KR20110066927A - 생체 내 영상화제로서 사용하기 위한 이사틴 유도체 - Google Patents
생체 내 영상화제로서 사용하기 위한 이사틴 유도체 Download PDFInfo
- Publication number
- KR20110066927A KR20110066927A KR1020117007647A KR20117007647A KR20110066927A KR 20110066927 A KR20110066927 A KR 20110066927A KR 1020117007647 A KR1020117007647 A KR 1020117007647A KR 20117007647 A KR20117007647 A KR 20117007647A KR 20110066927 A KR20110066927 A KR 20110066927A
- Authority
- KR
- South Korea
- Prior art keywords
- compound
- caspase
- optionally substituted
- detection device
- isatin
- Prior art date
- Legal status (The legal status is an assumption and is not a legal conclusion. Google has not performed a legal analysis and makes no representation as to the accuracy of the status listed.)
- Ceased
Links
- 239000012216 imaging agent Substances 0.000 title claims abstract description 15
- JXDYKVIHCLTXOP-UHFFFAOYSA-N isatin Chemical class C1=CC=C2C(=O)C(=O)NC2=C1 JXDYKVIHCLTXOP-UHFFFAOYSA-N 0.000 title description 85
- 238000011503 in vivo imaging Methods 0.000 title description 2
- 102000011727 Caspases Human genes 0.000 claims abstract description 78
- 108010076667 Caspases Proteins 0.000 claims abstract description 78
- 238000000034 method Methods 0.000 claims abstract description 77
- 230000000694 effects Effects 0.000 claims abstract description 55
- 230000006907 apoptotic process Effects 0.000 claims abstract description 46
- 238000003384 imaging method Methods 0.000 claims abstract description 24
- 239000000126 substance Substances 0.000 claims abstract description 22
- 238000012360 testing method Methods 0.000 claims abstract description 17
- 208000037265 diseases, disorders, signs and symptoms Diseases 0.000 claims abstract description 16
- 239000008194 pharmaceutical composition Substances 0.000 claims abstract description 16
- 238000011282 treatment Methods 0.000 claims abstract description 14
- 201000010099 disease Diseases 0.000 claims abstract description 12
- 230000001225 therapeutic effect Effects 0.000 claims abstract description 6
- 208000035475 disorder Diseases 0.000 claims abstract description 4
- 230000002194 synthesizing effect Effects 0.000 claims abstract description 4
- 150000001875 compounds Chemical class 0.000 claims description 282
- 150000003852 triazoles Chemical class 0.000 claims description 105
- 210000004027 cell Anatomy 0.000 claims description 79
- 239000000203 mixture Substances 0.000 claims description 65
- -1 alkyl compound Chemical class 0.000 claims description 59
- 238000001514 detection method Methods 0.000 claims description 37
- 108090000397 Caspase 3 Proteins 0.000 claims description 34
- 238000002360 preparation method Methods 0.000 claims description 25
- 230000005855 radiation Effects 0.000 claims description 23
- 238000001727 in vivo Methods 0.000 claims description 20
- 239000003814 drug Substances 0.000 claims description 14
- 125000001997 phenyl group Chemical group [H]C1=C([H])C([H])=C(*)C([H])=C1[H] 0.000 claims description 14
- 229940079593 drug Drugs 0.000 claims description 12
- 210000004962 mammalian cell Anatomy 0.000 claims description 10
- 238000011002 quantification Methods 0.000 claims description 9
- 230000005764 inhibitory process Effects 0.000 claims description 8
- 208000028867 ischemia Diseases 0.000 claims description 8
- 150000003839 salts Chemical class 0.000 claims description 8
- 238000012800 visualization Methods 0.000 claims description 8
- 208000012902 Nervous system disease Diseases 0.000 claims description 7
- 208000025966 Neurological disease Diseases 0.000 claims description 7
- 239000004480 active ingredient Substances 0.000 claims description 7
- 208000030507 AIDS Diseases 0.000 claims description 6
- 241000124008 Mammalia Species 0.000 claims description 6
- 208000014951 hematologic disease Diseases 0.000 claims description 6
- 230000003412 degenerative effect Effects 0.000 claims description 5
- 239000003937 drug carrier Substances 0.000 claims description 5
- 125000006575 electron-withdrawing group Chemical group 0.000 claims description 5
- 125000000547 substituted alkyl group Chemical group 0.000 claims description 5
- 125000004215 2,4-difluorophenyl group Chemical group [H]C1=C([H])C(*)=C(F)C([H])=C1F 0.000 claims description 4
- 125000004180 3-fluorophenyl group Chemical group [H]C1=C([H])C(*)=C([H])C(F)=C1[H] 0.000 claims description 4
- 208000023275 Autoimmune disease Diseases 0.000 claims description 4
- 239000003085 diluting agent Substances 0.000 claims description 4
- 239000000546 pharmaceutical excipient Substances 0.000 claims description 4
- 229940002612 prodrug Drugs 0.000 claims description 4
- 239000000651 prodrug Substances 0.000 claims description 4
- 150000003527 tetrahydropyrans Chemical class 0.000 claims description 4
- 125000004211 3,5-difluorophenyl group Chemical group [H]C1=C(F)C([H])=C(*)C([H])=C1F 0.000 claims description 3
- 208000019838 Blood disease Diseases 0.000 claims description 3
- 206010052779 Transplant rejections Diseases 0.000 claims description 3
- 239000011737 fluorine Substances 0.000 claims description 3
- 229910052731 fluorine Inorganic materials 0.000 claims description 3
- 125000003709 fluoroalkyl group Chemical group 0.000 claims description 3
- 208000018706 hematopoietic system disease Diseases 0.000 claims description 3
- 206010007558 Cardiac failure chronic Diseases 0.000 claims description 2
- 208000024172 Cardiovascular disease Diseases 0.000 claims description 2
- 230000001684 chronic effect Effects 0.000 claims description 2
- 230000007850 degeneration Effects 0.000 claims description 2
- 208000010125 myocardial infarction Diseases 0.000 claims description 2
- 201000008482 osteoarthritis Diseases 0.000 claims description 2
- 125000005331 diazinyl group Chemical class N1=NC(=CC=C1)* 0.000 claims 2
- 102000003952 Caspase 3 Human genes 0.000 claims 1
- PXGOKWXKJXAPGV-UHFFFAOYSA-N Fluorine Chemical compound FF PXGOKWXKJXAPGV-UHFFFAOYSA-N 0.000 claims 1
- KHHJNWWJDYSSRK-UHFFFAOYSA-N 2,3-dioxo-1h-indole-5-sulfonamide Chemical class NS(=O)(=O)C1=CC=C2NC(=O)C(=O)C2=C1 KHHJNWWJDYSSRK-UHFFFAOYSA-N 0.000 abstract description 5
- 238000003745 diagnosis Methods 0.000 abstract description 3
- 230000008482 dysregulation Effects 0.000 abstract 1
- XEKOWRVHYACXOJ-UHFFFAOYSA-N Ethyl acetate Chemical compound CCOC(C)=O XEKOWRVHYACXOJ-UHFFFAOYSA-N 0.000 description 94
- VLKZOEOYAKHREP-UHFFFAOYSA-N n-Hexane Chemical class CCCCCC VLKZOEOYAKHREP-UHFFFAOYSA-N 0.000 description 82
- 206010028980 Neoplasm Diseases 0.000 description 50
- 238000004128 high performance liquid chromatography Methods 0.000 description 48
- ZMXDDKWLCZADIW-UHFFFAOYSA-N N,N-Dimethylformamide Chemical compound CN(C)C=O ZMXDDKWLCZADIW-UHFFFAOYSA-N 0.000 description 37
- 210000001519 tissue Anatomy 0.000 description 36
- 241000699670 Mus sp. Species 0.000 description 35
- WEVYAHXRMPXWCK-UHFFFAOYSA-N Acetonitrile Chemical compound CC#N WEVYAHXRMPXWCK-UHFFFAOYSA-N 0.000 description 34
- 102100029855 Caspase-3 Human genes 0.000 description 33
- 238000004809 thin layer chromatography Methods 0.000 description 33
- 230000027455 binding Effects 0.000 description 28
- 239000000243 solution Substances 0.000 description 28
- XLYOFNOQVPJJNP-UHFFFAOYSA-N water Substances O XLYOFNOQVPJJNP-UHFFFAOYSA-N 0.000 description 28
- 210000004185 liver Anatomy 0.000 description 25
- RTZKZFJDLAIYFH-UHFFFAOYSA-N Diethyl ether Chemical compound CCOCC RTZKZFJDLAIYFH-UHFFFAOYSA-N 0.000 description 22
- 150000001345 alkine derivatives Chemical group 0.000 description 22
- 239000002243 precursor Substances 0.000 description 20
- OKKJLVBELUTLKV-UHFFFAOYSA-N Methanol Chemical compound OC OKKJLVBELUTLKV-UHFFFAOYSA-N 0.000 description 18
- 239000003981 vehicle Substances 0.000 description 18
- LFQSCWFLJHTTHZ-UHFFFAOYSA-N Ethanol Chemical compound CCO LFQSCWFLJHTTHZ-UHFFFAOYSA-N 0.000 description 17
- 238000006243 chemical reaction Methods 0.000 description 17
- 230000015572 biosynthetic process Effects 0.000 description 16
- 239000000047 product Substances 0.000 description 16
- QFLWZFQWSBQYPS-AWRAUJHKSA-N (3S)-3-[[(2S)-2-[[(2S)-2-[5-[(3aS,6aR)-2-oxo-1,3,3a,4,6,6a-hexahydrothieno[3,4-d]imidazol-4-yl]pentanoylamino]-3-methylbutanoyl]amino]-3-(4-hydroxyphenyl)propanoyl]amino]-4-[1-bis(4-chlorophenoxy)phosphorylbutylamino]-4-oxobutanoic acid Chemical compound CCCC(NC(=O)[C@H](CC(O)=O)NC(=O)[C@H](Cc1ccc(O)cc1)NC(=O)[C@@H](NC(=O)CCCCC1SC[C@@H]2NC(=O)N[C@H]12)C(C)C)P(=O)(Oc1ccc(Cl)cc1)Oc1ccc(Cl)cc1 QFLWZFQWSBQYPS-AWRAUJHKSA-N 0.000 description 15
- IAZDPXIOMUYVGZ-UHFFFAOYSA-N Dimethylsulphoxide Chemical compound CS(C)=O IAZDPXIOMUYVGZ-UHFFFAOYSA-N 0.000 description 15
- RWRDLPDLKQPQOW-UHFFFAOYSA-N Pyrrolidine Chemical compound C1CCNC1 RWRDLPDLKQPQOW-UHFFFAOYSA-N 0.000 description 15
- 238000002600 positron emission tomography Methods 0.000 description 15
- 238000004587 chromatography analysis Methods 0.000 description 14
- 238000002347 injection Methods 0.000 description 14
- 239000007924 injection Substances 0.000 description 14
- 239000012074 organic phase Substances 0.000 description 13
- 239000011734 sodium Substances 0.000 description 13
- 238000003786 synthesis reaction Methods 0.000 description 13
- CIWBSHSKHKDKBQ-JLAZNSOCSA-N Ascorbic acid Chemical compound OC[C@H](O)[C@H]1OC(=O)C(O)=C1O CIWBSHSKHKDKBQ-JLAZNSOCSA-N 0.000 description 12
- 241001465754 Metazoa Species 0.000 description 12
- YXFVVABEGXRONW-UHFFFAOYSA-N Toluene Chemical compound CC1=CC=CC=C1 YXFVVABEGXRONW-UHFFFAOYSA-N 0.000 description 12
- DQLATGHUWYMOKM-UHFFFAOYSA-L cisplatin Chemical compound N[Pt](N)(Cl)Cl DQLATGHUWYMOKM-UHFFFAOYSA-L 0.000 description 12
- 150000002632 lipids Chemical class 0.000 description 12
- 238000004458 analytical method Methods 0.000 description 11
- 239000012071 phase Substances 0.000 description 11
- 239000000523 sample Substances 0.000 description 11
- 125000001494 2-propynyl group Chemical group [H]C#CC([H])([H])* 0.000 description 10
- SIKJAQJRHWYJAI-UHFFFAOYSA-N Indole Chemical compound C1=CC=C2NC=CC2=C1 SIKJAQJRHWYJAI-UHFFFAOYSA-N 0.000 description 10
- FAPWRFPIFSIZLT-UHFFFAOYSA-M Sodium chloride Chemical compound [Na+].[Cl-] FAPWRFPIFSIZLT-UHFFFAOYSA-M 0.000 description 10
- 201000011510 cancer Diseases 0.000 description 10
- 229960004316 cisplatin Drugs 0.000 description 10
- 238000002844 melting Methods 0.000 description 10
- 230000008018 melting Effects 0.000 description 10
- SZUVGFMDDVSKSI-WIFOCOSTSA-N (1s,2s,3s,5r)-1-(carboxymethyl)-3,5-bis[(4-phenoxyphenyl)methyl-propylcarbamoyl]cyclopentane-1,2-dicarboxylic acid Chemical compound O=C([C@@H]1[C@@H]([C@](CC(O)=O)([C@H](C(=O)N(CCC)CC=2C=CC(OC=3C=CC=CC=3)=CC=2)C1)C(O)=O)C(O)=O)N(CCC)CC(C=C1)=CC=C1OC1=CC=CC=C1 SZUVGFMDDVSKSI-WIFOCOSTSA-N 0.000 description 9
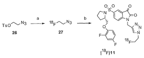
- LAZLFOJNNMFIGO-KTXUZGJCSA-N 1-azido-2-fluoranylethane Chemical compound [18F]CCN=[N+]=[N-] LAZLFOJNNMFIGO-KTXUZGJCSA-N 0.000 description 9
- LAZLFOJNNMFIGO-UHFFFAOYSA-N 1-azido-2-fluoroethane Chemical compound FCCN=[N+]=[N-] LAZLFOJNNMFIGO-UHFFFAOYSA-N 0.000 description 9
- QBWKPGNFQQJGFY-QLFBSQMISA-N 3-[(1r)-1-[(2r,6s)-2,6-dimethylmorpholin-4-yl]ethyl]-n-[6-methyl-3-(1h-pyrazol-4-yl)imidazo[1,2-a]pyrazin-8-yl]-1,2-thiazol-5-amine Chemical compound N1([C@H](C)C2=NSC(NC=3C4=NC=C(N4C=C(C)N=3)C3=CNN=C3)=C2)C[C@H](C)O[C@H](C)C1 QBWKPGNFQQJGFY-QLFBSQMISA-N 0.000 description 9
- KWYUFKZDYYNOTN-UHFFFAOYSA-M Potassium hydroxide Chemical compound [OH-].[K+] KWYUFKZDYYNOTN-UHFFFAOYSA-M 0.000 description 9
- HEMHJVSKTPXQMS-UHFFFAOYSA-M Sodium hydroxide Chemical compound [OH-].[Na+] HEMHJVSKTPXQMS-UHFFFAOYSA-M 0.000 description 9
- ATJFFYVFTNAWJD-UHFFFAOYSA-N Tin Chemical compound [Sn] ATJFFYVFTNAWJD-UHFFFAOYSA-N 0.000 description 9
- 125000000217 alkyl group Chemical group 0.000 description 9
- 238000003556 assay Methods 0.000 description 9
- 239000000872 buffer Substances 0.000 description 9
- 239000012230 colorless oil Substances 0.000 description 9
- 229940126543 compound 14 Drugs 0.000 description 9
- 229940125846 compound 25 Drugs 0.000 description 9
- 238000000338 in vitro Methods 0.000 description 9
- 238000002372 labelling Methods 0.000 description 9
- 230000004060 metabolic process Effects 0.000 description 9
- 235000018102 proteins Nutrition 0.000 description 9
- 102000004169 proteins and genes Human genes 0.000 description 9
- 108090000623 proteins and genes Proteins 0.000 description 9
- 230000002285 radioactive effect Effects 0.000 description 9
- 239000000700 radioactive tracer Substances 0.000 description 9
- 239000007787 solid Substances 0.000 description 9
