JP6228551B2 - リガンド−標的指向分子およびその方法 - Google Patents
リガンド−標的指向分子およびその方法 Download PDFInfo
- Publication number
- JP6228551B2 JP6228551B2 JP2014551314A JP2014551314A JP6228551B2 JP 6228551 B2 JP6228551 B2 JP 6228551B2 JP 2014551314 A JP2014551314 A JP 2014551314A JP 2014551314 A JP2014551314 A JP 2014551314A JP 6228551 B2 JP6228551 B2 JP 6228551B2
- Authority
- JP
- Japan
- Prior art keywords
- ligand
- linker
- conjugate
- drug
- moiety
- Prior art date
- Legal status (The legal status is an assumption and is not a legal conclusion. Google has not performed a legal analysis and makes no representation as to the accuracy of the status listed.)
- Expired - Fee Related
Links
- 125000005647 linker group Chemical group 0.000 claims description 254
- BASFCYQUMIYNBI-UHFFFAOYSA-N platinum Chemical compound [Pt] BASFCYQUMIYNBI-UHFFFAOYSA-N 0.000 claims description 220
- 239000003814 drug Substances 0.000 claims description 171
- 229940079593 drug Drugs 0.000 claims description 147
- 239000003446 ligand Substances 0.000 claims description 117
- 206010028980 Neoplasm Diseases 0.000 claims description 99
- 229920001223 polyethylene glycol Polymers 0.000 claims description 91
- 239000002202 Polyethylene glycol Substances 0.000 claims description 87
- 150000001413 amino acids Chemical class 0.000 claims description 75
- 201000011510 cancer Diseases 0.000 claims description 75
- 229910052697 platinum Inorganic materials 0.000 claims description 71
- 229940127089 cytotoxic agent Drugs 0.000 claims description 61
- 108090000765 processed proteins & peptides Proteins 0.000 claims description 49
- 125000004989 dicarbonyl group Chemical group 0.000 claims description 45
- 239000002246 antineoplastic agent Substances 0.000 claims description 43
- -1 platinum (II) compound Chemical class 0.000 claims description 39
- 150000003058 platinum compounds Chemical class 0.000 claims description 32
- 239000004215 Carbon black (E152) Substances 0.000 claims description 30
- 239000004472 Lysine Substances 0.000 claims description 30
- KDXKERNSBIXSRK-UHFFFAOYSA-N Lysine Natural products NCCCCC(N)C(O)=O KDXKERNSBIXSRK-UHFFFAOYSA-N 0.000 claims description 29
- 229930195733 hydrocarbon Natural products 0.000 claims description 27
- DWAFYCQODLXJNR-BNTLRKBRSA-L oxaliplatin Chemical compound O1C(=O)C(=O)O[Pt]11N[C@@H]2CCCC[C@H]2N1 DWAFYCQODLXJNR-BNTLRKBRSA-L 0.000 claims description 27
- 230000027455 binding Effects 0.000 claims description 26
- 238000009739 binding Methods 0.000 claims description 25
- 229960001756 oxaliplatin Drugs 0.000 claims description 24
- 238000011282 treatment Methods 0.000 claims description 23
- 102000001301 EGF receptor Human genes 0.000 claims description 20
- 108060006698 EGF receptor Proteins 0.000 claims description 20
- DQLATGHUWYMOKM-UHFFFAOYSA-L cisplatin Chemical compound N[Pt](N)(Cl)Cl DQLATGHUWYMOKM-UHFFFAOYSA-L 0.000 claims description 19
- 229960004316 cisplatin Drugs 0.000 claims description 18
- KDYFGRWQOYBRFD-UHFFFAOYSA-L succinate(2-) Chemical group [O-]C(=O)CCC([O-])=O KDYFGRWQOYBRFD-UHFFFAOYSA-L 0.000 claims description 18
- 125000001183 hydrocarbyl group Chemical group 0.000 claims description 17
- 239000008194 pharmaceutical composition Substances 0.000 claims description 17
- 239000003937 drug carrier Substances 0.000 claims description 16
- 102100038080 B-cell receptor CD22 Human genes 0.000 claims description 15
- 101000884305 Homo sapiens B-cell receptor CD22 Proteins 0.000 claims description 15
- 150000001412 amines Chemical class 0.000 claims description 15
- AOJJSUZBOXZQNB-TZSSRYMLSA-N Doxorubicin Chemical compound O([C@H]1C[C@@](O)(CC=2C(O)=C3C(=O)C=4C=CC=C(C=4C(=O)C3=C(O)C=21)OC)C(=O)CO)[C@H]1C[C@H](N)[C@H](O)[C@H](C)O1 AOJJSUZBOXZQNB-TZSSRYMLSA-N 0.000 claims description 14
- 239000003795 chemical substances by application Substances 0.000 claims description 14
- 102000004169 proteins and genes Human genes 0.000 claims description 14
- 108090000623 proteins and genes Proteins 0.000 claims description 14
- WYWHKKSPHMUBEB-UHFFFAOYSA-N tioguanine Chemical compound N1C(N)=NC(=S)C2=C1N=CN2 WYWHKKSPHMUBEB-UHFFFAOYSA-N 0.000 claims description 14
- 229960004562 carboplatin Drugs 0.000 claims description 13
- RJURFGZVJUQBHK-UHFFFAOYSA-N actinomycin D Natural products CC1OC(=O)C(C(C)C)N(C)C(=O)CN(C)C(=O)C2CCCN2C(=O)C(C(C)C)NC(=O)C1NC(=O)C1=C(N)C(=O)C(C)=C2OC(C(C)=CC=C3C(=O)NC4C(=O)NC(C(N5CCCC5C(=O)N(C)CC(=O)N(C)C(C(C)C)C(=O)OC4C)=O)C(C)C)=C3N=C21 RJURFGZVJUQBHK-UHFFFAOYSA-N 0.000 claims description 12
- 108091023037 Aptamer Proteins 0.000 claims description 11
- UWKQSNNFCGGAFS-XIFFEERXSA-N irinotecan Chemical compound C1=C2C(CC)=C3CN(C(C4=C([C@@](C(=O)OC4)(O)CC)C=4)=O)C=4C3=NC2=CC=C1OC(=O)N(CC1)CCC1N1CCCCC1 UWKQSNNFCGGAFS-XIFFEERXSA-N 0.000 claims description 11
- 108010021625 Immunoglobulin Fragments Proteins 0.000 claims description 10
- 102000008394 Immunoglobulin Fragments Human genes 0.000 claims description 10
- NWIBSHFKIJFRCO-WUDYKRTCSA-N Mytomycin Chemical compound C1N2C(C(C(C)=C(N)C3=O)=O)=C3[C@@H](COC(N)=O)[C@@]2(OC)[C@@H]2[C@H]1N2 NWIBSHFKIJFRCO-WUDYKRTCSA-N 0.000 claims description 10
- MSHZHSPISPJWHW-UHFFFAOYSA-N O-(chloroacetylcarbamoyl)fumagillol Chemical compound O1C(CC=C(C)C)C1(C)C1C(OC)C(OC(=O)NC(=O)CCl)CCC21CO2 MSHZHSPISPJWHW-UHFFFAOYSA-N 0.000 claims description 10
- 239000012634 fragment Substances 0.000 claims description 10
- 150000002430 hydrocarbons Chemical class 0.000 claims description 10
- 239000005557 antagonist Substances 0.000 claims description 9
- STQGQHZAVUOBTE-UHFFFAOYSA-N 7-Cyan-hept-2t-en-4,6-diinsaeure Natural products C1=2C(O)=C3C(=O)C=4C(OC)=CC=CC=4C(=O)C3=C(O)C=2CC(O)(C(C)=O)CC1OC1CC(N)C(O)C(C)O1 STQGQHZAVUOBTE-UHFFFAOYSA-N 0.000 claims description 8
- 239000000556 agonist Substances 0.000 claims description 8
- STQGQHZAVUOBTE-VGBVRHCVSA-N daunorubicin Chemical compound O([C@H]1C[C@@](O)(CC=2C(O)=C3C(=O)C=4C=CC=C(C=4C(=O)C3=C(O)C=21)OC)C(C)=O)[C@H]1C[C@H](N)[C@H](O)[C@H](C)O1 STQGQHZAVUOBTE-VGBVRHCVSA-N 0.000 claims description 8
- 125000005439 maleimidyl group Chemical group C1(C=CC(N1*)=O)=O 0.000 claims description 8
- 229960004857 mitomycin Drugs 0.000 claims description 8
- 102000005962 receptors Human genes 0.000 claims description 8
- 108020003175 receptors Proteins 0.000 claims description 8
- COVZYZSDYWQREU-UHFFFAOYSA-N Busulfan Chemical compound CS(=O)(=O)OCCCCOS(C)(=O)=O COVZYZSDYWQREU-UHFFFAOYSA-N 0.000 claims description 7
- DLGOEMSEDOSKAD-UHFFFAOYSA-N Carmustine Chemical compound ClCCNC(=O)N(N=O)CCCl DLGOEMSEDOSKAD-UHFFFAOYSA-N 0.000 claims description 7
- GHASVSINZRGABV-UHFFFAOYSA-N Fluorouracil Chemical compound FC1=CNC(=O)NC1=O GHASVSINZRGABV-UHFFFAOYSA-N 0.000 claims description 7
- GQYIWUVLTXOXAJ-UHFFFAOYSA-N Lomustine Chemical compound ClCCN(N=O)C(=O)NC1CCCCC1 GQYIWUVLTXOXAJ-UHFFFAOYSA-N 0.000 claims description 7
- 102000005789 Vascular Endothelial Growth Factors Human genes 0.000 claims description 7
- 108010019530 Vascular Endothelial Growth Factors Proteins 0.000 claims description 7
- JXLYSJRDGCGARV-WWYNWVTFSA-N Vinblastine Natural products O=C(O[C@H]1[C@](O)(C(=O)OC)[C@@H]2N(C)c3c(cc(c(OC)c3)[C@]3(C(=O)OC)c4[nH]c5c(c4CCN4C[C@](O)(CC)C[C@H](C3)C4)cccc5)[C@@]32[C@H]2[C@@]1(CC)C=CCN2CC3)C JXLYSJRDGCGARV-WWYNWVTFSA-N 0.000 claims description 7
- 229960000548 alemtuzumab Drugs 0.000 claims description 7
- 229910052799 carbon Inorganic materials 0.000 claims description 7
- 229960005243 carmustine Drugs 0.000 claims description 7
- 229960000975 daunorubicin Drugs 0.000 claims description 7
- 229960004679 doxorubicin Drugs 0.000 claims description 7
- 229960002949 fluorouracil Drugs 0.000 claims description 7
- SGDBTWWWUNNDEQ-LBPRGKRZSA-N melphalan Chemical compound OC(=O)[C@@H](N)CC1=CC=C(N(CCCl)CCCl)C=C1 SGDBTWWWUNNDEQ-LBPRGKRZSA-N 0.000 claims description 7
- 229960004641 rituximab Drugs 0.000 claims description 7
- RCINICONZNJXQF-MZXODVADSA-N taxol Chemical compound O([C@@H]1[C@@]2(C[C@@H](C(C)=C(C2(C)C)[C@H](C([C@]2(C)[C@@H](O)C[C@H]3OC[C@]3([C@H]21)OC(C)=O)=O)OC(=O)C)OC(=O)[C@H](O)[C@@H](NC(=O)C=1C=CC=CC=1)C=1C=CC=CC=1)O)C(=O)C1=CC=CC=C1 RCINICONZNJXQF-MZXODVADSA-N 0.000 claims description 7
- NRUKOCRGYNPUPR-QBPJDGROSA-N teniposide Chemical compound COC1=C(O)C(OC)=CC([C@@H]2C3=CC=4OCOC=4C=C3[C@@H](O[C@H]3[C@@H]([C@@H](O)[C@@H]4O[C@@H](OC[C@H]4O3)C=3SC=CC=3)O)[C@@H]3[C@@H]2C(OC3)=O)=C1 NRUKOCRGYNPUPR-QBPJDGROSA-N 0.000 claims description 7
- 150000003573 thiols Chemical group 0.000 claims description 7
- 229960003087 tioguanine Drugs 0.000 claims description 7
- 229960000575 trastuzumab Drugs 0.000 claims description 7
- 229960003048 vinblastine Drugs 0.000 claims description 7
- JXLYSJRDGCGARV-XQKSVPLYSA-N vincaleukoblastine Chemical compound C([C@@H](C[C@]1(C(=O)OC)C=2C(=CC3=C([C@]45[C@H]([C@@]([C@H](OC(C)=O)[C@]6(CC)C=CCN([C@H]56)CC4)(O)C(=O)OC)N3C)C=2)OC)C[C@@](C2)(O)CC)N2CCC2=C1NC1=CC=CC=C21 JXLYSJRDGCGARV-XQKSVPLYSA-N 0.000 claims description 7
- FPVKHBSQESCIEP-UHFFFAOYSA-N (8S)-3-(2-deoxy-beta-D-erythro-pentofuranosyl)-3,6,7,8-tetrahydroimidazo[4,5-d][1,3]diazepin-8-ol Natural products C1C(O)C(CO)OC1N1C(NC=NCC2O)=C2N=C1 FPVKHBSQESCIEP-UHFFFAOYSA-N 0.000 claims description 6
- IDPUKCWIGUEADI-UHFFFAOYSA-N 5-[bis(2-chloroethyl)amino]uracil Chemical compound ClCCN(CCCl)C1=CNC(=O)NC1=O IDPUKCWIGUEADI-UHFFFAOYSA-N 0.000 claims description 6
- VVIAGPKUTFNRDU-UHFFFAOYSA-N 6S-folinic acid Natural products C1NC=2NC(N)=NC(=O)C=2N(C=O)C1CNC1=CC=C(C(=O)NC(CCC(O)=O)C(O)=O)C=C1 VVIAGPKUTFNRDU-UHFFFAOYSA-N 0.000 claims description 6
- 102000015790 Asparaginase Human genes 0.000 claims description 6
- 108010024976 Asparaginase Proteins 0.000 claims description 6
- 108010006654 Bleomycin Proteins 0.000 claims description 6
- CMSMOCZEIVJLDB-UHFFFAOYSA-N Cyclophosphamide Chemical compound ClCCN(CCCl)P1(=O)NCCCO1 CMSMOCZEIVJLDB-UHFFFAOYSA-N 0.000 claims description 6
- 108010092160 Dactinomycin Proteins 0.000 claims description 6
- 101150029707 ERBB2 gene Proteins 0.000 claims description 6
- 101000934338 Homo sapiens Myeloid cell surface antigen CD33 Proteins 0.000 claims description 6
- XDXDZDZNSLXDNA-TZNDIEGXSA-N Idarubicin Chemical compound C1[C@H](N)[C@H](O)[C@H](C)O[C@H]1O[C@@H]1C2=C(O)C(C(=O)C3=CC=CC=C3C3=O)=C3C(O)=C2C[C@@](O)(C(C)=O)C1 XDXDZDZNSLXDNA-TZNDIEGXSA-N 0.000 claims description 6
- XDXDZDZNSLXDNA-UHFFFAOYSA-N Idarubicin Natural products C1C(N)C(O)C(C)OC1OC1C2=C(O)C(C(=O)C3=CC=CC=C3C3=O)=C3C(O)=C2CC(O)(C(C)=O)C1 XDXDZDZNSLXDNA-UHFFFAOYSA-N 0.000 claims description 6
- 229930192392 Mitomycin Natural products 0.000 claims description 6
- 102100025243 Myeloid cell surface antigen CD33 Human genes 0.000 claims description 6
- ZDZOTLJHXYCWBA-VCVYQWHSSA-N N-debenzoyl-N-(tert-butoxycarbonyl)-10-deacetyltaxol Chemical compound O([C@H]1[C@H]2[C@@](C([C@H](O)C3=C(C)[C@@H](OC(=O)[C@H](O)[C@@H](NC(=O)OC(C)(C)C)C=4C=CC=CC=4)C[C@]1(O)C3(C)C)=O)(C)[C@@H](O)C[C@H]1OC[C@]12OC(=O)C)C(=O)C1=CC=CC=C1 ZDZOTLJHXYCWBA-VCVYQWHSSA-N 0.000 claims description 6
- 229930012538 Paclitaxel Natural products 0.000 claims description 6
- FOCVUCIESVLUNU-UHFFFAOYSA-N Thiotepa Chemical compound C1CN1P(N1CC1)(=S)N1CC1 FOCVUCIESVLUNU-UHFFFAOYSA-N 0.000 claims description 6
- RJURFGZVJUQBHK-IIXSONLDSA-N actinomycin D Chemical compound C[C@H]1OC(=O)[C@H](C(C)C)N(C)C(=O)CN(C)C(=O)[C@@H]2CCCN2C(=O)[C@@H](C(C)C)NC(=O)[C@H]1NC(=O)C1=C(N)C(=O)C(C)=C2OC(C(C)=CC=C3C(=O)N[C@@H]4C(=O)N[C@@H](C(N5CCC[C@H]5C(=O)N(C)CC(=O)N(C)[C@@H](C(C)C)C(=O)O[C@@H]4C)=O)C(C)C)=C3N=C21 RJURFGZVJUQBHK-IIXSONLDSA-N 0.000 claims description 6
- 229960003272 asparaginase Drugs 0.000 claims description 6
- DCXYFEDJOCDNAF-UHFFFAOYSA-M asparaginate Chemical compound [O-]C(=O)C(N)CC(N)=O DCXYFEDJOCDNAF-UHFFFAOYSA-M 0.000 claims description 6
- 229960000397 bevacizumab Drugs 0.000 claims description 6
- 229960001561 bleomycin Drugs 0.000 claims description 6
- OYVAGSVQBOHSSS-UAPAGMARSA-O bleomycin A2 Chemical compound N([C@H](C(=O)N[C@H](C)[C@@H](O)[C@H](C)C(=O)N[C@@H]([C@H](O)C)C(=O)NCCC=1SC=C(N=1)C=1SC=C(N=1)C(=O)NCCC[S+](C)C)[C@@H](O[C@H]1[C@H]([C@@H](O)[C@H](O)[C@H](CO)O1)O[C@@H]1[C@H]([C@@H](OC(N)=O)[C@H](O)[C@@H](CO)O1)O)C=1N=CNC=1)C(=O)C1=NC([C@H](CC(N)=O)NC[C@H](N)C(N)=O)=NC(N)=C1C OYVAGSVQBOHSSS-UAPAGMARSA-O 0.000 claims description 6
- HXCHCVDVKSCDHU-LULTVBGHSA-N calicheamicin Chemical compound C1[C@H](OC)[C@@H](NCC)CO[C@H]1O[C@H]1[C@H](O[C@@H]2C\3=C(NC(=O)OC)C(=O)C[C@](C/3=C/CSSSC)(O)C#C\C=C/C#C2)O[C@H](C)[C@@H](NO[C@@H]2O[C@H](C)[C@@H](SC(=O)C=3C(=C(OC)C(O[C@H]4[C@@H]([C@H](OC)[C@@H](O)[C@H](C)O4)O)=C(I)C=3C)OC)[C@@H](O)C2)[C@@H]1O HXCHCVDVKSCDHU-LULTVBGHSA-N 0.000 claims description 6
- 229930195731 calicheamicin Natural products 0.000 claims description 6
- 229960005395 cetuximab Drugs 0.000 claims description 6
- 229960004630 chlorambucil Drugs 0.000 claims description 6
- JCKYGMPEJWAADB-UHFFFAOYSA-N chlorambucil Chemical compound OC(=O)CCCC1=CC=C(N(CCCl)CCCl)C=C1 JCKYGMPEJWAADB-UHFFFAOYSA-N 0.000 claims description 6
- 229960004397 cyclophosphamide Drugs 0.000 claims description 6
- 229960000640 dactinomycin Drugs 0.000 claims description 6
- 229960003668 docetaxel Drugs 0.000 claims description 6
- AMRJKAQTDDKMCE-UHFFFAOYSA-N dolastatin Chemical compound CC(C)C(N(C)C)C(=O)NC(C(C)C)C(=O)N(C)C(C(C)C)C(OC)CC(=O)N1CCCC1C(OC)C(C)C(=O)NC(C=1SC=CN=1)CC1=CC=CC=C1 AMRJKAQTDDKMCE-UHFFFAOYSA-N 0.000 claims description 6
- 229930188854 dolastatin Natural products 0.000 claims description 6
- 229930013356 epothilone Natural products 0.000 claims description 6
- VJJPUSNTGOMMGY-MRVIYFEKSA-N etoposide Chemical compound COC1=C(O)C(OC)=CC([C@@H]2C3=CC=4OCOC=4C=C3[C@@H](O[C@H]3[C@@H]([C@@H](O)[C@@H]4O[C@H](C)OC[C@H]4O3)O)[C@@H]3[C@@H]2C(OC3)=O)=C1 VJJPUSNTGOMMGY-MRVIYFEKSA-N 0.000 claims description 6
- 229960000390 fludarabine Drugs 0.000 claims description 6
- GIUYCYHIANZCFB-FJFJXFQQSA-N fludarabine phosphate Chemical compound C1=NC=2C(N)=NC(F)=NC=2N1[C@@H]1O[C@H](COP(O)(O)=O)[C@@H](O)[C@@H]1O GIUYCYHIANZCFB-FJFJXFQQSA-N 0.000 claims description 6
- VVIAGPKUTFNRDU-ABLWVSNPSA-N folinic acid Chemical compound C1NC=2NC(N)=NC(=O)C=2N(C=O)C1CNC1=CC=C(C(=O)N[C@@H](CCC(O)=O)C(O)=O)C=C1 VVIAGPKUTFNRDU-ABLWVSNPSA-N 0.000 claims description 6
- 235000008191 folinic acid Nutrition 0.000 claims description 6
- 239000011672 folinic acid Substances 0.000 claims description 6
- 229960000578 gemtuzumab Drugs 0.000 claims description 6
- 229960000908 idarubicin Drugs 0.000 claims description 6
- HOMGKSMUEGBAAB-UHFFFAOYSA-N ifosfamide Chemical compound ClCCNP1(=O)OCCCN1CCCl HOMGKSMUEGBAAB-UHFFFAOYSA-N 0.000 claims description 6
- 229960001101 ifosfamide Drugs 0.000 claims description 6
- 229960004768 irinotecan Drugs 0.000 claims description 6
- 229960001691 leucovorin Drugs 0.000 claims description 6
- 229960002247 lomustine Drugs 0.000 claims description 6
- 229960001924 melphalan Drugs 0.000 claims description 6
- 229960001592 paclitaxel Drugs 0.000 claims description 6
- 229960001972 panitumumab Drugs 0.000 claims description 6
- FPVKHBSQESCIEP-JQCXWYLXSA-N pentostatin Chemical compound C1[C@H](O)[C@@H](CO)O[C@H]1N1C(N=CNC[C@H]2O)=C2N=C1 FPVKHBSQESCIEP-JQCXWYLXSA-N 0.000 claims description 6
- 229960002340 pentostatin Drugs 0.000 claims description 6
- 229960001278 teniposide Drugs 0.000 claims description 6
- 229960001196 thiotepa Drugs 0.000 claims description 6
- 229960001055 uracil mustard Drugs 0.000 claims description 6
- GBABOYUKABKIAF-GHYRFKGUSA-N vinorelbine Chemical compound C1N(CC=2C3=CC=CC=C3NC=22)CC(CC)=C[C@H]1C[C@]2(C(=O)OC)C1=CC([C@]23[C@H]([C@]([C@H](OC(C)=O)[C@]4(CC)C=CCN([C@H]34)CC2)(O)C(=O)OC)N2C)=C2C=C1OC GBABOYUKABKIAF-GHYRFKGUSA-N 0.000 claims description 6
- 229960002066 vinorelbine Drugs 0.000 claims description 6
- NGGMYCMLYOUNGM-UHFFFAOYSA-N (-)-fumagillin Natural products O1C(CC=C(C)C)C1(C)C1C(OC)C(OC(=O)C=CC=CC=CC=CC(O)=O)CCC21CO2 NGGMYCMLYOUNGM-UHFFFAOYSA-N 0.000 claims description 5
- LGNCNVVZCUVPOT-FUVGGWJZSA-N (2s)-2-[[(2r,3r)-3-[(2s)-1-[(3r,4s,5s)-4-[[(2s)-2-[[(2s)-2-(dimethylamino)-3-methylbutanoyl]amino]-3-methylbutanoyl]-methylamino]-3-methoxy-5-methylheptanoyl]pyrrolidin-2-yl]-3-methoxy-2-methylpropanoyl]amino]-3-phenylpropanoic acid Chemical compound CC(C)[C@H](N(C)C)C(=O)N[C@@H](C(C)C)C(=O)N(C)[C@@H]([C@@H](C)CC)[C@H](OC)CC(=O)N1CCC[C@H]1[C@H](OC)[C@@H](C)C(=O)N[C@H](C(O)=O)CC1=CC=CC=C1 LGNCNVVZCUVPOT-FUVGGWJZSA-N 0.000 claims description 5
- WOWDZACBATWTAU-FEFUEGSOSA-N (2s)-2-[[(2s)-2-(dimethylamino)-3-methylbutanoyl]amino]-n-[(3r,4s,5s)-1-[(2s)-2-[(1r,2r)-3-[[(1s,2r)-1-hydroxy-1-phenylpropan-2-yl]amino]-1-methoxy-2-methyl-3-oxopropyl]pyrrolidin-1-yl]-3-methoxy-5-methyl-1-oxoheptan-4-yl]-n,3-dimethylbutanamide Chemical compound CC(C)[C@H](N(C)C)C(=O)N[C@@H](C(C)C)C(=O)N(C)[C@@H]([C@@H](C)CC)[C@H](OC)CC(=O)N1CCC[C@H]1[C@H](OC)[C@@H](C)C(=O)N[C@H](C)[C@@H](O)C1=CC=CC=C1 WOWDZACBATWTAU-FEFUEGSOSA-N 0.000 claims description 5
- 125000003161 (C1-C6) alkylene group Chemical group 0.000 claims description 5
- FDKXTQMXEQVLRF-ZHACJKMWSA-N (E)-dacarbazine Chemical compound CN(C)\N=N\c1[nH]cnc1C(N)=O FDKXTQMXEQVLRF-ZHACJKMWSA-N 0.000 claims description 5
- FVLVBPDQNARYJU-XAHDHGMMSA-N C[C@H]1CCC(CC1)NC(=O)N(CCCl)N=O Chemical compound C[C@H]1CCC(CC1)NC(=O)N(CCCl)N=O FVLVBPDQNARYJU-XAHDHGMMSA-N 0.000 claims description 5
- UHDGCWIWMRVCDJ-CCXZUQQUSA-N Cytarabine Chemical compound O=C1N=C(N)C=CN1[C@H]1[C@@H](O)[C@H](O)[C@@H](CO)O1 UHDGCWIWMRVCDJ-CCXZUQQUSA-N 0.000 claims description 5
- FBOZXECLQNJBKD-ZDUSSCGKSA-N L-methotrexate Chemical compound C=1N=C2N=C(N)N=C(N)C2=NC=1CN(C)C1=CC=C(C(=O)N[C@@H](CCC(O)=O)C(O)=O)C=C1 FBOZXECLQNJBKD-ZDUSSCGKSA-N 0.000 claims description 5
- MSHZHSPISPJWHW-PVDLLORBSA-N O-(chloroacetylcarbamoyl)fumagillol Chemical compound C([C@H]([C@H]([C@@H]1[C@]2(C)[C@H](O2)CC=C(C)C)OC)OC(=O)NC(=O)CCl)C[C@@]21CO2 MSHZHSPISPJWHW-PVDLLORBSA-N 0.000 claims description 5
- 125000002947 alkylene group Chemical group 0.000 claims description 5
- 229960002707 bendamustine Drugs 0.000 claims description 5
- YTKUWDBFDASYHO-UHFFFAOYSA-N bendamustine Chemical compound ClCCN(CCCl)C1=CC=C2N(C)C(CCCC(O)=O)=NC2=C1 YTKUWDBFDASYHO-UHFFFAOYSA-N 0.000 claims description 5
- 125000002915 carbonyl group Chemical group [*:2]C([*:1])=O 0.000 claims description 5
- 239000002771 cell marker Substances 0.000 claims description 5
- 229960000684 cytarabine Drugs 0.000 claims description 5
- 229960003901 dacarbazine Drugs 0.000 claims description 5
- HESCAJZNRMSMJG-KKQRBIROSA-N epothilone A Chemical class C/C([C@@H]1C[C@@H]2O[C@@H]2CCC[C@@H]([C@@H]([C@@H](C)C(=O)C(C)(C)[C@@H](O)CC(=O)O1)O)C)=C\C1=CSC(C)=N1 HESCAJZNRMSMJG-KKQRBIROSA-N 0.000 claims description 5
- 229960005420 etoposide Drugs 0.000 claims description 5
- NGGMYCMLYOUNGM-CSDLUJIJSA-N fumagillin Chemical compound C([C@H]([C@H]([C@@H]1[C@]2(C)[C@H](O2)CC=C(C)C)OC)OC(=O)\C=C\C=C\C=C\C=C\C(O)=O)C[C@@]21CO2 NGGMYCMLYOUNGM-CSDLUJIJSA-N 0.000 claims description 5
- 229960000936 fumagillin Drugs 0.000 claims description 5
- 229960000485 methotrexate Drugs 0.000 claims description 5
- UOWVMDUEMSNCAV-WYENRQIDSA-N rachelmycin Chemical compound C1([C@]23C[C@@H]2CN1C(=O)C=1NC=2C(OC)=C(O)C4=C(C=2C=1)CCN4C(=O)C1=CC=2C=4CCN(C=4C(O)=C(C=2N1)OC)C(N)=O)=CC(=O)C1=C3C(C)=CN1 UOWVMDUEMSNCAV-WYENRQIDSA-N 0.000 claims description 5
- 229960003440 semustine Drugs 0.000 claims description 5
- OKTJSMMVPCPJKN-UHFFFAOYSA-N Carbon Chemical compound [C] OKTJSMMVPCPJKN-UHFFFAOYSA-N 0.000 claims description 4
- 238000002360 preparation method Methods 0.000 claims description 4
- 229960005399 satraplatin Drugs 0.000 claims description 4
- 190014017285 satraplatin Chemical compound 0.000 claims description 4
- 150000001540 azides Chemical class 0.000 claims description 3
- YAYRGNWWLMLWJE-UHFFFAOYSA-L carboplatin Chemical compound O=C1O[Pt](N)(N)OC(=O)C11CCC1 YAYRGNWWLMLWJE-UHFFFAOYSA-L 0.000 claims 2
- DVQHYTBCTGYNNN-UHFFFAOYSA-N azane;cyclobutane-1,1-dicarboxylic acid;platinum Chemical compound N.N.[Pt].OC(=O)C1(C(O)=O)CCC1 DVQHYTBCTGYNNN-UHFFFAOYSA-N 0.000 claims 1
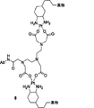
- 239000000562 conjugate Substances 0.000 description 170
- 229940024606 amino acid Drugs 0.000 description 62
- 235000001014 amino acid Nutrition 0.000 description 62
- 239000000611 antibody drug conjugate Substances 0.000 description 47
- 229940049595 antibody-drug conjugate Drugs 0.000 description 47
- 230000015572 biosynthetic process Effects 0.000 description 42
- 210000004027 cell Anatomy 0.000 description 42
- 238000003786 synthesis reaction Methods 0.000 description 41
- 238000000034 method Methods 0.000 description 39
- 230000008685 targeting Effects 0.000 description 38
- 239000002254 cytotoxic agent Substances 0.000 description 35
- 239000000178 monomer Substances 0.000 description 32
- 150000001875 compounds Chemical class 0.000 description 31
- 235000018977 lysine Nutrition 0.000 description 28
- 125000004122 cyclic group Chemical group 0.000 description 26
- 231100000599 cytotoxic agent Toxicity 0.000 description 26
- 239000000203 mixture Substances 0.000 description 25
- 150000004696 coordination complex Chemical class 0.000 description 24
- 125000003118 aryl group Chemical group 0.000 description 18
- 125000000524 functional group Chemical group 0.000 description 18
- 229940124597 therapeutic agent Drugs 0.000 description 18
- 125000003277 amino group Chemical group 0.000 description 17
- JGFZNNIVVJXRND-UHFFFAOYSA-N N,N-Diisopropylethylamine (DIPEA) Chemical compound CCN(C(C)C)C(C)C JGFZNNIVVJXRND-UHFFFAOYSA-N 0.000 description 16
- VSRXQHXAPYXROS-UHFFFAOYSA-N azanide;cyclobutane-1,1-dicarboxylic acid;platinum(2+) Chemical compound [NH2-].[NH2-].[Pt+2].OC(=O)C1(C(O)=O)CCC1 VSRXQHXAPYXROS-UHFFFAOYSA-N 0.000 description 15
- HRGDZIGMBDGFTC-UHFFFAOYSA-N platinum(2+) Chemical compound [Pt+2] HRGDZIGMBDGFTC-UHFFFAOYSA-N 0.000 description 15
- 125000006292 cyclic linker group Chemical group 0.000 description 14
- 208000037265 diseases, disorders, signs and symptoms Diseases 0.000 description 14
- 125000001072 heteroaryl group Chemical group 0.000 description 14
- 125000006850 spacer group Chemical group 0.000 description 14
- 125000000217 alkyl group Chemical group 0.000 description 13
- 238000010586 diagram Methods 0.000 description 13
- 235000018102 proteins Nutrition 0.000 description 13
- XEKOWRVHYACXOJ-UHFFFAOYSA-N Ethyl acetate Chemical compound CCOC(C)=O XEKOWRVHYACXOJ-UHFFFAOYSA-N 0.000 description 12
- 125000000623 heterocyclic group Chemical group 0.000 description 12
- 239000000243 solution Substances 0.000 description 12
- 125000001424 substituent group Chemical group 0.000 description 12
- 229910052760 oxygen Inorganic materials 0.000 description 11
- IJGRMHOSHXDMSA-UHFFFAOYSA-N Atomic nitrogen Chemical compound N#N IJGRMHOSHXDMSA-UHFFFAOYSA-N 0.000 description 10
- BPOWYIXTBHTHFH-YLAPSKGCSA-N [(z,2s)-5-[[(2r,3r,5s,6s)-6-[(2e,4e)-5-[(3r,4r,5r)-4-hydroxy-7,7-dimethyl-1,6-dioxaspiro[2.5]octan-5-yl]-3-methylpenta-2,4-dienyl]-2,5-dimethyloxan-3-yl]amino]-5-oxopent-3-en-2-yl] acetate Chemical compound O1[C@H](C)[C@H](NC(=O)\C=C/[C@@H](OC(C)=O)C)C[C@H](C)[C@@H]1C\C=C(/C)\C=C\[C@@H]1[C@@H](O)[C@@]2(OC2)CC(C)(C)O1 BPOWYIXTBHTHFH-YLAPSKGCSA-N 0.000 description 10
- 125000005842 heteroatom Chemical group 0.000 description 10
- 239000000463 material Substances 0.000 description 10
- 239000011541 reaction mixture Substances 0.000 description 10
- 239000002253 acid Substances 0.000 description 9
- 239000003153 chemical reaction reagent Substances 0.000 description 9
- 150000002148 esters Chemical class 0.000 description 9
- 102000004196 processed proteins & peptides Human genes 0.000 description 9
- 210000001519 tissue Anatomy 0.000 description 9
- 102000004190 Enzymes Human genes 0.000 description 8
- 108090000790 Enzymes Proteins 0.000 description 8
- XEEYBQQBJWHFJM-UHFFFAOYSA-N Iron Chemical compound [Fe] XEEYBQQBJWHFJM-UHFFFAOYSA-N 0.000 description 8
- 229960005261 aspartic acid Drugs 0.000 description 8
- CKLJMWTZIZZHCS-REOHCLBHSA-N aspartic acid group Chemical group N[C@@H](CC(=O)O)C(=O)O CKLJMWTZIZZHCS-REOHCLBHSA-N 0.000 description 8
- 210000004369 blood Anatomy 0.000 description 8
- 239000008280 blood Substances 0.000 description 8
- 238000006243 chemical reaction Methods 0.000 description 8
- 201000010099 disease Diseases 0.000 description 8
- 229940088598 enzyme Drugs 0.000 description 8
- 229910052757 nitrogen Inorganic materials 0.000 description 8
- 210000000056 organ Anatomy 0.000 description 8
- LMDZBCPBFSXMTL-UHFFFAOYSA-N 1-Ethyl-3-(3-dimethylaminopropyl)carbodiimide Substances CCN=C=NCCCN(C)C LMDZBCPBFSXMTL-UHFFFAOYSA-N 0.000 description 7
