EP3897565B1 - Schnelles färbesystem amodimethicon + polymer - Google Patents
Schnelles färbesystem amodimethicon + polymer Download PDFInfo
- Publication number
- EP3897565B1 EP3897565B1 EP19801536.4A EP19801536A EP3897565B1 EP 3897565 B1 EP3897565 B1 EP 3897565B1 EP 19801536 A EP19801536 A EP 19801536A EP 3897565 B1 EP3897565 B1 EP 3897565B1
- Authority
- EP
- European Patent Office
- Prior art keywords
- agent
- copolymers
- acid
- group
- vinylpyrrolidone
- Prior art date
- Legal status (The legal status is an assumption and is not a legal conclusion. Google has not performed a legal analysis and makes no representation as to the accuracy of the status listed.)
- Active
Links
Classifications
-
- A—HUMAN NECESSITIES
- A61—MEDICAL OR VETERINARY SCIENCE; HYGIENE
- A61K—PREPARATIONS FOR MEDICAL, DENTAL OR TOILETRY PURPOSES
- A61K8/00—Cosmetics or similar toiletry preparations
- A61K8/18—Cosmetics or similar toiletry preparations characterised by the composition
- A61K8/72—Cosmetics or similar toiletry preparations characterised by the composition containing organic macromolecular compounds
- A61K8/84—Cosmetics or similar toiletry preparations characterised by the composition containing organic macromolecular compounds obtained by reactions otherwise than those involving only carbon-carbon unsaturated bonds
- A61K8/89—Polysiloxanes
- A61K8/896—Polysiloxanes containing atoms other than silicon, carbon, oxygen and hydrogen, e.g. dimethicone copolyol phosphate
- A61K8/898—Polysiloxanes containing atoms other than silicon, carbon, oxygen and hydrogen, e.g. dimethicone copolyol phosphate containing nitrogen, e.g. amodimethicone, trimethyl silyl amodimethicone or dimethicone propyl PG-betaine
-
- A—HUMAN NECESSITIES
- A61—MEDICAL OR VETERINARY SCIENCE; HYGIENE
- A61K—PREPARATIONS FOR MEDICAL, DENTAL OR TOILETRY PURPOSES
- A61K8/00—Cosmetics or similar toiletry preparations
- A61K8/18—Cosmetics or similar toiletry preparations characterised by the composition
- A61K8/19—Cosmetics or similar toiletry preparations characterised by the composition containing inorganic ingredients
-
- A—HUMAN NECESSITIES
- A61—MEDICAL OR VETERINARY SCIENCE; HYGIENE
- A61K—PREPARATIONS FOR MEDICAL, DENTAL OR TOILETRY PURPOSES
- A61K8/00—Cosmetics or similar toiletry preparations
- A61K8/18—Cosmetics or similar toiletry preparations characterised by the composition
- A61K8/19—Cosmetics or similar toiletry preparations characterised by the composition containing inorganic ingredients
- A61K8/20—Halogens; Compounds thereof
-
- A—HUMAN NECESSITIES
- A61—MEDICAL OR VETERINARY SCIENCE; HYGIENE
- A61K—PREPARATIONS FOR MEDICAL, DENTAL OR TOILETRY PURPOSES
- A61K8/00—Cosmetics or similar toiletry preparations
- A61K8/18—Cosmetics or similar toiletry preparations characterised by the composition
- A61K8/19—Cosmetics or similar toiletry preparations characterised by the composition containing inorganic ingredients
- A61K8/23—Sulfur; Selenium; Tellurium; Compounds thereof
-
- A—HUMAN NECESSITIES
- A61—MEDICAL OR VETERINARY SCIENCE; HYGIENE
- A61K—PREPARATIONS FOR MEDICAL, DENTAL OR TOILETRY PURPOSES
- A61K8/00—Cosmetics or similar toiletry preparations
- A61K8/18—Cosmetics or similar toiletry preparations characterised by the composition
- A61K8/30—Cosmetics or similar toiletry preparations characterised by the composition containing organic compounds
- A61K8/33—Cosmetics or similar toiletry preparations characterised by the composition containing organic compounds containing oxygen
- A61K8/36—Carboxylic acids; Salts or anhydrides thereof
-
- A—HUMAN NECESSITIES
- A61—MEDICAL OR VETERINARY SCIENCE; HYGIENE
- A61K—PREPARATIONS FOR MEDICAL, DENTAL OR TOILETRY PURPOSES
- A61K8/00—Cosmetics or similar toiletry preparations
- A61K8/18—Cosmetics or similar toiletry preparations characterised by the composition
- A61K8/30—Cosmetics or similar toiletry preparations characterised by the composition containing organic compounds
- A61K8/33—Cosmetics or similar toiletry preparations characterised by the composition containing organic compounds containing oxygen
- A61K8/36—Carboxylic acids; Salts or anhydrides thereof
- A61K8/365—Hydroxycarboxylic acids; Ketocarboxylic acids
-
- A—HUMAN NECESSITIES
- A61—MEDICAL OR VETERINARY SCIENCE; HYGIENE
- A61K—PREPARATIONS FOR MEDICAL, DENTAL OR TOILETRY PURPOSES
- A61K8/00—Cosmetics or similar toiletry preparations
- A61K8/18—Cosmetics or similar toiletry preparations characterised by the composition
- A61K8/30—Cosmetics or similar toiletry preparations characterised by the composition containing organic compounds
- A61K8/46—Cosmetics or similar toiletry preparations characterised by the composition containing organic compounds containing sulfur
- A61K8/463—Cosmetics or similar toiletry preparations characterised by the composition containing organic compounds containing sulfur containing sulfuric acid derivatives, e.g. sodium lauryl sulfate
-
- A—HUMAN NECESSITIES
- A61—MEDICAL OR VETERINARY SCIENCE; HYGIENE
- A61K—PREPARATIONS FOR MEDICAL, DENTAL OR TOILETRY PURPOSES
- A61K8/00—Cosmetics or similar toiletry preparations
- A61K8/18—Cosmetics or similar toiletry preparations characterised by the composition
- A61K8/30—Cosmetics or similar toiletry preparations characterised by the composition containing organic compounds
- A61K8/46—Cosmetics or similar toiletry preparations characterised by the composition containing organic compounds containing sulfur
- A61K8/466—Cosmetics or similar toiletry preparations characterised by the composition containing organic compounds containing sulfur containing sulfonic acid derivatives; Salts
-
- A—HUMAN NECESSITIES
- A61—MEDICAL OR VETERINARY SCIENCE; HYGIENE
- A61K—PREPARATIONS FOR MEDICAL, DENTAL OR TOILETRY PURPOSES
- A61K8/00—Cosmetics or similar toiletry preparations
- A61K8/18—Cosmetics or similar toiletry preparations characterised by the composition
- A61K8/30—Cosmetics or similar toiletry preparations characterised by the composition containing organic compounds
- A61K8/55—Phosphorus compounds
-
- A—HUMAN NECESSITIES
- A61—MEDICAL OR VETERINARY SCIENCE; HYGIENE
- A61K—PREPARATIONS FOR MEDICAL, DENTAL OR TOILETRY PURPOSES
- A61K8/00—Cosmetics or similar toiletry preparations
- A61K8/18—Cosmetics or similar toiletry preparations characterised by the composition
- A61K8/72—Cosmetics or similar toiletry preparations characterised by the composition containing organic macromolecular compounds
- A61K8/81—Cosmetics or similar toiletry preparations characterised by the composition containing organic macromolecular compounds obtained by reactions involving only carbon-to-carbon unsaturated bonds
- A61K8/817—Compositions of homopolymers or copolymers of compounds having one or more unsaturated aliphatic radicals, each having only one carbon-to-carbon double bond, and at least one being terminated by a single or double bond to nitrogen or by a heterocyclic ring containing nitrogen; Compositions or derivatives of such polymers, e.g. vinylimidazol, vinylcaprolactame, allylamines (Polyquaternium 6)
-
- A—HUMAN NECESSITIES
- A61—MEDICAL OR VETERINARY SCIENCE; HYGIENE
- A61K—PREPARATIONS FOR MEDICAL, DENTAL OR TOILETRY PURPOSES
- A61K8/00—Cosmetics or similar toiletry preparations
- A61K8/18—Cosmetics or similar toiletry preparations characterised by the composition
- A61K8/72—Cosmetics or similar toiletry preparations characterised by the composition containing organic macromolecular compounds
- A61K8/81—Cosmetics or similar toiletry preparations characterised by the composition containing organic macromolecular compounds obtained by reactions involving only carbon-to-carbon unsaturated bonds
- A61K8/817—Compositions of homopolymers or copolymers of compounds having one or more unsaturated aliphatic radicals, each having only one carbon-to-carbon double bond, and at least one being terminated by a single or double bond to nitrogen or by a heterocyclic ring containing nitrogen; Compositions or derivatives of such polymers, e.g. vinylimidazol, vinylcaprolactame, allylamines (Polyquaternium 6)
- A61K8/8176—Homopolymers of N-vinyl-pyrrolidones. Compositions of derivatives of such polymers
-
- A—HUMAN NECESSITIES
- A61—MEDICAL OR VETERINARY SCIENCE; HYGIENE
- A61Q—SPECIFIC USE OF COSMETICS OR SIMILAR TOILETRY PREPARATIONS
- A61Q5/00—Preparations for care of the hair
- A61Q5/06—Preparations for styling the hair, e.g. by temporary shaping or colouring
- A61Q5/065—Preparations for temporary colouring the hair, e.g. direct dyes
-
- A—HUMAN NECESSITIES
- A61—MEDICAL OR VETERINARY SCIENCE; HYGIENE
- A61Q—SPECIFIC USE OF COSMETICS OR SIMILAR TOILETRY PREPARATIONS
- A61Q5/00—Preparations for care of the hair
- A61Q5/10—Preparations for permanently dyeing the hair
-
- A—HUMAN NECESSITIES
- A61—MEDICAL OR VETERINARY SCIENCE; HYGIENE
- A61K—PREPARATIONS FOR MEDICAL, DENTAL OR TOILETRY PURPOSES
- A61K2800/00—Properties of cosmetic compositions or active ingredients thereof or formulation aids used therein and process related aspects
- A61K2800/40—Chemical, physico-chemical or functional or structural properties of particular ingredients
- A61K2800/42—Colour properties
- A61K2800/43—Pigments; Dyes
-
- A—HUMAN NECESSITIES
- A61—MEDICAL OR VETERINARY SCIENCE; HYGIENE
- A61K—PREPARATIONS FOR MEDICAL, DENTAL OR TOILETRY PURPOSES
- A61K2800/00—Properties of cosmetic compositions or active ingredients thereof or formulation aids used therein and process related aspects
- A61K2800/80—Process related aspects concerning the preparation of the cosmetic composition or the storage or application thereof
- A61K2800/88—Two- or multipart kits
- A61K2800/884—Sequential application
Definitions
- the present application relates to a method for coloring keratin material, in particular human hair, which comprises the application of at least two different agents (a) and (b).
- Agent (a) contains at least one amino-functionalized silicone polymer (a1) and at least one color-imparting compound (a2) from the group of inorganic and/or organic pigments.
- Agent (b) is an acidic, water-containing after-treatment agent with a pH value of 1.5 to 5.5.
- at least one of agents (a) and/or (b) contains a film-forming polymer.
- Agent (a) is applied first, then agent (b) is applied, with the period between the application of agents (a) and (b) being a maximum of 24 hours.
- Oxidation dyes are usually used for permanent, intensive coloring with good fastness properties and good gray coverage. Such dyes contain oxidation dye precursors, so-called developer components and coupler components, which form the actual dyes under the influence of oxidizing agents such as hydrogen peroxide. Oxidation dyes are characterized by very long-lasting coloring results.
- direct dyes When using direct dyes, the already fully formed dyes diffuse from the dye into the hair fiber. Compared to oxidative hair coloring, the colors obtained with direct dyes are less durable and wash out more quickly. Colors with direct dyes usually remain on the hair for a period of between 5 and 20 washes.
- color pigments are generally understood to be insoluble, color-giving substances. These are present undissolved in the form of small particles in the coloring formulation and are only deposited on the outside of the hair fibers and/or the surface of the skin. Therefore, they can usually be removed without residue by washing them a few times with detergents containing surfactants.
- Various products of this type are available on the market under the name hair mascara.
- DE 102014218006 A1 describes a packaging unit for coloring keratin fibers, which comprises the two agents (M1) and (M2).
- the agent (M1) contains at least one coloring compound from the group of oxidation dye precursors and direct dyes as well as an aminosilicone.
- the agent (M2) is an oxidizing agent preparation.
- the aim of the present invention was to provide a dyeing system that has fastness properties comparable to oxidative dyeing.
- the wash fastness properties should be outstanding, but the use of the oxidation dye precursors that are usually used for this purpose should be avoided.
- a technology was sought that makes it possible to fix the coloring compounds known from the state of the art (such as pigments) to the hair in an extremely permanent manner.
- intensive dyeing results with good fastness properties should be achieved.
- particularly wash-fast dyes should be obtained that do not suffer any reduction in color intensity even after repeated combing or styling.
- Agent (a) contains at least one amino-functionalized silicone polymer (a1), at least one coloring compound (a2) from the group of inorganic and/or organic pigments and optionally at least one film-forming polymer (a3) different from (a1).
- Agent (b) is an acidic aftertreatment agent with a pH value of 1.5 to 5.5 and contains water, at least one acid (b1) and optionally at least one film-forming polymer (b2).
- the proviso is that at least one of agents (a) and/or (b) contains at least one film-forming polymer.
- agent (a) is applied, then agent (b) is applied, and the time between the application of agents (a) and (b) is a maximum of 24 hours.
- agents (a) and (b) were used in a dyeing process, keratin fibers could be dyed with high color intensity.
- the washfastness of the hair dyed with (a) and (b) was excellent.
- the amino-functionalized silicone polymer (a1) contained in the colorant (a) forms adhesive bonds with the keratin material, which initially fix the amino silicone (a1) to the keratin material.
- the color-imparting compounds (a2) are deposited in or on the amino silicone (a1) and are thus also immobilized on the outside of the keratin material.
- the adhesive bonds between amino-functionalized silicone polymer (a1) and keratin are presumably based on electrostatic interactions that form between the positively charged amino groups of the silicone polymer (a1) and negative charges on the keratin material.
- the coloring compounds (a2) attach to the aminosilicone (a1) when used simultaneously or form a common layer with it.
- This common layer formation of (a1) and (a2) means that colorations with good wash fastness can be obtained, even without diffusion the color-giving compound into the hair fiber would be necessary.
- the layer of (a1) and (a2) can be additionally fixed and the wash fastness can be further enhanced in this way.
- aminosilicone (a1) and color-imparting compound (a2) are deposited together, very stable layers can be formed, especially when the optimized pH values are selected for the application.
- Particularly resistant layers can be achieved when (a1) and (a2) are first applied to the keratin materials in a neutral to basic environment, and the pH value is then lowered by applying an acidic post-treatment agent.
- Keratinous material includes hair, skin, and nails (such as fingernails and/or toenails). Wool, fur, and feathers also fall under the definition of keratinous material.
- Keratinic material is preferably understood to mean human hair, human skin and human nails, in particular fingernails and toenails. Keratinic material is most preferably understood to mean human hair.
- agents (a) and (b) are applied to the keratinous material, in particular human hair.
- the two agents (a) and (b) are different from one another.
- the agent (a) contains at least one amino-functionalized silicone polymer.
- the amino-functionalized silicone polymer can alternatively also be referred to as aminosilicone or amodimethicone.
- Silicone polymers are generally macromolecules having a molecular weight of at least 500 g/mol, preferably at least 1000 g/mol, more preferably at least 2500 g/mol, particularly preferably at least 5000 g/mol, which comprise repeating organic units.
- the maximum molecular weight of the silicone polymer depends on the degree of polymerization (number of polymerized monomers) and the batch size and is also determined by the polymerization method. For the purposes of the present invention, it is preferred if the maximum molecular weight of the silicone polymer is not more than 10 7 g/mol, preferably not more than 10 6 g/mol and particularly preferably not more than 10 5 g/mol.
- the silicone polymers comprise many Si-O repeat units, where the Si atoms can carry organic residues such as alkyl groups or substituted alkyl groups.
- a silicone polymer is therefore also referred to as polydimethylsiloxane.
- these are based on more than 10 Si-O repeat units, preferably more than 50 Si-O repeat units and particularly preferably more than 100 Si-O repeat units, most preferably more than 500 Si-O repeat units.
- An amino-functionalized silicone polymer is understood to mean a functionalized polydimethylsiloxane which carries at least one structural unit with an amino group.
- the amino-functionalized silicone polymer preferably carries several structural units, each with at least one amino group.
- An amino group is understood to mean a primary amino group, a secondary amino group and a tertiary amino group. All of these amino groups can be protonated in an acidic environment and are then present in their cationic form.
- amino-functionalized silicone polymers (a1) if they carry at least one primary, at least one secondary and/or at least one tertiary amino group.
- dyeings with the best wash fastness were observed when an amino-functionalized silicone polymer (a1) was used in the agent (a) which contains at least one secondary amino group.
- a process according to the invention is characterized in that the agent (a) contains at least one amino-functionalized silicone polymer (a1) having at least one secondary amino group.
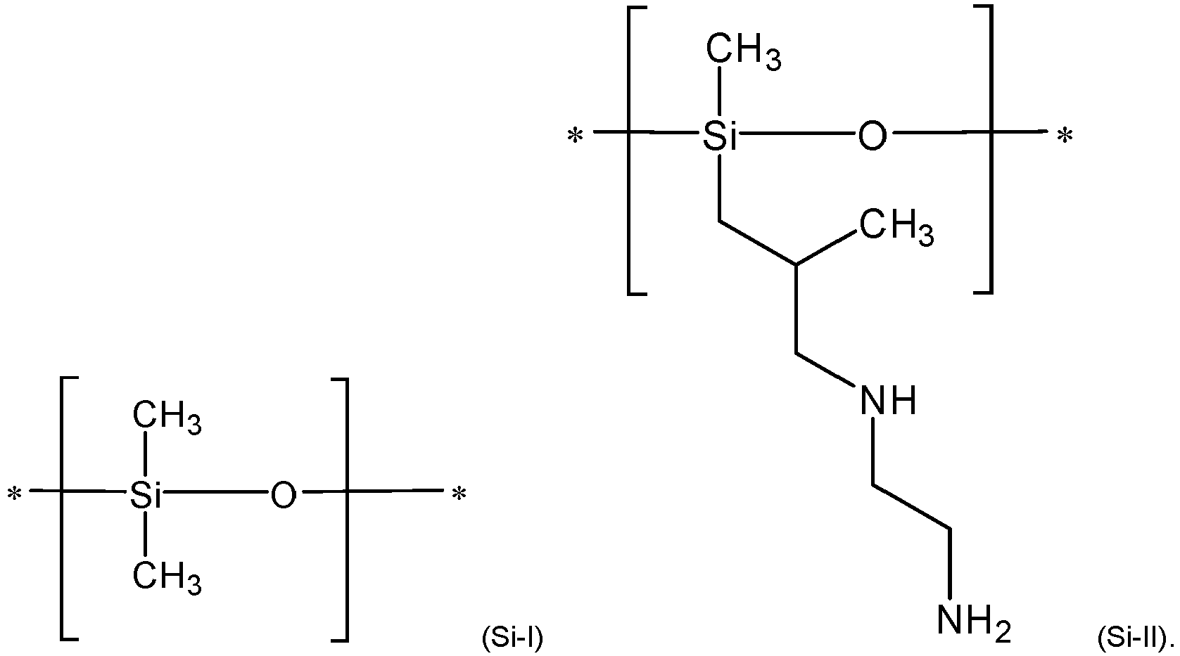
- the secondary amino group(s) can be located at different positions on the amino-functionalized silicone polymer. Particularly good effects were found when an amino-functionalized silicone polymer (a1) was used that has at least one, preferably several structural units of the formula (Si-amino).
- ALK1 and ALK2 independently represent a linear or branched, divalent C 1 -C 20 alkylene group.
- the positions marked with an asterisk (*) indicate the bond to other structural units of the silicone polymer.
- the silicon atom adjacent to the star can be bonded to another oxygen atom, and the oxygen atom adjacent to the star can be bonded to another silicon atom or to a C 1 -C 6 alkyl group.
- a divalent C 1 -C 20 alkylene group can alternatively be referred to as a divalent or divalent C 1 -C 20 alkylene group, which means that each group ALK1 or AK2 can form two bonds.
- one bond is from the silicon atom to the ALK1 moiety, and the second bond is between ALK1 and the secondary amino group.
- one bond is from the secondary amino group to the ALK2 moiety, and the second bond is between ALK2 and the primary amino group.
- Examples of a linear divalent C 1 -C 20 alkylene group are, for example, the methylene group (-CH 2 -), the ethylene group (-CH 2 -CH 2 -), the propylene group (-CH 2 -CH 2 -CH 2 -) and the butylene group (-CH 2 -CH 2 -CH 2 -CH 2 -).
- the propylene group (-CH 2 -CH 2 -CH 2 -) is particularly preferred.
- divalent alkylene groups can also be branched. Examples of branched, divalent C 3 -C 20 alkylene groups are (-CH 2 -CH(CH 3 )-) and (-CH 2 -CH(CH 3 )-CH 2 -).
- the structural units of the formula (Si-amino) represent repeat units in the amino-functionalized silicone polymer (a1), so that the silicone polymer comprises several structural units of the formula (Si-amino).
- Particularly suitable amino-functionalized silicone polymers (a1) with at least one secondary amino group are listed below.
- a process according to the invention is characterized in that the agent (a) contains at least one amino-functionalized silicone polymer (a1) which comprises structural units of the formula (Si-I) and the formula (Si-II)
- a corresponding amino-functionalized silicone polymer with the structural units (Si-I) and (Si-II) is, for example, the commercial product DC 2-8566 or Dowsil 2-8566 Amino Fluid, which is commercially sold by the Dow Chemical Company and which has the name "Siloxanes and Silicones, 3-[(2-Aminoethyl)amino]-2-methylpropyl Me, Di-Me-Siloxane" as well as the CAS number 106842-44-8 carries.
- the silicones of the formulas (Si-III) and (Si-IV) differ in the grouping on the Si atom that carries the nitrogen-containing group:
- R2 is a hydroxy group or a C1-4 alkoxy group, while the remainder in formula (Si-IV) is a methyl group.
- the individual siloxane units with the indices b, c and n are statistically distributed, i.e. they do not necessarily have to be block copolymers.
- the agent (a) may also contain one or more different amino-functionalized silicone polymers represented by the formula (Si-VI) M(R a Q b SiO (4-ab)/2)x (R c SiO (4-c)/2)y M (Si-VI) wherein in the above formula R is a hydrocarbon or a hydrocarbon radical having 1 to about 6 carbon atoms, Q is a polar radical of the general formula -R 1 HZ, wherein R 1 is a divalent linking group bonded to hydrogen and the radical Z composed of carbon and hydrogen atoms, carbon, hydrogen and oxygen atoms, or carbon, hydrogen and nitrogen atoms, and Z is an organic amino-functional radical containing at least one amino-functional group; "a” takes on values in the range of about 0 to about 2, “b” takes on values in the range of about 1 to about 3, "a” + “b” is less than or equal to 3, and "c” is a number in the range of about 1 to about 3, and x is a number in the range of 1 to
- Non-limiting examples of the radicals represented by R include alkyl radicals such as methyl, ethyl, propyl, isopropyl, isopropyl, butyl, isobutyl, amyl, isoamyl, hexyl, isohexyl and the like; alkenyl radicals such as vinyl, halovinyl, alkylvinyl, allyl, haloallyl, alkylallyl; Cycloalkyl radicals such as cyclobutyl, cyclopentyl, cyclohexyl and the like; phenyl radicals, benzyl radicals, halohydrocarbon radicals such as 3-chloropropyl, 4-bromobutyl, 3,3,3-trifluoropropyl, chlorocyclohexyl, bromophenyl, chlorophenyl and the like; and sulfur-containing radicals such as mercaptoethyl, mercaptopropyl
- R 1 examples include methylene, ethylene, propylene, hexamethylene, decamethylene, - CH 2 CH(CH 3 )CH 2 -, phenylene, naphthylene, -CH 2 CH 2 SCH 2 CH 2 -, -CH 2 CH 2 OCH 2 -, -OCH 2 CH 2 -, -OCH 2 CH 2 CH 2 -, -CH 2 CH(CH 3 )C(O)OCH 2 -, -(CH 2 ) 3 CC(O)OCH 2 CH 2 -, -C 6 H 4 C 6 H 4 -, -C 6 H 4 CH 2 C 6 H 4 -; and -(CH 2 ) 3 C(O)SCH 2 CH 2 -.
- Z is an organic amino functional radical containing at least one amino functional group.
- One possible formula for Z is NH(CH 2 ) z NH 2 , wherein z is 1 or more.
- Another possible formula for Z is -NH(CH 2 ) z (CH 2 ) zz NH, wherein both z and zz are independently 1 or more, which structure includes diamino ring structures such as piperazinyl.
- Z is most preferably a -NHCH 2 CH 2 NH 2 radical.
- Z is -N(CH 2 ) z (CH 2 ) zz NX 2 or -NX 2 , wherein each X of X 2 is independently selected from the group consisting of hydrogen and alkyl groups having 1 to 12 carbon atoms, and zz is 0.
- Q is most preferably a polar, amine-functional radical of the formula -CH 2 CH 2 CH 2 NHCH 2 CH 2 NH 2 .
- "a” takes on values in the range of about 0 to about 2
- "b” takes on values in the range of about 2 to about 3
- "a” + "b” is less than or equal to 3
- "c” is a number in the range of about 1 to about 3.
- the molar ratio of the R a Q b SiO (4-ab)/2 units to the R c SiO (4-c)/2 units is in the range of about 1:2 to 1:65, preferably from about 1:5 to about 1:65, and most preferably from about 1:15 to about 1:20.
- the various variable substituents in the above formula can be different for the various silicone components present in the silicone mixture.
- a method according to the invention is characterized by the application of an agent (a) to the keratinic material, wherein the agent (a) contains at least one amino-functional silicone polymer (a1) of the formula (Si-Vlla), wherein m and n are numbers whose sum (m + n) is between 1 and 2000, preferably between 50 and 150, where n preferably assumes values from 0 to 1999 and in particular from 49 to 149 and m preferably assumes values from 1 to 2000, in particular from 1 to 10.
- these silicones are called trimethylsilylamodimethicones.
- a method according to the invention is characterized by the application of an agent (a) to the keratinic material, wherein the agent (a) contains at least one amino-functional silicone polymer of the formula (Si-Vllb) in which R is -OH, -O-CH 3 or a -CH 3 group and m, n1 and n2 are numbers whose sum (m + n1 + n2) is between 1 and 2000, preferably between 50 and 150, the sum (n1 + n2) preferably assuming values from 0 to 1999 and in particular from 49 to 149 and m preferably assuming values from 1 to 2000, in particular from 1 to 10.