- 210000002700 urine Anatomy 0.000 description 9
- 108090000567 Caspase 7 Proteins 0.000 description 8
- 102100038902 Caspase-7 Human genes 0.000 description 8
- 238000010521 absorption reaction Methods 0.000 description 8
- 239000012267 brine Substances 0.000 description 8
- 239000003153 chemical reaction reagent Substances 0.000 description 8
- 238000000605 extraction Methods 0.000 description 8
- 239000012535 impurity Substances 0.000 description 8
- 239000000543 intermediate Substances 0.000 description 8
- 230000002503 metabolic effect Effects 0.000 description 8
- BWHMMNNQKKPAPP-UHFFFAOYSA-L potassium carbonate Chemical compound [K+].[K+].[O-]C([O-])=O BWHMMNNQKKPAPP-UHFFFAOYSA-L 0.000 description 8
- HPALAKNZSZLMCH-UHFFFAOYSA-M sodium;chloride;hydrate Chemical compound O.[Na+].[Cl-] HPALAKNZSZLMCH-UHFFFAOYSA-M 0.000 description 8
- DTQVDTLACAAQTR-UHFFFAOYSA-N trifluoroacetic acid Substances OC(=O)C(F)(F)F DTQVDTLACAAQTR-UHFFFAOYSA-N 0.000 description 8
- TVTJUIAKQFIXCE-HUKYDQBMSA-N 2-amino-9-[(2R,3S,4S,5R)-4-fluoro-3-hydroxy-5-(hydroxymethyl)oxolan-2-yl]-7-prop-2-ynyl-1H-purine-6,8-dione Chemical compound NC=1NC(C=2N(C(N(C=2N=1)[C@@H]1O[C@@H]([C@H]([C@H]1O)F)CO)=O)CC#C)=O TVTJUIAKQFIXCE-HUKYDQBMSA-N 0.000 description 7
- QEMMTKPYWRKLME-UHFFFAOYSA-N 3-fluoroprop-1-yne Chemical compound FCC#C QEMMTKPYWRKLME-UHFFFAOYSA-N 0.000 description 7
- 125000004176 4-fluorobenzyl group Chemical group [H]C1=C([H])C(=C([H])C([H])=C1F)C([H])([H])* 0.000 description 7
- HBAQYPYDRFILMT-UHFFFAOYSA-N 8-[3-(1-cyclopropylpyrazol-4-yl)-1H-pyrazolo[4,3-d]pyrimidin-5-yl]-3-methyl-3,8-diazabicyclo[3.2.1]octan-2-one Chemical class C1(CC1)N1N=CC(=C1)C1=NNC2=C1N=C(N=C2)N1C2C(N(CC1CC2)C)=O HBAQYPYDRFILMT-UHFFFAOYSA-N 0.000 description 7
- VYPSYNLAJGMNEJ-UHFFFAOYSA-N Silicium dioxide Chemical compound O=[Si]=O VYPSYNLAJGMNEJ-UHFFFAOYSA-N 0.000 description 7
- 229940126208 compound 22 Drugs 0.000 description 7
- 229940125851 compound 27 Drugs 0.000 description 7
- 239000010949 copper Substances 0.000 description 7
- 238000005259 measurement Methods 0.000 description 7
- VQSRKMNBWMHJKY-YTEVENLXSA-N n-[3-[(4ar,7as)-2-amino-6-(5-fluoropyrimidin-2-yl)-4,4a,5,7-tetrahydropyrrolo[3,4-d][1,3]thiazin-7a-yl]-4-fluorophenyl]-5-methoxypyrazine-2-carboxamide Chemical compound C1=NC(OC)=CN=C1C(=O)NC1=CC=C(F)C([C@@]23[C@@H](CN(C2)C=2N=CC(F)=CN=2)CSC(N)=N3)=C1 VQSRKMNBWMHJKY-YTEVENLXSA-N 0.000 description 7
- IJGRMHOSHXDMSA-UHFFFAOYSA-N nitrogen Substances N#N IJGRMHOSHXDMSA-UHFFFAOYSA-N 0.000 description 7
- 210000002784 stomach Anatomy 0.000 description 7
- 125000000999 tert-butyl group Chemical group [H]C([H])([H])C(*)(C([H])([H])[H])C([H])([H])[H] 0.000 description 7
- JOXIMZWYDAKGHI-UHFFFAOYSA-N toluene-4-sulfonic acid Chemical compound CC1=CC=C(S(O)(=O)=O)C=C1 JOXIMZWYDAKGHI-UHFFFAOYSA-N 0.000 description 7
- ASGMFNBUXDJWJJ-JLCFBVMHSA-N (1R,3R)-3-[[3-bromo-1-[4-(5-methyl-1,3,4-thiadiazol-2-yl)phenyl]pyrazolo[3,4-d]pyrimidin-6-yl]amino]-N,1-dimethylcyclopentane-1-carboxamide Chemical compound BrC1=NN(C2=NC(=NC=C21)N[C@H]1C[C@@](CC1)(C(=O)NC)C)C1=CC=C(C=C1)C=1SC(=NN=1)C ASGMFNBUXDJWJJ-JLCFBVMHSA-N 0.000 description 6
- KBPLFHHGFOOTCA-UHFFFAOYSA-N 1-Octanol Chemical compound CCCCCCCCO KBPLFHHGFOOTCA-UHFFFAOYSA-N 0.000 description 6
- 125000004777 2-fluoroethyl group Chemical group [H]C([H])(F)C([H])([H])* 0.000 description 6
- XKRFYHLGVUSROY-UHFFFAOYSA-N Argon Chemical compound [Ar] XKRFYHLGVUSROY-UHFFFAOYSA-N 0.000 description 6
- 229940127007 Compound 39 Drugs 0.000 description 6
- CMSMOCZEIVJLDB-UHFFFAOYSA-N Cyclophosphamide Chemical compound ClCCN(CCCl)P1(=O)NCCCO1 CMSMOCZEIVJLDB-UHFFFAOYSA-N 0.000 description 6
- 229920000776 Poly(Adenosine diphosphate-ribose) polymerase Polymers 0.000 description 6
- CZMRCDWAGMRECN-UGDNZRGBSA-N Sucrose Chemical compound O[C@H]1[C@H](O)[C@@H](CO)O[C@@]1(CO)O[C@@H]1[C@H](O)[C@@H](O)[C@H](O)[C@@H](CO)O1 CZMRCDWAGMRECN-UGDNZRGBSA-N 0.000 description 6
- 229930006000 Sucrose Natural products 0.000 description 6
- YPHMISFOHDHNIV-FSZOTQKASA-N cycloheximide Chemical compound C1[C@@H](C)C[C@H](C)C(=O)[C@@H]1[C@H](O)CC1CC(=O)NC(=O)C1 YPHMISFOHDHNIV-FSZOTQKASA-N 0.000 description 6
- 230000001419 dependent effect Effects 0.000 description 6
- 238000009826 distribution Methods 0.000 description 6
- 229910052736 halogen Inorganic materials 0.000 description 6
- 230000002401 inhibitory effect Effects 0.000 description 6
- 230000008569 process Effects 0.000 description 6
- 239000011541 reaction mixture Substances 0.000 description 6
- 239000002904 solvent Substances 0.000 description 6
- 239000000758 substrate Substances 0.000 description 6
- 239000005720 sucrose Substances 0.000 description 6
- GHYOCDFICYLMRF-UTIIJYGPSA-N (2S,3R)-N-[(2S)-3-(cyclopenten-1-yl)-1-[(2R)-2-methyloxiran-2-yl]-1-oxopropan-2-yl]-3-hydroxy-3-(4-methoxyphenyl)-2-[[(2S)-2-[(2-morpholin-4-ylacetyl)amino]propanoyl]amino]propanamide Chemical compound C1(=CCCC1)C[C@@H](C(=O)[C@@]1(OC1)C)NC([C@H]([C@@H](C1=CC=C(C=C1)OC)O)NC([C@H](C)NC(CN1CCOCC1)=O)=O)=O GHYOCDFICYLMRF-UTIIJYGPSA-N 0.000 description 5
- JKMHFZQWWAIEOD-UHFFFAOYSA-N 2-[4-(2-hydroxyethyl)piperazin-1-yl]ethanesulfonic acid Chemical compound OCC[NH+]1CCN(CCS([O-])(=O)=O)CC1 JKMHFZQWWAIEOD-UHFFFAOYSA-N 0.000 description 5
- UMCMPZBLKLEWAF-BCTGSCMUSA-N 3-[(3-cholamidopropyl)dimethylammonio]propane-1-sulfonate Chemical compound C([C@H]1C[C@H]2O)[C@H](O)CC[C@]1(C)[C@@H]1[C@@H]2[C@@H]2CC[C@H]([C@@H](CCC(=O)NCCC[N+](C)(C)CCCS([O-])(=O)=O)C)[C@@]2(C)[C@@H](O)C1 UMCMPZBLKLEWAF-BCTGSCMUSA-N 0.000 description 5
- KCXVZYZYPLLWCC-UHFFFAOYSA-N EDTA Chemical compound OC(=O)CN(CC(O)=O)CCN(CC(O)=O)CC(O)=O KCXVZYZYPLLWCC-UHFFFAOYSA-N 0.000 description 5
- 102000004190 Enzymes Human genes 0.000 description 5
- 108090000790 Enzymes Proteins 0.000 description 5
- 239000007995 HEPES buffer Substances 0.000 description 5
- 102000012338 Poly(ADP-ribose) Polymerases Human genes 0.000 description 5
- 108010061844 Poly(ADP-ribose) Polymerases Proteins 0.000 description 5
- ZMANZCXQSJIPKH-UHFFFAOYSA-N Triethylamine Chemical compound CCN(CC)CC ZMANZCXQSJIPKH-UHFFFAOYSA-N 0.000 description 5
- 229960005070 ascorbic acid Drugs 0.000 description 5
- 210000004369 blood Anatomy 0.000 description 5
- 239000008280 blood Substances 0.000 description 5
- 239000000460 chlorine Substances 0.000 description 5
- 229940125797 compound 12 Drugs 0.000 description 5
- ARUVKPQLZAKDPS-UHFFFAOYSA-L copper(II) sulfate Chemical compound [Cu+2].[O-][S+2]([O-])([O-])[O-] ARUVKPQLZAKDPS-UHFFFAOYSA-L 0.000 description 5
- GLNDAGDHSLMOKX-UHFFFAOYSA-N coumarin 120 Chemical compound C1=C(N)C=CC2=C1OC(=O)C=C2C GLNDAGDHSLMOKX-UHFFFAOYSA-N 0.000 description 5
- 150000002367 halogens Chemical class 0.000 description 5
- PZOUSPYUWWUPPK-UHFFFAOYSA-N indole Natural products CC1=CC=CC2=C1C=CN2 PZOUSPYUWWUPPK-UHFFFAOYSA-N 0.000 description 5
- RKJUIXBNRJVNHR-UHFFFAOYSA-N indolenine Natural products C1=CC=C2CC=NC2=C1 RKJUIXBNRJVNHR-UHFFFAOYSA-N 0.000 description 5
- 239000003112 inhibitor Substances 0.000 description 5
- ISWSIDIOOBJBQZ-UHFFFAOYSA-N phenol group Chemical group C1(=CC=CC=C1)O ISWSIDIOOBJBQZ-UHFFFAOYSA-N 0.000 description 5
- 108090000765 processed proteins & peptides Proteins 0.000 description 5
- 230000002829 reductive effect Effects 0.000 description 5
- 239000011780 sodium chloride Substances 0.000 description 5
- 239000003826 tablet Substances 0.000 description 5
- NVNPLEPBDPJYRZ-UHFFFAOYSA-N 1-(bromomethyl)-4-fluorobenzene Chemical compound FC1=CC=C(CBr)C=C1 NVNPLEPBDPJYRZ-UHFFFAOYSA-N 0.000 description 4
- JUJRKHHCIXKFQG-UHFFFAOYSA-N 2,3-dioxo-1h-indole-5-sulfonyl chloride Chemical compound ClS(=O)(=O)C1=CC=C2NC(=O)C(=O)C2=C1 JUJRKHHCIXKFQG-UHFFFAOYSA-N 0.000 description 4
- OJRUSAPKCPIVBY-KQYNXXCUSA-N C1=NC2=C(N=C(N=C2N1[C@H]3[C@@H]([C@@H]([C@H](O3)COP(=O)(CP(=O)(O)O)O)O)O)I)N Chemical compound C1=NC2=C(N=C(N=C2N1[C@H]3[C@@H]([C@@H]([C@H](O3)COP(=O)(CP(=O)(O)O)O)O)O)I)N OJRUSAPKCPIVBY-KQYNXXCUSA-N 0.000 description 4
- PEDCQBHIVMGVHV-UHFFFAOYSA-N Glycerine Chemical compound OCC(O)CO PEDCQBHIVMGVHV-UHFFFAOYSA-N 0.000 description 4
- VEXZGXHMUGYJMC-UHFFFAOYSA-N Hydrochloric acid Chemical compound Cl VEXZGXHMUGYJMC-UHFFFAOYSA-N 0.000 description 4
- AFVFQIVMOAPDHO-UHFFFAOYSA-N Methanesulfonic acid Chemical compound CS(O)(=O)=O AFVFQIVMOAPDHO-UHFFFAOYSA-N 0.000 description 4
- LNUFLCYMSVYYNW-ZPJMAFJPSA-N [(2r,3r,4s,5r,6r)-2-[(2r,3r,4s,5r,6r)-6-[(2r,3r,4s,5r,6r)-6-[(2r,3r,4s,5r,6r)-6-[[(3s,5s,8r,9s,10s,13r,14s,17r)-10,13-dimethyl-17-[(2r)-6-methylheptan-2-yl]-2,3,4,5,6,7,8,9,11,12,14,15,16,17-tetradecahydro-1h-cyclopenta[a]phenanthren-3-yl]oxy]-4,5-disulfo Chemical compound O([C@@H]1[C@@H](COS(O)(=O)=O)O[C@@H]([C@@H]([C@H]1OS(O)(=O)=O)OS(O)(=O)=O)O[C@@H]1[C@@H](COS(O)(=O)=O)O[C@@H]([C@@H]([C@H]1OS(O)(=O)=O)OS(O)(=O)=O)O[C@@H]1[C@@H](COS(O)(=O)=O)O[C@H]([C@@H]([C@H]1OS(O)(=O)=O)OS(O)(=O)=O)O[C@@H]1C[C@@H]2CC[C@H]3[C@@H]4CC[C@@H]([C@]4(CC[C@@H]3[C@@]2(C)CC1)C)[C@H](C)CCCC(C)C)[C@H]1O[C@H](COS(O)(=O)=O)[C@@H](OS(O)(=O)=O)[C@H](OS(O)(=O)=O)[C@H]1OS(O)(=O)=O LNUFLCYMSVYYNW-ZPJMAFJPSA-N 0.000 description 4
- 238000009825 accumulation Methods 0.000 description 4
- 230000004913 activation Effects 0.000 description 4
- 239000002775 capsule Substances 0.000 description 4
- 125000004432 carbon atom Chemical group C* 0.000 description 4
- 125000002915 carbonyl group Chemical group [*:2]C([*:1])=O 0.000 description 4
- 230000001413 cellular effect Effects 0.000 description 4
- 229940125758 compound 15 Drugs 0.000 description 4
- 229910000365 copper sulfate Inorganic materials 0.000 description 4
- 229960004397 cyclophosphamide Drugs 0.000 description 4
- USIUVYZYUHIAEV-UHFFFAOYSA-N diphenyl ether Chemical compound C=1C=CC=CC=1OC1=CC=CC=C1 USIUVYZYUHIAEV-UHFFFAOYSA-N 0.000 description 4
- 239000002552 dosage form Substances 0.000 description 4
- 125000001153 fluoro group Chemical group F* 0.000 description 4
- 238000009472 formulation Methods 0.000 description 4
- 238000010253 intravenous injection Methods 0.000 description 4
- 210000003734 kidney Anatomy 0.000 description 4
- 239000007788 liquid Substances 0.000 description 4
- 238000004519 manufacturing process Methods 0.000 description 4
- 239000002207 metabolite Substances 0.000 description 4
- 125000002496 methyl group Chemical group [H]C([H])([H])* 0.000 description 4
- 210000003205 muscle Anatomy 0.000 description 4
- 229910052757 nitrogen Inorganic materials 0.000 description 4
- 239000008188 pellet Substances 0.000 description 4
- 239000002953 phosphate buffered saline Substances 0.000 description 4
- 229910000027 potassium carbonate Inorganic materials 0.000 description 4
- 230000001737 promoting effect Effects 0.000 description 4
- BDERNNFJNOPAEC-UHFFFAOYSA-N propan-1-ol Chemical compound CCCO BDERNNFJNOPAEC-UHFFFAOYSA-N 0.000 description 4
- YORCIIVHUBAYBQ-UHFFFAOYSA-N propargyl bromide Chemical compound BrCC#C YORCIIVHUBAYBQ-UHFFFAOYSA-N 0.000 description 4
- 230000001105 regulatory effect Effects 0.000 description 4
- 229920006395 saturated elastomer Polymers 0.000 description 4
- UCSJYZPVAKXKNQ-HZYVHMACSA-N streptomycin Chemical compound CN[C@H]1[C@H](O)[C@@H](O)[C@H](CO)O[C@H]1O[C@@H]1[C@](C=O)(O)[C@H](C)O[C@H]1O[C@@H]1[C@@H](NC(N)=N)[C@H](O)[C@@H](NC(N)=N)[C@H](O)[C@H]1O UCSJYZPVAKXKNQ-HZYVHMACSA-N 0.000 description 4
- 239000000725 suspension Substances 0.000 description 4
- 210000003462 vein Anatomy 0.000 description 4
- DGVVWUTYPXICAM-UHFFFAOYSA-N β‐Mercaptoethanol Chemical compound OCCS DGVVWUTYPXICAM-UHFFFAOYSA-N 0.000 description 4
- UAOUIVVJBYDFKD-XKCDOFEDSA-N (1R,9R,10S,11R,12R,15S,18S,21R)-10,11,21-trihydroxy-8,8-dimethyl-14-methylidene-4-(prop-2-enylamino)-20-oxa-5-thia-3-azahexacyclo[9.7.2.112,15.01,9.02,6.012,18]henicosa-2(6),3-dien-13-one Chemical compound C([C@@H]1[C@@H](O)[C@@]23C(C1=C)=O)C[C@H]2[C@]12C(N=C(NCC=C)S4)=C4CC(C)(C)[C@H]1[C@H](O)[C@]3(O)OC2 UAOUIVVJBYDFKD-XKCDOFEDSA-N 0.000 description 3
- STBLNCCBQMHSRC-BATDWUPUSA-N (2s)-n-[(3s,4s)-5-acetyl-7-cyano-4-methyl-1-[(2-methylnaphthalen-1-yl)methyl]-2-oxo-3,4-dihydro-1,5-benzodiazepin-3-yl]-2-(methylamino)propanamide Chemical compound O=C1[C@@H](NC(=O)[C@H](C)NC)[C@H](C)N(C(C)=O)C2=CC(C#N)=CC=C2N1CC1=C(C)C=CC2=CC=CC=C12 STBLNCCBQMHSRC-BATDWUPUSA-N 0.000 description 3
- UDQTXCHQKHIQMH-KYGLGHNPSA-N (3ar,5s,6s,7r,7ar)-5-(difluoromethyl)-2-(ethylamino)-5,6,7,7a-tetrahydro-3ah-pyrano[3,2-d][1,3]thiazole-6,7-diol Chemical compound S1C(NCC)=N[C@H]2[C@@H]1O[C@H](C(F)F)[C@@H](O)[C@@H]2O UDQTXCHQKHIQMH-KYGLGHNPSA-N 0.000 description 3
