DE69918492T2 - Turbine à gaz à chauffage indirect integree à une unite de separation des gaz de l'air - Google Patents
Turbine à gaz à chauffage indirect integree à une unite de separation des gaz de l'air Download PDFInfo
- Publication number
- DE69918492T2 DE69918492T2 DE69918492T DE69918492T DE69918492T2 DE 69918492 T2 DE69918492 T2 DE 69918492T2 DE 69918492 T DE69918492 T DE 69918492T DE 69918492 T DE69918492 T DE 69918492T DE 69918492 T2 DE69918492 T2 DE 69918492T2
- Authority
- DE
- Germany
- Prior art keywords
- air
- stream
- pressurized
- rich
- nitrogen
- Prior art date
- Legal status (The legal status is an assumption and is not a legal conclusion. Google has not performed a legal analysis and makes no representation as to the accuracy of the status listed.)
- Expired - Fee Related
Links
- 238000000926 separation method Methods 0.000 title claims description 58
- 239000007789 gas Substances 0.000 claims description 135
- IJGRMHOSHXDMSA-UHFFFAOYSA-N Atomic nitrogen Chemical compound N#N IJGRMHOSHXDMSA-UHFFFAOYSA-N 0.000 claims description 102
- 229910052757 nitrogen Inorganic materials 0.000 claims description 51
- 238000000034 method Methods 0.000 claims description 43
- 239000006227 byproduct Substances 0.000 claims description 39
- QVGXLLKOCUKJST-UHFFFAOYSA-N atomic oxygen Chemical compound [O] QVGXLLKOCUKJST-UHFFFAOYSA-N 0.000 claims description 35
- 239000001301 oxygen Substances 0.000 claims description 35
- 229910052760 oxygen Inorganic materials 0.000 claims description 35
- 238000002485 combustion reaction Methods 0.000 claims description 29
- 239000000446 fuel Substances 0.000 claims description 24
- 230000008569 process Effects 0.000 claims description 21
- 239000000047 product Substances 0.000 claims description 20
- 230000006835 compression Effects 0.000 claims description 14
- 238000007906 compression Methods 0.000 claims description 14
- 238000004519 manufacturing process Methods 0.000 claims description 8
- 238000004821 distillation Methods 0.000 claims description 7
- 230000015572 biosynthetic process Effects 0.000 claims description 6
- 238000010438 heat treatment Methods 0.000 claims description 6
- 238000003786 synthesis reaction Methods 0.000 claims description 6
- UGFAIRIUMAVXCW-UHFFFAOYSA-N Carbon monoxide Chemical compound [O+]#[C-] UGFAIRIUMAVXCW-UHFFFAOYSA-N 0.000 claims description 3
- UFHFLCQGNIYNRP-UHFFFAOYSA-N Hydrogen Chemical compound [H][H] UFHFLCQGNIYNRP-UHFFFAOYSA-N 0.000 claims description 3
- 229910002091 carbon monoxide Inorganic materials 0.000 claims description 3
- 238000000354 decomposition reaction Methods 0.000 claims description 3
- 239000001257 hydrogen Substances 0.000 claims description 3
- 229910052739 hydrogen Inorganic materials 0.000 claims description 3
- 239000003570 air Substances 0.000 description 133
- 239000000567 combustion gas Substances 0.000 description 12
- 239000012530 fluid Substances 0.000 description 8
- 230000010354 integration Effects 0.000 description 8
- 239000000919 ceramic Substances 0.000 description 7
- CURLTUGMZLYLDI-UHFFFAOYSA-N Carbon dioxide Chemical compound O=C=O CURLTUGMZLYLDI-UHFFFAOYSA-N 0.000 description 6
- 239000012528 membrane Substances 0.000 description 6
- VNWKTOKETHGBQD-UHFFFAOYSA-N methane Chemical compound C VNWKTOKETHGBQD-UHFFFAOYSA-N 0.000 description 6
- 238000011084 recovery Methods 0.000 description 6
- 238000004088 simulation Methods 0.000 description 6
- 239000003245 coal Substances 0.000 description 5
- 239000002737 fuel gas Substances 0.000 description 5
- 239000007788 liquid Substances 0.000 description 5
- 239000003380 propellant Substances 0.000 description 5
- 238000013461 design Methods 0.000 description 4
- 238000012423 maintenance Methods 0.000 description 4
- XLYOFNOQVPJJNP-UHFFFAOYSA-N water Substances O XLYOFNOQVPJJNP-UHFFFAOYSA-N 0.000 description 4
- 229910001868 water Inorganic materials 0.000 description 4
- 230000008901 benefit Effects 0.000 description 3
- 229910002092 carbon dioxide Inorganic materials 0.000 description 3
- 239000001569 carbon dioxide Substances 0.000 description 3
- 238000007084 catalytic combustion reaction Methods 0.000 description 3
- 238000002309 gasification Methods 0.000 description 3
- 239000000463 material Substances 0.000 description 3
- MWUXSHHQAYIFBG-UHFFFAOYSA-N nitrogen oxide Inorganic materials O=[N] MWUXSHHQAYIFBG-UHFFFAOYSA-N 0.000 description 3
- 238000012545 processing Methods 0.000 description 3
- 230000008439 repair process Effects 0.000 description 3
- 239000007787 solid Substances 0.000 description 3
- XKRFYHLGVUSROY-UHFFFAOYSA-N Argon Chemical compound [Ar] XKRFYHLGVUSROY-UHFFFAOYSA-N 0.000 description 2
- XEEYBQQBJWHFJM-UHFFFAOYSA-N Iron Chemical compound [Fe] XEEYBQQBJWHFJM-UHFFFAOYSA-N 0.000 description 2
- 239000003575 carbonaceous material Substances 0.000 description 2
- 230000007797 corrosion Effects 0.000 description 2
- 238000005260 corrosion Methods 0.000 description 2
- 230000006866 deterioration Effects 0.000 description 2
- 238000010586 diagram Methods 0.000 description 2
- 230000005611 electricity Effects 0.000 description 2
- 238000001983 electron spin resonance imaging Methods 0.000 description 2
- 238000005516 engineering process Methods 0.000 description 2
- 230000007613 environmental effect Effects 0.000 description 2
- 230000003628 erosive effect Effects 0.000 description 2
- 229930195733 hydrocarbon Natural products 0.000 description 2
- 150000002430 hydrocarbons Chemical class 0.000 description 2
- 229910001092 metal group alloy Inorganic materials 0.000 description 2
- 239000011533 mixed conductor Substances 0.000 description 2
- 239000003345 natural gas Substances 0.000 description 2
- 238000001179 sorption measurement Methods 0.000 description 2
- 229910052717 sulfur Inorganic materials 0.000 description 2
- 239000011593 sulfur Substances 0.000 description 2
- XTQHKBHJIVJGKJ-UHFFFAOYSA-N sulfur monoxide Chemical class S=O XTQHKBHJIVJGKJ-UHFFFAOYSA-N 0.000 description 2
- 229910052815 sulfur oxide Inorganic materials 0.000 description 2
- 239000004215 Carbon black (E152) Substances 0.000 description 1
- MYMOFIZGZYHOMD-UHFFFAOYSA-N Dioxygen Chemical compound O=O MYMOFIZGZYHOMD-UHFFFAOYSA-N 0.000 description 1
- NINIDFKCEFEMDL-UHFFFAOYSA-N Sulfur Chemical compound [S] NINIDFKCEFEMDL-UHFFFAOYSA-N 0.000 description 1
- 206010053615 Thermal burn Diseases 0.000 description 1
- 239000012080 ambient air Substances 0.000 description 1
- 238000013459 approach Methods 0.000 description 1
- 229910052786 argon Inorganic materials 0.000 description 1
- 230000009286 beneficial effect Effects 0.000 description 1
- 229910002110 ceramic alloy Inorganic materials 0.000 description 1
- 238000000576 coating method Methods 0.000 description 1
- 239000000571 coke Substances 0.000 description 1
- 239000000356 contaminant Substances 0.000 description 1
- 230000007423 decrease Effects 0.000 description 1
- 230000003247 decreasing effect Effects 0.000 description 1
- 229910001882 dioxygen Inorganic materials 0.000 description 1
- 238000000605 extraction Methods 0.000 description 1
- 230000002349 favourable effect Effects 0.000 description 1
- 239000012535 impurity Substances 0.000 description 1
- 229910052742 iron Inorganic materials 0.000 description 1
- 230000007774 longterm Effects 0.000 description 1
- 239000003208 petroleum Chemical group 0.000 description 1
- 238000010248 power generation Methods 0.000 description 1
- 230000009467 reduction Effects 0.000 description 1
- 238000011160 research Methods 0.000 description 1
- 239000004071 soot Substances 0.000 description 1
- 239000007858 starting material Substances 0.000 description 1
- 150000003464 sulfur compounds Chemical class 0.000 description 1
- 238000010792 warming Methods 0.000 description 1
Classifications
-
- F—MECHANICAL ENGINEERING; LIGHTING; HEATING; WEAPONS; BLASTING
- F02—COMBUSTION ENGINES; HOT-GAS OR COMBUSTION-PRODUCT ENGINE PLANTS
- F02C—GAS-TURBINE PLANTS; AIR INTAKES FOR JET-PROPULSION PLANTS; CONTROLLING FUEL SUPPLY IN AIR-BREATHING JET-PROPULSION PLANTS
- F02C1/00—Gas-turbine plants characterised by the use of hot gases or unheated pressurised gases, as the working fluid
- F02C1/04—Gas-turbine plants characterised by the use of hot gases or unheated pressurised gases, as the working fluid the working fluid being heated indirectly
-
- F—MECHANICAL ENGINEERING; LIGHTING; HEATING; WEAPONS; BLASTING
- F25—REFRIGERATION OR COOLING; COMBINED HEATING AND REFRIGERATION SYSTEMS; HEAT PUMP SYSTEMS; MANUFACTURE OR STORAGE OF ICE; LIQUEFACTION SOLIDIFICATION OF GASES
- F25J—LIQUEFACTION, SOLIDIFICATION OR SEPARATION OF GASES OR GASEOUS OR LIQUEFIED GASEOUS MIXTURES BY PRESSURE AND COLD TREATMENT OR BY BRINGING THEM INTO THE SUPERCRITICAL STATE
- F25J3/00—Processes or apparatus for separating the constituents of gaseous or liquefied gaseous mixtures involving the use of liquefaction or solidification
- F25J3/02—Processes or apparatus for separating the constituents of gaseous or liquefied gaseous mixtures involving the use of liquefaction or solidification by rectification, i.e. by continuous interchange of heat and material between a vapour stream and a liquid stream
- F25J3/04—Processes or apparatus for separating the constituents of gaseous or liquefied gaseous mixtures involving the use of liquefaction or solidification by rectification, i.e. by continuous interchange of heat and material between a vapour stream and a liquid stream for air
- F25J3/04006—Providing pressurised feed air or process streams within or from the air fractionation unit
- F25J3/04012—Providing pressurised feed air or process streams within or from the air fractionation unit by compression of warm gaseous streams; details of intake or interstage cooling
- F25J3/04018—Providing pressurised feed air or process streams within or from the air fractionation unit by compression of warm gaseous streams; details of intake or interstage cooling of main feed air
-
- F—MECHANICAL ENGINEERING; LIGHTING; HEATING; WEAPONS; BLASTING
- F25—REFRIGERATION OR COOLING; COMBINED HEATING AND REFRIGERATION SYSTEMS; HEAT PUMP SYSTEMS; MANUFACTURE OR STORAGE OF ICE; LIQUEFACTION SOLIDIFICATION OF GASES
- F25J—LIQUEFACTION, SOLIDIFICATION OR SEPARATION OF GASES OR GASEOUS OR LIQUEFIED GASEOUS MIXTURES BY PRESSURE AND COLD TREATMENT OR BY BRINGING THEM INTO THE SUPERCRITICAL STATE
- F25J3/00—Processes or apparatus for separating the constituents of gaseous or liquefied gaseous mixtures involving the use of liquefaction or solidification
- F25J3/02—Processes or apparatus for separating the constituents of gaseous or liquefied gaseous mixtures involving the use of liquefaction or solidification by rectification, i.e. by continuous interchange of heat and material between a vapour stream and a liquid stream
- F25J3/04—Processes or apparatus for separating the constituents of gaseous or liquefied gaseous mixtures involving the use of liquefaction or solidification by rectification, i.e. by continuous interchange of heat and material between a vapour stream and a liquid stream for air
