
바람직한 구현예에 있어서, 본 발명은 X 가 H2 를 나타내고, A1, R1, R2, R3, R4 , R5, R6, R7 및 n 이 구성 (3-1) 또는 구성 (3-2) 또는 구성 (4-1) 또는 구성 (4-2) 또는 구성 (4-3) 또는 구성 (5-1) 또는 구성 (5-2) 에서 기술한 의미를 가지는 화학식 (I) 의 화합물에 관한 것이다.
바람직한 구현예에 있어서, 본 발명은 X 가 H3 을 나타내고, A1, R1, R2, R3, R4 , R5, R6 및 n 이 구성 (3-1) 또는 구성 (3-2) 또는 구성 (4-1) 또는 구성 (4-2) 또는 구성 (4-3) 또는 구성 (5-1) 또는 구성 (5-2) 에서 기술한 의미를 가지는 화학식 (I) 의 화합물에 관한 것이다.
바람직한 구현예에 있어서, 본 발명은 X 가 H4 를 나타내고, A1, R1, R2, R3, R4 , R5, R6 및 n 이 구성 (3-1) 또는 구성 (3-2) 또는 구성 (4-1) 또는 구성 (4-2) 또는 구성 (4-3) 또는 구성 (5-1) 또는 구성 (5-2) 에서 기술한 의미를 가지는 화학식 (I) 의 화합물에 관한 것이다.
바람직한 구현예에 있어서, 본 발명은 X 가 H5 를 나타내고, A1, R1, R2, R3, R4 , R5, R6 및 n 이 구성 (3-1) 또는 구성 (3-2) 또는 구성 (4-1) 또는 구성 (4-2) 또는 구성 (4-3) 또는 구성 (5-1) 또는 구성 (5-2) 에서 기술한 의미를 가지는 화학식 (I) 의 화합물에 관한 것이다.
바람직한 구현예에 있어서, 본 발명은 X 가 H6 을 나타내고, A1, R1, R2, R3, R4 , R5, R6 및 n 이 구성 (3-1) 또는 구성 (3-2) 또는 구성 (4-1) 또는 구성 (4-2) 또는 구성 (4-3) 또는 구성 (5-1) 또는 구성 (5-2) 에서 기술한 의미를 가지는 화학식 (I) 의 화합물에 관한 것이다.
바람직한 구현예에 있어서, 본 발명은 X 가 H7 을 나타내고, A1, R1, R2, R3, R4 , R5, R6 및 n 이 구성 (3-1) 또는 구성 (3-2) 또는 구성 (4-1) 또는 구성 (4-2) 또는 구성 (4-3) 또는 구성 (5-1) 또는 구성 (5-2) 에서 기술한 의미를 가지는 화학식 (I) 의 화합물에 관한 것이다.
바람직한 구현예에 있어서, 본 발명은 X 가 H8 을 나타내고, A1, R1, R2, R3, R4 , R5, R6 및 n 이 구성 (3-1) 또는 구성 (3-2) 또는 구성 (4-1) 또는 구성 (4-2) 또는 구성 (4-3) 또는 구성 (5-1) 또는 구성 (5-2) 에서 기술한 의미를 가지는 화학식 (I) 의 화합물에 관한 것이다.
바람직한 구현예에 있어서, 본 발명은 X 가 H9 를 나타내고, A1, R1, R2, R3, R4 , R5, R6 및 n 이 구성 (3-1) 또는 구성 (3-2) 또는 구성 (4-1) 또는 구성 (4-2) 또는 구성 (4-3) 또는 구성 (5-1) 또는 구성 (5-2) 에서 기술한 의미를 가지는 화학식 (I) 의 화합물에 관한 것이다.
바람직한 구현예에 있어서, 본 발명은 X 가 H10 을 나타내고, A1, R1, R2, R3, R4 , R5, R6 및 n 이 구성 (3-1) 또는 구성 (3-2) 또는 구성 (4-1) 또는 구성 (4-2) 또는 구성 (4-3) 또는 구성 (5-1) 또는 구성 (5-2) 에서 기술한 의미를 가지는 화학식 (I) 의 화합물에 관한 것이다.
바람직한 구현예에 있어서, 본 발명은 X 가 H11 을 나타내고, A1, R1, R2, R3, R4 , R5, R6 및 n 이 구성 (3-1) 또는 구성 (3-2) 또는 구성 (4-1) 또는 구성 (4-2) 또는 구성 (4-3) 또는 구성 (5-1) 또는 구성 (5-2) 에서 기술한 의미를 가지는 화학식 (I) 의 화합물에 관한 것이다.
바람직한 구현예에 있어서, 본 발명은 X 가 H12 를 나타내고, A1, R1, R2, R3, R4 , R5, R6 및 n 이 구성 (3-1) 또는 구성 (3-2) 또는 구성 (4-1) 또는 구성 (4-2) 또는 구성 (4-3) 또는 구성 (5-1) 또는 구성 (5-2) 에서 기술한 의미를 가지는 화학식 (I) 의 화합물에 관한 것이다.
바람직한 구현예에 있어서, 본 발명은 X 가 H13 을 나타내고, A1, R1, R2, R3, R4 , R5, R6 및 n 이 구성 (3-1) 또는 구성 (3-2) 또는 구성 (4-1) 또는 구성 (4-2) 또는 구성 (4-3) 또는 구성 (5-1) 또는 구성 (5-2) 에서 기술한 의미를 가지는 화학식 (I) 의 화합물에 관한 것이다.
바람직한 구현예에 있어서, 본 발명은 X 가 H14 를 나타내고, A1, R1, R2, R3, R4 , R5, R6, R7 및 n 이 구성 (3-1) 또는 구성 (3-2) 또는 구성 (4-1) 또는 구성 (4-2) 또는 구성 (4-3) 또는 구성 (5-1) 또는 구성 (5-2) 에서 기술한 의미를 가지는 화학식 (I) 의 화합물에 관한 것이다.
바람직한 구현예에 있어서, 본 발명은 X 가 H15 를 나타내고, A1, R1, R2, R3, R4 , R5, R6 및 n 이 구성 (3-1) 또는 구성 (3-2) 또는 구성 (4-1) 또는 구성 (4-2) 또는 구성 (4-3) 또는 구성 (5-1) 또는 구성 (5-2) 에서 기술한 의미를 가지는 화학식 (I) 의 화합물에 관한 것이다.
바람직한 구현예에 있어서, 본 발명은 X 가 H16 을 나타내고, A1, R1, R2, R3, R4 , R5, R6 및 n 이 구성 (3-1) 또는 구성 (3-2) 또는 구성 (4-1) 또는 구성 (4-2) 또는 구성 (4-3) 또는 구성 (5-1) 또는 구성 (5-2) 에서 기술한 의미를 가지는 화학식 (I) 의 화합물에 관한 것이다.
바람직한 구현예에 있어서, 본 발명은 X 가 H17 을 나타내고, A1, R1, R2, R3, R4 , R5, R6, R7 및 n 이 구성 (3-1) 또는 구성 (3-2) 또는 구성 (4-1) 또는 구성 (4-2) 또는 구성 (4-3) 또는 구성 (5-1) 또는 구성 (5-2) 에서 기술한 의미를 가지는 화학식 (I) 의 화합물에 관한 것이다.
바람직한 구현예에 있어서, 본 발명은 X 가 H18 을 나타내고, A1, R1, R2, R3, R4 , R5, R6 및 n 이 구성 (3-1) 또는 구성 (3-2) 또는 구성 (4-1) 또는 구성 (4-2) 또는 구성 (4-3) 또는 구성 (5-1) 또는 구성 (5-2) 에서 기술한 의미를 가지는 화학식 (I) 의 화합물에 관한 것이다.
바람직한 구현예에 있어서, 본 발명은 X 가 H19 를 나타내고, A1, R1, R2, R3, R4 , R6, R7 및 n 이 구성 (3-1) 또는 구성 (3-2) 또는 구성 (4-1) 또는 구성 (4-2) 또는 구성 (4-3) 또는 구성 (5-1) 또는 구성 (5-2) 에서 기술한 의미를 가지는 화학식 (I) 의 화합물에 관한 것이다.
바람직한 구현예에 있어서, 본 발명은 X 가 H20 을 나타내고, A1, R1, R2, R3, R4 , R5, R6, R7 및 n 이 구성 (3-1) 또는 구성 (3-2) 또는 구성 (4-1) 또는 구성 (4-2) 또는 구성 (4-3) 또는 구성 (5-1) 또는 구성 (5-2) 에서 기술한 의미를 가지는 화학식 (I) 의 화합물에 관한 것이다.
바람직한 구현예에 있어서, 본 발명은 X 가
을 나타내고, A1, R1, R2, R3, R4 및 n 이 구성 (3-1) 또는 구성 (3-2) 또는 구성 (4-1) 또는 구성 (4-2) 또는 구성 (4-3) 또는 구성 (5-1) 또는 구성 (5-2) 에서 기술한 의미를 가지는 화학식 (I) 의 화합물에 관한 것이다.
바람직한 구현예에 있어서, 본 발명은 A1 이 질소를 나타내고, X, R1, R2, R3, R4 , R5, R6, R7 및 n 이 구성 (3-1) 또는 구성 (3-2) 또는 구성 (4-1) 또는 구성 (4-2) 또는 구성 (4-3) 또는 구성 (5-1) 또는 구성 (5-2) 에서 기술한 의미를 가지는 화학식 (I) 의 화합물에 관한 것이다.
바람직한 정의에 있어서, 달리 명시하지 않는 한,
할로겐은 불소, 염소, 브롬 및 요오드의 군에서, 바람직하게는 불소, 염소 및 브롬의 군에서 선택된다.
특히 바람직한 정의에 있어서, 달리 명시하지 않는 한,
할로겐은 불소, 염소, 브롬 및 요오드의 군에서, 바람직하게는 불소, 염소 및 브롬의 군에서 선택된다.
본 발명의 문맥에 있어서, 다른 곳에서 다르게 정의하지 않는 한, 용어 "알킬" 은, 단독으로 또는 그렇지 않으면 또다른 용어와 조합하여 (예를 들어, 할로알킬), 1 내지 12 개의 탄소 원자를 가지며, 분지형 또는 비분지형일 수 있는 포화 지방족 탄화수소기의 라디칼을 의미하는 것으로 이해된다. C1-C12-알킬 라디칼의 예는 메틸, 에틸, n-프로필, 이소프로필, n-부틸, 이소부틸, sec-부틸, tert-부틸, n-펜틸, 이소펜틸, 네오펜틸, tert-펜틸, 1-메틸부틸, 2-메틸부틸, 1-에틸프로필, 1,2-디메틸프로필, 헥실, n-헵틸, n-옥틸, n-노닐, n-데실, n-운데실 및 n-도데실이다. 이들 알킬 라디칼 중에서도, C1-C6-알킬 라디칼이 특히 바람직하다. C1-C4-알킬 라디칼이 특별히 바람직하다.
본 발명에 따르면, 다른 곳에서 다르게 정의하지 않는 한, 용어 "알케닐" 은, 단독으로 또는 그렇지 않으면 또다른 용어와 조합하여, 하나 이상의 이중 결합을 갖는 직쇄 또는 분지형 C2-C12-알케닐 라디칼, 예를 들어 비닐, 알릴, 1-프로페닐, 이소프로페닐, 1-부테닐, 2-부테닐, 3-부테닐, 1,3-부타디에닐, 1-펜테닐, 2-펜테닐, 3-펜테닐, 4-펜테닐, 1,3-펜타디에닐, 1-헥세닐, 2-헥세닐, 3-헥세닐, 4-헥세닐, 5-헥세닐 및 1,4-헥사디에닐을 의미하는 것으로 이해된다. 이들 중에서도, C2-C6-알케닐 라디칼이 바람직하며, C2-C4-알케닐 라디칼이 특히 바람직하다.
본 발명에 따르면, 다른 곳에서 다르게 정의하지 않는 한, 용어 "알키닐" 은, 단독으로 또는 그렇지 않으면 또다른 용어와 조합하여, 하나 이상의 삼중 결합을 갖는 직쇄 또는 분지형 C2-C12-알키닐 라디칼, 예를 들어 에티닐, 1-프로피닐 및 프로파르길을 의미하는 것으로 이해된다. 이들 중에서도, C3-C6-알키닐 라디칼이 바람직하며, C3-C4-알키닐 라디칼이 특히 바람직하다. 알키닐 라디칼은 또한 하나 이상의 이중 결합을 함유할 수 있다.
본 발명에 따르면, 다른 곳에서 다르게 정의하지 않는 한, 용어 "시클로알킬" 은, 단독으로 또는 그렇지 않으면 또다른 용어와 조합하여, C3-C8-시클로알킬 라디칼, 예를 들어 시클로프로필, 시클로부틸, 시클로펜틸, 시클로헥실, 시클로헵틸 및 시클로옥틸을 의미하는 것으로 이해된다. 이들 중에서도, C3-C6-시클로알킬 라디칼이 바람직하다.
용어 "알콕시" 는, 단독으로 또는 그렇지 않으면 또다른 용어와 조합하여 (예를 들어, 할로알콕시), 본 경우에 있어서 O-알킬 라디칼 (용어 "알킬" 은 상기에서 정의한 바와 같다) 을 의미하는 것으로 이해된다.
할로겐-치환된 라디칼, 예를 들어 할로알킬은, 가능한 치환기의 최대 수까지 모노- 또는 폴리할로겐화된다. 폴리할로겐화의 경우에 있어서, 할로겐 원자는 동일할 수 있거나 또는 상이할 수 있다. 이 경우에 있어서, 할로겐은 불소, 염소, 브롬 또는 요오드, 특히 불소, 염소 또는 브롬이다.
달리 명시하지 않는 한, 임의로 치환되는 라디칼은 일- 또는 다치환될 수 있으며, 다치환의 경우에 있어서의 치환기는 동일하거나 또는 상이할 수 있다.
일반적인 용어에서 또는 바람직한 범위 내에서 상기 주어진 라디칼의 정의 또는 설명은 최종 생성물 및 이에 상응하여 출발 물질 및 중간체에 적용된다. 이들 라디칼의 정의는 원하는 경우, 즉, 각각의 바람직한 범위 사이의 조합을 포함하여, 서로 조합될 수 있다.
본 발명에 따른 바람직한 것은, 상기에서 설명한 의미의 조합을 바람직한 것으로서 함유하는 화학식 (I) 의 화합물을 사용하는 것이다.
본 발명에 따른 특히 바람직한 것은, 상기에서 설명한 의미의 조합을 특히 바람직한 것으로서 함유하는 화학식 (I) 의 화합물을 사용하는 것이다.
본 발명에 따른 매우 특히 바람직한 것은, 상기에서 기술한 정의의 조합을 매우 특히 바람직한 것으로서 함유하는 화학식 (I) 의 화합물을 사용하는 것이다.
본 발명에 따른 가장 바람직한 것은, 상기에서 설명한 의미의 조합을 가장 바람직한 것으로서 함유하는 화학식 (I) 의 화합물을 사용하는 것이다.
치환기의 성질에 따라, 화학식 (I) 의 화합물은 기하 및/또는 광학 활성 이성질체 또는 상이한 조성의 상응하는 이성질체 혼합물의 형태일 수 있다. 이들 입체 이성질체는, 예를 들어 거울상 이성질체, 부분 입체 이성질체, 회전 장애 이성질체 또는 기하 이성질체이다. 그러므로, 본 발명은 순수한 입체 이성질체 및 이들 이성질체의 임의의 원하는 혼합물을 포함한다.
본 발명에 따른 화학식 (I) 의 화합물은 하기의 반응식에 나타낸 방법에 의해 수득할 수 있다:
방법 A
화학식 (I) (식 중, X 는 H1, H2, H4, H5, H6, H7, H8, H9, H14, H19 또는 H20 을 나타낸다) 의 화합물은 공지된 방법에 의해, 예를 들어 WO 2009/131237, WO 2010/125985, WO 2011/043404, WO 2011/040629, WO 2012/086848, WO 2013/018928, WO 2015/000715 또는 WO 2015/133603 에 기재된 방법과 유사하게 제조할 수 있다.
화학식 (I) (식 중, X 는 H1, H2, H4, H5, H6, H7, H8, H9, H14, H19 또는 H20 이다) 의 화합물의 일반적인 제조 방법은 각각 실시예 H2, H5 및 H8 을 참조하여 하기에서 설명한다.
라디칼 R1, R2, R3, R5, R6 및 A1 은 상기에서 기술한 의미를 가지며, A2 는 -N-R7, O 또는 S 를 나타내고, R7 은 상기에서 기술한 의미를 가지며, X1 및 X2 는 할로겐을 나타낸다.
단계 a)
화학식 (VIII) 의 화합물은 US 5576335 에 기재된 방법과 유사하게, 축합제 또는 염기의 존재하에서 화학식 (II) 의 화합물과 화학식 (VII) 의 카르복실산의 반응에 의해 제조할 수 있다.
화학식 (II) 의 화합물은 상업적으로 입수 가능하거나, 또는 공지된 방법에 의해, 예를 들어 US 2003/69257 또는 WO 2006/65703 에 기재된 방법과 유사하게 제조할 수 있다.
화학식 (VII) 의 카르복실산은 상업적으로 입수 가능하거나, 또는 공지된 방법에 의해, 예를 들어 US 2010/234604, WO 2012/61926 또는 Bioorganic and Medicinal Chemistry Letters, 18 (2008), 5023-5026 에 기재된 방법과 유사하게 제조할 수 있다.
화학식 (II) 의 화합물과 화학식 (VII) 의 카르복실산의 반응은 순수하게 또는 용매 중에서 수행될 수 있으며, 우세한 반응 조건 하에서 불활성인 통상적인 용매에서 선택되는 용매 중에서 반응을 수행하는 것이 바람직하다. 에테르, 예를 들어 디이소프로필 에테르, 디옥산, 테트라히드로푸란, 1,2-디메톡시에탄; 할로겐화 탄화수소, 예를 들어 디클로로메탄, 클로로포름, 사염화탄소, 1,2-디클로로에탄 또는 클로로벤젠; 니트릴, 예를 들어 아세토니트릴 또는 프로피오니트릴; 방향족 탄화수소, 예를 들어 톨루엔 또는 자일렌; 비양성자성 극성 용매, 예를 들어 N,N-디메틸포름아미드 또는 N-메틸피롤리돈, 또는 질소-함유 화합물, 예를 들어 피리딘이 바람직하다.
적합한 축합제는, 예를 들어 카르보디이미드, 예컨대 1-(3-디메틸아미노프로필)-3-에틸카르보디이미드 하이드로클로라이드 (EDCI) 또는 1,3-디시클로헥실카르보디이미드이다.
적합한 염기는 이러한 반응에서 전형적으로 사용되는 무기 염기이다. 예로서 알칼리 금속 또는 알칼리 토금속의 아세테이트, 포스페이트, 카보네이트 및 하이드로겐카보네이트로 이루어진 군에서 선택되는 염기를 사용하는 것이 바람직하다. 여기에서는, 나트륨 아세테이트, 인산나트륨, 인산칼륨, 탄산세슘, 탄산나트륨, 탄산칼륨, 탄산수소나트륨, 탄산수소칼륨이 특히 바람직하다.
반응은 감압 하에서, 표준 압력에서 또는 상승 압력 하에서 및 0 ℃ 내지 180 ℃ 의 온도에서 수행될 수 있으며; 바람직하게는, 반응은 표준 압력에서 및 20 ℃ 내지 140 ℃ 의 온도에서 수행된다.
단계 b)
화학식 (IX) 의 화합물은, 예를 들어 WO 2012/86848 에 기재된 방법과 유사하게, 화학식 (VIII) 의 화합물을 축합시킴으로써 제조할 수 있다.
화학식 (IX) 의 화합물의 전환은 순수하게 또는 용매 중에서 수행될 수 있으며, 우세한 반응 조건 하에서 불활성인 통상적인 용매에서 선택되는 용매 중에서 반응을 수행하는 것이 바람직하다. 에테르, 예를 들어 디이소프로필 에테르, 디옥산, 테트라히드로푸란, 1,2-디메톡시에탄, tert-부틸 메틸 에테르; 할로겐화 탄화수소, 예를 들어 디클로로메탄, 클로로포름, 사염화탄소, 1,2-디클로로에탄 또는 클로로벤젠; 니트릴, 예를 들어 아세토니트릴 또는 프로피오니트릴; 방향족 탄화수소, 예를 들어 톨루엔 또는 자일렌; 비양성자성 극성 용매, 예를 들어 N,N-디메틸포름아미드 또는 N-메틸피롤리돈, 또는 질소 화합물, 예를 들어 피리딘이 바람직하다.
반응은 축합제, 산, 염기 또는 염소화제의 존재하에서 수행될 수 있다.
적합한 축합제의 예는 카르보디이미드, 예컨대 1-(3-디메틸아미노프로필)-3-에틸카르보디이미드 하이드로클로라이드 (EDCI) 또는 1,3-디시클로헥실카르보디이미드; 무수물, 예컨대 아세트산 무수물, 트리플루오로아세트산 무수물; 트리페닐포스핀, 염기 및 사염화탄소의 혼합물, 또는 트리페닐포스핀 및 아조 디에스테르, 예를 들어 디에틸아조디카르복실산의 혼합물이다.
상기 기술한 반응에서 사용될 수 있는 적합한 산의 예는 술폰산, 예컨대 파라-톨루엔술폰산; 카르복실산, 예컨대 아세트산, 또는 폴리인산이다.
적합한 염기의 예는 질소 헤테로사이클, 예컨대 피리딘, 피콜린, 2,6-루티딘, 1,8-디아자비시클로[5.4.0]-7-운데센 (DBU); 3차 아민, 예컨대 트리에틸아민 및 N,N-디이소프로필에틸아민; 무기 염기, 예컨대 인산칼륨, 탄산칼륨 및 수소화 나트륨이다.
적합한 염소화제의 예는 인 옥시클로라이드이다.
반응은 감압 하에서, 표준 압력에서 또는 상승 압력 하에서, 및 0 ℃ 내지 200 ℃ 의 온도에서 수행될 수 있다.
단계 c)
화학식 (XI) 의 화합물은 염기의 존재하에서 화학식 (IX) 의 화합물과 화학식 (X) 의 화합물을 반응시킴으로써 제조할 수 있다.
화학식 (X) 의 메르캅탄 유도체, 예를 들어 메틸 메르캅탄, 에틸 메르캅탄 또는 이소프로필 메르캅탄은 상업적으로 입수 가능하거나, 또는 공지된 방법에 의해, 예를 들어 US 2006/25633, US 2006/111591, US 2820062, Chemical Communications, 13 (2000), 1163-1164 또는 Journal of the American Chemical Society, 44 (1922), p. 1329 에 기재된 방법과 유사하게 제조할 수 있다.
화학식 (XI) 의 화합물의 전환은 순수하게 또는 용매 중에서 수행될 수 있으며, 우세한 반응 조건 하에서 불활성인 통상적인 용매에서 선택되는 용매 중에서 반응을 수행하는 것이 바람직하다. 에테르, 예를 들어 디이소프로필 에테르, 디옥산, 테트라히드로푸란, 1,2-디메톡시에탄, tert-부틸 메틸 에테르; 니트릴, 예를 들어 아세토니트릴 또는 프로피오니트릴; 방향족 탄화수소, 예를 들어 톨루엔 또는 자일렌; 비양성자성 극성 용매, 예를 들어 N,N-디메틸포름아미드, N-메틸피롤리돈 또는 디메틸 술폭시드가 바람직하다.
적합한 염기의 예는 알칼리 금속 또는 알칼리 토금속의 아세테이트, 포스페이트 및 카보네이트로 이루어진 군으로부터의 무기 염기이다. 여기에서는, 탄산세슘, 탄산나트륨 및 탄산칼륨이 바람직하다. 또다른 적합한 염기는 알칼리 금속 수소화물, 예를 들어 수소화 나트륨이다.
반응은 감압 하에서, 표준 압력에서 또는 상승 압력 하에서, 및 0 ℃ 내지 200 ℃ 의 온도에서 수행될 수 있다.
단계 d)
화학식 (XII) 의 화합물은 화학식 (XI) 의 화합물을 산화시킴으로써 제조할 수 있다. 산화는 일반적으로 우세한 반응 조건 하에서 불활성인 통상적인 용매에서 선택되는 용매 중에서 수행된다. 할로겐화 탄화수소, 예를 들어 디클로로메탄, 클로로포름, 사염화탄소, 1,2-디클로로에탄 또는 클로로벤젠; 알코올, 예컨대 메탄올 또는 에탄올; 포름산, 아세트산, 프로피온산 또는 물이 바람직하다.
적합한 산화제의 예는 과산화 수소, 메타-클로로퍼벤조산 또는 나트륨 퍼요오데이트이다.
반응은 감압 하에서, 대기압에서 또는 상승 압력 하에서, 및 -20 ℃ 내지 120 ℃ 의 온도에서 수행될 수 있다.
단계 e)
화학식 (XIII) 의 화합물은 화학식 (XII) 의 화합물을 산화시킴으로써 제조할 수 있다. 산화는 일반적으로 용매 중에서 수행된다. 할로겐화 탄화수소, 예를 들어 디클로로메탄, 클로로포름, 사염화탄소, 1,2-디클로로에탄 또는 클로로벤젠; 알코올, 예컨대 메탄올 또는 에탄올; 포름산, 아세트산, 프로피온산 또는 물이 바람직하다.
적합한 산화제의 예는 과산화 수소 및 메타-클로로퍼벤조산이다.
반응은 감압 하에서, 표준 압력에서 또는 상승 압력 하에서, 및 -20 ℃ 내지 120 ℃ 의 온도에서 수행될 수 있다.
단계 f)
화학식 (XIII) 의 화합물은 또한 화학식 (XI) 의 화합물을 산화시킴으로써, 1-단계 공정으로 제조할 수 있다. 산화는 일반적으로 용매 중에서 수행된다. 할로겐화 탄화수소, 예를 들어 디클로로메탄, 클로로포름, 사염화탄소, 1,2-디클로로에탄 또는 클로로벤젠; 알코올, 예컨대 메탄올 또는 에탄올; 포름산, 아세트산, 프로피온산 또는 물이 바람직하다.
적합한 산화제의 예는 과산화 수소 및 메타-클로로퍼벤조산이다.
반응은 감압 하에서, 대기압에서 또는 상승 압력 하에서, 및 -20 ℃ 내지 120 ℃ 의 온도에서 수행될 수 있다.
단계 g)
화학식 (I') (식 중, R2 는 질소를 통해 분자의 나머지에 부착되는 비사이클을 나타낸다) 의 화합물의 제조는, 적합한 용매 또는 희석제 중, 예를 들어 요오드화 구리 (I) 및 염기성 반응 보조제, 예를 들어 트랜스-N,N'-디메틸시클로헥산-1,2-디아민 및 탄산칼륨의 존재하에서, 문헌 (예를 들어, Journal of Organic Chemistry (2010), 69, 5578 참조) 에 공지된 방법에 의해, 예를 들어 화학식 (XIII) (식 중, X2 는 바람직하게는 염소 또는 브롬 계열로부터의 할로겐을 나타낸다) 의 화합물로부터 수행될 수 있다.
화학식 H-R2 의 요구되는 화합물은 상업적으로 입수 가능하거나, 또는 공지된 방법에 의해 제조할 수 있다.
유용한 용매 또는 희석제는 모든 불활성 유기 용매, 예를 들어 지방족 또는 방향족 탄화수소를 포함한다. 톨루엔을 사용하는 것이 바람직하다. 또한, 커플링은, 적합한 용매 또는 희석제 중, 예를 들어 탄산칼륨 또는 탄산세슘과 같은 적합한 염기의 존재하에서 금속 촉매화 없이, 화학식 (XIII) (식 중, X2 는 바람직하게는 불소, 염소 또는 브롬 계열로부터의 할로겐을 나타낸다) 의 화합물로부터 수행될 수 있다. 유용한 용매 또는 희석제는 모든 불활성 유기 용매, 예를 들어 지방족 또는 방향족 탄화수소를 포함한다. 여기에서는, 아세토니트릴 또는 디메틸포름아미드를 사용하는 것이 바람직하다.
화학식 (I') (식 중, R2 는 탄소를 통해 분자의 나머지에 부착되는 비사이클을 나타낸다) 의 화합물은, 일반적으로 공지된 방법 (Chem. Rev. 1995, 95, 2457-2483; Tetrahedron 2002, 58, 9633-9695; Metal-Catalyzed Cross-Coupling Reactions (Eds.: A. de Meijere, F. Diederich), 2nd ed., Wiley-VCH, Weinheim, 2004 참조) 에 의해, 예를 들어 화학식 (XIII) (식 중, X2 는 바람직하게는 염소 또는 브롬 계열로부터의 할로겐을 나타낸다) 의 화합물로부터 제조할 수 있다.
예를 들어, 화학식 (XIII) (식 중, X2 는 바람직하게는 염소 또는 브롬을 나타낸다) 의 화합물은, 공지된 방법 (WO 2010/071819 참조) 에 의해, 전이 금속염의 시리즈로부터의 적합한 촉매의 존재하에서, 적합한 아릴보론산 또는 이의 에스테르와 반응시킴으로써, 화학식 (I') 의 화합물을 수득할 수 있다. 바람직한 커플링 촉매의 예는 팔라듐 촉매, 예컨대 [1,1'-비스(디페닐포스피노)페로센]디클로로팔라듐 (II) 또는 테트라키스(트리페닐포스핀)팔라듐을 포함한다. 상기 방법을 수행하기 위해서 사용되는 적합한 염기성 반응 보조제는 바람직하게는 나트륨 또는 칼륨의 카보네이트이다.
요구되는 (헤테로)아릴보론산 또는 (헤테로)아릴보론산 에스테르의 일부는 공지되어 있으며, 및/또는 상업적으로 입수 가능하거나, 또는 이들은 일반적으로 공지된 방법 (Boronic Acids (eds.: D. G. Hall), 2nd ed., Wiley-VCH, Weinheim, 2011 참조) 에 의해 제조할 수 있다.
단계 g) 에 따른 반응은 또한 화학식 (XI) 또는 (XII) 의 화합물로부터 출발하여 발생할 수 있다.
방법 B
화학식 (I) (식 중, X 는 H10, H11, H15 또는 H16 을 나타낸다) 의 화합물은 공지된 방법에 의해, 예를 들어 US 2009/203705, US 2012/258951, WO 2013/3298 또는 J. Med. Chem. 31, (1988) 1590-1595 에 기재된 방법과 유사하게 제조할 수 있다.
라디칼 A1, R3, R5 및 R6 은 상기에서 기술한 의미를 가진다. X1, X2 및 Y1 은 할로겐을 나타낸다. A2, A3, A4 및 A5 는 서로 독립적으로 CH 또는 N 을 나타낸다 (여기에서, A2, A3, A4 및 A5 는 동시에 N 을 나타내지 않는다).
단계 a)
화학식 (VII) 의 카르복실산은 WO 2011/75643 또는 EP-A-2671582 에 기재된 방법과 유사하게, O,N-디메틸히드록실아민 하이드로클로라이드의 존재하에서 화학식 (XX) 의 바인레브 (Weinreb) 아미드로 전환된다.
화학식 (VII) 의 카르복실산은 상업적으로 입수 가능하거나, 또는 공지된 방법에 의해, 예를 들어 US 2010/234604, WO 2012/61926 또는 Bioorganic and Medicinal Chemistry Letters, 18 (2008), 5023-5026 에 기재된 방법과 유사하게 제조할 수 있다.
단계 b, c)
이어서, 화학식 (XX) 의 화합물은 공지된 방법에 의해, 예를 들어 WO 2011/75643 에 기재된 방법과 유사하게, 예를 들어 메틸마그네슘 브로마이드와 같은 그리나드 시약을 사용하여, 화학식 (XXI) 의 케톤으로 전환시킬 수 있다. 화학식 (XXII) 의 화합물은, 예를 들어 US 2012/302573 에 기재된 방법과 유사하게, 후속의 할로겐화에 의해 수득 가능하다.
단계 d)
화학식 (XXIV) 의 화합물은 화학식 (XXII) 의 화합물을 화학식 (XXIII) 의 아민에 의해 고리화시킴으로써 제조할 수 있다. 고리화는, 공지된 방법에 의해, 예를 들어 WO 2005/66177, WO 2012/88411, WO 2013/3298, US 2009/203705, US 2012/258951, WO 2012/168733, WO 2014/187762 또는 J. Med. Chem. 31 (1988) 1590-1595 에 기재된 방법과 유사하게, 예를 들어 에탄올, 아세토니트릴 또는 N,N-디메틸포름아미드 중에서 수행된다.
화학식 (XXIII) 의 화합물은 상업적으로 입수 가능하다.
화학식 (XXIV) 의 화합물의 화학식 (I) 의 화합물로의 추가 전환은 방법 A 와 유사하게 수행된다.
방법 C
화학식 (I) (식 중, X 는 H17 을 나타낸다) 의 화합물은 공지된 방법에 의해, 예를 들어 WO 2014/142292 에 기재된 방법과 유사하게 제조할 수 있다.
라디칼 A1, R3, R5, R6 및 R7 은 상기에서 기술한 의미를 가진다. X1 및 X2 는 할로겐이다.
단계 a)
화학식 (XXV) 의 화합물은 US 5374646 또는 Bioorganic and Medicinal Chemistry Letters 2003, 13, 1093-1096 에 기재된 방법과 유사하게, 축합제의 존재하에서 화학식 (VII) 의 화합물을 암모니아 공급원과 반응시킴으로써 제조할 수 있다.
화학식 (VII) 의 카르복실산은 상업적으로 입수 가능하거나, 또는 공지된 방법에 의해, 예를 들어 US 2010/234604, WO 2012/61926 또는 Bioorganic and Medicinal Chemistry Letters, 18 (2008), 5023-5026 에 기재된 방법과 유사하게 제조할 수 있다.
화학식 (VII) 의 화합물과 암모니아 공급원의 반응은, 바람직하게는 우세한 반응 조건 하에서 불활성인 통상적인 용매에서 선택되는 용매 중에서 수행된다. 에테르, 예를 들어 디옥산 또는 테트라히드로푸란이 바람직하다.
적합한 축합제는, 예를 들어 카르보닐디이미다졸이다.
반응은 감압 하에서, 표준 압력에서 또는 상승 압력 하에서 수행될 수 있다. 바람직하게는, 반응은 대기압에서 및 20 내지 70 ℃ 의 온도에서 수행된다.
단계 b)
화학식 (XXVII) 의 화합물은 WO 2014/142292 에 기재된 방법과 유사하게, 염기성 매질 중, 팔라듐 촉매의 존재하에서, 화학식 (XXV) 의 화합물을 화학식 (XXVI) 의 화합물과 반응시킴으로써 제조할 수 있다.
화학식 (XXVI) 의 화합물은, 예를 들어 WO 2014/142292 에 기재된 방법과 유사하게 제조할 수 있다. 사용되는 팔라듐 촉매는, 예를 들어 [1,1'-비스-(디페닐포스피노)페로센]디클로로팔라듐 (II) 일 수 있다. 종종, 사용되는 염기는 무기 염기, 예컨대 칼륨 tert-부톡시드이다.
반응은 용매 중에서 수행된다. 종종, 톨루엔이 사용된다.
반응은 감압 하에서, 표준 압력에서 또는 상승 압력 하에서 수행될 수 있다. 바람직하게는, 반응은 대기압에서 및 20 내지 110 ℃ 의 온도에서 수행된다.
화학식 (XXVII) 의 화합물의 화학식 (I) 의 화합물로의 추가 전환은 방법 A 와 유사하게 수행된다.
방법 D
화학식 (I) (식 중, X 는 H3, H12, H13 또는 H18 을 나타낸다) 의 화합물은 공지된 방법에 의해, 예를 들어 WO 2010/091310, WO 2012/66061 또는 WO 2013/099041 에 기재된 방법과 유사하게 제조할 수 있다.
라디칼 A1, R3, R5 및 R6 은 상기에서 기술한 의미를 가진다. A2, A3 및 A6 은 서로 독립적으로 CH 또는 N 을 나타낸다 (여기에서, A2 및 A3 은 동시에 N 을 나타낼 수 없다). X1, X2 및 X3 은 할로겐을 나타낸다.
단계 a)
화학식 (XXX) 의 화합물은, 예를 들어 Angewandte Chemie Int. Ed. 2011, 50, 8944-8947 에 기재된 방법과 유사하게, 팔라듐-촉매화된 N-아릴화에 의해, 화학식 (XXVIII) 의 화합물을 화학식 (XXIX) 의 화합물과 반응시킴으로써 제조할 수 있다.
화학식 (XXVIII) 의 화합물은 상업적으로 입수 가능하거나, 또는 공지된 방법에 의해, 예를 들어 WO 2005/100353, WO 2012/66061 또는 European Journal of Medicinal Chemistry 2010, 45, 2214-2222 에 기재된 방법과 유사하게 제조할 수 있다.
화학식 (XXIX) 의 화합물은 상업적으로 입수 가능하거나, 또는 공지된 방법에 의해, 예를 들어 WO 2013/43518, EP-A-2168965 또는 Journal of Medicinal Chemistry 2003, 46, 1449-1455 에 기재된 방법과 유사하게 제조할 수 있다.
화학식 (XXX) 의 화합물의 화학식 (I) 의 화합물로의 추가 전환은 방법 A 와 유사하게 수행된다.
방법 및 용도
본 발명은 또한 화학식 (I) 의 화합물이 동물 해충 및/또는 이들의 서식지에 대해 작용하도록 허용되는, 동물 해충의 방제 방법에 관한 것이다. 동물 해충의 방제는 바람직하게는 농업 및 임업에서, 및 물질 보호에서 수행된다. 이것은 바람직하게는 인간 또는 동물 신체의 수술적 또는 치료적 처치 방법, 및 인간 또는 동물 신체에 대해 수행되는 진단 방법을 배제한다.
본 발명은 또한 살충제, 특히 작물 보호제로서의, 화학식 (I) 의 화합물의 용도에 관한 것이다.
본 출원의 문맥에 있어서, 각 경우에서의 용어 "살충제" 는 또한 용어 "작물 보호제" 를 항상 포함한다.
양호한 식물 내성, 바람직한 흡열 독성 및 양호한 환경 적합성이 부여된 화학식 (I) 의 화합물은, 생물적 및 비생물적 스트레스 인자에 대해 식물 및 식물 기관을 보호하고, 수확량을 증대시키며, 수확된 물질의 품질을 향상시키고, 농업, 원예, 축산업, 수생 문화, 숲, 정원 및 레저 시설, 저장 제품 및 물질의 보호, 및 위생 부문에서 마주하게 되는 동물 해충, 특히 곤충, 거미, 기생충, 특히 선충 및 연체 동물을 방제하는데 적합하다.
본 특허 출원의 문맥에 있어서, 용어 "위생" 은, 질환, 특히 감염 질환을 예방하는 목적을 가지며, 인간 및 동물의 건강을 보호하고 및/또는 환경을 보호하며 및/또는 청결을 유지하는 역할을 하는 임의의 및 모든 조치, 조항 및 절차를 의미하는 것으로 이해해야 한다. 본 발명에 따르면, 이것은 특히 위생 해충 및/또는 이들의 분비물을 갖지 않는 것을 확실히 하기 위해서, 예를 들어 텍스타일 또는 단단한 표면, 특히 유리, 목재, 시멘트, 도자기, 세라믹, 플라스틱 또는 그렇지 않으면 금속으로 제조된 표면의 세정, 소독 및 살균을 위한 조치를 포함한다. 이와 관련한 본 발명의 보호의 범위는, 바람직하게는 인체 또는 동물의 신체에 적용되는 수술적 또는 치료적 처치 절차, 및 인체 또는 동물의 신체에 대해 수행되는 진단 절차를 배제한다.
용어 "위생 부문" 은, 예를 들어 부엌, 베이커리, 공항, 욕실, 수영장, 백화점, 호텔, 병원, 마구간, 동물 보유 시설 등에서의 위생과 관련하여, 이들 위생 조치, 조항 및 절차가 중요한 모든 영역, 기술 분야 및 산업적 설비를 포함한다.
그러므로, 용어 "위생 해충" 은, 위생 부문에 있어서, 특히 건강을 이유로, 존재가 문제가 되는 하나 이상의 동물 해충을 의미하는 것으로 이해해야 한다. 그러므로, 주요 목적은, 위생 부문에 있어서 위생 해충의 존재 및/또는 이들에의 노출을 회피하거나, 또는 최소 수준으로 제한하는 것이다. 이것은, 특히 감염의 예방 및 기존의 감염의 예방 모두를 위해 사용될 수 있는 살충제의 사용을 통해 달성될 수 있다. 또한, 해충에 대한 노출을 예방하거나 또는 감소시키는 제제를 사용하는 것이 가능하다. 위생 해충은, 예를 들어 하기에서 언급하는 유기체를 포함한다.
따라서, 용어 "위생 보호" 는, 이들 위생 조치, 조항 및 절차에 의해 유지 및/또는 개선되는 모든 행위를 포함한다.