- HUWSZNZAROKDRZ-RRLWZMAJSA-N (3r,4r)-3-azaniumyl-5-[[(2s,3r)-1-[(2s)-2,3-dicarboxypyrrolidin-1-yl]-3-methyl-1-oxopentan-2-yl]amino]-5-oxo-4-sulfanylpentane-1-sulfonate Chemical compound OS(=O)(=O)CC[C@@H](N)[C@@H](S)C(=O)N[C@@H]([C@H](C)CC)C(=O)N1CCC(C(O)=O)[C@H]1C(O)=O HUWSZNZAROKDRZ-RRLWZMAJSA-N 0.000 description 3
- OMBVEVHRIQULKW-DNQXCXABSA-M (3r,5r)-7-[3-(4-fluorophenyl)-8-oxo-7-phenyl-1-propan-2-yl-5,6-dihydro-4h-pyrrolo[2,3-c]azepin-2-yl]-3,5-dihydroxyheptanoate Chemical compound O=C1C=2N(C(C)C)C(CC[C@@H](O)C[C@@H](O)CC([O-])=O)=C(C=3C=CC(F)=CC=3)C=2CCCN1C1=CC=CC=C1 OMBVEVHRIQULKW-DNQXCXABSA-M 0.000 description 3
- ZYZCALPXKGUGJI-DDVDASKDSA-M (e,3r,5s)-7-[3-(4-fluorophenyl)-2-phenyl-5-propan-2-ylimidazol-4-yl]-3,5-dihydroxyhept-6-enoate Chemical compound C=1C=C(F)C=CC=1N1C(\C=C\[C@@H](O)C[C@@H](O)CC([O-])=O)=C(C(C)C)N=C1C1=CC=CC=C1 ZYZCALPXKGUGJI-DDVDASKDSA-M 0.000 description 3
- BLQICVVKCWCIMT-FQEVSTJZSA-N 1-[(4-fluorophenyl)methyl]-5-[(2s)-2-(phenoxymethyl)pyrrolidin-1-yl]sulfonylindole-2,3-dione Chemical compound C1=CC(F)=CC=C1CN1C2=CC=C(S(=O)(=O)N3[C@@H](CCC3)COC=3C=CC=CC=3)C=C2C(=O)C1=O BLQICVVKCWCIMT-FQEVSTJZSA-N 0.000 description 3
- OOMWRPAWHLYIEI-FQEVSTJZSA-N 1-[(4-iodophenyl)methyl]-5-[(2s)-2-(phenoxymethyl)pyrrolidin-1-yl]sulfonylindole-2,3-dione Chemical compound C1=CC(I)=CC=C1CN1C2=CC=C(S(=O)(=O)N3[C@@H](CCC3)COC=3C=CC=CC=3)C=C2C(=O)C1=O OOMWRPAWHLYIEI-FQEVSTJZSA-N 0.000 description 3
- ONBQEOIKXPHGMB-VBSBHUPXSA-N 1-[2-[(2s,3r,4s,5r)-3,4-dihydroxy-5-(hydroxymethyl)oxolan-2-yl]oxy-4,6-dihydroxyphenyl]-3-(4-hydroxyphenyl)propan-1-one Chemical compound O[C@@H]1[C@H](O)[C@@H](CO)O[C@H]1OC1=CC(O)=CC(O)=C1C(=O)CCC1=CC=C(O)C=C1 ONBQEOIKXPHGMB-VBSBHUPXSA-N 0.000 description 3
- MGVPLJCIKWDYKQ-UHFFFAOYSA-N 1-prop-2-ynylindole-2,3-dione Chemical compound C1=CC=C2C(=O)C(=O)N(CC#C)C2=C1 MGVPLJCIKWDYKQ-UHFFFAOYSA-N 0.000 description 3
- DNCYBUMDUBHIJZ-UHFFFAOYSA-N 1h-pyrimidin-6-one Chemical compound O=C1C=CN=CN1 DNCYBUMDUBHIJZ-UHFFFAOYSA-N 0.000 description 3
- FJMQJSUOOGOWBD-UHFFFAOYSA-N 2-(2-chlorophenyl)-3-(4-chlorophenyl)-7-(2,2-difluoropropyl)-5,6-dihydropyrazolo[3,4-f][1,4]oxazepin-8-one Chemical compound O=C1N(CC(F)(F)C)CCOC=2C1=NN(C=1C(=CC=CC=1)Cl)C=2C1=CC=C(Cl)C=C1 FJMQJSUOOGOWBD-UHFFFAOYSA-N 0.000 description 3
- XDBHURGONHZNJF-UHFFFAOYSA-N 6-[2-(3,4-diethoxyphenyl)-1,3-thiazol-4-yl]pyridine-2-carboxylic acid Chemical compound C1=C(OCC)C(OCC)=CC=C1C1=NC(C=2N=C(C=CC=2)C(O)=O)=CS1 XDBHURGONHZNJF-UHFFFAOYSA-N 0.000 description 3
- QTBSBXVTEAMEQO-UHFFFAOYSA-N Acetic acid Chemical compound CC(O)=O QTBSBXVTEAMEQO-UHFFFAOYSA-N 0.000 description 3
- JAOGFYSXDYNYSX-UHFFFAOYSA-N CC(C)(C(N=CC(Cl)=C1)=C1C(C=CC(Cl)=C1)=C1N1C(C=C2)=CC=C2N(C2)CC2(CNC(CC2)CCC2C(O)=O)F)C1=O Chemical compound CC(C)(C(N=CC(Cl)=C1)=C1C(C=CC(Cl)=C1)=C1N1C(C=C2)=CC=C2N(C2)CC2(CNC(CC2)CCC2C(O)=O)F)C1=O JAOGFYSXDYNYSX-UHFFFAOYSA-N 0.000 description 3
- 102000004091 Caspase-8 Human genes 0.000 description 3
- 108090000538 Caspase-8 Proteins 0.000 description 3
- RYGMFSIKBFXOCR-UHFFFAOYSA-N Copper Chemical compound [Cu] RYGMFSIKBFXOCR-UHFFFAOYSA-N 0.000 description 3
- 201000008808 Fibrosarcoma Diseases 0.000 description 3
- 239000002211 L-ascorbic acid Substances 0.000 description 3
- 235000000069 L-ascorbic acid Nutrition 0.000 description 3
- 206010025323 Lymphomas Diseases 0.000 description 3
- 238000012879 PET imaging Methods 0.000 description 3
- OFOBLEOULBTSOW-UHFFFAOYSA-N Propanedioic acid Natural products OC(=O)CC(O)=O OFOBLEOULBTSOW-UHFFFAOYSA-N 0.000 description 3
- WYURNTSHIVDZCO-UHFFFAOYSA-N Tetrahydrofuran Chemical compound C1CCOC1 WYURNTSHIVDZCO-UHFFFAOYSA-N 0.000 description 3
- 239000000443 aerosol Substances 0.000 description 3
- 230000001640 apoptogenic effect Effects 0.000 description 3
- 229910052786 argon Inorganic materials 0.000 description 3
- 235000010323 ascorbic acid Nutrition 0.000 description 3
- 239000011668 ascorbic acid Substances 0.000 description 3
- XRWSZZJLZRKHHD-WVWIJVSJSA-N asunaprevir Chemical compound O=C([C@@H]1C[C@H](CN1C(=O)[C@@H](NC(=O)OC(C)(C)C)C(C)(C)C)OC1=NC=C(C2=CC=C(Cl)C=C21)OC)N[C@]1(C(=O)NS(=O)(=O)C2CC2)C[C@H]1C=C XRWSZZJLZRKHHD-WVWIJVSJSA-N 0.000 description 3
- 150000001540 azides Chemical group 0.000 description 3
- 125000001797 benzyl group Chemical group [H]C1=C([H])C([H])=C(C([H])=C1[H])C([H])([H])* 0.000 description 3
- KGNDCEVUMONOKF-UGPLYTSKSA-N benzyl n-[(2r)-1-[(2s,4r)-2-[[(2s)-6-amino-1-(1,3-benzoxazol-2-yl)-1,1-dihydroxyhexan-2-yl]carbamoyl]-4-[(4-methylphenyl)methoxy]pyrrolidin-1-yl]-1-oxo-4-phenylbutan-2-yl]carbamate Chemical compound C1=CC(C)=CC=C1CO[C@H]1CN(C(=O)[C@@H](CCC=2C=CC=CC=2)NC(=O)OCC=2C=CC=CC=2)[C@H](C(=O)N[C@@H](CCCCN)C(O)(O)C=2OC3=CC=CC=C3N=2)C1 KGNDCEVUMONOKF-UGPLYTSKSA-N 0.000 description 3
- 210000000988 bone and bone Anatomy 0.000 description 3
- 239000000969 carrier Substances 0.000 description 3
- 239000003054 catalyst Substances 0.000 description 3
- 230000008859 change Effects 0.000 description 3
- 239000003795 chemical substances by application Substances 0.000 description 3
- KRKNYBCHXYNGOX-UHFFFAOYSA-N citric acid Chemical compound OC(=O)CC(O)(C(O)=O)CC(O)=O KRKNYBCHXYNGOX-UHFFFAOYSA-N 0.000 description 3
- 238000003776 cleavage reaction Methods 0.000 description 3
- 229940125773 compound 10 Drugs 0.000 description 3
- 229940126142 compound 16 Drugs 0.000 description 3
- 229940125782 compound 2 Drugs 0.000 description 3
- 229940125833 compound 23 Drugs 0.000 description 3
- 229940125961 compound 24 Drugs 0.000 description 3
- 229940125878 compound 36 Drugs 0.000 description 3
- 229940126540 compound 41 Drugs 0.000 description 3
- 229940125936 compound 42 Drugs 0.000 description 3
- 238000006352 cycloaddition reaction Methods 0.000 description 3
- XUJNEKJLAYXESH-UHFFFAOYSA-N cysteine Natural products SCC(N)C(O)=O XUJNEKJLAYXESH-UHFFFAOYSA-N 0.000 description 3
- 235000018417 cysteine Nutrition 0.000 description 3
- 238000010586 diagram Methods 0.000 description 3
- VJJPUSNTGOMMGY-MRVIYFEKSA-N etoposide Chemical compound COC1=C(O)C(OC)=CC([C@@H]2C3=CC=4OCOC=4C=C3[C@@H](O[C@H]3[C@@H]([C@@H](O)[C@@H]4O[C@H](C)OC[C@H]4O3)O)[C@@H]3[C@@H]2C(OC3)=O)=C1 VJJPUSNTGOMMGY-MRVIYFEKSA-N 0.000 description 3
- 230000029142 excretion Effects 0.000 description 3
- 238000002474 experimental method Methods 0.000 description 3
- 239000000284 extract Substances 0.000 description 3
- YCKRFDGAMUMZLT-BJUDXGSMSA-N fluorine-18 atom Chemical group [18F] YCKRFDGAMUMZLT-BJUDXGSMSA-N 0.000 description 3
- 238000002290 gas chromatography-mass spectrometry Methods 0.000 description 3
- ZLVXBBHTMQJRSX-VMGNSXQWSA-N jdtic Chemical compound C1([C@]2(C)CCN(C[C@@H]2C)C[C@H](C(C)C)NC(=O)[C@@H]2NCC3=CC(O)=CC=C3C2)=CC=CC(O)=C1 ZLVXBBHTMQJRSX-VMGNSXQWSA-N 0.000 description 3
- HRDXJKGNWSUIBT-UHFFFAOYSA-N methoxybenzene Chemical group [CH2]OC1=CC=CC=C1 HRDXJKGNWSUIBT-UHFFFAOYSA-N 0.000 description 3
- 230000009871 nonspecific binding Effects 0.000 description 3
- 230000003389 potentiating effect Effects 0.000 description 3
- 239000000843 powder Substances 0.000 description 3
- 238000002953 preparative HPLC Methods 0.000 description 3
- 238000001953 recrystallisation Methods 0.000 description 3
- 238000011160 research Methods 0.000 description 3
- 230000002441 reversible effect Effects 0.000 description 3
- 230000007017 scission Effects 0.000 description 3
- 239000000377 silicon dioxide Substances 0.000 description 3
- PPASLZSBLFJQEF-RKJRWTFHSA-M sodium ascorbate Substances [Na+].OC[C@@H](O)[C@H]1OC(=O)C(O)=C1[O-] PPASLZSBLFJQEF-RKJRWTFHSA-M 0.000 description 3
- 235000010378 sodium ascorbate Nutrition 0.000 description 3
- 229960005055 sodium ascorbate Drugs 0.000 description 3
- 229910000104 sodium hydride Inorganic materials 0.000 description 3
- FVAUCKIRQBBSSJ-UHFFFAOYSA-M sodium iodide Chemical compound [Na+].[I-] FVAUCKIRQBBSSJ-UHFFFAOYSA-M 0.000 description 3
- 239000012064 sodium phosphate buffer Substances 0.000 description 3
- 210000000952 spleen Anatomy 0.000 description 3
- 229940124530 sulfonamide Drugs 0.000 description 3
- 238000001356 surgical procedure Methods 0.000 description 3
- YKEGUYTXACKXKS-IRXDYDNUSA-N tert-butyl (1s,5s)-3-[5-methyl-6-(2-methylpyridin-3-yl)oxypyrimidin-4-yl]oxy-8-azabicyclo[3.2.1]octane-8-carboxylate Chemical compound CC1=NC=CC=C1OC1=NC=NC(OC2C[C@@H]3CC[C@H](N3C(=O)OC(C)(C)C)C2)=C1C YKEGUYTXACKXKS-IRXDYDNUSA-N 0.000 description 3
- 210000004881 tumor cell Anatomy 0.000 description 3
- DNIAPMSPPWPWGF-VKHMYHEASA-N (+)-propylene glycol Chemical compound C[C@H](O)CO DNIAPMSPPWPWGF-VKHMYHEASA-N 0.000 description 2
- IUSARDYWEPUTPN-OZBXUNDUSA-N (2r)-n-[(2s,3r)-4-[[(4s)-6-(2,2-dimethylpropyl)spiro[3,4-dihydropyrano[2,3-b]pyridine-2,1'-cyclobutane]-4-yl]amino]-3-hydroxy-1-[3-(1,3-thiazol-2-yl)phenyl]butan-2-yl]-2-methoxypropanamide Chemical compound C([C@H](NC(=O)[C@@H](C)OC)[C@H](O)CN[C@@H]1C2=CC(CC(C)(C)C)=CN=C2OC2(CCC2)C1)C(C=1)=CC=CC=1C1=NC=CS1 IUSARDYWEPUTPN-OZBXUNDUSA-N 0.000 description 2
- ALZSTTDFHZHSCA-RNVDEAKXSA-N (4s)-4-[[(2s)-2-acetamido-3-carboxypropanoyl]amino]-5-[[(2s)-1-[[(2s)-3-carboxy-1-[(4-methyl-2-oxochromen-7-yl)amino]-1-oxopropan-2-yl]amino]-3-methyl-1-oxobutan-2-yl]amino]-5-oxopentanoic acid Chemical compound CC1=CC(=O)OC2=CC(NC(=O)[C@H](CC(O)=O)NC(=O)[C@@H](NC(=O)[C@H](CCC(O)=O)NC(=O)[C@H](CC(O)=O)NC(C)=O)C(C)C)=CC=C21 ALZSTTDFHZHSCA-RNVDEAKXSA-N 0.000 description 2
- VDFVNEFVBPFDSB-UHFFFAOYSA-N 1,3-dioxane Chemical compound C1COCOC1 VDFVNEFVBPFDSB-UHFFFAOYSA-N 0.000 description 2
- YPFDHNVEDLHUCE-UHFFFAOYSA-N 1,3-propanediol Substances OCCCO YPFDHNVEDLHUCE-UHFFFAOYSA-N 0.000 description 2
- XMBJTDKKHXHJMK-UHFFFAOYSA-N 1-[(4-fluorophenyl)methyl]-5-pyrrolidin-1-ylsulfonylindole-2,3-dione Chemical compound C1=CC(F)=CC=C1CN1C2=CC=C(S(=O)(=O)N3CCCC3)C=C2C(=O)C1=O XMBJTDKKHXHJMK-UHFFFAOYSA-N 0.000 description 2
- YSXPQSRGGIMVEW-UHFFFAOYSA-N 1-[1-(2-fluoroethyl)triazol-4-yl]indole-2,3-dione Chemical compound N1=NN(CCF)C=C1N1C2=CC=CC=C2C(=O)C1=O YSXPQSRGGIMVEW-UHFFFAOYSA-N 0.000 description 2
- UNILWMWFPHPYOR-KXEYIPSPSA-M 1-[6-[2-[3-[3-[3-[2-[2-[3-[[2-[2-[[(2r)-1-[[2-[[(2r)-1-[3-[2-[2-[3-[[2-(2-amino-2-oxoethoxy)acetyl]amino]propoxy]ethoxy]ethoxy]propylamino]-3-hydroxy-1-oxopropan-2-yl]amino]-2-oxoethyl]amino]-3-[(2r)-2,3-di(hexadecanoyloxy)propyl]sulfanyl-1-oxopropan-2-yl Chemical compound O=C1C(SCCC(=O)NCCCOCCOCCOCCCNC(=O)COCC(=O)N[C@@H](CSC[C@@H](COC(=O)CCCCCCCCCCCCCCC)OC(=O)CCCCCCCCCCCCCCC)C(=O)NCC(=O)N[C@H](CO)C(=O)NCCCOCCOCCOCCCNC(=O)COCC(N)=O)CC(=O)N1CCNC(=O)CCCCCN\1C2=CC=C(S([O-])(=O)=O)C=C2CC/1=C/C=C/C=C/C1=[N+](CC)C2=CC=C(S([O-])(=O)=O)C=C2C1 UNILWMWFPHPYOR-KXEYIPSPSA-M 0.000 description 2
- LKHJBEXZBLZPOC-UHFFFAOYSA-N 1-azido-3-fluoropropane Chemical compound FCCCN=[N+]=[N-] LKHJBEXZBLZPOC-UHFFFAOYSA-N 0.000 description 2
- AOYNUTHNTBLRMT-SLPGGIOYSA-N 2-deoxy-2-fluoro-aldehydo-D-glucose Chemical compound OC[C@@H](O)[C@@H](O)[C@H](O)[C@@H](F)C=O AOYNUTHNTBLRMT-SLPGGIOYSA-N 0.000 description 2
- QEMMTKPYWRKLME-NUTRPMROSA-N 3-fluoranylprop-1-yne Chemical compound [18F]CC#C QEMMTKPYWRKLME-NUTRPMROSA-N 0.000 description 2
- SPXOTSHWBDUUMT-UHFFFAOYSA-M 4-nitrobenzenesulfonate Chemical compound [O-][N+](=O)C1=CC=C(S([O-])(=O)=O)C=C1 SPXOTSHWBDUUMT-UHFFFAOYSA-M 0.000 description 2
- SJZKQKNCZPWFBN-HNNXBMFYSA-N 5-[(2s)-2-[(2,4-difluorophenoxy)methyl]pyrrolidin-1-yl]sulfonyl-1-prop-2-ynylindole-2,3-dione Chemical compound FC1=CC(F)=CC=C1OC[C@H]1N(S(=O)(=O)C=2C=C3C(=O)C(=O)N(CC#C)C3=CC=2)CCC1 SJZKQKNCZPWFBN-HNNXBMFYSA-N 0.000 description 2
- 108010021160 Ac-aspartyl-glutamyl-valyl-aspartyl-aminomethylcoumarin Proteins 0.000 description 2
- 108090000672 Annexin A5 Proteins 0.000 description 2
- 102000004121 Annexin A5 Human genes 0.000 description 2
- 108091003079 Bovine Serum Albumin Proteins 0.000 description 2
- CURLTUGMZLYLDI-UHFFFAOYSA-N Carbon dioxide Chemical compound O=C=O CURLTUGMZLYLDI-UHFFFAOYSA-N 0.000 description 2
- 229940124101 Caspase 3 inhibitor Drugs 0.000 description 2
- 102000004018 Caspase 6 Human genes 0.000 description 2
- 108090000425 Caspase 6 Proteins 0.000 description 2
- 102100035904 Caspase-1 Human genes 0.000 description 2
- 108090000426 Caspase-1 Proteins 0.000 description 2
- 208000000632 Experimental Neoplasms Diseases 0.000 description 2
- YCKRFDGAMUMZLT-UHFFFAOYSA-N Fluorine atom Chemical compound [F] YCKRFDGAMUMZLT-UHFFFAOYSA-N 0.000 description 2
- VZCYOOQTPOCHFL-OWOJBTEDSA-N Fumaric acid Chemical compound OC(=O)\C=C\C(O)=O VZCYOOQTPOCHFL-OWOJBTEDSA-N 0.000 description 2
- 206010056740 Genital discharge Diseases 0.000 description 2
- ZDXPYRJPNDTMRX-VKHMYHEASA-N L-glutamine Chemical compound OC(=O)[C@@H](N)CCC(N)=O ZDXPYRJPNDTMRX-VKHMYHEASA-N 0.000 description 2
- 229930182816 L-glutamine Natural products 0.000 description 2