- F25J3/04006—Providing pressurised feed air or process streams within or from the air fractionation unit
- F25J3/04109—Arrangements of compressors and /or their drivers
-
- F—MECHANICAL ENGINEERING; LIGHTING; HEATING; WEAPONS; BLASTING
- F25—REFRIGERATION OR COOLING; COMBINED HEATING AND REFRIGERATION SYSTEMS; HEAT PUMP SYSTEMS; MANUFACTURE OR STORAGE OF ICE; LIQUEFACTION SOLIDIFICATION OF GASES
- F25J—LIQUEFACTION, SOLIDIFICATION OR SEPARATION OF GASES OR GASEOUS OR LIQUEFIED GASEOUS MIXTURES BY PRESSURE AND COLD TREATMENT OR BY BRINGING THEM INTO THE SUPERCRITICAL STATE
- F25J3/00—Processes or apparatus for separating the constituents of gaseous or liquefied gaseous mixtures involving the use of liquefaction or solidification
- F25J3/02—Processes or apparatus for separating the constituents of gaseous or liquefied gaseous mixtures involving the use of liquefaction or solidification by rectification, i.e. by continuous interchange of heat and material between a vapour stream and a liquid stream
- F25J3/04—Processes or apparatus for separating the constituents of gaseous or liquefied gaseous mixtures involving the use of liquefaction or solidification by rectification, i.e. by continuous interchange of heat and material between a vapour stream and a liquid stream for air
- F25J3/04006—Providing pressurised feed air or process streams within or from the air fractionation unit
- F25J3/04109—Arrangements of compressors and /or their drivers
- F25J3/04115—Arrangements of compressors and /or their drivers characterised by the type of prime driver, e.g. hot gas expander
-
- F—MECHANICAL ENGINEERING; LIGHTING; HEATING; WEAPONS; BLASTING
- F25—REFRIGERATION OR COOLING; COMBINED HEATING AND REFRIGERATION SYSTEMS; HEAT PUMP SYSTEMS; MANUFACTURE OR STORAGE OF ICE; LIQUEFACTION SOLIDIFICATION OF GASES
- F25J—LIQUEFACTION, SOLIDIFICATION OR SEPARATION OF GASES OR GASEOUS OR LIQUEFIED GASEOUS MIXTURES BY PRESSURE AND COLD TREATMENT OR BY BRINGING THEM INTO THE SUPERCRITICAL STATE
- F25J3/00—Processes or apparatus for separating the constituents of gaseous or liquefied gaseous mixtures involving the use of liquefaction or solidification
- F25J3/02—Processes or apparatus for separating the constituents of gaseous or liquefied gaseous mixtures involving the use of liquefaction or solidification by rectification, i.e. by continuous interchange of heat and material between a vapour stream and a liquid stream
- F25J3/04—Processes or apparatus for separating the constituents of gaseous or liquefied gaseous mixtures involving the use of liquefaction or solidification by rectification, i.e. by continuous interchange of heat and material between a vapour stream and a liquid stream for air
- F25J3/04006—Providing pressurised feed air or process streams within or from the air fractionation unit
- F25J3/04109—Arrangements of compressors and /or their drivers
- F25J3/04139—Combination of different types of drivers mechanically coupled to the same compressor, possibly split on multiple compressor casings
-
- F—MECHANICAL ENGINEERING; LIGHTING; HEATING; WEAPONS; BLASTING
- F25—REFRIGERATION OR COOLING; COMBINED HEATING AND REFRIGERATION SYSTEMS; HEAT PUMP SYSTEMS; MANUFACTURE OR STORAGE OF ICE; LIQUEFACTION SOLIDIFICATION OF GASES
- F25J—LIQUEFACTION, SOLIDIFICATION OR SEPARATION OF GASES OR GASEOUS OR LIQUEFIED GASEOUS MIXTURES BY PRESSURE AND COLD TREATMENT OR BY BRINGING THEM INTO THE SUPERCRITICAL STATE
- F25J3/00—Processes or apparatus for separating the constituents of gaseous or liquefied gaseous mixtures involving the use of liquefaction or solidification
- F25J3/02—Processes or apparatus for separating the constituents of gaseous or liquefied gaseous mixtures involving the use of liquefaction or solidification by rectification, i.e. by continuous interchange of heat and material between a vapour stream and a liquid stream
- F25J3/04—Processes or apparatus for separating the constituents of gaseous or liquefied gaseous mixtures involving the use of liquefaction or solidification by rectification, i.e. by continuous interchange of heat and material between a vapour stream and a liquid stream for air
- F25J3/04521—Coupling of the air fractionation unit to an air gas-consuming unit, so-called integrated processes
- F25J3/04527—Integration with an oxygen consuming unit, e.g. glass facility, waste incineration or oxygen based processes in general
- F25J3/04539—Integration with an oxygen consuming unit, e.g. glass facility, waste incineration or oxygen based processes in general for the H2/CO synthesis by partial oxidation or oxygen consuming reforming processes of fuels
-
- F—MECHANICAL ENGINEERING; LIGHTING; HEATING; WEAPONS; BLASTING
- F25—REFRIGERATION OR COOLING; COMBINED HEATING AND REFRIGERATION SYSTEMS; HEAT PUMP SYSTEMS; MANUFACTURE OR STORAGE OF ICE; LIQUEFACTION SOLIDIFICATION OF GASES
- F25J—LIQUEFACTION, SOLIDIFICATION OR SEPARATION OF GASES OR GASEOUS OR LIQUEFIED GASEOUS MIXTURES BY PRESSURE AND COLD TREATMENT OR BY BRINGING THEM INTO THE SUPERCRITICAL STATE
- F25J3/00—Processes or apparatus for separating the constituents of gaseous or liquefied gaseous mixtures involving the use of liquefaction or solidification
- F25J3/02—Processes or apparatus for separating the constituents of gaseous or liquefied gaseous mixtures involving the use of liquefaction or solidification by rectification, i.e. by continuous interchange of heat and material between a vapour stream and a liquid stream
- F25J3/04—Processes or apparatus for separating the constituents of gaseous or liquefied gaseous mixtures involving the use of liquefaction or solidification by rectification, i.e. by continuous interchange of heat and material between a vapour stream and a liquid stream for air
- F25J3/04521—Coupling of the air fractionation unit to an air gas-consuming unit, so-called integrated processes
- F25J3/04563—Integration with a nitrogen consuming unit, e.g. for purging, inerting, cooling or heating
- F25J3/04575—Integration with a nitrogen consuming unit, e.g. for purging, inerting, cooling or heating for a gas expansion plant, e.g. dilution of the combustion gas in a gas turbine
- F25J3/04581—Hot gas expansion of indirect heated nitrogen
-
- F—MECHANICAL ENGINEERING; LIGHTING; HEATING; WEAPONS; BLASTING
- F25—REFRIGERATION OR COOLING; COMBINED HEATING AND REFRIGERATION SYSTEMS; HEAT PUMP SYSTEMS; MANUFACTURE OR STORAGE OF ICE; LIQUEFACTION SOLIDIFICATION OF GASES
- F25J—LIQUEFACTION, SOLIDIFICATION OR SEPARATION OF GASES OR GASEOUS OR LIQUEFIED GASEOUS MIXTURES BY PRESSURE AND COLD TREATMENT OR BY BRINGING THEM INTO THE SUPERCRITICAL STATE
- F25J3/00—Processes or apparatus for separating the constituents of gaseous or liquefied gaseous mixtures involving the use of liquefaction or solidification
- F25J3/02—Processes or apparatus for separating the constituents of gaseous or liquefied gaseous mixtures involving the use of liquefaction or solidification by rectification, i.e. by continuous interchange of heat and material between a vapour stream and a liquid stream
- F25J3/04—Processes or apparatus for separating the constituents of gaseous or liquefied gaseous mixtures involving the use of liquefaction or solidification by rectification, i.e. by continuous interchange of heat and material between a vapour stream and a liquid stream for air
- F25J3/04521—Coupling of the air fractionation unit to an air gas-consuming unit, so-called integrated processes
- F25J3/04593—The air gas consuming unit is also fed by an air stream
-
- F—MECHANICAL ENGINEERING; LIGHTING; HEATING; WEAPONS; BLASTING
- F25—REFRIGERATION OR COOLING; COMBINED HEATING AND REFRIGERATION SYSTEMS; HEAT PUMP SYSTEMS; MANUFACTURE OR STORAGE OF ICE; LIQUEFACTION SOLIDIFICATION OF GASES
- F25J—LIQUEFACTION, SOLIDIFICATION OR SEPARATION OF GASES OR GASEOUS OR LIQUEFIED GASEOUS MIXTURES BY PRESSURE AND COLD TREATMENT OR BY BRINGING THEM INTO THE SUPERCRITICAL STATE
- F25J3/00—Processes or apparatus for separating the constituents of gaseous or liquefied gaseous mixtures involving the use of liquefaction or solidification
- F25J3/02—Processes or apparatus for separating the constituents of gaseous or liquefied gaseous mixtures involving the use of liquefaction or solidification by rectification, i.e. by continuous interchange of heat and material between a vapour stream and a liquid stream
- F25J3/04—Processes or apparatus for separating the constituents of gaseous or liquefied gaseous mixtures involving the use of liquefaction or solidification by rectification, i.e. by continuous interchange of heat and material between a vapour stream and a liquid stream for air
- F25J3/04521—Coupling of the air fractionation unit to an air gas-consuming unit, so-called integrated processes
- F25J3/04593—The air gas consuming unit is also fed by an air stream
- F25J3/046—Completely integrated air feed compression, i.e. common MAC
-
- F—MECHANICAL ENGINEERING; LIGHTING; HEATING; WEAPONS; BLASTING
- F25—REFRIGERATION OR COOLING; COMBINED HEATING AND REFRIGERATION SYSTEMS; HEAT PUMP SYSTEMS; MANUFACTURE OR STORAGE OF ICE; LIQUEFACTION SOLIDIFICATION OF GASES
- F25J—LIQUEFACTION, SOLIDIFICATION OR SEPARATION OF GASES OR GASEOUS OR LIQUEFIED GASEOUS MIXTURES BY PRESSURE AND COLD TREATMENT OR BY BRINGING THEM INTO THE SUPERCRITICAL STATE
- F25J3/00—Processes or apparatus for separating the constituents of gaseous or liquefied gaseous mixtures involving the use of liquefaction or solidification
- F25J3/02—Processes or apparatus for separating the constituents of gaseous or liquefied gaseous mixtures involving the use of liquefaction or solidification by rectification, i.e. by continuous interchange of heat and material between a vapour stream and a liquid stream
- F25J3/04—Processes or apparatus for separating the constituents of gaseous or liquefied gaseous mixtures involving the use of liquefaction or solidification by rectification, i.e. by continuous interchange of heat and material between a vapour stream and a liquid stream for air
- F25J3/04521—Coupling of the air fractionation unit to an air gas-consuming unit, so-called integrated processes
- F25J3/04612—Heat exchange integration with process streams, e.g. from the air gas consuming unit
-
- F—MECHANICAL ENGINEERING; LIGHTING; HEATING; WEAPONS; BLASTING
- F25—REFRIGERATION OR COOLING; COMBINED HEATING AND REFRIGERATION SYSTEMS; HEAT PUMP SYSTEMS; MANUFACTURE OR STORAGE OF ICE; LIQUEFACTION SOLIDIFICATION OF GASES
- F25J—LIQUEFACTION, SOLIDIFICATION OR SEPARATION OF GASES OR GASEOUS OR LIQUEFIED GASEOUS MIXTURES BY PRESSURE AND COLD TREATMENT OR BY BRINGING THEM INTO THE SUPERCRITICAL STATE
- F25J3/00—Processes or apparatus for separating the constituents of gaseous or liquefied gaseous mixtures involving the use of liquefaction or solidification
- F25J3/02—Processes or apparatus for separating the constituents of gaseous or liquefied gaseous mixtures involving the use of liquefaction or solidification by rectification, i.e. by continuous interchange of heat and material between a vapour stream and a liquid stream