- FPQQSJJWHUJYPU-UHFFFAOYSA-N 3-(dimethylamino)propyliminomethylidene-ethylazanium;chloride Chemical compound Cl.CCN=C=NCCCN(C)C FPQQSJJWHUJYPU-UHFFFAOYSA-N 0.000 description 7
- 241001465754 Metazoa Species 0.000 description 7
- 150000001408 amides Chemical class 0.000 description 7
- 239000000427 antigen Substances 0.000 description 7
- 108091007433 antigens Proteins 0.000 description 7
- 102000036639 antigens Human genes 0.000 description 7
- 235000003704 aspartic acid Nutrition 0.000 description 7
- OQFSQFPPLPISGP-UHFFFAOYSA-N beta-carboxyaspartic acid Natural products OC(=O)C(N)C(C(O)=O)C(O)=O OQFSQFPPLPISGP-UHFFFAOYSA-N 0.000 description 7
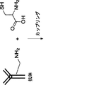
- 238000005859 coupling reaction Methods 0.000 description 7
- 125000002950 monocyclic group Chemical group 0.000 description 7
- XLYOFNOQVPJJNP-UHFFFAOYSA-N water Chemical compound O XLYOFNOQVPJJNP-UHFFFAOYSA-N 0.000 description 7
- YBJHBAHKTGYVGT-ZKWXMUAHSA-N (+)-Biotin Chemical compound N1C(=O)N[C@@H]2[C@H](CCCCC(=O)O)SC[C@@H]21 YBJHBAHKTGYVGT-ZKWXMUAHSA-N 0.000 description 6
- OKKJLVBELUTLKV-UHFFFAOYSA-N Methanol Chemical compound OC OKKJLVBELUTLKV-UHFFFAOYSA-N 0.000 description 6
- 108091005804 Peptidases Proteins 0.000 description 6
- DBMJMQXJHONAFJ-UHFFFAOYSA-M Sodium laurylsulphate Chemical compound [Na+].CCCCCCCCCCCCOS([O-])(=O)=O DBMJMQXJHONAFJ-UHFFFAOYSA-M 0.000 description 6
- 125000003342 alkenyl group Chemical group 0.000 description 6
- 230000001093 anti-cancer Effects 0.000 description 6
- 125000004429 atom Chemical group 0.000 description 6
- 238000010168 coupling process Methods 0.000 description 6
- 125000000753 cycloalkyl group Chemical group 0.000 description 6
- 208000035475 disorder Diseases 0.000 description 6
- 208000037819 metastatic cancer Diseases 0.000 description 6
- 208000011575 metastatic malignant neoplasm Diseases 0.000 description 6
- 239000000047 product Substances 0.000 description 6
- 239000007787 solid Substances 0.000 description 6
- LFQSCWFLJHTTHZ-UHFFFAOYSA-N Ethanol Chemical compound CCO LFQSCWFLJHTTHZ-UHFFFAOYSA-N 0.000 description 5
- 206010027476 Metastases Diseases 0.000 description 5
- 102000035195 Peptidases Human genes 0.000 description 5
- JUJWROOIHBZHMG-UHFFFAOYSA-N Pyridine Chemical compound C1=CC=NC=C1 JUJWROOIHBZHMG-UHFFFAOYSA-N 0.000 description 5
- 206010039491 Sarcoma Diseases 0.000 description 5
- 125000002619 bicyclic group Chemical group 0.000 description 5
- 239000000872 buffer Substances 0.000 description 5
- 230000008878 coupling Effects 0.000 description 5
- 231100000433 cytotoxic Toxicity 0.000 description 5
- 230000001472 cytotoxic effect Effects 0.000 description 5
- 238000011161 development Methods 0.000 description 5
- 230000018109 developmental process Effects 0.000 description 5
- UQLDLKMNUJERMK-UHFFFAOYSA-L di(octadecanoyloxy)lead Chemical compound [Pb+2].CCCCCCCCCCCCCCCCCC([O-])=O.CCCCCCCCCCCCCCCCCC([O-])=O UQLDLKMNUJERMK-UHFFFAOYSA-L 0.000 description 5
- 208000005017 glioblastoma Diseases 0.000 description 5
- 229940088597 hormone Drugs 0.000 description 5
- 239000005556 hormone Substances 0.000 description 5
- 238000000338 in vitro Methods 0.000 description 5
- 238000002347 injection Methods 0.000 description 5
- 239000007924 injection Substances 0.000 description 5
- 229910052742 iron Inorganic materials 0.000 description 5
- 201000001441 melanoma Diseases 0.000 description 5
- 230000009401 metastasis Effects 0.000 description 5
- 229920000768 polyamine Polymers 0.000 description 5
- 230000009467 reduction Effects 0.000 description 5
- 210000002966 serum Anatomy 0.000 description 5
- 229910052710 silicon Inorganic materials 0.000 description 5
- KDYFGRWQOYBRFD-UHFFFAOYSA-N succinic acid Chemical compound OC(=O)CCC(O)=O KDYFGRWQOYBRFD-UHFFFAOYSA-N 0.000 description 5
- 238000012360 testing method Methods 0.000 description 5
- 125000003396 thiol group Chemical group [H]S* 0.000 description 5
- GVJHHUAWPYXKBD-UHFFFAOYSA-N (±)-α-Tocopherol Chemical compound OC1=C(C)C(C)=C2OC(CCCC(C)CCCC(C)CCCC(C)C)(C)CCC2=C1C GVJHHUAWPYXKBD-UHFFFAOYSA-N 0.000 description 4
- 0 **NCC(C(OCCC1CCCC1)=O)N Chemical compound **NCC(C(OCCC1CCCC1)=O)N 0.000 description 4
- FALRKNHUBBKYCC-UHFFFAOYSA-N 2-(chloromethyl)pyridine-3-carbonitrile Chemical compound ClCC1=NC=CC=C1C#N FALRKNHUBBKYCC-UHFFFAOYSA-N 0.000 description 4
- FUOOLUPWFVMBKG-UHFFFAOYSA-N 2-Aminoisobutyric acid Chemical compound CC(C)(N)C(O)=O FUOOLUPWFVMBKG-UHFFFAOYSA-N 0.000 description 4
- BSKHPKMHTQYZBB-UHFFFAOYSA-N 2-methylpyridine Chemical compound CC1=CC=CC=N1 BSKHPKMHTQYZBB-UHFFFAOYSA-N 0.000 description 4
- 206010006187 Breast cancer Diseases 0.000 description 4
- 208000026310 Breast neoplasm Diseases 0.000 description 4
- CURLTUGMZLYLDI-UHFFFAOYSA-N Carbon dioxide Chemical compound O=C=O CURLTUGMZLYLDI-UHFFFAOYSA-N 0.000 description 4
- 206010009944 Colon cancer Diseases 0.000 description 4
- 108010016626 Dipeptides Proteins 0.000 description 4
- LYCAIKOWRPUZTN-UHFFFAOYSA-N Ethylene glycol Chemical compound OCCO LYCAIKOWRPUZTN-UHFFFAOYSA-N 0.000 description 4
- 102000015779 HDL Lipoproteins Human genes 0.000 description 4
- 108010010234 HDL Lipoproteins Proteins 0.000 description 4
- 102000007330 LDL Lipoproteins Human genes 0.000 description 4
- 108010007622 LDL Lipoproteins Proteins 0.000 description 4
- 241000124008 Mammalia Species 0.000 description 4
- GXCLVBGFBYZDAG-UHFFFAOYSA-N N-[2-(1H-indol-3-yl)ethyl]-N-methylprop-2-en-1-amine Chemical compound CN(CCC1=CNC2=C1C=CC=C2)CC=C GXCLVBGFBYZDAG-UHFFFAOYSA-N 0.000 description 4
- 206010061535 Ovarian neoplasm Diseases 0.000 description 4
- 206010061902 Pancreatic neoplasm Diseases 0.000 description 4
- 208000006664 Precursor Cell Lymphoblastic Leukemia-Lymphoma Diseases 0.000 description 4
- 241000288906 Primates Species 0.000 description 4
- CZMRCDWAGMRECN-UGDNZRGBSA-N Sucrose Chemical compound O[C@H]1[C@H](O)[C@@H](CO)O[C@@]1(CO)O[C@@H]1[C@H](O)[C@@H](O)[C@H](O)[C@@H](CO)O1 CZMRCDWAGMRECN-UGDNZRGBSA-N 0.000 description 4
- 208000024770 Thyroid neoplasm Diseases 0.000 description 4
- 125000000304 alkynyl group Chemical group 0.000 description 4
- 239000003638 chemical reducing agent Substances 0.000 description 4
- XUJNEKJLAYXESH-UHFFFAOYSA-N cysteine Natural products SCC(N)C(O)=O XUJNEKJLAYXESH-UHFFFAOYSA-N 0.000 description 4
- BTCSSZJGUNDROE-UHFFFAOYSA-N gamma-aminobutyric acid Chemical compound NCCCC(O)=O BTCSSZJGUNDROE-UHFFFAOYSA-N 0.000 description 4
- RAXXELZNTBOGNW-UHFFFAOYSA-N imidazole Natural products C1=CNC=N1 RAXXELZNTBOGNW-UHFFFAOYSA-N 0.000 description 4
- 238000001990 intravenous administration Methods 0.000 description 4
- 208000032839 leukemia Diseases 0.000 description 4
- 208000014018 liver neoplasm Diseases 0.000 description 4
- HQKMJHAJHXVSDF-UHFFFAOYSA-L magnesium stearate Chemical compound [Mg+2].CCCCCCCCCCCCCCCCCC([O-])=O.CCCCCCCCCCCCCCCCCC([O-])=O HQKMJHAJHXVSDF-UHFFFAOYSA-L 0.000 description 4
- 230000003278 mimic effect Effects 0.000 description 4
- 238000012986 modification Methods 0.000 description 4
- 230000004048 modification Effects 0.000 description 4
- 125000004433 nitrogen atom Chemical group N* 0.000 description 4
- 229960002450 ofatumumab Drugs 0.000 description 4
- 201000002528 pancreatic cancer Diseases 0.000 description 4
- 230000002265 prevention Effects 0.000 description 4
- FSYKKLYZXJSNPZ-UHFFFAOYSA-N sarcosine Chemical compound C[NH2+]CC([O-])=O FSYKKLYZXJSNPZ-UHFFFAOYSA-N 0.000 description 4
- 206010041823 squamous cell carcinoma Diseases 0.000 description 4
- 230000000087 stabilizing effect Effects 0.000 description 4
- UCSJYZPVAKXKNQ-HZYVHMACSA-N streptomycin Chemical compound CN[C@H]1[C@H](O)[C@@H](O)[C@H](CO)O[C@H]1O[C@@H]1[C@](C=O)(O)[C@H](C)O[C@H]1O[C@@H]1[C@@H](NC(N)=N)[C@H](O)[C@@H](NC(N)=N)[C@H](O)[C@H]1O UCSJYZPVAKXKNQ-HZYVHMACSA-N 0.000 description 4
- 239000000758 substrate Substances 0.000 description 4
- 229940014800 succinic anhydride Drugs 0.000 description 4
- 229910052717 sulfur Inorganic materials 0.000 description 4
- 230000001988 toxicity Effects 0.000 description 4
- 231100000419 toxicity Toxicity 0.000 description 4
- IYKLZBIWFXPUCS-VIFPVBQESA-N (2s)-2-(naphthalen-1-ylamino)propanoic acid Chemical compound C1=CC=C2C(N[C@@H](C)C(O)=O)=CC=CC2=C1 IYKLZBIWFXPUCS-VIFPVBQESA-N 0.000 description 3
- KIUMMUBSPKGMOY-UHFFFAOYSA-N 3,3'-Dithiobis(6-nitrobenzoic acid) Chemical compound C1=C([N+]([O-])=O)C(C(=O)O)=CC(SSC=2C=C(C(=CC=2)[N+]([O-])=O)C(O)=O)=C1 KIUMMUBSPKGMOY-UHFFFAOYSA-N 0.000 description 3
- 208000024893 Acute lymphoblastic leukemia Diseases 0.000 description 3
- 208000014697 Acute lymphocytic leukaemia Diseases 0.000 description 3
- 206010005003 Bladder cancer Diseases 0.000 description 3
- 241000283690 Bos taurus Species 0.000 description 3
- 206010008342 Cervix carcinoma Diseases 0.000 description 3
- 108020004414 DNA Proteins 0.000 description 3
- BWGNESOTFCXPMA-UHFFFAOYSA-N Dihydrogen disulfide Chemical compound SS BWGNESOTFCXPMA-UHFFFAOYSA-N 0.000 description 3
- IAZDPXIOMUYVGZ-UHFFFAOYSA-N Dimethylsulphoxide Chemical compound CS(C)=O IAZDPXIOMUYVGZ-UHFFFAOYSA-N 0.000 description 3
- 208000017604 Hodgkin disease Diseases 0.000 description 3
- 208000010747 Hodgkins lymphoma Diseases 0.000 description 3
- 108060003951 Immunoglobulin Proteins 0.000 description 3
- 208000008839 Kidney Neoplasms Diseases 0.000 description 3
- 102000004856 Lectins Human genes 0.000 description 3
- 108090001090 Lectins Proteins 0.000 description 3
- 206010025323 Lymphomas Diseases 0.000 description 3
- OFOBLEOULBTSOW-UHFFFAOYSA-N Malonic acid Chemical compound OC(=O)CC(O)=O OFOBLEOULBTSOW-UHFFFAOYSA-N 0.000 description 3
- 241000699666 Mus <mouse, genus> Species 0.000 description 3
- 208000015914 Non-Hodgkin lymphomas Diseases 0.000 description 3
- 206010033128 Ovarian cancer Diseases 0.000 description 3
- 208000006994 Precancerous Conditions Diseases 0.000 description 3
- DNIAPMSPPWPWGF-UHFFFAOYSA-N Propylene glycol Chemical compound CC(O)CO DNIAPMSPPWPWGF-UHFFFAOYSA-N 0.000 description 3
- 239000004365 Protease Substances 0.000 description 3
- 241000283984 Rodentia Species 0.000 description 3
- XUIMIQQOPSSXEZ-UHFFFAOYSA-N Silicon Chemical compound [Si] XUIMIQQOPSSXEZ-UHFFFAOYSA-N 0.000 description 3
- 208000024313 Testicular Neoplasms Diseases 0.000 description 3
- 108090000901 Transferrin Proteins 0.000 description 3
- 102000004338 Transferrin Human genes 0.000 description 3
- XSQUKJJJFZCRTK-UHFFFAOYSA-N Urea Chemical compound NC(N)=O XSQUKJJJFZCRTK-UHFFFAOYSA-N 0.000 description 3
- 208000007097 Urinary Bladder Neoplasms Diseases 0.000 description 3
- 208000006105 Uterine Cervical Neoplasms Diseases 0.000 description 3
- 238000010521 absorption reaction Methods 0.000 description 3
- 125000002015 acyclic group Chemical group 0.000 description 3
- 238000004458 analytical method Methods 0.000 description 3
- QVGXLLKOCUKJST-UHFFFAOYSA-N atomic oxygen Chemical compound [O] QVGXLLKOCUKJST-UHFFFAOYSA-N 0.000 description 3
- 230000008901 benefit Effects 0.000 description 3
- 150000001576 beta-amino acids Chemical class 0.000 description 3
- 229960002685 biotin Drugs 0.000 description 3
- 235000020958 biotin Nutrition 0.000 description 3
- 239000011616 biotin Substances 0.000 description 3
- 229960000455 brentuximab vedotin Drugs 0.000 description 3
- KDYFGRWQOYBRFD-NUQCWPJISA-N butanedioic acid Chemical compound O[14C](=O)CC[14C](O)=O KDYFGRWQOYBRFD-NUQCWPJISA-N 0.000 description 3
- 150000001732 carboxylic acid derivatives Chemical class 0.000 description 3
- 230000010261 cell growth Effects 0.000 description 3
- 201000010881 cervical cancer Diseases 0.000 description 3
- 238000002512 chemotherapy Methods 0.000 description 3
- 229940044683 chemotherapy drug Drugs 0.000 description 3
- 238000003776 cleavage reaction Methods 0.000 description 3
- 208000029742 colonic neoplasm Diseases 0.000 description 3
- 230000021615 conjugation Effects 0.000 description 3
- 229920001577 copolymer Polymers 0.000 description 3
- 235000018417 cysteine Nutrition 0.000 description 3
- 230000003013 cytotoxicity Effects 0.000 description 3
- 231100000135 cytotoxicity Toxicity 0.000 description 3
- MTHSVFCYNBDYFN-UHFFFAOYSA-N diethylene glycol Chemical compound OCCOCCO MTHSVFCYNBDYFN-UHFFFAOYSA-N 0.000 description 3
- 230000000694 effects Effects 0.000 description 3
- 235000019441 ethanol Nutrition 0.000 description 3
- 235000019152 folic acid Nutrition 0.000 description 3
- 150000002224 folic acids Chemical class 0.000 description 3
- 108020001507 fusion proteins Proteins 0.000 description 3
- 102000037865 fusion proteins Human genes 0.000 description 3
- 102000018358 immunoglobulin Human genes 0.000 description 3
- 238000001802 infusion Methods 0.000 description 3
- 230000003834 intracellular effect Effects 0.000 description 3
- 239000002523 lectin Substances 0.000 description 3
- 201000007270 liver cancer Diseases 0.000 description 3
- 244000144972 livestock Species 0.000 description 3
- 208000020816 lung neoplasm Diseases 0.000 description 3
- 208000015486 malignant pancreatic neoplasm Diseases 0.000 description 3
- 239000003550 marker Substances 0.000 description 3
- 229910052751 metal Inorganic materials 0.000 description 3
- 239000002184 metal Substances 0.000 description 3
- 239000012299 nitrogen atmosphere Substances 0.000 description 3
- 239000001301 oxygen Substances 0.000 description 3
- 208000008443 pancreatic carcinoma Diseases 0.000 description 3
- 239000000816 peptidomimetic Substances 0.000 description 3
- 239000000546 pharmaceutical excipient Substances 0.000 description 3
- 230000008569 process Effects 0.000 description 3
- 235000019833 protease Nutrition 0.000 description 3
- UMJSCPRVCHMLSP-UHFFFAOYSA-N pyridine Natural products COC1=CC=CN=C1 UMJSCPRVCHMLSP-UHFFFAOYSA-N 0.000 description 3
- 230000007017 scission Effects 0.000 description 3
- 239000010703 silicon Substances 0.000 description 3
- 235000019333 sodium laurylsulphate Nutrition 0.000 description 3
- 201000003120 testicular cancer Diseases 0.000 description 3
- RSPCKAHMRANGJZ-UHFFFAOYSA-N thiohydroxylamine Chemical compound SN RSPCKAHMRANGJZ-UHFFFAOYSA-N 0.000 description 3
- 239000012581 transferrin Substances 0.000 description 3
- 210000004881 tumor cell Anatomy 0.000 description 3
- 201000005112 urinary bladder cancer Diseases 0.000 description 3
- WQZGKKKJIJFFOK-SVZMEOIVSA-N (+)-Galactose Chemical compound OC[C@H]1OC(O)[C@H](O)[C@@H](O)[C@H]1O WQZGKKKJIJFFOK-SVZMEOIVSA-N 0.000 description 2
- OGNSCSPNOLGXSM-UHFFFAOYSA-N (+/-)-DABA Natural products NCCC(N)C(O)=O OGNSCSPNOLGXSM-UHFFFAOYSA-N 0.000 description 2
- MTCFGRXMJLQNBG-REOHCLBHSA-N (2S)-2-Amino-3-hydroxypropansäure Chemical compound OC[C@H](N)C(O)=O MTCFGRXMJLQNBG-REOHCLBHSA-N 0.000 description 2
- GOJUJUVQIVIZAV-UHFFFAOYSA-N 2-amino-4,6-dichloropyrimidine-5-carbaldehyde Chemical group NC1=NC(Cl)=C(C=O)C(Cl)=N1 GOJUJUVQIVIZAV-UHFFFAOYSA-N 0.000 description 2
- VHYFNPMBLIVWCW-UHFFFAOYSA-N 4-Dimethylaminopyridine Chemical compound CN(C)C1=CC=NC=C1 VHYFNPMBLIVWCW-UHFFFAOYSA-N 0.000 description 2
- 208000031261 Acute myeloid leukaemia Diseases 0.000 description 2
- GUBGYTABKSRVRQ-XLOQQCSPSA-N Alpha-Lactose Chemical compound O[C@@H]1[C@@H](O)[C@@H](O)[C@@H](CO)O[C@H]1O[C@@H]1[C@@H](CO)O[C@H](O)[C@H](O)[C@H]1O GUBGYTABKSRVRQ-XLOQQCSPSA-N 0.000 description 2
- 239000004475 Arginine Substances 0.000 description 2
- 208000032791 BCR-ABL1 positive chronic myelogenous leukemia Diseases 0.000 description 2
- 208000023514 Barrett esophagus Diseases 0.000 description 2
- 208000023665 Barrett oesophagus Diseases 0.000 description 2
- 206010004146 Basal cell carcinoma Diseases 0.000 description 2
- 108091003079 Bovine Serum Albumin Proteins 0.000 description 2
- 208000003174 Brain Neoplasms Diseases 0.000 description 2
- 241000282421 Canidae Species 0.000 description 2
- 241000282472 Canis lupus familiaris Species 0.000 description 2
- 102000000844 Cell Surface Receptors Human genes 0.000 description 2
- 108010001857 Cell Surface Receptors Proteins 0.000 description 2
- 208000010833 Chronic myeloid leukaemia Diseases 0.000 description 2
- 150000008574 D-amino acids Chemical class 0.000 description 2
- WQZGKKKJIJFFOK-QTVWNMPRSA-N D-mannopyranose Chemical compound OC[C@H]1OC(O)[C@@H](O)[C@@H](O)[C@@H]1O WQZGKKKJIJFFOK-QTVWNMPRSA-N 0.000 description 2
- 206010012335 Dependence Diseases 0.000 description 2
- RTZKZFJDLAIYFH-UHFFFAOYSA-N Diethyl ether Chemical compound CCOCC RTZKZFJDLAIYFH-UHFFFAOYSA-N 0.000 description 2
- 238000002965 ELISA Methods 0.000 description 2
- 206010014733 Endometrial cancer Diseases 0.000 description 2
- 206010014759 Endometrial neoplasm Diseases 0.000 description 2
- 208000000461 Esophageal Neoplasms Diseases 0.000 description 2
- 241000282326 Felis catus Species 0.000 description 2
- 102100041003 Glutamate carboxypeptidase 2 Human genes 0.000 description 2
- WHUUTDBJXJRKMK-UHFFFAOYSA-N Glutamic acid Natural products OC(=O)C(N)CCC(O)=O WHUUTDBJXJRKMK-UHFFFAOYSA-N 0.000 description 2
- PEDCQBHIVMGVHV-UHFFFAOYSA-N Glycerine Chemical compound OCC(O)CO PEDCQBHIVMGVHV-UHFFFAOYSA-N 0.000 description 2
- 208000017095 Hereditary nonpolyposis colon cancer Diseases 0.000 description 2
- NTYJJOPFIAHURM-UHFFFAOYSA-N Histamine Chemical compound NCCC1=CN=CN1 NTYJJOPFIAHURM-UHFFFAOYSA-N 0.000 description 2
- 208000021519 Hodgkin lymphoma Diseases 0.000 description 2
- 241000282412 Homo Species 0.000 description 2
- ZGUNAGUHMKGQNY-ZETCQYMHSA-N L-alpha-phenylglycine zwitterion Chemical compound OC(=O)[C@@H](N)C1=CC=CC=C1 ZGUNAGUHMKGQNY-ZETCQYMHSA-N 0.000 description 2
- ODKSFYDXXFIFQN-BYPYZUCNSA-P L-argininium(2+) Chemical compound NC(=[NH2+])NCCC[C@H]([NH3+])C(O)=O ODKSFYDXXFIFQN-BYPYZUCNSA-P 0.000 description 2
- WHUUTDBJXJRKMK-VKHMYHEASA-N L-glutamic acid Chemical compound OC(=O)[C@@H](N)CCC(O)=O WHUUTDBJXJRKMK-VKHMYHEASA-N 0.000 description 2
- ZDXPYRJPNDTMRX-VKHMYHEASA-N L-glutamine Chemical compound OC(=O)[C@@H](N)CCC(N)=O ZDXPYRJPNDTMRX-VKHMYHEASA-N 0.000 description 2
- LRQKBLKVPFOOQJ-YFKPBYRVSA-N L-norleucine Chemical compound CCCC[C@H]([NH3+])C([O-])=O LRQKBLKVPFOOQJ-YFKPBYRVSA-N 0.000 description 2
- AYFVYJQAPQTCCC-GBXIJSLDSA-N L-threonine Chemical compound C[C@@H](O)[C@H](N)C(O)=O AYFVYJQAPQTCCC-GBXIJSLDSA-N 0.000 description 2
- GUBGYTABKSRVRQ-QKKXKWKRSA-N Lactose Natural products OC[C@H]1O[C@@H](O[C@H]2[C@H](O)[C@@H](O)C(O)O[C@@H]2CO)[C@H](O)[C@@H](O)[C@H]1O GUBGYTABKSRVRQ-QKKXKWKRSA-N 0.000 description 2
- 206010058467 Lung neoplasm malignant Diseases 0.000 description 2
- WBSCNDJQPKSPII-KKUMJFAQSA-N Lys-Lys-Lys Chemical compound NCCCC[C@H](N)C(=O)N[C@@H](CCCCN)C(=O)N[C@@H](CCCCN)C(O)=O WBSCNDJQPKSPII-KKUMJFAQSA-N 0.000 description 2
- 238000000134 MTT assay Methods 0.000 description 2
- 231100000002 MTT assay Toxicity 0.000 description 2
- 208000033761 Myelogenous Chronic BCR-ABL Positive Leukemia Diseases 0.000 description 2
- 208000033776 Myeloid Acute Leukemia Diseases 0.000 description 2
- QIAFMBKCNZACKA-UHFFFAOYSA-N N-benzoylglycine Chemical compound OC(=O)CNC(=O)C1=CC=CC=C1 QIAFMBKCNZACKA-UHFFFAOYSA-N 0.000 description 2
- 206010029260 Neuroblastoma Diseases 0.000 description 2
- 206010030155 Oesophageal carcinoma Diseases 0.000 description 2
- 108090000854 Oxidoreductases Proteins 0.000 description 2
- 102000004316 Oxidoreductases Human genes 0.000 description 2
- 229910019142 PO4 Inorganic materials 0.000 description 2
- 229930182555 Penicillin Natural products 0.000 description 2
- JGSARLDLIJGVTE-MBNYWOFBSA-N Penicillin G Chemical compound N([C@H]1[C@H]2SC([C@@H](N2C1=O)C(O)=O)(C)C)C(=O)CC1=CC=CC=C1 JGSARLDLIJGVTE-MBNYWOFBSA-N 0.000 description 2
- KPKZJLCSROULON-QKGLWVMZSA-N Phalloidin Chemical compound N1C(=O)[C@@H]([C@@H](O)C)NC(=O)[C@H](C)NC(=O)[C@H](C[C@@](C)(O)CO)NC(=O)[C@H](C2)NC(=O)[C@H](C)NC(=O)[C@@H]3C[C@H](O)CN3C(=O)[C@@H]1CSC1=C2C2=CC=CC=C2N1 KPKZJLCSROULON-QKGLWVMZSA-N 0.000 description 2
- 108010039918 Polylysine Proteins 0.000 description 2
- 229920001213 Polysorbate 20 Polymers 0.000 description 2
- 239000004372 Polyvinyl alcohol Substances 0.000 description 2
- 206010060862 Prostate cancer Diseases 0.000 description 2
- 208000000236 Prostatic Neoplasms Diseases 0.000 description 2
- RADKZDMFGJYCBB-UHFFFAOYSA-N Pyridoxal Chemical compound CC1=NC=C(CO)C(C=O)=C1O RADKZDMFGJYCBB-UHFFFAOYSA-N 0.000 description 2
- 241000700159 Rattus Species 0.000 description 2
- 206010038389 Renal cancer Diseases 0.000 description 2
- AUNGANRZJHBGPY-SCRDCRAPSA-N Riboflavin Chemical compound OC[C@@H](O)[C@@H](O)[C@@H](O)CN1C=2C=C(C)C(C)=CC=2N=C2C1=NC(=O)NC2=O AUNGANRZJHBGPY-SCRDCRAPSA-N 0.000 description 2
- 108010077895 Sarcosine Proteins 0.000 description 2
- 201000010208 Seminoma Diseases 0.000 description 2
- MTCFGRXMJLQNBG-UHFFFAOYSA-N Serine Natural products OCC(N)C(O)=O MTCFGRXMJLQNBG-UHFFFAOYSA-N 0.000 description 2
- 208000000453 Skin Neoplasms Diseases 0.000 description 2
- 208000005718 Stomach Neoplasms Diseases 0.000 description 2
- NINIDFKCEFEMDL-UHFFFAOYSA-N Sulfur Chemical compound [S] NINIDFKCEFEMDL-UHFFFAOYSA-N 0.000 description 2
- NKANXQFJJICGDU-QPLCGJKRSA-N Tamoxifen Chemical compound C=1C=CC=CC=1C(/CC)=C(C=1C=CC(OCCN(C)C)=CC=1)/C1=CC=CC=C1 NKANXQFJJICGDU-QPLCGJKRSA-N 0.000 description 2
- 206010057644 Testis cancer Diseases 0.000 description 2
- AYFVYJQAPQTCCC-UHFFFAOYSA-N Threonine Natural products CC(O)C(N)C(O)=O AYFVYJQAPQTCCC-UHFFFAOYSA-N 0.000 description 2
- 239000004473 Threonine Substances 0.000 description 2
- 108060008682 Tumor Necrosis Factor Proteins 0.000 description 2
- 102000000852 Tumor Necrosis Factor-alpha Human genes 0.000 description 2
- 229930003427 Vitamin E Natural products 0.000 description 2
- 208000008383 Wilms tumor Diseases 0.000 description 2
- 230000002378 acidificating effect Effects 0.000 description 2
- DZBUGLKDJFMEHC-UHFFFAOYSA-N acridine Chemical compound C1=CC=CC2=CC3=CC=CC=C3N=C21 DZBUGLKDJFMEHC-UHFFFAOYSA-N 0.000 description 2
- 208000009621 actinic keratosis Diseases 0.000 description 2
- 230000009471 action Effects 0.000 description 2
- 238000007792 addition Methods 0.000 description 2
- 208000009956 adenocarcinoma Diseases 0.000 description 2
- 150000001299 aldehydes Chemical class 0.000 description 2
- 125000002877 alkyl aryl group Chemical group 0.000 description 2
- 229940100198 alkylating agent Drugs 0.000 description 2
- 239000002168 alkylating agent Substances 0.000 description 2
- SHGAZHPCJJPHSC-YCNIQYBTSA-N all-trans-retinoic acid Chemical compound OC(=O)\C=C(/C)\C=C\C=C(/C)\C=C\C1=C(C)CCCC1(C)C SHGAZHPCJJPHSC-YCNIQYBTSA-N 0.000 description 2
- 150000001371 alpha-amino acids Chemical class 0.000 description 2
- 235000008206 alpha-amino acids Nutrition 0.000 description 2
- 229940035676 analgesics Drugs 0.000 description 2
- 239000000730 antalgic agent Substances 0.000 description 2
- 239000003242 anti bacterial agent Substances 0.000 description 2
- 229940088710 antibiotic agent Drugs 0.000 description 2
- 238000011394 anticancer treatment Methods 0.000 description 2
- 229940041181 antineoplastic drug Drugs 0.000 description 2
- 229940045985 antineoplastic platinum compound Drugs 0.000 description 2
- 238000013459 approach Methods 0.000 description 2
- ODKSFYDXXFIFQN-UHFFFAOYSA-N arginine Natural products OC(=O)C(N)CCCNC(N)=N ODKSFYDXXFIFQN-UHFFFAOYSA-N 0.000 description 2
- 125000005018 aryl alkenyl group Chemical group 0.000 description 2
- 125000003710 aryl alkyl group Chemical group 0.000 description 2
- OHDRQQURAXLVGJ-HLVWOLMTSA-N azane;(2e)-3-ethyl-2-[(e)-(3-ethyl-6-sulfo-1,3-benzothiazol-2-ylidene)hydrazinylidene]-1,3-benzothiazole-6-sulfonic acid Chemical compound [NH4+].[NH4+].S/1C2=CC(S([O-])(=O)=O)=CC=C2N(CC)C\1=N/N=C1/SC2=CC(S([O-])(=O)=O)=CC=C2N1CC OHDRQQURAXLVGJ-HLVWOLMTSA-N 0.000 description 2
- 230000001588 bifunctional effect Effects 0.000 description 2
- 150000001720 carbohydrates Chemical class 0.000 description 2
- 235000014633 carbohydrates Nutrition 0.000 description 2
- 150000007942 carboxylates Chemical class 0.000 description 2
- 239000005018 casein Substances 0.000 description 2
- BECPQYXYKAMYBN-UHFFFAOYSA-N casein, tech. Chemical compound NCCCCC(C(O)=O)N=C(O)C(CC(O)=O)N=C(O)C(CCC(O)=N)N=C(O)C(CC(C)C)N=C(O)C(CCC(O)=O)N=C(O)C(CC(O)=O)N=C(O)C(CCC(O)=O)N=C(O)C(C(C)O)N=C(O)C(CCC(O)=N)N=C(O)C(CCC(O)=N)N=C(O)C(CCC(O)=N)N=C(O)C(CCC(O)=O)N=C(O)C(CCC(O)=O)N=C(O)C(COP(O)(O)=O)N=C(O)C(CCC(O)=N)N=C(O)C(N)CC1=CC=CC=C1 BECPQYXYKAMYBN-UHFFFAOYSA-N 0.000 description 2
- 235000021240 caseins Nutrition 0.000 description 2
- 230000015556 catabolic process Effects 0.000 description 2