- 241000699666 Mus <mouse, genus> Species 0.000 description 2
- 206010033128 Ovarian cancer Diseases 0.000 description 2
- 206010061535 Ovarian neoplasm Diseases 0.000 description 2
- 229930182555 Penicillin Natural products 0.000 description 2
- JGSARLDLIJGVTE-MBNYWOFBSA-N Penicillin G Chemical compound N([C@H]1[C@H]2SC([C@@H](N2C1=O)C(O)=O)(C)C)C(=O)CC1=CC=CC=C1 JGSARLDLIJGVTE-MBNYWOFBSA-N 0.000 description 2
- 102000035195 Peptidases Human genes 0.000 description 2
- 108091005804 Peptidases Proteins 0.000 description 2
- NBIIXXVUZAFLBC-UHFFFAOYSA-N Phosphoric acid Chemical compound OP(O)(O)=O NBIIXXVUZAFLBC-UHFFFAOYSA-N 0.000 description 2
- OAICVXFJPJFONN-UHFFFAOYSA-N Phosphorus Chemical compound [P] OAICVXFJPJFONN-UHFFFAOYSA-N 0.000 description 2
- 239000002202 Polyethylene glycol Substances 0.000 description 2
- 239000004365 Protease Substances 0.000 description 2
- 239000012980 RPMI-1640 medium Substances 0.000 description 2
- KEAYESYHFKHZAL-UHFFFAOYSA-N Sodium Chemical compound [Na] KEAYESYHFKHZAL-UHFFFAOYSA-N 0.000 description 2
- 238000000692 Student's t-test Methods 0.000 description 2
- QAOWNCQODCNURD-UHFFFAOYSA-N Sulfuric acid Chemical compound OS(O)(=O)=O QAOWNCQODCNURD-UHFFFAOYSA-N 0.000 description 2
- DHXVGJBLRPWPCS-UHFFFAOYSA-N Tetrahydropyran Chemical compound C1CCOCC1 DHXVGJBLRPWPCS-UHFFFAOYSA-N 0.000 description 2
- LJOOWESTVASNOG-UFJKPHDISA-N [(1s,3r,4ar,7s,8s,8as)-3-hydroxy-8-[2-[(4r)-4-hydroxy-6-oxooxan-2-yl]ethyl]-7-methyl-1,2,3,4,4a,7,8,8a-octahydronaphthalen-1-yl] (2s)-2-methylbutanoate Chemical compound C([C@H]1[C@@H](C)C=C[C@H]2C[C@@H](O)C[C@@H]([C@H]12)OC(=O)[C@@H](C)CC)CC1C[C@@H](O)CC(=O)O1 LJOOWESTVASNOG-UFJKPHDISA-N 0.000 description 2
- 230000002159 abnormal effect Effects 0.000 description 2
- KRHYYFGTRYWZRS-BJUDXGSMSA-N ac1l2y5h Chemical compound [18FH] KRHYYFGTRYWZRS-BJUDXGSMSA-N 0.000 description 2
- DHKHKXVYLBGOIT-UHFFFAOYSA-N acetaldehyde Diethyl Acetal Natural products CCOC(C)OCC DHKHKXVYLBGOIT-UHFFFAOYSA-N 0.000 description 2
- 239000013543 active substance Substances 0.000 description 2
- 239000004479 aerosol dispenser Substances 0.000 description 2
- APKFDSVGJQXUKY-INPOYWNPSA-N amphotericin B Chemical compound O[C@H]1[C@@H](N)[C@H](O)[C@@H](C)O[C@H]1O[C@H]1/C=C/C=C/C=C/C=C/C=C/C=C/C=C/[C@H](C)[C@@H](O)[C@@H](C)[C@H](C)OC(=O)C[C@H](O)C[C@H](O)CC[C@@H](O)[C@H](O)C[C@H](O)C[C@](O)(C[C@H](O)[C@H]2C(O)=O)O[C@H]2C1 APKFDSVGJQXUKY-INPOYWNPSA-N 0.000 description 2
- 239000007864 aqueous solution Substances 0.000 description 2
- 125000003118 aryl group Chemical group 0.000 description 2
- 238000010533 azeotropic distillation Methods 0.000 description 2
- 210000004556 brain Anatomy 0.000 description 2
- 238000004364 calculation method Methods 0.000 description 2
- 235000011089 carbon dioxide Nutrition 0.000 description 2
- 229910002091 carbon monoxide Inorganic materials 0.000 description 2
- 230000015556 catabolic process Effects 0.000 description 2
- 229940125904 compound 1 Drugs 0.000 description 2
- 229940127204 compound 29 Drugs 0.000 description 2
- 229940126214 compound 3 Drugs 0.000 description 2
- 229940125807 compound 37 Drugs 0.000 description 2
- 229940125898 compound 5 Drugs 0.000 description 2
- 229910052802 copper Inorganic materials 0.000 description 2
- ZYGHJZDHTFUPRJ-UHFFFAOYSA-N coumarin Chemical compound C1=CC=C2OC(=O)C=CC2=C1 ZYGHJZDHTFUPRJ-UHFFFAOYSA-N 0.000 description 2
- 238000012258 culturing Methods 0.000 description 2
- 230000001186 cumulative effect Effects 0.000 description 2
- 238000006731 degradation reaction Methods 0.000 description 2
- 150000004891 diazines Chemical class 0.000 description 2
- UVJIWIKBEGBNRP-UHFFFAOYSA-N diazonio(fluoromethyl)azanide Chemical compound FCN=[N+]=[N-] UVJIWIKBEGBNRP-UHFFFAOYSA-N 0.000 description 2
- XBDQKXXYIPTUBI-UHFFFAOYSA-N dimethylselenoniopropionate Natural products CCC(O)=O XBDQKXXYIPTUBI-UHFFFAOYSA-N 0.000 description 2
- 239000000975 dye Substances 0.000 description 2
- 230000008030 elimination Effects 0.000 description 2
- 238000003379 elimination reaction Methods 0.000 description 2
- 229960005420 etoposide Drugs 0.000 description 2
- 238000003818 flash chromatography Methods 0.000 description 2
- 125000000524 functional group Chemical group 0.000 description 2
- 239000000499 gel Substances 0.000 description 2
- 239000007903 gelatin capsule Substances 0.000 description 2
- RWSXRVCMGQZWBV-WDSKDSINSA-N glutathione Chemical compound OC(=O)[C@@H](N)CCC(=O)N[C@@H](CS)C(=O)NCC(O)=O RWSXRVCMGQZWBV-WDSKDSINSA-N 0.000 description 2
- 235000011187 glycerol Nutrition 0.000 description 2
- 150000004820 halides Chemical class 0.000 description 2
- 150000004677 hydrates Chemical class 0.000 description 2
- 238000011534 incubation Methods 0.000 description 2
- 210000000936 intestine Anatomy 0.000 description 2
- 230000003834 intracellular effect Effects 0.000 description 2
- JVTAAEKCZFNVCJ-UHFFFAOYSA-N lactic acid Chemical compound CC(O)C(O)=O JVTAAEKCZFNVCJ-UHFFFAOYSA-N 0.000 description 2
- 230000004807 localization Effects 0.000 description 2
- 239000007937 lozenge Substances 0.000 description 2
- 210000004072 lung Anatomy 0.000 description 2
- 229920002521 macromolecule Polymers 0.000 description 2
- HQKMJHAJHXVSDF-UHFFFAOYSA-L magnesium stearate Chemical compound [Mg+2].CCCCCCCCCCCCCCCCCC([O-])=O.CCCCCCCCCCCCCCCCCC([O-])=O HQKMJHAJHXVSDF-UHFFFAOYSA-L 0.000 description 2
- 230000014759 maintenance of location Effects 0.000 description 2
- 239000011159 matrix material Substances 0.000 description 2
- 230000010534 mechanism of action Effects 0.000 description 2
- MYWUZJCMWCOHBA-VIFPVBQESA-N methamphetamine Chemical compound CN[C@@H](C)CC1=CC=CC=C1 MYWUZJCMWCOHBA-VIFPVBQESA-N 0.000 description 2
- BDAGIHXWWSANSR-UHFFFAOYSA-N methanoic acid Natural products OC=O BDAGIHXWWSANSR-UHFFFAOYSA-N 0.000 description 2
- 230000006654 negative regulation of apoptotic process Effects 0.000 description 2
- 230000007935 neutral effect Effects 0.000 description 2
- 238000009206 nuclear medicine Methods 0.000 description 2
- HGASFNYMVGEKTF-UHFFFAOYSA-N octan-1-ol;hydrate Chemical compound O.CCCCCCCCO HGASFNYMVGEKTF-UHFFFAOYSA-N 0.000 description 2
- 239000003921 oil Substances 0.000 description 2
- 235000019198 oils Nutrition 0.000 description 2
- 150000002894 organic compounds Chemical class 0.000 description 2
- LMYJGUNNJIDROI-UHFFFAOYSA-N oxan-4-ol Chemical compound OC1CCOCC1 LMYJGUNNJIDROI-UHFFFAOYSA-N 0.000 description 2
- 238000007911 parenteral administration Methods 0.000 description 2
- 238000005192 partition Methods 0.000 description 2
- 230000007310 pathophysiology Effects 0.000 description 2
- 229940049954 penicillin Drugs 0.000 description 2
- 229910052698 phosphorus Inorganic materials 0.000 description 2
- 239000011574 phosphorus Substances 0.000 description 2
- XNGIFLGASWRNHJ-UHFFFAOYSA-N phthalic acid Chemical compound OC(=O)C1=CC=CC=C1C(O)=O XNGIFLGASWRNHJ-UHFFFAOYSA-N 0.000 description 2
- 210000002381 plasma Anatomy 0.000 description 2
- BASFCYQUMIYNBI-UHFFFAOYSA-N platinum Chemical compound [Pt] BASFCYQUMIYNBI-UHFFFAOYSA-N 0.000 description 2
- 229920001223 polyethylene glycol Polymers 0.000 description 2
- 229920000166 polytrimethylene carbonate Polymers 0.000 description 2
- 239000003755 preservative agent Substances 0.000 description 2
- 238000012545 processing Methods 0.000 description 2
- VVWRJUBEIPHGQF-MDZDMXLPSA-N propan-2-yl (ne)-n-propan-2-yloxycarbonyliminocarbamate Chemical compound CC(C)OC(=O)\N=N\C(=O)OC(C)C VVWRJUBEIPHGQF-MDZDMXLPSA-N 0.000 description 2
- 125000006239 protecting group Chemical group 0.000 description 2
- 238000000746 purification Methods 0.000 description 2
- 125000000714 pyrimidinyl group Chemical group 0.000 description 2
- 238000007141 radiochemical reaction Methods 0.000 description 2
- 230000035484 reaction time Effects 0.000 description 2
- 238000011084 recovery Methods 0.000 description 2
- 238000010992 reflux Methods 0.000 description 2
- 238000000611 regression analysis Methods 0.000 description 2
- 230000004044 response Effects 0.000 description 2
- 238000007086 side reaction Methods 0.000 description 2
- 238000002603 single-photon emission computed tomography Methods 0.000 description 2
- 239000012312 sodium hydride Substances 0.000 description 2
- PPASLZSBLFJQEF-RXSVEWSESA-M sodium-L-ascorbate Chemical compound [Na+].OC[C@H](O)[C@H]1OC(=O)C(O)=C1[O-] PPASLZSBLFJQEF-RXSVEWSESA-M 0.000 description 2
- 239000011877 solvent mixture Substances 0.000 description 2
- 239000007858 starting material Substances 0.000 description 2
- 239000011550 stock solution Substances 0.000 description 2
- 229960005322 streptomycin Drugs 0.000 description 2
- 238000010254 subcutaneous injection Methods 0.000 description 2
- 239000007929 subcutaneous injection Substances 0.000 description 2
- 125000001424 substituent group Chemical group 0.000 description 2
- 238000006467 substitution reaction Methods 0.000 description 2
- 150000003456 sulfonamides Chemical class 0.000 description 2
- 239000000829 suppository Substances 0.000 description 2
- 230000009885 systemic effect Effects 0.000 description 2
- BFFLLBPMZCIGRM-QMMMGPOBSA-N tert-butyl (2s)-2-(hydroxymethyl)pyrrolidine-1-carboxylate Chemical compound CC(C)(C)OC(=O)N1CCC[C@H]1CO BFFLLBPMZCIGRM-QMMMGPOBSA-N 0.000 description 2
- VZCYOOQTPOCHFL-UHFFFAOYSA-N trans-butenedioic acid Natural products OC(=O)C=CC(O)=O VZCYOOQTPOCHFL-UHFFFAOYSA-N 0.000 description 2
- RIOQSEWOXXDEQQ-UHFFFAOYSA-N triphenylphosphine Chemical compound C1=CC=CC=C1P(C=1C=CC=CC=1)C1=CC=CC=C1 RIOQSEWOXXDEQQ-UHFFFAOYSA-N 0.000 description 2
- 230000004614 tumor growth Effects 0.000 description 2
- 239000003643 water by type Substances 0.000 description 2
- QBYIENPQHBMVBV-HFEGYEGKSA-N (2R)-2-hydroxy-2-phenylacetic acid Chemical compound O[C@@H](C(O)=O)c1ccccc1.O[C@@H](C(O)=O)c1ccccc1 QBYIENPQHBMVBV-HFEGYEGKSA-N 0.000 description 1
- QGKMIGUHVLGJBR-UHFFFAOYSA-M (4z)-1-(3-methylbutyl)-4-[[1-(3-methylbutyl)quinolin-1-ium-4-yl]methylidene]quinoline;iodide Chemical class [I-].C12=CC=CC=C2N(CCC(C)C)C=CC1=CC1=CC=[N+](CCC(C)C)C2=CC=CC=C12 QGKMIGUHVLGJBR-UHFFFAOYSA-M 0.000 description 1
- MIOPJNTWMNEORI-GMSGAONNSA-N (S)-camphorsulfonic acid Chemical compound C1C[C@@]2(CS(O)(=O)=O)C(=O)C[C@@H]1C2(C)C MIOPJNTWMNEORI-GMSGAONNSA-N 0.000 description 1
- BJEPYKJPYRNKOW-REOHCLBHSA-N (S)-malic acid Chemical compound OC(=O)[C@@H](O)CC(O)=O BJEPYKJPYRNKOW-REOHCLBHSA-N 0.000 description 1
- 125000001399 1,2,3-triazolyl group Chemical group N1N=NC(=C1)* 0.000 description 1
- WNXJIVFYUVYPPR-UHFFFAOYSA-N 1,3-dioxolane Chemical compound C1COCO1 WNXJIVFYUVYPPR-UHFFFAOYSA-N 0.000 description 1
- GHKHCLPDHSKVTM-UHFFFAOYSA-N 1-(2-azidoethylsulfonyl)-4-methylbenzene Chemical compound CC1=CC=C(S(=O)(=O)CCN=[N+]=[N-])C=C1 GHKHCLPDHSKVTM-UHFFFAOYSA-N 0.000 description 1
- KQZLRWGGWXJPOS-NLFPWZOASA-N 1-[(1R)-1-(2,4-dichlorophenyl)ethyl]-6-[(4S,5R)-4-[(2S)-2-(hydroxymethyl)pyrrolidin-1-yl]-5-methylcyclohexen-1-yl]pyrazolo[3,4-b]pyrazine-3-carbonitrile Chemical compound ClC1=C(C=CC(=C1)Cl)[C@@H](C)N1N=C(C=2C1=NC(=CN=2)C1=CC[C@@H]([C@@H](C1)C)N1[C@@H](CCC1)CO)C#N KQZLRWGGWXJPOS-NLFPWZOASA-N 0.000 description 1
- WZZBNLYBHUDSHF-DHLKQENFSA-N 1-[(3s,4s)-4-[8-(2-chloro-4-pyrimidin-2-yloxyphenyl)-7-fluoro-2-methylimidazo[4,5-c]quinolin-1-yl]-3-fluoropiperidin-1-yl]-2-hydroxyethanone Chemical compound CC1=NC2=CN=C3C=C(F)C(C=4C(=CC(OC=5N=CC=CN=5)=CC=4)Cl)=CC3=C2N1[C@H]1CCN(C(=O)CO)C[C@@H]1F WZZBNLYBHUDSHF-DHLKQENFSA-N 0.000 description 1
- NQUXMPBEDQBYJN-SFHVURJKSA-N 1-[(4-fluorophenyl)methyl]-5-[(2s)-2-(pyrimidin-4-yloxymethyl)pyrrolidin-1-yl]sulfonylindole-2,3-dione Chemical compound C1=CC(F)=CC=C1CN1C2=CC=C(S(=O)(=O)N3[C@@H](CCC3)COC=3N=CN=CC=3)C=C2C(=O)C1=O NQUXMPBEDQBYJN-SFHVURJKSA-N 0.000 description 1
- XIYWGIPZQFHJPE-UHFFFAOYSA-N 1-[2-[(2,4-difluorophenoxy)methyl]pyrrolidin-1-yl]sulfonylindole-2,3-dione Chemical compound Fc1ccc(OCC2CCCN2S(=O)(=O)N2C(=O)C(=O)c3ccccc23)c(F)c1 XIYWGIPZQFHJPE-UHFFFAOYSA-N 0.000 description 1
- JVKBLHAUEXSZHN-NRFANRHFSA-N 1-[[4-(2-fluoroethoxy)phenyl]methyl]-5-[(2s)-2-(phenoxymethyl)pyrrolidin-1-yl]sulfonylindole-2,3-dione Chemical compound C1=CC(OCCF)=CC=C1CN1C2=CC=C(S(=O)(=O)N3[C@@H](CCC3)COC=3C=CC=CC=3)C=C2C(=O)C1=O JVKBLHAUEXSZHN-NRFANRHFSA-N 0.000 description 1
- QZOJRSAENHTURL-UHFFFAOYSA-N 1-azidobutane Chemical compound CCCCN=[N+]=[N-] QZOJRSAENHTURL-UHFFFAOYSA-N 0.000 description 1
- PKOUAUWPBMZQCH-FQEVSTJZSA-N 1-benzyl-5-[(2s)-2-(phenoxymethyl)pyrrolidin-1-yl]sulfonylindole-2,3-dione Chemical compound C12=CC=C(S(=O)(=O)N3[C@@H](CCC3)COC=3C=CC=CC=3)C=C2C(=O)C(=O)N1CC1=CC=CC=C1 PKOUAUWPBMZQCH-FQEVSTJZSA-N 0.000 description 1
