EP4286243A1 - Validierung einer sensoreinheit eines schienenfahrzeugs zur objektlokalisierung - Google Patents

Validierung einer sensoreinheit eines schienenfahrzeugs zur objektlokalisierung Download PDF

Info

Publication number
EP4286243A1
EP4286243A1 EP23157523.4A EP23157523A EP4286243A1 EP 4286243 A1 EP4286243 A1 EP 4286243A1 EP 23157523 A EP23157523 A EP 23157523A EP 4286243 A1 EP4286243 A1 EP 4286243A1
Authority
EP
European Patent Office
Prior art keywords
test object
unit
rail vehicle
test
localization
Prior art date
Legal status (The legal status is an assumption and is not a legal conclusion. Google has not performed a legal analysis and makes no representation as to the accuracy of the status listed.)
Granted
Application number
EP23157523.4A
Other languages
English (en)
French (fr)
Other versions
EP4286243B1 (de
Inventor
Andreas Krutz
Georg Schott
Current Assignee (The listed assignees may be inaccurate. Google has not performed a legal analysis and makes no representation or warranty as to the accuracy of the list.)
Siemens Mobility GmbH
Original Assignee
Siemens Mobility GmbH
Priority date (The priority date is an assumption and is not a legal conclusion. Google has not performed a legal analysis and makes no representation as to the accuracy of the date listed.)
Filing date
Publication date
Application filed by Siemens Mobility GmbH filed Critical Siemens Mobility GmbH
Publication of EP4286243A1 publication Critical patent/EP4286243A1/de
Application granted granted Critical
Publication of EP4286243B1 publication Critical patent/EP4286243B1/de
Active legal-status Critical Current
Anticipated expiration legal-status Critical

Links

Images

Classifications

    • BPERFORMING OPERATIONS; TRANSPORTING
    • B61RAILWAYS
    • B61LGUIDING RAILWAY TRAFFIC; ENSURING THE SAFETY OF RAILWAY TRAFFIC
    • B61L23/00Control, warning or like safety means along the route or between vehicles or trains
    • B61L23/04Control, warning or like safety means along the route or between vehicles or trains for monitoring the mechanical state of the route
    • B61L23/041Obstacle detection
    • BPERFORMING OPERATIONS; TRANSPORTING
    • B61RAILWAYS
    • B61LGUIDING RAILWAY TRAFFIC; ENSURING THE SAFETY OF RAILWAY TRAFFIC
    • B61L25/00Recording or indicating positions or identities of vehicles or trains or setting of track apparatus
    • B61L25/02Indicating or recording positions or identities of vehicles or trains
    • B61L25/025Absolute localisation, e.g. providing geodetic coordinates
    • BPERFORMING OPERATIONS; TRANSPORTING
    • B61RAILWAYS
    • B61LGUIDING RAILWAY TRAFFIC; ENSURING THE SAFETY OF RAILWAY TRAFFIC
    • B61L25/00Recording or indicating positions or identities of vehicles or trains or setting of track apparatus
    • B61L25/02Indicating or recording positions or identities of vehicles or trains
    • B61L25/026Relative localisation, e.g. using odometer