- the agent (a) contains at least one amino-functional silicone polymer of the formula (Si-Vllb) in which R is -OH, -O-CH 3 or a -CH 3 group and m, n1 and n2 are numbers whose sum (m + n1 + n2) is between 1 and 2000, preferably between 50 and 150, the sum (
- agents (a) according to the invention which contain an amino-functional silicone polymer whose amine number is above 0.25 meq/g, preferably above 0.3 meq/g and in particular above 0.4 meq/g.
- the amine number represents the milliequivalents of amine per gram of the amino-functional silicone. It can be determined by titration and can also be expressed in the unit mg KOH/g.
- agents (a) which contain a specific 4-morpholinomethyl-substituted silicone polymer (a1) are also suitable for use in the process according to the invention.
- This amino-functionalized silicone polymer comprises structural units of the formulas (SI-VIII) and (Si-IX)
- a particularly preferred amino-functionalized silicone polymer is known under the name Amodimethicone/Morpholinomethyl Silsesquioxane Copolymer is known and is commercially available in the form of the raw material Belsil ADM 8301 E from Wacker.
- Structural formula (Si-XI) is intended to illustrate that the siloxane groups n and m do not necessarily have to be directly bonded to an end grouping B or D. Rather, in preferred formulas (Si-VI) a > 0 or b > 0 and in particularly preferred formulas (Si-VI) a > 0 and c > 0, i.e. the terminal grouping B or D is preferably bonded to a dimethylsiloxy grouping. In formula (Si-VI) too, the siloxane units a, b, c, m and n are preferably distributed statistically.
- These silicones lead to exorbitant improvements in the hair properties of the hair treated with the agents according to the invention, and to a significantly improved protection during oxidative treatment.
- the agent (a) contains the amino-functionalized silicone polymer(s) (a2), preferably in certain quantity ranges.
- Particularly robust films were obtained when an agent (a) was used in the process according to the invention which - based on the total weight of the agent (a) - contains one or more silicone polymers in a total amount of 0.1 to 8.0 wt.%, preferably 0.02 to 5.0 wt.%, more preferably from 0.1 to 3.0 wt.% and very particularly preferably from 0.05 to 3.5 wt.%.
- a process according to the invention is characterized in that the agent (a) - based on the total weight of the agent (a) - contains one or more amino-functionalized silicone polymers in a total amount of 0.1 to 8.0% by weight, preferably 0.02 to 5.0 wt.%, more preferably from 0.1 to 3.0 wt.% and most preferably from 0.05 to 3.5 wt.%.
- the agent (a) used in the process according to the invention contains at least one coloring compound (a2) from the group of inorganic and/or organic pigments.
- coloring compounds are understood to mean substances that are able to impart color to the keratin material.
- the coloring compounds are selected from the group of pigments.
- Pigments in the sense of the present invention are understood to mean coloring compounds which have a solubility in water at 25 °C of less than 0.5 g/L, preferably less than 0.1 g/L, even more preferably less than 0.05 g/L.
- the water solubility can be determined, for example, using the method described below: 0.5 g of the pigment are weighed in a beaker. A stir bar is added. Then one liter of distilled water is added. This mixture is heated to 25 °C for one hour while stirring on a magnetic stirrer. If undissolved components of the pigment are still visible in the mixture after this period, the solubility of the pigment is below 0.5 g/L.
- the mixture is filtered. If a portion of undissolved pigments remains on the filter paper, the solubility of the pigment is below 0.5 g/L.
- Suitable color pigments are of inorganic and/or organic origin.
- An agent (a) according to the invention is characterized in that it contains at least one coloring compound (a2) from the group of inorganic and/or organic pigments.
- Preferred color pigments are selected from synthetic or natural inorganic pigments.
- Inorganic color pigments of natural origin can be made from chalk, ochre, umber, green earth, burnt terra di siena or graphite, for example.
- Black pigments such as iron oxide black, colored pigments such as ultramarine or iron oxide red as well as fluorescent or phosphorescent pigments can also be used as inorganic color pigments.
- Particularly suitable are colored metal oxides, hydroxides and oxide hydrates, mixed phase pigments, sulfur-containing silicates, silicates, metal sulfides, complex metal cyanides, metal sulfates, chromates and/or molybdates.
- Particularly preferred color pigments are black iron oxide (CI 77499), yellow iron oxide (CI 77492), red and brown iron oxide (CI 77491), manganese violet (CI 77742), ultramarines (sodium aluminum sulfosilicates, CI 77007, Pigment Blue 29), chromium oxide hydrate (CI77289), iron blue (ferric ferrocyanide, CI77510) and/or carmine (cochineal).
- Colored pearlescent pigments that are also particularly preferred according to the invention are colored pearlescent pigments. These are usually based on mica and/or mica and can be coated with one or more metal oxides. Mica is one of the layered silicates. The most important representatives of these silicates are muscovite, phlogopite, paragonite, biotite, lepidolite and margarite. To produce the pearlescent pigments in combination with metal oxides, the mica, predominantly muscovite or phlogopite, is coated with a metal oxide.
- synthetic mica coated with one or more metal oxides can also be used as a pearlescent pigment.
- Particularly preferred pearlescent pigments are based on natural or synthetic mica and are coated with one or more of the metal oxides mentioned above.
- the color of the respective pigments can be varied by varying the layer thickness of the metal oxide(s).
- a process according to the invention is characterized in that the agent (a) contains at least one coloring compound (a2) from the group of inorganic pigments, which is selected from the group of colored metal oxides, metal hydroxides, metal oxide hydrates, silicates, metal sulfides, complex metal cyanides, metal sulfates, bronze pigments and/or from colored pigments based on mica or mica, which are coated with at least one metal oxide and/or one metal oxychloride.
- the agent (a) contains at least one coloring compound (a2) from the group of inorganic pigments, which is selected from the group of colored metal oxides, metal hydroxides, metal oxide hydrates, silicates, metal sulfides, complex metal cyanides, metal sulfates, bronze pigments and/or from colored pigments based on mica or mica, which are coated with at least one metal oxide and/or one metal oxychloride.
- an agent according to the invention is characterized in that it contains (a) at least one coloring compound (a2) from the group of pigments, which is selected from mica-based pigments coated with one or more metal oxides from the group of titanium dioxide (CI 77891), black iron oxide (CI 77499), yellow iron oxide (CI 77492), red and/or brown iron oxide (CI 77491, CI 77499), manganese violet (CI 77742), ultramarines (sodium aluminum sulfosilicates, CI 77007, Pigment Blue 29), chromium oxide hydrate (CI 77289), chromium oxide (CI 77288) and/or iron blue (ferric ferrocyanide, CI 77510).
- a2 from the group of pigments, which is selected from mica-based pigments coated with one or more metal oxides from the group of titanium dioxide (CI 77891), black iron oxide (CI 77499), yellow iron oxide (CI 77492), red and/or brown iron oxide (CI 77491,
- colour pigments are commercially available under the trade names Rona ® , Colorona ® , Xirona ® , Dichrona ® and Timiron ® from Merck, Ariabel ® and Unipure ® from Sensient, Prestige ® from Eckart Cosmetic Colors and Sunshine ® from Sunstar.
- the agent according to the invention can also contain (a) one or more coloring compounds (a2) from the group of organic pigments
- organic pigments according to the invention are correspondingly insoluble, organic dyes or colored lakes which can be selected, for example, from the group of nitroso, nitro, azo, xanthene, anthraquinone, isoindolinone, isoindoline, quinacridone, perinone, perylene, diketopyrrolopyorrole, indigo, thioindido, dioxazine and/or triarylmethane compounds.
- Particularly suitable organic pigments are, for example, carmine, quinacridone, phthalocyanine, sorghum, blue pigments with the color index numbers CI 42090, CI 69800, CI 69825, CI 73000, CI 74100, CI 74160, yellow pigments with the color index numbers CI 11680, CI 11710, CI 15985, CI 19140, CI 20040, CI 21100, CI 21108, CI 47000, CI 47005, green pigments with the color index numbers CI 61565, CI 61570, CI 74260, orange pigments with the color index numbers CI 11725, CI 15510, CI 45370, CI 71105, red pigments with the Color index numbers CI 12085, CI 12120, CI 12370, CI 12420, CI 12490, CI 14700, CI 15525, CI 15580, CI 15620, CI 15630, CI 15800,
- a method according to the invention is characterized in that the agent (a) contains at least one coloring compound (a2) from the group of organic pigments, which is selected from the group of carmine, quinacridone, phthalocyanine, sorghum, blue pigments with the color index numbers CI 42090, CI 69800, CI 69825, CI 73000, CI 74100, CI 74160, yellow pigments with the color index numbers CI 11680, CI 11710, CI 15985, CI 19140, CI 20040, CI 21100, CI 21108, CI 47000, CI 47005, green pigments with the color index numbers CI 61565, CI 61570, CI 74260, orange pigments with the color index numbers CI 11725, CI 15510, CI 45370, CI 71105, red pigments with the color index numbers CI 12085, CI 12120, CI 12370, CI 12420, CI
- the organic pigment can also be a colored lake.
- the term colored lake refers to particles which comprise a layer of absorbed dyes, whereby the unit of particle and dye is insoluble under the above-mentioned conditions.
- the particles can be, for example, inorganic substrates which can be aluminum, silica, calcium borosilicate, calcium aluminum borosilicate or even aluminum.
- Alizarin varnish for example, can be used as a colored varnish.
- the use of the aforementioned pigments in agent (a) of the process according to the invention is very particularly preferred. It is also preferred if the pigments used have a certain particle size. It is therefore advantageous according to the invention if the at least one pigment has an average particle size D 50 of 1.0 to 50 ⁇ m, preferably from 5.0 to 45 ⁇ m, preferably from 10 to 40 ⁇ m, in particular from 14 to 30 ⁇ m.
- the average particle size D 50 can be determined, for example, using dynamic light scattering (DLS).
- the pigment(s) may be used in an amount of from 0.001 to 20% by weight, in particular from 0.05 to 5% by weight, in each case based on the total weight of the agent (a).
- At least one of the agents (a) and/or (b) contains at least one film-forming polymer.
- agent (a) contains at least one film-forming polymer, this is referred to below as (a3). If the agent (b) contains at least one film-forming polymer, this is referred to below as (b2).
- the agent (a) contains at least one film-forming polymer (a3). It is very particularly preferred if the agent (a) contains at least one hydrophilic, film-forming polymer (a3).
- the film-forming polymer (a3) is different from the amino-functionalized silicone polymers (a1).
- Polymers are understood to mean macromolecules with a molecular weight of at least 1000 g/mol, preferably of at least 2500 g/mol, particularly preferably of at least 5000 g/mol, which consist of identical, repeating organic units.
- the polymers of the present invention can be synthetically produced polymers which are produced by polymerizing one type of monomer or by polymerizing various, structurally different monomer types. If the polymer is produced by polymerizing one type of monomer, it is referred to as a homopolymer. If structurally different monomer types are used in the polymerization, the resulting polymer is referred to as a copolymer.
- the maximum molecular weight of the polymer depends on the degree of polymerization (number of polymerized monomers) and the batch size and is also determined by the polymerization method. For the purposes of the present invention, it is preferred if the maximum molecular weight of the film-forming, hydrophobic polymer (c) is not more than 10 7 g/mol, preferably not more than 10 6 g/mol and particularly preferably not more than 10 5 g/mol.
- a hydrophilic polymer is understood to be a polymer that has a solubility in water at 25 °C (760 mmHg) of more than 1 wt.%, preferably more than 2 wt.%.
- the water solubility of the film-forming, hydrophilic polymer can be determined, for example, in the following way. 1.0 g of the polymer is placed in a beaker. The mixture is filled up to 100 g with water. A stir bar is added and the mixture is heated to 25 °C on a magnetic stirrer while stirring. It is stirred for 60 minutes. The aqueous mixture is then assessed visually. A completely dissolved polymer appears homogeneous macroscopically. If the polymer-water mixture cannot be assessed visually due to the high turbidity of the mixture, the mixture is filtered. If no undissolved polymer remains on the filter paper, then the solubility of the polymer is more than 1% by weight.
- a film-forming polymer is understood to mean a polymer which is capable of forming a film on a substrate, for example on a keratinous material or a keratinous fiber.
- the formation of a film can be demonstrated, for example, by observing the keratinous material treated with the polymer under a microscope.
- Non-ionic, anionic and cationic polymers can be used as film-forming, hydrophilic polymers.
- the use of non-ionic, film-forming, hydrophilic polymers (a3) has proven to be particularly preferred.
- a process according to the invention is characterized in that the agent (a) contains at least one nonionic, film-forming, hydrophilic polymer (a3).
- Suitable film-forming, hydrophilic polymers can be selected, for example, from the group of polyvinylpyrrolidone (co)polymers, polyvinyl alcohol (co)polymers, vinyl acetate (co)polymers, carboxyvinyl (co)polymers, acrylic acid (co)polymers, methacrylic acid (co)polymers, natural gums, polysaccharides and/or acrylamide (co)polymers.
- polyvinylpyrrolidone (PVP) and/or a vinylpyrrolidone-containing copolymer as the film-forming hydrophilic polymer.
- a process according to the invention is characterized in that the agent (a) contains at least one film-forming polymer (a3) which is selected from the group consisting of polyvinylpyrrolidone (PVP) and the copolymers of polyvinylpyrrolidone.
- PVP polyvinylpyrrolidone
- a process according to the invention is characterized in that the agent (a) contains at least one film-forming, hydrophilic polymer (a3) which is selected from the group consisting of polyvinylpyrrolidone (PVP) and the copolymers of polyvinylpyrrolidone.
- PVP polyvinylpyrrolidone
- the agent according to the invention contains polyvinylpyrrolidone (PVP) as the film-forming, hydrophilic polymer (a3). Surprisingly, the wash fastness of the dyeings that could be obtained with PVP-containing formulations was very good.
- PVP polyvinylpyrrolidone
- polyvinylpyrrolidones are available, for example, under the name Luviskol ® K from BASF SE, in particular Luviskol ® K 90 or Luviskol ® K 85 from BASF SE.
- PVP polyvinylpyrrolidone
- PVP K30 is sold by Ashland (ISP, POI Chemical).
- PVP K 30 is a polyvinylpyrrolidone that is highly soluble in cold water and which CAS number 9003-39-8 The molecular weight of PVP K 30 is approximately 40,000 g/mol.
- polyvinylpyrrolidones are the substances known under the trade names LUVITEC K 17, LUVITEC K 30, LUVITEC K 60, LUVITEC K 80, LUVITEC K 85, LUVITEC K 90 and LUVITEC K 115 and available from BASF.
- film-forming hydrophilic polymers (a3) from the group of polyvinylpyrrolidone copolymers also led to particularly good and wash-fast color results.
- the storage stability of the formulations containing one or more polyvinylpyrrolidone copolymers (a3) was also very good.
- Particularly suitable film-forming, hydrophilic polymers in this context are vinylpyrrolidone-vinyl ester copolymers, such as those sold under the trademark Luviskol ® (BASF). Luviskol ® VA 64 and Luviskol ® VA 73, each vinylpyrrolidone/vinyl acetate copolymers, are particularly preferred nonionic polymers.
- styrene/VP copolymer and/or a vinylpyrrolidone-vinyl acetate copolymer and/or a VP/DMAPA acrylates copolymer and/or a VP/vinyl caprolactam/DMAPA acrylates copolymer are particularly preferably used in the cosmetic compositions.
- Vinylpyrrolidone-vinyl acetate copolymers are sold under the name Luviskol ® VA by BASF SE.
- a VP/Vinyl Caprolactam/DMAPA Acrylates copolymer for example, is sold under the trade name Aquaflex ® SF-40 by Ashland Inc.
- a VP/DMAPA Acrylates copolymer for example, is sold under the name Styleze CC-10 by Ashland and is a highly preferred vinylpyrrolidone-containing copolymer.
- suitable copolymers of polyvinylpyrrolidone (c) include the copolymers obtained by reacting N-vinylpyrrolidone with at least one other monomer from the group consisting of N-vinylformamide, vinyl acetate, ethylene, propylene, acrylamide, vinylcaprolactam, vinylcaprolactone and/or vinyl alcohol.
- a method according to the invention is characterized in that the agent (a) contains at least one film-forming polymer (a3) which is selected from the group consisting of polyvinylpyrrolidone (PVP), vinylpyrrolidone/vinyl acetate copolymers, vinylpyrrolidone/styrene copolymers, vinylpyrrolidone/ethylene copolymers, vinylpyrrolidone/propylene copolymers, vinylpyrrolidone/vinylcaprolactam copolymers, vinylpyrrolidone/vinylformamide copolymers and/or vinylpyrrolidone/vinyl alcohol copolymers, explicitly very particularly preferably polyvinylpyrrolidone (PVP).
- PVP polyvinylpyrrolidone
- Another suitable copolymer of vinylpyrrolidone is the polymer known under the INCI name Maltodextrin/VP Copolymer.
- an agent (a) according to the invention is characterized in that it contains at least one nonionic, film-forming, hydrophilic polymer (a3).
- a non-ionic polymer is understood to mean a polymer which, in a protic solvent - such as water - under standard conditions, does not carry any structural units with permanently cationic or anionic groups which must be compensated by counterions while maintaining electroneutrality.
- Cationic groups include, for example, quaternized ammonium groups but not protonated amines.
- Anionic groups include, for example, carboxyl and sulfonic acid groups.
- copolymers of N-vinylpyrrolidone and vinyl acetate are used, it is again preferred if the molar ratio of the structural units contained in the monomer N-vinylpyrrolidone to the structural units of the polymer contained in the monomer vinyl acetate is in the range from 20 to 80 to 80 to 20, in particular from 30 to 70 to 60 to 40.
- Suitable copolymers of vinylpyrrolidone and vinyl acetate are available, for example, under the trademarks Luviskol ® VA 37, Luviskol ® VA 55, Luviskol ® VA 64 and Luviskol ® VA 73 from BASF SE.
- Another particularly preferred polymer is selected from the polymers with the INCI name VP/Methacrylamide/Vinyl Imidazole Copolymer, which are available, for example, under the trade name Luviset Clear from BASF SE.
- non-ionic, film-forming, hydrophilic polymer is a copolymer of N-vinylpyrrolidone and N,N-dimethylaminopropylmethacrylamide, which is sold, for example, with the INCI name VP/DMAPA Acrylates Copolymer, e.g. under the trade name Styleze ® CC 10 by the company ISP.
- a cationic polymer according to the invention is the copolymer of N-vinylpyrrolidone, N-vinylcaprolactam, N-(3-dimethylaminopropyl)methacrylamide and 3-(methacryloylamino)propyl-lauryl-dimethylammonium chloride (INCI name: Polyquaternium-69), which is sold, for example, under the trade name AquaStyle ® 300 (28-32 wt.% active substance in ethanol-water mixture, molecular weight 350,000) by the company ISP.
- AquaStyle ® 300 28-32 wt.% active substance in ethanol-water mixture, molecular weight 350,000
- Polyquaternium-11 is the reaction product of diethyl sulfate with a copolymer of vinylpyrrolidone and dimethylaminoethyl methacrylate.
- Suitable commercial products are available, for example, under the names Dehyquart ® CC 11 and Luviquat ® PQ 11 PN from BASF SE or Gafquat 440, Gafquat 734, Gafquat 755 or Gafquat 755N from Ashland Inc.
- Polyquaternium-46 is the reaction product of vinylcaprolactam and vinylpyrrolidone with methylvinylimidazolium methosulfate and is available, for example, under the name Luviquat ® Hold from BASF SE. Polyquaternium-46 is preferably used in an amount of 1 to 5% by weight - based on the total weight of the cosmetic composition. It is particularly preferred that Polyquaternium-46 is used in combination with a cationic guar compound. It is even highly preferred that Polyquaternium-46 is used in combination with a cationic guar compound and Polyquaternium-11.
- Suitable anionic film-forming, hydrophilic polymers include acrylic acid polymers, which can be in uncrosslinked or crosslinked form.
- Corresponding products are sold commercially, for example, under the trade names Carbopol 980, 981, 954, 2984 and 5984 by Lubrizol or under the names Synthalen M and Synthalen K by 3V Sigma (The Sun Chemicals, Inter Harz).
- Suitable film-forming, hydrophilic polymers from the group of natural gums are xanthan gum, gellan gum, carob gum.
- Suitable film-forming, hydrophilic polymers from the group of polysaccharides are hydroxyethylcellulose, hydroxypropylcellulose, ethylcellulose and carboxymethylcellulose.
- Suitable film-forming, hydrophilic polymers from the group of acrylamides are, for example, polymers which are produced from monomers of (methyl)acrylamido-C1-C4-alkyl-sulfonic acid or the salts thereof.
- Corresponding polymers can be selected from the polymers of polyacrylamidomethanesulfonic acid, polyacrylamidoethanesulfonic acid, polyacrylamidopropanesulfonic acid, poly2-acrylamido-2-methylpropanesulfonic acid, poly-2-methylacrylamido-2-methylpropanesulfonic acid and/or poly-2-methylacrylamido-n-butanesulfonic acid.
- Preferred polymers of poly(meth)arylamido-C1-C4-alkyl-sulfonic acids are cross-linked and at least 90% neutralized. These polymers can be cross-linked or uncross-linked.
- Crosslinked and fully or partially neutralized polymers of the poly-2-acrylamido-2-methylpropanesulfonic acid type are known under the INCI names "Ammonium Polyacrylamido-2-methyl-propanesulphonate” or "Ammonium Polyacryldimethyltauramide”.
- Another preferred polymer of this type is the cross-linked poly-2-acrylamido-2methyl-propanesulphonic acid polymer, which is partially neutralised with ammonia and is sold by Clamant under the trade name Hostacerin AMPS.
- the film-forming polymer(s) (a3) according to the invention are preferably used in certain quantity ranges in the agent according to the invention.
- the agent (a) - based on the total weight of the agent (a) - contains one or more film-forming polymers (a3) in a total amount of 0.1 to 25.0% by weight, preferably 0.2 to 20.0% by weight, more preferably 0.5 to 15.0% by weight and very particularly preferably 1.0 to 7.0% by weight.
- the colorant (a) is preferably adjusted to a neutral to alkaline pH value.
- the colorant (a) is most preferably adjusted to an alkaline pH value.
- the amino-functionalized silicone polymer (a1) can be dissolved or dispersed particularly well and without protonation.
- agent (a) preferably contains at least one alkalizing agent.
- the pH values in the sense of the present invention are pH values that were measured at a temperature of 22°C.
- agent (a) may contain, for example, ammonia, alkanolamines and/or basic amino acids.
- alkanolamines which can be used in the agent according to the invention are preferably selected from primary amines with a C 2 -C 6 alkyl parent structure which carries at least one hydroxyl group.
- Preferred alkanolamines are selected from the group consisting of 2-aminoethane-1-ol (monoethanolamine), 3-aminopropane-1-ol, 4-aminobutane-1-ol, 5-aminopentane-1-ol, 1-aminopropane-2-ol, 1-aminobutane-2-ol, 1-aminopentane-2-ol, 1-aminopentane-3-ol, 1-aminopentane-4-ol, 3-amino-2-methylpropane-1-ol, 1-amino-2-methylpropane-2-ol, 3-aminopropane-1,2-diol, 2-amino-2-methylpropane-1,3-diol.
- alkanolamines according to the invention are selected from 2-aminoethane-1-ol and/or 2-amino-2-methylpropane-1-ol.
- a particularly preferred embodiment is therefore characterized in that the agent according to the invention contains an alkanolamine selected from 2-aminoethane-1-ol and/or 2-amino-2-methylpropane-1-ol as an alkalizing agent.
- amino acid in the sense of the invention is an organic compound which contains in its structure at least one protonatable amino group and at least one -COOH- or -SO 3 H- group.
- Preferred amino acids are aminocarboxylic acids, in particular ⁇ -(alpha)-aminocarboxylic acids and ⁇ -aminocarboxylic acids, with ⁇ -aminocarboxylic acids being particularly preferred.
- basic amino acids are understood to be amino acids which have an isoelectric point pl of greater than 7.0.
- Basic ⁇ -aminocarboxylic acids contain at least one asymmetric carbon atom.
- both possible enantiomers can be used equally as a specific compound or as mixtures thereof, in particular as racemates.
- the basic amino acids are preferably selected from the group consisting of arginine, lysine, ornithine and histidine, particularly preferably arginine and lysine.
- an agent according to the invention is therefore characterized in that the alkalizing agent is a basic amino acid from the group consisting of arginine, lysine, ornithine and/or histidine.
- the agent can contain other alkalizing agents, in particular inorganic alkalizing agents.
- Inorganic alkalizing agents that can be used according to the invention are preferably selected from the group consisting of sodium hydroxide, potassium hydroxide, calcium hydroxide, barium hydroxide, sodium phosphate, potassium phosphate, sodium silicate, sodium metasilicate, potassium silicate, sodium carbonate and potassium carbonate.
- Very particularly preferred alkalizing agents are ammonia, 2-aminoethane-1-ol (monoethanolamine), 3-aminopropane-1-ol, 4-aminobutane-1-ol, 5-aminopentane-1-ol, 1-aminopropane-2-ol, 1-aminobutane-2-ol, 1-aminopentane-2-ol, 1-aminopentane-3-ol, 1-aminopentane-4-ol, 3-amino-2-methylpropane-1-ol, 1-amino-2-methylpropane-2-ol, 3-aminopropane-1,2-diol, 2-amino-2-methylpropane-1,3-diol, arginine, lysine, ornithine, histidine, sodium hydroxide, potassium hydroxide, calcium hydroxide, barium hydroxide, sodium phosphate, potassium phosphate, sodium silicate, sodium metasilicate, potassium silicate,
- a process according to the invention is characterized in that the colorant (a) contains at least one alkalizing agent from the group consisting of ammonia, 2-aminoethane-1-ol (monoethanolamine), 3-aminopropane-1-ol, 4-aminobutane-1-ol, 5-aminopentane-1-ol, 1-aminopropane-2-ol, 1-aminobutane-2-ol, 1-aminopentane-2-ol, 1-aminopentane-3-ol, 1-aminopentane-4-ol, 3-amino-2-methylpropane-1-ol, 1-amino-2-methylpropane-2-ol, 3-aminopropane-1,2-diol, 2-amino-2-methylpropane-1,3-diol, arginine, lysine, ornithine, histidine, sodium hydroxide, potassium hydroxide, calcium hydrox
- a process according to the invention is characterized in that the agent (a) contains water and has a pH of 7.0 to 11.5, preferably 8.0 to 11.0, and particularly preferably 8.5 to 10.5.
- the post-treatment agent (b) is an acidic solution, dispersion or emulsion.
- the post-treatment agent (b) therefore contains water and at least one acid (b1) as ingredients essential to the invention and has a pH value of 1.5 to 5.5.
- acids have proven to be particularly suitable for setting the desired pH value. These acids can be selected, for example, from the group of citric acid, tartaric acid, malic acid, lactic acid, acetic acid, methanesulfonic acid, benzoic acid, malonic acid, oxalic acid, 1-hydroxyethane-1,1-diphosphonic acid, sulfuric acid, hydrochloric acid and phosphoric acid.