- QDKWLJJOYIFEBS-UHFFFAOYSA-N 1-fluoro-4-$l^{1}-oxidanylbenzene Chemical group [O]C1=CC=C(F)C=C1 QDKWLJJOYIFEBS-UHFFFAOYSA-N 0.000 description 1
- HNEGJTWNOOWEMH-UHFFFAOYSA-N 1-fluoropropane Chemical group [CH2]CCF HNEGJTWNOOWEMH-UHFFFAOYSA-N 0.000 description 1
- QWENRTYMTSOGBR-UHFFFAOYSA-N 1H-1,2,3-Triazole Chemical compound C=1C=NNN=1 QWENRTYMTSOGBR-UHFFFAOYSA-N 0.000 description 1
- NVWVWEWVLBKPSM-UHFFFAOYSA-N 2,4-difluorophenol Chemical compound OC1=CC=C(F)C=C1F NVWVWEWVLBKPSM-UHFFFAOYSA-N 0.000 description 1
- LBLYYCQCTBFVLH-UHFFFAOYSA-N 2-Methylbenzenesulfonic acid Chemical compound CC1=CC=CC=C1S(O)(=O)=O LBLYYCQCTBFVLH-UHFFFAOYSA-N 0.000 description 1
- QKNYBSVHEMOAJP-UHFFFAOYSA-N 2-amino-2-(hydroxymethyl)propane-1,3-diol;hydron;chloride Chemical compound Cl.OCC(N)(CO)CO QKNYBSVHEMOAJP-UHFFFAOYSA-N 0.000 description 1
- YSUIQYOGTINQIN-UZFYAQMZSA-N 2-amino-9-[(1S,6R,8R,9S,10R,15R,17R,18R)-8-(6-aminopurin-9-yl)-9,18-difluoro-3,12-dihydroxy-3,12-bis(sulfanylidene)-2,4,7,11,13,16-hexaoxa-3lambda5,12lambda5-diphosphatricyclo[13.2.1.06,10]octadecan-17-yl]-1H-purin-6-one Chemical compound NC1=NC2=C(N=CN2[C@@H]2O[C@@H]3COP(S)(=O)O[C@@H]4[C@@H](COP(S)(=O)O[C@@H]2[C@@H]3F)O[C@H]([C@H]4F)N2C=NC3=C2N=CN=C3N)C(=O)N1 YSUIQYOGTINQIN-UZFYAQMZSA-N 0.000 description 1
- NPRYCHLHHVWLQZ-TURQNECASA-N 2-amino-9-[(2R,3S,4S,5R)-4-fluoro-3-hydroxy-5-(hydroxymethyl)oxolan-2-yl]-7-prop-2-ynylpurin-8-one Chemical compound NC1=NC=C2N(C(N(C2=N1)[C@@H]1O[C@@H]([C@H]([C@H]1O)F)CO)=O)CC#C NPRYCHLHHVWLQZ-TURQNECASA-N 0.000 description 1
- HJSSBIMVTMYKPD-UHFFFAOYSA-N 3,5-difluorophenol Chemical compound OC1=CC(F)=CC(F)=C1 HJSSBIMVTMYKPD-UHFFFAOYSA-N 0.000 description 1
- YGLOALWHJIANIH-UHFFFAOYSA-N 3-[2-[[2-[[2-acetamido-3-(4-hydroxyphenyl)propanoyl]amino]-3-methylbutanoyl]amino]propanoylamino]-4-[(4-methyl-2-oxochromen-7-yl)amino]-4-oxobutanoic acid Chemical compound C=1C=C2C(C)=CC(=O)OC2=CC=1NC(=O)C(CC(O)=O)NC(=O)C(C)NC(=O)C(C(C)C)NC(=O)C(NC(C)=O)CC1=CC=C(O)C=C1 YGLOALWHJIANIH-UHFFFAOYSA-N 0.000 description 1
- NDAYHCIRVLTGBL-UHFFFAOYSA-N 4-(2-fluoroethyl)-2h-triazole Chemical compound FCCC1=CNN=N1 NDAYHCIRVLTGBL-UHFFFAOYSA-N 0.000 description 1
- OSWFIVFLDKOXQC-UHFFFAOYSA-N 4-(3-methoxyphenyl)aniline Chemical compound COC1=CC=CC(C=2C=CC(N)=CC=2)=C1 OSWFIVFLDKOXQC-UHFFFAOYSA-N 0.000 description 1
- CQFCDAVYXPMTRE-UHFFFAOYSA-N 4-fluorobut-1-yne Chemical compound FCCC#C CQFCDAVYXPMTRE-UHFFFAOYSA-N 0.000 description 1
- 125000001255 4-fluorophenyl group Chemical group [H]C1=C([H])C(*)=C([H])C([H])=C1F 0.000 description 1
- WVKOPZMDOFGFAK-UHFFFAOYSA-N 4-hydroperoxycyclophosphamide Chemical compound OOC1=NP(O)(N(CCCl)CCCl)OCC1 WVKOPZMDOFGFAK-UHFFFAOYSA-N 0.000 description 1
- 125000006483 4-iodobenzyl group Chemical group [H]C1=C([H])C(=C([H])C([H])=C1I)C([H])([H])* 0.000 description 1
- QKVWMYQCBWNCQH-ZDUSSCGKSA-N 5-[(2s)-2-(phenoxymethyl)pyrrolidin-1-yl]sulfonyl-1h-indole-2,3-dione Chemical compound C([C@@H]1CCCN1S(=O)(=O)C1=CC=C2NC(C(C2=C1)=O)=O)OC1=CC=CC=C1 QKVWMYQCBWNCQH-ZDUSSCGKSA-N 0.000 description 1
- MMPLYCJJALHIPE-NSHDSACASA-N 5-[(2s)-2-(prop-2-ynoxymethyl)pyrrolidin-1-yl]sulfonyl-1h-indole-2,3-dione Chemical compound C1=C2C(=O)C(=O)NC2=CC=C1S(=O)(=O)N1CCC[C@H]1COCC#C MMPLYCJJALHIPE-NSHDSACASA-N 0.000 description 1
- BRJRGXNNNCOUBS-NSHDSACASA-N 5-[(2s)-2-(pyrimidin-4-yloxymethyl)pyrrolidin-1-yl]sulfonyl-1h-indole-2,3-dione Chemical compound C([C@@H]1CCCN1S(=O)(=O)C1=CC=C2NC(C(C2=C1)=O)=O)OC1=CC=NC=N1 BRJRGXNNNCOUBS-NSHDSACASA-N 0.000 description 1
- WILCZVFYGCZRTK-IBGZPJMESA-N 5-[(2s)-2-[(2,4-difluorophenoxy)methyl]pyrrolidin-1-yl]sulfonyl-1-[(4-fluorophenyl)methyl]indole-2,3-dione Chemical compound C1=CC(F)=CC=C1CN1C2=CC=C(S(=O)(=O)N3[C@@H](CCC3)COC=3C(=CC(F)=CC=3)F)C=C2C(=O)C1=O WILCZVFYGCZRTK-IBGZPJMESA-N 0.000 description 1
- KWEQRLMETACFAR-SFHVURJKSA-N 5-[(2s)-2-[(2,4-difluorophenoxy)methyl]pyrrolidin-1-yl]sulfonyl-1-[[4-(3-fluoropropyl)triazol-1-yl]methyl]indole-2,3-dione Chemical compound N1=NC(CCCF)=CN1CN1C2=CC=C(S(=O)(=O)N3[C@@H](CCC3)COC=3C(=CC(F)=CC=3)F)C=C2C(=O)C1=O KWEQRLMETACFAR-SFHVURJKSA-N 0.000 description 1
- HEZJZIZHYNUHOL-IBGZPJMESA-N 5-[(2s)-2-[(2,4-difluorophenoxy)methyl]pyrrolidin-1-yl]sulfonyl-1-[[4-(4-fluorobutyl)triazol-1-yl]methyl]indole-2,3-dione Chemical compound N1=NC(CCCCF)=CN1CN1C2=CC=C(S(=O)(=O)N3[C@@H](CCC3)COC=3C(=CC(F)=CC=3)F)C=C2C(=O)C1=O HEZJZIZHYNUHOL-IBGZPJMESA-N 0.000 description 1
- RQGSUKJUZMHSJH-FQEVSTJZSA-N 5-[(2s)-2-[(3,5-difluorophenoxy)methyl]pyrrolidin-1-yl]sulfonyl-1-[(4-fluorophenyl)methyl]indole-2,3-dione Chemical compound C1=CC(F)=CC=C1CN1C2=CC=C(S(=O)(=O)N3[C@@H](CCC3)COC=3C=C(F)C=C(F)C=3)C=C2C(=O)C1=O RQGSUKJUZMHSJH-FQEVSTJZSA-N 0.000 description 1
- AFHSJXNYIKWUNR-ZDUSSCGKSA-N 5-[(2s)-2-[(3,5-difluorophenoxy)methyl]pyrrolidin-1-yl]sulfonyl-1h-indole-2,3-dione Chemical compound FC1=CC(F)=CC(OC[C@H]2N(CCC2)S(=O)(=O)C=2C=C3C(=O)C(=O)NC3=CC=2)=C1 AFHSJXNYIKWUNR-ZDUSSCGKSA-N 0.000 description 1
- ICPDGOPCDSFARU-ZDUSSCGKSA-N 5-[(2s)-2-[(4-fluorophenoxy)methyl]pyrrolidin-1-yl]sulfonyl-1h-indole-2,3-dione Chemical compound C1=CC(F)=CC=C1OC[C@H]1N(S(=O)(=O)C=2C=C3C(=O)C(=O)NC3=CC=2)CCC1 ICPDGOPCDSFARU-ZDUSSCGKSA-N 0.000 description 1
- MXYUEMWMHJSSSJ-KWCOIAHCSA-N 5-fluoranylpent-1-yne Chemical compound [18F]CCCC#C MXYUEMWMHJSSSJ-KWCOIAHCSA-N 0.000 description 1
- MXYUEMWMHJSSSJ-UHFFFAOYSA-N 5-fluoropent-1-yne Chemical compound FCCCC#C MXYUEMWMHJSSSJ-UHFFFAOYSA-N 0.000 description 1
- QKCWUYHXHMXOLG-UHFFFAOYSA-N 5-pyrrolidin-1-ylsulfonyl-1h-indole-2,3-dione Chemical compound C1=C2C(=O)C(=O)NC2=CC=C1S(=O)(=O)N1CCCC1 QKCWUYHXHMXOLG-UHFFFAOYSA-N 0.000 description 1
- YDUGWJMUYOGFLN-JZRMKITLSA-N 6-(18F)fluoranylhex-1-yne Chemical compound [18F]CCCCC#C YDUGWJMUYOGFLN-JZRMKITLSA-N 0.000 description 1
- ZCYVEMRRCGMTRW-UHFFFAOYSA-N 7553-56-2 Chemical compound [I] ZCYVEMRRCGMTRW-UHFFFAOYSA-N 0.000 description 1
- 102000007469 Actins Human genes 0.000 description 1
- 108010085238 Actins Proteins 0.000 description 1
- 208000036832 Adenocarcinoma of ovary Diseases 0.000 description 1
- UXCAQJAQSWSNPQ-XLPZGREQSA-N Alovudine Chemical compound O=C1NC(=O)C(C)=CN1[C@@H]1O[C@H](CO)[C@@H](F)C1 UXCAQJAQSWSNPQ-XLPZGREQSA-N 0.000 description 1
- GUBGYTABKSRVRQ-XLOQQCSPSA-N Alpha-Lactose Chemical compound O[C@@H]1[C@@H](O)[C@@H](O)[C@@H](CO)O[C@H]1O[C@@H]1[C@@H](CO)O[C@H](O)[C@H](O)[C@H]1O GUBGYTABKSRVRQ-XLOQQCSPSA-N 0.000 description 1
- 208000024827 Alzheimer disease Diseases 0.000 description 1
- QGZKDVFQNNGYKY-UHFFFAOYSA-O Ammonium Chemical compound [NH4+] QGZKDVFQNNGYKY-UHFFFAOYSA-O 0.000 description 1
- IYMAXBFPHPZYIK-BQBZGAKWSA-N Arg-Gly-Asp Chemical class NC(N)=NCCC[C@H](N)C(=O)NCC(=O)N[C@@H](CC(O)=O)C(O)=O IYMAXBFPHPZYIK-BQBZGAKWSA-N 0.000 description 1
- 241000416162 Astragalus gummifer Species 0.000 description 1
- 238000012935 Averaging Methods 0.000 description 1
- 238000009020 BCA Protein Assay Kit Methods 0.000 description 1
- 108010017384 Blood Proteins Proteins 0.000 description 1
- 102000004506 Blood Proteins Human genes 0.000 description 1
- WKBOTKDWSSQWDR-UHFFFAOYSA-N Bromine atom Chemical compound [Br] WKBOTKDWSSQWDR-UHFFFAOYSA-N 0.000 description 1
- ISMDILRWKSYCOD-GNKBHMEESA-N C(C1=CC=CC=C1)[C@@H]1NC(OCCCCCCCCCCCNC([C@@H](NC(C[C@@H]1O)=O)C(C)C)=O)=O Chemical compound C(C1=CC=CC=C1)[C@@H]1NC(OCCCCCCCCCCCNC([C@@H](NC(C[C@@H]1O)=O)C(C)C)=O)=O ISMDILRWKSYCOD-GNKBHMEESA-N 0.000 description 1
- 0 CN1NN(C=C)C=C1COC[C@](CCC1)N1S(c(cc1C2=O)ccc1N(C*)C2=O)(=O)=O Chemical compound CN1NN(C=C)C=C1COC[C@](CCC1)N1S(c(cc1C2=O)ccc1N(C*)C2=O)(=O)=O 0.000 description 1
- 238000003731 Caspase Glo 3/7 Assay Methods 0.000 description 1
- 102000047934 Caspase-3/7 Human genes 0.000 description 1
- 108700037887 Caspase-3/7 Proteins 0.000 description 1
- ZAMOUSCENKQFHK-UHFFFAOYSA-N Chlorine atom Chemical compound [Cl] ZAMOUSCENKQFHK-UHFFFAOYSA-N 0.000 description 1
- 229940126639 Compound 33 Drugs 0.000 description 1
- 229910017489 Cu I Inorganic materials 0.000 description 1
- 102000000577 Cyclin-Dependent Kinase Inhibitor p27 Human genes 0.000 description 1
- 108010016777 Cyclin-Dependent Kinase Inhibitor p27 Proteins 0.000 description 1
- 102000011724 DNA Repair Enzymes Human genes 0.000 description 1
- 108010076525 DNA Repair Enzymes Proteins 0.000 description 1
- FEWJPZIEWOKRBE-JCYAYHJZSA-N Dextrotartaric acid Chemical compound OC(=O)[C@H](O)[C@@H](O)C(O)=O FEWJPZIEWOKRBE-JCYAYHJZSA-N 0.000 description 1
- IEPRKVQEAMIZSS-WAYWQWQTSA-N Diethyl maleate Chemical compound CCOC(=O)\C=C/C(=O)OCC IEPRKVQEAMIZSS-WAYWQWQTSA-N 0.000 description 1
- 241000792859 Enema Species 0.000 description 1
- 101710134671 Executioner caspase Proteins 0.000 description 1
- 206010015719 Exsanguination Diseases 0.000 description 1
- 230000005526 G1 to G0 transition Effects 0.000 description 1
- 108010010803 Gelatin Proteins 0.000 description 1
- 108010024636 Glutathione Proteins 0.000 description 1
- 241000282412 Homo Species 0.000 description 1
- 101000715398 Homo sapiens Caspase-1 Proteins 0.000 description 1
- 101000793880 Homo sapiens Caspase-3 Proteins 0.000 description 1
- 101000741087 Homo sapiens Caspase-6 Proteins 0.000 description 1
- 101000741014 Homo sapiens Caspase-7 Proteins 0.000 description 1
- 101000983528 Homo sapiens Caspase-8 Proteins 0.000 description 1
- 101000648528 Homo sapiens Transmembrane protein 50A Proteins 0.000 description 1
- 238000006736 Huisgen cycloaddition reaction Methods 0.000 description 1
- DGAQECJNVWCQMB-PUAWFVPOSA-M Ilexoside XXIX Chemical compound C[C@@H]1CC[C@@]2(CC[C@@]3(C(=CC[C@H]4[C@]3(CC[C@@H]5[C@@]4(CC[C@@H](C5(C)C)OS(=O)(=O)[O-])C)C)[C@@H]2[C@]1(C)O)C)C(=O)O[C@H]6[C@@H]([C@H]([C@@H]([C@H](O6)CO)O)O)O.[Na+] DGAQECJNVWCQMB-PUAWFVPOSA-M 0.000 description 1
- CKLJMWTZIZZHCS-REOHCLBHSA-N L-aspartic acid Chemical compound OC(=O)[C@@H](N)CC(O)=O CKLJMWTZIZZHCS-REOHCLBHSA-N 0.000 description 1
- GUBGYTABKSRVRQ-QKKXKWKRSA-N Lactose Natural products OC[C@H]1O[C@@H](O[C@H]2[C@H](O)[C@@H](O)C(O)O[C@@H]2CO)[C@H](O)[C@@H](O)[C@H]1O GUBGYTABKSRVRQ-QKKXKWKRSA-N 0.000 description 1
- 102000006835 Lamins Human genes 0.000 description 1
- 108010047294 Lamins Proteins 0.000 description 1
- 235000010643 Leucaena leucocephala Nutrition 0.000 description 1
- 240000007472 Leucaena leucocephala Species 0.000 description 1
- WHXSMMKQMYFTQS-UHFFFAOYSA-N Lithium Chemical compound [Li] WHXSMMKQMYFTQS-UHFFFAOYSA-N 0.000 description 1
- 206010058467 Lung neoplasm malignant Diseases 0.000 description 1
- 206010025538 Malignant ascites Diseases 0.000 description 1
- 229920000168 Microcrystalline cellulose Polymers 0.000 description 1
- XJLXINKUBYWONI-NNYOXOHSSA-N NADP zwitterion Chemical compound NC(=O)C1=CC=C[N+]([C@H]2[C@@H]([C@H](O)[C@@H](COP([O-])(=O)OP(O)(=O)OC[C@@H]3[C@H]([C@@H](OP(O)(O)=O)[C@@H](O3)N3C4=NC=NC(N)=C4N=C3)O)O2)O)=C1 XJLXINKUBYWONI-NNYOXOHSSA-N 0.000 description 1
- 206010028851 Necrosis Diseases 0.000 description 1
- GRYLNZFGIOXLOG-UHFFFAOYSA-N Nitric acid Chemical compound O[N+]([O-])=O GRYLNZFGIOXLOG-UHFFFAOYSA-N 0.000 description 1
- 235000019502 Orange oil Nutrition 0.000 description 1
- 206010061328 Ovarian epithelial cancer Diseases 0.000 description 1
- 239000004952 Polyamide Substances 0.000 description 1
- 239000004721 Polyphenylene oxide Substances 0.000 description 1
- ZLMJMSJWJFRBEC-UHFFFAOYSA-N Potassium Chemical compound [K] ZLMJMSJWJFRBEC-UHFFFAOYSA-N 0.000 description 1
- 229940123573 Protein synthesis inhibitor Drugs 0.000 description 1
- IWYDHOAUDWTVEP-UHFFFAOYSA-N R-2-phenyl-2-hydroxyacetic acid Natural products OC(=O)C(O)C1=CC=CC=C1 IWYDHOAUDWTVEP-UHFFFAOYSA-N 0.000 description 1
- 239000008156 Ringer's lactate solution Substances 0.000 description 1
- BVEDQVRTGDCOGA-UHFFFAOYSA-B S(=O)(=O)([O-])[O-].S(=O)(=O)([O-])[O-].S(=O)(=O)([O-])[O-].S(=O)(=O)([O-])[O-].S(=O)(=O)([O-])[O-].S(=O)(=O)([O-])[O-].[Cu+2].[Cu+2].[Cu+2].[Cu+2].[Cu+2].[Cu+2] Chemical compound S(=O)(=O)([O-])[O-].S(=O)(=O)([O-])[O-].S(=O)(=O)([O-])[O-].S(=O)(=O)([O-])[O-].S(=O)(=O)([O-])[O-].S(=O)(=O)([O-])[O-].[Cu+2].[Cu+2].[Cu+2].[Cu+2].[Cu+2].[Cu+2] BVEDQVRTGDCOGA-UHFFFAOYSA-B 0.000 description 1
- 229940124639 Selective inhibitor Drugs 0.000 description 1
- BQCADISMDOOEFD-UHFFFAOYSA-N Silver Chemical compound [Ag] BQCADISMDOOEFD-UHFFFAOYSA-N 0.000 description 1
- 229920002472 Starch Polymers 0.000 description 1
- QAOWNCQODCNURD-UHFFFAOYSA-L Sulfate Chemical compound [O-]S([O-])(=O)=O QAOWNCQODCNURD-UHFFFAOYSA-L 0.000 description 1
- FEWJPZIEWOKRBE-UHFFFAOYSA-N Tartaric acid Natural products [H+].[H+].[O-]C(=O)C(O)C(O)C([O-])=O FEWJPZIEWOKRBE-UHFFFAOYSA-N 0.000 description 1
