EP0853258A2 - Blattfördersystem - Google Patents

Blattfördersystem Download PDF

Info

Publication number
EP0853258A2
EP0853258A2 EP98300165A EP98300165A EP0853258A2 EP 0853258 A2 EP0853258 A2 EP 0853258A2 EP 98300165 A EP98300165 A EP 98300165A EP 98300165 A EP98300165 A EP 98300165A EP 0853258 A2 EP0853258 A2 EP 0853258A2
Authority
EP
European Patent Office
Prior art keywords
sensor
sheet
condition
given
thickness
Prior art date
Legal status (The legal status is an assumption and is not a legal conclusion. Google has not performed a legal analysis and makes no representation as to the accuracy of the status listed.)
Withdrawn
Application number
EP98300165A
Other languages
English (en)
French (fr)
Other versions
EP0853258A3 (de
Inventor
Paul Hansen
Sheldon F. Raizes
Current Assignee (The listed assignees may be inaccurate. Google has not performed a legal analysis and makes no representation or warranty as to the accuracy of the list.)
Xerox Corp
Original Assignee
Xerox Corp
Priority date (The priority date is an assumption and is not a legal conclusion. Google has not performed a legal analysis and makes no representation as to the accuracy of the date listed.)
Filing date
Publication date
Priority claimed from US08/782,325 external-priority patent/US5769407A/en
Priority claimed from US08/782,323 external-priority patent/US5836580A/en
Application filed by Xerox Corp filed Critical Xerox Corp
Publication of EP0853258A2 publication Critical patent/EP0853258A2/de
Publication of EP0853258A3 publication Critical patent/EP0853258A3/de
Withdrawn legal-status Critical Current

Links

Images

Classifications

    • GPHYSICS
    • G03PHOTOGRAPHY; CINEMATOGRAPHY; ANALOGOUS TECHNIQUES USING WAVES OTHER THAN OPTICAL WAVES; ELECTROGRAPHY; HOLOGRAPHY
    • G03GELECTROGRAPHY; ELECTROPHOTOGRAPHY; MAGNETOGRAPHY
    • G03G15/00Apparatus for electrographic processes using a charge pattern
    • G03G15/50Machine control of apparatus for electrographic processes using a charge pattern, e.g. regulating differents parts of the machine, multimode copiers, microprocessor control
    • G03G15/5029Machine control of apparatus for electrographic processes using a charge pattern, e.g. regulating differents parts of the machine, multimode copiers, microprocessor control by measuring the copy material characteristics, e.g. weight, thickness
    • BPERFORMING OPERATIONS; TRANSPORTING
    • B65CONVEYING; PACKING; STORING; HANDLING THIN OR FILAMENTARY MATERIAL
    • B65HHANDLING THIN OR FILAMENTARY MATERIAL, e.g. SHEETS, WEBS, CABLES
    • B65H7/00Controlling article feeding, separating, pile-advancing, or associated apparatus, to take account of incorrect feeding, absence of articles, or presence of faulty articles
    • B65H7/02Controlling article feeding, separating, pile-advancing, or associated apparatus, to take account of incorrect feeding, absence of articles, or presence of faulty articles by feelers or detectors
    • B65H7/06Controlling article feeding, separating, pile-advancing, or associated apparatus, to take account of incorrect feeding, absence of articles, or presence of faulty articles by feelers or detectors responsive to presence of faulty articles or incorrect separation or feed
    • B65H7/12Controlling article feeding, separating, pile-advancing, or associated apparatus, to take account of incorrect feeding, absence of articles, or presence of faulty articles by feelers or detectors responsive to presence of faulty articles or incorrect separation or feed responsive to double feed or separation
    • B65H7/125Controlling article feeding, separating, pile-advancing, or associated apparatus, to take account of incorrect feeding, absence of articles, or presence of faulty articles by feelers or detectors responsive to presence of faulty articles or incorrect separation or feed responsive to double feed or separation sensing the double feed or separation without contacting the articles
    • BPERFORMING OPERATIONS; TRANSPORTING
    • B65CONVEYING; PACKING; STORING; HANDLING THIN OR FILAMENTARY MATERIAL
    • B65HHANDLING THIN OR FILAMENTARY MATERIAL, e.g. SHEETS, WEBS, CABLES
    • B65H7/00Controlling article feeding, separating, pile-advancing, or associated apparatus, to take account of incorrect feeding, absence of articles, or presence of faulty articles
    • B65H7/02Controlling article feeding, separating, pile-advancing, or associated apparatus, to take account of incorrect feeding, absence of articles, or presence of faulty articles by feelers or detectors
    • B65H7/14Controlling article feeding, separating, pile-advancing, or associated apparatus, to take account of incorrect feeding, absence of articles, or presence of faulty articles by feelers or detectors by photoelectric feelers or detectors
    • BPERFORMING OPERATIONS; TRANSPORTING
    • B65CONVEYING; PACKING; STORING; HANDLING THIN OR FILAMENTARY MATERIAL
    • B65HHANDLING THIN OR FILAMENTARY MATERIAL, e.g. SHEETS, WEBS, CABLES
    • B65H2511/00Dimensions; Position; Numbers; Identification; Occurrences
    • B65H2511/10Size; Dimensions
    • B65H2511/13Thickness
    • BPERFORMING OPERATIONS; TRANSPORTING
    • B65CONVEYING; PACKING; STORING; HANDLING THIN OR FILAMENTARY MATERIAL
    • B65HHANDLING THIN OR FILAMENTARY MATERIAL, e.g. SHEETS, WEBS, CABLES
    • B65H2515/00Physical entities not provided for in groups B65H2511/00 or B65H2513/00
    • B65H2515/10Mass, e.g. mass flow rate; Weight; Inertia
    • BPERFORMING OPERATIONS; TRANSPORTING
    • B65CONVEYING; PACKING; STORING; HANDLING THIN OR FILAMENTARY MATERIAL
    • B65HHANDLING THIN OR FILAMENTARY MATERIAL, e.g. SHEETS, WEBS, CABLES
    • B65H2515/00Physical entities not provided for in groups B65H2511/00 or B65H2513/00
    • B65H2515/70Electrical or magnetic properties, e.g. electric power or current
    • BPERFORMING OPERATIONS; TRANSPORTING
    • B65CONVEYING; PACKING; STORING; HANDLING THIN OR FILAMENTARY MATERIAL
    • B65HHANDLING THIN OR FILAMENTARY MATERIAL, e.g. SHEETS, WEBS, CABLES
    • B65H2553/00Sensing or detecting means
    • B65H2553/40Sensing or detecting means using optical, e.g. photographic, elements
    • B65H2553/41Photoelectric detectors
    • BPERFORMING OPERATIONS; TRANSPORTING
    • B65CONVEYING; PACKING; STORING; HANDLING THIN OR FILAMENTARY MATERIAL
    • B65HHANDLING THIN OR FILAMENTARY MATERIAL, e.g. SHEETS, WEBS, CABLES
    • B65H2553/00Sensing or detecting means
    • B65H2553/40Sensing or detecting means using optical, e.g. photographic, elements
    • B65H2553/41Photoelectric detectors
    • B65H2553/412Photoelectric detectors in barrier arrangements, i.e. emitter facing a receptor element
    • BPERFORMING OPERATIONS; TRANSPORTING
    • B65CONVEYING; PACKING; STORING; HANDLING THIN OR FILAMENTARY MATERIAL
    • B65HHANDLING THIN OR FILAMENTARY MATERIAL, e.g. SHEETS, WEBS, CABLES
    • B65H2557/00Means for control not provided for in groups B65H2551/00 - B65H2555/00
    • B65H2557/20Calculating means; Controlling methods
    • B65H2557/23Recording or storing data
    • BPERFORMING OPERATIONS; TRANSPORTING
    • B65CONVEYING; PACKING; STORING; HANDLING THIN OR FILAMENTARY MATERIAL
    • B65HHANDLING THIN OR FILAMENTARY MATERIAL, e.g. SHEETS, WEBS, CABLES
    • B65H2557/00Means for control not provided for in groups B65H2551/00 - B65H2555/00
    • B65H2557/60Details of processes or procedures
    • B65H2557/64Details of processes or procedures for detecting type or properties of handled material
    • GPHYSICS
    • G03PHOTOGRAPHY; CINEMATOGRAPHY; ANALOGOUS TECHNIQUES USING WAVES OTHER THAN OPTICAL WAVES; ELECTROGRAPHY; HOLOGRAPHY
    • G03GELECTROGRAPHY; ELECTROPHOTOGRAPHY; MAGNETOGRAPHY
    • G03G2215/00Apparatus for electrophotographic processes
    • G03G2215/00362Apparatus for electrophotographic processes relating to the copy medium handling
    • G03G2215/00535Stable handling of copy medium
    • G03G2215/00717Detection of physical properties
    • G03G2215/00738Detection of physical properties of sheet thickness or rigidity
    • GPHYSICS
    • G03PHOTOGRAPHY; CINEMATOGRAPHY; ANALOGOUS TECHNIQUES USING WAVES OTHER THAN OPTICAL WAVES; ELECTROGRAPHY; HOLOGRAPHY
    • G03GELECTROGRAPHY; ELECTROPHOTOGRAPHY; MAGNETOGRAPHY
    • G03G2215/00Apparatus for electrophotographic processes
    • G03G2215/00362Apparatus for electrophotographic processes relating to the copy medium handling
    • G03G2215/00535Stable handling of copy medium
    • G03G2215/00717Detection of physical properties
    • G03G2215/00742Detection of physical properties of sheet weight