- F25J3/04—Processes or apparatus for separating the constituents of gaseous or liquefied gaseous mixtures involving the use of liquefaction or solidification by rectification, i.e. by continuous interchange of heat and material between a vapour stream and a liquid stream for air
- F25J3/04521—Coupling of the air fractionation unit to an air gas-consuming unit, so-called integrated processes
- F25J3/04612—Heat exchange integration with process streams, e.g. from the air gas consuming unit
- F25J3/04618—Heat exchange integration with process streams, e.g. from the air gas consuming unit for cooling an air stream fed to the air fractionation unit
-
- F—MECHANICAL ENGINEERING; LIGHTING; HEATING; WEAPONS; BLASTING
- F25—REFRIGERATION OR COOLING; COMBINED HEATING AND REFRIGERATION SYSTEMS; HEAT PUMP SYSTEMS; MANUFACTURE OR STORAGE OF ICE; LIQUEFACTION SOLIDIFICATION OF GASES
- F25J—LIQUEFACTION, SOLIDIFICATION OR SEPARATION OF GASES OR GASEOUS OR LIQUEFIED GASEOUS MIXTURES BY PRESSURE AND COLD TREATMENT OR BY BRINGING THEM INTO THE SUPERCRITICAL STATE
- F25J2215/00—Processes characterised by the type or other details of the product stream
- F25J2215/02—Mixing or blending of fluids to yield a certain product
-
- F—MECHANICAL ENGINEERING; LIGHTING; HEATING; WEAPONS; BLASTING
- F25—REFRIGERATION OR COOLING; COMBINED HEATING AND REFRIGERATION SYSTEMS; HEAT PUMP SYSTEMS; MANUFACTURE OR STORAGE OF ICE; LIQUEFACTION SOLIDIFICATION OF GASES
- F25J—LIQUEFACTION, SOLIDIFICATION OR SEPARATION OF GASES OR GASEOUS OR LIQUEFIED GASEOUS MIXTURES BY PRESSURE AND COLD TREATMENT OR BY BRINGING THEM INTO THE SUPERCRITICAL STATE
- F25J2230/00—Processes or apparatus involving steps for increasing the pressure of gaseous process streams
- F25J2230/06—Adiabatic compressor, i.e. without interstage cooling
-
- F—MECHANICAL ENGINEERING; LIGHTING; HEATING; WEAPONS; BLASTING
- F25—REFRIGERATION OR COOLING; COMBINED HEATING AND REFRIGERATION SYSTEMS; HEAT PUMP SYSTEMS; MANUFACTURE OR STORAGE OF ICE; LIQUEFACTION SOLIDIFICATION OF GASES
- F25J—LIQUEFACTION, SOLIDIFICATION OR SEPARATION OF GASES OR GASEOUS OR LIQUEFIED GASEOUS MIXTURES BY PRESSURE AND COLD TREATMENT OR BY BRINGING THEM INTO THE SUPERCRITICAL STATE
- F25J2230/00—Processes or apparatus involving steps for increasing the pressure of gaseous process streams
- F25J2230/40—Processes or apparatus involving steps for increasing the pressure of gaseous process streams the fluid being air
-
- F—MECHANICAL ENGINEERING; LIGHTING; HEATING; WEAPONS; BLASTING
- F25—REFRIGERATION OR COOLING; COMBINED HEATING AND REFRIGERATION SYSTEMS; HEAT PUMP SYSTEMS; MANUFACTURE OR STORAGE OF ICE; LIQUEFACTION SOLIDIFICATION OF GASES
- F25J—LIQUEFACTION, SOLIDIFICATION OR SEPARATION OF GASES OR GASEOUS OR LIQUEFIED GASEOUS MIXTURES BY PRESSURE AND COLD TREATMENT OR BY BRINGING THEM INTO THE SUPERCRITICAL STATE
- F25J2240/00—Processes or apparatus involving steps for expanding of process streams
- F25J2240/02—Expansion of a process fluid in a work-extracting turbine (i.e. isentropic expansion), e.g. of the feed stream
- F25J2240/10—Expansion of a process fluid in a work-extracting turbine (i.e. isentropic expansion), e.g. of the feed stream the fluid being air
-
- F—MECHANICAL ENGINEERING; LIGHTING; HEATING; WEAPONS; BLASTING
- F25—REFRIGERATION OR COOLING; COMBINED HEATING AND REFRIGERATION SYSTEMS; HEAT PUMP SYSTEMS; MANUFACTURE OR STORAGE OF ICE; LIQUEFACTION SOLIDIFICATION OF GASES
- F25J—LIQUEFACTION, SOLIDIFICATION OR SEPARATION OF GASES OR GASEOUS OR LIQUEFIED GASEOUS MIXTURES BY PRESSURE AND COLD TREATMENT OR BY BRINGING THEM INTO THE SUPERCRITICAL STATE
- F25J2245/00—Processes or apparatus involving steps for recycling of process streams
- F25J2245/40—Processes or apparatus involving steps for recycling of process streams the recycled stream being air
-
- F—MECHANICAL ENGINEERING; LIGHTING; HEATING; WEAPONS; BLASTING
- F25—REFRIGERATION OR COOLING; COMBINED HEATING AND REFRIGERATION SYSTEMS; HEAT PUMP SYSTEMS; MANUFACTURE OR STORAGE OF ICE; LIQUEFACTION SOLIDIFICATION OF GASES
- F25J—LIQUEFACTION, SOLIDIFICATION OR SEPARATION OF GASES OR GASEOUS OR LIQUEFIED GASEOUS MIXTURES BY PRESSURE AND COLD TREATMENT OR BY BRINGING THEM INTO THE SUPERCRITICAL STATE
- F25J2245/00—Processes or apparatus involving steps for recycling of process streams
- F25J2245/42—Processes or apparatus involving steps for recycling of process streams the recycled stream being nitrogen
-
- F—MECHANICAL ENGINEERING; LIGHTING; HEATING; WEAPONS; BLASTING
- F25—REFRIGERATION OR COOLING; COMBINED HEATING AND REFRIGERATION SYSTEMS; HEAT PUMP SYSTEMS; MANUFACTURE OR STORAGE OF ICE; LIQUEFACTION SOLIDIFICATION OF GASES
- F25J—LIQUEFACTION, SOLIDIFICATION OR SEPARATION OF GASES OR GASEOUS OR LIQUEFIED GASEOUS MIXTURES BY PRESSURE AND COLD TREATMENT OR BY BRINGING THEM INTO THE SUPERCRITICAL STATE
- F25J2290/00—Other details not covered by groups F25J2200/00 - F25J2280/00
- F25J2290/10—Mathematical formulae, modeling, plot or curves; Design methods
-
- Y—GENERAL TAGGING OF NEW TECHNOLOGICAL DEVELOPMENTS; GENERAL TAGGING OF CROSS-SECTIONAL TECHNOLOGIES SPANNING OVER SEVERAL SECTIONS OF THE IPC; TECHNICAL SUBJECTS COVERED BY FORMER USPC CROSS-REFERENCE ART COLLECTIONS [XRACs] AND DIGESTS
- Y10—TECHNICAL SUBJECTS COVERED BY FORMER USPC
- Y10S—TECHNICAL SUBJECTS COVERED BY FORMER USPC CROSS-REFERENCE ART COLLECTIONS [XRACs] AND DIGESTS
- Y10S62/00—Refrigeration
- Y10S62/915—Combustion
Landscapes
- Engineering & Computer Science (AREA)
- Mechanical Engineering (AREA)
- General Engineering & Computer Science (AREA)
- Physics & Mathematics (AREA)
- Thermal Sciences (AREA)
- Chemical & Material Sciences (AREA)
- Combustion & Propulsion (AREA)
- Separation By Low-Temperature Treatments (AREA)
- Engine Equipment That Uses Special Cycles (AREA)
Description
- Gasturbinensysteme stellen eine Kraft- bzw. Wellen- bzw. Kolben-Arbeit bzw. -Leistung durch die Expansion von heißen, unter Druck gesetzten Gasströmen, die direkt oder indirekt durch die Verbrennung von festen, flüssigen oder gasförmigen Brennstoffen erzeugt wurden, zur Verfügung. Ein Gasturbinensystem nutzt einen oder mehrere Luftkompressoren, die mechanisch mit einer oder mehreren Expansionsturbinen verbunden sind, um Wellen- bzw. Kraft-Arbeit für Beförderungsmittel, die Energieerzeugung, industrielle Verfahren und viele andere bekannte Anwendungen zur Verfügung zu stellen.
- Gasturbinensysteme nach dem Stand der Technik können als direkt befeuerte, indirekt befeuerte oder Kombinationssysteme klassifiziert werden. In einem direkt befeuerten Gasturbinensystem wird komprimierte Luft mit einem Brennstoff, typischerweise einem Gas oder einer leichten Kohlenwasserstoff-Flüssigkeit, verbrannt, wobei die heißen, unter Druck gesetzten Verbrennungsgase direkt in der Expansionsturbine expandieren. Aus dem heißen Abgas der Expansionsturbine kann zusätzliche Arbeit regeneriert werden, zum Beispiel durch Erzeugen von Dampf für die Expansion in einer Dampfturbine. Direkt befeuerte Gasturbinensysteme sind offene Systeme, in denen das Arbeitsfluid der Expansionsturbine (d.h. Verbrennungsprodukte) nach einer entsprechenden Rückgewinnung in die Atmosphäre ausgelassen wird.
- In einem indirekt befeuerten Gasturbinensystem wird ein Arbeitsfluid (typischerweise Luft) im Gasturbinenkompressor komprimiert, durch indirekten Wärmeaustausch mit einem heißem, externen Gasstrom (den man typischerweise durch die Verbrennung von festen, flüssigen oder gasförmigen Brennstoff erhalten hat) erwärmt, so dass sich heiße, unter Druck gesetzte Luft ergibt, und in der Expansionsturbine expandiert, um Kraft-Arbeit zu erzeugen. Der Abdampf der Expansionsturbine kann verwendet werden, um die Verbrennungsluft vorzuwärmen, oder kann direkt in den Verbrennungsschritt eingeführt werden. Indirekt befeuerte Gasturbinen können in einem geschlossenen Zyklus betrieben werden, wobei ein zurückgeführtes, gasförmiges Arbeitsfluid mittels eines vollständig integrierten Kompressors und einer Expansionsturbine komprimiert, erwärmt, expandiert und gekühlt wird.
- Im Stand der Technik sind kombinierte Gasturbinensysteme bekannt, in denen eine direkt befeuerte Gasturbine mit einer indirekt befeuerten Gasturbine integriert wird. In solchen Systemen kann die indirekt befeuerte Gasturbine ein teilweise geschlossenes System sein, in dem ein Hauptteil des Abdampfs der indirekt befeuerten Turbine gekühlt und zum Kompressor zurückgeführt wird.
- Die oben zusammengefassten Typen von Gasturbinensystemen werden ausführlich in Standard-Lehrbüchern wie The Mechanical Engineer's Handbook, herausgegeben von M. Kurtz, John Wiley & Sons, Inc, 1986, Kapitel 72, Seiten 1984 – 2009 und Marks' Standard Handbook for Mechanical Engineers, herausgegeben von E. A. Avallone und T. Baumeister III, McGraw-Hill Book Co., New York, neunte Ausgabe (1987), Seiten 9-118 bis 9-123 beschrieben.
- Die Zerlegung von Luft in ihre Bestandteile wird durch das Komprimieren der Luft, das Vorbehandeln der komprimierten Luft, wenn es notwendig ist, um bestimmte Verunreinigungen zu beseitigen, und das Zerlegen der gereinigten, komprimierten Luft durch bekannte Verfahren der kryogenen bzw. Tieftemperatur-Destillation, Druckwechseladsorption, durchdringbare polymere Membranen oder mit Keramik gemischte Leitermembranen für hohe Temperaturen durchgeführt. Die Energie zum Verdichten der Luft kann durch elektrische Motoren, Gas- oder Dampfturbinen oder Kombinationen von elektrischen Motoren und Gas- oder Dampfturbinenantriebsmitteln zur Verfügung gestellt werden. Die Auswahl des Kompressor-Antriebsmittels wird durch zahlreiche Entwurfsfaktoren wie der Art des Luftzerlegungsverfahrens, der Größe der Verfahrensanlage, dem Ort, den Kosten der Elektrizität, der Verfügbarkeit von Brennstoff und der Möglichkeit für die Integration des Luftzerlegungsverfahrens mit dem Kompressor-Antriebsmittel diktiert. Zusätzlich kann das Luftzerlegungssystem und das Kompressor- Antriebsmittel mit einem Verfahren integriert werden, das das (die) Produkte) des Luftzerlegungsverfahrens nutzt.
- In einer Reihe von Luftzerlegungsverfahren ist eine Gasturbine das bevorzugte Kompressor- Antriebsmittel. Eines von diesen ist das integrierte, kombinierte Vergasungszyklus- (integrated gasification combined cycle – IGCC) Verfahren, in dem Kohle oder anderes kohlenstoffhaltiges Material mit Sauerstoff vergast wird, wobei das erzeugte Gas gereinigt wird, damit es ein schwefelarmes Brenngas ergibt. Dieses Brenngas wird in einer direkt befeuerten Gasturbine genutzt, die einen Generator antreibt, um elektrische Energie mit reduzierten Umwelt-Emissionen zu erzeugen. Der Sauerstoff wird durch Luftzerlegung mittels Tieftemperatur erzeugt, wobei einiges oder alles der komprimierten Lufteinzuführung durch den Gasturbinen-Kompressor zur Verfügung gestellt werden kann und das stickstoff-reiche Nebenprodukt-Gas aus dem Luftzerlegungssystem komprimiert und in die Verbrennungseinrichtung der Gasturbine eingeführt wird.