- 108091092356 cellular DNA Proteins 0.000 description 2
- 239000002738 chelating agent Substances 0.000 description 2
- HVYWMOMLDIMFJA-DPAQBDIFSA-N cholesterol Chemical compound C1C=C2C[C@@H](O)CC[C@]2(C)[C@@H]2[C@@H]1[C@@H]1CC[C@H]([C@H](C)CCCC(C)C)[C@@]1(C)CC2 HVYWMOMLDIMFJA-DPAQBDIFSA-N 0.000 description 2
- 229940125904 compound 1 Drugs 0.000 description 2
- 229940125782 compound 2 Drugs 0.000 description 2
- 239000006071 cream Substances 0.000 description 2
- 239000002619 cytotoxin Substances 0.000 description 2
- 238000006731 degradation reaction Methods 0.000 description 2
- 238000003745 diagnosis Methods 0.000 description 2
- 239000003085 diluting agent Substances 0.000 description 2
- 238000012377 drug delivery Methods 0.000 description 2
- 210000000981 epithelium Anatomy 0.000 description 2
- 201000004101 esophageal cancer Diseases 0.000 description 2
- MMXKVMNBHPAILY-UHFFFAOYSA-N ethyl laurate Chemical compound CCCCCCCCCCCC(=O)OCC MMXKVMNBHPAILY-UHFFFAOYSA-N 0.000 description 2
- 239000012894 fetal calf serum Substances 0.000 description 2
- OVBPIULPVIDEAO-LBPRGKRZSA-N folic acid Chemical compound C=1N=C2NC(N)=NC(=O)C2=NC=1CNC1=CC=C(C(=O)N[C@@H](CCC(O)=O)C(O)=O)C=C1 OVBPIULPVIDEAO-LBPRGKRZSA-N 0.000 description 2
- 238000009472 formulation Methods 0.000 description 2
- 125000002541 furyl group Chemical group 0.000 description 2
- 229960003692 gamma aminobutyric acid Drugs 0.000 description 2
- WIGCFUFOHFEKBI-UHFFFAOYSA-N gamma-tocopherol Natural products CC(C)CCCC(C)CCCC(C)CCCC1CCC2C(C)C(O)C(C)C(C)C2O1 WIGCFUFOHFEKBI-UHFFFAOYSA-N 0.000 description 2
- 206010017758 gastric cancer Diseases 0.000 description 2
- 239000008103 glucose Substances 0.000 description 2
- 230000012010 growth Effects 0.000 description 2
- 201000005787 hematologic cancer Diseases 0.000 description 2
- 208000024200 hematopoietic and lymphoid system neoplasm Diseases 0.000 description 2
- IPCSVZSSVZVIGE-UHFFFAOYSA-N hexadecanoic acid Chemical compound CCCCCCCCCCCCCCCC(O)=O IPCSVZSSVZVIGE-UHFFFAOYSA-N 0.000 description 2
- 238000004128 high performance liquid chromatography Methods 0.000 description 2
- 229910052739 hydrogen Inorganic materials 0.000 description 2
- 206010020718 hyperplasia Diseases 0.000 description 2
- 229940127121 immunoconjugate Drugs 0.000 description 2
- 238000001727 in vivo Methods 0.000 description 2
- 238000011534 incubation Methods 0.000 description 2
- NOESYZHRGYRDHS-UHFFFAOYSA-N insulin Chemical compound N1C(=O)C(NC(=O)C(CCC(N)=O)NC(=O)C(CCC(O)=O)NC(=O)C(C(C)C)NC(=O)C(NC(=O)CN)C(C)CC)CSSCC(C(NC(CO)C(=O)NC(CC(C)C)C(=O)NC(CC=2C=CC(O)=CC=2)C(=O)NC(CCC(N)=O)C(=O)NC(CC(C)C)C(=O)NC(CCC(O)=O)C(=O)NC(CC(N)=O)C(=O)NC(CC=2C=CC(O)=CC=2)C(=O)NC(CSSCC(NC(=O)C(C(C)C)NC(=O)C(CC(C)C)NC(=O)C(CC=2C=CC(O)=CC=2)NC(=O)C(CC(C)C)NC(=O)C(C)NC(=O)C(CCC(O)=O)NC(=O)C(C(C)C)NC(=O)C(CC(C)C)NC(=O)C(CC=2NC=NC=2)NC(=O)C(CO)NC(=O)CNC2=O)C(=O)NCC(=O)NC(CCC(O)=O)C(=O)NC(CCCNC(N)=N)C(=O)NCC(=O)NC(CC=3C=CC=CC=3)C(=O)NC(CC=3C=CC=CC=3)C(=O)NC(CC=3C=CC(O)=CC=3)C(=O)NC(C(C)O)C(=O)N3C(CCC3)C(=O)NC(CCCCN)C(=O)NC(C)C(O)=O)C(=O)NC(CC(N)=O)C(O)=O)=O)NC(=O)C(C(C)CC)NC(=O)C(CO)NC(=O)C(C(C)O)NC(=O)C1CSSCC2NC(=O)C(CC(C)C)NC(=O)C(NC(=O)C(CCC(N)=O)NC(=O)C(CC(N)=O)NC(=O)C(NC(=O)C(N)CC=1C=CC=CC=1)C(C)C)CC1=CN=CN1 NOESYZHRGYRDHS-UHFFFAOYSA-N 0.000 description 2
- 238000001361 intraarterial administration Methods 0.000 description 2
- 238000007918 intramuscular administration Methods 0.000 description 2
- 125000001449 isopropyl group Chemical group [H]C([H])([H])C([H])(*)C([H])([H])[H] 0.000 description 2
- 150000002576 ketones Chemical class 0.000 description 2
- 201000010982 kidney cancer Diseases 0.000 description 2
- 239000008101 lactose Substances 0.000 description 2
- 239000007788 liquid Substances 0.000 description 2
- 239000000314 lubricant Substances 0.000 description 2
- 201000005202 lung cancer Diseases 0.000 description 2
- 125000003588 lysine group Chemical group [H]N([H])C([H])([H])C([H])([H])C([H])([H])C([H])([H])C([H])(N([H])[H])C(*)=O 0.000 description 2
- 235000019359 magnesium stearate Nutrition 0.000 description 2
- 238000004519 manufacturing process Methods 0.000 description 2
- 125000002496 methyl group Chemical group [H]C([H])([H])* 0.000 description 2
- KKZJGLLVHKMTCM-UHFFFAOYSA-N mitoxantrone Chemical group O=C1C2=C(O)C=CC(O)=C2C(=O)C2=C1C(NCCNCCO)=CC=C2NCCNCCO KKZJGLLVHKMTCM-UHFFFAOYSA-N 0.000 description 2
- 229960001156 mitoxantrone Drugs 0.000 description 2
- 150000002772 monosaccharides Chemical group 0.000 description 2
- 125000001624 naphthyl group Chemical group 0.000 description 2
- 201000008026 nephroblastoma Diseases 0.000 description 2
- QTNLALDFXILRQO-UHFFFAOYSA-N nonadecane-1,2,3-triol Chemical compound CCCCCCCCCCCCCCCCC(O)C(O)CO QTNLALDFXILRQO-UHFFFAOYSA-N 0.000 description 2
- 125000002811 oleoyl group Chemical group O=C([*])C([H])([H])C([H])([H])C([H])([H])C([H])([H])C([H])([H])C([H])([H])C([H])([H])/C([H])=C([H])\C([H])([H])C([H])([H])C([H])([H])C([H])([H])C([H])([H])C([H])([H])C([H])([H])C([H])([H])[H] 0.000 description 2
- 239000012044 organic layer Substances 0.000 description 2
- 201000008968 osteosarcoma Diseases 0.000 description 2
- 230000000149 penetrating effect Effects 0.000 description 2
- 229940049954 penicillin Drugs 0.000 description 2
- 230000000144 pharmacologic effect Effects 0.000 description 2
- 125000001997 phenyl group Chemical group [H]C1=C([H])C([H])=C(*)C([H])=C1[H] 0.000 description 2
- 235000021317 phosphate Nutrition 0.000 description 2
- 239000006187 pill Substances 0.000 description 2
- 239000013612 plasmid Substances 0.000 description 2
- 229920000656 polylysine Polymers 0.000 description 2
- 229920000642 polymer Polymers 0.000 description 2
- 239000000256 polyoxyethylene sorbitan monolaurate Substances 0.000 description 2
- 235000010486 polyoxyethylene sorbitan monolaurate Nutrition 0.000 description 2
- 229920002451 polyvinyl alcohol Polymers 0.000 description 2
- 150000004032 porphyrins Chemical class 0.000 description 2
- 239000002244 precipitate Substances 0.000 description 2
- ZCCUUQDIBDJBTK-UHFFFAOYSA-N psoralen Chemical compound C1=C2OC(=O)C=CC2=CC2=C1OC=C2 ZCCUUQDIBDJBTK-UHFFFAOYSA-N 0.000 description 2
- 238000000746 purification Methods 0.000 description 2
- 201000009410 rhabdomyosarcoma Diseases 0.000 description 2
- 150000003839 salts Chemical class 0.000 description 2
- 239000000523 sample Substances 0.000 description 2
- 229920006395 saturated elastomer Polymers 0.000 description 2
- 238000010898 silica gel chromatography Methods 0.000 description 2
- 210000003491 skin Anatomy 0.000 description 2
- 201000000849 skin cancer Diseases 0.000 description 2
- 239000011734 sodium Substances 0.000 description 2
- 238000002415 sodium dodecyl sulfate polyacrylamide gel electrophoresis Methods 0.000 description 2
- 239000002904 solvent Substances 0.000 description 2
- ATHGHQPFGPMSJY-UHFFFAOYSA-N spermidine Chemical compound NCCCCNCCCN ATHGHQPFGPMSJY-UHFFFAOYSA-N 0.000 description 2
- PFNFFQXMRSDOHW-UHFFFAOYSA-N spermine Chemical compound NCCCNCCCCNCCCN PFNFFQXMRSDOHW-UHFFFAOYSA-N 0.000 description 2
- 239000007858 starting material Substances 0.000 description 2
- 150000003431 steroids Chemical class 0.000 description 2
- 201000011549 stomach cancer Diseases 0.000 description 2
- 229960005322 streptomycin Drugs 0.000 description 2
- 238000007920 subcutaneous administration Methods 0.000 description 2
- 238000006467 substitution reaction Methods 0.000 description 2
- 235000000346 sugar Nutrition 0.000 description 2
- 150000008163 sugars Chemical class 0.000 description 2
- 239000011593 sulfur Substances 0.000 description 2
- 239000000829 suppository Substances 0.000 description 2
- 239000000725 suspension Substances 0.000 description 2
- 208000024891 symptom Diseases 0.000 description 2
- 208000011580 syndromic disease Diseases 0.000 description 2
- 239000000454 talc Substances 0.000 description 2
- 229910052623 talc Inorganic materials 0.000 description 2
- 208000001608 teratocarcinoma Diseases 0.000 description 2
- 230000001225 therapeutic effect Effects 0.000 description 2
- 125000001544 thienyl group Chemical group 0.000 description 2
- UMGDCJDMYOKAJW-UHFFFAOYSA-N thiourea Chemical compound NC(N)=S UMGDCJDMYOKAJW-UHFFFAOYSA-N 0.000 description 2
- 201000002510 thyroid cancer Diseases 0.000 description 2
- 210000001685 thyroid gland Anatomy 0.000 description 2
- 238000011200 topical administration Methods 0.000 description 2
- 229940088594 vitamin Drugs 0.000 description 2
- 229930003231 vitamin Natural products 0.000 description 2
- 235000013343 vitamin Nutrition 0.000 description 2
- 239000011782 vitamin Substances 0.000 description 2
- 235000019165 vitamin E Nutrition 0.000 description 2
- 239000011709 vitamin E Substances 0.000 description 2
- 229940046009 vitamin E Drugs 0.000 description 2
- NOOLISFMXDJSKH-UTLUCORTSA-N (+)-Neomenthol Chemical group CC(C)[C@@H]1CC[C@@H](C)C[C@@H]1O NOOLISFMXDJSKH-UTLUCORTSA-N 0.000 description 1
- WWYNJERNGUHSAO-XUDSTZEESA-N (+)-Norgestrel Chemical compound O=C1CC[C@@H]2[C@H]3CC[C@](CC)([C@](CC4)(O)C#C)[C@@H]4[C@@H]3CCC2=C1 WWYNJERNGUHSAO-XUDSTZEESA-N 0.000 description 1
- DTGKSKDOIYIVQL-WEDXCCLWSA-N (+)-borneol Chemical group C1C[C@@]2(C)[C@@H](O)C[C@@H]1C2(C)C DTGKSKDOIYIVQL-WEDXCCLWSA-N 0.000 description 1
- BMKDZUISNHGIBY-ZETCQYMHSA-N (+)-dexrazoxane Chemical compound C([C@H](C)N1CC(=O)NC(=O)C1)N1CC(=O)NC(=O)C1 BMKDZUISNHGIBY-ZETCQYMHSA-N 0.000 description 1
- DNIAPMSPPWPWGF-VKHMYHEASA-N (+)-propylene glycol Chemical group C[C@H](O)CO DNIAPMSPPWPWGF-VKHMYHEASA-N 0.000 description 1
- REPVLJRCJUVQFA-UHFFFAOYSA-N (-)-isopinocampheol Chemical group C1C(O)C(C)C2C(C)(C)C1C2 REPVLJRCJUVQFA-UHFFFAOYSA-N 0.000 description 1
- OTFGRYBHZNZWHC-ZBHICJROSA-N (2S)-2-(pyrrolidin-3-ylamino)propanoic acid Chemical compound N1CC(CC1)N[C@@H](C)C(=O)O OTFGRYBHZNZWHC-ZBHICJROSA-N 0.000 description 1
- OCLLVJCYGMCLJG-CYBMUJFWSA-N (2r)-2-azaniumyl-2-naphthalen-1-ylpropanoate Chemical compound C1=CC=C2C([C@@](N)(C(O)=O)C)=CC=CC2=C1 OCLLVJCYGMCLJG-CYBMUJFWSA-N 0.000 description 1
- LNAZSHAWQACDHT-XIYTZBAFSA-N (2r,3r,4s,5r,6s)-4,5-dimethoxy-2-(methoxymethyl)-3-[(2s,3r,4s,5r,6r)-3,4,5-trimethoxy-6-(methoxymethyl)oxan-2-yl]oxy-6-[(2r,3r,4s,5r,6r)-4,5,6-trimethoxy-2-(methoxymethyl)oxan-3-yl]oxyoxane Chemical compound CO[C@@H]1[C@@H](OC)[C@H](OC)[C@@H](COC)O[C@H]1O[C@H]1[C@H](OC)[C@@H](OC)[C@H](O[C@H]2[C@@H]([C@@H](OC)[C@H](OC)O[C@@H]2COC)OC)O[C@@H]1COC LNAZSHAWQACDHT-XIYTZBAFSA-N 0.000 description 1
- BVAUMRCGVHUWOZ-ZETCQYMHSA-N (2s)-2-(cyclohexylazaniumyl)propanoate Chemical compound OC(=O)[C@H](C)NC1CCCCC1 BVAUMRCGVHUWOZ-ZETCQYMHSA-N 0.000 description 1
- LEVLUBIPMJQYHH-QMMMGPOBSA-N (2s)-2-(difluoroamino)-3-phenylpropanoic acid Chemical compound OC(=O)[C@@H](N(F)F)CC1=CC=CC=C1 LEVLUBIPMJQYHH-QMMMGPOBSA-N 0.000 description 1
- WTKYBFQVZPCGAO-LURJTMIESA-N (2s)-2-(pyridin-3-ylamino)propanoic acid Chemical compound OC(=O)[C@H](C)NC1=CC=CN=C1 WTKYBFQVZPCGAO-LURJTMIESA-N 0.000 description 1
- RGIWZNSMSXQWLY-AWEZNQCLSA-N (2s)-2-acetamido-3-naphthalen-1-ylpropanoic acid Chemical compound C1=CC=C2C(C[C@H](NC(=O)C)C(O)=O)=CC=CC2=C1 RGIWZNSMSXQWLY-AWEZNQCLSA-N 0.000 description 1
- NPDBDJFLKKQMCM-SCSAIBSYSA-N (2s)-2-amino-3,3-dimethylbutanoic acid Chemical compound CC(C)(C)[C@H](N)C(O)=O NPDBDJFLKKQMCM-SCSAIBSYSA-N 0.000 description 1
- WAMWSIDTKSNDCU-ZETCQYMHSA-N (2s)-2-azaniumyl-2-cyclohexylacetate Chemical compound OC(=O)[C@@H](N)C1CCCCC1 WAMWSIDTKSNDCU-ZETCQYMHSA-N 0.000 description 1
- LOGFVTREOLYCPF-KXNHARMFSA-N (2s,3r)-2-[[(2r)-1-[(2s)-2,6-diaminohexanoyl]pyrrolidine-2-carbonyl]amino]-3-hydroxybutanoic acid Chemical compound C[C@@H](O)[C@@H](C(O)=O)NC(=O)[C@H]1CCCN1C(=O)[C@@H](N)CCCCN LOGFVTREOLYCPF-KXNHARMFSA-N 0.000 description 1
- LJRDOKAZOAKLDU-UDXJMMFXSA-N (2s,3s,4r,5r,6r)-5-amino-2-(aminomethyl)-6-[(2r,3s,4r,5s)-5-[(1r,2r,3s,5r,6s)-3,5-diamino-2-[(2s,3r,4r,5s,6r)-3-amino-4,5-dihydroxy-6-(hydroxymethyl)oxan-2-yl]oxy-6-hydroxycyclohexyl]oxy-4-hydroxy-2-(hydroxymethyl)oxolan-3-yl]oxyoxane-3,4-diol;sulfuric ac Chemical compound OS(O)(=O)=O.N[C@@H]1[C@@H](O)[C@H](O)[C@H](CN)O[C@@H]1O[C@H]1[C@@H](O)[C@H](O[C@H]2[C@@H]([C@@H](N)C[C@@H](N)[C@@H]2O)O[C@@H]2[C@@H]([C@@H](O)[C@H](O)[C@@H](CO)O2)N)O[C@@H]1CO LJRDOKAZOAKLDU-UDXJMMFXSA-N 0.000 description 1
- BHQCQFFYRZLCQQ-UHFFFAOYSA-N (3alpha,5alpha,7alpha,12alpha)-3,7,12-trihydroxy-cholan-24-oic acid Natural products OC1CC2CC(O)CCC2(C)C2C1C1CCC(C(CCC(O)=O)C)C1(C)C(O)C2 BHQCQFFYRZLCQQ-UHFFFAOYSA-N 0.000 description 1
- XJLSEXAGTJCILF-RXMQYKEDSA-N (R)-nipecotic acid zwitterion Chemical compound OC(=O)[C@@H]1CCCNC1 XJLSEXAGTJCILF-RXMQYKEDSA-N 0.000 description 1
- 108091032973 (ribonucleotides)n+m Proteins 0.000 description 1
- TYAFIFFKPSWZRM-HYXAFXHYSA-N (z)-2-amino-4-methylpent-2-enoic acid Chemical compound CC(C)\C=C(/N)C(O)=O TYAFIFFKPSWZRM-HYXAFXHYSA-N 0.000 description 1
- OXFGRWIKQDSSLY-UHFFFAOYSA-N 1,2,3,4-tetrahydroisoquinolin-2-ium-1-carboxylate Chemical compound C1=CC=C2C(C(=O)O)NCCC2=C1 OXFGRWIKQDSSLY-UHFFFAOYSA-N 0.000 description 1
- ZIZMDHZLHJBNSQ-UHFFFAOYSA-N 1,2-dihydrophenazine Chemical compound C1=CC=C2N=C(C=CCC3)C3=NC2=C1 ZIZMDHZLHJBNSQ-UHFFFAOYSA-N 0.000 description 1
- YPFDHNVEDLHUCE-UHFFFAOYSA-N 1,3-propanediol Chemical group OCCCO YPFDHNVEDLHUCE-UHFFFAOYSA-N 0.000 description 1
- 229940035437 1,3-propanediol Drugs 0.000 description 1
- HJTAZXHBEBIQQX-UHFFFAOYSA-N 1,5-bis(chloromethyl)naphthalene Chemical compound C1=CC=C2C(CCl)=CC=CC2=C1CCl HJTAZXHBEBIQQX-UHFFFAOYSA-N 0.000 description 1
- WOXWUZCRWJWTRT-UHFFFAOYSA-N 1-amino-1-cyclohexanecarboxylic acid Chemical compound OC(=O)C1(N)CCCCC1 WOXWUZCRWJWTRT-UHFFFAOYSA-N 0.000 description 1
- NILQLFBWTXNUOE-UHFFFAOYSA-N 1-aminocyclopentanecarboxylic acid Chemical compound OC(=O)C1(N)CCCC1 NILQLFBWTXNUOE-UHFFFAOYSA-N 0.000 description 1
- MZMNEDXVUJLQAF-UHFFFAOYSA-N 1-o-tert-butyl 2-o-methyl 4-hydroxypyrrolidine-1,2-dicarboxylate Chemical compound COC(=O)C1CC(O)CN1C(=O)OC(C)(C)C MZMNEDXVUJLQAF-UHFFFAOYSA-N 0.000 description 1
- WJFKNYWRSNBZNX-UHFFFAOYSA-N 10H-phenothiazine Chemical compound C1=CC=C2NC3=CC=CC=C3SC2=C1 WJFKNYWRSNBZNX-UHFFFAOYSA-N 0.000 description 1
- TZMSYXZUNZXBOL-UHFFFAOYSA-N 10H-phenoxazine Chemical compound C1=CC=C2NC3=CC=CC=C3OC2=C1 TZMSYXZUNZXBOL-UHFFFAOYSA-N 0.000 description 1
- FPIPGXGPPPQFEQ-UHFFFAOYSA-N 13-cis retinol Natural products OCC=C(C)C=CC=C(C)C=CC1=C(C)CCCC1(C)C FPIPGXGPPPQFEQ-UHFFFAOYSA-N 0.000 description 1
- NVKAWKQGWWIWPM-ABEVXSGRSA-N 17-β-hydroxy-5-α-Androstan-3-one Chemical compound C1C(=O)CC[C@]2(C)[C@H]3CC[C@](C)([C@H](CC4)O)[C@@H]4[C@@H]3CC[C@H]21 NVKAWKQGWWIWPM-ABEVXSGRSA-N 0.000 description 1
- YBYIRNPNPLQARY-UHFFFAOYSA-N 1H-indene Natural products C1=CC=C2CC=CC2=C1 YBYIRNPNPLQARY-UHFFFAOYSA-N 0.000 description 1
- BLCJBICVQSYOIF-UHFFFAOYSA-N 2,2-diaminobutanoic acid Chemical compound CCC(N)(N)C(O)=O BLCJBICVQSYOIF-UHFFFAOYSA-N 0.000 description 1
- VEPOHXYIFQMVHW-XOZOLZJESA-N 2,3-dihydroxybutanedioic acid (2S,3S)-3,4-dimethyl-2-phenylmorpholine Chemical compound OC(C(O)C(O)=O)C(O)=O.C[C@H]1[C@@H](OCCN1C)c1ccccc1 VEPOHXYIFQMVHW-XOZOLZJESA-N 0.000 description 1
- AOTQGWFNFTVXNQ-UHFFFAOYSA-N 2-(1-adamantyl)acetic acid Chemical compound C1C(C2)CC3CC2CC1(CC(=O)O)C3 AOTQGWFNFTVXNQ-UHFFFAOYSA-N 0.000 description 1
- AZUHIVLOSAPWDM-UHFFFAOYSA-N 2-(1h-imidazol-2-yl)-1h-imidazole Chemical compound C1=CNC(C=2NC=CN=2)=N1 AZUHIVLOSAPWDM-UHFFFAOYSA-N 0.000 description 1
- TXHAHOVNFDVCCC-UHFFFAOYSA-N 2-(tert-butylazaniumyl)acetate Chemical compound CC(C)(C)NCC(O)=O TXHAHOVNFDVCCC-UHFFFAOYSA-N 0.000 description 1
- QWCKQJZIFLGMSD-UHFFFAOYSA-N 2-Aminobutanoic acid Natural products CCC(N)C(O)=O QWCKQJZIFLGMSD-UHFFFAOYSA-N 0.000 description 1
- RTQWWZBSTRGEAV-PKHIMPSTSA-N 2-[[(2s)-2-[bis(carboxymethyl)amino]-3-[4-(methylcarbamoylamino)phenyl]propyl]-[2-[bis(carboxymethyl)amino]propyl]amino]acetic acid Chemical compound CNC(=O)NC1=CC=C(C[C@@H](CN(CC(C)N(CC(O)=O)CC(O)=O)CC(O)=O)N(CC(O)=O)CC(O)=O)C=C1 RTQWWZBSTRGEAV-PKHIMPSTSA-N 0.000 description 1
- BKQQPCDQZZTLSE-UHFFFAOYSA-N 2-amino-3-naphthalen-1-ylpropanoic acid;hydrochloride Chemical compound Cl.C1=CC=C2C(CC(N)C(O)=O)=CC=CC2=C1 BKQQPCDQZZTLSE-UHFFFAOYSA-N 0.000 description 1
- CXOWHCCVISNMIX-UHFFFAOYSA-N 2-aminonaphthalene-1-carboxylic acid Chemical compound C1=CC=CC2=C(C(O)=O)C(N)=CC=C21 CXOWHCCVISNMIX-UHFFFAOYSA-N 0.000 description 1
- KWOMLHIFHFWBSB-UHFFFAOYSA-N 2-azaniumyl-2-ethylbutanoate Chemical compound CCC(N)(CC)C(O)=O KWOMLHIFHFWBSB-UHFFFAOYSA-N 0.000 description 1
- WTOFYLAWDLQMBZ-UHFFFAOYSA-N 2-azaniumyl-3-thiophen-2-ylpropanoate Chemical compound OC(=O)C(N)CC1=CC=CS1 WTOFYLAWDLQMBZ-UHFFFAOYSA-N 0.000 description 1
- ZWHZETYWHFYKOF-UHFFFAOYSA-N 2-ethyl-3-oxo-2-phenoxybutanoic acid Chemical compound CCC(C(O)=O)(C(C)=O)OC1=CC=CC=C1 ZWHZETYWHFYKOF-UHFFFAOYSA-N 0.000 description 1
- WROUWQQRXUBECT-UHFFFAOYSA-N 2-ethylacrylic acid Chemical compound CCC(=C)C(O)=O WROUWQQRXUBECT-UHFFFAOYSA-N 0.000 description 1
- YEDUAINPPJYDJZ-UHFFFAOYSA-N 2-hydroxybenzothiazole Chemical compound C1=CC=C2SC(O)=NC2=C1 YEDUAINPPJYDJZ-UHFFFAOYSA-N 0.000 description 1
- RCHAKLCYTZRINN-UHFFFAOYSA-N 2-nitrobenzenecarbothioic s-acid Chemical compound OC(=S)C1=CC=CC=C1[N+]([O-])=O RCHAKLCYTZRINN-UHFFFAOYSA-N 0.000 description 1
- 125000003903 2-propenyl group Chemical group [H]C([*])([H])C([H])=C([H])[H] 0.000 description 1
- 125000001494 2-propynyl group Chemical group [H]C#CC([H])([H])* 0.000 description 1
- PYSRRFNXTXNWCD-UHFFFAOYSA-N 3-(2-phenylethenyl)furan-2,5-dione Chemical compound O=C1OC(=O)C(C=CC=2C=CC=CC=2)=C1 PYSRRFNXTXNWCD-UHFFFAOYSA-N 0.000 description 1
- UZFPOOOQHWICKY-UHFFFAOYSA-N 3-[13-[1-[1-[8,12-bis(2-carboxyethyl)-17-(1-hydroxyethyl)-3,7,13,18-tetramethyl-21,24-dihydroporphyrin-2-yl]ethoxy]ethyl]-18-(2-carboxyethyl)-8-(1-hydroxyethyl)-3,7,12,17-tetramethyl-22,23-dihydroporphyrin-2-yl]propanoic acid Chemical compound N1C(C=C2C(=C(CCC(O)=O)C(C=C3C(=C(C)C(C=C4N5)=N3)CCC(O)=O)=N2)C)=C(C)C(C(C)O)=C1C=C5C(C)=C4C(C)OC(C)C1=C(N2)C=C(N3)C(C)=C(C(O)C)C3=CC(C(C)=C3CCC(O)=O)=NC3=CC(C(CCC(O)=O)=C3C)=NC3=CC2=C1C UZFPOOOQHWICKY-UHFFFAOYSA-N 0.000 description 1
- BXRLWGXPSRYJDZ-UHFFFAOYSA-N 3-cyanoalanine Chemical compound OC(=O)C(N)CC#N BXRLWGXPSRYJDZ-UHFFFAOYSA-N 0.000 description 1
- HIAJCGFYHIANNA-QIZZZRFXSA-N 3b-Hydroxy-5-cholenoic acid Chemical compound C1C=C2C[C@@H](O)CC[C@]2(C)[C@@H]2[C@@H]1[C@@H]1CC[C@H]([C@@H](CCC(O)=O)C)[C@@]1(C)CC2 HIAJCGFYHIANNA-QIZZZRFXSA-N 0.000 description 1
- VXGRJERITKFWPL-UHFFFAOYSA-N 4',5'-Dihydropsoralen Natural products C1=C2OC(=O)C=CC2=CC2=C1OCC2 VXGRJERITKFWPL-UHFFFAOYSA-N 0.000 description 1
- AOJJSUZBOXZQNB-VTZDEGQISA-N 4'-epidoxorubicin Chemical compound O([C@H]1C[C@@](O)(CC=2C(O)=C3C(=O)C=4C=CC=C(C=4C(=O)C3=C(O)C=21)OC)C(=O)CO)[C@H]1C[C@H](N)[C@@H](O)[C@H](C)O1 AOJJSUZBOXZQNB-VTZDEGQISA-N 0.000 description 1
- CMUHFUGDYMFHEI-QMMMGPOBSA-N 4-amino-L-phenylalanine Chemical compound OC(=O)[C@@H](N)CC1=CC=C(N)C=C1 CMUHFUGDYMFHEI-QMMMGPOBSA-N 0.000 description 1
- ALYNCZNDIQEVRV-UHFFFAOYSA-N 4-aminobenzoic acid Chemical compound NC1=CC=C(C(O)=O)C=C1 ALYNCZNDIQEVRV-UHFFFAOYSA-N 0.000 description 1
- 229960000549 4-dimethylaminophenol Drugs 0.000 description 1
- XWHHYOYVRVGJJY-UHFFFAOYSA-N 4-fluorophenylalanine Chemical compound OC(=O)C(N)CC1=CC=C(F)C=C1 XWHHYOYVRVGJJY-UHFFFAOYSA-N 0.000 description 1
- 102000040125 5-hydroxytryptamine receptor family Human genes 0.000 description 1
- 108091032151 5-hydroxytryptamine receptor family Proteins 0.000 description 1
- ODHCTXKNWHHXJC-VKHMYHEASA-N 5-oxo-L-proline Chemical compound OC(=O)[C@@H]1CCC(=O)N1 ODHCTXKNWHHXJC-VKHMYHEASA-N 0.000 description 1
- USSIQXCVUWKGNF-UHFFFAOYSA-N 6-(dimethylamino)-4,4-diphenylheptan-3-one Chemical compound C=1C=CC=CC=1C(CC(C)N(C)C)(C(=O)CC)C1=CC=CC=C1 USSIQXCVUWKGNF-UHFFFAOYSA-N 0.000 description 1
- WOJKKJKETHYEAC-UHFFFAOYSA-N 6-Maleimidocaproic acid Chemical compound OC(=O)CCCCCN1C(=O)C=CC1=O WOJKKJKETHYEAC-UHFFFAOYSA-N 0.000 description 1
- YTWPGUQMZQRYGM-UHFFFAOYSA-N 7-hydroxy-1,2,3,4-tetrahydroisoquinoline-1-carboxylic acid Chemical compound C1=C(O)C=C2C(C(=O)O)NCCC2=C1 YTWPGUQMZQRYGM-UHFFFAOYSA-N 0.000 description 1
- SHGAZHPCJJPHSC-ZVCIMWCZSA-N 9-cis-retinoic acid Chemical compound OC(=O)/C=C(\C)/C=C/C=C(/C)\C=C\C1=C(C)CCCC1(C)C SHGAZHPCJJPHSC-ZVCIMWCZSA-N 0.000 description 1
- 208000030507 AIDS Diseases 0.000 description 1
- 241000251468 Actinopterygii Species 0.000 description 1
- 208000036762 Acute promyelocytic leukaemia Diseases 0.000 description 1
- 208000009746 Adult T-Cell Leukemia-Lymphoma Diseases 0.000 description 1
- 206010001413 Adult T-cell lymphoma/leukaemia Diseases 0.000 description 1
- 229920001817 Agar Polymers 0.000 description 1
- 108010088751 Albumins Proteins 0.000 description 1
- 102000009027 Albumins Human genes 0.000 description 1
- 208000007848 Alcoholism Diseases 0.000 description 1
- 108700023418 Amidases Proteins 0.000 description 1
- 108020000948 Antisense Oligonucleotides Proteins 0.000 description 1
- IYMAXBFPHPZYIK-BQBZGAKWSA-N Arg-Gly-Asp Chemical compound NC(N)=NCCC[C@H](N)C(=O)NCC(=O)N[C@@H](CC(O)=O)C(O)=O IYMAXBFPHPZYIK-BQBZGAKWSA-N 0.000 description 1
- BFYIZQONLCFLEV-DAELLWKTSA-N Aromasine Chemical compound O=C1C=C[C@]2(C)[C@H]3CC[C@](C)(C(CC4)=O)[C@@H]4[C@@H]3CC(=C)C2=C1 BFYIZQONLCFLEV-DAELLWKTSA-N 0.000 description 1
- DCXYFEDJOCDNAF-UHFFFAOYSA-N Asparagine Natural products OC(=O)C(N)CC(N)=O DCXYFEDJOCDNAF-UHFFFAOYSA-N 0.000 description 1
- BSYNRYMUTXBXSQ-UHFFFAOYSA-N Aspirin Chemical compound CC(=O)OC1=CC=CC=C1C(O)=O BSYNRYMUTXBXSQ-UHFFFAOYSA-N 0.000 description 1
- 241000416162 Astragalus gummifer Species 0.000 description 1
- 206010003571 Astrocytoma Diseases 0.000 description 1
- 241000282672 Ateles sp. Species 0.000 description 1
- 208000004300 Atrophic Gastritis Diseases 0.000 description 1
- 241000972773 Aulopiformes Species 0.000 description 1
- 241000271566 Aves Species 0.000 description 1
- 208000003950 B-cell lymphoma Diseases 0.000 description 1
- 208000005440 Basal Cell Neoplasms Diseases 0.000 description 1
- 206010004446 Benign prostatic hyperplasia Diseases 0.000 description 1
- 241000157302 Bison bison athabascae Species 0.000 description 1
- 229940122361 Bisphosphonate Drugs 0.000 description 1
- 206010069448 Bladder dysplasia Diseases 0.000 description 1
- 208000020084 Bone disease Diseases 0.000 description 1
- 206010065553 Bone marrow failure Diseases 0.000 description 1
- 208000013165 Bowen disease Diseases 0.000 description 1
- 208000019337 Bowen disease of the skin Diseases 0.000 description 1
- 206010055113 Breast cancer metastatic Diseases 0.000 description 1
- 208000011691 Burkitt lymphomas Diseases 0.000 description 1
- OYPRJOBELJOOCE-UHFFFAOYSA-N Calcium Chemical compound [Ca] OYPRJOBELJOOCE-UHFFFAOYSA-N 0.000 description 1
- 241000282465 Canis Species 0.000 description 1
- GAGWJHPBXLXJQN-UORFTKCHSA-N Capecitabine Chemical compound C1=C(F)C(NC(=O)OCCCCC)=NC(=O)N1[C@H]1[C@H](O)[C@H](O)[C@@H](C)O1 GAGWJHPBXLXJQN-UORFTKCHSA-N 0.000 description 1
- GAGWJHPBXLXJQN-UHFFFAOYSA-N Capecitabine Natural products C1=C(F)C(NC(=O)OCCCCC)=NC(=O)N1C1C(O)C(O)C(C)O1 GAGWJHPBXLXJQN-UHFFFAOYSA-N 0.000 description 1
- 241000283707 Capra Species 0.000 description 1
- KXDHJXZQYSOELW-UHFFFAOYSA-M Carbamate Chemical compound NC([O-])=O KXDHJXZQYSOELW-UHFFFAOYSA-M 0.000 description 1
- 201000009030 Carcinoma Diseases 0.000 description 1
- 208000010667 Carcinoma of liver and intrahepatic biliary tract Diseases 0.000 description 1
- 102000053642 Catalytic RNA Human genes 0.000 description 1
- 108090000994 Catalytic RNA Proteins 0.000 description 1
- 206010008263 Cervical dysplasia Diseases 0.000 description 1
- 241000282994 Cervidae Species 0.000 description 1
- 102000009410 Chemokine receptor Human genes 0.000 description 1
- 108050000299 Chemokine receptor Proteins 0.000 description 1
- 239000004380 Cholic acid Substances 0.000 description 1
- PTOAARAWEBMLNO-KVQBGUIXSA-N Cladribine Chemical compound C1=NC=2C(N)=NC(Cl)=NC=2N1[C@H]1C[C@H](O)[C@@H](CO)O1 PTOAARAWEBMLNO-KVQBGUIXSA-N 0.000 description 1
- 208000001333 Colorectal Neoplasms Diseases 0.000 description 1
- 229920002261 Corn starch Polymers 0.000 description 1
- 241000699800 Cricetinae Species 0.000 description 1
- 108010069514 Cyclic Peptides Proteins 0.000 description 1
- 102000001189 Cyclic Peptides Human genes 0.000 description 1
- 102100021906 Cyclin-O Human genes 0.000 description 1
- AUNGANRZJHBGPY-UHFFFAOYSA-N D-Lyxoflavin Natural products OCC(O)C(O)C(O)CN1C=2C=C(C)C(C)=CC=2N=C2C1=NC(=O)NC2=O AUNGANRZJHBGPY-UHFFFAOYSA-N 0.000 description 1