- a process according to the invention is characterized in that the agent (b) contains at least one acid (b1) which is selected from the group consisting of citric acid, tartaric acid, malic acid, lactic acid, acetic acid, methanesulfonic acid, benzoic acid, malonic acid, oxalic acid, 1-hydroxyethane-1,1-diphosphonic acid, sulfuric acid, hydrochloric acid and phosphoric acid.
- the agent (b) contains at least one acid (b1) which is selected from the group consisting of citric acid, tartaric acid, malic acid, lactic acid, acetic acid, methanesulfonic acid, benzoic acid, malonic acid, oxalic acid, 1-hydroxyethane-1,1-diphosphonic acid, sulfuric acid, hydrochloric acid and phosphoric acid.
- the after-treatment agent (b) As soon as the after-treatment agent (b) is applied, it comes into contact with the aminosilicones (a1) and coloring compounds (a2) deposited on the keratin material. Since the agent (b) is acidic, it also lowers the pH in the immediate vicinity of the aminosilicone (a1). In this context, it is assumed that the reduction in the pH causes protonation of the aminosilicone (a1), which in turn further strengthens the adhesive forces to the keratin material and binds the coloring compounds (a2) even more strongly to the hair. As a result, the washfastness of the resulting color is massively improved. For this reason, the after-treatment agent (b) is set to an acidic pH in the range of 1.5 to 5.5, preferably 2.0 to 4.8, and particularly preferably 2.5 to 4.5.
- a process according to the invention is characterized in that the agent (b) contains water and has a pH of 2.0 to 4.8, and preferably of 2.5 to 4.5.
- the choice of the time at which the pH value is lowered has proven to be essential for the creation of stable layers on the keratin material. It is essential to the invention that the pH value of the aminosilicone (a1) is lowered after it has been applied to the keratin fiber. When aminosilicone (a1) and acid are used at the same time, there is no significant strengthening of the bond to the keratin. For this reason, it is essential to the invention to incorporate the acid (b1) into the post-treatment agent (b).
- At least one of the agents (a) and/or (b) used in the process contains a film-forming polymer. If the film-forming polymer is contained in the post-treatment agent (b), this is referred to as (b2).
- the film-forming polymers contained in agent (b) may be the same as those already described in connection with agent (a).
- the aftertreatment agent (b) can contain a film-forming polymer (b2) selected from the group consisting of polyvinylpyrrolidone (PVP), vinylpyrrolidone/vinyl acetate copolymers, vinylpyrrolidone/styrene copolymers, vinylpyrrolidone/ethylene copolymers, vinylpyrrolidone/propylene copolymers, vinylpyrrolidone/vinylcaprolactam copolymers, vinylpyrrolidone/vinylformamide copolymers and/or vinylpyrrolidone/vinyl alcohol copolymers, explicitly very particularly preferably polyvinylpyrrolidone (PVP).
- PVP polyvinylpyrrolidone
- the post-treatment agent (b) can also contain a film-forming polymer selected from the group of copolymers of acrylic acid, copolymers of methacrylic acid, homopolymers or copolymers of acrylic acid esters, homopolymers or copolymers of methacrylic acid esters, homopolymers or copolymers of acrylic acid amides, homopolymers or copolymers of methacrylic acid amides, copolymers of vinylpyrrolidone, copolymers of vinyl alcohol, copolymers of vinyl acetate, homopolymers or copolymers of ethylene, homopolymers or copolymers of propylene, homopolymers or copolymers of styrene, polyurethanes, polyesters and/or polyamides.
- a film-forming polymer selected from the group of copolymers of acrylic acid, copolymers of methacrylic acid, homopolymers or copolymers of acrylic acid esters, homopolymers or copo
- film-forming polymers selected from the group of synthetic polymers, polymers obtainable by radical polymerization or natural polymers have proven particularly suitable.
- film-forming polymers can be selected from the homopolymers or copolymers of olefins, such as cycloolefins, butadiene, isoprene or styrene, vinyl ethers, vinyl amides, the esters or amides of (meth)acrylic acid with at least one C 1 -C 20 alkyl group, an aryl group or a C2-C10 hydroxyalkyl group.
- olefins such as cycloolefins, butadiene, isoprene or styrene
- vinyl ethers vinyl amides
- esters or amides of (meth)acrylic acid with at least one C 1 -C 20 alkyl group, an aryl group or a C2-C10 hydroxyalkyl group.
- Further film-forming polymers can be selected from the homo- or copolymers of isooctyl (meth)acrylate; isononyl (meth)acrylate; 2-ethylhexyl (meth)acrylate; lauryl (meth)acrylate); isopentyl (meth)acrylate; n-Butyl (meth)acrylate); isobutyl (meth)acrylate; ethyl (meth)acrylate; methyl (meth)acrylate; tert-butyl (meth)acrylate; stearyl (meth)acrylate; hydroxyethyl (meth)acrylate; 2-hydroxypropyl (methacrylate; 3-hydroxypropyl (meth)acrylate and/or mixtures thereof.
- film-forming polymers can be selected from the homo- or copolymers of (meth)acrylamide; N-alkyl-(meth)acrylamides, in particular those with C2-C18 alkyl groups, such as N-ethyl-acrylamide, N-tert-butyl-acrylamide, N-octyl-acrylamide; N-di(C1-C4)alkyl-(meth)acrylamide.
- anionic copolymers are, for example, copolymers of acrylic acid, methacrylic acid or their C 1 -C 6 alkyl esters, as sold under the INCI declaration Acrylates Copolymers.
- a suitable commercial product is, for example, Aculyn ® 33 from Rohm & Haas.
- copolymers of acrylic acid, methacrylic acid or their C 1 -C 6 alkyl esters and the esters of an ethylenically unsaturated acid and an alkoxylated fatty alcohol are also preferred.
- Suitable ethylenically unsaturated acids are in particular acrylic acid, methacrylic acid and itaconic acid; suitable alkoxylated fatty alcohols are in particular Steareth-20 or Ceteth-20.
- Particularly preferred polymers available on the market are, for example, Aculyn ® 22 (Acrylates/Steareth-20 Methacrylate Copolymer), Aculyn ® 28 (Acrylates/Beheneth-25 Methacrylate Copolymer), Structure 2001 ® (Acrylates/Steareth-20 Itaconate Copolymer), Structure 3001 ® (Acrylates/Ceteth-20 Itaconate Copolymer), Structure Plus ® (Acrylates/Aminoacrylates C10-30 Alkyl PEG-20 Itaconate Copolymer), Carbopol ® 1342, 1382, Ultrez 20, Ultrez 21 (Acrylates/C10-30 Alkyl Acrylate Crosspolymer), Synthalen W 2000 ® (Acrylates/Palmeth-25 Acrylate Copolymer) or Soltex OPT, distributed by Rohme and Haas. (Acrylates/C12-22 alkyl methacrylate copolymer).
- Suitable polymers based on vinyl monomers include homo- and copolymers of N-vinylpyrrolidone, vinylcaprolactam, vinyl(C1-C6)alkylpyrrole, vinyloxazole, vinylthiazole, vinylpyrimidine and vinylimidazole.
- copolymers octylacrylamide/acrylates/butylaminoethyl-methacrylate copolymer as sold commercially under the trade names AMPHOMER ® or LOVOCRYL ® 47 by NATIONAL STARCH, or the copolymers of acrylates/octylacrylamide which are sold under the trade names DERMACRYL ® LT and DERMACRYL ® 79 by NATIONAL STARCH.
- suitable polymers based on olefins include homopolymers and copolymers of ethylene, propylene, butene, isoprene and butadiene.
- the film-forming hydrophobic polymers used can be block copolymers which comprise at least one block of styrene or styrene derivatives.
- These block copolymers can be copolymers which, in addition to a styrene block, contain one or more further blocks, such as styrene/ethylene, styrene/ethylene/butylene, styrene/butylene, styrene/isoprene, styrene/butadiene.
- Corresponding polymers are sold commercially by BASF under the trade name "Luvitol HSB".
- a process according to the invention is characterized in that the aftertreatment agent (b) contains at least one film-forming polymer (b2) which is selected from the group consisting of polyvinylpyrrolidone (PVP), vinylpyrrolidone/vinyl acetate copolymers, vinylpyrrolidone/styrene copolymers, vinylpyrrolidone/ethylene copolymers, vinylpyrrolidone/propylene copolymers, vinylpyrrolidone/vinylcaprolactam copolymers, vinylpyrrolidone/vinylformamide copolymers and/or vinylpyrrolidone/vinyl alcohol copolymers, copolymers of acrylic acid, copolymers of methacrylic acid, homopolymers or copolymers of acrylic acid esters, homopolymers or copolymers of methacrylic acid esters, homopolymers or copolymers of acrylic acid amides, homopolymers or copolymers,
- the film-forming polymer(s) are preferably used in certain quantity ranges in the after-treatment agent (b).
- the agent (b) - based on the total weight of the agent (b) - contains one or more polymers in a total amount of 0.1 to 25.0% by weight, preferably 0.2 to 20.0% by weight, more preferably 0.5 to 15.0% by weight and very particularly preferably 1.0 to 7.0% by weight.
- agents (a) and (b) described above may also contain one or more optional ingredients.
- the agents can also contain one or more surfactants.
- surfactants refers to surface-active substances. A distinction is made between anionic surfactants consisting of a hydrophobic residue and a negatively charged hydrophilic head group, amphoteric surfactants, which carry both a negative and a compensating positive charge, cationic surfactants, which have a positively charged hydrophilic group in addition to a hydrophobic residue. and non-ionic surfactants, which have no charges but strong dipole moments and are highly hydrated in aqueous solution.
- Zwitterionic surfactants are surface-active compounds that have at least one quaternary ammonium group and at least one -COO (-) or -SO 3 (-) group in the molecule.
- Particularly suitable zwitterionic surfactants are the so-called betaines such as N-alkyl-N,N-dimethylammonium glycinates, for example cocoalkyl dimethylammonium glycinate, N-acyl-aminopropyl-N,N-dimethylammonium glycinates, for example cocoacylaminopropyl dimethylammonium glycinate, and 2-alkyl-3-carboxymethyl-3-hydroxyethyl-imidazolines, each with 8 to 18 C atoms in the alkyl or acyl group, as well as cocoacylaminoethyl hydroxyethylcarboxymethylglycinate.
- a preferred zwitterionic surfactant is the fatty acid amide derivative known under
- Ampholytic surfactants are understood to be surface-active compounds which, in addition to a C 8 - C 24 alkyl or acyl group in the molecule, contain at least one free amino group and at least one -COOH or -SO 3 H group and are capable of forming internal salts.
- ampholytic surfactants are N-alkylglycines, N-alkylpropionic acids, N-alkylaminobutyric acids, N-alkyliminodipropionic acids, N-hydroxyethyl-N-alkylamidopropylglycines, N-alkyltaurines, N-alkylsarcosines, 2-alkylaminopropionic acids and alkylaminoacetic acids, each with about 8 to 24 C atoms in the alkyl group.
- amphoteric or zwitterionic surfactants are alkylbetaines, alkylamidobetaines, aminopropionates, aminoglycinates, imidazoliniumbetaines and sulfobetaines.
- ampholytic surfactants are N-cocoalkylaminopropionate, cocoacylaminoethylaminopropionate and C 12 - C 18 acylsarcosine.
- the agents can also additionally contain at least one non-ionic surfactant.
- Suitable non-ionic surfactants are alkyl polyglycosides and alkylene oxide addition products with fatty alcohols and fatty acids, each with 2 to 30 moles of ethylene oxide per mole of fatty alcohol or fatty acid. Preparations with good properties are also obtained if they contain fatty acid esters of ethoxylated glycerin as non-ionic surfactants, which have been reacted with at least 2 moles of ethylene oxide.
- the non-ionic surfactants are used in a total amount of 0.1 to 45% by weight, preferably 1 to 30% by weight and very particularly preferably 1 to 15% by weight - based on the total weight of the respective agent.
- the cationic charge can also be part of a heterocyclic ring (e.g. an imidazolium ring or a pyridinium ring) in the form of an onium structure.
- the cationic surfactant can also contain other uncharged functional groups, as is the case with esterquats, for example.
- the cationic surfactants are used in a total amount of 0.1 to 45% by weight, preferably 1 to 30% by weight and very particularly preferably 1 to 15% by weight - based on the total weight of the respective agent.
- the agents according to the invention can also contain at least one anionic surfactant.
- Anionic surfactants are surface-active agents with exclusively anionic charges (neutralized by a corresponding counter cation).
- anionic surfactants are fatty acids, alkyl sulfates, alkyl ether sulfates and ether carboxylic acids with 12 to 20 C atoms in the alkyl group and up to 16 glycol ether groups in the molecule.
- the anionic surfactants are used in a total amount of 0.1 to 45 wt.%, preferably 1 to 30 wt.% and very particularly preferably 1 to 15 wt.% - based on the total weight of the respective agent.
- the agents can also contain other active ingredients, auxiliaries and additives, such as solvents, fatty components such as C 8 -C 30 fatty alcohols, C 8 -C 30 fatty acid triglycerides, C 8 -C 30 fatty acid monoglycerides, C 8 -C 30 fatty acid diglycerides and/or hydrocarbons; polymers; structuring agents such as glucose, maleic acid and lactic acid, hair conditioning compounds such as phospholipids, for example lecithin and cephalins; perfume oils, dimethyl isosorbide and cyclodextrins; fiber structure-improving agents, in particular mono-, di- and oligosaccharides such as glucose, galactose, fructose, fructose and lactose; dyes for coloring the agent; anti-dandruff agents such as piroctone olamine, zinc omadine and climbazole; amino acids and oligopeptides; Protein hydrolysates of animal and/or vegetable origin, as well as
- the expert will select these additional substances according to the desired properties of the agent.
- additional active ingredients and auxiliary substances are preferably used in the preparations according to the invention in amounts of 0.0001 to 25% by weight, in particular 0.0005 to 15% by weight, based on the total weight of the respective agent.
- agents (a) and (b) are applied to the keratin materials, in particular to human hair.
- Agent (b) is a post-treatment agent and is therefore applied after dyeing agent (a).
- Agents (a) and (b) are applied within one and the same dyeing process, which means that there is a maximum period of a few hours between the application of agents (a) and (b).
- agent (a) is applied first and then agent (b) is applied, the period between the application of agents (a) and (b) being a maximum of 24 hours, preferably a maximum of 12 hours and particularly preferably a maximum of 6 hours.
- the keratin materials in particular human hair, are first treated with dye (a).
- the post-treatment agent (b) is then applied to the keratin materials, which lowers the pH value on the surface of the keratin material and in this way fixes or immobilizes the active ingredients contained in agent (a) on the keratin.
- agent (b) itself does not contain any dyes or color-imparting compounds.
- the application properties of the resulting dyeing can be further improved by choosing the optimal process conditions.
- rinsing the keratin material with water in steps (3) and (6) of the method means that only water is used for the rinsing process, without any further agents other than agents (a) and (b) being used.
- the agent (a) is first applied to the keratin materials, in particular the human hair.
- the agent (a) After application, the agent (a) is allowed to act on the keratin materials.
- the process according to the invention allows the creation of colorations with particularly good intensity and wash fastness even when the agent (a) is allowed to act for a short time.
- exposure times of 10 seconds to 10 minutes, preferably 20 seconds to 5 minutes and very particularly preferably 30 seconds to 2 minutes on the hair have proven to be particularly advantageous.
- the agent (a) can now be rinsed out of the keratin materials before the agent (b) is applied to the hair in the subsequent step.
- step (4) agent (b) is applied to the keratin materials. After application, agent (b) is allowed to act on the hair.
- the process according to the invention allows the creation of colorations with particularly good intensity and wash fastness even with a short exposure time of the agent (b). Exposure times of 10 seconds to 10 minutes, preferably 20 seconds to 5 minutes and very particularly preferably 30 seconds to 3 minutes on the hair have proven to be particularly advantageous.
- step (6) the agent (b) (and any remaining agent (a)) is now rinsed out of the keratin material with water.
- the sequence of steps (1) to (6) takes place within 24 hours.
- the agent (a) was applied to one strand of hair (Kerling, Euronaturhaar white, liquor ratio: 4 g agent (a) per g strand of hair) and then left to work for one minute. The strand of hair was then dipped into the after-treatment agent (b) and left there for 1 minute. After that, each strand of hair was thoroughly washed (1 minute) with water, dried and visually assessed under the daylight lamp.
Landscapes
- Health & Medical Sciences (AREA)
- Life Sciences & Earth Sciences (AREA)
- Animal Behavior & Ethology (AREA)
- General Health & Medical Sciences (AREA)
- Public Health (AREA)
- Veterinary Medicine (AREA)
- Birds (AREA)
- Epidemiology (AREA)
- Chemical & Material Sciences (AREA)
- Inorganic Chemistry (AREA)
- Emergency Medicine (AREA)
- Cosmetics (AREA)
Description
- Gegenstand der vorliegenden Anmeldung ist ein Verfahren zum Färben von keratinischem Material, insbesondere menschlichen Haaren, welches die Anwendung von mindestens zwei verschiedenen Mitteln (a) und (b) umfasst. Das Mittel (a) enthält mindestens ein aminofunktionalisiertes Silikonpolymer (a1) und mindestens eine farbgebende Verbindung (a2) aus der Gruppe der anorganischen und/oder organischen Pigmente,. Bei dem Mittel (b) handelt es sich um ein saures, wasserhaltiges Nachbehandlungsmittel mit einem pH-Wert von 1,5 bis 5,5. Weiterhin ist in mindestens einem der Mittel (a) und/oder (b) ein filmbildendes Polymer enthalten. Zunächst wird das Mittel (a) angewendet, danach wird das Mittel (b) angewendet, wobei der Zeitraum zwischen der Anwendung der Mittel (a) und (b) bei maximal 24 Stunden liegt.
- Die Veränderung von Form und Farbe von keratinischem Material, insbesondere von menschlichen Haaren, stellt einen wichtigen Bereich der modernen Kosmetik dar. Zur Veränderung der Haarfarbe kennt der Fachmann je nach Anforderung an die Färbung diverse Färbesysteme. Für permanente, intensive Färbungen mit guten Echtheitseigenschaften und guter Grauabdeckung werden üblicherweise Oxidationsfärbemittel verwendet. Solche Färbemittel enthalten Oxidationsfarbstoffvorprodukte, sogenannte Entwicklerkomponenten und Kupplerkomponenten, die unter dem Einfluss von Oxidationsmitteln wie beispielsweise Wasserstoffperoxid untereinander die eigentlichen Farbstoffe ausbilden. Oxidationsfärbemittel zeichnen sich durch sehr langanhaltende Färbeergebnisse aus.
- Bei dem Einsatz von direktziehenden Farbstoffen diffundieren bereits fertig ausgebildete Farbstoffe aus dem Färbemittel in die Haarfaser hinein. Im Vergleich zur oxidativen Haarfärbung weisen die mit direktziehenden Farbstoffen erhaltenen Färbungen eine geringere Haltbarkeit und schnellere Auswaschbarkeit auf. Färbungen mit direktziehenden Farbstoffen verbleiben üblicherweise für einen Zeitraum zwischen 5 und 20 Haarwäschen auf dem Haar.
- Für kurzzeitige Farbveränderungen auf dem Haar und/oder der Haut ist der Einsatz von Farbpigmenten bekannt. Unter Farbpigmenten werden im Allgemeinen unlösliche, farbgebende Substanzen verstanden. Diese liegen ungelöst in Form kleiner Partikel in der Färbeformulierung vor und lagern sich lediglich von außen auf den Haarfasern und/oder der Hautoberfläche ab. Daher lassen sie sich in der Regel durch einige Wäschen mit tensidhaltigen Reinigungsmitteln wieder rückstandslos entfernen. Unter dem Namen Haar-Mascara sind verschiedene Produkte dieses Typs auf dem Markt erhältlich.
-
DE 102014218006 A1 beschreibt eine Verpackungseinheit zur Färbung von Keratinfasern, welche die beiden Mittel (M1) und (M2) umfasst. Das Mittel (M1) enthält mindestens eine farbgebende Verbindung aus der Gruppe der Oxidationsfarbstoffvorprodukte und der direktziehenden Farbstoffe sowie ein Aminosilikon. Das Mittel (M2) ist eine Oxidationsmittelzubereitung. -
DE 102004013795 A1 beschreibt kosmetische Mittel enthaltend mindestens ein Aminosilikon einer Formel (SH). - Wünscht sich der Anwender besonders langanhaltende Färbungen, so ist die Verwendung von oxidativen Färbemitteln bislang seine einzige Option. Doch trotz vielfacher Optimierungsversuche lässt sich bei der oxidativen Haarfärbung ein unangenehmer Ammoniakgeruch bzw. Amingeruch nicht vollständig vermeiden. Auch die mit dem Einsatz der oxidativen Färbemittel nach wie vor verbundene Haarschädigung wirkt sich auf das Haar des Anwenders nachteilig aus. Eine nach wie vor bestehende Herausforderung ist daher die Suche nach alternativen, leistungsstarken Färbeverfahren.
- Es war die Aufgabe der vorliegenden Erfindung, ein Färbesystem bereitzustellen, das mit der oxidativen Färbung vergleichbare Echtheitseigenschaften besitzt. Insbesondere die Waschechtheiten sollten herausragend sein, hierbei sollte jedoch auf den Einsatz der sonst zu diesem Zweck üblicherweise eingesetzten Oxidationsfarbstoffvorprodukte verzichtet werden. Es wurde nach einer Technologie gesucht, die es ermöglicht, die aus dem Stand der Technik bekannten farbgebenden Verbindungen (wie beispielsweise Pigmente) in extrem dauerhafter Weise auf den Haaren zu fixieren. Bei Anwendung der Mittel in einem Färbeverfahren sollten intensive Färbeergebnisse mit guten Echtheitseigenschaften erzielt werden. Insbesondere sollten bei Anwendung der entsprechenden Verfahren besonders waschechte Färbungen erhalten werden, die auch nach wiederholtem Kämmen oder Frisieren keine Abschwächung der Farbintensität erleiden.
- Überraschenderweise hat sich nun herausgestellt, dass die vorgenannte Aufgabe hervorragend gelöst werden kann, wenn keratinische Materialien, insbesondere Haare, mit einem Verfahren gefärbt werden, bei welchem mindestens zwei Mittel (a) und (b) auf die keratinischen Materialien (Haare) appliziert werden. Hierbei enthält das Mittel (a) mindestens ein aminofunktionalisiertes Silikonpolymer (a1), mindestens eine farbgebende Verbindung (a2) aus der Gruppe der anorganischen und/oder organischen Pigmente und gegebenenfalls mindestens ein von (a1) verschiedenes filmbildendes Polymer (a3). Das Mittel (b) stellt ein saures Nachbehandlungsmittel mit einem pH-Wert von 1,5 bis 5,5 dar und enthält Wasser, mindestens eine Säure (b1) sowie gegebenenfalls mindestens ein filmbildendes Polymer (b2). Weiterhin besteht bei beiden Mitteln (a) und (b) die Maßgabe, dass mindestens eines der Mittel (a) und/oder (b) mindestens ein filmbildendes Polymer enthält. Zunächst wird das Mittel (a) angewendet, danach wird das Mittel (b) angewendet, und der Zeitraum zwischen der Anwendung der Mittel (a) und (b) liegt bei maximal 24 Stunden. Bei Einsatz der beiden Mittel (a) und (b) in einem Färbeverfahren konnten keratinische Fasern mit hoher Farbintensität gefärbt werden. Zudem war die Waschechtheit der mit (a) und (b) gefärbten Haare hervorragend.
- Ein erster Gegenstand der vorliegenden Erfindung ist ein Verfahren zum Färben von keratinischem Material, insbesondere menschlichen Haaren, umfassend die folgenden Schritte:
- Anwendung eines Färbemittels (a) auf dem keratinischem Material, wobei das Mittel (a) enthält:
- (a1) mindestens ein aminofunktionalisiertes Silikonpolymer, und
- (a2) mindestens eine farbgebende Verbindung aus der Gruppe der anorganischen und/oder organischen Pigmente, und
- (a3) gegebenenfalls mindestens ein filmbildendes Polymer, das von (a1) verschieden ist,
- Anwendung eines Nachbehandlungsmittels (b) auf dem keratinischen Material, wobei das Mittel (b) einen pH-Wert von 1,5 bis 5,5 besitzt und enthält: Wasser und
- (b1) mindestens eine Säure, und
- (b2) gegebenenfalls mindestens ein filmbildendes Polymer,
- mit der Maßgabe, dass mindestens eines der Mittel (a) und/oder (b) mindestens ein filmbildendes Polymer enthält,
- dadurch gekennzeichnet, dass zunächst das Mittel (a) angewendet wird, danach das Mittel (b) angewendet wird, wobei der Zeitraum zwischen der Anwendung der Mittel (a) und (b) bei maximal 24 Stunden liegt.
- Bei den zu dieser Erfindung führenden Arbeiten hat sich gezeigt, dass die sukzessive Anwendung von Färbemittel (a) und Nachbehandlungsmittel (b) zu gefärbtem keratinischen Material führt, welches sich durch gute Echtheitseigenschaften, insbesondere durch besonders gute Waschechtheiten auszeichnet.
- Ohne auf diese Theorie beschränkt zu sein, wird vermutet, dass das im Färbemittel (a) enthaltene aminofunktionalisiertes Silikonpolymer (a1) mit dem Keratinmaterial adhäsive Bindungen eingeht, die das Aminosilikon (a1) zuächst auf dem Keratinmaterial fixieren. Die farbgebenden Verbindungen (a2) lagern sich hierbei in oder an das Aminosilikon (a1) ein und werden auf diese Weise ebenfalls an der Außenseite des Keratinmaterials immobilisiert.
- Die adhäsiven Bindungen zwischen aminofunktionalisiertem Silikonpolymer (a1) und Keratin basieren vermutlich auf elektrostatischen Wechselwirkungen, die sich zwischen den positiv geladenen Aminogruppen des Silikon-Polymers (a1) und negativen Ladungen auf dem Keratinmaterial ausbilden.
- Überraschenderweise konnte beobachtet werden, dass die farbgebenden Verbindungen (a2) sich bei gleichzeitiger Anwendung mit dem Aminosilikon (a1) an letztes anlagern oder mit diesem eine gemeinsame Schicht ausbilden. Diese gemeinsame Schichtbildung von (a1) und (a2) führt dazu, dass Färbungen mit guter Waschechheit erhalten werden können, auch ohne dass eine Diffusion der farbgebenden Verbindung in die Haarfaser hinein notwendig wäre. Durch Einsatz eines filmbildenden Polymers, dass entweder in das Färbemittel (a) und/oder in das Nachbehandlungsmittel (b) eingearbeitet wird, kann die Schicht aus (a1) und (a2) zusätzlich fixiert und die Waschechtheit auf diese Weise weiter verstärkt werden.
- Des weiteren hat sich herausgestellt, dass bei der gemeinsamen Ablagerung von Aminosilikon (a1) und farbgebender Verbindung (a2) insbesondere dann sehr stabile Schichten ausgebildet werden konnten, wenn für die Anwendung die optimierten pH-Werte gewählt wurden. Besonders resistente Schichten konnten erzielt werden, wenn zunächst (a1) und (a2) bei neutralem bis basischem Milieu auf die Keratinmaterialien appliziert wurden, und der pH-Wert im Anschluss daran durch Anwendung eines sauren Nachbhenadlungsmittel abgesenkt wurde.
