JP2005200529A - 活性光線硬化型インクジェットインク組成物、活性光線硬化型インクジェットインクセット及びそれを用いた画像形成方法及びインクジェット記録装置 - Google Patents
活性光線硬化型インクジェットインク組成物、活性光線硬化型インクジェットインクセット及びそれを用いた画像形成方法及びインクジェット記録装置 Download PDFInfo
- Publication number
- JP2005200529A JP2005200529A JP2004007752A JP2004007752A JP2005200529A JP 2005200529 A JP2005200529 A JP 2005200529A JP 2004007752 A JP2004007752 A JP 2004007752A JP 2004007752 A JP2004007752 A JP 2004007752A JP 2005200529 A JP2005200529 A JP 2005200529A
- Authority
- JP
- Japan
- Prior art keywords
- ink composition
- curable inkjet
- inkjet ink
- actinic ray
- group
- Prior art date
- Legal status (The legal status is an assumption and is not a legal conclusion. Google has not performed a legal analysis and makes no representation as to the accuracy of the status listed.)
- Pending
Links
- 239000000203 mixture Substances 0.000 title claims abstract description 112
- 238000000034 method Methods 0.000 title claims abstract description 68
- 238000003384 imaging method Methods 0.000 title abstract description 3
- 150000001875 compounds Chemical class 0.000 claims abstract description 114
- 239000004593 Epoxy Substances 0.000 claims abstract description 44
- 125000002723 alicyclic group Chemical group 0.000 claims abstract description 43
- 150000002009 diols Chemical group 0.000 claims abstract description 22
- 239000003086 colorant Substances 0.000 claims abstract description 14
- -1 oxetane compound Chemical class 0.000 claims description 91
- 239000000463 material Substances 0.000 claims description 82
- 239000000049 pigment Substances 0.000 claims description 50
- 230000005855 radiation Effects 0.000 claims description 32
- 125000005647 linker group Chemical group 0.000 claims description 26
- 125000004432 carbon atom Chemical group C* 0.000 claims description 25
- 238000007639 printing Methods 0.000 claims description 25
- 125000004430 oxygen atom Chemical group O* 0.000 claims description 21
- 229910052717 sulfur Inorganic materials 0.000 claims description 21
- 125000004434 sulfur atom Chemical group 0.000 claims description 21
- 125000001424 substituent group Chemical group 0.000 claims description 18
- 230000000694 effects Effects 0.000 claims description 11
- 125000001931 aliphatic group Chemical group 0.000 claims description 7
- 125000000466 oxiranyl group Chemical group 0.000 claims description 6
- XEEYBQQBJWHFJM-UHFFFAOYSA-N Iron Chemical compound [Fe] XEEYBQQBJWHFJM-UHFFFAOYSA-N 0.000 claims description 5
- 238000004040 coloring Methods 0.000 claims description 4
- 238000002156 mixing Methods 0.000 abstract description 10
- 239000000976 ink Substances 0.000 description 206
- MCMNRKCIXSYSNV-UHFFFAOYSA-N Zirconium dioxide Chemical compound O=[Zr]=O MCMNRKCIXSYSNV-UHFFFAOYSA-N 0.000 description 32
- 239000006185 dispersion Substances 0.000 description 31
- 0 [*+]c1ccccc1 Chemical compound [*+]c1ccccc1 0.000 description 22
- 239000011324 bead Substances 0.000 description 16
- 238000010438 heat treatment Methods 0.000 description 16
- OKTJSMMVPCPJKN-UHFFFAOYSA-N Carbon Chemical compound [C] OKTJSMMVPCPJKN-UHFFFAOYSA-N 0.000 description 14
- 239000002270 dispersing agent Substances 0.000 description 13
- 229920000642 polymer Polymers 0.000 description 12
- 238000002360 preparation method Methods 0.000 description 12
- 239000002904 solvent Substances 0.000 description 12
- 239000000975 dye Substances 0.000 description 11
- 239000011521 glass Substances 0.000 description 9
- 125000003566 oxetanyl group Chemical group 0.000 description 9
- 239000003973 paint Substances 0.000 description 9
- 238000001816 cooling Methods 0.000 description 8
- 238000003756 stirring Methods 0.000 description 8
- 125000000217 alkyl group Chemical group 0.000 description 7
- QSHDDOUJBYECFT-UHFFFAOYSA-N mercury Chemical compound [Hg] QSHDDOUJBYECFT-UHFFFAOYSA-N 0.000 description 7
- 229910052753 mercury Inorganic materials 0.000 description 7
- 239000000654 additive Substances 0.000 description 6
- 125000003545 alkoxy group Chemical group 0.000 description 6
- 150000007514 bases Chemical class 0.000 description 6
- 125000001495 ethyl group Chemical group [H]C([H])([H])C([H])([H])* 0.000 description 6
- 238000011156 evaluation Methods 0.000 description 6
- 125000002496 methyl group Chemical group [H]C([H])([H])* 0.000 description 6
- 239000000178 monomer Substances 0.000 description 6
- 229920000139 polyethylene terephthalate Polymers 0.000 description 6
- 239000005020 polyethylene terephthalate Substances 0.000 description 6
- 241000557626 Corvus corax Species 0.000 description 5
- 125000004453 alkoxycarbonyl group Chemical group 0.000 description 5
- 125000000484 butyl group Chemical group [H]C([*])([H])C([H])([H])C([H])([H])C([H])([H])[H] 0.000 description 5
- 230000001678 irradiating effect Effects 0.000 description 5
- 125000001449 isopropyl group Chemical group [H]C([H])([H])C([H])(*)C([H])([H])[H] 0.000 description 5
- 238000006116 polymerization reaction Methods 0.000 description 5
- 125000001436 propyl group Chemical group [H]C([*])([H])C([H])([H])C([H])([H])[H] 0.000 description 5
- QYKIQEUNHZKYBP-UHFFFAOYSA-N Vinyl ether Chemical class C=COC=C QYKIQEUNHZKYBP-UHFFFAOYSA-N 0.000 description 4
- 150000001412 amines Chemical class 0.000 description 4
- 230000015572 biosynthetic process Effects 0.000 description 4
- 230000000740 bleeding effect Effects 0.000 description 4
- 125000005843 halogen group Chemical group 0.000 description 4
- 239000002245 particle Substances 0.000 description 4
- 239000004800 polyvinyl chloride Substances 0.000 description 4
- 125000001501 propionyl group Chemical group O=C([*])C([H])([H])C([H])([H])[H] 0.000 description 4
- 239000000126 substance Substances 0.000 description 4
- IGGDKDTUCAWDAN-UHFFFAOYSA-N 1-vinylnaphthalene Chemical class C1=CC=C2C(C=C)=CC=CC2=C1 IGGDKDTUCAWDAN-UHFFFAOYSA-N 0.000 description 3
- WKBOTKDWSSQWDR-UHFFFAOYSA-N Bromine atom Chemical group [Br] WKBOTKDWSSQWDR-UHFFFAOYSA-N 0.000 description 3
- 241000721047 Danaus plexippus Species 0.000 description 3
- LYCAIKOWRPUZTN-UHFFFAOYSA-N Ethylene glycol Chemical compound OCCO LYCAIKOWRPUZTN-UHFFFAOYSA-N 0.000 description 3
- WMFOQBRAJBCJND-UHFFFAOYSA-M Lithium hydroxide Chemical compound [Li+].[OH-] WMFOQBRAJBCJND-UHFFFAOYSA-M 0.000 description 3
- KWYUFKZDYYNOTN-UHFFFAOYSA-M Potassium hydroxide Chemical compound [OH-].[K+] KWYUFKZDYYNOTN-UHFFFAOYSA-M 0.000 description 3
- HEMHJVSKTPXQMS-UHFFFAOYSA-M Sodium hydroxide Chemical compound [OH-].[Na+] HEMHJVSKTPXQMS-UHFFFAOYSA-M 0.000 description 3
- 125000002777 acetyl group Chemical group [H]C([H])([H])C(*)=O 0.000 description 3
- 125000003668 acetyloxy group Chemical group [H]C([H])([H])C(=O)O[*] 0.000 description 3
- 125000002252 acyl group Chemical group 0.000 description 3
- 125000004423 acyloxy group Chemical group 0.000 description 3
- 150000001339 alkali metal compounds Chemical class 0.000 description 3
- 150000001341 alkaline earth metal compounds Chemical class 0.000 description 3
- 229910052799 carbon Inorganic materials 0.000 description 3
- 229910052801 chlorine Inorganic materials 0.000 description 3
- 125000001309 chloro group Chemical group Cl* 0.000 description 3
- 239000002612 dispersion medium Substances 0.000 description 3
- 125000003700 epoxy group Chemical group 0.000 description 3
- 125000001301 ethoxy group Chemical group [H]C([H])([H])C([H])([H])O* 0.000 description 3
- 125000003754 ethoxycarbonyl group Chemical group C(=O)(OCC)* 0.000 description 3
- 229910052731 fluorine Inorganic materials 0.000 description 3
- 125000001153 fluoro group Chemical group F* 0.000 description 3
- 239000003999 initiator Substances 0.000 description 3
- 125000003253 isopropoxy group Chemical group [H]C([H])([H])C([H])(O*)C([H])([H])[H] 0.000 description 3
- 239000002609 medium Substances 0.000 description 3
- 125000000956 methoxy group Chemical group [H]C([H])([H])O* 0.000 description 3
- 125000001160 methoxycarbonyl group Chemical group [H]C([H])([H])OC(*)=O 0.000 description 3
- 125000006606 n-butoxy group Chemical group 0.000 description 3
- 150000002894 organic compounds Chemical class 0.000 description 3
- 150000002921 oxetanes Chemical class 0.000 description 3
- 238000004806 packaging method and process Methods 0.000 description 3
- 229920003023 plastic Polymers 0.000 description 3
- 239000004033 plastic Substances 0.000 description 3
- 229920000915 polyvinyl chloride Polymers 0.000 description 3
- 150000003440 styrenes Chemical class 0.000 description 3
- 125000004213 tert-butoxy group Chemical group [H]C([H])([H])C(O*)(C([H])([H])[H])C([H])([H])[H] 0.000 description 3
- 125000005931 tert-butyloxycarbonyl group Chemical group [H]C([H])([H])C(OC(*)=O)(C([H])([H])[H])C([H])([H])[H] 0.000 description 3
- 125000004044 trifluoroacetyl group Chemical group FC(C(=O)*)(F)F 0.000 description 3
- XLYOFNOQVPJJNP-UHFFFAOYSA-N water Substances O XLYOFNOQVPJJNP-UHFFFAOYSA-N 0.000 description 3
- 230000037303 wrinkles Effects 0.000 description 3
- 125000006273 (C1-C3) alkyl group Chemical group 0.000 description 2
- AZQWKYJCGOJGHM-UHFFFAOYSA-N 1,4-benzoquinone Chemical compound O=C1C=CC(=O)C=C1 AZQWKYJCGOJGHM-UHFFFAOYSA-N 0.000 description 2
- UAJRSHJHFRVGMG-UHFFFAOYSA-N 1-ethenyl-4-methoxybenzene Chemical compound COC1=CC=C(C=C)C=C1 UAJRSHJHFRVGMG-UHFFFAOYSA-N 0.000 description 2
- 125000006017 1-propenyl group Chemical group 0.000 description 2
- 125000000530 1-propynyl group Chemical group [H]C([H])([H])C#C* 0.000 description 2
- GVNVAWHJIKLAGL-UHFFFAOYSA-N 2-(cyclohexen-1-yl)cyclohexan-1-one Chemical compound O=C1CCCCC1C1=CCCCC1 GVNVAWHJIKLAGL-UHFFFAOYSA-N 0.000 description 2
- 125000004974 2-butenyl group Chemical group C(C=CC)* 0.000 description 2
- 125000000069 2-butynyl group Chemical group [H]C([H])([H])C#CC([H])([H])* 0.000 description 2
- SZNYYWIUQFZLLT-UHFFFAOYSA-N 2-methyl-1-(2-methylpropoxy)propane Chemical compound CC(C)COCC(C)C SZNYYWIUQFZLLT-UHFFFAOYSA-N 0.000 description 2
- 125000003903 2-propenyl group Chemical group [H]C([*])([H])C([H])=C([H])[H] 0.000 description 2
- 125000001494 2-propynyl group Chemical group [H]C#CC([H])([H])* 0.000 description 2
- 239000004925 Acrylic resin Substances 0.000 description 2
- 229920000178 Acrylic resin Polymers 0.000 description 2