Definitions

  • the invention relates to an arrangement for validating a function of a sensor unit of a rail vehicle for object localization.
  • the invention also relates to a method for validating a function of a sensor unit of a rail vehicle for object localization.
  • Lidar systems and radar systems which can detect the distances and directions in which objects are located, are suitable for such tasks.
  • Most on-board systems include systems for measuring the position of detected obstacles. Knowing the exact position of a potential obstacle allows an assessment of the dangers posed by the obstacle. In particular, the position of the potential obstacle must be determined with sufficient accuracy in order to estimate how far away the potential obstacle is from a rail vehicle and whether or not the potential obstacle is in the loading gauge of the rail vehicle or may or may not be at a later point in time .
  • a test object is first positioned on a test rail section. Furthermore, position marks are determined and arranged on the test rail section. During validation, the positions marked by the defined position markers are approached by a rail vehicle with a sensor device to be validated. The position markers are usually determined individually by hand and are therefore quite time-consuming. In addition, when the rail vehicle approaches the individual position markers, inaccuracies can occur that have a negative impact on the reliability of the validation.
  • the task is therefore to provide an arrangement and a method for validating the function of an on-board sensor system for obstacle localization for rail vehicles, which works more reliably, more robustly and more precisely than previous approaches.
  • This object is achieved by an arrangement for validating a function of a sensor unit of a rail vehicle for object localization according to claim 1 and a method for validating a function of a sensor unit of a rail vehicle for object localization according to patent claim 13.
  • the arrangement according to the invention for validating a function of a sensor unit of a rail vehicle for object localization has a test rail section.
  • the test rail section preferably comprises a shape which is designed such that a distance of an object from a center line of the test rail section can be easily determined.
  • the sensor unit preferably has a plurality of sensors in order to be able to localize an object. Typical methods of localization include methods of triangulation and/or transit time measurement.
  • sensor units for such tasks preferably include optical-based or infrared-based lidar systems and/or radar systems and/or 3D cameras.
  • the arrangement according to the invention also has a test object which is located on the test rail section.
  • the test object includes an object to be detected or localized on the test rail section for test purposes.
  • Such an object to be localized preferably comprises a silhouette of an object that typically occurs in the area of rail traffic, such as a silhouette of a human person or a vehicle, which is to be detected and localized in front of the sensor unit of the rail vehicle as part of the validation.
  • Such a shape of the test object advantageously corresponds to an external shape of a potential obstacle that typically occurs during use, so that the test conditions approximately correspond to real conditions.
  • Part of the test object is also a first self-localization unit for determining a reference position of the test object.
  • the first self-localization unit determines its own position, which essentially corresponds to the ego position of the test object.
  • the ego position of the test object is used as the reference position of the test object.
  • the ego position of the first self-localization unit can be converted into the reference position of the test object if the ego position of the first self-localization unit does not correspond exactly to the ego position or reference position of the test object.
  • the ego position is determined on the basis of a recording of measurement data by the first self-localization unit, which is correlated with the ego position of the first self-localization unit.
  • the measurement data can include time difference measurement data, in particular satellite navigation measurement data, odometric measurement data, distance measurement data, speed measurement data or acceleration measurement data.
  • the rail vehicle includes a sensor unit for detecting a relative position of the test object to the sensor unit.
  • the sensor unit measures the direction and the distance at which the test object is located relative to the sensor unit.
  • the relative position indicates the position of the test object in a coordinate system that moves with the rail vehicle or the sensor unit of the rail vehicle.
  • the rail vehicle also includes a second self-localization unit for determining an ego position of the rail vehicle.
  • the second self-localization unit first determines its own position by measuring its own position, ie the ego position of the second self-localization unit, from which the ego position of the rail vehicle or the ego position of the sensor unit of the rail vehicle are determined differ minimally from each other, but can be easily converted into one another if the orientation of the rail vehicle is known.
  • the second self-localization unit determines the ego position of the rail vehicle based on measurement data that is correlated with the position of the rail vehicle.
  • the second self-localization unit is preferably set up to determine an ego pose of the rail vehicle. Such an ego pose shows not only the ego position of the rail vehicle but also its orientation.
  • the alignment of the rail vehicle and thus also the alignment of the sensor unit in space can be determined both by a direct measurement of the orientation and by deriving the orientation based on the determined ego position of the rail vehicle and the rail course of the test rail route at the ego position, in particular determined by map data or satellite navigation data. If the course of the test rail route is known, the orientation usually results of the rail vehicle from its ego position.
  • the orientation of the rail vehicle is position-independent, particularly when the test rail route runs in a straight line.
  • the orientation of the rail vehicle is advantageously fixed and no locally variable orientation of the rail vehicle has to be taken into account during validation, for example by using maps or by measuring the orientation of the rail vehicle and/or its sensor unit.
  • the arrangement according to the invention can advantageously also be supplemented by an adjustment unit which, based on the validation, adjusts the position determination of the test object in order to improve or ensure the required accuracy of object localization by the sensors of a relevant rail vehicle.
  • the rail vehicle of the arrangement according to the invention also includes a position determination unit for determining an absolute position of the test object based on the detected relative position of the test object to the sensor unit and the determined ego position of the rail vehicle. Based on the knowledge of the route and the knowledge of the ego position of the rail vehicle on the test rail route, the position determination unit calculates a pose of the rail vehicle. Based on the knowledge of the pose of the rail vehicle and the relative position of the test object, the position determination unit calculates an absolute position in a stationary coordinate system, the position and orientation of which is independent of the pose and the current position of the rail vehicle.
  • the arrangement according to the invention also includes a validation unit for determining a deviation of the determined absolute position of the test object from the reference position of the test object. To determine the deviation, the validation unit carries out a comparison between the determined absolute position of the test object and the reference position of the test object. The validation achieves a positive result if the deviation falls below a threshold value. Validation can advantageously be automated. In particular, no markings for individual ego positions of the rail vehicle need to be arranged by hand on the test rail route.
  • a geographical map with ego positions can be created, as will be explained in detail later, the ego positions being determined by determining the ego position of the rail vehicle by the second self-localization unit of the rail vehicle be approached by the rail vehicle as part of a test run.
  • an accurate determination of geodata to determine the ego position of a rail vehicle in any type of environment can advantageously be carried out without external services or prior determination of stationary measured infrastructure points.
  • all features for validating an obstacle detection system in the railway environment can be derived, in particular a determination of a precision of a measurement of a distance of an object from the rail vehicle or the rail line.
  • a reference position of a test object is determined by a first self-localization unit arranged on the test object.
  • the reference position can be determined, for example, by determining the geographical coordinates of the test object or a specific location on the test object, for example a geometric center of the test object.
  • a relative position of the test object to a sensor unit arranged on the rail vehicle is determined. This relative position results from the distance and direction measured by the sensor unit in which the test object is located relative to the rail vehicle or the sensor unit.
  • an ego position or preferably the ego pose of the rail vehicle is determined by a second self-localization unit arranged on the rail vehicle.
  • the ego pose not only indicates the exact ego position but also the orientation of the rail vehicle.
  • the ego position is preferably given in geographical coordinates.
  • the orientation of the rail vehicle can be described, for example, by an angle relative to a reference direction.
  • an absolute position of the test object is determined within the scope of the method according to the invention.
  • an object localization function of the sensor unit is validated by determining a deviation of the determined absolute position of the test object from the reference position of the test object. This means that it is determined whether a deviation in determining the absolute position of the test object falls below a predetermined threshold value or not.
  • the validation method according to the invention can be used in particular for an adjustment method in which an adjustment of the position determination of the test object is carried out on the basis of the validation in order to improve or ensure the required accuracy of object localization by the sensors of a relevant rail vehicle.
  • a correction of the alignment of the sensor units and/or a computational correction is carried out in order to compensate for the deviation determined.
  • a majority of the aforementioned components of the arrangement according to the invention can be completely or partially in the form of Software modules are implemented in a processor of a corresponding computing system, for example in a control device or a computing system of the rail vehicle or a computing system of the test object or also an externally arranged computing system. This applies in particular to the position determination unit of the rail vehicle and the validation unit.
  • a largely software-based implementation has the advantage that previously used computing systems can also be easily retrofitted by a software update in order to work in the manner according to the invention.
  • a corresponding computer program product with a computer program which can be loaded directly into a computing system, with program sections to carry out the steps of the method according to the invention, at least the steps that can be carried out by a computer, in particular the steps of determining an absolute position of the test object and of validating the object localization or object localization function when the program is executed in the computing system.
  • a computer program product may optionally contain additional components such as: B. documentation and/or additional components also include hardware components, such as hardware keys (dongles, etc.) for using the software.
  • a computer-readable medium e.g. a memory stick, a hard drive or another transportable or permanently installed data carrier, on which the data that can be read by a computing system can be used and executable program sections of the computer program are stored.
  • the computing system can, for example, have one or more cooperating microprocessors or the like.
  • the test object has a transmitting unit.
  • the transmitting unit is preferably designed to transmit the determined reference position of the test object to the rail vehicle or another device set up for evaluation and validation.
  • a transmitting unit enables the transmission of the information about the reference position of the test object to a device arranged remotely from the test object and also the processing of the information about the reference position of the test object at a position remote from the test object.
  • a receiving unit is arranged at this remote position, which serves to receive the determined reference position of the test object.
  • a remote position may include, for example, the position of the rail vehicle. Ie, the rail vehicle can have the receiving unit. This variant is particularly advantageous if the validation unit is also included in the rail vehicle.
  • the validation unit receives the information about the reference position of the test object via the receiving unit and carries out a comparison with the absolute position of the test object determined by the position determination unit of the rail vehicle.
  • the validation unit can also be arranged spatially separate from the rail vehicle, for example stationary or on a mobile testing device.
  • the rail vehicle also includes a transmitting unit in order to transmit the determined absolute position of the test object to the mobile testing device.
  • validation takes place spatially separate from the rail vehicle. In this variant, only a single validation unit is advantageously required for a plurality of rail vehicles, which means resources can be saved.
  • the test object comprises the validation unit and a receiving unit for receiving the absolute position of the test object determined by the position determination unit.
  • the rail vehicle comprises a transmitting unit for transmitting the absolute position of the test object determined by the position determination unit to the receiving unit of the test object or the validation unit of the test object.
  • the test data is evaluated in the test object itself.
  • the rail vehicle only serves as a mobile sensor unit for measuring the ego position of the rail vehicle and for measuring the relative position of the test object to the rail vehicle.
  • the validation of the sensor function of different rail vehicles can be carried out with a single validation unit if the same test object is used to validate the sensor function of different rail vehicles.
  • the separate evaluation device comprises the validation unit and a receiving unit for receiving the absolute position of the test object determined by the position determination unit of the rail vehicle and for receiving the reference position of the test object from the test object.
  • the rail vehicle includes a transmission unit for transmitting the absolute position of the test object determined by the position determination unit to the separate evaluation device.
  • the evaluation device can be permanently installed on a specific test track; it can also be designed as a mobile or transportable device for validation on different test tracks.
  • the evaluation device can be designed with a chassis and a traction unit for transport between different test routes.
  • the scope of application of the evaluation device is expanded to include different test rail routes, so that resource efficiency is further increased through the versatile possible uses of one and the same validation unit.
  • the rail vehicle preferably includes the second antenna, ie the second self-localization unit of the rail vehicle preferably includes this second antenna.
  • the reference station can, for example, be part of the test object and in this case the first self-localization unit can include the reference antenna. However, the reference station can also be delivered from another or external facility.
  • the RTK correction data can be provided in particular via the mobile radio network or via radio from a device that generates correction data for satellite navigation.
  • An inertial measuring unit measures acceleration and deceleration data and can be used to determine the orientation of a rail vehicle and thus to determine the pose of the rail vehicle.
  • Speed sensor data and odometry data can be used to determine the ego position of a rail vehicle.
  • Satellite navigation can achieve high levels of accuracy for determining position or direction of movement in the context of differential satellite navigation by adding reference stations and evaluating the phase shift of the carrier wave.
  • An inertial measurement unit can be used for orientation measurement.
  • Speed data and odometry data can also be used to determine position.
  • Different measuring methods can also be advantageously combined. Depending on the situation and the current applicability of the different methods, the measured values from different measuring methods can be combined, for example through data fusion, in particular through weighted averaging of the measured values.
  • the position determination unit of the arrangement according to the invention is preferably set up to determine a position and a course of a center line of the test rail route based on the ego position of the rail vehicle. If the lateral position of the second self-locating unit on the rail vehicle is known, an absolute position on a center line of the test rail section can be determined by traveling along the test rail section. This center line can advantageously be used as a reference line for a lateral position of the test object to be measured.
  • the position determination unit is preferably set up to determine a distance of the test object from the center line.
  • a distance from a point to the center line can be found using linear algebra.
  • the vector that runs through the point and is oriented perpendicular to the center line is determined.
  • the validation unit of the arrangement according to the invention is preferably set up to determine a deviation of the distance of the test object from the center line determined on the vehicle side from a reference distance of the test object to the center line.
  • the reference distance of the test object to the center line can, for example, be based on the reference position of the Test object and the knowledge of the course of the center line can be calculated.
  • the comparison results in a lateral deviation of the absolute position of the test object measured on the vehicle side.
  • the position determination unit is preferably set up to determine a distance between the rail vehicle and the test object, preferably in the longitudinal direction.
  • a distance measurement can, for example, be carried out trigonometrically or as a transit time measurement.
  • the position determination unit is preferably set up to detect a deviation between the distance detected on the vehicle side, preferably in the longitudinal direction, between the rail vehicle and the test object and a reference distance between the rail vehicle and the test object determined on the basis of the reference position of the test object and the determined ego position of the rail vehicle, preferably in the longitudinal direction.
  • the test rail section preferably has a straight course.
  • the pose of the rail vehicle does not change in this variant of the geometric shape of the test rail section depending on the position of the rail vehicle on the test rail section.
  • the pose of the rail vehicle therefore does not have to be determined in order to determine the relative position or absolute position of the test object based on sensor data.
  • the test rail section preferably comprises a curvilinear course and a center line of the test rail section is approximated by straight-line sections.
  • a distance from a point of an object to the partial distances can advantageously be calculated using simple linear algebraic methods.
  • FIG 1 a schematic representation of an arrangement 1 for validating a function of a sensor unit 7 of a rail vehicle 6 for object localization is shown.
  • the arrangement 1 comprises a straight test rail section 2, on which there is a test object 3, which is in FIG 1 is only shown schematically on the right. Furthermore, there is a rail vehicle 6 on the test rail route 2, which is in FIG 1 is drawn on the left side.
  • the test object 3 is arranged at a distance d r from the center line 2a of the test rail section 2.
  • the test object 3 includes a first self-localization unit 4, in this exemplary embodiment a satellite navigation unit, for determining a reference position RP T of the test object 3.
  • the first self-localization unit 4 receives a satellite signal, on the basis of which it determines the reference position RP T of the test object 3.
  • the test object 3 further includes a transmission unit 5 for transmitting the determined reference position RP T of the test object 3 to the rail vehicle 6 by radio.
  • the rail vehicle 6 includes the already mentioned sensor unit 7, in this exemplary embodiment a lidar unit, for detection and localization, ie for determining a relative position RLP of the test object 3 to the sensor unit 7.
  • the sensor unit 7 measures the longitudinal distance d l of the test object 3 to the sensor unit 7 and the lateral distance d r of the test object 3 to the center line 2a of the test rail section 2.
  • the position and the course of the center line 2a can be determined in advance by traveling along the test rail section 2 and detecting the ego position EP of the rail vehicle 6 at different points on the test rail route 2 are determined.
  • the rail vehicle 6 includes a second self-localization unit 9.
  • the second self-localization unit 9 includes in the in FIG 1 shown embodiment also a satellite navigation unit for receiving a satellite signal to determine the ego position EP of the rail vehicle 6. Furthermore, the rail vehicle 6 also includes a position determination unit 8, which determines an absolute position AP of the test object 3 based on the detected relative position RLP of the test object 3 to the sensor unit 7 and determined based on the determined ego position EP of the rail vehicle 6. The absolute position AP determined by the position determination unit 8 is also transmitted to a validation unit 10, which is also part of the rail vehicle 6. The validation unit 10 carries out a comparison between the determined absolute position AP of the test object 3 and the reference position RP T of the test object 3 determined by the test object 3 itself. For this purpose, the rail vehicle 6 includes a receiving unit 11 with which the information about the reference position RP T from the test object 3 is received by radio.
  • FIG 2 a flowchart 200 is shown, which illustrates a method for validating a function of a sensor unit 7 of a rail vehicle 6 for object localization according to an exemplary embodiment of the invention.
  • a reference position RP T of a test object 3 is arranged in the test object 3 first self-localization unit 4 determined.
  • a satellite signal PS is received by the first self-localization unit 4, in this exemplary embodiment a satellite navigation unit.
  • step 2.II the determined reference position RP T of the test object 3 is transmitted to a receiving unit 11 of the rail vehicle 6 by a transmitting unit 5 arranged on the test object 3.
  • step 2.III a relative position RLP of the test object 3 to a sensor unit 7 arranged on the rail vehicle 6 is detected.
  • the sensor unit 7 measures in FIG 2 illustrated embodiment a lidar unit, a distance and an azimuth of the test object 3 relative to the orientation of the sensor unit 7.
  • an ego position EP of the rail vehicle 6 is additionally determined by a second self-localization unit 9 arranged on the rail vehicle 6.
  • the orientation of the rail vehicle 6 is also known based on the known geometry of the test rail section 2, for example the test rail section 2 runs in a straight line.
  • step 2.V an absolute position AP of the test object 3 is determined based on the detected relative position RLP of the test object 3 to the sensor unit 7 and the determined ego position EP as well as the known orientation of the rail vehicle 6.
  • step 2.VI the object localization function of the sensor unit 7 is validated by determining a deviation AW of the determined absolute position AP of the test object 3 from the reference position RP T of the test object 3.
  • FIG 3 shows a schematic representation of a process for creating a map with ego positions EP1, ..., EP8, the the rail vehicle 6 (see FIG 1 ) approaches as part of the validation.
  • the ego positions EP1, EP2 ..., EP8 are at different positions on the test rail section 2.
  • the distances d l are therefore (see FIG 1 ) between the test object 3 and the rail vehicle 6 at the different ego positions EP1, ..., EP8 are also different.
  • the accuracy of the measurement can be determined depending on distances or distances d l and it can be determined up to which distance the sensor unit 7 meets the minimum requirements for measurement accuracy.
  • FIG 4 is a representation of the possible errors when determining the ego position EP of a rail vehicle 6 and their effects on object localization.
  • An inaccurate determination or a deviation ⁇ L of the ego position EP of the rail vehicle 6 in the longitudinal L and a deviation ⁇ Lat in the lateral Lat can lead to false positive or false negative results.
  • FIG 4 An example is shown in which an object O is actually standing on a rail line, but is incorrectly located outside the rail area due to a deviation in the determination of the ego position EP of the rail vehicle 6. This shift results from the deviation ⁇ L of the measured ego position EP of the rail vehicle 6 from its true ego position.
  • the correct classification of the detected object O also depends on the correct determination of the relative position RLP of the object O of the rail vehicle 6. Both deviations are ultimately included in the validation, since both the ego position EP of the rail vehicle 6 and the relative position RLP correspond to the true position of the object O; in the case of validation with the test object 3, this is the reference position RP T of the test object 3 (see FIG 1 ), influence the absolute position AP of the object O to be compared.
  • FIG 5 shows a representation of positions of objects O with different lateral distances from a center line 2a of a rail route 6.
  • the center line 2a is composed of straight line sections STA, which approximate the true course of the route characterized by curves.
  • FIG 6 is a diagram which shows a determination of the minimum distance between a point P with the coordinates (x 0 , y 0 ) and a constructed route STA with the points Q and Q' with the coordinates (x 1 , y 1 ) and (x 2 , y 2 ) illustrated.
  • the distance d between the point P and the straight line y ⁇ a b x ⁇ c b
  • the route shown with the points Q and Q' is represented by the vector r represented.
  • FIG 7 a diagram is shown which shows a determination of a longitudinal distance d l between a point P 0 with the coordinates (x 0 , y 0 ) and an auxiliary point P 'with the coordinates (x r ', y r ') on the constructed route STA illustrated in the longitudinal direction.
  • the spanning hypotenuse d 0 is first calculated to calculate the longitudinal distance d l .
  • the longitudinal distance d l then results as the leg of the triangle from the other two known distances d r , d 0 .
  • FIG 8 a circle distance on a sphere between a point P and P 0 is shown.
  • Haversine formula the distance between two given points on a sphere can be calculated. This means that the distance between two points whose geocoordinates are known can be easily calculated.
  • FIG 9 A representation of angular relationships in a unit circle is shown.
  • the points A, B and the center O' form an isosceles triangle whose legs have a length of 1.
  • One of the legs, the height h of the isosceles triangle and half the base of the isosceles triangle form a right triangle with the leg of unit length 1 as the hypotenuse and the angle ⁇ between the leg of the isosceles triangle and the height h.
  • the base of the isosceles triangle is divided into two equal halves at the base point C. If the height h is extended in the x direction, the extended half-line intersects the unit circle at point D.
  • the function value sin ⁇ is formed by half the base of the isosceles triangle.
  • the opposite side d l and thus the longitudinal distance d l can be calculated from the hypotenuse d 0 and the lateral distance d r .
  • FIG 10 A diagram is shown that documents a validation process.
  • measured values in this case measured longitudinal distances d l in meters (abbreviated as "m") between a rail vehicle 6 or a sensor unit 7 arranged at the front of the rail vehicle 6 and a test object 3 are shown as a function with a solid staircase-shaped line from the measurement time t (the time is given in coordinated universal time, "UTC").
  • reference values d lref for a longitudinal distance between the rail vehicle 6 or the sensor unit 7 and the test object 3, which are determined by measuring the self-localization units 4, 9 of the test object 3 and the rail vehicle 6, are also shown with a solid line represents.
  • a tolerance range T with a maximum deviation of the measured longitudinal distances d l of 10% from the respective reference value d lref is marked with dashed lines.
  • FIG 11 is a schematic representation of an arrangement 1 for validating a function of a sensor unit 7 of a rail vehicle 6 for object localization according to a second exemplary embodiment of the invention.
  • Arrangement 1 shown does not have the rail vehicle 6, but rather the test object 3 as the validation unit 10 on.
  • the test object 3 comprises differently than in the case in FIG 1 In the first exemplary embodiment shown, a receiving unit 5 'for receiving the absolute position AP of the test object 3 determined by the position determination unit 8.
  • the rail vehicle 6 has a transmitting unit 11 'for transmitting the absolute position AP of the test object 3 determined by the position determination unit 8 to the test object 3.
  • a single validation unit 10 can be used to validate different rail vehicles, thereby achieving a resource saving effect.
  • the test object 3 also has the same as in FIG 1 shown first embodiment, a first self-localization unit 4, which transmits a determined reference position RP T of the test object 3 directly to the validation unit 10 encompassed by the test object 3.
  • FIG 12 is a schematic representation of an arrangement 1 for validating a function of a sensor unit 7 of a rail vehicle 6 for object localization according to a third exemplary embodiment of the invention.
  • the arrangement 1 has a stationary evaluation device 12 that is separate from the rail vehicle 6 and the test object 3.
  • the stationary evaluation device 12 comprises the validation unit 10 and a receiving unit 5" for receiving the absolute position AP of the test object 3 determined by the position determination unit 8 of the rail vehicle 6.
  • the receiving unit 5" is also set up to determine the reference position RP T of the test object 3 from the test object 3 and to pass on the received information AP, RP T to the validation unit 10.
  • the stationary evaluation device 12 can also be designed as a so-called remote computer and can be connected to the test object 3 and the rail vehicle 6 via a communication network, for example the Internet, in order to receive the measurement data or information AP, RP T determined by the test object 3 and the rail vehicle 6.
  • the rail vehicle 6 points in the in FIG 12 shown third embodiment, similar to the second embodiment, a transmission unit 11 'for transmitting the absolute position AP of the test object 3 determined by the position determination unit 8 to the evaluation device 12.
  • the test object 3 in the third exemplary embodiment is constructed analogously to the test object 3 of the first exemplary embodiment. However, in the third exemplary embodiment, the transmitting unit 5 of the test object 3 does not transmit the information about the reference position RP T of the test object 3 to the rail vehicle 6, but to the separate stationary evaluation device 12.