- Unter keratinischem Material sind Haare, die Haut, die Nägel (wie beispielsweise Fingernägel und/oder Fußnägel) zu verstehen. Weiterhin fallen auch Wolle, Pelze und Federn unter die Definition des keratinischen Materials.
- Bevorzugt werden unter keratinischem Material das menschliche Haar, die menschliche Haut und menschliche Nägel, insbesondere Finger- und Fußnägel, verstanden. Ganz besonders bevorzugt wird unter keratinischem Material das menschliche Haar verstanden.
- Im Rahmen des erfindungsgemäßen Verfahrens werden die Mittel (a) und (b) auf dem keratinischen Material, insbesondere den menschlichen Haaren, appliziert. Die beiden Mittel (a) und (b) sind voneinander verschieden.
- Mit anderen Worten ist ein erster Gegenstand der vorliegenden Erfindung ein Verfahren zum Färben von keratinischem Material, insbesondere menschlichen Haaren, umfassend die folgenden Schritte:
- Anwendung eines Färbemittels (a) auf dem keratinischem Material, wobei das Mittel (a) enthält:
- (a1) mindestens ein aminofunktionalisiertes Silikonpolymer, und
- (a2) mindestens eine farbgebende Verbindung aus der Gruppe der anorganischen und/oder organischen Pigmente, und
- (a3) gegebenenfalls mindestens ein filmbildendes Polymer, das von (a1) verschieden ist,
- Anwendung eines Nachbehandlungsmittels (b) auf dem keratinischen Material, wobei das Mittel (b) einen pH-Wert von 1,5 bis 5,5 besitzt und enthält: Wasser und
- (b1) mindestens eine Säure, und
- (b2) gegebenenfalls mindestens ein filmbildendes Polymer,
- mit der Maßgabe, dass
- mindestens eines der Mittel (a) und/oder (b) mindestens ein filmbildendes Polymer enthält, und
- die Mittel (a) und (b) voneinander verschieden sind,
- dadurch gekennzeichnet, dass zunächst das Mittel (a) angewendet wird, danach das Mittel (b) angewendet wird, wobei der Zeitraum zwischen der Anwendung der Mittel (a) und (b) bei maximal 24 Stunden liegt.
- Als ersten erfindungswesentlichen Inhaltsstoff (a1) enthält das Mittel (a) mindestens ein aminofunktionalisiertes Silikonpolymer. Das aminofunktionalisiertes Silikonpolymer kann alternativ auch als Aminosilikon oder Amodimethicone bezeichnet werden.
- Silikonpolymere sind im allgemeinen Makromoleküle mit einem Molekulargewicht von mindestens 500 g/mol, bevorzugt mindestens 1000 g/mol, weiter bevorzugt von mindestens 2500 g/mol, besonders bevorzugt von mindestens 5000 g/mol, welche sich wiederholende organische Einheiten umfassen.
- Das maximale Molekulargewicht des Silikonpolymers hängt von dem Polymerisationsgrad (Anzahl der polymerisierten Monomere) und der Ansatzgröße ab und wird durch die Polymerisationsmethode mitbestimmt. Im Sinne der vorliegenden Erfindung ist es bevorzugt, wenn das maximale Molekulargewicht des Silikonpolymers nicht mehr als 107 g/mol, bevorzugt nicht mehr als 106 g/mol und besonders bevorzugt nicht mehr als 105 g/mol beträgt.
- Die Silikonpolymere umfassen viele Si-O-Wiederholungseinheiten, wobei die Si-Atome organische Reste wie beispielsweise Alkylgruppen oder substituierte Alkylgruppen tragen können. Alternativ wird ein Silikonpolymer daher auch als Polydimethylsiloxan bezeichnet.
- In Entsprechung des hohen Molekulargewichts der Silikonpolymere basieren diese auf mehr als 10 Si-O Wiederholungseinheiten, bevorzugt mehr als 50 Si-O-Wiederholungseinheiten und besonders bevorzugt mehr als 100 Si-O-Wiederholungseinheiten, ganz besonders bevorzugt mehr als 500 Si-O-Wiederholungseinheiten.
- Unter einem aminofunktionalisierten Silikonpolymer wird ein funktionalisiertes Polydimethylsiloxan verstanden, welches mindestens eine Struktureinheit mit einer Aminogruppe trägt. Bevorzugt trägt das aminofunktionalisierte Silikonpolymer mehrere Struktureinheiten mit jeweils mindestens einer Aminogruppe. Unter einer Aminogruppe wird eine primäre Aminogruppe, eine sekundäre Aminogruppe und eine tertiäre Aminogruppe verstanden. Alle diese Aminogruppen können im sauren Milieu protoniert werden und liegen dann in ihrer kationischen Form vor.
- Prinzipiell konnten gute Effekte aminofunktionalisierten Silikonpolymeren (a1) erzielt werden, wenn diese mindestens eine primäre, mindestens eine sekundäre und/oder mindestens eine tertiäre Aminogruppe tragen. Färbungen mit der besten Waschechtheit wurden jedoch beobachtet, wenn ein aminofunktionalisiertes Silikonpolymer (a1) im Mittel (a) eingesetzt wurde, welches mindestens eine sekundäre Aminogruppe enthält.
- In einer ganz besonders bevorzugten Ausführungsform ist ein erfindungsgemäßes Verfahren dadurch gekennzeichnet, dass das Mittel (a) mindestens ein aminofunktionalisiertes Silikonpolymer (a1) mit mindestens eine sekundären Aminogruppe enthält.
- Die sekundäre Aminogruppe(n) kann bzw. können sich an verschiedenen Positionen des aminofunktionalisierten Silikonpolymers befinden. Ganz besonders gute Effekt wurden gefunden, wenn ein aminofunktionalisiertes Silikonpolymer (a1) eingesetzt wurde, dass mindestens eine, bevorzugt mehrere Struktureinheiten der Formel (Si-Amino) besitzt.
- In den Struktureinheiten der Formel (Si-Amino) steht die Kürzel ALK1 und ALK2 unabhängig voneinander für eine lineare oder verzweigte, zweiwertige C1-C20-Alkylengruppe.
-
- ALK1 und ALK2
- unabhängig voneinander für eine lineare oder verzweigte, zweiwertige C1-C20-Alkylengruppe stehen.
- Die mit einem Stern (*) gekennzeichneten Position geben hierbei jeweils die Bindung zu weiteren Struktureinheiten des Silikonpolymers an. Beispielsweise kann das dem Stern benachbarte Silicium-Atom an ein weiteres Sauerstoffatom gebunden sein, und das dem Stern benachbarte Sauerstoffatom kann an ein weiteres Siliciumatom oder auch an eine C1-C6-Alkylgruppe gebunden sein.
- Eine zweiwertige C1-C20-Alkylengruppe kann alternativ auch als eine divalente oder zweibindige C1-C20-Alkylengruppe bezeichnet werden, womit gemeint ist, dass jede Gruppierung ALK1 bzw. AK2 zwei Bindungen eingehen kann.
- Im Fall von ALK1 erfolgt eine Bindung vom Silicium-Atom zur Gruppierung ALK1, und die zweite Bindung besteht zwischen ALK1 und der sekundären Aminogruppe.
- Im Fall von ALK2 erfolgt eine Bindung von der sekundären Aminogruppe zur Gruppierung ALK2, und die zweite Bindung besteht zwischen ALK2 und der primären Aminogruppe.
- Beispiele für eine lineare zweiwertige C1-C20-Alkylengruppe sind beispielsweise die Methylen-gruppe (-CH2-), die Ethylengruppe (-CH2-CH2-), die Propylengruppe (-CH2-CH2-CH2-) und die Butylengruppe (-CH2-CH2-CH2-CH2-). Die Propylengruppe (-CH2-CH2-CH2-) ist besonders bevorzugt. Ab einer Kettenlänge von 3 C-Atomen können zweiwertige Alkylengruppen auch verzweigt sein. Beispiele für verzweigte, zweiwertige C3-C20-Alkylengruppen sind (-CH2-CH(CH3)-) und (-CH2-CH(CH3)-CH2-).
- In einer weiteren besonders bevorzugten Ausführungsform stellen die Struktureinheiten der Formel (Si-Amino) Wiederholungseinheiten im aminofunktionalisierten Silikonpolymer (a1) dar, so dass das Silikonpolymer mehrer Struktureinheiten der Formel (Si-Amino) umfasst.
- Im Folgenden werden besonders gut geeignete aminofunktionalisierte Silikonpolymere (a1) mit mindestens einer sekundären Aminogruppe aufgelistet.
- Färbungen mit den allerbesten Waschechtheiten konnten erhalten werden, wenn im erfindungsgemäßen Verfahren mindestens ein Mittel (a) auf dem keratinischen Material appliziert wurde, das mindestens ein aminofunktionalisiertes Silikonpolymer (a1) enthält, das Struktureinheiten der Formel (Si-I) und der Formel (Si-II) umfasst
-
- Ein entsprechendes aminofunkionalisiertes Silikonpolymer mit den Struktureinheiten (Si-I) und (Si-II) ist beispielweise das Handelsprodukt DC 2-8566 bzw. Dowsil 2-8566 Amino Fluid, das von der Firma Dow Chemical Company komerziell vertrieben wird und welches die Benennung "Siloxanes and Silicones, 3-[(2-Aminoethyl)amino]-2-methylpropyl Me, Di-Me-Siloxane" sowie die CAS-Nummer 106842-44-8 trägt.
-
- m und n bedeuten Zahlen, die so gewählt sind, daß die Summe (n + m) im Bereich von 1 bis 1000 liegt,
- n ist eine Zahl im Bereich von 0 bis 999 und m ist eine Zahl im Bereich von 1 bis 1000,
- R1, R2 und R3, die gleich oder verschieden sind, bedeuten eine Hydroxygruppe oder eine C1-4-Alkoxygruppe,
- wobei mindestens eine der Gruppen R1 bis R3 eine Hydroxygruppe bedeutet;
-
- p und q bedeuten Zahlen, die so gewählt sind, daß die Summe (p + q) im Bereich von 1 bis 1000 liegt,
- p ist eine Zahl im Bereich von 0 bis 999 und q ist eine Zahl im Bereich von 1 bis 1000,
- R1 und R2, die verschieden sind, bedeuten eine Hydroxygruppe oder eine C1-4-Alkoxygruppe, wobei mindestens eine der Gruppen R1 bis R2 eine Hydroxygruppe bedeutet.
- Die Silikone der Formeln (Si-III) und (Si-IV) unterscheiden sich durch die Gruppierung am Si-Atom, das die stickstoffhaltige Gruppe trägt: In Formel (Si-III) bedeutet R2 eine Hydroxygruppe oder eine C1-4-Alkoxygruppe, während der Rest in Formel (Si-IV) eine Methylgruppe ist. Die einzelnen Si-Gruppierungen, die mit den Indices m und n bzw. p und q gekennzeichnet sind, müssen nicht als Blöcke vorliegen, vielmehr können die einzelnen Einheiten auch statistisch verteilt vorliegen, d.h. in den Formeln (Si-III) und (Si-IV) ist nicht zwingend jedes R1-Si(CH3)2-Gruppe an eine -[O-Si(CH3)2]-Gruppierung gebunden.
-
- A
- für eine Gruppe -OH, -O-Si(CH3)3,-O-Si(CH3)2OH ,-O-Si(CH3)2OCH3 steht,
- D
- für eine Gruppe -H, -Si(CH3)3,-Si(CH3)2OH, -Si(CH3)2OCH3 steht,
- b, n und c
- für ganze Zahlen zwischen 0 und 1000 stehen, mit den Maßgaben
- n > 0 und b + c > 0
- mindestens eine der Bedingungen A = -OH bzw. D = -H ist erfüllt.
- In der vorstehend genannten Formel (Si-V) sind die einzelnen Siloxaneinheiten mit den Indices b, c und n statistisch verteilt, d.h. es muß sich nicht zwingend um Blockcopolymere handeln.
- Das Mittel (a) kann weiterhin auch ein oder mehrere verschiedene aminofunktionalisierte Silikonpolymere enthalten, die durch die Formel (Si-VI)
M(RaQbSiO(4-a-b)/2)x(RcSiO(4-c)/2)yM (Si-VI)
beschrieben werden, wobei in der obigen Formel R ein Kohlenwasserstoff oder ein Kohlenwasserstoffrest mit 1 bis etwa 6 Kohlenstoffatomen ist, Q ein polarer Rest der allgemeinen Formel -R1HZ ist, worin R1 eine zweiwertige, verbindende Gruppe ist, die an Wasserstoff und den Rest Z gebunden ist, zusammengesetzt aus Kohlenstoff- und Wasserstoffatomen, Kohlenstoff-, Wasserstoff- und Sauerstoffatomen oder Kohlenstoff-, Wasserstoff- und Stickstoffatomen, und Z ein organischer, aminofunktioneller Rest ist, der mindestens eine aminofunktionelle Gruppe enthält; "a" Werte im Bereich von etwa 0 bis etwa 2 annimmt, "b" Werte im Bereich von etwa 1 bis etwa 3 annimmt, "a" + "b" kleiner als oder gleich 3 ist, und "c" eine Zahl im Bereich von etwa 1 bis etwa 3 ist, und x eine Zahl im Bereich von 1 bis etwa 2.000, vorzugsweise von etwa 3 bis etwa 50 und am bevorzugtesten von etwa 3 bis etwa 25 ist, und y eine Zahl im Bereich von etwa 20 bis etwa 10.000, vorzugsweise von etwa 125 bis etwa 10.000 und am bevorzugtesten von etwa 150 bis etwa 1.000 ist, und M eine geeignete Silicon-Endgruppe ist, wie sie im Stand der Technik bekannt ist, vorzugsweise Trimethylsiloxy. Nicht einschränkende Beispiele der durch R repräsentierten Reste schließen Alkylreste, wie Methyl, Ethyl, Propyl, Isopropyl, Isopropyl, Butyl, Isobutyl, Amyl, Isoamyl, Hexyl, Isohexyl und ähnliche; Alkenylreste, wie Vinyl, Halogenvinyl, Alkylvinyl, Allyl, Halogenallyl, Alkylallyl; Cycloalkylreste, wie Cyclobutyl, Cyclopentyl, Cyclohexyl und ähnliche; Phenylreste, Benzylreste, Halogenkohlenwasserstoffreste, wie 3- Chlorpropyl, 4-Brombutyl, 3,3,3-Trifluorpropyl, Chlorcyclohexyl, Bromphenyl, Chlorphenyl und ähnliche sowie schwefelhaltige Reste, wie Mercaptoethyl, Mercaptopropyl, Mercaptohexyl, Mercaptophenyl und ähnliche ein; vorzugsweise ist R ein Alkylrest, der 1 bis etwa 6 Kohlenstoffatomen enthält, und am bevorzugtesten ist R Methyl. Beispiele von R1 schließen Methylen, Ethylen, Propylen, Hexamethylen, Decamethylen, - CH2CH(CH3)CH2-, Phenylen, Naphthylen, -CH2CH2SCH2CH2-, -CH2CH2OCH2-, -OCH2CH2-, -OCH2 CH2CH2-, -CH2CH(CH3)C(O)OCH2-, -(CH2)3 CC(O)OCH2CH2-, -C6H 4C6H4-, -C6H 4CH2C6H4-; und -(CH 2)3C(O)SCH2CH2- ein. - Z ist ein organischer, aminofunktioneller Rest, enthaltend mindestens eine funktionelle Aminogruppe. Eine mögliche Formel für Z ist NH(CH2 )zNH2, worin z 1 oder mehr ist. Eine andere mögliche Formel für Z ist -NH(CH2)z(CH 2)zzNH, worin sowohl z als auch zz unabhängig 1 oder mehr sind, wobei diese Struktur Diamino-Ringstrukturen umfaßt, wie Piperazinyl. Z ist am bevorzugtesten ein -NHCH2CH 2NH2-Rest. Eine andere mögliche Formel für Z ist - N(CH2)z(CH2)zzNX2 oder -NX2, worin jedes X von X2 unabhängig ausgewählt ist aus der Gruppe bestehend aus Wasserstoff und Alkylgruppen mit 1 bis 12 Kohlenstoffatomen, und zz 0 ist.
- Q ist am bevorzugtesten ein polarer, aminfunktioneller Rest der Formel -CH2CH2CH2NHCH2CH2NH 2. In den Formeln nimmt "a" Werte im Bereich von etwa 0 bis etwa 2 an, "b" nimmt Werte im Bereich von etwa 2 bis etwa 3 an, "a" + "b" ist kleiner als oder gleich 3, und "c" ist eine Zahl im Bereich von etwa 1 bis etwa 3. Das molare Verhältnis der RaQb SiO(4-a-b)/2-Einheiten zu den RcSiO(4-c)/2-Einheiten liegt im Bereich von etwa 1 : 2 bis 1 : 65, vorzugsweise von etwa 1 : 5 bis etwa 1 : 65 und am bevorzugtesten von etwa 1 : 15 bis etwa 1 : 20. Werden ein oder mehrere Silicone der obigen Formel eingesetzt, dann können die verschiedenen variablen Substituenten in der obigen Formel bei den verschiedenen Siliconkomponenten, die in der Siliconmischung vorhanden sind, verschieden sein.
- Im Rahmen einer besonders bevorzugten Ausführungsform ist ein erfindungsgemäßes Verfahren gekennzeichnet durch die Anwendung eines Mittels (a) auf dem keratinischem Material, wobei das Mittel (a) ein aminofunktionelles Silikonpolymer der Formel (Si-VII)
R'aG3-a-Si(OSiG2)n-(OSiGbR'2-b)m-O-SiG3-a-R'a (Si-VII),
enthält, worin bedeutet: - G ist-H, eine Phenylgruppe, -OH, -O-CH3, -CH3, -O-CH2CH3, -CH2CH3, -O-CH2CH2CH3,-CH2CH2CH3, -O-CH(CH3)2, -CH(CH3)2, -O-CH2CH2CH2CH3, - CH2CH2CH2CH3, -O-CH2CH(CH3)2, -CH2CH(CH3)2, -O-CH(CH3)CH2CH3, - CH(CH3)CH2CH3, -O-C(CH3)3, -C(CH3)3 ;
- a steht für eine Zahl zwischen 0 und 3, insbesondere 0;
- b steht für eine Zahl zwischen 0 und 1, insbesondere 1,
- m und n sind Zahlen, deren Summe (m + n) zwischen 1 und 2000, vorzugsweise zwischen 50 und 150 beträgt, wobei n vorzugsweise Werte von 0 bis 1999 und insbesondere von 49 bis 149 und m vorzugsweise Werte von 1 bis 2000, insbesondere von 1 bis 10 annimmt,
- R' ist ein monovalenter Rest ausgewählt aus
- ∘ -Q-N(R")-CH2-CH2-N(R")2
- ∘ -Q-N(R")2
- ∘ -Q-N'(R")3A-
- ∘ -Q-N+H(R")2 A-
- ∘ -Q-N'H2(R")A-
- ∘ -Q-N(R")-CH2-CH2-N'R"H2A-,
- wobei jedes Q für eine chemische Bindung, -CH2-, -CH2-CH2-, -CH2CH2CH2-, -C(CH3)2-, -CH2CH2CH2CH2-, -CH2C(CH3)2-, -CH(CH3)CH2CH2- steht,
- R" für gleiche oder verschiedene Reste aus der Gruppe -H, -Phenyl, -Benzyl, -CH2-CH(CH3)Ph, der C1-20-Alkylreste, vorzugsweise -CH3, -CH2CH3, -CH2CH2CH3, - CH(CH3)2, -CH2CH2CH2H3, -CH2CH(CH3)2, -CH(CH3)CH2CH3, -C(CH3)3, steht und A ein Anion repräsentiert, welches vorzugsweise ausgewählt ist aus Chlorid, Bromid, Iodid oder Methosulfat.
- Im Rahmen einer weiteren bevorzugten Ausführungsform ist ein erfindungsgemäßes Verfahren gekennzeichnet durch die Anwendung eines Mittels (a) auf dem keratinischem Material, wobei das Mittel (a) mindestens ein aminofunktionelles Silikonpolymer (a1) der Formel (Si-Vlla) enthält,
worin m und n Zahlen sind, deren Summe (m + n) zwischen 1 und 2000, vorzugsweise zwischen 50 und 150 beträgt, wobei n vorzugsweise Werte von 0 bis 1999 und insbesondere von 49 bis 149 und m vorzugsweise Werte von 1 bis 2000, insbesondere von 1 bis 10 annimmt. - Diese Silicone werden nach der INCI-Deklaration als Trimethylsilylamodimethicone bezeichnet.
- Im Rahmen einer weiteren bevorzugten Ausführungsform ist ein erfindungsgemäßes Verfahren gekennzeichnet durch die Anwendung eines Mittels (a) auf dem keratinischem Material, wobei das Mittel (a) mindestens ein aminofunktionelles Silikonpolymer der Formel (Si-Vllb) enthält
enthalten, worin R für -OH, -O-CH3 oder eine -CH3-Gruppe steht und m, n1 und n2 Zahlen sind, deren Summe (m + n1 + n2) zwischen 1 und 2000, vorzugsweise zwischen 50 und 150 beträgt, wobei die Summe (n1 + n2) vorzugsweise Werte von 0 bis 1999 und insbesondere von 49 bis 149 und m vorzugsweise Werte von 1 bis 2000, insbesondere von 1 bis 10 annimmt. - Diese aminofunktionalisierten Siliconpolymere werden nach der INCI-Deklaration als Amodimethicone bezeichnet.
- Unabhängig davon, welche aminofunktionellen Silicone eingesetzt werden, sind erfindungsgemäße Mittel (a) bevorzugt, die ein aminofunktionelles Silikonpolymer enthalten, dessen Aminzahl oberhalb von 0,25 meq/g, vorzugsweise oberhalb von 0,3 meq/g und insbesondere oberhalb von 0,4 meq/g liegt. Die Aminzahl steht dabei für die Milli-Äquivalente Amin pro Gramm des aminofunktionellen Silicons. Sie kann durch Titration ermittelt und auch in der Einheit mg KOH/g angegeben werden.
-
- .Entsprechende 4-Morpholinomethyl-substituiertes Silikonpolymere werden im folgenden beschrieben.
- Ein ganz besonders bevorzugtes aminofunktionaliserte Silikonpolymer ist unter dem Namen Amodimethicone/Morpholinomethyl Silsesquioxane Copolymer bekannt und in Form des Rohstoffes Belsil ADM 8301 E von Wacker kommerziell erhältlich.
-
- R1 für -CH3, -OH, -OCH3, -O-CH2CH3, -O-CH2CH2CH3, oder -O-CH(CH3)2 steht;
- R2 für -CH3, -OH, oder -OCH3 steht.
-
- R1 für -CH3, -OH, -OCH3, -O-CH2CH3, -O-CH2CH2CH3, oder -O-CH(CH3)2 steht;
- R2 für -CH3, -OH, oder -OCH3 steht.
- B für eine Gruppe -OH, -O-Si(CH3)3,-O-Si(CH3)2OH ,-O-Si(CH3)2OCH3 steht,
- D für eine Gruppe -H, -Si(CH3)3,-Si(CH3)2OH, -Si(CH3)2OCH3 steht, a, b und c unabhängig voneinander für ganze Zahlen zwischen 0 und 1000 stehen, mit der Maßgabe a + b + c > 0
- m und n unabhängig voneinander für ganze, Zahlen zwischen 1 und 1000 stehen mit den Maßgabe, daß
- mindestens eine der Bedingungen B = -OH bzw. D = -H erfüllt ist,
- die Einheiten a, b, c, m und n statistisch oder blockweise im Molekül verteilt vorliegen.
- Strukturformel (Si-XI) soll verdeutlichen, daß die Siloxangruppen n und m nicht zwingend direkt an eine Endgruppierung B bzw. D gebunden sein müssen. Vielmehr gilt in bevorzugten Formeln (Si-VI) a > 0 oder b > 0 und in besonders bevorzugten Formeln (Si-VI) a > 0 und c > 0, d.h. die terminale Gruppierung B bzw. D ist vorzugsweise an eine Dimethylsiloxy-Gruppierung gebunden. Auch in Formel (Si-VI) sind die Siloxaneinheiten a, b, c, m und n vorzugsweise statistisch verteilt.
- Die durch Formel (Si-VI) dargestellten erfindungsgemäß eingesetzten Silikone können trimethylsilylterminiert sein (D oder B = -Si(CH3)3), sie können aber auch zweiseitig dimethylsilylhydroxy- oder einseitig dimethylsilylhydroxy- und dimethylsilylmethoxy-terminiert sein. Im Rahmen der vorliegenden Erfindung besonders bevorzugt eingesetzte Silikone sind ausgewählt aus Silikonen, in denen
bedeutet. Diese Silikone führen zu exorbitanten Verbesserungen der Haareigenschaften der mit den erfindungsgemäßen Mitteln behandelten Haare, und zu einem gravierend verbesserten Schutz bei oxidativer Behandlung.B = -O-Si(CH3)2OH und D = -Si(CH3)3 B = -O-Si(CH3)2OH und D = -Si(CH3)2OH B = -O-Si(CH3)2OH und D = -Si(CH3)2OCH3 B = -O-Si(CH3)3 und D = -Si(CH3)2OH B = -O-Si(CH3)2OCH3 und D = -Si(CH3)2OH - Zur Erzeugung besonders widerstandsfähiger Filme enhält das Mittel (a) das oder die aminofunktionalisierten Silikonpolymere (a2), bevorzugt in bestimmten Mengenbereichen.
- Besonders robuste Film wurden erhalten, wenn im erfindungsgemäßen Verfahren ein Mittel (a) eingesetzt wurde, welches - bezogen auf das Gesamtgewicht des Mittels (a) - ein oder mehrere Silikonpolymere in einer Gesamtmenge von 0,1 bis 8,0 Gew.-%, bevorzugt 0,02 bis 5,0 Gew.-%, weiter bevorzugt von 0,1 bis 3,0 Gew.-% und ganz besonders bevorzugt von 0,05 bis 3,5 Gew.-% enthält.
- Im Rahmen einer weiteren bevorzugten Ausführungsform ist ein erfindungsgemäßes Verfahren dadurch gekennzeichnet, dass das Mittel (a) - bezogen auf das Gesamtgewicht des Mittels (a) - ein oder mehrere aminofunktionalisierte Silikonpolymere in einer Gesamtmenge von 0,1 bis 8,0 Gew.-%, bevorzugt 0,02 bis 5,0 Gew.-%, weiter bevorzugt von 0,1 bis 3,0 Gew.-% und ganz besonders bevorzugt von 0,05 bis 3,5 Gew.-% enthält.
- Als zweiten erfindungswesentlichen Bestandteil enthält das im erfindungsgemäßen Verfahren eingesetzte Mittel (a) mindestens eine farbgebende Verbindung (a2) aus der Gruppe der anorganischen und/oder organischen Pigmente.