- VTYYLEPIZMXCLO-UHFFFAOYSA-L Calcium carbonate Chemical compound [Ca+2].[O-]C([O-])=O VTYYLEPIZMXCLO-UHFFFAOYSA-L 0.000 description 2
- 229920002284 Cellulose triacetate Polymers 0.000 description 2
- 101150065749 Churc1 gene Proteins 0.000 description 2
- 239000004698 Polyethylene Substances 0.000 description 2
- 239000004743 Polypropylene Substances 0.000 description 2
- 102100038239 Protein Churchill Human genes 0.000 description 2
- SMWDFEZZVXVKRB-UHFFFAOYSA-N Quinoline Chemical compound N1=CC=CC2=CC=CC=C21 SMWDFEZZVXVKRB-UHFFFAOYSA-N 0.000 description 2
- CDBYLPFSWZWCQE-UHFFFAOYSA-L Sodium Carbonate Chemical compound [Na+].[Na+].[O-]C([O-])=O CDBYLPFSWZWCQE-UHFFFAOYSA-L 0.000 description 2
- WQDUMFSSJAZKTM-UHFFFAOYSA-N Sodium methoxide Chemical compound [Na+].[O-]C WQDUMFSSJAZKTM-UHFFFAOYSA-N 0.000 description 2
- PPBRXRYQALVLMV-UHFFFAOYSA-N Styrene Chemical compound C=CC1=CC=CC=C1 PPBRXRYQALVLMV-UHFFFAOYSA-N 0.000 description 2
- NNLVGZFZQQXQNW-ADJNRHBOSA-N [(2r,3r,4s,5r,6s)-4,5-diacetyloxy-3-[(2s,3r,4s,5r,6r)-3,4,5-triacetyloxy-6-(acetyloxymethyl)oxan-2-yl]oxy-6-[(2r,3r,4s,5r,6s)-4,5,6-triacetyloxy-2-(acetyloxymethyl)oxan-3-yl]oxyoxan-2-yl]methyl acetate Chemical compound O([C@@H]1O[C@@H]([C@H]([C@H](OC(C)=O)[C@H]1OC(C)=O)O[C@H]1[C@@H]([C@@H](OC(C)=O)[C@H](OC(C)=O)[C@@H](COC(C)=O)O1)OC(C)=O)COC(=O)C)[C@@H]1[C@@H](COC(C)=O)O[C@@H](OC(C)=O)[C@H](OC(C)=O)[C@H]1OC(C)=O NNLVGZFZQQXQNW-ADJNRHBOSA-N 0.000 description 2
- 239000002253 acid Substances 0.000 description 2
- 230000002411 adverse Effects 0.000 description 2
- 229910052783 alkali metal Inorganic materials 0.000 description 2
- 229910000288 alkali metal carbonate Inorganic materials 0.000 description 2
- 150000008041 alkali metal carbonates Chemical class 0.000 description 2
- 150000001340 alkali metals Chemical class 0.000 description 2
- 125000003342 alkenyl group Chemical group 0.000 description 2
- 125000000304 alkynyl group Chemical group 0.000 description 2
- 238000006243 chemical reaction Methods 0.000 description 2
- 230000000052 comparative effect Effects 0.000 description 2
- XCJYREBRNVKWGJ-UHFFFAOYSA-N copper(II) phthalocyanine Chemical compound [Cu+2].C12=CC=CC=C2C(N=C2[N-]C(C3=CC=CC=C32)=N2)=NC1=NC([C]1C=CC=CC1=1)=NC=1N=C1[C]3C=CC=CC3=C2[N-]1 XCJYREBRNVKWGJ-UHFFFAOYSA-N 0.000 description 2
- 125000000753 cycloalkyl group Chemical group 0.000 description 2
- 125000001995 cyclobutyl group Chemical group [H]C1([H])C([H])([H])C([H])(*)C1([H])[H] 0.000 description 2
- 125000000113 cyclohexyl group Chemical group [H]C1([H])C([H])([H])C([H])([H])C([H])(*)C([H])([H])C1([H])[H] 0.000 description 2
- 125000001511 cyclopentyl group Chemical group [H]C1([H])C([H])([H])C([H])([H])C([H])(*)C1([H])[H] 0.000 description 2
- 125000001559 cyclopropyl group Chemical group [H]C1([H])C([H])([H])C1([H])* 0.000 description 2
- 230000007423 decrease Effects 0.000 description 2
- 238000011161 development Methods 0.000 description 2
- JQVDAXLFBXTEQA-UHFFFAOYSA-N dibutylamine Chemical compound CCCCNCCCC JQVDAXLFBXTEQA-UHFFFAOYSA-N 0.000 description 2
- DMBHHRLKUKUOEG-UHFFFAOYSA-N diphenylamine Chemical compound C=1C=CC=CC=1NC1=CC=CC=C1 DMBHHRLKUKUOEG-UHFFFAOYSA-N 0.000 description 2
- 229920001971 elastomer Polymers 0.000 description 2
- FJKIXWOMBXYWOQ-UHFFFAOYSA-N ethenoxyethane Chemical compound CCOC=C FJKIXWOMBXYWOQ-UHFFFAOYSA-N 0.000 description 2
- 125000000219 ethylidene group Chemical group [H]C(=[*])C([H])([H])[H] 0.000 description 2
- 150000002391 heterocyclic compounds Chemical class 0.000 description 2
- VKYKSIONXSXAKP-UHFFFAOYSA-N hexamethylenetetramine Chemical compound C1N(C2)CN3CN1CN2C3 VKYKSIONXSXAKP-UHFFFAOYSA-N 0.000 description 2
- 125000004435 hydrogen atom Chemical group [H]* 0.000 description 2
- 238000005286 illumination Methods 0.000 description 2
- 125000000654 isopropylidene group Chemical group C(C)(C)=* 0.000 description 2
- 238000004519 manufacturing process Methods 0.000 description 2
- 239000012528 membrane Substances 0.000 description 2
- 125000003506 n-propoxy group Chemical group [H]C([H])([H])C([H])([H])C([H])([H])O* 0.000 description 2
- 238000005191 phase separation Methods 0.000 description 2
- 239000002985 plastic film Substances 0.000 description 2
- 229920006255 plastic film Polymers 0.000 description 2
- 229920000573 polyethylene Polymers 0.000 description 2
- 229920001155 polypropylene Polymers 0.000 description 2
- BWHMMNNQKKPAPP-UHFFFAOYSA-L potassium carbonate Chemical compound [K+].[K+].[O-]C([O-])=O BWHMMNNQKKPAPP-UHFFFAOYSA-L 0.000 description 2
- 239000005060 rubber Substances 0.000 description 2
- 238000003860 storage Methods 0.000 description 2
- 239000000758 substrate Substances 0.000 description 2
- 239000004094 surface-active agent Substances 0.000 description 2
- 238000003786 synthesis reaction Methods 0.000 description 2
- 125000000391 vinyl group Chemical group [H]C([*])=C([H])[H] 0.000 description 2
- 229920002554 vinyl polymer Polymers 0.000 description 2
- 239000001993 wax Substances 0.000 description 2
- XBTRYWRVOBZSGM-UHFFFAOYSA-N (4-methylphenyl)methanediamine Chemical compound CC1=CC=C(C(N)N)C=C1 XBTRYWRVOBZSGM-UHFFFAOYSA-N 0.000 description 1
- 125000001989 1,3-phenylene group Chemical group [H]C1=C([H])C([*:1])=C([H])C([*:2])=C1[H] 0.000 description 1
- ZLCUIOWQYBYEBG-UHFFFAOYSA-N 1-Amino-2-methylanthraquinone Chemical compound C1=CC=C2C(=O)C3=C(N)C(C)=CC=C3C(=O)C2=C1 ZLCUIOWQYBYEBG-UHFFFAOYSA-N 0.000 description 1
- PWMWNFMRSKOCEY-UHFFFAOYSA-N 1-Phenyl-1,2-ethanediol Chemical compound OCC(O)C1=CC=CC=C1 PWMWNFMRSKOCEY-UHFFFAOYSA-N 0.000 description 1
- GJNDXPONYMDBFD-UHFFFAOYSA-N 1-ethenoxy-2,2-dimethylpropane Chemical compound CC(C)(C)COC=C GJNDXPONYMDBFD-UHFFFAOYSA-N 0.000 description 1
- PEBJBOQKIXHSOE-UHFFFAOYSA-N 1-ethenoxy-4-methoxybenzene Chemical compound COC1=CC=C(OC=C)C=C1 PEBJBOQKIXHSOE-UHFFFAOYSA-N 0.000 description 1
- YXHRYLHTQVXZIK-UHFFFAOYSA-N 1-ethenoxy-4-methylbenzene Chemical compound CC1=CC=C(OC=C)C=C1 YXHRYLHTQVXZIK-UHFFFAOYSA-N 0.000 description 1
- WXXWVOBCMQZDJI-UHFFFAOYSA-N 1-ethenyl-2-methylnaphthalene Chemical compound C1=CC=CC2=C(C=C)C(C)=CC=C21 WXXWVOBCMQZDJI-UHFFFAOYSA-N 0.000 description 1
- UDBOTPBQDGDMHZ-UHFFFAOYSA-N 1-ethenyl-4-methoxynaphthalene Chemical compound C1=CC=C2C(OC)=CC=C(C=C)C2=C1 UDBOTPBQDGDMHZ-UHFFFAOYSA-N 0.000 description 1
- HMVKUYRSSLDCER-UHFFFAOYSA-N 1-ethenyl-4-methylnaphthalene Chemical compound C1=CC=C2C(C)=CC=C(C=C)C2=C1 HMVKUYRSSLDCER-UHFFFAOYSA-N 0.000 description 1
- JWYVGKFDLWWQJX-UHFFFAOYSA-N 1-ethenylazepan-2-one Chemical compound C=CN1CCCCCC1=O JWYVGKFDLWWQJX-UHFFFAOYSA-N 0.000 description 1
- OSSNTDFYBPYIEC-UHFFFAOYSA-N 1-ethenylimidazole Chemical compound C=CN1C=CN=C1 OSSNTDFYBPYIEC-UHFFFAOYSA-N 0.000 description 1
- RCSKFKICHQAKEZ-UHFFFAOYSA-N 1-ethenylindole Chemical compound C1=CC=C2N(C=C)C=CC2=C1 RCSKFKICHQAKEZ-UHFFFAOYSA-N 0.000 description 1
- CTXUTPWZJZHRJC-UHFFFAOYSA-N 1-ethenylpyrrole Chemical compound C=CN1C=CC=C1 CTXUTPWZJZHRJC-UHFFFAOYSA-N 0.000 description 1
- VOCDJQSAMZARGX-UHFFFAOYSA-N 1-ethenylpyrrolidine-2,5-dione Chemical compound C=CN1C(=O)CCC1=O VOCDJQSAMZARGX-UHFFFAOYSA-N 0.000 description 1
- LSMSSYSRCUNIFX-UHFFFAOYSA-N 1-methyl-4-prop-1-enylbenzene Chemical compound CC=CC1=CC=C(C)C=C1 LSMSSYSRCUNIFX-UHFFFAOYSA-N 0.000 description 1
- RUFPHBVGCFYCNW-UHFFFAOYSA-N 1-naphthylamine Chemical compound C1=CC=C2C(N)=CC=CC2=C1 RUFPHBVGCFYCNW-UHFFFAOYSA-N 0.000 description 1
- GMRFWZHQMKFNIQ-UHFFFAOYSA-N 10-ethenylphenothiazine Chemical compound C1=CC=C2N(C=C)C3=CC=CC=C3SC2=C1 GMRFWZHQMKFNIQ-UHFFFAOYSA-N 0.000 description 1
- KTVOLKQQNNIGGM-UHFFFAOYSA-N 2-[[4-[4-[(2-hydroxy-5-nonylphenyl)diazenyl]-3-methylphenyl]-2-methylphenyl]diazenyl]-4-nonylphenol Chemical compound CCCCCCCCCC1=CC(N=NC2=C(C)C=C(C=C2)C2=CC(C)=C(C=C2)N=NC2=CC(CCCCCCCCC)=CC=C2O)=C(O)C=C1 KTVOLKQQNNIGGM-UHFFFAOYSA-N 0.000 description 1
- GKLRJLTVXMXVDO-UHFFFAOYSA-N 2-chloro-1-ethenoxy-2-methylpropane Chemical compound CC(C)(Cl)COC=C GKLRJLTVXMXVDO-UHFFFAOYSA-N 0.000 description 1
- IGDLZDCWMRPMGL-UHFFFAOYSA-N 2-ethenylisoindole-1,3-dione Chemical compound C1=CC=C2C(=O)N(C=C)C(=O)C2=C1 IGDLZDCWMRPMGL-UHFFFAOYSA-N 0.000 description 1
- VGKYEIFFSOPYEW-UHFFFAOYSA-N 2-methyl-4-[(4-phenyldiazenylphenyl)diazenyl]phenol Chemical compound Cc1cc(ccc1O)N=Nc1ccc(cc1)N=Nc1ccccc1 VGKYEIFFSOPYEW-UHFFFAOYSA-N 0.000 description 1
- BIDWUUDRRVHZLQ-UHFFFAOYSA-N 3-ethyl-3-(2-ethylhexoxymethyl)oxetane Chemical compound CCCCC(CC)COCC1(CC)COC1 BIDWUUDRRVHZLQ-UHFFFAOYSA-N 0.000 description 1
- FNYWFRSQRHGKJT-UHFFFAOYSA-N 3-ethyl-3-[(3-ethyloxetan-3-yl)methoxymethyl]oxetane Chemical compound C1OCC1(CC)COCC1(CC)COC1 FNYWFRSQRHGKJT-UHFFFAOYSA-N 0.000 description 1
- JLBJTVDPSNHSKJ-UHFFFAOYSA-N 4-Methylstyrene Chemical compound CC1=CC=C(C=C)C=C1 JLBJTVDPSNHSKJ-UHFFFAOYSA-N 0.000 description 1
- QPQKUYVSJWQSDY-UHFFFAOYSA-N 4-phenyldiazenylaniline Chemical compound C1=CC(N)=CC=C1N=NC1=CC=CC=C1 QPQKUYVSJWQSDY-UHFFFAOYSA-N 0.000 description 1
- QGZKDVFQNNGYKY-UHFFFAOYSA-O Ammonium Chemical compound [NH4+] QGZKDVFQNNGYKY-UHFFFAOYSA-O 0.000 description 1
- 229910017008 AsF 6 Inorganic materials 0.000 description 1
- LSNNMFCWUKXFEE-UHFFFAOYSA-M Bisulfite Chemical compound OS([O-])=O LSNNMFCWUKXFEE-UHFFFAOYSA-M 0.000 description 1
- 229920002799 BoPET Polymers 0.000 description 1
- MNJBRSYJNIFBRT-UHFFFAOYSA-N C1=CC=C2C(C)(C=C)CC=CC2=C1 Chemical compound C1=CC=C2C(C)(C=C)CC=CC2=C1 MNJBRSYJNIFBRT-UHFFFAOYSA-N 0.000 description 1
- REFINMIKFRRXIQ-UHFFFAOYSA-N CC12OC1CC[IH]C2 Chemical compound CC12OC1CC[IH]C2 REFINMIKFRRXIQ-UHFFFAOYSA-N 0.000 description 1
- ORUVOPCUTZNTAK-UHFFFAOYSA-N CC1C=C(C)C=CC1 Chemical compound CC1C=C(C)C=CC1 ORUVOPCUTZNTAK-UHFFFAOYSA-N 0.000 description 1
- BWLUMTFWVZZZND-UHFFFAOYSA-N Dibenzylamine Chemical compound C=1C=CC=CC=1CNCC1=CC=CC=C1 BWLUMTFWVZZZND-UHFFFAOYSA-N 0.000 description 1
- LCGLNKUTAGEVQW-UHFFFAOYSA-N Dimethyl ether Chemical compound COC LCGLNKUTAGEVQW-UHFFFAOYSA-N 0.000 description 1
- KWYHDKDOAIKMQN-UHFFFAOYSA-N N,N,N',N'-tetramethylethylenediamine Chemical compound CN(C)CCN(C)C KWYHDKDOAIKMQN-UHFFFAOYSA-N 0.000 description 1
- JLTDJTHDQAWBAV-UHFFFAOYSA-N N,N-dimethylaniline Chemical compound CN(C)C1=CC=CC=C1 JLTDJTHDQAWBAV-UHFFFAOYSA-N 0.000 description 1