Landscapes

  • Engineering & Computer Science (AREA)
  • Mechanical Engineering (AREA)
  • Train Traffic Observation, Control, And Security (AREA)
  • Electric Propulsion And Braking For Vehicles (AREA)
  • Length Measuring Devices With Unspecified Measuring Means (AREA)

Abstract

Es wird eine Anordnung (1) zur Validierung einer Funktion einer Sensoreinheit (7) eines Schienenfahrzeugs (6) zur Objektlokalisierung beschrieben. Die Anordnung (1) umfasst eine Testschienenstrecke (2) und ein Testobjekt (3) auf der Testschienenstrecke (2). Das Testobjekt (3) umfasst eine erste Selbstlokalisierungseinheit (4) zum Ermitteln einer Referenzposition (RPT) des Testobjekts (3). Das Schienenfahrzeug (6) umfasst eine Sensoreinheit (7) zur Detektion einer Relativposition (RLP) des Testobjekts (3) zur Sensoreinheit (7), eine zweite Selbstlokalisierungseinheit (9) zum Ermitteln einer Ego-Position (EP) des Schienenfahrzeugs (6) und eine Positionsermittlungseinheit (8) zum Ermitteln einer Absolutposition (AP) des Testobjekts (3) auf Basis der detektierten Relativposition (RLP) des Testobjekts (3) zur Sensoreinheit (7) und der ermittelten Ego-Position (EP) des Schienenfahrzeugs (6). Teil der Anordnung (1) ist auch eine Validierungseinheit (10) zum Ermitteln einer Abweichung (AW) der ermittelten Absolutposition (AP) des Testobjekts (3) von der Referenzposition (RPT) des Testobjekts (3). Es wird auch ein Verfahren zur Validierung einer Funktion einer Sensoreinheit (7) eines Schienenfahrzeugs (6) zur Objektlokalisierung beschrieben.