- 229920001615 Tragacanth Polymers 0.000 description 1
- 102100028770 Transmembrane protein 50A Human genes 0.000 description 1
- 102000004243 Tubulin Human genes 0.000 description 1
- 108090000704 Tubulin Proteins 0.000 description 1
- WKMTUSDFNWHAEX-UHFFFAOYSA-N [N].C1=CC=C2C(=O)C(=O)NC2=C1 Chemical compound [N].C1=CC=C2C(=O)C(=O)NC2=C1 WKMTUSDFNWHAEX-UHFFFAOYSA-N 0.000 description 1
- SMNRFWMNPDABKZ-WVALLCKVSA-N [[(2R,3S,4R,5S)-5-(2,6-dioxo-3H-pyridin-3-yl)-3,4-dihydroxyoxolan-2-yl]methoxy-hydroxyphosphoryl] [[[(2R,3S,4S,5R,6R)-4-fluoro-3,5-dihydroxy-6-(hydroxymethyl)oxan-2-yl]oxy-hydroxyphosphoryl]oxy-hydroxyphosphoryl] hydrogen phosphate Chemical compound OC[C@H]1O[C@H](OP(O)(=O)OP(O)(=O)OP(O)(=O)OP(O)(=O)OC[C@H]2O[C@H]([C@H](O)[C@@H]2O)C2C=CC(=O)NC2=O)[C@H](O)[C@@H](F)[C@@H]1O SMNRFWMNPDABKZ-WVALLCKVSA-N 0.000 description 1
- 150000001241 acetals Chemical class 0.000 description 1
- 235000011054 acetic acid Nutrition 0.000 description 1
- 239000002253 acid Substances 0.000 description 1
- 150000007513 acids Chemical class 0.000 description 1
- 230000003213 activating effect Effects 0.000 description 1
- 239000000654 additive Substances 0.000 description 1
- 150000001299 aldehydes Chemical group 0.000 description 1
- 150000001338 aliphatic hydrocarbons Chemical group 0.000 description 1
- 229910052783 alkali metal Inorganic materials 0.000 description 1
- 230000002152 alkylating effect Effects 0.000 description 1
- BJEPYKJPYRNKOW-UHFFFAOYSA-N alpha-hydroxysuccinic acid Natural products OC(=O)C(O)CC(O)=O BJEPYKJPYRNKOW-UHFFFAOYSA-N 0.000 description 1
- 229910052782 aluminium Inorganic materials 0.000 description 1
- XAGFODPZIPBFFR-UHFFFAOYSA-N aluminium Chemical compound [Al] XAGFODPZIPBFFR-UHFFFAOYSA-N 0.000 description 1
- 229910000147 aluminium phosphate Inorganic materials 0.000 description 1
- VZTDIZULWFCMLS-UHFFFAOYSA-N ammonium formate Chemical compound [NH4+].[O-]C=O VZTDIZULWFCMLS-UHFFFAOYSA-N 0.000 description 1
- 239000003708 ampul Substances 0.000 description 1
- 239000012491 analyte Substances 0.000 description 1
- 230000019552 anatomical structure morphogenesis Effects 0.000 description 1
- 230000008485 antagonism Effects 0.000 description 1
- 230000000118 anti-neoplastic effect Effects 0.000 description 1
- 229940034982 antineoplastic agent Drugs 0.000 description 1
- 239000002246 antineoplastic agent Substances 0.000 description 1
- 239000003963 antioxidant agent Substances 0.000 description 1
- 235000006708 antioxidants Nutrition 0.000 description 1
- 230000005775 apoptotic pathway Effects 0.000 description 1
- 239000008365 aqueous carrier Substances 0.000 description 1
- 239000008346 aqueous phase Substances 0.000 description 1
- 239000003125 aqueous solvent Substances 0.000 description 1
- 229940072107 ascorbate Drugs 0.000 description 1
- 229940009098 aspartate Drugs 0.000 description 1
- CKLJMWTZIZZHCS-REOHCLBHSA-L aspartate group Chemical group N[C@@H](CC(=O)[O-])C(=O)[O-] CKLJMWTZIZZHCS-REOHCLBHSA-L 0.000 description 1
- 239000012298 atmosphere Substances 0.000 description 1
- 238000010462 azide-alkyne Huisgen cycloaddition reaction Methods 0.000 description 1
- 239000002585 base Substances 0.000 description 1
- 150000007514 bases Chemical class 0.000 description 1
- 230000008901 benefit Effects 0.000 description 1
- SRSXLGNVWSONIS-UHFFFAOYSA-N benzenesulfonic acid Chemical compound OS(=O)(=O)C1=CC=CC=C1 SRSXLGNVWSONIS-UHFFFAOYSA-N 0.000 description 1
- 229940092714 benzenesulfonic acid Drugs 0.000 description 1
- 230000000975 bioactive effect Effects 0.000 description 1
- 230000004071 biological effect Effects 0.000 description 1
- 125000000319 biphenyl-4-yl group Chemical group [H]C1=C([H])C([H])=C([H])C([H])=C1C1=C([H])C([H])=C([*])C([H])=C1[H] 0.000 description 1
- 230000037396 body weight Effects 0.000 description 1
- 210000005013 brain tissue Anatomy 0.000 description 1
- SXDBWCPKPHAZSM-UHFFFAOYSA-N bromic acid Chemical compound OBr(=O)=O SXDBWCPKPHAZSM-UHFFFAOYSA-N 0.000 description 1
- GDTBXPJZTBHREO-UHFFFAOYSA-N bromine Substances BrBr GDTBXPJZTBHREO-UHFFFAOYSA-N 0.000 description 1
- 229910052794 bromium Inorganic materials 0.000 description 1
- 239000007853 buffer solution Substances 0.000 description 1
- 125000000484 butyl group Chemical group [H]C([*])([H])C([H])([H])C([H])([H])C([H])([H])[H] 0.000 description 1
- BMLSTPRTEKLIPM-UHFFFAOYSA-I calcium;potassium;disodium;hydrogen carbonate;dichloride;dihydroxide;hydrate Chemical compound O.[OH-].[OH-].[Na+].[Na+].[Cl-].[Cl-].[K+].[Ca+2].OC([O-])=O BMLSTPRTEKLIPM-UHFFFAOYSA-I 0.000 description 1
- ZEWYCNBZMPELPF-UHFFFAOYSA-J calcium;potassium;sodium;2-hydroxypropanoic acid;sodium;tetrachloride Chemical compound [Na].[Na+].[Cl-].[Cl-].[Cl-].[Cl-].[K+].[Ca+2].CC(O)C(O)=O ZEWYCNBZMPELPF-UHFFFAOYSA-J 0.000 description 1
- OKTJSMMVPCPJKN-BJUDXGSMSA-N carbon-11 Chemical compound [11C] OKTJSMMVPCPJKN-BJUDXGSMSA-N 0.000 description 1
- 150000007942 carboxylates Chemical class 0.000 description 1
- 125000002843 carboxylic acid group Chemical group 0.000 description 1
- 238000012754 cardiac puncture Methods 0.000 description 1
- 230000022131 cell cycle Effects 0.000 description 1
- 230000030833 cell death Effects 0.000 description 1
- 230000010261 cell growth Effects 0.000 description 1
- 210000000170 cell membrane Anatomy 0.000 description 1
- 235000010980 cellulose Nutrition 0.000 description 1
- 229920002678 cellulose Polymers 0.000 description 1
- 238000005119 centrifugation Methods 0.000 description 1
- 238000012512 characterization method Methods 0.000 description 1
- 238000002512 chemotherapy Methods 0.000 description 1
- 229910052801 chlorine Inorganic materials 0.000 description 1
- 235000015165 citric acid Nutrition 0.000 description 1
- 239000011248 coating agent Substances 0.000 description 1
- 238000000576 coating method Methods 0.000 description 1
- 229940110456 cocoa butter Drugs 0.000 description 1
- 235000019868 cocoa butter Nutrition 0.000 description 1
- 239000003086 colorant Substances 0.000 description 1
- 238000004440 column chromatography Methods 0.000 description 1
- 229940125810 compound 20 Drugs 0.000 description 1
- 229940125877 compound 31 Drugs 0.000 description 1
- 238000003271 compound fluorescence assay Methods 0.000 description 1
- 238000012790 confirmation Methods 0.000 description 1
- 238000007796 conventional method Methods 0.000 description 1
- 229910000366 copper(II) sulfate Inorganic materials 0.000 description 1
- 238000012937 correction Methods 0.000 description 1
- 229960000956 coumarin Drugs 0.000 description 1
- 235000001671 coumarin Nutrition 0.000 description 1
- 230000008878 coupling Effects 0.000 description 1
- 238000010168 coupling process Methods 0.000 description 1
- 238000005859 coupling reaction Methods 0.000 description 1
- 239000013078 crystal Substances 0.000 description 1
- 125000000151 cysteine group Chemical group N[C@@H](CS)C(=O)* 0.000 description 1
- 229940127089 cytotoxic agent Drugs 0.000 description 1
- 230000003247 decreasing effect Effects 0.000 description 1
- 238000006115 defluorination reaction Methods 0.000 description 1
- 238000007324 demetalation reaction Methods 0.000 description 1
- 238000010511 deprotection reaction Methods 0.000 description 1
- 238000013461 design Methods 0.000 description 1
- 230000001066 destructive effect Effects 0.000 description 1
- 238000011161 development Methods 0.000 description 1
- 230000018109 developmental process Effects 0.000 description 1
- QVZDOKNWDIGOII-UHFFFAOYSA-N diazonio(4-fluorobutyl)azanide Chemical compound FCCCCN=[N+]=[N-] QVZDOKNWDIGOII-UHFFFAOYSA-N 0.000 description 1
- VILAVOFMIJHSJA-UHFFFAOYSA-N dicarbon monoxide Chemical compound [C]=C=O VILAVOFMIJHSJA-UHFFFAOYSA-N 0.000 description 1
- 125000004989 dicarbonyl group Chemical group 0.000 description 1
- 125000004177 diethyl group Chemical group [H]C([H])([H])C([H])([H])* 0.000 description 1
- 238000009792 diffusion process Methods 0.000 description 1
- YWEUIGNSBFLMFL-UHFFFAOYSA-N diphosphonate Chemical compound O=P(=O)OP(=O)=O YWEUIGNSBFLMFL-UHFFFAOYSA-N 0.000 description 1
- LOKCTEFSRHRXRJ-UHFFFAOYSA-I dipotassium trisodium dihydrogen phosphate hydrogen phosphate dichloride Chemical compound P(=O)(O)(O)[O-].[K+].P(=O)(O)([O-])[O-].[Na+].[Na+].[Cl-].[K+].[Cl-].[Na+] LOKCTEFSRHRXRJ-UHFFFAOYSA-I 0.000 description 1
- 208000037765 diseases and disorders Diseases 0.000 description 1
- 239000006185 dispersion Substances 0.000 description 1
- 238000010494 dissociation reaction Methods 0.000 description 1
- 230000005593 dissociations Effects 0.000 description 1
- 239000003534 dna topoisomerase inhibitor Substances 0.000 description 1
- 239000006196 drop Substances 0.000 description 1
- 238000000132 electrospray ionisation Methods 0.000 description 1
- 238000010828 elution Methods 0.000 description 1
- 239000000839 emulsion Substances 0.000 description 1
- 238000005538 encapsulation Methods 0.000 description 1
- 239000007920 enema Substances 0.000 description 1
- 229940095399 enema Drugs 0.000 description 1
- 238000005516 engineering process Methods 0.000 description 1
- 238000001952 enzyme assay Methods 0.000 description 1
- 229940125532 enzyme inhibitor Drugs 0.000 description 1
- 239000002532 enzyme inhibitor Substances 0.000 description 1
- 150000002148 esters Chemical class 0.000 description 1
- 125000001033 ether group Chemical group 0.000 description 1
- 125000001495 ethyl group Chemical group [H]C([H])([H])C([H])([H])* 0.000 description 1
- 238000011156 evaluation Methods 0.000 description 1
- 230000005284 excitation Effects 0.000 description 1
- 230000006832 extrinsic signaling Effects 0.000 description 1
- 210000003608 fece Anatomy 0.000 description 1
- 239000012091 fetal bovine serum Substances 0.000 description 1
- 239000012894 fetal calf serum Substances 0.000 description 1
- 238000001914 filtration Methods 0.000 description 1
- 239000000796 flavoring agent Substances 0.000 description 1
- 235000019634 flavors Nutrition 0.000 description 1
- KRHYYFGTRYWZRS-BJUDXGSMSA-M fluorine-18(1-) Chemical compound [18F-] KRHYYFGTRYWZRS-BJUDXGSMSA-M 0.000 description 1
- 125000004216 fluoromethyl group Chemical group [H]C([H])(F)* 0.000 description 1
- 239000006260 foam Substances 0.000 description 1
- 235000019253 formic acid Nutrition 0.000 description 1
- 239000012634 fragment Substances 0.000 description 1
- 239000001530 fumaric acid Substances 0.000 description 1
- 235000011087 fumaric acid Nutrition 0.000 description 1
- 210000001035 gastrointestinal tract Anatomy 0.000 description 1
- 239000008273 gelatin Substances 0.000 description 1
- 229920000159 gelatin Polymers 0.000 description 1
- 235000019322 gelatine Nutrition 0.000 description 1
- 235000011852 gelatine desserts Nutrition 0.000 description 1
- 238000002695 general anesthesia Methods 0.000 description 1
- 229960003180 glutathione Drugs 0.000 description 1
- PCHJSUWPFVWCPO-UHFFFAOYSA-N gold Chemical compound [Au] PCHJSUWPFVWCPO-UHFFFAOYSA-N 0.000 description 1
- 229910052737 gold Inorganic materials 0.000 description 1
- 239000010931 gold Substances 0.000 description 1
- 239000008187 granular material Substances 0.000 description 1
- JAXFJECJQZDFJS-XHEPKHHKSA-N gtpl8555 Chemical compound OC(=O)C[C@H](N)C(=O)N[C@@H](CCC(O)=O)C(=O)N[C@@H](C(C)C)C(=O)N[C@@H](C(C)C)C(=O)N1CCC[C@@H]1C(=O)N[C@H](B1O[C@@]2(C)[C@H]3C[C@H](C3(C)C)C[C@H]2O1)CCC1=CC=C(F)C=C1 JAXFJECJQZDFJS-XHEPKHHKSA-N 0.000 description 1
- 210000005003 heart tissue Anatomy 0.000 description 1
- 238000010438 heat treatment Methods 0.000 description 1
- 125000001072 heteroaryl group Chemical group 0.000 description 1
- 125000005842 heteroatom Chemical group 0.000 description 1
- 125000000623 heterocyclic group Chemical group 0.000 description 1
- 125000004356 hydroxy functional group Chemical group O* 0.000 description 1
- 238000009169 immunotherapy Methods 0.000 description 1
- 238000011065 in-situ storage Methods 0.000 description 1
- 230000002779 inactivation Effects 0.000 description 1
- 230000006698 induction Effects 0.000 description 1
- 238000001802 infusion Methods 0.000 description 1
- 239000003999 initiator Substances 0.000 description 1
- 150000007529 inorganic bases Chemical class 0.000 description 1
- 238000012905 input function Methods 0.000 description 1
- 102000006495 integrins Human genes 0.000 description 1
- 108010044426 integrins Proteins 0.000 description 1
- 238000007913 intrathecal administration Methods 0.000 description 1
- 230000006831 intrinsic signaling Effects 0.000 description 1