화학식 (I) 의 화합물은 살충제로서 바람직하게 사용될 수 있다. 이들은 통상적으로 민감성 및 내성 종에 대해, 및 또한 모든 또는 일부 발육 단계에 대해 활성이다. 상기 언급한 해충은 하기의 것을 포함한다:
절지 동물문으로부터의, 특히 거미강으로부터의 해충, 예를 들어 아카루스 에스피피. (Acarus spp.), 예를 들어 아카루스 시로 (Acarus siro), 아세리아 쿠코 (Aceria kuko), 아세리아 쉘도니 (Aceria sheldoni), 아쿨로프스 에스피피. (Aculops spp.), 아쿨루스 에스피피. (Aculus spp.), 예를 들어 아쿨루스 폭케우이 (Aculus fockeui), 아쿨루스 슈레크텐달리 (Aculus schlechtendali), 암블리옴마 에스피피. (Amblyomma spp.), 암피테트라니쿠스 비엔넨시스 (Amphitetranychus viennensis), 아르가스 에스피피. (Argas spp.), 부필루스 에스피피. (Boophilus spp.), 브레비팔푸스 에스피피. (Brevipalpus spp.), 예를 들어 브레비팔푸스 포에니시스 (Brevipalpus phoenicis), 브리오비아 그라미눔 (Bryobia graminum), 브리오비아 프라에티오사 (Bryobia praetiosa), 센트루로이데스 에스피피. (Centruroides spp.), 코리오프테스 에스피피. (Chorioptes spp.), 데르마니수스 갈리나에 (Dermanyssus gallinae), 데르마토파고이데스 프테로니시누스 (Dermatophagoides pteronyssinus), 데르마토파고이데스 파리나에 (Dermatophagoides farina), 데르마센토르 에스피피. (Dermacentor spp.), 에오테트라니쿠스 에스피피. (Eotetranychus spp.), 예를 들어 에오테트라니쿠스 히코리아에 (Eotetranychus hicoriae), 에피트리메루스 피리 (Epitrimerus pyri), 유테트라니쿠스 에스피피. (Eutetranychus spp.), 예를 들어 유테트라니쿠스 반크시 (Eutetranychus banksi), 에리오피에스 에스피피. (Eriophyes spp.), 예를 들어 에리오피에스 피리 (Eriophyes pyri), 글리시파구스 도메스티쿠스 (Glycyphagus domesticus), 할로티데우스 데스트룩토르 (Halotydeus destructor), 헤미타르소네무스 에스피피. (Hemitarsonemus spp.), 예를 들어 헤미타르소네무스 라투스 (Hemitarsonemus latus) (= 폴리파고타르소네무스 라투스 (Polyphagotarsonemus latus)), 히알롬마 에스피피. (Hyalomma spp.), 익소데스 에스피피. (Ixodes spp.), 라트로덱투스 에스피피. (Latrodectus spp.), 록소스켈레스 에스피피. (Loxosceles spp.), 뉴트롬비쿨라 아우툼날리스 (Neutrombicula autumnalis), 누페르사 에스피피. (Nuphersa spp.), 올리고니쿠스 에스피피. (Oligonychus spp.), 예를 들어 올리고니쿠스 코페아에 (Oligonychus coffeae), 올리고니쿠스 코니페라룸 (Oligonychus coniferarum), 올리고니쿠스 일리시스 (Oligonychus ilicis), 올리고니쿠스 인디쿠스 (Oligonychus indicus), 올리고니쿠스 만기페루스 (Oligonychus mangiferus), 올리고니쿠스 프라텐시스 (Oligonychus pratensis), 올리고니쿠스 푸니카에 (Oligonychus punicae), 올리고니쿠스 요테르시 (Oligonychus yothersi), 오르니토도루스 에스피피. (Ornithodorus spp.), 오르니토니수스 에스피피. (Ornithonyssus spp.), 파노니쿠스 에스피피. (Panonychus spp.), 예를 들어 파노니쿠스 시트리 (Panonychus citri) (= 메타테트라니쿠스 시트리 (Metatetranychus citri)), 파노니쿠스 울미 (Panonychus ulmi) (= 메타테트라니쿠스 울미 (Metatetranychus ulmi)), 필로코프트루타 올레이보라 (Phyllocoptruta oleivora), 플라티테트라니쿠스 물티디기툴리 (Platytetranychus multidigituli), 폴리파고타르소네무스 라투스 (Polyphagotarsonemus latus), 프소로프테스 에스피피. (Psoroptes spp.), 리피세팔루스 에스피피. (Rhipicephalus spp.), 리조글리푸스 에스피피. (Rhizoglyphus spp.), 사르코프테스 에스피피. (Sarcoptes spp.), 스코르피오 마우루스 (Scorpio maurus), 스테네오타르소네무스 에스피피. (Steneotarsonemus spp.), 스테네오타르소네무스 스핀키 (Steneotarsonemus spinki), 타르소네무스 에스피피. (Tarsonemus spp.), 예를 들어 타르소네무스 콘푸수스 (Tarsonemus confusus), 타르소네무스 팔리두스 (Tarsonemus pallidus), 테트라니쿠스 에스피피. (Tetranychus spp.), 예를 들어 테트라니쿠스 카나덴시스 (Tetranychus canadensis), 테트라니쿠스 신나바리누스 (Tetranychus cinnabarinus), 테트라니쿠스 투르케스타니 (Tetranychus turkestani), 테트라니쿠스 우르티카에 (Tetranychus urticae), 트롬비쿨라 알프레두게시 (Trombicula alfreddugesi), 바에조비스 에스피피. (Vaejovis spp.), 바사테스 리코페르시시 (Vasates lycopersici);
지네강으로부터의 해충, 예를 들어 게오필루스 에스피피. (Geophilus spp.), 스쿠티게라 에스피피. (Scutigera spp.);
톡토기목 또는 강으로부터의 해충, 예를 들어 오니키우루스 아르마투스 (Onychiurus armatus), 스민투루스 비리디스 (Sminthurus viridis);
노래기강으로부터의 해충, 예를 들어 블라니울루스 구툴라투스 (Blaniulus guttulatus);
곤충강으로부터의, 예를 들어 바퀴목으로부터의 해충, 예를 들어 블라타 오리엔탈리스 (Blatta orientalis), 블라텔라 아사히나이 (Blattella asahinai), 블라텔라 게르마니카 (Blattella germanica), 류코파에아 마데라에 (Leucophaea maderae), 로보프테라 데시피엔스 (Loboptera decipiens), 네오스틸로피가 롬비폴리아 (Neostylopyga rhombifolia), 판클로라 에스피피. (Panchlora spp.), 파르코블라타 에스피피. (Parcoblatta spp.), 페리플라네타 에스피피. (Periplaneta spp.), 예를 들어 페리플라네타 아메리카나 (Periplaneta Americana), 페리플라네타 아우스트랄라시아에 (Periplaneta australasiae), 피크노스켈루스 수리나멘시스 (Pycnoscelus surinamensis), 수펠라 론기팔파 (Supella longipalpa);
딱정벌레목으로부터의 해충, 예를 들어 아칼림마 비타툼 (Acalymma vittatum), 아칸토스켈리데스 오브텍투스 (Acanthoscelides obtectus), 아도레투스 에스피피. (Adoretus spp.), 아에티나 투미다 (Aethina tumida), 아겔라스티카 알니 (Agelastica alni), 아그리오테스 에스피피. (Agriotes spp.), 예를 들어 아그리오테스 린네아투스 (Agriotes linneatus), 아그리오테스 만쿠스 (Agriotes mancus), 알피토비우스 디아페리누스 (Alphitobius diaperinus), 암피말론 솔스티티알리스 (Amphimallon solstitialis), 아노비움 푼크타툼 (Anobium punctatum), 아노플로포라 에스피피. (Anoplophora spp.), 안토노무스 에스피피. (Anthonomus spp.), 예를 들어 안토노무스 그란디스 (Anthonomus grandis), 안트레누스 에스피피. (Anthrenus spp.), 아피온 에스피피. (Apion spp.), 아포고니아 에스피피. (Apogonia spp.), 아토마리아 에스피피. (Atomaria spp.), 예를 들어 아토마리아 리네아리스 (Atomaria linearis), 아타게누스 에스피피. (Attagenus spp.), 바리스 카에룰레스켄스 (Baris caerulescens), 브루키디우스 오브텍투스 (Bruchidius obtectus), 브루쿠스 에스피피. (Bruchus spp.), 예를 들어 브루쿠스 피소룸 (Bruchus pisorum), 브루쿠스 루피마누스 (Bruchus rufimanus), 카시다 에스피피. (Cassida spp.), 세로토마 트리푸르카타 (Cerotoma trifurcata), 세우토린쿠스 에스피피. (Ceutorrhynchus spp.), 예를 들어 세우토린쿠스 아시밀리스 (Ceutorrhynchus assimilis), 세우토린쿠스 쿠아드리덴스 (Ceutorrhynchus quadridens), 세우토린쿠스 라파에 (Ceutorrhynchus rapae), 카에톡네마 에스피피. (Chaetocnema spp.), 예를 들어 카에톡네마 콘피니스 (Chaetocnema confinis), 카에톡네마 덴티쿨라타 (Chaetocnema denticulata), 카에톡네마 엑티파 (Chaetocnema ectypa), 클레오누스 멘디쿠스 (Cleonus mendicus), 코노데루스 에스피피. (Conoderus spp.), 코스모폴리테스 에스피피. (Cosmopolites spp.), 예를 들어 코스모폴리테스 소르디두스 (Cosmopolites sordidus), 코스텔리트라 제알란디카 (Costelytra zealandica), 크테니세라 에스피피. (Ctenicera spp.), 쿠르쿨리오 에스피피. (Curculio spp.), 예를 들어 쿠르쿨리오 카리아에 (Curculio caryae), 쿠르쿨리오 카리아트리페스 (Curculio caryatrypes), 쿠르쿨리오 오브투수스 (Curculio obtusus), 쿠르쿨리오 사이이 (Curculio sayi), 크립톨레스테스 페루기네우스 (Cryptolestes ferrugineus), 크립톨레스테스 푸실루스 (Cryptolestes pusillus), 크립토린쿠스 라파티 (Cryptorhynchus lapathi), 크립토린쿠스 만기페라에 (Cryptorhynchus mangiferae), 실린드로코프투루스 에스피피. (Cylindrocopturus spp.), 실린드로코프투루스 아드스페르수스 (Cylindrocopturus adspersus), 실린드로코프투루스 푸르니시 (Cylindrocopturus furnissi), 데르메스테스 에스피피. (Dermestes spp.), 디아브로티카 에스피피. (Diabrotica spp.), 예를 들어 디아브로티카 발테아타 (Diabrotica balteata), 디아브로티카 바르베리 (Diabrotica barberi), 디아브로티카 운데심푼크타타 하와르디 (Diabrotica undecimpunctata howardi), 디아브로티카 운데심푼크타타 운데심푼크타타 (Diabrotica undecimpunctata undecimpunctata), 디아브로티카 비르기페라 비르기페라 (Diabrotica virgifera virgifera), 디아브로티카 비르기페라 제아에 (Diabrotica virgifera zeae), 디코크로시스 에스피피. (Dichocrocis spp.), 디클라디스파 아르미게라 (Dicladispa armigera), 딜로보데루스 에스피피. (Diloboderus spp.), 에피카에루스 에스피피. (Epicaerus spp.), 에필라크나 에스피피. (Epilachna spp.), 예를 들어 에필라크나 보레알리스 (Epilachna borealis), 에필라크나 바리베스티스 (Epilachna varivestis), 에피트릭스 에스피피. (Epitrix spp.), 예를 들어 에피트릭스 쿠쿠메리스 (Epitrix cucumeris), 에피트릭스 푸스쿨라 (Epitrix fuscula), 에피트릭스 히르티펜니스 (Epitrix hirtipennis), 에피트릭스 서브크리니타 (Epitrix subcrinita), 에피트릭스 투베리스 (Epitrix tuberis), 파우스티누스 에스피피. (Faustinus spp.), 기비움 프실로이데스 (Gibbium psylloides), 그나토세루스 코르누투스 (Gnathocerus cornutus), 헬룰라 운달리스 (Hellula undalis), 헤테로니쿠스 아라토르 (Heteronychus arator), 헤테로닉스 에스피피. (Heteronyx spp.), 힐라모르파 엘레간스 (Hylamorpha elegans), 힐로트루페스 바줄루스 (Hylotrupes bajulus), 히페라 포스티카 (Hypera postica), 히포메세스 스쿠아모수스 (Hypomeces squamosus), 히포테네무스 에스피피. (Hypothenemus spp.), 예를 들어 히포테네무스 함페이 (Hypothenemus hampei), 히포테네무스 옵스쿠루스 (Hypothenemus obscurus), 히포테네무스 푸베센스 (Hypothenemus pubescens), 라크노스테르나 콘산귀네아 (Lachnosterna consanguinea), 라시오데르마 세리코르네 (Lasioderma serricorne), 라테티쿠스 오리자에 (Latheticus oryzae), 라트리디우스 에스피피. (Lathridius spp.), 레마 에스피피. (Lema spp.), 레프티노타르사 데셈리네아타 (Leptinotarsa decemlineata), 류코프테라 에스피피. (Leucoptera spp.), 예를 들어 류코프테라 코필라 (Leucoptera coffeella), 리소르호프트루스 오리조필루스 (Lissorhoptrus oryzophilus), 리스트로노투스 (Listronotus) (= 히페로데스 (Hyperodes)) 에스피피. (spp.), 릭수스 에스피피. (Lixus spp.), 루페로데스 에스피피. (Luperodes spp.), 루페로모르파 크산토데라 (Luperomorpha xanthodera), 릭투스 에스피피. (Lyctus spp.), 메가스셀리스 에스피피. (Megascelis spp.), 멜라노투스 에스피피. (Melanotus spp.), 예를 들어 멜라노투스 론굴루스 오레고넨시스 (Melanotus longulus oregonensis), 멜리게테스 아에네우스 (Meligethes aeneus), 멜롤론타 에스피피. (Melolontha spp.), 예를 들어 멜롤론타 멜롤론타 (Melolontha melolontha), 미그돌루스 에스피피. (Migdolus spp.), 모노카무스 에스피피. (Monochamus spp.), 나우팍투스 크산토그라푸스 (Naupactus xanthographus), 네크로비아 에스피피. (Necrobia spp.), 네오갈레루셀라 에스피피. (Neogalerucella spp.), 니프투스 홀롤레우쿠스 (Niptus hololeucus), 오릭테스 리노세로스 (Oryctes rhinoceros), 오리자에필루스 수리나멘시스 (Oryzaephilus surinamensis), 오리자파구스 오리자에 (Oryzaphagus oryzae), 오티오린쿠스 에스피피. (Otiorhynchus spp.), 예를 들어 오티오린쿠스 크리브리콜리스 (Otiorhynchus cribricollis), 오티오린쿠스 리구스티시 (Otiorhynchus ligustici), 오티오린쿠스 오바투스 (Otiorhynchus ovatus), 오티오린쿠스 루고소스트리아루스 (Otiorhynchus rugosostriarus), 오티오린쿠스 술카투스 (Otiorhynchus sulcatus), 오울레마 에스피피. (Oulema spp.), 예를 들어 오울레마 멜라노푸스 (Oulema melanopus), 오울레마 오리자에 (Oulema oryzae), 옥시세토니아 주쿤다 (Oxycetonia jucunda), 파에돈 코클레아리아에 (Phaedon cochleariae), 필로파가 에스피피. (Phyllophaga spp.), 필로파가 헬레리 (Phyllophaga helleri), 필로트레타 에스피피. (Phyllotreta spp.), 예를 들어 필로트레타 아르모라시아에 (Phyllotreta armoraciae), 필로트레타 푸실라 (Phyllotreta pusilla), 필로트레타 라모사 (Phyllotreta ramosa), 필로트레타 스트리올라타 (Phyllotreta striolata), 포필리아 자포니카 (Popillia japonica), 프렘노트리페스 에스피피. (Premnotrypes spp.), 프로스테파누스 트룬카투스 (Prostephanus truncatus), 프실리오데스 에스피피. (Psylliodes spp.), 예를 들어 프실리오데스 아피니스 (Psylliodes affinis), 프실리오데스 크리소세팔라 (Psylliodes chrysocephala), 프실리오데스 푼크툴라타 (Psylliodes punctulata), 프티누스 에스피피. (Ptinus spp.), 리조비우스 벤트랄리스 (Rhizobius ventralis), 리조페르타 도미니카 (Rhizopertha dominica), 린코포루스 에스피피. (Rhynchophorus spp.), 린코포루스 페루기네우스 (Rhynchophorus ferrugineus), 린코포루스 팔마룸 (Rhynchophorus palmarum), 시녹실론 페르포란스 (Sinoxylon perforans), 시토필루스 에스피피. (Sitophilus spp.), 예를 들어 시토필루스 그라나리우스 (Sitophilus granaries), 시토필루스 리네아리스 (Sitophilus linearis), 시토필루스 오리자에 (Sitophilus oryzae), 시토필루스 제아마리스 (Sitophilus zeamais), 스페노포루스 에스피피. (Sphenophorus spp.), 스테고비움 파니세움 (Stegobium paniceum), 스테르네쿠스 에스피피. (Sternechus spp.), 예를 들어 스테르네쿠스 팔루다투스 (Sternechus paludatus), 심필레테스 에스피피. (Symphyletes spp.), 타니메쿠스 에스피피. (Tanymecus spp.), 예를 들어 타니메쿠스 딜라티콜리스 (Tanymecus dilaticollis), 타니메쿠스 인디쿠스 (Tanymecus indicus), 타니메쿠스 팔리아투스 (Tanymecus palliates), 테네브리오 몰리토르 (Tenebrio molitor), 테네브리오이데스 마우레타니쿠스 (Tenebrioides mauretanicus), 트리볼리움 에스피피. (Tribolium spp.), 예를 들어 트리볼리움 아우닥스 (Tribolium audax), 트리볼리움 카스타네움 (Tribolium castaneum), 트리볼리움 콘푸숨 (Tribolium confusum), 트로고데르마 에스피피. (Trogoderma spp.), 티키우스 에스피피. (Tychius spp.), 크실로트레쿠스 에스피피. (Xylotrechus spp.), 자브루스 에스피피. (Zabrus spp.), 예를 들어 자브루스 테네브리오이데스 (Zabrus tenebrioides);
집게벌레목으로부터의 해충, 예를 들어 아니솔라비스 마리티메 (Anisolabis maritime), 포르피쿨라 아우리쿨라리아 (Forficula auricularia), 라비두라 리파리아 (Labidura riparia);
파리목으로부터의 해충, 예를 들어 아에데스 에스피피. (Aedes spp.), 예를 들어 아에데스 아에기프티 (Aedes aegypti), 아에데스 알보픽투스 (Aedes albopictus), 아에데스 스틱티쿠스 (Aedes sticticus), 아에데스 벡산스 (Aedes vexans), 아그로미자 에스피피. (Agromyza spp.), 예를 들어 아그로미자 프론텔라 (Agromyza frontella), 아그로미자 파르비코르니스 (Agromyza parvicornis), 아나스트레파 에스피피. (Anastrepha spp.), 아노펠레스 에스피피. (Anopheles spp.), 예를 들어 아노펠레스 쿠아드리마쿨라투스 (Anopheles quadrimaculatus), 아노펠레스 감비아에 (Anopheles gambiae), 아스폰딜리아 에스피피. (Asphondylia spp.), 박트로세라 에스피피. (Bactrocera spp.), 예를 들어 박트로세라 쿠쿠르비타에 (Bactrocera cucurbitae), 박트로세라 도르살리스 (Bactrocera dorsalis), 박트로세라 올레아에 (Bactrocera oleae), 비비오 호르툴라누스 (Bibio hortulanus), 칼리포라 에리트로세팔라 (Calliphora erythrocephala), 칼리포라 비시나 (Calliphora vicina), 세라티티스 카피타타 (Ceratitis capitata), 키로노무스 에스피피. (Chironomus spp.), 크리소미아 에스피피. (Chrysomya spp.), 크리소프스 에스피피. (Chrysops spp.), 크리소조나 플루비알리스 (Chrysozona pluvialis), 코클리오미아 에스피피. (Cochliomya spp.), 콘타리니아 에스피피. (Contarinia spp.), 예를 들어 콘타리니아 존소니 (Contarinia johnsoni), 콘타리니아 나스투르티이 (Contarinia nasturtii), 콘타리니아 피리보라 (Contarinia pyrivora), 콘타리니아 슐지 (Contarinia schulzi), 콘타리니아 소르기콜라 (Contarinia sorghicola), 콘타리니아 트리티시 (Contarinia tritici), 코르딜로비아 안트로포파가 (Cordylobia anthropophaga), 크리코토푸스 실베스트리스 (Cricotopus sylvestris), 쿨렉스 에스피피. (Culex spp.), 예를 들어 쿨렉스 피피엔스 (Culex pipiens), 쿨렉스 퀸퀘파시아투스 (Culex quinquefasciatus), 쿨리코이데스 에스피피. (Culicoides spp.), 쿨리세타 에스피피. (Culiseta spp.), 쿠테레브라 에스피피. (Cuterebra spp.), 다쿠스 올레아에 (Dacus oleae), 다시네우라 에스피피. (Dasineura spp.), 예를 들어 다시네우라 브라시카에 (Dasineura brassicae), 델리아 에스피피. (Delia spp.), 예를 들어 델리아 안티쿠아 (Delia antiqua), 델리아 코아르크타타 (Delia coarctata), 델리아 플로릴레가 (Delia florilega), 델리아 플라투라 (Delia platura), 델리아 라디쿰 (Delia radicum), 데르마토비아 호미니스 (Dermatobia hominis), 드로소필라 에스피피. (Drosophila spp.), 예를 들어 드로소필라 멜라노가스테르 (Drosophila melanogaster), 드로소필라 스즈키이 (Drosophila suzukii), 에키노크네무스 에스피피. (Echinocnemus spp.), 에울레이아 헤라클레이 (Euleia heraclei), 판니아 에스피피. (Fannia spp.), 가스테로필루스 에스피피. (Gasterophilus spp.), 글로시나 에스피피. (Glossina spp.), 해마토포타 에스피피. (Haematopota spp.), 히드렐리아 에스피피. (Hydrellia spp.), 히드렐리아 그리세올라 (Hydrellia griseola), 힐레미아 에스피피. (Hylemya spp.), 히포보스카 에스피피. (Hippobosca spp.), 히포데르마 에스피피. (Hypoderma spp.), 리리오미자 에스피피. (Liriomyza spp.), 예를 들어 리리오미자 브라시카에 (Liriomyza brassicae), 리리오미자 후이도브렌시스 (Liriomyza huidobrensis), 리리오미자 사티바에 (Liriomyza sativae), 루실리아 에스피피. (Lucilia spp.), 예를 들어 루실리아 쿠프리나 (Lucilia cuprina), 루트조미이아 에스피피. (Lutzomyia spp.), 만소니아 에스피피. (Mansonia spp.), 무스카 에스피피. (Musca spp.), 예를 들어 무스카 도메스티카 (Musca domestica), 무스카 도메스티카 비시나 (Musca domestica vicina), 오에스트루스 에스피피. (Oestrus spp.), 오시넬라 프리트 (Oscinella frit), 파라타니타르수스 에스피피. (Paratanytarsus spp.), 파랄라우테르보르니엘라 서브신크타 (Paralauterborniella subcincta), 페고미아 오데르 (Pegomya oder), 페고미이아 에스피피. (Pegomyia spp.), 예를 들어 페고미아 베타에 (Pegomya betae), 페고미아 히오시아미 (Pegomya hyoscyami), 페고미아 루비보라 (Pegomya rubivora), 플레보토무스 에스피피. (Phlebotomus spp.), 포르비아 에스피피. (Phorbia spp.), 포르미아 에스피피. (Phormia spp.), 피오필라 카세이 (Piophila casei), 플라티파레아 포에실로프테라 (Platyparea poeciloptera), 프로디플로시스 에스피피. (Prodiplosis spp.), 프실라 로사에 (Psila rosae), 라골레티스 에스피피. (Rhagoletis spp.), 예를 들어 라골레티스 신굴라타 (Rhagoletis cingulata), 라골레티스 콤플레타 (Rhagoletis completa), 라골레티스 파우스타 (Rhagoletis fausta), 라골레티스 인디페렌스 (Rhagoletis indifferens), 라골레티스 멘닥스 (Rhagoletis mendax), 라골레티스 포모넬라 (Rhagoletis pomonella), 사르코파가 에스피피. (Sarcophaga spp.), 시물리움 에스피피. (Simulium spp.), 예를 들어 시물리움 메리디오날레 (Simulium meridionale), 스토목시스 에스피피. (Stomoxys spp.), 타바누스 에스피피. (Tabanus spp.), 테타노프스 에스피피. (Tetanops spp.), 티풀라 에스피피. (Tipula spp.), 예를 들어 티풀라 팔루도사 (Tipula paludosa), 티풀라 심플렉스 (Tipula simplex), 톡소트리파나 쿠르비카우다 (Toxotrypana curvicauda);
노린재목으로부터의 해충, 예를 들어 아시지아 아카시아에바일레이아나에 (Acizzia acaciaebaileyanae), 아시지아 도도나에아에 (Acizzia dodonaeae), 아시지아 운카토이데스 (Acizzia uncatoides), 아크리다 투리타 (Acrida turrita), 아시르토시폰 에스피피. (Acyrthosipon spp.), 예를 들어 아시르토시폰 피숨 (Acyrthosiphon pisum), 아크로고니아 에스피피. (Acrogonia spp.), 아에네올라미아 에스피피. (Aeneolamia spp.), 아고노세나 에스피피. (Agonoscena spp.), 알류로칸투스 에스피피. (Aleurocanthus spp.), 알레이로데스 프롤레텔라 (Aleyrodes proletella), 알류롤로부스 바로덴시스 (Aleurolobus barodensis), 알류로트릭수스 플록코수스 (Aleurothrixus floccosus), 알로카리다라 말라이엔시스 (Allocaridara malayensis), 암라스카 에스피피. (Amrasca spp.), 예를 들어 암라스카 비구툴라 (Amrasca bigutulla), 암라스카 데바스탄스 (Amrasca devastans), 아누라피스 카르두이 (Anuraphis cardui), 아오니디엘라 에스피피. (Aonidiella spp.), 예를 들어 아오니디엘라 아우란티이 (Aonidiella aurantii), 아오니디엘라 시트리나 (Aonidiella citrina), 아오니디엘라 이노르나타 (Aonidiella inornata), 아파노스티그마 피리 (Aphanostigma piri), 아피스 에스피피. (Aphis spp.), 예를 들어 아피스 시트리콜라 (Aphis citricola), 아피스 크락키보라 (Aphis craccivora), 아피스 파바에 (Aphis fabae), 아피스 포르베시 (Aphis forbesi), 아피스 글리시네스 (Aphis glycines), 아피스 고시피이 (Aphis gossypii), 아피스 헤데라에 (Aphis hederae), 아피스 일리노이센시스 (Aphis illinoisensis), 아피스 미들레토니 (Aphis middletoni), 아피스 나스투르티이 (Aphis nasturtii), 아피스 네리이 (Aphis nerii), 아피스 포미 (Aphis pomi), 아피스 스피라에콜라 (Aphis spiraecola), 아피스 비부르니필라 (Aphis viburniphila), 아르보리디아 아피칼리스 (Arboridia apicalis), 아리타이닐라 에스피피. (Arytainilla spp.), 아스피디엘라 에스피피. (Aspidiella spp.), 아스피디오투스 에스피피. (Aspidiotus spp.), 예를 들어 아스피디오투스 네리이 (Aspidiotus nerii), 아타누스 에스피피. (Atanus spp.), 아울라코르툼 솔라니 (Aulacorthum solani), 베미시아 타바시 (Bemisia tabaci), 블라스토프실라 옥시덴탈리스 (Blastopsylla occidentalis), 보레이오글리카스피스 멜랄류카에 (Boreioglycaspis melaleucae), 브라키카우두스 헬리크리시 (Brachycaudus helichrysi), 브라키콜루스 에스피피. (Brachycolus spp.), 브레비코리네 브라시카에 (Brevicoryne brassicae), 카코프실라 에스피피. (Cacopsylla spp.), 예를 들어 카코프실라 피리콜라 (Cacopsylla pyricola), 칼리기포나 마르기나타 (Calligypona marginata), 카풀리니아 에스피피. (Capulinia spp.), 카르네오세팔라 풀기다 (Carneocephala fulgida), 세라토바쿠나 라니게라 (Ceratovacuna lanigera), 세르코피다에 (Cercopidae), 세로플라스테스 에스피피. (Ceroplastes spp.), 카에토시폰 프라가에폴리이 (Chaetosiphon fragaefolii), 키오나스피스 테갈렌시스 (Chionaspis tegalensis), 클로리타 오누키이 (Chlorita onukii), 콘드라크리스 로세아 (Chondracris rosea), 크로마피스 주글란디콜라 (Chromaphis juglandicola), 크리솜팔루스 아오니둠 (Chrysomphalus aonidum), 크리솜팔루스 피쿠스 (Chrysomphalus ficus), 시카둘리나 음빌라 (Cicadulina mbila), 코코미틸루스 할리 (Coccomytilus halli), 코쿠스 에스피피. (Coccus spp.), 예를 들어 코쿠스 헤스페리둠 (Coccus hesperidum), 코쿠스 론굴루스 (Coccus longulus), 코쿠스 슈도마그놀리아룸 (Coccus pseudomagnoliarum), 코쿠스 비리디스 (Coccus viridis), 크립토미주스 리비스 (Cryptomyzus ribis), 크립토네오사 에스피피. (Cryptoneossa spp.), 크테나리타이나 에스피피. (Ctenarytaina spp.), 달불루스 에스피피. (Dalbulus spp.), 디알류로데스 키텐데니 (Dialeurodes chittendeni), 디알류로데스 시트리 (Dialeurodes citri), 디아포리나 시트리 (Diaphorina citri), 디아스피스 에스피피. (Diaspis spp.), 디우라피스 에스피피. (Diuraphis spp.), 도랄리스 에스피피. (Doralis spp.), 드로시카 에스피피. (Drosicha spp.), 디사피스 에스피피. (Dysaphis spp.), 예를 들어 디사피스 아피이폴리아 (Dysaphis apiifolia), 디사피스 플란타기네아 (Dysaphis plantaginea), 디사피스 툴리파에 (Dysaphis tulipae), 디스미코쿠스 에스피피. (Dysmicoccus spp.), 엠포아스카 에스피피. (Empoasca spp.), 예를 들어 엠포아스카 아브루프타 (Empoasca abrupta), 엠포아스카 파바에 (Empoasca fabae), 엠포아스카 말리그나 (Empoasca maligna), 엠포아스카 솔라나 (Empoasca solana), 엠포아스카 스테벤시 (Empoasca stevensi), 에리오소마 에스피피. (Eriosoma spp.), 예를 들어 에리오소마 아메리카눔 (Eriosoma americanum), 에리오소마 라니게룸 (Eriosoma lanigerum), 에리오소마 피리콜라 (Eriosoma pyricola), 에리트로네우라 에스피피. (Erythroneura spp.), 유칼립톨리마 에스피피. (Eucalyptolyma spp.), 유필루라 에스피피. (Euphyllura spp.), 유셀리스 빌로바투스 (Euscelis bilobatus), 페리시아 에스피피. (Ferrisia spp.), 피오리니아 에스피피. (Fiorinia spp.), 푸르카스피스 오세아니카 (Furcaspis oceanica), 게오코쿠스 코페아에 (Geococcus coffeae), 글리카스피스 에스피피. (Glycaspis spp.), 헤테로프실라 쿠바나 (Heteropsylla cubana), 헤테로프실라 스피눌로사 (Heteropsylla spinulosa), 호말로디스카 코아굴라타 (Homalodisca coagulata), 히알로프테루스 아룬디니스 (Hyalopterus arundinis), 히알로프테루스 프루니 (Hyalopterus pruni), 이세리아 에스피피. (Icerya spp.), 예를 들어 이세리아 푸르카시 (Icerya purchasi), 이디오세루스 에스피피. (Idiocerus spp.), 이디오스코푸스 에스피피. (Idioscopus spp.), 라오델팍스 스트리아텔루스 (Laodelphax striatellus), 레카니움 에스피피. (Lecanium spp.), 예를 들어 레카니움 코르니 (Lecanium corni) (= 파르테놀레카니움 코르니 (Parthenolecanium corni)), 레피도사페스 에스피피. (Lepidosaphes spp.), 예를 들어 레피도사페스 울미 (Lepidosaphes ulmi), 리파피스 에리시미 (Lipaphis erysimi), 로폴레우카스피스 자포니카 (Lopholeucaspis japonica), 리코르마 델리카툴라 (Lycorma delicatula), 마크로시품 에스피피. (Macrosiphum spp.), 예를 들어 마크로시품 유포르비아에 (Macrosiphum euphorbiae), 마크로시품 릴리이 (Macrosiphum lilii), 마크로시품 로사에 (Macrosiphum rosae), 마크로스텔레스 파시프론스 (Macrosteles facifrons), 마하나르바 에스피피. (Mahanarva spp.), 멜라나피스 사카리 (Melanaphis sacchari), 메트칼피엘라 에스피피. (Metcalfiella spp.), 메트칼파 프루이노사 (Metcalfa pruinosa), 메토폴로피움 디로둠 (Metopolophium dirhodum), 모넬리아 코스탈리스 (Monellia costalis), 모넬리오프시스 페카니스 (Monelliopsis pecanis), 미주스 에스피피. (Myzus spp.), 예를 들어 미주스 아스칼로니쿠스 (Myzus ascalonicus), 미주스 세라시 (Myzus cerasi), 미주스 리구스트리 (Myzus ligustri), 미주스 오르나투스 (Myzus ornatus), 미주스 페르시카에 (Myzus persicae), 미주스 니코티아나에 (Myzus nicotianae), 나소노비아 리비스니그리 (Nasonovia ribisnigri), 네오마스켈리아 에스피피. (Neomaskellia spp.), 네포테틱스 에스피피. (Nephotettix spp.), 예를 들어 네포테틱스 신크티세프스 (Nephotettix cincticeps), 네포테틱스 니그로픽투스 (Nephotettix nigropictus), 네티고니클라 스펙트라 (Nettigoniclla spectra), 닐라파르바타 루겐스 (Nilaparvata lugens), 온코메토피아 에스피피. (Oncometopia spp.), 오르테지아 프라엘론가 (Orthezia praelonga), 옥시아 키넨시스 (Oxya chinensis), 파키프실라 에스피피. (Pachypsylla spp.), 파라베미시아 미리카에 (Parabemisia myricae), 파라트리오자 에스피피. (Paratrioza spp.), 예를 들어 파라트리오자 콕케렐리 (Paratrioza cockerelli), 파를라토리아 에스피피. (Parlatoria spp.), 펨피구스 에스피피. (Pemphigus spp.), 예를 들어 펨피구스 부르사리우스 (Pemphigus bursarius), 펨피구스 포풀리베나에 (Pemphigus populivenae), 페레그리누스 마이디스 (Peregrinus maidis), 페르킨시엘라 에스피피. (Perkinsiella spp.), 페나코쿠스 에스피피. (Phenacoccus spp.), 예를 들어 페나코쿠스 마데이렌시스 (Phenacoccus madeirensis), 플로에오미주스 파세리니이 (Phloeomyzus passerinii), 포로돈 후물리 (Phorodon humuli), 필록세라 에스피피. (Phylloxera spp.), 예를 들어 필록세라 데바스타트릭스 (Phylloxera devastatrix), 필록세라 노타빌리스 (Phylloxera notabilis), 핀나스피스 아스피디스트라에 (Pinnaspis aspidistrae), 플라노코쿠스 에스피피. (Planococcus spp.), 예를 들어 플라노코쿠스 시트리 (Planococcus citri), 프로소피도프실라 플라바 (Prosopidopsylla flava), 프로토풀비나리아 피리포르미스 (Protopulvinaria pyriformis), 슈다울라카스피스 펜타고나 (Pseudaulacaspis pentagona), 슈도코쿠스 에스피피. (Pseudococcus spp.), 예를 들어 슈도코쿠스 칼세올라리아에 (Pseudococcus calceolariae), 슈도코쿠스 콤스톡키 (Pseudococcus comstocki), 슈도코쿠스 론기스피누스 (Pseudococcus longispinus), 슈도코쿠스 마리티무스 (Pseudococcus maritimus), 슈도코쿠스 비부르니 (Pseudococcus viburni), 프실로프시스 에스피피. (Psyllopsis spp.), 프실라 에스피피. (Psylla spp.), 예를 들어 프실라 북시 (Psylla buxi), 프실라 말리 (Psylla mali), 프실라 피리 (Psylla pyri), 프테로말루스 에스피피. (Pteromalus spp.), 풀비나리아 에스피피. (Pulvinaria spp.), 피릴라 에스피피. (Pyrilla spp.), 쿠아드라스피디오투스 에스피피. (Quadraspidiotus spp.), 예를 들어 쿠아드라스피디오투스 주글란스레기아에 (Quadraspidiotus juglansregiae), 쿠아드라스피디오투스 오스트레아에포르미스 (Quadraspidiotus ostreaeformis), 쿠아드라스피디오투스 페르니시오수스 (Quadraspidiotus perniciosus), 쿠에사다 기가스 (Quesada gigas), 라스트로코쿠스 에스피피. (Rastrococcus spp.), 로팔로시품 에스피피. (Rhopalosiphum spp.), 예를 들어 로팔로시품 마이디스 (Rhopalosiphum maidis), 로팔로시품 옥시아칸타에 (Rhopalosiphum oxyacanthae), 로팔로시품 파디 (Rhopalosiphum padi), 로팔로시품 루피아브도미날레 (Rhopalosiphum rufiabdominale), 사이세티아 에스피피. (Saissetia spp.), 예를 들어 사이세티아 코페아에 (Saissetia coffeae), 사이세티아 미란다 (Saissetia miranda), 사이세티아 네글렉타 (Saissetia neglecta), 사이세티아 올레아에 (Saissetia oleae), 스카포이데우스 티타누스 (Scaphoideus titanus), 쉬자피스 그라미눔 (Schizaphis graminum), 셀레나스피두스 아르티쿨라투스 (Selenaspidus articulatus), 시파 블라바 (Sipha flava), 시토비온 아베나에 (Sitobion avenae), 소가타 에스피피. (Sogata spp.), 소가텔라 푸르시페라 (Sogatella furcifera), 소가토데스 에스피피. (Sogatodes spp.), 스틱토세팔라 페스티나 (Stictocephala festina), 시포니누스 필리레아에 (Siphoninus phillyreae), 테날라파라 말라이엔시스 (Tenalaphara malayensis), 테트라고노세펠라 에스피피. (Tetragonocephela spp.), 티노칼리스 카리아에폴리아에 (Tinocallis caryaefoliae), 토마스피스 에스피피. (Tomaspis spp.), 톡소프테라 에스피피. (Toxoptera spp.), 예를 들어 톡소프테라 아우란티이 (Toxoptera aurantii), 톡소프테라 시트리시두스 (Toxoptera citricidus), 트리알류로데스 바포라리오룸 (Trialeurodes vaporariorum), 트리오자 에스피피. (Trioza spp.), 예를 들어 트리오자 디오스피리 (Trioza diospyri), 티플로시바 에스피피. (Typhlocyba spp.), 우나스피스 에스피피. (Unaspis spp.), 비테우스 비티폴리이 (Viteus vitifolii), 지기나 에스피피. (Zygina spp.);
이시류 아목으로부터의 해충, 예를 들어 아엘리아 에스피피. (Aelia spp.), 아나사 트리스티스 (Anasa tristis), 안테스티오프시스 에스피피. (Antestiopsis spp.), 보이세아 에스피피. (Boisea spp.), 블리수스 에스피피. (Blissus spp.), 칼로코리스 에스피피. (Calocoris spp.), 캄필롬마 리비다 (Campylomma livida), 카벨레리우스 에스피피. (Cavelerius spp.), 시멕스 에스피피. (Cimex spp.), 예를 들어 시멕스 아드준크투스 (Cimex adjunctus), 시멕스 헤미프테루스 (Cimex hemipterus), 시멕스 렉툴라리우스 (Cimex lectularius), 시멕스 필로셀루스 (Cimex pilosellus), 콜라리아 에스피피. (Collaria spp.), 크레온티아데스 딜루투스 (Creontiades dilutus), 다시누스 피페리스 (Dasynus piperis), 디켈로프스 푸르카투스 (Dichelops furcatus), 디코노코리스 헤웨티 (Diconocoris hewetti), 디스데르쿠스 에스피피. (Dysdercus spp.), 유스키스투스 에스피피. (Euschistus spp.), 예를 들어 유스키스투스 헤로스 (Euschistus heros), 유스키스투스 세르부스 (Euschistus servus), 유스키스투스 트리스티그무스 (Euschistus tristigmus), 유스키스투스 바리올라리우스 (Euschistus variolarius), 유리데마 에스피피. (Eurydema spp.), 유리가스테르 에스피피. (Eurygaster spp.), 할리오모르파 할리스 (Halyomorpha halys), 헬리오펠티스 에스피피. (Heliopeltis spp.), 호르시아스 노빌렐루스 (Horcias nobilellus), 레프토코리사 에스피피. (Leptocorisa spp.), 레프토코리사 바리코르니스 (Leptocorisa varicornis), 레프토글로수스 옥시덴탈리스 (Leptoglossus occidentalis), 레프토글로수스 필로푸스 (Leptoglossus phyllopus), 리고코리스 에스피피. (Lygocoris spp.), 예를 들어 리고코리스 파불리누스 (Lygocoris pabulinus), 리구스 리고코리스 (Lygus spp.), 예를 들어 리구스 엘리수스 (Lygus elisus), 리구스 헤스페루스 (Lygus hesperus), 리구스 리네올라리스 (Lygus lineolaris), 마크로페스 엑스카바투스 (Macropes excavatus), 메가코프타 크리브라리아 (Megacopta cribraria), 미리다에 (Miridae), 모날로니온 아트라툼 (Monalonion atratum), 네자라 에스피피. (Nezara spp.), 예를 들어 네자라 비리둘라 (Nezara viridula), 니시우스 에스피피. (Nysius spp.), 오에발루스 에스피피. (Oebalus spp.), 펜토미다에 (Pentomidae), 피에스마 쿠아드라타 (Piesma quadrata), 피에조도루스 에스피피. (Piezodorus spp.), 예를 들어 피에조도루스 귈디니이 (Piezodorus guildinii), 프살루스 에스피피. (Psallus spp.), 슈다시스타 페르세아 (Pseudacysta persea), 로드니우스 에스피피. (Rhodnius spp.), 살베르겔라 신굴라리스 (Sahlbergella singularis), 스카프토코리스 카스타네아 (Scaptocoris castanea), 스코티노포라 에스피피. (Scotinophora spp.), 스테파니티스 나쉬 (Stephanitis nashi), 티브라카 에스피피. (Tibraca spp.), 트리아토마 에스피피. (Triatoma spp.);