- CKLJMWTZIZZHCS-UHFFFAOYSA-N D-OH-Asp Natural products OC(=O)C(N)CC(O)=O CKLJMWTZIZZHCS-UHFFFAOYSA-N 0.000 description 1
- QWCKQJZIFLGMSD-GSVOUGTGSA-N D-alpha-aminobutyric acid Chemical compound CC[C@@H](N)C(O)=O QWCKQJZIFLGMSD-GSVOUGTGSA-N 0.000 description 1
- SHZGCJCMOBCMKK-UHFFFAOYSA-N D-mannomethylose Natural products CC1OC(O)C(O)C(O)C1O SHZGCJCMOBCMKK-UHFFFAOYSA-N 0.000 description 1
- VVNCNSJFMMFHPL-VKHMYHEASA-N D-penicillamine Chemical compound CC(C)(S)[C@@H](N)C(O)=O VVNCNSJFMMFHPL-VKHMYHEASA-N 0.000 description 1
- NOOLISFMXDJSKH-UHFFFAOYSA-N DL-menthol Chemical group CC(C)C1CCC(C)CC1O NOOLISFMXDJSKH-UHFFFAOYSA-N 0.000 description 1
- 102000003915 DNA Topoisomerases Human genes 0.000 description 1
- 108090000323 DNA Topoisomerases Proteins 0.000 description 1
- 108010019673 Darbepoetin alfa Proteins 0.000 description 1
- WEAHRLBPCANXCN-UHFFFAOYSA-N Daunomycin Natural products CCC1(O)CC(OC2CC(N)C(O)C(C)O2)c3cc4C(=O)c5c(OC)cccc5C(=O)c4c(O)c3C1 WEAHRLBPCANXCN-UHFFFAOYSA-N 0.000 description 1
- 208000002699 Digestive System Neoplasms Diseases 0.000 description 1
- RWSOTUBLDIXVET-UHFFFAOYSA-N Dihydrogen sulfide Chemical class S RWSOTUBLDIXVET-UHFFFAOYSA-N 0.000 description 1
- 208000000655 Distemper Diseases 0.000 description 1
- 239000006144 Dulbecco’s modified Eagle's medium Substances 0.000 description 1
- 206010058314 Dysplasia Diseases 0.000 description 1
- KCXVZYZYPLLWCC-UHFFFAOYSA-N EDTA Chemical compound OC(=O)CN(CC(O)=O)CCN(CC(O)=O)CC(O)=O KCXVZYZYPLLWCC-UHFFFAOYSA-N 0.000 description 1
- LVGKNOAMLMIIKO-UHFFFAOYSA-N Elaidinsaeure-aethylester Natural products CCCCCCCCC=CCCCCCCCC(=O)OCC LVGKNOAMLMIIKO-UHFFFAOYSA-N 0.000 description 1
- 102100021587 Embryonic testis differentiation protein homolog A Human genes 0.000 description 1
- 108010042407 Endonucleases Proteins 0.000 description 1
- 102000004533 Endonucleases Human genes 0.000 description 1
- 102000002045 Endothelin Human genes 0.000 description 1
- 108050009340 Endothelin Proteins 0.000 description 1
- HTIJFSOGRVMCQR-UHFFFAOYSA-N Epirubicin Natural products COc1cccc2C(=O)c3c(O)c4CC(O)(CC(OC5CC(N)C(=O)C(C)O5)c4c(O)c3C(=O)c12)C(=O)CO HTIJFSOGRVMCQR-UHFFFAOYSA-N 0.000 description 1
- 241000283086 Equidae Species 0.000 description 1
- 241000283073 Equus caballus Species 0.000 description 1
- 108090000371 Esterases Proteins 0.000 description 1
- 239000001856 Ethyl cellulose Substances 0.000 description 1
- ZZSNKZQZMQGXPY-UHFFFAOYSA-N Ethyl cellulose Chemical compound CCOCC1OC(OC)C(OCC)C(OCC)C1OC1C(O)C(O)C(OC)C(CO)O1 ZZSNKZQZMQGXPY-UHFFFAOYSA-N 0.000 description 1
- 241000282324 Felis Species 0.000 description 1
- 201000008808 Fibrosarcoma Diseases 0.000 description 1
- 206010016654 Fibrosis Diseases 0.000 description 1
- 108010029961 Filgrastim Proteins 0.000 description 1
- 208000004463 Follicular Adenocarcinoma Diseases 0.000 description 1
- PNNNRSAQSRJVSB-SLPGGIOYSA-N Fucose Natural products C[C@H](O)[C@@H](O)[C@H](O)[C@H](O)C=O PNNNRSAQSRJVSB-SLPGGIOYSA-N 0.000 description 1
- VWUXBMIQPBEWFH-WCCTWKNTSA-N Fulvestrant Chemical compound OC1=CC=C2[C@H]3CC[C@](C)([C@H](CC4)O)[C@@H]4[C@@H]3[C@H](CCCCCCCCCS(=O)CCCC(F)(F)C(F)(F)F)CC2=C1 VWUXBMIQPBEWFH-WCCTWKNTSA-N 0.000 description 1
- 208000022072 Gallbladder Neoplasms Diseases 0.000 description 1
- 241000287828 Gallus gallus Species 0.000 description 1
- 208000036495 Gastritis atrophic Diseases 0.000 description 1
- 206010017993 Gastrointestinal neoplasms Diseases 0.000 description 1
- 108010010803 Gelatin Proteins 0.000 description 1
- WQZGKKKJIJFFOK-GASJEMHNSA-N Glucose Natural products OC[C@H]1OC(O)[C@H](O)[C@@H](O)[C@@H]1O WQZGKKKJIJFFOK-GASJEMHNSA-N 0.000 description 1
- 101710183768 Glutamate carboxypeptidase 2 Proteins 0.000 description 1
- DHMQDGOQFOQNFH-UHFFFAOYSA-N Glycine Chemical compound NCC(O)=O DHMQDGOQFOQNFH-UHFFFAOYSA-N 0.000 description 1
- 108090000288 Glycoproteins Proteins 0.000 description 1
- 102000003886 Glycoproteins Human genes 0.000 description 1
- 108010069236 Goserelin Proteins 0.000 description 1
- 102100039619 Granulocyte colony-stimulating factor Human genes 0.000 description 1
- 102100039620 Granulocyte-macrophage colony-stimulating factor Human genes 0.000 description 1
- 229940121710 HMGCoA reductase inhibitor Drugs 0.000 description 1
- 208000002250 Hematologic Neoplasms Diseases 0.000 description 1
- 206010073069 Hepatic cancer Diseases 0.000 description 1
- 206010019695 Hepatic neoplasm Diseases 0.000 description 1
- 208000008051 Hereditary Nonpolyposis Colorectal Neoplasms Diseases 0.000 description 1
- 101000897441 Homo sapiens Cyclin-O Proteins 0.000 description 1
- 101000898120 Homo sapiens Embryonic testis differentiation protein homolog A Proteins 0.000 description 1
- 101000892862 Homo sapiens Glutamate carboxypeptidase 2 Proteins 0.000 description 1
- 101000851376 Homo sapiens Tumor necrosis factor receptor superfamily member 8 Proteins 0.000 description 1
- PMMYEEVYMWASQN-DMTCNVIQSA-N Hydroxyproline Chemical compound O[C@H]1CN[C@H](C(O)=O)C1 PMMYEEVYMWASQN-DMTCNVIQSA-N 0.000 description 1
- VSNHCAURESNICA-UHFFFAOYSA-N Hydroxyurea Chemical compound NC(=O)NO VSNHCAURESNICA-UHFFFAOYSA-N 0.000 description 1
- 206010020751 Hypersensitivity Diseases 0.000 description 1
- 206010020880 Hypertrophy Diseases 0.000 description 1
- 206010061218 Inflammation Diseases 0.000 description 1
- 108090001061 Insulin Proteins 0.000 description 1
- 102000004877 Insulin Human genes 0.000 description 1
- 102100040018 Interferon alpha-2 Human genes 0.000 description 1
- 108010079944 Interferon-alpha2b Proteins 0.000 description 1
- 108010050904 Interferons Proteins 0.000 description 1
- 102000014150 Interferons Human genes 0.000 description 1
- 102000003777 Interleukin-1 beta Human genes 0.000 description 1
- 108090000193 Interleukin-1 beta Proteins 0.000 description 1
- 208000007766 Kaposi sarcoma Diseases 0.000 description 1
- SNDPXSYFESPGGJ-BYPYZUCNSA-N L-2-aminopentanoic acid Chemical compound CCC[C@H](N)C(O)=O SNDPXSYFESPGGJ-BYPYZUCNSA-N 0.000 description 1
- CKLJMWTZIZZHCS-UWTATZPHSA-N L-Aspartic acid Natural products OC(=O)[C@H](N)CC(O)=O CKLJMWTZIZZHCS-UWTATZPHSA-N 0.000 description 1
- AHLPHDHHMVZTML-BYPYZUCNSA-N L-Ornithine Chemical compound NCCC[C@H](N)C(O)=O AHLPHDHHMVZTML-BYPYZUCNSA-N 0.000 description 1
- QNAYBMKLOCPYGJ-REOHCLBHSA-N L-alanine Chemical compound C[C@H](N)C(O)=O QNAYBMKLOCPYGJ-REOHCLBHSA-N 0.000 description 1
- 150000008575 L-amino acids Chemical class 0.000 description 1
- DCXYFEDJOCDNAF-REOHCLBHSA-N L-asparagine Chemical compound OC(=O)[C@@H](N)CC(N)=O DCXYFEDJOCDNAF-REOHCLBHSA-N 0.000 description 1
- RHGKLRLOHDJJDR-BYPYZUCNSA-N L-citrulline Chemical compound NC(=O)NCCC[C@H]([NH3+])C([O-])=O RHGKLRLOHDJJDR-BYPYZUCNSA-N 0.000 description 1
- SHZGCJCMOBCMKK-DHVFOXMCSA-N L-fucopyranose Chemical compound C[C@@H]1OC(O)[C@@H](O)[C@H](O)[C@@H]1O SHZGCJCMOBCMKK-DHVFOXMCSA-N 0.000 description 1
- 229930182816 L-glutamine Natural products 0.000 description 1
- FFFHZYDWPBMWHY-VKHMYHEASA-N L-homocysteine Chemical compound OC(=O)[C@@H](N)CCS FFFHZYDWPBMWHY-VKHMYHEASA-N 0.000 description 1
- JTTHKOPSMAVJFE-VIFPVBQESA-N L-homophenylalanine Chemical compound OC(=O)[C@@H](N)CCC1=CC=CC=C1 JTTHKOPSMAVJFE-VIFPVBQESA-N 0.000 description 1
- AGPKZVBTJJNPAG-WHFBIAKZSA-N L-isoleucine Chemical compound CC[C@H](C)[C@H](N)C(O)=O AGPKZVBTJJNPAG-WHFBIAKZSA-N 0.000 description 1
- ROHFNLRQFUQHCH-YFKPBYRVSA-N L-leucine Chemical compound CC(C)C[C@H](N)C(O)=O ROHFNLRQFUQHCH-YFKPBYRVSA-N 0.000 description 1
- FFEARJCKVFRZRR-BYPYZUCNSA-N L-methionine Chemical compound CSCC[C@H](N)C(O)=O FFEARJCKVFRZRR-BYPYZUCNSA-N 0.000 description 1
- SNDPXSYFESPGGJ-UHFFFAOYSA-N L-norVal-OH Natural products CCCC(N)C(O)=O SNDPXSYFESPGGJ-UHFFFAOYSA-N 0.000 description 1
- HXEACLLIILLPRG-YFKPBYRVSA-N L-pipecolic acid Chemical compound [O-]C(=O)[C@@H]1CCCC[NH2+]1 HXEACLLIILLPRG-YFKPBYRVSA-N 0.000 description 1
- DGYHPLMPMRKMPD-UHFFFAOYSA-N L-propargyl glycine Natural products OC(=O)C(N)CC#C DGYHPLMPMRKMPD-UHFFFAOYSA-N 0.000 description 1
- ROHFNLRQFUQHCH-UHFFFAOYSA-N Leucine Natural products CC(C)CC(N)C(O)=O ROHFNLRQFUQHCH-UHFFFAOYSA-N 0.000 description 1
- HLFSDGLLUJUHTE-SNVBAGLBSA-N Levamisole Chemical compound C1([C@H]2CN3CCSC3=N2)=CC=CC=C1 HLFSDGLLUJUHTE-SNVBAGLBSA-N 0.000 description 1
- SMEROWZSTRWXGI-UHFFFAOYSA-N Lithocholsaeure Natural products C1CC2CC(O)CCC2(C)C2C1C1CCC(C(CCC(O)=O)C)C1(C)CC2 SMEROWZSTRWXGI-UHFFFAOYSA-N 0.000 description 1
- 208000031422 Lymphocytic Chronic B-Cell Leukemia Diseases 0.000 description 1
- 206010052178 Lymphocytic lymphoma Diseases 0.000 description 1
- 241000282553 Macaca Species 0.000 description 1
- 241000282567 Macaca fascicularis Species 0.000 description 1
- 241000282560 Macaca mulatta Species 0.000 description 1
- PEEHTFAAVSWFBL-UHFFFAOYSA-N Maleimide Chemical compound O=C1NC(=O)C=C1 PEEHTFAAVSWFBL-UHFFFAOYSA-N 0.000 description 1
- 241000283923 Marmota monax Species 0.000 description 1
- 229930126263 Maytansine Natural products 0.000 description 1
- 208000000172 Medulloblastoma Diseases 0.000 description 1
- 108010007013 Melanocyte-Stimulating Hormones Proteins 0.000 description 1
- 208000002030 Merkel cell carcinoma Diseases 0.000 description 1
- XOGTZOOQQBDUSI-UHFFFAOYSA-M Mesna Chemical compound [Na+].[O-]S(=O)(=O)CCS XOGTZOOQQBDUSI-UHFFFAOYSA-M 0.000 description 1
- 229920000168 Microcrystalline cellulose Polymers 0.000 description 1
- 208000003445 Mouth Neoplasms Diseases 0.000 description 1
- 102000015728 Mucins Human genes 0.000 description 1
- 108010063954 Mucins Proteins 0.000 description 1
- 208000034578 Multiple myelomas Diseases 0.000 description 1
- 241000699670 Mus sp. Species 0.000 description 1
- 241000282339 Mustela Species 0.000 description 1
- OVRNDRQMDRJTHS-CBQIKETKSA-N N-Acetyl-D-Galactosamine Chemical compound CC(=O)N[C@H]1[C@@H](O)O[C@H](CO)[C@H](O)[C@@H]1O OVRNDRQMDRJTHS-CBQIKETKSA-N 0.000 description 1
- OVBPIULPVIDEAO-UHFFFAOYSA-N N-Pteroyl-L-glutaminsaeure Natural products C=1N=C2NC(N)=NC(=O)C2=NC=1CNC1=CC=C(C(=O)NC(CCC(O)=O)C(O)=O)C=C1 OVBPIULPVIDEAO-UHFFFAOYSA-N 0.000 description 1
- OVRNDRQMDRJTHS-UHFFFAOYSA-N N-acelyl-D-glucosamine Natural products CC(=O)NC1C(O)OC(CO)C(O)C1O OVRNDRQMDRJTHS-UHFFFAOYSA-N 0.000 description 1
- MBLBDJOUHNCFQT-UHFFFAOYSA-N N-acetyl-D-galactosamine Natural products CC(=O)NC(C=O)C(O)C(O)C(O)CO MBLBDJOUHNCFQT-UHFFFAOYSA-N 0.000 description 1
- OVRNDRQMDRJTHS-FMDGEEDCSA-N N-acetyl-beta-D-glucosamine Chemical compound CC(=O)N[C@H]1[C@H](O)O[C@H](CO)[C@@H](O)[C@@H]1O OVRNDRQMDRJTHS-FMDGEEDCSA-N 0.000 description 1
- MBLBDJOUHNCFQT-LXGUWJNJSA-N N-acetylglucosamine Natural products CC(=O)N[C@@H](C=O)[C@@H](O)[C@H](O)[C@H](O)CO MBLBDJOUHNCFQT-LXGUWJNJSA-N 0.000 description 1
- 108010057466 NF-kappa B Proteins 0.000 description 1
- 102000003945 NF-kappa B Human genes 0.000 description 1
- CMWTZPSULFXXJA-UHFFFAOYSA-N Naproxen Natural products C1=C(C(C)C(O)=O)C=CC2=CC(OC)=CC=C21 CMWTZPSULFXXJA-UHFFFAOYSA-N 0.000 description 1
- RHGKLRLOHDJJDR-UHFFFAOYSA-N Ndelta-carbamoyl-DL-ornithine Natural products OC(=O)C(N)CCCNC(N)=O RHGKLRLOHDJJDR-UHFFFAOYSA-N 0.000 description 1
- 208000034176 Neoplasms, Germ Cell and Embryonal Diseases 0.000 description 1
- 206010029155 Nephropathy toxic Diseases 0.000 description 1
- 206010029266 Neuroendocrine carcinoma of the skin Diseases 0.000 description 1
- 206010029350 Neurotoxicity Diseases 0.000 description 1
- 244000061176 Nicotiana tabacum Species 0.000 description 1
- 235000002637 Nicotiana tabacum Nutrition 0.000 description 1
- KYRVNWMVYQXFEU-UHFFFAOYSA-N Nocodazole Chemical compound C1=C2NC(NC(=O)OC)=NC2=CC=C1C(=O)C1=CC=CS1 KYRVNWMVYQXFEU-UHFFFAOYSA-N 0.000 description 1
- BZQFBWGGLXLEPQ-UHFFFAOYSA-N O-phosphoryl-L-serine Natural products OC(=O)C(N)COP(O)(O)=O BZQFBWGGLXLEPQ-UHFFFAOYSA-N 0.000 description 1
- 208000004179 Oral Leukoplakia Diseases 0.000 description 1
- AHLPHDHHMVZTML-UHFFFAOYSA-N Orn-delta-NH2 Natural products NCCCC(N)C(O)=O AHLPHDHHMVZTML-UHFFFAOYSA-N 0.000 description 1
- UTJLXEIPEHZYQJ-UHFFFAOYSA-N Ornithine Natural products OC(=O)C(C)CCCN UTJLXEIPEHZYQJ-UHFFFAOYSA-N 0.000 description 1
- 241000283973 Oryctolagus cuniculus Species 0.000 description 1
- 208000010191 Osteitis Deformans Diseases 0.000 description 1
- 239000008118 PEG 6000 Substances 0.000 description 1
- 208000027868 Paget disease Diseases 0.000 description 1
- 235000021314 Palmitic acid Nutrition 0.000 description 1
- 241000282579 Pan Species 0.000 description 1
- 235000019483 Peanut oil Nutrition 0.000 description 1
- 108010009711 Phalloidine Proteins 0.000 description 1
- PCNDJXKNXGMECE-UHFFFAOYSA-N Phenazine Natural products C1=CC=CC2=NC3=CC=CC=C3N=C21 PCNDJXKNXGMECE-UHFFFAOYSA-N 0.000 description 1
- 108090000608 Phosphoric Monoester Hydrolases Proteins 0.000 description 1
- 102000004160 Phosphoric Monoester Hydrolases Human genes 0.000 description 1
- 206010035226 Plasma cell myeloma Diseases 0.000 description 1
- 229920002732 Polyanhydride Polymers 0.000 description 1
- 229920002535 Polyethylene Glycol 1500 Polymers 0.000 description 1
- 229920000604 Polyethylene Glycol 200 Polymers 0.000 description 1
- 229920002556 Polyethylene Glycol 300 Polymers 0.000 description 1
- 229920002562 Polyethylene Glycol 3350 Polymers 0.000 description 1
- 229920002565 Polyethylene Glycol 400 Polymers 0.000 description 1
- 229920001030 Polyethylene Glycol 4000 Polymers 0.000 description 1
- 229920002582 Polyethylene Glycol 600 Polymers 0.000 description 1
- 229920002584 Polyethylene Glycol 6000 Polymers 0.000 description 1
- 229920002594 Polyethylene Glycol 8000 Polymers 0.000 description 1
- 229920002873 Polyethylenimine Polymers 0.000 description 1
- 108010020346 Polyglutamic Acid Proteins 0.000 description 1
- 108010050808 Procollagen Proteins 0.000 description 1
- 208000004403 Prostatic Hyperplasia Diseases 0.000 description 1
- 102000007327 Protamines Human genes 0.000 description 1
- 108010007568 Protamines Proteins 0.000 description 1
- 102000007615 Pulmonary Surfactant-Associated Protein A Human genes 0.000 description 1
- 108010007100 Pulmonary Surfactant-Associated Protein A Proteins 0.000 description 1
- 208000015634 Rectal Neoplasms Diseases 0.000 description 1
- 102100037486 Reverse transcriptase/ribonuclease H Human genes 0.000 description 1
- 108010083644 Ribonucleases Proteins 0.000 description 1
- 102000006382 Ribonucleases Human genes 0.000 description 1
- 235000019485 Safflower oil Nutrition 0.000 description 1
- 208000004337 Salivary Gland Neoplasms Diseases 0.000 description 1
- 206010061934 Salivary gland cancer Diseases 0.000 description 1
- 241000277331 Salmonidae Species 0.000 description 1
- 108010071390 Serum Albumin Proteins 0.000 description 1
- 102000007562 Serum Albumin Human genes 0.000 description 1
- 206010041067 Small cell lung cancer Diseases 0.000 description 1
- 108020004459 Small interfering RNA Proteins 0.000 description 1
- FAPWRFPIFSIZLT-UHFFFAOYSA-M Sodium chloride Chemical compound [Na+].[Cl-] FAPWRFPIFSIZLT-UHFFFAOYSA-M 0.000 description 1
- 108010056088 Somatostatin Proteins 0.000 description 1
- 102000005157 Somatostatin Human genes 0.000 description 1
- 229920002472 Starch Polymers 0.000 description 1
- 235000021355 Stearic acid Nutrition 0.000 description 1
- 241000271567 Struthioniformes Species 0.000 description 1
- 229920000147 Styrene maleic anhydride Polymers 0.000 description 1
- 229930006000 Sucrose Natural products 0.000 description 1
- 241000282887 Suidae Species 0.000 description 1
- NHUHCSRWZMLRLA-UHFFFAOYSA-N Sulfisoxazole Chemical compound CC1=NOC(NS(=O)(=O)C=2C=CC(N)=CC=2)=C1C NHUHCSRWZMLRLA-UHFFFAOYSA-N 0.000 description 1
- 229940100389 Sulfonylurea Drugs 0.000 description 1
- 208000029052 T-cell acute lymphoblastic leukemia Diseases 0.000 description 1
- 206010042971 T-cell lymphoma Diseases 0.000 description 1
- 208000027585 T-cell non-Hodgkin lymphoma Diseases 0.000 description 1
- NAVMQTYZDKMPEU-UHFFFAOYSA-N Targretin Chemical compound CC1=CC(C(CCC2(C)C)(C)C)=C2C=C1C(=C)C1=CC=C(C(O)=O)C=C1 NAVMQTYZDKMPEU-UHFFFAOYSA-N 0.000 description 1
- 229940123237 Taxane Drugs 0.000 description 1
- BPEGJWRSRHCHSN-UHFFFAOYSA-N Temozolomide Chemical compound O=C1N(C)N=NC2=C(C(N)=O)N=CN21 BPEGJWRSRHCHSN-UHFFFAOYSA-N 0.000 description 1
- 206010043276 Teratoma Diseases 0.000 description 1
- 239000004098 Tetracycline Substances 0.000 description 1
- 108010061174 Thyrotropin Proteins 0.000 description 1
- 102000011923 Thyrotropin Human genes 0.000 description 1
- 206010044221 Toxic encephalopathy Diseases 0.000 description 1
- 229920001615 Tragacanth Polymers 0.000 description 1
- 102100036857 Tumor necrosis factor receptor superfamily member 8 Human genes 0.000 description 1
- 102000007537 Type II DNA Topoisomerases Human genes 0.000 description 1
- 108010046308 Type II DNA Topoisomerases Proteins 0.000 description 1
- 241000251539 Vertebrata <Metazoa> Species 0.000 description 1
- 241000700605 Viruses Species 0.000 description 1
- FPIPGXGPPPQFEQ-BOOMUCAASA-N Vitamin A Natural products OC/C=C(/C)\C=C\C=C(\C)/C=C/C1=C(C)CCCC1(C)C FPIPGXGPPPQFEQ-BOOMUCAASA-N 0.000 description 1
- 229930003270 Vitamin B Natural products 0.000 description 1
- 229930003448 Vitamin K Natural products 0.000 description 1
- 208000004354 Vulvar Neoplasms Diseases 0.000 description 1
- 206010048218 Xeroderma Diseases 0.000 description 1
- 201000006083 Xeroderma Pigmentosum Diseases 0.000 description 1
- 238000002835 absorbance Methods 0.000 description 1
- IPBVNPXQWQGGJP-UHFFFAOYSA-N acetic acid phenyl ester Natural products CC(=O)OC1=CC=CC=C1 IPBVNPXQWQGGJP-UHFFFAOYSA-N 0.000 description 1
- DPXJVFZANSGRMM-UHFFFAOYSA-N acetic acid;2,3,4,5,6-pentahydroxyhexanal;sodium Chemical compound [Na].CC(O)=O.OCC(O)C(O)C(O)C(O)C=O DPXJVFZANSGRMM-UHFFFAOYSA-N 0.000 description 1
- 229960001138 acetylsalicylic acid Drugs 0.000 description 1
- 230000004913 activation Effects 0.000 description 1
- 239000012190 activator Substances 0.000 description 1
- 239000013543 active substance Substances 0.000 description 1
- 230000001154 acute effect Effects 0.000 description 1
- 125000004442 acylamino group Chemical group 0.000 description 1
- 125000004423 acyloxy group Chemical group 0.000 description 1
- 239000000654 additive Substances 0.000 description 1
- 239000000443 aerosol Substances 0.000 description 1
- 239000008272 agar Substances 0.000 description 1
- 230000002776 aggregation Effects 0.000 description 1
- 238000004220 aggregation Methods 0.000 description 1
- 235000004279 alanine Nutrition 0.000 description 1
- 201000007930 alcohol dependence Diseases 0.000 description 1
- 150000001298 alcohols Chemical class 0.000 description 1
- 108700025316 aldesleukin Proteins 0.000 description 1
- 229960005310 aldesleukin Drugs 0.000 description 1
- 235000010443 alginic acid Nutrition 0.000 description 1
- 239000000783 alginic acid Substances 0.000 description 1
- 229920000615 alginic acid Polymers 0.000 description 1
- 229960001126 alginic acid Drugs 0.000 description 1
- 150000004781 alginic acids Chemical class 0.000 description 1
- 229960001445 alitretinoin Drugs 0.000 description 1
- 125000005024 alkenyl aryl group Chemical group 0.000 description 1
- 125000005217 alkenylheteroaryl group Chemical group 0.000 description 1
- 125000003545 alkoxy group Chemical group 0.000 description 1
- 125000004453 alkoxycarbonyl group Chemical group 0.000 description 1
- 125000004948 alkyl aryl alkyl group Chemical group 0.000 description 1
- 125000004448 alkyl carbonyl group Chemical group 0.000 description 1
- 125000005213 alkyl heteroaryl group Chemical group 0.000 description 1
- 125000004390 alkyl sulfonyl group Chemical group 0.000 description 1
- 125000005025 alkynylaryl group Chemical group 0.000 description 1
- FPIPGXGPPPQFEQ-OVSJKPMPSA-N all-trans-retinol Chemical compound OC\C=C(/C)\C=C\C=C(/C)\C=C\C1=C(C)CCCC1(C)C FPIPGXGPPPQFEQ-OVSJKPMPSA-N 0.000 description 1
- 208000030961 allergic reaction Diseases 0.000 description 1
- OFCNXPDARWKPPY-UHFFFAOYSA-N allopurinol Chemical compound OC1=NC=NC2=C1C=NN2 OFCNXPDARWKPPY-UHFFFAOYSA-N 0.000 description 1
- 229960003459 allopurinol Drugs 0.000 description 1
- 229960000473 altretamine Drugs 0.000 description 1
- WNROFYMDJYEPJX-UHFFFAOYSA-K aluminium hydroxide Chemical compound [OH-].[OH-].[OH-].[Al+3] WNROFYMDJYEPJX-UHFFFAOYSA-K 0.000 description 1
- 102000005922 amidase Human genes 0.000 description 1
- 125000003368 amide group Chemical group 0.000 description 1
- 150000001409 amidines Chemical class 0.000 description 1
- JKOQGQFVAUAYPM-UHFFFAOYSA-N amifostine Chemical compound NCCCNCCSP(O)(O)=O JKOQGQFVAUAYPM-UHFFFAOYSA-N 0.000 description 1
- 229960001097 amifostine Drugs 0.000 description 1
- 125000004103 aminoalkyl group Chemical group 0.000 description 1
- 229960004050 aminobenzoic acid Drugs 0.000 description 1
- 229940124277 aminobutyric acid Drugs 0.000 description 1
- 229960002932 anastrozole Drugs 0.000 description 1
- YBBLVLTVTVSKRW-UHFFFAOYSA-N anastrozole Chemical compound N#CC(C)(C)C1=CC(C(C)(C#N)C)=CC(CN2N=CN=C2)=C1 YBBLVLTVTVSKRW-UHFFFAOYSA-N 0.000 description 1
- 229960003473 androstanolone Drugs 0.000 description 1
- 239000004037 angiogenesis inhibitor Substances 0.000 description 1
- 229940121369 angiogenesis inhibitor Drugs 0.000 description 1
- 238000010171 animal model Methods 0.000 description 1
- 230000000954 anitussive effect Effects 0.000 description 1
- 230000000507 anthelmentic effect Effects 0.000 description 1
- 125000002178 anthracenyl group Chemical group C1(=CC=CC2=CC3=CC=CC=C3C=C12)* 0.000 description 1
- 229940121363 anti-inflammatory agent Drugs 0.000 description 1
- 239000002260 anti-inflammatory agent Substances 0.000 description 1
- 230000000692 anti-sense effect Effects 0.000 description 1
- 230000000259 anti-tumor effect Effects 0.000 description 1
- 239000003416 antiarrhythmic agent Substances 0.000 description 1
- 238000011319 anticancer therapy Methods 0.000 description 1
- 239000003146 anticoagulant agent Substances 0.000 description 1
- 229940127219 anticoagulant drug Drugs 0.000 description 1
- 239000001961 anticonvulsive agent Substances 0.000 description 1
- 239000000935 antidepressant agent Substances 0.000 description 1
- 229940005513 antidepressants Drugs 0.000 description 1
- 229940125708 antidiabetic agent Drugs 0.000 description 1
- 239000003472 antidiabetic agent Substances 0.000 description 1
- 239000002220 antihypertensive agent Substances 0.000 description 1
- 229940127088 antihypertensive drug Drugs 0.000 description 1
- 239000003430 antimalarial agent Substances 0.000 description 1
- 229940033495 antimalarials Drugs 0.000 description 1
- 239000003963 antioxidant agent Substances 0.000 description 1
- 235000006708 antioxidants Nutrition 0.000 description 1
- 239000000164 antipsychotic agent Substances 0.000 description 1
- 229940054051 antipsychotic indole derivative Drugs 0.000 description 1
- 239000000074 antisense oligonucleotide Substances 0.000 description 1
- 238000012230 antisense oligonucleotides Methods 0.000 description 1
- 229940121383 antituberculosis agent Drugs 0.000 description 1
- 239000003434 antitussive agent Substances 0.000 description 1
- 229940124584 antitussives Drugs 0.000 description 1
- 239000002249 anxiolytic agent Substances 0.000 description 1
- 239000007864 aqueous solution Substances 0.000 description 1
- 108010072041 arginyl-glycyl-aspartic acid Proteins 0.000 description 1
- 125000002029 aromatic hydrocarbon group Chemical group 0.000 description 1
- GOLCXWYRSKYTSP-UHFFFAOYSA-N arsenic trioxide Inorganic materials O1[As]2O[As]1O2 GOLCXWYRSKYTSP-UHFFFAOYSA-N 0.000 description 1
- 206010003246 arthritis Diseases 0.000 description 1
- 125000005015 aryl alkynyl group Chemical group 0.000 description 1
- 125000004104 aryloxy group Chemical group 0.000 description 1
- 235000009582 asparagine Nutrition 0.000 description 1
- 229960001230 asparagine Drugs 0.000 description 1
- 108010044540 auristatin Proteins 0.000 description 1
- RXQNHIDQIJXKTK-UHFFFAOYSA-N azane;pentanoic acid Chemical compound [NH4+].CCCCC([O-])=O RXQNHIDQIJXKTK-UHFFFAOYSA-N 0.000 description 1
- 125000003828 azulenyl group Chemical group 0.000 description 1
- 208000003373 basosquamous carcinoma Diseases 0.000 description 1
- 230000009286 beneficial effect Effects 0.000 description 1
- 125000003785 benzimidazolyl group Chemical group N1=C(NC2=C1C=CC=C2)* 0.000 description 1
- 125000001797 benzyl group Chemical group [H]C1=C([H])C([H])=C(C([H])=C1[H])C([H])([H])* 0.000 description 1