- WHNWPMSKXPGLAX-UHFFFAOYSA-N N-Vinyl-2-pyrrolidone Chemical compound C=CN1CCCC1=O WHNWPMSKXPGLAX-UHFFFAOYSA-N 0.000 description 1
- 239000004677 Nylon Substances 0.000 description 1
- 229930182556 Polyacetal Natural products 0.000 description 1
- 239000004793 Polystyrene Substances 0.000 description 1
- 229910018286 SbF 6 Inorganic materials 0.000 description 1
- GSEJCLTVZPLZKY-UHFFFAOYSA-N Triethanolamine Chemical compound OCCN(CCO)CCO GSEJCLTVZPLZKY-UHFFFAOYSA-N 0.000 description 1
- QROGIFZRVHSFLM-QHHAFSJGSA-N [(e)-prop-1-enyl]benzene Chemical compound C\C=C\C1=CC=CC=C1 QROGIFZRVHSFLM-QHHAFSJGSA-N 0.000 description 1
- NIXOWILDQLNWCW-UHFFFAOYSA-N acrylic acid group Chemical group C(C=C)(=O)O NIXOWILDQLNWCW-UHFFFAOYSA-N 0.000 description 1
- 229920000122 acrylonitrile butadiene styrene Polymers 0.000 description 1
- 239000004676 acrylonitrile butadiene styrene Substances 0.000 description 1
- 230000004913 activation Effects 0.000 description 1
- 230000000996 additive effect Effects 0.000 description 1
- 150000008044 alkali metal hydroxides Chemical class 0.000 description 1
- 229910001860 alkaline earth metal hydroxide Inorganic materials 0.000 description 1
- XYLMUPLGERFSHI-UHFFFAOYSA-N alpha-Methylstyrene Chemical compound CC(=C)C1=CC=CC=C1 XYLMUPLGERFSHI-UHFFFAOYSA-N 0.000 description 1
- QVGXLLKOCUKJST-UHFFFAOYSA-N atomic oxygen Chemical compound [O] QVGXLLKOCUKJST-UHFFFAOYSA-N 0.000 description 1
- 239000000987 azo dye Substances 0.000 description 1
- 239000002585 base Substances 0.000 description 1
- AWJUIBRHMBBTKR-UHFFFAOYSA-O c1ccc(c[nH+]cc2)c2c1 Chemical compound c1ccc(c[nH+]cc2)c2c1 AWJUIBRHMBBTKR-UHFFFAOYSA-O 0.000 description 1
- 229910000019 calcium carbonate Inorganic materials 0.000 description 1
- AXCZMVOFGPJBDE-UHFFFAOYSA-L calcium dihydroxide Chemical compound [OH-].[OH-].[Ca+2] AXCZMVOFGPJBDE-UHFFFAOYSA-L 0.000 description 1
- 239000000920 calcium hydroxide Substances 0.000 description 1
- 229910001861 calcium hydroxide Inorganic materials 0.000 description 1
- 239000006229 carbon black Substances 0.000 description 1
- 230000015556 catabolic process Effects 0.000 description 1
- 239000003054 catalyst Substances 0.000 description 1
- 238000010538 cationic polymerization reaction Methods 0.000 description 1
- 150000001768 cations Chemical class 0.000 description 1
- 239000012986 chain transfer agent Substances 0.000 description 1
- 230000008859 change Effects 0.000 description 1
- 239000003795 chemical substances by application Substances 0.000 description 1
- 239000000084 colloidal system Substances 0.000 description 1
- 238000004132 cross linking Methods 0.000 description 1
- 238000006731 degradation reaction Methods 0.000 description 1
- 230000006866 deterioration Effects 0.000 description 1
- 239000012954 diazonium Substances 0.000 description 1
- IJGRMHOSHXDMSA-UHFFFAOYSA-O diazynium Chemical compound [NH+]#N IJGRMHOSHXDMSA-UHFFFAOYSA-O 0.000 description 1
- LAWOZCWGWDVVSG-UHFFFAOYSA-N dioctylamine Chemical compound CCCCCCCCNCCCCCCCC LAWOZCWGWDVVSG-UHFFFAOYSA-N 0.000 description 1
- 238000007599 discharging Methods 0.000 description 1
- TUXJTJITXCHUEL-UHFFFAOYSA-N disperse red 11 Chemical compound C1=CC=C2C(=O)C3=C(N)C(OC)=CC(N)=C3C(=O)C2=C1 TUXJTJITXCHUEL-UHFFFAOYSA-N 0.000 description 1
- 238000001035 drying Methods 0.000 description 1
- 238000005516 engineering process Methods 0.000 description 1
- NHOGGUYTANYCGQ-UHFFFAOYSA-N ethenoxybenzene Chemical compound C=COC1=CC=CC=C1 NHOGGUYTANYCGQ-UHFFFAOYSA-N 0.000 description 1
- 238000001914 filtration Methods 0.000 description 1
- 238000009459 flexible packaging Methods 0.000 description 1
- 230000002070 germicidal effect Effects 0.000 description 1
- 230000009477 glass transition Effects 0.000 description 1
- WTIFIAZWCCBCGE-UUOKFMHZSA-N guanosine 2'-monophosphate Chemical compound C1=2NC(N)=NC(=O)C=2N=CN1[C@@H]1O[C@H](CO)[C@@H](O)[C@H]1OP(O)(O)=O WTIFIAZWCCBCGE-UUOKFMHZSA-N 0.000 description 1
- 150000004820 halides Chemical class 0.000 description 1
- 230000020169 heat generation Effects 0.000 description 1
- 125000000623 heterocyclic group Chemical group 0.000 description 1
- 235000010299 hexamethylene tetramine Nutrition 0.000 description 1
- 239000004312 hexamethylene tetramine Substances 0.000 description 1
- 239000012433 hydrogen halide Substances 0.000 description 1
- 229910000039 hydrogen halide Inorganic materials 0.000 description 1
- 230000003301 hydrolyzing effect Effects 0.000 description 1
- 230000006872 improvement Effects 0.000 description 1
- 230000005764 inhibitory process Effects 0.000 description 1
- 230000010354 integration Effects 0.000 description 1
- MGFYSGNNHQQTJW-UHFFFAOYSA-N iodonium Chemical compound [IH2+] MGFYSGNNHQQTJW-UHFFFAOYSA-N 0.000 description 1
- 229910052742 iron Inorganic materials 0.000 description 1
- XGZVUEUWXADBQD-UHFFFAOYSA-L lithium carbonate Chemical compound [Li+].[Li+].[O-]C([O-])=O XGZVUEUWXADBQD-UHFFFAOYSA-L 0.000 description 1
- 229910052808 lithium carbonate Inorganic materials 0.000 description 1
- 235000010187 litholrubine BK Nutrition 0.000 description 1
- ZLNQQNXFFQJAID-UHFFFAOYSA-L magnesium carbonate Chemical compound [Mg+2].[O-]C([O-])=O ZLNQQNXFFQJAID-UHFFFAOYSA-L 0.000 description 1
- 239000001095 magnesium carbonate Substances 0.000 description 1
- 229910000021 magnesium carbonate Inorganic materials 0.000 description 1
- VTHJTEIRLNZDEV-UHFFFAOYSA-L magnesium dihydroxide Chemical compound [OH-].[OH-].[Mg+2] VTHJTEIRLNZDEV-UHFFFAOYSA-L 0.000 description 1
- 239000000347 magnesium hydroxide Substances 0.000 description 1
- 229910001862 magnesium hydroxide Inorganic materials 0.000 description 1
- CRGZYKWWYNQGEC-UHFFFAOYSA-N magnesium;methanolate Chemical compound [Mg+2].[O-]C.[O-]C CRGZYKWWYNQGEC-UHFFFAOYSA-N 0.000 description 1
- 239000006224 matting agent Substances 0.000 description 1
- 229910052751 metal Inorganic materials 0.000 description 1
- 239000002184 metal Substances 0.000 description 1
- 229910001507 metal halide Inorganic materials 0.000 description 1
- 150000005309 metal halides Chemical class 0.000 description 1
- 150000002739 metals Chemical class 0.000 description 1
- 125000001434 methanylylidene group Chemical group [H]C#[*] 0.000 description 1
- 125000001570 methylene group Chemical group [H]C([H])([*:1])[*:2] 0.000 description 1
- XTAZYLNFDRKIHJ-UHFFFAOYSA-N n,n-dioctyloctan-1-amine Chemical compound CCCCCCCCN(CCCCCCCC)CCCCCCCC XTAZYLNFDRKIHJ-UHFFFAOYSA-N 0.000 description 1
- DSGQWDHZUIZVCR-UHFFFAOYSA-N n-but-3-enylacetamide Chemical compound CC(=O)NCCC=C DSGQWDHZUIZVCR-UHFFFAOYSA-N 0.000 description 1
- WUIIRPAMGBRKCV-UHFFFAOYSA-N n-ethenyl-n-phenylacetamide Chemical compound CC(=O)N(C=C)C1=CC=CC=C1 WUIIRPAMGBRKCV-UHFFFAOYSA-N 0.000 description 1
- KKFHAJHLJHVUDM-UHFFFAOYSA-N n-vinylcarbazole Chemical compound C1=CC=C2N(C=C)C3=CC=CC=C3C2=C1 KKFHAJHLJHVUDM-UHFFFAOYSA-N 0.000 description 1
- 229910052757 nitrogen Inorganic materials 0.000 description 1
- 229920001778 nylon Polymers 0.000 description 1
- IOQPZZOEVPZRBK-UHFFFAOYSA-N octan-1-amine Chemical compound CCCCCCCCN IOQPZZOEVPZRBK-UHFFFAOYSA-N 0.000 description 1
- 150000004010 onium ions Chemical class 0.000 description 1
- 239000013307 optical fiber Substances 0.000 description 1
- 239000011368 organic material Substances 0.000 description 1
- 239000003960 organic solvent Substances 0.000 description 1
- 239000005026 oriented polypropylene Substances 0.000 description 1
- 150000002924 oxiranes Chemical class 0.000 description 1
- 125000001820 oxy group Chemical group [*:1]O[*:2] 0.000 description 1
- 229910052760 oxygen Inorganic materials 0.000 description 1
- 239000001301 oxygen Substances 0.000 description 1
- 125000005010 perfluoroalkyl group Chemical group 0.000 description 1
- 230000035699 permeability Effects 0.000 description 1
- XYFCBTPGUUZFHI-UHFFFAOYSA-O phosphonium Chemical compound [PH4+] XYFCBTPGUUZFHI-UHFFFAOYSA-O 0.000 description 1
- 229920002120 photoresistant polymer Polymers 0.000 description 1
- 239000001007 phthalocyanine dye Substances 0.000 description 1
- 230000000704 physical effect Effects 0.000 description 1
- 229940067265 pigment yellow 138 Drugs 0.000 description 1
- 239000004417 polycarbonate Substances 0.000 description 1
- 229920000515 polycarbonate Polymers 0.000 description 1
- 229920001225 polyester resin Polymers 0.000 description 1
- 239000004645 polyester resin Substances 0.000 description 1
- 229920006324 polyoxymethylene Polymers 0.000 description 1
- 229920002223 polystyrene Polymers 0.000 description 1
- 229920005749 polyurethane resin Polymers 0.000 description 1
- 229920002451 polyvinyl alcohol Polymers 0.000 description 1
- 229910052700 potassium Inorganic materials 0.000 description 1
- 229910000027 potassium carbonate Inorganic materials 0.000 description 1
- RPDAUEIUDPHABB-UHFFFAOYSA-N potassium ethoxide Chemical compound [K+].CC[O-] RPDAUEIUDPHABB-UHFFFAOYSA-N 0.000 description 1
- BDAWXSQJJCIFIK-UHFFFAOYSA-N potassium methoxide Chemical compound [K+].[O-]C BDAWXSQJJCIFIK-UHFFFAOYSA-N 0.000 description 1
- SBYHFKPVCBCYGV-UHFFFAOYSA-N quinuclidine Chemical compound C1CC2CCN1CC2 SBYHFKPVCBCYGV-UHFFFAOYSA-N 0.000 description 1
- 150000003254 radicals Chemical class 0.000 description 1
- 238000011160 research Methods 0.000 description 1
- 239000011347 resin Substances 0.000 description 1
- 229920005989 resin Polymers 0.000 description 1
- 230000004044 response Effects 0.000 description 1
- 239000004576 sand Substances 0.000 description 1
- 238000007650 screen-printing Methods 0.000 description 1
- 230000035945 sensitivity Effects 0.000 description 1
- 229910052709 silver Inorganic materials 0.000 description 1
- 239000004332 silver Substances 0.000 description 1
- 229910000029 sodium carbonate Inorganic materials 0.000 description 1
- QDRKDTQENPPHOJ-UHFFFAOYSA-N sodium ethoxide Chemical compound [Na+].CC[O-] QDRKDTQENPPHOJ-UHFFFAOYSA-N 0.000 description 1
- 239000007787 solid Substances 0.000 description 1
- 230000007480 spreading Effects 0.000 description 1
- 238000003892 spreading Methods 0.000 description 1
- RWSOTUBLDIXVET-UHFFFAOYSA-O sulfonium Chemical compound [SH3+] RWSOTUBLDIXVET-UHFFFAOYSA-O 0.000 description 1