Description

  • Die Erfindung betrifft eine Anordnung zur Validierung einer Funktion einer Sensoreinheit eines Schienenfahrzeugs zur Objektlokalisierung. Außerdem betrifft die Erfindung ein Verfahren zur Validierung einer Funktion einer Sensoreinheit eines Schienenfahrzeugs zur Objektlokalisierung.
  • Im Schienenverkehr kommt es gelegentlich vor, dass Objekte, wie zum Beispiel Personen oder Straßenfahrzeuge, Einkaufswagen, die auf die Schienen geworfen wurden, oder auch Felsbrocken oder umgestürzte Bäume, auf den Gleiskörper geraten und daher eine Gefahr für die Sicherheit des Schienenverkehrs darstellen und im Fall der Personen und Straßenfahrzeuge aufgrund der Möglichkeit einer Kollision mit einem fahrenden Schienenfahrzeug auch selbst hochgradig gefährdet werden. Daher müssen solche Objekte rechtzeitig erkannt werden, um für ein sich näherndes Schienenfahrzeug einen Bremsvorgang einzuleiten, so dass ein Zusammenstoß zwischen dem Schienenfahrzeug und dem Objekt verhindert werden kann. Weiterhin müssen auch Schienenfahrzeuge, die sich auf demselben Gleis befinden, erkannt werden, um eine Kollision dieser Schienenfahrzeuge miteinander zu vermeiden. Mithin gehört es zu den kritischen Aufgaben eines Schienenfahrzeugführers, den Schienenbereich hinsichtlich möglicher Hindernisse bzw. Objekte, die mit dem Schienenfahrzeug kollidieren können, ständig zu beobachten und zu entscheiden, ob eine Reaktion darauf, wie zum Beispiel ein Bremsmanöver, eingeleitet werden muss oder nicht.
  • Bei dem fahrerlosen Steuern von Fahrzeugen ist es besonders wichtig, ein System zu haben, das automatisch mögliche Hindernisse korrekt lokalisiert und entscheiden kann, ob sie eine Gefahr für das Fahrzeug selbst oder andere Verkehrsteilnehmer darstellen können, da hier auf eine Überwachung der Schienenstrecke durch einen Fahrer definitionsgemäß verzichtet werden muss.
  • Für derartige Aufgaben bieten sich Lidarsysteme und Radarsysteme, mit denen Abstände und Richtungen, in denen sich Objekte befinden, detektiert werden können, an.
  • Automatisierte Erkennungssysteme für potenzielle Hindernisse wurden bereits experimentell untersucht und entwickelt. Infrastrukturbasierte Lösungen, bei denen eine Mehrzahl von Sensoren aufgestellt werden, um einen bestimmten Bereich einer Schienenstrecke zu überwachen, werden manchmal benutzt, um Bereiche, in denen häufig Unfälle passieren, wie zum Beispiel Bahnübergänge, zu überwachen. Allerdings ist es nicht realisierbar, das gesamte Schienennetz mit infrastrukturbasierten Hindernisdetektionssystemen zu versehen. Daher besteht der Bedarf, dass ein bordseitiges System die Aufgabe eines Fahrers erfüllt, die Schienenstrecke zu beobachten und zu überwachen.
  • Die meisten bordseitigen Systeme umfassen Systeme zur Positionsmessung von detektierten Hindernissen. Die Kenntnis der exakten Position eines potenziellen Hindernisses erlaubt eine Einschätzung der Gefahren, die von dem Hindernis ausgehen. Insbesondere muss die Position des potenziellen Hindernisses ausreichend genau ermittelt werden, um einzuschätzen, wie weit entfernt sich das potentielle Hindernis von einem Schienenfahrzeug befindet und ob sich das potentielle Hindernis im Lichtraumprofil des Schienenfahrzeugs befindet oder nicht bzw. möglicherweise zu einem späteren Zeitpunkt befinden wird oder nicht.
  • Um Sicherheitsanforderungen zu erfüllen, muss die Präzision der Lokalisierung potenzieller Hindernisse durch die eingesetzten bordseitigen Systeme geprüft bzw. validiert werden. Bisher erfolgt zur Vorbereitung einer solchen Validierung zunächst eine Positionierung eines Testobjekts auf einer Testschienenstrecke. Weiterhin werden Positionsmarken auf der Testschienenstrecke festgelegt und angeordnet. Während der Validierung werden die durch die festgelegten Positionsmarken markierten Positionen durch ein Schienenfahrzeug mit einer zu validierenden Sensoreinrichtung angefahren. Die Festlegung der Positionsmarken erfolgt üblicherweise einzeln von Hand, sie ist daher recht aufwändig. Außerdem kann es bei dem Anfahren der einzelnen Positionsmarken durch das Schienenfahrzeug zu Ungenauigkeiten, die sich auf die Zuverlässigkeit der Validierung ungünstig auswirken, kommen.
  • Es besteht also die Aufgabe, eine Anordnung und ein Verfahren zur Validierung der Funktion einer bordseitigen Sensorik zur Hindernislokalisierung für Schienenfahrzeuge bereitzustellen, welche zuverlässiger, robuster und exakter funktionieren als die bisherigen Lösungsansätze.
  • Diese Aufgabe wird durch eine Anordnung zur Validierung einer Funktion einer Sensoreinheit eines Schienenfahrzeugs zur Objektlokalisierung gemäß Patentanspruch 1 und ein Verfahren zur Validierung einer Funktion einer Sensoreinheit eines Schienenfahrzeugs zur Objektlokalisierung gemäß Patentanspruch 13 gelöst.
  • Die erfindungsgemäße Anordnung zur Validierung einer Funktion einer Sensoreinheit eines Schienenfahrzeugs zur Objektlokalisierung weist eine Testschienenstrecke auf. Wie später noch ausführlich erläutert, umfasst die Testschienenstrecke vorzugsweise eine Gestalt, welche derart ausgebildet ist, dass ein Abstand eines Objekts zu einer Mittenlinie der Testschienenstrecke leicht zu ermitteln ist. Es soll an dieser Stelle betont werden, dass die Sensoreinheit bevorzugt einer Mehrzahl von Sensoren aufweist, um eine Lokalisierung eines Objekts vornehmen zu können. Typische Methoden der Lokalisierung umfasst Verfahren der Triangulation und/oder der Laufzeitmessung. Wie zumindest teilweise eingangs erwähnt, umfassen Sensoreinheiten für derartige Aufgaben bevorzugt Lidarsysteme und/oder Radarsysteme und/oder 3D-Kameras auf optischer Basis oder auf Infrarot-Basis.
  • Die erfindungsgemäße Anordnung weist auch ein Testobjekt, das sich auf der Testschienenstrecke befindet, auf. Das Testobjekt umfasst ein zu Testzwecken zu detektierendes bzw. zu lokalisierendes Objekt auf der Testschienenstrecke. Ein solches zu lokalisierendes Objekt umfasst bevorzugt eine Silhouette eines typischerweise im Bereich des Schienenverkehrs auftretenden Objekts, wie zum Beispiel eine Silhouette einer menschlichen Person oder eines Fahrzeugs, die vor der Sensoreinheit des Schienenfahrzeugs im Rahmen der Validierung detektiert und lokalisiert werden sollen. Vorteilhaft entspricht eine solche Form des Testobjekts einer bei der Anwendung typischerweise auftretenden äußeren Form eines potenziellen Hindernisses, so dass die Testbedingungen annähernd realen Bedingungen entsprechen.
  • Teil des Testobjekts ist auch eine erste Selbstlokalisierungseinheit zum Ermitteln einer Referenzposition des Testobjekts. Die erste Selbstlokalisierungseinheit ermittelt die eigene Position, die im Wesentlichen der Ego-Position des Testobjekts entspricht. Die Ego-Position des Testobjekts wird als Referenzposition des Testobjekts genutzt. Die Ego-Position der ersten Selbstlokalisierungseinheit kann in die Referenzposition des Testobjekts umgerechnet werden, falls die Ego-Position der ersten Selbstlokalisierungseinheit nicht exakt der Ego-Position bzw. Referenzposition des Testobjekts entspricht. Die Ermittlung der Ego-Position erfolgt auf Basis einer Erfassung von Messdaten durch die erste Selbstlokalisierungseinheit, die mit der Ego-Position der ersten Selbstlokalisierungseinheit korreliert sind. Die Messdaten können Zeitdifferenzmessdaten, insbesondere Satellitennavigationsmessdaten, odometrische Messdaten, Abstandsmessdaten, Geschwindigkeitsmessdaten oder Beschleunigungsmessdaten umfassen.
  • Das Schienenfahrzeug umfasst eine Sensoreinheit zur Detektion einer Relativposition des Testobjekts zu der Sensoreinheit. Hierzu misst die Sensoreinheit die Richtung und den Abstand, in der sich das Testobjekt relativ zu der Sensoreinheit befindet. Die Relativposition gibt die Position des Testobjekts in einem mit dem Schienenfahrzeug bzw. der Sensoreinheit des Schienenfahrzeugs mitbewegten Koordinatensystem an. Das Schienenfahrzeug umfasst auch eine zweite Selbstlokalisierungseinheit zum Ermitteln einer Ego-Position des Schienenfahrzeugs. Genauer gesagt, ermittelt die zweite Selbstlokalisierungseinheit durch eine Messung der eigenen Position zunächst ihre eigene Position, d.h. die Ego-Position der zweiten Selbstlokalisierungseinheit, aus der die Ego-Position des Schienenfahrzeugs bzw. die Ego-Position der Sensoreinheit des Schienenfahrzeugs ermittelt werden, die sich minimal voneinander unterscheiden, aber bei bekannter Orientierung des Schienenfahrzeugs leicht ineinander umzurechnen sind. Die zweite Selbstlokalisierungseinheit ermittelt die Ego-Position des Schienenfahrzeugs auf Basis von Messdaten, die mit der Position des Schienenfahrzeugs korreliert sind. Bevorzugt ist die zweite Selbstlokalisierungseinheit dazu eingerichtet, eine Ego-Pose des Schienenfahrzeugs zu ermitteln. Eine solche Ego-Pose weist neben der Ego-Position des Schienenfahrzeugs auch dessen Ausrichtung auf. Vorteilhaft kann auf Basis der Ego-Pose nicht nur der Abstand zwischen dem Schienenfahrzeug und dem Testobjekt, sondern auch die Richtung, in der sich das Testobjekt relativ zu der Pose des Schienenfahrzeugs befindet und damit die exakte Relativposition des Testobjekts zu dem Schienenfahrzeug ermittelt werden. Die Ausrichtung des Schienenfahrzeugs und damit auch die Ausrichtung der Sensoreinheit im Raum kann sowohl durch eine direkte Messung der Orientierung als auch durch eine Ableitung der Orientierung auf Basis der ermittelten Ego-Position des Schienenfahrzeugs und des Schienenverlaufs der Testschienenstrecke an der Ego-Position, insbesondere auch durch Kartendaten oder Satellitennavigationsdaten ermittelt werden. Bei bekanntem Verlauf der Testschienenstrecke ergibt sich in der Regel die Orientierung des Schienenfahrzeugs aus dessen Ego-Position. Insbesondere bei geradlinigem Verlauf der Testschienenstrecke ist die Orientierung des Schienenfahrzeugs positionsunabhängig. Vorteilhaft steht bei dieser Variante die Orientierung des Schienenfahrzeugs fest und es muss bei der Validierung keine örtlich variable Orientierung des Schienenfahrzeugs, beispielsweise durch Hinzuziehung von Kartenmaterial oder durch eine Messung der Orientierung des Schienenfahrzeugs und/oder seiner Sensoreinheit berücksichtigt werden.
  • Es sei noch erwähnt, dass die erfindungsgemäße Anordnung vorteilhaft auch um eine Justageeinheit ergänzt sein kann, die auf Basis der Validierung eine Justage der Positionsermittlung des Testobjekts vornimmt, um die erforderliche Genauigkeit einer Objektlokalisierung durch die Sensoren eines betreffenden Schienenfahrzeugs zu verbessern bzw. zu sichern.
  • Das Schienenfahrzeug der erfindungsgemäßen Anordnung umfasst auch eine Positionsermittlungseinheit zum Ermitteln einer Absolutposition des Testobjekts auf Basis der detektierten Relativposition des Testobjekts zur Sensoreinheit und der ermittelten Ego-Position des Schienenfahrzeugs. Auf Basis der Kenntnis des Streckenverlaufs und der Kenntnis der Ego-Position des Schienenfahrzeugs auf der Testschienenstrecke errechnet die Positionsermittlungseinheit eine Pose des Schienenfahrzeugs. Anhand der Kenntnis der Pose des Schienenfahrzeugs und der Relativposition des Testobjekts berechnet die Positionsermittlungseinheit eine Absolutposition in einem ruhenden Koordinatensystem, dessen Lage und Ausrichtung unabhängig von der Pose und der aktuellen Position des Schienenfahrzeugs ist.
  • Die erfindungsgemäße Anordnung umfasst auch eine Validierungseinheit zum Ermitteln einer Abweichung der ermittelten Absolutposition des Testobjekts von der Referenzposition des Testobjekts. Zur Ermittlung der Abweichung führt die Validierungseinheit einen Vergleich zwischen der ermittelten Absolutposition des Testobjekts und der Referenzposition des Testobjekts durch. Die Validierung erzielt ein positives Ergebnis, wenn die Abweichung einen Schwellwert unterschreitet. Vorteilhaft kann die Validierung automatisiert ablaufen. Insbesondere müssen auf der Testschienenstrecke keine Markierungen für einzelne Ego-Positionen des Schienenfahrzeugs von Hand angeordnet werden. Durch die Ermittlung einer Mehrzahl von Ego-Positionen des Schienenfahrzeugs, kann, wie später im Detail erläutert wird, eine geographische Karte mit Ego-Positionen erstellt werden, wobei die Ego-Positionen unter Ermittlung der Ego-Position des Schienenfahrzeugs durch die zweite Selbstlokalisierungseinheit des Schienenfahrzeugs im Rahmen eines Testlaufs durch das Schienenfahrzeug jeweils angefahren werden. Vorteilhaft kann als Grundlage für die Validierung eine genaue Ermittlung von Geodaten zur Ermittlung der Ego-Position eines Schienenfahrzeugs in jeder Art von Umgebung ohne externen Dienst oder vorherige Ermittlung von stationär eingemessenen Infrastrukturpunkten erfolgen. Auf Basis dieser Geodaten können sämtliche Merkmale für eine Validierung eines Hinderniserkennungssystems im Bahnumfeld abgeleitet werden, insbesondere eine Ermittlung einer Präzision einer Messung einer Entfernung eines Objekts zum Schienenfahrzeug oder zur Schienenstrecke.
  • Bei dem Verfahren zur Validierung einer Funktion einer Sensoreinheit eines Schienenfahrzeugs zur Objektlokalisierung wird eine Referenzposition eines Testobjekts durch eine erste an dem Testobjekt angeordnete Selbstlokalisierungseinheit ermittelt. Die Referenzposition kann zum Beispiel durch Ermitteln der geographischen Koordinaten des Testobjekts bzw. einer bestimmten Stelle des Testobjekts, beispielsweise eines geometrischen Zentrums des Testobjekts, ermittelt werden.
  • Weiterhin wird eine Relativposition des Testobjekts zu einer an dem Schienenfahrzeug angeordneten Sensoreinheit ermittelt. Diese Relativposition ergibt sich aus der von der Sensoreinheit gemessenen Entfernung und Richtung, in der sich das Testobjekt relativ zu dem Schienenfahrzeug bzw. der Sensoreinheit befindet.
  • Zudem wird eine Ego-Position oder vorzugsweise die Ego-Pose des Schienenfahrzeugs durch eine an dem Schienenfahrzeug angeordnete zweite Selbstlokalisierungseinheit ermittelt. Wie bereits erwähnt, gibt die Ego-Pose neben der exakten Ego-Position auch die Orientierung des Schienenfahrzeugs an. Die Ego-Position wird bevorzugt in geographischen Koordinaten angegeben. Die Orientierung des Schienenfahrzeugs kann zum Beispiel durch eine Winkelangabe relativ zu einer Bezugsrichtung beschrieben werden.
  • Auf Basis der detektierten Relativposition des Testobjekts zur Sensoreinheit und der ermittelten Ego-Position des Schienenfahrzeugs wird im Rahmen des erfindungsgemäßen Verfahrens eine Absolutposition des Testobjekts ermittelt.
  • Schließlich wird eine Funktion einer Objektlokalisierung der Sensoreinheit durch Ermitteln einer Abweichung der ermittelten Absolutposition des Testobjekts von der Referenzposition des Testobjekts validiert. D.h. es wird ermittelt, ob eine Abweichung bei der Ermittlung der Absolutposition des Testobjekts einen vorbestimmten Schwellwert unterschreitet oder nicht. Das erfindungsgemäße Verfahren teilt die Vorteile der erfindungsgemäßen Anordnung.
  • Das erfindungsgemäße Validierungsverfahren kann insbesondere für ein Justage-Verfahren genutzt werden, bei dem auf Basis der Validierung eine Justage der Positionsermittlung des Testobjekts vorgenommen wird, um die erforderliche Genauigkeit einer Objektlokalisierung durch die Sensoren eines betreffenden Schienenfahrzeugs zu verbessern bzw. zu sichern. Bei einem solchen Verfahren erfolgt auf Basis der bei der Validierung gemessenen Abweichung eine Korrektur der Ausrichtung der Sensoreinheiten und/oder eine rechnerische Korrektur, um die ermittelte Abweichung zu kompensieren.