Definitions

  • the present invention relates to a system, and more particularly to a sheet transport system for detecting a multi-sheet feed from paper trays.
  • the sheets are fed from the sheet feeder tray to the printer. It is important that only one sheet at a time be fed from the tray and if more than one sheet is fed from the tray, that it be detected immediately and the system can be either shut down to correct the situation or the offending sheets be sent to a purge tray at the printer without shutting down the system.
  • the thickness of each sheet fed from the tray is sensed by a sensor and the thickness value sensed is compared to a thickness value for a single sheet in memory. If the thickness values match, then only one sheet has been fed from the tray. If the thickness value is more that the thickness value in memory, then that indicates that more than one sheet has just left the tray.
  • the sensor comprises an emitter and a phototransistor between which the sheets of paper pass.
  • the emitter emits rays through the sheets of paper that are sensed by the phototransistor. It is common to supply a given fixed current to the emitter when sensing sheets passing through the sensor even though the sheets sensed may vary significantly in paper weight. This causes a problem at certain paper weights since the difference between voltage response at the phototransistor for a single sheet and the voltage response for two sheets, each of the same paper weight as the single sheet, fed through the sensor can be small enough that the voltage responses can overlap due to imperfections in the paper, images that are on preprinted paper, misalignment between the emitter and phototransistor, and response variations between different phototransistors. This could cause false detections of double fed sheets.
  • one object of this invention to provide the above described system with a large enough difference between the voltage response at the phototransistor for a single sheet and the voltage response for two sheets, each of the same paper weight as the single sheet, fed through the sensors to avoid any overlap due to imperfections in the paper, images that are on preprinted paper, misalignment between the emitter and phototransistor, and response variations between different phototransistors.
  • a sensor is designed to have a first given voltage response condition for sensing sheets within a first range of paper weight values and a second given voltage response condition for sensing sheets within a second range of paper weight values.
  • a current value supplied to the emitter of the sensor can be controlled to provide the desired voltage response or a resistance in a phototransistor collector circuit can be varied to provide the desired voltage response condition. If the first range of paper weight values is lighter than the second range of paper weight values, the sensor, when in the first given voltage response condition, will have a voltage response, when sensing a sheet of a given paper weight, which is higher than the voltage response when the same sensor senses a sheet of the same paper weight, when the sensor is in the second given voltage response condition.
  • One embodiment employing this invention comprises a laser printer, a multi-tray sheet feeder and an intermediate stacker.
  • the sheets in each tray are of the same thickness, but the sheets in one tray may be of a different thickness than the sheets in another tray.
  • the sheets are fed from each sheet feeder tray to the intermediate stacker and then to the printer.
  • a preliminary sensor is provided near the trays and an inlet sensor is provided just prior to entry of a sheet into the intermediate stacker and an outlet sensor is provided to sense a sheet as it is fed from the intermediate stacker.
  • the preliminary sensor senses the paper weight of a sheet as it is fed from a tray toward the intermediate stacker.
  • a proper current value or resistance value corresponding to the paper weight of a sheet sensed by the preliminary sensor is supplied to the inlet sensor to sense the thickness of the same sheet.
  • a proper current value or resistance value, which corresponds to the paper weight of such sheet, to be supplied to the outlet sensor is placed in memory for that particular sheet.
  • the current value or resistance value in memory for the outlet sensor is supplied to the outlet sensor to sense the thickness of the same sheet as it is fed from the intermediate stacker and that thickness value is compared with the thickness value, in memory, sensed of the same sheet by the inlet sensor to detect a multi sheet feed from the intermediate stacker.
  • a single tray carries a stack of sheets. If the paper weight of sheets of paper on the tray fall within the first range of paper weight values, a sensor which senses the sheets fed from the tray is in the first given voltage response condition and if the paper weight of the sheets falls within the second range of paper weight values the sensor is in the second given voltage response condition.
  • a voltage response value sensed by the sensor of the first sheet fed from the tray is stored in memory as the voltage response value for all sheets on the tray. The voltage response value sensed by the same sensor of subsequent sheets fed from the tray is compared with the voltage response value in memory to detect a multi sheet feed from the tray.
  • a printing system comprising three feed trays 10, each having a plurality of sheets 12 stacked therein.
  • the sheets in each tray are of the same thickness as the others in the same tray, but are of a different thickness than the sheets in the other trays.
  • a sheet feeding apparatus 18 is provided for each feed tray and a common vacuum sheet transport belt conveyor 20 transports a sheet to guides 22 where a plurality of driven nip rolls 24 move a sheet through the guides to an intermediate stacker 26. Sheets are bottom fed from the stacker 26 by a vacuum transport belt 28 to nip rolls 30 which move the sheets to a printer entry transport 32 from which the sheets enter a laser printer 34 where an image is transferred to each sheet.
  • a preliminary inlet sensor 36 is provided at the guides 22 and comprises an infrared emitter 38 and a phototransistor 40. Any type of emitter can be used, but infrared is preferred.
  • a current source 39 is connected to emitter 38 to supply a desired current value to the emitter 38.
  • the collector 43 of the phototransistor 40 is connected through a control line 42 to a peak detector 44 and through control line 46 to a CPU (central processing unit) 48.
  • a positive transition detector 50 is located in control line 46 between the phototransistor 40 and the CPU 48 and detects sudden voltage changes at the collector 43.
  • the peak detector 44 detects a peak voltage at collector 43 and is connected to an I/O (Input/output) buffer 52 through a control line 54 to allow the CPU to reset the peak detector to zero.
  • a latch 56 is connected to the I/O buffer 52 through a control line 58 to allow the CPU to implement a data latch function.
  • An A/D (analog/digital) converter 60 is connected to the peak detector 44 by data line 62 and to the latch 56 by a data line 64.
  • a data line 66 connects the latch 56 to the I/O buffer 52.
  • a data bus 68 links the CPU 48 with the I/O buffer 52, memory 70 and four other I/O buffers 72, 74,76 and 77.
  • the memory 70 is a two part memory having a RAM and an EPROM.
  • An address bus 78 links a MMU (memory management unit) 80 with the I/O buffers 52, 72, 74, 76 and 77 and the memory 70.