- RUVINXPYWBROJD-ONEGZZNKSA-N trans-anethole Chemical compound COC1=CC=C(\C=C\C)C=C1 RUVINXPYWBROJD-ONEGZZNKSA-N 0.000 description 1
- 238000012546 transfer Methods 0.000 description 1
- IMFACGCPASFAPR-UHFFFAOYSA-N tributylamine Chemical compound CCCCN(CCCC)CCCC IMFACGCPASFAPR-UHFFFAOYSA-N 0.000 description 1
- WLOQLWBIJZDHET-UHFFFAOYSA-N triphenylsulfonium Chemical class C1=CC=CC=C1[S+](C=1C=CC=CC=1)C1=CC=CC=C1 WLOQLWBIJZDHET-UHFFFAOYSA-N 0.000 description 1
- UIYCHXAGWOYNNA-UHFFFAOYSA-N vinyl sulfide Chemical group C=CSC=C UIYCHXAGWOYNNA-UHFFFAOYSA-N 0.000 description 1
- 229910052727 yttrium Inorganic materials 0.000 description 1
Images
Landscapes
- Inks, Pencil-Leads, Or Crayons (AREA)
- Ink Jet (AREA)
- Ink Jet Recording Methods And Recording Media Thereof (AREA)
Abstract
【課題】 本発明の目的は、硬化性に優れ、色混じりの発生がなく、高精細な画像を安定して記録することができる活性光線硬化型インクジェットインク組成物、活性光線硬化型インクジェットインクセットと、それを用いた画像形成方法及びインクジェット記録装置を提供することである。
【解決手段】 光重合性化合物及び色材を含有する活性光線硬化型インクジェットインク組成物において、該光重合性化合物の少なくとも1種が、下記一般式(A)で表される脂環式エポキシ化合物であって、かつ該一般式(A)により誘導されるジオール構造を有する化合物を、インク組成物の全質量に対して0.1〜10質量%含有することを特徴とする活性光線硬化型インクジェットインク組成物。
【化1】
【選択図】 なし
【解決手段】 光重合性化合物及び色材を含有する活性光線硬化型インクジェットインク組成物において、該光重合性化合物の少なくとも1種が、下記一般式(A)で表される脂環式エポキシ化合物であって、かつ該一般式(A)により誘導されるジオール構造を有する化合物を、インク組成物の全質量に対して0.1〜10質量%含有することを特徴とする活性光線硬化型インクジェットインク組成物。
【化1】
【選択図】 なし
Description
本発明は、高精細な画像を安定して記録することができる活性光線硬化型インクジェットインク組成物、活性光線硬化型インクジェットインクセットと、それを用いた画像形成方法及びインクジェット記録装置に関する。
近年、インクジェット記録方式は簡便・安価に画像を作成できるため、写真、各種印刷、マーキング、カラーフィルター等の特殊印刷等、様々な印刷分野に応用されてきている。特に、微細なドットを出射、制御するインクジェット記録装置や、色再現域、耐久性、出射適性を改良したインクジェットインク及びインクジェットインクの吸収性、色材の発色性、表面光沢等を飛躍的に向上させた専用紙を用い、銀塩写真に匹敵する画質を得ることも可能となっている。今日のインクジェット記録方式の画質向上は、主に、インクジェット記録装置、インクジェットインク及び専用紙の全てがそろって初めて達成されている。
しかしながら、専用紙を必要とするインクジェットシステムは、記録媒体が制限されること、記録媒体のコストアップが問題となる。そこで、専用紙と異なる被転写媒体へインクジェット方式により記録する試みが多数なされている。具体的には、室温で固形のワックスインクを用いる相変化インクジェット方式、速乾性の有機溶剤を主体としたインクを用いるソルベント系インクジェット方式や、記録後に活性光線、例えば、紫外線(UV光)を照射して架橋させる活性光線硬化型インクジェット方式などである。
中でも、活性光線硬化型インクジェット方式は、ソルベント系インクジェット方式に比べ比較的低臭気であり、例えば、特開平6−200204号公報、特表2000−504778号公報等に、紫外線硬化型インクジェットインクが開示されている。
しかしながら、これらの活性光線硬化型インクジェットインクを用いたとしても、記録材料の種類や作業環境によって、着弾後のドット径が大きく変化してしまい、様々な記録材料に対して、高精細な画像を形成することは不可能である。
近年、カチオン重合性化合物を用いた紫外線硬化型インクジェットインクが数多く提案されている。これらの紫外線硬化型インクジェットインクは、酸素阻害作用を受けることはないが、分子レベルの水分(湿度)の影響を受けやすいといった問題がある。また、硬化環境によっては硬化収縮による皺の発生が問題となる。
紫外線硬化型インクジェット方式による画像形成は、安価に高品質の画像が得られること、インクを吸収しない記録材料へも画像形成が可能であることが特徴である。しかしながら、この紫外線硬化型インクジェット方式特有の問題も有する。例えば、インクを吸収しない記録材料への画像形成の場合、着弾したドットが隣接するドットと混ざりあうことによる画像劣化が顕著である。特に、高精細な画像形成を必要とされる場合、着弾した色間でのドット混ざりは大きな問題となる。上記課題に対し、光重合性化合物として、オキシラン化合物、ビニルエーテル化合物、オキセタン化合物を用いた活性光線硬化型インクジェットインクが開示されている(例えば、特許文献1、2参照。)。また、光重合性化合物として、脂環式エポキシ化合物及びオキセタン化合物を用いた活性光線硬化型インクジェットインクが開示されている(例えば、特許文献3、4参照。)。しかしながら、上記各提案されている方法では、ドット滲みを十分に解決されてはいないのが現状である。
一般的な水系インクジェット方式の場合は、専用紙やインク中へ各機能を有する添加剤を用いて、記録材料へのインクの浸透性を向上によりこの問題を解決してきたが、紫外線硬化型インクジェット方式において、インク吸収性を持たない記録材料への画像形成ではいまだ解決方法がないのが現状である。また、高速印刷の場合、形成された画像を巻きとることが多く、特に、形成画像の迅速な硬化特性を有する活性光線硬化型インクジェットインク組成物の開発が望まれる。
特開2001−220526号公報 (請求項、実施例)
特開2002−188025号公報 (請求項、実施例)
特開2002−317139号公報 (請求項、実施例)
特開2003−55449号公報 (請求項、実施例)
本発明は、上記課題に鑑みなされたものであり、その目的は、硬化性に優れ、色混じりの発生がなく、高精細な画像を安定して記録することができる活性光線硬化型インクジェットインク組成物、活性光線硬化型インクジェットインクセットと、それを用いた画像形成方法及びインクジェット記録装置を提供することである。
本発明の上記目的は、以下の構成により達成される。
(請求項1)
光重合性化合物及び色材を含有する活性光線硬化型インクジェットインク組成物において、該光重合性化合物の少なくとも1種が、下記一般式(A)で表される脂環式エポキシ化合物であって、かつ該一般式(A)により誘導されるジオール構造を有する化合物を、インク組成物の全質量に対して0.1〜10質量%含有することを特徴とする活性光線硬化型インクジェットインク組成物。
光重合性化合物及び色材を含有する活性光線硬化型インクジェットインク組成物において、該光重合性化合物の少なくとも1種が、下記一般式(A)で表される脂環式エポキシ化合物であって、かつ該一般式(A)により誘導されるジオール構造を有する化合物を、インク組成物の全質量に対して0.1〜10質量%含有することを特徴とする活性光線硬化型インクジェットインク組成物。
〔式中、R100は置換基を表し、m0は0〜2を表す。r0は1〜3を表す。L0は主鎖に酸素原子または硫黄原子を含んでも良い炭素数1〜15のr0+1価の連結基または単結合を表す。〕
(請求項2)
前記一般式(A)で表される脂環式エポキシ化合物の分子量が、250〜600であることを特徴とする請求項1に記載の活性光線硬化型インクジェットインク組成物。
(請求項2)
前記一般式(A)で表される脂環式エポキシ化合物の分子量が、250〜600であることを特徴とする請求項1に記載の活性光線硬化型インクジェットインク組成物。
(請求項3)
前記一般式(A)で表される脂環式エポキシ化合物が、下記一般式(I)または一般式(II)で表される化合物であることを特徴とする請求項1または2に記載の活性光線硬化型インクジェットインク組成物。
前記一般式(A)で表される脂環式エポキシ化合物が、下記一般式(I)または一般式(II)で表される化合物であることを特徴とする請求項1または2に記載の活性光線硬化型インクジェットインク組成物。
〔式中、R101は置換基を表し、m1は0〜2を表す。r1は1〜3を表す。L1は主鎖に酸素原子または硫黄原子を含んでも良い炭素数1〜15のr1+1価の連結基または単結合を表す。〕
〔式中、R102は置換基を表し、m2は0〜2を表す。r2は1〜3を表す。L2は主鎖に酸素原子または硫黄原子を含んでも良い炭素数1〜15のr2+1価の連結基または単結合を表す。〕
(請求項4)
光重合性化合物及び色材を含有する活性光線硬化型インクジェットインク組成物において、該光重合性化合物の少なくとも1種がエステル結合を2つ以上有する脂環式エポキシ化合物であって、該脂環式エポキシ化合物より誘導されるジオール構造を含有する化合物を、インク組成物の全質量に対して0.1〜10質量%含有することを特徴とする活性光線硬化型インクジェットインク組成物。
(請求項4)
光重合性化合物及び色材を含有する活性光線硬化型インクジェットインク組成物において、該光重合性化合物の少なくとも1種がエステル結合を2つ以上有する脂環式エポキシ化合物であって、該脂環式エポキシ化合物より誘導されるジオール構造を含有する化合物を、インク組成物の全質量に対して0.1〜10質量%含有することを特徴とする活性光線硬化型インクジェットインク組成物。
(請求項5)
前記エステル結合を2つ以上有する脂環式エポキシ化合物が、下記一般式(III)または一般式(IV)で表される化合物であることを特徴とする請求項4に記載の活性光線硬化型インクジェットインク組成物。
前記エステル結合を2つ以上有する脂環式エポキシ化合物が、下記一般式(III)または一般式(IV)で表される化合物であることを特徴とする請求項4に記載の活性光線硬化型インクジェットインク組成物。
〔式中、R200はオキシラン環のα、β位以外の脂肪族基を表し、m3は0〜2を表す。X1は−(CH2)n0−、または−(O)n0−を表し、n0は0または1を表す。p1、q1はそれぞれ0または1を表し、同時に0となることはない。r3は1〜3を表す。L3は主鎖に酸素原子または硫黄原子を含んでいても良い炭素数1〜15のr3+1価の分岐構造を有する連結基または単結合を表す。〕
〔式中、R201はオキシラン環のα、β位以外の脂肪族基を表し、m4は0〜2を表す。X2は−(CH2)n1−、または−(O)n1−を表し、n1は0または1を表す。p2、q2はそれぞれ0または1を表し、同時に0となることはない。r4は1〜3を表す。L4は主鎖に酸素原子または硫黄原子を含んでいても良い炭素数1〜15のr4+1価の分岐構造を有する連結基または単結合を表す。〕
(請求項6)
更にオキセタン化合物を含有することを特徴とする請求項1〜5のいずれか1項に記載の活性光線硬化型インクジェットインク組成物。
(請求項6)
更にオキセタン化合物を含有することを特徴とする請求項1〜5のいずれか1項に記載の活性光線硬化型インクジェットインク組成物。
(請求項7)
前記色材が、顔料であることを特徴とする請求項1〜6のいずれか1項に記載の活性光線硬化型インクジェットインク組成物。
前記色材が、顔料であることを特徴とする請求項1〜6のいずれか1項に記載の活性光線硬化型インクジェットインク組成物。
(請求項8)
前記色材が、油溶性染料であることを特徴とする請求項1〜6のいずれか1項に記載の活性光線硬化型インクジェットインク組成物。
前記色材が、油溶性染料であることを特徴とする請求項1〜6のいずれか1項に記載の活性光線硬化型インクジェットインク組成物。
(請求項9)
25℃におけるインク粘度が、7〜50mPa・sであることを特徴とする請求項1〜8のいずれか1項に記載の活性光線硬化型インクジェットインク組成物。
25℃におけるインク粘度が、7〜50mPa・sであることを特徴とする請求項1〜8のいずれか1項に記載の活性光線硬化型インクジェットインク組成物。
(請求項10)
少なくともイエローの活性光線硬化型インクジェットインク組成物、マゼンタの活性光線硬化型インクジェットインク組成物、シアンの活性光線硬化型インクジェットインク組成物及びブラックの活性光線硬化型インクジェットインク組成物から構成される活性光線硬化型インクジェットインクセットにおいて、該活性光線硬化型インクジェットインク組成物の全てが請求項7〜9のいずれか1項に記載の活性光線硬化型インクジェットインク組成物であることを特徴とする活性光線硬化型インクジェットインクセット。
少なくともイエローの活性光線硬化型インクジェットインク組成物、マゼンタの活性光線硬化型インクジェットインク組成物、シアンの活性光線硬化型インクジェットインク組成物及びブラックの活性光線硬化型インクジェットインク組成物から構成される活性光線硬化型インクジェットインクセットにおいて、該活性光線硬化型インクジェットインク組成物の全てが請求項7〜9のいずれか1項に記載の活性光線硬化型インクジェットインク組成物であることを特徴とする活性光線硬化型インクジェットインクセット。
(請求項11)
インクジェット記録ヘッドより請求項1〜9のいずれか1項に記載の活性光線硬化型インクジェットインク組成物を記録材料上に噴射し、該記録材料上に印刷を行う画像形成方法であって、該活性光線硬化型インクジェットインク組成物が該記録材料上に着弾し、活性光線を照射して硬化した後のインクの総膜厚が2〜25μmであることを特徴とする画像形成方法。
インクジェット記録ヘッドより請求項1〜9のいずれか1項に記載の活性光線硬化型インクジェットインク組成物を記録材料上に噴射し、該記録材料上に印刷を行う画像形成方法であって、該活性光線硬化型インクジェットインク組成物が該記録材料上に着弾し、活性光線を照射して硬化した後のインクの総膜厚が2〜25μmであることを特徴とする画像形成方法。
(請求項12)
インクジェット記録ヘッドより請求項1〜9のいずれか1項に記載の活性光線硬化型インクジェットインク組成物を記録材料上に噴射し、該記録材料上に印刷を行う画像形成方法であって、該インクジェット記録ヘッドの各ノズルより噴射する該活性光線硬化型インクジェットインク組成物の液滴量が2〜20plであることを特徴とする画像形成方法。
インクジェット記録ヘッドより請求項1〜9のいずれか1項に記載の活性光線硬化型インクジェットインク組成物を記録材料上に噴射し、該記録材料上に印刷を行う画像形成方法であって、該インクジェット記録ヘッドの各ノズルより噴射する該活性光線硬化型インクジェットインク組成物の液滴量が2〜20plであることを特徴とする画像形成方法。
(請求項13)
インクジェット記録ヘッドより請求項1〜9のいずれか1項に記載の活性光線硬化型インクジェットインク組成物を記録材料上に噴射し、該記録材料上に印刷を行う画像形成方法であって、該インクジェット記録ヘッドがラインヘッド方式のインクジェット記録ヘッドであることを特徴とする画像形成方法。
インクジェット記録ヘッドより請求項1〜9のいずれか1項に記載の活性光線硬化型インクジェットインク組成物を記録材料上に噴射し、該記録材料上に印刷を行う画像形成方法であって、該インクジェット記録ヘッドがラインヘッド方式のインクジェット記録ヘッドであることを特徴とする画像形成方法。
(請求項14)
請求項11〜13のいずれか1項に記載の画像形成方法に用いるインクジェット記録装置であって、活性光線硬化型インクジェットインク組成物及びインクジェット記録ヘッドを35℃〜100℃に加熱した後、該インクジェット記録ヘッドから該活性光線硬化型インクジェットインク組成物を噴射することを特徴とするインクジェット記録装置。
請求項11〜13のいずれか1項に記載の画像形成方法に用いるインクジェット記録装置であって、活性光線硬化型インクジェットインク組成物及びインクジェット記録ヘッドを35℃〜100℃に加熱した後、該インクジェット記録ヘッドから該活性光線硬化型インクジェットインク組成物を噴射することを特徴とするインクジェット記録装置。
(請求項15)
インクジェット記録ヘッドより請求項10に記載の活性光線硬化型インクジェットインクセットを構成する活性光線硬化型インクジェットインク組成物を記録材料上に噴射し、該記録材料上に印刷を行う画像形成方法であって、該活性光線硬化型インクジェットインクセットを構成する活性光線硬化型インクジェットインク組成物が該記録材料上に着弾し、活性光線を照射して硬化した後のインクの総膜厚が2〜25μmであることを特徴とする画像形成方法。
インクジェット記録ヘッドより請求項10に記載の活性光線硬化型インクジェットインクセットを構成する活性光線硬化型インクジェットインク組成物を記録材料上に噴射し、該記録材料上に印刷を行う画像形成方法であって、該活性光線硬化型インクジェットインクセットを構成する活性光線硬化型インクジェットインク組成物が該記録材料上に着弾し、活性光線を照射して硬化した後のインクの総膜厚が2〜25μmであることを特徴とする画像形成方法。
(請求項16)
インクジェット記録ヘッドより請求項10に記載の活性光線硬化型インクジェットインクセットを構成する活性光線硬化型インクジェットインク組成物を記録材料上に噴射し、該記録材料上に印刷を行う画像形成方法であって、該インクジェット記録ヘッドの各ノズルより噴射する該活性光線硬化型インクジェットインクセットを構成する活性光線硬化型インクジェットインク組成物の液滴量が2〜20plであることを特徴とする画像形成方法。
インクジェット記録ヘッドより請求項10に記載の活性光線硬化型インクジェットインクセットを構成する活性光線硬化型インクジェットインク組成物を記録材料上に噴射し、該記録材料上に印刷を行う画像形成方法であって、該インクジェット記録ヘッドの各ノズルより噴射する該活性光線硬化型インクジェットインクセットを構成する活性光線硬化型インクジェットインク組成物の液滴量が2〜20plであることを特徴とする画像形成方法。
(請求項17)
インクジェット記録ヘッドより請求項10に記載の活性光線硬化型インクジェットインクセットを構成する活性光線硬化型インクジェットインク組成物を記録材料上に噴射し、該記録材料上に印刷を行う画像形成方法であって、該インクジェット記録ヘッドがラインヘッド方式のインクジェット記録ヘッドであることを特徴とする画像形成方法。
インクジェット記録ヘッドより請求項10に記載の活性光線硬化型インクジェットインクセットを構成する活性光線硬化型インクジェットインク組成物を記録材料上に噴射し、該記録材料上に印刷を行う画像形成方法であって、該インクジェット記録ヘッドがラインヘッド方式のインクジェット記録ヘッドであることを特徴とする画像形成方法。
(請求項18)
請求項15〜17のいずれか1項に記載の画像形成方法に用いるインクジェット記録装置であって、活性光線硬化型インクジェットインクセット及びインクジェット記録ヘッドを35℃〜100℃に加熱した後、該インクジェット記録ヘッドより該活性光線硬化型インクジェットインクセットを構成する活性光線硬化型インクジェットインク組成物を噴射することを特徴とするインクジェット記録装置。
請求項15〜17のいずれか1項に記載の画像形成方法に用いるインクジェット記録装置であって、活性光線硬化型インクジェットインクセット及びインクジェット記録ヘッドを35℃〜100℃に加熱した後、該インクジェット記録ヘッドより該活性光線硬化型インクジェットインクセットを構成する活性光線硬化型インクジェットインク組成物を噴射することを特徴とするインクジェット記録装置。
本発明によれば、硬化性に優れ、色混じりの発生がなく、高精細な画像を安定して記録することができる活性光線硬化型インクジェットインク組成物、活性光線硬化型インクジェットインクセットと、それを用いた画像形成方法及びインクジェット記録装置を提供することができる。
以下、本発明を実施するための最良の形態について詳細に説明する。
本発明者らは、上記課題に鑑み鋭意検討を進めた結果、光重合性化合物及び色材を含有する活性光線硬化型インクジェットインク組成物において、該光重合性化合物の少なくとも1種が、前記一般式(A)で表される脂環式エポキシ化合物であって、かつ該一般式(A)により誘導されるジオール構造を有する化合物を、インク組成物の全質量に対して0.1〜10質量%含有すること、あるいはエステル結合を2つ以上有する脂環式エポキシ化合物であって、該脂環式エポキシ化合物より誘導されるジオール構造を含有する化合物を、インク組成物の全質量に対して0.1〜10質量%含有する活性光線硬化型インクジェットインク組成物により、硬化性に優れ、色混じりの発生がなく、高精細な画像を安定して記録することができる活性光線硬化型インクジェットインク組成物を実現できることを見出し、本発明に至った次第である。
以下、本発明の詳細について説明する。
本発明の活性光線硬化型インクジェットインク組成物(以下、本発明のインク組成物ともいう)では、光重合性化合物の少なくとも1種が、前記一般式(A)で表される脂環式エポキシ化合物であることが1つの特徴である。
前記一般式(A)において、R100は置換基を表し、m0は0〜2を表す。r0は1〜3を表す。L0は主鎖に酸素原子または硫黄原子を含んでも良い炭素数1〜15のr0+1価の連結基または単結合を表す。
更に、前記一般式(A)で表される脂環式エポキシ化合物が、前記一般式(I)または(II)で表される脂環式エポキシド化合物であることが好ましい。
前記一般式(I)において、R101は置換基を表し、m1は0〜2を表す。r1は1〜3を表す。L1は主鎖に酸素原子または硫黄原子を含んでも良い炭素数1〜15のr1+1価の連結基または単結合を表す。
前記一般式(II)において、R102は置換基を表し、m2は0〜2を表す。r2は1〜3を表す。L2は主鎖に酸素原子または硫黄原子を含んでも良い炭素数1〜15のr2+1価の連結基または単結合を表す。