  • Ein Großteil der zuvor genannten Komponenten der erfindungsgemäßen Anordnung können ganz oder teilweise in Form von Softwaremodulen in einem Prozessor eines entsprechenden Rechensystems realisiert werden, z.B. in einer Steuereinrichtung oder einem Rechensystem des Schienenfahrzeugs oder einem Rechensystem des Testobjekts oder auch einem extern angeordneten Rechensystem. Dies gilt insbesondere für die Positionsermittlungseinheit des Schienenfahrzeugs und die Validierungseinheit. Eine weitgehend softwaremäßige Realisierung hat den Vorteil, dass auch schon bisher verwendete Rechensysteme auf einfache Weise durch ein Software-Update nachgerüstet werden können, um auf die erfindungsgemäße Weise zu arbeiten. Insofern wird die Aufgabe auch durch ein entsprechendes Computerprogrammprodukt mit einem Computerprogramm gelöst, welches direkt in ein Rechensystem ladbar ist, mit Programmabschnitten, um die Schritte des erfindungsgemäßen Verfahrens, zumindest die durch einen Computer ausführbaren Schritte, insbesondere die Schritte des Ermittelns einer Absolutposition des Testobjekts und des Validierens der Objektlokalisierung bzw. Objektlokalisierungsfunktion auszuführen, wenn das Programm in dem Rechensystem ausgeführt wird. Ein solches Computerprogrammprodukt kann neben dem Computerprogramm gegebenenfalls zusätzliche Bestandteile wie z. B. eine Dokumentation und/oder zusätzliche Komponenten auch Hardware-Komponenten, wie z.B. Hardware-Schlüssel (Dongles etc.) zur Nutzung der Software, umfassen.
  • Zum Transport zum Rechensystem bzw. zur Steuereinrichtung und/oder zur Speicherung an oder in dem Rechensystem bzw. der Steuereinrichtung kann ein computerlesbares Medium, z.B. ein Memorystick, eine Festplatte oder ein sonstiger transportabler oder fest eingebauter Datenträger dienen, auf welchem die von einem Rechensystem einlesbaren und ausführbaren Programmabschnitte des Computerprogramms gespeichert sind. Das Rechensystem kann z.B. hierzu einen oder mehrere zusammenarbeitende Mikroprozessoren oder dergleichen aufweisen.
  • Die abhängigen Ansprüche sowie die nachfolgende Beschreibung enthalten jeweils besonders vorteilhafte Ausgestaltungen und Weiterbildungen der Erfindung. Dabei können insbesondere die Ansprüche einer Anspruchskategorie auch analog zu den abhängigen Ansprüchen einer anderen Anspruchskategorie und deren Beschreibungsteilen weitergebildet sein. Zudem können im Rahmen der Erfindung die verschiedenen Merkmale unterschiedlicher Ausführungsbeispiele und Ansprüche auch zu neuen Ausführungsbeispielen kombiniert werden.
  • In einer Ausgestaltung der erfindungsgemäßen Anordnung weist das Testobjekt eine Sendeeinheit auf. Die Sendeeinheit ist bevorzugt zum Übermitteln der ermittelten Referenzposition des Testobjekts an das Schienenfahrzeug oder eine andere zur Auswertung und Validierung eingerichtete Einrichtung ausgebildet. Eine solche Sendeeinheit ermöglicht die Übermittlung der Information über die Referenzposition des Testobjekts an eine entfernt von dem Testobjekt angeordnete Einrichtung und auch die Verarbeitung der Information über die Referenzposition des Testobjekts an einer von dem Testobjekt entfernten Position. Hierzu ist an dieser entfernten Position eine Empfangseinheit angeordnet, welche zum Empfangen der ermittelten Referenzposition des Testobjekts dient. Eine solche entfernte Position kann zum Beispiel die Position des Schienenfahrzeugs umfassen. D.h., das Schienenfahrzeug kann die Empfangseinheit aufweisen. Diese Variante ist insbesondere dann vorteilhaft, wenn auch die Validierungseinheit von dem Schienenfahrzeug umfasst ist. Bei dieser Variante empfängt die Validierungseinheit über die Empfangseinheit die Information über die Referenzposition des Testobjekts und führt einen Vergleich mit der von der Positionsermittlungseinheit des Schienenfahrzeugs ermittelten Absolutposition des Testobjekts durch. Die Validierungseinheit kann aber auch räumlich getrennt von dem Schienenfahrzeug, beispielsweise stationär oder auf einer mobilen Prüfeinrichtung angeordnet sein. Bei dieser Variante umfasst das Schienenfahrzeug ebenfalls eine Sendeeinheit, um die ermittelte Absolutposition des Testobjekts an die mobile Prüfeinrichtung zu übermitteln. Die Validierung erfolgt bei dieser Variante räumlich getrennt von dem Schienenfahrzeug. Bei dieser Variante wird vorteilhaft nur eine einzige Validierungseinheit für eine Mehrzahl von Schienenfahrzeugen benötigt, wodurch Ressourcen eingespart werden können.
  • In einer Variante der erfindungsgemäßen Anordnung umfasst das Testobjekt die Validierungseinheit und eine Empfangseinheit zum Empfangen der von der Positionsermittlungseinheit ermittelten Absolutposition des Testobjekts. Weiterhin umfasst das Schienenfahrzeug eine Sendeeinheit zum Übermitteln der von der Positionsermittlungseinheit ermittelten Absolutposition des Testobjekts an die Empfangseinheit des Testobjekts bzw. die Validierungseinheit des Testobjekts. Bei dieser Variante erfolgt die Auswertung der Testdaten in dem Testobjekt selbst. Das Schienenfahrzeug dient dabei lediglich als mobile Sensoreinheit zur Messung der Ego-Position des Schienenfahrzeugs und zur Messung der Relativposition des Testobjekts zum Schienenfahrzeug. Bei dieser Variante kann die Validierung der Sensorfunktion unterschiedlicher Schienenfahrzeuge mit einer einzigen Validierungseinheit erfolgen, wenn zur Validierung der Sensorfunktion unterschiedlicher Schienenfahrzeuge jeweils dasselbe Testobjekt genutzt wird.
  • In einer Variante der erfindungsgemäßen Anordnung weist diese eine von dem Schienenfahrzeug und dem Testobjekt separate Auswertungseinrichtung auf. Die separate Auswertungseinrichtung umfasst bei dieser Variante die Validierungseinheit und eine Empfangseinheit zum Empfangen der von der Positionsermittlungseinheit des Schienenfahrzeugs ermittelten Absolutposition des Testobjekts und zum Empfangen der Referenzposition des Testobjekts von dem Testobjekt. Bei dieser Variante umfasst das Schienenfahrzeug eine Sendeeinheit zum Übermitteln der von der Positionsermittlungseinheit ermittelten Absolutposition des Testobjekts an die separate Auswertungseinrichtung. Diese Variante weist den Vorteil auf, dass die Auswertungseinrichtung nun flexibel für eine Validierung der Funktion unterschiedlicher Schienenfahrzeuge und unterschiedlicher Testobjekte genutzt werden kann, wobei nur eine einzige Validierungseinheit für die genannten Anwendungsfälle benötigt wird. Auf diese Weise können Ressourcen eingespart werden. Die Auswertungseinrichtung kann an einer bestimmten Teststrecke fest installiert sein, sie kann auch als mobile bzw. transportable Einrichtung für eine Validierung an unterschiedlichen Teststrecken ausgebildet sein. Für den Transport kann die Auswertungseinrichtung mit einem Fahrwerk und einer Traktionseinheit zum Transport zwischen unterschiedlichen Teststrecken ausgebildet sein. Bei letzter Variante wird der Anwendungsbereich der Auswertungseinrichtung auf unterschiedliche Testschienenstrecken erweitert, so dass die Ressourceneffizienz durch vielseitige Einsatzmöglichkeiten ein- und derselben Validierungseinheit weiter erhöht wird.
  • Die zweite Selbstlokalisierungseinheit in oder an dem Schienenfahrzeug der erfindungsgemäßen Anordnung erfasst Messdaten zur Positionsschätzung und Orientierungsschätzung für die Position und gegebenenfalls die Pose des Schienenfahrzeugs. Diese Messdaten können durch technisch sehr unterschiedliche Arten von Messgeräten erfasst werden. Die genannten Messdaten können die folgenden Typen von Messdaten umfassen:
    • Satellitennavigationsdaten,
    • IMU-Daten (IMU = inertial measurement unit = inertiale Messeinheit)
    • Geschwindigkeitssensordaten,
    • Odometriedaten,
    • sogenannte RTK-Korrekturdaten.
  • RTK-Korrekturdaten (RTK = Real time kinematics = kinematische Echtzeitdaten) werden in der Geodäsie zur präzisen Bestimmung von Positionskoordinaten mit Methoden der Satellitennavigation verwendet. Dabei werden Genauigkeiten von 1 bis 2 cm erreicht. Die Koordinaten der Positionen werden nach einer Initialisierung in Echtzeit berechnet. Die Positionen werden durch Nutzung einer Referenz-Antenne einer Referenzstation und einer zweiten Antenne, die auf einem sogenannten Rover positioniert ist, ermittelt. Die Position des Rovers wird durch dreidimensionales polares Anhängen an die Referenzstation nach dem Basislinienverfahren ermittelt. Das Schienenfahrzeug umfasst bevorzugt die zweite Antenne, d.h. die zweite Selbstlokalisierungseinheit des Schienenfahrzeugs umfasst bevorzugt diese zweite Antenne. Die Referenzstation kann zum Beispiel Teil des Testobjekts sein und die erste Selbstlokalisierungseinheit kann in diesem Fall die Referenz-antenne umfassen. Die Referenzstation kann aber auch von einer anderen bzw. externen Einrichtung aus geliefert werden. Die RTK-Korrekturdaten können insbesondere über das Mobilfunknetz oder über Funk von einer Einrichtung, welche Korrekturdaten für die Satellitennavigation erzeugt, bereitgestellt werden.
  • Eine inertiale Messeinheit misst Beschleunigungs- und Verzögerungsdaten und kann zur Ermittlung einer Orientierung eines Schienenfahrzeugs und damit zur Ermittlung der Pose des Schienenfahrzeugs genutzt werden.
  • Geschwindigkeitssensordaten und Odometriedaten können zur Ermittlung der Ego-Position eines Schienenfahrzeugs eingesetzt werden.
  • In einer Variante der erfindungsgemäßen Anordnung umfasst die erste und/oder die zweite Selbstlokalisierungseinheit mindestens eine der folgenden Typen von Selbstlokalisierungseinheiten:
    • eine Navigationseinheit zum Empfangen eines Satellitennavigationssignals,
    • eine Empfangseinheit zum Empfangen von RTK-Korrekturdaten,
    • eine inertiale Messeinheit.
  • Satellitennavigation kann für eine Positionsermittlung oder Bewegungsrichtungsermittlung im Rahmen der differenziellen Satellitennavigation durch eine Ergänzung von Referenzstationen sowie die Auswertung der Phasenverschiebung der Trägerwelle hohe Genauigkeiten erreichen. Eine inertiale Messeinheit kann zur Orientierungsmessung genutzt werden. Geschwindigkeitsdaten und Odometriedaten können ebenfalls zur Positionsbestimmung genutzt werden. Vorteilhaft können auch unterschiedliche Messverfahren kombiniert werden. Je nach Situation und aktueller Anwendbarkeit der unterschiedlichen Verfahren können die Messwerte unterschiedlicher Messverfahren kombiniert werden, beispielsweise durch Datenfusion, insbesondere durch gewichtete Mittelung der Messwerte.
  • Bevorzugt ist die Positionsermittlungseinheit der erfindungsgemäßen Anordnung dazu eingerichtet, auf Basis der Ego-Position des Schienenfahrzeugs eine Position und einen Verlauf einer Mittenlinie der Testschienenstrecke zu ermitteln. Ist die Lateralposition der zweiten Selbstlokalisierungseinheit auf dem Schienenfahrzeug bekannt, so kann durch Abfahren der Testschienenstrecke eine Absolutposition auf einer Mittenlinie der Testschienenstrecke ermittelt werden. Vorteilhaft kann diese Mittenlinie als Bezugslinie für eine zu messende Lateralposition des Testobjekts genutzt werden.
  • Bevorzugt ist die Positionsermittlungseinheit dazu eingerichtet, einen Abstand des Testobjekts von der Mittenlinie zu ermitteln. Ein Abstand eines Punkts zu der Mittenlinie kann mit Hilfe der linearen Algebra ermittelt werden. Dabei wird der Vektor ermittelt, der durch den Punkt verläuft und senkrecht zu der Mittenlinie orientiert ist. Vorteilhaft kann durch die Kenntnis des Abstands eines Punkts, insbesondere eines Objekts, von der Mittenlinie ermittelt werden, ob sich das Objekt im Fahrbereich des Schienenfahrzeugs bzw. im Schienenbereich befindet oder nicht.
  • Bevorzugt ist die Validierungseinheit der erfindungsgemäßen Anordnung dazu eingerichtet, eine Abweichung des fahrzeugseitig ermittelten Abstands des Testobjekts von der Mittenlinie von einem Referenzabstand des Testobjekts zu der Mittenlinie zu ermitteln. Der Referenzabstand des Testobjekts zu der Mittenlinie kann zum Beispiel auf Basis der Referenzposition des Testobjekts und der Kenntnis des Verlaufs der Mittenlinie berechnet werden. Der Vergleich ergibt eine Lateralabweichung der fahrzeugseitig gemessenen Absolutposition des Testobjekts.
  • Bevorzugt ist die Positionsermittlungseinheit dazu eingerichtet, einen Abstand zwischen dem Schienenfahrzeug und dem Testobjekt, vorzugsweise in Längsrichtung, zu ermitteln. Eine Abstandsmessung kann zum Beispiel trigonometrisch oder als Laufzeitmessung erfolgen.
  • Bevorzugt ist die Positionsermittlungseinheit dazu eingerichtet, eine Abweichung zwischen dem fahrzeugseitig detektierten Abstand, vorzugsweise in Längsrichtung, zwischen dem Schienenfahrzeug und dem Testobjekt und einem auf Basis der Referenzposition des Testobjekts und der ermittelten Ego-Position des Schienenfahrzeugs ermittelten Referenzabstands zwischen dem Schienenfahrzeug und dem Testobjekt, vorzugsweise in Längsrichtung, zu ermitteln.
  • Bevorzugt weist die Testschienenstrecke einen geradlinigen Verlauf auf. Vorteilhaft ändert sich die Pose des Schienenfahrzeugs bei dieser Variante der geometrischen Form der Testschienenstrecke in Abhängigkeit von der Position des Schienenfahrzeugs auf der Testschienenstrecke nicht. Die Pose des Schienenfahrzeugs muss also nicht ermittelt werden, um eine Ermittlung der Relativposition oder Absolutposition des Testobjekts auf Basis von Sensordaten durchzuführen.
  • Bevorzugt umfasst die Testschienenstrecke einen krummlinigen Verlauf und ist eine Mittenlinie der Testschienenstrecke durch geradlinige Teilstrecken angenähert. Vorteilhaft kann ein Abstand eines Punkts eines Objekts zu den Teilstrecken durch einfache lineare algebraische Methoden berechnet werden.
  • Die Erfindung wird im Folgenden unter Hinweis auf die beigefügten Figuren anhand von Ausführungsbeispielen noch einmal näher erläutert. Es zeigen:
    • FIG 1 eine schematische Darstellung einer Anordnung zur Validierung einer Funktion einer Sensoreinheit eines Schienenfahrzeugs zur Objektlokalisierung gemäß einem Ausführungsbeispiel der Erfindung,
    • FIG 2 ein Flussdiagramm, welches ein Verfahren zur Validierung einer Funktion einer Sensoreinheit eines Schienenfahrzeugs zur Objektlokalisierung gemäß einem Ausführungsbeispiel der Erfindung veranschaulicht,
    • FIG 3 eine schematische Darstellung eines Vorgangs zur Erstellung einer Karte mit Ego-Positionen, die das Schienenfahrzeug im Rahmen der Validierung anfährt,
    • FIG 4 eine Darstellung der möglichen Fehler bei der Ermittlung der Ego-Position eines Schienenfahrzeugs und deren Auswirkungen auf eine Objektlokalisierung,
    • FIG 5 eine Darstellung von Positionen von Objekten mit unterschiedlichen lateralen Abständen zu einer Mittenlinie einer Schienenstrecke,
    • FIG 6 ein Schaubild, welches eine Ermittlung des minimalen Abstandes zwischen einem Punkt und einer konstruierten Strecke veranschaulicht,
    • FIG 7 ein Schaubild, welches eine Ermittlung eines longitudinalen Abstandes zwischen einem Punkt und einem Hilfspunkt in longitudinaler Richtung veranschaulicht,
    • FIG 8 einen Kreisabstand auf einer Sphäre,
    • FIG 9 eine Darstellung von Winkelbeziehungen in einem Kreisbogen,
    • FIG 10 ein Schaubild, welches einen Validierungsprozess dokumentiert,
    • FIG 11 eine schematische Darstellung einer Anordnung zur Validierung einer Funktion einer Sensoreinheit eines Schienenfahrzeugs zur Objektlokalisierung gemäß einem zweiten Ausführungsbeispiel der Erfindung,
    • FIG 12 eine schematische Darstellung einer Anordnung zur Validierung einer Funktion einer Sensoreinheit eines Schienenfahrzeugs zur Objektlokalisierung gemäß einem dritten Ausführungsbeispiel der Erfindung.
  • In FIG 1 ist eine schematische Darstellung einer Anordnung 1 zur Validierung einer Funktion einer Sensoreinheit 7 eines Schienenfahrzeugs 6 zur Objektlokalisierung gezeigt. Die Anordnung 1 umfasst eine geradlinige Testschienenstrecke 2, auf der sich ein Testobjekt 3, das in FIG 1 auf der rechten Seite lediglich schematisch gezeichnet ist, befindet. Weiterhin befindet sich auf der Testschienenstrecke 2 ein Schienenfahrzeug 6, das in FIG 1 auf der linken Seite gezeichnet ist.