- WQZGKKKJIJFFOK-VFUOTHLCSA-N beta-D-glucose Chemical compound OC[C@H]1O[C@@H](O)[C@H](O)[C@@H](O)[C@@H]1O WQZGKKKJIJFFOK-VFUOTHLCSA-N 0.000 description 1
- 229960002938 bexarotene Drugs 0.000 description 1
- 239000003613 bile acid Substances 0.000 description 1
- 201000009036 biliary tract cancer Diseases 0.000 description 1
- 208000020790 biliary tract neoplasm Diseases 0.000 description 1
- 239000012148 binding buffer Substances 0.000 description 1
- 230000004071 biological effect Effects 0.000 description 1
- JCZLABDVDPYLRZ-AWEZNQCLSA-N biphenylalanine Chemical compound C1=CC(C[C@H](N)C(O)=O)=CC=C1C1=CC=CC=C1 JCZLABDVDPYLRZ-AWEZNQCLSA-N 0.000 description 1
- 150000004663 bisphosphonates Chemical class 0.000 description 1
- 201000000053 blastoma Diseases 0.000 description 1
- 210000000746 body region Anatomy 0.000 description 1
- 210000000988 bone and bone Anatomy 0.000 description 1
- CKDOCTFBFTVPSN-UHFFFAOYSA-N borneol Chemical group C1CC2(C)C(C)CC1C2(C)C CKDOCTFBFTVPSN-UHFFFAOYSA-N 0.000 description 1
- 229940116229 borneol Drugs 0.000 description 1
- 239000006172 buffering agent Substances 0.000 description 1
- 239000004067 bulking agent Substances 0.000 description 1
- 125000004369 butenyl group Chemical group C(=CCC)* 0.000 description 1
- 125000000484 butyl group Chemical group [H]C([*])([H])C([H])([H])C([H])([H])C([H])([H])[H] 0.000 description 1
- 239000011575 calcium Substances 0.000 description 1
- 229910052791 calcium Inorganic materials 0.000 description 1
- 208000014058 canine distemper Diseases 0.000 description 1
- 229960004117 capecitabine Drugs 0.000 description 1
- 239000002775 capsule Substances 0.000 description 1
- 239000004202 carbamide Substances 0.000 description 1
- 125000001951 carbamoylamino group Chemical group C(N)(=O)N* 0.000 description 1
- 125000004432 carbon atom Chemical group C* 0.000 description 1
- 125000003178 carboxy group Chemical group [H]OC(*)=O 0.000 description 1
- 239000001768 carboxy methyl cellulose Substances 0.000 description 1
- UHBYWPGGCSDKFX-UHFFFAOYSA-N carboxyglutamic acid Chemical compound OC(=O)C(N)CC(C(O)=O)C(O)=O UHBYWPGGCSDKFX-UHFFFAOYSA-N 0.000 description 1
- 125000002843 carboxylic acid group Chemical group 0.000 description 1
- 210000000845 cartilage Anatomy 0.000 description 1
- 208000015100 cartilage disease Diseases 0.000 description 1
- 241001233037 catfish Species 0.000 description 1
- 125000002091 cationic group Chemical group 0.000 description 1
- 150000001768 cations Chemical class 0.000 description 1
- 229960000590 celecoxib Drugs 0.000 description 1
- RZEKVGVHFLEQIL-UHFFFAOYSA-N celecoxib Chemical compound C1=CC(C)=CC=C1C1=CC(C(F)(F)F)=NN1C1=CC=C(S(N)(=O)=O)C=C1 RZEKVGVHFLEQIL-UHFFFAOYSA-N 0.000 description 1
- 230000022131 cell cycle Effects 0.000 description 1
- 230000030833 cell death Effects 0.000 description 1
- 238000001516 cell proliferation assay Methods 0.000 description 1
- 230000003833 cell viability Effects 0.000 description 1
- 235000010980 cellulose Nutrition 0.000 description 1
- 239000001913 cellulose Substances 0.000 description 1
- 229920002678 cellulose Polymers 0.000 description 1
- 229920002301 cellulose acetate Polymers 0.000 description 1
- 210000003169 central nervous system Anatomy 0.000 description 1
- 238000005119 centrifugation Methods 0.000 description 1
- 230000008859 change Effects 0.000 description 1
- 150000005829 chemical entities Chemical class 0.000 description 1
- 235000013330 chicken meat Nutrition 0.000 description 1
- CYDMQBQPVICBEU-UHFFFAOYSA-N chlorotetracycline Natural products C1=CC(Cl)=C2C(O)(C)C3CC4C(N(C)C)C(O)=C(C(N)=O)C(=O)C4(O)C(O)=C3C(=O)C2=C1O CYDMQBQPVICBEU-UHFFFAOYSA-N 0.000 description 1
- CYDMQBQPVICBEU-XRNKAMNCSA-N chlortetracycline Chemical compound C1=CC(Cl)=C2[C@](O)(C)[C@H]3C[C@H]4[C@H](N(C)C)C(O)=C(C(N)=O)C(=O)[C@@]4(O)C(O)=C3C(=O)C2=C1O CYDMQBQPVICBEU-XRNKAMNCSA-N 0.000 description 1
- 229960004475 chlortetracycline Drugs 0.000 description 1
- 235000019365 chlortetracycline Nutrition 0.000 description 1
- 235000012000 cholesterol Nutrition 0.000 description 1
- BHQCQFFYRZLCQQ-OELDTZBJSA-N cholic acid Chemical compound C([C@H]1C[C@H]2O)[C@H](O)CC[C@]1(C)[C@@H]1[C@@H]2[C@@H]2CC[C@H]([C@@H](CCC(O)=O)C)[C@@]2(C)[C@@H](O)C1 BHQCQFFYRZLCQQ-OELDTZBJSA-N 0.000 description 1
- 235000019416 cholic acid Nutrition 0.000 description 1
- 229960002471 cholic acid Drugs 0.000 description 1
- 208000016644 chronic atrophic gastritis Diseases 0.000 description 1
- 230000001886 ciliary effect Effects 0.000 description 1
- 229960002173 citrulline Drugs 0.000 description 1
- 235000013477 citrulline Nutrition 0.000 description 1
- 229960002436 cladribine Drugs 0.000 description 1
- 239000011248 coating agent Substances 0.000 description 1
- 229940110456 cocoa butter Drugs 0.000 description 1
- 235000019868 cocoa butter Nutrition 0.000 description 1
- 210000001072 colon Anatomy 0.000 description 1
- 239000003086 colorant Substances 0.000 description 1
- 230000000536 complexating effect Effects 0.000 description 1
- 229940126214 compound 3 Drugs 0.000 description 1
- 229940125898 compound 5 Drugs 0.000 description 1
- 239000003433 contraceptive agent Substances 0.000 description 1
- 230000002254 contraceptive effect Effects 0.000 description 1
- 238000013270 controlled release Methods 0.000 description 1
- 238000007796 conventional method Methods 0.000 description 1
- 229910000366 copper(II) sulfate Inorganic materials 0.000 description 1
- QKSIFUGZHOUETI-UHFFFAOYSA-N copper;azane Chemical compound N.N.N.N.[Cu+2] QKSIFUGZHOUETI-UHFFFAOYSA-N 0.000 description 1
- 235000005687 corn oil Nutrition 0.000 description 1
- 239000002285 corn oil Substances 0.000 description 1
- 239000008120 corn starch Substances 0.000 description 1
- 239000003246 corticosteroid Substances 0.000 description 1
- 229960001334 corticosteroids Drugs 0.000 description 1
- 235000012343 cottonseed oil Nutrition 0.000 description 1
- 239000002385 cottonseed oil Substances 0.000 description 1
- 239000003431 cross linking reagent Substances 0.000 description 1
- 208000017763 cutaneous neuroendocrine carcinoma Diseases 0.000 description 1
- 125000004093 cyano group Chemical group *C#N 0.000 description 1
- 125000000392 cycloalkenyl group Chemical group 0.000 description 1
- CCQPAEQGAVNNIA-UHFFFAOYSA-N cyclobutane-1,1-dicarboxylic acid Chemical compound OC(=O)C1(C(O)=O)CCC1 CCQPAEQGAVNNIA-UHFFFAOYSA-N 0.000 description 1
- 125000001995 cyclobutyl group Chemical group [H]C1([H])C([H])([H])C([H])(*)C1([H])[H] 0.000 description 1
- 125000000582 cycloheptyl group Chemical group [H]C1([H])C([H])([H])C([H])([H])C([H])([H])C([H])(*)C([H])([H])C1([H])[H] 0.000 description 1
- YMHQVDAATAEZLO-UHFFFAOYSA-N cyclohexane-1,1-diamine Chemical compound NC1(N)CCCCC1 YMHQVDAATAEZLO-UHFFFAOYSA-N 0.000 description 1
- 125000000596 cyclohexenyl group Chemical group C1(=CCCCC1)* 0.000 description 1
- 125000000113 cyclohexyl group Chemical group [H]C1([H])C([H])([H])C([H])([H])C([H])(*)C([H])([H])C1([H])[H] 0.000 description 1
- 125000000640 cyclooctyl group Chemical group [H]C1([H])C([H])([H])C([H])([H])C([H])([H])C([H])(*)C([H])([H])C([H])([H])C1([H])[H] 0.000 description 1
- 125000002433 cyclopentenyl group Chemical group C1(=CCCC1)* 0.000 description 1
- 125000001511 cyclopentyl group Chemical group [H]C1([H])C([H])([H])C([H])([H])C([H])(*)C1([H])[H] 0.000 description 1
- 125000001559 cyclopropyl group Chemical group [H]C1([H])C([H])([H])C1([H])* 0.000 description 1
- JVHIPYJQMFNCEK-UHFFFAOYSA-N cytochalasin Natural products N1C(=O)C2(C(C=CC(C)CC(C)CC=C3)OC(C)=O)C3C(O)C(=C)C(C)C2C1CC1=CC=CC=C1 JVHIPYJQMFNCEK-UHFFFAOYSA-N 0.000 description 1
- ZMAODHOXRBLOQO-UHFFFAOYSA-N cytochalasin-A Natural products N1C(=O)C23OC(=O)C=CC(=O)CCCC(C)CC=CC3C(O)C(=C)C(C)C2C1CC1=CC=CC=C1 ZMAODHOXRBLOQO-UHFFFAOYSA-N 0.000 description 1
- 230000006378 damage Effects 0.000 description 1
- 229960005029 darbepoetin alfa Drugs 0.000 description 1
- 230000034994 death Effects 0.000 description 1
- 230000000593 degrading effect Effects 0.000 description 1
- 239000000412 dendrimer Substances 0.000 description 1
- 229920000736 dendritic polymer Polymers 0.000 description 1
- 229960002923 denileukin diftitox Drugs 0.000 description 1
- 108010017271 denileukin diftitox Proteins 0.000 description 1
- KXGVEGMKQFWNSR-UHFFFAOYSA-N deoxycholic acid Natural products C1CC2CC(O)CCC2(C)C2C1C1CCC(C(CCC(O)=O)C)C1(C)C(O)C2 KXGVEGMKQFWNSR-UHFFFAOYSA-N 0.000 description 1
- 238000001514 detection method Methods 0.000 description 1
- 230000006866 deterioration Effects 0.000 description 1
- 229950006137 dexfosfoserine Drugs 0.000 description 1
- 229960000605 dexrazoxane Drugs 0.000 description 1
- 238000011026 diafiltration Methods 0.000 description 1
- 125000004427 diamine group Chemical group 0.000 description 1
- 238000010790 dilution Methods 0.000 description 1
- 239000012895 dilution Substances 0.000 description 1
- 239000000539 dimer Substances 0.000 description 1
- 125000000532 dioxanyl group Chemical group 0.000 description 1
- 150000002019 disulfides Chemical class 0.000 description 1
- PMMYEEVYMWASQN-UHFFFAOYSA-N dl-hydroxyproline Natural products OC1C[NH2+]C(C([O-])=O)C1 PMMYEEVYMWASQN-UHFFFAOYSA-N 0.000 description 1
- DTGKSKDOIYIVQL-UHFFFAOYSA-N dl-isoborneol Chemical group C1CC2(C)C(O)CC1C2(C)C DTGKSKDOIYIVQL-UHFFFAOYSA-N 0.000 description 1
- 239000002552 dosage form Substances 0.000 description 1
- 229940042317 doxorubicin liposome Drugs 0.000 description 1
- 239000008298 dragée Substances 0.000 description 1
- NOTIQUSPUUHHEH-UXOVVSIBSA-N dromostanolone propionate Chemical compound C([C@@H]1CC2)C(=O)[C@H](C)C[C@]1(C)[C@@H]1[C@@H]2[C@@H]2CC[C@H](OC(=O)CC)[C@@]2(C)CC1 NOTIQUSPUUHHEH-UXOVVSIBSA-N 0.000 description 1
- 229950004683 drostanolone propionate Drugs 0.000 description 1
- 206010013663 drug dependence Diseases 0.000 description 1
- 230000008030 elimination Effects 0.000 description 1
- 238000003379 elimination reaction Methods 0.000 description 1
- 201000008184 embryoma Diseases 0.000 description 1
- 210000001163 endosome Anatomy 0.000 description 1
- ZUBDGKVDJUIMQQ-UBFCDGJISA-N endothelin-1 Chemical compound C([C@@H](C(=O)N[C@@H](CC(C)C)C(=O)N[C@@H](CC(O)=O)C(=O)N[C@@H]([C@@H](C)CC)C(=O)N[C@@H]([C@@H](C)CC)C(=O)N[C@@H](CC=1C2=CC=CC=C2NC=1)C(O)=O)NC(=O)[C@H]1NC(=O)[C@H](CC=2C=CC=CC=2)NC(=O)[C@@H](CC=2C=CC(O)=CC=2)NC(=O)[C@H](C(C)C)NC(=O)[C@H]2CSSC[C@@H](C(N[C@H](CO)C(=O)N[C@@H](CO)C(=O)N[C@H](CC(C)C)C(=O)N[C@@H](CCSC)C(=O)N[C@H](CC(O)=O)C(=O)N[C@@H](CCCCN)C(=O)N[C@@H](CCC(O)=O)C(=O)N2)=O)NC(=O)[C@@H](CO)NC(=O)[C@H](N)CSSC1)C1=CNC=N1 ZUBDGKVDJUIMQQ-UBFCDGJISA-N 0.000 description 1
- 239000002158 endotoxin Substances 0.000 description 1
- 238000005516 engineering process Methods 0.000 description 1
- 239000003623 enhancer Substances 0.000 description 1
- 229960001904 epirubicin Drugs 0.000 description 1
- 210000002919 epithelial cell Anatomy 0.000 description 1
- 150000003883 epothilone derivatives Chemical class 0.000 description 1
- 235000019325 ethyl cellulose Nutrition 0.000 description 1
- 229920001249 ethyl cellulose Polymers 0.000 description 1
- 125000001495 ethyl group Chemical group [H]C([H])([H])C([H])([H])* 0.000 description 1
- LVGKNOAMLMIIKO-QXMHVHEDSA-N ethyl oleate Chemical compound CCCCCCCC\C=C/CCCCCCCC(=O)OCC LVGKNOAMLMIIKO-QXMHVHEDSA-N 0.000 description 1
- 229940093471 ethyl oleate Drugs 0.000 description 1
- LIQODXNTTZAGID-OCBXBXKTSA-N etoposide phosphate Chemical compound COC1=C(OP(O)(O)=O)C(OC)=CC([C@@H]2C3=CC=4OCOC=4C=C3[C@@H](O[C@H]3[C@@H]([C@@H](O)[C@@H]4O[C@H](C)OC[C@H]4O3)O)[C@@H]3[C@@H]2C(OC3)=O)=C1 LIQODXNTTZAGID-OCBXBXKTSA-N 0.000 description 1
- 229960000752 etoposide phosphate Drugs 0.000 description 1
- 230000005713 exacerbation Effects 0.000 description 1
- 229960000255 exemestane Drugs 0.000 description 1
- 238000002474 experimental method Methods 0.000 description 1
- 235000019197 fats Nutrition 0.000 description 1
- 230000004720 fertilization Effects 0.000 description 1
- 230000004761 fibrosis Effects 0.000 description 1
- 229960004177 filgrastim Drugs 0.000 description 1
- 239000000945 filler Substances 0.000 description 1
- 239000012467 final product Substances 0.000 description 1
- 235000019688 fish Nutrition 0.000 description 1
- 239000000796 flavoring agent Substances 0.000 description 1
- 229960000961 floxuridine Drugs 0.000 description 1
- ODKNJVUHOIMIIZ-RRKCRQDMSA-N floxuridine Chemical compound C1[C@H](O)[C@@H](CO)O[C@H]1N1C(=O)NC(=O)C(F)=C1 ODKNJVUHOIMIIZ-RRKCRQDMSA-N 0.000 description 1
- 125000003983 fluorenyl group Chemical group C1(=CC=CC=2C3=CC=CC=C3CC12)* 0.000 description 1
- 239000006260 foam Substances 0.000 description 1
- 239000011724 folic acid Substances 0.000 description 1
- 229960000304 folic acid Drugs 0.000 description 1
- 235000013355 food flavoring agent Nutrition 0.000 description 1
- 230000037406 food intake Effects 0.000 description 1
- 235000003599 food sweetener Nutrition 0.000 description 1
- 239000003205 fragrance Substances 0.000 description 1
- 229960002258 fulvestrant Drugs 0.000 description 1
- 230000000799 fusogenic effect Effects 0.000 description 1
- 229930182830 galactose Natural products 0.000 description 1
- 229920000370 gamma-poly(glutamate) polymer Polymers 0.000 description 1
- 230000002496 gastric effect Effects 0.000 description 1
- 239000000499 gel Substances 0.000 description 1
- 239000008273 gelatin Substances 0.000 description 1
- 229920000159 gelatin Polymers 0.000 description 1
- 235000019322 gelatine Nutrition 0.000 description 1
- 235000011852 gelatine desserts Nutrition 0.000 description 1
- 229960005277 gemcitabine Drugs 0.000 description 1
- SDUQYLNIPVEERB-QPPQHZFASA-N gemcitabine Chemical compound O=C1N=C(N)C=CN1[C@H]1C(F)(F)[C@H](O)[C@@H](CO)O1 SDUQYLNIPVEERB-QPPQHZFASA-N 0.000 description 1
- 229960003297 gemtuzumab ozogamicin Drugs 0.000 description 1
- 230000008570 general process Effects 0.000 description 1
- 231100000722 genetic damage Toxicity 0.000 description 1
- 231100000024 genotoxic Toxicity 0.000 description 1
- 230000001738 genotoxic effect Effects 0.000 description 1
- 210000004602 germ cell Anatomy 0.000 description 1
- 235000013922 glutamic acid Nutrition 0.000 description 1
- 229960002989 glutamic acid Drugs 0.000 description 1
- 239000004220 glutamic acid Substances 0.000 description 1
- ZDXPYRJPNDTMRX-UHFFFAOYSA-N glutamine Natural products OC(=O)C(N)CCC(N)=O ZDXPYRJPNDTMRX-UHFFFAOYSA-N 0.000 description 1
- 235000011187 glycerol Nutrition 0.000 description 1
- 150000002334 glycols Chemical class 0.000 description 1
- 229960003690 goserelin acetate Drugs 0.000 description 1
- 239000008187 granular material Substances 0.000 description 1
- 239000003102 growth factor Substances 0.000 description 1
- 125000001188 haloalkyl group Chemical group 0.000 description 1
- 229910052736 halogen Inorganic materials 0.000 description 1
- 150000002367 halogens Chemical class 0.000 description 1
- 208000014829 head and neck neoplasm Diseases 0.000 description 1
- 208000014951 hematologic disease Diseases 0.000 description 1
- 230000002489 hematologic effect Effects 0.000 description 1
- 206010073071 hepatocellular carcinoma Diseases 0.000 description 1
- 125000004447 heteroarylalkenyl group Chemical group 0.000 description 1
- 125000004446 heteroarylalkyl group Chemical group 0.000 description 1
- 125000005312 heteroarylalkynyl group Chemical group 0.000 description 1
- 125000004449 heterocyclylalkenyl group Chemical group 0.000 description 1
- 125000004415 heterocyclylalkyl group Chemical group 0.000 description 1
- UUVWYPNAQBNQJQ-UHFFFAOYSA-N hexamethylmelamine Chemical compound CN(C)C1=NC(N(C)C)=NC(N(C)C)=N1 UUVWYPNAQBNQJQ-UHFFFAOYSA-N 0.000 description 1
- GNOIPBMMFNIUFM-UHFFFAOYSA-N hexamethylphosphoric triamide Chemical compound CN(C)P(=O)(N(C)C)N(C)C GNOIPBMMFNIUFM-UHFFFAOYSA-N 0.000 description 1
- 231100000171 higher toxicity Toxicity 0.000 description 1
- 229960001340 histamine Drugs 0.000 description 1
- HNDVDQJCIGZPNO-UHFFFAOYSA-N histidine Natural products OC(=O)C(N)CC1=CN=CN1 HNDVDQJCIGZPNO-UHFFFAOYSA-N 0.000 description 1
- 108091008039 hormone receptors Proteins 0.000 description 1
- KIUKXJAPPMFGSW-MNSSHETKSA-N hyaluronan Chemical compound CC(=O)N[C@H]1[C@H](O)O[C@H](CO)[C@@H](O)C1O[C@H]1[C@H](O)[C@@H](O)[C@H](O[C@H]2[C@@H](C(O[C@H]3[C@@H]([C@@H](O)[C@H](O)[C@H](O3)C(O)=O)O)[C@H](O)[C@@H](CO)O2)NC(C)=O)[C@@H](C(O)=O)O1 KIUKXJAPPMFGSW-MNSSHETKSA-N 0.000 description 1
- 229940099552 hyaluronan Drugs 0.000 description 1
- 229920002674 hyaluronan Polymers 0.000 description 1
- 150000007857 hydrazones Chemical class 0.000 description 1
- 239000001257 hydrogen Substances 0.000 description 1
- 125000004435 hydrogen atom Chemical group [H]* 0.000 description 1
- 125000004356 hydroxy functional group Chemical group O* 0.000 description 1
- 125000002768 hydroxyalkyl group Chemical group 0.000 description 1
- NPZTUJOABDZTLV-UHFFFAOYSA-N hydroxybenzotriazole Substances O=C1C=CC=C2NNN=C12 NPZTUJOABDZTLV-UHFFFAOYSA-N 0.000 description 1
- 229960001330 hydroxycarbamide Drugs 0.000 description 1
- 229960002591 hydroxyproline Drugs 0.000 description 1
- 229960001001 ibritumomab tiuxetan Drugs 0.000 description 1
- 206010021198 ichthyosis Diseases 0.000 description 1
- 229960003685 imatinib mesylate Drugs 0.000 description 1
- YLMAHDNUQAMNNX-UHFFFAOYSA-N imatinib methanesulfonate Chemical compound CS(O)(=O)=O.C1CN(C)CCN1CC1=CC=C(C(=O)NC=2C=C(NC=3N=C(C=CN=3)C=3C=NC=CC=3)C(C)=CC=2)C=C1 YLMAHDNUQAMNNX-UHFFFAOYSA-N 0.000 description 1
- 150000002460 imidazoles Chemical class 0.000 description 1
- 125000002883 imidazolyl group Chemical group 0.000 description 1
- 239000007943 implant Substances 0.000 description 1
- 230000006872 improvement Effects 0.000 description 1
- 125000003392 indanyl group Chemical group C1(CCC2=CC=CC=C12)* 0.000 description 1
- 125000003454 indenyl group Chemical group C1(C=CC2=CC=CC=C12)* 0.000 description 1
- 150000002475 indoles Chemical class 0.000 description 1
- 125000001041 indolyl group Chemical group 0.000 description 1
- 230000004054 inflammatory process Effects 0.000 description 1
- 239000004615 ingredient Substances 0.000 description 1
- 239000003112 inhibitor Substances 0.000 description 1
- 230000005764 inhibitory process Effects 0.000 description 1
- 101150010139 inip gene Proteins 0.000 description 1
- 238000011221 initial treatment Methods 0.000 description 1
- 230000000266 injurious effect Effects 0.000 description 1
- 229940125396 insulin Drugs 0.000 description 1
- 108010044426 integrins Proteins 0.000 description 1
- 102000006495 integrins Human genes 0.000 description 1
- 239000000138 intercalating agent Substances 0.000 description 1
- 229940079322 interferon Drugs 0.000 description 1
- 208000020082 intraepithelial neoplasia Diseases 0.000 description 1
- 238000007912 intraperitoneal administration Methods 0.000 description 1
- 238000007913 intrathecal administration Methods 0.000 description 1
- 238000007914 intraventricular administration Methods 0.000 description 1
- 230000007794 irritation Effects 0.000 description 1
- AGPKZVBTJJNPAG-UHFFFAOYSA-N isoleucine Natural products CCC(C)C(N)C(O)=O AGPKZVBTJJNPAG-UHFFFAOYSA-N 0.000 description 1
- 229960000310 isoleucine Drugs 0.000 description 1
- 238000005304 joining Methods 0.000 description 1
- 230000003780 keratinization Effects 0.000 description 1
- 210000003734 kidney Anatomy 0.000 description 1
- HXEACLLIILLPRG-RXMQYKEDSA-N l-pipecolic acid Natural products OC(=O)[C@H]1CCCCN1 HXEACLLIILLPRG-RXMQYKEDSA-N 0.000 description 1
- 150000002596 lactones Chemical class 0.000 description 1
- DDVBPZROPPMBLW-ZJBINBEQSA-N latrunculin a Chemical compound C([C@H]1[C@@]2(O)C[C@H]3C[C@H](O2)CC[C@@H](/C=C\C=C/CC\C(C)=C/C(=O)O3)C)SC(=O)N1 DDVBPZROPPMBLW-ZJBINBEQSA-N 0.000 description 1
- DDVBPZROPPMBLW-UHFFFAOYSA-N latrunculin-A Natural products O1C(=O)C=C(C)CCC=CC=CC(C)CCC(O2)CC1CC2(O)C1CSC(=O)N1 DDVBPZROPPMBLW-UHFFFAOYSA-N 0.000 description 1
- 230000003902 lesion Effects 0.000 description 1
- 229960003881 letrozole Drugs 0.000 description 1
- HPJKCIUCZWXJDR-UHFFFAOYSA-N letrozole Chemical compound C1=CC(C#N)=CC=C1C(N1N=CN=C1)C1=CC=C(C#N)C=C1 HPJKCIUCZWXJDR-UHFFFAOYSA-N 0.000 description 1
- 229960001614 levamisole Drugs 0.000 description 1
- 208000012987 lip and oral cavity carcinoma Diseases 0.000 description 1
- 150000002632 lipids Chemical class 0.000 description 1
- 150000002634 lipophilic molecules Chemical class 0.000 description 1
- 229920006008 lipopolysaccharide Polymers 0.000 description 1
- 239000002502 liposome Substances 0.000 description 1
- SMEROWZSTRWXGI-HVATVPOCSA-N lithocholic acid Chemical compound C([C@H]1CC2)[C@H](O)CC[C@]1(C)[C@@H]1[C@@H]2[C@@H]2CC[C@H]([C@@H](CCC(O)=O)C)[C@@]2(C)CC1 SMEROWZSTRWXGI-HVATVPOCSA-N 0.000 description 1
- 201000002250 liver carcinoma Diseases 0.000 description 1
- 230000004807 localization Effects 0.000 description 1
- 239000007937 lozenge Substances 0.000 description 1
- 208000037841 lung tumor Diseases 0.000 description 1
- 230000001926 lymphatic effect Effects 0.000 description 1
- 201000011649 lymphoblastic lymphoma Diseases 0.000 description 1
- 150000002678 macrocyclic compounds Chemical class 0.000 description 1
- VTHJTEIRLNZDEV-UHFFFAOYSA-L magnesium dihydroxide Chemical compound [OH-].[OH-].[Mg+2] VTHJTEIRLNZDEV-UHFFFAOYSA-L 0.000 description 1
- 239000000347 magnesium hydroxide Substances 0.000 description 1
- 229910001862 magnesium hydroxide Inorganic materials 0.000 description 1
- 230000003211 malignant effect Effects 0.000 description 1
- 208000027202 mammary Paget disease Diseases 0.000 description 1
- 125000002960 margaryl group Chemical group [H]C([*])([H])C([H])([H])C([H])([H])C([H])([H])C([H])([H])C([H])([H])C([H])([H])C([H])([H])C([H])([H])C([H])([H])C([H])([H])C([H])([H])C([H])([H])C([H])([H])C([H])([H])C([H])([H])C([H])([H])[H] 0.000 description 1
- WKPWGQKGSOKKOO-RSFHAFMBSA-N maytansine Chemical compound CO[C@@H]([C@@]1(O)C[C@](OC(=O)N1)([C@H]([C@@H]1O[C@@]1(C)[C@@H](OC(=O)[C@H](C)N(C)C(C)=O)CC(=O)N1C)C)[H])\C=C\C=C(C)\CC2=CC(OC)=C(Cl)C1=C2 WKPWGQKGSOKKOO-RSFHAFMBSA-N 0.000 description 1
- 235000013372 meat Nutrition 0.000 description 1
- 230000007246 mechanism Effects 0.000 description 1
- 229960004961 mechlorethamine Drugs 0.000 description 1
- HAWPXGHAZFHHAD-UHFFFAOYSA-N mechlorethamine Chemical class ClCCN(C)CCCl HAWPXGHAZFHHAD-UHFFFAOYSA-N 0.000 description 1
- 239000002609 medium Substances 0.000 description 1
- 229960004296 megestrol acetate Drugs 0.000 description 1
- RQZAXGRLVPAYTJ-GQFGMJRRSA-N megestrol acetate Chemical compound C1=C(C)C2=CC(=O)CC[C@]2(C)[C@@H]2[C@@H]1[C@@H]1CC[C@@](C(C)=O)(OC(=O)C)[C@@]1(C)CC2 RQZAXGRLVPAYTJ-GQFGMJRRSA-N 0.000 description 1
- 238000002844 melting Methods 0.000 description 1
- 229940041616 menthol Drugs 0.000 description 1
- 229960000901 mepacrine Drugs 0.000 description 1
- GLVAUDGFNGKCSF-UHFFFAOYSA-N mercaptopurine Chemical compound S=C1NC=NC2=C1NC=N2 GLVAUDGFNGKCSF-UHFFFAOYSA-N 0.000 description 1
- 229960004635 mesna Drugs 0.000 description 1
- 230000037353 metabolic pathway Effects 0.000 description 1
- 230000004060 metabolic process Effects 0.000 description 1
- 150000002739 metals Chemical class 0.000 description 1
- 229960001797 methadone Drugs 0.000 description 1
- 229930182817 methionine Natural products 0.000 description 1
- 229920000609 methyl cellulose Polymers 0.000 description 1
- 235000010981 methylcellulose Nutrition 0.000 description 1
- 239000001923 methylcellulose Substances 0.000 description 1
- 125000000325 methylidene group Chemical group [H]C([H])=* 0.000 description 1
- 235000019813 microcrystalline cellulose Nutrition 0.000 description 1
- 239000008108 microcrystalline cellulose Substances 0.000 description 1
- 229940016286 microcrystalline cellulose Drugs 0.000 description 1
- 231100000782 microtubule inhibitor Toxicity 0.000 description 1
- 230000005012 migration Effects 0.000 description 1
- 238000013508 migration Methods 0.000 description 1
- 230000000116 mitigating effect Effects 0.000 description 1
- 238000002156 mixing Methods 0.000 description 1
- 108091005601 modified peptides Proteins 0.000 description 1
- 150000002762 monocarboxylic acid derivatives Chemical class 0.000 description 1
- 125000002757 morpholinyl group Chemical group 0.000 description 1
- WQEPLUUGTLDZJY-UHFFFAOYSA-N n-Pentadecanoic acid Natural products CCCCCCCCCCCCCCC(O)=O WQEPLUUGTLDZJY-UHFFFAOYSA-N 0.000 description 1