一般式(A)、(I)または(II)において、R100、R101、R102、は置換基を表す、置換基の例としては、ハロゲン原子(例えば塩素原子、臭素原子、フッ素原子、等)、炭素数1〜6個のアルキル基(例えば、メチル基、エチル基、プロピル基、イソプロピル基、ブチル基、等)、炭素数1〜6個のアルコキシ基(例えば、メトキシ基、エトキシ基、n−プロポキシ基、iso−プロポキシ基、n−ブトキシ基、tert−ブトキシ基、等)、アシル基(例えばアセチル基、プロピオニル基、トリフルオロアセチル基、等)、アシルオキシ基(例えばアセトキシ基、プロピオニルオキシ基、トリフルオロアセトキシ基、等)、アルコキシカルボニル基(メトキシカルボニル基、エトキシカルボニル基、tert−ブトキシカルボニル基、等)、等が挙げられる。置換基として好ましいのは、アルキル基、アルコキシ基、アルコキシカルボニル基である。
m0、m1、m2、は0〜2を表し、0または1が好ましい。
L0は主鎖に酸素原子または硫黄原子を含んでも良い炭素数1〜15のr0+1価の連結基あるいは単結合を、L1は主鎖に酸素原子または硫黄原子を含んでも良い炭素数1〜15のr1+1価の連結基あるいは単結合を、L2は主鎖に酸素原子または硫黄原子を含んでも良い炭素数1〜15のr2+1価の連結基あるいは単結合を表す。
主鎖に酸素原子または硫黄原子を含んでも良い炭素数1〜15の2価の連結基の例としては以下の基およびこれらの基と−O−基、−S−基、−CO−基、−CS−基を複数組み合わせてできる基を挙げることができる。
メチレン基[−CH2−]
エチリデン基[>CHCH3]、
イソプロピリデン[>C(CH3)2]
1,2−エチレン基[−CH2CH2−]、
1,2−プロピレン基[−CH(CH3)CH2−]、
1,3−プロパンジイル基[−CH2CH2CH2−]、
2,2−ジメチル−1,3−プロパンジイル基[−CH2C(CH3)2CH2−]、
2,2−ジメトキシ−1,3−プロパンジイル基[−CH2C(OCH3)2CH2−]、
2,2−ジメトキシメチル−1,3−プロパンジイル基[−CH2C(CH2OCH3)2CH2−]、
1−メチル−1,3−プロパンジイル基[−CH(CH3)CH2CH2−]、
1,4−ブタンジイル基[−CH2CH2CH2CH2−]、
1,5−ペンタンジイル基[−CH2CH2CH2CH2CH2−]、
オキシジエチレン基[−CH2CH2OCH2CH2−]、
チオジエチレン基[−CH2CH2SCH2CH2−]、
3−オキソチオジエチレン基[−CH2CH2SOCH2CH2−]、
3,3−ジオキソチオジエチレン基[−CH2CH2SO2CH2CH2−]、
1,4−ジメチル−3−オキサ−1,5−ペンタンジイル基[−CH(CH3)CH2O−CH(CH3)CH2−]、
3−オキソペンタンジイル基[−CH2CH2COCH2CH2−]、
1,5−ジオキソ−3−オキサペンタンジイル基[−COCH2OCH2CO−]、
4−オキサ−1,7−ヘプタンジイル基[−CH2CH2CH2OCH2CH2CH2−]、
3,6−ジオキサ−1,8−オクタンジイル基[−CH2CH2OCH2CH2OCH2CH2−]、
1,4,7−トリメチル−3,6−ジオキサ−1,8−オクタンジイル基
[−CH(CH3)CH2O−CH(CH3)CH2OCH(CH3)CH2−]、
5,5−ジメチル−3,7−ジオキサ−1,9−ノナンジイル基[−CH2CH2OCH2C(CH3)2CH2OCH2CH2−]、
5,5−ジメトキシ−3,7−ジオキサ−1,9−ノナンジイル基[−CH2CH2OCH2C(OCH3)2CH2OCH2CH2−]、
5,5−ジメトキシメチル−3,7−ジオキサ−1,9−ノナンジイル基
[−CH2CH2OCH2C(CH2OCH3)2CH2OCH2CH2−]、
4,7−ジオキソ−3,8−ジオキサ−1,10−デカンジイル基[−CH2CH2O−COCH2CH2CO−OCH2CH2−]、
3,8−ジオキソ−4,7−ジオキサ−1,10−デカンジイル基[−CH2CH2CO−OCH2CH2O−COCH2CH2−]、
1,3−シクロペンタンジイル基[−1,3−C5H8−]、
1,2−シクロヘキサンジイル基[−1,2−C6H10−]、
1,3−シクロヘキサンジイル基[−1,3−C6H10−]、
1,4−シクロヘキサンジイル基[−1,4−C6H10−]、
2,5−テトラヒドロフランジイル基[2,5−C4H6O−]
p−フェニレン基[−p−C6H4−]、
m−フェニレン基[−m−C6H4−]、
α,α′−o−キシリレン基[−o−CH2−C6H4−CH2−]、
α,α′−m−キシリレン基[−m−CH2−C6H4−CH2−]、
α,α′−p−キシリレン基[−p−CH2−C6H4−CH2−]、
フラン−2,5−ジイル−ビスメチレン基[2,5−CH2−C4H2O−CH2−]
チオフェン−2,5−ジイル−ビスメチレン基[2,5−CH2−C4H2S−CH2−]
イソプロピリデンビス−p−フェニレン基[−p−C6H4−C(CH3)2−p−C6H4−]
3価以上の連結基としては、上記に挙げた2価の連結基から任意の部位の水素原子を必要なだけ除いてできる基およびそれらと−O−基、−S−基、−CO−基、−CS−基を複数組み合わせてできる基を挙げることができる。
エチリデン基[>CHCH3]、
イソプロピリデン[>C(CH3)2]
1,2−エチレン基[−CH2CH2−]、
1,2−プロピレン基[−CH(CH3)CH2−]、
1,3−プロパンジイル基[−CH2CH2CH2−]、
2,2−ジメチル−1,3−プロパンジイル基[−CH2C(CH3)2CH2−]、
2,2−ジメトキシ−1,3−プロパンジイル基[−CH2C(OCH3)2CH2−]、
2,2−ジメトキシメチル−1,3−プロパンジイル基[−CH2C(CH2OCH3)2CH2−]、
1−メチル−1,3−プロパンジイル基[−CH(CH3)CH2CH2−]、
1,4−ブタンジイル基[−CH2CH2CH2CH2−]、
1,5−ペンタンジイル基[−CH2CH2CH2CH2CH2−]、
オキシジエチレン基[−CH2CH2OCH2CH2−]、
チオジエチレン基[−CH2CH2SCH2CH2−]、
3−オキソチオジエチレン基[−CH2CH2SOCH2CH2−]、
3,3−ジオキソチオジエチレン基[−CH2CH2SO2CH2CH2−]、
1,4−ジメチル−3−オキサ−1,5−ペンタンジイル基[−CH(CH3)CH2O−CH(CH3)CH2−]、
3−オキソペンタンジイル基[−CH2CH2COCH2CH2−]、
1,5−ジオキソ−3−オキサペンタンジイル基[−COCH2OCH2CO−]、
4−オキサ−1,7−ヘプタンジイル基[−CH2CH2CH2OCH2CH2CH2−]、
3,6−ジオキサ−1,8−オクタンジイル基[−CH2CH2OCH2CH2OCH2CH2−]、
1,4,7−トリメチル−3,6−ジオキサ−1,8−オクタンジイル基
[−CH(CH3)CH2O−CH(CH3)CH2OCH(CH3)CH2−]、
5,5−ジメチル−3,7−ジオキサ−1,9−ノナンジイル基[−CH2CH2OCH2C(CH3)2CH2OCH2CH2−]、
5,5−ジメトキシ−3,7−ジオキサ−1,9−ノナンジイル基[−CH2CH2OCH2C(OCH3)2CH2OCH2CH2−]、
5,5−ジメトキシメチル−3,7−ジオキサ−1,9−ノナンジイル基
[−CH2CH2OCH2C(CH2OCH3)2CH2OCH2CH2−]、
4,7−ジオキソ−3,8−ジオキサ−1,10−デカンジイル基[−CH2CH2O−COCH2CH2CO−OCH2CH2−]、
3,8−ジオキソ−4,7−ジオキサ−1,10−デカンジイル基[−CH2CH2CO−OCH2CH2O−COCH2CH2−]、
1,3−シクロペンタンジイル基[−1,3−C5H8−]、
1,2−シクロヘキサンジイル基[−1,2−C6H10−]、
1,3−シクロヘキサンジイル基[−1,3−C6H10−]、
1,4−シクロヘキサンジイル基[−1,4−C6H10−]、
2,5−テトラヒドロフランジイル基[2,5−C4H6O−]
p−フェニレン基[−p−C6H4−]、
m−フェニレン基[−m−C6H4−]、
α,α′−o−キシリレン基[−o−CH2−C6H4−CH2−]、
α,α′−m−キシリレン基[−m−CH2−C6H4−CH2−]、
α,α′−p−キシリレン基[−p−CH2−C6H4−CH2−]、
フラン−2,5−ジイル−ビスメチレン基[2,5−CH2−C4H2O−CH2−]
チオフェン−2,5−ジイル−ビスメチレン基[2,5−CH2−C4H2S−CH2−]
イソプロピリデンビス−p−フェニレン基[−p−C6H4−C(CH3)2−p−C6H4−]
3価以上の連結基としては、上記に挙げた2価の連結基から任意の部位の水素原子を必要なだけ除いてできる基およびそれらと−O−基、−S−基、−CO−基、−CS−基を複数組み合わせてできる基を挙げることができる。
L0、L1、L2は置換基を有していても良い。置換基の例としては、ハロゲン原子(例えば、塩素原子、臭素原子、フッ素原子等)、炭素数1〜6個のアルキル基(例えば、メチル基、エチル基、プロピル基、イソプロピル基、ブチル基等)、炭素数1〜6個のアルコキシ基(例えば、メトキシ基、エトキシ基、n−プロポキシ基、iso−プロポキシ基、n−ブトキシ基、tert−ブトキシ基等)、アシル基(例えば、アセチル基、プロピオニル基、トリフルオロアセチル基等)、アシルオキシ基(例えば、アセトキシ基、プロピオニルオキシ基、トリフルオロアセトキシ基等)、アルコキシカルボニル基(例えば、メトキシカルボニル基、エトキシカルボニル基、tert−ブトキシカルボニル基等)等が挙げられる。置換基として好ましいのは、アルキル基、アルコキシ基、アルコキシカルボニル基である。
L0、L1、L2としては主鎖に酸素原子または硫黄原子を含んでも良い炭素数1〜8の2価の連結基が好ましく、主鎖が炭素のみからなる炭素数1〜5の2価の連結基がより好ましい。
また、本発明において用いられる脂環式エポキシ化合物の分子量は、250〜600の範囲が好ましく、余り分子量が大きいと、インクとしたときに粘度が高くなるため適さない。
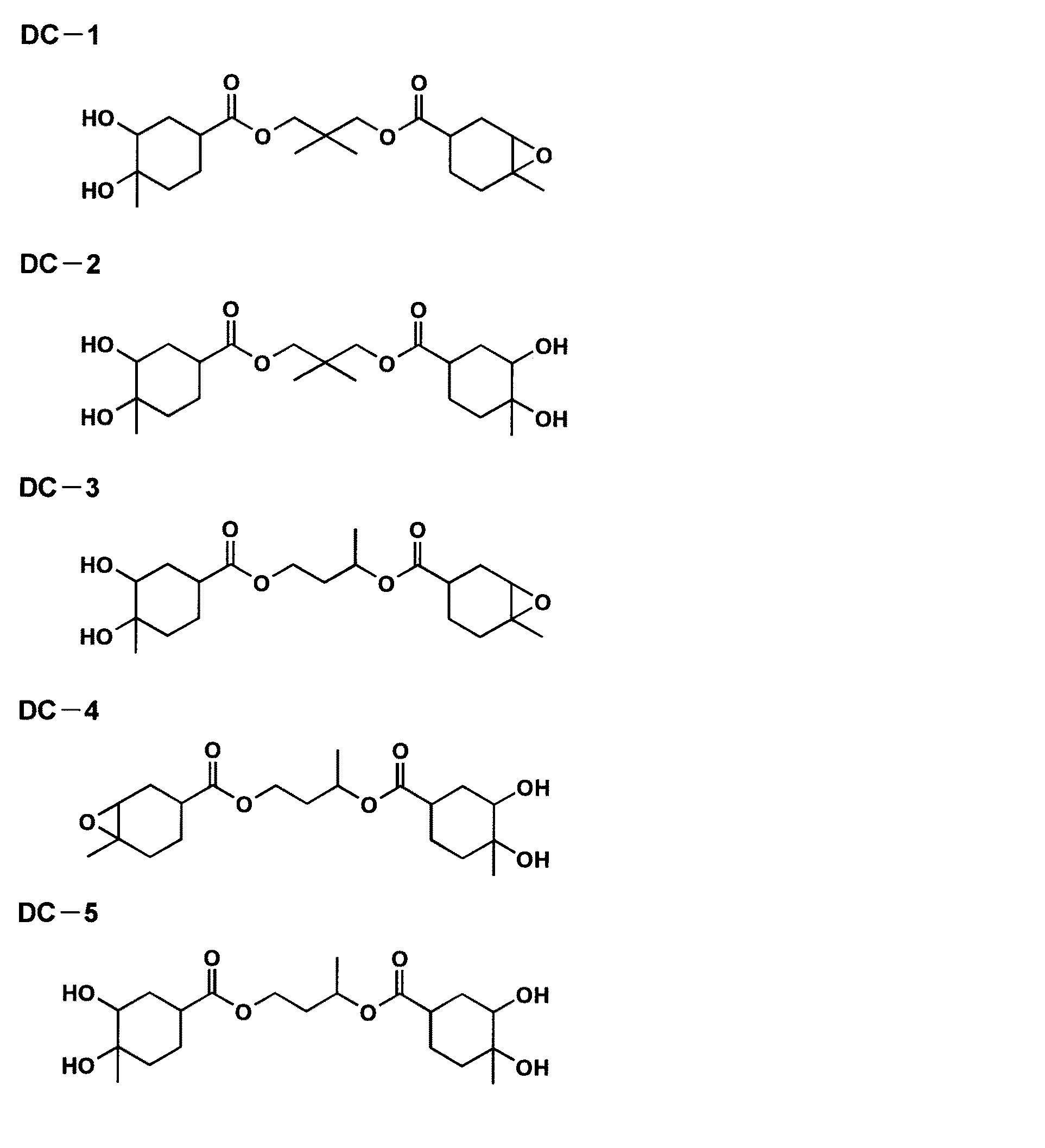
以下、好ましい一般式(A)、(I)または(II)で表される脂環式エポキシ化合物の具体例を示すが、本発明はこれらに限定されるものではない。
上記説明した本発明に係る脂環式エポキシ化合物の添加量としては、インク全質量に対し10〜80質量%含有することが好ましい。10質量%未満であると硬化環境(温度、湿度)により硬化性が著しく変わり使えない。80質量%を超えると、硬化後の膜物性が弱く、使えない。本発明では脂環式エポキシ化合物の1種を単独で使用してもよいが、2種以上を適宜組み合わせて使用してもよい。また、これらの脂環式エポキシ化合物は、その製法は問わないが、例えば、丸善KK出版、第四版実験化学講座20有機合成II、213〜、平成4年、Ed. by Alfred Hasfner, The chemistry of heterocyclic compounds−Small Ring Heterocycles part3 Oxiranes, John & Wiley and Sons, An Interscience Publication, New York, 1985、吉村、接着、29巻12号、32、1985、吉村、接着、30巻5号、42、1986、吉村、接着、30巻7号、42、1986、特開平11−100378号、特許第2906275号、特許第2926262号公報等の文献を参考にして合成できる。
本発明の活性光線硬化型インクジェットインク組成物においては、上記脂環式エポキシ化合物と共に、前記一般式(A)により誘導されるジオール構造を有する化合物を、インク組成物の全質量に対して0.1〜10質量%含有することを特徴とする。
以下、前記一般式(A)より誘導されるジオール基を有する化合物について説明する。本発明に係るジオール基を有する化合物は、従来公知の方法によって前記一般式(A)で表されるエポキシ基を有する化合物より得られるが、前記エポキシ基を有する化合物を酸等により加水分解して得られたものが好ましい。ジオール類であれば類似の効果が得られることが予想されるが、前記一般式(A)で表されるエポキシ基を有する化合物より得られたものであれば、インク組成物中において一般式(A)で表されるエポキシ化合物との相溶性が良好であり、相分離等による添加の弊害が発生しない。
本発明に係る前記一般式(A)より誘導されるジオール基を有する化合物の添加量は、本発明のインク組成物の全質量に対し、0.1〜10質量%含有することが特徴の1つであり、好ましくは0.5〜5質量%である。10質量%を越えて添加すると硬化速度が低下する。また、0.1質量%未満ではジオール化合物の添加による目的効果が得られない。
なお、本発明のインク組成物における前記一般式(A)より誘導されるジオール基を有する化合物は、硬化反応の際の連鎖移動剤として機能していると本発明者らは推測している。従って、その添加により、重合末端で機能しなくなった活性点が再生するが、必要以上に多く添加すると得られる重合物の分子量が小さくなり、実質的に硬化していないことと同じ特性となるため、自ずとその必要添加量が決定される。
以下、一般式(A)より誘導されるジオール基を有する化合物の具体例を示すが、本発明はこれらに限定されるものではない。
本発明の活性光線硬化型インクジェットインク組成物において、光重合性化合物の少なくとも1種がエステル結合を2つ以上有する脂環式エポキシ化合物であることを特徴とし、更に好ましくは前記一般式(III)または一般式(IV)で表される脂環式エポキシ化合物である。
はじめに、前記一般式(III)で表されるエステル結合を2つ以上有する脂環式エポキシ化合物について説明する。
前記一般式(III)において、R200はオキシラン環のα、β位以外の脂肪族基を表し、脂肪族基としては炭素数1〜6個のアルキル基(例えば、メチル基、エチル基、プロピル基、イソプロピル基、ブチル基等)、炭素数3〜6個のシクロアルキル基(例えば、シクロプロピル基、シクロブチル基、シクロペンチル基、シクロヘキシル基等)、炭素数1〜6個のアルケニル基(例えば、ビニル基、1−プロペニル基、2−プロペニル基、2−ブテニル基等)、炭素数1〜6個のアルキニル基(例えば、アセチレニル基、1−プロピニル基、2−プロピニル基、2−ブチニル基等)が挙げられる。好ましくは、炭素数1〜3個のアルキル基であり、メチル基、エチル基がより好ましい。
m3は0〜2を表し、1または2が好ましい。X1は−(CH2)n0−、または−(O)n0−を表す。n0は0または1を表し、n0が0の場合はX1が存在しないことを表し、m3+n0としては1以上であることが好ましい。L3は、主鎖に酸素原子または硫黄原子を含んでも良い炭素数1〜15のr3+1価の分岐構造を有する連結基あるいは単結合を表す。p1、q1はそれぞれ0または1を表し同時に0となることはない。r3は1〜3を表す。
次いで、前記一般式(IV)で表されるエステル結合を2つ以上有する脂環式エポキシ化合物について説明する。
前記一般式(IV)において、R201はオキシラン環のα、β位以外の脂肪族基を表し、脂肪族基としては、炭素数1〜6個のアルキル基(例えば、メチル基、エチル基、プロピル基、イソプロピル基、ブチル基等)、炭素数3〜6個のシクロアルキル基(例えば、シクロプロピル基、シクロブチル基、シクロペンチル基、シクロヘキシル基等)、炭素数1〜6個のアルケニル基(例えば、ビニル基、1−プロペニル基、2−プロペニル基、2−ブテニル基等)、炭素数1〜6個のアルキ二ル基(例えば、アセチレニル基、1−プロピニル基、2−プロピニル基、2−ブチニル基等)が挙げられる。好ましくは、炭素数1〜3個のアルキル基であり、メチル基、エチル基がより好ましい。
m4は0〜2を表し、1または2が好ましい。X2は−(CH2)n1−、または−(O)n1−を表す。n1は0または1を表し、n1が0の場合はX2が存在しないことを表す。m4+n1としてはは1以上が好ましい。p2、q2はそれぞれ0または1を表し、同時に0となることはない。r4は1〜3を表す。
L4は主鎖に酸素原子または硫黄原子を含んでも良い炭素数1〜15のr4+1価の分岐構造を有する連結基あるいは単結合を表す。
前記一般式(III)または(IV)における主鎖に酸素原子または硫黄原子を含んでも良い炭素数1〜15の2価の連結基の例としては、以下の基及びこれらの基と−O−基、−S−基、−CO−基、−CS−基を複数組み合わせてできる基を挙げることができる。
エチリデン基[>CHCH3]、
イソプロピリデン[>C(CH3)2]、
2,2−ジメチル−1,3−プロパンジイル基[−CH2C(CH3)2CH2−]、
2,2−ジメトキシ−1,3−プロパンジイル基[−CH2C(OCH3)2CH2−]、
2,2−ジメトキシメチル−1,3−プロパンジイル基[−CH2C(CH2OCH3)2CH2−]、
1−メチル−1,3−プロパンジイル基[−CH(CH3)CH2CH2−]、
1,4−ジメチル−3−オキサ−1,5−ペンタンジイル基[−CH(CH3)CH2OCH(CH3)CH2−]、
1,4,7−トリメチル−3,6−ジオキサ−1,8−オクタンジイル基[−CH(CH3)CH2OCH(CH3)CH2OCH(CH3)CH2−]、
5,5−ジメチル−3,7−ジオキサ−1,9−ノナンジイル基[−CH2CH2OCH2C(CH3)2CH2OCH2CH2−]、
5,5−ジメトキシ−3,7−ジオキサ−1,9−ノナンジイル基[−CH2CH2OCH2C(OCH3)−]、
5,5−ジメトキシメチル−3,7−ジオキサ−1,9−ノナンジイル基[−CH2CH2OCH2C(CH2OCH3)2CH2OCH2CH2−]、
イソプロピリデンビス−p−フェニレン基[−p−C6H4−C(CH3)2−p−C6H4−]。
イソプロピリデン[>C(CH3)2]、
2,2−ジメチル−1,3−プロパンジイル基[−CH2C(CH3)2CH2−]、
2,2−ジメトキシ−1,3−プロパンジイル基[−CH2C(OCH3)2CH2−]、
2,2−ジメトキシメチル−1,3−プロパンジイル基[−CH2C(CH2OCH3)2CH2−]、
1−メチル−1,3−プロパンジイル基[−CH(CH3)CH2CH2−]、
1,4−ジメチル−3−オキサ−1,5−ペンタンジイル基[−CH(CH3)CH2OCH(CH3)CH2−]、
1,4,7−トリメチル−3,6−ジオキサ−1,8−オクタンジイル基[−CH(CH3)CH2OCH(CH3)CH2OCH(CH3)CH2−]、
5,5−ジメチル−3,7−ジオキサ−1,9−ノナンジイル基[−CH2CH2OCH2C(CH3)2CH2OCH2CH2−]、
5,5−ジメトキシ−3,7−ジオキサ−1,9−ノナンジイル基[−CH2CH2OCH2C(OCH3)−]、
5,5−ジメトキシメチル−3,7−ジオキサ−1,9−ノナンジイル基[−CH2CH2OCH2C(CH2OCH3)2CH2OCH2CH2−]、
イソプロピリデンビス−p−フェニレン基[−p−C6H4−C(CH3)2−p−C6H4−]。
3価以上の連結基としては以上に挙げた2価の連結基から任意の部位の水素原子を必要なだけ除いてできる基およびそれらと−O−基、−S−基、−CO−基、−CS−基を複数組み合わせてできる基を挙げることができる。
L3、L4は置換基を有していてもよい。置換基の例としては、ハロゲン原子(例えば、塩素原子、臭素原子、フッ素原子、等)、炭素数1〜6個のアルキル基(例えば、メチル基、エチル基、プロピル基、イソプロピル基、ブチル基、等)、炭素数1〜6個のアルコキシ基(例えば、メトキシ基、エトキシ基、n−プロポキシ基、iso−プロポキシ基、n−ブトキシ基、tert−ブトキシ基、等)、アシル基(例えば、アセチル基、プロピオニル基、トリフルオロアセチル基、等)、アシルオキシ基(例えば、アセトキシ基、プロピオニルオキシ基、トリフルオロアセトキシ基、等)、アルコキシカルボニル基(例えば、メトキシカルボニル基、エトキシカルボニル基、tert−ブトキシカルボニル基、等)等が挙げられる。置換基として好ましいのは、ハロゲン原子、アルキル基、アルコキシ基である。
以下に、好ましい一般式(III)、(IV)で表される脂環式エポキシド化合物の具体例を示すが、本発明はこれらに限定されるものではない。
エステル結合を2つ以上有する脂環式エポキシ化合物の添加量としては、10〜80質量%含有することが好ましい。10質量%未満であると、硬化環境(温度、湿度)により硬化性が著しく変わってしまい使えない。80質量%を超えると、硬化後の膜物性が弱く使えない。本発明では、脂環式エポキシ化合物の1種を単独で使用してもよいが、2種以上を適宜組み合わせて使用してもよい。
また、これらのエステル結合を2つ以上有する脂環式エポキシ化合物はその製法は問わないが、例えば、丸善KK出版、第四版実験化学講座20有機合成II、213〜、平成4年、Ed.by Alfred Hasfner,The chemistry of heterocyclic compounds−Small Ring Heterocycles part3 Oxiranes,John & Wiley and Sons,An Interscience Publication,New York,1985、吉村、接着、29巻12号、32、1985、吉村、接着、30巻5号、42、1986、吉村、接着、30巻7号、42、1986、特開平11−100378号、特許2906245号、特許2926262号の各公報等の文献を参考にして合成できる。
本発明の活性光線硬化型インクジェットインク組成物においては、上記エステル結合を2つ以上有する脂環式エポキシ化合物と共に、該脂環式エポキシ化合物より誘導されるジオール構造を含有する化合物を、インク組成物の全質量に対して0.1〜10質量%含有することを特徴とする。
以下、本発明に係るエステル結合を2つ以上有する脂環式エポキシ化合物より誘導されるジオール基を有する化合物について説明する。
本発明に係るジオール化合物は、従来公知の方法によってエステル結合を2つ以上有する化合物より得られるが、前記エステル結合を2つ以上有する脂環式エポキシ化合物を酸等により加水分解して得られたものが好ましい。ジオール類であれば類似の効果が得られることが予想されるが、前記エステル結合を2つ以上有する脂環式エポキシ化合物より得られたものであれば、インク組成物中においてエステル結合を2つ以上有する脂環式エポキシ化合物との相溶性が良好であり、相分離等による添加の弊害が発生しない。
エステル結合を2つ以上有する脂環式エポキシ化合物より誘導されるジオール基を有する化合物の添加量としては0.1〜10質量%含有することが特徴であり、好ましくは0.5〜5質量%である。10質量%を越えて添加すると硬化速度が低下し、また0.1質量%未満では添加による効果が得られない。従って、その添加により、重合末端で機能しなくなった活性点が再生するが、必要以上に多く添加すると得られる重合物の分子量が小さくなり、実質的に硬化していないことと同じ特性となるため、自ずとその必要添加量が決定される。
以下、エステル結合を2つ以上有する脂環式エポキシ化合物より誘導されるジオール基を有する化合物の具体例を示すが、本発明はこれらに限定されるものではない。
本発明の活性光線硬化型インクジェットインク組成物においては、光重合性化合物として、上記説明した前記一般式(A)で表される脂環式エポキシ化合物またはエステル結合を2つ以上有する脂環式エポキシ化合物の他に、公知の光重合性化合物を併せて用いることもできる。