  • Das Testobjekt 3 ist in einem Abstand dr zur Mittenlinie 2a der Testschienenstrecke 2 angeordnet. Das Testobjekt 3 umfasst eine erste Selbstlokalisierungseinheit 4, in diesem Ausführungsbeispiel eine Satellitennavigationseinheit, zum Ermitteln einer Referenzposition RPT des Testobjekts 3. Hierzu empfängt die erste Selbstlokalisierungseinheit 4 ein Satellitensignal, auf dessen Basis sie die Referenzposition RPT des Testobjekts 3 ermittelt. Das Testobjekt 3 umfasst weiterhin eine Sendeeinheit 5 zum Übermitteln der ermittelten Referenzposition RPT des Testobjekts 3 an das Schienenfahrzeug 6 per Funk.
  • Das Schienenfahrzeug 6 umfasst die bereits erwähnte Sensoreinheit 7, in diesem Ausführungsbeispiel eine Lidareinheit, zur Detektion und Lokalisierung, d.h. zur Ermittlung einer Relativposition RLP des Testobjekts 3 zur Sensoreinheit 7. Hierzu misst die Sensoreinheit 7 den longitudinalen Abstand dl des Testobjekts 3 zu der Sensoreinheit 7 und den lateralen Abstand dr des Testobjekts 3 zur Mittenlinie 2a der Testschienenstrecke 2. Die Position und der Verlauf der Mittenlinie 2a können vorab durch ein Abfahren der Testschienenstrecke 2 und ein Erfassen der Ego-Position EP des Schienenfahrzeugs 6 an unterschiedlichen Stellen der Testschienenstrecke 2 ermittelt werden. Zur Ermittlung der Ego-Position EP umfasst das Schienenfahrzeug 6 eine zweite Selbstlokalisierungseinheit 9.
  • Die zweite Selbstlokalisierungseinheit 9 umfasst in dem in FIG 1 gezeigten Ausführungsbeispiel ebenfalls eine Satellitennavigationseinheit zum Empfangen eines Satellitensignals zur Ermittlung der Ego-Position EP des Schienenfahrzeugs 6. Weiterhin umfasst das Schienenfahrzeug 6 auch eine Positionsermittlungseinheit 8, welche eine Absolutposition AP des Testobjekts 3 auf Basis der detektierten Relativposition RLP des Testobjekts 3 zur Sensoreinheit 7 und auf Basis der ermittelten Ego-Position EP des Schienenfahrzeugs 6 ermittelt. Die von der Positionsermittlungseinheit 8 ermittelte Absolutposition AP wird auch an eine Validierungseinheit 10 übermittelt, die ebenfalls Teil des Schienenfahrzeugs 6 ist. Die Validierungseinheit 10 führt einen Vergleich zwischen der ermittelten Absolutposition AP des Testobjekts 3 und der von dem Testobjekt 3 selbst ermittelten Referenzposition RPT des Testobjekts 3 durch. Hierzu umfasst das Schienenfahrzeug 6 eine Empfangseinheit 11, mit der die Information über die Referenzposition RPT von dem Testobjekt 3 per Funk empfangen wird.
  • In FIG 2 ist ein Flussdiagramm 200 gezeigt, welches ein Verfahren zur Validierung einer Funktion einer Sensoreinheit 7 eines Schienenfahrzeugs 6 zur Objektlokalisierung gemäß einem Ausführungsbeispiel der Erfindung veranschaulicht.
  • Bei dem Schritt 2.I wird eine Referenzposition RPT eines Testobjekts 3 durch eine in dem Testobjekt 3 angeordnete erste Selbstlokalisierungseinheit 4 ermittelt. Hierzu wird von der ersten Selbstlokalisierungseinheit 4, in diesem Ausführungsbeispiel eine Satellitennavigationseinheit, ein Satellitensignal PS empfangen.
  • Bei dem Schritt 2.II wird die ermittelte Referenzposition RPT des Testobjekts 3 an eine Empfangseinheit 11 des Schienenfahrzeugs 6 durch eine an dem Testobjekt 3 angeordnete Sendeeinheit 5 übermittelt.
  • Bei dem Schritt 2.III wird eine Relativposition RLP des Testobjekts 3 zu einer an dem Schienenfahrzeug 6 angeordneten Sensoreinheit 7 detektiert. Hierzu misst die Sensoreinheit 7, in dem in FIG 2 veranschaulichten Ausführungsbeispiel eine Lidareinheit, eine Entfernung und einen Azimut des Testobjekts 3 relativ zu der Orientierung der Sensoreinheit 7.
  • Bei dem Schritt 2.IV wird zusätzlich eine Ego-Position EP des Schienenfahrzeugs 6 durch eine an dem Schienenfahrzeug 6 angeordnete zweite Selbstlokalisierungseinheit 9 ermittelt. Die Orientierung des Schienenfahrzeugs 6 ist anhand der bekannten Geometrie der Testschienenstrecke 2, beispielsweise verläuft die Testschienenstrecke 2 geradlinig, ebenfalls bekannt.
  • Bei dem Schritt 2.V wird eine Absolutposition AP des Testobjekts 3 auf Basis der detektierten Relativposition RLP des Testobjekts 3 zur Sensoreinheit 7 und der ermittelten Ego-Position EP sowie der bekannten Orientierung des Schienenfahrzeugs 6 ermittelt.
  • Bei dem Schritt 2.VI wird die Objektlokalisierungsfunktion der Sensoreinheit 7 durch Ermitteln einer Abweichung AW der ermittelten Absolutposition AP des Testobjekts 3 von der Referenzposition RPT des Testobjekts 3 validiert.
  • FIG 3 zeigt eine schematische Darstellung eines Vorgangs zur Erstellung einer Karte mit Ego-Positionen EP1, ..., EP8, die das Schienenfahrzeug 6 (siehe FIG 1) im Rahmen der Validierung anfährt. Die Ego-Positionen EP1, EP2 ..., EP8 befinden sich an unterschiedlichen Positionen auf der Testschienenstrecke 2. Mithin sind die Abstände dl (siehe FIG 1) zwischen dem Testobjekt 3 und dem Schienenfahrzeug 6 an den unterschiedlichen Ego-Positionen EP1, ..., EP8 auch unterschiedlich. Auf Basis der Messdaten an unterschiedlichen Messpositionen lassen sich Genauigkeiten bei der Messung in Abhängigkeit von Entfernungen bzw. Abständen dl ermitteln und feststellen, bis zu welcher Entfernung die Sensoreinheit 7 die Mindestanforderungen an eine Messgenauigkeit erfüllt.
  • In FIG 4 ist eine Darstellung der möglichen Fehler bei der Ermittlung der Ego-Position EP eines Schienenfahrzeugs 6 und deren Auswirkungen auf eine Objektlokalisierung veranschaulicht. Eine ungenaue Ermittlung bzw. eine Abweichung δL der Ego-Position EP des Schienenfahrzeugs 6 in der Longitudinalen L und eine Abweichung δLat in der Lateralen Lat kann zu falsch positiven bzw. falsch negativen Ergebnissen führen. In FIG 4 ist ein Beispiel gezeigt, bei dem ein Objekt O in Wirklichkeit auf einer Schienenstrecke steht, aber aufgrund einer Abweichung bei der Ermittlung der Ego-Position EP des Schienenfahrzeugs 6 fälschlicherweise außerhalb des Schienenbereichs lokalisiert wird. Diese Verschiebung ergibt sich aus der Abweichung δL der gemessenen Ego-Position EP des Schienenfahrzeugs 6 von seiner wahren Ego-Position. Die korrekte Einstufung des detektierten Objekts O hängt neben der korrekten Ermittlung der Ego-Position EP des Schienenfahrzeugs 6 auch von der korrekten Ermittlung der Relativposition RLP des Objektes O von dem Schienenfahrzeug 6 ab. Beide Abweichungen gehen letztendlich in die Validierung mit ein, da sowohl die Ego-Position EP des Schienenfahrzeugs 6 als auch die Relativposition RLP die mit der wahren Position des Objekts O, im Falle der Validierung mit dem Testobjekt 3 handelt es sich dabei um die Referenzposition RPT des Testobjekts 3 (siehe FIG 1), zu vergleichende Absolutposition AP des Objekts O beeinflussen.
  • FIG 5 zeigt eine Darstellung von Positionen von Objekten O mit unterschiedlichen lateralen Abständen zu einer Mittenlinie 2a einer Schienenstrecke 6. Die Mittenlinie 2a ist aus geradlinigen Streckenabschnitten STA zusammengesetzt, die den wahren, von Kurven gekennzeichneten Streckenverlauf annähern.
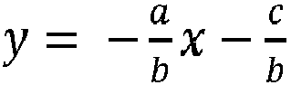
  • In FIG 6 ist ein Schaubild, welches eine Ermittlung des minimalen Abstandes zwischen einem Punkt P mit den Koordinaten (x0, y0) und einer konstruierten Strecke STA mit den Punkten Q und Q' mit den Koordinaten (x1, y1) und (x2, y2) veranschaulicht. Die Distanz d zwischen dem Punkt P und der durch die Gerade y = a b x c b
    Figure imgb0001
    dargestellte Strecke mit den Punkten Q und Q', wird durch den Vektor r repräsentiert. Die kleinste Distanz dr zwischen dem Punkt P und der Geraden y = a b x c b
    Figure imgb0002
    ist eine konstruierte Strecke, welche im rechten Winkel zur Geraden y verläuft und durch den Vektor v repräsentiert wird. Damit r orthogonal zur Geraden y verläuft, muss das Skalarprodukt aus dem Vektor r und dem in Richtung der Gerade y verlaufenden Vektor in Summe Null ergeben.
  • Der Vektor v , der senkrecht auf der Geraden y steht, errechnet sich dann zu v = a b
    Figure imgb0003
  • Der kleinste Abstand dr ergibt sich als Projektion des Vektors r auf den Vektor v . Der Abstand dr zwischen dem Punkt P und der Geraden y = a b x c b
    Figure imgb0004
    ergibt sich nach kurzer Rechnung somit zu d r = x 2 x 1 y 1 y 0 x 1 x 0 y 2 y 1 x 2 x 1 2 + y 2 y 1 2
    Figure imgb0005
  • In FIG 7 ist ein Schaubild dargestellt, welches eine Ermittlung eines longitudinalen Abstandes dl zwischen einem Punkt P0 mit den Koordinaten (x0, y0) und einem Hilfspunkt P' mit den Koordinaten (xr', yr') auf der konstruierten Strecke STA in longitudinaler Richtung veranschaulicht. Unter Verwendung des senkrecht zur Geraden y berechneten lateralen Abstand dr zwischen dem Punkt P mit den Koordinaten (xr, yr) und der Geraden y wird für die Berechnung des longitudinalen Abstands dl zunächst die sich aufspannende Hypotenuse d0 berechnet. Der longitudinale Abstand dl ergibt sich dann als Kathete des Dreiecks aus den anderen beiden bekannten Abständen dr, d0.
  • In FIG 8 ist ein Kreisabstand auf einer Sphäre zwischen einem Punkt P und P0 gezeigt. Mittels der sogenannten Haversine-Formel lässt sich der Abstand zwischen zwei gegebenen Punkten auf einer Sphäre berechnen. Mithin lässt sich der Abstand zwischen zwei Punkten, deren Geokoordinaten bekannt sind, leicht berechnen.
  • In FIG 9 ist eine Darstellung von Winkelbeziehungen in einem Einheitskreis gezeigt. Die Punkte A, B und der Mittelpunkt O' bilden ein gleichschenkliges Dreieck, dessen Schenkel die Länge 1 aufweisen. Einer der Schenkel, die Höhe h des gleichschenkligen Dreiecks und die halbe Basis des gleichschenkligen Dreiecks, bilden ein rechtwinkliges Dreieck mit dem Schenkel mit der Einheitslänge 1 als Hypotenuse und dem Winkel θ zwischen dem Schenkel des gleichschenkligen Dreiecks und der Höhe h. Die Basis des gleichschenkligen Dreiecks wird an dem Fußpunkt C in zwei gleiche Hälften geteilt. Wird die Höhe h in x-Richtung verlängert, so schneidet die verlängerte Halbgerade den Einheitskreis im Punkt D. Der Funktionswert sinθ wird durch die halbe Basis des gleichschenkligen Dreiecks gebildet. Der Funktionswert cosθ wird durch die Höhe h des gleichschenkligen Dreiecks gebildet und der Funktionswert havθ (hav = Abkürzung für "Haversinus") wird durch die Strecke zwischen den Punkten C und D gebildet. Soll nun die in FIG 7 gezeigte Hypotenuse d0 aus den Koordinaten (lat1, lon1), (lat2, lon2) der beiden Punkte P, P0, wobei "lat" für Breitengrad und "lon" für Längengrad steht und "1", "2" die beiden unterschiedlichen Punkte P, P0 auf der Erdkugel symbolisieren, berechnet werden, so ergibt sich der Abstand zwischen den Punkten P und P0, d.h. der Abstand d0 zu: d 0 = r archav hav θ ,
    Figure imgb0006
    wobei hav θ = hav lat 2 lat 1 + cos lat 1 cos lat 2 hav lon 2 lon 1 .
    Figure imgb0007
    und Gleichung (4) in Gleichung (3) eingesetzt ergibt schließlich den Abstand von d0, wobei r den Erdradius repräsentiert.
  • Wie im Zusammenhang mit FIG 7 erklärt, kann aus der Hypotenuse d0 und dem lateralen Abstand dr die Gegenkathete dl und damit der longitudinale Abstand dl berechnet werden.
  • In FIG 10 ist ein Schaubild gezeigt, welches einen Validierungsprozess dokumentiert. In dem Schaubild sind mit einer durchgezogenen treppenförmigen Linie Messwerte, in diesem Fall gemessene longitudinale Abstände dl in Metern (abgekürzt mit "m") zwischen einem Schienenfahrzeug 6 bzw. einer an der Front des Schienenfahrzeugs 6 angeordneten Sensoreinheit 7 und einem Testobjekt 3 in Abhängigkeit von dem Messzeitpunkt t (die Zeitangabe erfolgt in koordinierter Weltzeit, "UTC") gezeigt. Weiterhin sind in dem Schaubild Referenzwerte dlref für einen longitudinalen Abstand zwischen dem Schienenfahrzeug 6 bzw. der Sensoreinheit 7 und dem Testobjekt 3, die durch die Messung der Selbstlokalisierungseinheiten 4, 9 des Testobjekts 3 und des Schienenfahrzeugs 6 ermittelt werden, ebenfalls mit einer durchgezogenen Linie darstellt. Weiterhin ist in dem Schaubild in FIG 10 ein Toleranzbereich T mit einer maximalen Abweichung der gemessenen longitudinalen Abstände dl von 10% von dem jeweiligen Referenzwert dlref mit gestrichelten Linien markiert.
  • In FIG 11 ist eine schematische Darstellung einer Anordnung 1 zur Validierung einer Funktion einer Sensoreinheit 7 eines Schienenfahrzeugs 6 zur Objektlokalisierung gemäß einem zweiten Ausführungsbeispiel der Erfindung veranschaulicht. Bei der in FIG 11 gezeigten Anordnung 1 weist nicht das Schienenfahrzeug 6, sondern das Testobjekt 3 die Validierungseinheit 10 auf. Bei dieser Variante umfasst das Testobjekt 3 anders als bei dem in FIG 1 gezeigten ersten Ausführungsbeispiel eine Empfangseinheit 5' zum Empfangen der von der Positionsermittlungseinheit 8 ermittelten Absolutposition AP des Testobjekts 3. Weiterhin weist im Unterschied zu dem in FIG 1 gezeigten ersten Ausführungsbeispiel das Schienenfahrzeug 6 eine Sendeeinheit 11' zum Übermitteln der von der Positionsermittlungseinheit 8 ermittelten Absolutposition AP des Testobjekts 3 an das Testobjekt 3 auf. Bei dieser Variante kann eine einzige Validierungseinheit 10 für eine Validierung unterschiedlicher Schienenfahrzeuge genutzt werden, wodurch ein Ressourcen-Einspareffekt erreicht wird. Das Testobjekt 3 weist auch wie bei dem in FIG 1 gezeigten ersten Ausführungsbeispiel eine erste Selbstlokalisierungseinheit 4 auf, die eine ermittelte Referenzposition RPT des Testobjekts 3 direkt an die von dem Testobjekt 3 umfasste Validierungseinheit 10 übermittelt.
  • In FIG 12 ist eine schematische Darstellung einer Anordnung 1 zur Validierung einer Funktion einer Sensoreinheit 7 eines Schienenfahrzeugs 6 zur Objektlokalisierung gemäß einem dritten Ausführungsbeispiel der Erfindung veranschaulicht.
  • Bei dem dritten Ausführungsbeispiel weist die Anordnung 1 eine von dem Schienenfahrzeug 6 und dem Testobjekt 3 separate stationäre Auswertungseinrichtung 12 auf. Die stationäre Auswertungseinrichtung 12 umfasst in diesem Fall die Validierungseinheit 10 und eine Empfangseinheit 5" zum Empfangen der von der Positionsermittlungseinheit 8 des Schienenfahrzeugs 6 ermittelten Absolutposition AP des Testobjekts 3. Die Empfangseinheit 5" ist bei dem dritten Ausführungsbeispiel auch dazu eingerichtet, die Referenzposition RPT des Testobjekts 3 von dem Testobjekt 3 zu empfangen und die empfangenen Informationen AP, RPT an die Validierungseinheit 10 weiterzugeben. Die stationäre Auswertungseinrichtung 12 kann auch als sogenannter Remote-Computer ausgebildet sein und über ein Kommunikationsnetzwerk, beispielsweise das Internet, mit dem Testobjekt 3 und dem Schienenfahrzeug 6 in Verbindung stehen, um die vom Testobjekt 3 und dem Schienenfahrzeug 6 ermittelten Messdaten bzw. Informationen AP, RPT zu empfangen. Das Schienenfahrzeug 6 weist bei dem in FIG 12 gezeigten dritten Ausführungsbeispiel ähnlich wie bei dem zweiten Ausführungsbeispiel eine Sendeeinheit 11' zum Übermitteln der von der Positionsermittlungseinheit 8 ermittelten Absolutposition AP des Testobjekts 3 an die Auswertungseinrichtung 12 auf. Das Testobjekt 3 ist bei dem dritten Ausführungsbeispiel analog zu dem Testobjekt 3 des ersten Ausführungsbeispiels aufgebaut. Allerdings übermittelt die Sendeeinheit 5 des Testobjekts 3 bei dem dritten Ausführungsbeispiel die Information über die Referenzposition RPT des Testobjekts 3 nicht an das Schienenfahrzeug 6, sondern an die separate stationäre Auswertungseinrichtung 12.
  • Es wird abschließend noch einmal darauf hingewiesen, dass es sich bei den vorbeschriebenen Verfahren und Vorrichtungen lediglich um bevorzugte Ausführungsbeispiele der Erfindung handelt und dass die Erfindung vom Fachmann variiert werden kann, ohne den Bereich der Erfindung zu verlassen, soweit er durch die Ansprüche vorgegeben ist. Es wird der Vollständigkeit halber auch darauf hingewiesen, dass die Verwendung der unbestimmten Artikel "ein" bzw. "eine" nicht ausschließt, dass die betreffenden Merkmale auch mehrfach vorhanden sein können. Ebenso schließt der Begriff "Einheit" nicht aus, dass diese aus mehreren Komponenten besteht, die gegebenenfalls auch räumlich verteilt sein können.