- Eine allgemeine Übersicht der gegenwärtigen Technik der IGCC-Energie-Erzeugungssysteme wird von T. M. Todd in einem Artikel mit dem Titel „Clean Coal Technologies for Gas Turbines" gegeben, der bei dem GE-Turbine State-of-the-Art Technology Seminar im Juli 1993 auf den Seiten 1 – 18 vorgestellt wurde. Eine Übersicht über verschiedene Integrationsverfahren und deren Einfluss auf die GCC Wirtschaftlichkeit wird in einem Vortrag von A. D. Rao et al mit dem Titel „Integration of Texaco TQ Gasification with Elevated Pressure ASU" gegeben, der auf der 13. EPRI-Conference on Gasification Power Plants, San Francisco, CA, vom 19. – 21. Oktober 1994 vorgestellt wurde. In einem Vortrag mit dem Titel „Improved IGCC Power Output and Economics Incorporating a Supplementary Gas Turbine", der auf der dreizehnten EPRI-Conference on Gasification Power Plants, San Francisco, CA, vom 19. – 21. Oktober 1994 vorgestellt wurde, prüfen A. R. Smith et al verschiedene Moden der Integration zwischen der Gasturbine und der Luftzerlegungseinheit in einem IGCC-Verfahren.
- Die Nutzung des stickstoff-reichen Nebenprodukt-Stroms durch Komprimierung und Einführung in die Verbrennungseinrichtung eines IGCC-Systems wird in den repräsentativen Druckschriften US-A-4 250 704; US-A-4 697 415; US-A-5 081 845; US-A-5 406 786 und US-A-5 740 673 beschrieben. Ein weiteres Verfahren der Nutzung des stickstoff-reichen Abfluss-Stroms in ein integriertes Luftzerlegungs-Gasturbinensystem wird in den Druckschriften US-A-3 731 495; US-A-4 019 314 und US-A-5 406 786 beschrieben, wobei dieser Strom optional erwärmt und direkt in die Gas-Expansionsturbine ohne vorherige Kompression eingeführt wird.
- Der Einsatz einer indirekt befeuerten Gasturbine mit einem Tieftemperatur-Luftzerlegungssystem ist in der GB-A-1 455 960 beschrieben. Eine Luftzerlegungseinheit wird mit einem Dampferzeugungssystem integriert, in dem ein stickstoff-reicher Abflussstrom durch indirekten Wärmeaustausch mit heißer, komprimierter Luft vom Hauptluftkompressor der Luftzerlegungseinheit erwärmt, wobei der stickstoff-reiche Strom in einem befeuerten Heizgerät weiter erwärmt wird und der letzte, heiße, stickstoff-reiche Strom in einer zugehörigen Stickstoff-Expansionsturbine arbeitsleistend expandiert wird. Die durch diese Expansionsturbine erzeugte Arbeit treibt den Hauptluftkompressor der Luftzerlegungseinheit an. Dieser Abdampf der Stickstoff-Expansionsturbine und die Verbrennungsgase vom befeuerten Heizgerät werden getrennt in einen befeuerten Dampferzeuger eingeführt, um Dampf hervorzurufen, von dem ein Teil in einer Dampfturbine expandieren kann, um den Hauptluftkompressor der Luftzerlegungseinheit anzutreiben. Vom Dampferzeuger wird gekühlter Stickstoff entnommen und kann woanders verwendet werden, wenn es gewünscht wird. Wahlweise werden die Verbrennungsgase von dem befeuerten Heizgerät in einer Turbine expandiert, die einen Kompressor antreibt, um einem getrennten, befeuerten Heizgerät Verbrennungsluft zur Verfügung zu stellen, die den stickstoff-reichen Strom vor der Expansion erwärmt. Nach einer weiteren Option werden der Abdampf der Stickstoff-Expansionsturbine und die Verbrennungsgase von dem befeuerten Heizgerät kombiniert und in den Vorwärmer und die Luftvorwärmabschnitte des befeuerten Dampferzeugers eingeführt.
- Ein IGCC-System für eine indirekt befeuerte Gasturbine wird in der US-A-4 785 621 beschrieben, wobei ein Brenngas vom Vergaser in eine direkt befeuerte Gasturbine eingeführt wird, die Energie erzeugt. Ein getrenntes, indirekt befeuertes Gasturbinensystem stellt entzogene Luft für das Luftzerlegungssystem zur Verfügung, wobei das Abgas von der direkt befeuerten Gas-Expansionsturbine die komprimierte Luft durch indirekten Wärmeaustausch erwärmt und die erwärmte, komprimierte Luft in der indirekt befeuerten Gas-Expansionsturbine expandiert wird. Der Sauerstoff von der Luftzerlegungseinheit wird ganz und gar im Vergaser genutzt. Vor den indirekten Erwärmungs- und Expansionsschritten wird stickstoff-reiches Abflussgas vom Luftzerlegungssystem mit komprimierter Luft vermischt. Der Abdampf von der indirekt befeuerten Gas-Expansionsturbine wird in die Atmosphäre abgelassen oder zur zusätzlichen Wärmerückgewinnung verwendet. Die Oberbegriffe der unabhängigen Ansprüche dieser Anmeldung basieren auf der US-A-4 785 621.
- Gasturbinen sind die bevorzugten Antriebsmittel in Verfahren, um Luft bei hohen Temperaturen in mit Keramik gemischten Leitermembransystemen zu zerlegen. Direkt befeuerte Gasturbinen für diese Anwendung werden in den Druckschriften US-A-4 545 787; US-A-5 516 359; US-A-5 562 754; US-A-5 565 017 und US-A-5 657 624 beschrieben. Eine direkt befeuerte Gasturbine wird in einem Luftzerlegungssystem mit mit Keramik gemischten Leitermembranen genutzt, das Sauerstoff an ein direktes Rückgewinnungsverfahren für die Reduktion von Eisen zur Verfügung stellt, wie in der US-A-5 643 354 beschrieben wird. Indirekt befeuerte Gasturbinen für diese Anmeldung werden in der US-A-5 035 727 und in einem Artikel mit dem Titel „Coproduction of Power, Steam, and Oxygen in Coal or Low Quality Fuel Combustion Systems" in Research Disclosure März 1995, Seiten 181 – 186 erläutert.
- Die Expansionsturbine einer direkt befeuerten Gasturbine erfordert im Allgemeinen weniger Wartung und hat im Betrieb eine geringere Betriebsverfügbarkeit als die Expansionsturbine einer indirekt befeuerten Gasturbine. Dies beruht darauf, dass weil das Treibgas in der direkt befeuerten Gasturbine Verbrennungsprodukte enthält, die Wasser, Kohlendioxid, Schwefelverbindungen und Ruß umfassen, wobei diese Nebenprodukte Verschmutzung, Erosion und Korrosion im Inneren der Expansionsturbine verursachen können, wodurch die Betriebsverfügbarkeit herabgesetzt wird. Das Treibgas in einer indirekt befeuerten Gasturbine andererseits enthält keine Verbrennungsprodukte, so dass die Expansionsturbine daher mit verringerten Verschmutzungs-, Erosions- und Korrosionsproblemen arbeiten und eine höhere Betriebsverfügbarkeit haben wird. Dieser Vorteil einer indirekt befeuerten Gasturbine wird durch das Erfordern eines nicht rekuperativen Gas-Gas-Wärmeaustauschers für hohe Temperaturen ausgeglichen, um das Treibgas vor der Expansion zu erwärmen, was in einer direkt befeuerten Gasturbine nicht erforderlich ist. Die höhere Betriebsverfügbarkeit der indirekt befeuerten Gasturbine jedoch kann die Auswahl eines günstigen Antriebsmittels in bestimmten Anwendungen möglich machen.
- Die vorliegende Erfindung offenbart den Einsatz eines indirekt befeuerten Gasturbinensystems, um die Zuführung komprimierter Luft für ein Luftzerlegungssystem in Anwendungen zur Verfügung zu stellen, bei denen eine hohe Verfügbarkeit des Antriebsmittels erforderlich ist. Die Erfindung nutzt die Integration einer indirekt befeuerten Gasturbine mit einem Luftzerlegungssystem zur Erzeugung von Sauerstoff mit effizienter Nutzung des stickstoff-reichen Nebenprodukts.
- In seiner weitesten Ausführungsform stellt die vorliegende Erfindung ein Verfahren zur Erzeugung von Sauerstoff zur Verfügung, das umfasst:
- (i) Komprimieren von Luft, um einen ersten und einen zweiten, unter Druck gesetzten Luftstrom zur Verfügung zu stellen;
- (ii) Zerlegen des ersten, unter Druck gesetzten Luftstroms in einen sauerstoff-reichen Produkt-Strom und einen stickstoff-reichen Nebenprodukt-Strom;
- (iii) Erwärmen des stickstoff-reichen Nebenprodukt-Stroms und des zweiten, unter Druck gesetzten Luftstroms, um durch indirekten Wärmeaustausch mit einem oder einem jeweiligen, heißen Verfahrensstrom einen heißen, unter Druck gesetzten Gasstrom zur Verfügung zu stellen, um einen durch die Verbrennung eines Brennstoffs in einer Verbrennungseinrichtung erzeugten, heißen, unter Druck gesetzten Gasstrom zur Verfügung zu stellen;
- (iv) arbeitsleistendes Expandieren des heißen, unter Druck gesetzten Gasstroms, um eine Wellen- bzw. Kraft-Arbeit und einen Expander-Auslassstrom mit verringertem Druck zu erzeugen; und
- (v) Ausnutzen wenigstens eines Teils der Kraft-Arbeit, um Arbeit für die Luftkompression zur Verfügung zu stellen, dadurch gekennzeichnet, dass der Brennstoff mit dem Luft enthaltenden Expander-Auslassstrom mit verringertem Druck verbrannt wird, um den heißen Verfahrensstrom zur Verfügung zu stellen.
- Der erste und ein zweiter, unter Druck gesetzter Luftstrom können durch Komprimieren von Luft und dem Aufteilen des sich daraus ergebenden Luftstroms in den ersten und einen zweiten, unter Druck gesetzten Luftstrom zur Verfügung gestellt werden. Alternativ kann man die ersten und zweiten, unter Druck gesetzten Luftströme durch das Komprimieren von Luft in einem mehrstufigen Luftkompressor, die Entnahme der komprimierten Luft von einer letzten Stufe des Kompressors, um einen ersten, unter Druck gesetzten Luftstrom zur Verfügung zu stellen, und die Entnahme der komprimierten Luft von einer Zwischenstufe des Kompressors, um einen zweiten, unter Druck gesetzten Luftstrom zur Verfügung zu stellen, erhalten. Alternativ kann man die ersten und zweiten, unter Druck gesetzten Luftströme durch das Komprimieren von Luft in einem ersten Luftkompressor, um einen ersten, unter Druck gesetzten Luftstrom zur Verfügung zu stellen und das Komprimieren von Luft in einem zweiten Luftkompressor, um einen zweiten, unter Druck gesetzten Luftstrom zur Verfügung zu stellen, erhalten.
- Der sauerstoff-reiche Produkt-Strom kann genutzt werden, um ein kohlenstoffhaltiges Ausgangsmaterial zu vergasen, so dass ein Synthesegas erzeugt wird, das Wasserstoff und Kohlenmonoxid enthält, wobei ein Teil des Synthesegases wenigstens einen Teil des Brennstoffs für die Verbrennungseinrichtung zur Verfügung stellen kann.
- Die Zerlegung des ersten, unter Druck gesetzten Luftstroms in einen sauerstoffreichen Produkt-Strom und einen stickstoff-reichen Nebenprodukt-Strom kann durch Tieftemperatur-Destillation erreicht werden. Der stickstoff-reiche Nebenprodukt-Strom kann vor dem Kombinieren mit dem zweiten, unter Druck gesetzten Luftstrom komprimiert werden. Wahlweise kann ein Teil der in der arbeitsleistenden Expansion des heißen, unter Druck gesetzten Gasstroms entstandenen Kraft-Arbeit genutzt werden, um elektrische Energie zu erzeugen.
- Die Zerlegung des ersten, unter Druck gesetzten Luftstroms in einen sauerstoffreichen Produkt-Strom und einen stickstoff-reichen Nebenprodukt-Strom wird durch Tieftemperatur-Destillation erreicht, wobei der stickstoff-reiche Nebenprodukt-Strom vor dem Kombinieren mit dem zweiten, unter Druck gesetzten Luftstrom komprimiert werden kann. Ein Teil der Kraft-Arbeit kann genutzt werden, um elektrische Energie zu erzeugen. Als Brennstoff für die Verbrennungseinrichtung der Gasturbine können Erdgas oder andere Brennstoffe allein oder in Verbindung mit Synthesegas verwendet werden.
- Eine Gasturbine ist das bevorzugte Kompressor-Antriebsmittel für die Luftzerlegungseinheit eines integrierten, kombinierten Vergasungszyklus-(IGCC) Verfahrens, in dem Kohle oder anderes kohlenstoffhaltiges Material mit Sauerstoff vergast und das erzeugte Gas gereinigt wird, so dass sich ein schwefelarmes Brenngas ergibt. Dieses Brenngas wird in einer direkt befeuerten Gasturbine genutzt, die einen Generator antreibt, um elektrische Energie mit reduzierten Umweltemissionen zu erzeugen. Der Sauerstoff wird durch Luftzerlegung bei Tieftemperatur erzeugt, wobei etwas oder alles der zugeführten, komprimierten Luft durch den Kompressor der Gasturbine zur Verfügung gestellt und das stickstoff-reiche Abgas vom Luftzerlegungssystem komprimiert und in die Verbrennungseinrichtung der Gasturbine eingeführt werden.