本発明で用いることのできるその他の光重合性化合物としては、カチオン重合により高分子化の起こるタイプで、(1)スチレン誘導体、(2)ビニルナフタレン誘導体、(3)ビニルエーテル類、(4)N−ビニル化合物及び(5)オキセタン環を有する化合物等を挙げることができるが、その中でも、オキセタン環を有する化合物を併用することが好ましい。
(1)スチレン誘導体
例えば、スチレン、p−メチルスチレン、p−メトキシスチレン、β−メチルスチレン、p−メチル−β−メチルスチレン、α−メチルスチレン、p−メトキシ−β−メチルスチレン等
(2)ビニルナフタレン誘導体
例えば、1−ビニルナフタレン、α−メチル−1−ビニルナフタレン、β−メチル−1−ビニルナフタレン、4−メチル−1−ビニルナフタレン、4−メトキシ−1−ビニルナフタレン等
(3)ビニルエーテル類
例えば、イソブチルエーテル、エチルビニルエーテル、フェニルビニルエーテル、p−メチルフェニルビニルエーテル、p−メトキシフェニルビニルエーテル、α−メチルフェニルビニルエーテル、β−メチルイソブチルビニルエーテル、β−クロロイソブチルビニルエーテル等
(4)N−ビニル化合物類
例えば、N−ビニルカルバゾール、N−ビニルピロリドン、N−ビニルインドール、N−ビニルピロール、N−ビニルフェノチアジン、N−ビニルアセトアニリド、N−ビニルエチルアセトアミド、N−ビニルスクシンイミド、N−ビニルフタルイミド、N−ビニルカプロラクタム、N−ビニルイミダゾール等
(5)オキセタン環を有する化合物
オキセタン環を有する化合物としては、特開2001−220526号公報、同2001−310937号公報に紹介されているような公知のあらゆるオキセタン化合物を使用できる。また、オキセタン環を1個含有する単官能オキセタン化合物とオキセタン環を2個以上含有する多官能オキセタン化合物とを併用することが、硬化後の膜強度と記録材料への密着性を向上させる上で好ましい。ただし、オキセタン環を5個以上有する化合物を使用すると、インク組成物の粘度が高くなるため、取扱いが困難になったり、またインク組成物のガラス転移温度が高くなるため、得られる硬化物の粘着性が十分でなくなってしまう。本発明で使用するオキセタン環を有する化合物は、オキセタン環を1〜4個有する化合物が好ましい。
例えば、スチレン、p−メチルスチレン、p−メトキシスチレン、β−メチルスチレン、p−メチル−β−メチルスチレン、α−メチルスチレン、p−メトキシ−β−メチルスチレン等
(2)ビニルナフタレン誘導体
例えば、1−ビニルナフタレン、α−メチル−1−ビニルナフタレン、β−メチル−1−ビニルナフタレン、4−メチル−1−ビニルナフタレン、4−メトキシ−1−ビニルナフタレン等
(3)ビニルエーテル類
例えば、イソブチルエーテル、エチルビニルエーテル、フェニルビニルエーテル、p−メチルフェニルビニルエーテル、p−メトキシフェニルビニルエーテル、α−メチルフェニルビニルエーテル、β−メチルイソブチルビニルエーテル、β−クロロイソブチルビニルエーテル等
(4)N−ビニル化合物類
例えば、N−ビニルカルバゾール、N−ビニルピロリドン、N−ビニルインドール、N−ビニルピロール、N−ビニルフェノチアジン、N−ビニルアセトアニリド、N−ビニルエチルアセトアミド、N−ビニルスクシンイミド、N−ビニルフタルイミド、N−ビニルカプロラクタム、N−ビニルイミダゾール等
(5)オキセタン環を有する化合物
オキセタン環を有する化合物としては、特開2001−220526号公報、同2001−310937号公報に紹介されているような公知のあらゆるオキセタン化合物を使用できる。また、オキセタン環を1個含有する単官能オキセタン化合物とオキセタン環を2個以上含有する多官能オキセタン化合物とを併用することが、硬化後の膜強度と記録材料への密着性を向上させる上で好ましい。ただし、オキセタン環を5個以上有する化合物を使用すると、インク組成物の粘度が高くなるため、取扱いが困難になったり、またインク組成物のガラス転移温度が高くなるため、得られる硬化物の粘着性が十分でなくなってしまう。本発明で使用するオキセタン環を有する化合物は、オキセタン環を1〜4個有する化合物が好ましい。
本発明のインク組成物においては、25℃における粘度が7〜50mPa・sであることが、硬化環境(温度・湿度)に関係なくインクジェットヘッドからの吐出が安定し、良好な硬化性を得るために好ましい。
本発明のインク組成物においては、色材として各種公知の顔料を含有することが好ましい。本発明で好ましく用いることのできる顔料を、以下に列挙する。
〈C.I.Pigment Yellow〉
1、2、3、12、13、14、16、17、73、74、75、81、83、87、93、95、97、98、109、114、120、128、129、138、151、154
〈C.I.Pigment Red〉
5、7、12、22、38、48:1、48:2、48:4、49:1、53:1、57:1、63:1、101、112、122、123、144、146、168、184、185、202
〈C.I.Pigment Violet〉
19、23
〈C.I.Pigment Blue〉
1、2、3、15:1、15:2、15:3、15:4、18、22、27、29、60
〈C.I.Pigment Green〉
7、36
〈C.I.Pigment White〉
6、18、21
〈C.I.Pigment Black〉
7
更に、カーボンブラック顔料としては、三菱化成社製のNo.2300、No.900、MCF−88、No.33、No.40、No.45、No.52、MA7、MA8、MA100、No.2200B、コロンビア社製のRave 700、Raven 5750、Raven 5250、Raven 5000、Raven 3500、Raven 1255、キャボット社製のRegal 400R、Regal 330R、Regal 660R、Mogul L、Monarch 700、Monarch 800、Monarch 880、Monarch 900、Monarch 1000、Monarch 1100、Monarch 1300、Monarch 1400、デグサ社製のColorBlack FW1、Color Black FW2、Color Black FW2V、Color Black FW18、Color Black FW200、Color Black S150、Color BlackS160、Color Black S170、Printex 35、Printex U、Printex V、Printex 140U、Printex 140V、Special Black 6、Special Black5、Special Black 4A、Special Black 4、関西熱化学(株)社製のマックスソーブ G−40、マックスソーブ G−15、マックスソーブ G−08等を使用することが出来る。
1、2、3、12、13、14、16、17、73、74、75、81、83、87、93、95、97、98、109、114、120、128、129、138、151、154
〈C.I.Pigment Red〉
5、7、12、22、38、48:1、48:2、48:4、49:1、53:1、57:1、63:1、101、112、122、123、144、146、168、184、185、202
〈C.I.Pigment Violet〉
19、23
〈C.I.Pigment Blue〉
1、2、3、15:1、15:2、15:3、15:4、18、22、27、29、60
〈C.I.Pigment Green〉
7、36
〈C.I.Pigment White〉
6、18、21
〈C.I.Pigment Black〉
7
更に、カーボンブラック顔料としては、三菱化成社製のNo.2300、No.900、MCF−88、No.33、No.40、No.45、No.52、MA7、MA8、MA100、No.2200B、コロンビア社製のRave 700、Raven 5750、Raven 5250、Raven 5000、Raven 3500、Raven 1255、キャボット社製のRegal 400R、Regal 330R、Regal 660R、Mogul L、Monarch 700、Monarch 800、Monarch 880、Monarch 900、Monarch 1000、Monarch 1100、Monarch 1300、Monarch 1400、デグサ社製のColorBlack FW1、Color Black FW2、Color Black FW2V、Color Black FW18、Color Black FW200、Color Black S150、Color BlackS160、Color Black S170、Printex 35、Printex U、Printex V、Printex 140U、Printex 140V、Special Black 6、Special Black5、Special Black 4A、Special Black 4、関西熱化学(株)社製のマックスソーブ G−40、マックスソーブ G−15、マックスソーブ G−08等を使用することが出来る。
また、本発明においては、プラスチックフィルムのような透明記録材料での色の隠蔽性を上げる為に、白インクを用いることができる。特に、軟包装印刷、ラベル印刷においては、白インクを用いることが好ましいが、吐出量が多くなるため、前述した吐出安定性、記録材料のカール・しわの発生の観点から、自ずと使用量に関しては制限がある。
上記顔料の分散には、例えば、ボールミル、サンドミル、アトライター、ロールミル、アジテータ、ヘンシェルミキサ、コロイドミル、超音波ホモジナイザー、パールミル、湿式ジェットミル、ペイントシェーカー等を用いることができる。また、顔料の分散を行う際に、分散剤を添加することも可能である。分散剤としては、高分子分散剤を用いることが好ましく、高分子分散剤としてはAvecia社のSolsperseシリーズや、味の素ファインテクノ社のPBシリーズが挙げられる。また、分散助剤として、各種顔料に応じたシナージストを用いることも可能である。これらの分散剤および分散助剤は、顔料100質量部に対し、1〜50質量部添加することが好ましい。分散媒体は、溶剤または重合性化合物を用いて行うが、本発明に用いる照射線硬化型インクでは、インク着弾直後に反応・硬化させるため、無溶剤であることが好ましい。溶剤が硬化画像に残ってしまうと、耐溶剤性の劣化、残留する溶剤のVOCの問題が生じる。よって、分散媒体は溶剤では無く重合性化合物、その中でも最も粘度の低いモノマーを選択することが分散適性上好ましい。
顔料の分散は、顔料粒子の平均粒径を0.08〜0.5μmとすることが好ましく、最大粒径は0.3〜10μm、好ましくは0.3〜3μmとなるよう、顔料、分散剤、分散媒体の選定、分散条件、ろ過条件を適宜設定する。この粒径管理によって、ヘッドノズルの詰まりを抑制し、インクの保存安定性、インク透明性および硬化感度を維持することができる。顔料濃度としては、組成物全体の1質量%乃至10質量%であることが好ましい。
本発明のインク組成物においては、色材として各種公知の染料を用いることが好ましい。
本発明で好ましく用いることのできる染料を、以下に列挙する。
染料としてはアゾ染料、アゾメチン染料、キノン染料、フタロシアニン染料、メチン染料等種々のものが使用可能である。
〈C.I.Solvent Yellow〉
1、2、3、4、14、16、19、29、56、79、82、83、88
〈C.I.Solvent Red〉
1、18、24、27、43、51、72、73、84、132、218
〈C.I.Solvent Violet〉
3
〈C.I.Solvent Blue〉
1、2、11、35、40、44、67、70
〈C.I.Solvent Green〉
3
〈C.I.Solvent Black〉
3、7、22、27、29、34、43、70
〈C.I.Disperse Yellow〉
5、42、54、64、79、82、93、99、100、119、122、124、126、160、184:1、186、198、199、204、224、237
〈C.I.Disperse Orange〉
13、29、31:1、33、49、54、55、66、73、118、119、163
〈C.I.Disperse Red〉
54、60、72、73、86、88、91、92、93、111、126、127、134、143、145、152、153、154、159、164、167:1、177、181、204、206、207、221、239、240、258、277、278、283、311、323、343、348、356、362
〈C.I.Disperse Violet〉
33
〈C.I.Disperse Blue〉
56、60、73、87、113、128、143、148、154、158、165、165:1、165:2、176、183、185、197、198、201、214、224、225、257、266、267、287、354、358、365、368
〈C.I.Disperse Green〉
6:1、9
また、上記油溶性染料に加えて、オリエント化学工業株式会社製のValifast Yellow 4120、Valifast Yellow 3150、Valifast Yellow 3108、Valifast Yellow 2310N、Valifast Yellow 1101、Valifast Red 3320、Valifast Red 3304、Valifast Red 1306、Valifast Blue 2610、Valifast Blue2606、Valifast Blue 1603、Oil Yellow GG−S、Oil Yellow 3G、Oil Yellow 129、Oil Yellow 107、Oil Yellow 105、Oil Scarlet 308、Oil Red RR、Oil Red OG、Oil Red 5B、Oil Pink 312、Oil Blue BOS、Oil Blue 613、Oil Blue 2N、Oil Black BY、OilBlack BS、Oil Black 860、Oil Black 5970、Oil Black 5906、Oil Black 5905、日本化薬株式会社製のKayaset Yellow SF−G、Kayaset Yellow K−CL、Kayaset Yellow GN、KayasetYellow A−G、Kayaset Yellow 2G、Kayaset Red SF−4G、Kayaset Red K−BL、Kayaset Red A−BR、Kayaset Magenta 312、Kayaset Blue K−FL、有本化学工業株式会社製のFS Yellow 1015、FS Magenta 1404、FS Cyan 1522、FS Blue 1504等も使用可能である。
1、2、3、4、14、16、19、29、56、79、82、83、88
〈C.I.Solvent Red〉
1、18、24、27、43、51、72、73、84、132、218
〈C.I.Solvent Violet〉
3
〈C.I.Solvent Blue〉
1、2、11、35、40、44、67、70
〈C.I.Solvent Green〉
3
〈C.I.Solvent Black〉
3、7、22、27、29、34、43、70
〈C.I.Disperse Yellow〉
5、42、54、64、79、82、93、99、100、119、122、124、126、160、184:1、186、198、199、204、224、237
〈C.I.Disperse Orange〉
13、29、31:1、33、49、54、55、66、73、118、119、163
〈C.I.Disperse Red〉
54、60、72、73、86、88、91、92、93、111、126、127、134、143、145、152、153、154、159、164、167:1、177、181、204、206、207、221、239、240、258、277、278、283、311、323、343、348、356、362
〈C.I.Disperse Violet〉
33
〈C.I.Disperse Blue〉
56、60、73、87、113、128、143、148、154、158、165、165:1、165:2、176、183、185、197、198、201、214、224、225、257、266、267、287、354、358、365、368
〈C.I.Disperse Green〉
6:1、9
また、上記油溶性染料に加えて、オリエント化学工業株式会社製のValifast Yellow 4120、Valifast Yellow 3150、Valifast Yellow 3108、Valifast Yellow 2310N、Valifast Yellow 1101、Valifast Red 3320、Valifast Red 3304、Valifast Red 1306、Valifast Blue 2610、Valifast Blue2606、Valifast Blue 1603、Oil Yellow GG−S、Oil Yellow 3G、Oil Yellow 129、Oil Yellow 107、Oil Yellow 105、Oil Scarlet 308、Oil Red RR、Oil Red OG、Oil Red 5B、Oil Pink 312、Oil Blue BOS、Oil Blue 613、Oil Blue 2N、Oil Black BY、OilBlack BS、Oil Black 860、Oil Black 5970、Oil Black 5906、Oil Black 5905、日本化薬株式会社製のKayaset Yellow SF−G、Kayaset Yellow K−CL、Kayaset Yellow GN、KayasetYellow A−G、Kayaset Yellow 2G、Kayaset Red SF−4G、Kayaset Red K−BL、Kayaset Red A−BR、Kayaset Magenta 312、Kayaset Blue K−FL、有本化学工業株式会社製のFS Yellow 1015、FS Magenta 1404、FS Cyan 1522、FS Blue 1504等も使用可能である。
本発明のインク組成物においては、上記油溶性染料の濃度としては、インク組成物全体の1質量%乃至15質量%であることが好ましい。
本発明の活性光線硬化型インクには、上記説明した以外に様々な添加剤を用いることができる。例えば、界面活性剤、レベリング添加剤、マット剤、膜物性を調整するためのポリエステル系樹脂、ポリウレタン系樹脂、ビニル系樹脂、アクリル系樹脂、ゴム系樹脂、ワックス類を添加することができる。また、保存安定性を改良する目的で、公知のあらゆる塩基性化合物を用いることができるが、代表的なものとして、塩基性アルカリ金属化合物、塩基性アルカリ土類金属化合物、アミンなどの塩基性有機化合物などがあげられる。また、ラジカル重合性モノマーと開始剤を組み合わせ、ラジカル・カチオンのハイブリッド型硬化インクとすることも可能である。
塩基性化合物も添加することができる。塩基性化合物を含有することで、吐出安定性が良好となるばかりでなく、低湿下においても硬化収縮による皺の発生が抑制される。
塩基性化合物としては、公知のあらゆるものを用いることができるが、代表的なものとして、塩基性アルカリ金属化合物、塩基性アルカリ土類金属化合物、アミンなどの塩基性有機化合物などがあげられる。
塩基性化合物としては、公知のあらゆるものを用いることができるが、代表的なものとして、塩基性アルカリ金属化合物、塩基性アルカリ土類金属化合物、アミンなどの塩基性有機化合物などがあげられる。
前記の塩基性アルカリ金属化合物としては、アルカリ金属の水酸化物(水酸化リチウム、水酸化ナトリウム、水酸化カリウム等)、アルカリ金属の炭酸塩(炭酸リチウム、炭酸ナトリウム、炭酸カリウム等)、アルカリ金属のアルコラート(ナトリウムメトキシド、ナトリウムエトキシド、カリウムメトキシド、カリウムエトキシド等)が挙げられる。
前記の塩基性アルカリ土類金属化合物としては、同様に、アルカリ土類金属の水酸化物(水酸化マグネシウム、水酸化カルシウム等)、アルカリ金属の炭酸塩(炭酸マグネシウム、炭酸カルシウム等)、アルカリ金属のアルコラート(マグネシウムメトキシド等)が挙げられる。
塩基性有機化合物としては、アミンならびにキノリンおよびキノリジンなど含窒素複素環化合物などが挙げられるが、これらの中でも、光重合成モノマーとの相溶性の面からアミンが好ましく、例えば、オクチルアミン、ナフチルアミン、キシレンジアミン、ジベンジルアミン、ジフェニルアミン、ジブチルアミン、ジオクチルアミン、ジメチルアニリン、キヌクリジン、トリブチルアミン、トリオクチルアミン、テトラメチルエチレンジアミン、テトラメチル−1,6−ヘキサメチレンジアミン、ヘキサメチレンテトラミンおよびトリエタノールアミンなどが挙げられる。
塩基性化合物を存在させる際のその濃度は、光重合性モノマーの総量に対して10〜1000質量ppm、特に20〜500質量ppmの範囲であることが好ましい。なお、塩基性化合物は単独で使用しても複数を併用して使用してもよい。
さらに、インクタンク、配管、ヘッド内等インク状態での硬化を抑制するために水を添加することもできる。水の添加量としては組成物全体の0.1質量%以上8質量%未満が好ましい。
本発明のインク組成物には、公知のあらゆる光酸発生剤を用いることができる。
光酸発生剤としては、例えば、化学増幅型フォトレジストや光カチオン重合に利用される化合物が用いられる(有機エレクトロニクス材料研究会編、「イメージング用有機材料」、ぶんしん出版(1993年)、187〜192ページ参照)。本発明に好適な化合物の例を以下に挙げる。
第1に、ジアゾニウム、アンモニウム、ヨードニウム、スルホニウム、ホスホニウムなどの芳香族オニウム化合物のB(C6F5)4-、PF6 -、AsF6 -、SbF6 -、CF3SO3 -塩を挙げることができる。
本発明で用いることのできるオニウム化合物の具体的な例を、以下に示す。
第2に、スルホン酸を発生するスルホン化物を挙げることができ、その具体的な化合物を、以下に例示する。
第3に、ハロゲン化水素を光発生するハロゲン化物も用いることができ、以下にその具体的な化合物を例示する。
第4に、鉄アレン錯体を挙げることができる。
本発明で用いることのできる記録材料としては、通常の非コート紙、コート紙などの他、いわゆる軟包装に用いられる各種非吸収性のプラスチックおよびそのフィルムを用いることができ、各種プラスチックフィルムとしては、例えば、ポリエチレンテレフタレート(PET)フィルム、延伸ポリスチレン(OPS)フィルム、延伸ポリプロピレン(OPP)フィルム、延伸ナイロン(ONy)フィルム、ポリ塩化ビニル(PVC)フィルム、ポリエチレン(PE)フィルム、トリアセチルセルロース(TAC)フィルムを挙げることができる。その他のプラスチックとしては、ポリカーボネート、アクリル樹脂、ABS、ポリアセタール、PVA、ゴム類などが使用できる。また、金属類や、ガラス類にも適用可能である。これらの記録材料の中でも、特に熱でシュリンク可能な、PETフィルム、OPSフィルム、OPPフィルム、ONyフィルム、PVCフィルムへ画像を形成する場合に本発明の構成は、有効となる。これらの基材は、インクの硬化収縮、硬化反応時の発熱などにより、フィルムのカール、変形が生じやすいばかりでなく、インク膜が基材の収縮に追従し難い。