- BLCLNMBMMGCOAS-UHFFFAOYSA-N n-[1-[[1-[[1-[[1-[[1-[[1-[[1-[2-[(carbamoylamino)carbamoyl]pyrrolidin-1-yl]-5-(diaminomethylideneamino)-1-oxopentan-2-yl]amino]-4-methyl-1-oxopentan-2-yl]amino]-3-[(2-methylpropan-2-yl)oxy]-1-oxopropan-2-yl]amino]-3-(4-hydroxyphenyl)-1-oxopropan-2-yl]amin Chemical compound C1CCC(C(=O)NNC(N)=O)N1C(=O)C(CCCN=C(N)N)NC(=O)C(CC(C)C)NC(=O)C(COC(C)(C)C)NC(=O)C(NC(=O)C(CO)NC(=O)C(CC=1C2=CC=CC=C2NC=1)NC(=O)C(CC=1NC=NC=1)NC(=O)C1NC(=O)CC1)CC1=CC=C(O)C=C1 BLCLNMBMMGCOAS-UHFFFAOYSA-N 0.000 description 1
- 229950006780 n-acetylglucosamine Drugs 0.000 description 1
- QNILTEGFHQSKFF-UHFFFAOYSA-N n-propan-2-ylprop-2-enamide Chemical compound CC(C)NC(=O)C=C QNILTEGFHQSKFF-UHFFFAOYSA-N 0.000 description 1
- NPAGDVCDWIYMMC-IZPLOLCNSA-N nandrolone Chemical compound O=C1CC[C@@H]2[C@H]3CC[C@](C)([C@H](CC4)O)[C@@H]4[C@@H]3CCC2=C1 NPAGDVCDWIYMMC-IZPLOLCNSA-N 0.000 description 1
- 229960004719 nandrolone Drugs 0.000 description 1
- 125000004593 naphthyridinyl group Chemical group N1=C(C=CC2=CC=CN=C12)* 0.000 description 1
- 229960002009 naproxen Drugs 0.000 description 1
- CMWTZPSULFXXJA-VIFPVBQESA-N naproxen Chemical compound C1=C([C@H](C)C(O)=O)C=CC2=CC(OC)=CC=C21 CMWTZPSULFXXJA-VIFPVBQESA-N 0.000 description 1
- 230000003533 narcotic effect Effects 0.000 description 1
- 208000025402 neoplasm of esophagus Diseases 0.000 description 1
- 208000025189 neoplasm of testis Diseases 0.000 description 1
- 230000007694 nephrotoxicity Effects 0.000 description 1
- 231100000417 nephrotoxicity Toxicity 0.000 description 1
- 210000003757 neuroblast Anatomy 0.000 description 1
- 230000002232 neuromuscular Effects 0.000 description 1
- 230000007135 neurotoxicity Effects 0.000 description 1
- 231100000228 neurotoxicity Toxicity 0.000 description 1
- 125000000449 nitro group Chemical group [O-][N+](*)=O 0.000 description 1
- 229950006344 nocodazole Drugs 0.000 description 1
- 208000002154 non-small cell lung carcinoma Diseases 0.000 description 1
- GHLZUHZBBNDWHW-UHFFFAOYSA-N nonanamide Chemical compound CCCCCCCCC(N)=O GHLZUHZBBNDWHW-UHFFFAOYSA-N 0.000 description 1
- 239000012457 nonaqueous media Substances 0.000 description 1
- 231100000252 nontoxic Toxicity 0.000 description 1
- 230000003000 nontoxic effect Effects 0.000 description 1
- 108020004707 nucleic acids Proteins 0.000 description 1
- 102000039446 nucleic acids Human genes 0.000 description 1
- 150000007523 nucleic acids Chemical class 0.000 description 1
- 239000002773 nucleotide Substances 0.000 description 1
- 125000003729 nucleotide group Chemical group 0.000 description 1
- QIQXTHQIDYTFRH-UHFFFAOYSA-N octadecanoic acid Chemical compound CCCCCCCCCCCCCCCCCC(O)=O QIQXTHQIDYTFRH-UHFFFAOYSA-N 0.000 description 1
- OQCDKBAXFALNLD-UHFFFAOYSA-N octadecanoic acid Natural products CCCCCCCC(C)CCCCCCCCC(O)=O OQCDKBAXFALNLD-UHFFFAOYSA-N 0.000 description 1
- CQYBNXGHMBNGCG-RNJXMRFFSA-N octahydroindole-2-carboxylic acid Chemical compound C1CCC[C@H]2N[C@H](C(=O)O)C[C@@H]21 CQYBNXGHMBNGCG-RNJXMRFFSA-N 0.000 description 1
- 239000003921 oil Substances 0.000 description 1
- 235000019198 oils Nutrition 0.000 description 1
- 239000002674 ointment Substances 0.000 description 1
- 239000004006 olive oil Substances 0.000 description 1
- 235000008390 olive oil Nutrition 0.000 description 1
- 238000005457 optimization Methods 0.000 description 1
- 238000012803 optimization experiment Methods 0.000 description 1
- 201000008557 oral mucosa leukoplakia Diseases 0.000 description 1
- 150000007524 organic acids Chemical class 0.000 description 1
- 235000005985 organic acids Nutrition 0.000 description 1
- 229960003104 ornithine Drugs 0.000 description 1
- 125000004043 oxo group Chemical group O=* 0.000 description 1
- 125000004430 oxygen atom Chemical group O* 0.000 description 1
- 102000002574 p38 Mitogen-Activated Protein Kinases Human genes 0.000 description 1
- 108010068338 p38 Mitogen-Activated Protein Kinases Proteins 0.000 description 1
- 239000006174 pH buffer Substances 0.000 description 1
- WRUUGTRCQOWXEG-UHFFFAOYSA-N pamidronate Chemical compound NCCC(O)(P(O)(O)=O)P(O)(O)=O WRUUGTRCQOWXEG-UHFFFAOYSA-N 0.000 description 1
- 229940046231 pamidronate Drugs 0.000 description 1
- 238000007911 parenteral administration Methods 0.000 description 1
- 239000006072 paste Substances 0.000 description 1
- 239000000312 peanut oil Substances 0.000 description 1
- HQQSBEDKMRHYME-UHFFFAOYSA-N pefloxacin mesylate Chemical compound [H+].CS([O-])(=O)=O.C1=C2N(CC)C=C(C(O)=O)C(=O)C2=CC(F)=C1N1CCN(C)CC1 HQQSBEDKMRHYME-UHFFFAOYSA-N 0.000 description 1
- 229960001373 pegfilgrastim Drugs 0.000 description 1
- 108010044644 pegfilgrastim Proteins 0.000 description 1
- 239000008188 pellet Substances 0.000 description 1
- 229960001639 penicillamine Drugs 0.000 description 1
- JLFNLZLINWHATN-UHFFFAOYSA-N pentaethylene glycol Chemical compound OCCOCCOCCOCCOCCO JLFNLZLINWHATN-UHFFFAOYSA-N 0.000 description 1
- 210000001428 peripheral nervous system Anatomy 0.000 description 1
- 239000000575 pesticide Substances 0.000 description 1
- 229950000688 phenothiazine Drugs 0.000 description 1
- 229940049953 phenylacetate Drugs 0.000 description 1
- WLJVXDMOQOGPHL-UHFFFAOYSA-N phenylacetic acid Chemical compound OC(=O)CC1=CC=CC=C1 WLJVXDMOQOGPHL-UHFFFAOYSA-N 0.000 description 1
- NBIIXXVUZAFLBC-UHFFFAOYSA-K phosphate Chemical compound [O-]P([O-])([O-])=O NBIIXXVUZAFLBC-UHFFFAOYSA-K 0.000 description 1
- 239000010452 phosphate Substances 0.000 description 1
- 150000003013 phosphoric acid derivatives Chemical class 0.000 description 1
- BZQFBWGGLXLEPQ-REOHCLBHSA-N phosphoserine Chemical compound OC(=O)[C@@H](N)COP(O)(O)=O BZQFBWGGLXLEPQ-REOHCLBHSA-N 0.000 description 1
- USRGIUJOYOXOQJ-GBXIJSLDSA-N phosphothreonine Chemical compound OP(=O)(O)O[C@H](C)[C@H](N)C(O)=O USRGIUJOYOXOQJ-GBXIJSLDSA-N 0.000 description 1
- DCWXELXMIBXGTH-UHFFFAOYSA-N phosphotyrosine Chemical compound OC(=O)C(N)CC1=CC=C(OP(O)(O)=O)C=C1 DCWXELXMIBXGTH-UHFFFAOYSA-N 0.000 description 1
- SHUZOJHMOBOZST-UHFFFAOYSA-N phylloquinone Natural products CC(C)CCCCC(C)CCC(C)CCCC(=CCC1=C(C)C(=O)c2ccccc2C1=O)C SHUZOJHMOBOZST-UHFFFAOYSA-N 0.000 description 1
- 125000004193 piperazinyl group Chemical group 0.000 description 1
- 238000007747 plating Methods 0.000 description 1
- 150000003057 platinum Chemical class 0.000 description 1
- 229920001308 poly(aminoacid) Polymers 0.000 description 1
- 229920002627 poly(phosphazenes) Polymers 0.000 description 1
- 229920001481 poly(stearyl methacrylate) Polymers 0.000 description 1
- 108010064470 polyaspartate Proteins 0.000 description 1
- 229920000515 polycarbonate Polymers 0.000 description 1
- 239000004417 polycarbonate Substances 0.000 description 1
- 125000005575 polycyclic aromatic hydrocarbon group Chemical group 0.000 description 1
- 229920000728 polyester Polymers 0.000 description 1
- 229920002523 polyethylene Glycol 1000 Polymers 0.000 description 1
- 229920002643 polyglutamic acid Polymers 0.000 description 1
- 229920005862 polyol Polymers 0.000 description 1
- 150000003077 polyols Chemical class 0.000 description 1
- 229920001184 polypeptide Polymers 0.000 description 1
- 229920001282 polysaccharide Polymers 0.000 description 1
- 239000005017 polysaccharide Substances 0.000 description 1
- 150000004804 polysaccharides Chemical class 0.000 description 1
- 229920000166 polytrimethylene carbonate Chemical group 0.000 description 1
- 229920002635 polyurethane Polymers 0.000 description 1
- 239000004814 polyurethane Substances 0.000 description 1
- 229960004293 porfimer sodium Drugs 0.000 description 1
- 239000013641 positive control Substances 0.000 description 1
- OXCMYAYHXIHQOA-UHFFFAOYSA-N potassium;[2-butyl-5-chloro-3-[[4-[2-(1,2,4-triaza-3-azanidacyclopenta-1,4-dien-5-yl)phenyl]phenyl]methyl]imidazol-4-yl]methanol Chemical compound [K+].CCCCC1=NC(Cl)=C(CO)N1CC1=CC=C(C=2C(=CC=CC=2)C2=N[N-]N=N2)C=C1 OXCMYAYHXIHQOA-UHFFFAOYSA-N 0.000 description 1
- 229920001592 potato starch Polymers 0.000 description 1
- 230000003389 potentiating effect Effects 0.000 description 1
- 239000000843 powder Substances 0.000 description 1
- 239000003755 preservative agent Substances 0.000 description 1
- 125000002924 primary amino group Chemical group [H]N([H])* 0.000 description 1
- CPTBDICYNRMXFX-UHFFFAOYSA-N procarbazine Chemical compound CNNCC1=CC=C(C(=O)NC(C)C)C=C1 CPTBDICYNRMXFX-UHFFFAOYSA-N 0.000 description 1
- 229960000624 procarbazine Drugs 0.000 description 1
- 229940002612 prodrug Drugs 0.000 description 1
- 239000000651 prodrug Substances 0.000 description 1
- 230000000770 proinflammatory effect Effects 0.000 description 1
- 230000002062 proliferating effect Effects 0.000 description 1
- 125000004368 propenyl group Chemical group C(=CC)* 0.000 description 1
- 125000001436 propyl group Chemical group [H]C([*])([H])C([H])([H])C([H])([H])[H] 0.000 description 1
- 229940048914 protamine Drugs 0.000 description 1
- 235000019419 proteases Nutrition 0.000 description 1
- 229930182852 proteinogenic amino acid Natural products 0.000 description 1
- 230000002797 proteolythic effect Effects 0.000 description 1
- 230000002685 pulmonary effect Effects 0.000 description 1
- 125000003373 pyrazinyl group Chemical group 0.000 description 1
- 125000002098 pyridazinyl group Chemical group 0.000 description 1
- 150000003222 pyridines Chemical class 0.000 description 1
- 229960003581 pyridoxal Drugs 0.000 description 1
- 235000008164 pyridoxal Nutrition 0.000 description 1
- 239000011674 pyridoxal Substances 0.000 description 1
- 125000004076 pyridyl group Chemical group 0.000 description 1
- 125000000714 pyrimidinyl group Chemical group 0.000 description 1
- 239000002510 pyrogen Substances 0.000 description 1
- 229940043131 pyroglutamate Drugs 0.000 description 1
- 125000000719 pyrrolidinyl group Chemical group 0.000 description 1
- GPKJTRJOBQGKQK-UHFFFAOYSA-N quinacrine Chemical compound C1=C(OC)C=C2C(NC(C)CCCN(CC)CC)=C(C=CC(Cl)=C3)C3=NC2=C1 GPKJTRJOBQGKQK-UHFFFAOYSA-N 0.000 description 1
- 125000002943 quinolinyl group Chemical group N1=C(C=CC2=CC=CC=C12)* 0.000 description 1
- 238000001959 radiotherapy Methods 0.000 description 1
- 229960000424 rasburicase Drugs 0.000 description 1
- 108010084837 rasburicase Proteins 0.000 description 1
- 206010038038 rectal cancer Diseases 0.000 description 1
- 201000001275 rectum cancer Diseases 0.000 description 1
- 239000002265 redox agent Substances 0.000 description 1
- 239000013074 reference sample Substances 0.000 description 1
- 230000008439 repair process Effects 0.000 description 1
- 235000019192 riboflavin Nutrition 0.000 description 1
- 229960002477 riboflavin Drugs 0.000 description 1
- 239000002151 riboflavin Substances 0.000 description 1
- 108091092562 ribozyme Proteins 0.000 description 1
- 230000000630 rising effect Effects 0.000 description 1
- 235000005713 safflower oil Nutrition 0.000 description 1
- 239000003813 safflower oil Substances 0.000 description 1
- 235000019515 salmon Nutrition 0.000 description 1
- 229940043230 sarcosine Drugs 0.000 description 1
- 108010038379 sargramostim Proteins 0.000 description 1
- 229960002530 sargramostim Drugs 0.000 description 1
- 210000004116 schwann cell Anatomy 0.000 description 1
- 229940125723 sedative agent Drugs 0.000 description 1
- 239000000932 sedative agent Substances 0.000 description 1
- 238000013207 serial dilution Methods 0.000 description 1
- 239000008159 sesame oil Substances 0.000 description 1
- 235000011803 sesame oil Nutrition 0.000 description 1
- 208000000587 small cell lung carcinoma Diseases 0.000 description 1
- 208000010485 smooth muscle tumor Diseases 0.000 description 1
- 235000019812 sodium carboxymethyl cellulose Nutrition 0.000 description 1
- 229920001027 sodium carboxymethylcellulose Polymers 0.000 description 1
- NHXLMOGPVYXJNR-ATOGVRKGSA-N somatostatin Chemical compound C([C@H]1C(=O)N[C@H](C(N[C@@H](CO)C(=O)N[C@@H](CSSC[C@@H](C(=O)N[C@@H](CCCCN)C(=O)N[C@@H](CC(N)=O)C(=O)N[C@@H](CC=2C=CC=CC=2)C(=O)N[C@@H](CC=2C=CC=CC=2)C(=O)N[C@@H](CC=2C3=CC=CC=C3NC=2)C(=O)N[C@@H](CCCCN)C(=O)N[C@H](C(=O)N1)[C@@H](C)O)NC(=O)CNC(=O)[C@H](C)N)C(O)=O)=O)[C@H](O)C)C1=CC=CC=C1 NHXLMOGPVYXJNR-ATOGVRKGSA-N 0.000 description 1
- 229960000553 somatostatin Drugs 0.000 description 1
- 239000003549 soybean oil Substances 0.000 description 1
- 235000012424 soybean oil Nutrition 0.000 description 1
- 241000894007 species Species 0.000 description 1
- 229940063673 spermidine Drugs 0.000 description 1
- 229940063675 spermine Drugs 0.000 description 1
- 239000007921 spray Substances 0.000 description 1
- 235000019698 starch Nutrition 0.000 description 1
- 239000008117 stearic acid Substances 0.000 description 1
- 239000008174 sterile solution Substances 0.000 description 1
- 210000001562 sternum Anatomy 0.000 description 1
- 238000003756 stirring Methods 0.000 description 1
- 239000011550 stock solution Substances 0.000 description 1
- 238000003860 storage Methods 0.000 description 1
- 229960001052 streptozocin Drugs 0.000 description 1
- ZSJLQEPLLKMAKR-GKHCUFPYSA-N streptozocin Chemical compound O=NN(C)C(=O)N[C@H]1[C@@H](O)O[C@H](CO)[C@@H](O)[C@@H]1O ZSJLQEPLLKMAKR-GKHCUFPYSA-N 0.000 description 1
- 210000002536 stromal cell Anatomy 0.000 description 1
- 239000000126 substance Substances 0.000 description 1
- 208000011117 substance-related disease Diseases 0.000 description 1
- 125000000547 substituted alkyl group Chemical group 0.000 description 1
- 239000001384 succinic acid Substances 0.000 description 1
- 239000005720 sucrose Substances 0.000 description 1
- 229960000654 sulfafurazole Drugs 0.000 description 1
- 230000001629 suppression Effects 0.000 description 1
- 230000004083 survival effect Effects 0.000 description 1
- 238000013268 sustained release Methods 0.000 description 1
- 239000012730 sustained-release form Substances 0.000 description 1
- 239000003765 sweetening agent Substances 0.000 description 1
- RJVBVECTCMRNFG-ANKJNSLFSA-N swinholide a Chemical compound C1[C@H](OC)C[C@H](C)O[C@H]1CC[C@H](C)[C@H](O)[C@H](C)[C@@H]1[C@@H](C)[C@H](O)C[C@H](O)[C@H](C)[C@@H](OC)C[C@H](CC=C2)O[C@@H]2C[C@@H](O)C/C=C(\C)/C=C/C(=O)O[C@H]([C@@H](C)[C@@H](O)[C@@H](C)CC[C@@H]2O[C@@H](C)C[C@H](C2)OC)[C@@H](C)[C@H](O)C[C@H](O)[C@H](C)[C@@H](OC)C[C@H](CC=C2)O[C@@H]2C[C@@H](O)C/C=C(\C)/C=C/C(=O)O1 RJVBVECTCMRNFG-ANKJNSLFSA-N 0.000 description 1
- GDACDJNQZCXLNU-UHFFFAOYSA-N swinholide-A Natural products C1C(OC)CC(C)OC1CCC(C)C(O)C(C)C1C(C)C(O)CC(O)C(C)C(OC)CC(CC=C2)OC2CC(O)CC=C(C)C=CC(=O)O1 GDACDJNQZCXLNU-UHFFFAOYSA-N 0.000 description 1
- 230000002194 synthesizing effect Effects 0.000 description 1
- 238000010189 synthetic method Methods 0.000 description 1
- 230000009885 systemic effect Effects 0.000 description 1
- 239000003826 tablet Substances 0.000 description 1
- 229960001603 tamoxifen Drugs 0.000 description 1
- DKPFODGZWDEEBT-QFIAKTPHSA-N taxane Chemical class C([C@]1(C)CCC[C@@H](C)[C@H]1C1)C[C@H]2[C@H](C)CC[C@@H]1C2(C)C DKPFODGZWDEEBT-QFIAKTPHSA-N 0.000 description 1
- 229960004964 temozolomide Drugs 0.000 description 1
- 125000000999 tert-butyl group Chemical group [H]C([H])([H])C(*)(C([H])([H])[H])C([H])([H])[H] 0.000 description 1
- NPDBDJFLKKQMCM-UHFFFAOYSA-N tert-butylglycine Chemical compound CC(C)(C)C(N)C(O)=O NPDBDJFLKKQMCM-UHFFFAOYSA-N 0.000 description 1
- 229960002180 tetracycline Drugs 0.000 description 1
- 229930101283 tetracycline Natural products 0.000 description 1
- 235000019364 tetracycline Nutrition 0.000 description 1
- 150000003522 tetracyclines Chemical class 0.000 description 1
- TUNFSRHWOTWDNC-HKGQFRNVSA-N tetradecanoic acid Chemical compound CCCCCCCCCCCCC[14C](O)=O TUNFSRHWOTWDNC-HKGQFRNVSA-N 0.000 description 1
- 125000003718 tetrahydrofuranyl group Chemical group 0.000 description 1
- 125000001712 tetrahydronaphthyl group Chemical group C1(CCCC2=CC=CC=C12)* 0.000 description 1
- 125000000335 thiazolyl group Chemical group 0.000 description 1
- 150000003568 thioethers Chemical class 0.000 description 1
- 238000006177 thiolation reaction Methods 0.000 description 1
- 208000030901 thyroid gland follicular carcinoma Diseases 0.000 description 1
- 229960000874 thyrotropin Drugs 0.000 description 1
- 230000001748 thyrotropin Effects 0.000 description 1
- 229960005026 toremifene Drugs 0.000 description 1
- XFCLJVABOIYOMF-QPLCGJKRSA-N toremifene Chemical compound C1=CC(OCCN(C)C)=CC=C1C(\C=1C=CC=CC=1)=C(\CCCl)C1=CC=CC=C1 XFCLJVABOIYOMF-QPLCGJKRSA-N 0.000 description 1
- 229960005267 tositumomab Drugs 0.000 description 1
- 231100000331 toxic Toxicity 0.000 description 1
- 230000002588 toxic effect Effects 0.000 description 1
- 235000010487 tragacanth Nutrition 0.000 description 1
- 239000000196 tragacanth Substances 0.000 description 1
- 229940116362 tragacanth Drugs 0.000 description 1
- FGMPLJWBKKVCDB-UHFFFAOYSA-N trans-L-hydroxy-proline Natural products ON1CCCC1C(O)=O FGMPLJWBKKVCDB-UHFFFAOYSA-N 0.000 description 1
- 230000001131 transforming effect Effects 0.000 description 1
- 229960001727 tretinoin Drugs 0.000 description 1
- 239000000814 tuberculostatic agent Substances 0.000 description 1
- 230000004614 tumor growth Effects 0.000 description 1
- 208000029729 tumor suppressor gene on chromosome 11 Diseases 0.000 description 1
- ZOCKGBMQLCSHFP-KQRAQHLDSA-N valrubicin Chemical compound O([C@H]1C[C@](CC2=C(O)C=3C(=O)C4=CC=CC(OC)=C4C(=O)C=3C(O)=C21)(O)C(=O)COC(=O)CCCC)[C@H]1C[C@H](NC(=O)C(F)(F)F)[C@H](O)[C@H](C)O1 ZOCKGBMQLCSHFP-KQRAQHLDSA-N 0.000 description 1
- 229960000653 valrubicin Drugs 0.000 description 1
- 208000019553 vascular disease Diseases 0.000 description 1
- 239000003981 vehicle Substances 0.000 description 1
- OGWKCGZFUXNPDA-XQKSVPLYSA-N vincristine Chemical compound C([N@]1C[C@@H](C[C@]2(C(=O)OC)C=3C(=CC4=C([C@]56[C@H]([C@@]([C@H](OC(C)=O)[C@]7(CC)C=CCN([C@H]67)CC5)(O)C(=O)OC)N4C=O)C=3)OC)C[C@@](C1)(O)CC)CC1=C2NC2=CC=CC=C12 OGWKCGZFUXNPDA-XQKSVPLYSA-N 0.000 description 1
- 229960004528 vincristine Drugs 0.000 description 1
- OGWKCGZFUXNPDA-UHFFFAOYSA-N vincristine Natural products C1C(CC)(O)CC(CC2(C(=O)OC)C=3C(=CC4=C(C56C(C(C(OC(C)=O)C7(CC)C=CCN(C67)CC5)(O)C(=O)OC)N4C=O)C=3)OC)CN1CCC1=C2NC2=CC=CC=C12 OGWKCGZFUXNPDA-UHFFFAOYSA-N 0.000 description 1
- 125000000391 vinyl group Chemical group [H]C([*])=C([H])[H] 0.000 description 1
- 235000019155 vitamin A Nutrition 0.000 description 1
- 239000011719 vitamin A Substances 0.000 description 1
- 235000019156 vitamin B Nutrition 0.000 description 1
- 239000011720 vitamin B Substances 0.000 description 1
- 239000011712 vitamin K Substances 0.000 description 1
- 235000019168 vitamin K Nutrition 0.000 description 1
- 150000003721 vitamin K derivatives Chemical class 0.000 description 1
- 229940045997 vitamin a Drugs 0.000 description 1
- 150000003722 vitamin derivatives Chemical class 0.000 description 1
- 229940046010 vitamin k Drugs 0.000 description 1
- 201000005102 vulva cancer Diseases 0.000 description 1
- 239000011534 wash buffer Substances 0.000 description 1
- 238000004260 weight control Methods 0.000 description 1
- 239000000080 wetting agent Substances 0.000 description 1
- XOOUIPVCVHRTMJ-UHFFFAOYSA-L zinc stearate Chemical compound [Zn+2].CCCCCCCCCCCCCCCCCC([O-])=O.CCCCCCCCCCCCCCCCCC([O-])=O XOOUIPVCVHRTMJ-UHFFFAOYSA-L 0.000 description 1
- SFVVQRJOGUKCEG-OPQSFPLASA-N β-MSH Chemical compound C1C[C@@H](O)[C@H]2C(COC(=O)[C@@](O)([C@@H](C)O)C(C)C)=CCN21 SFVVQRJOGUKCEG-OPQSFPLASA-N 0.000 description 1
Images
Classifications
-
- A—HUMAN NECESSITIES
- A61—MEDICAL OR VETERINARY SCIENCE; HYGIENE
- A61K—PREPARATIONS FOR MEDICAL, DENTAL OR TOILETRY PURPOSES
- A61K47/00—Medicinal preparations characterised by the non-active ingredients used, e.g. carriers or inert additives; Targeting or modifying agents chemically bound to the active ingredient
- A61K47/50—Medicinal preparations characterised by the non-active ingredients used, e.g. carriers or inert additives; Targeting or modifying agents chemically bound to the active ingredient the non-active ingredient being chemically bound to the active ingredient, e.g. polymer-drug conjugates
- A61K47/51—Medicinal preparations characterised by the non-active ingredients used, e.g. carriers or inert additives; Targeting or modifying agents chemically bound to the active ingredient the non-active ingredient being chemically bound to the active ingredient, e.g. polymer-drug conjugates the non-active ingredient being a modifying agent
- A61K47/56—Medicinal preparations characterised by the non-active ingredients used, e.g. carriers or inert additives; Targeting or modifying agents chemically bound to the active ingredient the non-active ingredient being chemically bound to the active ingredient, e.g. polymer-drug conjugates the non-active ingredient being a modifying agent the modifying agent being an organic macromolecular compound, e.g. an oligomeric, polymeric or dendrimeric molecule
- A61K47/59—Medicinal preparations characterised by the non-active ingredients used, e.g. carriers or inert additives; Targeting or modifying agents chemically bound to the active ingredient the non-active ingredient being chemically bound to the active ingredient, e.g. polymer-drug conjugates the non-active ingredient being a modifying agent the modifying agent being an organic macromolecular compound, e.g. an oligomeric, polymeric or dendrimeric molecule obtained otherwise than by reactions only involving carbon-to-carbon unsaturated bonds, e.g. polyureas or polyurethanes
- A61K47/60—Medicinal preparations characterised by the non-active ingredients used, e.g. carriers or inert additives; Targeting or modifying agents chemically bound to the active ingredient the non-active ingredient being chemically bound to the active ingredient, e.g. polymer-drug conjugates the non-active ingredient being a modifying agent the modifying agent being an organic macromolecular compound, e.g. an oligomeric, polymeric or dendrimeric molecule obtained otherwise than by reactions only involving carbon-to-carbon unsaturated bonds, e.g. polyureas or polyurethanes the organic macromolecular compound being a polyoxyalkylene oligomer, polymer or dendrimer, e.g. PEG, PPG, PEO or polyglycerol
-
- A—HUMAN NECESSITIES
- A61—MEDICAL OR VETERINARY SCIENCE; HYGIENE
- A61K—PREPARATIONS FOR MEDICAL, DENTAL OR TOILETRY PURPOSES
- A61K31/00—Medicinal preparations containing organic active ingredients
- A61K31/28—Compounds containing heavy metals
- A61K31/282—Platinum compounds
-
- A—HUMAN NECESSITIES
- A61—MEDICAL OR VETERINARY SCIENCE; HYGIENE
- A61K—PREPARATIONS FOR MEDICAL, DENTAL OR TOILETRY PURPOSES
- A61K47/00—Medicinal preparations characterised by the non-active ingredients used, e.g. carriers or inert additives; Targeting or modifying agents chemically bound to the active ingredient
-
- A—HUMAN NECESSITIES
- A61—MEDICAL OR VETERINARY SCIENCE; HYGIENE
- A61K—PREPARATIONS FOR MEDICAL, DENTAL OR TOILETRY PURPOSES
- A61K47/00—Medicinal preparations characterised by the non-active ingredients used, e.g. carriers or inert additives; Targeting or modifying agents chemically bound to the active ingredient
- A61K47/50—Medicinal preparations characterised by the non-active ingredients used, e.g. carriers or inert additives; Targeting or modifying agents chemically bound to the active ingredient the non-active ingredient being chemically bound to the active ingredient, e.g. polymer-drug conjugates
-
- A—HUMAN NECESSITIES
- A61—MEDICAL OR VETERINARY SCIENCE; HYGIENE
- A61K—PREPARATIONS FOR MEDICAL, DENTAL OR TOILETRY PURPOSES
- A61K47/00—Medicinal preparations characterised by the non-active ingredients used, e.g. carriers or inert additives; Targeting or modifying agents chemically bound to the active ingredient
- A61K47/50—Medicinal preparations characterised by the non-active ingredients used, e.g. carriers or inert additives; Targeting or modifying agents chemically bound to the active ingredient the non-active ingredient being chemically bound to the active ingredient, e.g. polymer-drug conjugates
- A61K47/51—Medicinal preparations characterised by the non-active ingredients used, e.g. carriers or inert additives; Targeting or modifying agents chemically bound to the active ingredient the non-active ingredient being chemically bound to the active ingredient, e.g. polymer-drug conjugates the non-active ingredient being a modifying agent