벌목으로부터의 해충, 예를 들어 아크로미르멕스 에스피피. (Acromyrmex spp.), 아탈리아 에스피피. (Athalia spp.), 예를 들어 아탈리아 로사에 (Athalia rosae), 아타 에스피피. (Atta spp.), 캄포노투스 에스피피. (Camponotus spp.), 돌리코베스풀라 에스피피. (Dolichovespula spp.), 디프리온 에스피피. (Diprion spp.), 예를 들어 디프리온 시밀리스 (Diprion similis), 호플로캄파 에스피피. (Hoplocampa spp.), 예를 들어 호플로캄파 쿠케이 (Hoplocampa cookei), 호플로캄파 테스투디네아 (Hoplocampa testudinea), 라시우스 에스피피. (Lasius spp.), 리네피테마 (Linepithema) (이리디오미르멕스 (Iridiomyrmex)) 후밀레 (humile), 모노모리움 파라오니스 (Monomorium pharaonis), 파라트레키나 에스피피. (Paratrechina spp.), 파라베스풀라 에스피피. (Paravespula spp.), 플라기올레피스 에스피피. (Plagiolepis spp.), 시렉스 에스피피. (Sirex spp.), 솔레노프시스 인빅타 (Solenopsis invicta), 타피노마 에스피피. (Tapinoma spp.), 테크노미르멕스 알비페스 (Technomyrmex albipes), 우로세루스 에스피피. (Urocerus spp.), 베스파 에스피피. (Vespa spp.), 예를 들어 베스파 크라브로 (Vespa crabro), 와스만니아 아우로푼크타타 (Wasmannia auropunctata), 크세리스 에스피피. (Xeris spp.);
쥐며느리목으로부터의 해충, 예를 들어 아르마딜리디움 불가레 (Armadillidium vulgare), 오니스쿠스 아셀루스 (Oniscus asellus), 포르셀리오 스카베르 (Porcellio scaber);
흰개미목으로부터의 해충, 예를 들어 코프토테르메스 에스피피. (Coptotermes spp.), 예를 들어 코프토테르메스 포르모사누스 (Coptotermes formosanus), 코르니테르메스 쿠물란스 (Cornitermes cumulans), 크립토테르메스 에스피피. (Cryptotermes spp.), 인시시테르메스 에스피피. (Incisitermes spp.), 칼로테르메스 에스피피. (Kalotermes spp.), 미크로테르미스 오베시 (Microtermes obesi), 나수티테르메스 에스피피. (Nasutitermes spp.), 오돈토테르메스 에스피피. (Odontotermes spp.), 포로테르메스 에스피피. (Porotermes spp.), 레티쿨리테르메스 에스피피. (Reticulitermes spp.), 예를 들어 레티쿨리테르메스 플라비페스 (Reticulitermes flavipes), 레티쿨리테르메스 헤스페루스 (Reticulitermes hesperus);
나비목으로부터의 해충, 예를 들어 아크로이아 그리셀라 (Achroia grisella), 아크로닉타 마조르 (Acronicta major), 아독소피에스 에스피피. (Adoxophyes spp.), 예를 들어 아독소피에스 오라나 (Adoxophyes orana), 아에디아 류코멜라스 (Aedia leucomelas), 아그로티스 에스피피. (Agrotis spp.), 예를 들어 아그로티스 세게툼 (Agrotis segetum), 아그로티스 입실론 (Agrotis ipsilon), 알라바마 에스피피. (Alabama spp.), 예를 들어 알라바마 아르길라세아 (Alabama argillacea), 아미엘로이스 트란시텔라 (Amyelois transitella), 아나르시아 에스피피. (Anarsia spp.), 안티카르시아 에스피피. (Anticarsia spp.), 예를 들어 안티카르시아 겜마탈리스 (Anticarsia gemmatalis), 아르기로플로스 에스피피. (Argyroploce spp.), 오토그라파 에스피피. (Autographa spp.), 바라트라 브라시카에 (Barathra brassicae), 블라스토다크나 아트라 (Blastodacna atra), 보르보 신나라 (Borbo cinnara), 북쿨라트릭스 투르베리엘라 (Bucculatrix thurberiella), 부팔루스 피니아리우스 (Bupalus piniarius), 부세올라 에스피피. (Busseola spp.), 카코에시아 에스피피. (Cacoecia spp.), 칼로프틸리아 테이보라 (Caloptilia theivora), 카푸아 레티쿨라나 (Capua reticulana), 카르포카프사 포모넬라 (Carpocapsa pomonella), 카르포시나 니포넨시스 (Carposina niponensis), 케이마토비아 브루마타 (Cheimatobia brumata), 킬로 에스피피. (Chilo spp.), 예를 들어 킬로 플레자델루스 (Chilo plejadellus), 킬로 수프레살리스 (Chilo suppressalis), 코레우티스 파리아나 (Choreutis pariana), 코리스토네우라 에스피피. (Choristoneura spp.), 크리소데익시스 칼시테스 (Chrysodeixis chalcites), 클리시아 암비구엘라 (Clysia ambiguella), 크나팔로세루스 에스피피. (Cnaphalocerus spp.), 크나팔로크로시스 메디날리스 (Cnaphalocrocis medinalis), 크네파시아 에스피피. (Cnephasia spp.), 코노포모르파 에스피피. (Conopomorpha spp.), 코노트라켈루스 에스피피. (Conotrachelus spp.), 코피타르시아 에스피피. (Copitarsia spp.), 시디아 에스피피. (Cydia spp.), 예를 들어 시디아 니그리카나 (Cydia nigricana), 시디아 포모넬라 (Cydia pomonella), 달라카 녹투이데스 (Dalaca noctuides), 디아파니아 에스피피. (Diaphania spp.), 디파로프시스 에스피피. (Diparopsis spp.), 디아트라에아 사카랄리스 (Diatraea saccharalis), 에아리아스 에스피피. (Earias spp.), 엑디톨로파 아우란티움 (Ecdytolopha aurantium), 엘라스모팔푸스 리그노셀루스 (Elasmopalpus lignosellus), 엘다나 사카리나 (Eldana saccharina), 에페스티아 에스피피. (Ephestia spp.), 예를 들어 에페스티아 엘루텔라 (Ephestia elutella), 에페스티아 쿠에니엘라 (Ephestia kuehniella), 에피노티아 에스피피. (Epinotia spp.), 에피피아스 포스트비타나 (Epiphyas postvittana), 에란니스 에스피피. (Erannis spp.), 에르쇼비엘라 무스쿨라나 (Erschoviella musculana), 에티엘라 에스피피. (Etiella spp.), 유도시마 에스피피. (Eudocima spp.), 율리아 에스피피. (Eulia spp.), 유포에실리아 암비구엘라 (Eupoecilia ambiguella), 유프록티스 에스피피. (Euproctis spp.), 예를 들어 유프록티스 크리소로에아 (Euproctis chrysorrhoea), 육소아 에스피피. (Euxoa spp.), 펠티아 에스피피. (Feltia spp.), 갈레리아 멜로넬라 (Galleria mellonella), 그라실라리아 에스피피. (Gracillaria spp.), 그라폴리타 에스피피. (Grapholitha spp.), 예를 들어 그라폴리타 몰레스타 (Grapholita molesta), 그라폴리타 프루니보라 (Grapholita prunivora), 헤딜레프타 에스피피. (Hedylepta spp.), 헬리코베르파 에스피피. (Helicoverpa spp.), 예를 들어 헬리코베르파 아르미게라 (Helicoverpa armigera), 헬리코베르파 제아 (Helicoverpa zea), 헬리오티스 에스피피. (Heliothis spp.), 예를 들어 헬리오티스 비레센스 (Heliothis virescens), 호프만노필라 슈도스프레텔라 (Hofmannophila pseudospretella), 호모에오소마 에스피피. (Homoeosoma spp.), 호모나 에스피피. (Homona spp.), 히포노메우타 파델라 (Hyponomeuta padella), 카키보리아 플라보파시아타 (Kakivoria flavofasciata), 람피데스 에스피피. (Lampides spp.), 라피그마 에스피피. (Laphygma spp.), 라스페이레시아 몰레스타 (Laspeyresia molesta), 류시노데스 오르보날리스 (Leucinodes orbonalis), 류코프테라 에스피피. (Leucoptera spp.), 예를 들어 류코프테라 코필라 (Leucoptera coffeella), 리토콜레티스 에스피피. (Lithocolletis spp.), 예를 들어 리토콜레티스 블란카르델라 (Lithocolletis blancardella), 리토판 안텐나타 (Lithophane antennata), 로베시아 에스피피. (Lobesia spp.), 예를 들어 로베시아 보트라나 (Lobesia botrana), 록사그로티스 알비코스타 (Loxagrotis albicosta), 리만트리아 에스피피. (Lymantria spp.), 예를 들어 리만트리아 디스파르 (Lymantria dispar), 리오네티아 에스피피. (Lyonetia spp.), 예를 들어 리오네티아 클레르켈라 (Lyonetia clerkella), 말라코소마 뉴스트리아 (Malacosoma neustria), 마루카 테스툴랄리스 (Maruca testulalis), 마메스트라 브라시카에 (Mamestra brassicae), 멜라니티스 레다 (Melanitis leda), 모시스 에스피피. (Mocis spp.), 모노피스 오브비엘라 (Monopis obviella), 미팀나 세파라타 (Mythimna separata), 네마포곤 클로아셀루스 (Nemapogon cloacellus), 님풀라 에스피피. (Nymphula spp.), 오이케티쿠스 에스피피. (Oiketicus spp.), 옴피사 에스피피. (Omphisa spp.), 오페로프테라 에스피피. (Operophtera spp.), 오리아 에스피피. (Oria spp.), 오르타가 에스피피. (Orthaga spp.), 오스트리니아 에스피피. (Ostrinia spp.), 예를 들어 오스트리니아 누빌랄리스 (Ostrinia nubilalis), 파놀리스 플람메아 (Panolis flammea), 파르나라 에스피피. (Parnara spp.), 펙티노포라 에스피피. (Pectinophora spp.), 예를 들어 펙티노포라 고시피엘라 (Pectinophora gossypiella), 페릴류코프테라 에스피피. (Perileucoptera spp.), 프토리마에아 에스피피. (Phthorimaea spp.), 예를 들어 프토리마에아 오페르쿨렐라 (Phthorimaea operculella), 필록니스티스 시트렐라 (Phyllocnistis citrella), 필로노릭테르 에스피피. (Phyllonorycter spp.), 예를 들어 필로노릭테르 블란카르델라 (Phyllonorycter blancardella), 필로노릭테르 크라타에겔라 (Phyllonorycter crataegella), 피에리스 에스피피. (Pieris spp.), 예를 들어 피에리스 라파에 (Pieris rapae), 플라티노타 수툴타나 (Platynota stultana), 플로디아 인테르푼크텔라 (Plodia interpunctella), 플루시아 에스피피. (Plusia spp.), 플루텔라 크실로스텔라 (Plutella xylostella) (= 플루텔라 마쿨리펜니스 (Plutella maculipennis)), 프라이스 에스피피. (Prays spp.), 프로데니아 에스피피. (Prodenia spp.), 프로토파르세 에스피피. (Protoparce spp.), 슈달레티아 에스피피. (Pseudaletia spp.), 예를 들어 슈달레티아 우니푼크타 (Pseudaletia unipuncta), 슈도플루시아 인클루덴스 (Pseudoplusia includens), 피라우스타 누빌랄리스 (Pyrausta nubilalis), 라키플루시아 누 (Rachiplusia nu), 쇼에노비우스 에스피피. (Schoenobius spp.), 예를 들어 쇼에노비우스 비푼크티페르 (Schoenobius bipunctifer), 시르포파가 에스피피. (Scirpophaga spp.), 예를 들어 시르포파가 인노타타 (Scirpophaga innotata), 스코티아 세게툼 (Scotia segetum), 세사미아 에스피피. (Sesamia spp.), 예를 들어 세사미아 인페렌스 (Sesamia inferens), 스파르가노티스 에스피피. (Sparganothis spp.), 스포도프테라 에스피피. (Spodoptera spp.), 예를 들어 스포도프테라 에라디아나 (Spodoptera eradiana), 스포도프테라 엑시구아 (Spodoptera exigua), 스포도프테라 프루기페르다 (Spodoptera frugiperda), 스포도프테라 프라에피카 (Spodoptera praefica), 스타트모포다 에스피피. (Stathmopoda spp.), 스테노마 에스피피. (Stenoma spp.), 스토모프테릭스 서브세시벨라 (Stomopteryx subsecivella), 시난테돈 에스피피. (Synanthedon spp.), 테시아 솔라니보라 (Tecia solanivora), 타우메토포에아 에스피피. (Thaumetopoea spp.), 테르메시아 겜마탈리스 (Thermesia gemmatalis), 티네아 클로아셀라 (Tinea cloacella), 티네아 펠리오넬라 (Tinea pellionella), 티네올라 비셀리엘라 (Tineola bisselliella), 토르트릭스 에스피피. (Tortrix spp.), 트리코파가 타페트젤라 (Trichophaga tapetzella), 트리코플루시아 에스피피. (Trichoplusia spp.), 예를 들어 트리코플루시아 니 (Trichoplusia ni), 트리포리자 인세르툴라스 (Tryporyza incertulas), 투타 압솔루타 (Tuta absoluta), 비라콜라 에스피피. (Virachola spp.);
메뚜기 또는 갯노린재목으로부터의 해충, 예를 들어 아케타 도메스티쿠스 (Acheta domesticus), 디크로플루스 에스피피. (Dichroplus spp.), 그릴로탈파 에스피피. (Gryllotalpa spp.), 예를 들어 그릴로탈파 그릴로탈파 (Gryllotalpa gryllotalpa), 히에로글리푸스 에스피피. (Hieroglyphus spp.), 로쿠스타 에스피피. (Locusta spp.), 예를 들어 로쿠스타 미그라토리아 (Locusta migratoria), 멜라노플루스 에스피피. (Melanoplus spp.), 예를 들어 멜라노플루스 데바스타토르 (Melanoplus devastator), 파라틀란티쿠스 우수리엔시스 (Paratlanticus ussuriensis), 쉬스토세르카 그레가리아 (Schistocerca gregaria);
이목으로부터의 해충, 예를 들어 다말리니아 에스피피. (Damalinia spp.), 해마토피누스 에스피피. (Haematopinus spp.), 리노그나투스 에스피피. (Linognathus spp.), 페디쿨루스 에스피피. (Pediculus spp.), 필록세라 바스타트릭스 (Phylloxera vastatrix), 프티루스 푸비스 (Phthirus pubis), 트리코덱테스 에스피피. (Trichodectes spp.);
다듬이벌레목으로부터의 해충, 예를 들어 레피노투스 에스피피. (Lepinotus spp.), 리포스셀리스 에스피피. (Liposcelis spp.);
벼룩목으로부터의 해충, 예를 들어 세라토필루스 에스피피. (Ceratophyllus spp.), 크테노세팔리데스 에스피피. (Ctenocephalides spp.), 예를 들어 크테노세팔리데스 카니스 (Ctenocephalides canis), 크테노세팔리데스 펠리스 (Ctenocephalides felis), 풀렉스 이리탄스 (Pulex irritans), 툰가 페네트란스 (Tunga penetrans), 크세노프실라 케오피스 (Xenopsylla cheopis);
총채벌레목으로부터의 해충, 예를 들어 아나포트리프스 옵스쿠루스 (Anaphothrips obscurus), 발리오트리프스 비포르미스 (Baliothrips biformis), 카에타나포트리프스 리우웨니 (Chaetanaphothrips leeuweni), 드레파노트리프스 레우테리 (Drepanothrips reuteri), 엔네오트리프스 플라벤스 (Enneothrips flavens), 프란클리니엘라 에스피피. (Frankliniella spp.), 예를 들어 프란클리니엘라 푸스카 (Frankliniella fusca), 프란클리니엘라 옥시덴탈리스 (Frankliniella occidentalis), 프란클리니엘라 슐트제이 (Frankliniella schultzei), 프란클리니엘라 트리티시 (Frankliniella tritici), 프란클리니엘라 박시니이 (Frankliniella vaccinii), 프란클리니엘라 윌리암시 (Frankliniella williamsi), 하플로트리프스 에스피피. (Haplothrips spp.), 헬리오트리프스 에스피피. (Heliothrips spp.), 헤르시노트리프스 페모랄리스 (Hercinothrips femoralis), 카코트리프스 에스피피. (Kakothrips spp.), 리피포로트리프스 크루엔타투스 (Rhipiphorothrips cruentatus), 시르토트리프스 에스피피. (Scirtothrips spp.), 타에니오트리프스 카르다모미 (Taeniothrips cardamomi), 트리프스 에스피피. (Thrips spp.), 예를 들어 트리프스 팔미 (Thrips palmi), 트리프스 타바시 (Thrips tabaci);
좀목 (= 좀류) 으로부터의 해충, 예를 들어 크테놀레피스마 에스피피. (Ctenolepisma spp.), 레피스마 사카리나 (Lepisma saccharina), 레피스모데스 인퀼리누스 (Lepismodes inquilinus), 테르모비아 도메스티카 (Thermobia domestica);
결합강으로부터의 해충, 예를 들어 스쿠티게렐라 에스피피. (Scutigerella spp.), 예를 들어 스쿠티게렐라 임마쿨라타 (Scutigerella immaculata);
연체 동물문으로부터의, 예를 들어 이매패강으로부터의 해충, 예를 들어 드레이세나 에스피피. (Dreissena spp.);
및 또한 복족강으로부터의 해충, 예를 들어 아리온 에스피피. (Arion spp.), 예를 들어 아리온 아테르 루푸스 (Arion ater rufus), 비옴팔라리아 에스피피. (Biomphalaria spp.), 불리누스 에스피피. (Bulinus spp.), 데로세라스 에스피피. (Deroceras spp.), 예를 들어 데로세라스 라에베 (Deroceras laeve), 갈바 에스피피. (Galba spp.), 림나에아 에스피피. (Lymnaea spp.), 온코멜라니아 에스피피. (Oncomelania spp.), 포마세아 에스피피. (Pomacea spp.), 숙시네아 에스피피. (Succinea spp.);
선충, 즉, 식물 기생성 선충문으로부터의 식물 해충, 특히 아글렌쿠스 에스피피. (Aglenchus spp.), 예를 들어 아글렌쿠스 아그리콜라 (Aglenchus agricola), 안귀나 에스피피. (Anguina spp.), 예를 들어 안귀나 트리티시 (Anguina tritici), 아펠렌코이데스 에스피피. (Aphelenchoides spp.), 예를 들어 아펠렌코이데스 아라키디스 (Aphelenchoides arachidis), 아펠렌코이데스 프라가리아에 (Aphelenchoides fragariae), 벨로놀라이무스 에스피피. (Belonolaimus spp.), 예를 들어 벨로놀라이무스 그라실리스 (Belonolaimus gracilis), 벨로놀라이무스 론기카우다투스 (Belonolaimus longicaudatus), 벨로놀라이무스 노르토니 (Belonolaimus nortoni), 부르사펠렌쿠스 에스피피. (Bursaphelenchus spp.), 예를 들어 부르사펠렌쿠스 코코필루스 (Bursaphelenchus cocophilus), 부르사펠렌쿠스 에레무스 (Bursaphelenchus eremus), 부르사펠렌쿠스 크실로필루스 (Bursaphelenchus xylophilus), 카코파우루스 에스피피. (Cacopaurus spp.), 예를 들어 카코파우루스 페스티스 (Cacopaurus pestis), 크리코네멜라 에스피피. (Criconemella spp.), 예를 들어 크리코네멜라 쿠르바타 (Criconemella curvata), 크리코네멜라 오노엔시스 (Criconemella onoensis), 크리코네멜라 오르나타 (Criconemella ornata), 크리코네멜라 루시움 (Criconemella rusium), 크리코네멜라 크세노플락스 (Criconemella xenoplax) (= 메소크리코네마 크세노플락스 (Mesocriconema xenoplax)), 크리코네모이데스 에스피피. (Criconemoides spp.), 예를 들어 크리코네모이데스 페르니아에 (Criconemoides ferniae), 크리코네모이데스 오노엔스 (Criconemoides onoense), 크리코네모이데스 오르나툼 (Criconemoides ornatum), 디틸렌쿠스 에스피피. (Ditylenchus spp.), 예를 들어 디틸렌쿠스 디프사시 (Ditylenchus dipsaci), 돌리코도루스 에스피피. (Dolichodorus spp.), 글로보데라 에스피피. (Globodera spp.), 예를 들어 글로보데라 팔리다 (Globodera pallida), 글로보데라 로스토키엔시스 (Globodera rostochiensis), 헬리코틸렌쿠스 에스피피. (Helicotylenchus spp.), 예를 들어 헬리코틸렌쿠스 디히스테라 (Helicotylenchus dihystera), 헤미크리코네모이데스 에스피피. (Hemicriconemoides spp.), 헤미시클리오포라 에스피피. (Hemicycliophora spp.), 헤테로데라 에스피피. (Heterodera spp.), 예를 들어 헤테로데라 아베나에 (Heterodera avenae), 헤테로데라 글리시네스 (Heterodera glycines), 헤테로데라 샤크티이 (Heterodera schachtii), 히르쉬마니엘라 에스피피. (Hirschmaniella spp.), 호플롤라이무스 에스피피. (Hoplolaimus spp.), 론기도루스 에스피피. (Longidorus spp.), 예를 들어 론기도루스 아프리카누스 (Longidorus africanus), 멜로이도기네 에스피피. (Meloidogyne spp.), 예를 들어 멜로이도기네 키트우디 (Meloidogyne chitwoodi), 멜로이도기네 팔락스 (Meloidogyne fallax), 멜로이도기네 하플라 (Meloidogyne hapla), 멜로이도기네 인코그니타 (Meloidogyne incognita), 멜로이네마 에스피피. (Meloinema spp.), 나코부스 에스피피. (Nacobbus spp.), 네오틸렌쿠스 에스피피. (Neotylenchus spp.), 파랄론기도루스 에스피피. (Paralongidorus spp.), 파라펠렌쿠스 에스피피. (Paraphelenchus spp.), 파라트리코도루스 에스피피. (Paratrichodorus spp.), 예를 들어 파라트리코도루스 미노르 (Paratrichodorus minor), 파라틸렌쿠스 에스피피. (Paratylenchus spp.), 프라틸렌쿠스 에스피피. (Pratylenchus spp.), 예를 들어 프라틸렌쿠스 페네트란스 (Pratylenchus penetrans), 슈도할렌쿠스 에스피피. (Pseudohalenchus spp.), 프실렌쿠스 에스피피. (Psilenchus spp.), 푼크토데라 에스피피. (Punctodera spp.), 퀴니술시우스 에스피피. (Quinisulcius spp.), 라도폴루스 에스피피. (Radopholus spp.), 예를 들어 라도폴루스 시트로필루스 (Radopholus citrophilus), 라도폴루스 시밀리스 (Radopholus similis), 로틸렌쿨루스 에스피피. (Rotylenchulus spp.), 로틸렌쿠스 에스피피. (Rotylenchus spp.), 스쿠텔로네마 에스피피. (Scutellonema spp.), 서브안귀나 에스피피. (Subanguina spp.), 트리코도루스 에스피피. (Trichodorus spp.), 예를 들어 트리코도루스 오브투수스 (Trichodorus obtusus), 트리코도루스 프리미티부스 (Trichodorus primitivus), 틸렌코린쿠스 에스피피. (Tylenchorhynchus spp.), 예를 들어 틸렌코린쿠스 안눌라투스 (Tylenchorhynchus annulatus), 틸렌쿨루스 에스피피. (Tylenchulus spp.), 예를 들어 틸렌쿨루스 세미페네트란스 (Tylenchulus semipenetrans), 시피네마 에스피피. (Xiphinema spp.), 예를 들어 시피네마 인덱스 (Xiphinema index).
화학식 (I) 의 화합물은 또한 임의로, 특정한 농도 또는 적용율로, 제초제, 독성 완화제, 성장 조절제 또는 식물 특성 개선제로서, 살미생물제 또는 살정제로서, 예를 들어 살진균제, 항진균제, 살균제, 바이러스 박멸제 (바이로이드에 대한 제제를 포함) 또는 MLO (마이코플라즈마-형 유기체) 및 RLO (리케차-형 유기체) 에 대한 제제로서 사용될 수 있다. 또한, 이들은, 경우에 따라서, 다른 활성 화합물의 합성을 위한 중간체 또는 전구체로서 사용될 수 있다.
제제
본 발명은 또한 하나 이상의 화학식 (I) 의 화합물을 포함하는, 살충제, 예를 들어 드렌치액, 드립액 및 스프레이액으로서의 제제 및 이로부터 제조되는 사용 형태에 관한 것이다. 임의로, 사용 형태는 추가의 살충제 및/또는 작용을 개선시키는 아쥬반트, 예컨대 침투제, 예를 들어 식물성 오일, 예를 들어 유채씨 오일, 해바라기 오일, 광물성 오일, 예를 들어 파라핀 오일, 식물성 지방산의 알킬 에스테르, 예를 들어 유채씨 오일 메틸 에스테르 또는 대우유 메틸 에스테르, 또는 알칸올 알콕시레이트 및/또는 전착제, 예를 들어 알킬실록산 및/또는 염, 예를 들어 유기 또는 무기 암모늄 또는 포스포늄 염, 예를 들어 황산 암모늄 또는 인산수소 이암모늄 및/또는 유지 촉진제, 예를 들어 디옥틸 술포숙시네이트 또는 히드록시프로필구아르 중합체 및/또는 보습제, 예를 들어 글리세롤 및/또는 비료, 예를 들어 암모늄-, 칼륨- 또는 인-함유 비료를 포함한다.
통상적인 제제는, 예를 들어 수용성 액체 (SL), 유화액 농축물 (EC), 수중 유화액 (EW), 현탁액 농축물 (SC, SE, FS, OD), 수-분산성 과립 (WG), 과립 (GR) 및 캡슐 농축물 (CS) 이다; 이들 및 추가의 가능한 제제 유형은, 예를 들어 Crop Life International 에 의해 및 Pesticide Specifications, Manual on development and use of FAO and WHO specifications for pesticides, FAO Plant Production and Protection Papers - 173, prepared by the FAO/WHO Joint Meeting on Pesticide Specifications, 2004, ISBN: 9251048576 에 기재되어 있다. 제제는, 하나 이상의 화학식 (I) 의 화합물 이외에, 임의로 추가의 농약 활성 화합물을 포함한다.
보조제, 예를 들어 증량제, 용매, 자발성 촉진제, 담체, 유화제, 분산제, 서리 보호제, 살생물제, 증점제 및/또는 추가의 보조제, 예를 들어 아쥬반트를 포함하는 제제 또는 사용 형태가 바람직하다. 이 문맥에서의 아쥬반트는 제제의 생물학적 효과를 향상시키는 성분이며, 상기 성분 자체는 임의의 생물학적 효과를 갖지 않는다. 아쥬반트의 예는 유지, 퍼짐, 잎 표면에의 부착 또는 침투를 촉진시키는 것이 있다.
이들 제제는 공지의 방식으로, 예를 들어 화학식 (I) 의 화합물을 보조제, 예를 들어 증량제, 용매 및/또는 고형 담체 및/또는 다른 보조제, 예를 들어 계면활성제와 혼합함으로써 제조된다. 제제는 적합한 설비에서 또는 그렇지 않으면 적용 전에 또는 적용 동안에 제조된다.
사용되는 보조제는, 화학식 (I) 의 화합물의 제제에, 또는 이들 제제로부터 제조되는 사용 형태 (예를 들어, 즉시 사용 가능한 살충제, 예컨대 스프레이액 또는 종자 드레싱 제품) 에, 특별한 특성, 예컨대 특정한 물리적, 기술적 및/또는 생물학적 특성을 부여하는데 적합한 물질일 수 있다.
적합한 증량제는, 예를 들어 물, 예를 들어 방향족 및 비-방향족 탄화수소 (예컨대, 파라핀, 알킬벤젠, 알킬나프탈렌, 클로로벤젠), 알코올 및 폴리올 (적절한 경우, 또한 치환, 에테르화 및/또는 에스테르화될 수 있음), 케톤 (예컨대, 아세톤, 시클로헥사논), 에스테르 (지방 및 오일을 포함) 및 (폴리)에테르, 간단한 및 치환된 아민, 아미드, 락탐 (예컨대, N-알킬피롤리돈) 및 락톤, 술폰 및 술폭시드 (예컨대, 디메틸 술폭시드) 의 부류로부터의 극성 및 비극성 유기 화학 액체이다.
사용되는 증량제가 물인 경우, 또한, 예를 들어 보조 용매로서 유기 용매를 사용하는 것이 가능하다. 유용한 액체 용매는 본질적으로 다음과 같다: 방향족, 예컨대 자일렌, 톨루엔 또는 알킬나프탈렌, 염소화된 방향족 또는 염소화된 지방족 탄화수소, 예컨대 클로로벤젠, 클로로에틸렌 또는 메틸렌 클로라이드, 지방족 탄화수소, 예컨대 시클로헥산 또는 파라핀, 예를 들어 광물성 오일 유분, 광물성 및 식물성 오일, 알코올, 예컨대 부탄올 또는 글리콜 및 이들의 에테르 및 에스테르, 케톤, 예컨대 아세톤, 메틸 에틸 케톤, 메틸 이소부틸 케톤 또는 시클로헥사논, 강한 극성 용매, 예컨대 디메틸포름아미드 및 디메틸 술폭시드, 및 또한 물.
원칙적으로, 모든 적합한 용매를 사용하는 것이 가능하다. 적합한 용매의 예는 방향족 탄화수소, 예를 들어 자일렌, 톨루엔 또는 알킬나프탈렌, 염소화된 방향족 또는 염소화된 지방족 탄화수소, 예를 들어 클로로벤젠, 클로로에틸렌 또는 메틸렌 클로라이드, 지방족 탄화수소, 예를 들어 시클로헥산, 파라핀, 석유 유분, 광물성 및 식물성 오일, 알코올, 예를 들어 메탄올, 에탄올, 이소프로판올, 부탄올 또는 글리콜 및 이들의 에테르 및 에스테르, 케톤, 예를 들어 아세톤, 메틸 에틸 케톤, 메틸 이소부틸 케톤 또는 시클로헥사논, 강한 극성 용매, 예를 들어 디메틸 술폭시드, 및 물이다.
원칙적으로, 모든 적합한 담체를 사용하는 것이 가능하다. 유용한 담체는 특히, 예를 들어 암모늄염 및 천연, 미세 분쇄 암석, 예컨대 카올린, 알루미나, 탈크, 쵸크, 석영, 아타풀자이트, 몬모릴로나이트 또는 규조토, 및 합성, 미세 분쇄 암석, 예컨대 고분산 실리카, 산화 알루미늄 및 천연 또는 합성 실리케이트, 수지, 왁스 및/또는 고형 비료를 포함한다. 마찬가지로, 이러한 담체의 혼합물을 사용하는 것이 가능하다. 과립에 유용한 담체는 다음과 같다: 예를 들어, 분쇄된 및 분별된 천연 암석, 예컨대 방해석, 대리석, 경석, 해포석, 백운석, 및 무기 및 유기 가루의 합성 과립, 및 또한 유기 물질의 과립, 예컨대 톱밥, 지류, 코코넛 껍질, 옥수수 속대 및 담배 줄기.
또한, 액화된 기상 증량제 또는 용매를 사용하는 것이 가능하다. 특히 적합한 증량제 또는 담체는 표준 온도에서 및 대기압 하에서 기체상인 것, 예를 들어 에어로졸 추진제, 예컨대 할로겐화 탄화수소, 및 또한 부탄, 프로판, 질소 및 이산화 탄소이다.
이온성 또는 비이온성 특성을 갖는 유화제 및/또는 거품 형성제, 분산제 또는 습윤제, 또는 이들 표면 활성 물질의 혼합물의 예는 폴리아크릴산의 염, 리그노술폰산의 염, 페놀술폰산 또는 나프탈렌술폰산의 염, 에틸렌 옥사이드와 지방 알코올 또는 지방산 또는 지방 아민, 치환된 페놀 (바람직하게는, 알킬페놀 또는 아릴페놀) 과의 중축합물, 술포숙신산 에스테르의 염, 타우린 유도체 (바람직하게는, 알킬 타우레이트), 폴리에톡시레이트화된 알코올 또는 페놀의 인산 에스테르, 폴리올의 지방산 에스테르, 및 술페이트, 술포네이트 및 포스페이트를 함유하는 화합물의 유도체, 예를 들어 알킬아릴 폴리글리콜 에테르, 알킬 술포네이트, 알킬 술페이트, 아릴 술포네이트, 단백질 가수 분해물, 리그노술파이트 폐액 및 메틸셀룰로오스이다. 계면활성제의 존재는, 화학식 (I) 의 화합물 중 하나 및/또는 불활성 담체 중 하나가 물에 불용성이고, 적용이 물 중에서 일어나는 경우에 유리하다.
제제 및 이로부터 유도되는 사용 형태 내에 존재할 수 있는 추가의 보조제는 염료, 예컨대 무기 안료, 예를 들어 산화 철, 산화 티탄 및 프루시안 블루, 및 유기 염료, 예컨대 알리자린 염료, 아조 염료 및 금속 프탈로시아닌 염료, 및 영양소 및 미량 영양소, 예컨대 철, 마그네슘, 붕소, 구리, 코발트, 몰리브텐 및 아연의 염을 포함한다.
존재할 수 있는 추가적인 성분은 안정화제, 예컨대 저온 안정화제, 방부제, 산화방지제, 광 안정화제, 또는 화학적 및/또는 물리적 안정성을 향상시키는 다른 작용제이다. 또한, 거품 발생제 또는 소포제가 존재할 수 있다.
또한, 제제 및 이로부터 유도되는 사용 형태는 또한 추가적인 보조제로서, 스티커, 예컨대 카르복시메틸셀룰로오스 및 분말, 과립 또는 격자 형태의 천연 및 합성 중합체, 예컨대 아라비아 검, 폴리비닐 알코올 및 폴리비닐 아세테이트, 또는 그렇지 않으면 천연 인지질, 예컨대 세팔린 및 레시틴 및 합성 인지질을 포함할 수 있다. 추가의 보조제는 광물성 및 식물성 오일일 수 있다.
적절한 경우, 또다른 추가의 보조제가 제제 및 이로부터 유도되는 사용 형태 내에 존재하는 것이 가능하다. 이러한 첨가제의 예는 방향제, 보호 콜로이드, 결합제, 접착제, 증점제, 요변성화제, 침투제, 유지 촉진제, 안정화제, 격리제, 착화제, 보습제, 전착제이다. 일반적으로, 화학식 (I) 의 화합물은, 제제화 목적을 위해 통상적으로 사용되는 임의의 고형 또는 액상 첨가제와 조합될 수 있다.
유용한 유지 촉진제는 동적 표면 장력을 감소시키는 모든 물질, 예를 들어 디옥틸 술포숙시네이트, 또는 점탄성을 증가시키는 모든 물질, 예를 들어 히드록시프로필구아르 중합체를 포함한다.
본 문맥에서 유용한 침투제는, 식물 내로의 농약 활성 화합물의 침투를 향상시키는데 전형적으로 사용되는 모든 물질이다. 침투제는 본 문맥에서, (일반적으로, 수성) 적용액으로부터 및/또는 스프레이 코팅으로부터 식물의 표피 내로 침투하여, 표피 내에서의 활성 화합물의 이동성을 증가시키는 이들의 능력에 의해 정의된다. 문헌 (Baur et al., 1997, Pesticide Science 51, 131-152) 에 기재된 방법은, 이러한 특성을 결정하는데 사용될 수 있다. 그 예는, 알코올 알콕시레이트, 예컨대 코코넛 지방 에톡시레이트 (10) 또는 이소트리데실 에톡시레이트 (12), 지방산 에스테르, 예를 들어 유채씨 오일 메틸 에스테르 또는 대우유 메틸 에스테르, 지방 아민 알콕시레이트, 예를 들어 탤로우아민 에톡시레이트 (15), 또는 암모늄 및/또는 포스포늄 염, 예를 들어 황산 암모늄 또는 인산수소 이암모늄을 포함한다.
제제는, 제제의 중량에 대해서, 바람직하게는 0.00000001 중량% 내지 98 중량% 의 화학식 (I) 의 화합물, 더욱 바람직하게는 0.01 중량% 내지 95 중량% 의 화학식 (I) 의 화합물, 가장 바람직하게는 0.5 중량% 내지 90 중량% 의 화학식 (I) 의 화합물을 포함한다.
제제 (특히, 살충제) 로부터 제조되는 사용 형태에서의 화학식 (I) 의 화합물의 함량은 넓은 범위 내에서 다양할 수 있다. 사용 형태에서의 화학식 (I) 의 화합물의 농도는, 사용 형태의 중량에 대해서, 전형적으로 0.00000001 중량% 내지 95 중량% 의 화학식 (I) 의 화합물, 바람직하게는 0.00001 중량% 내지 1 중량% 의 화학식 (I) 의 화합물일 수 있다. 적용은, 사용 형태에 적절한 통상적인 방식으로 달성된다.
혼합물
화학식 (I) 의 화합물은 또한 하나 이상의 적합한 살진균제, 살균제, 살비제, 살폐제, 살선충제, 살곤충제, 미생물제, 유익한 유기체, 제초제, 비료, 조류 기피제, 식물 영양제, 살균제, 독성 완화제, 신호 화학 물질 및/또는 식물 성장 조절제와의 혼합물로 사용될 수 있으며, 따라서 예를 들어, 작용 범위을 넓히고, 작용 기간을 연장시키고, 작용 속도를 향상시키고, 반발을 방지하거나, 또는 내성의 발달을 방지할 수 있다. 또한, 이러한 종류의 활성 화합물 조합은, 식물 성장 및/또는 비생물적 요인, 예를 들어 고온 또는 저온, 가뭄 또는 상승된 수분 함량 또는 토양 염분에 대한 내성을 향상시킬 수 있다. 또한, 개화 및 결실 성능을 향상시키고, 발아 능력 및 뿌리 발달을 최적화하고, 수확을 용이하게 하고, 수확량을 향상시키고, 성숙에 영향을 미치고, 수확된 생성물의 품질 및/또는 영양가를 향상시키고, 저장 수명을 연장시키고, 및/또는 수확된 생성물의 가공성을 향상시키는 것이 가능하다.
또한, 화학식 (I) 의 화합물은 다른 활성 화합물, 또는 유인 물질 및/또는 조류 기피제 및/또는 식물 활성제 및/또는 성장 조절제 및/또는 비료와 같은 신호 화학 물질과의 혼합물로 존재할 수 있다. 마찬가지로, 화학식 (I) 의 화합물은 식물 특성, 예를 들어 수확된 물질의 성장, 수율 및 품질을 개선하는데 사용할 수 있다.
본 발명에 따른 특정한 구현예에 있어서, 화학식 (I) 의 화합물은 추가의 화합물, 바람직하게는 하기에서 기술하는 바와 같은 것과의 혼합물로, 제제 내에, 또는 이들 제제로부터 제조되는 사용 형태 내에 존재한다.
하기에서 언급하는 화합물 중 하나가 상이한 호변 이성질체 형태로 발생할 수 있는 경우, 각각의 경우에서 명시적으로 언급되지 않는 경우에도, 이들 형태는 또한 포함된다. 경우에 따라, 언급되는 모든 혼합 성분은, 이들이 이들의 관능기에 기초하여 형성할 수 있는 경우, 적합한 염기 또는 산과 염을 형성할 수 있다.
살곤충제/살비제/살선충제
이들의 일반명으로 여기에서 명시되는 활성 화합물은 공지되어 있으며, 예를 들어 "The Pesticide Manual", 16th ed., British Crop Protection Council 2012 에 기재되어 있거나, 또는 인터넷 (예를 들어, http://www.alanwood.net/pesticides) 상에서 검색할 수 있다. 분류는 이 특허 출원의 출원시에 적용 가능한 IRAC Mode of Action Classification Scheme 에 기초한다.
(1) 아세틸콜린에스테라아제 (AChE) 저해제, 예를 들어 카르바메이트, 예를 들어 알라니카르브, 알디카르브, 벤디오카르브, 벤푸라카르브, 부토카르복심, 부톡시카르복심, 카르바릴, 카르보푸란, 카르보술판, 에티오펜카르브, 페노부카르브, 포르메타네이트, 푸라티오카르브, 이소프로카르브, 메티오카르브, 메토밀, 메톨카르브, 옥사밀, 피리미카르브, 프로폭수르, 티오디카르브, 티오파녹스, 트리아자메이트, 트리메타카르브, XMC 및 크실릴카르브, 또는 유기 포스페이트, 예를 들어 아세페이트, 아자메티포스, 아진포스-에틸, 아진포스-메틸, 카두사포스, 클로르에톡시포스, 클로르펜빈포스, 클로르메포스, 클로로피리포스-메틸, 쿠마포스, 시아노포스, 데메톤-S-메틸, 디아지논, 디클로르보스/DDVP, 디크로토포스, 디메토에이트, 디메틸빈포스, 디술포톤, EPN, 에티온, 에토프로포스, 팜푸르, 페나미포스, 페니트로티온, 펜티온, 포스티아제이트, 헵테노포스, 이미시아포스, 이소펜포스, 이소프로필 O-(메톡시아미노티오포스포릴)살리실레이트, 이속사티온, 말라티온, 메카르밤, 메타미도포스, 메티다티온, 메빈포스, 모노크로토포스, 날레드, 오메토에이트, 옥시데메톤-메틸, 파라티온-메틸, 펜토에이트, 포레이트, 포살론, 포스메트, 포스파미돈, 폭심, 피리미포스-메틸, 프로페노포스, 프로페탐포스, 프로티오포스, 피라클로포스, 피리다펜티온, 퀴날포스, 술포테프, 테부피림포스, 테메포스, 테르부포스, 테트라클로르빈포스, 티오메톤, 트리아조포스, 트리클로르폰 및 바미도티온.
(2) GABA-게이트 클로라이드 채널 차단제, 예를 들어 시클로디엔-유기 염소, 예를 들어 클로르단 및 엔도술판 또는 페닐피라졸 (피프롤), 예를 들어 에티프롤 및 피프로닐.
(3) 나트륨 채널 조절제, 예를 들어 피레스로이드, 예를 들어 아크리나트린, 알레트린, d-시스-트랜스 알레트린, d-트랜스 알레트린, 비펜트린, 바이오알레트린, 바이오알레트린 S-시클로펜테닐 이성질체, 바이오레스메트린, 사이클로프로트린, 사이플루트린, 베타-사이플루트린, 사이할로트린, 람다-사이할로트린, 감마-사이할로트린, 사이퍼메트린, 알파-사이퍼메트린, 베타-사이퍼메트린, 세타-사이퍼메트린, 제타-사이퍼메트린, 사이페노트린 [(1R)-트랜스 이성질체], 델타-메트린, 엠펜트린 [(EZ)-(1R) 이성질체], 에스펜발레레이트, 에토펜프록스, 펜프로파트린, 펜발레레이트, 플루시트리네이트, 플루메트린, 타우-플루발리네이트, 할펜프록스, 이미프로트린, 카데트린, 몸플루오로트린, 페르메트린, 페노트린 [(1R)-트랜스 이성질체], 프랄레트린, 피레트린 (피레트룸), 레스메트린, 실라플루오펜, 테플루트린, 테트라메트린, 테트라메트린 [(1R) 이성질체)], 트랄로메트린 및 트란스플루트린 또는 DDT 또는 메톡시클로르.
(4) 니코틴성 아세틸콜린 수용체 (nAChR) 경쟁적 조절제, 예를 들어 네오니코티노이드, 예를 들어 아세타미프리드, 클로티아니딘, 디노테푸란, 이미다클로프리드, 니텐피람, 티아클로프리드 및 티아메톡삼 또는 니코틴 또는 술폭사플로르 또는 플루피라디푸론.
(5) 니코틴성 아세틸콜린 수용체 (nAChR) 알로스테릭 조절제, 예를 들어 스피노신, 예를 들어 스피네토람 및 스피노사드.
(6) 글루타메이트-게이트 클로라이드 채널 (GluCl) 알로스테릭 조절제, 예를 들어 아버멕틴/밀베마이신, 예를 들어 아바멕틴, 에마멕틴 벤조에이트, 레피멕틴 및 밀베멕틴.
(7) 청소년 호르몬 모방제, 예를 들어 청소년 호르몬 유사체, 예를 들어 하이드로프렌, 키노프렌 및 메토프렌 또는 페녹시카르브 또는 피리프록시펜.
(8) 다양한 비-특이적 (다중 부위) 저해제, 예를 들어 알킬 할라이드, 예를 들어 메틸 브로마이드 및 다른 알킬 할라이드; 또는 클로로피크린 또는 술푸릴 플루오라이드 또는 보락스 또는 타르타르 에메틱 또는 메틸 이소시아네이트 생성제, 예를 들어 디아조메트 및 메탐.
(9) 현음 기관조절제, 예를 들어 피리메트로진 또는 플로니카미드.
(10) 진드기 성장 저해제, 예를 들어 클로펜테진, 헥시티아족스 및 디플로비다진 또는 에톡사졸.
(11) 곤충 중추 막의 미생물 교란제, 예를 들어 바실루스 투린기엔시스 서브스피시즈 이스라엘렌시스 (Bacillus thuringiensis subspecies israelensis), 바실루스 스파에리쿠스 (Bacillus sphaericus), 바실루스 투린기엔시스 서브스피시즈 아이자와이 (Bacillus thuringiensis subspecies aizawai), 바실루스 투린기엔시스 서브스피시즈 쿠르스타키 (Bacillus thuringiensis subspecies kurstaki), 바실루스 투린기엔시스 서브스피시즈 테네브리오니스 (Bacillus thuringiensis subspecies tenebrionis) 및 B.t. 식물 단백질: Cry1Ab, Cry1Ac, Cry1Fa, Cry1A.105, Cry2Ab, VIP3A, mCry3A, Cry3Ab, Cry3Bb, Cry34Ab1/35Ab1.
(12) 미토콘드리아 ATP 신타아제의 저해제, 예컨대 ATP 교란제, 예를 들어 디아펜티우론 또는 유기 주석 화합물, 예를 들어 아조시클로틴, 시헥사틴 및 펜부타틴 옥사이드 또는 프로파르기트 또는 테트라디폰.
(13) 프로톤 구배의 교란을 통한 산화적 포스포릴화의 언커플러, 예를 들어 클로르페나피르, DNOC 및 술플루라미드.
(14) 니코틴성 아세틸콜린 수용체 채널 차단제, 예를 들어 벤술탑, 카르탑 하이드로클로라이드, 티오시클람, 및 티오술탑-나트륨.
(15) 키틴 생합성의 저해제, 유형 0, 예를 들어 비스트리플루론, 클로르플루아주론, 디플루벤주론, 플루시클록수론, 플루페녹수론, 헥사플루무론, 루페누론, 노발루론, 노비플루무론, 테플루벤주론 및 트리플루무론.
(16) 키틴 생합성의 저해제, 유형 1, 예를 들어 부프로페진.
(17) 변태 교란제 (특히, 파리의 경우), 예를 들어 시로마진.
(18) 엑디손 수용체 작용제, 예를 들어 크로마페노지드, 할로페노지드, 메톡시페노지드 및 테부페노지드.
(19) 옥토파민 수용체 작용제, 예를 들어 아미트라즈.
(20) 미토콘드리아 복합체 III 전자 수송 저해제, 예를 들어 히드라메틸논 또는 아세퀴노실 또는 플루아크리피림.
(21) 미토콘드리아 복합체 I 전자 수송 저해제, 예를 들어 METI 살비제, 예를 들어 페나자퀸, 펜피록시메이트, 피리미디펜, 피리다벤, 테부펜피라드 및 톨펜피라드 또는 로테논 (데리스).
(22) 전압-의존적 나트륨 채널 차단제, 예를 들어 인독사카르브 또는 메타플루미존.
(23) 아세틸 CoA 카르복실라아제의 저해제, 예를 들어 테트론산 및 테트람산 유도체, 예를 들어 스피로디클로펜, 스피로메시펜 및 스피로테트라마트.
(24) 미토콘드리아 복합체 IV 전자 수송 저해제, 예를 들어 포스핀, 예를 들어 인화 알루미늄, 인화 칼슘, 포스핀 및 인화 아연, 또는 시안화물, 시안화 칼슘, 시안화 칼륨 및 시안화 나트륨.
(25) 미토콘드리아 복합체 II 전자 수송 저해제, 예를 들어 베타-케토 니트릴 유도체, 예를 들어 시에노피라펜 및 시플루메토펜 및 카르복스아닐리드, 예를 들어 피플루부미드.