これら各種プラスチックフィルムの表面エネルギーは、素材の特性により大きく異なり、記録材料によってはインク着弾後のドット径が変わってしまうことが、従来から問題となっていた。本発明の構成では、表面エネルギーの低いOPPフィルム、OPSフィルムや表面エネルギーの比較的大きいPETまでを含む、表面エネルギーが35〜60mN/mの広範囲の記録材料に良好な高精細な画像を形成できる。
本発明において、包装の費用や生産コスト等の記録材料のコスト、プリントの作製効率、各種のサイズのプリントに対応できる等の点で、長尺(ウェブ)な記録材料を使用する方が有利である。
本発明の活性光線硬化型インクジェットインクセットでは、少なくともイエローの活性光線硬化型インクジェットインク組成物、マゼンタの活性光線硬化型インクジェットインク組成物、シアンの活性光線硬化型インクジェットインク組成物及びブラックの活性光線硬化型インクジェットインク組成物から構成される活性光線硬化型インクジェットインクセットにおいて、上記活性光線硬化型インクジェットインク組成物の全てが本発明の活性光線硬化型インクジェットインク組成物であることを特徴とし、本発明の活性光線硬化型インクジェットインクセットを用いてインクジェット画像を形成すると、色混じりの解決された画像を形成することができる。
さらにインクジェットで写真画像を形成するために、色材含有量を各々変化させたいわゆる濃淡インクを調製して用いることもできる。また、必要に応じて、赤、緑、青、白等の特色インクを用いることも色再現上好ましい。
次に、本発明の画像形成方法について説明する。
本発明の画像形成方法においては、上記のインクをインクジェット記録方式により記録材料上に吐出、描画し、次いで紫外線などの活性光線を照射してインクを硬化させる方法が好ましい。
(インク着弾後の総インク膜厚)
本発明では、記録材料上にインクが着弾し、活性光線を照射して硬化した後の総インク膜厚が2〜25μmであることが好ましい。スクリーン印刷分野の活性光線硬化型インクジェット記録では、総インク膜厚が25μmを越えているのが現状であるが、記録材料が薄いプラスチック材料であることが多い軟包装印刷分野では、前述した記録材料のカール・皺の問題でだけでなく、印刷物全体のこし・質感が変わってしまうという問題が有るため、過剰な膜厚のインク吐出は好ましくない。
本発明では、記録材料上にインクが着弾し、活性光線を照射して硬化した後の総インク膜厚が2〜25μmであることが好ましい。スクリーン印刷分野の活性光線硬化型インクジェット記録では、総インク膜厚が25μmを越えているのが現状であるが、記録材料が薄いプラスチック材料であることが多い軟包装印刷分野では、前述した記録材料のカール・皺の問題でだけでなく、印刷物全体のこし・質感が変わってしまうという問題が有るため、過剰な膜厚のインク吐出は好ましくない。
尚、ここで「総インク膜厚」とは記録材料に描画されたインクの膜厚の最大値を意味し、単色でも、それ以外の2色重ね(2次色)、3色重ね、4色重ね(白インクベース)のインクジェット記録方式で記録を行った場合でも総インク膜厚の意味するところは同様である。
(インクの吐出条件)
インクの吐出条件としては、記録ヘッド及びインクを35〜100℃に加熱し、吐出することが吐出安定性の点で好ましい。活性光線硬化型インクは、温度変動による粘度変動幅が大きく、粘度変動はそのまま液滴サイズ、液滴射出速度に大きく影響を与え、画質劣化を起こすため、インク温度を上げながらその温度を一定に保つことが必要である。インク温度の制御幅としては、設定温度±5℃、好ましくは設定温度±2℃、更に好ましくは設定温度±1℃である。
インクの吐出条件としては、記録ヘッド及びインクを35〜100℃に加熱し、吐出することが吐出安定性の点で好ましい。活性光線硬化型インクは、温度変動による粘度変動幅が大きく、粘度変動はそのまま液滴サイズ、液滴射出速度に大きく影響を与え、画質劣化を起こすため、インク温度を上げながらその温度を一定に保つことが必要である。インク温度の制御幅としては、設定温度±5℃、好ましくは設定温度±2℃、更に好ましくは設定温度±1℃である。
また、本発明では、各ノズルより吐出する液滴量が2〜20plであることが好ましい。本来、高精細画像を形成するためには、液滴量がこの範囲であることが必要であるが、この液滴量で吐出する場合、前述した吐出安定性が特に厳しくなる。本発明によれば、インクの液滴量が2〜20plのような小液滴量で吐出を行っても吐出安定性は向上し、高精細画像が安定して形成出来る。
(インク着弾後の光照射条件)
本発明の画像形成方法においては、活性光線の照射条件として、インク着弾後0.001秒〜1.0秒の間に活性光線が照射されることが好ましく、より好ましくは0.001秒〜0.5秒である。高精細な画像を形成するためには、照射タイミングが出来るだけ早いことが特に重要となる。
本発明の画像形成方法においては、活性光線の照射条件として、インク着弾後0.001秒〜1.0秒の間に活性光線が照射されることが好ましく、より好ましくは0.001秒〜0.5秒である。高精細な画像を形成するためには、照射タイミングが出来るだけ早いことが特に重要となる。
活性光線の照射方法として、その基本的な方法が特開昭60−132767号に開示されている。これによると、ヘッドユニットの両側に光源を設け、シャトル方式でヘッドと光源を走査する。照射は、インク着弾後、一定時間を置いて行われることになる。更に、駆動を伴わない別光源によって硬化を完了させる。米国特許第6,145,979号では、照射方法として、光ファイバーを用いた方法や、コリメートされた光源をヘッドユニット側面に設けた鏡面に当て、記録部へUV光を照射する方法が開示されている。本発明の画像形成方法においては、これらの何れの照射方法も用いることが出来る。
また、活性光線を照射を2段階に分け、まずインク着弾後0.001〜2.0秒の間に前述の方法で活性光線を照射し、かつ、全印字終了後、更に活性光線を照射する方法も好ましい態様の1つである。活性光線の照射を2段階に分けることで、よりインク硬化の際に起こる記録材料の収縮を抑えることが可能となる。
従来、UVインクジェット方式では、インク着弾後のドット広がり、滲みを抑制のために、光源の総消費電力が1kW・hrを超える高照度の光源が用いられるのが通常であった。しかしながら、これらの光源を用いると、特に、シュリンクラベルなどへの印字では、記録材料の収縮があまりにも大きく、実質上使用出来ないのが現状であった。
本発明では、254nmの波長領域に最高照度をもつ活性光線を用いることが好ましく、総消費電力が1kW・hr以上の光源を用いても、高精細な画像を形成出来、且つ、記録材料の収縮も実用上許容レベル内に収められる。
本発明においては、更に活性光線を照射する光源の総消費電力が1kW・hr未満であることが好ましい。総消費電力が1kW・hr未満の光源の例としては、蛍光管、冷陰極管、熱陰極管、LEDなどがあるが、これらに限定されない。
次いで、本発明のインクジェット記録装置(以下、単に記録装置という)について説明する。
以下、本発明の記録装置について、図面を適宜参照しながら説明する。尚、図面の記録装置はあくまでも本発明の記録装置の一態様であり、本発明の記録装置はこの図面に限定されない。
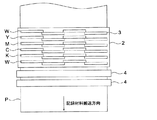
図1は本発明の記録装置の要部の構成を示す正面図である。記録装置1は、ヘッドキャリッジ2、記録ヘッド3、照射手段4、プラテン部5等を備えて構成される。この記録装置1は、記録材料Pの下にプラテン部5が設置されている。プラテン部5は、紫外線を吸収する機能を有しており、記録材料Pを通過してきた余分な紫外線を吸収する。その結果、高精細な画像を非常に安定に再現できる。
記録材料Pは、ガイド部材6に案内され、搬送手段(図示せず)の作動により、図1における手前から奥の方向に移動する。ヘッド走査手段(図示せず)は、ヘッドキャリッジ2を図1におけるY方向に往復移動させることにより、ヘッドキャリッジ2に保持された記録ヘッド3の走査を行なう。
ヘッドキャリッジ2は記録材料Pの上側に設置され、記録材料P上の画像印刷に用いる色の数に応じて後述する記録ヘッド3を複数個、吐出口を下側に配置して収納する。ヘッドキャリッジ2は、図1におけるY方向に往復自在な形態で記録装置1本体に対して設置されており、ヘッド走査手段の駆動により、図1におけるY方向に往復移動する。
尚、図1ではヘッドキャリッジ2がホワイト(W)、イエロー(Y)、マゼンタ(M)、シアン(C)、ブラック(K)、ライトイエロー(Ly)、ライトマゼンタ(Lm)、ライトシアン(Lc)、ライトブラック(Lk)、ホワイト(W)の記録ヘッド3を収納するものとして描図を行なっているが、実施の際にはヘッドキャリッジ2に収納される記録ヘッド3の色数は適宜決められるものである。
記録ヘッド3は、インク供給手段(図示せず)により供給された活性光線硬化型インク(例えばUV硬化インク)を、内部に複数個備えられた吐出手段(図示せず)の作動により、吐出口から記録材料Pに向けて吐出する。記録ヘッド3により吐出されるUVインクは色材、重合性モノマー、開始剤等を含んで組成されており、紫外線の照射を受けることで開始剤が触媒として作用することに伴なうモノマーの架橋、重合反応によって硬化する性質を有する。
記録ヘッド3は記録材料Pの一端からヘッド走査手段の駆動により、図1におけるY方向に記録材料Pの他端まで移動するという走査の間に、記録材料Pにおける一定の領域(着弾可能領域)に対してUVインクをインク滴として吐出し、該着弾可能領域にインク滴を着弾させる。
上記走査を適宜回数行ない、1領域の着弾可能領域に向けてUVインクの吐出を行なった後、搬送手段で記録材料Pを図1における手前から奥方向に適宜移動させ、再びヘッド走査手段による走査を行ないながら、記録ヘッド3により上記着弾可能領域に対し、図1における奥方向に隣接した次の着弾可能領域に対してUVインクの吐出を行なう。
上述の操作を繰り返し、ヘッド走査手段及び搬送手段と連動して記録ヘッド3からUVインクを吐出することにより、記録材料P上にUVインク滴の集合体からなる画像が形成される。
照射手段4は特定の波長領域の紫外線を安定した露光エネルギーで発光する紫外線ランプ及び特定の波長の紫外線を透過するフィルターを備えて構成される。ここで、紫外線ランプとしては、水銀ランプ、メタルハライドランプ、エキシマーレーザー、紫外線レーザー、冷陰極管、熱陰極管、ブラックライト、LED(light emitting diode)等が適用可能であり、帯状のメタルハライドランプ、冷陰極管、熱陰極管、水銀ランプもしくはブラックライトが好ましい。特に波長254nmの紫外線を発光する低圧水銀ランプ、熱陰極管、冷陰極管及び殺菌灯が滲み防止、ドット径制御を効率よく行なうことができ好ましい。ブラックライトを照射手段4の放射線源に用いることで、UVインクを硬化するための照射手段4を安価に作製することができる。
照射手段4は、記録ヘッド3がヘッド走査手段の駆動による1回の走査によってUVインクを吐出する着弾可能領域のうち、記録装置(UVインクジェットプリンタ)1で設定できる最大のものとほぼ同じ形状か、着弾可能領域よりも大きな形状を有する。
照射手段4はヘッドキャリッジ2の両脇に、記録材料Pに対してほぼ平行に、固定して設置される。
前述したようにインク吐出部の照度を調整する手段としては、記録ヘッド3全体を遮光することはもちろんであるが、加えて照射手段4と記録材料Pの距離h1より、記録ヘッド3のインク吐出部31と記録材料Pとの距離h2を大きくしたり(h1<h2)、記録ヘッド3と照射手段4との距離dを離したり(dを大きく)することが有効である。又、記録ヘッド3と照射手段4の間を蛇腹構造7にすると更に好ましい。
ここで、照射手段4で照射される紫外線の波長は、照射手段4に備えられた紫外線ランプ又はフィルターを交換することで適宜変更することができる。
本発明のインクは、非常に吐出安定性が優れており、ラインヘッドタイプの記録装置を用いて画像形成する場合に、特に有効である。
図2は、インクジェット記録装置の要部の構成の他の一例を示す上面図である。
図2で示したインクジェット記録装置は、ラインヘッド方式と呼ばれており、ヘッドキャリッジ2に、各色のインクジェット記録ヘッド3を、記録材料Pの全幅をカバーするようにして、複数個、固定配置されている。
一方、ヘッドキャリッジ2の下流側には、同じく記録材料Pの全幅をカバーするようにして、インク印字面全域をカバーするように配置されている照射手段4が設けられている。照明手段4に用いられる紫外線ランプは、図1に記載したのと同様のものを用いることができる。
このラインヘッド方式では、ヘッドキャリッジ2及び照射手段4は固定され、記録材料Pのみが、搬送されて、インク出射及び硬化を行って画像形成を行う。
以下、実施例を挙げて本発明を具体的に説明するが、本発明はこれらに限定されるものではない。
実施例1
《顔料分散体の調製》
〔顔料分散体D−1の調製〕
下記の各化合物をステンレスビーカーに入れ、65℃のホットプレート上で加熱しながら1時間加熱撹拌して溶解した。
《顔料分散体の調製》
〔顔料分散体D−1の調製〕
下記の各化合物をステンレスビーカーに入れ、65℃のホットプレート上で加熱しながら1時間加熱撹拌して溶解した。
PB822(味の素ファインテクノ社製、高分子分散剤) 6部
OXT221(東亜合成社製、オキセタン化合物) 74部
次いで、上記溶液を室温まで冷却した後、これに下記の顔料を加えて、直径1mmのジルコニアビーズ200gと共にガラス瓶に入れ密栓し、ペイントシェーカーにて4時間分散処理した後、ジルコニアビーズを除去して、顔料分散体D−1を調製した。
OXT221(東亜合成社製、オキセタン化合物) 74部
次いで、上記溶液を室温まで冷却した後、これに下記の顔料を加えて、直径1mmのジルコニアビーズ200gと共にガラス瓶に入れ密栓し、ペイントシェーカーにて4時間分散処理した後、ジルコニアビーズを除去して、顔料分散体D−1を調製した。
C.I.Pigment Blue 15:4 20部
〔顔料分散体D−2の調製〕
下記の各化合物をステンレスビーカーに入れ、65℃のホットプレート上で加熱しながら1時間加熱撹拌して溶解した。
〔顔料分散体D−2の調製〕
下記の各化合物をステンレスビーカーに入れ、65℃のホットプレート上で加熱しながら1時間加熱撹拌して溶解した。
PB822(味の素ファインテクノ社製、高分子分散剤) 6部
OXT211(東亜合成社製、オキセタン化合物) 74部
次いで、上記溶液を室温まで冷却した後、これに以下の顔料を加えて、直径1mmのジルコニアビーズ200gと共にガラス瓶に入れ密栓し、ペイントシェーカーにて4時間分散処理した後、ジルコニアビーズを除去して、顔料分散体D−2を調製した。
OXT211(東亜合成社製、オキセタン化合物) 74部
次いで、上記溶液を室温まで冷却した後、これに以下の顔料を加えて、直径1mmのジルコニアビーズ200gと共にガラス瓶に入れ密栓し、ペイントシェーカーにて4時間分散処理した後、ジルコニアビーズを除去して、顔料分散体D−2を調製した。
C.I.Pigment Black 7 20部
《インク組成物の調製》
上記調製した各顔料分散体または表1に記載の油溶性染料に、表1に記載の各添加剤を順次混合して、これを1.0μmメンブランフィルターで濾過して、インク組成物1〜12を調製した。なお、表1に記載の数値は、質量%を表す。
《インク組成物の調製》
上記調製した各顔料分散体または表1に記載の油溶性染料に、表1に記載の各添加剤を順次混合して、これを1.0μmメンブランフィルターで濾過して、インク組成物1〜12を調製した。なお、表1に記載の数値は、質量%を表す。
表1に略称で記載した各添加剤の詳細は、以下の通りである。
〔油溶性染料〕
*1:C.I.Solvent Blue 70
*2:Oil Black 860(オリエント化学工業社製)
〔オキセタン化合物〕
OXT−221:ジ〔1−エチル(3−オキセタニル)〕メチルエーテル(東亞合成社製)
OXT−212:東亞合成社製
〔ジオール化合物〕
EG:エチレングリコール
PEG:フェニルエチレングリコール
〔光重合開始剤〕
SP−152:トリフェニルスルホニウム塩(「アデカオプトマーSP−152」旭電化社製)
〔界面活性剤〕
F475:メガファックスF475 パーフルオロアルキル基含有アクリルオリゴマー(大日本インキ化学工業社製)
*1:C.I.Solvent Blue 70
*2:Oil Black 860(オリエント化学工業社製)
〔オキセタン化合物〕
OXT−221:ジ〔1−エチル(3−オキセタニル)〕メチルエーテル(東亞合成社製)
OXT−212:東亞合成社製
〔ジオール化合物〕
EG:エチレングリコール
PEG:フェニルエチレングリコール
〔光重合開始剤〕
SP−152:トリフェニルスルホニウム塩(「アデカオプトマーSP−152」旭電化社製)
〔界面活性剤〕
F475:メガファックスF475 パーフルオロアルキル基含有アクリルオリゴマー(大日本インキ化学工業社製)
《硬化性の評価》
各調製した各インク組成物を、polyethylene terephthalate film(厚さ150μm)に、湿潤膜厚として約5μmとなるようにワイヤーバー塗布した後、80mW/cm2の照度(照度は、UVPF−A1(岩崎電気社製)を用いて、254nmにおける値である)で、低圧水銀灯により30秒照射した。
各調製した各インク組成物を、polyethylene terephthalate film(厚さ150μm)に、湿潤膜厚として約5μmとなるようにワイヤーバー塗布した後、80mW/cm2の照度(照度は、UVPF−A1(岩崎電気社製)を用いて、254nmにおける値である)で、低圧水銀灯により30秒照射した。
次いで、低圧水銀灯照射後の塗布面を指で触って、下記の基準に従って硬化性を評価した。
◎:形成画像表面に、べたつき感がほとんど認められない
○:形成画像表面に、僅かにべたつき感が認められる
△:形成画像表面にべたつき感はあるが、擦っても画像が剥離することはない
×:形成画像が硬化せずに、流動してしまう
以上により得られた評価結果を、表2に示す。
○:形成画像表面に、僅かにべたつき感が認められる
△:形成画像表面にべたつき感はあるが、擦っても画像が剥離することはない
×:形成画像が硬化せずに、流動してしまう
以上により得られた評価結果を、表2に示す。
表2に記載の結果より明らかなように、本発明で規定する脂環式エポキシ化合物と、本発明で規定するジオール構造を含有する化合物を規定量含む本発明のインク組成物は、比較例に対して硬化速度が速く、硬化性に優れていることが分かる。
実施例2
《顔料分散体の調製》
〔顔料分散体D−3の調製〕
下記の各化合物をステンレスビーカーに入れ、65℃のホットプレート上で加熱しながら1時間加熱撹拌して溶解した。
《顔料分散体の調製》
〔顔料分散体D−3の調製〕
下記の各化合物をステンレスビーカーに入れ、65℃のホットプレート上で加熱しながら1時間加熱撹拌して溶解した。
PB822(味の素ファインテクノ社製、高分子分散剤) 6部
OXT221(東亜合成社製、オキセタン化合物) 74部
次いで、上記溶液を室温まで冷却した後、これに以下の顔料を加えて、直径1mmのジルコニアビーズ200gと共にガラス瓶に入れ密栓し、ペイントシェーカーにて4時間分散処理した後、ジルコニアビーズを除去して、顔料分散体D−3を調製した。
OXT221(東亜合成社製、オキセタン化合物) 74部
次いで、上記溶液を室温まで冷却した後、これに以下の顔料を加えて、直径1mmのジルコニアビーズ200gと共にガラス瓶に入れ密栓し、ペイントシェーカーにて4時間分散処理した後、ジルコニアビーズを除去して、顔料分散体D−3を調製した。
C.I.Pigment Red 57:1 20部
〔顔料分散体D−4の調製〕
下記の各化合物をステンレスビーカーに入れ、65℃のホットプレート上で加熱しながら1時間加熱撹拌して溶解した。
〔顔料分散体D−4の調製〕
下記の各化合物をステンレスビーカーに入れ、65℃のホットプレート上で加熱しながら1時間加熱撹拌して溶解した。
PB822(味の素ファインテクノ社製、高分子分散剤) 6部
OXT101(東亜合成社製、オキセタン化合物) 74部
次いで、上記溶液を室温まで冷却した後、これに以下の顔料を加えて、直径1mmのジルコニアビーズ200gと共にガラス瓶に入れ密栓し、ペイントシェーカーにて4時間分散処理した後、ジルコニアビーズを除去して、顔料分散体D−4を調製した。
OXT101(東亜合成社製、オキセタン化合物) 74部
次いで、上記溶液を室温まで冷却した後、これに以下の顔料を加えて、直径1mmのジルコニアビーズ200gと共にガラス瓶に入れ密栓し、ペイントシェーカーにて4時間分散処理した後、ジルコニアビーズを除去して、顔料分散体D−4を調製した。
C.I.Pigment Yellow 13 20部
〔顔料分散体D−5の調製〕
下記の各化合物をステンレスビーカーに入れ、65℃のホットプレート上で加熱しながら1時間加熱撹拌して溶解した。
〔顔料分散体D−5の調製〕
下記の各化合物をステンレスビーカーに入れ、65℃のホットプレート上で加熱しながら1時間加熱撹拌して溶解した。
PB822(味の素ファインテクノ社製、高分子分散剤) 6部
OXT211(東亜合成社製、オキセタン化合物) 74部
次いで、上記溶液を室温まで冷却した後、これに以下の顔料を加えて、直径1mmのジルコニアビーズ200gと共にガラス瓶に入れ密栓し、ペイントシェーカーにて4時間分散処理した後、ジルコニアビーズを除去して、顔料分散体D−5を調製した。
OXT211(東亜合成社製、オキセタン化合物) 74部
次いで、上記溶液を室温まで冷却した後、これに以下の顔料を加えて、直径1mmのジルコニアビーズ200gと共にガラス瓶に入れ密栓し、ペイントシェーカーにて4時間分散処理した後、ジルコニアビーズを除去して、顔料分散体D−5を調製した。
C.I.Pigment Yellow 138 20部
〔顔料分散体D−6の調製〕
下記の各化合物をステンレスビーカーに入れ、65℃のホットプレート上で加熱しながら1時間加熱撹拌して溶解した。
〔顔料分散体D−6の調製〕
下記の各化合物をステンレスビーカーに入れ、65℃のホットプレート上で加熱しながら1時間加熱撹拌して溶解した。
PB822(味の素ファインテクノ社製、高分子分散剤) 6部
OXT211(東亜合成社製、オキセタン化合物) 74部
次いで、上記溶液を室温まで冷却した後、これに以下の顔料を加えて、直径1mmのジルコニアビーズ200gと共にガラス瓶に入れ密栓し、ペイントシェーカーにて4時間分散処理した後、ジルコニアビーズを除去して、顔料分散体D−6を調製した。
OXT211(東亜合成社製、オキセタン化合物) 74部
次いで、上記溶液を室温まで冷却した後、これに以下の顔料を加えて、直径1mmのジルコニアビーズ200gと共にガラス瓶に入れ密栓し、ペイントシェーカーにて4時間分散処理した後、ジルコニアビーズを除去して、顔料分散体D−6を調製した。
C.I.Pigment Violet 19 20部
〔顔料分散体D−7の調製〕