  • the CPU 48 is connected through a control line 82 to a feeder controller 84 for controlling feeding of the sheets from the trays 10 and into and out of the intermediate stacker 26
  • An inlet sensor 86 is provided at the inlet of the stacker 26 and is spaced from the preliminary inlet sensor 36 by at least the length of a sheet to allow adequate time to obtain the sensing results of the preliminary inlet sensor 36 prior to the sheet entering the inlet sensor 86.
  • the inlet sensor 86 comprises an infrared emitter 88 and a phototransistor 90.
  • the collector 92 of the phototransistor 90 is connected through a control line 94 to a peak detector 96 and through control line 98 to the CPU 48.
  • a positive transition detector 100 is located in control line 98 between the phototransistor 90 and the CPU 48 and detects sudden voltage changes at the collector 92.
  • the peak detector 96 detects a peak voltage at collector 92 and is connected to the I/O (Input/output) buffer 74 through a control line 102 to allow the CPU to reset the peak detector to zero.
  • a latch 104 is connected to the I/O buffer 74 through a control line 106 to allow the CPU to implement a data latch function.
  • An A/D (analog/digital) converter 108 is connected to the peak detector 96 by data line 110 and to the latch 104 by a data line 112.
  • a data line 114 connects the latch 104 to the I/O buffer 74.
  • an outlet sensor 116 which comprises an infrared emitter 118 and a phototransistor 120 with a collector 122.
  • the collector 122 of the phototransistor 120 is connected through a control line 124 to a peak detector 126 and through control line 128 to the CPU 48.
  • a positive transition detector 130 is located in control line 128 between the phototransistor 120 and the CPU 48 and detects sudden voltage changes at the collector 122.
  • the peak detector 126 detects a peak voltage at collector 122 and is connected to the I/O buffer 76 through a control line 132 to allow the CPU to reset the peak detector to zero.
  • a latch 134 is connected to the I/O buffer 76 through a control line 136 to allow the CPU to implement a data latch function.
  • An A/D converter 138 is connected to the peak detector 126 by data line 140 and to the latch 134 by a data line 142.
  • a data line 144 connects the latch 134 to the I/O buffer 76.
  • the I/O buffer 72 is connected to a digital to analogue to digital (D/A) converter 146 by a data line 148.
  • the D/A converter 146 is connected to a current source 150 for the emitter 88 by a current control line 152.
  • the CPU 48 addresses the I/O buffer 72 by the address bus 78 and inputs a value of current to the buffer 72 by data bus 68.
  • the buffer 69 inputs that value to the D/A converter 146 over the data line 148 and that value is converted by the D/A converter 146 to an analogue signal that is transmitted to the current source 150 by current control line 152 to supply a given current to the emitter 88.
  • the I/O buffer 77 is connected to a digital to analogue (D/A) converter 154 by a data line 156
  • the D/A converter 154 is connected to a current source 158 for the emitter 118 by a current control line 160.
  • the CPU 48 addresses the I/O buffer 77 by the address bus 78 and inputs a value of current to the buffer 77 by data bus 68.
  • the buffer 77 inputs that value to the D/A converter 154 over the data line 156 and that value is converted by the D/A converter 154 to an analogue signal that is transmitted to the current source 158 by current control line 160 to supply a given current to the emitter 118.
  • the amount of current that flows through the phototransistors 40, 90 and 120 is a function of the amount of light to which a phototransistor is exposed. If the exposure to light is increased, more current will flow and if the exposure to light is decreased, less current will flow.
  • the emitters 38, 88 and 118 each emits rays towards the base of its respective phototransistor 40, 90 and 120 which strike the phototransistors 40, 90, and 120 at maximum intensity when a sheet of paper is not between the emitter and its respective phototransistor. Therefore, there is maximum current flow across a resistor 41 when a sheet of paper is not between emitter 38 and its respective phototransistor 40 and the voltage difference between ground 45 and the collector 43 of the phototransistor 40 is at its lowest value in this condition.
  • This principle also applies when a sheet of paper passes between the emitter 88 and the phototransistor 90 and between emitter 118 and phototransistor 120 and therefore the voltage difference between ground 45 and the collectors 92 and 122 will increase in accordance with an increase in the thickness of a sheet.
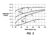
  • Curve A represents the voltage response (vertical axis) when a single sheet at different weights (horizontal axis) is passed across the sensor 36 and a current of 25 milliamps is supplied to the emitter 38 of sensor 36.
  • Curve B represents the voltage response when two sheets, each of which is of the weight indicated along the horizontal axis for a single sheet, are passed across the sensor 36 and a current of 25 milliamps is supplied to the emitter 38 of sensor 36.
  • Curve C represents the voltage response when a single sheet at different weights is passed across the sensor 36 and a current of 12 milliamps is supplied to the emitter 38 of sensor 36.
  • Curve D represents the voltage response when two sheets, each of which is of the weight indicated along the horizontal axis for a single sheet, are passed across the 36 and a current of 12 milliamps is supplied to the emitter 38 of sensor 36.
  • the difference D AB between the voltage responses for a single sheet with a paper weight of 20 Ibs. and two sheets, each of which is a paper weight of 20 Ibs., is about 0.3 volt; the difference between the voltage responses for a single sheet with a paper weight of 30 Ibs. and two sheets, each of which is a paper weight of 30 Ibs., is about 0.75 volt; and the difference between the voltage responses for a single sheet with a paper weight of 40 Ibs. and two sheets, each of which is a paper weight of 40 Ibs., is about 1 volt.
  • the difference D CD between the voltage responses for a single sheet with a paper weight of 20 Ibs. and two sheets, each of which is a paper weight of 20 Ibs., is about 1 volt; the difference between the voltage responses for a single sheet with a paper weight of 30 Ibs. and two sheets, each of which is a paper weight of 30 Ibs., is about 1 volt; and the difference between the voltage responses for a single sheet with a paper weight of 40 Ibs. and two sheets, each of which is a paper weight of 40 Ibs., is about 0.9 volt.
  • Single sheet paper weight of 20 Ibs. is the most popular paper used and one can see that by obtaining a high voltage response for this weight of paper, it would be the most beneficial when compared to obtaining a low voltage response at this weight since there is an approximate 1 volt difference between a high voltage response (see curves C and D) for a single sheet of a 20 Ib. weight and a high voltage response for two sheets, each of which is 20 Ib. weight whereas the difference when there is a low voltage response (see curves A and B) is about 0.3 volt.
  • a voltage response at the phototransistor for a single sheet and a voltage response for two sheets, each of the same paper weight as the single sheet, fed through the sensor to be large enough throughout all paper weight ranges to obviate the possibility of voltage response overlap.
  • the voltage response conditions will be such that when the sensor is in the first given voltage response condition, the sensor will have a voltage response, when sensing a sheet of a given paper weight, which is higher than the voltage response when the sensor is in the second given voltage response condition and senses a sheet of the same paper weight.