- Unter farbgebenden Verbindungen werden im Sinne der Erfindung Substanzen verstanden, die in der Lage sind, dem Keratinmaterial eine Färbung zu verleihen. Die farbgebenden Verbindungen werden ausgewählt aus der Gruppe der Pigmente.
- Unter Pigmenten im Sinne der vorliegenden Erfindung werden farbgebende Verbindungen verstanden, welche bei 25 °C in Wasser eine Löslichkeit von weniger als 0,5 g/L, bevorzugt von weniger als 0,1 g/L, noch weiter bevorzugt von weniger als 0,05 g/L besitzen. Die Wasserlöslichkeit kann beispielsweise mittels der nachfolgend beschriebenen Methode erfolgen: 0,5 g des Pigments werden in einem Becherglas abgewogen. Ein Rührfisch wird hinzugefügt. Dann wird ein Liter destilliertes Wasser hinzugegeben. Dieses Gemisch wird unter Rühren auf einem Magnetrührer für eine Stunde auf 25 °C erhitzt. Sind in der Mischung nach diesem Zeitraum noch ungelöste Bestandteile des Pigments sichtbar, so liegt die Löslichkeit des Pigments unterhalb von 0,5 g/L. Sofern sich die Pigment-Wasser-Mischung aufgrund der hohen Intensität des gegebenenfalls feindispergiert vorliegenden Pigments nicht visuell beurteilten lässt, wird die Mischung filtriert. Bleibt auf dem Filterpapier ein Anteil an ungelösten Pigmenten zurück, so liegt die Löslichkeit des Pigments unterhalb von 0,5 g/L.
- Geeignete Farbpigmente sind anorganischen und/oder organischen Ursprungs.
- Ein erfindungsgemäßes Mittel (a) ist dadurch gekennzeichnet, dass es mindestens eine farbgebende Verbindung (a2) aus der Gruppe der anorganischen und/oder organischen Pigmente enthält.
- Bevorzugte Farbpigmente sind ausgewählt aus synthetischen oder natürlichen anorganischen Pigmenten. Anorganische Farbpigmente natürlichen Ursprungs können beispielsweise aus Kreide, Ocker, Umbra, Grünerde, gebranntem Terra di Siena oder Graphit hergestellt werden. Weiterhin können als anorganische Farbpigmente Schwarzpigmente wie z. B. Eisenoxidschwarz, Buntpigmente wie z. B. Ultramarin oder Eisenoxidrot sowie Fluoreszenz- oder Phosphoreszenzpigmente eingesetzt werden.
- Besonders geeignet sind farbige Metalloxide, -hydroxide und -oxidhydrate, Mischphasenpigmente, schwefelhaltige Silicate, Silicate, Metallsulfide, komplexe Metallcyanide, Metallsulfate, -chromate und/oder -molybdate. Insbesondere bevorzugte Farbpigmente sind schwarzes Eisenoxid (CI 77499), gelbes Eisenoxid (CI 77492), rotes und braunes Eisenoxid (CI 77491), Manganviolett (CI 77742), Ultramarine (Natrium-Aluminiumsulfosilikate, CI 77007, Pigment Blue 29), Chromoxidhydrat (CI77289), Eisenblau (Ferric Ferrocyanide, CI77510) und/oder Carmine (Cochineal).
- Erfindungsgemäß ebenfalls besonders bevorzugte Farbpigmente sind farbige Perlglanzpigmente. Diese basieren üblicherweise auf Mica- und/oder Glimmerbasis und können mit einem oder mehreren Metalloxiden beschichtet sein. Glimmer gehört zu den Schicht-Silicaten. Die wichtigsten Vertreter dieser Silicate sind Muscovit, Phlogopit, Paragonit, Biotit, Lepidolith und Margarit. Zur Herstellung der Perlglanzpigmente in Verbindung mit Metalloxiden wird der Glimmer, überwiegend Muscovit oder Phlogopit, mit einem Metalloxid beschichtet.
- Alternativ zu natürlichem Glimmer kann auch ggfs. mit einem oder mehrere Metalloxide(en) beschichtetes, synthetisches Mica als Perlglanzpigment verwendet werden. Besonders bevorzugte Perlglanzpigmente basieren auf natürlichem oder synthetischem Mica (Glimmer) und sind mit einem oder mehreren der zuvor genannten Metalloxide beschichtet. Die Farbe der jeweiligen Pigmente kann durch Variation der Schichtdicke des oder der Metalloxids(e) variiert werden.
- In einer weiteren bevorzugten Ausführungsform ist ein erfindungsgemäßes Verfahren dadurch gekennzeichnet, dass das Mittel (a) mindestens eine farbgebende Verbindung (a2) aus der Gruppe der anorganischen Pigmente enthält, das ausgewählt ist aus der Gruppe der farbigen Metalloxide, Metallhydroxide, Metalloxidhydrate, Silicate, Metallsulfide, komplexen Metallcyanide, Metallsulfate, Bronzepigmente und/oder aus farbigen Pigmenten auf Mica- oder Glimmerbasis, die mit mindestens einem Metalloxid und/oder einem Metalloxychlorid beschichtet sind.
- In einer weiteren bevorzugten Ausführungsform ist ein erfindungsgemäßes Mittel dadurch gekennzeichnet, dass es (a) mindestens eine farbgebende Verbindung (a2) aus der Gruppe der Pigmente enthält, die ausgewählt ist aus Pigmenten auf Mica- oder Glimmerbasis, die mit einem oder mehreren Metalloxiden aus der Gruppe aus Titandioxid (CI 77891), schwarzem Eisenoxid (CI 77499), gelbem Eisenoxid (CI 77492), rotem und/oder braunem Eisenoxid (CI 77491, CI 77499), Manganviolett (CI 77742), Ultramarine (Natrium-Aluminiumsulfosilikate, CI 77007, Pigment Blue 29), Chromoxidhydrat (CI 77289), Chromoxid (CI 77288) und/oder Eisenblau (Ferric Ferrocyanide, CI 77510) beschichtet sind.
- Beispiele für besonders geeignete Farbpigmente sind im Handel beispielsweise unter den Handelsbezeichnungen Rona®, Colorona®, Xirona®, Dichrona® und Timiron® von der Firma Merck, Ariabel® und Unipure® von der Firma Sensient, Prestige® von der Firma Eckart Cosmetic Colors und Sunshine® von der Firma Sunstar erhältlich.
- Ganz besonders bevorzugte Farbpigmente mit der Handelsbezeichnung Colorona® sind beispielsweise:
- Colorona Copper, Merck, MICA, CI 77491 (IRON OXIDES)
- Colorona Passion Orange, Merck, Mica, CI 77491 (Iron Oxides), Alumina
- Colorona Patina Silver, Merck, MICA, CI 77499 (IRON OXIDES), CI 77891 (TITANIUM DIOXIDE)
- Colorona RY, Merck, CI 77891 (TITANIUM DIOXIDE), MICA, CI 75470 (CARMINE)
- Colorona Oriental Beige, Merck, MICA, CI 77891 (TITANIUM DIOXIDE), CI 77491 (IRON OXIDES)
- Colorona Dark Blue, Merck, MICA, TITANIUM DIOXIDE, FERRIC FERROCYANIDE
- Colorona Chameleon, Merck, CI 77491 (IRON OXIDES), MICA
- Colorona Aborigine Amber, Merck, MICA, CI 77499 (IRON OXIDES), CI 77891 (TITANIUM DIOXIDE)
- Colorona Blackstar Blue, Merck, CI 77499 (IRON OXIDES), MICA
- Colorona Patagonian Purple, Merck, MICA, CI 77491 (IRON OXIDES), CI 77891 (TITANIUM DIOXIDE), CI 77510 (FERRIC FERROCYANIDE)
- Colorona Red Brown, Merck, MICA, CI 77491 (IRON OXIDES), CI 77891 (TITANIUM DIOXIDE)
- Colorona Russet, Merck, CI 77491 (TITANIUM DIOXIDE), MICA, CI 77891 (IRON OXIDES)
- Colorona Imperial Red, Merck, MICA, TITANIUM DIOXIDE (CI 77891), D&C RED NO. 30 (CI 73360)
- Colorona Majestic Green, Merck, CI 77891 (TITANIUM DIOXIDE), MICA, CI 77288 (CHROMIUM OXIDE GREENS)
- Colorona Light Blue, Merck, MICA, TITANIUM DIOXIDE (CI 77891), FERRIC FERROCYANIDE (CI 77510)
- Colorona Red Gold, Merck, MICA, CI 77891 (TITANIUM DIOXIDE), CI 77491 (IRON OXIDES)
- Colorona Gold Plus MP 25, Merck, MICA, TITANIUM DIOXIDE (CI 77891), IRON OXIDES (CI 77491)
- Colorona Carmine Red, Merck, MICA, TITANIUM DIOXIDE, CARMINE
- Colorona Blackstar Green, Merck, MICA, CI 77499 (IRON OXIDES)
- Colorona Bordeaux, Merck, MICA, CI 77491 (IRON OXIDES)
- Colorona Bronze, Merck, MICA, CI 77491 (IRON OXIDES)
- Colorona Bronze Fine, Merck, MICA, CI 77491 (IRON OXIDES)
- Colorona Fine Gold MP 20, Merck, MICA, CI 77891 (TITANIUM DIOXIDE), CI 77491 (IRON OXIDES)
- Colorona Sienna Fine, Merck, CI 77491 (IRON OXIDES), MICA
- Colorona Sienna, Merck, MICA, CI 77491 (IRON OXIDES)
- Colorona Precious Gold, Merck, Mica, CI 77891 (Titanium dioxide), Silica, CI 77491 (Iron oxides), Tin oxide
- Colorona Sun Gold Sparkle MP 29, Merck, MICA, TITANIUM DIOXIDE, IRON OXIDES, MICA, CI 77891, CI 77491 (EU)
- Colorona Mica Black, Merck, CI 77499 (Iron oxides), Mica, CI 77891 (Titanium dioxide)
- Colorona Bright Gold, Merck, Mica, CI 77891 (Titanium dioxide), CI 77491(Iron oxides)
- Colorona Blackstar Gold, Merck, MICA, CI 77499 (IRON OXIDES)
- Weiterhin besonders bevorzugte Farbpigmente mit der Handelsbezeichnung Xirona® sind beispielsweise:
- Xirona Golden Sky, Merck, Silica, CI 77891 (Titanium Dioxide), Tin Oxide
- Xirona Caribbean Blue, Merck, Mica, CI 77891 (Titanium Dioxide), Silica, Tin Oxide
- Xirona Kiwi Rose, Merck, Silica, CI 77891 (Titanium Dioxide), Tin Oxide
- Xirona Magic Mauve, Merck, Silica, CI 77891 (Titanium Dioxide), Tin Oxide.
- Zudem sind besonders bevorzugte Farbpigmente mit der Handelsbezeichnung Unipure® beispielsweise:
- Unipure Red LC 381 EM, Sensient CI 77491 (Iron Oxides), Silica
- Unipure Black LC 989 EM, Sensient, CI 77499 (Iron Oxides), Silica
- Unipure Yellow LC 182 EM, Sensient, CI 77492 (Iron Oxides), Silica
- Im Rahmen einer weiteren Ausführungsform kann das erfindungsgemäße Mittel auch (a) ein oder mehrere farbgebende Verbindungen (a2) aus der Gruppe der organischen Pigmente enthalten
- Bei den erfindungsgemäßen organischen Pigmenten handelt es sich um entsprechend unlösliche, organische Farbstoffe oder Farblacke, die beispielsweise aus der Gruppe der Nitroso-, Nitro- Azo-, Xanthen-, Anthrachinon-, Isoindolinon-, Isoindolin-, Chinacridon-, Perinon-, Perylen- , Diketopyrrolopyorrol-, Indigo-, Thioindido-, Dioxazin-, und/oder Triarylmethan-Verbindungen ausgewählt sein können.
- Als besonders gut geeignete organische Pigmente können beispielsweise Carmin, Chinacridon, Phthalocyanin, Sorgho, blaue Pigmente mit den Color Index Nummern CI 42090, CI 69800, CI 69825, CI 73000, CI 74100, CI 74160, gelbe Pigmente mit den Color Index Nummern CI 11680, CI 11710, CI 15985, CI 19140, CI 20040, CI 21100, CI 21108, CI 47000, CI 47005, grüne Pigmente mit den Color Index Nummern CI 61565, CI 61570, CI 74260, orange Pigmente mit den Color Index Nummern CI 11725, CI 15510, CI 45370, CI 71105, rote Pigmente mit den Color Index Nummern CI 12085, CI 12120, CI 12370, CI 12420, CI 12490, CI 14700, CI 15525, CI 15580, CI 15620, CI 15630, CI 15800, CI 15850, CI 15865, CI 15880, CI 17200, CI 26100, CI 45380, CI 45410, CI 58000, CI 73360, CI 73915 und/oder CI 75470 genannt werden.
- In einer weiteren besonders bevorzugten Ausführungsform ist ein erfindungsgemäßes Verfahren dadurch gekennzeichnet, dass das Mittel (a) mindestens eine farbgebende Verbindungen (a2) aus der Gruppe der organischen Pigmente enthält, die ausgewählt ist aus der Gruppe aus Carmin, Chinacridon, Phthalocyanin, Sorgho, blaue Pigmente mit den Color Index Nummern CI 42090, CI 69800, CI 69825, CI 73000, CI 74100, CI 74160, gelbe Pigmente mit den Color Index Nummern CI 11680, CI 11710, CI 15985, CI 19140, CI 20040, CI 21100, CI 21108, CI 47000, CI 47005, grüne Pigmente mit den Color Index Nummern CI 61565, CI 61570, CI 74260, orange Pigmente mit den Color Index Nummern CI 11725, CI 15510, CI 45370, CI 71105, rote Pigmente mit den Color Index Nummern CI 12085, CI 12120, CI 12370, CI 12420, CI 12490, CI 14700, CI 15525, CI 15580, CI 15620, CI 15630, CI 15800, CI 15850, CI 15865, CI 15880, CI 17200, CI 26100, CI 45380, CI 45410, CI 58000, CI 73360, CI 73915 und/oder CI 75470.
- Bei dem organischen Pigment kann es sich weiterhin auch um einen Farblack handeln. Unter der Bezeichnung Farblack wird im Sinn der Erfindung Partikel verstanden, welche eine Schicht aus absorbierten Farbstoffen umfassen, wobei die Einheit aus Partikel und Farbstoff unter den o.g. Bedingungen unlöslich ist. Bei den Partikeln kann es sich beispielsweise um anorganische Substrate handeln, die Aluminium, Silica, Calciumborosilkat, Calciumaluminiumborosilikat oder auch Aluminium sein können.
- Als Farblack kann beispielsweise der Alizarin-Farblack eingesetzt werden.
- Aufgrund ihrer ausgezeichneten Licht- und Temperaturbeständigkeit ist die Verwendung der zuvor genannten Pigmente in dem Mittel (a) des erfindungsgemäßen Verfahrens ganz besonders bevorzugt. Weiterhin ist es bevorzugt, wenn die eingesetzten Pigmente eine bestimmte Teilchengröße aufweisen. Es ist daher erfindungsgemäß vorteilhaft, wenn das mindestens eine Pigment eine mittlere Teilchengröße D50 von 1,0 bis 50 µm, vorzugsweise von 5,0 bis 45 µm, bevorzugt von 10 bis 40 µm, insbesondere von 14 bis 30 µm, aufweist. Die mittlere Teilchengröße D50 kann beispielsweise unter Verwendung von dynamischer Lichtstreuung (DLS) bestimmt werden.
- Das oder die Pigmente können in einer Menge von 0,001 bis 20 Gew.-%, insbesondere von 0,05 bis 5 Gew.-%, jeweils bezogen auf das Gesamtgewicht des Mittels (a), eingesetzt werden.
- Bei Anwendung des erfindungsgemäßen Verfahrens besteht die Maßgabe, dass mindestens eines der Mittel (a) und/oder (b) mindestens ein filmbildendes Polymer enthält.
- Enthält das Mittel (a) mindestens ein filmbildendes Polymer, so wird dies im Folgenden als (a3) bezeichnet. Enthält das Mittel (b) mindestens ein filmbildendes Polymer, so wird dies im Folgenden als (b2) bezeichnet.
- Es ist besonders bevorzugt, wenn das Mittel (a) mindestens ein filmbildendes Polymer (a3) enthält. Es ist ganz besonders bevorzugt, wenn das Mittel (a) mindestens ein hydrophiles, filmbildendes Polymer (a3) enthält. Das filmbildende Polymer (a3) ist von den aminofunktionalisiertes Silikonpolymeren (a1) verschieden.
- Unter Polymeren werden Makromoleküle mit einem Molekulargewicht von mindestens 1000 g/mol, bevorzugt von mindestens 2500 g/mol, besonders bevorzugt von mindestens 5000 g/mol, verstanden, welche aus gleichen, sich wiederholenden organischen Einheiten bestehen. Bei den Polymeren der vorliegenden Erfindung kann es sich um synthetisch hergestellte Polymere handeln, die durch Polymerisation eines Monomertyps oder durch Polymerisation verschiedener, strukturell voneinander unterschiedlicher Monomertypen hergestellt werden. Wird das Polymer durch Polymerisation eines Monomertyps hergestellt, spricht man von Homo-Polymeren. Werden strukturell unterschiedliche Monomertypen in der Polymerisation eingesetzt, wird das resultierende Polymer als Copolymer bezeichnet.
- Das maximale Molekulargewicht des Polymers hängt von dem Polymerisationsgrad (Anzahl der polymerisierten Monomere) und der Ansatzgröße ab und wird durch die Polymerisationsmethode mitbestimmt. Im Sinne der vorliegenden Erfindung ist es bevorzugt, wenn das maximale Molekulargewicht des filmbildenden, hydrophoben Polymers (c) nicht mehr als 107 g/mol, bevorzugt nicht mehr als 106 g/mol und besonders bevorzugt nicht mehr als 105 g/mol beträgt.
- Unter einem hydrophilen Polymer wird ein Polymer verstanden, dass eine Löslichkeit in Wasser bei 25 °C (760 mmHg) von mehr als 1 Gew.-%, bevorzugt von mehr als 2 Gew.-%, besitzt.
- Die Wasserlöslichkeit des filmbildenden, hydrophilen Polymers kann beispielsweise auf dem folgenden Weg bestimmt werden. 1,0 g des Polymers werden in ein Becherglas gegeben. Mit Wasser wird auf 100 g aufgefüllt. Es wird ein Rührfisch hinzugegeben, und die Mischung wird auf einem Magnetrührer unter Rühren auf 25 °C erwärmt. Es wird für 60 Minuten gerührt. Danach wird die wässrige Mischung visuell beurteilt. Ein vollständig gelöstes Polymer erscheint markoskopisch homogen. Sofern sich die Polymer-Wasser-Mischung aufgrund einer hohen Trübung des Gemisches nicht visuell beurteilten lässt, wird die Mischung filtriert. Bleibt auf dem Filterpapier kein ungelöstes Polymer zurück, dann liegt die Löslichkeit des Polymers bei mehr als 1 Gew.-%.
- Unter einem filmbildenden Polymer wird im Sinne der Erfindung ein Polymer verstanden, welches in der Lage ist, auf einem Substrat, beispielsweise auf einem keratinischen Material oder einer keratinischen Faser, einen Film auszubilden. Die Ausbildung eines Films kann beispielsweise durch Betrachtung des mit dem Polymer behandelten Keratinmaterials unter einem Mikroskop nachgewiesen werden.
- Als filmbildende, hydrophile Polymere können nichtionische, anionische und kationische Polymere eingesetzt werden. Als ganz besonders bevorzugt hat sich der Einsatz von nichtionischen, filmbildenden, hydrophilen Polymeren (a3) erwiesen.
- In einer weiteren ganz besonders bevorzugten Ausführungsform ist ein erfindungsgemäßes Verahren dadurch gekennzeichnet, dass das Mittel (a) mindestens ein nichtionisches, filmbildendes, hydrophiles Polymer (a3) enthält.
- Geeignete filmbildende, hydrophile Polymere können beispielsweise aus der Gruppe der Polyvinylpyrrolidon-(Co)Polymere, der Polyvinylalkohol-(Co)Polymere, der Vinylacetat-(Co)Polymere, der Carboxyvinyl-(Co)Polymere, der Acrylsäure-(Co)Polymere, der Methacrylsäure-(Co)Polymere, der natürlichen Gummen, der Polysaccharide und/oder der Acrylamid-(Co)Polymere ausgewählt werden.
- Weiterhin ist es ganz besonders bevorzugt, als filmbildendes hydrophiles Polymer Polyvinylpyrrolidon (PVP) und/oder ein Vinylpyrrolidon-haltiges Copolymer einzusetzen.
- In einer weiteren ganz besonders bevorzugten Ausführungsform ist ein erfindungsgemäßes Verahren dadurch gekennzeichnet, dass das Mittel (a) mindestens ein filmbildendes Polymer (a3) enthält, das ausgewählt ist aus der Gruppe aus Polyvinylpyrrolidon (PVP) und den Copolymeren des Polyvinylpyrrolidons.
- In einer weiteren ganz besonders bevorzugten Ausführungsform ist ein erfindungsgemäßes Verahren dadurch gekennzeichnet, dass das Mittel (a) mindestens ein filmbildendes, hydrophiles Polymer (a3) enthält, das ausgewählt ist aus der Gruppe aus Polyvinylpyrrolidon (PVP) und den Copolymeren des Polyvinylpyrrolidons.
- Es ist explizit am allermeisten bevorzugt, wenn das erfindungsgemäße Mittel als filmbildendes, hydrophiles Polymer (a3) Polyvinylpyrrolidon (PVP) enthält. Überraschenderweise war die Waschechtheit der Färbungen, die mit mit PVP-haltigen Formulierungen erhalten werden konnten, sehr gut.
- Besonders gut geeignete Polyvinylpyrrolidone sind beispielsweise unter der Bezeichnung Luviskol® K von der BASF SE erhältlich, insbesondere Luviskol®K 90 oder Luviskol® K 85 der Firma BASF SE.
- Als weiteres explizit ganz besonders gut geeignetes Polyvinylpyrrolidon (PVP) kann auch das Polymer PVP K30 eingesetzt werden, das von der Firma Ashland (ISP, POI Chemical) vertrieben wird. PVP K 30 ist ein in kaltem Wasser sehr gut lösliches Polyvinylpyrrolidon, welches die CAS-Nummer 9003-39-8 besitzt. Das Molgewicht von PVP K 30 liegt bei ca. 40000 g/mol.
- Weitere ganz besonders gut geeignete Polyvinylpyrrolidone sind die unter den Handelsnamen LUVITEC K 17, LUVITEC K 30, LUVITEC K 60, LUVITEC K 80, LUVITEC K 85, LUVITEC K 90 und LUVITEC K 115 bekannten und von der BASF erhältlichen Substanzen.
- Der Einsatz von filmbildenden hydrophilen Polymeren (a3) aus der Gruppe der Copolymere des Polyvinylpyrrolidons hat ebenfalls zu besonders guten und waschechten Farbergebnissen geführt. Auch die Lagerstabilitäten der Formulierungen, die ein oder mehrere Copolymere des Polyvinylpyrrolidons (a3) enthielten, waren sehr gut.
- Als besonders gut geeignete filmbildende, hydrophile Polymere können in diesem Zusammenhang Vinylpyrrolidon-Vinylester-Copolymere genannt werden, wie sie beispielsweise unter dem Warenzeichen Luviskol® (BASF) vertrieben werden. Luviskol® VA 64 und Luviskol® VA 73, jeweils Vinylpyrrolidon/Vinylacetat-Copolymere, sind besonders bevorzugte nichtionische Polymere.
- Von den Vinylpyrrolidon-haltigen Copolymeren werden ganz besonders bevorzugt ein Styrene/VP Copolymer und/oder ein Vinylpyrrolidon-Vinylacetat-Copolymer und/oder ein VP/DMAPA Acrylates Copolymer und/oder ein VP/Vinyl Caprolactam/DMAPA Acrylates Copolymer in den kosmetischen Zusammensetzungen eingesetzt.
- Vinylpyrrolidon-Vinylacetat-Copolymere werden unter der Bezeichnung Luviskol® VA von der BASF SE vertrieben. Ein VP/Vinyl Caprolactam/DMAPA Acrylates Copolymer wird beispielsweise unter dem Handelsnamen Aquaflex® SF-40 von Ashland Inc. vertrieben. Ein VP/DMAPA Acrylates Copolymer wird beispielsweise unter der Bezeichnung Styleze CC-10 von Ashland vertrieben und ist ein höchst bevorzugtes Vinylpyrrolidon-haltiges Copolymer.
- Als weitere geeignete Copolymere des Polyvinylpyrrolidons (c) können auch die Copolymere genannt werden, die durch Umsetzung von N-Vinylpyrrolidon mit mindestens einem weiteren Monomer aus der Gruppe aus V-Vinylformamid, Vinylacetat, Ethylen, Propylen, Acrylamid, Vinylcaprolactam, Vinylcaprolacton und/oder Vinylalkohol erhalten werden.
- In einer weiteren ganz besonders bevorzugten Ausführungsform ist ein erfindungsgemäßes Verfahren gekennzeichnet, dass das Mittel (a) mindestens ein filmbildendes Polymer (a3) enthält, das ausgewählt ist aus der Gruppe aus Polyvinylpyrrolidon (PVP), Vinylpyrrolidon/Vinylacetat-Copolymeren, Vinylpyrrolidon/Styren-Copolymeren, Vinylpyrrolidon/Ethylen-Copolymeren, Vinylpyrrolidon/Propylen-Copolymeren, Vinylpyrrolidon/Vinylcaprolactam-Copolymeren, Vinylpyrrolidon/Vinylformamid-Copolymeren und/oder Vinylpyrrolidon/Vinylalkohol-Copolymeren, explizit ganz besonders bevorzugt Polyvinylpyrrolidon (PVP).
- Ein weiteres geeigetes Copolymer des Vinylpyrrolidons ist das unter der INCI Bezeichnung Maltodextrin/VP Copolymer bekannte Polymer.
- Weiterhin konnte intensiv gefärbtes Keratinmaterial, insbesondere Haare, mit sehr guten Waschechtheiten erhalten werden, wenn als filmbildendes, hydrophiles Polymer ein nichtionisches, filmbildendes, hydrophiles Polymer eingesetzt wurde.
- In einer ganz besonders bevorzugten Ausführungsform ist ein erfindungsgemäßes Mittel (a) dadurch gekennzeichnet, dass es mindestens ein nichtionisches, filmbildendes, hydrophiles Polymer (a3) enthält.
- Unter einem nichtionischen Polymer wird erfindungsgemäß ein Polymer verstanden, das in einem protischen Lösemittel - wie beispielsweise Wasser - bei Standardbedingungen keine Struktureinheiten mit permanent kationischen oder anionischen Gruppen trägt, welche durch Gegenionen unter Erhaltung der Elektroneutralität kompensiert werden müssen. Unter kationische Gruppen fallen beispielsweise quaternisierte Ammoniumgruppen jedoch keine protonierten Amine. Unter anionische Gruppen fallen beispielsweise Carboxyl- und Sulfonsäuregruppen.