下記の各化合物をステンレスビーカーに入れ、65℃のホットプレート上で加熱しながら1時間加熱撹拌して溶解した。
〔顔料分散体D−7の調製〕
下記の各化合物をステンレスビーカーに入れ、65℃のホットプレート上で加熱しながら1時間加熱撹拌して溶解した。
PB822(味の素ファインテクノ社製、高分子分散剤) 6部
OXT211(東亜合成社製、オキセタン化合物) 74部
次いで、上記溶液を室温まで冷却した後、これに以下の顔料を加えて、直径1mmのジルコニアビーズ200gと共にガラス瓶に入れ密栓し、ペイントシェーカーにて4時間分散処理した後、ジルコニアビーズを除去して、顔料分散体D−6を調製した。
OXT211(東亜合成社製、オキセタン化合物) 74部
次いで、上記溶液を室温まで冷却した後、これに以下の顔料を加えて、直径1mmのジルコニアビーズ200gと共にガラス瓶に入れ密栓し、ペイントシェーカーにて4時間分散処理した後、ジルコニアビーズを除去して、顔料分散体D−6を調製した。
C.I.Pigment Blue 15:4 20部
〔顔料分散体D−8の調製〕
下記の各化合物をステンレスビーカーに入れ、65℃のホットプレート上で加熱しながら1時間加熱撹拌して溶解した。
〔顔料分散体D−8の調製〕
下記の各化合物をステンレスビーカーに入れ、65℃のホットプレート上で加熱しながら1時間加熱撹拌して溶解した。
PB822(味の素ファインテクノ社製、高分子分散剤) 6部
OXT221(東亜合成社製、オキセタン化合物) 74部
次いで、上記溶液を室温まで冷却した後、これに以下の顔料を加えて、直径1mmのジルコニアビーズ200gと共にガラス瓶に入れ密栓し、ペイントシェーカーにて4時間分散処理した後、ジルコニアビーズを除去して、顔料分散体D−6を調製した。
OXT221(東亜合成社製、オキセタン化合物) 74部
次いで、上記溶液を室温まで冷却した後、これに以下の顔料を加えて、直径1mmのジルコニアビーズ200gと共にガラス瓶に入れ密栓し、ペイントシェーカーにて4時間分散処理した後、ジルコニアビーズを除去して、顔料分散体D−6を調製した。
C.I.Pigment Black 7 20部
《インク組成物及びインクセットの調製》
上記調製した各顔料分散体と実施例1で調製した各顔料分散体を用いて、表3〜8に記載の各添加剤を順次混合して、これを1.0μmメンブランフィルターで濾過して、各インク組成物を調製し、これらを組み合わせてインクセット1〜6を調製した。なお、表3〜8に記載の数値は、質量%を表す。
《インク組成物及びインクセットの調製》
上記調製した各顔料分散体と実施例1で調製した各顔料分散体を用いて、表3〜8に記載の各添加剤を順次混合して、これを1.0μmメンブランフィルターで濾過して、各インク組成物を調製し、これらを組み合わせてインクセット1〜6を調製した。なお、表3〜8に記載の数値は、質量%を表す。
《インクジェット画像の形成》
〔画像形成方法A〕
ピエゾ型インクジェットノズルを備えた図1に記載の構成からなるインクジェット記録装置に、上記調製した各インクセット1〜3をそれぞれ装填し、表9に記載の巾600mm、長さ500mの長尺の各記録材料へ、下記の画像記録を連続して行って、画像1〜9を得た。インク供給系は、インクタンク、供給パイプ、ヘッド直前の前室インクタンク、フィルター付き配管、ピエゾヘッドからなり、前室タンクからヘッド部分まで断熱して50℃の加温を行った。ピエゾヘッドは、2〜20plのマルチサイズドットを720×720dpiの解像度で吐出できるよう駆動して、各インクを連続吐出した。着弾した後、キャリッジ両脇のランプユニットにより瞬時(着弾後0.5秒未満)に硬化される。記録後、トータルインク膜厚を測定したところ、2.3〜13μmの範囲であった。本発明でいうdpiとは、2.54cm当たりのドット数を表す。なお、インクジェット画像の形成は、上記方法に従って、25℃、30%RHの環境下でそれぞれ行った。
〔画像形成方法A〕
ピエゾ型インクジェットノズルを備えた図1に記載の構成からなるインクジェット記録装置に、上記調製した各インクセット1〜3をそれぞれ装填し、表9に記載の巾600mm、長さ500mの長尺の各記録材料へ、下記の画像記録を連続して行って、画像1〜9を得た。インク供給系は、インクタンク、供給パイプ、ヘッド直前の前室インクタンク、フィルター付き配管、ピエゾヘッドからなり、前室タンクからヘッド部分まで断熱して50℃の加温を行った。ピエゾヘッドは、2〜20plのマルチサイズドットを720×720dpiの解像度で吐出できるよう駆動して、各インクを連続吐出した。着弾した後、キャリッジ両脇のランプユニットにより瞬時(着弾後0.5秒未満)に硬化される。記録後、トータルインク膜厚を測定したところ、2.3〜13μmの範囲であった。本発明でいうdpiとは、2.54cm当たりのドット数を表す。なお、インクジェット画像の形成は、上記方法に従って、25℃、30%RHの環境下でそれぞれ行った。
〔画像形成方法B〕
上記形成方法Aにおいて、インクジェット記録装置として、図2に記載のラインヘッド記録方式のインクジェット記録装置を用い、インクセット4〜6をそれぞれ装填して、画像を形成した以外は同様にして、画像10〜18を得た。
上記形成方法Aにおいて、インクジェット記録装置として、図2に記載のラインヘッド記録方式のインクジェット記録装置を用い、インクセット4〜6をそれぞれ装填して、画像を形成した以外は同様にして、画像10〜18を得た。
なお、表9に記載の各記録材料の略称の詳細は、以下の通りである。
OPP(生ユポ):oriented polypropylene
PET:polyethylene terephthalate
PVC:polyvinyl chloride
また、表9に記載の各照射光源の詳細は、以下の通りである。
PET:polyethylene terephthalate
PVC:polyvinyl chloride
また、表9に記載の各照射光源の詳細は、以下の通りである。
照射光源A:高圧水銀ランプVZero085(INTEGRATION TECHNOLOGY社製)
照射光源B:低圧水銀ランプ(岩崎電気特注品)
また、表9に記載の各照射光源の照度は、岩崎電機社製のUVPF−A1を用いて、254nmの積算照度を測定して表示した。
照射光源B:低圧水銀ランプ(岩崎電気特注品)
また、表9に記載の各照射光源の照度は、岩崎電機社製のUVPF−A1を用いて、254nmの積算照度を測定して表示した。
《インクジェット記録画像の評価》
上記画像形成方法で記録した各画像について、下記の各評価を行った。
上記画像形成方法で記録した各画像について、下記の各評価を行った。
〔色混じりの評価〕
720dpiで、Y、M、C、K各色1dotが隣り合うように印字し、隣り合う各色dotをルーペで拡大し、滲み具合を目視観察し、下記の基準に従って色混じりの評価を行った。
720dpiで、Y、M、C、K各色1dotが隣り合うように印字し、隣り合う各色dotをルーペで拡大し、滲み具合を目視観察し、下記の基準に従って色混じりの評価を行った。
◎:隣り合うdot形状が真円を保ち、滲みがない
○:隣り合うdot形状はほぼ真円を保ち、ほとんど滲みがない
△:隣り合うdotが少し滲んでいてdot形状が少しくずれているレベル
×:隣り合うdotが滲んで混じりあっている
以上により得られた各評価結果を、表10に示す。
○:隣り合うdot形状はほぼ真円を保ち、ほとんど滲みがない
△:隣り合うdotが少し滲んでいてdot形状が少しくずれているレベル
×:隣り合うdotが滲んで混じりあっている
以上により得られた各評価結果を、表10に示す。
表10に記載の結果より明らかなように、本発明で規定する脂環式エポキシ化合物と、本発明で規定するジオール構造を含有する化合物を規定量含む本発明のインク組成物で全て構成された本発明のインクセットは、比較例に対し、各色カラー画像を形成した際、色滲みが低減し、各色ドットの色混じりが極めて少ないことが分かる。
1 インクジェット記録装置
2 ヘッドキャリッジ
3 インクジェット記録ヘッド
31 インク吐出口
4 照射手段
5 プラテン部
6 ガイド部材
7 蛇腹構造
P 記録材料
2 ヘッドキャリッジ
3 インクジェット記録ヘッド
31 インク吐出口
4 照射手段
5 プラテン部
6 ガイド部材
7 蛇腹構造
P 記録材料
Claims (18)
- 前記一般式(A)で表される脂環式エポキシ化合物の分子量が、250〜600であることを特徴とする請求項1に記載の活性光線硬化型インクジェットインク組成物。
- 光重合性化合物及び色材を含有する活性光線硬化型インクジェットインク組成物において、該光重合性化合物の少なくとも1種がエステル結合を2つ以上有する脂環式エポキシ化合物であって、該脂環式エポキシ化合物より誘導されるジオール構造を含有する化合物を、インク組成物の全質量に対して0.1〜10質量%含有することを特徴とする活性光線硬化型インクジェットインク組成物。
- 前記エステル結合を2つ以上有する脂環式エポキシ化合物が、下記一般式(III)または一般式(IV)で表される化合物であることを特徴とする請求項4に記載の活性光線硬化型インクジェットインク組成物。
〔式中、R200はオキシラン環のα、β位以外の脂肪族基を表し、m3は0〜2を表す。X1は−(CH2)n0−、または−(O)n0−を表し、n0は0または1を表す。p1、q1はそれぞれ0または1を表し、同時に0となることはない。r3は1〜3を表す。L3は主鎖に酸素原子または硫黄原子を含んでいても良い炭素数1〜15のr3+1価の分岐構造を有する連結基または単結合を表す。〕
〔式中、R201はオキシラン環のα、β位以外の脂肪族基を表し、m4は0〜2を表す。X2は−(CH2)n1−、または−(O)n1−を表し、n1は0または1を表す。p2、q2はそれぞれ0または1を表し、同時に0となることはない。r4は1〜3を表す。L4は主鎖に酸素原子または硫黄原子を含んでいても良い炭素数1〜15のr4+1価の分岐構造を有する連結基または単結合を表す。〕 - 更にオキセタン化合物を含有することを特徴とする請求項1〜5のいずれか1項に記載の活性光線硬化型インクジェットインク組成物。
- 前記色材が、顔料であることを特徴とする請求項1〜6のいずれか1項に記載の活性光線硬化型インクジェットインク組成物。
- 前記色材が、油溶性染料であることを特徴とする請求項1〜6のいずれか1項に記載の活性光線硬化型インクジェットインク組成物。
- 25℃におけるインク粘度が、7〜50mPa・sであることを特徴とする請求項1〜8のいずれか1項に記載の活性光線硬化型インクジェットインク組成物。
- 少なくともイエローの活性光線硬化型インクジェットインク組成物、マゼンタの活性光線硬化型インクジェットインク組成物、シアンの活性光線硬化型インクジェットインク組成物及びブラックの活性光線硬化型インクジェットインク組成物から構成される活性光線硬化型インクジェットインクセットにおいて、該活性光線硬化型インクジェットインク組成物の全てが請求項7〜9のいずれか1項に記載の活性光線硬化型インクジェットインク組成物であることを特徴とする活性光線硬化型インクジェットインクセット。
- インクジェット記録ヘッドより請求項1〜9のいずれか1項に記載の活性光線硬化型インクジェットインク組成物を記録材料上に噴射し、該記録材料上に印刷を行う画像形成方法であって、該活性光線硬化型インクジェットインク組成物が該記録材料上に着弾し、活性光線を照射して硬化した後のインクの総膜厚が2〜25μmであることを特徴とする画像形成方法。
- インクジェット記録ヘッドより請求項1〜9のいずれか1項に記載の活性光線硬化型インクジェットインク組成物を記録材料上に噴射し、該記録材料上に印刷を行う画像形成方法であって、該インクジェット記録ヘッドの各ノズルより噴射する該活性光線硬化型インクジェットインク組成物の液滴量が2〜20plであることを特徴とする画像形成方法。
- インクジェット記録ヘッドより請求項1〜9のいずれか1項に記載の活性光線硬化型インクジェットインク組成物を記録材料上に噴射し、該記録材料上に印刷を行う画像形成方法であって、該インクジェット記録ヘッドがラインヘッド方式のインクジェット記録ヘッドであることを特徴とする画像形成方法。
- 請求項11〜13のいずれか1項に記載の画像形成方法に用いるインクジェット記録装置であって、活性光線硬化型インクジェットインク組成物及びインクジェット記録ヘッドを35℃〜100℃に加熱した後、該インクジェット記録ヘッドから該活性光線硬化型インクジェットインク組成物を噴射することを特徴とするインクジェット記録装置。
- インクジェット記録ヘッドより請求項10に記載の活性光線硬化型インクジェットインクセットを構成する活性光線硬化型インクジェットインク組成物を記録材料上に噴射し、該記録材料上に印刷を行う画像形成方法であって、該活性光線硬化型インクジェットインクセットを構成する活性光線硬化型インクジェットインク組成物が該記録材料上に着弾し、活性光線を照射して硬化した後のインクの総膜厚が2〜25μmであることを特徴とする画像形成方法。
- インクジェット記録ヘッドより請求項10に記載の活性光線硬化型インクジェットインクセットを構成する活性光線硬化型インクジェットインク組成物を記録材料上に噴射し、該記録材料上に印刷を行う画像形成方法であって、該インクジェット記録ヘッドの各ノズルより噴射する該活性光線硬化型インクジェットインクセットを構成する活性光線硬化型インクジェットインク組成物の液滴量が2〜20plであることを特徴とする画像形成方法。
- インクジェット記録ヘッドより請求項10に記載の活性光線硬化型インクジェットインクセットを構成する活性光線硬化型インクジェットインク組成物を記録材料上に噴射し、該記録材料上に印刷を行う画像形成方法であって、該インクジェット記録ヘッドがラインヘッド方式のインクジェット記録ヘッドであることを特徴とする画像形成方法。
- 請求項15〜17のいずれか1項に記載の画像形成方法に用いるインクジェット記録装置であって、活性光線硬化型インクジェットインクセット及びインクジェット記録ヘッドを35℃〜100℃に加熱した後、該インクジェット記録ヘッドより該活性光線硬化型インクジェットインクセットを構成する活性光線硬化型インクジェットインク組成物を噴射することを特徴とするインクジェット記録装置。
Priority Applications (1)
| Application Number | Priority Date | Filing Date | Title |
|---|---|---|---|
| JP2004007752A JP2005200529A (ja) | 2004-01-15 | 2004-01-15 | 活性光線硬化型インクジェットインク組成物、活性光線硬化型インクジェットインクセット及びそれを用いた画像形成方法及びインクジェット記録装置 |
Applications Claiming Priority (1)
| Application Number | Priority Date | Filing Date | Title |
|---|---|---|---|
| JP2004007752A JP2005200529A (ja) | 2004-01-15 | 2004-01-15 | 活性光線硬化型インクジェットインク組成物、活性光線硬化型インクジェットインクセット及びそれを用いた画像形成方法及びインクジェット記録装置 |
Publications (1)
| Publication Number | Publication Date |
|---|---|
| JP2005200529A true JP2005200529A (ja) | 2005-07-28 |
Family
ID=34821306
Family Applications (1)
| Application Number | Title | Priority Date | Filing Date |
|---|---|---|---|
| JP2004007752A Pending JP2005200529A (ja) | 2004-01-15 | 2004-01-15 | 活性光線硬化型インクジェットインク組成物、活性光線硬化型インクジェットインクセット及びそれを用いた画像形成方法及びインクジェット記録装置 |
Country Status (1)
| Country | Link |
|---|---|
| JP (1) | JP2005200529A (ja) |
Cited By (3)
| Publication number | Priority date | Publication date | Assignee | Title |
|---|---|---|---|---|
| JP2005206653A (ja) * | 2004-01-21 | 2005-08-04 | Konica Minolta Medical & Graphic Inc | 活性光線硬化型インクジェットインク組成物、活性光線硬化型インクジェットインクセット及びそれを用いた画像形成方法及びインクジェット記録装置 |
| JP2007270078A (ja) * | 2006-03-31 | 2007-10-18 | Fujifilm Corp | インクジェット記録用インクセット及びそれを用いたインクジェット記録方法 |
| CN106866435A (zh) * | 2017-03-01 | 2017-06-20 | 无锡阿科力科技股份有限公司 | 一种含有桥环结构的聚醚胺及其制备方法 |
-
2004
- 2004-01-15 JP JP2004007752A patent/JP2005200529A/ja active Pending
Cited By (3)
| Publication number | Priority date | Publication date | Assignee | Title |
|---|---|---|---|---|
| JP2005206653A (ja) * | 2004-01-21 | 2005-08-04 | Konica Minolta Medical & Graphic Inc | 活性光線硬化型インクジェットインク組成物、活性光線硬化型インクジェットインクセット及びそれを用いた画像形成方法及びインクジェット記録装置 |
| JP2007270078A (ja) * | 2006-03-31 | 2007-10-18 | Fujifilm Corp | インクジェット記録用インクセット及びそれを用いたインクジェット記録方法 |
| CN106866435A (zh) * | 2017-03-01 | 2017-06-20 | 无锡阿科力科技股份有限公司 | 一种含有桥环结构的聚醚胺及其制备方法 |
Similar Documents
| Publication | Publication Date | Title |
|---|---|---|
| JP2006008791A (ja) | 活性光線硬化型組成物、活性光線硬化型インク、それを用いた画像形成方法及びインクジェット記録装置 | |
| JPWO2006038458A1 (ja) | 活性光線硬化型インクジェットインクセット、その画像形成方法及びインクジェット記録装置 | |
| JP2005248065A (ja) | 活性光線硬化型組成物とそれを用いた画像形成方法及びインクジェット記録装置 | |
| JPWO2006068010A1 (ja) | 活性光線硬化型インクジェットインク、及びそれを用いた画像形成方法 | |
| JPWO2007088769A1 (ja) | 活性光線硬化型インクジェットインク組成物、画像形成方法及びインクジェット記録装置 | |
| JPWO2006049012A1 (ja) | 活性光線硬化型インクジェットインクとそれを用いた画像形成方法及びインクジェット記録装置 | |
| JP4289069B2 (ja) | 活性光線硬化型組成物、活性光線硬化型インク、それを用いた画像形成方法及びインクジェット記録装置 | |
| JP2005060463A (ja) | 活性光線硬化型組成物、活性光線硬化型インク、それを用いた画像形成方法及びインクジェット記録装置 | |
| JP2004244498A (ja) | 活性光線硬化型インク組成物、それを用いた画像形成方法及びインクジェット記録装置 | |
| JP2005290052A (ja) | 活性光線硬化型インクジェットインク組成物、それを用いた画像形成方法及びインクジェット記録装置 | |
| JP2005060462A (ja) | 活性光線硬化型組成物、活性光線硬化型インク、それを用いた画像形成方法及びインクジェット記録装置 | |
| JP4569082B2 (ja) | 活性光線硬化型インクジェットインク、それを用いた画像形成方法及びインクジェット記録装置 | |
| JP4193666B2 (ja) | 活性光線硬化型組成物、それを用いた画像形成方法及びインクジェット記録装置 | |
| JP4556435B2 (ja) | 活性光線硬化型インクジェットインク組成物、活性光線硬化型インクジェットインクセット及びそれを用いた画像形成方法及びインクジェット記録装置 | |
| JPWO2005116151A1 (ja) | 活性光線硬化型インクジェットインク、活性光線硬化型インクジェットインクの保存方法及び画像形成方法、インクジェット記録装置 | |
| JP2005194380A (ja) | 活性光線硬化型インクジェットインク組成物、活性光線硬化型インクジェットインクセットと、それを用いた画像形成方法及びインクジェット記録装置 | |
| JP2005105191A (ja) | 活性光線硬化型インクジェットインク組成物とそれを用いた画像形成方法及びインクジェット記録装置 | |
| JP2004323610A (ja) | 活性光線硬化型インクジェットインク組成物、それを用いた画像形成方法及びインクジェット記録装置 | |
| JP4396344B2 (ja) | インクジェットインクとそれを用いた画像形成方法及びラインヘッド記録方式のインクジェット記録装置 | |
| JP2006232888A (ja) | 活性光線硬化型組成物と活性光線硬化型インク、それを用いた画像形成方法及びインクジェット記録装置 | |
| JP2005200529A (ja) | 活性光線硬化型インクジェットインク組成物、活性光線硬化型インクジェットインクセット及びそれを用いた画像形成方法及びインクジェット記録装置 | |
| JP4581401B2 (ja) | 活性光線硬化型インクジェットインク組成物、活性光線硬化型インクジェットインクセットと、それを用いた画像形成方法及びインクジェット記録装置 | |
| WO2006075468A1 (ja) | 活性光線硬化型インクジェットインク、それを用いた画像形成方法及びインクジェット記録装置 | |
| JP2005113042A (ja) | 活性光線硬化型組成物、活性光線硬化型インク、それを用いた画像形成方法及びインクジェット記録装置 | |
| JPWO2006051701A1 (ja) | 活性光線硬化型インクジェットインクとそれを用いた画像形成方法及びインクジェット記録装置 |