  • a desirable characteristic of a sensor would be to have a sensor obtain a voltage response when sensing single sheets with a paper weight range up to and including 50 Ibs. which would be more than the voltage response when sensing single sheets with a paper weight range above 50 Ibs.
  • One would then calibrate the sensor by picking out a voltage response that would be desired at a particular paper weight in each range and then adjust the current to the emitter to obtain that voltage response. For instance, a sheet of a paper weight of 20 Ibs. would be passed through a sensor to obtain a desired voltage response of 1.25 volts. According to curve C in Figure 3, the current that would be supplied to the emitter is 12 milliamps to obtain the voltage response of 1.25 volts.
  • the 12 milliamps may or may not supply the desired 1.25 volts and the current may have to be adjusted accordingly to obtain such.
  • the calibration can be performed manually.
  • a sheet of a paper weight of 60 Ibs. is passed through a sensor to obtain a desired voltage response of 0.5 volt.
  • the current that would be supplied to the emitter is 25 milliamps to obtain the voltage response of 0.5 volt.
  • the 25 milliamps may or may not supply the desired 0.5 volt and the current may have to be adjusted accordingly to obtain such.
  • a sheet of a 20 Ib. paper weight will be passed through each sensor 36, 86, and 116 with the current being adjusted at the emitter of each sensor to obtain a voltage response of 1.25 volts and then the sheet of a 60 Ib. paper weight will be passed only through each sensor 86, 116 with the current being adjusted at the emitter of each sensor 86 and 116 to obtain a voltage response of 0.5 volt.
  • a current of 12 milliamps supplied to the emitter of each sensor should produce a voltage response of 1.25 volts and a current of 25 milliamps supplied to the emitter of each transducer should produce a voltage response of 0.5 volt.
  • different current values may have to be supplied to each emitter to provide the given voltage response at a corresponding sensor for the same sheet.
  • Temporary memory locations 162 are provided for storage of the thickness values sensed by the sensor 86 of all sheets. The number of locations 162 will be at least equal to the sheet capacity of the intermediate stacker 26. Ten locations, 162a through 162j are shown for illustrative purposes only.
  • a temporary memory location 164 is provided for storage of the thickness values sensed by the preliminary inlet sensor 36.
  • a temporary memory location 166 is provided for storage of the thickness values sensed by the outlet sensor 116.
  • Each memory location contains a plurality of memory sites, depending upon the number of samplings taken during sensing of a sheet.
  • Temporary memory locations 168 are provided for storage of the current values to be supplied to the emitter 118 when each sheet is sensed by the sensor 116. The number of locations 168 will be at least equal to the sheet capacity of the intermediate stacker 26. Ten locations, 168a through 168j are shown for illustrative purposes only.
  • the system can be set up as follows: the CPU 48 is programmed to communicate to the I/0 buffer 52 the value of 14 milliamps for the current to be supplied to the emitter 38 for sensing all sheets that are passed through the sensor 36 from each of the trays 10.
  • the CPU is also programmed to supply a current of 12 milliamps to the emitter 88 for measuring the thickness of sheets that have a paper weight up to and including 50 Ibs. and to supply a current of 25 milliamps to the emitter 88 for measuring the thickness of sheets that have a paper weight above 50 Ibs.
  • the CPU is further programmed to supply a current of 15 milliamps to the emitter 118 for measuring the thickness of sheets that have a paper weight up to and including 50 Ibs. and to supply a current of 28 milliamps to the emitter 118 for measuring the thickness of sheets that have a paper weight above 50 Ibs.
  • a voltage response value which corresponds to a voltage response at the phototransistor 40 for a sheet of a 50 Ib. paper weight when 14 milliamps is supplied to the emitter 38 is stored in the EPROM.
  • the EPROM contains a program which compares the voltage response value of the sheet sensed by sensor 36 with the stored voltage response value. If the voltage response of the sheet is equal to or less than the stored value, the program will instruct the CPU 48 to input a value of 12 milliamps to the buffer 72 and input 15 milliamps, to be supplied to the emitter 118 of sensor 116, in an appropriate memory location 168 for that sheet.
  • the program will instruct the CPU 48 to input a value of 25 milliamps to the buffer 72 and input 28 milliamps, to be supplied to the emitter 118 of sensor 116, in an appropriate memory location 168 for that sheet.
  • the EPROM also contains a program for controlling measurement and storage of thickness values of the sheets 12 arriving at the sensors 36, 86, and 116 and for comparison of the thickness values for detecting a double sheet feed from the intermediate stacker 26.
  • the CPU 48 is programmed to keep track of the sheets as they are fed from a particular tray until after they pass through the outlet sensor 116 and place the sensed thickness values in the appropriate memory locations and compare the thickness values corresponding to the same sheet.
  • the CPU 48 is also programmed to address the appropriate memory location 168 to obtain the appropriate current to be supplied to the emitter 118 and transmit the value of the current to the I/O buffer 72 prior to the time that each sheet is sensed by the outlet sensor 116.
  • a current value of 14 milliamps is constantly supplied to the emitter 38.
  • a sheet 12 is introduced into the sensor 36, there will be a sudden voltage change at the collector 43 which is sensed by the positive transition detector 50 which causes an interrupt through the control line 46 at CPU 48.
  • the CPU 48 is programmed to only respond to the initial interrupt and ignore any subsequent interrupts until after the sheet of paper has left the sensor 36.
  • the CPU in conjunction with the MMU 80, addresses the I/O buffer 52 which immediately resets the peak detector 44.
  • the voltage at collector 43 can be sampled only once per sheet or a plurality of times as the sheet passes through the sensor.
  • the sheet can be sampled six times as the sheet passes through the sensor 36. Assuming that the sheet is 21.25 x 28 cms (8 1/2 x 11 inches) and the 28 cms (11 inch) edge is the leading edge into the sensor 36, and the sheet passes across the sensor 36 at a speed of 165 cms (65 inches) per second, each sheet section sensed before sampling will be 3.56 (1.4 inches) and sampling will occur every 22 milliseconds.
  • the peak detector senses the voltage at collector 43 as the sheet passes between the emitter 38 and the phototransistor 40 with this voltage representing the thickness of the sheet.
  • the voltage at the peak detector 44 is inputted to the A/D converter 60 in analogue form and this is converted to digital form by the A/D converter 60 and sent to the latch 56.
  • the first sensing will be completed by a first sampling taken 22 milliseconds after entry of the sheet into the sensor 36.
  • the latch will be set at 22 milliseconds to capture the peak voltage in peak detector 44 and the peak detector reset immediately thereafter for detecting the voltage over the next 3.56 cms (1.4 inches) of the sheet.