(28) 리아노딘 수용체 조절제, 예를 들어 디아미드, 예를 들어 클로란트라닐리프롤, 시안트라닐리프롤 및 플루벤디아미드,
추가의 활성 화합물, 예를 들어 아피도피로펜, 아폭솔라네르, 아자디라크틴, 벤클로티아즈, 벤족시메이트, 비페나제이트, 브로플라닐리드, 브로모프로필레이트, 키노메티오나트, 클로로프랄레트린, 크리올라이트, 시클라닐리프롤, 시클록사프리드, 시할로디아미드, 디클로로메조티아즈, 디코폴, 엡실론 메토플루트린, 엡실론 몸플루트린, 플로메토퀸, 플루아자인돌리진, 플루엔술폰, 플루페네림, 플루페녹시스트로빈, 플루피프롤, 플루헥사폰, 플루오피람, 플루랄라네르, 플룩사메타미드, 푸페노지드, 구아디피르, 헵타플루트린, 이미다클로티즈, 이프로디온, 카파-비펜트린, 카파-테플루트린, 로틸라네르, 메페르플루트린, 파이총딩, 피리달릴, 피리플루퀴나존, 피리미노스트로빈, 스피로부디클로펜, 테트라메틸플루트린, 테트라닐리프롤, 테트라클로란트라닐리프롤, 티옥사자펜, 티오플루옥시메이트, 트리플루메조피림 및 요오도메탄; 추가적으로 바실루스 피르무스 (Bacillus firmus) (I-1582, BioNeem, Votivo) 에 기초한 제제, 및 하기의 화합물: 1-{2-플루오로-4-메틸-5-[(2,2,2-트리플루오로에틸)술피닐]페닐}-3-(트리플루오로메틸)-1H-1,2,4-트리아졸-5-아민 (WO 2006/043635 로부터 공지됨) (CAS 885026-50-6), {1'-[(2E)-3-(4-클로로페닐)프로프-2-엔-1-일]-5-플루오로스피로[인돌-3,4'-피페리딘]-1(2H)-일}(2-클로로피리딘-4-일)메타논 (WO 2003/106457 로부터 공지됨) (CAS 637360-23-7), 2-클로로-N-[2-{1-[(2E)-3-(4-클로로페닐)프로프-2-엔-1-일]피페리딘-4-일}-4-(트리플루오로메틸)페닐]이소니코틴아미드 (WO 2006/003494 로부터 공지됨) (CAS 872999-66-1), 3-(4-클로로-2,6-디메틸페닐)-4-히드록시-8-메톡시-1,8-디아자스피로[4.5]데크-3-엔-2-온 (WO 2010/052161 로부터 공지됨) (CAS 1225292-17-0), 3-(4-클로로-2,6-디메틸페닐)-8-메톡시-2-옥소-1,8-디아자스피로[4.5]데크-3-엔-4-일 에틸 카보네이트 (EP 2647626 으로부터 공지됨) (CAS-1440516-42-6), 4-(부트-2-인-1-일옥시)-6-(3,5-디메틸피페리딘-1-일)-5-플루오로피리미딘 (WO 2004/099160 으로부터 공지됨) (CAS 792914-58-0), PF1364 (JP2010/018586 으로부터 공지됨) (CAS-Reg.No. 1204776-60-2), N-[(2E)-1-[(6-클로로피리딘-3-일)메틸]피리딘-2(1H)-일리덴]-2,2,2-트리플루오로아세트아미드 (WO 2012/029672 로부터 공지됨) (CAS 1363400-41-2), (3E)-3-[1-[(6-클로로-3-피리딜)메틸]-2-피리딜리덴]-1,1,1-트리플루오로프로판-2-온 (WO 2013/144213 으로부터 공지됨) (CAS 1461743-15-6), N-[3-(벤질카르바모일)-4-클로로페닐]-1-메틸-3-(펜타플루오로에틸)-4-(트리플루오로메틸)-1H-피라졸-5-카르복스아미드 (WO 2010/051926 으로부터 공지됨) (CAS 1226889-14-0), 5-브로모-4-클로로-N-[4-클로로-2-메틸-6-(메틸카르바모일)페닐]-2-(3-클로로-2-피리딜)피라졸-3-카르복스아미드 (CN 103232431 로부터 공지됨) (CAS 1449220-44-3), 4-[5-(3,5-디클로로페닐)-4,5-디히드로-5-(트리플루오로메틸)-3-이속사졸릴]-2-메틸-N-(시스-1-옥시도-3-티에타닐)벤즈아미드, 4-[5-(3,5-디클로로페닐)-4,5-디히드로-5-(트리플루오로메틸)-3-이속사졸릴]-2-메틸-N-(트랜스-1-옥시도-3-티에타닐)벤즈아미드 및 4-[(5S)-5-(3,5-디클로로페닐)-4,5-디히드로-5-(트리플루오로메틸)-3-이속사졸릴]-2-메틸-N-(시스-1-옥시도-3-티에타닐)벤즈아미드 (WO 2013/050317 A1 로부터 공지됨) (CAS 1332628-83-7), N-[3-클로로-1-(3-피리디닐)-1H-피라졸-4-일]-N-에틸-3-[(3,3,3-트리플루오로프로필)술피닐]프로판아미드, (+)-N-[3-클로로-1-(3-피리디닐)-1H-피라졸-4-일]-N-에틸-3-[(3,3,3-트리플루오로프로필)술피닐]프로판아미드 및 (-)-N-[3-클로로-1-(3-피리디닐)-1H-피라졸-4-일]-N-에틸-3-[(3,3,3-트리플루오로프로필)술피닐]프로판아미드 (WO 2013/162715 A2, WO 2013/162716 A2, US 2014/0213448 A1 로부터 공지됨) (CAS 1477923-37-7), 5-[[(2E)-3-클로로-2-프로펜-1-일]아미노]-1-[2,6-디클로로-4-(트리플루오로메틸)페닐]-4-[(트리플루오로메틸)술피닐]-1H-피라졸-3-카르보니트릴 (CN 101337937 A 로부터 공지됨) (CAS 1105672-77-2), 3-브로모-N-[4-클로로-2-메틸-6-[(메틸아미노)티녹소메틸]페닐]-1-(3-클로로-2-피리디닐)-1H-피라졸-5-카르복스아미드, (Liudaibenjiaxuanan, CN 103109816 A 로부터 공지됨) (CAS 1232543-85-9); N-[4-클로로-2-[[(1,1-디메틸에틸)아미노]카르보닐]-6-메틸페닐]-1-(3-클로로-2-피리디닐)-3-(플루오로메톡시)-1H-피라졸-5-카르복스아미드 (WO 2012/034403 A1 로부터 공지됨) (CAS 1268277-22-0), N-[2-(5-아미노-1,3,4-티아디아졸-2-일)-4-클로로-6-메틸페닐]-3-브로모-1-(3-클로로-2-피리디닐)-1H-피라졸-5-카르복스아미드 (WO 2011/085575 A1 로부터 공지됨) (CAS 1233882-22-8), 4-[3-[2,6-디클로로-4-[(3,3-디클로로-2-프로펜-1-일)옥시]페녹시]프로폭시]-2-메톡시-6-(트리플루오로메틸)피리미딘 (CN 101337940 A 로부터 공지됨) (CAS 1108184-52-6); (2E)- 및 2(Z)-2-[2-(4-시아노페닐)-1-[3-(트리플루오로메틸)페닐]에틸리덴]-N-[4-(디플루오로메톡시)페닐]히드라진카르복스아미드 (CN 101715774 A 로부터 공지됨) (CAS 1232543-85-9); 시클로프로판카르복실산 3-(2,2-디클로로에테닐)-2,2-디메틸-4-(1H-벤즈이미다졸-2-일)페닐 에스테르 (CN 103524422 A 로부터 공지됨) (CAS 1542271-46-4); (4aS)-7-클로로-2,5-디히드로-2-[[(메톡시카르보닐)[4-[(트리플루오로메틸)티오]페닐]아미노]카르보닐]인데노[1,2-e][1,3,4]옥사디아진-4a(3H)-카르복실산 메틸 에스테르 (CN 102391261 A 로부터 공지됨) (CAS 1370358-69-2); 6-데옥시-3-O-에틸-2,4-디-O-메틸-1-[N-[4-[1-[4-(1,1,2,2,2-펜타플루오로에톡시)페닐]-1H-1,2,4-트리아졸-3-일]페닐]카르바메이트]-α-L-만노피라노오스 (US 2014/0275503 A1 로부터 공지됨) (CAS 1181213-14-8); 8-(2-시클로프로필메톡시-4-트리플루오로메틸페녹시)-3-(6-트리플루오로메틸피리다진-3-일)-3-아자비시클로[3.2.1]옥탄 (CAS 1253850-56-4), (8-안티(anti))-8-(2-시클로프로필메톡시-4-트리플루오로메틸페녹시)-3-(6-트리플루오로메틸피리다진-3-일)-3-아자비시클로[3.2.1]옥탄 (CAS 933798-27-7), (8-신(syn))-8-(2-시클로프로필메톡시-4-트리플루오로메틸페녹시)-3-(6-트리플루오로메틸피리다진-3-일)-3-아자비시클로[3.2.1]옥탄 (WO 2007040280 A1, WO 2007040282 A1 로부터 공지됨) (CAS 934001-66-8) 및 N-[3-클로로-1-(3-피리디닐)-1H-피라졸-4-일]-N-에틸-3-[(3,3,3-트리플루오로프로필)티오]프로판아미드 (WO 2015/058021 A1, WO 2015/058028 A1 로부터 공지됨) (CAS 1477919-27-9).
살진균제
이들의 일반명으로 여기에서 명시되는 활성 화합물은 공지되어 있으며, 예를 들어 "The Pesticide Manual" (16th ed. British Crop Protection Council) 에 기재되어 있거나, 또는 인터넷 (예를 들어: http://www.alanwood.net/pesticides) 상에서 검색 가능하다.
경우에 따라, 부류 (1) 내지 (15) 에서 언급된 모든 혼합 성분은, 이들이 이들의 관능기에 기초하여 형성할 수 있는 경우, 적합한 염기 또는 산과 염을 형성할 수 있다. 언급된 부류 (1) 내지 (15) 의 모든 살진균 혼합 성분은, 경우에 따라, 호변 이성질체 형태를 포함할 수 있다.
(1) 에르고스테롤 생합성 저해제, 예를 들어 (1.001) 시프로코나졸, (1.002) 디페노코나졸, (1.003) 에폭시코나졸, (1.004) 펜헥사미드, (1.005) 펜프로피딘, (1.006) 펜프로피모르프, (1.007) 펜피라자민, (1.008) 플루퀸코나졸, (1.009) 플루트리아폴, (1.010) 이마잘릴, (1.011) 이마잘릴 술페이트, (1.012) 이프코나졸, (1.013) 메트코나졸, (1.014) 미클로부타닐, (1.015) 파클로부트라졸, (1.016) 프로클로라즈, (1.017) 프로피코나졸, (1.018) 프로티오코나졸, (1.019) 피리속사졸, (1.020) 스피록사민, (1.021) 테부코나졸, (1.022) 테트라코나졸, (1.023) 트리아디메놀, (1.024) 트리데모르프, (1.025) 트리티코나졸, (1.026) (1R,2S,5S)-5-(4-클로로벤질)-2-(클로로메틸)-2-메틸-1-(1H-1,2,4-트리아졸-1-일메틸)시클로펜탄올, (1.027) (1S,2R,5R)-5-(4-클로로벤질)-2-(클로로메틸)-2-메틸-1-(1H-1,2,4-트리아졸-1-일메틸)시클로펜탄올, (1.028) (2R)-2-(1-클로로시클로프로필)-4-[(1R)-2,2-디클로로시클로프로필]-1-(1H-1,2,4-트리아졸-1-일)부탄-2-올 (1.029) (2R)-2-(1-클로로시클로프로필)-4-[(1S)-2,2-디클로로시클로프로필]-1-(1H-1,2,4-트리아졸-1-일)부탄-2-올, (1.030) (2R)-2-[4-(4-클로로페녹시)-2-(트리플루오로메틸)페닐]-1-(1H-1,2,4-트리아졸-1-일)프로판-2-올, (1.031) (2S)-2-(1-클로로시클로프로필)-4-[(1R)-2,2-디클로로시클로프로필]-1-(1H-1,2,4-트리아졸-1-일)부탄-2-올, (1.032) (2S)-2-(1-클로로시클로프로필)-4-[(1S)-2,2-디클로로시클로프로필]-1-(1H-1,2,4-트리아졸-1-일)부탄-2-올, (1.033) (2S)-2-[4-(4-클로로페녹시)-2-(트리플루오로메틸)페닐]-1-(1H-1,2,4-트리아졸-1-일)프로판-2-올, (1.034) (R)-[3-(4-클로로-2-플루오로페닐)-5-(2,4-디플루오로페닐)-1,2-옥사졸-4-일](피리딘-3-일)메탄올, (1.035) (S)-[3-(4-클로로-2-플루오로페닐)-5-(2,4-디플루오로페닐)-1,2-옥사졸-4-일](피리딘-3-일)메탄올, (1.036) [3-(4-클로로-2-플루오로페닐)-5-(2,4-디플루오로페닐)-1,2-옥사졸-4-일](피리딘-3-일)메탄올, (1.037) 1-({(2R,4S)-2-[2-클로로-4-(4-클로로페녹시)페닐]-4-메틸-1,3-디옥솔란-2-일}메틸)-1H-1,2,4-트리아졸, (1.038) 1-({(2S,4S)-2-[2-클로로-4-(4-클로로페녹시)페닐]-4-메틸-1,3-디옥솔란-2-일}메틸)-1H-1,2,4-트리아졸, (1.039) 1-{[3-(2-클로로페닐)-2-(2,4-디플루오로페닐)옥시란-2-일]메틸}-1H-1,2,4-트리아졸-5-일 티오시아네이트, (1.040) 1-{[rel(2R,3R)-3-(2-클로로페닐)-2-(2,4-디플루오로페닐)옥시란-2-일]메틸}-1H-1,2,4-트리아졸-5-일 티오시아네이트, (1.041) 1-{[rel(2R,3S)-3-(2-클로로페닐)-2-(2,4-디플루오로페닐)옥시란-2-일]메틸}-1H-1,2,4-트리아졸-5-일 티오시아네이트, (1.042) 2-[(2R,4R,5R)-1-(2,4-디클로로페닐)-5-히드록시-2,6,6-트리메틸헵탄-4-일]-2,4-디히드로-3H-1,2,4-트리아졸-3-티온, (1.043) 2-[(2R,4R,5S)-1-(2,4-디클로로페닐)-5-히드록시-2,6,6-트리메틸헵탄-4-일]-2,4-디히드로-3H-1,2,4-트리아졸-3-티온, (1.044) 2-[(2R,4S,5R)-1-(2,4-디클로로페닐)-5-히드록시-2,6,6-트리메틸헵탄-4-일]-2,4-디히드로-3H-1,2,4-트리아졸-3-티온, (1.045) 2-[(2R,4S,5S)-1-(2,4-디클로로페닐)-5-히드록시-2,6,6-트리메틸헵탄-4-일]-2,4-디히드로-3H-1,2,4-트리아졸-3-티온, (1.046) 2-[(2S,4R,5R)-1-(2,4-디클로로페닐)-5-히드록시-2,6,6-트리메틸헵탄-4-일]-2,4-디히드로-3H-1,2,4-트리아졸-3-티온, (1.047) 2-[(2S,4R,5S)-1-(2,4-디클로로페닐)-5-히드록시-2,6,6-트리메틸헵탄-4-일]-2,4-디히드로-3H-1,2,4-트리아졸-3-티온, (1.048) 2-[(2S,4S,5R)-1-(2,4-디클로로페닐)-5-히드록시-2,6,6-트리메틸헵탄-4-일]-2,4-디히드로-3H-1,2,4-트리아졸-3-티온, (1.049) 2-[(2S,4S,5S)-1-(2,4-디클로로페닐)-5-히드록시-2,6,6-트리메틸헵탄-4-일]-2,4-디히드로-3H-1,2,4-트리아졸-3-티온, (1.050) 2-[1-(2,4-디클로로페닐)-5-히드록시-2,6,6-트리메틸헵탄-4-일]-2,4-디히드로-3H-1,2,4-트리아졸-3-티온, (1.051) 2-[2-클로로-4-(2,4-디클로로페녹시)페닐]-1-(1H-1,2,4-트리아졸-1-일)프로판-2-올, (1.052) 2-[2-클로로-4-(4-클로로페녹시)페닐]-1-(1H-1,2,4-트리아졸-1-일)부탄-2-올, (1.053) 2-[4-(4-클로로페녹시)-2-(트리플루오로메틸)페닐]-1-(1H-1,2,4-트리아졸-1-일)부탄-2-올, (1.054) 2-[4-(4-클로로페녹시)-2-(트리플루오로메틸)페닐]-1-(1H-1,2,4-트리아졸-1-일)펜탄-2-올, (1.055) 2-[4-(4-클로로페녹시)-2-(트리플루오로메틸)페닐]-1-(1H-1,2,4-트리아졸-1-일)프로판-2-올, (1.056) 2-{[3-(2-클로로페닐)-2-(2,4-디플루오로페닐)옥시란-2-일]메틸}-2,4-디히드로-3H-1,2,4-트리아졸-3-티온, (1.057) 2-{[rel(2R,3R)-3-(2-클로로페닐)-2-(2,4-디플루오로페닐)옥시란-2-일]메틸}-2,4-디히드로-3H-1,2,4-트리아졸-3-티온, (1.058) 2-{[rel(2R,3S)-3-(2-클로로페닐)-2-(2,4-디플루오로페닐)옥시란-2-일]메틸}-2,4-디히드로-3H-1,2,4-트리아졸-3-티온, (1.059) 5-(4-클로로벤질)-2-(클로로메틸)-2-메틸-1-(1H-1,2,4-트리아졸-1-일메틸)시클로펜탄올, (1.060) 5-(알릴술파닐)-1-{[3-(2-클로로페닐)-2-(2,4-디플루오로페닐)옥시란-2-일]메틸}-1H-1,2,4-트리아졸, (1.061) 5-(알릴술파닐)-1-{[rel(2R,3R)-3-(2-클로로페닐)-2-(2,4-디플루오로페닐)옥시란-2-일]메틸}-1H-1,2,4-트리아졸, (1.062) 5-(알릴술파닐)-1-{[rel(2R,3S)-3-(2-클로로페닐)-2-(2,4-디플루오로페닐)옥시란-2-일]메틸}-1H-1,2,4-트리아졸, (1.063) N'-(2,5-디메틸-4-{[3-(1,1,2,2-테트라플루오로에톡시)페닐]술파닐}페닐)-N-에틸-N-메틸이미도포름아미드, (1.064) N'-(2,5-디메틸-4-{[3-(2,2,2-트리플루오로에톡시)페닐]술파닐}페닐)-N-에틸-N-메틸이미도포름아미드, (1.065) N'-(2,5-디메틸-4-{[3-(2,2,3,3-테트라플루오로프로폭시)페닐]술파닐}페닐)-N-에틸-N-메틸이미도포름아미드, (1.066) N'-(2,5-디메틸-4-{[3-(펜타플루오로에톡시)페닐]술파닐}페닐)-N-에틸-N-메틸이미도포름아미드, (1.067) N'-(2,5-디메틸-4-{3-[(1,1,2,2-테트라플루오로에틸)술파닐]페녹시}페닐)-N-에틸-N-메틸이미도포름아미드, (1.068) N'-(2,5-디메틸-4-{3-[(2,2,2-트리플루오로에틸)술파닐]페녹시}페닐)-N-에틸-N-메틸이미도포름아미드, (1.069) N'-(2,5-디메틸-4-{3-[(2,2,3,3-테트라플루오로프로필)술파닐]페녹시}페닐)-N-에틸-N-메틸이미도포름아미드, (1.070) N'-(2,5-디메틸-4-{3-[(펜타플루오로에틸)술파닐]페녹시}페닐)-N-에틸-N-메틸이미도포름아미드, (1.071) N'-(2,5-디메틸-4-페녹시페닐)-N-에틸-N-메틸이미도포름아미드, (1.072) N'-(4-{[3-(디플루오로메톡시)페닐]술파닐}-2,5-디메틸페닐)-N-에틸-N-메틸이미도포름아미드, (1.073) N'-(4-{3-[(디플루오로메틸)술파닐]페녹시}-2,5-디메틸페닐)-N-에틸-N-메틸이미도포름아미드, (1.074) N'-[5-브로모-6-(2,3-디히드로-1H-인덴-2-일옥시)-2-메틸피리딘-3-일]-N-에틸-N-메틸이미도포름아미드, (1.075) N'-{4-[(4,5-디클로로-1,3-티아졸-2-일)옥시]-2,5-디메틸페닐}-N-에틸-N-메틸이미도포름아미드, (1.076) N'-{5-브로모-6-[(1R)-1-(3,5-디플루오로페닐)에톡시]-2-메틸피리딘-3-일}-N-에틸-N-메틸이미도포름아미드, (1.077) N'-{5-브로모-6-[(1S)-1-(3,5-디플루오로페닐)에톡시]-2-메틸피리딘-3-일}-N-에틸-N-메틸이미도포름아미드, (1.078) N'-{5-브로모-6-[(시스-4-이소프로필시클로헥실)옥시]-2-메틸피리딘-3-일}-N-에틸-N-메틸이미도포름아미드, (1.079) N'-{5-브로모-6-[(트랜스-4-이소프로필시클로헥실)옥시]-2-메틸피리딘-3-일}-N-에틸-N-메틸이미도포름아미드, (1.080) N'-{5-브로모-6-[1-(3,5-디플루오로페닐)에톡시]-2-메틸피리딘-3-일}-N-에틸-N-메틸이미도포름아미드.
(2) 복합체 I 또는 II 에서의 호흡 사슬의 저해제, 예를 들어 (2.001) 벤조빈디플루피르, (2.002) 빅사펜, (2.003) 보스칼리드, (2.004) 카르복신, (2.005) 플루오피람, (2.006) 플루톨라닐, (2.007) 플룩사피록사드, (2.008) 푸라메트피르, (2.009) 이소페타미드, (2.010) 이소피라잠 (안티-에피머성 거울상 이성질체 1R,4S,9S), (2.011) 이소피라잠 (안티-에피머성 거울상 이성질체 1S,4R,9R), (2.012) 이소피라잠 (안티-에피머성 라세미체 1RS,4SR,9SR), (2.013) 이소피라잠 (신-에피머성 라세미체 1RS,4SR,9RS 와 안티-에피머성 라세미체 1RS,4SR,9SR 의 혼합물), (2.014) 이소피라잠 (신-에피머성 거울상 이성질체 1R,4S,9R), (2.015) 이소피라잠 (신-에피머성 거울상 이성질체 1S,4R,9S), (2.016) 이소피라잠 (신-에피머성 라세미체 1RS,4SR,9RS), (2.017) 펜플루펜, (2.018) 펜티오피라드, (2.019) 피디플루메토펜, (2.020) 피라지풀루미드, (2.021) 세닥산, (2.022) 1,3-디메틸-N-(1,1,3-트리메틸-2,3-디히드로-1H-인덴-4-일)-1H-피라졸-4-카르복스아미드, (2.023) 1,3-디메틸-N-[(3R)-1,1,3-트리메틸-2,3-디히드로-1H-인덴-4-일]-1H-피라졸-4-카르복스아미드, (2.024) 1,3-디메틸-N-[(3S)-1,1,3-트리메틸-2,3-디히드로-1H-인덴-4-일]-1H-피라졸-4-카르복스아미드, (2.025) 1-메틸-3-(트리플루오로메틸)-N-[2'-(트리플루오로메틸)비페닐-2-일]-1H-피라졸-4-카르복스아미드, (2.026) 2-플루오로-6-(트리플루오로메틸)-N-(1,1,3-트리메틸-2,3-디히드로-1H-인덴-4-일)벤즈아미드, (2.027) 3-(디플루오로메틸)-1-메틸-N-(1,1,3-트리메틸-2,3-디히드로-1H-인덴-4-일)-1H-피라졸-4-카르복스아미드, (2.028) 3-(디플루오로메틸)-1-메틸-N-[(3R)-1,1,3-트리메틸-2,3-디히드로-1H-인덴-4-일]-1H-피라졸-4-카르복스아미드, (2.029) 3-(디플루오로메틸)-1-메틸-N-[(3S)-1,1,3-트리메틸-2,3-디히드로-1H-인덴-4-일]-1H-피라졸-4-카르복스아미드, (2.030) 3-(디플루오로메틸)-N-(7-플루오로-1,1,3-트리메틸-2,3-디히드로-1H-인덴-4-일)-1-메틸-1H-피라졸-4-카르복스아미드, (2.031) 3-(디플루오로메틸)-N-[(3R)-7-플루오로-1,1,3-트리메틸-2,3-디히드로-1H-인덴-4-일]-1-메틸-1H-피라졸-4-카르복스아미드, (2.032) 3-(디플루오로메틸)-N-[(3S)-7-플루오로-1,1,3-트리메틸-2,3-디히드로-1H-인덴-4-일]-1-메틸-1H-피라졸-4-카르복스아미드, (2.033) 5,8-디플루오로-N-[2-(2-플루오로-4-{[4-(트리플루오로메틸)피리딘-2-일]옥시}페닐)에틸]퀴나졸린-4-아민, (2.034) N-(2-시클로펜틸-5-플루오로벤질)-N-시클로프로필-3-(디플루오로메틸)-5-플루오로-1-메틸-1H-피라졸-4-카르복스아미드, (2.035) N-(2-tert-부틸-5-메틸벤질)-N-시클로프로필-3-(디플루오로메틸)-5-플루오로-1-메틸-1H-피라졸-4-카르복스아미드, (2.036) N-(2-tert-부틸벤질)-N-시클로프로필-3-(디플루오로메틸)-5-플루오로-1-메틸-1H-피라졸-4-카르복스아미드, (2.037) N-(5-클로로-2-에틸벤질)-N-시클로프로필-3-(디플루오로메틸)-5-플루오로-1-메틸-1H-피라졸-4-카르복스아미드, (2.038) N-(5-클로로-2-이소프로필벤질)-N-시클로프로필-3-(디플루오로메틸)-5-플루오로-1-메틸-1H-피라졸-4-카르복스아미드, (2.039) N-[(1R,4S)-9-(디클로로메틸렌)-1,2,3,4-테트라히드로-1,4-메타노나프탈렌-5-일]-3-(디플루오로메틸)-1-메틸-1H-피라졸-4-카르복스아미드, (2.040) N-[(1S,4R)-9-(디클로로메틸렌)-1,2,3,4-테트라히드로-1,4-메타노나프탈렌-5-일]-3-(디플루오로메틸)-1-메틸-1H-피라졸-4-카르복스아미드, (2.041) N-[1-(2,4-디클로로페닐)-1-메톡시프로판-2-일]-3-(디플루오로메틸)-1-메틸-1H-피라졸-4-카르복스아미드, (2.042) N-[2-클로로-6-(트리플루오로메틸)벤질]-N-시클로프로필-3-(디플루오로메틸)-5-플루오로-1-메틸-1H-피라졸-4-카르복스아미드, (2.043) N-[3-클로로-2-플루오로-6-(트리플루오로메틸)벤질]-N-시클로프로필-3-(디플루오로메틸)-5-플루오로-1-메틸-1H-피라졸-4-카르복스아미드, (2.044) N-[5-클로로-2-(트리플루오로메틸)벤질]-N-시클로프로필-3-(디플루오로메틸)-5-플루오로-1-메틸-1H-피라졸-4-카르복스아미드, (2.045) N-시클로프로필-3-(디플루오로메틸)-5-플루오로-1-메틸-N-[5-메틸-2-(트리플루오로메틸)벤질]-1H-피라졸-4-카르복스아미드, (2.046) N-시클로프로필-3-(디플루오로메틸)-5-플루오로-N-(2-플루오로-6-이소프로필벤질)-1-메틸-1H-피라졸-4-카르복스아미드, (2.047) N-시클로프로필-3-(디플루오로메틸)-5-플루오로-N-(2-이소프로필-5-메틸벤질)-1-메틸-1H-피라졸-4-카르복스아미드, (2.048) N-시클로프로필-3-(디플루오로메틸)-5-플루오로-N-(2-이소프로필벤질)-1-메틸-1H-피라졸-4-카르보티오아미드, (2.049) N-시클로프로필-3-(디플루오로메틸)-5-플루오로-N-(2-이소프로필벤질)-1-메틸-1H-피라졸-4-카르복스아미드, (2.050) N-시클로프로필-3-(디플루오로메틸)-5-플루오로-N-(5-플루오로-2-이소프로필벤질)-1-메틸-1H-피라졸-4-카르복스아미드, (2.051) N-시클로프로필-3-(디플루오로메틸)-N-(2-에틸-4,5-디메틸벤질)-5-플루오로-1-메틸-1H-피라졸-4-카르복스아미드, (2.052) N-시클로프로필-3-(디플루오로메틸)-N-(2-에틸-5-플루오로벤질)-5-플루오로-1-메틸-1H-피라졸-4-카르복스아미드, (2.053) N-시클로프로필-3-(디플루오로메틸)-N-(2-에틸-5-메틸벤질)-5-플루오로-1-메틸-1H-피라졸-4-카르복스아미드, (2.054) N-시클로프로필-N-(2-시클로프로필-5-플루오로벤질)-3-(디플루오로메틸)-5-플루오로-1-메틸-1H-피라졸-4-카르복스아미드, (2.055) N-시클로프로필-N-(2-시클로프로필-5-메틸벤질)-3-(디플루오로메틸)-5-플루오로-1-메틸-1H-피라졸-4-카르복스아미드, (2.056) N-시클로프로필-N-(2-시클로프로필벤질)-3-(디플루오로메틸)-5-플루오로-1-메틸-1H-피라졸-4-카르복스아미드.
(3) 복합체 III 에서의 호흡 사슬의 저해제, 예를 들어 (3.001) 아메톡트라딘, (3.002) 아미술브롬, (3.003) 아족시스트로빈, (3.004) 쿠메톡시스트로빈, (3.005) 쿠목시스트로빈, (3.006) 시아조파미드, (3.007) 디목시스트로빈, (3.008) 에녹사스트로빈, (3.009) 파목사돈, (3.010) 페나미돈, (3.011) 플루페녹시스트로빈, (3.012) 플루옥사스트로빈, (3.013) 크레속심-메틸, (3.014) 메토미노스트로빈, (3.015) 오리사스트로빈, (3.016) 피콕시스트로빈, (3.017) 피라클로스트로빈, (3.018) 피라메토스트로빈, (3.019) 피라옥시스트로빈, (3.020) 트리플록시스트로빈, (3.021) (2E)-2-{2-[({[(1E)-1-(3-{[(E)-1-플루오로-2-페닐비닐]옥시}페닐)에틸리덴]아미노}옥시)메틸]페닐}-2-(메톡시이미노)-N-메틸아세트아미드, (3.022) (2E,3Z)-5-{[1-(4-클로로페닐)-1H-피라졸-3-일]옥시}-2-(메톡시이미노)-N,3-디메틸펜트-3-엔아미드, (3.023) (2R)-2-{2-[(2,5-디메틸페녹시)메틸]페닐}-2-메톡시-N-메틸아세트아미드, (3.024) (2S)-2-{2-[(2,5-디메틸페녹시)메틸]페닐}-2-메톡시-N-메틸아세트아미드, (3.025) (3S,6S,7R,8R)-8-벤질-3-[({3-[(이소부티릴옥시)메톡시]-4-메톡시피리딘-2-일}카르보닐)아미노]-6-메틸-4,9-디옥소-1,5-디옥소난-7-일 2-메틸프로파노에이트, (3.026) 2-{2-[(2,5-디메틸페녹시)메틸]페닐}-2-메톡시-N-메틸아세트아미드, (3.027) N-(3-에틸-3,5,5-트리메틸시클로헥실)-3-포름아미도-2-히드록시벤즈아미드, (3.028) (2E,3Z)-5-{[1-(4-클로로-2-플루오로페닐)-1H-피라졸-3-일]옥시}-2-(메톡시이미노)-N,3-디메틸펜트-3-엔아미드.
(4) 유사 분열 및 세포 분열 저해제, 예를 들어 (4.001) 카르벤다짐, (4.002) 디에토펜카르브, (4.003) 에타복삼, (4.004) 플루오피콜리드, (4.005) 펜시쿠론, (4.006) 티아벤다졸, (4.007) 티오파네이트-메틸, (4.008) 족사미드, (4.009) 3-클로로-4-(2,6-디플루오로페닐)-6-메틸-5-페닐피리다진, (4.010) 3-클로로-5-(4-클로로페닐)-4-(2,6-디플루오로페닐)-6-메틸피리다진, (4.011) 3-클로로-5-(6-클로로피리딘-3-일)-6-메틸-4-(2,4,6-트리플루오로페닐)피리다진, (4.012) 4-(2-브로모-4-플루오로페닐)-N-(2,6-디플루오로페닐)-1,3-디메틸-1H-피라졸-5-아민, (4.013) 4-(2-브로모-4-플루오로페닐)-N-(2-브로모-6-플루오로페닐)-1,3-디메틸-1H-피라졸-5-아민, (4.014) 4-(2-브로모-4-플루오로페닐)-N-(2-브로모페닐)-1,3-디메틸-1H-피라졸-5-아민, (4.015) 4-(2-브로모-4-플루오로페닐)-N-(2-클로로-6-플루오로페닐)-1,3-디메틸-1H-피라졸-5-아민, (4.016) 4-(2-브로모-4-플루오로페닐)-N-(2-클로로페닐)-1,3-디메틸-1H-피라졸-5-아민, (4.017) 4-(2-브로모-4-플루오로페닐)-N-(2-플루오로페닐)-1,3-디메틸-1H-피라졸-5-아민, (4.018) 4-(2-클로로-4-플루오로페닐)-N-(2,6-디플루오로페닐)-1,3-디메틸-1H-피라졸-5-아민, (4.019) 4-(2-클로로-4-플루오로페닐)-N-(2-클로로-6-플루오로페닐)-1,3-디메틸-1H-피라졸-5-아민, (4.020) 4-(2-클로로-4-플루오로페닐)-N-(2-클로로페닐)-1,3-디메틸-1H-피라졸-5-아민, (4.021) 4-(2-클로로-4-플루오로페닐)-N-(2-플루오로페닐)-1,3-디메틸-1H-피라졸-5-아민, (4.022) 4-(4-클로로페닐)-5-(2,6-디플루오로페닐)-3,6-디메틸피리다진, (4.023) N-(2-브로모-6-플루오로페닐)-4-(2-클로로-4-플루오로페닐)-1,3-디메틸-1H-피라졸-5-아민, (4.024) N-(2-브로모페닐)-4-(2-클로로-4-플루오로페닐)-1,3-디메틸-1H-피라졸-5-아민, (4.025) N-(4-클로로-2,6-디플루오로페닐)-4-(2-클로로-4-플루오로페닐)-1,3-디메틸-1H-피라졸-5-아민.
(5) 다중 부위 활성 능력을 갖는 화합물, 예를 들어 (5.001) 보르도 혼합물, (5.002) 카프타폴, (5.003) 카프탄, (5.004) 클로르탈로닐, (5.005) 수산화 구리, (5.006) 구리 나프테네이트, (5.007) 산화 구리, (5.008) 옥시염화 구리, (5.009) 황산 구리 (2+), (5.010) 디티아논, (5.011) 도딘, (5.012) 폴페트, (5.013) 만코제브, (5.014) 마네브, (5.015) 메티람, (5.016) 아연 메티람, (5.017) 구리 옥신, (5.018) 프로피네브, (5.019) 황, 및 칼슘 폴리술파이드를 포함하는 황 제제, (5.020) 티람, (5.021) 지네브, (5.022) 지람.
(6) 숙주 방어를 유발할 수 있는 화합물, 예를 들어 (6.001) 아시벤졸라르-S-메틸, (6.002) 이소티아닐, (6.003) 프로베나졸, (6.004) 티아디닐.
(7) 아미노산 및/또는 단백질 생합성 저해제, 예를 들어 (7.001) 시프로디닐, (7.002) 카스가마이신, (7.003) 카스가마이신 하이드로클로라이드 수화물, (7.004) 옥시테트라시클린, (7.005) 피리메타닐, (7.006) 3-(5-플루오로-3,3,4,4-테트라메틸-3,4-디히드로이소퀴놀린-1-일)퀴놀린.
(8) ATP 생성 저해제, 예를 들어 (8.001) 실티오팜.
(9) 세포 벽 합성 저해제, 예를 들어 (9.001) 벤티아발리카르브, (9.002) 디메토모르프, (9.003) 플루모르프, (9.004) 이프로발리카르브, (9.005) 만디프로파미드, (9.006) 피리모르프, (9.007) 발리페날레이트, (9.008) (2E)-3-(4-tert-부틸페닐)-3-(2-클로로피리딘-4-일)-1-(모르폴린-4-일)프로프-2-엔-1-온, (9.009) (2Z)-3-(4-tert-부틸페닐)-3-(2-클로로피리딘-4-일)-1-(모르폴린-4-일)프로프-2-엔-1-온.
(10) 지질 및 막 합성 저해제, 예를 들어 (10.001) 프로파모카르브, (10.002) 프로파모카르브 하이드로클로라이드, (10.003) 톨클로포스-메틸.
(11) 멜라닌 생합성 저해제, 예를 들어 (11.001) 트리시클라졸, (11.002) 2,2,2-트리플루오로에틸 {3-메틸-1-[(4-메틸벤조일)아미노]부탄-2-일}카르바메이트.
(12) 핵산 합성 저해제, 예를 들어 (12.001) 베날락실, (12.002) 베날락실-M (키랄락실), (12.003) 메탈락실, (12.004) 메탈락실-M (메페녹삼).
(13) 신호 변환 저해제, 예를 들어 (13.001) 플루디옥소닐, (13.002) 이프로디온, (13.003) 프로시미돈, (13.004) 프로퀴나지드, (13.005) 퀴녹시펜, (13.006) 빈클로졸린.
(14) 탈커플링제로서 작용할 수 있는 화합물, 예를 들어 (14.001) 플루아지남, (14.002) 메프틸디노카프.
(15) 추가의 화합물, 예를 들어 (15.001) 아브시스산, (15.002) 벤티아졸, (15.003) 베톡사진, (15.004) 캅시마이신, (15.005) 카르본, (15.006) 키노메티오나트, (15.007) 쿠프라네브, (15.008) 시플루페나미드, (15.009) 시목사닐, (15.010) 시프로술파미드, (15.011) 플루티아닐, (15.012) 포세틸-알루미늄, (15.013) 포세틸-칼슘, (15.014) 포세틸-나트륨, (15.015) 메틸 이소티오시아네이트, (15.016) 메트라페논, (15.017) 밀디오마이신, (15.018) 나타마이신, (15.019) 니켈 디메틸디티오카르바메이트, (15.020) 니트로탈-이소프로필, (15.021) 옥사모카르브, (15.022) 옥사티아피프롤린, (15.023) 옥시펜티인, (15.024) 펜타클로로페놀 및 염, (15.025) 포스폰산 및 이의 염, (15.026) 프로파모카르브-포세틸레이트, (15.027) 피리오페논 (클라자페논) (15.028) 테부플로퀸, (15.029) 테클로프탈람, (15.030) 톨니파니드, (15.031) 1-(4-{4-[(5R)-5-(2,6-디플루오로페닐)-4,5-디히드로-1,2-옥사졸-3-일]-1,3-티아졸-2-일}피페리딘-1-일)-2-[5-메틸-3-(트리플루오로메틸)-1H-피라졸-1-일]에타논, (15.032) 1-(4-{4-[(5S)-5-(2,6-디플루오로페닐)-4,5-디히드로-1,2-옥사졸-3-일]-1,3-티아졸-2-일}피페리딘-1-일)-2-[5-메틸-3-(트리플루오로메틸)-1H-피라졸-1-일]에타논, (15.033) 2-(6-벤질피리딘-2-일)퀴나졸린, (15.034) 2,6-디메틸-1H,5H-[1,4]디티이노[2,3-c:5,6-c']디피롤-1,3,5,7(2H,6H)-테트론, (15.035) 2-[3,5-비스(디플루오로메틸)-1H-피라졸-1-일]-1-[4-(4-{5-[2-(프로프-2-인-1-일옥시)페닐]-4,5-디히드로-1,2-옥사졸-3-일}-1,3-티아졸-2-일)피페리딘-1-일]에타논, (15.036) 2-[3,5-비스(디플루오로메틸)-1H-피라졸-1-일]-1-[4-(4-{5-[2-클로로-6-(프로프-2-인-1-일옥시)페닐]-4,5-디히드로-1,2-옥사졸-3-일}-1,3-티아졸-2-일)피페리딘-1-일]에타논, (15.037) 2-[3,5-비스(디플루오로메틸)-1H-피라졸-1-일]-1-[4-(4-{5-[2-플루오로-6-(프로프-2-인-1-일옥시)페닐]-4,5-디히드로-1,2-옥사졸-3-일}-1,3-티아졸-2-일)피페리딘-1-일]에타논, (15.038) 2-[6-(3-플루오로-4-메톡시페닐)-5-메틸피리딘-2-일]퀴나졸린, (15.039) 2-{(5R)-3-[2-(1-{[3,5-비스(디플루오로메틸)-1H-피라졸-1-일]아세틸}피페리딘-4-일)-1,3-티아졸-4-일]-4,5-디히드로-1,2-옥사졸-5-일}-3-클로로페닐 메탄술포네이트, (15.040) 2-{(5S)-3-[2-(1-{[3,5-비스(디플루오로메틸)-1H-피라졸-1-일]아세틸}피페리딘-4-일)-1,3-티아졸-4-일]-4,5-디히드로-1,2-옥사졸-5-일}-3-클로로페닐 메탄술포네이트, (15.041) 2-{2-[(7,8-디플루오로-2-메틸퀴놀린-3-일)옥시]-6-플루오로페닐}프로판-2-올, (15.042) 2-{2-플루오로-6-[(8-플루오로-2-메틸퀴놀린-3-일)옥시]페닐}프로판-2-올, (15.043) 2-{3-[2-(1-{[3,5-비스(디플루오로메틸)-1H-피라졸-1-일]아세틸}피페리딘-4-일)-1,3-티아졸-4-일]-4,5-디히드로-1,2-옥사졸-5-일}-3-클로로페닐 메탄술포네이트, (15.044) 2-{3-[2-(1-{[3,5-비스(디플루오로메틸)-1H-피라졸-1-일]아세틸}피페리딘-4-일)-1,3-티아졸-4-일]-4,5-디히드로-1,2-옥사졸-5-일}페닐 메탄술포네이트, (15.045) 2-페닐페놀 및 이의 염, (15.046) 3-(4,4,5-트리플루오로-3,3-디메틸-3,4-디히드로이소퀴놀린-1-일)퀴놀린, (15.047) 3-(4,4-디플루오로-3,3-디메틸-3,4-디히드로이소퀴놀린-1-일)퀴놀린, (15.048) 4-아미노-5-플루오로피리미딘-2-올 (호변 이성질체 형태: 4-아미노-5-플루오로피리미딘-2(1H)-온), (15.049) 4-옥소-4-[(2-페닐에틸)아미노]부티르산, (15.050) 5-아미노-1,3,4-티아디아졸-2-티올, (15.051) 5-클로로-N'-페닐-N'-(프로프-2-인-1-일)티오펜 2-술포노히드라지드, (15.052) 5-플루오로-2-[(4-플루오로벤질)옥시]피리미딘-4-아민, (15.053) 5-플루오로-2-[(4-메틸벤질)옥시]피리미딘-4-아민, (15.054) 9-플루오로-2,2-디메틸-5-(퀴놀린-3-일)-2,3-디히드로-1,4-벤족사제핀, (15.055) 부트-3-인-1-일 {6-[({[(Z)-(1-메틸-1H-테트라졸-5-일)(페닐)메틸렌]아미노}옥시)메틸]피리딘-2-일}카르바메이트, (15.056) 에틸 (2Z)-3-아미노-2-시아노-3-페닐아크릴레이트, (15.057) 페나진-1-카르복실산, (15.058) 프로필 3,4,5-트리히드록시벤조에이트, (15.059) 퀴놀린-8-올, (15.060) 퀴놀린-8-올 술페이트 (2:1), (15.061) tert-부틸 {6-[({[(1-메틸-1H-테트라졸-5-일)(페닐)메틸렌]아미노}옥시)메틸]피리딘-2-일}카르바메이트.
혼합 성분으로서의 생물학적 살충제
화학식 (I) 의 화합물은 생물학적 살충제와 조합될 수 있다.
생물학적 살충제는 특히 박테리아, 진균, 효모, 식물 추출물, 및 단백질 및 2 차 대사 산물을 비롯한, 미생물에 의해 형성되는 생성물을 포함한다.
생물학적 살충제는 포자-형성 박테리아, 뿌리-이식 박테리아, 및 생물학적 살곤충제, 살진균제 또는 살선충제로서 작용하는 박테리아와 같은 박테리아를 포함한다.
생물학적 살충제로서 사용되거나 또는 사용될 수 있는 이러한 박테리아의 예는 다음과 같다:
바실루스 아밀롤리쿠에파시엔스 (Bacillus amyloliquefaciens), 균주 FZB42 (DSM 231179), 또는 바실루스 세레우스 (Bacillus cereus), 특히 비. 세레우스 (B. cereus) 균주 CNCM I-1562 또는 바실루스 피르무스 (Bacillus firmus), 균주 I-1582 (수탁 번호 CNCM I-1582) 또는 바실루스 푸밀루스 (Bacillus pumilus), 특히 균주 GB34 (수탁 번호 ATCC 700814) 및 균주 QST2808 (수탁 번호 NRRL B-30087), 또는 바실루스 섭틸리스 (Bacillus subtilis), 특히 균주 GB03 (수탁 번호 ATCC SD-1397), 또는 바실루스 섭틸리스 (Bacillus subtilis) 균주 QST713 (수탁 번호 NRRL B-21661) 또는 바실루스 섭틸리스 (Bacillus subtilis) 균주 OST 30002 (수탁 번호 NRRL B-50421), 바실루스 투린기엔시스 (Bacillus thuringiensis), 특히 비. 투린기엔시스 섭스피시즈 이스라엘렌시스 (B. thuringiensis subspecies israelensis) (항원형 H-14), 균주 AM65-52 (수탁 번호 ATCC 1276), 또는 비. 투린기엔시스 섭에스피. 아이자와이 (B. thuringiensis subsp. aizawai), 특히 균주 ABTS-1857 (SD-1372), 또는 비. 투린기엔시스 섭에스피. 쿠르스타키 (B. thuringiensis subsp. kurstaki) 균주 HD-1, 또는 비. 투린기엔시스 섭에스피. 테네브리오니스 (B. thuringiensis subsp. tenebrionis) 균주 NB 176 (SD-5428), 파스테우리아 페네트란스 (Pasteuria penetrans), 파스테우리아 에스피피. (Pasteuria spp.) (로틸렌쿨루스 레니포르미스 (Rotylenchulus reniformis) 선충)-PR3 (수탁 번호 ATCC SD-5834), 스트렙토마이세스 미크로플라부스 (Streptomyces microflavus) 균주 AQ6121 (= QRD 31.013, NRRL B-50550), 스트렙토마이세스 갈부스 (Streptomyces galbus) 균주 AQ 6047 (수탁 번호 NRRL 30232).