Claims (15)

  1. Anordnung (1) zur Validierung einer Funktion einer Sensoreinheit (7) eines Schienenfahrzeugs (6) zur Objektlokalisierung, aufweisend:
    - eine Testschienenstrecke (2),
    - ein Testobjekt (3) auf der Testschienenstrecke (2), umfassend eine erste Selbstlokalisierungseinheit (4) zum Ermitteln einer Referenzposition (RPT) des Testobjekts (3),
    - das Schienenfahrzeug (6), umfassend:
    - eine Sensoreinheit (7) zur Detektion einer Relativposition (RLP) des Testobjekts (3) zur Sensoreinheit (7),
    - eine zweite Selbstlokalisierungseinheit (9) zum Ermitteln einer Ego-Position (EP) des Schienenfahrzeugs (6),
    - eine Positionsermittlungseinheit (8) zum Ermitteln einer Absolutposition (AP) des Testobjekts (3) auf Basis der detektierten Relativposition (RLP) des Testobjekts (3) zur Sensoreinheit (7) und der ermittelten Ego-Position (EP) des Schienenfahrzeugs (6),
    - eine Validierungseinheit (10) zum Ermitteln einer Abweichung (AW) der ermittelten Absolutposition (AP) des Testobjekts (3) von der Referenzposition (RPT) des Testobjekts (3) .
  2. Anordnung nach Anspruch 1, wobei das Testobjekt (3) eine Sendeeinheit (5) zum Übermitteln der ermittelten Referenzposition (RPT) des Testobjekts (3) an die Validierungseinheit (10) aufweist.
  3. Anordnung nach Anspruch 1 oder 2, wobei das Schienenfahrzeug (6) eine Empfangseinheit (11) zum Empfangen der ermittelten Referenzposition (RPT) des Testobjekts (3) umfasst.
  4. Anordnung nach einem der vorstehenden Ansprüche, wobei das Schienenfahrzeug (6) die Validierungseinheit (10) umfasst.
  5. Anordnung nach Anspruch 1, wobei
    - das Testobjekt (3)
    - die Validierungseinheit (10) und
    - eine Empfangseinheit (5') zum Empfangen der von der Positionsermittlungseinheit (8) ermittelten Absolutposition (AP) des Testobjekts (3) aufweist
    und
    - das Schienenfahrzeug (6) eine Sendeeinheit (11') zum Übermitteln der von der Positionsermittlungseinheit (8) ermittelten Absolutposition (AP) des Testobjekts (3) aufweist.
  6. Anordnung nach einem der Ansprüche 1 oder 2, aufweisend eine von dem Schienenfahrzeug (6) und dem Testobjekt (3) separate Auswertungseinrichtung (12), umfassend:
    - die Validierungseinheit (10),
    - eine Empfangseinheit (5") zum Empfangen der von der Positionsermittlungseinheit (8) ermittelten Absolutposition (AP) des Testobjekts (3) und der Referenzposition (RPT) des Testobjekts (3),
    wobei das Schienenfahrzeug (6) eine Sendeeinheit (11') zum Übermitteln der von der Positionsermittlungseinheit (8) ermittelten Absolutposition (AP) des Testobjekts (3) aufweist.
  7. Anordnung nach einem der vorstehenden Ansprüche, wobei die erste und/oder die zweite Selbstlokalisierungseinheit (4, 9) mindestens eine der folgenden Typen von Selbstlokalisierungseinheiten umfasst:
    - eine Navigationseinheit zum Empfangen eines Satellitennavigationssignals,
    - eine Empfangseinheit zum Empfangen von RTK-Korrekturdaten,
    - eine inertiale Messeinheit.
  8. Anordnung nach einem der vorstehenden Ansprüche, wobei die Positionsermittlungseinheit (8) dazu eingerichtet ist, auf Basis der Ego-Position (EP) des Schienenfahrzeugs (6) einen Pfad einer Mittenlinie (2a) der Testschienenstrecke (2) zu ermitteln.
  9. Anordnung nach Anspruch 8, wobei
    - die Positionsermittlungseinheit (8) dazu eingerichtet ist, einen Abstand (dr) des Testobjekts (3) von der Mittenlinie (2a) zu ermitteln, und
    - die Validierungseinheit (10) dazu eingerichtet ist, eine Abweichung (AW) des ermittelten Abstands (dr) des Testobjekts (3) von der Mittenlinie (2a) von einem Referenzabstand des Testobjekts (3) zu der Mittenlinie (2a) zu ermitteln.
  10. Anordnung nach einem der vorstehenden Ansprüche, wobei
    - die Positionsermittlungseinheit (8) dazu eingerichtet ist, einen longitudinalen Abstand (dl) zwischen dem Schienenfahrzeug (6) und dem Testobjekt (3) zu ermitteln, und
    - die Validierungseinheit (10) dazu eingerichtet ist, eine Abweichung (AW) zwischen dem detektierten longitudinalen Abstand (dl) zwischen dem Schienenfahrzeug (6) und dem Testobjekt (3) und einem auf Basis der Referenzposition (RPT) des Testobjekts (3) und der ermittelten Ego-Position (EP) des Schienenfahrzeugs (6) ermittelten longitudinalen Referenzabstand (dlref) zwischen dem Schienenfahrzeug (6) und dem Testobjekt (3) zu ermitteln.
  11. Anordnung nach einem der vorstehenden Ansprüche, wobei die Testschienenstrecke (2) einen geradlinigen Verlauf aufweist.
  12. Anordnung nach einem der vorstehenden Ansprüche, wobei die Testschienenstrecke (2) einen krummlinigen Verlauf umfasst und eine Mittenlinie (2a) der Testschienenstrecke (2) durch geradlinige Teilstrecken angenähert ist.
  13. Verfahren zur Validierung einer Funktion einer Sensoreinheit (7) eines Schienenfahrzeugs (6) zur Objektlokalisierung, aufweisend die Schritte:
    - Ermitteln einer Referenzposition (RPT) eines Testobjekts (3) durch eine erste an dem Testobjekt (3) angeordnete Selbstlokalisierungseinheit (4),
    - Detektieren einer Relativposition (RLP) des Testobjekts (3) zu einer an dem Schienenfahrzeug (6) angeordneten Sensoreinheit (7),
    - Ermitteln einer Ego-Position (EP) des Schienenfahrzeugs (6) durch eine an dem Schienenfahrzeug (6) angeordnete zweite Selbstlokalisierungseinheit (9),
    - Ermitteln einer Absolutposition (AP) des Testobjekts (3) auf Basis der detektierten Relativposition (RLP) des Testobjekts (3) zur Sensoreinheit (7) und der ermittelten Ego-Position (EP) des Schienenfahrzeugs (6),
    - Validieren einer Objektlokalisierung der Sensoreinheit (7) durch Ermitteln einer Abweichung (AW) der ermittelten Absolutposition (AP) des Testobjekts (3) von der Referenzposition (RPT) des Testobjekts (3) .
  14. Computerprogrammprodukt, umfassend Befehle, die bei der Ausführung des Programms durch einen Computer diesen veranlassen, die Schritte des Ermittelns einer Absolutposition (AP) des Testobjekts (3) und des Validierens der Objektlokalisierung des Verfahrens nach Anspruch 13 auszuführen.
  15. Computerlesbares Speichermedium, umfassend Befehle, die bei der Ausführung durch einen Computer diesen veranlassen, die Schritte des Ermittelns einer Absolutposition (AP) des Testobjekts (3) und des Validierens der Objektlokalisierung des Verfahrens nach Anspruch 13 auszuführen.
EP23157523.4A 2022-05-31 2023-02-20 Validierung einer sensoreinheit eines schienenfahrzeugs zur objektlokalisierung Active EP4286243B1 (de)

Applications Claiming Priority (1)

Application Number Priority Date Filing Date Title
DE102022205527.6A DE102022205527A1 (de) 2022-05-31 2022-05-31 Validierung einer Sensoreinheit eines Schienenfahrzeugs zur Objektlokalisierung

Publications (2)

Publication Number Publication Date
EP4286243A1 true EP4286243A1 (de) 2023-12-06
EP4286243B1 EP4286243B1 (de) 2025-01-22

Family

ID=85285303

Family Applications (1)

Application Number Title Priority Date Filing Date
EP23157523.4A Active EP4286243B1 (de) 2022-05-31 2023-02-20 Validierung einer sensoreinheit eines schienenfahrzeugs zur objektlokalisierung

Country Status (3)

Country Link
EP (1) EP4286243B1 (de)
DE (1) DE102022205527A1 (de)
ES (1) ES3023593T3 (de)

Families Citing this family (2)

* Cited by examiner, † Cited by third party
Publication number Priority date Publication date Assignee Title
DE102023204214A1 (de) * 2023-05-08 2024-11-14 Siemens Mobility GmbH Validierung einer Objekterkennungseinrichtung eines Schienenfahrzeugs
DE102023204912A1 (de) * 2023-05-25 2024-11-28 Siemens Mobility GmbH Dynamische Validierung einer Funktion einer Sensoreinheit eines Schienenfahrzeugs zur Objektlokalisierung

Citations (3)

* Cited by examiner, † Cited by third party
Publication number Priority date Publication date Assignee Title
DE102006007788A1 (de) * 2006-02-20 2007-08-30 Siemens Ag Verfahren zur rechnergestützten Überwachung des Betriebs eines einen vorgegebenen Streckenverlauf fahrenden Fahrzeugs, insbesondere eines spurgebundenen Schienenfahrzeugs
EP3410145A1 (de) * 2017-05-31 2018-12-05 Valeo Schalter und Sensoren GmbH Verfahren zum kalibrieren eines radarsensors eines kraftfahrzeugs während einer bewegung des kraftfahrzeugs, radarsensor, fahrerassistenzsystem sowie kraftfahrzeug
DE102019206503A1 (de) * 2019-05-07 2020-11-12 Zf Friedrichshafen Ag Verfahren und Steuereinheit zum Betreiben eines autonomen Fahrzeugs

Family Cites Families (3)

* Cited by examiner, † Cited by third party
Publication number Priority date Publication date Assignee Title
US20190162820A1 (en) 2017-11-29 2019-05-30 Delphi Technologies, Llc Automated vehicle sensor calibration system
DE102019206021A1 (de) 2019-04-26 2020-10-29 Robert Bosch Gmbh Verfahren zur Erkennung einer Funktionsfähigkeit eines Umgebungssensors, Steuergerät und Fahrzeug
DE102020212374A1 (de) 2020-09-30 2022-03-31 Siemens Mobility GmbH Verfahren zur Überprüfung der Kalibrierung eines auf einem Schienenfahrzeug angeordneten Umfeldsensors

Patent Citations (3)

* Cited by examiner, † Cited by third party
Publication number Priority date Publication date Assignee Title
DE102006007788A1 (de) * 2006-02-20 2007-08-30 Siemens Ag Verfahren zur rechnergestützten Überwachung des Betriebs eines einen vorgegebenen Streckenverlauf fahrenden Fahrzeugs, insbesondere eines spurgebundenen Schienenfahrzeugs
EP3410145A1 (de) * 2017-05-31 2018-12-05 Valeo Schalter und Sensoren GmbH Verfahren zum kalibrieren eines radarsensors eines kraftfahrzeugs während einer bewegung des kraftfahrzeugs, radarsensor, fahrerassistenzsystem sowie kraftfahrzeug
DE102019206503A1 (de) * 2019-05-07 2020-11-12 Zf Friedrichshafen Ag Verfahren und Steuereinheit zum Betreiben eines autonomen Fahrzeugs

Also Published As

Publication number Publication date
EP4286243B1 (de) 2025-01-22
DE102022205527A1 (de) 2023-11-30
ES3023593T3 (en) 2025-06-02