  • the I/O buffer 52 will input the voltage information for the first sampling of the sheet to the temporary memory location 164. The same cycle is repeated until after the sixth 3.56 cms (1.4 inch) section is sampled.
  • the sudden voltage change at the collector 43 is sensed by the positive transition detector 50 which causes an interrupt at the CPU 48 and the same cycle is repeated for the new sheet.
  • the six sampled values of the sheet 12 are placed into memory location 164.
  • This thickness or voltage response value is compared to the voltage response value stored in the EPROM to determine if the paper weight of the sheet is at, below or above 50 Ibs. to select the appropriate current to be supplied to the emitter 88 for sensing the same sheet at input sensor 86. This can be achieved by comparing the sum of the six sensed values in memory location 164 with the sum of the six sensed values stored in the EPROM. If the sum of the voltage response of the sheet is equal to or less than the stored value, the paper weight of the sheet is at or below 50 Ibs.
  • the CPU 48 will input the appropriate current selected, either 12 milliamps or 25 milliamps, to the buffer 72 which transmits the same to the current source 150 via the D/A converter 146 and the control line 152.
  • the CPU 48 also inputs the appropriate current, either 15 or 28 milliamps in the appropriate memory location 168 to be associated with the sheet just sensed by sensor 36.
  • the same sheet 12 now enters the sensor 86 which has the appropriate current value supplied to it by the current source 150 and the sheet is sensed by the sensor 86 in the same manner as the sheet was sensed by sensor 36 with the voltage at collector 122 being sampled six times.
  • the thickness value sensed by the sensor 86 is placed in an appropriate memory location 162.
  • the thickness value sensed by sensor 86 for each sheet will be placed into one of the memory locations 162 in accordance with a queue position in which it is introduced into the sensor 86 For instance, if a sheet 12 is the second sheet to be introduced into the sensor 86, then the thickness value sensed will be placed in memory location 162b. Also, the current value to be supplied to the emitter 118 to sense this sheet will be placed in memory location 168b. If a sheet is the fourth sheet introduced into the sensor 86, then the thickness value sensed will be placed in memory location 162d and the current value to be supplied to the emitter 118 to sense this sheet will be placed in memory location 168d. If a sheet is the seventh sheet introduced into the sensor 86, then the thickness value sensed will be placed in memory location 162g and the current value to be supplied to the emitter 118 to sense this sheet will be placed in memory location 168g.
  • the CPU 48 In response to the initial interrupt, the CPU 48 also, in conjunction with the MMU 80, addresses the I/O buffer 76 which immediately resets the peak detector 126.
  • the voltage at collector 122 is sampled six times which is the same number that the voltage at collector 92 was sampled when the same sheet passed through sensor 86.
  • the sheet passes through the outlet sensor 116 at approximately 1/2 the speed that the sheet passes through the inlet sensor 86. Therefore, each sheet section sensed before sampling will be 1.4 inches and sampling will occur ever 44 milliseconds.
  • the peak detector 126 senses the voltage at collector 80 as the sheet passes between the emitter 118 and the phototransistor 120 with this voltage representing the thickness of the sheet.
  • the voltage at the peak detector 126 is inputted to the A/D converter 138 in analogue form and this is converted to digital form by the A/D converter 138 and sent to the latch 134.
  • the first sensing will be completed by a first sampling taken 44 milliseconds after entry of the sheet into the sensor 116.
  • the latch will be set at 44 milliseconds to capture the peak voltage in peak detector 126 and the peak detector reset immediately thereafter for detecting the voltage over the next 1.4 inches of the sheet.
  • the I/O buffer 76 will input the voltage information for the first sampling of the sheet to temporary memory location 166. The same cycle is repeated until after the sixth 1.4 inch section is sampled.
  • the thickness values associated with a particular sheet in each of the memory locations 162a-162j and the current values associated with a particular sheet in each of the memory locations 168a-168j will stay in such memory location until the sheet associated with such memory locations passes through outlet sensor 116 and the thickness value comparison is made at which time the CPU 48 clears the memory locations associated with that sheet, including memory location 166.
  • a first in, first out system is set up. If a plurality of sheets are introduced into the intermediate stacker after passing through the sensor 86, the first sheet into the stacker will be the first sheet out of the stacker since the vacuum transport belt 28 is at the bottom of the stacker and feeds sheets to the outlet sensor 116 from the bottom of the stack of sheets in intermediate stacker 26.
  • a sheet 12 passes through sensor 36 and the thickness value sensed is placed into temporary memory location 164 and that value is compared with the value in the EPROM to determine if 12 milliamps or 25 milliamps should be supplied to the emitter 88 of the inlet sensor 86. Assume that it was determined that a current of 25 milliamps should be supplied to the emitter 88 of inlet sensor 86.
  • the CPU 48 causes the thickness value in temporary memory location 164 to be erased and inputs the 25 milliamps value to buffer 72 which causes the current source to supply 25 milliamps to the emitter 88. Assuming that this particular sheet is the seventh sheet to pass through the sensor 36, the CPU 48 along with the MMU 80 will cause the current value of 28 milliamps to be supplied to the emitter 118 for sensing such sheet to be stored in memory location 168g.
  • the emitter As the sheet 12 passes through the inlet sensor 86, the emitter is supplied with 25 milliamps and the thickness value of the sheet is sensed and that value is placed into memory location 162g.
  • the sheet passes into the intermediate stacker 26.
  • the intermediate stacker 26 When the sheet exits the intermediate stacker 26 and enters the outlet sensor 116, there is a sudden voltage change at the collector 122 which is sensed by the positive transition detector 130.
  • the CPU 48 will address memory location 168g to obtain the 28 milliamp value and input that value to the I/O buffer 77 which causes the current source 158 to supply 28 milliamps to the emitter 118 of outlet sensor 116.
  • the thickness value sensed by sensor 116 of sheet 12 is stored in temporary memory 166 and will be compared to the thickness value stored in memory location 162g. After the comparison is made, the CPU 48 causes the memory locations 162g and 168g and temporary memory location 166 to be cleared. If it is determined that only one sheet has passed through the outlet sensor 116, normal operation of the printing system will continue. If it is determined that more than one sheet has passed through the outlet sensor 116, a signal will be sent by the CPU 48 over the control line 82 to the feeder controller 84 to immediately stop the sheet feeding system. A system operator can then remove the double fed sheets and reset the system to resume normal operation. Alternatively, in response to the signal, the offending sheets can be sent to a purge tray at the printer without stopping the sheet feeding system.
  • resistance in a phototransistor collector circuit can be varied to provide the desired voltage response condition.