- In den letzten Jahren sind Gasturbinen sehr energieeffizient geworden und sie nähern sich 60% für kombinierte Zyklen, die Ergas verbrennen. Dies wurde durch die Verwendung von hervorragenden Materialien und Beschichtungen erreicht, die höhere Heiztemperaturen, engere Fertigungstoleranzen, bessere Ausführungen von Inline-Brennern, gestufte Verbrennung und große Rahmen- bzw. Gestellturbinen, die speziell für die Energieerzeugung ausgelegt sind, zulassen. Diese Verbesserungen der Energieeffizienz können jedoch von abnehmenden Ausgangsleistungen bei bestimmten Bedingungen und von erhöhter Wartungsfrequenz begleitet sein, die die Verfügbarkeit der Gasturbine für den angeschlossenen Betrieb reduziert. Höhere Arbeitstemperaturen der Turbine steigern die Möglichkeit für Verschmutzung, wobei dieses Problem mit den engeren Toleranzen in einer neuen, hocheffizienten Anlage verbunden ist.
- Die Verbrennungseinrichtung in einer direkt befeuerten Gasturbine ist weniger flexibel als die Verbrennungseinrichtung in einer indirekt befeuerten Gasturbine und kann häufigen Umgestaltungen und Reparaturen vor Ort unterworfen sein. Angestiegene Verunreinigungspegel im Brennstoff können eine übermäßige Verschmutzung in der Verbrennungseinrichtung und in der Expansionsturbine verursachen. Eine Verschlechterung, die Reparaturen und die Überholung der Strecke des heißen Gases in der Einrichtung (d. h. der Verbrennungseinrichtung und der Expansionsturbine) erfordert, wird als „nicht regenerierbar" bezeichnet und kann die Fähigkeit einer Anlage, langfristige Vertragsverpflichtungen zu erfüllen, ernsthaft gefährden. Die übliche Praxis, Dampf oder Wasser in die Verbrennungseinrichtung einzuführen, um die Emission von Stickstoffoxiden zu reduzieren und die Ausgangsleistung der Turbine zu erhöhen, reduziert auch die Arbeitsdauer der Komponenten am heißen Ende.
- Es gibt einen Bedarf in der Industrie, die Verfügbarkeit zu verbessern und die Verschlechterung von Gasturbinensystemen zu verhindern, die mit Luftzerlegungseinheiten integriert sind, während viele der neuen vorteilhaften Designmerkmale der Gasturbine aufrechterhalten werden. Es ist die Aufgabe der vorliegenden Erfindung, die Verfügbarkeit und Zuverlässigkeit eines Gasturbinenantriebs für eine Luftzerlegungseinheit zu verbessern, während die Kosten zur Herstellung von Sauerstoff durch eine neuartige Integration der Gasturbine und der Luftzerlegungseinheit reduziert werden.
- Die vorliegende Erfindung stellt außerdem eine Vorrichtung zur Erzeugung von Sauerstoff zur Verfügung, die die Merkmale von Anspruch 17 umfasst.
- Das Folgende ist eine Beschreibung, die nur beispielhaft und mit Bezug auf die begleitenden Zeichnungen der gegenwärtig bevorzugten Ausführungsbeispiele der Erfindung ist.
- In den Zeichnungen:
-
1 ist ein schematisches Ablaufdiagramm eines ersten Ausführungsbeispiels des Verfahrens der vorliegenden Erfindung; -
2 ist ein schematisches Ablaufdiagramm eines zweiten Ausführungsbeispiels der vorliegenden Erfindung; -
3 ist ein schematisches Ablaufdiagramm eines dritten Ausführungsbeispiels der vorliegenden Erfindung; -
4 ist ein schematisches Ablaufdiagramm eines vierten Ausführungsbeispiels der vorliegenden Erfindung; -
5 ist eine grafische Darstellung der Wärmerate über der Turbinen-Einlass-Temperatur für das erste Ausführungsbeispiel der vorliegenden Erfindung; -
6 ist eine grafische Darstellung der Wärmerate über der Turbinen-Einlass-Temperatur für das zweite Ausführungsbeispiel der vorliegenden Erfindung; und -
7 ist eine grafische Darstellung des Sauerstoffgehalts im Gas von der Verbrennungseinrichtung über der Turbinen-Einlass-Temperatur für das erste und zweite Ausführungsbeispiel der vorliegenden Erfindung. - Ein erstes Ausführungsbeispiel der vorliegenden Erfindung ist in
1 veranschaulicht, das die Integration eines Gasturbinenantriebs mit einer Luftzerlegungseinheit (ASU für Air Separation Unit) bei erhöhtem Druck zeigt. Die Umgebungsluft in Leitung1 wird in einem mehrstufigen Luftkompressor3 komprimiert, um Luft mit erhöhtem Druck in Leitung5 bei 140 bis 490 psia (965 – 3375 kPa) von der letzten Kompressorstufe und Luft mit einem mittleren Druck in Leitung7 bei 40 bis 440 psia (275 – 3025 kPa) von einer Zwischenstufe des Kompressors zur Verfügung zu stellen. Kompressor3 kann eine adiabatische oder eine ladeluftgekühlte Maschine sein. Die Luft mit erhöhtem Druck in Leitung5 bei 150 bis 1200°F (65 – 650°C) wird in einem Wärmeaustauscher9 durch indirekten Wärmeaustausch mit dem stickstoff-reichen Nebenprodukt-Strom in Leitung11 (wird später definiert) gekühlt, so dass sich in Leitung13 ein gekühlter Luftzuführungsstrom bei erhöhtem Druck ergibt. Dieser Luftzuführungsstrom wird in ein Luftzerlegungssystem15 eingeführt, das die Luft in ein Sauerstoff-Produkt in Leitung17 mit 80 bis 99,8 Vol.-% Sauerstoff und ein Stickstoff-Nebenprodukt in Leitung11 mit weniger als 4 Vol.-% Sauerstoff bei einem Druck im Bereich von 40 bis 440 psia (275 – 3025 kPa) zerlegt. Das Stickstoff-Nebenprodukt in Leitung11 wird im Wärmeaustauscher9 erwärmt, wie zuvor beschrieben wurde, um ein erwärmtes Stickstoff-Nebenprodukt in Leitung18 zur Verfügung zu stellen, das mit Luft bei mittleren Druck von Leitung7 kombiniert wird, so dass sich ein kombinierter Gasstrom in Leitung19 ergibt. Typischerweise liegt das molare Strömungsverhältnis des Stickstoff-Nebenprodukts in Leitung18 zur Luft bei einem mittleren Druck von Leitung7 im Bereich von 1 bis 10. - Der kombinierte Gasstrom in Leitung
19 wird im Wärmeaustauscher21 durch indirekten Wärmeaustausch mit heißem Verbrennungsgas in Leitung23 (wird später definiert) erwärmt, so dass sich ein heißes, unter Druck stehendes Gas in Leitung25 bei 1150 bis 2600°F (620 bis 1425°C) und 40 bis 440 psia (275 – 3025 kPa) ergibt. Dieser heiße Gasstrom wird durch die Gas-Expansionsturbine27 arbeitsleistend expandiert, um eine Kraft-Arbeit zu erzeugen, die direkt genutzt wird, um den mechanisch verbundenen, mehrstufigen Luftkompressor3 anzutreiben. Wahlweise kann ein Teil dieser Kraft-Arbeit verwendet werden, um einen elektrischen Generator (nicht dargestellt) anzutreiben. Der Expander-Abdampf in Leitung29 , der sich in der Nähe des atmosphärischen Drucks befindet und typischerweise weniger als 15 Vol.-Sauerstoff enthält, wird, wenn notwendig, über Leitung31 mit Luft kombiniert, wobei das Sauerstoffgas in Leitung33 mit Brennstoff von Leitung35 in der Verbrennungseinrichtung37 verbrannt wird, so dass sich ein heißer Verbrennungsgasstrom in Leitung23 ergibt, der den kombinierten Gasstrom in Leitung19 erwärmt, wie zuvor beschrieben wurde. Gekühltes Endabgas in Leitung39 wird typischerweise in die Atmosphäre abgelassen. Der Brennstoff in Leitung35 kann ein beliebiger gasförmiger, flüssiger oder fester kohlenstoffhaltiger Brennstoff sein. - Das heiße, unter Druck gesetzte Gas in Leitung
25 , das das Treibfluid für die Gas-Expansionsturbine27 zur Verfügung stellt, enthält typischerweise ein Minimum von 85 Vol.-% Stickstoff, wobei der Rest Sauerstoff und Argon ist. Anders als das Treibfluid in einer direkten Verbrennungs-Gasturbine enthält der heiße, unter Druck gesetzte Gasstrom in Leitung25 keine Verbrennungsprodukte, wobei die Gas-Expansionsturbine27 nicht dem Kohlendioxid, Schwefeloxiden, Wasser und anderen Komponenten, die in solchen Verbrennungsprodukten vorhanden sind, ausgesetzt ist. Dies ist ein wichtiger Vorteil gegenüber den integrierten Gasturbinen-Luftzerlegungssystemen nach dem Stand der Technik, die direkt befeuerte Gasturbinen verwenden. - Das Sauerstoff-Produkt in Leitung
17 kann im Synthesegas-Generator41 genutzt werden, um Brennstoff in Leitung43 zu einem Synthesegas-Produkt in Leitung45 umzuwandeln, das Wasserstoff und Kohlenmonoxid enthält. Der Brennstoff in Leitung43 und der Brennstoff in Leitung35 können gleich sein, zum Beispiel Erdgas, oder können unterschiedliche kohlenstoffhaltige Komponenten wie flüssige Kohlenwasserstoffe, Erdölrückstände, Koks oder Kohle sein. Auf Wunsch kann Synthesegas in Leitung45 für den Brennstoff in Leitung35 verwendet werden. - Das Luftzerlegungssystem
15 ist typischerweise ein Tieftemperatur-Luftzerlegungssystem einer beliebigen, nach dem Stand der Technik bekannten Art. Nach diesem Ausführungsbeispiel umfasst das Luftzerlegungssystem15 vorzugsweise ein Destillationssystem mit erhöhtem Druck, das in einem Bereich von 140 bis 490 psia (965 – 3375 kPa) arbeitet. Das Stickstoff-Nebenprodukt in Leitung11 erfordert typischerweise keine Komprimierung vor der Verbrennung mit dem unter Druck gesetzten Luftstrom in Leitung7 . Alternativ kann das Luftzerlegungssystem15 ein Druckwechseladsorptionsverfahren (PSA) oder ein mit Keramik vermischtes Leitungsmembran-Verfahren in Verbindung mit einem oben beschriebenen, indirekt befeuerten Gasturbinensystem nutzen. Nach solchen Ausführungsbeispielen wären ein alternativer Wärmeaustausch und Wärmeintegrationsschritte notwendig, da PSA-Verfahren in der Nähe der Umgebungstemperaturen und mit Keramik vermischte Leitungsmembran-Verfahren bei erhöhten Temperaturen arbeiten. Jedes dieser alternativen Ausführungsbeispiele jedoch würde eine indirekt befeuerte Gasturbine nutzen. - Ein alternatives Ausführungsbeispiel der Erfindung ist in