생물학적 살충제로서 사용되거나 또는 사용될 수 있는 진균 및 효모의 예는 다음과 같다:
보베리아 바시아나 (Beauveria bassiana), 특히 균주 ATCC 74040, 코니오티리움 미니탄스 (Coniothyrium minitans), 특히 균주 CON/M/91-8 (수탁 번호 DSM-9660), 레카니실리움 에스피피. (Lecanicillium spp.), 특히 균주 HRO LEC 12, 레카니실리움 레카니이 (Lecanicillium lecanii), (이전에는 베르티실리움 레카니이 (Verticillium lecanii) 로 공지됨), 특히 균주 KV01, 메타리지움 아니소플리아에 (Metarhizium anisopliae), 특히 균주 F52 (DSM3884/ ATCC 90448), 메트슈니코위아 프룩티콜라 (Metschnikowia fructicola), 특히 균주 NRRL Y-30752, 파에실로마이세스 푸모소로세우스 (Paecilomyces fumosoroseus) (신규: 이사리아 푸모소로세아 (Isaria fumosorosea)), 특히 균주 IFPC 200613, 또는 균주 Apopka 97 (수탁 번호 ATCC 20874), 파에실로마이세스 릴라시누스 (Paecilomyces lilacinus), 특히 피. 릴라시누스 (P. lilacinus) 균주 251 (AGAL 89/030550), 탈라로마이세스 플라부스 (Talaromyces flavus), 특히 균주 V117b, 트리코데르마 아트로비리드 (Trichoderma atroviride), 특히 균주 SC1 (수탁 번호 CBS 122089), 트리코데르마 하르지아눔 (Trichoderma harzianum), 특히 티. 하르지아눔 리파이 (T. harzianum rifai) T39 (수탁 번호 CNCM I-952).
생물학적 살충제로서 사용되거나 또는 사용될 수 있는 바이러스의 예는 다음과 같다:
아독소피에스 오라나 (Adoxophyes orana) (여름 과일 잎말이나방) 과립병 바이러스 (GV), 시디아 포모넬라 (Cydia pomonella) (코들링 나방) 과립병 바이러스 (GV), 헬리코베르파 아르미게라 (Helicoverpa armigera) (목화 다래벌레) 핵 다각체병 바이러스 (NPV), 스포도프테라 엑시구아 (Spodoptera exigua) (파밤나방) mNPV, 스포도프테라 프루기페르다 (Spodoptera frugiperda) (가을 거염벌레) mNPV, 스포도프테라 리토랄리스 (Spodoptera littoralis) (아프리카 목화 잎벌레) NPV.
또한, 식물 또는 식물 부분 또는 식물 기관에 '접종제' 로서 첨가되며, 이들의 특별한 성질 때문에, 식물 성장 및 식물 건강을 증진시키는 박테리아 및 진균이 포함된다. 이의 예는 하기의 것을 포함한다:
아그로박테리움 에스피피. (Agrobacterium spp.), 아조리조비움 카울리노단스 (Azorhizobium caulinodans), 아조스피릴룸 에스피피. (Azospirillum spp.), 아조토박테르 에스피피. (Azotobacter spp.), 브라디리조비움 에스피피. (Bradyrhizobium spp.), 부르크홀데리아 에스피피. (Burkholderia spp.), 특히 부르크홀데리아 세파시아 (Burkholderia cepacia) (이전에는 슈도모나스 세파시아 (Pseudomonas cepacia) 로서 공지됨), 기가스포라 에스피피. (Gigaspora spp.), 또는 기가스포라 모노스포룸 (Gigaspora monosporum), 글로무스 에스피피. (Glomus spp.), 락카리아 에스피피. (Laccaria spp.), 락토바실루스 부크네리 (Lactobacillus buchneri), 파라글로무스 에스피피. (Paraglomus spp.), 피솔리투스 틴크토루스 (Pisolithus tinctorus), 슈도모나스 에스피피. (Pseudomonas spp.), 리조비움 에스피피. (Rhizobium spp.), 특히 리조비움 트리폴리이 (Rhizobium trifolii), 리조포곤 에스피피. (Rhizopogon spp.), 스클레로데르마 에스피피. (Scleroderma spp.), 수일루스 에스피피. (Suillus spp.), 스트렙토마이세스 에스피피. (Streptomyces spp.).
생물학적 살충제로서 사용되거나 또는 사용될 수 있는 식물 추출물, 및 단백질 및 2 차 대사 산물을 비롯한, 미생물에 의해 형성되는 생성물의 예는 다음과 같다:
알리움 사티붐 (Allium sativum), 아르테미시아 압신티움 (Artemisia absinthium), 아자디라크틴 (azadirachtin), 바이오키퍼 (Biokeeper) WP, 카시아 니그리칸스 (Cassia nigricans), 셀라스트루스 안굴라투스 (Celastrus angulatus), 케노포디움 안텔민티쿰 (Chenopodium anthelminticum), 키틴, 아르무르-젠 (Armour-Zen), 드리오프테리스 필릭스-마스 (Dryopteris filix-mas), 에퀴세툼 아르벤스 (Equisetum arvense), 포르툰 아자 (Fortune Aza), 푼가스토프 (Fungastop), 헤즈 업 (Heads Up) (케노포디움 퀴노아 사포닌 (Chenopodium quinoa saponin) 추출물), 피레트룸/피레트린 (pyrethrum/pyrethrins), 쿠아시아 아마라 (Quassia amara), 쿠에르쿠스 (Quercus), 쿠일라자 (Quillaja), 레갈리아 (Regalia), "Requiem™ 살곤충제", 로테논 (rotenone), 리아니아/리아노딘 (ryania/ryanodine), 심피툼 오피시날레 (Symphytum officinale), 타나세툼 불가레 (Tanacetum vulgare), 티몰 (thymol), 트리악트 (Triact) 70, 트리콘 (TriCon), 트로파에울룸 마주스 (Tropaeulum majus), 우르티카 디오이카 (Urtica dioica), 베라트린 (Veratrin), 비스쿰 알붐 (Viscum album), 브라시카세아에 (Brassicaceae) 추출물, 특히 유채 종자 분말 또는 겨자 분말.
혼합 성분으로서의 독성 완화제
화학식 (I) 의 화합물은 독성 완화제, 예를 들어 베녹사코르, 클로퀸토세트 (-멕실), 시오메트리닐, 시프로술파미드, 디클로르미드, 펜클로라졸 (-에틸), 펜클로림, 플루라졸, 플룩소페님, 푸릴라졸, 이속사디펜 (-에틸), 메펜피르 (-디에틸), 나프탈산 무수물, 옥사베트리닐, 2-메톡시-N-({4-[(메틸카르바모일)아미노]페닐}술포닐)벤즈아미드 (CAS 129531-12-0), 4-(디클로로아세틸)-1-옥사-4-아자스피로[4.5]데칸 (CAS 71526-07-3), 2,2,5-트리메틸-3-(디클로로아세틸)-1,3-옥사졸리딘 (CAS 52836-31-4) 과 조합될 수 있다.
식물 및 식물 부분
모든 식물 및 식물 부분은 본 발명에 따라서 처리될 수 있다. 여기에서, 식물은 바람직한 및 바람직하지 않은 야생 식물 또는 작물 식물 (자연 발생 작물 식물을 포함), 예를 들어 곡물 (밀, 쌀, 라이밀, 보리, 호밀, 귀리), 옥수수, 대두, 감자, 사탕 무우, 사탕 수수, 토마토, 피망, 오이, 멜론, 당근, 수박, 양파, 상추, 시금치, 파, 콩, 브라시카 올레라세아 (Brassica oleracea) (예를 들어, 양배추) 및 다른 식물 종, 면화, 담배, 유채 종자, 및 또한 과일 식물 (과일은 사과, 배, 감귤류 과일 및 포도이다) 과 같은 모든 식물 및 식물의 집단을 의미하는 것으로 이해된다. 작물 식물은 형질 전환 식물을 포함한, 및 식물 육종가의 권리에 의해 보호 가능하거나 또는 보호 가능하지 않은 식물 품종을 포함한, 통상적인 육종 및 최적화 방법에 의해, 또는 생명 공학 및 유전 공학 방법 또는 이들 방법의 조합에 의해 수득될 수 있는 식물일 수 있다. 식물은 예컨대 종자, 묘목, 어린 (미성숙한) 식물, 성숙한 식물까지도 포함한, 모든 발달 단계를 의미하는 것으로 이해해야 한다. 식물 부분은 식물의 모든 지상 및 지하 부분 및 식물의 기관, 예컨대 싹, 잎, 꽃 및 뿌리를 의미하는 것으로 이해해야 하며, 언급될 수 있는 이의 예는 잎, 가시, 줄기, 나무의 몸통, 꽃, 과실체, 과일 및 종자 및 또한 뿌리, 괴경 및 근경이다. 식물 부분은 또한 수확된 식물 또는 수확된 식물 부분 및 식물성 및 생식성 번식 물질, 예를 들어 삽목, 괴경, 근경, 접지 및 종자를 포함한다.
화학식 (I) 의 화합물에 의한 식물 및 식물의 부분의 본 발명의 처리는 직접적으로, 또는 통상적인 처리 방법에 의해, 예를 들어 침지, 분무, 증발, 연무화, 산포, 페인팅 온, 주입에 의해, 화합물을 주변, 서식지 또는 이의 저장 공간에 작용시킴으로써, 및, 번식 물질의 경우, 특히 종자의 경우, 또한 하나 이상의 코팅을 적용함으로써 수행된다.
상기에서 이미 언급한 바와 같이, 본 발명에 따라서 모든 식물 및 이들의 부분을 처리하는 것이 가능하다. 바람직한 구현예에 있어서, 야생 식물 종 및 식물 품종, 또는 교차 또는 원형질체 융합과 같은 통상적인 생물학적 육종 방법에 의해 수득되는 것, 및 이의 부분이 처리된다. 또다른 바람직한 구현예에 있어서, 적절한 경우, 통상적인 방법과 조합되는 유전 공학 방법에 의해 수득되는 형질 전환 식물 및 식물 품종 (유전자 변형된 유기체), 및 이의 부분이 처리된다. 용어 "부분" 또는 "식물의 부분" 또는 "식물 부분" 은 상기에서 설명하였다. 본 발명에 따르면, 각각의 상업적으로 통상적인 식물 품종의 식물 또는 사용 중에 있는 식물을 처리하는 것이 특히 바람직하다. 식물 품종은 통상적인 육종에 의해, 돌연변이 유발에 의해, 또는 재조합 DNA 기술에 의해 수득되는, 새로운 특성 ("형질") 을 갖는 식물을 의미하는 것으로 이해된다. 이들은 품종, 변종, 생물형 또는 유전자형일 수 있다.
형질 전환 식물, 종자 처리 및 통합 이벤트
본 발명에 따라서 처리되는 바람직한 형질 전환 식물 또는 식물 품종 (유전 공학에 의해 수득되는 것) 은, 유전자 변형을 통해, 특히 유리한 유용한 특성 ("형질") 을 이들 식물에게 부여하는 유전 물질을 수용한 모든 식물을 포함한다. 이러한 특성의 예는, 보다 양호한 식물 성장, 고온 또는 저온에 대한 증가된 내성, 가뭄 또는 물이나 토양 염분의 수준에 대한 증가된 내성, 향상된 개화 성능, 보다 용이한 수확, 가속된 숙성, 보다 높은 수확고, 수확된 생성물의 보다 높은 품질 및/또는 보다 높은 영양가, 수확된 생성물의 보다 양호한 저장 수명 및/또는 가공성이다. 이러한 특성의 더욱 및 특히 강조되는 예는, 예를 들어 식물에서 형성되는 독소, 특히 바실루스 투린기엔시스 (Bacillus thuringiensis) 로부터 유전 물질에 의해 (예를 들어, 유전자 CryIA(a), CryIA(b), CryIA(c), CryIIA, CryIIIA, CryIIIB2, Cry9c, Cry2Ab, Cry3Bb 및 CryIF, 및 또한 이의 조합에 의해) 식물에서 형성되는 독소 때문에, 동물 및 미생물 해충, 예컨대 곤충, 거미, 선충, 진드기, 굼벵이 및 달팽이에 대한 식물의 증가된 내성, 및 또한 예를 들어 전신 획득 내성 (SAR), 시스테민, 피토알렉신, 엘리시터 및 내성 유전자, 및 이에 상응하여 발현되는 단백질 및 독소에 의해 야기되는 식물 병원성 진균, 박테리아 및/또는 바이러스에 대한 식물의 증가된 내성, 및 또한 특정한 제초 활성 화합물, 예를 들어 이미다졸리논, 술포닐우레아, 글리포세이트 또는 포스피노트리신 (예를 들어, "PAT" 유전자) 에 대한 식물의 증가된 내성이다. 당해 원하는 특성 ("형질") 을 부여하는 유전자는 또한 형질 전환 식물과 서로 조합하여 존재할 수 있다. 언급되는 형질 전환 식물의 예는, 중요한 작물 식물, 예컨대 곡물 (밀, 쌀, 라이밀, 보리, 호밀, 귀리), 옥수수, 대두, 감자, 사탕 무우, 사탕 수수, 토마토, 완두콩, 및 다른 종류의 야채, 면화, 담배, 유채 종자, 및 또한 과일 식물 (과일은 사과, 배, 감귤류 과일 및 포도 나무이다) 을 포함하며, 옥수수, 대두, 밀, 쌀, 감자, 면화, 사탕 수수, 담배 및 유채 종자가 특히 바람직하다. 특히 강조되는 특성 ("형질") 은, 곤충, 거미, 선충 및 굼벵이 및 달팽이에 대한 식물의 증가된 내성이다.
작물 보호 - 처리 유형
식물 및 식물 부분은 직접적으로, 또는 통상적인 처리 방법을 사용하여, 예를 들어 침지, 분무, 무화, 관개, 증발, 분진화, 연무화, 유포, 발포, 페인팅, 확산, 주입, 살수 (관주), 침지 관개에 의해, 이들의 주변, 서식지 또는 저장 공간에 작용시킴으로써, 및, 번식 물질의 경우, 특히 종자의 경우, 추가적으로 건식 종자 처리, 액체 종자 처리, 슬러리 처리에 의해, 외피 형성에 의해, 하나 이상의 코팅에 의한 코팅 등에 의해, 화학식 (I) 의 화합물로 처리된다. 또한, 화학식 (I) 의 화합물을 초저 부피 방법에 의해 적용하거나, 또는 적용 형태 또는 화학식 (I) 의 화합물 자체를 토양에 주입하는 것이 가능하다.
식물의 바람직한 직접적인 처리는 엽면 적용이며, 이는 화학식 (I) 의 화합물을 잎에 적용하는 것을 의미하고, 이 경우, 처리 빈도 및 적용율은 당해 해충에 의한 감염의 수준에 따라 조정되어야 한다.
전신 활성 화합물의 경우에 있어서, 화학식 (I) 의 화합물은 또한 뿌리 시스템을 통해 식물에 접근한다. 이어서, 식물은 식물의 서식지에서 화학식 (I) 의 화합물의 작용에 의해 처리된다. 이것은, 예를 들어 관주에 의해, 또는 토양 또는 영양 용액에의 혼합에 의해 (이것은, 식물의 궤적 (예를 들어, 토양 또는 수경 시스템) 이 액체 형태의 화학식 (I) 의 화합물로 함침되는 것을 의미한다), 또는 토양 적용에 의해 (이것은, 본 발명의 화학식 (I) 의 화합물이 식물의 궤적 내에 고체 형태로 (예를 들어, 과립의 형태로) 주입되는 것을 의미한다) 달성될 수 있다. 논벼 작물의 경우에 있어서, 이것은 또한 침수된 논에서 고체 적용 형태로 (예를 들어, 과립으로서) 화학식 (I) 의 화합물을 계량함으로써 달성될 수 있다.
종자 처리
식물의 종자의 처리에 의한 동물 해충의 방제는 오랫동안 알려져 왔으며, 끊임없는 개선의 대상이다. 그럼에도 불구하고, 종자의 처리는 만족스러운 방식으로 항상 해결할 수 없는 일련의 문제를 수반한다. 따라서, 저장 동안에, 파종 후에 또는 식물의 출아 후에, 살충제의 추가적인 적용을 필요로 하지 않거나, 또는 적어도 상당히 감소시키는, 종자 및 발아 식물의 보호 방법을 개발하는 것이 바람직하다. 또한, 종자 및 발아 식물에 동물 해충에 의한 공격으로부터 최적의 보호를 제공하기 위해서, 그러나 사용되는 활성 화합물에 의한 식물 자체에 대한 손상 없이, 사용되는 활성 화합물의 양을 최적화하는 것이 바람직하다. 특히, 종자의 처리 방법은 또한 최소의 살충제 사용으로, 종자 및 또한 발아 식물의 최적의 보호를 달성하기 위해서, 곤충-저항성 또는 -내성 형질 전환 식물의 본질적인 살곤충 또는 살선충 특성을 고려해야 한다.
그러므로, 본 발명은 특히 또한 화학식 (I) 의 화합물 중 하나로 종자를 처리함으로써, 해충에 의한 공격으로부터 종자 및 발아 식물을 보호하는 방법에 관한 것이다. 해충에 의한 공격에 대해 종자 및 발아 식물을 보호하기 위한 본 발명에 따른 방법은, 종자를 화학식 (I) 의 화합물 및 혼합 성분으로 한번의 조작으로 동시에 처리하거나, 또는 순차적으로 처리하는 방법을 추가로 포함한다. 이것은 또한 종자를 화학식 (I) 의 화합물 및 혼합 성분으로 상이한 시간에 처리하는 방법을 추가로 포함한다.
마찬가지로, 본 발명은 동물 해충으로부터 종자 및 생성되는 식물을 보호하기 위해 종자의 처리를 위한, 화학식 (I) 의 화합물의 용도에 관한 것이다.
본 발명은 또한 동물 해충으로부터 보호를 위해 본 발명에 따른 화학식 (I) 의 화합물로 처리되는 종자에 관한 것이다. 본 발명은 또한 화학식 (I) 의 화합물 및 혼합 성분으로 동시에 처리되는 종자에 관한 것이다. 본 발명은 또한 화학식 (I) 의 화합물 및 혼합 성분으로 상이한 시간에 처리되는 종자에 관한 것이다. 화학식 (I) 의 화합물 및 혼합 성분으로 상이한 시간에 처리되는 종자의 경우에 있어서, 개개의 물질은 상이한 층에서의 종자에 존재할 수 있다. 이 경우에 있어서, 화학식 (I) 의 화합물 및 혼합 성분을 포함하는 층은 임의로 중간 층에 의해 분리될 수 있다. 본 발명은 또한 화학식 (I) 의 화합물 및 혼합 성분이 코팅의 일부로서, 또는 코팅 이외의 추가의 층(들)로서 적용되는 종자에 관한 것이다.
본 발명은 또한 화학식 (I) 의 화합물로 처리한 후, 종자에 대한 분진 마모를 방지하기 위해서 필름-코팅 공정이 실시되는 종자에 관한 것이다.
화학식 (I) 의 화합물이 전신적으로 작용할 때 발생하는 이점 중 하나는, 종자의 처리가, 종자 자체 뿐만 아니라, 출아 후에 이로부터 생성되는 식물을 동물 해충으로부터 보호한다는 것이다. 이러한 방식으로, 파종시 또는 직후에, 작물의 즉각적인 처리를 생략할 수 있다.
추가의 이점은, 화학식 (I) 의 화합물로의 종자의 처리가, 처리된 종자의 발아 및 출아를 향상시킬 수 있다는 것이다.
마찬가지로, 화학식 (I) 의 화합물은 특히 또한 형질 전환 종자에 사용될 수 있다는 이점이 있는 것으로 고려된다.
또한, 화학식 (I) 의 화합물은 신호 전달 기술의 조성물과 조합으로 사용될 수 있어, 예를 들어 근류균, 균근 및/또는 내부 세균 또는 진균과 같은 공생 물질에 의한 보다 양호한 콜로니 형성, 및/또는 최적화된 질소 고정을 유도할 수 있다.
화학식 (I) 의 화합물은 농업, 온실, 숲 또는 원예에서 사용되는 임의의 식물 품종의 종자의 보호에 적합하다. 보다 특히, 이것은 곡물 (예를 들어 밀, 보리, 호밀, 기장 및 귀리), 옥수수, 면화, 대두, 쌀, 감자, 해바라기, 커피, 담배, 카놀라, 유채 종자, 사탕무 (예를 들어 사탕 무우 및 사료 사탕무), 땅콩, 야채 (예를 들어 토마토, 오이, 콩, 십자화과 야채, 양파 및 상추), 과일 식물, 잔디 및 관상용 식물의 종자이다. 특히 중요한 것은, 곡물 (예컨대, 밀, 보리, 호밀 및 귀리), 옥수수, 대두, 면화, 카놀라, 유채 종자, 야채 및 쌀의 종자의 처리이다.
상기에서 이미 언급한 바와 같이, 화학식 (I) 의 화합물에 의한 형질 전환 종자의 처리가 또한 특히 중요하다. 이것은, 특히 살곤충 및/또는 살선충 특성을 갖는 폴리펩티드의 발현을 조절하는 하나 이상의 이종 유전자를 일반적으로 함유하는 식물의 종자를 포함한다. 형질 전환 종자에서의 이종 유전자는 바실루스 (Bacillus), 리조비움 (Rhizobium), 슈도모나스 (Pseudomonas), 세라티아 (Serratia), 트리코데르마 (Trichoderma), 클라비박테르 (Clavibacter), 글로무스 (Glomus) 또는 글리오클라디움 (Gliocladium) 과 같은 미생물에서 유래할 수 있다. 본 발명은 바실루스 에스피. (Bacillus sp.) 에서 유래하는 하나 이상의 이종 유전자를 포함하는 형질 전환 종자의 처리에 특히 적합하다. 이종 유전자는 더욱 바람직하게는 바실루스 투린기엔시스 (Bacillus thuringiensis) 에서 유래된다.
본 발명의 문맥에 있어서, 화학식 (I) 의 화합물은 종자에 적용된다. 종자는 바람직하게는 처리 과정에서 손상이 발생하지 않을 정도로, 충분히 안정한 상태에서 처리된다. 일반적으로, 종자는 수확과 파종 사이의 임의의 시점에서 처리될 수 있다. 식물에서 분리되고, 옥수수 속, 껍질, 줄기, 코트, 털 또는 과일의 과육에서 해방된 종자를 사용하는 것이 통상적이다. 예를 들어, 수확하고, 세정하고, 저장을 허용하는 수분 함량으로 건조시킨 종자를 사용하는 것이 가능하다. 대안적으로, 건조 후, 예를 들어 물로 처리하고, 이어서 다시 건조시킨, 예를 들어 프라이밍한 종자를 사용하는 것이 또한 가능하다. 쌀 종자의 경우에 있어서, 예를 들어 발아 및 보다 균일한 출아의 자극을 초래하는, 쌀 배아의 특정한 단계 ("피죤 브레스트 (pigeon breast) 단계") 에 도달할 때까지, 물에 담가 놓은 종자를 사용하는 것이 또한 가능하다.
종자를 처리할 때, 일반적으로 종자에 적용되는 화학식 (I) 의 화합물의 양 및/또는 추가의 첨가제의 양은, 종자의 발아가 악영향을 받지 않거나, 또는 생성되는 식물이 손상을 입지 않는 방식으로, 선택하는데 주의를 기울여야 한다. 이것은, 특정한 적용율에서 식물 독성 효과를 나타낼 수 있는 활성 화합물의 경우에서 특히 보장되어야 한다.
일반적으로, 화학식 (I) 의 화합물은 적합한 제제의 형태로 종자에 적용된다. 종자 처리를 위한 적합한 제제 및 방법은 당업자에게 공지되어 있다.
화학식 (I) 의 화합물은 용액, 유화액, 현탁액, 분말, 포움, 슬러리 또는 종자의 다른 코팅 조성물, 및 또한 ULV 제제와 같은 통상적인 종자 드레싱 제제로 전환될 수 있다.
이들 제제는 공지의 방식으로, 화학식 (I) 의 화합물을 통상적인 첨가제, 예를 들어 통상적인 증량제 및 용매 또는 희석제, 염료, 습윤제, 분산제, 유화제, 소포제, 방부제, 2 차 증점제, 접착제, 지베렐린, 및 또한 물과 혼합함으로써 제조된다.
본 발명에 따라서 사용 가능한 종자 드레싱 제제에 존재할 수 있는 염료는, 이러한 목적에 통상적인 모든 염료이다. 물에 거의 용해되지 않는 안료, 또는 물에 가용성인 염료를 사용하는 것이 가능하다. 그 예는, 명칭 로다민 B, C.I. 피그먼트 레드 112 및 C.I. 솔벤트 레드 1 로 공지된 염료를 포함한다.
본 발명에 따라서 사용 가능한 종자 드레싱 제제에 존재할 수 있는 유용한 습윤제는, 습윤화를 촉진시키고, 활성 농약 화합물의 제제에 통상적인 모든 물질이다. 바람직하게는, 알킬 나프탈렌술포네이트, 예컨대 디이소프로필 또는 디이소부틸 나프탈렌술포네이트가 유용하다.
본 발명에 따라서 사용 가능한 종자 드레싱 제제에 존재할 수 있는 적합한 분산제 및/또는 유화제는, 활성 농약 화합물의 제제에 통상적인 모든 비이온성, 음이온성 및 양이온성 분산제이다. 비이온성 또는 음이온성 분산제, 또는 비이온성 또는 음이온성 분산제의 혼합물이 바람직하게 사용될 수 있다. 적합한 비이온성 분산제는 특히 에틸렌 옥사이드/프로필렌 옥사이드 블록 중합체, 알킬페놀 폴리글리콜 에테르 및 트리스티릴페놀 폴리글리콜 에테르, 및 이의 포스페이트화된 또는 술페이트화된 유도체를 포함한다. 적합한 음이온성 분산제는, 특히 리그노술포네이트, 폴리아크릴산 염 및 아릴술포네이트-포름알데히드 축합물이다.
본 발명에 따라서 사용 가능한 종자 드레싱 제제에 존재할 수 있는 소포제는, 활성 농약 화합물의 제제에 통상적인 모든 발포-억제 물질이다. 실리콘 소포제 및 마그네슘 스테아레이트가 바람직하게 사용될 수 있다.
본 발명에 따라서 사용 가능한 종자 드레싱 제제에 존재할 수 있는 방부제는, 농약 조성물에서 이러한 목적을 위해 사용 가능한 모든 물질이다. 그 예는 디클로로펜 및 벤질 알코올 헤미포말을 포함한다.
본 발명에 따라서 사용 가능한 종자 드레싱 제제에 존재할 수 있는 2 차 증점제는, 농약 조성물에서 이러한 목적을 위해 사용될 수 있는 모든 물질이다. 바람직한 예는 셀룰로오스 유도체, 아크릴산 유도체, 크산탄, 개질된 클레이 및 미분 실리카를 포함한다.
본 발명에 따라서 사용 가능한 종자 드레싱 제제에 존재할 수 있는 유용한 스티커는, 종자 드레싱 제품에서 사용 가능한 모든 통상적인 결합제이다. 바람직한 예는 폴리비닐피롤리돈, 폴리비닐 아세테이트, 폴리비닐 알코올 및 틸로오스를 포함한다.
본 발명에 따라서 사용 가능한 종자 드레싱 제제에 존재할 수 있는 지베렐린은 바람직하게는 지베렐린 A1, A3 (= 지베렐린산), A4 및 A7 이며; 지베렐린산을 사용하는 것이 특히 바람직하다. 지베렐린은 공지되어 있다 (R. Wegler "Chemie der Pflanzenschutz- und Schadlingsbekampfungsmittel", vol. 2, Springer Verlag, 1970, pp. 401-412 참조).
본 발명에 따라서 사용 가능한 종자 드레싱 제제는 직접 또는 물로 사전 희석한 후, 다양한 상이한 종류의 종자를 처리하는데 사용될 수 있다. 예를 들어, 농축물 또는 이로부터 물로 희석시켜 수득 가능한 제제는 곡물, 예컨대 밀, 보리, 호밀, 귀리 및 라이밀의 종자, 및 또한 옥수수, 쌀, 유채 종자, 완두콩, 콩, 면화, 해바라기, 대두 및 사탕무의 종자, 또는 그렇지 않으면 다양한 상이한 식물 종자를 드레싱하는데 사용될 수 있다. 본 발명에 따라서 사용 가능한 종자 드레싱 제제, 또는 이의 희석된 사용 형태는 또한 형질 전환 식물의 종자를 드레싱하는데 사용될 수 있다.
본 발명에 따라서 사용 가능한 종자 드레싱 제제, 또는 이로부터 물의 첨가를 통해 제조되는 사용 형태에 의한 종자의 처리의 경우에 있어서, 종자 드레싱에 통상적으로 사용 가능한 모든 혼합 단위가 유용하다. 구체적으로, 종자 드레싱에서의 절차는, 회분식 또는 연속 조작으로 종자를 믹서에 넣고, 특정한 요구량의 종자 드레싱 제제를 그대로 또는 물로 사전 희석한 후에 첨가하고, 제제가 종자 상에 균일하게 분포될 때까지 혼합하는 것이다. 적절한 경우, 건조 작업이 뒤따른다.
본 발명에 따라서 사용 가능한 종자 드레싱 제제의 적용율은 비교적 넓은 범위 내에서 변화될 수 있다. 이것은 제제에서의 화학식 (I) 의 화합물의 특정한 함량 및 종자에 의해 유도된다. 화학식 (I) 의 화합물의 적용율은 일반적으로 0.001 내지 50 g/㎏ 종자, 바람직하게는 0.01 내지 15 g/㎏ 종자이다.
동물 건강
동물 건강 분야, 즉, 수의학의 분야에 있어서, 화학식 (I) 의 화합물은 동물 기생충, 특히 외부 기생충 또는 내부 기생충에 대해 활성이다. 용어 "내부 기생충" 은 특히 기생충 및 원충, 예컨대 콕시디아 (coccidia) 를 포함한다. 외부 기생충은 전형적으로 및 바람직하게는 절지 동물, 특히 곤충 또는 진드기이다.
수의학의 분야에 있어서, 바람직한 흡열 독성을 갖는 화학식 (I) 의 화합물은 동물 사육 및 가축의 축산, 사육 동물, 동물원 동물, 실험실 동물, 실험 동물 및 가축에서 발생하는 기생충을 방제하는데 적합하다. 이들은 기생충의 발달의 모든 또는 특정한 단계에 대해 활성이다.
농업 가축은, 예를 들어 포유류, 예컨대 양, 염소, 말, 당나귀, 낙타, 물소, 토끼, 순록, 다마 사슴 및 특히 소 및 돼지; 또는 가금류, 예컨대 칠면조, 오리, 거위 및 특히 닭; 또는 어류 또는 갑각류, 예를 들어 양식의 것을 포함하며; 또는 경우에 따라, 곤충, 예컨대 꿀벌일 수 있다.
가축은, 예를 들어 포유류, 예컨대 햄스터, 기니 피그, 래트, 마우스, 친칠라, 흰족제비, 및 특히 개, 고양이, 사육조, 파충류, 양서류 또는 수족관 물고기를 포함한다.
특정한 구현예에 있어서, 화학식 (I) 의 화합물은 포유류에 투여된다.
또다른 특정한 구현예에 있어서, 화학식 (I) 의 화합물은 조류, 즉, 사육조 또는 특히 가금류에 투여된다.
동물 기생충을 방제하기 위한 화학식 (I) 의 화합물의 용도는, 보다 경제적인 및 보다 간단한 축산이 가능하고, 보다 양호한 동물 복지가 달성 가능하도록, 질병, 사망 사례 및 성능 저하 (육류, 우유, 양모, 가죽, 계란, 꿀 등의 경우) 를 감소시키거나 또는 예방하기 위한 의도이다.
동물 건강의 분야와 관련하여, 본 문맥에서의 용어 "방제하다" 또는 "방제하는" 은, 화학식 (I) 의 화합물이 특정한 기생충에 감염된 동물에서 이러한 기생충의 발병율을 무해한 정도로 감소시키는데 효과적이라는 것을 의미한다. 보다 구체적으로, 본 문맥에서의 "방제하는" 은, 화학식 (I) 의 화합물이 각각의 기생충을 죽이며, 이의 성장을 저해하거나, 또는 이의 증식을 저해한다는 것을 의미한다.
절지 동물은, 비제한적으로, 예를 들어 하기로부터의 것을 포함한다:
아노플루리다 (Anoplurida) 목, 예를 들어 해마토피누스 에스피피. (Haematopinus spp.), 리노그나투스 에스피피. (Linognathus spp.), 페디쿨루스 에스피피. (Pediculus spp.), 프티루스 에스피피. (Phtirus spp.) 및 솔레노포테스 에스피피. (Solenopotes spp.);
말로파기다 (Mallophagida) 목 및 암블리세리나 (Amblycerina) 및 이쉬노세리나 (Ischnocerina) 아목, 예를 들어 보비콜라 에스피피. (Bovicola spp.), 다말리나 에스피피. (Damalina spp.), 펠리콜라 에스피피. (Felicola spp.); 레피켄트론 에스피피. (Lepikentron spp.), 메노폰 에스피피. (Menopon spp.), 트리코덱테스 에스피피. (Trichodectes spp.), 트리메노폰 에스피피. (Trimenopon spp.), 트리노톤 에스피피. (Trinoton spp.), 베르넥키엘라 에스피피. (Werneckiella spp.);
파리목 및 네마토세리나 (Nematocerina) 및 브라키세리나 (Brachycerina) 아목, 예를 들어 아에데스 에스피피. (Aedes spp.), 아노펠레스 에스피피. (Anopheles spp.), 아틸로투스 에스피피. (Atylotus spp.), 브라울라 에스피피. (Braula spp.), 칼리포라 에스피피. (Calliphora spp.), 크리소미이아 에스피피. (Chrysomyia spp.), 크리소프스 에스피피. (Chrysops spp.), 쿨렉스 에스피피. (Culex spp.), 쿨리코이데스 에스피피. (Culicoides spp.), 유시물리움 에스피피. (Eusimulium spp.), 판니아 에스피피. (Fannia spp.), 가스테로필루스 에스피피. (Gasterophilus spp.), 글로시나 에스피피. (Glossina spp.), 해마토비아 에스피피. (Haematobia spp.), 해마토포타 에스피피. (Haematopota spp.), 히포보스카 에스피피. (Hippobosca spp.), 히보미트라 에스피피. (Hybomitra spp.), 히드로타에아 에스피피. (Hydrotaea spp.), 히포데르마 에스피피. (Hypoderma spp.), 리포프테나 에스피피. (Lipoptena spp.), 루실리아 에스피피. (Lucilia spp.), 루트조미이아 에스피피. (Lutzomyia spp.), 멜로파구스 에스피피. (Melophagus spp.), 모렐리아 에스피피. (Morellia spp.), 무스카 에스피피. (Musca spp.), 오다그미아 에스피피. (Odagmia spp.), 오에스트루스 에스피피. (Oestrus spp.), 필리포미이아 에스피피. (Philipomyia spp.), 플레보토무스 에스피피. (Phlebotomus spp.), 리노에스트루스 에스피피. (Rhinoestrus spp.), 사르코파가 에스피피. (Sarcophaga spp.), 시물리움 에스피피. (Simulium spp.), 스토목시스 에스피피. (Stomoxys spp.), 타바누스 에스피피. (Tabanus spp.), 티풀라 에스피피. (Tipula spp.), 빌헬미아 에스피피. (Wilhelmia spp.), 볼파르티아 에스피피. (Wohlfahrtia spp.);
시포나프테리다 (Siphonapterida) 목, 예를 들어 세라토필루스 에스피피. (Ceratophyllus spp.), 크테노세팔리데스 에스피피. (Ctenocephalides spp.), 풀렉스 에스피피. (Pulex spp.), 툰가 에스피피. (Tunga spp.), 크세노프실라 에스피피. (Xenopsylla spp.);
헤테로프테리다 (Heteropterida) 목, 예를 들어 시멕스 에스피피. (Cimex spp.), 판스트론길루스 에스피피. (Panstrongylus spp.), 로드니우스 에스피피. (Rhodnius spp.), 트리아토마 에스피피. (Triatoma spp.); 및 또한 블라타리다 (Blattarida) 목으로부터의 폐해 및 위생 해충.
또한, 절지 동물의 경우에 있어서, 예로서, 비제한적으로, 하기로부터의 진드기가 언급되어야 한다:
진드기 아강 (진드기) 및 메타스티그마타 (Metastigmata) 목, 예를 들어 아르가시다에 (Argasidae) 과, 예컨대 아르가스 에스피피. (Argas spp.), 오르니토도루스 에스피피. (Ornithodorus spp.), 오토비우스 에스피피. (Otobius spp.), 익소디다에 (Ixodidae) 과, 예컨대 암블리옴마 에스피피. (Amblyomma spp.), 데르마센토르 에스피피. (Dermacentor spp.), 해마피살리스 에스피피. (Haemaphysalis spp.), 히알롬마 에스피피. (Hyalomma spp.), 익소데스 에스피피. (Ixodes spp.), 리피세팔루스 (부필루스) 에스피피. (Rhipicephalus (Boophilus) spp.), 리피세팔루스 에스피피. (Rhipicephalus spp.) (다발성 참진드기의 원래 속); 메소스티그마타 (Mesostigmata) 목, 예컨대 데르마니수스 에스피피. (Dermanyssus spp.), 오르니토니수스 에스피피. (Ornithonyssus spp.), 뉴모니수스 에스피피. (Pneumonyssus spp.), 라일리에티아 에스피피. (Raillietia spp.), 스테르노스토마 에스피피. (Sternostoma spp.), 트로필라엘라프스 에스피피. (Tropilaelaps spp.), 바로아 에스피피. (Varroa spp.); 악티네디다 (Actinedida) (프로스티그마타 (Prostigmata)) 목, 예를 들어 아카라피스 에스피피. (Acarapis spp.), 케일레티엘라 에스피피. (Cheyletiella spp.), 데모덱스 에스피피. (Demodex spp.), 리스트로포루스 에스피피. (Listrophorus spp.), 미오비아 에스피피. (Myobia spp.), 네오트롬비쿨라 에스피피. (Neotrombicula spp.), 오르니토케일레티아 에스피피. (Ornithocheyletia spp.), 소레르가테스 에스피피. (Psorergates spp.), 트롬비쿨라 에스피피. (Trombicula spp.); 및 아카리디다 (Acaridida) (아스티그마타 (Astigmata)) 목, 예를 들어 아카루스 에스피피. (Acarus spp.), 칼로글리푸스 에스피피. (Caloglyphus spp.), 코리오프테스 에스피피. (Chorioptes spp.), 시토디테스 에스피피. (Cytodites spp.), 히포덱테스 에스피피. (Hypodectes spp.), 크네미도코프테스 에스피피. (Knemidocoptes spp.), 라미노시오프테스 에스피피. (Laminosioptes spp.), 노토에드레스 에스피피. (Notoedres spp.), 오토덱테스 에스피피. (Otodectes spp.), 프소로프테스 에스피피. (Psoroptes spp.), 프테롤리쿠스 에스피피. (Pterolichus spp.), 사르코프테스 에스피피. (Sarcoptes spp.), 트릭사카루스 에스피피. (Trixacarus spp.), 티로파구스 에스피피. (Tyrophagus spp.).
기생 원충의 예는, 비제한적으로, 하기의 것을 포함한다:
마스티고포라 (Mastigophora) (플라겔라타 (Flagellata)), 예컨대:
메타모나다 (Metamonada): 디플로모나디다 (Diplomonadida) 목, 예를 들어 기아르디아 에스피피. (Giardia spp.), 스피로누클레우스 에스피피. (Spironucleus spp.);
파라바살라 (Parabasala): 트리코모나디다 (Trichomonadida) 목, 예를 들어 히스토모나스 에스피피. (Histomonas spp.), 펜타트리코모나스 에스피피. (Pentatrichomonas spp.), 테트라트리코모나스 에스피피. (Tetratrichomonas spp.), 트리코모나스 에스피피. (Trichomonas spp.), 트리트리코모나스 에스피피. (Tritrichomonas spp.);
유글레노조아 (Euglenozoa): 트리파노소마티다 (Trypanosomatida) 목, 예를 들어 레이쉬마니아 에스피피. (Leishmania spp.), 트리파노소마 에스피피. (Trypanosoma spp.);
사르코마스티고포라 (Sarcomastigophora) (리조포다 (Rhizopoda)), 예컨대 엔타모에비다에 (Entamoebidae), 예를 들어 엔타모에바 에스피피. (Entamoeba spp.), 센트라모에비다에 (Centramoebidae), 예를 들어 아칸타모에바 에스피피. (Acanthamoeba spp.), 유아모에비다에 (Euamoebidae), 예를 들어 하르트마넬라 에스피피. (Hartmanella spp.);
알베올라타 (Alveolata), 예컨대 아피콤플렉사 (Apicomplexa) (스포로조아 (Sporozoa)): 예를 들어 크립토스포리디움 에스피피. (Cryptosporidium spp.); 에이메리이다 (Eimeriida) 목, 예를 들어 베스노이티아 에스피피. (Besnoitia spp.), 시스토이소스포라 에스피피. (Cystoisospora spp.), 에이메리아 에스피피. (Eimeria spp.), 함몬디아 에스피피. (Hammondia spp.), 이소스포라 에스피피. (Isospora spp.), 네오스포라 에스피피. (Neospora spp.), 사르코시스티스 에스피피. (Sarcocystis spp.), 톡소플라스마 에스피피. (Toxoplasma spp.); 아델레이다 (Adeleida) 목, 예를 들어, 헤파토준 에스피피. (Hepatozoon spp.), 클로시엘라 에스피피. (Klossiella spp.); 해모스포리다 (Haemosporida) 목, 예를 들어 류코시토준 에스피피. (Leucocytozoon spp.), 플라스모디움 에스피피. (Plasmodium spp.); 피로플라스미다 (Piroplasmida) 목, 예를 들어 바베시아 에스피피. (Babesia spp.), 실리오포라 에스피피. (Ciliophora spp.), 에키노준 에스피피. (Echinozoon spp.), 테일레리아 에스피피. (Theileria spp.); 베시불리페리다 (Vesibuliferida) 목, 예를 들어 발란티디움 에스피피. (Balantidium spp.), 북스토넬라 에스피피. (Buxtonella spp.);
미크로스포라 (Microspora), 예컨대 엔세팔리토준 에스피피. (Encephalitozoon spp.), 엔테로시토준 에스피피. (Enterocytozoon spp.), 글로비디움 에스피피. (Globidium spp.), 노세마 에스피피. (Nosema spp.), 및 또한, 예를 들어 믹소조아 에스피피. (Myxozoa spp.).
인간 또는 동물에게 병원성인 기생충은, 예를 들어 아칸토세팔라 (Acanthocephala), 네마토덴 (Nematoden), 펜타스토마 (Pentastoma) 및 플라티헬민테스 (Platyhelminthes) (예를 들어, 모노게네아 (Monogenea), 세스토데스 (cestodes) 및 트레마토데스 (trematodes)) 를 포함한다.