- Es sind die Mittel ganz besonders bevorzugt, die als nichtionisches, filmbildendes, hydrophiles Polymer mindestens ein Polymer enthalten, das ausgewählt ist aus der Gruppe aus
- Polyvinylpyrrolidon,
- Copolymeren aus N-Vinylpyrrolidon und Vinylestern von Carbonsäuren mit 2 bis 18 Kohlenstoffatomen, insbesondere aus N-Vinylpyrrolidon und Vinylacetat,
- Copolymeren aus N-Vinylpyrrolidon und N-Vinylimidazol und Methacrylamid,
- Copolymeren aus N-Vinylpyrrolidon und N-Vinylimidazol und Acrylamid,
- Copolymeren aus N-Vinylpyrrolidon mit N,N-Di(C1 bis C4)-Alkylamino-(C2 bis C4)-alkylacrylamid.
- Kommen Copolymere aus N-Vinylpyrrolidon und Vinylacetat zum Einsatz, ist es wiederum bevorzugt, wenn das Molverhältnis der aus dem Monomer N-Vinylpyrrolidon enthaltenen Struktureinheiten zu den aus dem Monomer Vinylacetat enthaltenen Struktureinheiten des Polymers im Bereich von 20 zu 80 bis 80 zu 20, insbesondere von 30 zu 70 bis 60 zu 40, liegt. Geeignete Copolymerisate aus Vinylpyrrolidon und Vinylacetat sind beispielsweise unter dem Warenzeichen Luviskol® VA 37, Luviskol® VA 55, Luviskol® VA 64 und Luviskol® VA 73 von der Firme BASF SE erhältlich.
- Ein weiteres besonders bevorzugtes Polymer wird dabei ausgewählt aus den Polymeren der INCI-Bezeichnung VP/Methacrylamide/Vinyl Imidazole Copolymer, die beispielsweise unter dem Handelsnamen Luviset Clear von der Fa. BASF SE erhältlich sind.
- Ein weiteres ganz besonders bevorzugtes nichtionisches, filmbildendes, hydrophiles Polymer st ein Copolymer aus N-Vinylpyrrolidon und N,N-Dimethylaminiopropylmethacrylamid,welches beispielsweise mit der INCI-Bezeichnung VP/DMAPA Acrylates Copolymer z. B. unter der Handelsbezeichnung Styleze® CC 10 von der Firma ISP verkauft wird.
- Ein kationisches erfindungsgemäßes Polymer ist das Copolymer aus N-Vinylpyrrolidon, N-Vinylcaprolactam, N-(3-Dimethylaminopropyl)methacrylamid und 3-(Methacryloylamino)propyl-lauryl-dimethylammoniumchlorid (INCI-Bezeichnung: Polyquaternium-69), welches beispielsweise unter dem Handelsnamen AquaStyle® 300 (28-32 Gew.-% Aktivsubstanz in Ethanol-WasserGemisch, Molekulargewicht 350000) von der Firma ISP vertrieben wird.
- Weitere geeignete filmbildende, hydrophile Polymere sind beispielsweise
- Vinylpyrrolidon-Vinylimidazoliummethochlorid-Copolymere, wie sie unter den Bezeichnungen Luviquat® FC 370, FC 550 und der INCI-Bezeichnung Polyquaternium-16 sowie FC 905 und HM 552 angeboten werden,
- Vinylpyrrolidon-Vinylcaprolactam-Acrylat-Terpolymere, wie sie mit Acrylsäureestern und Acrylsäureamiden als dritter Monomerbaustein im Handel beispielsweise unter der Bezeichnung Aquaflex® SF 40 angeboten werden.
- Polyquaternium-11 ist das Reaktionsprodukt von Diethylsulfat mit einem Copolymer von Vinylpyrrolidon und Dimethylaminoethylmethacrylat. Geeignete Handelsprodukte sind beispielsweise unter den Bezeichnungen Dehyquart® CC 11 und Luviquat® PQ 11 PN von der BASF SE oder Gafquat 440, Gafquat 734, Gafquat 755 oder Gafquat 755N von Ashland Inc. erhältlich.
- Polyquaternium-46 ist das Reaktionsprodukt von Vinylcaprolactam und Vinylpyrrolidon mit Methylvinylimidazoliummethosulfat und ist beispielsweise unter der Bezeichnung Luviquat® Hold von der BASF SE erhältlich. Polyquaternium-46 wird bevorzugt in einer Menge von 1 bis 5 Gew.-% - bezogen auf das Gesamtgewicht der kosmetischen Zusammensetzung - eingesetzt. Es ganz besonders bevorzugt, dass Polyquaternium-46 in Kombination mit einer kationischen Guar-Verbindung eingesetzt wird. Es ist sogar höchst bevorzugt, dass Polyquaternium-46 in Kombination mit einer kationischen Guar-Verbindung und Polyquaternium-11 eingesetzt wird.
- Als geeignete anionische filmbildende, hydrophile Polymere können zum Beispiel Acrylsäure-Polymere eingesetzt werden, die in unvernetzter oder vernetzter Form vorliegen können. Entsprechende Produkte werden beispielsweise unter den Handelsnamen Carbopol 980, 981, 954, 2984 and 5984 von der Firma Lubrizol oder auch unter den Namen Synthalen M and Synthalen K von der Firma 3V Sigma (The Sun Chemicals, Inter Harz) kommerziell vertrieben.
- Beispiele für geeignete filmbildende, hydrophile Polymere aus der Gruppe der natürlichen Gums sind Xanthan Gum, Gellan Gum, Carob Gum .
- Beispiele für geeignete filmbildende, hydrophile Polymere aus der Gruppe der Polysaccharide sind Hydroxyethylcellulose, Hydroxypropylcellulose, Ethylcellulose und Carboxymethyl-Cellulose.
- Geeignete filmbildende, hydrophile Polymere aus der Gruppe der Acrylamide sind beispielsweise Polymere, welche ausgehend von Monomeren der (Methy)Acrylamido-C1-C4-alkyl-sulfonsäure bzw. der Salze hiervon hergestellt werden. Entsprechende Polymere können ausgewählt sein aus den Polymeren von Polyacrylamidomethansulfonsäure, Polyacrylamidoethansulfonsäure, Polyacrylamidopropansulfonsäure, Poly2-acrylamido-2-methylpropansulfonsäure, Poly-2-Methylacrylamido-2-methylpropansulfonsäure und/oder Poly-2-methylacrylamido-n-butansulfonsäure.
- Bevorzugte Polyemre der Poly(meth)arylamido-C1-C4-alkyl-sulfonsäuren sind vernetzt und zu mindestens 90 % neutralisiert. Diese Poylmere können vernetzt oder auch unvernetzt sein.
- Vernetzte und ganz oder teilweise neutraliserte Poylmere des Typs der Poly-2-acrylamido-2-methylpropansulfonsäuren sind unter den INCI-Namen "Ammonium Polyacrylamido-2-methyl-propanesulphonate" oder "Ammonium Polyacryldimethyltauramide" bekannt.
- Ein weiteres bevorzugtes Polymer dieses Typs ist das der Firma Clamant unter dem Handelsnamen Hostacerin AMPS vertriebene vernetzte Poly-2-acrylamido-2methyl-propanesulphonsäure-Polymer, das teilweise mit Ammoniak neutralisiert ist.
- Das oder die erfindungsgemäßen filmbildenden Polymere (a3) werden bevorzugt in bestimmten Mengenbereichen im erfindungsgemäßen Mittel eingesetzt. In diesem Zusammenhang hat es sich zur Lösung der erfindungsgemäßen Aufgabenstellung als besonders bevorzugt erwiesen, wenn das Mittel (a) - bezogen auf das Gesamtgewicht des Mittels (a) - ein oder mehrere filmbildende Polymere (a3) in einer Gesamtmenge von 0,1 bis 25,0 Gew.-%, bevorzugt von 0,2 bis 20,0 Gew-%, weiter bevorzugt von 0,5 bis 15,0 Gew.-% und ganz besonders bevorzugt von 1,0 bis 7,0 Gew.-% enthält.
- Das Färbemittel (a) wird bevorzugt auf einen neutral bis alkalischen pH-Wert eingestellt. Ganz besonders bevorzugt wird das Färbemittel (a) auf einen alkalischen pH-Wert eingestellt. Unter basischen Bedingungen kann das aminofunktionalisierte Silikonpolymer (a1) besonders gut und ohne Protonierung gelöst bzw. dispergiert werden.
- Zur Einstellung des gewünschten pH-Wertes enthält das Mittel (a) bevorzugt mindestens ein Alkalisierungsmittel enthalten. Bei den pH-Werten im Sinne der vorliegenden Erfindung handelt es sich um pH-Werte, die bei einer Temperatur von 22°C gemessen wurden.
- Als Alkalisierungsmittel kann das Mittel (a) beispielsweise Ammoniak, Alkanolamine und/oder basische Aminosäuren enthalten.
- Die in dem erfindungsgemäßen Mittel einsetzbaren Alkanolamine werden bevorzugt ausgewählt aus primären Aminen mit einem C2-C6-Alkylgrundkörper, der mindestens eine Hydroxylgruppe trägt. Bevorzugte Alkanolamine werden aus der Gruppe ausgewählt, die gebildet wird aus 2-Aminoethan-1-ol (Monoethanolamin), 3-Aminopropan-1-ol, 4-Aminobutan-1-ol, 5-Aminopentan-1-ol, 1-Aminopropan-2-ol, 1-Aminobutan-2-ol, 1-Aminopentan-2-ol, 1-Aminopentan-3-ol, 1-Aminopentan-4-ol, 3-Amino-2-methylpropan-1-ol, 1-Amino-2-methylpropan-2-ol, 3-Aminopropan-1,2-diol, 2-Amino-2-methylpropan-1,3-diol.
- Erfindungsgemäß besonders bevorzugte Alkanolamine werden ausgewählt aus 2-Aminoethan-1-ol und/oder 2-Amino-2-methylpropan-1-ol. Eine besonders bevorzugte Ausführungsform ist daher dadurch gekennzeichnet, dass das erfindungsgemäße Mittel als Alkalisierungsmittel ein Alkanolamin ausgewählt aus 2-Aminoethan-1-ol und/oder 2-Amino-2-methylpropan-1-ol enthält.
- Als Aminosäure im Sinne der Erfindung gilt eine organische Verbindung, die in ihrer Struktur mindestens eine protonierbare Aminogruppe und mindestens eine -COOH- oder eine -SO3H-Gruppe enthält. Bevorzugte Aminosäuren sind Aminocarbonsäuren, insbesondere α-(alpha)-Aminocarbonsäuren und ω-Aminocarbonsäuren, wobei α-Aminocarbonsäuren besonders bevorzugt sind.
- Unter basischen Aminosäuren sind erfindungsgemäß solche Aminosäuren zu verstehen, welche einen isoelektrischen Punkt pl von größer 7,0 besitzen.
- Basische α-Aminocarbonsäuren enthalten mindestens ein asymmetrisches Kohlenstoffatom. Im Rahmen der vorliegenden Erfindung können beide möglichen Enantiomere als spezifische Verbindung oder auch deren Gemische, insbesondere als Racemate, gleichermaßen eingesetzt werden. Es ist jedoch besonders vorteilhaft, die natürlich bevorzugt vorkommende Isomerenform, üblicherweise in L-Konfiguration, einzusetzen.
- Die basischen Aminosäuren werden bevorzugt ausgewählt aus der Gruppe, die gebildet wird aus Arginin, Lysin, Ornithin und Histidin, besonders bevorzugt aus Arginin und Lysin. In einer weiteren besonders bevorzugten Ausführungsform ist ein erfindungsgemäßes Mittel daher dadurch gekennzeichnet, dass es sich bei dem Alkalisierungsmittel um eine basische Aminosäure aus der Gruppe Arginin, Lysin, Ornithin und/oder Histidin handelt.
- Darüber hinaus kann das Mittel weitere Alkalisierungsmittel, insbesondere anorganische Alkalisierungsmittel enthalten. Erfindungsgemäß einsetzbare, anorganische Alkalisierungsmittel sind bevorzugt ausgewählt aus der Gruppe, die gebildet wird aus Natriumhydroxid, Kaliumhydroxid, Calciumhydroxid, Bariumhydroxid, Natriumphosphat, Kaliumphosphat, Natriumsilicat, Natriummetasilicat, Kaliumsilicat, Natriumcarbonat und Kaliumcarbonat.
- Ganz besonders bevorzugte Alkalisierungsmittel sind Ammoniak, 2-Aminoethan-1-ol (Monoethanolamin), 3-Aminopropan-1-ol, 4-Aminobutan-1-ol, 5-Aminopentan-1-ol, 1-Aminopropan-2-ol, 1-Aminobutan-2-ol, 1-Aminopentan-2-ol, 1-Aminopentan-3-ol, 1-Aminopentan-4-ol, 3-Amino-2-methylpropan-1-ol, 1-Amino-2-methylpropan-2-ol, 3-Aminopropan-1,2-diol, 2-Amino-2-methylpropan-1,3-diol, Arginin, Lysin, Ornithin, Histidin, Natriumhydroxid, Kaliumhydroxid, Calciumhydroxid, Bariumhydroxid, Natriumphosphat, Kaliumphosphat, Natriumsilicat, Natriummetasilicat, Kaliumsilicat, Natriumcarbonat und Kaliumcarbonat.
- In einer weiteren ganz besonders bevorzugten Ausführungsform ist ein erfindungsgemäßes Verfahren dadurch gekennzeichnet, dass das Färbemittel (a) mindestens ein Alkalisierungsmittel aus der Gruppe aus Ammoniak, 2-Aminoethan-1-ol (Monoethanolamin), 3-Aminopropan-1-ol, 4-Aminobutan-1-ol, 5-Aminopentan-1-ol, 1-Aminopropan-2-ol, 1-Aminobutan-2-ol, 1-Aminopentan-2-ol, 1-Aminopentan-3-ol, 1-Aminopentan-4-ol, 3-Amino-2-methylpropan-1-ol, 1-Amino-2-methyl-propan-2-ol, 3-Aminopropan-1,2-diol, 2-Amino-2-methylpropan-1,3-diol, Arginin, Lysin, Ornithin, Histidin, Natriumhydroxid, Kaliumhydroxid, Calciumhydroxid, Bariumhydroxid, Natriumphosphat, Kaliumphosphat, Natriumsilicat, Natriummetasilicat, Kaliumsilicat, Natriumcarbonat und Kaliumcarbonat enthält.
- Besonders gute Ergebnisse wurden erhalten, wenndas Mittel (a) auf einen pH-Wert 7,0 bis 11,5 bevorzugt von 8,0 bis 11,0, und besonders bevorzugt von 8,5 bis 10,5 eingestellt wurde.
- In einer weiteren ganz besonders bevorzugten Ausführungsform ist ein erfindungsgemäßes Verfahren dadurch gekennzeichnet, dass das Mittel (a) Wasser enthält und einen pH-Wert von 7,0 bis 11,5 bevorzugt von 8,0 bis 11,0, und besonders bevorzugt von 8,5 bis 10,5 besitzt.
- Im Anschluss an die Anwendung des Färbemittels (a) auf dem Keratinmaterial wird das Nachbehandlungsmittel (b) angewendet. Bei dem Nachbehandlungsmittel (b) handelt es sich um eine sauer eingestellte Lösung, Dispersion oder Emulsion. Als erfindungswesentliche Inhaltsstoffe enthält das Nachbehandlungsmittel (b) deshalb Wasser und mindestens eine Säure (b1) und besitzt einen pH-Wert von 1,5 bis 5,5.
- Hierbei haben sich bestimmte Säuren zur Einstellung des gewünschten pH-Wertes als ganz besonders gut geeignet erwiesen. Diese Säuren können beispeilsweise ausgewählt werden aus der Gruppe aus Zitronensäure, Weinsäure, Äpfelsäure, Milchsäure, Essigsäure, Methansulfonsäure, Benzoesäure, Malonsäure, Oxalsäure, 1-Hydroxyethan-1,1-diphosphonsäure, Schwefelsäure, Salzsäure und Phosphorsäure.
- In einer weiteren ganz besonders bevorzugten Ausführungsform ist ein erfindungsgemäßes Verfahren dadurch gekennzeichnet, dass das Mittel (b) mindestens eine Säure (b1) enthält, die ausgewählt ist aus der Gruppe aus Zitronensäure, Weinsäure, Äpfelsäure, Milchsäure, Essigsäure, Methansulfonsäure, Benzoesäure, Malonsäure, Oxalsäure, 1-Hydroxyethan-1,1-diphosphonsäure, Schwefelsäure, Salzsäure und Phosphorsäure.
- Sobald das Nachbehandlungsmittel (b) angewendet wird, tritt dieses mit den auf dem Keratinmaterial abgelagerten Aminosilikonen (a1) und farbgebenden Verbindungen (a2) in Kontakt. Da das Mittel (b) sauer eingestellt ist, senkt es auch den pH-Wert in der direkten Umgebung des Aminosilikons (a1) ab. In diesem Zusammenhang wird vermutet, dass durch die Verringerung des pH-Wertes eine Protonierung des Aminosilikons (a1) erfolgt, wodurch in Folge dessen Adhäsionskräfte zum Keratinmaterial weiter verstärkt und die farbgebenden Verbindungen (a2) noch stärker an das Haar gebunden werden. Hierdurch bedingt wird die Waschechtheit der resultierenden Färbung massiv verbessert. Aus diesem Grund wird das Nachbehandlungsmittel (b) auf einen sauren pH-Wert im Bereich von 1,5 bis 5,5, bevorzugt von 2,0 bis 4,8, und besonders bevorzugt von 2,5 bis 4,5 eingestellt.
- In einer weiteren ganz besonders bevorzugten Ausführungsform ist ein erfindungsgemäßes Verfahren dadurch gekennzeichnet, dass das Mittel (b) Wasser enthält und einen pH-Wert von 2,0 bis 4,8, und bevorzugt von 2,5 bis 4,5 besitzt.
- Im Rahmen der zu dieser Erfindung führenden Arbeiten hat sich die Wahl des Zeitpunktes, zu dem der pH-Wert abgesenkt wird, als wesentlich für die Erzeugung von stabilen Schichten auf dem Keratinmaterial herausgestellt. Es ist erfindungswesentlich, dass der pH-Wert des Aminosilikons (a1) abgesenkt wird, nachdem dieses auf die Keratinfaser aufgetragen wurde. Bei zeitgleicher Anwendung von Aminosilikon (a1) und Säure findet keine signifikante Verstärkung der Bindung an das Keratin statt. Aus diesem Grund ist es erfindungswesentlich, die Säure (b1) in das Nachbehandlungsmittel (b) einzuarbeiten.
- Es wurde gefunden, dass die Verbesserung der Waschechtheit umso größer ist, je stärker der pH-Wert in der Umgebung des Aminosilikons (a1) abgesenkt wird. Mit anderen Worten waren die Färbungen insbesondere dann besonders beständig, wenn das Färbemittel (a) vergleichsweise stark alkalisch eingestellt war, und das Nachbehandlungsmittel (b) einen verhältnismäßig sauren pH-Wert besaß.
- Bei dem erfindungsgemäßen Verfahren besteht die Maßgabe, dass mindestens eine der im Verfahren eingesetzten Mittel (a) und/oder (b) ein filmbildendes Polymer enthält. Wenn das filmbildende Polymer im Nachbehandlungsmittel (b) enthalten ist, wird dieses als (b2) bezeichnet.
- Die im Mittel (b) enthaltenen filmbildenden Polymere können dieselben sein, die bereits im Zusammenhang mit dem Mittel (a) beschrieben wurden.
- So kann das Nachbehandlungsmittel (b) beispielsweise ein filmbildendes Polymer (b2) enthalten, das ausgewählt ist aus der Gruppe aus Polyvinylpyrrolidon (PVP), Vinylpyrrolidon/Vinylacetat-Copolymeren, Vinylpyrrolidon/Styren-Copolymeren, Vinylpyrrolidon/Ethylen-Copolymeren, Vinylpyrrolidon/Propylen-Copolymeren, Vinylpyrrolidon/Vinylcaprolactam-Copolymeren, Vinylpyrrolidon/Vinylformamid-Copolymeren und/oder Vinylpyrrolidon/Vinylalkohol-Copolymeren, explizit ganz besonders bevorzugt Polyvinylpyrrolidon (PVP).
- Darüberhinaus kann das Nachbehandlungsmittel (b) auch ein filmbildendes Polymer enthalten, das augewählt ist aus der Gruppe der Copolymere von Acrylsäure, der Copolymere der Methacrylsäure, der Homopolymere oder Copolymere von Acrylsäure-Estern, der Homopolymere oder Copolymere von Methacrylsäure-Estern, der Homopolymere oder Copolymere von Acrylsäureamiden, der Homopolymere oder Copolymere von Methacrylsäure-Amiden, der Copolymere des Vinylpyrrolidons, der Copolymere des Vinylalkohols, der Copolymere des Vinylacetats, der Homopolymere oder Copolymere des Ethylens, der Homopolymere oder Copolymere des Propylens, der Homopolymere oder Copolymere des Styrens, der Polyurethane, der Polyester und/oder der Polyamide.
- Zur Lösung der erfindungsgemäßen Aufgabenstellung haben sich insbesondere die filmbildenden Polymere als gut geeignet erwiesen, die aus der Gruppe der synthetischen Polymere, der durch radikalische Polymerisation erhältlichen Polymere oder der natürlichen Polymere ausgewählt werden.
- Weitere besonders gut geeignete filmbildende Polymere können ausgewählt werden aus den Homopolymere oder Copolymeren von Olefinen, wie beispielsweise Cycloolefinen, Butadien, Isopren oder Styren, Vinylethern, Vinylamiden, den Estern oder Amiden von (Meth)Acrylsäure mit mindestens einer C1-C20-Alkylgruppe, einer Arylgruppe oder einer C2-C10-Hydroxyalkylgruppe.
- Weitere filmbildende Polymere können ausgewählt sein aus den Homo- oder Copolymeren von Isooctyl-(meth)acrylat; Isononyl-(meth)acrylat; 2-Ethylhexyl-(meth)acrylat; Lauryl-(meth)acrylat); isopentyl-(meth)acrylat; n-Butyl-(meth)acrylat); Isobutyl-(meth)acrylat; Ethyl-(meth)acrylat; Methyl-(meth)acrylat; tert-Butyl-(meth)acrylat; Stearyl-(meth)acrylat; Hydroxyethyl-(meth)acrylat; 2-Hydroxypropyl-(methacrylat; 3-Hydroxypropyl-(meth)acrylat und/oder Gemischen hiervon.
- Weitere filmbildende Polymere können ausgewählt sein aus den Homo- oder Copolymeren von (Meth)acrylamid; N-Alkyl-(meth)acrylamiden, insbesondere solchen mit C2-C18 Alkylgruppen, wie beispielsweise N-Ethyl-acrylamid, N-tert-butyl-acrylamid, le N-Octyl-crylamid; N-Di(C1-C4)alkyl-(meth)acrylamid.
- Weitere bevorzugte anionische Copolymere sind beispielsweise Copolymere aus Acrylsäure, Methacrylsäure oder deren C1-C6-Alkylestern, wie sie unter der INCI-Deklaration Acrylates Copolymere vertrieben werden. Ein geeignetes Handelsprodukt ist beispielsweise Aculyn® 33 der Firma Rohm & Haas. Weiterhin bevorzugt sind aber auch Copolymere aus Acrylsäure, Methacrylsäure oder deren C1-C6-Alkylestern und den Estern einer ethylenisch ungesättigten Säure und einem alkoxylierten Fettalkohol. Geeignete ethylenisch ungesättigte Säuren sind insbesondere Acrylsäure, Methacrylsäure und Itaconsäure; geeignete alkoxylierte Fettalkohole sind insbesondere Steareth-20 oder Ceteth-20.
- Auf dem Markt befindliche ganz besonders bevorzugte Polymere sind beispielsweise Aculyn® 22 (Acrylates/Steareth-20 Me-thacrylate Copolymer), Aculyn® 28 (Acrylates/Beheneth-25 Methacrylate Copolymer), Structure 2001® (Acryla-tes/Steareth-20 Itaconate Copolymer), Structure 3001® (Acrylates/Ceteth-20 Itaconate Copolymer), Structure Plus® (Acrylates/Aminoacrylates C10-30 Alkyl PEG-20 Itaconate Copolymer), Carbopol® 1342, 1382, Ultrez 20, Ultrez 21 (Acrylates/C10-30 Alkyl Acrylate Crosspolymer), Synthalen W 2000® (Acrylates/Palmeth-25 Acrylate Copolymer) oder das Rohme und Haas vertriebene Soltex OPT (Acrylates/C12-22 Alkyl methacrylate Copolymer).
- Als geeignete Polymere auf der Basis von Vinyl-Monomeren können beispielsweise genannt werden die Homo- und Copolymere des N-Vinylpyrrolidons, des Vinylcaprolactams, des Vinyl-(C1-C6-)alkyl-Pyrrols, des Vinyl-oxazols, des Vinyl-thiazols, des Vinylpyrimidins, des Vinylimidazols.
- Weiterhin ganz besonders gut geeignet sind die Copolymere Octylacrylamid/acrylates/ butylaminoethyl-methacrylate copolymer, wie es beispielsweise unter den Handelsnamen AMPHOMER® ou LOVOCRYL® 47 von NATIONAL STARCH kommerziell vertrieben wird, oder auch die Copolymere von Acrylates/Octylacrylamide die unter den Handelsnamen DERMACRYL® LT und DERMACRYL® 79 von NATIONAL STARCH vertrieben werden.
- Als geeignete Polymere auf der Basis von Olefinen können beispielsweise genannt werden die Homo- und Copolymere des Ethylens, des Propylens, des Butens, des Isoprens und des Butadiens. Im Rahmen einer weiteren Ausführungsform können als filmbildenden hydrophoben Polymere die Block-Copoylmere eingesetzt werden, die mindestens einen Block aus Styren oder den Derivaten des Styrens umfassen. Bei diesen Block-Copolymeren kann es sich um Copolymere handeln, die neben einem Styren-Block einen oder mehrere weitere Blöcke enthalten, wie beispielsweise Styren/Ethylen, Styren/Ethylen/Butylen, Styen/Butylen, Styren/Isopren, Styren/Butadien. Entsprechende Polymere werden von der BASF unter dem Handelsnamen "Luvitol HSB" kommerziell vertrieben.
- In einer weiteren ganz besonders bevorzugten Ausführungsform ist ein erfindungsgemäßes Verfahren dadurch gekennzeichnet, dass das Nachbehandlungsmittel (b) mindestens ein filmbildendes Polymer (b2) enthält, das ausgewählt ist aus der Gruppe aus Polyvinylpyrrolidon (PVP), Vinylpyrrolidon/Vinylacetat-Copolymeren, Vinylpyrrolidon/Styren-Copolymeren, Vinylpyrrolidon/Ethylen-Copolymeren, Vinylpyrrolidon/Propylen-Copolymeren, Vinylpyrrolidon/Vinylcaprolactam-Copolymeren, Vinylpyrrolidon/Vinylformamid-Copolymeren und/oder Vinylpyrrolidon/Vinylalkohol-Copolymeren, der Copolymere von Acrylsäure, der Copolymere der Methacrylsäure, der Homopolymere oder Copolymere von Acrylsäure-Estern, der Homopolymere oder Copolymere von Methacrylsäure-Estern, der Homopolymere oder Copolymere von Acrylsäureamiden, der Homopolymere oder Copolymere von Methacrylsäure-Amiden, der Copolymere des Vinylpyrrolidons, der Copolymere des Vinylalkohols, der Copolymere des Vinylacetats, der Homopolymere oder Copolymere des Ethylens, der Homopolymere oder Copolymere des Propylens, der Homopolymere oder Copolymere des Styrens, der Polyurethane, der Polyester und/oder der Polyamide.