  • a simplified schematic illustrating this principle is shown in Figure 5. All elements that are the same as shown in the embodiment illustrated in Figure 2 are represented by the same reference numerals, only with an "a" affixed thereto.
  • the fixed resistors 91 and 121 of the schematic shown in embodiment of Figure 2 are replaced by variable resistors 200 and 202, respectively.
  • the sensor 36 still has a fixed resistor 41, although it should be understood that a variable resistor could be provided for the sensor 36.
  • the resistance of resistors 200 and 202 can be varied by any well known circuit means.
  • each sensor increases with an increase in paper weight since less current flows from each phototransistor 90a and 120a through their corresponding resistors 200 and 202. Since more current flows through the resistors 200 and 202 when lighter sheets are sensed by their sensors than when heavier sheets are sensed, the resistance must be decreased to increase the voltage response at the collector. Since less current flows through the resistors 200 and 202 when heavier sheets are sensed by their sensors than when lighter sheets are sensed, the resistance must be increased to decrease the voltage response at the collector.
  • the resistance value of the resistor has to be higher when the sensor is in the first condition than the resistance value of the resistor when the sensor is in the second condition.
  • a voltage response can be selected for a sheet of a paper weight of 20 Ibs. and such sheet is passed through each sensor 86a and 116a.
  • the resistance of resistors 200 and 202 will be adjusted to provide the desired voltage response at each sensor 86a and 116a.
  • a voltage response can be selected for a sheet of a paper weight of 60 Ibs. and such sheet is passed through each sensor.
  • the resistance of resistors 200 and 202 will be adjusted to provide the desired voltage response at each sensor.
  • the same resistance value at the resistor of each sensor should provide the same desired voltage response when sensing the same sheet .
  • the conditions at each sensor are not the same, then there may have to be different resistance values at the resistor of each sensor to provide the same desired voltage response when sensing the same sheet.
  • the calibrations can be performed manually.
  • the CPU 48 will be programmed to provide a first resistance value at the resistor 200 for measuring the thickness of sheets that have a paper weight up to and including 50 Ibs. and to supply a second resistance value, which is higher than the first resistance value, at the resistor 200 for measuring the thickness of sheets that have a paper weight above 50 Ibs.
  • the CPU is further programmed to provide a third resistance value at the resistor 202 for measuring the thickness of sheets that have a paper weight up to and including 50 Ibs.
  • the I/O buffers 72a and 77a will be controlled to transmit resistance values to the variable resistors 200 and 202, respectively, instead of I/O buffers 72 and 77 transmitting current values in the previous embodiment.
  • Memory locations 168 will be used to store the appropriate resistance values to be used for each sheet instead of storing the current values of the previous embodiment.
  • each value sampled of a sheet at the outlet sensor 116 can be compared with each corresponding value sampled for the same sheet at the inlet sensor 86. If a certain number of values match within a given tolerance, it will be assumed that only one sheet passed through the sensors. For instance, if four of the six sensed values match, it will be assumed that only one sheet passed through the sensor. In this case, the sum of the samplings at preliminary sensor 36 could still be used for comparison with the thickness value stored in the EPROM to determine the current value to be used at emitter 88. Obviously, other ways of comparing values can be used and the number of samplings can be changed to a particular situation desired. The comparison function can be conducted as a new sheet is fed from any tray into its respective sensor. This way, the system is not held up while a comparison is being made.
  • a printing system comprising a feed tray 210, has a plurality of sheets 212 stacked therein. The sheets are all of the same thickness or paper weight.
  • a vacuum sheet transport belt conveyor 216 transports a sheet to a guide 218 where a plurality of driven nip rolls 220 move a sheet through the guides from which the sheet enters a laser printer 222 where an image is transferred to each sheet.
  • Sensor 224 is located between the tray 210 and the guide 218 for sensing the thickness or paper weight of the sheets 212 as they are fed from the tray 210.
  • the inlet sensor 224 comprises an infrared emitter 226 and a phototransistor 228.
  • the collector 230 of the phototransistor 228 is connected through a control line 232 to a peak detector 234 and through control line 236 to a CPU (central processing unit) 238.
  • a positive transition detector 240 is located in control line 236 between the phototransistor 228 and the CPU 238 and detects sudden voltage changes at the collector 230.
  • the peak detector 234 detects a peak voltage at collector 230 and is connected to an I/O (Input/output) buffer 242 through a control line 244 to allow the CPU to reset the peak detector to zero.
  • I/O Input/output
  • a latch 246 is connected to the I/O buffer 242 through a control line 248 to allow the CPU to implement a data latch function.
  • An A/D (analog/digital) converter 250 is connected to the peak detector 234 by line 252 and to the latch 246 by a data line 254.
  • a data line 256 connects the latch 246 to the I/O buffer 242.
  • a data bus 258 links the CPU 238 with the I/O buffer 242, an I/O buffer 278 and memory 260.
  • the memory 260 is a two part memory having a RAM and an EPROM.
  • An address bus 262 links a MMU (memory management unit 264 with the I/O buffers 242, 278 and the memory 260.
  • the CPU 238 is connected through a control line 266 to a feeder controller 268 for controlling feeding of the sheets from the tray 210.
  • the I/O buffer 278 is connected to a digital to analogue (D/A) converter 280 by a data line 282.
  • the D/A converter 280 is connected to a current source 284 for the emitter 226 by a current control line 286.
  • the CPU 238 addresses the I/O buffer 278 by the address bus 262 and sends a value of current to the buffer 278 by data bus 258.
  • the buffer 278 sends that value to the D/A converter 280 over the data line 282 and that value is converted by the D/A converter 280 to an analogue signal that is transmitted to the current source 284 by current control line 286 to supply a given current to the emitter 226.
  • the Ram section of the memory 260 is shown in Figure 7.
  • a memory location 274 for storing the voltage response value at the phototransistor 228 which represents the thickness value of the sheets in tray 210.
  • the sensed thickness value of the first sheet fed from the tray 210 is put into this location.
  • the system can be set up as follows:
  • the CPU 238 is programmed to communicate to the I/0 buffer 278 the value of 12 milliamps for the initial current to be supplied to the emitter 226 for the first sheet of paper 212 that is passed through the sensor 224.
  • the CPU 238 is also programmed to supply a current of 12 milliamps to the emitter 226 for measuring the thickness of sheets that have a paper weight up to and including 50 Ibs.
  • a voltage response value which corresponds to a voltage response at the phototransistor 228 for a sheet of a 50 Ib. paper weight when 12 milliamps is supplied to the emitter 226 is stored in the EPROM.