- A61K47/56—Medicinal preparations characterised by the non-active ingredients used, e.g. carriers or inert additives; Targeting or modifying agents chemically bound to the active ingredient the non-active ingredient being chemically bound to the active ingredient, e.g. polymer-drug conjugates the non-active ingredient being a modifying agent the modifying agent being an organic macromolecular compound, e.g. an oligomeric, polymeric or dendrimeric molecule
- A61K47/58—Medicinal preparations characterised by the non-active ingredients used, e.g. carriers or inert additives; Targeting or modifying agents chemically bound to the active ingredient the non-active ingredient being chemically bound to the active ingredient, e.g. polymer-drug conjugates the non-active ingredient being a modifying agent the modifying agent being an organic macromolecular compound, e.g. an oligomeric, polymeric or dendrimeric molecule obtained by reactions only involving carbon-to-carbon unsaturated bonds, e.g. poly[meth]acrylate, polyacrylamide, polystyrene, polyvinylpyrrolidone, polyvinylalcohol or polystyrene sulfonic acid resin
-
- A—HUMAN NECESSITIES
- A61—MEDICAL OR VETERINARY SCIENCE; HYGIENE
- A61K—PREPARATIONS FOR MEDICAL, DENTAL OR TOILETRY PURPOSES
- A61K47/00—Medicinal preparations characterised by the non-active ingredients used, e.g. carriers or inert additives; Targeting or modifying agents chemically bound to the active ingredient
- A61K47/50—Medicinal preparations characterised by the non-active ingredients used, e.g. carriers or inert additives; Targeting or modifying agents chemically bound to the active ingredient the non-active ingredient being chemically bound to the active ingredient, e.g. polymer-drug conjugates
- A61K47/51—Medicinal preparations characterised by the non-active ingredients used, e.g. carriers or inert additives; Targeting or modifying agents chemically bound to the active ingredient the non-active ingredient being chemically bound to the active ingredient, e.g. polymer-drug conjugates the non-active ingredient being a modifying agent
- A61K47/62—Medicinal preparations characterised by the non-active ingredients used, e.g. carriers or inert additives; Targeting or modifying agents chemically bound to the active ingredient the non-active ingredient being chemically bound to the active ingredient, e.g. polymer-drug conjugates the non-active ingredient being a modifying agent the modifying agent being a protein, peptide or polyamino acid
- A61K47/64—Drug-peptide, drug-protein or drug-polyamino acid conjugates, i.e. the modifying agent being a peptide, protein or polyamino acid which is covalently bonded or complexed to a therapeutically active agent
-
- A—HUMAN NECESSITIES
- A61—MEDICAL OR VETERINARY SCIENCE; HYGIENE
- A61K—PREPARATIONS FOR MEDICAL, DENTAL OR TOILETRY PURPOSES
- A61K47/00—Medicinal preparations characterised by the non-active ingredients used, e.g. carriers or inert additives; Targeting or modifying agents chemically bound to the active ingredient
- A61K47/50—Medicinal preparations characterised by the non-active ingredients used, e.g. carriers or inert additives; Targeting or modifying agents chemically bound to the active ingredient the non-active ingredient being chemically bound to the active ingredient, e.g. polymer-drug conjugates
- A61K47/51—Medicinal preparations characterised by the non-active ingredients used, e.g. carriers or inert additives; Targeting or modifying agents chemically bound to the active ingredient the non-active ingredient being chemically bound to the active ingredient, e.g. polymer-drug conjugates the non-active ingredient being a modifying agent
- A61K47/62—Medicinal preparations characterised by the non-active ingredients used, e.g. carriers or inert additives; Targeting or modifying agents chemically bound to the active ingredient the non-active ingredient being chemically bound to the active ingredient, e.g. polymer-drug conjugates the non-active ingredient being a modifying agent the modifying agent being a protein, peptide or polyamino acid
- A61K47/64—Drug-peptide, drug-protein or drug-polyamino acid conjugates, i.e. the modifying agent being a peptide, protein or polyamino acid which is covalently bonded or complexed to a therapeutically active agent
- A61K47/641—Branched, dendritic or hypercomb peptides
-
- A—HUMAN NECESSITIES
- A61—MEDICAL OR VETERINARY SCIENCE; HYGIENE
- A61K—PREPARATIONS FOR MEDICAL, DENTAL OR TOILETRY PURPOSES
- A61K47/00—Medicinal preparations characterised by the non-active ingredients used, e.g. carriers or inert additives; Targeting or modifying agents chemically bound to the active ingredient
- A61K47/50—Medicinal preparations characterised by the non-active ingredients used, e.g. carriers or inert additives; Targeting or modifying agents chemically bound to the active ingredient the non-active ingredient being chemically bound to the active ingredient, e.g. polymer-drug conjugates
- A61K47/51—Medicinal preparations characterised by the non-active ingredients used, e.g. carriers or inert additives; Targeting or modifying agents chemically bound to the active ingredient the non-active ingredient being chemically bound to the active ingredient, e.g. polymer-drug conjugates the non-active ingredient being a modifying agent
- A61K47/68—Medicinal preparations characterised by the non-active ingredients used, e.g. carriers or inert additives; Targeting or modifying agents chemically bound to the active ingredient the non-active ingredient being chemically bound to the active ingredient, e.g. polymer-drug conjugates the non-active ingredient being a modifying agent the modifying agent being an antibody, an immunoglobulin or a fragment thereof, e.g. an Fc-fragment
-
- A—HUMAN NECESSITIES
- A61—MEDICAL OR VETERINARY SCIENCE; HYGIENE
- A61K—PREPARATIONS FOR MEDICAL, DENTAL OR TOILETRY PURPOSES
- A61K47/00—Medicinal preparations characterised by the non-active ingredients used, e.g. carriers or inert additives; Targeting or modifying agents chemically bound to the active ingredient
- A61K47/50—Medicinal preparations characterised by the non-active ingredients used, e.g. carriers or inert additives; Targeting or modifying agents chemically bound to the active ingredient the non-active ingredient being chemically bound to the active ingredient, e.g. polymer-drug conjugates
- A61K47/51—Medicinal preparations characterised by the non-active ingredients used, e.g. carriers or inert additives; Targeting or modifying agents chemically bound to the active ingredient the non-active ingredient being chemically bound to the active ingredient, e.g. polymer-drug conjugates the non-active ingredient being a modifying agent
- A61K47/68—Medicinal preparations characterised by the non-active ingredients used, e.g. carriers or inert additives; Targeting or modifying agents chemically bound to the active ingredient the non-active ingredient being chemically bound to the active ingredient, e.g. polymer-drug conjugates the non-active ingredient being a modifying agent the modifying agent being an antibody, an immunoglobulin or a fragment thereof, e.g. an Fc-fragment
- A61K47/6801—Drug-antibody or immunoglobulin conjugates defined by the pharmacologically or therapeutically active agent
- A61K47/6803—Drugs conjugated to an antibody or immunoglobulin, e.g. cisplatin-antibody conjugates
-
- A—HUMAN NECESSITIES
- A61—MEDICAL OR VETERINARY SCIENCE; HYGIENE
- A61K—PREPARATIONS FOR MEDICAL, DENTAL OR TOILETRY PURPOSES
- A61K47/00—Medicinal preparations characterised by the non-active ingredients used, e.g. carriers or inert additives; Targeting or modifying agents chemically bound to the active ingredient
- A61K47/50—Medicinal preparations characterised by the non-active ingredients used, e.g. carriers or inert additives; Targeting or modifying agents chemically bound to the active ingredient the non-active ingredient being chemically bound to the active ingredient, e.g. polymer-drug conjugates
- A61K47/51—Medicinal preparations characterised by the non-active ingredients used, e.g. carriers or inert additives; Targeting or modifying agents chemically bound to the active ingredient the non-active ingredient being chemically bound to the active ingredient, e.g. polymer-drug conjugates the non-active ingredient being a modifying agent
- A61K47/68—Medicinal preparations characterised by the non-active ingredients used, e.g. carriers or inert additives; Targeting or modifying agents chemically bound to the active ingredient the non-active ingredient being chemically bound to the active ingredient, e.g. polymer-drug conjugates the non-active ingredient being a modifying agent the modifying agent being an antibody, an immunoglobulin or a fragment thereof, e.g. an Fc-fragment
- A61K47/6835—Medicinal preparations characterised by the non-active ingredients used, e.g. carriers or inert additives; Targeting or modifying agents chemically bound to the active ingredient the non-active ingredient being chemically bound to the active ingredient, e.g. polymer-drug conjugates the non-active ingredient being a modifying agent the modifying agent being an antibody, an immunoglobulin or a fragment thereof, e.g. an Fc-fragment the modifying agent being an antibody or an immunoglobulin bearing at least one antigen-binding site
- A61K47/6849—Medicinal preparations characterised by the non-active ingredients used, e.g. carriers or inert additives; Targeting or modifying agents chemically bound to the active ingredient the non-active ingredient being chemically bound to the active ingredient, e.g. polymer-drug conjugates the non-active ingredient being a modifying agent the modifying agent being an antibody, an immunoglobulin or a fragment thereof, e.g. an Fc-fragment the modifying agent being an antibody or an immunoglobulin bearing at least one antigen-binding site the antibody targeting a receptor, a cell surface antigen or a cell surface determinant
-
- A—HUMAN NECESSITIES
- A61—MEDICAL OR VETERINARY SCIENCE; HYGIENE
- A61K—PREPARATIONS FOR MEDICAL, DENTAL OR TOILETRY PURPOSES
- A61K47/00—Medicinal preparations characterised by the non-active ingredients used, e.g. carriers or inert additives; Targeting or modifying agents chemically bound to the active ingredient
- A61K47/50—Medicinal preparations characterised by the non-active ingredients used, e.g. carriers or inert additives; Targeting or modifying agents chemically bound to the active ingredient the non-active ingredient being chemically bound to the active ingredient, e.g. polymer-drug conjugates
- A61K47/51—Medicinal preparations characterised by the non-active ingredients used, e.g. carriers or inert additives; Targeting or modifying agents chemically bound to the active ingredient the non-active ingredient being chemically bound to the active ingredient, e.g. polymer-drug conjugates the non-active ingredient being a modifying agent
- A61K47/68—Medicinal preparations characterised by the non-active ingredients used, e.g. carriers or inert additives; Targeting or modifying agents chemically bound to the active ingredient the non-active ingredient being chemically bound to the active ingredient, e.g. polymer-drug conjugates the non-active ingredient being a modifying agent the modifying agent being an antibody, an immunoglobulin or a fragment thereof, e.g. an Fc-fragment
- A61K47/6835—Medicinal preparations characterised by the non-active ingredients used, e.g. carriers or inert additives; Targeting or modifying agents chemically bound to the active ingredient the non-active ingredient being chemically bound to the active ingredient, e.g. polymer-drug conjugates the non-active ingredient being a modifying agent the modifying agent being an antibody, an immunoglobulin or a fragment thereof, e.g. an Fc-fragment the modifying agent being an antibody or an immunoglobulin bearing at least one antigen-binding site
- A61K47/6883—Polymer-drug antibody conjugates, e.g. mitomycin-dextran-Ab; DNA-polylysine-antibody complex or conjugate used for therapy
-
- A—HUMAN NECESSITIES
- A61—MEDICAL OR VETERINARY SCIENCE; HYGIENE
- A61P—SPECIFIC THERAPEUTIC ACTIVITY OF CHEMICAL COMPOUNDS OR MEDICINAL PREPARATIONS
- A61P35/00—Antineoplastic agents
-
- C—CHEMISTRY; METALLURGY
- C07—ORGANIC CHEMISTRY
- C07F—ACYCLIC, CARBOCYCLIC OR HETEROCYCLIC COMPOUNDS CONTAINING ELEMENTS OTHER THAN CARBON, HYDROGEN, HALOGEN, OXYGEN, NITROGEN, SULFUR, SELENIUM OR TELLURIUM
- C07F15/00—Compounds containing elements of Groups 8, 9, 10 or 18 of the Periodic Table
- C07F15/0006—Compounds containing elements of Groups 8, 9, 10 or 18 of the Periodic Table compounds of the platinum group
- C07F15/0086—Platinum compounds
Landscapes
- Health & Medical Sciences (AREA)
- Life Sciences & Earth Sciences (AREA)
- Engineering & Computer Science (AREA)
- Bioinformatics & Cheminformatics (AREA)
- Chemical & Material Sciences (AREA)
- General Health & Medical Sciences (AREA)
- Public Health (AREA)
- Medicinal Chemistry (AREA)
- Pharmacology & Pharmacy (AREA)
- Animal Behavior & Ethology (AREA)
- Veterinary Medicine (AREA)
- Epidemiology (AREA)
- Immunology (AREA)
- Proteomics, Peptides & Aminoacids (AREA)
- Organic Chemistry (AREA)
- Molecular Biology (AREA)
- Cell Biology (AREA)
- Biotechnology (AREA)
- Chemical Kinetics & Catalysis (AREA)
- General Chemical & Material Sciences (AREA)
- Nuclear Medicine, Radiotherapy & Molecular Imaging (AREA)
- Pharmaceuticals Containing Other Organic And Inorganic Compounds (AREA)
- Medicinal Preparation (AREA)
- Acyclic And Carbocyclic Compounds In Medicinal Compositions (AREA)
- Medicines Containing Antibodies Or Antigens For Use As Internal Diagnostic Agents (AREA)
- Peptides Or Proteins (AREA)
Description
本出願は、米国特許法第119条(a)〜第119条(d)の1つまたは複数の下、2012年1月3日付で出願されたインド特許出願第18/DEL/2012号の恩典を主張するものであり、その内容は、その全体が参照により本明細書に組み入れられる。
本発明は、リガンド-標的指向分子およびリガンド薬物結合体に関する。本発明は同様に、これらのリガンド-標的指向分子およびリガンド薬物結合体を調製する方法、ならびに腫瘍の処置のためにこれらのリガンド薬物結合体を使用する方法に関する。
新規の治療用剤の導入によるがん治療の最近の改善にもかかわらず、がんの発生率は上昇中である。伝統的な化学療法は依然としてがん処置の柱の1つである。化学療法は多くの場合、がん細胞に対して毒性がある薬物の使用に基づいている。いくつかの一般的クラスの化学療法薬が開発されている。細胞DNAの中に架橋を作り出すことによって細胞DNAに損傷を与えることが示されている遺伝毒性薬のそのようなクラスの1つは、シスプラチン[シス-ジアンミンジクロロ白金(II)]およびカルボプラチン[ジアンミン(1,1-シクロブタンジカルボキシレート)-白金(II)]である(Eur J Cancer 1998;34: 1535-42(非特許文献1); Chem Rev. 1999;2467-98(非特許文献2))。シスプラチンは、最もよく使われる化学療法剤の1つであり、大部分の悪性腫瘍に対する一次治療法である。シスプラチンならびに他のPt(II)類似体、例えばカルボプラチンおよびオキサリプラチンは、上皮および間葉由来の、選択された、多様な新生物の処置において現在使用されている。
本発明は、白金が特有のO-Ptおよび=O→Pt配位結合を介して脱離基に配位されている、標的指向リガンドに連結された新規の白金(II)配位化合物の産生および用法に関する。本発明は同様に、抗がん療法用の化学療法剤の部位特異的または疾患特異的な送達のための錯体を提供する。本発明は、リガンド-標的指向治療用剤の形式において、異なるPt(II)化合物および他の細胞毒素、異なる標的指向部分を用いることを企図する。いずれの形式においても、結合体は1つまたは複数のPt(II)治療剤、および1つまたは複数の標的指向リガンドを含み得る。
[本発明1001]
(i) 官能部分;
(ii) 該官能部分に結合したリンカー;
(iii) 該リンカーに結合したジカルボニル部分; および
(iv) 該ジカルボニル部分に結合した薬物;
を含み、
該薬物が白金化学療法剤である、リガンド-標的指向分子。
[本発明1002]
白金化学療法剤がPt(II)化学療法剤である、本発明1001のリガンド-標的指向分子。
[本発明1003]
白金化学療法剤がシスプラチン、オキサリプラチン、カルボプラチンまたは他のPt(II)剤である、本発明1002のリガンド-標的指向分子。
[本発明1004]
官能部分がチオール反応性、アミン反応性またはアジド反応性である、本発明1001のリガンド-標的指向分子。
[本発明1005]
官能部分がマレイミドである、本発明1004のリガンド-標的指向分子。
[本発明1006]
リンカーが炭化水素、ポリエチレングリコール(PEG)、アミノ酸、ペプチド、またはその組み合わせであり、該炭化水素またはPEGが置換型または非置換型である、本発明1001のリガンド-標的指向分子。
[本発明1007]
リンカーが炭化水素である、本発明1006のリガンド-標的指向分子。
[本発明1008]
リンカーがPEGである、本発明1006のリガンド-標的指向分子。
[本発明1009]
PEGが約200 Da〜約50 kDaの分子量を有する、本発明1006のリガンド-標的指向分子。
[本発明1010]
リンカーが少なくとも1個のアミノ酸および置換型または非置換型PEGの組み合わせを含む、本発明1006のリガンド-標的指向分子。
[本発明1011]
アミノ酸がリジンである、本発明1010のリガンド-標的指向分子。
[本発明1012]
リンカーが2個のアミノ酸および置換型または非置換型PEGの組み合わせを含む、本発明1006のリガンド-標的指向分子。
[本発明1013]
リンカーが3個のアミノ酸および置換型または非置換型PEGの組み合わせを含む、本発明1006のリガンド-標的指向分子。
[本発明1014]
ジカルボニル部分がスクシネートである、本発明1006のリガンド-標的指向分子。
[本発明1015]
ジカルボニル部分がスクシネートである、本発明1014のリガンド-標的指向分子。
[本発明1016]
リガンド-標的指向分子に結合したリガンドを含むリガンド薬物結合体であって、
該リガンド-標的指向分子が、官能部分と、該官能部分に結合した少なくとも1つのリンカーと、該リンカーに結合したジカルボニル部分と、該ジカルボニル部分に結合した薬物とを含み、該薬物が白金化学療法剤であり、かつ該リガンドが該官能部分に結合している、リガンド薬物結合体。
[本発明1017]
リガンドが抗体、抗体断片、ペプチド、アゴニスト、アンタゴニストまたはアプタマーである、本発明1016のリガンド薬物結合体。
[本発明1018]
リガンドが抗体である、本発明1017のリガンド薬物結合体。
[本発明1019]
抗体が上皮成長因子受容体を標的とする、本発明1018のリガンド薬物結合体。
[本発明1020]
抗体がチオエーテル結合を介して官能部分に結合される、本発明1019のリガンド薬物結合体。
[本発明1021]
リガンド-標的指向分子に結合したリガンドを含むリガンド薬物結合体であって、
該リガンド-標的指向分子が、官能部分と、該官能部分に結合した少なくとも1つのリンカーと、該リンカーに結合した第1の薬物と、該リンカーに結合したジカルボニル部分と、該ジカルボニル部分に結合した第2の薬物とを含み、該第2の薬物が白金化合物であり、かつ該リガンドが該官能部分に結合している、リガンド薬物結合体。
[本発明1022]
第1の薬物が抗がん剤である、本発明1021の結合体。
[本発明1023]
抗がん剤が、メイタンシノイド(DM1およびDM4); CC-1065; アドゼレシン(DC1); DC4; カリケアマイシン; ドラスタチン; オーリスタチンEおよびF; メアマイシン(Meamycin); ドキソルビシン; パクリタキセル; ドセタキセル; ラウリマリド; エポチロンAおよびB; ディスコデルモライド; エリュテロビン; ペロルシドA; シクロホスファミド、クロラムブシル、ウラムスチン、イフォスファミド、メルファラン、およびベンダムスチン; カルムスチン、ロムスチン、セムスチン; ブスルファン; チオテパ; ダカルバジン; メトトレキセート; 6-メルカプトプリン、6-チオグアニン、ペントスタチン、フルダラビン; 5-フルオロウラシル、シタラビン、ロイコボリン; ダクチノマイシン; ブレオマイシン; ダウノルビシン; マイトマイシン; イダルビシン; プリカマイシン; ビンクリスチン; ビンブラスチン; ビノレルビン; エトポシド; テニポシド; アスパラギナーゼ; マイトトキシン; イリノテカン(CPT-11); フマギリン; フマガロン; フマラノール; O-(クロロアセチルカルバモイル)-フマギロール(AGM-1470、TNP-470); 27-ヒドロキシブラタシン、それらの誘導体および類似体、ならびにそれらの任意の組み合わせからなる群より選択される、本発明1022の結合体。
[本発明1024]
白金化合物が白金(II)化合物である、本発明1021の結合体。
[本発明1025]
白金(II)化合物が、シスプラチン、オキサリプラチン、カルボプラチン、パラプラチン、サトラプラチン、およびそれらの組み合わせからなる群より選択される、本発明1024の結合体。
[本発明1026]
リガンドが、がん細胞の表面上のタンパク質、受容体、または細胞マーカーに結合する、本発明1021の結合体。
[本発明1027]
リガンドが上皮成長因子受容体に結合する、本発明1021の結合体。
[本発明1028]
リガンドが抗体、抗体断片、ペプチド、アゴニスト、アンタゴニストまたはアプタマーである、本発明1021の結合体。
[本発明1029]
抗体が、C242抗体(CanAg)、リツキシマブ、トラスツズマブ(Her2)、セツキシマブ、ベバシズマブ(VEGF)、パニツムマブ、アレムツズマブ、オファツムマブ、ゲムツズマブ(CD33)、イノツズマブ(CD22)、ロルボツズマブ(CD56)、ブレンツキシマブ(CD30)、グレムバツムマブ(GPNMB)、それらのエピトープ結合断片およびそれらの任意の組み合わせからなる群より選択される、本発明1028の結合体。
[本発明1030]
リンカーが炭化水素、ポリエチレングリコール(PEG)、アミノ酸、ペプチド、またはその組み合わせであり、該炭化水素またはPEGが置換型または非置換型である、本発明1021の結合体。
[本発明1031]
リンカーが炭化水素である、本発明1030の結合体。
[本発明1032]
リンカーがPEGである、本発明1030の結合体。
[本発明1033]
PEGが約200 Da〜約50 kDaの分子量を有する、本発明1032の結合体。
[本発明1034]
リンカーが少なくとも1個のアミノ酸および置換型または非置換型PEGの組み合わせを含む、本発明1021の結合体。
[本発明1035]
リンカーが2個または3個のアミノ酸を含む、本発明1034の結合体。
[本発明1036]
アミノ酸がリジンである、本発明1034の結合体。
[本発明1037]
ジカルボニル部分がスクシネートである、本発明1021の結合体。
[本発明1038]
ジカルボニル部分がスクシネートである、本発明1037のリガンド-標的指向分子。
[本発明1039]
リガンド-標的指向分子に結合したリガンドを含むリガンド薬物結合体であって、
該リガンド-標的指向分子が官能部分と、該官能部分に結合した少なくとも1つの第1のリンカーと、該第1のリンカーに結合した配位金属錯体と、該配位金属錯体に結合した少なくとも1つの第2のリンカーと、該第2のリンカーに結合した薬物と、該官能部分に結合した該リガンドをと含む、リガンド薬物結合体。
[本発明1040]
配位金属錯体がO→金属錯体結合を含む、本発明1039の結合体。
[本発明1041]
O→金属錯体結合がアミドカルボニル酸素またはエステルカルボニル酸素とのものである、本発明1040の結合体。
[本発明1042]
配位金属錯体が白金、鉄、またはケイ素錯体である、本発明1039の結合体。
[本発明1043]
配位金属錯体が白金(II)錯体である、本発明1042の結合体。
[本発明1044]
白金(II)錯体が
であり、式中でbは0、1、2、3、4、もしくは5であり、かつR 5 は、2つのアミノ基を第1もしくは第2のリンカーにつなぎ合わせる環状もしくは非環状リンカーである;
であり、式中でcは0、1、2、3、4、もしくは5であり、かつR 6 は、2つのアミノ基を第1もしくは第2のリンカーにつなぎ合わせる環状もしくは非環状リンカーである;
であり、式中でdは0、1、2、3、4、もしくは5であり、かつ2つのアミンは異なる第1もしくは第2のリンカーに連結される;
であり、式中でeは0、1、2、3、4、もしくは5であり、かつ2つのアミンは異なる第1もしくは第2のリンカーに連結される;
であり、式中でfは0、1、2、3、4、もしくは5であり、かつR 7 は、2つのアミノ基を第1もしくは第2のリンカーにつなぎ合わせる環状もしくは非環状リンカーである;
であり、式中でgは0、1、2、3、4、もしくは5であり、かつR 8 は、2つのアミノ基を第1もしくは第2のリンカーにつなぎ合わせる環状もしくは非環状リンカーである; または
であり、式中でR 9 は、2つのアミノ基を第1もしくは第2のリンカーにつなぎ合わせる環状もしくは非環状リンカーである、本発明1043の結合体。
[本発明1045]
白金(II)錯体が
であり、式中でbは0、1、2、3、4、もしくは5である;
であり、式中でcは0、1、2、3、4、もしくは5である;
であり、式中でfは0、1、2、3、4、もしくは5である; または
であり、式中でgは0、1、2、3、4、もしくは5である、本発明1044の結合体。
[本発明1046]
白金(II)錯体が
である、本発明1044の結合体。
[本発明1047]
薬物が抗がん剤である、本発明1039の結合体。
[本発明1048]
抗がん剤が、メイタンシノイド(DM1およびDM4); CC-1065; アドゼレシン(DC1); DC4; カリケアマイシン; ドラスタチン; オーリスタチンEおよびF; メアマイシン(Meamycin); ドキソルビシン; パクリタキセル; ドセタキセル; ラウリマリド; エポチロンAおよびB; ディスコデルモライド; エリュテロビン; ペロルシドA; シクロホスファミド、クロラムブシル、ウラムスチン、イフォスファミド、メルファラン、およびベンダムスチン; カルムスチン、ロムスチン、セムスチン; ブスルファン; チオテパ; ダカルバジン; メトトレキセート; 6-メルカプトプリン、6-チオグアニン、ペントスタチン、フルダラビン; 5-フルオロウラシル、シタラビン、ロイコボリン; ダクチノマイシン; ブレオマイシン; ダウノルビシン; マイトマイシン; イダルビシン; プリカマイシン; ビンクリスチン; ビンブラスチン; ビノレルビン; エトポシド; テニポシド; アスパラギナーゼ; マイトトキシン; イリノテカン(CPT-11); フマギリン; フマガロン; フマラノール; O-(クロロアセチルカルバモイル)-フマギロール(AGM-1470、TNP-470); 27-ヒドロキシブラタシン、それらの誘導体および類似体、ならびにそれらの任意の組み合わせからなる群より選択される、本発明1047の結合体。
[本発明1049]
リガンドが、がん細胞の表面上のタンパク質、受容体、または細胞マーカーに結合する、本発明1039の結合体。
[本発明1050]
リガンドが上皮成長因子受容体に結合する、本発明1039の結合体。
[本発明1051]
リガンドが抗体、抗体断片、ペプチド、アゴニスト、アンタゴニストまたはアプタマーである、本発明1039の結合体。
[本発明1052]
抗体が、C242抗体(CanAg)、リツキシマブ、トラスツズマブ(Her2)、セツキシマブ、ベバシズマブ(VEGF)、パニツムマブ、アレムツズマブ、オファツムマブ、ゲムツズマブ(CD33)、イノツズマブ(CD22)、ロルボツズマブ(CD56)、ブレンツキシマブ(CD30)、グレムバツムマブ(GPNMB)、それらのエピトープ結合断片およびそれらの任意の組み合わせからなる群より選択される、本発明1051の結合体。
[本発明1053]
第1または第2のリンカーが炭化水素、ポリエチレングリコール(PEG)、アミノ酸、ペプチド、またはその組み合わせであり、該炭化水素またはPEGが置換型または非置換型である、本発明1039の結合体。
[本発明1054]
第1または第2のリンカーが炭化水素である、本発明1053の結合体。
[本発明1055]
第1または第2のリンカーがPEGである、本発明1053の結合体。
[本発明1056]
PEGが約200 Da〜約50 kDaの分子量を有する、本発明1055の結合体。
[本発明1057]
第1または第2のリンカーが少なくとも1個のアミノ酸および置換型または非置換型PEGの組み合わせを含む、本発明1039の結合体。
[本発明1058]
第1または第2のリンカーが2個または3個のアミノ酸を含む、本発明1057の結合体。
[本発明1059]
アミノ酸がリジンである、本発明1058の結合体。
[本発明1060]
本発明1001の結合体および薬学的に許容される担体を含む薬学的組成物。
[本発明1061]
本発明1016の結合体および薬学的に許容される担体を含む薬学的組成物。
[本発明1062]
本発明1021の結合体および薬学的に許容される担体を含む薬学的組成物。
[本発明1063]
本発明1039の結合体および薬学的に許容される担体を含む薬学的組成物。
[本発明1064]
がんの処置を必要としている対象におけるがんを処置する方法であって、本発明1001の結合体の有効量を投与する段階を含む、方法。
[本発明1065]
がんの処置を必要としている対象におけるがんを処置する方法であって、本発明1016の結合体の有効量を投与する段階を含む、方法。
[本発明1066]
がんの処置を必要としている対象におけるがんを処置する方法であって、本発明1021の結合体の有効量を投与する段階を含む、方法。
[本発明1067]
がんの処置を必要としている対象におけるがんを処置する方法であって、本発明1039の結合体の有効量を投与する段階を含む、方法。
本発明は、リガンド薬物結合体と、リガンド-標的指向治療用剤としてのその応用とを対象にする。本発明のリガンド-標的指向分子(LTM)を強力な細胞毒性薬に結合させて、活性な形態で関心対象の作用部位に選択的に送達されかつその後開裂して活性な薬物を放出しうる、リガンド薬物結合体(LDC)を形成する。
からなる群より選択され、式中でpは0、1、2、または3である。1つの態様において、白金(II)化合物はPt(NH3)2である。
であり、式中でqは0、1、2、3、4、または5である。いくつかの態様において、qは2である。
の単量体を含み、式中でsは0、1、2、3、4、または5である。これらの単量体は、本明細書においてアミノ-チオール単量体ともいわれる。
の単量体を含み、式中でtは0、1、2、3、4、または5である。これらの単量体は、本明細書においてアミノ-チオール-カルボニル単量体ともいわれる。
の単量体を含み、式中でRLは、置換されてもよいリンカー、例えば非環状または環状リンカーである。これらの単量体は、本明細書においてジアミノ単量体ともいわれる。環状リンカーは、少なくとも1つの環構造を含む連結部分を意味する。環状リンカーはアリール、ヘテロアリール、シクリルまたはヘテロシクリルでありうる。このいくつかのさらなる態様において、式
の単量体は
である。このいくつかのさらなる態様において、式
の単量体は
である。
であり、式中で各R1は独立してH、アルキル(例えば、C1〜C6アルキル)、またはアリールであり; X1はNH、O、またはSであり; X2はポリエチレングリコールであり; かつX3は、アミノ酸または2個〜10個のアミノ酸を含むペプチドである。非限定的に、X3は天然および/または非天然アミノ酸を含むことができる。
であり、式中で各R1は独立してH、アルキル(例えば、C1〜C6アルキル)、またはアリールであり; R2はモノカルボン酸もしくはジカルボン酸、本明細書において記述されるジカルボニル単量体、本明細書において記述されるアミノ-チオール単量体、本明細書において記述されるアミノ-チオール-カルボニル単量体、または本明細書において記述されるジアミノ単量体であり; R3はH、アルキル、またはアリールであり; nは0、1、2、3、4、または5であり; X4はポリエチレングリコールであり; pは1、2、または3であり; かつmは2〜100である。
; Rが結合、置換されてもよいC1〜C6アルキレンであり、ここでアルキレンが1つもしくは複数の二重結合もしくは三重結合を含んでもよい-C(O)-R-CO2H; sが0、1、2、3、4、もしくは5である
; tが0、1、2、3、4、もしくは5である
; rが0、1、2、3、4、もしくは5である
; またはRLが、置換されてもよいリンカー、例えば非環状もしくは環状リンカーである
である。環状リンカーは、少なくとも1つの環構造を含む連結部分を意味する。環状リンカーはアリール、ヘテロアリール、シクリルまたはヘテロシクリルでありうる。このいくつかのさらなる態様において、式
の単量体は
である。このいくつかのさらなる態様において、式
の単量体は
である。
をマレイミド
基により置き換えて、一端に官能基を有するリンカー、例えば、式F-B、F-B-C、またはF-B-C-B'-Dの結合体を形成させることができ、式中でFは官能基であり、Bはリンカーであり、Cは白金化合物であり、かつDは薬物である。
であり、式中でbは0、1、2、3、4、または5であり、かつR5は、2つのアミノ基をリンカーの残部につなぎ合わせる環状または非環状リンカーである。いくつかの態様において、bは1である。
である。1つの態様において、白金錯体は
である。1つの態様において、白金錯体は
である。
であり、式中でcは0、1、2、3、4、または5であり、かつR6は、2つのアミノ基をリンカーの残部につなぎ合わせる環状または非環状リンカーである。いくつかの態様において、cは1である。
である。1つの態様において、白金錯体は
である。
であり、式中でgは0、1、2、3、4、または5であり、かつR8は、2つのアミノ基をリンカーの残部につなぎ合わせる環状または非環状リンカーである。1つの態様において、gは1である。
であり、式中でR9は、2つのアミノ基をリンカーの残部につなぎ合わせる環状または非環状リンカーである。いくつかの態様において、R9は
である。いくつかの態様において、R9は、アリール、ヘテロアリール、シクリルまたはヘテロシクリルから選択される環状リンカーである。1つの態様において、白金錯体は
である。
に示す。
式中で:
(CHR1)n-C(O)-X-Pはリンカーを表し、XはNまたはOであり、Pは天然または非天然アミノ酸(Y)のPEG含有ペプチドであり、ここでPEGは直鎖または分枝PEG (n=2〜100)であってよい。リンカーの一端は、チオールまたはアミンと結合できる官能基を含むが、他端は、薬物と共有結合を形成できる反応性カルボン酸またはアミンである。
Dは、エステル、アミド、ジスルフィド、ヒドラジドまたはチオエーテル結合を介してリンカーにカップリングされている薬物を表す。
Yは、リジンまたは他の天然もしくは非天然アミノ酸の単一のアミノ酸、ジペプチドまたはトリペプチドであってよく、これらは化合物1:
に示されるように白金に対するキレート基(R2)と結合しうる。
に示されるように、結合体中のPt(Il)-薬剤は、二官能性リジンリンカーに共有結合され、二官能性リジンの数は、p(p=1〜3)である。
便宜上、本明細書、実施例および添付の特許請求の範囲において利用されるある種の用語を本明細書においてまとめる。特に指定のない限り、または文脈から暗示されない限り、以下の用語および語句は、以下に示される意味を含む。明示的に別段の定めをした場合を除き、または文脈から明らかな場合を除き、以下の用語および語句は、その用語または語句が、関連する技術分野において獲得している意味を除外するものではない。定義は、特定の態様を記述する際に役立つように提供されており、発明の範囲は特許請求の範囲によってのみ限定されるので、主張する発明を限定することは意図されない。さらに、文脈によって必要とされない限り、単数形の用語は複数形を含み、複数形の用語は単数形を含む。
1. (i) 官能部分;
(ii) 該官能部分に結合したリンカー;
(iii) 該リンカーに結合したジカルボニル部分; および
(iv) 該ジカルボニル部分に結合した薬物;
を含み、
該薬物が白金化学療法剤である、リガンド-標的指向分子。
2. 白金化学療法剤がPt(II)化学療法剤である、項1に記載のリガンド-標的指向分子。
3. 白金化学療法剤がシスプラチン、オキサリプラチン、カルボプラチンまたは他のPt(II)剤である、項1〜2のいずれかに記載のリガンド-標的指向分子。
4. 官能部分がチオール反応性、アミン反応性またはアジド反応性である、項1〜3のいずれかに記載のリガンド-標的指向分子。
5. 官能部分がマレイミドである、項1〜4のいずれかに記載のリガンド-標的指向分子。
6. リンカーが炭化水素、ポリエチレングリコール(PEG)、アミノ酸、ペプチド、またはその組み合わせであり、該炭化水素またはPEGが置換型または非置換型である、項1〜5のいずれかに記載のリガンド-標的指向分子。
7. リンカーが炭化水素である、項6に記載のリガンド-標的指向分子。
8. リンカーがPEGである、項6に記載のリガンド-標的指向分子。
9. PEGが約200 Da〜約50 kDaの分子量を有する、項8に記載のリガンド-標的指向分子。
10. リンカーが少なくとも1個のアミノ酸および置換型または非置換型PEGの組み合わせを含む、項1〜9のいずれかに記載のリガンド-標的指向分子。
11. アミノ酸がリジンである、項10に記載のリガンド-標的指向分子。
12. リンカーが2個のアミノ酸および置換型または非置換型PEGの組み合わせを含む、項1〜11のいずれかに記載のリガンド-標的指向分子。
13. リンカーが3個のアミノ酸および置換型または非置換型PEGの組み合わせを含む、項1〜11のいずれかに記載のリガンド-標的指向分子。
14. ジカルボニル部分がスクシネートである、項1〜13のいずれかに記載のリガンド-標的指向分子。
15. ジカルボニル部分がスクシネートである、項14に記載のリガンド-標的指向分子。
16. リガンド-標的指向分子に結合したリガンドを含むリガンド薬物結合体であって、