- 238000011835 investigation Methods 0.000 description 1
- 239000011630 iodine Substances 0.000 description 1
- 229910052740 iodine Inorganic materials 0.000 description 1
- INQOMBQAUSQDDS-BJUDXGSMSA-N iodomethane Chemical compound I[11CH3] INQOMBQAUSQDDS-BJUDXGSMSA-N 0.000 description 1
- 230000002427 irreversible effect Effects 0.000 description 1
- 125000000959 isobutyl group Chemical group [H]C([H])([H])C([H])(C([H])([H])[H])C([H])([H])* 0.000 description 1
- 125000001449 isopropyl group Chemical group [H]C([H])([H])C([H])(*)C([H])([H])[H] 0.000 description 1
- 150000002576 ketones Chemical group 0.000 description 1
- 239000004310 lactic acid Substances 0.000 description 1
- 235000014655 lactic acid Nutrition 0.000 description 1
- 239000008101 lactose Substances 0.000 description 1
- 210000005053 lamin Anatomy 0.000 description 1
- 150000002611 lead compounds Chemical class 0.000 description 1
- 239000003446 ligand Substances 0.000 description 1
- 239000012669 liquid formulation Substances 0.000 description 1
- 229910052744 lithium Inorganic materials 0.000 description 1
- 229940040511 liver extract Drugs 0.000 description 1
- 238000011068 loading method Methods 0.000 description 1
- 201000005202 lung cancer Diseases 0.000 description 1
- 208000020816 lung neoplasm Diseases 0.000 description 1
- 230000001926 lymphatic effect Effects 0.000 description 1
- 235000019359 magnesium stearate Nutrition 0.000 description 1
- VZCYOOQTPOCHFL-UPHRSURJSA-N maleic acid Chemical compound OC(=O)\C=C/C(O)=O VZCYOOQTPOCHFL-UPHRSURJSA-N 0.000 description 1
- 239000011976 maleic acid Substances 0.000 description 1
- 239000001630 malic acid Substances 0.000 description 1
- 235000011090 malic acid Nutrition 0.000 description 1
- 229960002510 mandelic acid Drugs 0.000 description 1
- 238000001819 mass spectrum Methods 0.000 description 1
- 108010082117 matrigel Proteins 0.000 description 1
- 230000007246 mechanism Effects 0.000 description 1
- 239000012528 membrane Substances 0.000 description 1
- 230000037323 metabolic rate Effects 0.000 description 1
- 229910052751 metal Inorganic materials 0.000 description 1
- 239000002184 metal Substances 0.000 description 1
- 230000001394 metastastic effect Effects 0.000 description 1
- 206010061289 metastatic neoplasm Diseases 0.000 description 1
- 229940098779 methanesulfonic acid Drugs 0.000 description 1
- 238000004452 microanalysis Methods 0.000 description 1
- 235000019813 microcrystalline cellulose Nutrition 0.000 description 1
- 239000008108 microcrystalline cellulose Substances 0.000 description 1
- 229940016286 microcrystalline cellulose Drugs 0.000 description 1
- 239000002480 mineral oil Substances 0.000 description 1
- 235000010446 mineral oil Nutrition 0.000 description 1
- 150000007522 mineralic acids Chemical class 0.000 description 1
- 210000003470 mitochondria Anatomy 0.000 description 1
- 238000012986 modification Methods 0.000 description 1
- 230000004048 modification Effects 0.000 description 1
- 125000004108 n-butyl group Chemical group [H]C([H])([H])C([H])([H])C([H])([H])C([H])([H])* 0.000 description 1
- 125000004123 n-propyl group Chemical group [H]C([H])([H])C([H])([H])C([H])([H])* 0.000 description 1
- PSZYNBSKGUBXEH-UHFFFAOYSA-N naphthalene-1-sulfonic acid Chemical compound C1=CC=C2C(S(=O)(=O)O)=CC=CC2=C1 PSZYNBSKGUBXEH-UHFFFAOYSA-N 0.000 description 1
- 230000017074 necrotic cell death Effects 0.000 description 1
- 239000002547 new drug Substances 0.000 description 1
- 229910017604 nitric acid Inorganic materials 0.000 description 1
- 125000000449 nitro group Chemical group [O-][N+](*)=O 0.000 description 1
- 239000012299 nitrogen atmosphere Substances 0.000 description 1
- 125000004433 nitrogen atom Chemical group N* 0.000 description 1
- QJGQUHMNIGDVPM-UHFFFAOYSA-N nitrogen group Chemical group [N] QJGQUHMNIGDVPM-UHFFFAOYSA-N 0.000 description 1
- 238000002414 normal-phase solid-phase extraction Methods 0.000 description 1
- 230000000269 nucleophilic effect Effects 0.000 description 1
- 210000004940 nucleus Anatomy 0.000 description 1
- 239000002674 ointment Substances 0.000 description 1
- 238000011275 oncology therapy Methods 0.000 description 1
- 230000003287 optical effect Effects 0.000 description 1
- 238000005457 optimization Methods 0.000 description 1
- 239000010502 orange oil Substances 0.000 description 1
- 210000000056 organ Anatomy 0.000 description 1
- 150000007524 organic acids Chemical class 0.000 description 1
- 150000007530 organic bases Chemical class 0.000 description 1
- 208000013371 ovarian adenocarcinoma Diseases 0.000 description 1
- 201000006588 ovary adenocarcinoma Diseases 0.000 description 1
- 125000004430 oxygen atom Chemical group O* 0.000 description 1
- 230000001936 parietal effect Effects 0.000 description 1
- 235000010603 pastilles Nutrition 0.000 description 1
- 150000004686 pentahydrates Chemical class 0.000 description 1
- 230000035699 permeability Effects 0.000 description 1
- 239000003208 petroleum Substances 0.000 description 1
- 239000008363 phosphate buffer Substances 0.000 description 1
- 150000003904 phospholipids Chemical class 0.000 description 1
- DLYUQMMRRRQYAE-UHFFFAOYSA-N phosphorus pentoxide Inorganic materials O1P(O2)(=O)OP3(=O)OP1(=O)OP2(=O)O3 DLYUQMMRRRQYAE-UHFFFAOYSA-N 0.000 description 1
- 230000035479 physiological effects, processes and functions Effects 0.000 description 1
- 230000035790 physiological processes and functions Effects 0.000 description 1
- 229910052697 platinum Inorganic materials 0.000 description 1
- 229920002647 polyamide Polymers 0.000 description 1
- 229920000570 polyether Polymers 0.000 description 1
- 229910052700 potassium Inorganic materials 0.000 description 1
- 239000011591 potassium Substances 0.000 description 1
- 239000002244 precipitate Substances 0.000 description 1
- 125000002924 primary amino group Chemical group [H]N([H])* 0.000 description 1
- 229960003857 proglumide Drugs 0.000 description 1
- 239000003380 propellant Substances 0.000 description 1
- 235000019260 propionic acid Nutrition 0.000 description 1
- 239000000007 protein synthesis inhibitor Substances 0.000 description 1
- 238000000425 proton nuclear magnetic resonance spectrum Methods 0.000 description 1
- CRTBNOWPBHJICM-UHFFFAOYSA-N pyrazine Chemical compound C1=CN=CC=N1.C1=CN=CC=N1 CRTBNOWPBHJICM-UHFFFAOYSA-N 0.000 description 1
- GNGHGFVFONSDEL-UHFFFAOYSA-N pyrazine;pyridazine Chemical compound C1=CC=NN=C1.C1=CN=CC=N1 GNGHGFVFONSDEL-UHFFFAOYSA-N 0.000 description 1
- YMXFJTUQQVLJEN-UHFFFAOYSA-N pyrimidine Chemical compound C1=CN=CN=C1.C1=CN=CN=C1 YMXFJTUQQVLJEN-UHFFFAOYSA-N 0.000 description 1
- NYCVCXMSZNOGDH-UHFFFAOYSA-N pyrrolidine-1-carboxylic acid Chemical compound OC(=O)N1CCCC1 NYCVCXMSZNOGDH-UHFFFAOYSA-N 0.000 description 1
- LPPOVVJDAVMOET-UHFFFAOYSA-N pyrrolidine-1-sulfonamide Chemical group NS(=O)(=O)N1CCCC1 LPPOVVJDAVMOET-UHFFFAOYSA-N 0.000 description 1
- IUVKMZGDUIUOCP-BTNSXGMBSA-N quinbolone Chemical compound O([C@H]1CC[C@H]2[C@H]3[C@@H]([C@]4(C=CC(=O)C=C4CC3)C)CC[C@@]21C)C1=CCCC1 IUVKMZGDUIUOCP-BTNSXGMBSA-N 0.000 description 1
- 239000002287 radioligand Substances 0.000 description 1
- 238000001959 radiotherapy Methods 0.000 description 1
- 239000011535 reaction buffer Substances 0.000 description 1
- 230000009257 reactivity Effects 0.000 description 1
- 230000000306 recurrent effect Effects 0.000 description 1
- 208000016691 refractory malignant neoplasm Diseases 0.000 description 1
- 230000025915 regulation of apoptotic process Effects 0.000 description 1
- 239000013557 residual solvent Substances 0.000 description 1
- 239000001022 rhodamine dye Substances 0.000 description 1
- 238000007363 ring formation reaction Methods 0.000 description 1
- 238000003345 scintillation counting Methods 0.000 description 1
- 125000002914 sec-butyl group Chemical group [H]C([H])([H])C([H])([H])C([H])(*)C([H])([H])[H] 0.000 description 1
- 238000000926 separation method Methods 0.000 description 1
- 238000007493 shaping process Methods 0.000 description 1
- 102000034285 signal transducing proteins Human genes 0.000 description 1
- 108091006024 signal transducing proteins Proteins 0.000 description 1
- 150000004760 silicates Chemical class 0.000 description 1
- 229910052709 silver Inorganic materials 0.000 description 1
- 239000004332 silver Substances 0.000 description 1
- 229910052708 sodium Inorganic materials 0.000 description 1
- 239000008354 sodium chloride injection Substances 0.000 description 1
- 235000009518 sodium iodide Nutrition 0.000 description 1
- PVGBHEUCHKGFQP-UHFFFAOYSA-N sodium;n-[5-amino-2-(4-aminophenyl)sulfonylphenyl]sulfonylacetamide Chemical compound [Na+].CC(=O)NS(=O)(=O)C1=CC(N)=CC=C1S(=O)(=O)C1=CC=C(N)C=C1 PVGBHEUCHKGFQP-UHFFFAOYSA-N 0.000 description 1
- 238000000638 solvent extraction Methods 0.000 description 1
- 125000006850 spacer group Chemical group 0.000 description 1
- 241000894007 species Species 0.000 description 1
- 230000003595 spectral effect Effects 0.000 description 1
- 238000001228 spectrum Methods 0.000 description 1
- 239000003381 stabilizer Substances 0.000 description 1
- 235000019698 starch Nutrition 0.000 description 1
- 239000008107 starch Substances 0.000 description 1
- 239000012258 stirred mixture Substances 0.000 description 1
- 235000000346 sugar Nutrition 0.000 description 1
- 150000008163 sugars Chemical class 0.000 description 1
- SEEPANYCNGTZFQ-UHFFFAOYSA-N sulfadiazine Chemical compound C1=CC(N)=CC=C1S(=O)(=O)NC1=NC=CC=N1 SEEPANYCNGTZFQ-UHFFFAOYSA-N 0.000 description 1
- 125000000020 sulfo group Chemical group O=S(=O)([*])O[H] 0.000 description 1
- 150000003871 sulfonates Chemical class 0.000 description 1
- 239000006228 supernatant Substances 0.000 description 1
- 239000000375 suspending agent Substances 0.000 description 1
- 239000006188 syrup Substances 0.000 description 1
- 235000020357 syrup Nutrition 0.000 description 1
- 239000011975 tartaric acid Substances 0.000 description 1
- 235000002906 tartaric acid Nutrition 0.000 description 1
- RJWPQSXRDPYTPZ-NSHDSACASA-N tert-butyl (2s)-2-(prop-2-ynoxymethyl)pyrrolidine-1-carboxylate Chemical compound CC(C)(C)OC(=O)N1CCC[C@H]1COCC#C RJWPQSXRDPYTPZ-NSHDSACASA-N 0.000 description 1
- 150000003573 thiols Chemical class 0.000 description 1
- 230000036962 time dependent Effects 0.000 description 1
- 229940044693 topoisomerase inhibitor Drugs 0.000 description 1
- 231100000820 toxicity test Toxicity 0.000 description 1
- 239000000196 tragacanth Substances 0.000 description 1
- 235000010487 tragacanth Nutrition 0.000 description 1
- 229940116362 tragacanth Drugs 0.000 description 1
- FIQMHBFVRAXMOP-UHFFFAOYSA-N triphenylphosphane oxide Chemical compound C=1C=CC=CC=1P(C=1C=CC=CC=1)(=O)C1=CC=CC=C1 FIQMHBFVRAXMOP-UHFFFAOYSA-N 0.000 description 1
- 238000005406 washing Methods 0.000 description 1
- 229910052727 yttrium Inorganic materials 0.000 description 1
Images
Classifications
-
- C—CHEMISTRY; METALLURGY
- C07—ORGANIC CHEMISTRY
- C07D—HETEROCYCLIC COMPOUNDS
- C07D403/00—Heterocyclic compounds containing two or more hetero rings, having nitrogen atoms as the only ring hetero atoms, not provided for by group C07D401/00
- C07D403/02—Heterocyclic compounds containing two or more hetero rings, having nitrogen atoms as the only ring hetero atoms, not provided for by group C07D401/00 containing two hetero rings
- C07D403/12—Heterocyclic compounds containing two or more hetero rings, having nitrogen atoms as the only ring hetero atoms, not provided for by group C07D401/00 containing two hetero rings linked by a chain containing hetero atoms as chain links
-
- A—HUMAN NECESSITIES
- A61—MEDICAL OR VETERINARY SCIENCE; HYGIENE
- A61K—PREPARATIONS FOR MEDICAL, DENTAL OR TOILETRY PURPOSES
- A61K31/00—Medicinal preparations containing organic active ingredients
- A61K31/33—Heterocyclic compounds
- A61K31/395—Heterocyclic compounds having nitrogen as a ring hetero atom, e.g. guanethidine or rifamycins
- A61K31/40—Heterocyclic compounds having nitrogen as a ring hetero atom, e.g. guanethidine or rifamycins having five-membered rings with one nitrogen as the only ring hetero atom, e.g. sulpiride, succinimide, tolmetin, buflomedil
- A61K31/403—Heterocyclic compounds having nitrogen as a ring hetero atom, e.g. guanethidine or rifamycins having five-membered rings with one nitrogen as the only ring hetero atom, e.g. sulpiride, succinimide, tolmetin, buflomedil condensed with carbocyclic rings, e.g. carbazole
- A61K31/404—Indoles, e.g. pindolol
-
- A—HUMAN NECESSITIES
- A61—MEDICAL OR VETERINARY SCIENCE; HYGIENE