- Das oder die filmbildenden Polymere werden bevorzugt in bestimmten Mengenbereichen im Nachbehandlungsmittel (b) eingesetzt. In diesem Zusammenhang hat es sich zur Lösung der erfindungsgemäßen Aufgabenstellung als besonders bevorzugt erwiesen, wenn das Mittel (b) - bezogen auf das Gesamtgewicht des Mittels (b) - ein oder mehrere Polymere in einer Gesamtmenge von 0,1 bis 25,0 Gew.-%, bevorzugt von 0,2 bis 20,0 Gew-%, weiter bevorzugt von 0,5 bis 15,0 Gew.-% und ganz besonders bevorzugt von 1,0 bis 7,0 Gew.-% enthält.
- Die zuvor beschriebenen Mittel (a) und (b) können ferner auch noch ein oder mehrere optionale Inhaltsstoffe enthalten.
- Die Mittel können zusätzlich ein oder mehrere Tenside enthalten. Unter dem Begriff Tenside werden grenzflächenaktive Substanzen verstanden. Man unterscheidet anionische Tenside bestehend aus einem hydrophoben Rest und einer negativ geladenen hydrophilen Kopfgruppe, amphotere Tenside, welche sowohl eine negative als auch eine kompensierende positive Ladung tragen, kationische Tenside, welche neben einem hydrophoben Rest eine positiv geladene hydrophile Gruppe aufweisen, und nichtionische Tenside, welche keine Ladungen sondern starke Dipolmomente aufweisen und in wässriger Lösung stark hydratisiert sind.
- Als zwitterionische Tenside werden solche oberflächenaktiven Verbindungen bezeichnet, die im Molekül mindestens eine quartäre Ammoniumgruppe und mindestens eine -COO(-) - oder -SO3 (-) -Gruppe tragen. Besonders geeignete zwitterionische Tenside sind die sogenannten Betaine wie die N-Alkyl-N,N-dimethylammonium-glycinate, beispielsweise das Kokosalkyl-dimethylammoniumglycinat, N-Acyl-aminopropyl-N,N-dimethylammoniumglycinate, beispielsweise das Kokosacylaminopropyl-dimethylammoniumglycinat, und 2-Alkyl-3-carboxymethyl-3-hydroxyethyl-imidazoline mit jeweils 8 bis 18 C-Atomen in der Alkyl- oder Acylgruppe sowie das Kokosacylaminoethylhydroxyethylcarboxymethylglycinat. Ein bevorzugtes zwitterionisches Tensid ist das unter der INCI-Bezeichnung Cocamidopropyl Betaine bekannte Fettsäureamid-Derivat.
- Unter ampholytischen Tensiden werden solche oberflächenaktiven Verbindungen verstanden, die außer einer C8 - C24 - Alkyl- oder -Acylgruppe im Molekül mindestens eine freie Aminogruppe und mindestens eine -COOH- oder -SO3H-Gruppe enthalten und zur Ausbildung innerer Salze befähigt sind. Beispiele für geeignete ampholytische Tenside sind N-Alkylglycine, N-Alkylpropionsäuren, N-Alkylaminobuttersäuren, N-Alkyliminodipropionsäuren, N-Hydroxyethyl-N-alkylamidopropylglycine, N-Alkyltaurine, N-Alkylsarcosine, 2-Alkylaminopropionsäuren und Alkylaminoessigsäuren mit jeweils etwa 8 bis 24 C-Atomen in der Alkylgruppe. Typische Beispiele für amphotere bzw. zwitterionische Tenside sind Alkylbetaine, Alkylamidobetaine, Amino-propionate, Aminoglycinate, Imidazoliniumbetaine und Sulfobetaine.
- Besonders bevorzugte ampholytische Tenside sind das N-Kokosalkylaminopropionat, das Kokosacylaminoethylaminopropionat und das C12 - C18 - Acylsarcosin.
- Die Mittel können auch zusätzlich mindestens ein nichtionisches Tensid enthalten. Geeignete nichtionische Tenside sind Alkylpolyglykoside sowie Alkylenoxid-Anlagerungsprodukte an Fettalkohole und Fettsäuren mit jeweils 2 bis 30 Mol Ethylenoxid pro Mol Fettalkohol bzw. Fettsäure erwiesen. Zubereitungen mit guten Eigenschaften werden ebenfalls erhalten, wenn sie als nichtionische Tenside Fettsäureester von ethoxyliertem Glycerin enthalten, die mit mindestens 2 Mol Ethylenoxid umgesetzt wurden. Die nichtionischen Tenside werden in einer Gesamtmenge von 0,1 bis 45 Gew.-%, bevorzugt 1 bis 30 Gew.-% und ganz besonders bevorzugt von 1 bis 15 Gew.-% - bezogen auf das Gesamtgewicht des jeweiligen Mittels - eingesetzt.
- Weiterhin können die Mittel zusätzlich auch mindestens ein kationisches Tensid enthalten. Unter kationischen Tensiden werden Tenside, also grenzflächenaktive Verbindungen, mit jeweils einer oder mehreren positiven Ladungen verstanden. Kationische Tenside enthalten ausschließlich positive Ladungen. Üblicherweise sind diese Tenside aus einem hydrophoben Teil und einer hydrophilen Kopfgruppe aufgebaut, wobei der hydrophobe Teil in der Regel aus einem Kohlenwasserstoff-Gerüst (z.B. bestehend aus einer oder zwei linearen oder verzweigten Alkylketten) besteht, und die positive(n) Ladung(en) in der hydrophilen Kopfgruppe lokalisiert sind. Beispiele für kationische Tenside sind
- quartäre Ammoniumverbindungen, die als hydrophobe Reste ein oder zwei Alkylketten mit einer Kettenlänge von 8 bis 28 C-Atomen tragen können,
- quartäre Phosphoniumsalze, substituiert mit einer oder mehreren Alkylketten mit einer Kettenlänge von 8 bis 28 C-Atomen oder
- tertiäre Sulfonium-Salze.
- Weiterhin kann die kationische Ladung auch in Form einer Onium-Struktur Bestandteil eines heterozyklischen Ringes (z.B. eines Imidazoliumringe oder einer Pyridiniumringes) sein. Neben der funktionellen Einheit, welche die kationische Ladung trägt, kann das kationische Tensid auch weitere ungeladene funktionelle Gruppen beinhalten, wie dies beispielsweise bei Esterquats der Fall ist. Die kationischen Tenside werden in einer Gesamtmenge von 0,1 bis 45 Gew.-%, bevorzugt 1 bis 30 Gew.-% und ganz besonders bevorzugt von 1 bis 15 Gew.-% - bezogen auf das Gesamtgewicht des jeweiligen Mittels - eingesetzt.
- Weiterhin können die erfindungsgemäßen Mittel auch mindestens ein anionisches Tensid enthalten. Als anionische Tenside werden oberflächenaktive Mittel mit ausschließlich anionischen Ladungen (neutralisiert durch ein entsprechendes Gegenkation) bezeichnet. Beispiele für anionische Tenside sind Fettsäuren, Alkylsulfate, Alkylethersulfate und Ethercarbonsäuren mit 12 bis 20 C-Atomen in der Alkylgruppe und bis zu 16 Glykolethergruppen im Molekül.
- Die anionischen Tenside werden in einer Gesamtmenge von 0,1 bis 45 Gew.-%, bevorzugt 1 bis 30 Gew.-% und ganz besonders bevorzugt von 1 bis 15 Gew.-% - bezogen auf das Gesamtgewicht des jeweiligen Mittels - eingesetzt.
- Die Mittel können ferner auch noch weitere Wirk-, Hilfs- und Zusatzstoffe enthalten, wie beispielsweise Lösungsmittel, Fettbestandteile wie beispielsweise der C8-C30-Fettalkohole, der C8-C30-Fettsäuretriglyceride, der C8-C30-Fettsäuremonoglyceride, der C8-C30-Fettsäurediglyceride und/oder der Kohlenwasserstoffe; Polymere; Strukturanten wie Glucose, Maleinsäure und Milchsäure, haarkonditionierende Verbindungen wie Phospholipide, beispielsweise Lecitin und Kephaline; Parfümöle, Dimethylisosorbid und Cyclodextrine; faserstrukturverbessernde Wirkstoffe, insbesondere Mono-, Di- und Oligosaccharide wie beispielsweise Glucose, Galactose, Fructose, Fruchtzucker und Lactose; Farbstoffe zum Anfärben des Mittels; Antischuppenwirkstoffe wie Piroctone Olamine, Zink Omadine und Climbazol; Aminosäuren und Oligopeptide; Proteinhydrolysate auf tierischer und/oder pflanzlicher Basis, sowie in Form ihrer Fettsäure-Kondensationsprodukte oder gegebenenfalls anionisch oder kationisch modifizierten Derivate; pflanzliche Öle; Lichtschutzmittel und UV-Blocker; Wirkstoffe wie Panthenol, Pantothensäure, Pantolacton, Allantoin, Pyrrolidinoncarbonsäuren und deren Salze sowie Bisabolol; Polyphenole, insbesondere Hydroxyzimtsäuren, 6,7-Dihydroxycumarine, Hydroxybenzoesäuren, Catechine, Tannine, Leukoanthocyanidine, Anthocyanidine, Flavanone, Flavone und Flavonole; Ceramide oder Pseudoceramide; Vitamine, Provitamine und Vitaminvorstufen; Pflanzenextrakte; Fette und Wachse wie Fettalkohole, Bienenwachs, Montanwachs und Paraffine; Quell- und Penetrationsstoffe wie Glycerin, Propylenglykolmonoethylether, Carbonate, Hydrogencarbonate, Guanidine, Harnstoffe sowie primäre, sekundäre und tertiäre Phosphate; Trübungsmittel wie Latex, Styrol/PVP- und Styrol/Acrylamid-Copolymere; Perlglanzmittel wie Ethylenglykolmono- und -distearat sowie PEG-3-distearat; sowie Treibmittel wie Propan-Butan-Gemische, N2O, Dimethylether, CO2 und Luft.
- Die Auswahl dieser weiteren Stoffe wird der Fachmann gemäß der gewünschten Eigenschaften der Mittel treffen. Bezüglich weiterer fakultativer Komponenten sowie der eingesetzten Mengen dieser Komponenten wird ausdrücklich auf die dem Fachmann bekannten einschlägigen Handbücher verwiesen. Die zusätzlichen Wirk- und Hilfsstoffe werden in den erfindungsgemäßen Zubereitungen bevorzugt in Mengen von jeweils 0,0001 bis 25 Gew.-%, insbesondere von 0,0005 bis 15 Gew.-%, bezogen auf das Gesamtgewicht des jeweiligen Mittels, eingesetzt.
- Im Rahmen des erfindungsgemäßen Verfahrens werden die Mittel (a) und (b) auf die keratinischen Materialien, insbesondere auf die menschlichen Haare, appliziert. Das Mittel (b) stellt ein Nachbehandlungsmittel dar und wird demzufolge im Anschluss an das Färbemittel (a) appliziert.
- Die Mittel (a) und (b) werden innerhalb ein und desselben Färbeverfahrens angewendet, was bedeutet, dass zwischen der Anwendung der Mittel (a) und (b) ein Zeitraum von maximal einigen Stunden liegt.
- Das erfindungsgemäßes Verfahren ist dadurch gekennzeichnet, das zunächst das Mittel (a) angewendet wird, und danach das Mittel (b) angewendet wird, wobei der Zeitraum zwischen der Anwendung der Mittel (a) und (b) bei maximal 24 Stunden, bevorzugt bei maximal 12 Stunden und besonders bevorzugt bei maximal 6 Stunden liegt.
- Im Rahmen des erfindungsgemäßen Verfahrens werden die Keratinmaterialien, insbesondere die menschlichen Haare, zunächst mit Färbemittel (a) behandelt. Im Anschluss daran wird das Nachbehandlungsmittel (b) auf die Keratinmaterialien gegeben, welches den pH-Wert auf der Oberfläche des Keratinmaterials absenkt die im Mittel (a) enthaltenen Wirkstoffe auf dem Keratin auf diese Weise fixiert oder immobilisiert. Bevorzugt enthält das Mittel (b) selbst keine Farbstoffe bzw. keine farbgebenden Verbindungen.
- Die anwendungstechnischen Eigenschaften der resultierenden Färbung können durch Wahl der optimalen Verfahrensbedingungen noch weiter verbessert werden.
- Im Rahmen einer weiteren Ausführungsform ganz besonders bevorzugt ist ein Verfahren, umfassend die folgenden Schritte in der angegebenen Reihenfolge
- (1) Anwendung des Färbemittels (a) auf dem keratinischen Material,
- (2) Einwirken lassen des Mittels (a) für einen Zeitraum von 10 Sekunden bis 10 Minuten, bevorzugt von 10 Sekunden bis 5 Minuten,
- (3) gegebenenfalls Ausspülen des keratinischen Materials mit Wasser,
- (4) Anwendung des Nachbehandlungsmittels (b) auf dem keratinischen Material,
- (5) Einwirken lassen des Mittels (b) für einen Zeitraum von 30 Sekunden bis 30 Minuten, bevorzugt von 30 Sekunden bis 10 Minuten, und
- (6) Ausspülen des keratinischen Materials mit Wasser.
- Unter dem Ausspülen des keratinischen Materials mit Wasser in den Schritten (3) und (6) des Verfahrens wird erfindungsgemäß verstanden, dass für den Ausspülvorgang nur Wasser verwendet wird, ohne dass noch weitere, von den Mitteln (a) und (b) verschiedene Mittel zur Anwendung kämen.
- In einem Schritt (1) wird zunächst das Mittel (a) auf die Keratinmaterialien, insbesondere die menschlichen Haare, appliziert.
- Nach dem Auftragen wird das Mittel (a) auf die Keratinmaterialien einwirken gelassen. Das erfindungsgemäße Verfahren erlaubt selbst bei kurzer Einwirkzeit des Mittels (a) die Erzeugung von Färbungen mit besonders guter Intensität und Waschechtheit. In diesem Zusammenhang haben sich Einwirkzeiten von 10 Sekunden bis 10 Minuten, bevorzugt von 20 Sekunden bis 5 Minuten und ganz besonders bevorzugt von 30 Sekunden bis 2 Minuten auf den Haaren haben sich als besonders vorteilhaft erwiesen.
- Im Rahmen einer bevorzugten Ausführungsform des erfindungsgemäßen Verfahrens kann das Mittel (a) nun von den Keratinmaterialien ausgespült werden, bevor das Mittel (b) im nachfolgenden Schritt auf die Haare appliziert wird.
- Färbungen mit ebenfalls guten Waschechtheiten wurden erhalten, wenn das Mittel (b) auf die Keratinmaterialien appliziert wurde, die noch mit dem Mittel (a) beaufschlagt waren.
- In Schritt (4) wird nun das Mittel (b) auf die Keratinmaterialien appliziert. Nach dem Auftragen wird nun das Mittel (b) auf die Haare einwirken gelassen.
- Das erfindungsgemäße Verfahren erlaubt auch bei kurzer Einwirkzeit des Mittels (b) die Erzeugung von Färbungen mit besonders guter Intensität und Waschechtheit. Einwirkzeiten von 10 Sekunden bis 10 Minuten, bevorzugt von 20 Sekunden bis 5 Minuten und ganz besonders bevorzugt von 30 Sekunden bis 3 Minuten auf den Haaren haben sich als besonders vorteilhaft erwiesen.
- In Schritt (6) wird nun das Mittel (b) (sowie ggf. noch vorhandenes Mittel (a)) mit Wasser aus dem Keratinmaterial ausgespült.
- Im Rahmen einerweiteren Ausführungsform ganz besonders bevorzugt ist ein Verfahren, umfassend die folgenden Schritte in der angegebenen Reihenfolge
- (1) Anwendung des Mittels (a) auf dem keratinischen Material,
- (2) Einwirken lassen des Mittels (a) für einen Zeitraum von 10 Sekunden bis 10 Minuten, bevorzugt von 10 Sekunden bis 5 Minuten,
- (3) kein Ausspülen
- (4) Anwendung des Mittels (b) auf dem keratinischen Material,
- (5) Einwirken lassen des Mittels (b) für einen Zeitraum von 30 Sekunden bis 30 Minuten, bevorzugt von 30 Sekunden bis 10 Minuten, und
- (6) Ausspülen des keratinischen Materials mit Wasser.
- In Rahmen dieser Ausführungsform erfolgt die Abfolge der Schritte (1) bis (6) innerhalb von 24 Stunden.
- Beispiele
- Es wurden die folgenden Formulierungen hergestellt (alle Angaben sind, sofern nichts anderes angegeben ist, in Gew.-%)
-
Mittel (a) (aV) Vergleich (aE) Erfindung Cetrimoniumchlorid 3,3 3,3 Stearamidopropyldimethylamin 1,0 1,0 Phenoxyethanol 0,4 0,4 Methylparaben 0,3 0,3 Dimethicone 5 cst 5,0 5,0 Dimethicone 60000 cst 1,0 1,0 Luviskol K30 (BASF, Polyvinylpyrrolidon) 5,0 5,0 Lavanya Zuni (organisches Pigment,Neelikon Red, 111P0200, CI 12490) 0,5 0,5 Dow Corning 2-8566 (Siloxanes and Silicones, 3-[(2-Aminoethyl)amino]-2-methylpropyl Me, Di-Me-Siloxane" 0,50 0,50 1,2-Propandiol 0,25 0,25 Ammoniak --- ad pH 9,0 Zitronensäure ad pH 3,0 --- Wasser ad 100 ad 100 -
Mittel (b) (bV) Vergleich (bE) Erfindung Zitronensäure --- ad pH 3,0 Wasser ad 100 ad 100 - Das Mittel (a) wurde jeweils auf eine Haarsträhne (Kerling, Euronaturhaar weiß, Flottenverhältnis: 4 g Mittel (a) pro g Haarsträhne) appliziert und dann für eine Minute einwirken gelassen. Danach wurde die Haarsträhne in das Nachbehandlungsmittel (b) getaucht und für 1 Minute darin belassen. Im Anschluss daran wurde jede Haarsträhne gründlich (1 Minute) mit Wasser ausgewaschen, getrocknet und visuell unter der Tageslichtlampe bewertet.
- Zur Bestimmung der Waschechtheiten wurden die zuvor gefärbten Haarsträhnen in ein Ultraschallbad gegeben, das mit einer 1 %igen Lösung eines handelsüblichen Shampoos (Schaume, 7 Kräuter) befüllt war. Dann wurden die Haarsträhnen nach einem standardisierten Verfahren, welches 6 Haarwäschen entspricht, mit Ultraschall behandelt. Nach diesem Zeitraum wurden die Strähnen aus dem Ultraschallbad entnommen, getrocknet und erneut visuell unter der Tageslichtlampe beurteilt.
Anwendung Anwendung Färbemittel (a) (aV) (aE) Nachbehandlungsmittel (b) (bV) (bE) Färbung rötlich rot Farbintensität (direkt nach der Färbung) ++ +++ Farbintgensität (nach 6 Haarwäschen9 + +++ Farbintensität: - = ungefärbt + = gering ++ = mittel +++ = sehr gut
Claims (17)
- Verfahren zum Färben von keratinischem Material, insbesondere menschlichen Haaren, umfassend die folgenden Schritte:- Anwendung eines Färbemittels (a) auf dem keratinischem Material, wobei das Mittel (a) enthält:(a1) mindestens ein aminofunktionalisiertes Silikonpolymer, und(a2) mindestens eine farbgebende Verbindung aus der Gruppe der anorganischen und/oder organischen Pigmente, und(a3) gegebenenfalls mindestens ein filmbildendes Polymer, das von (a1) verschieden ist,- Anwendung eines Nachbehandlungsmittels (b) auf dem keratinischen Material, wobei das Mittel (b) einen pH-Wert von 1,5 bis 5,5 besitzt und enthält: Wasser, und(b1) mindestens eine Säure, und(b2) gegebenenfalls mindestens ein filmbildendes Polymer,mit der Maßgabe, dass mindestens eines der Mittel (a) und/oder (b) mindestens ein filmbildendes Polymer enthält,dadurch gekennzeichnet, dass zunächst das Mittel (a) angewendet wird, danach das Mittel (b) angewendet wird, wobei der Zeitraum zwischen der Anwendung der Mittel (a) und (b) bei maximal 24 Stunden liegt.
- Verfahren nach Anspruch 1, dadurch gekennzeichnet, dass das Mittel (a) mindestens ein aminofunktionalisiertes Silikonpolymer (a1) mit mindestens einer sekundären Aminogruppe enthält.
- Verfahren nach einem der Ansprüche 1 bis 2, dadurch gekennzeichnet, dass das Mittel (a) mindestens ein aminofunktionalisiertes Silikonpolymer (a1) enthält, das mindestens eine Struktureinheit der Formel (Si-Amino) umfasst,
wobeiALK1 und ALK2 unabhängig voneinander für eine lineare oder verzweigte, zweiwertige C1-C20-Alkylengruppe stehen. - Verfahren nach einem der Ansprüche 1 bis 4, dadurch gekennzeichnet, dass das Mittel (a) - bezogen auf das Gesamtgewicht des Mittels (a) - ein oder mehrere aminofunktionalisierte Silikonpolymere in einer Gesamtmenge von 0,1 bis 8,0 Gew.-%, bevorzugt 0,02 bis 5,0 Gew.-%, weiter bevorzugt von 0,1 bis 3,0 Gew.-% und ganz besonders bevorzugt von 0,05 bis 3,5 Gew.-% enthält.
- Verfahren nach einem der Ansprüche 1 bis 5, dadurch gekennzeichnet, dass das Mittel (a) mindestens eine farbgebende Verbindung (a2) aus der Gruppe der anorganischen Pigmente enthält, das ausgewählt ist aus der Gruppe der farbigen Metalloxide, Metallhydroxide, Metalloxidhydrate, Silicate, Metallsulfide, komplexen Metallcyanide, Metallsulfate, Bronzepigmente und/oder aus farbigen Pigmenten auf Mica- oder Glimmerbasis, die mit mindestens einem Metalloxid und/oder einem Metalloxychlorid beschichtet sind.
- Verfahren nach einem der Ansprüche 1 bis 6, dadurch gekennzeichnet, dass das Mittel (a) mindestens eine farbgebende Verbindung (a2) aus der Gruppe der organischen Pigmente enthält, die ausgewählt ist aus der Gruppe aus Carmin, Chinacridon, Phthalocyanin, Sorgho, blaue Pigmente mit den Color Index Nummern CI 42090, CI 69800, CI 69825, CI 73000, CI 74100, CI 74160, gelbe Pigmente mit den Color Index Nummern CI 11680, CI 11710, CI 15985, CI 19140, CI 20040, CI 21100, CI 21108, CI 47000, CI 47005, grüne Pigmente mit den Color Index Nummern CI 61565, CI 61570, CI 74260, orange Pigmente mit den Color Index Nummern CI 11725, CI 15510, CI 45370, CI 71105, rote Pigmente mit den Color Index Nummern CI 12085, CI 12120, CI 12370, CI 12420, CI 12490, CI 14700, CI 15525, CI 15580, CI 15620, CI 15630, CI 15800, CI 15850, CI 15865, CI 15880, CI 17200, CI 26100, CI 45380, CI 45410, CI 58000, CI 73360, CI 73915 und/oder CI 75470.
- Verfahren nach einem der Ansprüche 1 bis 7, dadurch gekennzeichnet, dass das Mittel (a) mindestens ein nichtionisches, filmbildendes, hydrophiles Polymer (a3) enthält.
- Verfahren nach einem der Ansprüche 1 bis 8, dadurch gekennzeichnet, dass das Mittel (a) mindestens ein filmbildendes Polymer (a3) enthält, das ausgewählt ist aus der Gruppe aus Polyvinylpyrrolidon (PVP) und den Copolymeren des Polyvinylpyrrolidons.
- Verfahren nach einem der Ansprüche 1 bis 9, dadurch gekennzeichnet, dass das Mittel (a) mindestens ein filmbildendes Polymer (a3) enthält, das ausgewählt ist aus der Gruppe aus Polyvinylpyrrolidon (PVP), Vinylpyrrolidon/Vinylacetat-Copolymeren, Vinylpyrrolidon/Styren-Copolymeren, Vinylpyrrolidon/Ethylen-Copolymeren, Vinylpyrrolidon/Propylen-Copolymeren, Vinylpyrrolidon/Vinylcaprolactam-Copolymeren, Vinylpyrrolidon/Vinylformamid-Copolymeren und/oder Vinylpyrrolidon/Vinylalkohol-Copolymeren, explizit ganz besonders bevorzugt Polyvinylpyrrolidon (PVP).
- Verfahren nach einem der Ansprüche 1 bis 10, dadurch gekennzeichnet, dass das Färbemittel (a) mindestens ein Alkalisierungsmittel aus der Gruppe aus Ammoniak, 2-Aminoethan-1-ol (Monoethanolamin), 3-Aminopropan-1-ol, 4-Aminobutan-1-ol, 5-Aminopentan-1-ol, 1-Aminopropan-2-ol, 1-Aminobutan-2-ol, 1-Aminopentan-2-ol, 1-Aminopentan-3-ol, 1-Aminopentan-4-ol, 3-Amino-2-methylpropan-1-ol, 1-Amino-2-methylpropan-2-ol, 3-Aminopropan-1,2-diol, 2-Amino-2-methylpropan-1,3-diol, Arginin, Lysin, Ornithin, Histidin, Natriumhydroxid, Kaliumhydroxid, Calciumhydroxid, Bariumhydroxid, Natriumphosphat, Kaliumphosphat, Natriumsilicat, Natriummetasilicat, Kaliumsilicat, Natriumcarbonat und Kaliumcarbonat enthält.
- Verfahren nach einem der Ansprüche 1 bis 11, dadurch gekennzeichnet, dass das Mittel (a) Wasser enthält und einen pH-Wert von 7,0 bis 11,5 bevorzugt von 8,0 bis 11,0, und besonders bevorzugt von 8,5 bis 10,5 besitzt.
- Verfahren nach einem der Ansprüche 1 bis 12, dadurch gekennzeichnet, dass das Mittel (b) mindestens eine Säure (b1) enthält, die ausgewählt ist aus der Gruppe aus Zitronensäure, Weinsäure, Äpfelsäure, Milchsäure, Essigsäure, Methansulfonsäure, Benzoesäure, Malonsäure, Oxalsäure, 1-Hydroxyethan-1,1-diphosphonsäure, Schwefelsäure, Salzsäure und Phosphorsäure.