Similar Documents

Publication Publication Date Title
EP3746346B1 (de) Schienenfahrzeug und verfahren zum vermessen einer gleisstrecke
DE3686213T2 (de) Navigationseinrichtung.
DE102012014397B4 (de) Verfahren zum Ermitteln einer Position eines Fahrzeugs und Fahrzeug
DE112017007327B4 (de) Fahrzeugpositions-schätzvorrichtung
DE102015219551B4 (de) Objekterfassungsvorrichtung
DE102008029613A1 (de) Verfahren zur Schätzung der Elevation eines Zielobjekts unter Verwendung einer Radar-Datenfusion
DE102018117526A1 (de) Verfahren, Vorrichtung und System zur drahtlosen Unterstützung von Kraftfahrzeuganhängern bei verschiedenen Manövern
EP4286243B1 (de) Validierung einer sensoreinheit eines schienenfahrzeugs zur objektlokalisierung
DE102012006738A1 (de) Verfahren zur Kontrolle einer Gruppe von Objekten
DE102016221440A1 (de) Verfahren zur Diagnose von Umfeld-Sensorsystemen in Fahrzeugen
DE102017222017A1 (de) Verfahren und System zum Ermitteln und Bereitstellen eines Bodenprofils
DE102020118629B4 (de) Computerimplementiertes Verfahren zum Bestimmen der Validität einer geschätzten Position eines Fahrzeugs
WO2018091508A1 (de) Kollisionsvermeidung durch vermessung des wegstreckenverlaufs eines fahrzeugs
EP3395632A1 (de) Automatisches und kollaboratives fahrerloses transportsystem
DE3538908A1 (de) Bordautonomes ortungssystem fuer positionsermittlung und kollisionsschutz von roboter- und flurfoerderfahrzeugen
EP3515787B1 (de) Verfahren zur positionsbestimmung eines schienenfahrzeugs und schienenfahrzeug mit positionsbestimmungseinrichtung
EP4029758A1 (de) Sicherheitskritische bordseitige überwachung der umgebung eines schienenfahrzeugs
DE102018221864A1 (de) Verfahren und System zum Bestimmen einer Trajektorie eines Fahrzeugs
DE102018212975A1 (de) Einparkhilfevorrichtung
EP2995971A1 (de) Verfahren und system zur positionsbestimmung
DE102017220004A1 (de) Verfahren und Fahrerassistenzsystem zum Regeln der Fahrdynamik eines Fahrzeugs
DE102004050690A1 (de) Verfahren, Computer-Programm mit Programm-Code-Mitteln, Computer-Programm-Produkt und Gerät zur Modellierung der Umwelt eines autonomen mobilen Systems
EP3658953B1 (de) Vorrichtung und verfahren zum erkennen der hoehe eines objekts
WO2020229140A1 (de) Ermittlung der geschwindigkeit und des abstands von objekten zu einem sensorsystem
DE202013010696U1 (de) Eine zur Kontrolle einer Gruppe von Objekten bestimmte Messvorrichtung

Legal Events

Date Code Title Description
PUAI Public reference made under article 153(3) epc to a published international application that has entered the european phase

Free format text: ORIGINAL CODE: 0009012

STAA Information on the status of an ep patent application or granted ep patent

Free format text: STATUS: THE APPLICATION HAS BEEN PUBLISHED

AK Designated contracting states

Kind code of ref document: A1

Designated state(s): AL AT BE BG CH CY CZ DE DK EE ES FI FR GB GR HR HU IE IS IT LI LT LU LV MC ME MK MT NL NO PL PT RO RS SE SI SK SM TR

STAA Information on the status of an ep patent application or granted ep patent

Free format text: STATUS: REQUEST FOR EXAMINATION WAS MADE

17P Request for examination filed

Effective date: 20240603

RBV Designated contracting states (corrected)

Designated state(s): AL AT BE BG CH CY CZ DE DK EE ES FI FR GB GR HR HU IE IS IT LI LT LU LV MC ME MK MT NL NO PL PT RO RS SE SI SK SM TR

GRAP Despatch of communication of intention to grant a patent

Free format text: ORIGINAL CODE: EPIDOSNIGR1

STAA Information on the status of an ep patent application or granted ep patent

Free format text: STATUS: GRANT OF PATENT IS INTENDED

INTG Intention to grant announced

Effective date: 20241010

GRAS Grant fee paid

Free format text: ORIGINAL CODE: EPIDOSNIGR3

GRAA (expected) grant

Free format text: ORIGINAL CODE: 0009210

STAA Information on the status of an ep patent application or granted ep patent

Free format text: STATUS: THE PATENT HAS BEEN GRANTED

AK Designated contracting states

Kind code of ref document: B1

Designated state(s): AL AT BE BG CH CY CZ DE DK EE ES FI FR GB GR HR HU IE IS IT LI LT LU LV MC ME MK MT NL NO PL PT RO RS SE SI SK SM TR

REG Reference to a national code

Ref country code: GB

Ref legal event code: FG4D

Free format text: NOT ENGLISH

REG Reference to a national code

Ref country code: CH

Ref legal event code: EP

REG Reference to a national code

Ref country code: IE

Ref legal event code: FG4D

Free format text: LANGUAGE OF EP DOCUMENT: GERMAN

REG Reference to a national code

Ref country code: DE

Ref legal event code: R096

Ref document number: 502023000476

Country of ref document: DE

PGFP Annual fee paid to national office [announced via postgrant information from national office to epo]

Ref country code: AT

Payment date: 20250417

Year of fee payment: 3

PGFP Annual fee paid to national office [announced via postgrant information from national office to epo]

Ref country code: FR

Payment date: 20250218

Year of fee payment: 3

REG Reference to a national code

Ref country code: NL

Ref legal event code: MP

Effective date: 20250122

REG Reference to a national code

Ref country code: ES

Ref legal event code: FG2A

Ref document number: 3023593

Country of ref document: ES

Kind code of ref document: T3

Effective date: 20250602

PG25 Lapsed in a contracting state [announced via postgrant information from national office to epo]

Ref country code: NL

Free format text: LAPSE BECAUSE OF FAILURE TO SUBMIT A TRANSLATION OF THE DESCRIPTION OR TO PAY THE FEE WITHIN THE PRESCRIBED TIME-LIMIT

Effective date: 20250122

PG25 Lapsed in a contracting state [announced via postgrant information from national office to epo]

Ref country code: RS

Free format text: LAPSE BECAUSE OF FAILURE TO SUBMIT A TRANSLATION OF THE DESCRIPTION OR TO PAY THE FEE WITHIN THE PRESCRIBED TIME-LIMIT

Effective date: 20250422

PG25 Lapsed in a contracting state [announced via postgrant information from national office to epo]

Ref country code: FI

Free format text: LAPSE BECAUSE OF FAILURE TO SUBMIT A TRANSLATION OF THE DESCRIPTION OR TO PAY THE FEE WITHIN THE PRESCRIBED TIME-LIMIT

Effective date: 20250122

PG25 Lapsed in a contracting state [announced via postgrant information from national office to epo]

Ref country code: PL

Free format text: LAPSE BECAUSE OF FAILURE TO SUBMIT A TRANSLATION OF THE DESCRIPTION OR TO PAY THE FEE WITHIN THE PRESCRIBED TIME-LIMIT

Effective date: 20250122

PGFP Annual fee paid to national office [announced via postgrant information from national office to epo]

Ref country code: DE

Payment date: 20250417

Year of fee payment: 3

PGFP Annual fee paid to national office [announced via postgrant information from national office to epo]

Ref country code: ES

Payment date: 20250520

Year of fee payment: 3

REG Reference to a national code

Ref country code: LT

Ref legal event code: MG9D

PG25 Lapsed in a contracting state [announced via postgrant information from national office to epo]

Ref country code: NO

Free format text: LAPSE BECAUSE OF FAILURE TO SUBMIT A TRANSLATION OF THE DESCRIPTION OR TO PAY THE FEE WITHIN THE PRESCRIBED TIME-LIMIT

Effective date: 20250422

Ref country code: IS

Free format text: LAPSE BECAUSE OF FAILURE TO SUBMIT A TRANSLATION OF THE DESCRIPTION OR TO PAY THE FEE WITHIN THE PRESCRIBED TIME-LIMIT

Effective date: 20250522

PG25 Lapsed in a contracting state [announced via postgrant information from national office to epo]

Ref country code: HR

Free format text: LAPSE BECAUSE OF FAILURE TO SUBMIT A TRANSLATION OF THE DESCRIPTION OR TO PAY THE FEE WITHIN THE PRESCRIBED TIME-LIMIT

Effective date: 20250122

PG25 Lapsed in a contracting state [announced via postgrant information from national office to epo]

Ref country code: PT

Free format text: LAPSE BECAUSE OF FAILURE TO SUBMIT A TRANSLATION OF THE DESCRIPTION OR TO PAY THE FEE WITHIN THE PRESCRIBED TIME-LIMIT

Effective date: 20250522

Ref country code: LV

Free format text: LAPSE BECAUSE OF FAILURE TO SUBMIT A TRANSLATION OF THE DESCRIPTION OR TO PAY THE FEE WITHIN THE PRESCRIBED TIME-LIMIT

Effective date: 20250122

PG25 Lapsed in a contracting state [announced via postgrant information from national office to epo]

Ref country code: BG

Free format text: LAPSE BECAUSE OF FAILURE TO SUBMIT A TRANSLATION OF THE DESCRIPTION OR TO PAY THE FEE WITHIN THE PRESCRIBED TIME-LIMIT

Effective date: 20250122

Ref country code: GR

Free format text: LAPSE BECAUSE OF FAILURE TO SUBMIT A TRANSLATION OF THE DESCRIPTION OR TO PAY THE FEE WITHIN THE PRESCRIBED TIME-LIMIT

Effective date: 20250423

REG Reference to a national code

Ref country code: DE

Ref legal event code: R081

Ref document number: 502023000476

Country of ref document: DE

Owner name: SIEMENS MOBILITY GMBH, DE

Free format text: FORMER OWNER: SIEMENS MOBILITY GMBH, 81739 MUENCHEN, DE

PG25 Lapsed in a contracting state [announced via postgrant information from national office to epo]

Ref country code: SE

Free format text: LAPSE BECAUSE OF FAILURE TO SUBMIT A TRANSLATION OF THE DESCRIPTION OR TO PAY THE FEE WITHIN THE PRESCRIBED TIME-LIMIT

Effective date: 20250122

PG25 Lapsed in a contracting state [announced via postgrant information from national office to epo]

Ref country code: SM

Free format text: LAPSE BECAUSE OF FAILURE TO SUBMIT A TRANSLATION OF THE DESCRIPTION OR TO PAY THE FEE WITHIN THE PRESCRIBED TIME-LIMIT

Effective date: 20250122

RAP4 Party data changed (patent owner data changed or rights of a patent transferred)

Owner name: SIEMENS MOBILITY GMBH

PG25 Lapsed in a contracting state [announced via postgrant information from national office to epo]

Ref country code: DK

Free format text: LAPSE BECAUSE OF FAILURE TO SUBMIT A TRANSLATION OF THE DESCRIPTION OR TO PAY THE FEE WITHIN THE PRESCRIBED TIME-LIMIT

Effective date: 20250122

PG25 Lapsed in a contracting state [announced via postgrant information from national office to epo]

Ref country code: MC

Free format text: LAPSE BECAUSE OF FAILURE TO SUBMIT A TRANSLATION OF THE DESCRIPTION OR TO PAY THE FEE WITHIN THE PRESCRIBED TIME-LIMIT

Effective date: 20250122

PG25 Lapsed in a contracting state [announced via postgrant information from national office to epo]

Ref country code: IT

Free format text: LAPSE BECAUSE OF FAILURE TO SUBMIT A TRANSLATION OF THE DESCRIPTION OR TO PAY THE FEE WITHIN THE PRESCRIBED TIME-LIMIT

Effective date: 20250122

Ref country code: LU

Free format text: LAPSE BECAUSE OF NON-PAYMENT OF DUE FEES

Effective date: 20250220

PG25 Lapsed in a contracting state [announced via postgrant information from national office to epo]

Ref country code: EE

Free format text: LAPSE BECAUSE OF FAILURE TO SUBMIT A TRANSLATION OF THE DESCRIPTION OR TO PAY THE FEE WITHIN THE PRESCRIBED TIME-LIMIT

Effective date: 20250122

Ref country code: CZ

Free format text: LAPSE BECAUSE OF FAILURE TO SUBMIT A TRANSLATION OF THE DESCRIPTION OR TO PAY THE FEE WITHIN THE PRESCRIBED TIME-LIMIT

Effective date: 20250122

REG Reference to a national code

Ref country code: DE

Ref legal event code: R097

Ref document number: 502023000476

Country of ref document: DE

PG25 Lapsed in a contracting state [announced via postgrant information from national office to epo]

Ref country code: RO

Free format text: LAPSE BECAUSE OF FAILURE TO SUBMIT A TRANSLATION OF THE DESCRIPTION OR TO PAY THE FEE WITHIN THE PRESCRIBED TIME-LIMIT

Effective date: 20250122

PG25 Lapsed in a contracting state [announced via postgrant information from national office to epo]

Ref country code: SK

Free format text: LAPSE BECAUSE OF FAILURE TO SUBMIT A TRANSLATION OF THE DESCRIPTION OR TO PAY THE FEE WITHIN THE PRESCRIBED TIME-LIMIT

Effective date: 20250122

PLBE No opposition filed within time limit

Free format text: ORIGINAL CODE: 0009261

STAA Information on the status of an ep patent application or granted ep patent

Free format text: STATUS: NO OPPOSITION FILED WITHIN TIME LIMIT

REG Reference to a national code

Ref country code: BE

Ref legal event code: MM

Effective date: 20250228