- A61K—PREPARATIONS FOR MEDICAL, DENTAL OR TOILETRY PURPOSES
- A61K51/00—Preparations containing radioactive substances for use in therapy or testing in vivo
- A61K51/02—Preparations containing radioactive substances for use in therapy or testing in vivo characterised by the carrier, i.e. characterised by the agent or material covalently linked or complexing the radioactive nucleus
- A61K51/04—Organic compounds
-
- A—HUMAN NECESSITIES
- A61—MEDICAL OR VETERINARY SCIENCE; HYGIENE
- A61P—SPECIFIC THERAPEUTIC ACTIVITY OF CHEMICAL COMPOUNDS OR MEDICINAL PREPARATIONS
- A61P1/00—Drugs for disorders of the alimentary tract or the digestive system
- A61P1/16—Drugs for disorders of the alimentary tract or the digestive system for liver or gallbladder disorders, e.g. hepatoprotective agents, cholagogues, litholytics
-
- A—HUMAN NECESSITIES
- A61—MEDICAL OR VETERINARY SCIENCE; HYGIENE
- A61P—SPECIFIC THERAPEUTIC ACTIVITY OF CHEMICAL COMPOUNDS OR MEDICINAL PREPARATIONS
- A61P19/00—Drugs for skeletal disorders
- A61P19/02—Drugs for skeletal disorders for joint disorders, e.g. arthritis, arthrosis
-
- A—HUMAN NECESSITIES
- A61—MEDICAL OR VETERINARY SCIENCE; HYGIENE
- A61P—SPECIFIC THERAPEUTIC ACTIVITY OF CHEMICAL COMPOUNDS OR MEDICINAL PREPARATIONS
- A61P25/00—Drugs for disorders of the nervous system
- A61P25/28—Drugs for disorders of the nervous system for treating neurodegenerative disorders of the central nervous system, e.g. nootropic agents, cognition enhancers, drugs for treating Alzheimer's disease or other forms of dementia
-
- A—HUMAN NECESSITIES
- A61—MEDICAL OR VETERINARY SCIENCE; HYGIENE
- A61P—SPECIFIC THERAPEUTIC ACTIVITY OF CHEMICAL COMPOUNDS OR MEDICINAL PREPARATIONS
- A61P37/00—Drugs for immunological or allergic disorders
- A61P37/02—Immunomodulators
- A61P37/06—Immunosuppressants, e.g. drugs for graft rejection
-
- A—HUMAN NECESSITIES
- A61—MEDICAL OR VETERINARY SCIENCE; HYGIENE
- A61P—SPECIFIC THERAPEUTIC ACTIVITY OF CHEMICAL COMPOUNDS OR MEDICINAL PREPARATIONS
- A61P43/00—Drugs for specific purposes, not provided for in groups A61P1/00-A61P41/00
-
- A—HUMAN NECESSITIES
- A61—MEDICAL OR VETERINARY SCIENCE; HYGIENE
- A61P—SPECIFIC THERAPEUTIC ACTIVITY OF CHEMICAL COMPOUNDS OR MEDICINAL PREPARATIONS
- A61P7/00—Drugs for disorders of the blood or the extracellular fluid
-
- A—HUMAN NECESSITIES
- A61—MEDICAL OR VETERINARY SCIENCE; HYGIENE
- A61P—SPECIFIC THERAPEUTIC ACTIVITY OF CHEMICAL COMPOUNDS OR MEDICINAL PREPARATIONS
- A61P9/00—Drugs for disorders of the cardiovascular system
- A61P9/10—Drugs for disorders of the cardiovascular system for treating ischaemic or atherosclerotic diseases, e.g. antianginal drugs, coronary vasodilators, drugs for myocardial infarction, retinopathy, cerebrovascula insufficiency, renal arteriosclerosis
-
- C—CHEMISTRY; METALLURGY
- C07—ORGANIC CHEMISTRY
- C07D—HETEROCYCLIC COMPOUNDS
- C07D403/00—Heterocyclic compounds containing two or more hetero rings, having nitrogen atoms as the only ring hetero atoms, not provided for by group C07D401/00
- C07D403/14—Heterocyclic compounds containing two or more hetero rings, having nitrogen atoms as the only ring hetero atoms, not provided for by group C07D401/00 containing three or more hetero rings
-
- C—CHEMISTRY; METALLURGY
- C07—ORGANIC CHEMISTRY
- C07D—HETEROCYCLIC COMPOUNDS
- C07D405/00—Heterocyclic compounds containing both one or more hetero rings having oxygen atoms as the only ring hetero atoms, and one or more rings having nitrogen as the only ring hetero atom
- C07D405/14—Heterocyclic compounds containing both one or more hetero rings having oxygen atoms as the only ring hetero atoms, and one or more rings having nitrogen as the only ring hetero atom containing three or more hetero rings
Landscapes
- Health & Medical Sciences (AREA)
- Chemical & Material Sciences (AREA)
- Organic Chemistry (AREA)
- Engineering & Computer Science (AREA)
- Bioinformatics & Cheminformatics (AREA)
- Life Sciences & Earth Sciences (AREA)
- Animal Behavior & Ethology (AREA)
- Pharmacology & Pharmacy (AREA)
- Veterinary Medicine (AREA)
- Public Health (AREA)
- Medicinal Chemistry (AREA)
- General Health & Medical Sciences (AREA)
- Nuclear Medicine, Radiotherapy & Molecular Imaging (AREA)
- General Chemical & Material Sciences (AREA)
- Chemical Kinetics & Catalysis (AREA)
- Immunology (AREA)
- Neurology (AREA)
- Biomedical Technology (AREA)
- Neurosurgery (AREA)
- Epidemiology (AREA)
- Transplantation (AREA)
- Orthopedic Medicine & Surgery (AREA)
- Hematology (AREA)
- Heart & Thoracic Surgery (AREA)
- Hospice & Palliative Care (AREA)
- Cardiology (AREA)
- Vascular Medicine (AREA)
- Psychiatry (AREA)
- Gastroenterology & Hepatology (AREA)
- Diabetes (AREA)
- Rheumatology (AREA)
- Physical Education & Sports Medicine (AREA)
- Urology & Nephrology (AREA)
- Proteomics, Peptides & Aminoacids (AREA)
- Physics & Mathematics (AREA)
- Optics & Photonics (AREA)
- Medicines Containing Antibodies Or Antigens For Use As Internal Diagnostic Agents (AREA)
- Pharmaceuticals Containing Other Organic And Inorganic Compounds (AREA)
- Nitrogen Condensed Heterocyclic Rings (AREA)
- Plural Heterocyclic Compounds (AREA)
Applications Claiming Priority (4)
| Application Number | Priority Date | Filing Date | Title |
|---|---|---|---|
| GB0816294.3 | 2008-09-05 | ||
| GB0816294A GB0816294D0 (en) | 2008-09-05 | 2008-09-05 | Compounds |
| GB0818076.2 | 2008-10-02 | ||
| GB0818076A GB0818076D0 (en) | 2008-10-02 | 2008-10-02 | Compounds |
Publications (1)
| Publication Number | Publication Date |
|---|---|
| KR20110066927A true KR20110066927A (ko) | 2011-06-17 |
Family
ID=41181051
Family Applications (1)
| Application Number | Title | Priority Date | Filing Date |
|---|---|---|---|
| KR1020117007647A Ceased KR20110066927A (ko) | 2008-09-05 | 2009-09-04 | 생체 내 영상화제로서 사용하기 위한 이사틴 유도체 |
Country Status (10)
| Country | Link |
|---|---|
| US (1) | US8961930B2 (enExample) |
| EP (1) | EP2367816B1 (enExample) |
| JP (1) | JP5667056B2 (enExample) |
| KR (1) | KR20110066927A (enExample) |
| CN (1) | CN102171208A (enExample) |
| AU (1) | AU2009289062B2 (enExample) |
| CA (1) | CA2735970A1 (enExample) |
| MX (1) | MX2011002498A (enExample) |
| RU (1) | RU2535975C2 (enExample) |
| WO (1) | WO2010026388A1 (enExample) |
Families Citing this family (5)
| Publication number | Priority date | Publication date | Assignee | Title |
|---|---|---|---|---|
| CA2828810A1 (en) | 2011-03-01 | 2012-09-07 | Ge Healthcare Limited | Radiolabelled octreotate analogues as pet tracers |
| GB201121911D0 (en) | 2011-12-20 | 2012-02-01 | Ge Healthcare Ltd | Radiofluorination method |
| CN103183631B (zh) * | 2011-12-28 | 2016-08-24 | 天津市国际生物医药联合研究院 | 靛红-5-磺酰胺类衍生物及其在制备治疗非典型性肺炎的药物中的应用 |
| EP3456718B1 (en) * | 2016-05-10 | 2021-02-17 | Fundaçâo Oswaldo Cruz | Isatin-derived compounds, use of the compounds for the treatment of aids and hbv infections |
| CN115171929B (zh) * | 2021-04-01 | 2024-07-16 | 中核核电运行管理有限公司 | 重水堆机组给水支管与燃料通道小间隙问题处理的方法 |
Family Cites Families (10)
| Publication number | Priority date | Publication date | Assignee | Title |
|---|---|---|---|---|
| GB1240648A (en) | 1967-08-16 | 1971-07-28 | Wyeth John & Brother Ltd | N-substituted isatins |
| AR016384A1 (es) | 1997-07-30 | 2001-07-04 | Smithkline Beecham Corp | Inhibidores de caspasas, composiciones farmaceuticas que comprenden dichos inhibidores de caspasas y uso de los inhibidores de caspasas para prepararun medicamento util para el tratamiento de apoptosis y desordenes asociados con excesiva actividad de la convertosa il-1 beta. |
| AU7625500A (en) | 1999-09-30 | 2001-04-30 | Smithkline Beecham Corporation | Caspases and apoptosis |
| PT1255752E (pt) * | 2000-02-15 | 2007-10-17 | Pharmacia & Upjohn Co Llc | Inibidores de proteína quinases: 2-indolinonas substituídas com pirrolo |
| RU2259999C2 (ru) * | 2003-08-26 | 2005-09-10 | ООО "Исследовательский институт химического разнообразия" | 1-сульфонил-1,3-дигидроиндол-2-оны, фармацевтические композиции (варианты), способ их получения и применения |
| GB0327494D0 (en) | 2003-11-26 | 2003-12-31 | Amersham Plc | Novel imaging agents |
| US7270799B2 (en) | 2004-01-15 | 2007-09-18 | Nst Neurosurvival Technologies Ltd. | Perturbed membrane-binding compounds and methods of using the same |
| US7256198B2 (en) * | 2004-02-18 | 2007-08-14 | Wyeth | Pyrimidoindolones and methods for using same |
| GB0428012D0 (en) | 2004-12-22 | 2005-01-26 | Hammersmith Imanet Ltd | Radiolabelling methods |
| AU2005324905B2 (en) * | 2005-01-17 | 2012-01-19 | Universitaetsklinikum Muenster | 5-pyrrolidinylsulfonyl isatin derivatives |
-
2009
- 2009-09-04 US US13/062,064 patent/US8961930B2/en active Active
- 2009-09-04 WO PCT/GB2009/002132 patent/WO2010026388A1/en not_active Ceased
- 2009-09-04 EP EP09785058.0A patent/EP2367816B1/en not_active Not-in-force
- 2009-09-04 JP JP2011525613A patent/JP5667056B2/ja not_active Expired - Fee Related
- 2009-09-04 MX MX2011002498A patent/MX2011002498A/es not_active Application Discontinuation
- 2009-09-04 AU AU2009289062A patent/AU2009289062B2/en not_active Ceased
- 2009-09-04 CA CA2735970A patent/CA2735970A1/en not_active Abandoned
- 2009-09-04 RU RU2011112075/04A patent/RU2535975C2/ru not_active IP Right Cessation
- 2009-09-04 KR KR1020117007647A patent/KR20110066927A/ko not_active Ceased
- 2009-09-04 CN CN2009801389781A patent/CN102171208A/zh active Pending
Also Published As
| Publication number | Publication date |
|---|---|
| AU2009289062A1 (en) | 2010-03-11 |
| US20110195024A1 (en) | 2011-08-11 |
| EP2367816B1 (en) | 2016-11-09 |
| AU2009289062B2 (en) | 2015-01-22 |
| JP5667056B2 (ja) | 2015-02-12 |
| RU2011112075A (ru) | 2012-10-10 |
| CA2735970A1 (en) | 2010-03-11 |
| RU2535975C2 (ru) | 2014-12-20 |
| JP2012502014A (ja) | 2012-01-26 |
| MX2011002498A (es) | 2011-08-04 |
| EP2367816A1 (en) | 2011-09-28 |
| WO2010026388A1 (en) | 2010-03-11 |
| CN102171208A (zh) | 2011-08-31 |
| US8961930B2 (en) | 2015-02-24 |
Similar Documents
| Publication | Publication Date | Title |
|---|---|---|
| KR101616139B1 (ko) | 관류 영상화를 포함하는 용도를 위한 조영제 | |
| CN102686591A (zh) | 酞嗪酮类衍生物、其制备方法及其在医药上的应用 | |
| KR101879431B1 (ko) | 황화수소 검출용 방사성 프로브 | |
| EA017713B1 (ru) | [f-18]-меченая l-глутаминовая кислота, [f-18]-меченый l-глутамин, их производные и их применение, а также способ их получения | |
| CN112638430B (zh) | 放射性标记的大麻素受体2配体 | |
| JP5667056B2 (ja) | インビボ画像化剤として使用されるイサチン誘導体 | |
| EP4310083A1 (en) | Furan fused ring-substituted glutarimide compound | |
| EP3978498A1 (en) | Substituted fused bicyclic derivative, preparation method therefor, and application thereof in medicines | |
| TWI823255B (zh) | 作為Wee-1抑制劑的稠環化合物 | |
| EP3950693A1 (en) | Thienoheterocyclic derivative, preparation method therefor and medical use thereof | |
| CA3214756A1 (en) | Isoindolinone compounds and imaging agents for imaging huntingtin protein | |
| DK2699240T3 (en) | Acadesinderivater, products, and compositions therefore, their therapeutic uses and processes for their synthesis | |
| EP2543666A1 (en) | Radioactive iodine labeled organic compound or salt thereof | |
| KR20170103960A (ko) | Pet 영상화제 | |
| WO2020210614A1 (en) | Organic compounds | |
| RU2811207C1 (ru) | Fgfr и его ингибитор мутаций, способ его получения и его применение | |
| CN114728927B (zh) | 用于诊断、治疗和预防与α-突触核蛋白的聚集相关的疾病的化合物 | |
| HK40044011B (en) | Radiolabeled cannabinoid receptor 2 ligand | |
| HK1151458B (en) | Contrast agents for applications including perfusion imaging | |
| HK1151458A (en) | Contrast agents for applications including perfusion imaging | |
| AU2015200027A1 (en) | Contrast agents for applications including perfusion imaging |
Legal Events
| Date | Code | Title | Description |
|---|---|---|---|
| PA0105 | International application |
Patent event date: 20110401 Patent event code: PA01051R01D Comment text: International Patent Application |
|
| PG1501 | Laying open of application | ||
| A201 | Request for examination | ||
| PA0201 | Request for examination |
Patent event code: PA02012R01D Patent event date: 20140829 Comment text: Request for Examination of Application |
|
| E902 | Notification of reason for refusal | ||
| PE0902 | Notice of grounds for rejection |
Comment text: Notification of reason for refusal Patent event date: 20151201 Patent event code: PE09021S01D |
|
| E601 | Decision to refuse application | ||
| PE0601 | Decision on rejection of patent |
Patent event date: 20160222 Comment text: Decision to Refuse Application Patent event code: PE06012S01D Patent event date: 20151201 Comment text: Notification of reason for refusal Patent event code: PE06011S01I |