예시적인 기생충은, 비제한적으로, 하기의 것을 포함한다:
모노게네아 (Monogenea): 예를 들어: 닥틸로기루스 에스피피. (Dactylogyrus spp.), 기로닥틸루스 에스피피. (Gyrodactylus spp.), 미크로보트리움 에스피피. (Microbothrium spp.), 폴리스토마 에스피피. (Polystoma spp.), 트로글레세팔루스 에스피피. (Troglecephalus spp.);
세스토데스 (Cestodes): 슈도필리데아 (Pseudophyllidea) 목, 예를 들어: 보트리디움 에스피피. (Bothridium spp.), 디필로보트리움 에스피피. (Diphyllobothrium spp.), 디플로고노포루스 에스피피. (Diplogonoporus spp.), 이크티오보트리움 에스피피. (Ichthyobothrium spp.), 리굴라 에스피피. (Ligula spp.), 쉬스토세팔루스 에스피피. (Schistocephalus spp.), 스피로메트라 에스피피. (Spirometra spp.);
시클로필리다 (Cyclophyllida) 목, 예를 들어: 안디라 에스피피. (Andyra spp.), 아노플로세팔라 에스피피. (Anoplocephala spp.), 아비텔리나 에스피피. (Avitellina spp.), 베르티엘라 에스피피. (Bertiella spp.), 시토타에니아 에스피피. (Cittotaenia spp.), 다바이네아 에스피피. (Davainea spp.), 디오르키스 에스피피. (Diorchis spp.), 디플로필리디움 에스피피. (Diplopylidium spp.), 디필리디움 에스피피. (Dipylidium spp.), 에키노코쿠스 에스피피. (Echinococcus spp.), 에키노코틸레 에스피피. (Echinocotyle spp.), 에키놀레피스 에스피피. (Echinolepis spp.), 히다티게라 에스피피. (Hydatigera spp.), 히메놀레피스 에스피피. (Hymenolepis spp.), 조이유시엘라 에스피피. (Joyeuxiella spp.), 메소세스토이데스 에스피피. (Mesocestoides spp.), 모니에지아 에스피피. (Moniezia spp.), 파라노플로세팔라 에스피피. (Paranoplocephala spp.), 라일리에티나 에스피피. (Raillietina spp.), 스틸레시아 에스피피. (Stilesia spp.), 타에니아 에스피피. (Taenia spp.), 티사니에지아 에스피피. (Thysaniezia spp.), 티사노소마 에스피피. (Thysanosoma spp.);
트레마토데스 (Trematodes): 디게네아 (Digenea) 강, 예를 들어: 오스트로빌라르지아 에스피피. (Austrobilharzia spp.), 브라킬라이마 에스피피. (Brachylaima spp.), 칼리코포론 에스피피. (Calicophoron spp.), 카타트로피스 에스피피. (Catatropis spp.), 클로노르키스 에스피피. (Clonorchis spp.), 콜리리클룸 에스피피. (Collyriclum spp.), 코틸로포론 에스피피. (Cotylophoron spp.), 시클로코엘룸 에스피피. (Cyclocoelum spp.), 디크로코엘리움 에스피피. (Dicrocoelium spp.), 디플로스토뭄 에스피피. (Diplostomum spp.), 에키노카스무스 에스피피. (Echinochasmus spp.), 에키노파리피움 에스피피. (Echinoparyphium spp.), 에키노스토마 에스피피. (Echinostoma spp.), 유리트레마 에스피피. (Eurytrema spp.), 파시올라 에스피피. (Fasciola spp.), 파시올리데스 에스피피. (Fasciolides spp.), 파시올로프시스 에스피피. (Fasciolopsis spp.), 피쇼에데리우스 에스피피. (Fischoederius spp.), 가스트로틸라쿠스 에스피피. (Gastrothylacus spp.), 기간토빌하르지아 에스피피. (Gigantobilharzia spp.), 기간토코틸레 에스피피. (Gigantocotyle spp.), 헤테로피에스 에스피피. (Heterophyes spp.), 히포데라에움 에스피피. (Hypoderaeum spp.), 류코클로리디움 에스피피. (Leucochloridium spp.), 메타고니무스 에스피피. (Metagonimus spp.), 메토르키스 에스피피. (Metorchis spp.), 나노피에투스 에스피피. (Nanophyetus spp.), 노토코틸루스 에스피피. (Notocotylus spp.), 오피스토르키스 에스피피. (Opisthorchis spp.), 오르니토빌하르지아 에스피피. (Ornithobilharzia spp.), 파라고니무스 에스피피. (Paragonimus spp.), 파람피스토뭄 에스피피. (Paramphistomum spp.), 플라기오르키스 에스피피. (Plagiorchis spp.), 포스토디플로스토뭄 에스피피. (Posthodiplostomum spp.), 프로스토고니무스 에스피피. (Prosthogonimus spp.), 쉬스토소마 에스피피. (Schistosoma spp.), 트리코빌하르지아 에스피피. (Trichobilharzia spp.), 트로글로트레마 에스피피. (Troglotrema spp.), 티플로코엘룸 에스피피. (Typhlocoelum spp.);
선충: 트리키넬리다 (Trichinellida) 목, 예를 들어: 카필라리아 에스피피. (Capillaria spp.), 트리키넬라 에스피피. (Trichinella spp.), 트리코모소이데스 에스피피. (Trichomosoides spp.), 트리쿠리스 에스피피. (Trichuris spp.);
틸렌키다 (Tylenchida) 목, 예를 들어: 미크로네마 에스피피. (Micronema spp.), 파라스트란길로이데스 에스피피. (Parastrangyloides spp.), 스트론길로이데스 에스피피. (Strongyloides spp.);
라브디티나 (Rhabditina) 목, 예를 들어: 아엘루로스트론길루스 에스피피. (Aelurostrongylus spp.), 아미도스토뭄 에스피피. (Amidostomum spp.), 안실로스토마 에스피피. (Ancylostoma spp.), 안지오스트론길루스 에스피피. (Angiostrongylus spp.), 브론코네마 에스피피. (Bronchonema spp.), 부노스토뭄 에스피피. (Bunostomum spp.), 카베르티아 에스피피. (Chabertia spp.), 코오페리아 에스피피. (Cooperia spp.), 코오페리오이데스 에스피피. (Cooperioides spp.), 크레노소마 에스피피. (Crenosoma spp.), 시아토스토뭄 에스피피. (Cyathostomum spp.), 시클로코세르쿠스 에스피피. (Cyclococercus spp.), 시클로돈토스토뭄 에스피피. (Cyclodontostomum spp.), 실리코시클루스 에스피피. (Cylicocyclus spp.), 실리코스테파누스 에스피피. (Cylicostephanus spp.), 실린드로파린스 에스피피. (Cylindropharynx spp.), 시스토카울루스 에스피피. (Cystocaulus spp.), 딕티오카울루스 에스피피. (Dictyocaulus spp.), 엘라포스트론길루스 에스피피. (Elaphostrongylus spp.), 필라로이데스 에스피피. (Filaroides spp.), 글로보세팔루스 에스피피. (Globocephalus spp.), 그라피디움 에스피피. (Graphidium spp.), 기알로세팔루스 에스피피. (Gyalocephalus spp.), 해몬쿠스 에스피피. (Haemonchus spp.), 헬리그모소모이데스 에스피피. (Heligmosomoides spp.), 히오스트론길루스 에스피피. (Hyostrongylus spp.), 마르샬라기아 에스피피. (Marshallagia spp.), 메타스트론길루스 에스피피. (Metastrongylus spp.), 무엘레리우스 에스피피. (Muellerius spp.), 네카토르 에스피피. (Necator spp.), 네마토디루스 에스피피. (Nematodirus spp.), 네오스트론길루스 에스피피. (Neostrongylus spp.), 니포스트론길루스 에스피피. (Nippostrongylus spp.), 오벨리스코이데스 에스피피. (Obeliscoides spp.), 오에소파고돈투스 에스피피. (Oesophagodontus spp.), 오에소파고스토뭄 에스피피. (Oesophagostomum spp.), 올룰라누스 에스피피. (Ollulanus spp.); 오르니토스트론길루스 에스피피. (Ornithostrongylus spp.), 오슬레루스 에스피피. (Oslerus spp.), 오스테르타기아 에스피피. (Ostertagia spp.), 파라코오페리아 에스피피. (Paracooperia spp.), 파라크레노소마 에스피피. (Paracrenosoma spp.), 파라필라로이데스 에스피피. (Parafilaroides spp.), 파렐라포스트론길루스 에스피피. (Parelaphostrongylus spp.), 뉴모카울루스 에스피피. (Pneumocaulus spp.), 뉴모스트론길루스 에스피피. (Pneumostrongylus spp.), 포테리오스토뭄 에스피피. (Poteriostomum spp.), 프로토스트론길루스 에스피피. (Protostrongylus spp.), 스피코카울루스 에스피피. (Spicocaulus spp.), 스테파누루스 에스피피. (Stephanurus spp.), 스트론길루스 에스피피. (Strongylus spp.), 신가무스 에스피피. (Syngamus spp.), 텔라도르사기아 에스피피. (Teladorsagia spp.), 트리코네마 에스피피. (Trichonema spp.), 트리코스트론길루스 에스피피. (Trichostrongylus spp.), 트리오돈토포루스 에스피피. (Triodontophorus spp.), 트로글로스트론길루스 에스피피. (Troglostrongylus spp.), 운시나리아 에스피피. (Uncinaria spp.);
스피루리다 (Spirurida) 목, 예를 들어: 아칸토케일로네마 에스피피. (Acanthocheilonema spp.), 아니사키스 에스피피. (Anisakis spp.), 아스카리디아 에스피피. (Ascaridia spp.); 아스카리스 에스피피. (Ascaris spp.), 아스카로프스 에스피피. (Ascarops spp.), 아스피쿨루리스 에스피피. (Aspiculuris spp.), 바일리사스카리스 에스피피. (Baylisascaris spp.), 브루기아 에스피피. (Brugia spp.), 세르코피티필라리아 에스피피. (Cercopithifilaria spp.), 크라시카우다 에스피피. (Crassicauda spp.), 디페탈로네마 에스피피. (Dipetalonema spp.), 디로필라리아 에스피피. (Dirofilaria spp.), 드라쿤쿨루스 에스피피. (Dracunculus spp.); 드라쉬아 에스피피. (Draschia spp.), 엔테로비우스 에스피피. (Enterobius spp.), 필라리아 에스피피. (Filaria spp.), 그나토스토마 에스피피. (Gnathostoma spp.), 곤길로네마 에스피피. (Gongylonema spp.), 하브로네마 에스피피. (Habronema spp.), 헤테라키스 에스피피. (Heterakis spp.); 리토모소이데스 에스피피. (Litomosoides spp.), 로아 에스피피. (Loa spp.), 온코세르카 에스피피. (Onchocerca spp.), 옥시우리스 에스피피. (Oxyuris spp.), 파라브로네마 에스피피. (Parabronema spp.), 파라필라리아 에스피피. (Parafilaria spp.), 파라스카리스 에스피피. (Parascaris spp.), 파살루루스 에스피피. (Passalurus spp.), 피살로프테라 에스피피. (Physaloptera spp.), 프로브스트마이리아 에스피피. (Probstmayria spp.), 슈도필라리아 에스피피. (Pseudofilaria spp.), 세타리아 에스피피. (Setaria spp.), 스크라비네마 에스피피. (Skjrabinema spp.), 스피로세르카 에스피피. (Spirocerca spp.), 스테파노필라리아 에스피피. (Stephanofilaria spp.), 스트론길루리스 에스피피. (Strongyluris spp.), 시파시아 에스피피. (Syphacia spp.), 텔라지아 에스피피. (Thelazia spp.), 톡사스카리스 에스피피. (Toxascaris spp.), 톡소카라 에스피피. (Toxocara spp.), 우케레리아 에스피피. (Wuchereria spp.);
아칸토세팔라 (Acanthocephala): 올리가칸토린키다 (Oligacanthorhynchida), 예를 들어: 마크라칸토린쿠스 에스피피. (Macracanthorhynchus spp.), 프로스테노르키스 에스피피. (Prosthenorchis spp.); 모닐리포르미다 (Moniliformida) 목, 예를 들어: 모닐리포르미스 에스피피. (Moniliformis spp.);
폴리모르피다 (Polymorphida), 예를 들어: 필리콜리스 에스피피. (Filicollis spp.); 에키노린키다 (Echinorhynchida) 목, 예를 들어 아칸토세팔루스 에스피피. (Acanthocephalus spp.), 에키노린쿠스 에스피피. (Echinorhynchus spp.), 레프토린코이데스 에스피피. (Leptorhynchoides spp.);
펜타스토마 (Pentastoma): 포로세팔리다 (Porocephalida) 목, 예를 들어 린구아툴라 에스피피. (Linguatula spp.).
수의학 분야 및 축산업에 있어서, 화학식 (I) 의 화합물은 당업계에서 일반적으로 공지된 방법에 의해, 예컨대 장, 비경구, 피부 또는 비강 경로를 통해, 적합한 제제의 형태로 투여된다. 투여는 예방적, 은유적 또는 치료적일 수 있다.
따라서, 본 발명의 하나의 구현예는 의약으로서 사용하기 위한 화학식 (I) 의 화합물에 관한 것이다.
또다른 양태는 항내부 기생충제로서 사용하기 위한 화학식 (I) 의 화합물에 관한 것이다.
본 발명의 또다른 특정한 양태는 안티텔민틱 (antithelminthic) 제제로서 사용하기 위한, 특히 살선충제, 플라틱셀민티사이드 (platyxelminthicide), 아칸토세팔리사이드 (acanthocephalicide) 또는 펜타스토미사이드 (pentastomicide) 로서 사용하기 위한 화학식 (I) 의 화합물에 관한 것이다.
본 발명의 또다른 특정한 양태는 항원충제로서 사용하기 위한 화학식 (I) 의 화합물에 관한 것이다.
또다른 양태는 항외부 기생충제, 특히 절지 동물 살해제, 매우 특히 살곤충제 또는 살비제로서 사용하기 위한 화학식 (I) 의 화합물에 관한 것이다.
본 발명의 또다른 양태는 유효량의 하나 이상의 화학식 (I) 의 화합물 및 하기의 것 중 하나 이상을 포함하는 수의학 제제이다: 약학적으로 호환 가능한 부형제 (예를 들어, 고체 또는 액체 희석제), 약학적으로 호환 가능한 보조제 (예를 들어, 계면활성제), 특히 수의학 제제에서 통상적으로 사용되는 약학적으로 호환 가능한 부형제 및/또는 수의학 제제에서 통상적으로 사용되는 약학적으로 호환 가능한 보조제.
본 발명의 관련 양태는 하나 이상의 화학식 (I) 의 화합물을 약학적으로 호환 가능한 부형제 및 보조제, 특히 수의학 제제에서 통상적으로 사용되는 약학적으로 호환 가능한 부형제 및/또는 수의학 제제에서 통상적으로 사용되는 보조제와 혼합하는 단계를 포함하는, 본원에서 기술하는 바와 같은 수의학 제제의 제조 방법이다.
본 발명의 또다른 특정한 양태는 상기 양태에 따른, 외부 기생충 박멸 및 내부 기생충 박멸 제제의 군에서 선택되는, 특히 구충, 항원충 및 절지 동물 살해 제제의 군에서 선택되는, 매우 특히 살선충, 플라티헬민티사이드 (platyhelminthicidal), 아칸토세팔리디사이드 (acanthocephalidicidal), 펜타스토미사이드 (pentastomicidal), 살곤충 및 살비 제제의 군에서 선택되는 수의학 제제, 및 이의 제조 방법이다.
또다른 양태는 유효량의 화학식 (I) 의 화합물의 사용에 의한, 이에 대한 필요성을 갖는 동물, 특히 비-인간 동물에서의 기생충 감염, 특히 본원에서 언급되는 외부 기생충 및 내부 기생충의 군에서 선택되는 기생충에 의해 야기되는 감염의 치료 방법에 관한 것이다.
또다른 양태는 본원에서 정의하는 바와 같은 수의학 제제의 사용에 의한, 이에 대한 필요성을 갖는 동물, 특히 비-인간 동물에서의 기생충 감염, 특히 본원에서 언급되는 외부 기생충 및 내부 기생충의 군에서 선택되는 기생충에 의해 야기되는 감염의 치료 방법에 관한 것이다.
또다른 양태는 동물, 특히 비-인간 동물에서의 기생충 감염, 특히 본원에서 언급되는 외부 기생충 및 내부 기생충의 군에서 선택되는 기생충에 의해 야기되는 감염의 치료에서의, 화학식 (I) 의 화합물의 용도에 관한 것이다.
동물 건강 또는 수의학의 본 문맥에 있어서, 용어 "치료" 는 예방적, 은유적 및 치료적 처치를 의미한다.
특정한 구현예에 있어서, 이러한 방식으로, 하나 이상의 화학식 (I) 의 화합물과 다른 활성 화합물, 특히 내부- 및 외부 기생충 박멸제와의 혼합물이, 수의학의 분야에 제공된다.
동물 건강의 분야에 있어서, "혼합물" 은, 단지 2 종 (이상) 의 상이한 활성 화합물이 공통의 제제로 제형화되며, 이에 상응하여 함께 사용된다는 것을 의미할 뿐만 아니라, 각각의 활성 화합물에 대해 분리된 제제를 포함하는 제품에 관한 것이다. 따라서, 2 종 초과의 활성 화합물이 사용되는 경우, 모든 활성 화합물은 공통의 제제로 제형화될 수 있거나, 또는 모든 활성 화합물은 별도의 제제로 제형화될 수 있다; 마찬가지로, 활성 화합물의 일부는 함께 제형화되며, 활성 화합물의 일부는 별도로 제형화되는 혼합 형태를 생각할 수 있다. 분리된 제제는 당해 활성 화합물의 분리 또는 연속 적용을 허용한다.
이들의 "일반명" 으로 여기에서 명시되는 활성 화합물은 공지되어 있으며, 예를 들어 "Pesticide Manual" (상기 참조) 에 기재되어 있거나, 또는 인터넷 (예를 들어: http://www.alanwood.net/pesticides) 상에서 검색할 수 있다.
혼합 성분으로서 외부 기생충 박멸제의 군으로부터의 예시적인 활성 화합물은, 이것이 제한을 구성해야 한다는 어떠한 의도도 없이, 상기에서 상세하게 기술한 살곤충제 및 살비제를 포함한다. 사용될 수 있는 추가의 활성 화합물은 현행의 IRAC Mode of Action Classification Scheme 에 기초한, 상기 언급한 분류에 따라서 하기에서 기술한다: (1) 아세틸콜린에스테라아제 (AChE) 저해제; (2) GABA-게이트 클로라이드 채널 차단제; (3) 나트륨 채널 조절제; (4) 니코틴성 아세틸콜린 수용체 (nAChR) 경쟁적 조절제; (5) 니코틴성 아세틸콜린 수용체 (nAChR) 알로스테릭 조절제; (6) 글루타메이트-게이트 클로라이드 채널 (GluCl) 알로스테릭 조절제; (7) 청소년 호르몬 모방제; (8) 다양한 비-특이적 (다중 부위) 저해제; (9) 현음 기관조절제; (10) 진드기 성장 저해제; (12) 미토콘드리아 ATP 신타아제의 저해제, 예컨대 ATP 교란제; (13) 프로톤 구배의 교란을 통한 산화적 포스포릴화의 언커플러; (14) 니코틴성 아세틸콜린 수용체 채널 차단제; (15) 키틴 생합성의 저해제, 유형 0; (16) 키틴 생합성의 저해제, 유형 1; (17) 변태 교란제 (특히, 파리의 경우); (18) 엑디손 수용체 작용제; (19) 옥토파민 수용체 작용제; (21) 미토콘드리아 복합체 I 전자 수송 저해제; (25) 미토콘드리아 복합체 II 전자 수송 저해제; (20) 미토콘드리아 복합체 III 전자 수송 저해제; (22) 전압-의존적 나트륨 채널 차단제; (23) 아세틸 CoA 카르복실라아제의 저해제; (28) 리아노딘 수용체 조절제;
미지의 또는 비-특이적 작용 기전을 갖는 활성 화합물, 예를 들어 펜트리파닐, 페녹사크림, 시클로프렌, 클로로벤질레이트, 클로르디메포름, 플루벤지민, 디시클라닐, 아미도플루메트, 퀴노메티오나트, 트리아라텐, 클로티아조벤, 테트라술, 칼륨 올레에이트, 석유, 메톡사디아존, 고시플루르, 플루텐진, 브롬프로필레이트, 크리올라이트;
다른 부류로부터의 화합물, 예를 들어 부타카르브, 디메틸란, 클로에토카르브, 포스포카르브, 피리미포스(-에틸), 파라티온(-에틸), 메타크리포스, 이소프로필 o-살리실레이트, 트리클로르폰, 술프로포스, 프로파포스, 세부포스, 피리다티온, 프로토에이트, 디클로펜티온, 데메톤-S-메틸 술폰, 이사조포스, 시아노펜포스, 디알리포스, 카르보페노티온, 아우타티오포스, 아롬펜빈포스(-메틸), 아진포스(-에틸), 클로르피리포스(-에틸), 포스메틸란, 요오도펜포스, 디옥사벤조포스, 포르모티온, 포노포스, 플루피라조포스, 펜술포티온, 에트림포스;
유기염소 화합물, 예를 들어 캄페클로르, 린단, 헵타클로르; 또는 페닐피라졸, 예를 들어 아세토프롤, 피라플루프롤, 피리프롤, 바닐리프롤, 시사프로닐; 또는 이속사졸린, 예를 들어 사롤라네르, 아폭솔라네르, 로틸라네르, 플루랄라네르;
피레스로이드, 예를 들어 (시스-, 트랜스-)메토플루트린, 프로플루트린, 플루펜프록스, 플루브로시트리네이트, 푸브펜프록스, 펜플루트린, 프로트리펜부트, 피레스메트린, RU15525, 테랄레트린, 시스-레스메트린, 헵타플루트린, 비오에타노메트린, 비오페르메트린, 펜피리트린, 시스-시페르메트린, 시스-페르메트린, 클로시트린, 시할로트린 (람다-), 클로바포르트린, 또는 할로겐화 탄화수소 화합물 (HCH);
네오니코티노이드, 예를 들어 니티아진;
디클로로메조티아즈, 트리플루메조피림;
거대시클릭 락톤, 예를 들어 네마덱틴, 이베르멕틴, 라티덱틴, 목시덱틴, 셀라멕틴, 에프리노멕틴, 도라멕틴, 에마멕틴 벤조에이트; 밀베마이신 옥심;
트리프렌, 에포페노난, 디오페놀란;
생물학적 제제, 호르몬 또는 페로몬, 예를 들어 천연 제품, 예를 들어 투린기엔신, 코드레몬 또는 님 성분;
디니트로페놀, 예를 들어 디노카프, 디노부톤, 비나파크릴;
벤조일우레아, 예를 들어 플루아주론, 펜플루론;
아미딘 유도체, 예를 들어 클로르메부포름, 시미아졸, 데미디트라즈;
벌통 바로아 살비제, 예를 들어 유기 산, 예를 들어 포름산, 옥살산.
혼합 성분으로서 내부 기생충 박멸제의 군으로부터의 예시적인 활성 화합물은, 비제한적으로, 구충 활성 화합물 및 항원충 활성 화합물을 포함한다.
구충 활성 화합물은, 비제한적으로, 하기로부터의 살선충, 트레마티사이드 (trematicidally) 및/또는 세스토사이드 (cestocidally) 활성 화합물을 포함한다:
거대시클릭 락톤의 부류, 예를 들어: 에프리노멕틴, 아바멕틴, 네마덱틴, 목시덱틴, 도라멕틴, 셀라멕틴, 레피멕틴, 라티덱틴, 밀베멕틴, 이베르멕틴, 에마멕틴, 밀베마이신;
벤즈이미다졸 및 프로벤즈이미다졸의 부류, 예를 들어: 옥시벤다졸, 메벤다졸, 트리클라벤다졸, 티오파네이트, 파르벤다졸, 옥스펜다졸, 네토비민, 펜벤다졸, 페반텔, 티아벤다졸, 시클로벤다졸, 캄벤다졸, 알벤다졸 술폭시드, 알벤다졸, 플루벤다졸;
뎁시펩티드의 부류, 바람직하게는 시클릭 뎁시펩티드, 특히 24-원 시클릭 뎁시펩티드, 예를 들어: 에모뎁시드, PF1022A;
테트라히드로피리미딘의 부류, 예를 들어: 모란텔, 피란텔, 옥산텔;
이미다조티아졸의 부류, 예를 들어: 부타미솔, 레바미솔, 테트라미솔;
아미노페닐아미딘의 부류, 예를 들어: 아미단텔, 탈아실화된 아미단텔 (dAMD), 트리벤디미딘;
아미노아세토니트릴의 부류, 예를 들어: 모네판텔;
파라헤르쿠아미드의 부류, 예를 들어: 파라헤르쿠아미드, 데르쿠안텔;
살리실아닐리드의 부류, 예를 들어: 트리브롬살란, 브로목사니드, 브로티아니드, 클리옥사니드, 클로산텔, 니클로사미드, 옥시클로자니드, 라폭사니드;
치환된 페놀의 부류, 예를 들어: 니트록시닐, 비티오놀, 디소페놀, 헥사클로로펜, 니클로폴란, 메니클로폴란;
유기 포스페이트의 부류, 예를 들어: 트리클로르폰, 나프탈로포스, 디클로르보스/DDVP, 크루포메이트, 쿠마포스, 할록손;
피페라지논/퀴놀린의 부류, 예를 들어: 프라지쿠안텔, 에프시프란텔;
피페라진의 부류, 예를 들어: 피페라진, 히드록시진;
테트라시클린의 부류, 예를 들어: 테트라시클린, 클로로테트라시클린, 독시시클린, 옥시테트라시클린, 롤리테트라시클린;
다양한 다른 부류, 예를 들어: 부나미딘, 니리다졸, 레소란텔, 옴팔로틴, 올티프라즈, 니트로스카네이트, 니트록시닐, 옥삼니퀸, 미라산, 미라실, 루칸톤, 히칸톤, 헤톨린, 에메틴, 디에틸카르바마진, 디클로로펜, 디암페네티드, 클로나제팜, 베페늄, 아모스카네이트, 클로르술론.
항원충 활성 화합물은, 비제한적으로, 하기로부터의 활성 화합물을 포함한다:
트리아진의 부류, 예를 들어: 디클라주릴, 포나주릴, 레트라주릴, 톨트라주릴;
폴리에테르 이오노포어, 예를 들어: 모넨신, 살리노마이신, 마두라미신, 나라신;
거대시클릭 락톤의 부류, 예를 들어: 밀베마이신, 에리트로마이신;
퀴놀론의 부류, 예를 들어: 엔로플록사신, 프라도플록사신;
퀴닌의 부류, 예를 들어: 클로로퀸;
피리미딘의 부류, 예를 들어: 피리메타민;
술폰아미드의 부류, 예를 들어: 술파퀴녹살린, 트리메토프림, 술파클로진;
티아민의 부류, 예를 들어: 암프롤리움;
린코사미드의 부류, 예를 들어: 클린다마이신;
카르바닐리드의 부류, 예를 들어: 이미도카르브;
니트로푸란의 부류, 예를 들어: 니푸르티목스;
퀴나졸리논 알칼로이드의 부류, 예를 들어: 할로푸기논;
다양한 다른 부류, 예를 들어: 옥삼니퀸, 파로모마이신;
미생물로부터의 백신 또는 항원의 부류, 예를 들어: 바베시아 카니스 로시 (Babesia canis rossi), 에이메리아 테넬라 (Eimeria tenella), 에이메리아 프라에콕스 (Eimeria praecox), 에이메리아 네카트릭스 (Eimeria necatrix), 에이메리아 미티스 (Eimeria mitis), 에이메리아 막시마 (Eimeria maxima), 에이메리아 브루네티 (Eimeria brunetti), 에이메리아 아세르불리나 (Eimeria acervulina), 바베시아 카니스 보겔리 (Babesia canis vogeli), 레이쉬마니아 인판툼 (Leishmania infantum), 바베시아 카니스 카니스 (Babesia canis canis), 딕티오카울루스 비비파로우스 (Dictyocaulus viviparous).
경우에 따라, 언급되는 모든 혼합 성분은, 이들이 이들의 관능기에 기초하여 형성할 수 있는 경우, 또한 적합한 염기 또는 산과 염을 형성할 수 있다.
벡터 방제
화학식 (I) 의 화합물은 또한 벡터 방제에 사용될 수 있다. 본 발명의 문맥에 있어서, 벡터는 병원균, 예를 들어 바이러스, 웜, 단일-세포 유기체 및 박테리아를, 저장고 (식물, 동물, 인간 등) 로부터 숙주로 전달할 수 있는 절지 동물, 특히 곤충 또는 거미이다. 병원균은 기계적으로 (예를 들어, 쏘지 않는 파리에 의한 트라코마) 숙주에, 또는 주사 후 (예를 들어, 모기에 의한 말라리아 기생충) 숙주 내로 전달될 수 있다.
벡터 및 이들이 전달하는 질환 또는 병원균의 예는 다음과 같다:
1) 모기
- 아노펠레스 (Anopheles): 말라리아, 필라리아증;
- 쿨렉스 (Culex): 일본 뇌염, 필라리아증, 다른 바이러스성 질환, 다른 웜의 전달;
- 아에데스 (Aedes): 황열병, 뎅기열, 또다른 바이러스성 장애, 필라리아증;
- 시물리이다에 (Simuliidae): 웜의 전달, 특히 회선 사상충;
- 사이코디다에 (Psychodidae): 리슈마니아증의 전달;
2) 이: 피부 감염, 유행성 발진 티푸스;
3) 벼룩: 흑사병, 풍토성 발진 티푸스, 촌충;
4) 파리: 수면병 (트리파노소마증); 콜레라, 다른 세균성 질환;
5) 진드기: 응애병, 유행성 발진 티푸스, 리케치아두창, 야생토끼병, 세인트 루이스 뇌염, 참진드기-매개 뇌염 (TBE), 크리미안-콩고 (Crimean-Congo) 출혈열, 보렐리아증;
6) 참진드기: 보렐리오세스 (borellioses), 예컨대 보렐리아 분그도르페리 센수 라토. (Borrelia bungdorferi sensu lato.), 보렐리아 두토니 (Borrelia duttoni), 참진드기-매개 뇌염, Q 열 (콕시엘라 부르네티이 (Coxiella burnetii)), 바베시아증 (바베시아 카니스 카니스 (Babesia canis canis)), 엘리히증.
본 발명의 문맥에서의 벡터의 예는, 식물 바이러스를 식물에 전달할 수 있는 곤충, 예를 들어 진딧물, 파리, 매미충 또는 삽주벌레이다. 식물 바이러스를 전달할 수 있는 다른 벡터는 거미 진드기, 이, 딱정벌레 및 선충이다.
본 발명의 문맥에서의 벡터의 또다른 예는, 병원균을 동물 및/또는 인간에게 전달할 수 있는 곤충 및 거미류, 예컨대 모기, 특히 아에데스 (Aedes), 아노펠레스 (Anopheles), 예를 들어 에이. 감비아에 (A. gambiae), 에이. 아라비엔시스 (A. arabiensis), 에이. 푸네스투스 (A. funestus), 에이. 디루스 (A. dirus) (말라리아) 및 쿨렉스 (Culex), 사이코디다에 (Psychodidae), 예컨대 플레보토무스 (Phlebotomus), 루트조미이아 (Lutzomyia) 속의 것, 이, 벼룩, 파리, 진드기 및 참진드기이다.
벡터 방제는, 화학식 (I) 의 화합물이 내성-파괴인 경우에, 또한 가능하다.
화학식 (I) 의 화합물은 벡터에 의해 전달되는 질환 및/또는 병원균의 예방에 사용하는데 적합하다. 따라서, 본 발명의 또다른 양태는, 예를 들어 농업, 원예, 숲, 정원 및 레저 시설에서, 및 또한 물질 및 저장 제품의 보호에서 벡터 방제를 위한, 화학식 (I) 의 화합물의 용도이다.
산업 물질의 보호
화학식 (I) 의 화합물은 곤충에 의한, 예를 들어 딱정벌레, 벌, 흰개미, 나비, 다듬이벌레 및 좀목으로 부터의 공격 또는 파괴에 대해 산업 물질을 보호하는데 적합하다.
본 문맥에서의 산업 물질은 무생물 물질, 예컨대 바람직하게는 플라스틱, 접착제, 사이즈, 종이 및 카드, 가죽, 목재, 가공된 목재 제품 및 코팅 조성물을 의미하는 것으로 이해된다. 목재의 보호를 위한 본 발명의 용도가 특히 바람직하다.
또다른 양태에 있어서, 화학식 (I) 의 화합물은 하나 이상의 추가의 살곤충제 및/또는 하나 이상의 살진균제와 함께 사용된다.
또다른 양태에 있어서, 화학식 (I) 의 화합물은 즉시 사용 가능한 살충제의 형태를 취하는데, 이는 이들이 추가의 변형없이 당해 물질에 적용될 수 있다는 것을 의미한다. 유용한 추가의 살곤충제 또는 살진균제는 특히 상기에서 언급한 것을 포함한다.
놀랍게도, 화학식 (I) 의 화합물은 또한 소금물 또는 소금기 있는 물과 접촉하는 물체, 특히 선체, 스크린, 그물, 건물, 계류 장치 및 신호 시스템을, 오염에 대해 보호하는데 사용될 수 있다는 것이 밝혀졌다. 화학식 (I) 의 화합물은 방오제로서 단독으로, 또는 다른 활성 화합물과 조합하여 사용하는 것이 동일하게 가능하다.
위생 부문에서의 동물 해충의 방제
화학식 (I) 의 화합물은 위생 부문에서 동물 해충을 방제하는데 적합하다. 보다 특히, 본 발명은 가정용 보호 부문에서, 위생 보호 부문에서 및 저장된 제품의 보호에서, 특히 밀폐된 공간, 예를 들어 주택, 공장 홀, 사무실, 차고, 동물 사육 시설에서 마주하게 되는 곤충, 거미, 참진드기 및 진드기의 방제를 위해 사용될 수 있다. 동물 해충을 방제하기 위해, 화학식 (I) 의 화합물은 단독으로, 또는 다른 활성 화합물 및/또는 보조제와 조합하여 사용된다. 이들은 바람직하게는 가정용 살곤충제 제품에 사용된다. 화학식 (I) 의 화합물은 민감성 및 내성 종에 대해, 및 모든 발육 단계에 대해 효과적이다.
이들 해충은, 예를 들어 거미강, 전갈, 거미 및 장님 거미목으로부터의, 지네 및 노래기강으로부터의, 곤충강, 바퀴속으로부터의, 딱정벌레, 집게벌레, 파리, 이시류, 벌, 흰개미, 나비, 이, 다듬이벌레, 갯노린재 또는 메뚜기, 벼룩 및 좀목으로부터의, 및 연갑강, 쥐며느리속으로부터의 해충을 포함한다.
적용은, 예를 들어 에어로졸, 가압되지 않은 스프레이 제품, 예를 들어 펌프 및 분무기 스프레이, 자동 연무화 시스템, 연무화기, 포움, 겔, 셀룰로오스 또는 플라스틱으로 제조된 증발기 태블릿이 있는 증발기 제품, 액체 증발기, 겔 및 막 증발기, 프로펠러-구동식 증발기, 무-에너지 또는 수동식 증발 시스템, 나방용 종이, 나방용 백 및 나방용 젤에서, 과립 또는 분진으로서, 살포용 미끼 또는 미끼 집에서 수행된다.
제조예:
2-[3-(에틸술포닐)-6-(1-메틸-1H-인돌-3-일)피리딘-2-일]-3-메틸-6-(트리플루오로메틸)-3H-이미다조[4,5-c]피리딘 (실시예 I-1)
100 ㎎ (0.24 mmol) 의 2-(6-클로로-3-에틸술포닐-2-피리딜)-3-메틸-6-(트리플루오로메틸)이미다조[4,5-c]피리딘, 64 ㎎ (0.24 mmol) 의 1-메틸-3-(4,4,5,5-테트라메틸-1,3,2-디옥사보롤란-2-일)-1H-인돌 및 9 ㎎ (0.01 mmol) 의 테트라키스(트리페닐포스핀)팔라듐 (0) 을, 탈기된 디옥산 (2 ㎖) 과 탈기된 탄산나트륨 용액 (1 M, 1 ㎖) 의 혼합물에 초기에 첨가하고, 혼합물을 96 ℃ 에서 14 h 동안 교반하였다. 이어서, 반응 혼합물을 실온으로 냉각시키고, 감압 하에서 농축시키고, 잔류물을 물 및 디클로로메탄에 용해시켰다. 상을 분리하고, 수성 상을 디클로로메탄으로 3 회 추출하고, 합쳐진 유기 상을 황산나트륨으로 건조시키고, 여과하였다. 용매를 감압 하에서 증류 제거하고, 잔류물을 이동상으로서 물 / 아세토니트릴 구배를 사용하는 컬럼 크로마토그래피 정제에 의해 정제하였다.
2-[6-(6-클로로인다졸-1-일)-3-에틸술포닐-2-피리딜]-3-메틸-6-(트리플루오로메틸)이미다조[4,5-c]피리딘 (실시예 I-2)
100 ㎎ (0.24 mmol) 의 2-(6-클로로-3-에틸술포닐-2-피리딜)-3-메틸-6-(트리플루오로메틸)이미다조[4,5-c]피리딘을 8 ㎖ 의 아세토니트릴에 용해시키고, 120.7 ㎎ (0.37 mmol) 의 탄산세슘, 20.5 ㎎ (0.12 mmol) 의 요오드화칼륨 및 75.4 ㎎ (0.49 mmol) 의 6-클로로-1H-인다졸을 첨가하였다. 혼합물을 실온에서 1 h 동안 및 65-70 ℃ 에서 17 h 동안 교반하였다. 이어서, 반응 혼합물을 여과 제거하고, 용매를 감압 하에서 증류 제거하였다. 잔류물을 용리액으로서 물 / 아세토니트릴 구배를 사용하는 분취용 HPLC 에 의한 컬럼 크로마토그래피 정제에 의해 정제하였다.
2-(6-클로로-3-에틸술포닐-2-피리딜)-3-메틸-6-(트리플루오로메틸)이미다조[4,5-c]피리딘
900 ㎎ (2.41 mmol) 의 2-(6-클로로-3-에틸술파닐-2-피리딜)-3-메틸-6-(트리플루오로메틸)이미다조[4,5-c]피리딘을 50 ㎖ 의 디클로로메탄에 용해시키고, 555.6 ㎎ (12.0 mmol) 의 포름산 및 1.64 g (16.8 mmol) 의 35 % 농도 과산화 수소를 실온에서 첨가한 후, 혼합물을 실온에서 5 h 동안 교반하였다. 혼합물을 물로 희석시키고, 아황산수소 나트륨 용액을 첨가하고, 혼합물을 1 h 동안 교반한 후, 포화 탄산수소나트륨 용액을 첨가하였다. 유기 상을 분리 제거하고, 수성 상을 디클로로메탄으로 2 회 추출한 후, 합쳐진 유기 상으로부터 감압 하에서 용매를 제거하였다. 잔류물을 용리액으로서 물 / 아세토니트릴 구배를 사용하는 분취용 HPLC 에 의한 컬럼 크로마토그래피 정제에 의해 정제하였다.
2-(6-클로로-3-에틸술파닐-2-피리딜)-3-메틸-6-(트리플루오로메틸)이미다조[4,5-c]피리딘
4.00 g (10.7 mmol) 의 2-(3,6-디클로로-2-피리딜)-3-메틸-6-(트리플루오로메틸)이미다조[4,5-c]피리딘을 60 ㎖ 의 테트라히드로푸란에 용해시키고, 446 ㎎ (11.1 mmol) 의 수소화 나트륨을 -5 ℃ 에서 첨가하고, 혼합물을 0 ℃ 에서 30 분간 교반하였다. 이어서, 733 ㎎ (11.8 mmol) 의 에탄티올을 -5 ℃ 에서 30 분에 걸쳐 적하하고, 냉각 중탕을 제거한 후, 혼합물을 실온에서 2 h 동안 교반하였다. 반응 혼합물을 물로 가수 분해시키고, 유기 상을 분리 제거하고, 수성 상을 에틸 아세테이트로 2 회 추출하였다. 유기 상을 합하고, 염화나트륨 용액으로 세정하고, 황산나트륨으로 건조시킨 후, 용매를 감압 하에서 증류 제거하였다. 잔류물을 메틸 tert-부틸 케톤 / 디클로로메탄 25:1 에 의한 분쇄에 의해 정제하였다.
2-(3,6-디클로로-2-피리딜)-3-메틸-6-(트리플루오로메틸)이미다조[4,5-c]피리딘
20 g (104.6 mmol) 의 N3-메틸-6-(트리플루오로메틸)피리딘-3,4-디아민, 25.11 g (130.8 mmol) 의 3,6-디클로로피리딘-2-카르복실산 및 20.06 g (104.6 mmol) 의 1-(3-디메틸아미노프로필)-3-에틸카르보디이미드 하이드로클로라이드 (EDCI) 를 200 ㎖ 의 피리딘 중에서 8 h 동안 120 ℃ 에서 교반하였다. 반응 혼합물로부터 감압 하에서 용매를 제거하고, 물을 첨가하고, 혼합물을 에틸 아세테이트로 3 회 추출하였다. 유기 상을 합하고, 황산나트륨으로 건조시킨 후, 용매를 감압 하에서 증류 제거하였다. 잔류물을 용리액으로서 시클로헥산 / 에틸 아세테이트 구배를 사용하는 컬럼 크로마토그래피 정제에 의해 정제하였다.
실시예와 유사하게 그리고 상기 기술한 제조 방법에 따라서,
하기의 화학식 (I) 의 화합물을 수득할 수 있다:
(식 중, 치환기 R1, R2, R3, A1, X 및 n 은 하기의 표에서 주어지는 의미를 가지며, X 및 R2 로부터 분자의 나머지에 대한 결합은 각각 점선 및 파선에 의해 특징화된다):
logP 값은 EEC Directive 79/831 Annex V.A8 에 따라서, 역상 컬럼 (C 18) 상에서 HPLC (고성능 액체 크로마토그래피) 에 의해 측정된다. 온도: 55 ℃.
산성 범위에서의 LC-MS 측정은, 용리액으로서 0.1 % 수성 포름산 및 아세토니트릴 (0.1 % 포름산을 함유) 을 사용하여, pH 2.7 에서 수행된다; 10 % 아세토니트릴에서 95 % 아세토니트릴로의 선형 구배. 표에서 logP (HCOOH) 라고 한다.
중성 범위에서의 LC-MS 측정은, 용리액으로서 0.001 molar 탄산수소 암모늄 수용액 및 아세토니트릴을 사용하여, pH 7.8 에서 수행된다; 10 % 아세토니트릴에서 95 % 아세토니트릴로의 선형 구배. 표에서 logP (중성) 라고 한다.
검정은, 공지의 logP 값 (2 개의 연속적인 알카논 사이의 선형 보간법에 의한 체류 시간에 기초하여 결정되는 logP 값) 을 갖는 비분지형 알칸-2-온 (3 내지 16 개의 탄소 원자를 가짐) 을 사용하여 수행된다.
선택된 실시예의 NMR 데이터는 통상적인 형태 (δ 값, 다중항 분할, 수소 원자의 수) 로, 또는 NMR 피크 리스트로서 기재된다.
각 경우에 있어서, NMR 스펙트럼이 기록된 용매가 기재된다.
NMR 피크 리스트 방법
선택된 실시예의 1H NMR 데이터는 1H NMR 피크 리스트의 형태로 기재된다. 각 신호 피크에 대해, 먼저 ppm 단위의 δ 값 및, 이어서 둥근 괄호 안에 신호 강도가 기재된다. 상이한 신호 피크에 대한 δ 값-신호 강도 값의 쌍은 ";" 으로 서로 구분하여 기재된다.
그러므로, 하나의 예에 대한 피크 리스트는 하기의 형식을 가진다:
δ1 (강도1); δ2 (강도2); ……; δi (강도i); ……; δn (강도n)
날카로운 신호의 강도는, ㎝ 단위의 NMR 스펙트럼의 프린트된 예에서의 신호의 높이와 상관 관계가 있으며, 신호 강도의 실제 비율을 나타낸다. 넓은 신호의 경우, 신호의 일부 피크 또는 중간 및 이의 상대적인 강도는, 스펙트럼에서 가장 강한 신호와 비교하여 나타낼 수 있다.
1H NMR 스펙트럼의 화학적 이동의 검정은, 특히 DMSO 중에서 측정되는 스펙트럼의 경우에서, 테트라메틸실란 및/또는 용매의 화학적 이동을 사용하여 달성된다. 그러므로, 테트라메틸실란 피크는 NMR 피크 리스트에서 발생할 수 있지만, 필요는 없다.
1H NMR 피크의 리스트는 통상적인 1H-NMR 프린트아웃과 유사하며, 따라서 일반적으로 통상적인 NMR 해석에서 기재된 모든 피크를 함유한다.
또한, 통상적인 1H NMR 프린트아웃과 같이, 이들은 용매 신호, 마찬가지로 본 발명에 의해 제공되는 표적 화합물의 입체 이성질체의 신호 및/또는 불순물의 피크를 나타낼 수 있다.
용매 및/또는 물의 델타 범위 내에서의 화합물 신호의 기록에 있어서, 본 발명자들의 1H NMR 피크의 목록은 표준 용매 피크, 예를 들어 DMSO-D6 중 DMSO 의 피크, 및 통상적으로 평균적으로 높은 강도를 갖는 물의 피크를 나타낸다.
표적 화합물의 입체 이성질체의 피크 및/또는 불순물의 피크는 통상적으로 표적 화합물의 피크보다 평균적으로 더 낮은 강도를 가진다 (예를 들어, 순도 > 90 % 를 가짐).
이러한 입체 이성질체 및/또는 불순물은 특정한 제조 방법에서 전형적일 수 있다. 따라서, 이들의 피크는 "부산물 지문" 과 관련하여, 본 발명자의 제조 방법의 재현을 식별하는데 도움이 될 수 있다.
공지된 방법 (MestreC, ACD 모의 실험, 뿐만 아니라 경험적으로 평가된 기대 값을 가짐) 에 의해 표적 화합물의 피크를 계산하는 전문가는, 필요에 따라, 임의로 추가적인 강도 필터를 사용하여, 표적 화합물의 피크를 분리할 수 있다. 이러한 분리는 통상적인 1H NMR 해석에서의 당해 피크 피킹과 유사할 것이다.
1H NMR 피크 리스트에 대한 추가의 세부 사항은 Research Disclosure Database Number 564025 에서 확인할 수 있다.
적용예
크테노세팔리데스 펠리스 (Ctenocephalides felis) - 성체 고양이 벼룩과의 생체 외 접촉 시험
시험관의 코팅을 위해, 9 ㎎ 의 활성 화합물을 먼저 1 ㎖ 의 아세톤 p.a. 에 용해시킨 후, 아세톤 p.a. 로 원하는 농도까지 희석시킨다. 250 ㎕ 의 용액을, 오비탈 쉐이커 (30 rpm 으로 2 h 동안 흔들어 회전) 에서 돌리고 흔들어, 25 ㎖ 시험관의 내벽 및 바닥에 균일하게 분포시킨다. 900 ppm 의 활성 화합물 용액 및 내부 표면적 44.7 ㎠ 를 가지며, 균일한 분포가 주어지면, 5 ㎍/㎠ 의 면적 기준 투여량이 달성된다.