  • the EPROM contains a program which compares the voltage response value of the first sheet sensed from tray 210 with the stored voltage response value.
  • the program will instruct the CPU 238 to input a value of 12 milliamps to the buffer 278 and if the voltage response of the first sheet is above the stored value, the program will instruct the CPU to input a value of 25 milliamps to the buffer 278.
  • the EPROM also contains a program for controlling measurement and storage of thickness values of the sheets 212 arriving at the sensor 224 from the tray 210 and for comparison of the thickness values for detecting a double sheet feed from the tray 210.
  • the CPU 238 is programmed to keep track of the sheets as they are fed from the tray 210 until after they pass through the sensor 224 and place the sensed thickness values in memory locations 274 and 276 and compare the values in such memory locations.
  • the tray 210 has a sensor 278 connected thereto for sensing when the tray has been lowered for refilling.
  • the sensor 278 is communicated to the CPU 238 by a control line 280.
  • the sensor may be a contact switch, a push button switch or any other well known sensing device.
  • the sensor causes an interrupt through the control line at the CPU 238.
  • the CPU 238 is programmed to respond to the interrupt to clear the memory location 274 and start the program for placing in memory location 274 the thickness value of the first sheet sensed that is fed from tray 210 after it is reloaded and to clear the I/O buffer 278 and send the value of the initial current of 12 milliamps to the I/O buffer 278 which is transmitted to the current source 284 to supply the emitter 226 with the initial current of 12 milliamps for measuring the thickness value of the first sheet sensed that is fed from tray 210 after it is reloaded.
  • the CPU 238 is programmed to transmit to the I/O buffer 278 the initial current value (12 milliamps) which is then transmitted to the current source 284 to supply 12 milliamps to the emitter 226.
  • the initial current value (12 milliamps)
  • the current source 284 to supply 12 milliamps to the emitter 226.
  • the CPU is programmed to only respond to the initial interrupt and ignore any subsequent interrupts until after the sheet of paper has left the sensor 224.
  • the CPU in conjunction with the MMU 264, addresses the I/O buffer 242 which immediately resets the peak detector 234.
  • the voltage at collector 230 is sampled six times.
  • the peak detector senses the voltage at collector 230 as the sheet passes between the emitter 226 and the phototransistor 228 with this voltage representing the thickness of the sheet.
  • the voltage at the peak detector 234 is inputted to the A/D converter 250 in analog form and this is converted to digital form by the A/D converter 250 and sent to the latch 246.
  • the I/O buffer 242 will send the voltage information of the sheet to the memory 260.
  • the sixth 3.56 cm (1.4 inch) section of the sheet 212 is sampled while the sheet passes through sensor 224, the six sampled values of the first sheet 212 from the tray 210 are placed into memory location 274. This thickness or voltage response value is compared to the voltage response value stored in the EPROM to determine if the paper weight of the sheet is at, below or above 50 Ibs. to select the appropriate current to be supplied to the emitter 26 for sensing subsequent sheets.
  • the CPU 238 When the appropriate current value is selected, the CPU 238 is programmed to respond to such selection and input to the I/O buffer 278 the current value to be supplied to the emitter 226 for sensing subsequent sheets fed from tray 210. If the current to be supplied to the emitter for sensing subsequent sheets is 12 milliamps, then the thickness value which was placed in memory location 274 will stay in that location as the thickness value associated with all of the remaining sheets in tray 210. If the current to be supplied to the emitter for subsequent sheets is 25 milliamps, then the CPU 238 is programmed to clear the thickness value placed in memory location 274 and place the thickness value of the next sheet sensed by the sensor 224 in memory location 274.
  • the thickness value sensed for all subsequent sheets fed from tray 210 will be compared to the thickness value in memory location 274. If the thickness values are within a chosen tolerance of each other, it will be assumed that only one sheet has passed through the sensor 224 and normal operation of the printing system will continue. If the thickness value, which is located in memory location 274, for the first sheet is less than the thickness value, located in memory location 276, of a subsequent sheet fed from tray 210 by more than a chosen tolerance, then such will indicate a greater sheet thickness for the subsequent sheet than the first sheet. Thus, it will be assumed that more than one sheet has passed through the sensor 224 and a signal will be sent by the CPU 238 over the control line 266 to the feeder controller 268 to immediately stop the sheet feeding system.
  • the thickness value in memory location 274 will stay in memory location 274 until the tray 210 is lowered to refill the tray at which time the sensor 278 will cause an interrupt through control line 280 at the CPU 238 and the current thickness value is cleared from memory location 274.
  • the thickness value sensed by sensor 224 of the first sheet fed from the tray 210, after the tray 210 has been refilled and after the memory location 274 has been cleared, will be placed into the memory location 274 as the new thickness value for all of the remaining new sheets 212 loaded onto tray 210
  • the current value for emitter 226 will stay in I/O buffer 278 until the tray 210 is lowered to refill the tray at which time the CPU 238, in response to the interrupt through control line 280, will clear the value from I/O buffer 278 and communicate the value of the initial amount of current (12 milliamps) to the I/O buffer which results in 12 milliamps being supplied to the emitter 226 for sensing the first sheet fed from the tray 210 after it has been refilled.
  • the system of Figures 6 - 8 is based upon assuming that the first and second sheets (the thickness value of which is relied upon as representative of the thickness value for the remaining sheets from the tray 210) from tray 210 are truly single sheets and are not double sheets.
  • This system could be modified to detect double sheets being fed as such a first or second single sheet from tray 210. For instance, if such first or second sheet fed from the tray 210 is a double fed sheet, a subsequent sheet fed from the tray will be sensed to have a lower voltage response beyond a given tolerance than the first or second sheet indicating the first or second sheet was a double fed sheet. The system will be stopped, the double fed sheets removed and the first or second fed sheet sensing reinitiated.
  • resistance in a phototransistor collector circuit can be varied to provide the desired voltage response condition in the same manner as described for the embodiment of Figures 1 - 5 and disclosed specifically in Figure 5.
  • more than two ranges of paper weights can be selected.
  • a different voltage response condition for a sensor can be set for each of the paper weight ranges as long as the sensor, when in a voltage response condition for sensing sheets from a range that encompasses sheets that are heavier than the sheets in another range, will have a voltage response which is lower than when the same sensor senses a sheet of the same paper weight, when the sensor is in a given voltage response condition for sensing sheets in another range.