該リガンド-標的指向分子が官能部分と、該官能部分に結合した少なくとも1つのリンカーと、該リンカーに結合したジカルボニル部分と、該ジカルボニル部分に結合した薬物とを含み、該薬物が白金化学療法剤であり、かつ該リガンドが該官能部分に結合している、リガンド薬物結合体。
17. リガンドが抗体、抗体断片、ペプチド、アゴニスト、アンタゴニストまたはアプタマーである、項16に記載のリガンド薬物結合体。
18. リガンドが抗体である、項16〜17のいずれかに記載のリガンド薬物結合体。
19. 抗体が上皮成長因子受容体を標的とする、項18に記載のリガンド薬物結合体。
20. 抗体がチオエーテル結合を介して官能部分に結合される、項19に記載のリガンド薬物結合体。
21. リガンド-標的指向分子に結合したリガンドを含むリガンド薬物結合体であって、
該リガンド-標的指向分子が官能部分と、該官能部分に結合した少なくとも1つのリンカーと、該リンカーに結合した第1の薬物と、該リンカーに結合したジカルボニル部分と、該ジカルボニル部分に結合した第2の薬物とを含み、該第2の薬物が白金化合物であり、かつ該リガンドが該官能部分に結合している、リガンド薬物結合体。
22. 第1の薬物が抗がん剤である、項21に記載の結合体。
23. 抗がん剤が、メイタンシノイド(DM1およびDM4); CC-1065; アドゼレシン(DC1); DC4; カリケアマイシン; ドラスタチン; オーリスタチンEおよびF; メアマイシン(Meamycin); ドキソルビシン; パクリタキセル; ドセタキセル; ラウリマリド; エポチロンAおよびB; ディスコデルモライド; エリュテロビン; ペロルシドA; シクロホスファミド、クロラムブシル、ウラムスチン、イフォスファミド、メルファラン、およびベンダムスチン; カルムスチン、ロムスチン、セムスチン; ブスルファン; チオテパ; ダカルバジン; メトトレキセート; 6-メルカプトプリン、6-チオグアニン、ペントスタチン、フルダラビン; 5-フルオロウラシル、シタラビン、ロイコボリン; ダクチノマイシン; ブレオマイシン; ダウノルビシン; マイトマイシン; イダルビシン; プリカマイシン; ビンクリスチン; ビンブラスチン; ビノレルビン; エトポシド; テニポシド; アスパラギナーゼ; マイトトキシン; イリノテカン(CPT-11); フマギリン; フマガロン; フマラノール; O-(クロロアセチルカルバモイル)-フマギロール(AGM-1470、TNP-470); 27-ヒドロキシブラタシン、それらの誘導体および類似体、ならびにそれらの任意の組み合わせからなる群より選択される、項22に記載の結合体。
24. 白金化合物が白金(II)化合物である、項21〜23のいずれかに記載の結合体。
25. 白金(II)化合物が、シスプラチン、オキサリプラチン、カルボプラチン、パラプラチン、サトラプラチン、およびそれらの組み合わせからなる群より選択される、項24に記載の結合体。
26. リガンドが、がん細胞の表面上のタンパク質、受容体、または細胞マーカーに結合する、項21〜25のいずれかに記載の結合体。
27. リガンドが上皮成長因子受容体に結合する、項21〜26のいずれかに記載の結合体。
28. リガンドが抗体、抗体断片、ペプチド、アゴニスト、アンタゴニストまたはアプタマーである、項21〜27のいずれかに記載の結合体。
29. 抗体が、C242抗体(CanAg)、リツキシマブ、トラスツズマブ(Her2)、セツキシマブ、ベバシズマブ(VEGF)、パニツムマブ、アレムツズマブ、オファツムマブ、ゲムツズマブ(CD33)、イノツズマブ(CD22)、ロルボツズマブ(CD56)、ブレンツキシマブ(CD30)、グレムバツムマブ(GPNMB)、それらのエピトープ結合断片およびそれらの任意の組み合わせからなる群より選択される、項28に記載の結合体。
30. リンカーが炭化水素、ポリエチレングリコール(PEG)、アミノ酸、ペプチド、またはその組み合わせであり、該炭化水素またはPEGが置換型または非置換型である、項21〜29のいずれかに記載の結合体。
31. リンカーが炭化水素である、項30に記載の結合体。
32. リンカーがPEGである、項30に記載の結合体。
33. PEGが約200 Da〜約50 kDaの分子量を有する、項32に記載の結合体。
34. リンカーが少なくとも1個のアミノ酸および置換型または非置換型PEGの組み合わせを含む、項21〜33のいずれかに記載の結合体。
35. リンカーが2個または3個のアミノ酸を含む、項34に記載の結合体。
36. アミノ酸がリジンである、項34に記載の結合体。
37. ジカルボニル部分がスクシネートである、項21〜36のいずれかに記載の結合体。
38. ジカルボニル部分がスクシネートである、項37に記載の結合体。
39. リガンド-標的指向分子に結合したリガンドを含むリガンド薬物結合体であって
該リガンド-標的指向分子が官能部分と、該官能部分に結合した少なくとも1つの第1のリンカーと、該第1のリンカーに結合した配位金属錯体と、該配位金属錯体に結合した少なくとも1つの第2のリンカーと、該第2のリンカーに結合した薬物と、該官能部分に結合した該リガンドとを含む、リガンド薬物結合体。
40. 配位金属錯体がO→金属錯体結合を含む、項39に記載の結合体。
41. O→金属錯体結合がアミドカルボニル酸素またはエステルカルボニル酸素とのものである、項39〜40のいずれかに記載の結合体。
42. 配位金属錯体が白金、鉄、またはケイ素錯体である、項39〜41のいずれかに記載の結合体。
43. 配位金属錯体が白金(II)錯体である、項39〜42のいずれかに記載の結合体。
44. 白金(II)錯体が
であり、式中でbは0、1、2、3、4、もしくは5であり、かつR5は、2つのアミノ基を第1もしくは第2のリンカーにつなぎ合わせる環状もしくは非環状リンカーである;
であり、式中でcは0、1、2、3、4、もしくは5であり、かつR6は、2つのアミノ基を第1もしくは第2のリンカーにつなぎ合わせる環状もしくは非環状リンカーである;
であり、式中でdは0、1、2、3、4、もしくは5であり、かつ2つのアミンは異なる第1もしくは第2のリンカーに連結される;
であり、式中でeは0、1、2、3、4、もしくは5であり、かつ2つのアミンは異なる第1もしくは第2のリンカーに連結される;
であり、式中でfは0、1、2、3、4、もしくは5であり、かつR7は、2つのアミノ基を第1もしくは第2のリンカーにつなぎ合わせる環状もしくは非環状リンカーである;
であり、式中でgは0、1、2、3、4、もしくは5であり、かつR8は、2つのアミノ基を第1もしくは第2のリンカーにつなぎ合わせる環状もしくは非環状リンカーである; または
であり、式中でR9は、2つのアミノ基を第1もしくは第2のリンカーにつなぎ合わせる環状もしくは非環状リンカーである、項43に記載の結合体。
45. 白金(II)錯体が
であり、式中でbは0、1、2、3、4、もしくは5である;
であり、式中でcは0、1、2、3、4、もしくは5である;
であり、式中でfは0、1、2、3、4、もしくは5である; または
であり、式中でgは0、1、2、3、4、もしくは5である、項44に記載の結合体。
46. 白金(II)錯体が
である、項44に記載の結合体。
47. 薬物が抗がん剤である、項39〜46のいずれかに記載の結合体。
48. 抗がん剤が、メイタンシノイド(DM1およびDM4); CC-1065; アドゼレシン(DC1); DC4; カリケアマイシン; ドラスタチン; オーリスタチンEおよびF; メアマイシン(Meamycin); ドキソルビシン; パクリタキセル; ドセタキセル; ラウリマリド; エポチロンAおよびB; ディスコデルモライド; エリュテロビン; ペロルシドA; シクロホスファミド、クロラムブシル、ウラムスチン、イフォスファミド、メルファラン、およびベンダムスチン; カルムスチン、ロムスチン、セムスチン; ブスルファン; チオテパ; ダカルバジン; メトトレキセート; 6-メルカプトプリン、6-チオグアニン、ペントスタチン、フルダラビン; 5-フルオロウラシル、シタラビン、ロイコボリン; ダクチノマイシン; ブレオマイシン; ダウノルビシン; マイトマイシン; イダルビシン; プリカマイシン; ビンクリスチン; ビンブラスチン; ビノレルビン; エトポシド; テニポシド; アスパラギナーゼ; マイトトキシン; イリノテカン(CPT-11); フマギリン; フマガロン; フマラノール; O-(クロロアセチルカルバモイル)-フマギロール(AGM-1470、TNP-470); 27-ヒドロキシブラタシン、それらの誘導体および類似体、ならびにそれらの任意の組み合わせからなる群より選択される、項47に記載の結合体。
49. リガンドが、がん細胞の表面上のタンパク質、受容体、または細胞マーカーに結合する、項39〜48のいずれかに記載の結合体。
50. リガンドが上皮成長因子受容体に結合する、項39〜49のいずれかに記載の結合体。
51. リガンドが抗体、抗体断片、ペプチド、アゴニスト、アンタゴニストまたはアプタマーである、項39〜50のいずれかに記載の結合体。
52. 抗体が、C242抗体(CanAg)、リツキシマブ、トラスツズマブ(Her2)、セツキシマブ、ベバシズマブ(VEGF)、パニツムマブ、アレムツズマブ、オファツムマブ、ゲムツズマブ(CD33)、イノツズマブ(CD22)、ロルボツズマブ(CD56)、ブレンツキシマブ(CD30)、グレムバツムマブ(GPNMB)、それらのエピトープ結合断片およびそれらの任意の組み合わせからなる群より選択される、項51に記載の結合体。
53. 第1または第2のリンカーが炭化水素、ポリエチレングリコール(PEG)、アミノ酸、ペプチド、またはその組み合わせであり、該炭化水素またはPEGが置換型または非置換型である、項39〜52のいずれかに記載の結合体。
54. 第1または第2のリンカーが炭化水素である、項53に記載の結合体。
55. 第1または第2のリンカーがPEGである、項53に記載の結合体。
56. PEGが約200 Da〜約50 kDaの分子量を有する、項55に記載の結合体。
57. 第1または第2のリンカーが少なくとも1個のアミノ酸および置換型または非置換型PEGの組み合わせを含む、項39〜56のいずれかに記載の結合体。
58. 第1または第2のリンカーが2個または3個のアミノ酸を含む、項57に記載の結合体。
59. アミノ酸がリジンである、項58に記載の結合体。
60. 項1に記載の結合体および薬学的に許容される担体を含む薬学的組成物。
61. 項16に記載の結合体および薬学的に許容される担体を含む薬学的組成物。
62. 項21に記載の結合体および薬学的に許容される担体を含む薬学的組成物。
63. 項39に記載の結合体および薬学的に許容される担体を含む薬学的組成物。
64. がんの処置を必要としている対象におけるがんを処置する方法であって、項1に記載の結合体の有効量を投与する段階を含む、方法。
65. がんの処置を必要としている対象におけるがんを処置する方法であって、項16に記載の結合体の有効量を投与する段階を含む、方法。
66. がんの処置を必要としている対象におけるがんを処置する方法であって、項21に記載の結合体の有効量を投与する段階を含む、方法。
67. がんの処置を必要としている対象におけるがんを処置する方法であって、項39に記載の結合体の有効量を投与する段階を含む、方法。
ブロックされたリジン中間体(2)によるマレイミド-炭化水素の合成:
窒素雰囲気下の6-マレイミドカプロン酸(1)のCH2Cl2 (5 mL)氷冷溶液に、EDCI (544.5 mg, 2.8407 mmol)およびHOBT (383.7 mg, 2.8407 mmol)を連続的に加え、1時間撹拌した。活性化されたこの酸溶液に、保護されたリジン(630 mg, 2.1305 mmol)を加えた。反応混合物をDIPEAで塩基性化し、室温で12時間撹拌し、TLCによって分析した。完了後、反応混合物をH2O (10 mL)と2回の0.1 N HCl (25 mL)でクエンチし、中間体化合物2をCHCl3 (各15 mL)で2回抽出した。合わせた有機層を無水Na2SO4で乾燥し、減圧下で濃縮し、シリカゲルクロマトグラフィーにより精製して、93%の収率(602 mg)でカップリング生成物2を得た。
次に、中間体2 (450 mg, 0.9922 mmol)のCH2Cl2 (4 mL)氷冷溶液に、TFA 1 mlを加え、氷上で3時間撹拌し、TLCにより分析した。反応の完了時に、混合物を減圧下で濃縮し、定量的収量で中間体3を得た。この中間体を、さらなる精製なく次のカップリング反応に直接用いた。
未精製の出発材料3を、窒素雰囲気下0℃にて、比率1:4のDMF、およびCH2Cl2 (1:4 mL)中で混合した。溶液をDIPEAで塩基性化し(pHをチェックし)、氷上で30分間撹拌した。無水コハク酸(250 mg, 2.5 mmol)を反応混合物に加え、12時間撹拌し、TLCによりチェックした。完了後、反応混合物をH2O (10 mL)と2回の0.1 N HCl (各25 mL)でクエンチし、CHCl3 (各15 mL)で2回抽出した。合わせた有機層を無水Na2SO4で乾燥し、減圧下で濃縮し、シリカゲルクロマトグラフィーにより精製し、わずかな収量にて(90 mg, 収率20%)酸中間体4を得た。
中間体4 (48 mg, 0.105 mmol)をDMF 0.5 mLに入れた。これに、アクア化オキサリプラチン(5) [5 mg/mL, 1.0当量] 3.0 mLを室温でゆっくり加え、室温で24時間撹拌した。反応混合物を最終的に凍結乾燥して、溶媒を完全に除去し、定量的収量および純度(80 mg, 99%)で最終生成物6を得た。
ブロックされたリジン中間体(9)によるマレイミド-ポリ(エチレン)グリコールの合成:
窒素雰囲気下のMal-PEG-SCM (7) [100 mg, およそ0.0454 mmol; Creative PEG Works]の無水CH2Cl2 (3 mL)およびDMF (2 mL)氷冷溶液に、保護リジン(135 mg, 0.454 mmol)を加え、反応混合物をDIPEA (77 μl)で塩基性化し、12時間室温で撹拌し、TLCにより分析した。反応の完了後、混合物を5分間窒素でフラッシュし、微量のCH2Cl2を除去した。残留物をEt2O (40 mL)で希釈し、45分間4℃で貯蔵し、その後、室温で遠心分離した。澄明な溶液を傾瀉し、固形のペレットを少量のメタノールに溶解し、Et2O (40 mL)で希釈し、45分間4℃でインキュベートし、遠心分離して、固形の沈殿物を得た。このプロセスを2回繰り返し、良好な収量で(92 mg, 純度は不明、HPLCは行われていない)純粋なカップリング生成物9を得た。
中間体9 (90 mg, およそ0.0367 mmol)のCH2Cl2 (4 mL)氷冷溶液に、TFA (0.5 mL)を加え、氷上で2.5時間撹拌し、TLCにより分析した。反応の完了後、混合物を減圧下で濃縮し、5分間窒素でフラッシュして、過剰なCH2Cl2およびTFAを除去し、残留生成物を、さらなる精製なく次のカップリング反応に直接用いた。
未精製の出発材料10を窒素雰囲気下0℃の、1:4のDMFおよびCH2Cl2 (1:4 mL)
に入れた。溶液をDIPEAで塩基性化し、同じ温度で30分間撹拌した。無水コハク酸11 (200 mg, 2.0 mmol)、続けてひとつまみのDMAPを反応混合物に加え、12時間撹拌し、TLCによりチェックした。完了後、反応混合物を10分間にわたり窒素でフラッシュして、CH2Cl2を除去し、残留物をEt2O (40 mL)で希釈し、45分間4℃でインキュベートし、その後、低温で遠心分離した。澄明な溶液を傾瀉し、固形の残留物をメタノールに溶解し、Et2O (40 mL)で希釈し、45分間4℃でさらにインキュベートし、遠心分離して、固形の沈殿物を得た。このプロセスを2回繰り返して、未精製のカップリング生成物を得、これをHPLCによってさらに精製し、良好な収量で本発明者らの所望の生成物12を得た。
酸中間体12 (80 mg, 0.032 mmol)をH2O 0.5 mLに溶解した。この溶液に、アクア化オキサリプラチン(5 mg/mL, 1.0当量)を室温でゆっくり加え、さらに24時間撹拌した。反応混合物を凍結乾燥して、良好な収量(80 mg)で白金付加物13を得た。
本実施例では、標的指向剤としての抗体に本発明の薬物-リンカー分子(スペーサー、反応性官能基などのような、他の基を任意で含んでもよい)を結合させるための反応条件および方法論について記述する。利用される条件および方法論は全て、単なる例示であって、限定するものではないと意図される。当業者は分子、例えば、リンカー、薬物などを抗体に結合させるための試薬および方法を十分承知している。
mAb-PEG-リンカー-Pt結合体によるEGFR受容体の結合を試験するため、96ウェルマイクロタイターMaxisorbプレート(Nunc, PIERCE)を4℃で終夜、2 mg/LのEGFR-ECD (PBS緩衝液中) 80〜100 μlでコーティングした。ウェルをPBST (0.1% Tween-20を含有するPBS)で洗浄し、室温で1〜2時間、PBS中2%のカゼインでブロッキングした。ウェルを上記のPBSTでさらに洗浄し、連続的に希釈された抗体薬物結合体(ADC)を各ウェルに加え、室温で2時間インキュベートした。上記のPBSTでの最後の洗浄の後、ヤギ抗ヒトIgG1-HRP抗体(10000分の1希釈)を加え、室温で1時間インキュベートした。ウェルを洗浄し、ABTS試薬を加えた。各ウェルに1%SDS 100 μlを加えることによって発色を停止させた。プレートの読み取りは、マイクロプレートリーダー(BioRad)により415 nmで行った。
ADC中のPEG含量をELISAおよびSDS-PAGEによって分析した。ELISAのため、Maxisorpマイクロタイタープレートをさまざまな濃度のADCでコーティングし、4℃で終夜インキュベートした。ウェルを洗浄用緩衝液(PBS, 0.1% Tween-20)で洗浄し、室温で2時間、2%カゼイン/PBSTでブロッキングした。上記のようにもう1回の洗浄の後、マウスビオチン化抗PEGモノクローナル検出抗体(500〜1000分の1希釈) 70〜100 μlをウェルに加え、室温で1時間インキュベートした。ウェルをPBSTで再度洗浄し、ストレプトアビジン-HRP 100 μlを加え、30〜45分間インキュベートした。最後に、ウェルをPBSで洗浄し、ABTS試薬を加えた。各ウェルに1%SDS 100 μlを加えることによって発色を停止させ、プレートを415 nmで読み取った。
本発明の抗体に結合された抗がん白金薬剤の細胞毒性能を、確立されたMTT細胞増殖アッセイ法を用いてアッセイした。これは、細胞生存性を定量化するのに便利な方法であり、多数の化合物に対応することができる。
抗体と結合したトリリジン含有リガンド-標的指向分子は、図12Aおよび12Bに示されている方法にしたがって合成することができる。抗EGFRモノクローナル抗体に結合されているトリリジン化Pt(II)類似体の合成の略図が示されている。試薬および条件: a) HoBT、EDCI、Dry DCM、DIPEA、12時間、室温(rt); b) H2、Pd、酢酸エチル、6時間、室温; c) HoBT、EDCI、Dry DCM、Na-Cbz-Ne-Boc-L-リジン、d) H2、Pd、酢酸エチル、6時間、室温; e) HoBT、EDCI、HOOC-PEG-Mal、Dry DCM、DIPEA、12時間、室温; f) TFA、Dry DCM、3時間、0℃; g) 無水コハク酸、ピリジン、Dry DCM、12時間、室温; h) シス-ジアミンジヒドロ白金(II)、DMF、H2O、24時間、室温; i) 抗体-SH (EGFRmAb-SH)。
Pt(II)配位リンカー-薬物結合体を用いたADC合成の一般的プロセスが図13Aおよび13Bに示されている。段階1: リジンのアミン基を介した結合による抗体への金属キレーターのカップリングを、図13Aに概略を示した方法を用いて行う。段階2: Pt(II)類似体を通じた抗体-キレーター錯体への細胞毒性薬の結合を、図13Bに概略を示した方法にしたがって行う。
細胞毒性薬である27-ヒドロキシブラタシンを結合させるためのPt(II)-配位リンカーを用いたADCの合成は、図14A〜14Cに概略を示した方法を用いて行うことができる。図14A〜14Cは、Pt(II)配位リンカーを用いて細胞毒性薬である27-ヒドロキシブラタシンに結合された抗体の合成の略図を示す(段階1〜3)。段階1: 改変抗体の合成は、図14Aに概略を示した方法にしたがう。合成の段階2および3は、それぞれ図14Bおよび14Cに略図を示したように行うことができる。
細胞毒性薬であるメアヤマイシンを結合させるためのPt(II)-配位リンカーを用いたADCの合成は、図15A〜15Cに概略を示した方法を用いて行うことができる。図15A〜15Cは、Pt(II)配位リンカーを用いて細胞毒性薬であるメアヤマイシンに結合された抗体の合成の略図を示す(段階1〜3)。
Claims (47)
- (i) 官能部分;
(ii) 該官能部分に結合したリンカー;
(iii) 該リンカーに結合したジカルボニル部分; および
(iv) 該ジカルボニル部分に結合した薬物;
を含み、
該薬物が白金化学療法剤(ただし、アクア化により解離可能な配位子が脱離していない構造の白金化学療法剤を除く。)であり、かつ該ジカルボニル部分が-C(O)-R-CO2-(式中、Rは結合、または置換されてもよいC1〜C6アルキレンであり、ここで該アルキレンは1つまたは複数の二重結合または三重結合を含んでもよく、該ジカルボニル部分は、該式中のカルボニル基の炭素を介して前記リンカーに結合している。)である、リガンド-標的指向分子。 - 白金化学療法剤がPt(II)化学療法剤である、請求項1に記載のリガンド-標的指向分子。
- 白金化学療法剤がシスプラチン、オキサリプラチン、カルボプラチンまたは他のPt(II)剤である、請求項2に記載のリガンド-標的指向分子。
- 官能部分がチオール反応性、アミン反応性またはアジド反応性である、請求項1に記載のリガンド-標的指向分子。
- 官能部分がマレイミドである、請求項4に記載のリガンド-標的指向分子。
- リンカーが炭化水素、ポリエチレングリコール(PEG)、アミノ酸、ペプチド、またはその組み合わせであり、該炭化水素またはPEGが置換型または非置換型である、請求項1に記載のリガンド-標的指向分子。
- リンカーが炭化水素である、請求項6に記載のリガンド-標的指向分子。
- リンカーがPEGである、請求項6に記載のリガンド-標的指向分子。
- PEGが約200 Da〜約50 kDaの分子量を有する、請求項6に記載のリガンド-標的指向分子。
- リンカーが少なくとも1個のアミノ酸および置換型または非置換型PEGの組み合わせを含む、請求項6に記載のリガンド-標的指向分子。
- アミノ酸がリジンである、請求項10に記載のリガンド-標的指向分子。
- リンカーが2個のアミノ酸および置換型または非置換型PEGの組み合わせを含む、請求項6に記載のリガンド-標的指向分子。
- リンカーが3個のアミノ酸および置換型または非置換型PEGの組み合わせを含む、請求項6に記載のリガンド-標的指向分子。
- ジカルボニル部分がスクシネートである、請求項6に記載のリガンド-標的指向分子。
- ジカルボニル部分がスクシネートである、請求項14に記載のリガンド-標的指向分子。
- リガンド-標的指向分子に結合したリガンドを含むリガンド薬物結合体であって、
該リガンド-標的指向分子が、官能部分と、該官能部分に結合した少なくとも1つのリンカーと、該リンカーに結合したジカルボニル部分と、該ジカルボニル部分に結合した薬物とを含み、該薬物が白金化学療法剤(ただし、アクア化により解離可能な配位子が脱離していない構造の白金化学療法剤を除く。)であり、かつ該リガンドが該官能部分に結合しており、かつ該ジカルボニル部分が-C(O)-R-CO2-(式中、Rは結合、または置換されてもよいC1〜C6アルキレンであり、ここで該アルキレンは1つまたは複数の二重結合または三重結合を含んでもよく、該ジカルボニル部分は、該式中のカルボニル基の炭素を介して前記リンカーに結合している。)である、リガンド薬物結合体。 - リガンドが抗体、抗体断片、ペプチド、アゴニスト、アンタゴニストまたはアプタマーである、請求項16に記載のリガンド薬物結合体。
- リガンドが抗体である、請求項17に記載のリガンド薬物結合体。
- 抗体が上皮成長因子受容体を標的とする、請求項18に記載のリガンド薬物結合体。
- 抗体がチオエーテル結合を介して官能部分に結合される、請求項19に記載のリガンド薬物結合体。
- リガンド-標的指向分子に結合したリガンドを含むリガンド薬物結合体であって、
該リガンド-標的指向分子が、官能部分と、該官能部分に結合した少なくとも1つのリンカーと、該リンカーに結合した第1の薬物と、該リンカーに結合したジカルボニル部分と、該ジカルボニル部分に結合した第2の薬物とを含み、該第2の薬物が白金化合物(ただし、アクア化により解離可能な配位子が脱離していない構造の白金化合物を除く。)であり、かつ該リガンドが該官能部分に結合しており、かつ該ジカルボニル部分が-C(O)-R-CO2-(式中、Rは結合、または置換されてもよいC1〜C6アルキレンであり、ここで該アルキレンは1つまたは複数の二重結合または三重結合を含んでもよく、該ジカルボニル部分は、該式中のカルボニル基の炭素を介して前記リンカーに結合している。)である、リガンド薬物結合体。 - 第1の薬物が抗がん剤である、請求項21に記載の結合体。
- 抗がん剤が、メイタンシノイド(DM1およびDM4); CC-1065; アドゼレシン(DC1); DC4; カリケアマイシン; ドラスタチン; オーリスタチンEおよびF; メアマイシン(Meamycin); ドキソルビシン; パクリタキセル; ドセタキセル; ラウリマリド; エポチロンAおよびB; ディスコデルモライド; エリュテロビン; ペロルシドA; シクロホスファミド、クロラムブシル、ウラムスチン、イフォスファミド、メルファラン、およびベンダムスチン; カルムスチン、ロムスチン、セムスチン; ブスルファン; チオテパ; ダカルバジン; メトトレキセート; 6-メルカプトプリン、6-チオグアニン、ペントスタチン、フルダラビン; 5-フルオロウラシル、シタラビン、ロイコボリン; ダクチノマイシン; ブレオマイシン; ダウノルビシン; マイトマイシン; イダルビシン; プリカマイシン; ビンクリスチン; ビンブラスチン; ビノレルビン; エトポシド; テニポシド; アスパラギナーゼ; マイトトキシン; イリノテカン(CPT-11); フマギリン; フマガロン; フマラノール; O-(クロロアセチルカルバモイル)-フマギロール(AGM-1470、TNP-470); 27-ヒドロキシブラタシン、それらの誘導体および類似体、ならびにそれらの任意の組み合わせからなる群より選択される、請求項22に記載の結合体。
- 白金化合物が白金(II)化合物である、請求項21に記載の結合体。
- 白金(II)化合物が、シスプラチン、オキサリプラチン、カルボプラチン、パラプラチン、サトラプラチン、およびそれらの組み合わせからなる群より選択される、請求項24に記載の結合体。
- リガンドが、がん細胞の表面上のタンパク質、受容体、または細胞マーカーに結合する、請求項21に記載の結合体。
- リガンドが上皮成長因子受容体に結合する、請求項21に記載の結合体。
- リガンドが抗体、抗体断片、ペプチド、アゴニスト、アンタゴニストまたはアプタマーである、請求項21に記載の結合体。
- 抗体が、C242抗体(CanAg)、リツキシマブ、トラスツズマブ(Her2)、セツキシマブ、ベバシズマブ(VEGF)、パニツムマブ、アレムツズマブ、オファツムマブ、ゲムツズマブ(CD33)、イノツズマブ(CD22)、ロルボツズマブ(CD56)、ブレンツキシマブ(CD30)、グレムバツムマブ(GPNMB)、それらのエピトープ結合断片およびそれらの任意の組み合わせからなる群より選択される、請求項28に記載の結合体。
- リンカーが炭化水素、ポリエチレングリコール(PEG)、アミノ酸、ペプチド、またはその組み合わせであり、該炭化水素またはPEGが置換型または非置換型である、請求項21に記載の結合体。
- リンカーが炭化水素である、請求項30に記載の結合体。
- リンカーがPEGである、請求項30に記載の結合体。
- PEGが約200 Da〜約50 kDaの分子量を有する、請求項32に記載の結合体。
- リンカーが少なくとも1個のアミノ酸および置換型または非置換型PEGの組み合わせを含む、請求項21に記載の結合体。
- リンカーが2個または3個のアミノ酸を含む、請求項34に記載の結合体。
- アミノ酸がリジンである、請求項34に記載の結合体。
- ジカルボニル部分がスクシネートである、請求項21に記載の結合体。
- ジカルボニル部分がスクシネートである、請求項1に記載のリガンド-標的指向分子。
- 請求項1に記載の結合体および薬学的に許容される担体を含む薬学的組成物。
- 請求項16に記載の結合体および薬学的に許容される担体を含む薬学的組成物。
- 請求項21に記載の結合体および薬学的に許容される担体を含む薬学的組成物。
- がんの処置を必要としている対象におけるがんを処置するための薬剤を調製するための、請求項1に記載の結合体の使用。
- がんの処置を必要としている対象におけるがんを処置するための薬剤を調製するための、請求項16に記載の結合体の使用。
- がんの処置を必要としている対象におけるがんを処置するための薬剤を調製するための、請求項21に記載の結合体の使用。
- 請求項1に記載の結合体を含む、がんを処置するための薬学的組成物。
- 請求項16に記載の結合体を含む、がんを処置するための薬学的組成物。
- 請求項21に記載の結合体を含む、がんを処置するための薬学的組成物。
Applications Claiming Priority (3)
| Application Number | Priority Date | Filing Date | Title |
|---|---|---|---|
| IN18DE2012 | 2012-01-03 | ||
| IN18/DEL/2012 | 2012-01-03 | ||
| PCT/US2013/020130 WO2013103707A1 (en) | 2012-01-03 | 2013-01-03 | Ligand-targeted molecules and methods thereof |
Related Child Applications (1)
| Application Number | Title | Priority Date | Filing Date |
|---|---|---|---|
| JP2017199028A Division JP6483780B2 (ja) | 2012-01-03 | 2017-10-13 | リガンド−標的指向分子およびその方法 |
Publications (2)
| Publication Number | Publication Date |
|---|---|
| JP2015503585A JP2015503585A (ja) | 2015-02-02 |
| JP6228551B2 true JP6228551B2 (ja) | 2017-11-08 |
Family
ID=47633542
Family Applications (2)
| Application Number | Title | Priority Date | Filing Date |
|---|---|---|---|
| JP2014551314A Expired - Fee Related JP6228551B2 (ja) | 2012-01-03 | 2013-01-03 | リガンド−標的指向分子およびその方法 |
| JP2017199028A Expired - Fee Related JP6483780B2 (ja) | 2012-01-03 | 2017-10-13 | リガンド−標的指向分子およびその方法 |
Family Applications After (1)
| Application Number | Title | Priority Date | Filing Date |
|---|---|---|---|
| JP2017199028A Expired - Fee Related JP6483780B2 (ja) | 2012-01-03 | 2017-10-13 | リガンド−標的指向分子およびその方法 |
Country Status (4)
| Country | Link |
|---|---|
| US (2) | US9884123B2 (ja) |
| EP (1) | EP2800586A1 (ja) |
| JP (2) | JP6228551B2 (ja) |
| WO (1) | WO2013103707A1 (ja) |
Families Citing this family (24)
| Publication number | Priority date | Publication date | Assignee | Title |
|---|---|---|---|---|
| WO2014194030A2 (en) * | 2013-05-31 | 2014-12-04 | Immunogen, Inc. | Conjugates comprising cell-binding agents and cytotoxic agents |
| BR112015031278B1 (pt) | 2013-06-14 | 2022-05-17 | Akamara Therapeutics, Inc | Compostos e nanopartículas de platina com base em lipídio, seus processos de preparação, composições farmacêuticas compreendendo os mesmos e seus usos no tratamento de câncer |
| WO2015031698A1 (en) * | 2013-08-28 | 2015-03-05 | Stem Centrx, Inc. | Site-specific antibody conjugation methods and compositions |
| WO2015142684A1 (en) * | 2014-03-15 | 2015-09-24 | Wake Forest University | Design, synthesis, and biological activity of platinum-benz[c]acridine hybrid agents and methods associated therewith |
| KR101628872B1 (ko) | 2014-05-28 | 2016-06-09 | 주식회사 레고켐 바이오사이언스 | 자가-희생 기를 포함하는 화합물 |
| TWI608015B (zh) * | 2015-01-16 | 2017-12-11 | 中央研究院 | 具有組織標的功能的抗發炎分子 |
| WO2016164843A1 (en) | 2015-04-08 | 2016-10-13 | Lac Diana | Site-specific covalent chemical ligation to monoclonal and polyclonal immunoglobulin |
| JP6788278B2 (ja) * | 2015-08-07 | 2020-11-25 | 国立大学法人東京工業大学 | ホウ素含有化合物とタンパク質とのコンジュゲートを含む医薬組成物 |
| AU2016359234B2 (en) * | 2015-11-25 | 2022-09-08 | Ligachem Biosciences Inc. | Conjugates comprising peptide groups and methods related thereto |
| CN117244076A (zh) | 2015-11-25 | 2023-12-19 | 乐高化学生物科学股份有限公司 | 包含自降解基团的缀合物及其相关方法 |
| EP3380126A4 (en) * | 2015-11-25 | 2019-07-24 | LegoChem Biosciences, Inc. | ANTIBODY-ACTIVE CONJUGATES WITH BRANCHED LINKERS AND ASSOCIATED METHODS |
| CN110590855B (zh) | 2016-01-25 | 2023-05-12 | 沈阳药科大学 | 铂类配合物的制备方法及其含有该铂类配合物的脂质体与制备方法 |
| EP3544633A1 (en) | 2016-11-22 | 2019-10-02 | H. Hoffnabb-La Roche Ag | Antibody drug conjugates |
| JP7664680B2 (ja) | 2017-03-29 | 2025-04-18 | リガケム バイオサイエンシズ, インク. | ピロロベンゾジアゼピン二量体前駆体及びそのリガンド-リンカーコンジュゲート化合物 |
| US11491247B2 (en) | 2017-05-02 | 2022-11-08 | Cornell University | Methods and reagents for tumor targeting with greater efficacy and less toxicity |
| NL2020120B1 (en) * | 2017-12-19 | 2019-06-26 | Linxis B V | Methods for preparing cell targeting conjugates and conjugates obtainable by said methods |
| CN108187063B (zh) * | 2018-01-09 | 2020-09-08 | 沈阳药科大学 | 白蛋白结合型抗肿瘤药-马来酰亚胺分子前药 |
| BR112020022299A2 (pt) | 2018-05-09 | 2021-02-23 | Legochem Biosciences, Inc. | composições e métodos relacionados a conjugados de anticorpo-fármaco anti-cd19 |
| WO2019232227A1 (en) * | 2018-05-30 | 2019-12-05 | Zap Surgical Systems, Inc. | Radiosurgical neuromodlation close to critical structures |
| KR20210028544A (ko) | 2019-09-04 | 2021-03-12 | 주식회사 레고켐 바이오사이언스 | 인간 ror1에 대한 항체를 포함하는 항체 약물 접합체 및 이의 용도 |
| JP2023531776A (ja) * | 2020-06-26 | 2023-07-25 | アリマブ・インコーポレイテッド | 結合モジュレーター |
| US20230339997A1 (en) * | 2020-09-11 | 2023-10-26 | Shanghai Haiju Biological Technology Co., Ltd. | Class of platinum compounds for treating cancer, and method for preparation thereof |
| EP4534090A1 (en) * | 2022-06-02 | 2025-04-09 | Genequantum Healthcare (Suzhou) Co., Ltd. | Oligosaccharide linker, linker-supported material comprising oligosaccharide linker, antibody-drug conjugate having sugar chain remodeling, preparation method therefor and use thereof |
| AU2023296781A1 (en) | 2022-07-01 | 2025-02-13 | Genequantum Healthcare (Suzhou) Co., Ltd. | Immobilized endoglycosidase fusion protein and use thereof |
Family Cites Families (13)
| Publication number | Priority date | Publication date | Assignee | Title |
|---|---|---|---|---|
| US2816110A (en) | 1956-11-23 | 1957-12-10 | Merck & Co Inc | Methods for the production of substituted pteridines |
| US3532700A (en) | 1966-02-17 | 1970-10-06 | Shionogi Seiyaku Kk | 2-lower alkyl-2,3-dihydrothieno(3,2-c) quinolines and pharmaceutically acceptable non-toxic salts thereof |
| US3773919A (en) | 1969-10-23 | 1973-11-20 | Du Pont | Polylactide-drug mixtures |
| US4952676A (en) | 1984-06-27 | 1990-08-28 | Johnson Matthey Plc | Monoclonal antibody-platinum co-ordination compound complex |
| EP0169645A1 (en) * | 1984-06-27 | 1986-01-29 | Johnson Matthey Public Limited Company | Platinum co-ordination compounds |
| US6335434B1 (en) | 1998-06-16 | 2002-01-01 | Isis Pharmaceuticals, Inc., | Nucleosidic and non-nucleosidic folate conjugates |
| US5159079A (en) | 1991-12-20 | 1992-10-27 | Eli Lilly And Company | 2-piperidones as intermediates for 5-deaza-10-oxo- and 5-deaza-10-thio-5,6,7,8-tetrahydrofolic acids |
| US6218367B1 (en) | 1998-09-15 | 2001-04-17 | Organomed Corporation | Paclitaxel-carbohydrate conjugates: design, synthesis and biological evaluations |
| US7166733B2 (en) * | 2000-01-04 | 2007-01-23 | Access Pharmaceuticals, Inc. | O,O'-Amidomalonate and N,O-Amidomalonate platinum complexes |
| CA2484345C (en) | 2002-05-06 | 2015-09-29 | Endocyte, Inc. | Folate-targeted imaging agents |
| US7138520B2 (en) * | 2003-01-13 | 2006-11-21 | Massachusetts Institute Of Technology | Coordination complexes having tethered therapeutic agents and/or targeting moieties, and methods of making and using the same |
| CA2583389A1 (en) * | 2004-10-07 | 2006-04-20 | Emory University | Multifunctional nanoparticles conjugates and their use |
| EP2155254B1 (en) * | 2007-05-09 | 2012-11-28 | Nitto Denko Corporation | Polymers conjugated with platinum drugs |
-
2013
- 2013-01-03 EP EP13702509.4A patent/EP2800586A1/en not_active Withdrawn
- 2013-01-03 US US14/370,524 patent/US9884123B2/en not_active Expired - Fee Related
- 2013-01-03 JP JP2014551314A patent/JP6228551B2/ja not_active Expired - Fee Related
- 2013-01-03 WO PCT/US2013/020130 patent/WO2013103707A1/en not_active Ceased
-
2017
- 2017-10-13 JP JP2017199028A patent/JP6483780B2/ja not_active Expired - Fee Related
- 2017-12-15 US US15/844,232 patent/US20180104353A1/en not_active Abandoned
Also Published As
| Publication number | Publication date |
|---|---|
| WO2013103707A1 (en) | 2013-07-11 |
| EP2800586A1 (en) | 2014-11-12 |
| US20150045428A1 (en) | 2015-02-12 |
| JP6483780B2 (ja) | 2019-03-13 |
| US9884123B2 (en) | 2018-02-06 |
| JP2018065797A (ja) | 2018-04-26 |
| JP2015503585A (ja) | 2015-02-02 |
| US20180104353A1 (en) | 2018-04-19 |
Similar Documents
| Publication | Publication Date | Title |
|---|---|---|
| JP6483780B2 (ja) | リガンド−標的指向分子およびその方法 | |
| Ziaei et al. | Targeting triple negative breast cancer cells with novel cytotoxic peptide–doxorubicin conjugates | |
| ES2983109T3 (es) | Conjugados enlazadores autoestabilizantes | |
| US11701429B2 (en) | Targeted drug delivery through affinity based linkers | |
| KR101988005B1 (ko) | 개선된 연결을 갖는 아마톡신-접합체 | |
| CN109311996B (zh) | 抗体、其用途及其缀合物 | |
| JP2022516043A (ja) | 生物活性な分子のクラスター | |
| JP6908605B2 (ja) | ナノ粒子をベースとした肝臓標的化療法および撮像 | |
| US20200392108A1 (en) | Antibody-drug conjugates and related compounds, compositions and methods | |
| AU2006270566B2 (en) | Method of conjugating therapeutic compounds to cell targeting moieties via metal complexes | |
| TW201916894A (zh) | 自行穩定之接合劑共軛物 | |
| RU2748992C2 (ru) | Системы доставки для контролируемого высвобождения лекарственного средства | |
| JP7425606B2 (ja) | 四級化ニコチンアミドアデニンジヌクレオチドサルベージ経路阻害剤コンジュゲート | |
| IL303707A (en) | Camptothecin antibody-drug conjugates and methods of using them | |
| JP2022541650A (ja) | ペプチド核酸系の作用物質を用いて癌を治療するための方法および組成物 | |
| US9486535B2 (en) | Methods of making and using nanostructures | |
| Sonzini et al. | HER2-targeted star polymer conjugates for improved tumor distribution and efficacy | |
| US20190321484A1 (en) | Antibody drug conjugates | |
| KR20130138608A (ko) | 위치 특이적 항체-싸이토톡신 결합체 및 이의 용도 | |
| WO2026018064A1 (en) | Multispecific multi-drug antibody-drug conjugates | |
| WO2024263630A1 (en) | Nectin-4 antibodies and antibody-drug conjugates | |
| JP2025526416A (ja) | Pegベースの抗cd47/抗pd-l1二特異性抗体-薬剤コンジュゲート | |
| WO2025064424A9 (en) | Tandem-cleavage linkers for antibody-drug conjugates and uses thereof | |
| Dovgan | Antibody conjugates: integrated approach towards selective, stable and controllable bioconjugation | |
| CN116761632A (zh) | 用于增强靶向治疗剂的治疗效果的基于抗体的缀合物 |
Legal Events
| Date | Code | Title | Description |
|---|---|---|---|
| RD04 | Notification of resignation of power of attorney |
Free format text: JAPANESE INTERMEDIATE CODE: A7424 Effective date: 20150323 |
|
| A621 | Written request for application examination |
Free format text: JAPANESE INTERMEDIATE CODE: A621 Effective date: 20151207 |
|
| A711 | Notification of change in applicant |
Free format text: JAPANESE INTERMEDIATE CODE: A711 Effective date: 20160824 |
|
| A521 | Request for written amendment filed |
Free format text: JAPANESE INTERMEDIATE CODE: A821 Effective date: 20160824 |
|
| A977 | Report on retrieval |
Free format text: JAPANESE INTERMEDIATE CODE: A971007 Effective date: 20160928 |
|
| A131 | Notification of reasons for refusal |
Free format text: JAPANESE INTERMEDIATE CODE: A131 Effective date: 20161006 |
|
| A521 | Request for written amendment filed |
Free format text: JAPANESE INTERMEDIATE CODE: A523 Effective date: 20161221 |
|
| A131 | Notification of reasons for refusal |
Free format text: JAPANESE INTERMEDIATE CODE: A131 Effective date: 20170529 |
|
| A521 | Request for written amendment filed |
Free format text: JAPANESE INTERMEDIATE CODE: A523 Effective date: 20170824 |
|
| TRDD | Decision of grant or rejection written | ||
| A01 | Written decision to grant a patent or to grant a registration (utility model) |
Free format text: JAPANESE INTERMEDIATE CODE: A01 Effective date: 20170913 |
|
| A61 | First payment of annual fees (during grant procedure) |
Free format text: JAPANESE INTERMEDIATE CODE: A61 Effective date: 20171013 |
|
| R150 | Certificate of patent or registration of utility model |
Ref document number: 6228551 Country of ref document: JP Free format text: JAPANESE INTERMEDIATE CODE: R150 |
|
| LAPS | Cancellation because of no payment of annual fees |