2 veranschaulicht, in dem die Zuführungsluft im Kompressor201 komprimiert wird, um unter Druck gesetzte Luft in Leitung203 zur Verfügung zu stellen, die in zwei separate Ströme in den Leitungn205 und207 aufgeteilt ist. Die unter Druck gesetzte Luft in Leitung205 wird durch einen indirekten Wärmeaustausch im Wärmeaustauscher9 gekühlt, so dass sich die gekühlte, unter Druck gesetzte Luft13 ergibt, wie zuvor beschrieben wurde. Das Luftzerlegungssystem209 arbeitet bei niedrigeren Drücken als das Luftzerlegungssystem15 von1 , wobei das Nebenprodukt Stickstoff in Leitung211 vor dem Erwärmen im Wärmeaustauscher9 im Stickstoff-Kompressor213 komprimiert wird. Die unter Druck gesetzte Luft in Leitung207 gelangt durch das Durchfluss-Steuerventil217 und wird mit dem erwärmten, unter Druck gesetzten Stickstoff-Nebenprodukt in Leitung219 kombiniert, um einen kombinierten Gasstrom in Leitung19 zur Verfügung zu stellen, der im Wärmeaustauscher21 erwärmt wird, wie zuvor beschrieben wurde. Die verbleibenden Merkmale des Ausführungsbeispiels von2 sind mit denen des Ausführungsbeispiels von1 identisch. - Ein weiteres Ausführungsbeispiel der Erfindung ist in
3 veranschaulicht. Nach diesem Ausführungsbeispiel wird die Luft301 im Kompressor303 komprimiert, um unter Druck gesetzte Luft in Leitung305 zur Verfügung zu stellen, die mit den Stickstoff-Nebenprodukt von Leitung18 kombiniert wird, so dass ein kombinierter Gasstrom in Leitung19 zur Verfügung gestellt wird, der im Wärmeaustauscher21 erwärmt wird, wie zuvor beschrieben wurde. Dieses Ausführungsbeispiel trennt die Kompressionsleistung des Kompressors3 , der dem Luftzerlegungssystem15 unter Druck gesetzte Luft zur Verfügung stellt, von der Kompressionsleistung des Kompressors301 , der die unter Druck gesetzte Luft in Leitung305 zur Verfügung stellt. Weitere Merkmale des Ausführungsbeispiels von3 sind mit denen des Ausführungsbeispiels von1 identisch. - Ein weiteres alternatives Ausführungsbeispiel der Erfindung ist in
4 veranschaulicht. Nach diesem Ausführungsbeispiel werden das Erwärmen und die Expansion des Stickstoff-Nebenprodukts in Leitung18 und der unter Druck gesetzten Luft in Leitung19 getrennt ausgeführt. Die beiden Ströme werden im Wärmeaustauscher401 durch indirekten Wärmeaustausch mit einem heißen Verbrennungsgasstrom in Leitung402 erwärmt, um einen heißen, unter Druck gesetzten Luftstrom in Leitung403 und einen heißen, unter Druck gesetzten Stickstoff-Nebenprodukt-Strom in Leitung405 zur Verfügung zu stellen. Auf Wunsch kann ein Teil der unter Druck gesetzten Luft in Leitung207 durch das Ventil400 eingeführt und mit dem Stickstoff-Nebenprodukt in Leitung18 kombiniert werden. Die heiße, unter Druck gesetzte Luft und die Stickstoff-Nebenprodukt-Ströme expandieren in den Gas-Expansionsturbinen407 bzw.409 . Der Expander-Abdampf in Leitung411 wird, wahlweise nach einer Kombination mit zusätzlicher, in Leitung31 zugeführter Luft, in Leitung413 in die Verbrennungseinrichtung415 eingeführt, um Brennstoff35 zu verbrennen, wodurch der heiße Verbrennungsgasstrom in Leitung402 entsteht. Das Ausführungsbeispiel von4 wird verwendet, wenn ein herkömmliches, luftgestütztes Verbrennungsverfahren in der Verbrennungseinrichtung415 bevorzugt wird. Der heiße Verbrennungsgasstrom in Leitung402 wird einen höheren Überschuss an Sauerstoff aufweisen als der heiße Verbrennungsgasstrom in Leitung23 der zuvor beschriebenen Ausführungsbeispiele. Weitere Merkmale des Ausführungsbeispiels von4 sind mit denen des Ausführungsbeispiels von1 identisch. - Das gemeinsame Element von allen Ausführungsbeispielen der Erfindung, wie sie oben beschrieben wurden, ist der Einsatz eines indirekt erwärmten Treibfluids in der Gas-Expansionsturbine, wobei das Treibfluid eine Kombination aus unter Druck gesetzter Luft vom Kompressor der Gasturbine und dem stickstoff-reichen Nebenprodukt-Gas von der Luftzerlegungseinheit ist. Das heiße Treibfluid enthält keine Verbrennungsprodukte, wobei damit die Gas-Expansionsturbine dem Kohlendoxid, Schwefeloxiden, Wasser und anderen Komponenten, die in solchen Verbrennungsprodukten vorhanden sind, nicht ausgesetzt ist. Dies ist ein wichtiger Vorteil der vorliegenden Erfindung gegenüber den integrierten Gasturbinen-Luftzerlegungssystemen nach dem Stand der Technik.
- Die Verfügbarkeit einer Verfahrenseinheit wird als der prozentuale Anteil an Zeit in einem vorgegebenen Zeitabschnitt definiert, während dem die Verfahrenseinheit betriebsbereit ist. Während dem verbleibenden prozentualen Anteil der Zeit ist die Verfahrenseinheit für die Wartung und für Reparaturen stillgelegt. Wenn zwei oder mehr Verfahrenseinheiten in einem Betriebsystem integriert sind, wird die gesamte Verfügbarkeit des Systems durch die niedrigste Verfügbarkeit der einzelnen Verfahrenseinheiten bestimmt. Es ist daher wünschenswert, das Leistungsverhalten der einzelnen Einheit mit der niedrigsten Verfügbarkeit zu verbessern, um die gesamte Verfügbarkeit des integrierten Betriebssystems zu verbessern.
- Die Verfügbarkeit einer typischen Tieftemperatur-Luftzerlegungseinheit, ausgenommen dem Kompressorsystem, ist größer als 99%. Die Verfügbarkeit einer Gasturbine ist im Allgemeinen niedriger als die einer Tieftemperatur-Luftzerlegungseinheit, und so wird die gesamte Verfügbarkeit eines integrierten Gasturbinen- / Luftzerlegungssystems durch die Verfügbarkeit des Gasturbinensystems diktiert. Eine indirekt befeuerte Gasturbine wird eine höhere Verfügbarkeit aufweisen als eine direkt befeuerte Gasturbine. Daher wird ein integriertes, indirekt befeuertes Gasturbinen- / Luftzerlegungssystem der vorliegenden Erfindung eine höhere Verfügbarkeit haben als integriertes, direkt befeuertes Gasturbinen- / Luftzerlegungssystem nach dem Stand der Technik. Es ist in bestimmten Arbeitssituationen wichtig, die Verfügbarkeit eines integrierten Gasturbinen- / Luftzerlegungssystems zu maximieren, zum Beispiel in Situationen, in denen die Ausfallzeit sehr teuer und die Wartung schwierig ist. In solchen Situationen wird der Einsatz einer indirekt befeuerten Gasturbine mit dem Luftzerlegungssystem, wie sie durch die vorliegende Erfindung beschrieben wurde, gegenüber dem Einsatz einer direkt befeuerten Gasturbine bevorzugt.
- Beispiel 1
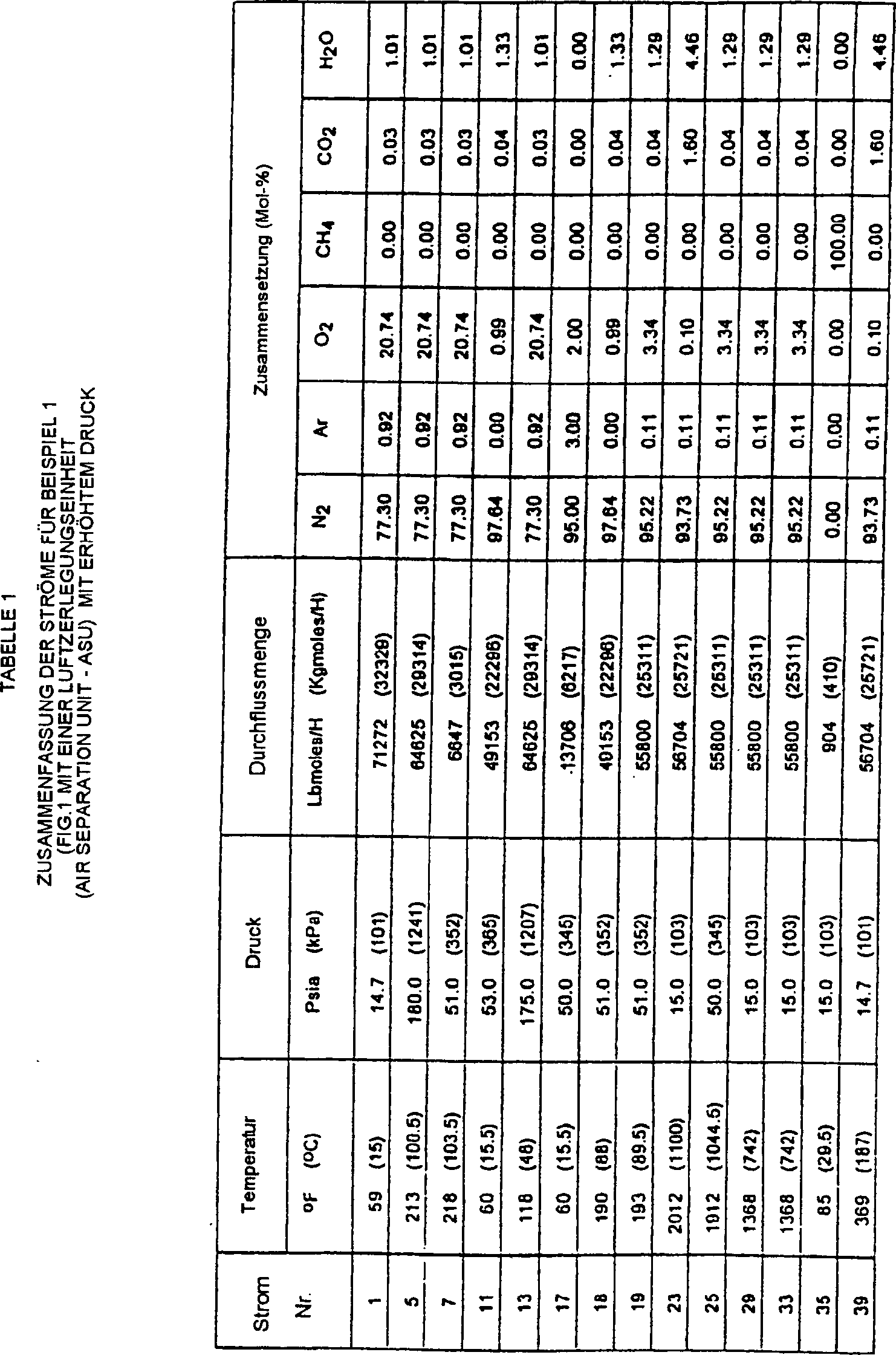
- Das Gleichgewicht von Wärme und Material wurde in einer Simulation des integrierten Gasturbinen- / Luftzerlegungssystems von
1 ausgeführt. Die Luftzerlegungseinheit ist ein Tieftemperatur-Destillationssystem mit Doppelsäule bei einem erhöhten Druck, wie sie in der Druckschrift US-A-5 081 845 beschrieben wurde, mit einer Sauerstoff-Produktionskapazität von 5000 amerikanischen Tonnen pro Tag (short tons per day – STPD) (4250 Tonnen pro Tag). Die Gasturbineneinheit hat eine Druckverteilung von 12,3 zu 1 mit einem Zwischenluftauszug bei einer Druckverteilung von 6,6 zu 1. Die Verbrennungseinrichtung37 wird mit Methan befeuert. Eine Zusammenfassung der Simulation wird in Tabelle 1 für eine Einlasstemperatur der Expansionsturbine von 1912°F (1044°C) vorgestellt. - Beispiel 2
- Die Simulation von Beispiel 1 wurde mittels eines Tieftemperatur-Destillationssystems mit Doppelsäule wiederholt, das auf einem Verfahren basiert, wie es in der Druckschrift US-A-5 081 845 beschrieben wurde, aber mit einem niedrigerem Luftzuführungsdruck arbeitet und eine Sauerstoff-Produktions-Kapazität von 5000 amerikanischen Tonnen pro Tag (STPD) (4250 Tonnen pro Tag) hat. Eine Zusammenfassung der Simulation wird in Tabelle 2 für eine Einlasstemperatur der Expansionsturbine von 2418°F (1326°C) vorgestellt.
- Beispiel 3
- Die Simulation von Beispiel 1 wurde für andere Einlass-Temperaturen der Expansionsturbine zwischen 1100°F (590°C) und 1900°F (1040°C) wiederholt. Die Wärmerate, die durch die Eingabe in die Gasturbinen-Verbrennungseinrichtung (BTU/h; Kj/h) geteilt durch die Gasturbinenausgabe am Schacht (KW) definiert wird, wurde für die vorliegende Erfindung bei verschiedenen Einlasstemperaturen der Expansionsturbine bestimmt. Die Wärmerate ist ein Maß der Systemeffizienz beim Umwandeln von Wärmeenergie in mechanische Energie mit den Einheiten von BTU / KWH (KJ / KWH), wobei eine niedrige Wärmerate einer höheren Systemeffizienz entspricht. Für den Vergleich mit der vorliegenden Erfindung wurden Wärmeraten eines üblichen, direkt befeuerten Gasturbinensystems (GE 7FA), sowohl für einen einfachen Zyklus (ohne ein Dampferzeugungssystem zur Wärmerückgewinnung und einer Dampfturbine) als auch einen kombinierten Zyklus (mit einem Dampferzeugungssystem zur Wärmerückgewinnung und einer Dampfturbine) ermittelt.