용매를 증발시켜 제거한 후, 시험관에 5-10 마리의 성체 고양이 벼룩 (크테노세팔리데스 펠리스 (Ctenocephalides felis)) 을 채우고, 천공된 플라스틱 뚜껑으로 밀봉하고, 실온 및 주위 습도에서 수평 위치에서 배양한다. 48 h 후, 효능을 결정한다. 이를 위해, 시험관을 똑바로 세우고, 벼룩을 시험관의 바닥으로 두드린다. 바닥에서 움직이지 않거나, 또는 조정되지 않은 방식으로 움직이는 벼룩을 죽었거나 죽어가는 것으로 간주한다.
이 시험에서 5 ㎍/㎠ 의 적용율로 80 % 이상의 효능이 달성되면, 물질은 크테노세팔리데스 펠리스 (Ctenocephalides felis) 에 대해 양호한 효능을 나타낸다. 100 % 효능은, 모든 벼룩이 죽었거나 죽어가는 것을 의미한다. 0 % 효능은, 벼룩이 해를 입지 않았다는 것을 의미한다.
이 시험에 있어서, 예를 들어, 제조예로부터의 하기 화합물은 5 ㎍/㎠ 의 적용율에서 100 % 의 효능을 나타낸다: I-6, I-18, I-22, I-24, I-31, I-34, I-35.
이 시험에 있어서, 예를 들어, 제조예로부터의 하기의 화합물은 5 ㎍/㎠ 의 적용율에서 80 % 의 효능을 나타낸다: I-21.
부필루스 미크로플루스 (Boophilus microplus) - 주사 시험
용매:
디메틸 술폭시드
적합한 활성 화합물 제제를 제조하기 위해서, 10 ㎎ 의 활성 화합물을 0.5 ㎖ 의 용매와 혼합하고, 농축물을 용매로 원하는 농도까지 희석시킨다.
1 ㎕ 의 활성 화합물 용액을 5 마리의 사육된 성체 암소 참진드기 (부필루스 미크로플루스 (Boophilus microplus)) 의 복부에 주입한다. 동물을 접시에 옮기고, 기후 조절실에서 보관한다.
효능은, 수정란을 낳음으로써 7 일 후에 평가한다. 시각적으로 수정하지 않은 알은, 유충이 약 42 일 후에 부화할 때까지, 기후 조절 캐비닛에서 보존한다. 100 % 의 효능은, 참진드기가 모두 임의의 수정란을 낳지 않았다는 것을 의미하며; 0 % 는 모든 알이 수정되었다는 것을 의미한다.
이 시험에 있어서, 예를 들어, 제조예로부터의 하기 화합물은 20 ㎍/동물의 적용율에서 90 % 의 효능을 나타낸다: I-6, I-11.
이 시험에 있어서, 예를 들어, 제조예로부터의 하기 화합물은 20 ㎍/동물의 적용율에서 80 % 의 효능을 나타낸다: I-5, I-10.
크테노세팔리데스 펠리스 (Ctenocephalides felis) - 구강 시험
용매:
디메틸 술폭시드
적합한 활성 화합물 제제의 제조 목적을 위해, 10 ㎎ 의 활성 화합물을 0.5 ㎖ 의 디메틸 술폭시드와 혼합한다. 시트레이트화된 소 혈액으로 희석하여, 원하는 농도를 수득한다.
약 20 마리의 미성숙 성체 고양이 벼룩 (크테노세팔리데스 펠리스 (Ctenocephalides felis)) 을, 거즈와 위 아래가 닫힌 챔버에 넣는다. 파라필름으로 하단이 폐쇄된 금속 실린더를 챔버 위에 놓는다. 실린더는 혈액/활성 화합물 제제를 함유하며, 이것은 파라필름 막을 통해 벼룩에 의해 흡입될 수 있다.
2 일 후, 사망 (%) 을 결정한다. 100 % 는 모든 벼룩이 사망하였다는 것을 의미하고; 0 % 는 벼룩이 전혀 사망하지 않았다는 것을 의미한다.
이 시험에 있어서, 예를 들어, 제조예로부터의 하기 화합물은 100 ppm 의 적용율에서 100 % 의 효능을 나타낸다: I-17, I-18, I-22, I-32.
이 시험에 있어서, 예를 들어, 제조예로부터의 하기 화합물은 100 ppm 의 적용율에서 95 % 의 효능을 나타낸다: I-3, I-24, I-34, I-35.
이 시험에 있어서, 예를 들어, 제조예로부터의 하기 화합물은 100 ppm 의 적용율에서 90 % 의 효능을 나타낸다: I-6, I-21.
이 시험에 있어서, 예를 들어, 제조예로부터의 하기 화합물은 100 ppm 의 적용율에서 80 % 의 효능을 나타낸다: I-28.
루실리아 쿠프리나 (Lucilia cuprina) 시험
용매:
디메틸 술폭시드
적합한 활성 화합물 제제를 제조하기 위해서, 10 ㎎ 의 활성 화합물을 0.5 ㎖ 의 디메틸 술폭시드와 혼합하고, 농축물을 물로 원하는 농도까지 희석시킨다.
오스트레일리아 양 검정파리 (루실리아 쿠프리나 (Lucilia cuprina)) 의 약 20 마리의 L1 유충을, 다진 말고기 및 원하는 농도의 활성 화합물 제제를 함유하는 시험 용기에 옮긴다.
2 일 후, 사망 (%) 을 결정한다. 100 % 는 모든 유충이 사망하였다는 것을 의미하고; 0 % 는 유충이 전혀 사망하지 않았다는 것을 의미한다.
이 시험에 있어서, 예를 들어, 제조예로부터의 하기 화합물은 100 ppm 의 적용율에서 100 % 의 효능을 나타낸다: I-3, I-5, I-6, I-10, I-15, I-18, I-21, I-22, I-28, I-29, I-31, I-32, I-34.
이 시험에 있어서, 예를 들어, 제조예로부터의 하기 화합물은 100 ppm 의 적용율에서 90 % 의 효능을 나타낸다: I-4.
무스카 도메스티카 (Musca domestica) 시험
용매:
디메틸 술폭시드
적합한 활성 화합물 제제를 제조하기 위해서, 10 ㎎ 의 활성 화합물을 0.5 ㎖ 의 디메틸 술폭시드와 혼합하고, 농축물을 물로 원하는 농도까지 희석시킨다.
설탕 용액으로 처리한 스폰지 및 원하는 농도의 활성 화합물 제제를 함유하는 용기에, 10 마리의 성체 집파리 (무스카 도메스티카 (Musca domestica)) 를 채운다.
2 일 후, 사망 (%) 을 결정한다. 100 % 는 모든 파리가 사망하였다는 것을 의미하고; 0 % 는 파리가 전혀 사망하지 않았다는 것을 의미한다.
이 시험에 있어서, 예를 들어, 제조예로부터의 하기 화합물은 100 ppm 의 적용율에서 100 % 의 효능을 나타낸다: I-6, I-10, I-32.
이 시험에 있어서, 예를 들어, 제조예로부터의 하기 화합물은 100 ppm 의 적용율에서 80 % 의 효능을 나타낸다: I-18.
멜로이도기네 인코그니타 (Meloidogyne incognita) 시험
용매:
125.0 중량부의 아세톤
활성 화합물의 적합한 제제를 제조하기 위해서, 1 중량부의 활성 화합물을 상기 기술한 양의 용매와 혼합하고, 농축물을 물로 원하는 농도까지 희석시킨다.
용기에, 모래, 활성 화합물 용액, 고구마 뿌리혹 선충 (멜로이도기네 인코그니타 (Meloidogyne incognita)) 의 알/유충 현탁액 및 상추 종자를 채운다. 상추 종자가 발아하고, 식물이 발달한다. 혹병은 뿌리에서 발달한다.
14 일 후, 살선충 효능 (%) 은 혹병의 형성에 의해 결정한다. 100 % 는 혹병이 발견되지 않았다는 것을 의미하며; 0 % 는, 처리된 식물에 대한 혹병의 수가 미처리 대조군에 상당한다는 것을 의미한다.
이 시험에 있어서, 예를 들어, 제조예로부터의 하기 화합물은 20 ppm 의 적용율에서 100 % 의 효능을 나타낸다: I-27, I-36.
이 시험에 있어서, 예를 들어, 제조예로부터의 하기 화합물은 20 ppm 의 적용율에서 90 % 의 효능을 나타낸다: I-28.
미주스 페르시카에 (Myzus persicae) - 스프레이 시험
용매:
78 중량부의 아세톤
1.5 중량부의 디메틸포름아미드
유화제:
알킬아릴 폴리글리콜 에테르
적합한 활성 화합물 제제를 제조하기 위해서, 1 중량부의 활성 화합물을 상기 기술한 중량부의 용매로 용해시키고, 원하는 농도에 도달할 때까지, 1000 ppm 의 유화제 농도를 함유하는 물로 만든다. 추가의 시험 농도를 생성하기 위해서, 제제를 유화제-함유 물로 희석시킨다.
모든 단계의 자두 진딧물 (미주스 페르시카에 (Myzus persicae)) 로 감염된 차이니스 양배추 잎 (브라시카 페키넨시스 (Brassica pekinensis)) 의 원판에, 원하는 농도의 활성 화합물 제제를 스프레이한다.
5 일 후, 효능 (%) 을 결정한다. 100 % 는 모든 진딧물이 사망하였다는 것을 의미하고; 0 % 는 진딧물이 전혀 사망하지 않았다는 것을 의미한다.
이 시험에 있어서, 예를 들어, 제조예로부터의 하기 화합물은 500 g/ha 의 적용율에서 100 % 의 효능을 나타낸다: I-6.
이 시험에 있어서, 예를 들어, 제조예로부터의 하기 화합물은 500 g/ha 의 적용율에서 90 % 의 효능을 나타낸다: I-5, I-12, I-23, I-24, I-33.
이 시험에 있어서, 예를 들어, 제조예로부터의 하기 화합물은 500 g/ha 의 적용율에서 70 % 의 효능을 나타낸다: I-14, I-19.
이 시험에 있어서, 예를 들어, 제조예로부터의 하기 화합물은 100 g/ha 의 적용율에서 100 % 의 효능을 나타낸다: I-6, I-24.
이 시험에 있어서, 예를 들어, 제조예로부터의 하기 화합물은 100 g/ha 의 적용율에서 90 % 의 효능을 나타낸다: I-12, I-19, I-37, I-43.
이 시험에 있어서, 예를 들어, 제조예로부터의 하기 화합물은 100 g/ha 의 적용율에서 70 % 의 효능을 나타낸다: I-5.
파에돈 코클레아리아에 (Phaedon cochleariae) - 스프레이 시험
용매:
78.0 중량부의 아세톤
1.5 중량부의 디메틸포름아미드
유화제:
알킬아릴 폴리글리콜 에테르
적합한 활성 화합물 제제를 제조하기 위해서, 1 중량부의 활성 화합물을 상기 기술한 중량부의 용매로 용해시키고, 원하는 농도에 도달할 때까지, 1000 ppm 의 유화제 농도를 함유하는 물로 만든다. 추가의 시험 농도를 생성하기 위해서, 제제를 유화제-함유 물로 희석시킨다.
차이니스 양배추 잎 (브라시카 페키넨시스 (Brassica pekinensis)) 의 원판에 원하는 농도의 활성 화합물 제제를 스프레이하고, 건조시킨 후, 겨자 딱정벌레 (파에돈 코클레아리아에 (Phaedon cochleariae)) 의 유충을 채운다.
7 일 후, 효능 (%) 을 결정한다. 100 % 는 모든 딱정벌레 유충이 사망하였다는 것을 의미하고; 0 % 는 딱정벌레 유충이 전혀 사망하지 않았다는 것을 의미한다.
이 시험에 있어서, 예를 들어, 제조예로부터의 하기 화합물은 500 g/ha 의 적용율에서 100 % 의 효능을 나타낸다: I-3, I-5, I-6, I-7, I-10, I-12, I-15, I-17, I-18, I-19, I-22, I-27, I-28, I-31, I-32, I-33, I-34, I-35, I-40.
이 시험에 있어서, 예를 들어, 제조예로부터의 하기 화합물은 500 g/ha 의 적용율에서 83 % 의 효능을 나타낸다: I-11, I-16, I-21, I-24.
이 시험에 있어서, 예를 들어, 제조예로부터의 하기 화합물은 100 g/ha 의 적용율에서 100 % 의 효능을 나타낸다: I-3, I-6, I-7, I-10, I-12, I-15, I-17, I-18, I-19, I-22, I-27, I-28, I-31, I-32, I-33, I-34, I-40, I-42, I-49, I-50.
이 시험에 있어서, 예를 들어, 제조예로부터의 하기 화합물은 100 g/ha 의 적용율에서 83 % 의 효능을 나타낸다: I-35.
스포도프테라 프루기페르다 (Spodoptera frugiperda) - 스프레이 시험
용매:
78.0 중량부의 아세톤
1.5 중량부의 디메틸포름아미드
유화제:
알킬아릴 폴리글리콜 에테르
적합한 활성 화합물 제제를 제조하기 위해서, 1 중량부의 활성 화합물을 상기 기술한 중량부의 용매로 용해시키고, 원하는 농도에 도달할 때까지, 1000 ppm 의 유화제 농도를 함유하는 물로 만든다. 추가의 시험 농도를 생성하기 위해서, 제제를 유화제-함유 물로 희석시킨다.
옥수수 (제아 마이스 (Zea mays)) 의 잎 원판에 원하는 농도의 활성 화합물 제제를 스프레이하고, 건조시킨 후, 거염벌레 (스포도프테라 프루기페르다 (Spodoptera frugiperda)) 의 애벌레를 채운다.
7 일 후, 효능 (%) 을 결정한다. 100 % 는 모든 애벌레가 사망하였다는 것을 의미하고; 0 % 는 애벌레가 전혀 사망하지 않았다는 것을 의미한다.
이 시험에 있어서, 예를 들어, 제조예로부터의 하기 화합물은 500 g/ha 의 적용율에서 100 % 의 효능을 나타낸다: I-5, I-6, I-10, I-12, I-14, I-15, I-17, I-18, I-21, I-22, I-24, I-27, I-28, I-29, I-31, I-32, I-33, I-34.
이 시험에 있어서, 예를 들어, 제조예로부터의 하기 화합물은 500 g/ha 의 적용율에서 83 % 의 효능을 나타낸다: I-3.
이 시험에 있어서, 예를 들어, 제조예로부터의 하기 화합물은 100 g/ha 의 적용율에서 100 % 의 효능을 나타낸다: I-3, I-6, I-5, I-10, I-12, I-14, I-17, I-18, I-21, I-22, I-27, I-29, I-31, I-33, I-34, I-38, I-49, I-50.
이 시험에 있어서, 예를 들어, 제조예로부터의 하기 화합물은 100 g/ha 의 적용율에서 83 % 의 효능을 나타낸다: I-24, I-32.
테트라니쿠스 우르티카에 (Tetranychus urticae) - 스프레이 시험, OP-내성
용매:
78.0 중량부의 아세톤
1.5 중량부의 디메틸포름아미드
유화제:
알킬아릴 폴리글리콜 에테르
적합한 활성 화합물 제제를 제조하기 위해서, 1 중량부의 활성 화합물을 상기 기술한 중량부의 용매로 용해시키고, 원하는 농도에 도달할 때까지, 1000 ppm 의 유화제 농도를 함유하는 물로 만든다. 추가의 시험 농도를 생성하기 위해서, 제제를 유화제-함유 물로 희석시킨다.
모든 단계의 온실 붉은 거미 진드기 (테트라니쿠스 우르티카에 (Tetranychus urticae)) 로 감염된 콩잎 (파세올루스 불가리스 (Phaseolus vulgaris)) 의 원판에 원하는 농도의 활성 화합물 제제를 스프레이한다.
6 일 후, 효능 (%) 을 결정한다. 100 % 는 모든 거미 진드기가 사망하였다는 것을 의미하고; 0 % 는 거미 진드기가 전혀 사망하지 않았다는 것을 의미한다.
이 시험에 있어서, 예를 들어, 제조예로부터의 하기 화합물은 500 g/ha 의 적용율에서 90 % 의 효능을 나타낸다: I-15, I-31.
이 시험에 있어서, 예를 들어, 제조예로부터의 하기 화합물은 500 g/ha 의 적용율에서 70 % 의 효능을 나타낸다: I-2.
이 시험에 있어서, 예를 들어, 제조예로부터의 하기 화합물은 100 g/ha 의 적용율에서 90 % 의 효능을 나타낸다: I-43.
이 시험에 있어서, 예를 들어, 제조예로부터의 하기 화합물은 100 g/ha 의 적용율에서 70 % 의 효능을 나타낸다: I-39.
미주스 페르시카에 (Myzus persicae) 스프레이 시험
용매:
14 중량부의 디메틸포름아미드
유화제:
알킬아릴 폴리글리콜 에테르
적합한 활성 화합물 제제를 제조하기 위해서, 1 중량부의 활성 화합물을 상기 기술한 중량부의 용매로 용해시키고, 원하는 농도에 도달할 때까지, 1000 ppm 의 유화제 농도를 함유하는 물로 만든다. 추가의 시험 농도를 생성하기 위해서, 제제를 유화제-함유 물로 희석시킨다. 암모늄염 또는/및 침투제의 첨가가 요구되는 경우, 이들을 각각 1000 ppm 의 농도로 제제 용액에 첨가한다.
자두 진딧물 (미주스 페르시카에 (Myzus persicae)) 로 심하게 감염된 피망 식물 (카프시쿰 안누움 (Capsicum annuum)) 을, 원하는 농도의 활성 화합물 제제로 스프레이하여 처리한다.
6 일 후, 사망 (%) 을 결정한다. 100 % 는 모든 진딧물이 사망하였다는 것을 의미하고; 0 % 는 진딧물이 전혀 사망하지 않았다는 것을 의미한다.
이 시험에 있어서, 예를 들어, 제조예로부터의 하기 화합물은 20 ppm 의 적용율에서 100 % 의 효능을 나타낸다: I-21, I-34.
이 시험에 있어서, 예를 들어, 제조예로부터의 하기 화합물은 20 ppm 의 적용율에서 99 % 의 효능을 나타낸다: I-22.
이 시험에 있어서, 예를 들어, 제조예로부터의 하기 화합물은 20 ppm 의 적용율에서 98 % 의 효능을 나타낸다: I-18.
이 시험에 있어서, 예를 들어, 제조예로부터의 하기 화합물은 20 ppm 의 적용율에서 90 % 의 효능을 나타낸다: I-17.
Claims (10)
- 화학식 (I) 의 화합물:
[식 중,
A1 은 질소, =N+(O-)- 또는 =C(R4)- 를 나타내고,
R1 은 (C1-C6)-알킬, (C1-C6)-할로알킬, (C1-C6)-시아노알킬, (C1-C6)-히드록시알킬, (C1-C6)-알콕시-(C1-C6)-알킬, (C1-C6)-할로알콕시-(C1-C6)-알킬, (C2-C6)-알케닐, (C2-C6)-알케닐옥시-(C1-C6)-알킬, (C2-C6)-할로알케닐옥시-(C1-C6)-알킬, (C2-C6)-할로알케닐, (C2-C6)-시아노알케닐, (C2-C6)-알키닐, (C2-C6)-알키닐옥시-(C1-C6)-알킬, (C2-C6)-할로알키닐옥시-(C1-C6)-알킬, (C2-C6)-할로알키닐, (C2-C6)-시아노알키닐, (C3-C8)-시클로알킬, (C3-C8)-시클로알킬-(C3-C8)-시클로알킬, (C1-C6)-알킬-(C3-C8)-시클로알킬, 할로-(C3-C8)시클로알킬, 아미노, (C1-C6)-알킬아미노, 디-(C1-C6)-알킬-아미노, (C3-C8)-시클로알킬아미노, (C1-C6)-알킬카르보닐아미노, (C1-C6)-알킬티오-(C1-C6)-알킬, (C1-C6)-할로알킬티오-(C1-C6)-알킬, (C1-C6)-알킬술피닐-(C1-C6)-알킬, (C1-C6)-할로알킬술피닐-(C1-C6)-알킬, (C1-C6)-알킬술포닐-(C1-C6)-알킬, (C1-C6)-할로알킬술포닐-(C1-C6)-알킬, (C1-C6)-알콕시-(C1-C6)-알킬티오-(C1-C6)-알킬, (C1-C6)-알콕시-(C1-C6)-알킬술피닐-(C1-C6)-알킬, (C1-C6)-알콕시-(C1-C6)-알킬술포닐-(C1-C6)-알킬, (C1-C6)-알킬카르보닐-(C1-C6)-알킬, (C1-C6)-할로알킬카르보닐-(C1-C6)-알킬, (C1-C6)-알콕시카르보닐-(C1-C6)-알킬, (C1-C6)-할로알콕시카르보닐-(C1-C6)-알킬, (C1-C6)-알킬술포닐아미노, 아미노술포닐-(C1-C6)-알킬, (C1-C6)-알킬아미노술포닐-(C1-C6)-알킬, 디-(C1-C6)-알킬아미노술포닐-(C1-C6)-알킬을 나타내거나, 또는
(C1-C6)-알킬, (C1-C6)-알콕시, (C2-C6)-알케닐, (C2-C6)-알키닐, (C3-C8)-시클로알킬 (이들은 각각 아릴, 헤타릴 및 헤테로시클릴로 이루어진 군으로부터의 동일한 또는 상이한 치환기로 임의로 일- 또는 다치환되고, 아릴, 헤타릴 및 헤테로시클릴은 각각 할로겐, 시아노, 니트로, 히드록시, 아미노, 카르복시, 카르바모일, 아미노술포닐, (C1-C6)-알킬, (C3-C6)-시클로알킬, (C1-C6)-알콕시, (C1-C6)-할로알킬, (C1-C6)-할로알콕시, (C1-C6)-알킬티오, (C1-C6)-알킬술피닐, (C1-C6)-알킬술포닐, (C1-C6)-알킬술피미노, (C1-C6)-알킬술피미노-(C1-C6)-알킬, (C1-C6)-알킬술피미노-(C2-C6)-알킬카르보닐, (C1-C6)-알킬술폭시미노, (C1-C6)-알킬술폭시미노-(C1-C6)-알킬, (C1-C6)-알킬술폭시미노-(C2-C6)-알킬카르보닐, (C1-C6)-알콕시카르보닐, (C1-C6)-알킬카르보닐, (C3-C6)-트리알킬실릴 및 벤질로 이루어진 군으로부터의 동일한 또는 상이한 치환기로 임의로 일- 또는 다치환될 수 있다) 을 나타내고, 또는
R1 은 아릴, 헤타릴 또는 헤테로시클릴 (이들은 각각 할로겐, 시아노, 니트로, 히드록시, 아미노, 카르복시, 카르바모일, (C1-C6)-알킬, (C3-C8)-시클로알킬, (C1-C6)-알콕시, (C1-C6)-할로알킬, (C1-C6)-할로알콕시, (C1-C6)-알킬티오, (C1-C6)-알킬술피닐, (C1-C6)-알킬술포닐, (C1-C6)-알킬술피미노, (C1-C6)-알킬술피미노-(C1-C6)-알킬, (C1-C6)-알킬술피미노-(C2-C6)-알킬카르보닐, (C1-C6)-알킬술폭시미노, (C1-C6)-알킬술폭시미노-(C1-C6)-알킬, (C1-C6)-알킬술폭시미노-(C2-C6)-알킬카르보닐, (C1-C6)-알콕시카르보닐, (C1-C6)-알킬카르보닐, (C3-C6)-트리알킬실릴, (=O) (헤테로시클릴의 경우에만) 및 (=O)2 (헤테로시클릴의 경우에만) 로 이루어진 군으로부터의 동일한 또는 상이한 치환기로 임의로 일- 또는 다치환된다) 을 나타내고,
R2 는 부분적으로 포화된 또는 포화된 헤테로시클릭 또는 헤테로방향족 8-, 9-, 10-, 11- 또는 12-원 융합 비시클릭 고리계 (임의로 하나 이상의 카르보닐기가 존재할 수 있고, 및/또는 고리계는 동일한 또는 상이한 치환기로 임의로 일- 또는 다치환될 수 있으며, 치환기는 시아노, 카르복시, 할로겐, 니트로, 아세틸, 히드록시, 아미노, SCN, 트리-(C1-C6)-알킬실릴, (C1-C6)-알킬, (C1-C6)-할로알킬, (C1-C6)-시아노알킬, (C1-C6)-히드록시알킬, 히드록시카르보닐-(C1-C6)-알콕시, (C1-C6)-알콕시카르보닐-(C1-C6)-알킬, (C1-C6)-알콕시-(C1-C6)-알킬, (C2-C6)-알케닐, (C2-C6)-할로알케닐, (C2-C6)-시아노알케닐, (C2-C6)-알키닐, (C2-C6)-할로알키닐, (C2-C6)-시아노알키닐, (C3-C6)-시클로알킬, (C3-C6)-시클로알킬-(C3-C6)-시클로알킬, (C1-C4)-알킬-(C3-C6)-시클로알킬, (C1-C6)-알콕시, (C1-C6)-할로알콕시, (C1-C6)-시아노알콕시, (C1-C6)-알콕시카르보닐-(C1-C6)-알콕시, (C1-C6)-알콕시-(C1-C6)-알콕시, (C1-C6)-알콕시이미노, -N=C(H)-O(C1-C6)-알킬, -C(H)=N-O(C1-C6)-알킬, (C1-C6)-할로알킬-(C1-C6)-알콕시이미노, (C1-C6)-알킬티오, (C1-C6)-할로알킬티오, (C1-C6)-알콕시-(C1-C6)-알킬티오, (C1-C6)-알킬티오-(C1-C6)-알킬, (C1-C6)-알킬술피닐, (C1-C6)-할로알킬술피닐, (C1-C6)-알콕시-(C1-C6)-알킬술피닐, (C1-C6)-알킬술피닐-(C1-C6)-알킬, (C1-C6)-알킬술포닐, (C1-C6)-할로알킬술포닐, (C1-C6)-알콕시-(C1-C6)-알킬술포닐, (C1-C6)-알킬술포닐-(C1-C6)-알킬, (C1-C6)-알킬술포닐옥시, (C1-C6)-알킬카르보닐, (C1-C6)-할로알킬카르보닐, (C1-C6)-알킬카르보닐옥시, (C1-C6)-알콕시카르보닐, (C1-C6)-할로알콕시카르보닐, 아미노카르보닐, (C1-C6)-알킬아미노카르보닐, 디-(C1-C6)-알킬아미노카르보닐, (C2-C6)-알케닐아미노카르보닐, 디-(C2-C6)-알케닐아미노카르보닐, (C3-C8)-시클로알킬아미노카르보닐, (C1-C6)-알킬술포닐아미노, (C1-C6)-알킬아미노, 디-(C1-C6)-알킬아미노, 아미노술포닐, (C1-C6)-알킬아미노술포닐, 디-(C1-C6)-알킬아미노술포닐, (C1-C6)-알킬술폭시미노, 아미노티오카르보닐, (C1-C6)-알킬아미노티오카르보닐, 디-(C1-C6)-알킬아미노티오카르보닐, (C3-C8)-시클로알킬아미노, (C1-C6)-알킬카르보닐아미노로 이루어진 군에서 서로 독립적으로 선택될 수 있다) 를 나타내고,
R3 은 수소, 시아노, 할로겐, 니트로, 아세틸, 히드록시, 아미노, SCN, 트리-(C1-C6)-알킬실릴, (C3-C8)-시클로알킬, (C3-C8)-시클로알킬-(C3-C8)-시클로알킬, (C1-C6)-알킬-(C3-C8)-시클로알킬, 할로-(C3-C8)-시클로알킬, (C1-C6)-알킬, (C1-C6)-할로알킬, (C1-C6)-시아노알킬, (C1-C6)-히드록시알킬, 히드록시카르보닐-(C1-C6)-알콕시, (C1-C6)-알콕시카르보닐-(C1-C6)-알킬, (C1-C6)-알콕시-(C1-C6)-알킬, (C2-C6)-알케닐, (C2-C6)-할로알케닐, (C2-C6)-시아노알케닐, (C2-C6)-알키닐, (C2-C6)-할로알키닐, (C2-C6)-시아노알키닐, (C1-C6)-알콕시, (C1-C6)-할로알콕시, (C1-C6)-시아노알콕시, (C1-C6)-알콕시카르보닐-(C1-C6)-알콕시, (C1-C6)-알콕시-(C1-C6)-알콕시, (C1-C6)-알킬히드록시이미노, (C1-C6)-알콕시이미노, (C1-C6)-알킬-(C1-C6)-알콕시이미노, (C1-C6)-할로알킬-(C1-C6)-알콕시이미노, (C1-C6)-알킬티오, (C1-C6)-할로알킬티오, (C1-C6)-알콕시-(C1-C6)-알킬티오, (C1-C6)-알킬티오-(C1-C6)-알킬, (C1-C6)-알킬술피닐, (C1-C6)-할로알킬술피닐, (C1-C6)-알콕시-(C1-C6)-알킬술피닐, (C1-C6)-알킬술피닐-(C1-C6)-알킬, (C1-C6)-알킬술포닐, (C1-C6)-할로알킬술포닐, (C1-C6)-알콕시-(C1-C6)-알킬술포닐, (C1-C6)-알킬술포닐-(C1-C6)-알킬, (C1-C6)-알킬술포닐옥시, (C1-C6)-알킬카르보닐, (C1-C6)-알킬티오카르보닐, (C1-C6)-할로알킬카르보닐, (C1-C6)-알킬카르보닐옥시, (C1-C6)-알콕시카르보닐, (C1-C6)-할로알콕시카르보닐, 아미노카르보닐, (C1-C6)-알킬아미노카르보닐, (C1-C6)-알킬아미노티오카르보닐, 디-(C1-C6)-알킬아미노카르보닐, 디-(C1-C6)-알킬아미노티오카르보닐, (C2-C6)-알케닐아미노카르보닐, 디-(C2-C6)-알케닐아미노카르보닐, (C3-C8)-시클로알킬아미노카르보닐, (C1-C6)-알킬술포닐아미노, (C1-C6)-알킬아미노, 디-(C1-C6)-알킬아미노, 아미노술포닐, (C1-C6)-알킬아미노술포닐, 디-(C1-C6)-알킬아미노술포닐, (C1-C6)-알킬술폭시미노, 아미노티오카르보닐, (C1-C6)-알킬아미노티오카르보닐, 디-(C1-C6)-알킬아미노티오카르보닐, (C3-C8)-시클로알킬아미노, NHCO-(C1-C6)-알킬 ((C1-C6)-알킬카르보닐아미노) 을 나타내고,
아릴 또는 헤타릴 (이들은 각각 동일한 또는 상이한 치환기로 임의로 일- 또는 다치환되고, (헤타릴의 경우) 임의로 하나 이상의 카르보닐기가 존재할 수 있으며, 및/또는 각 경우에 있어서 가능한 치환기는 다음과 같다: 시아노, 카르복시, 할로겐, 니트로, 아세틸, 히드록시, 아미노, SCN, 트리-(C1-C6)-알킬실릴, (C3-C8)-시클로알킬, (C3-C8)-시클로알킬-(C3-C8)-시클로알킬, (C1-C6)-알킬-(C3-C8)-시클로알킬, 할로-(C3-C8)-시클로알킬, (C1-C6)-알킬, (C1-C6)-할로알킬, (C1-C6)-시아노알킬, (C1-C6)-히드록시알킬, 히드록시카르보닐-(C1-C6)-알콕시, (C1-C6)-알콕시카르보닐-(C1-C6)-알킬, (C1-C6)-알콕시-(C1-C6)-알킬, (C2-C6)-알케닐, (C2-C6)-할로알케닐, (C2-C6)-시아노알케닐, (C2-C6)-알키닐, (C2-C6)-할로알키닐, (C2-C6)-시아노알키닐, (C1-C6)-알콕시, (C1-C6)-할로알콕시, (C1-C6)-시아노알콕시, (C1-C6)-알콕시카르보닐-(C1-C6)-알콕시, (C1-C6)-알콕시-(C1-C6)-알콕시, (C1-C6)-알킬히드록시이미노, (C1-C6)-알콕시이미노, (C1-C6)-알킬-(C1-C6)-알콕시이미노, (C1-C6)-할로알킬-(C1-C6)-알콕시이미노, (C1-C6)-알킬티오, (C1-C6)-할로알킬티오, (C1-C6)-알콕시-(C1-C6)-알킬티오, (C1-C6)-알킬티오-(C1-C6)-알킬, (C1-C6)-알킬술피닐, (C1-C6)-할로알킬술피닐, (C1-C6)-알콕시-(C1-C6)-알킬술피닐, (C1-C6)-알킬술피닐-(C1-C6)-알킬, (C1-C6)-알킬술포닐, (C1-C6)-할로알킬술포닐, (C1-C6)-알콕시-(C1-C6)-알킬술포닐, (C1-C6)-알킬술포닐-(C1-C6)-알킬, (C1-C6)-알킬술포닐옥시, (C1-C6)-알킬카르보닐, (C1-C6)-할로알킬카르보닐, (C1-C6)-알킬카르보닐옥시, (C1-C6)-알콕시카르보닐, (C1-C6)-할로알콕시카르보닐, 아미노카르보닐, (C1-C6)-알킬아미노카르보닐, 디-(C1-C6)-알킬아미노카르보닐, (C2-C6)-알케닐아미노카르보닐, 디-(C2-C6)-알케닐아미노카르보닐, (C3-C8)-시클로알킬아미노카르보닐, (C1-C6)-알킬술포닐아미노, (C1-C6)-알킬아미노, 디-(C1-C6)-알킬아미노, 아미노술포닐, (C1-C6)-알킬아미노술포닐, 디-(C1-C6)-알킬아미노술포닐, (C1-C6)-알킬술폭시미노, 아미노티오카르보닐, (C1-C6)-알킬아미노티오카르보닐, 디-(C1-C6)-알킬아미노티오카르보닐, (C3-C8)-시클로알킬아미노, (C1-C6)-알킬카르보닐아미노) 을 나타내고,
R4 는 수소, 시아노, 할로겐, 니트로, 아세틸, 히드록시, 아미노, SCN, 트리-(C1-C6)-알킬실릴, (C3-C8)-시클로알킬, (C3-C8)-시클로알킬-(C3-C8)-시클로알킬, (C1-C6)-알킬-(C3-C8)-시클로알킬, 할로-(C3-C8)-시클로알킬, (C1-C6)-알킬, (C1-C6)-할로알킬, (C1-C6)-시아노알킬, (C1-C6)-히드록시알킬, 히드록시카르보닐-(C1-C6)-알콕시, (C1-C6)-알콕시카르보닐-(C1-C6)-알킬, (C1-C6)-알콕시-(C1-C6)-알킬, (C2-C6)-알케닐, (C2-C6)-할로알케닐, (C2-C6)-시아노알케닐, (C2-C6)-알키닐, (C2-C6)-할로알키닐, (C2-C6)-시아노알키닐, (C1-C6)-알콕시, (C1-C6)-할로알콕시, (C1-C6)-시아노알콕시, (C1-C6)-알콕시카르보닐-(C1-C6)-알콕시, (C1-C6)-알콕시-(C1-C6)-알콕시, (C1-C6)-알킬히드록시이미노, (C1-C6)-알콕시이미노, (C1-C6)-알킬-(C1-C6)-알콕시이미노, (C1-C6)-할로알킬-(C1-C6)-알콕시이미노, (C1-C6)-알킬티오, (C1-C6)-할로알킬티오, (C1-C6)-알콕시-(C1-C6)-알킬티오, (C1-C6)-알킬티오-(C1-C6)-알킬, (C1-C6)-알킬술피닐, (C1-C6)-할로알킬술피닐, (C1-C6)-알콕시-(C1-C6)-알킬술피닐, (C1-C6)-알킬술피닐-(C1-C6)-알킬, (C1-C6)-알킬술포닐, (C1-C6)-할로알킬술포닐, (C1-C6)-알콕시-(C1-C6)-알킬술포닐, (C1-C6)-알킬술포닐-(C1-C6)-알킬, (C1-C6)-알킬술포닐옥시, (C1-C6)-알킬카르보닐, (C1-C6)-알킬티오카르보닐, (C1-C6)-할로알킬카르보닐, (C1-C6)-알킬카르보닐옥시, (C1-C6)-알콕시카르보닐, (C1-C6)-할로알콕시카르보닐, 아미노카르보닐, (C1-C6)-알킬아미노카르보닐, (C1-C6)-알킬아미노티오카르보닐, 디-(C1-C6)-알킬아미노카르보닐, 디-(C1-C6)-알킬아미노티오카르보닐, (C2-C6)-알케닐아미노카르보닐, 디-(C2-C6)-알케닐아미노카르보닐, (C3-C8)-시클로알킬아미노카르보닐, (C1-C6)-알킬술포닐아미노, (C1-C6)-알킬아미노, 디-(C1-C6)-알킬아미노, 아미노술포닐, (C1-C6)-알킬아미노술포닐, 디-(C1-C6)-알킬아미노술포닐, (C1-C6)-알킬술폭시미노, 아미노티오카르보닐, (C1-C6)-알킬아미노티오카르보닐, 디-(C1-C6)-알킬아미노티오카르보닐, (C3-C8)-시클로알킬아미노 또는 -NHCO-(C1-C6)-알킬 ((C1-C6)-알킬카르보닐아미노) 을 나타내고,
X 는 부분적으로 포화된 또는 포화된 헤테로시클릭 또는 헤테로방향족 8-, 9-, 10-, 11- 또는 12-원 융합 비시클릭 또는 트리시클릭 고리계 (임의로 하나 이상의 카르보닐기가 존재할 수 있으며, 및/또는 고리계는 동일한 또는 상이한 치환기로 임의로 일- 또는 다치환되고, 치환기는 시아노, 할로겐, 니트로, 아세틸, 히드록시, 아미노, SCN, 트리-(C1-C6)-알킬실릴, (C3-C8)-시클로알킬, (C3-C8)-시클로알킬-(C3-C8)-시클로알킬, (C1-C6)-알킬-(C3-C8)-시클로알킬, 할로-(C3-C8)-시클로알킬, (C1-C6)-알킬, (C1-C6)-할로알킬, (C1-C6)-시아노알킬, (C1-C6)-히드록시알킬, 히드록시카르보닐-(C1-C6)-알콕시, (C1-C6)-알콕시카르보닐-(C1-C6)-알킬, (C1-C6)-알콕시-(C1-C6)-알킬, (C2-C6)-알케닐, (C2-C6)-할로알케닐, (C2-C6)-시아노알케닐, (C2-C6)-알키닐, (C2-C6)-알키닐옥시-(C1-C4)-알킬, (C2-C6)-할로알키닐, (C2-C6)-시아노알키닐, (C1-C6)-알콕시, (C1-C6)-할로알콕시, (C1-C6)-할로알콕시-(C1-C6)-알킬, (C2-C6)-알케닐옥시-(C1-C6)-알킬, (C2-C6)-할로알케닐옥시-(C1-C6)-알킬, (C1-C6)-시아노알콕시, (C1-C6)-알콕시카르보닐-(C1-C6)-알콕시, (C1-C6)-알콕시-(C1-C6)-알콕시, (C1-C6)-알킬히드록시이미노, (C1-C6)-알콕시이미노, (C1-C6)-알킬-(C1-C6)-알콕시이미노, (C1-C6)-할로알킬-(C1-C6)-알콕시이미노, (C1-C6)-알킬티오, (C1-C6)-할로알킬티오, (C1-C6)-알콕시-(C1-C6)-알킬티오, (C1-C6)-알킬티오-(C1-C6)-알킬, (C1-C6)-알킬술피닐, (C1-C6)-할로알킬술피닐, (C1-C6)-알콕시-(C1-C6)-알킬술피닐, (C1-C6)-알킬술피닐-(C1-C6)-알킬, (C1-C6)-알킬술포닐, (C1-C6)-할로알킬술포닐, (C1-C6)-알콕시-(C1-C6)-알킬술포닐, (C1-C6)-알킬술포닐-(C1-C6)-알킬, (C1-C6)-알킬술포닐옥시, (C1-C6)-알킬카르보닐, (C1-C6)-알킬카르보닐-(C1-C6)-알킬, (C1-C6)-알킬티오카르보닐, (C1-C6)-할로알킬카르보닐, (C1-C6)-알킬카르보닐옥시, (C1-C6)-알콕시카르보닐, (C1-C6)-할로알콕시카르보닐, 아미노카르보닐, (C1-C6)-알킬아미노카르보닐, (C1-C6)-알킬아미노티오카르보닐, 디-(C1-C6)-알킬아미노카르보닐, 디-(C1-C6)-알킬아미노티오카르보닐, (C2-C6)-알케닐아미노카르보닐, 디-(C2-C6)-알케닐아미노카르보닐, (C3-C8)-시클로알킬아미노카르보닐, (C1-C6)-알킬술포닐아미노, (C1-C6)-알킬아미노, 디-(C1-C6)-알킬아미노, 아미노술포닐, (C1-C6)-알킬아미노술포닐, 디-(C1-C6)-알킬아미노술포닐, (C1-C6)-알킬술폭시미노, 아미노티오카르보닐, (C1-C6)-알킬아미노티오카르보닐, 디-(C1-C6)-알킬아미노티오카르보닐, (C3-C8)-시클로알킬아미노, NHCO-(C1-C6)-알킬 ((C1-C6)-알킬카르보닐아미노) 로 이루어진 군에서 서로 독립적으로 선택될 수 있거나,
또는 치환기는 페닐 또는 5- 또는 6-원 헤테로방향족 고리에서 독립적으로 선택될 수 있고, 페닐 또는 고리는 동일하게 또는 상이하게 C1-C6-알킬, C2-C6-알케닐, C2-C6-알키닐, C3-C6-시클로알킬, C1-C6-할로알킬, C2-C6-할로알케닐, C2-C6-할로알키닐, C3-C6-할로시클로알킬, 할로겐, CN, NO2, C1-C4-알콕시, C1-C4-할로알콕시로 임의로 일- 또는 다치환될 수 있다) 를 나타내고,
n 은 0, 1 또는 2 를 나타낸다]
단, 는 제외한다. - 제 1 항에 있어서,
A1 이 질소, =N+(O-)- 또는 =C(R4)- 를 나타내고,
R1 이 (C1-C4)-알킬, (C1-C4)-히드록시알킬, (C1-C4)-할로알킬, (C1-C4)-시아노알킬, (C1-C4)-알콕시-(C1-C4)-알킬, (C1-C4)-할로알콕시-(C1-C4)-알킬, (C2-C4)-알케닐, (C2-C4)-알케닐옥시-(C1-C4)-알킬, (C2-C4)-할로알케닐옥시-(C1-C4)-알킬, (C2-C4)-할로알케닐, (C2-C4)-시아노알케닐, (C2-C4)-알키닐, (C2-C4)-알키닐옥시-(C1-C4)-알킬, (C2-C4)-할로알키닐옥시-(C1-C4)-알킬, (C2-C4)-할로알키닐, (C2-C4)-시아노알키닐, (C3-C6)-시클로알킬, (C3-C6)-시클로알킬-(C3-C6)-시클로알킬, (C1-C4)-알킬-(C3-C6)-시클로알킬, 할로-(C3-C6)-시클로알킬, (C1-C4)-알킬아미노, 디-(C1-C4)-알킬아미노, (C3-C6)-시클로알킬아미노, (C1-C4)-알킬카르보닐아미노, (C1-C4)-알킬티오-(C1-C4)-알킬, (C1-C4)-할로알킬티오-(C1-C4)-알킬, (C1-C4)-알킬술피닐-(C1-C4)-알킬, (C1-C4)-할로알킬술피닐-(C1-C4)-알킬, (C1-C4)-알킬술포닐-(C1-C4)-알킬, (C1-C4)-알킬카르보닐-(C1-C4)-알킬, (C1-C4)-할로알킬카르보닐-(C1-C4)-알킬, (C1-C4)-알킬술포닐아미노를 나타내거나, 또는
(C1-C4)-알킬, (C1-C4)-알콕시, (C2-C4)-알케닐, (C2-C4)-알키닐, (C3-C6)-시클로알킬 (이들은 각각 아릴, 헤타릴 및 헤테로시클릴로 이루어진 군으로부터의 동일한 또는 상이한 치환기로 임의로 일- 또는 이치환되고, 아릴, 헤타릴 또는 헤테로시클릴은 각각 할로겐, 시아노, 카르바모일, 아미노술포닐, (C1-C4)-알킬, (C3-C4)-시클로알킬, (C1-C4)-알콕시, (C1-C4)-할로알킬, (C1-C4)-할로알콕시, (C1-C4)-알킬티오, (C1-C4)-알킬술피닐, (C1-C4)-알킬술포닐, (C1-C4)-알킬술피미노로 이루어진 군으로부터의 동일한 또는 상이한 치환기로 임의로 일- 또는 이치환될 수 있다) 을 나타내고, 또는
R1 이 아릴, 헤타릴 또는 헤테로시클릴 (이들은 각각 할로겐, 시아노, 카르바모일, (C1-C4)-알킬, (C3-C6)-시클로알킬, (C1-C4)-알콕시, (C1-C4)-할로알킬, (C1-C4)-할로알콕시, (C1-C4)-알킬티오, (C1-C4)-알킬술피닐, (C1-C4)-알킬술포닐, (C1-C4)-알킬술피미노, (C1-C4)-알킬술폭시미노, (C1-C4)-알킬카르보닐, (C3-C4)-트리알킬실릴, (=O) (헤테로시클릴의 경우에만) 및 (=O)2 (헤테로시클릴의 경우에만) 로 이루어진 군으로부터의 동일한 또는 상이한 치환기로 임의로 일- 또는 이치환된다) 을 나타내고,
R2 가 부분적으로 포화된 또는 포화된 헤테로시클릭 또는 헤테로방향족 8-, 9- 또는 10-원 융합 비시클릭 고리계 (임의로 하나 이상의 카르보닐기가 존재할 수 있고, 고리계는 동일한 또는 상이한 치환기로 임의로 일- 또는 다치환될 수 있으며, 치환기는 시아노, 할로겐, 니트로, 아세틸, 아미노, (C1-C4)-알킬, (C1-C4)-할로알킬, (C1-C4)-시아노알킬, (C1-C4)-히드록시알킬, (C1-C4)-알콕시-(C1-C4)-알킬, (C2-C4)-알케닐, (C2-C4)-할로알케닐, (C2-C4)-시아노알케닐, (C2-C4)-알키닐, (C2-C4)-할로알키닐, (C2-C4)-시아노알키닐, (C3-C6)-시클로알킬, (C3-C6)-시클로알킬-(C3-C6)시클로알킬, (C1-C4)-알킬-(C3-C6)시클로알킬, (C1-C4)-알콕시, (C1-C4)-할로알콕시, (C1-C4)-시아노알콕시, (C1-C4)-알콕시-(C1-C4)-알콕시, (C1-C4)-알콕시이미노, -N=C(H)-O(C1-C4)-알킬, -C(H)=N-O(C1-C4)-알킬, (C1-C4)-할로알킬-(C1-C4)-알콕시이미노, (C1-C4)-알킬티오, (C1-C4)-할로알킬티오, (C1-C4)-알킬티오-(C1-C4)-알킬, (C1-C4)-알킬술피닐, (C1-C4)-할로알킬술피닐, (C1-C4)-알킬술피닐-(C1-C4)-알킬, (C1-C4)-알킬술포닐, (C1-C4)-할로알킬술포닐, (C1-C4)-알킬술포닐-(C1-C4)-알킬, (C1-C4)-알킬술포닐옥시, (C1-C4)-알킬카르보닐, (C1-C4)-할로알킬카르보닐, 아미노카르보닐, (C1-C4)-알킬아미노카르보닐, 디-(C1-C4)-알킬아미노카르보닐, (C1-C4)-알킬술포닐아미노, (C1-C4)-알킬아미노, 디-(C1-C4)-알킬아미노, 아미노술포닐, (C1-C4)-알킬아미노술포닐, 디-(C1-C4)-알킬아미노술포닐, (C1-C4)-알킬카르보닐아미노로 이루어진 군에서 서로 독립적으로 선택될 수 있다) 를 나타내고,
R3 이 수소, 시아노, 할로겐, 니트로, 아세틸, 히드록시, 아미노, SCN, 트리-(C1-C4)-알킬실릴, (C3-C6)-시클로알킬, (C3-C6)-시클로알킬-(C3-C6)시클로알킬, (C1-C4)-알킬-(C3-C6)-시클로알킬, 할로-(C3-C6)-시클로알킬, (C1-C4)-알킬, (C1-C4)-할로알킬, (C1-C4)-시아노알킬, (C1-C4)-히드록시알킬, (C1-C4)-알콕시-(C1-C4)-알킬, (C2-C4)-알케닐, (C2-C4)-할로알케닐, (C2-C4)-시아노알케닐, (C2-C4)-알키닐, (C2-C4)-할로알키닐, (C2-C4)-시아노알키닐, (C1-C4)-알콕시, (C1-C4)-할로알콕시, (C1-C4)-시아노알콕시, (C1-C4)-알콕시-(C1-C4)-알콕시, (C1-C4)-알킬히드록시이미노, (C1-C4)-알콕시이미노, (C1-C4)-알킬-(C1-C4)-알콕시이미노, (C1-C4)-할로알킬-(C1-C4)-알콕시이미노, (C1-C4)-알킬티오, (C1-C4)-할로알킬티오, (C1-C4)-알킬티오-(C1-C4)-알킬, (C1-C4)-알킬술피닐, (C1-C4)-할로알킬술피닐, (C1-C4)-알킬술피닐-(C1-C4)-알킬, (C1-C4)-알킬술포닐, (C1-C4)-할로알킬술포닐, (C1-C4)-알킬술포닐-(C1-C4)-알킬, (C1-C4)-알킬술포닐옥시, (C1-C4)-알킬카르보닐, (C1-C4)-할로알킬카르보닐, 아미노카르보닐, 아미노티오카르보닐, (C1-C4)-알킬아미노카르보닐, 디-(C1-C4)-알킬아미노카르보닐, (C1-C4)-알킬술포닐아미노, (C1-C4)-알킬아미노, 디-(C1-C4)-알킬아미노, 아미노술포닐, (C1-C4)-알킬아미노술포닐, 디-(C1-C4)-알킬아미노술포닐, 아미노티오카르보닐, NHCO-(C1-C4)-알킬 ((C1-C4)-알킬카르보닐아미노) 을 나타내고,