- Verfahren nach einem der Ansprüche 1 bis 13, dadurch gekennzeichnet, dass das Mittel (b) Wasser enthält und einen pH-Wert von 2,0 bis 4,8, und bevorzugt von 2,5 bis 4,5 besitzt.
- Verfahren nach einem der Ansprüche 1 bis 14, dadurch gekennzeichnet, dass das Nachbehandlungsmittel (b) mindestens ein filmbildendes Polymer (b2) enthält, das ausgewählt ist aus der Gruppe aus Polyvinylpyrrolidon (PVP), Vinylpyrrolidon/Vinylacetat-Copolymeren, Vinylpyrrolidon/Styren-Copolymeren, Vinylpyrrolidon/Ethylen-Copolymeren, Vinylpyrrolidon/Propylen-Copolymeren, Vinylpyrrolidon/Vinylcaprolactam-Copolymeren, Vinylpyrrolidon/Vinylformamid-Copolymeren und/oder Vinylpyrrolidon/Vinylalkohol-Copolymeren, der Copolymere von Acrylsäure, der Copolymere der Methacrylsäure, der Homopolymere oder Copolymere von Acrylsäure-Estern, der Homopolymere oder Copolymere von Methacrylsäure-Estern, der Homopolymere oder Copolymere von Acrylsäureamiden, der Homopolymere oder Copolymere von Methacrylsäure-Amiden, der Copolymere des Vinylpyrrolidons, der Copolymere des Vinylalkohols, der Copolymere des Vinylacetats, der Homopolymere oder Copolymere des Ethylens, der Homopolymere oder Copolymere des Propylens, der Homopolymere oder Copolymere des Styrens, der Polyurethane, der Polyester und/oder der Polyamide.
- Verfahren nach einem der Ansprüche 1 bis 15, dadurch gekennzeichnet, dass zunächst das Mittel (a) angewendet wird, danach das Mittel (b) angewendet wird, wobei der Zeitraum zwischen der Anwendung der Mittel (a) und (b) bei maximal 12 Stunden und bevorzugt bei maximal 6 Stunden liegt.
- Verfahren nach einem der Ansprüche 1 bis 16, umfassend die folgenden Schritte in der angegebenen Reihenfolge(1) Anwendung des Färbemittels (a) auf dem keratinischen Material,(2) Einwirken lassen des Mittels (a) für einen Zeitraum von 10 Sekunden bis 10 Minuten, bevorzugt von 10 Sekunden bis 5 Minuten,(3) gegebenenfalls Ausspülen des keratinischen Materials mit Wasser,(4) Anwendung des Nachbehandlungsmittels (b) auf dem keratinischen Material,(5) Einwirken lassen des Mittels (b) für einen Zeitraum von 30 Sekunden bis 30 Minuten, bevorzugt von 30 Sekunden bis 10 Minuten, und(6) Ausspülen des keratinischen Materials mit Wasser.
Applications Claiming Priority (2)
| Application Number | Priority Date | Filing Date | Title |
|---|---|---|---|
| DE102018222024.7A DE102018222024A1 (de) | 2018-12-18 | 2018-12-18 | Verfahren zum Färben von keratinischem Material mit Färbemittel und saurem Nachbehandlungsmittel |
| PCT/EP2019/080583 WO2020126204A1 (de) | 2018-12-18 | 2019-11-07 | Verfahren zum färben von keratinischem material mit färbemittel und saurem nachbehandlungsmittel |
Publications (2)
| Publication Number | Publication Date |
|---|---|
| EP3897565A1 EP3897565A1 (de) | 2021-10-27 |
| EP3897565B1 true EP3897565B1 (de) | 2025-02-12 |
Family
ID=68531542
Family Applications (1)
| Application Number | Title | Priority Date | Filing Date |
|---|---|---|---|
| EP19801536.4A Active EP3897565B1 (de) | 2018-12-18 | 2019-11-07 | Schnelles färbesystem amodimethicon + polymer |
Country Status (6)
| Country | Link |
|---|---|
| US (1) | US11529303B2 (de) |
| EP (1) | EP3897565B1 (de) |
| JP (1) | JP2022514312A (de) |
| CN (1) | CN113194923A (de) |
| DE (1) | DE102018222024A1 (de) |
| WO (1) | WO2020126204A1 (de) |
Families Citing this family (4)
| Publication number | Priority date | Publication date | Assignee | Title |
|---|---|---|---|---|
| DE102019208904A1 (de) * | 2019-06-19 | 2020-12-24 | Henkel Ag & Co. Kgaa | "Mittel zum Färben von keratinischem Material mit Aminosilikon, farbgebender Verbindung, Konservierungsmittel und Fettbestandteil" |
| DE102019208900A1 (de) * | 2019-06-19 | 2020-12-24 | Henkel Ag & Co. Kgaa | Verfahren zum Färben von keratinischem Material mit Premix aus Aminosilikon und farbgebender Verbindung |
| DE102019214466A1 (de) * | 2019-09-23 | 2021-03-25 | Henkel Ag & Co. Kgaa | Mittel zum Färben von keratinischem Material mit Aminosilikon, farbgebender Verbindung und ethoxyliertem Fettsäureester |
| US12329838B1 (en) | 2022-10-07 | 2025-06-17 | The Procter & Gamble Company | Hair dye composition |
Citations (5)
| Publication number | Priority date | Publication date | Assignee | Title |
|---|---|---|---|---|
| JP2001294520A (ja) | 2000-04-14 | 2001-10-23 | Kao Corp | 染色毛髪用処理剤 |
| JP2002284653A (ja) | 2001-03-26 | 2002-10-03 | Hoyu Co Ltd | 染毛剤及び染毛方法 |
| JP2008019204A (ja) * | 2006-07-12 | 2008-01-31 | Hoyu Co Ltd | 多剤式毛髪処理剤及びその使用方法 |
| US20140044762A1 (en) | 2011-12-07 | 2014-02-13 | Avon Products, Inc. | Wash Resistant Compositions Containing Aminosilicone |
| DE102013226102A1 (de) * | 2013-12-16 | 2015-06-18 | Henkel Ag & Co. Kgaa | Saure Mittel zum Färben von Keratinfasern enthaltend spezielle Aminosilikone und Säurefarbstoffe |
Family Cites Families (18)
| Publication number | Priority date | Publication date | Assignee | Title |
|---|---|---|---|---|
| CA2095784C (en) * | 1992-06-03 | 1998-06-23 | Leszek Wolfram | Acidic post-treatment of hair dyed with dihydroxyindole |
| FR2814066B1 (fr) * | 2000-09-18 | 2004-05-07 | Oreal | Procede de deformation permanente des matieres keratiniques mettant en oeuvre un agent absorbant organique |
| DE10130145A1 (de) * | 2001-06-22 | 2003-01-02 | Wella Ag | Kationische Farbstoffe, Verfahren zu deren Herstellung und diese Verbindungen enthaltende Färbemittel |
| JP4116937B2 (ja) * | 2003-07-03 | 2008-07-09 | 花王株式会社 | 酸化染毛剤又は脱色剤組成物 |
| JP2005239626A (ja) * | 2004-02-26 | 2005-09-08 | Kanebo Cosmetics Inc | ジェル状一時染毛料組成物 |
| DE102004013795A1 (de) * | 2004-03-20 | 2004-10-28 | Clariant Gmbh | Kosmetische oder pharmazeutische Mittel, enthaltend modifizierte Polyorganosiloxane |
| EP2168633B1 (de) * | 2008-09-30 | 2016-03-30 | L'Oréal | Kosmetischen Zusammensetzung enthaltend organische Silicium-Derivate mit einer basischen Gruppe als Vorprodukt vor einer Zusammensetzung enthaltend ein filmbildneres hydrophobisches Polymer, ein Pigment und ein Lösungsmittel |
| DE102009026817A1 (de) * | 2009-06-08 | 2010-12-09 | Henkel Ag & Co. Kgaa | Nachbehandlung zur Farbfixierung |
| US10034829B2 (en) * | 2010-10-27 | 2018-07-31 | Noxell Corporation | Semi-permanent mascara compositions |
| DE102010051725A1 (de) * | 2010-11-19 | 2012-05-24 | Merck Patent Gmbh | Verwendung von Ascorbinsäurederivaten zur Färbung von keratinhaltigen Fasern |
| FR2992559B1 (fr) * | 2012-06-29 | 2014-06-20 | Oreal | Procede bicouche de coloration des fibres keratiniques |
| EP3041584B1 (de) * | 2013-09-03 | 2021-10-27 | Unilever IP Holdings B.V. | Verfahren zur beurteilung von veränderungen der haarfarbe |
| EP3164105A4 (de) * | 2014-06-11 | 2018-04-25 | Henkel AG & Co. KGaA | Haarpflegeprodukt und verfahren zur haarpflege |
| DE102014218006A1 (de) * | 2014-09-09 | 2016-03-10 | Henkel Ag & Co. Kgaa | Verpackungseinheit (Kit-of-parts) mit speziellen aminierten Siliconpolymeren |
| MX376934B (es) * | 2015-02-17 | 2025-03-07 | Wella Operations Us Llc | Composición para proporcionar una película sobre fibras de queratina. |
| US9820922B1 (en) | 2016-05-12 | 2017-11-21 | L'oreal | Methods and compositions for improving the quality and durability of color in artificially colored hair |
| GB2562021B (en) * | 2017-01-11 | 2021-08-11 | Henkel Kgaa | Colouring of keratinous fibre with composition comprising curable film forming amino-silicone |
| FR3064913B1 (fr) * | 2017-04-07 | 2020-05-08 | L'oreal | Procede de coloration des cheveux mettant en œuvre un pigment, et un polymere acrylique d’anhydride maleique et d’un compose amine |
-
2018
- 2018-12-18 DE DE102018222024.7A patent/DE102018222024A1/de not_active Withdrawn
-
2019
- 2019-11-07 US US17/415,618 patent/US11529303B2/en active Active
- 2019-11-07 CN CN201980083207.0A patent/CN113194923A/zh active Pending
- 2019-11-07 JP JP2021535082A patent/JP2022514312A/ja active Pending
- 2019-11-07 WO PCT/EP2019/080583 patent/WO2020126204A1/de not_active Ceased
- 2019-11-07 EP EP19801536.4A patent/EP3897565B1/de active Active
Patent Citations (5)
| Publication number | Priority date | Publication date | Assignee | Title |
|---|---|---|---|---|
| JP2001294520A (ja) | 2000-04-14 | 2001-10-23 | Kao Corp | 染色毛髪用処理剤 |
| JP2002284653A (ja) | 2001-03-26 | 2002-10-03 | Hoyu Co Ltd | 染毛剤及び染毛方法 |
| JP2008019204A (ja) * | 2006-07-12 | 2008-01-31 | Hoyu Co Ltd | 多剤式毛髪処理剤及びその使用方法 |
| US20140044762A1 (en) | 2011-12-07 | 2014-02-13 | Avon Products, Inc. | Wash Resistant Compositions Containing Aminosilicone |
| DE102013226102A1 (de) * | 2013-12-16 | 2015-06-18 | Henkel Ag & Co. Kgaa | Saure Mittel zum Färben von Keratinfasern enthaltend spezielle Aminosilikone und Säurefarbstoffe |
Non-Patent Citations (2)
| Title |
|---|
| DATABASE GNPD MINTEL; "Color Reviving Shampoo", XP093337729, Database accession no. 726031 |
| KLEIN KEN: "Shampoo Formulation : The Basics", COSMETICS & TOILETRIES MAGAZINE, ALLURED PUBLISHING CORP., US, vol. 119, no. 5, 1 May 2004 (2004-05-01), US , pages 64 - 68, XP093255386, ISSN: 0361-4387 |
Also Published As
| Publication number | Publication date |
|---|---|
| EP3897565A1 (de) | 2021-10-27 |
| DE102018222024A1 (de) | 2020-06-18 |
| CN113194923A (zh) | 2021-07-30 |
| JP2022514312A (ja) | 2022-02-10 |
| US11529303B2 (en) | 2022-12-20 |
| WO2020126204A1 (de) | 2020-06-25 |
| US20220054395A1 (en) | 2022-02-24 |
Similar Documents
| Publication | Publication Date | Title |
|---|---|---|
| EP3837021B1 (de) | Verfahren zum färben von keratinischem material, umfassend die anwendung von mehreren siliciumorganischen verbindungen, einem silikonpolymer und einer farbgebenden verbindung | |
| EP3790630B1 (de) | Mittel zum färben von haaren enthaltend ein filmbildendes, hydrophiles polymer | |
| EP3873416B1 (de) | Verfahren zum behandeln von haaren umfassend die anwendung eines ersten mittels (a) mit silan und farbgebender verbindung und eines zweiten mittels (b) mit einem filmbildenden polymer | |
| EP3897565B1 (de) | Schnelles färbesystem amodimethicon + polymer | |
| DE102019203299A1 (de) | Verfahren zum Färben von keratinischem Material, umfassend die Anwendung von einer siliciumorganischen Verbindung, einer farbgebenden Verbindung, einem filmbildenden Polymer und einer Mischung aus Silikonen | |
| EP3873402A1 (de) | Verfahren zum behandeln von haaren umfassend die anwendung einer organischen siliciumverbindung, einem alkalisierungsmittel und einem filmbildenden polymer | |
| WO2020187737A1 (de) | Verfahren zum färben von keratinischem material, umfassend die anwendung von einer siliciumorganischen verbindung, eines effektpigments, einer weiteren farbgebenden verbindung und eines filmbildenden polymers iii | |
| WO2020187728A1 (de) | Verfahren zum färben von keratinischem material, umfassend die anwendung von einer siliciumorganischen verbindung, eines effektpigments, einer weiteren farbgebenden verbindung und eines filmbildenden polymers ii | |
| DE102019206915A1 (de) | Verfahren zum Färben von keratinischem Material, umfassend die Anwendung einer siliciumorganischen Verbindung, einer farbgebenden Verbindung, eines modifizierten Fettsäureesters und eines filmbildenden Polymers II | |
| WO2020126140A9 (de) | Mittel zum färben von haaren enthaltend mindestens eine organische siliciumverbindung i | |
| DE102019203668A1 (de) | Verfahren zum Färben von keratinischem Material, umfassend die Anwendung von einer siliciumorganischen Verbindung, eines Effektpigments und eines filmbildenden Polymers VI | |
| EP3941428A1 (de) | Verfahren zum färben von keratinischem material, umfassend die anwendung von einer siliciumorganischen verbindung, eines effektpigments, einer weiteren farbgebenden verbindung und eines filmbildenden polymers i | |
| DE102019206912A1 (de) | Verfahren zum Färben von keratinischem Material, umfassend die Anwendung von einer siliciumorganischen Verbindung, einer farbgebenden Verbindung, eines modifizierten Fettsäureesters und eines filmbildenden Polymers I | |
| DE102019203675A1 (de) | Verfahren zum Färben von keratinischem Material, umfassend die Anwendung von einer siliciumorganischen Verbindung, eines Effektpigments und eines filmbildenden Polymers V | |
| EP4284329A1 (de) | Verfahren zum färben von keratinischem material, umfassend die anwendung von einer siliciumorganischen verbindung, einer farbgebenden verbindung, einem versiegelungsreagenz und einem nachbehandlungsmittel | |
| DE102020204541A1 (de) | Verfahren zum Färben von keratinischem Material, umfassend die Anwendung von einer siliciumorganischen Verbindung, einem Polysaccharid, einer farbgebenden Verbindung und eines Nachbehandlungsmittels | |
| DE102019206914A1 (de) | Verfahren zum Färben von keratinischem Material, umfassend die Anwendung einer siliciumorganischen Verbindung, einer farbgebenden Verbindung und eines filmbildenden Polymers II | |
| DE102021202043A1 (de) | Verfahren zum Färben von keratinischem Material, umfassend die Anwendung von einer siliciumorganischen Verbindung, einer farbgebenden Verbindung, einem Versiegelungsreagenz und einem Polymer-haltigen Nachbehandlungsmittel | |
| DE102021202045A1 (de) | Verfahren zum Färben von keratinischem Material, umfassend die Anwendung von einer siliciumorganischen Verbindung, einer farbgebenden Verbindung und eines Polymer-haltigen Vorbehandlungsmittels | |
| EP3941433A1 (de) | Verfahren zum färben von keratinischem material, umfassend die anwendung einer siliciumorganischen verbindung, zweier farbgebender verbindungen und eines filmbildenden polymers | |
| WO2021121716A1 (de) | Verfahren zum färben von keratinischem material, umfassend die anwendung von einer siliciumorganischen verbindung, schellack, einer farbgebenden verbindung und eines nachbehandlungsmittels | |
| DE102019203678A1 (de) | Verfahren zum Färben von keratinischem Material, umfassend die Anwendung von einer siliciumorganischen Verbindung, eines Effektpigments und eines filmbildenden Polymers IV |
Legal Events
| Date | Code | Title | Description |
|---|---|---|---|
| STAA | Information on the status of an ep patent application or granted ep patent |
Free format text: STATUS: UNKNOWN |
|
| STAA | Information on the status of an ep patent application or granted ep patent |
Free format text: STATUS: THE INTERNATIONAL PUBLICATION HAS BEEN MADE |
|
| PUAI | Public reference made under article 153(3) epc to a published international application that has entered the european phase |
Free format text: ORIGINAL CODE: 0009012 |
|
| STAA | Information on the status of an ep patent application or granted ep patent |
Free format text: STATUS: REQUEST FOR EXAMINATION WAS MADE |
|
| 17P | Request for examination filed |
Effective date: 20210607 |
|
| AK | Designated contracting states |
Kind code of ref document: A1 Designated state(s): AL AT BE BG CH CY CZ DE DK EE ES FI FR GB GR HR HU IE IS IT LI LT LU LV MC MK MT NL NO PL PT RO RS SE SI SK SM TR |
|
| DAV | Request for validation of the european patent (deleted) | ||
| DAX | Request for extension of the european patent (deleted) | ||
| STAA | Information on the status of an ep patent application or granted ep patent |
Free format text: STATUS: EXAMINATION IS IN PROGRESS |
|
| 17Q | First examination report despatched |
Effective date: 20230503 |
|
| P01 | Opt-out of the competence of the unified patent court (upc) registered |
Effective date: 20230530 |
|
| GRAP | Despatch of communication of intention to grant a patent |
Free format text: ORIGINAL CODE: EPIDOSNIGR1 |
|
| STAA | Information on the status of an ep patent application or granted ep patent |
Free format text: STATUS: GRANT OF PATENT IS INTENDED |
|
| TPAC | Observations filed by third parties |
Free format text: ORIGINAL CODE: EPIDOSNTIPA |
|
| INTG | Intention to grant announced |
Effective date: 20241008 |
|
| GRAS | Grant fee paid |
Free format text: ORIGINAL CODE: EPIDOSNIGR3 |
|
| GRAA | (expected) grant |
Free format text: ORIGINAL CODE: 0009210 |
|
| STAA | Information on the status of an ep patent application or granted ep patent |
Free format text: STATUS: THE PATENT HAS BEEN GRANTED |
|
| AK | Designated contracting states |
Kind code of ref document: B1 Designated state(s): AL AT BE BG CH CY CZ DE DK EE ES FI FR GB GR HR HU IE IS IT LI LT LU LV MC MK MT NL NO PL PT RO RS SE SI SK SM TR |
|
| REG | Reference to a national code |
Ref country code: GB Ref legal event code: FG4D Free format text: NOT ENGLISH |
|
| REG | Reference to a national code |
Ref country code: CH Ref legal event code: EP |
|
| REG | Reference to a national code |
Ref country code: DE Ref legal event code: R096 Ref document number: 502019012925 Country of ref document: DE |
|
| REG | Reference to a national code |
Ref country code: IE Ref legal event code: FG4D Free format text: LANGUAGE OF EP DOCUMENT: GERMAN |
|
| REG | Reference to a national code |
Ref country code: NL Ref legal event code: MP Effective date: 20250212 |
|
| PG25 | Lapsed in a contracting state [announced via postgrant information from national office to epo] |
Ref country code: RS Free format text: LAPSE BECAUSE OF FAILURE TO SUBMIT A TRANSLATION OF THE DESCRIPTION OR TO PAY THE FEE WITHIN THE PRESCRIBED TIME-LIMIT Effective date: 20250512 |
|
| PG25 | Lapsed in a contracting state [announced via postgrant information from national office to epo] |
Ref country code: FI Free format text: LAPSE BECAUSE OF FAILURE TO SUBMIT A TRANSLATION OF THE DESCRIPTION OR TO PAY THE FEE WITHIN THE PRESCRIBED TIME-LIMIT Effective date: 20250212 |
|
| PG25 | Lapsed in a contracting state [announced via postgrant information from national office to epo] |
Ref country code: PL Free format text: LAPSE BECAUSE OF FAILURE TO SUBMIT A TRANSLATION OF THE DESCRIPTION OR TO PAY THE FEE WITHIN THE PRESCRIBED TIME-LIMIT Effective date: 20250212 |
|
| PG25 | Lapsed in a contracting state [announced via postgrant information from national office to epo] |
Ref country code: ES Free format text: LAPSE BECAUSE OF FAILURE TO SUBMIT A TRANSLATION OF THE DESCRIPTION OR TO PAY THE FEE WITHIN THE PRESCRIBED TIME-LIMIT Effective date: 20250212 |
|
| REG | Reference to a national code |
Ref country code: LT Ref legal event code: MG9D |
|
| PG25 | Lapsed in a contracting state [announced via postgrant information from national office to epo] |
Ref country code: NO Free format text: LAPSE BECAUSE OF FAILURE TO SUBMIT A TRANSLATION OF THE DESCRIPTION OR TO PAY THE FEE WITHIN THE PRESCRIBED TIME-LIMIT Effective date: 20250512 Ref country code: IS Free format text: LAPSE BECAUSE OF FAILURE TO SUBMIT A TRANSLATION OF THE DESCRIPTION OR TO PAY THE FEE WITHIN THE PRESCRIBED TIME-LIMIT Effective date: 20250612 |
|
| PG25 | Lapsed in a contracting state [announced via postgrant information from national office to epo] |
Ref country code: NL Free format text: LAPSE BECAUSE OF FAILURE TO SUBMIT A TRANSLATION OF THE DESCRIPTION OR TO PAY THE FEE WITHIN THE PRESCRIBED TIME-LIMIT Effective date: 20250212 |
|
| PG25 | Lapsed in a contracting state [announced via postgrant information from national office to epo] |
Ref country code: HR Free format text: LAPSE BECAUSE OF FAILURE TO SUBMIT A TRANSLATION OF THE DESCRIPTION OR TO PAY THE FEE WITHIN THE PRESCRIBED TIME-LIMIT Effective date: 20250212 |
|
| PG25 | Lapsed in a contracting state [announced via postgrant information from national office to epo] |
Ref country code: PT Free format text: LAPSE BECAUSE OF FAILURE TO SUBMIT A TRANSLATION OF THE DESCRIPTION OR TO PAY THE FEE WITHIN THE PRESCRIBED TIME-LIMIT Effective date: 20250612 Ref country code: LV Free format text: LAPSE BECAUSE OF FAILURE TO SUBMIT A TRANSLATION OF THE DESCRIPTION OR TO PAY THE FEE WITHIN THE PRESCRIBED TIME-LIMIT Effective date: 20250212 |
|
| PG25 | Lapsed in a contracting state [announced via postgrant information from national office to epo] |
Ref country code: BG Free format text: LAPSE BECAUSE OF FAILURE TO SUBMIT A TRANSLATION OF THE DESCRIPTION OR TO PAY THE FEE WITHIN THE PRESCRIBED TIME-LIMIT Effective date: 20250212 Ref country code: GR Free format text: LAPSE BECAUSE OF FAILURE TO SUBMIT A TRANSLATION OF THE DESCRIPTION OR TO PAY THE FEE WITHIN THE PRESCRIBED TIME-LIMIT Effective date: 20250513 |
|
| PG25 | Lapsed in a contracting state [announced via postgrant information from national office to epo] |
Ref country code: SE Free format text: LAPSE BECAUSE OF FAILURE TO SUBMIT A TRANSLATION OF THE DESCRIPTION OR TO PAY THE FEE WITHIN THE PRESCRIBED TIME-LIMIT Effective date: 20250212 |
|
| PG25 | Lapsed in a contracting state [announced via postgrant information from national office to epo] |
Ref country code: SM Free format text: LAPSE BECAUSE OF FAILURE TO SUBMIT A TRANSLATION OF THE DESCRIPTION OR TO PAY THE FEE WITHIN THE PRESCRIBED TIME-LIMIT Effective date: 20250212 |
|
| PG25 | Lapsed in a contracting state [announced via postgrant information from national office to epo] |
Ref country code: DK Free format text: LAPSE BECAUSE OF FAILURE TO SUBMIT A TRANSLATION OF THE DESCRIPTION OR TO PAY THE FEE WITHIN THE PRESCRIBED TIME-LIMIT Effective date: 20250212 |
|
| PG25 | Lapsed in a contracting state [announced via postgrant information from national office to epo] |
Ref country code: IT Free format text: LAPSE BECAUSE OF FAILURE TO SUBMIT A TRANSLATION OF THE DESCRIPTION OR TO PAY THE FEE WITHIN THE PRESCRIBED TIME-LIMIT Effective date: 20250212 |
|
| PG25 | Lapsed in a contracting state [announced via postgrant information from national office to epo] |
Ref country code: CZ Free format text: LAPSE BECAUSE OF FAILURE TO SUBMIT A TRANSLATION OF THE DESCRIPTION OR TO PAY THE FEE WITHIN THE PRESCRIBED TIME-LIMIT Effective date: 20250212 Ref country code: EE Free format text: LAPSE BECAUSE OF FAILURE TO SUBMIT A TRANSLATION OF THE DESCRIPTION OR TO PAY THE FEE WITHIN THE PRESCRIBED TIME-LIMIT Effective date: 20250212 |
|
| PG25 | Lapsed in a contracting state [announced via postgrant information from national office to epo] |
Ref country code: RO Free format text: LAPSE BECAUSE OF FAILURE TO SUBMIT A TRANSLATION OF THE DESCRIPTION OR TO PAY THE FEE WITHIN THE PRESCRIBED TIME-LIMIT Effective date: 20250212 |
|
| PG25 | Lapsed in a contracting state [announced via postgrant information from national office to epo] |
Ref country code: SK Free format text: LAPSE BECAUSE OF FAILURE TO SUBMIT A TRANSLATION OF THE DESCRIPTION OR TO PAY THE FEE WITHIN THE PRESCRIBED TIME-LIMIT Effective date: 20250212 |
|
| REG | Reference to a national code |
Ref country code: DE Ref legal event code: R026 Ref document number: 502019012925 Country of ref document: DE |
|
| PLBI | Opposition filed |
Free format text: ORIGINAL CODE: 0009260 |
|
| PLAX | Notice of opposition and request to file observation + time limit sent |
Free format text: ORIGINAL CODE: EPIDOSNOBS2 |
|
| 26 | Opposition filed |
Opponent name: L'OREAL Effective date: 20251112 |