Landscapes

  • Engineering & Computer Science (AREA)
  • Microelectronics & Electronic Packaging (AREA)
  • Physics & Mathematics (AREA)
  • General Physics & Mathematics (AREA)
  • Controlling Sheets Or Webs (AREA)
EP98300165A 1997-01-13 1998-01-12 Blattfördersystem Withdrawn EP0853258A3 (de)

Applications Claiming Priority (4)

Application Number Priority Date Filing Date Title
US782323 1985-09-30
US08/782,325 US5769407A (en) 1997-01-13 1997-01-13 Misfeed detector with voltage response adjustment
US08/782,323 US5836580A (en) 1997-01-13 1997-01-13 Single tray and multi tray misfeed detector with voltage response adjustment
US782325 2001-02-13

Publications (2)

Publication Number Publication Date
EP0853258A2 true EP0853258A2 (de) 1998-07-15
EP0853258A3 EP0853258A3 (de) 1998-11-04

Family

ID=27119980

Family Applications (1)

Application Number Title Priority Date Filing Date
EP98300165A Withdrawn EP0853258A3 (de) 1997-01-13 1998-01-12 Blattfördersystem

Country Status (2)

Country Link
EP (1) EP0853258A3 (de)
JP (1) JPH10194523A (de)

Family Cites Families (11)

* Cited by examiner, † Cited by third party
Publication number Priority date Publication date Assignee Title
JPS57124366A (en) * 1981-01-24 1982-08-03 Ricoh Co Ltd Processing method for transfer paper
JPS57124377A (en) * 1981-01-24 1982-08-03 Ricoh Co Ltd Detecting method for overlapped transfer paper delivery
DE3230524C2 (de) * 1982-08-17 1987-04-09 Agfa-Gevaert Ag, 5090 Leverkusen Einrichtung zum Erkennen von zwei oder mehreren Übereinanderliegenden Filmblättern
DE3467887D1 (en) * 1984-01-24 1988-01-14 Komori Printing Mach Double sheet detection method and apparatus of sheet-fed rotary press
JPS60177206A (ja) * 1984-02-24 1985-09-11 Komori Printing Mach Co Ltd 枚葉輪転印刷機の2枚差検出装置
JPS6151444A (ja) * 1984-08-17 1986-03-13 Tokyo Koku Keiki Kk 印刷機の二枚差検出装置
DE3816943A1 (de) * 1988-05-18 1989-11-30 Nixdorf Computer Ag Verfahren zum pruefen von blattmaterial
JP2651938B2 (ja) * 1989-06-19 1997-09-10 株式会社小森コーポレーション 給紙用紙の重複検出方法および装置
US5138178A (en) * 1990-12-17 1992-08-11 Xerox Corporation Photoelectric paper basis weight sensor
US5586755A (en) * 1995-02-13 1996-12-24 Xerox Corporation Misfeed detector for a stack of different weight sheets
US5503382A (en) * 1995-02-13 1996-04-02 Xerox Corporation Misfeed detector for multi-tray and intermediate tray sheet feeders

Also Published As

Publication number Publication date
JPH10194523A (ja) 1998-07-28
EP0853258A3 (de) 1998-11-04

Similar Documents

Publication Publication Date Title
US5836580A (en) Single tray and multi tray misfeed detector with voltage response adjustment
US5138178A (en) Photoelectric paper basis weight sensor
US5503382A (en) Misfeed detector for multi-tray and intermediate tray sheet feeders
EP0143188B2 (de) Verfahren und Vorrichtung zum Feststellen der unrichtigen Lage von Papierblättern
US5586755A (en) Misfeed detector for a stack of different weight sheets
EP1081073B1 (de) Verfahren und Vorrichtung zur Erkennung von einer Mehrfachzufuhr
US6364556B1 (en) Method and apparatus for print media detection
US4545031A (en) Photo-electric apparatus for monitoring printed papers
US6266512B1 (en) Method of using input size determination for improvements in productivity and imaging
JPS6236189B2 (de)
US5806843A (en) Multi tray and buffer tray misfeed detector with voltage response adjustment
US5769407A (en) Misfeed detector with voltage response adjustment
JPH0789625A (ja) シート給送装置
US6024355A (en) Method and apparatus for controlling a buffer stock of flat objects
EP0853258A2 (de) Blattfördersystem
US5673907A (en) Misfeed detector for multi tray sheet feeders
US9030715B2 (en) Sheet conveyance device that can detect sheet size
US7411602B2 (en) System, method, and program for alternating sheets of media
US11459200B2 (en) Sheet feeding device with dynamic float adjustment
JP2000023508A (ja) 整列播種機における胚位置判別方法
JPH06179545A (ja) 光学的用紙感知方法およびその装置
JPH0543091A (ja) 画像読取り装置の原稿重送検知装置
JP7523217B2 (ja) 給紙装置
JP2508747Y2 (ja) 紙葉類計数機における自動光学2重検知装置
JP2826214B2 (ja) 用紙サイズ検出装置

Legal Events

Date Code Title Description
PUAI Public reference made under article 153(3) epc to a published international application that has entered the european phase

Free format text: ORIGINAL CODE: 0009012

AK Designated contracting states

Kind code of ref document: A2

Designated state(s): DE FR GB

AX Request for extension of the european patent

Free format text: AL;LT;LV;MK;RO;SI

PUAL Search report despatched

Free format text: ORIGINAL CODE: 0009013

AK Designated contracting states

Kind code of ref document: A3

Designated state(s): AT BE CH DE DK ES FI FR GB GR IE IT LI LU MC NL PT SE

AX Request for extension of the european patent

Free format text: AL;LT;LV;MK;RO;SI

17P Request for examination filed

Effective date: 19990504

AKX Designation fees paid

Free format text: DE FR GB

17Q First examination report despatched

Effective date: 20011017

STAA Information on the status of an ep patent application or granted ep patent

Free format text: STATUS: THE APPLICATION IS DEEMED TO BE WITHDRAWN

18D Application deemed to be withdrawn

Effective date: 20021119