또한 페닐 또는 헤타릴 (이들은 각각 동일한 또는 상이한 치환기로 임의로 일- 또는 이치환되고, (헤타릴의 경우) 임의로 하나 이상의 카르보닐기가 존재할 수 있으며, 및/또는 각 경우에 있어서 가능한 치환기는 다음과 같다: 시아노, 할로겐, 니트로, 아세틸, 아미노, (C3-C6)-시클로알킬, (C3-C6)-시클로알킬-(C3-C6)-시클로알킬, (C1-C4)-알킬-(C3-C6)-시클로알킬, 할로-(C3-C6)-시클로알킬, (C1-C4)-알킬, (C1-C4)-할로알킬, (C1-C4)-시아노알킬, (C1-C4)-히드록시알킬, (C1-C4)-알콕시-(C1-C4)-알킬, (C2-C4)-알케닐, (C2-C4)-할로알케닐, (C2-C4)-시아노알케닐, (C2-C4)-알키닐, (C2-C4)-할로알키닐, (C2-C4)-시아노알키닐, (C1-C4)-알콕시, (C1-C4)-할로알콕시, (C1-C4)-시아노알콕시, (C1-C4)-알콕시-(C1-C4)-알콕시, (C1-C4)-알킬히드록시이미노, (C1-C4)-알콕시이미노, (C1-C4)-알킬-(C1-C4)-알콕시이미노, (C1-C4)-할로알킬-(C1-C4)-알콕시이미노, (C1-C4)-알킬티오, (C1-C4)-할로알킬티오, (C1-C4)-알킬티오-(C1-C4)-알킬, (C1-C4)-알킬술피닐, (C1-C4)-할로알킬술피닐, (C1-C4)-알킬술피닐-(C1-C4)-알킬, (C1-C4)-알킬술포닐, (C1-C4)-할로알킬술포닐, (C1-C4)-알킬술포닐-(C1-C4)-알킬, (C1-C4)-알킬술포닐옥시, (C1-C4)-알킬카르보닐, (C1-C4)-할로알킬카르보닐, 아미노카르보닐, (C1-C4)-알킬아미노카르보닐, 디-(C1-C4)-알킬아미노카르보닐, (C1-C4)-알킬술포닐아미노, (C1-C4)-알킬아미노, 디-(C1-C4)-알킬아미노, 아미노술포닐, (C1-C4)-알킬아미노술포닐, 디-(C1-C4)-알킬아미노술포닐, NHCO-(C1-C4)-알킬 ((C1-C4)-알킬카르보닐아미노) 을 나타내고,
R4 가 수소, 시아노, 할로겐, 니트로, 아세틸, 히드록시, 아미노, SCN, 트리-(C1-C4)-알킬실릴, (C3-C6)-시클로알킬, (C3-C6)-시클로알킬-(C3-C6)시클로알킬, (C1-C4)-알킬-(C3-C6)시클로알킬, 할로-(C3-C6)시클로알킬, (C1-C4)-알킬, (C1-C4)-할로알킬, (C1-C4)-시아노알킬, (C1-C4)-히드록시알킬, (C1-C4)-알콕시-(C1-C4)-알킬, (C2-C4)-알케닐, (C2-C4)-할로알케닐, (C2-C4)-시아노알케닐, (C2-C4)-알키닐, (C2-C4)-할로알키닐, (C2-C4)-시아노알키닐, (C1-C4)-알콕시, (C1-C4)-할로알콕시, (C1-C4)-시아노알콕시, (C1-C4)-알콕시-(C1-C4)-알콕시, (C1-C4)-알킬히드록시이미노, (C1-C4)-알콕시이미노, (C1-C4)-알킬-(C1-C4)-알콕시이미노, (C1-C4)-할로알킬-(C1-C4)-알콕시이미노, (C1-C4)-알킬티오, (C1-C4)-할로알킬티오, (C1-C4)-알킬티오-(C1-C4)-알킬, (C1-C4)-알킬술피닐, (C1-C4)-할로알킬술피닐, (C1-C4)-알킬술피닐-(C1-C4)-알킬, (C1-C4)-알킬술포닐, (C1-C4)-할로알킬술포닐, (C1-C4)-알킬술포닐-(C1-C4)-알킬, (C1-C4)-알킬술포닐옥시, (C1-C4)-알킬카르보닐, (C1-C4)-할로알킬카르보닐, 아미노카르보닐, 아미노티오카르보닐, (C1-C4)-알킬아미노카르보닐, 디-(C1-C4)-알킬아미노카르보닐, (C1-C4)-알킬술포닐아미노, (C1-C4)-알킬아미노, 디-(C1-C4)-알킬아미노, 아미노술포닐, (C1-C4)-알킬아미노술포닐, 디-(C1-C4)-알킬아미노술포닐, 아미노티오카르보닐 또는 NHCO-(C1-C4)-알킬 ((C1-C4)-알킬카르보닐아미노) 을 나타내고,
X 가 헤테로방향족 8-, 9-, 10-, 11- 또는 12-원 융합 비시클릭 또는 트리시클릭 고리계 (고리계는 동일한 또는 상이한 치환기로 임의로 일- 또는 다치환되고, 치환기는 시아노, 할로겐, 니트로, 아세틸, 히드록시, 아미노, SCN, 트리-(C1-C6)-알킬실릴, (C3-C8)-시클로알킬, (C3-C8)-시클로알킬-(C3-C8)-시클로알킬, (C1-C6)-알킬-(C3-C8)-시클로알킬, 할로-(C3-C8)-시클로알킬, (C1-C6)-알킬, (C1-C6)-할로알킬, (C1-C6)-시아노알킬, (C1-C6)-히드록시알킬, (C1-C6)-알콕시-(C1-C6)-알킬, (C2-C6)-알케닐, (C2-C6)-할로겐알케닐, (C2-C6)-시아노알케닐, (C2-C6)-알키닐, (C2-C6)-알키닐옥시-(C1-C4)-알킬, (C2-C6)-할로겐알키닐, (C1-C6)-알콕시, (C1-C6)-할로알콕시, (C1-C6)-할로알콕시-(C1-C6)-알킬, (C2-C6)-알케닐옥시-(C1-C6)-알킬, (C2-C6)-할로알케닐옥시-(C1-C6)-알킬, (C1-C6)-시아노알콕시, (C1-C6)-알콕시-(C1-C6)-알콕시, (C1-C6)-알킬히드록시이미노, (C1-C6)-알콕시이미노, (C1-C6)-알킬-(C1-C6)-알콕시이미노, (C1-C6)-알킬티오, (C1-C6)-할로겐알킬티오, (C1-C6)-알콕시-(C1-C6)-알킬티오, (C1-C6)-알킬티오-(C1-C6)-알킬, (C1-C6)-알킬술피닐, (C1-C6)-할로알킬술피닐, (C1-C6)-알콕시-(C1-C6)-알킬술피닐, (C1-C6)-알킬술피닐-(C1-C6)-알킬, (C1-C6)-알킬술포닐, (C1-C6)-할로알킬술포닐, (C1-C6)-알콕시-(C1-C6)-알킬술포닐, (C1-C6)-알킬술포닐-(C1-C6)-알킬, (C1-C6)-알킬술포닐옥시, (C1-C6)-알킬카르보닐, (C1-C6)-알킬카르보닐-(C1-C6)-알킬, (C1-C6)-알킬티오카르보닐, (C1-C6)-할로알킬카르보닐, (C1-C6)-알킬카르보닐옥시, (C1-C6)-알콕시카르보닐, (C1-C6)-할로알콕시카르보닐, 아미노카르보닐, (C1-C6)-알킬아미노카르보닐, (C1-C6)-알킬아미노티오카르보닐, 디-(C1-C6)-알킬아미노카르보닐, 디-(C1-C6)-알킬아미노티오카르보닐, (C3-C8)-시클로알킬아미노카르보닐, (C1-C6)-알킬술포닐아미노, (C1-C6)-알킬아미노, 디-(C1-C6)-알킬아미노, 아미노술포닐, (C1-C6)-알킬아미노술포닐, 디-(C1-C6)-알킬아미노술포닐, (C1-C6)-알킬술폭시미노, 아미노티오카르보닐, (C1-C6)-알킬아미노티오카르보닐, 디-(C1-C6)-알킬아미노티오카르보닐, (C3-C8)-시클로알킬아미노, NHCO-(C1-C6)-알킬 ((C1-C6)-알킬카르보닐아미노) 로 이루어진 군에서 서로 독립적으로 선택될 수 있거나,
또는 치환기는 페닐 또는 5- 또는 6-원 헤테로방향족 고리에서 독립적으로 선택될 수 있고, 페닐 또는 고리는 동일하게 또는 상이하게 C1-C6-알킬, C2-C6-알케닐, C2-C6-알키닐, C3-C6-시클로알킬, C1-C6-할로알킬, C2-C6-할로알케닐, C2-C6-할로알키닐, C3-C6-할로시클로알킬, 할로겐, CN, C1-C4-알콕시, C1-C4-할로알콕시로 임의로 일- 또는 다치환될 수 있다) 를 나타내고,
n 이 0, 1 또는 2 를 나타내는
화학식 (I) 의 화합물. - 제 1 항에 있어서,
A1 이 질소 또는 =C(R4)- 를 나타내고,
R1 이 (C1-C4)-알킬, (C1-C4)-히드록시알킬, (C1-C4)-할로알킬, (C2-C4)-알케닐, (C2-C4)-할로알케닐, (C2-C4)-알키닐, (C2-C4)-할로알키닐, (C3-C6)-시클로알킬, (C1-C4)-알킬티오-(C1-C4)-알킬, (C1-C4)-알킬술피닐-(C1-C4)-알킬 또는 (C1-C4)-알킬술포닐-(C1-C4)-알킬을 나타내고,
R2 가 하기 시리즈 Q1 내지 Q152 로부터의 부분적으로 포화된 또는 헤테로방향족 융합된 비시클릭 고리계 (고리계는 동일한 또는 상이한 치환기로 임의로 일- 또는 다치환될 수 있으며, 치환기는 니트로, 히드록시, 아미노, 시아노, 할로겐, (C1-C4)-알킬, (C1-C4)-시클로알킬, (C1-C4)-할로알킬, (C1-C4)-알콕시, (C1-C4)-할로알콕시 및 (C1-C4)-할로알킬티오로 이루어진 군에서 서로 독립적으로 선택될 수 있다) 를 나타내고
(식 중, 분자의 나머지에 대한 결합은 별표 # 으로 표시된다),
R3 이 수소, 시아노, 할로겐, 니트로, 히드록시, 아미노, SCN, 트리-(C1-C4)-알킬실릴, (C3-C6)-시클로알킬, (C3-C6)-시클로알킬-(C3-C6)-시클로알킬, (C1-C4)-알킬-(C3-C6)-시클로알킬, 할로-(C3-C6)-시클로알킬, (C1-C4)-알킬, (C1-C4)-할로알킬, (C1-C4)-시아노알킬, (C1-C4)-알콕시-(C1-C4)-알킬, (C2-C4)-알케닐, (C2-C4)-할로알케닐, (C2-C4)-시아노알케닐, (C2-C4)-알키닐, (C2-C4)-할로알키닐, (C2-C4)-시아노알키닐, (C1-C4)-알콕시, (C1-C4)-할로알콕시, (C1-C4)-시아노알콕시, (C1-C4)-알킬히드록시이미노, (C1-C4)-알콕시이미노, (C1-C4)-알킬-(C1-C4)-알콕시이미노, (C1-C4)-알킬티오, (C1-C4)-할로알킬티오, (C1-C4)-알킬술피닐, (C1-C4)-할로알킬술피닐, (C1-C4)-알킬술포닐, (C1-C4)-할로알킬술포닐, (C1-C4)-알킬술포닐옥시, (C1-C4)-알킬카르보닐, (C1-C4)-할로알킬카르보닐, 아미노카르보닐, (C1-C4)-알킬아미노카르보닐, 디-(C1-C4)-알킬아미노카르보닐, (C1-C4)-알킬술포닐아미노, (C1-C4)-알킬아미노, 디-(C1-C4)-알킬아미노, 아미노술포닐, (C1-C4)-알킬아미노술포닐, 디-(C1-C4)-알킬-아미노술포닐 또는 NHCO-(C1-C4)-알킬 ((C1-C4)-알킬카르보닐아미노) 을 나타내고,
R4 가 수소, 할로겐, 시아노 또는 (C1-C4)-알킬을 나타내고,
X 가 하기 시리즈 H1 내지 H20 으로부터의 헤테로방향족 9-원 또는 12-원 융합 비시클릭 또는 트리시클릭 고리계를 나타내고,
R5, R6 이 서로 독립적으로 수소, 시아노, 할로겐, (C1-C4)-알킬, (C1-C4)-할로알킬, (C2-C4)-알케닐, (C2-C4)-할로알케닐, (C2-C4)-알키닐, (C2-C4)-할로알키닐, (C3-C6)-시클로알킬, (C3-C6)-시클로알킬-(C3-C6)-시클로알킬, (C1-C4)-알킬-(C3-C6)-시클로알킬, (C1-C4)-알콕시, (C1-C4)-할로알콕시, (C1-C4)-알콕시이미노, (C1-C4)-알킬티오, (C1-C4)-할로알킬티오, (C1-C4)-알킬술피닐, (C1-C4)-할로알킬술피닐, (C1-C4)-알킬술포닐, (C1-C4)-할로알킬술포닐, (C1-C4)-알킬술포닐옥시, (C1-C4)-알킬카르보닐, (C1-C4)-할로알킬카르보닐, 아미노카르보닐, (C1-C4)-알킬아미노카르보닐, 디-(C1-C4)-알킬아미노카르보닐, (C1-C4)-알킬술포닐아미노, (C1-C4)-알킬아미노, 디-(C1-C4)-알킬아미노, 아미노술포닐, (C1-C4)-알킬아미노술포닐 또는 디-(C1-C4)-알킬아미노술포닐을 나타내고,
R7 이 수소, (C1-C4)-알킬, (C1-C4)-할로알킬, (C1-C4)-시아노알킬, (C1-C4)-히드록시알킬, (C1-C4)-알콕시-(C1-C4)-알킬, (C1-C4)-할로알콕시-(C1-C4)-알킬, (C2-C4)-알케닐, (C2-C4)-알케닐옥시-(C1-C4)-알킬, (C2-C4)-할로알케닐옥시-(C1-C4)-알킬, (C2-C4)-할로알케닐, (C2-C4)-시아노알케닐, (C2-C4)-알키닐, (C2-C4)-알키닐옥시-(C1-C4)-알킬, (C2-C4)-할로알키닐, (C3-C6)-시클로알킬, (C3-C6)-시클로알킬-(C3-C6)-시클로알킬, (C1-C4)-알킬-(C3-C6)-시클로알킬, 할로(C3-C6)-시클로알킬, (C1-C4)-알킬티오-(C1-C4)-알킬, (C1-C4)-알킬술피닐-(C1-C4)-알킬, (C1-C4)-알킬술포닐-(C1-C4)-알킬 또는 (C1-C4)-알킬카르보닐-(C1-C4)-알킬을 나타내고,
n 이 0, 1 또는 2 를 나타내는
화학식 (I) 의 화합물. - 제 1 항에 있어서,
A1 이 질소를 나타내고,
R1 이 메틸, 에틸, n-프로필, 이소프로필, 시클로프로필, n-부틸, 이소부틸, tert-부틸, 시클로부틸, 플루오로메틸, 디플루오로메틸, 트리플루오로메틸, 플루오로에틸, 디플루오로에틸, 트리플루오로에틸, 테트라플루오로에틸 또는 펜타플루오로에틸을 나타내고,
R2 가 시리즈 Q1, Q2, Q3, Q4, Q5, Q6, Q7, Q8, Q9, Q10, Q11, Q12, Q13, Q14, Q15, Q16, Q17, Q18, Q19, Q20, Q21, Q22, Q23, Q27, Q28, Q29, Q30, Q31, Q32, Q33, Q34, Q35, Q36, Q37, Q38, Q39, Q40, Q41, Q42, Q43, Q44, Q45, Q46, Q51, Q52, Q53, Q54, Q55, Q56, Q57, Q58, Q59, Q60, Q61, Q62, Q63, Q64, Q65, Q66, Q67, Q68, Q69, Q70, Q71, Q77, Q78, Q79, Q80, Q81, Q82, Q83, Q84, Q85, Q86, Q87, Q88, Q89, Q90, Q91, Q92, Q93, Q94, Q95, Q96, Q97, Q104, Q105, Q106, Q107, Q108, Q109, Q114, Q115, Q116, Q117, Q118, Q119, Q120, Q121, Q124, Q125, Q126, Q127, Q128, Q129, Q130, Q131, Q132, Q133, Q134, Q135, Q136, Q137, Q138, Q139, Q140, Q141, Q142, Q143, Q144, Q145, Q146, Q147, Q148, Q149, Q150, Q151, Q152 로부터의, 동일한 또는 상이한 치환기로 임의로 일- 또는 이치환되는 융합 비시클릭 고리계를 나타내고, 각 경우에 있어서 가능한 치환기는 시아노, 불소, 염소, 브롬, 메틸, 에틸, n-프로필, 이소프로필, 시클로프로필, 트리플루오로메틸, 펜타플루오로에틸, 메톡시, 에톡시, 트리플루오로메톡시, 트리플루오로에톡시, 펜타플루오로에톡시 또는 트리플루오로메틸티오이고,
R3 이 수소, 시아노, 할로겐, (C1-C4)-알킬, (C1-C4)-할로알킬, (C1-C4)-할로알콕시, (C1-C4)-알킬티오, (C1-C4)-알킬술피닐, (C1-C4)-알킬술포닐, (C1-C4)-할로알킬티오, (C1-C4)-할로알킬술피닐, (C1-C4)-할로알킬술포닐 또는 NHCO-(C1-C4)-알킬 ((C1-C4)-알킬카르보닐아미노) 을 나타내고,
X 가 시리즈 H1, H2, H3, H4, H5, H6, H7, H8, H9, H10, H11, H12, H13, H14, H15, H16, H17, H18, H19 및 H20 으로부터의 헤테로방향족 9-원 또는 12-원 융합 비시클릭 또는 트리시클릭 고리계를 나타내고,
R5 가 불소, 염소, 플루오로메틸, 디플루오로메틸, 트리플루오로메틸, 플루오로에틸, 디플루오로에틸, 트리플루오로에틸, 테트라플루오로에틸, 펜타플루오로에틸, 트리플루오로메톡시, 디플루오로클로로메톡시, 디클로로플루오로메톡시, 트리플루오로메틸티오, 트리플루오로메틸술포닐 또는 트리플루오로메틸술피닐을 나타내고,
R6 이 수소를 나타내고,
R7 이 수소, 메틸, 에틸, n-프로필, 이소프로필, n-부틸, 이소부틸, tert-부틸, 메톡시메틸 또는 메톡시에틸을 나타내고,
n 이 0, 1 또는 2 를 나타내는
화학식 (I) 의 화합물. - 제 1 항에 있어서,
A1 이 질소를 나타내고,
R1 이 메틸, 에틸, n-프로필, 이소프로필, 시클로프로필, n-부틸, 이소부틸, tert-부틸, 시클로부틸, 플루오로메틸, 디플루오로메틸, 트리플루오로메틸, 플루오로에틸, 디플루오로에틸, 트리플루오로에틸, 테트라플루오로에틸 또는 펜타플루오로에틸을 나타내고,
R2 가 시리즈 Q1, Q6, Q11, Q12, Q15, Q16, Q17, Q20, Q27, Q28, Q32, Q33, Q34, Q35, Q37, Q38, Q51, Q56, Q57, Q61, Q62, Q66, Q67, Q69, Q82, Q87, Q105, Q106, Q107 및 Q152 로부터의, 동일한 또는 상이한 치환기로 임의로 일- 또는 이치환되는 융합 비시클릭 고리계를 나타내고, 각 경우에 있어서 가능한 치환기는 시아노, 불소, 염소, 브롬, 메틸, 에틸, n-프로필, 이소프로필, 시클로프로필, 트리플루오로메틸, 펜타플루오로에틸, 메톡시, 에톡시, 트리플루오로메톡시, 트리플루오로에톡시, 펜타플루오로에톡시 또는 트리플루오로메틸티오이고,
R3 이 수소, 시아노, 할로겐, (C1-C4)-알킬, (C1-C4)-할로알킬, (C1-C4)-할로알콕시, (C1-C4)-알킬티오, (C1-C4)-알킬술피닐, (C1-C4)-알킬술포닐, (C1-C4)-할로알킬티오, (C1-C4)-할로알킬술피닐, (C1-C4)-할로알킬술포닐 또는 NHCO-(C1-C4)-알킬 ((C1-C4)-알킬카르보닐아미노) 을 나타내고,
X 가 시리즈 H1, H2, H3, H4, H5, H6, H7, H8, H9, H10, H11, H12, H13, H14, H15, H16, H17, H18, H19 및 H20 으로부터의 헤테로방향족 9-원 또는 12-원 융합 비시클릭 또는 트리시클릭 고리계를 나타내고,
R5 가 불소, 염소, 플루오로메틸, 디플루오로메틸, 트리플루오로메틸, 플루오로에틸, 디플루오로에틸, 트리플루오로에틸, 테트라플루오로에틸, 펜타플루오로에틸, 트리플루오로메톡시, 디플루오로클로로메톡시, 디클로로플루오로메톡시, 트리플루오로메틸티오, 트리플루오로메틸술포닐 또는 트리플루오로메틸술피닐을 나타내고,
R6 이 수소를 나타내고,
R7 이 수소, 메틸, 에틸, n-프로필, 이소프로필, n-부틸, 이소부틸, tert-부틸, 메톡시메틸 또는 메톡시에틸을 나타내고,
n 이 0, 1 또는 2 를 나타내는
화학식 (I) 의 화합물. - 제 1 항에 있어서,
A1 이 질소를 나타내고,
R1 이 에틸을 나타내고,
R2 가 시리즈 Q1, Q6, Q11, Q12, Q15, Q16, Q17, Q20, Q27, Q28, Q32, Q33, Q34, Q35, Q37, Q38, Q51, Q56, Q57, Q61, Q62, Q66, Q67, Q69, Q82, Q87, Q105, Q106, Q107 및 Q152 로부터의, 염소, 브롬, 시아노, 메틸, 메톡시 및 트리플루오로메틸로 이루어진 군으로부터의 동일한 또는 상이한 치환기로 일- 또는 이치환되는 융합 비시클릭 고리계를 나타내고,
R3 이 수소를 나타내고,
X 가 시리즈 H20 으로부터의 헤테로방향족 고리계를 나타내고,
R5 가 트리플루오로메틸을 나타내고,
R6 이 수소를 나타내고,
R7 이 메틸을 나타내고,
n 이 1 또는 2 를 나타내는
화학식 (I) 의 화합물. - 제 1 항에 따른 화학식 (I) 의 화합물 및 또한 증량제 및/또는 계면활성제를 포함하는 농약 제제.
- 제 7 항에 있어서, 추가의 농약 활성 화합물을 추가적으로 포함하는 농약 제제.
- 제 1 항에 따른 화학식 (I) 의 화합물 또는 제 7 항 또는 제 8 항에 따른 농약 제제를 동물 해충 및/또는 이들의 서식지에 작용시키는 것을 특징으로 하는, 동물 해충의 방제 방법.
- 동물 해충을 방제하기 위한, 제 1 항에 따른 화학식 (I) 의 화합물 또는 제 7 항 또는 제 8 항에 따른 농약 제제의 용도.
Applications Claiming Priority (3)
| Application Number | Priority Date | Filing Date | Title |
|---|---|---|---|
| EP16150757.9 | 2016-01-11 | ||
| EP16150757 | 2016-01-11 | ||
| PCT/EP2017/050181 WO2017121674A1 (de) | 2016-01-11 | 2017-01-05 | Heterocyclen-derivate als schädlingsbekämpfungsmittel |
Publications (1)
| Publication Number | Publication Date |
|---|---|
| KR20180098410A true KR20180098410A (ko) | 2018-09-03 |
Family
ID=55229518
Family Applications (1)
| Application Number | Title | Priority Date | Filing Date |
|---|---|---|---|
| KR1020187023194A Withdrawn KR20180098410A (ko) | 2016-01-11 | 2017-01-05 | 해충 방제제로서의 헤테로사이클렌 유도체 |
Country Status (19)
| Country | Link |
|---|---|
| US (1) | US10375962B2 (ko) |
| EP (1) | EP3402797B1 (ko) |
| JP (1) | JP2019502713A (ko) |
| KR (1) | KR20180098410A (ko) |
| CN (1) | CN108779118A (ko) |
| AR (1) | AR107334A1 (ko) |
| AU (1) | AU2017206538A1 (ko) |
| BR (1) | BR112018014133A2 (ko) |
| CA (1) | CA3010742A1 (ko) |
| CL (1) | CL2018001857A1 (ko) |
| CO (1) | CO2018007136A2 (ko) |
| ES (1) | ES2786573T3 (ko) |
| IL (1) | IL260148A (ko) |
| MX (1) | MX2018008472A (ko) |
| PH (1) | PH12018501468A1 (ko) |
| RU (1) | RU2018129199A (ko) |
| TW (1) | TW201738240A (ko) |
| UY (1) | UY37071A (ko) |
| WO (1) | WO2017121674A1 (ko) |
Families Citing this family (11)
| Publication number | Priority date | Publication date | Assignee | Title |
|---|---|---|---|---|
| EP3247712B1 (en) * | 2015-01-19 | 2022-04-20 | Syngenta Participations AG | Pesticidally active polycyclic derivatives with sulfur containing substituents |
| BR112020006659B1 (pt) | 2017-10-04 | 2022-01-25 | Bayer Aktiengesellschaft | Derivados de compostos heterocíclicos, formulação agroquímica, método para controlar uma ou mais pragas animais, e produto |
| EP3733672B1 (en) | 2017-12-25 | 2023-03-22 | Sumitomo Chemical Company, Limited | Heterocyclic compounds and noxious arthropod control agent containing same |
| US11690378B2 (en) | 2017-12-26 | 2023-07-04 | Sumitomo Chemical Company, Limited | Substituted pyridines as noxious arthropod control agents |
| KR20210133984A (ko) | 2019-02-26 | 2021-11-08 | 바이엘 악티엔게젤샤프트 | 해충 방제제로서의 축합된 비시클릭 헤테로시클릭 유도체 |
| TW202045011A (zh) * | 2019-02-28 | 2020-12-16 | 瑞士商先正達農作物保護公司 | 具有含硫取代基之殺有害生物活性雜環衍生物 |
| TW202132300A (zh) * | 2020-01-06 | 2021-09-01 | 瑞士商先正達農作物保護公司 | 具有含硫取代基的殺有害生物活性雜環衍生物 |
| CN115715290A (zh) | 2020-04-21 | 2023-02-24 | 拜耳公司 | 作为农药的2-(杂)芳基取代的稠杂环衍生物 |
| US20240294533A1 (en) | 2021-05-12 | 2024-09-05 | Bayer Aktiengesellschaft | 2-(het)aryl-substituted condensed heterocycle derivatives as pest control agents |
| CN120882309A (zh) | 2023-03-14 | 2025-10-31 | 先正达农作物保护股份公司 | 对杀昆虫剂具有抗性的有害生物的控制 |
| CN118878475B (zh) * | 2024-09-25 | 2025-01-28 | 江西众和化工有限公司 | 含异噁唑啉的酰胺类化合物及其制备方法和应用 |
Family Cites Families (28)
| Publication number | Priority date | Publication date | Assignee | Title |
|---|---|---|---|---|
| EP2424856B1 (en) | 2009-04-28 | 2014-12-31 | Sumitomo Chemical Company, Limited | Fused heterocyclic compound and use thereof |
| AR080433A1 (es) * | 2010-03-02 | 2012-04-11 | Merck Sharp & Dohme | Derivados de benzofurancarboxamidas utiles para tratar o prevenir infecciones por vhc y composiciones farmaceuticas que los contienen. |
| JP5790440B2 (ja) | 2010-12-01 | 2015-10-07 | 住友化学株式会社 | ピリミジン化合物およびその有害生物防除用途 |
| JP5853669B2 (ja) | 2010-12-24 | 2016-02-09 | 住友化学株式会社 | 縮合複素環化合物及びその有害生物防除用途 |
| TWI545119B (zh) | 2011-08-04 | 2016-08-11 | 住友化學股份有限公司 | 稠合雜環化合物及其在病蟲害防制上之用途 |
| EP2862853B1 (en) | 2012-06-18 | 2020-01-22 | Sumitomo Chemical Co., Ltd | Fused heterocyclic compound |
| JP6345691B2 (ja) * | 2012-12-21 | 2018-06-20 | コーニンクレッカ フィリップス エヌ ヴェKoninklijke Philips N.V. | ストリームプローブを用いた歯肉検出 |
| UY35421A (es) | 2013-03-15 | 2014-10-31 | Nihon Nohyaku Co Ltd | Compuesto heterocíclico condensado o su sal, insecticida agrícola u hortícola que comprende el comp uesto y método de uso del insecticida |
| WO2014148451A1 (ja) | 2013-03-19 | 2014-09-25 | 日本農薬株式会社 | 縮合複素環化合物又はその塩類及び該化合物を含有する農園芸用殺虫剤並びにその使用方法 |
| US9920050B2 (en) | 2013-07-01 | 2018-03-20 | Sumitomo Chemical Company, Limited | Fused heterocyclic compound and pest control use thereof |
| CA2917262A1 (en) | 2013-07-02 | 2015-01-08 | Syngenta Participations Ag | Pesticidally active bi- or tricyclic heterocycles with sulfur containing substituents |
| EP2873668A1 (en) | 2013-11-13 | 2015-05-20 | Syngenta Participations AG. | Pesticidally active bicyclic heterocycles with sulphur containing substituents |
| US9706776B2 (en) | 2013-12-20 | 2017-07-18 | Syngenta Participations Ag | Pesticidally active substituted 5,5-bicyclic heterocycles with sulphur containing substituents |
| MX388484B (es) | 2014-02-17 | 2025-03-20 | Bayer Cropscience Ag | Derivados de heterociclos bicíclicos condensados sustituidos con 2-(het) arilo como agentes para combatir parásitos. |
| AR099677A1 (es) * | 2014-03-07 | 2016-08-10 | Sumitomo Chemical Co | Compuesto heterocíclico fusionado y su uso para el control de plagas |
| WO2015198859A1 (ja) * | 2014-06-26 | 2015-12-30 | 住友化学株式会社 | 縮合複素環化合物 |
| CN106458901B (zh) | 2014-06-26 | 2019-01-18 | 住友化学株式会社 | 用于制备稠合杂环化合物的方法 |
| MX2017000305A (es) | 2014-07-08 | 2017-04-27 | Syngenta Participations Ag | Derivados heterociclicos activos con sustituyentes que contienen azufre como plaguicidas. |
| US9949483B2 (en) | 2014-08-07 | 2018-04-24 | Syngenta Participations Ag | Pesticidally active heterocyclic derivatives with sulphur containing substituents |
| EP3180341B1 (en) | 2014-08-12 | 2022-04-27 | Syngenta Participations AG | Pesticidally active heterocyclic derivatives with sulphur containing substituents |
| ES2701859T3 (es) | 2014-08-21 | 2019-02-26 | Syngenta Participations Ag | Derivados heterocíclicos activos como plaguicida con sustituyentes que contienen azufre |
| WO2016039441A1 (ja) | 2014-09-12 | 2016-03-17 | 日本農薬株式会社 | イミダゾピリダジン化合物又はその塩類及び該化合物を含有する農園芸用殺虫剤並びにその使用方法 |
| WO2016041819A1 (en) | 2014-09-16 | 2016-03-24 | Syngenta Participations Ag | Pesticidally active tetracyclic derivatives with sulphur containing substituents |
| WO2016046071A1 (en) | 2014-09-25 | 2016-03-31 | Syngenta Participations Ag | Pesticidally active heterocyclic derivatives with sulphur containing substituents |
| UY36548A (es) | 2015-02-05 | 2016-06-01 | Bayer Cropscience Ag | Derivados heterocíclicos condensados bicíclicos sustituidos por 2-(het)arilo como pesticidas |
| UY36547A (es) | 2015-02-05 | 2016-06-01 | Bayer Cropscience Ag | Derivados heterocíclicos condensados bicíclicos sustituidos por 2-(het)arilo como pesticidas |
| EP3331870B1 (de) * | 2015-08-07 | 2021-06-16 | Bayer CropScience Aktiengesellschaft | 2-(het)aryl-substituierte kondensierte heterocyclen-derivate als schädlingsbekämpfungsmittel |
| KR102629107B1 (ko) | 2015-09-28 | 2024-01-24 | 바이엘 크롭사이언스 악티엔게젤샤프트 | 해충 방제제로서의 2-(헤트)아릴-치환된 융합 비사이클릭 헤테로사이클 유도체 |
-
2017
- 2017-01-05 CN CN201780016269.0A patent/CN108779118A/zh active Pending
- 2017-01-05 WO PCT/EP2017/050181 patent/WO2017121674A1/de not_active Ceased
- 2017-01-05 US US16/068,846 patent/US10375962B2/en not_active Expired - Fee Related
- 2017-01-05 RU RU2018129199A patent/RU2018129199A/ru not_active Application Discontinuation
- 2017-01-05 CA CA3010742A patent/CA3010742A1/en not_active Abandoned
- 2017-01-05 ES ES17700114T patent/ES2786573T3/es active Active
- 2017-01-05 MX MX2018008472A patent/MX2018008472A/es unknown
- 2017-01-05 EP EP17700114.6A patent/EP3402797B1/de active Active
- 2017-01-05 AU AU2017206538A patent/AU2017206538A1/en not_active Abandoned
- 2017-01-05 JP JP2018535850A patent/JP2019502713A/ja not_active Ceased
- 2017-01-05 KR KR1020187023194A patent/KR20180098410A/ko not_active Withdrawn
- 2017-01-05 BR BR112018014133-0A patent/BR112018014133A2/pt not_active Application Discontinuation
- 2017-01-09 TW TW106100569A patent/TW201738240A/zh unknown
- 2017-01-10 AR ARP170100062A patent/AR107334A1/es unknown
- 2017-01-11 UY UY0001037071A patent/UY37071A/es not_active Application Discontinuation
-
2018
- 2018-06-19 IL IL260148A patent/IL260148A/en unknown
- 2018-07-06 CL CL2018001857A patent/CL2018001857A1/es unknown
- 2018-07-09 PH PH12018501468A patent/PH12018501468A1/en unknown
- 2018-07-09 CO CONC2018/0007136A patent/CO2018007136A2/es unknown
Also Published As
| Publication number | Publication date |
|---|---|
| CA3010742A1 (en) | 2017-07-20 |
| WO2017121674A1 (de) | 2017-07-20 |
| CN108779118A (zh) | 2018-11-09 |
| BR112018014133A2 (pt) | 2018-12-11 |
| JP2019502713A (ja) | 2019-01-31 |
| CO2018007136A2 (es) | 2018-07-19 |
| US10375962B2 (en) | 2019-08-13 |
| EP3402797B1 (de) | 2020-02-19 |
| EP3402797A1 (de) | 2018-11-21 |
| TW201738240A (zh) | 2017-11-01 |
| US20190021329A1 (en) | 2019-01-24 |
| RU2018129199A (ru) | 2020-02-13 |
| ES2786573T3 (es) | 2020-10-13 |
| AU2017206538A1 (en) | 2018-07-12 |
| CL2018001857A1 (es) | 2018-11-05 |
| PH12018501468A1 (en) | 2019-03-04 |
| AR107334A1 (es) | 2018-04-18 |
| UY37071A (es) | 2017-07-31 |
| MX2018008472A (es) | 2018-08-09 |
| IL260148A (en) | 2018-07-31 |
Similar Documents
| Publication | Publication Date | Title |
|---|---|---|
| KR102709679B1 (ko) | 살충제로서의 신규 헤테로아릴-트리아졸 및 헤테로아릴-테트라졸 화합물 | |
| US10550116B2 (en) | Fused bicyclic heterocycle derivatives as pesticides | |
| KR102468453B1 (ko) | 농약으로서의 피라졸로[1,5-a]피리딘 유도체 | |
| KR102744535B1 (ko) | 해충 방제제로서의 헤테로시클렌 유도체 | |
| US10375962B2 (en) | Heterocycle derivatives as pesticides | |
| KR102515694B1 (ko) | 해충 방제제로서의 헤테로사이클 유도체 | |
| KR102419244B1 (ko) | 해충 방제제로서의 축합 바이시클릭 헤테로사이클 유도체 | |
| KR20160122809A (ko) | 해충 방제제로서의 2-(헤트)아릴-치환된 융합 비사이클릭 헤테로사이클 유도체 | |
| KR20180054680A (ko) | 해충 방제제로서의 2-(헤트)아릴-치환된 융합 비사이클릭 헤테로사이클 유도체 | |
| KR20180084138A (ko) | 살곤충제로서의 메소이온성 할로겐화 3-(아세틸)-1-[(1,3-티아졸-5-일)메틸]-1h-이미다조[1,2-a]피리딘-4-윰-2-올레이트 유도체 및 관련 화합물 | |
| KR20190084310A (ko) | 살충제로서의 2-[3-(알킬술포닐)-2H-인다졸-2-일]-3H-이미다조[4,5-b]피리딘 유도체 및 유사한 화합물 | |
| KR20190115033A (ko) | 아릴 또는 헤테로아릴-치환된 이미다조 피리딘 유도체 및 농약으로서의 그의 용도 | |
| KR102435080B1 (ko) | 해충 방제제로서의 축합 바이시클릭 헤테로사이클 유도체 | |
| KR20200122353A (ko) | 해충 방제제로서의 축합 바이시클릭 헤테로시클릭 유도체 | |
| BR112019014270A2 (pt) | Derivados de heterociclo como pesticidas | |
| JP2019510020A (ja) | 害虫を防除するための置換スルホニルアミド類 | |
| BR112020017624A2 (pt) | Derivados heterocíclicos bicíclicos condensados como agentes de controle de pragas | |
| KR20180107141A (ko) | 해충 방제제로서의 치환된 이미다졸릴-카르복스아미드 | |
| KR20180105667A (ko) | 해충 방제제로서의 치환된-옥시이미다졸릴-카르복스아미드 | |
| KR20200003047A (ko) | 해충 방제제로서의 2-(헤트)아릴-치환된 축합된 비시클릭 헤테로시클릭 유도체 | |
| KR20180107142A (ko) | 해충 방제제로서의 치환된 2-옥시이미다졸릴-카르복스아미드 | |
| KR20200003045A (ko) | 해충 방제제로서의 2-(헤트)아릴-치환된 축합된 비시클릭 헤테로시클릭 유도체 | |
| KR20210005081A (ko) | 해충 방제제로서의 헤테로시클렌 유도체 | |
| KR102477315B1 (ko) | 해충 방제제로서의 2-(헤트)아릴-치환된 융합 비사이클릭 헤테로사이클 유도체 | |
| JP2019514893A (ja) | 有害生物防除剤としての置換2−アルキルイミダゾリル−カルボキサミド類 |
Legal Events
| Date | Code | Title | Description |
|---|---|---|---|
| PA0105 | International application |
Patent event date: 20180810 Patent event code: PA01051R01D Comment text: International Patent Application |
|
| PG1501 | Laying open of application | ||
| PC1203 | Withdrawal of no request for examination |
























