- In
5 wird eine grafische Darstellung der Wärmerate gegen die Turbinen-Einlasstemperatur für die oben genannten Angaben vorgestellt. Wenn für die vorliegende Erfindung die Einlasstemperatur reduziert wird, nimmt die Wärmerate zu, wobei die Systemeffizienz abnimmt. Niedrigere Turbinen-Einlasstemperaturen werden von weniger schweren Betriebsbedingungen für den Wärmeaustauscher21 von1 begleitet. Bei Temperaturen über 1500°F (815°C) sind typischerweise Komponenten des Wärmeaustauschers aus Keramik oder einer speziellen Metalllegierung erforderlich, wogegen bei niedrigeren Temperaturen herkömmlichere Materialien oder Ausführungen der Wärmeaustauscher verwendet werden können. Die in5 grafisch dargestellten Angaben zeigen, dass sich das System der vorliegenden Erfindung bei der Wärmerate vorteilhaft mit dem herkömmlichen, direkt befeuerten GE 7FA-System mit kombiniertem Zyklus vergleichen lässt. Während der Zyklus der vorliegenden Erfindung einen Wärmeaustauscher mit kostspieliger Keramik oder einer Metalllegierung zum Erwärmen des Turbinen-Einlassgases auf über 1500°F (815°C) erfordern würde, wären der Dampferzeuger zur Wärmerückgewinnung und eine Dampfturbine des direkt befeuerten, kombinierten Zyklus-Systems nicht erforderlich. Bei niedrigen Turbinen-Einlasstemperaturen lässt sich die vorliegende Erfindung vorteilhaft bei der Wärmerate mit dem direkt befeuerten GE 7FA-System mit einfachem Zyklus (kein Dampfzyklus) vergleichen. In allen Fällen würde die Verfügbarkeit des Systems der vorliegenden Erfindung höher sein als die des herkömmlichen, direkt befeuerten Systems. - Beispiel 4
- Der Vergleich von Beispiel 3 wird mittels des Luftzerlegungszyklus bei niedrigem Druck von Beispiel 2 wiederholt, wobei die Ergebnisse in
6 vorgestellt werden. Die grafische Darstellung der Wärmerate gegen die Einlasstemperatur zeigt in diesem Fall ein etwa weniger effizientes System als das von Beispiel 3, aber die Schlussfolgerungen und Vergleiche der vorliegenden Erfindung mit dem herkömmlichen, direkt befeuerten Gasturbinensystem sind die gleichen. - Beispiel 5
- Die Simulationen der Beispiele
1 und2 wurden verwendet, um7 vorzubereiten, die eine grafische Darstellung des Sauerstoff-Gehalts des heißen Verbrennungsgases von der Verbrennungseinrichtung37 (Strom23 ) gegen die Einlasstemperatur der Expansionsturbine (Strom25 ) darstellt. Ein minimaler Sauerstoff-Gehalt im Auslass der Verbrennungseinrichtung von etwa 2 Vol.-% ist erforderlich, um eine vollständige Verbrennung des Brennstoffs in der Verbrennungseinrichtung zu gewährleisten. Bei geringeren Sauerstoff-Konzentrationen wäre eine katalytische Verbrennung in der Verbrennungseinrichtung37 erforderlich. Der Luftzerlegungszyklus bei erhöhtem Druck von Beispiel 1 kann mit Turbinen-Einlasstemperaturen bis zu 1800°F (980°C) ohne die Notwendigkeit einer katalytischen Verbrennung genutzt werden. Der Luftzerlegungszyklus bei niedrigem Druck von Beispiel 2 kann mit Turbinen-Einlasstemperaturen bis zu 2600°F (1425°C) ohne die Notwendigkeit einer katalytischen Verbrennung genutzt werden.7 ist für Entwurfszwecke nützlich, wenn die Turbinen-Einlasstemperatur ausgewählt wird. - Damit verwendet die vorliegende Erfindung ein indirekt befeuertes Gasturbinensystem, um eine komprimierte Luftzuführung für ein Luftzerlegungssystem in Anwendungen zur Verfügung zu stellen, in denen eine hohe Verfügbarkeit der Antriebsmittel erforderlich ist. Die Erfindung integriert eine indirekt befeuerte Gasturbine mit dem Luftzerlegungssystem für die Erzeugung von Sauerstoff mit einer effizienten Nutzung des stickstoff-reichen Nebenprodukts als ein Teil des Treibgases für die indirekt erwärmte Gasturbine.
- Die vorliegende Erfindung verbessert die Verfügbarkeit und die Zuverlässigkeit von Gasturbinen-Antriebsmitteln für Luftzerlegungssysteme und ist besonders an Orten nützlich, wo ein elektrisches Antriebsmittel für das Luftzerlegungssystem nicht möglich ist. An solchen Orten, die von industriell entwickelten Gebieten entfernt sein können und in denen ein zuverlässiges Elektro-Energienetz fehlt, ist diese hohe Verfügbarkeit des integrierten Gasturbinen- / Luftzerlegungssystems besonders wichtig. Die Erfindung ist auch für sehr große Luftzerlegungssysteme nützlich, für die eigenständige, elektrische Motoren und Luftkompressoren nicht verfügbar sind.
Claims (20)
- Verfahren für die Herstellung von Sauerstoff, das umfasst: (i) Komprimieren von Luft, um einen ersten und einen zweiten, unter Druck gesetzten Luftstrom zur Verfügung zu stellen; (ii) Zerlegen des ersten, unter Druck gesetzten Luftstroms in einen sauerstoff-reichen Produkt-Strom und einen stickstoff-reichen Nebenprodukt-Strom; (iii) Erwärmen des stickstoff-reichen Nebenprodukt-Stroms und des zweiten, unter Druck gesetzten Luftstroms durch indirekten Wärmeaustausch mit einem heißen Verfahrensstrom, der durch Verbrennen eines Brennstoffs in einer Verbrennungseinrichtung erzeugt wird, um einen heißen, unter Druck gesetzten Gas-Strom zur Verfügung zu stellen; (iv) arbeitsleistendes Expandieren des heißen, unter Druck gesetzten Gas-Stroms, um Kraft- bzw. Wellen- bzw. Kolben-Arbeit bzw. -Leistung und einen Expander-Auslassstrom mit verringertem Druck zu erzeugen; (v) Ausnutzen wenigstens eines Teils der Kraft-Arbeit, um Arbeit für die Luftkompression (i) zur Verfügung zu stellen, dadurch gekennzeichnet, dass der Brennstoff mit dem Luft enthaltendem Expander-Auslassstrom mit verringertem Druck verbrannt wird, um den heißen Verfahrensstrom zur Verfügung zu stellen.
- Verfahren nach Anspruch 1, wobei der stickstoff-reiche Nebenprodukt-Strom mit dem zweiten, unter Druck gesetztem Luftstrom vor dem indirekten Wärmeaustausch (iii) kombiniert wird.
- Verfahren nach Anspruch 2, wobei der stickstoff-reiche Nebenprodukt-Strom vor dem Kombinieren mit dem zweiten, unter Druck gesetztem Luftstrom komprimiert wird.
- Verfahren nach Anspruch 1, wobei der stickstoff-reiche Nebenprodukt-Strom und der zweite, unter Druck gesetzte Luftstrom getrennt einem indirekten Wärmeaustausch (iii) unterworfen und die sich ergebenden heißen, unter Druck gesetzten Gasströme getrennt der arbeitsleistenden Expansion unterworfen werden.
- Verfahren nach Anspruch 4, wobei die Kraft-Arbeit, die Arbeit für die Luftkompression (i) zur Verfügung stellt, sowohl durch die Expansion des stickstoff-reichen Nebenprodukt-Stroms als auch durch die Expansion des zweiten, unter Druck gesetzten Luftstroms zur Verfügung gestellt wird.
- Verfahren nach Anspruch 4 oder Anspruch 5, wobei der getrennte, indirekte Wärmeaustausch des stickstoff-reichen Nebenprodukt-Stroms und des zweiten, unter Druck gesetzten Luftstroms durch gemeinsamen, indirekten Wärmeaustausch mit demselben heißen Verfahrensstrom erreicht wird.
- Verfahren nach einem der vorhergehenden Ansprüche, wobei der erste und der zweite, unter Druck gesetzte Luftstrom durch Komprimieren von Luft und Aufteilen des sich ergebenden, komprimierten Luftstroms in einen ersten und einen zweiten, unter Druck gesetzten Luftstrom zur Verfügung gestellt werden.
- Verfahren nach einem der Ansprüche 1 bis 6, wobei der erste und der zweite, unter Druck gesetzte Luftstrom durch Komprimieren von Luft in einem mehrstufigen Luftkompressor, Abziehen der komprimierten Luft aus einer letzten Stufe des Kompressors, um den ersten, unter Druck gesetzten Luftstrom zur Verfügung zu stellen, und Abziehen der komprimierten Luft aus einer Zwischenstufe des Kompressors erhalten werden, um den zweiten, unter Druck gesetzten Luftstrom zur Verfügung zu stellen.
- Verfahren nach einem der Ansprüche 1 bis 8, wobei der erste und der zweite, unter Druck gesetzte Luftstrom durch Komprimieren von Luft in einem ersten Luftkompressor, um den ersten, unter Druck gesetzten Luftstrom zur Verfügung zu stellen, und Komprimieren von Luft in einem zweiten Luftkompressor erhalten werden, um den zweiten, unter Druck gesetzten Luftstrom zur Verfügung zu stellen.
- Verfahren nach einem der vorhergehenden Ansprüche, wobei der erste, unter Druck gesetzte Luftstrom eine größere Durchflussmenge als der zweite, unter Druck gesetzte Luftstrom hat.
- Verfahren nach Anspruch 10, wobei das molare Strömungsverhältnis des stickstoff-reichen Nebenprodukt-Stroms zu dem zweiten, unter Druck gesetzten Luftstrom im Bereich von 1 bis 10 liegt.
- Verfahren nach einem der vorhergehenden Ansprüche, wobei dem Luft enthaltenden Expander-Ausgabestrom mit verringertem Druck vor der Verbrennungseinrichtung Luft zugesetzt wird.
- Verfahren nach einem der vorhergehenden Ansprüche, wobei der sauerstoff-reiche Produkt-Strom dazu verwendet, ein kohlenstoffhaltiges Ausgangsmaterial zu vergasen, um Synthesegas mit Wasserstoff und Kohlenmonoxid zu erzeugen.
- Verfahren nach Anspruch 13, wobei ein Teil des Synthesegases wenigstens einen Teil des Brennstoffes für die Verbrennungseinrichtung zur Verfügung stellt.
- Verfahren nach einem der vorhergehenden Ansprüche, wobei die Zerlegung des ersten, unter Druck gesetzten Luftstroms in einen sauerstoff-reichen Produkt-Strom und einen stickstoff-reichen Nebenprodukt-Strom durch Tieftemperatur-Destillation erreicht wird.
- Verfahren nach einem der vorhergehenden Ansprüche, wobei ein Teil der Kraft-Arbeit dazu benutzt wird, elektrische Energie zu erzeugen.
- Vorrichtung für die Herstellung von Sauerstoff durch ein Verfahren, wie es in Anspruch 1 definiert wird, wobei die Vorrichtung aufweist: eine Kompressionsanordnung (
3 ) zur Komprimierung von Luft (1 ), um einen ersten und einen zweiten, unter Druck gesetzten Luftstrom (5 ,7 ) zur Verfügung zu stellen; eine Luftzerlegungsanordnung (15 ) zur Zerlegung des ersten, unter Druck gesetzten Luftstroms (5 ) in einen sauerstoff-reichen Produkt-Strom (17 ) und einen stickstoff-reichen Nebenprodukt-Strom (11 ); eine Wärmetauscheranordnung (21 ) zur Erwärmung des stickstoff-reichen Nebenprodukt-Stroms (11 ) und des zweiten, unter Druck gesetzten Luftstroms (7 ) durch indirekten Wärmeaustausch mit einem heißen Verfahrensstrom (23 ), um einen heißen, unter Druck gesetzten Gas-Strom (25 ) zur Verfügung zu stellen; eine Expansionsanordnung (27 ) zur arbeitsleistenden Expansion des heißen, unter Druck gesetzten Gas-Stroms (25 ), um Kraft- bzw. Wellen- bzw. Kolben- Arbeit, die Arbeit für die Kompressionsanordnung (3 ) zur Verfügung stellt, und einen Expander-Ausgabestrom (29 ) mit reduziertem Druck zu erzeugen; und eine Verbrennungsanordnung (37 ) zur Verbrennung eines Brennstoffs (35 ), um den/die heiße(n) Verfahrensstrom/ströme (23 ) zur Verfügung zu stellen, dadurch gekennzeichnet, dass eine Anordnung (33 ) vorgesehen ist, um den Expander-Ausgabestrom (29 ) mit verringertem Druck der Verbrennungseinrichtung (37 ) zuzuführen. - Vorrichtung nach Anspruch 17 mit einer Anordnung (
18 ) zum Kombinieren des stickstoff-reichen Nebenprodukt-Stroms (11 ) mit dem zweiten, unter Druck gesetzten Luftstrom (7 ) vor der Wärmetauscheranordnung (21 ). - Vorrichtung nach Anspruch 18 mit einer Anordnung (
213 ) zum Komprimieren des stickstoff-reichen Nebenprodukt-Stroms (11 ) vor dem Kombinieren mit dem zweiten, unter Druck gesetzten Luftstrom (7 ). - Vorrichtung nach Anspruch 17, wobei der stickstoff-reiche Nebenprodukt-Strom (
11 ) und der zweite, unter Druck gesetzte Luftstrom (7 ) getrennt einem indirekten Wärmeaustausch in der Wärmetauscheranordnung (401 ) unterworfen werden und die Expansionsanordnung (27 ) getrennte Expander (405 ,407 ) für die sich ergebenden heißen Verfahrensströme aufweist.
Applications Claiming Priority (2)
| Application Number | Priority Date | Filing Date | Title |
|---|---|---|---|
| US09/083,219 US5979183A (en) | 1998-05-22 | 1998-05-22 | High availability gas turbine drive for an air separation unit |
| US83219 | 1998-05-22 |
Publications (2)
| Publication Number | Publication Date |
|---|---|
| DE69918492D1 DE69918492D1 (de) | 2004-08-12 |
| DE69918492T2 true DE69918492T2 (de) | 2005-08-18 |
Family
ID=22176941
Family Applications (1)
| Application Number | Title | Priority Date | Filing Date |
|---|---|---|---|
| DE69918492T Expired - Fee Related DE69918492T2 (de) | 1998-05-22 | 1999-05-18 | Turbine à gaz à chauffage indirect integree à une unite de separation des gaz de l'air |
Country Status (3)
| Country | Link |
|---|---|
| US (1) | US5979183A (de) |
| EP (1) | EP0959314B1 (de) |
| DE (1) | DE69918492T2 (de) |
Cited By (1)
| Publication number | Priority date | Publication date | Assignee | Title |
|---|---|---|---|---|
| DE102016107468B3 (de) * | 2016-04-22 | 2017-09-21 | Fritz Winter Eisengiesserei Gmbh & Co. Kg | Verfahren und Anlage zur Nutzung eines von einer Gaszerlegeeinrichtung bereitgestellten Zielgases |
Families Citing this family (37)
| Publication number | Priority date | Publication date | Assignee | Title |
|---|---|---|---|---|
| GB0025150D0 (en) * | 2000-10-13 | 2000-11-29 | Air Prod & Chem | A process and apparatus for the production of synthesis gas |
| US6508053B1 (en) * | 1999-04-09 | 2003-01-21 | L'air Liquide-Societe Anonyme A'directoire Et Conseil De Surveillance Pour L'etude Et L'exploitation Des Procedes Georges Claude | Integrated power generation system |
| US6256994B1 (en) * | 1999-06-04 | 2001-07-10 | Air Products And Chemicals, Inc. | Operation of an air separation process with a combustion engine for the production of atmospheric gas products and electric power |
| US6263659B1 (en) * | 1999-06-04 | 2001-07-24 | Air Products And Chemicals, Inc. | Air separation process integrated with gas turbine combustion engine driver |
| FR2803221B1 (fr) | 1999-12-30 | 2002-03-29 | Air Liquide | Procede et installation de separation d'air |
| FR2806755B1 (fr) * | 2000-03-21 | 2002-09-27 | Air Liquide | Procede et installation de generation d'energie utilisant un appareil de separation d'air |
| US6513318B1 (en) | 2000-11-29 | 2003-02-04 | Hybrid Power Generation Systems Llc | Low emissions gas turbine engine with inlet air heating |
| DE10111428A1 (de) * | 2001-03-09 | 2002-09-12 | Linde Ag | Verfahren und Vorrichtung zur Zerlegung eines Gasgemischs mit Notbetrieb |
| FR2825754B1 (fr) * | 2001-06-08 | 2004-02-27 | Air Liquide | Procede et installation de production d'energie au moyen d'une turbine a gaz associee a une unite de separation d'air |
| US6568207B1 (en) * | 2002-01-18 | 2003-05-27 | L'air Liquide-Societe Anonyme A Directoire Et Conseil De Surveillance Pour L'etude Et L'exploitation Des Procedes Georges Claude | Integrated process and installation for the separation of air fed by compressed air from several compressors |
| HUE059355T2 (hu) * | 2002-10-10 | 2022-11-28 | Lpp Comb Llc | Eljárás folyékony tüzelõanyagok elpárologtatására égetés céljára |
| FR2851330B1 (fr) * | 2003-02-13 | 2006-01-06 | Air Liquide | Procede et installation de production sous forme gazeuse et sous haute pression d'au moins un fluide choisi parmi l'oxygene, l'argon et l'azote par distillation cryogenique de l'air |
| US6694776B1 (en) * | 2003-05-14 | 2004-02-24 | Praxair Technology, Inc. | Cryogenic air separation system for producing oxygen |
| UA88280C2 (ru) * | 2003-09-30 | 2009-10-12 | Биэйчпи Биллитон Инновейшн Питивай Лтд | Способ выработки электроэнергии с помощью газовой турбины и паровой турбины (варианты) и устройство для него |
| FR2862004B3 (fr) * | 2003-11-10 | 2005-12-23 | Air Liquide | Procede et installation d'enrichissement d'un flux gazeux en l'un de ses constituants |
| CN100357684C (zh) * | 2004-10-28 | 2007-12-26 | 苏州市兴鲁空分设备科技发展有限公司 | 一种空气分离的方法和装置 |
| CN100357685C (zh) * | 2004-10-28 | 2007-12-26 | 苏州市兴鲁空分设备科技发展有限公司 | 一种空气分离的方法和装置 |
| DE102004057637A1 (de) * | 2004-11-30 | 2006-06-01 | Reinhard Eckert | Verfahren zum Betreiben einer Heissluftmaschine und Heissluftmaschine zur Durchführung des Verfahrens |
| HUE054567T2 (hu) | 2004-12-08 | 2021-09-28 | Lpp Comb Llc | Eljárás és készülék folyékony szénhidrogén üzemanyagok kondicionálására |
| US7717955B2 (en) * | 2005-02-28 | 2010-05-18 | Medtronic, Inc. | Conformable prosthesis for implanting two-piece heart valves and methods for using them |
| DE102005026534B4 (de) * | 2005-06-08 | 2012-04-19 | Man Diesel & Turbo Se | Dampferzeugungsanlage |
| US8075646B2 (en) * | 2006-02-09 | 2011-12-13 | Siemens Energy, Inc. | Advanced ASU and HRSG integration for improved integrated gasification combined cycle efficiency |
| US8529646B2 (en) | 2006-05-01 | 2013-09-10 | Lpp Combustion Llc | Integrated system and method for production and vaporization of liquid hydrocarbon fuels for combustion |
| AU2007266261A1 (en) * | 2006-06-01 | 2007-12-06 | Bhp Billiton Innovation Pty Ltd | Power generation |
| WO2007147216A1 (en) * | 2006-06-23 | 2007-12-27 | Bhp Billiton Innovation Pty Ltd | Power generation |
| US7686570B2 (en) * | 2006-08-01 | 2010-03-30 | Siemens Energy, Inc. | Abradable coating system |
| US7947115B2 (en) * | 2006-11-16 | 2011-05-24 | Siemens Energy, Inc. | System and method for generation of high pressure air in an integrated gasification combined cycle system |
| FR2928414B1 (fr) * | 2008-03-07 | 2011-03-25 | Sorea | Dispositif de production d'energie a partir de biomasse |
| US8865608B2 (en) * | 2009-02-27 | 2014-10-21 | Uop Llc | Turndown thermocompressor design for continuous catalyst recovery |
| US8418472B2 (en) | 2009-05-22 | 2013-04-16 | General Electric Company | Method and system for use with an integrated gasification combined cycle plant |
| US8881530B2 (en) * | 2010-09-02 | 2014-11-11 | General Electric Company | Fuel heating system for startup of a combustion system |
| GB201105823D0 (en) * | 2011-04-06 | 2011-05-18 | Liquid Gas Eqipment Ltd | Method of cooling boil off gas and an apparatus therefor |
| EP2702311B1 (de) | 2011-04-19 | 2021-06-09 | Babcock IP Management (Number One) Limited | Verfahren zur kühlung von boil-off-gas und vorrichtung dafür |
| US20130025866A1 (en) * | 2011-07-25 | 2013-01-31 | Chevron U.S.A. Inc. | Integrated process utilizing nitrogen and carbon dioxide streams for enhanced oil recovery |
| US9327243B2 (en) * | 2012-08-24 | 2016-05-03 | The Boeing Company | Aircraft fuel tank flammability reduction methods and systems |
| US9702300B2 (en) | 2014-02-12 | 2017-07-11 | King Fahd University Of Petroleum And Minerals | Applications of oxy-fuel combustion technology into gas turbine combustors and ion transport membrane reactors |
| US11702981B1 (en) * | 2022-04-20 | 2023-07-18 | Raytheon Technologies Corporation | Turbine engine bleed waste heat recovery |
Family Cites Families (28)
| Publication number | Priority date | Publication date | Assignee | Title |
|---|---|---|---|---|
| US2268270A (en) * | 1938-12-13 | 1941-12-30 | Sulzer Ag | Gas turbine plant |
| US3731495A (en) * | 1970-12-28 | 1973-05-08 | Union Carbide Corp | Process of and apparatus for air separation with nitrogen quenched power turbine |
| IL36741A (en) * | 1971-04-30 | 1974-11-29 | Zakon T | Method for the separation of gaseous mixtures with recuperation of mechanical energy and apparatus for carrying out this method |
| US4049299A (en) * | 1973-03-12 | 1977-09-20 | Agence Nationale De Valorisation De La Recherche (Anvar) | Anti-polluting power plant using compressors and gas turbines |
| US3871172A (en) * | 1974-01-03 | 1975-03-18 | Chemical Construction Corp | Process with fluidized combustor and fluidized heat exchanger for air |
| IL44298A (en) * | 1974-02-27 | 1978-10-31 | Tsadok Zakon | Method for the separation of air with recuperation of mechanical energy |
| DE2503193A1 (de) * | 1975-01-27 | 1976-07-29 | Linde Ag | Verfahren zur herstellung eines heizgases durch druckvergasung kohlenstoffhaltiger brennstoffe |
| DE2835852C2 (de) * | 1978-08-16 | 1982-11-25 | Kraftwerk Union AG, 4330 Mülheim | Kombinierte Gas-Dampfkraftanlage mit einer Vergasungseinrichtung für den Brennstoff |
| US4545787A (en) * | 1984-07-30 | 1985-10-08 | Air Products And Chemicals, Inc. | Process for producing by-product oxygen from turbine power generation |
| US4751814A (en) * | 1985-06-21 | 1988-06-21 | General Electric Company | Air cycle thermodynamic conversion system |
| ATE34201T1 (de) * | 1985-08-05 | 1988-05-15 | Siemens Ag | Kombiniertes gas- und dampfturbinenkraftwerk. |
| US4785621A (en) * | 1987-05-28 | 1988-11-22 | General Electric Company | Air bottoming cycle for coal gasification plant |
| GB8824216D0 (en) * | 1988-10-15 | 1988-11-23 | Boc Group Plc | Air separation |
| US5035727A (en) * | 1990-05-24 | 1991-07-30 | Air Products And Chemicals, Inc. | Oxygen extraction from externally fired gas turbines |
| US5081845A (en) * | 1990-07-02 | 1992-01-21 | Air Products And Chemicals, Inc. | Integrated air separation plant - integrated gasification combined cycle power generator |
| US5165239A (en) * | 1991-06-03 | 1992-11-24 | The United States Of America As Represented By The United States Department Of Energy | Water augmented indirectly-fired gas turbine systems and method |
| GB9123381D0 (en) * | 1991-11-04 | 1991-12-18 | Boc Group Plc | Air separation |
| US5459994A (en) * | 1993-05-28 | 1995-10-24 | Praxair Technology, Inc. | Gas turbine-air separation plant combination |
| US5406786A (en) * | 1993-07-16 | 1995-04-18 | Air Products And Chemicals, Inc. | Integrated air separation - gas turbine electrical generation process |
| ES2116518T3 (es) * | 1993-12-17 | 1998-07-16 | Air Prod & Chem | Produccion integrada de oxigeno y energia electrica. |
| US5516359A (en) * | 1993-12-17 | 1996-05-14 | Air Products And Chemicals, Inc. | Integrated high temperature method for oxygen production |
| US5565017A (en) * | 1993-12-17 | 1996-10-15 | Air Products And Chemicals, Inc. | High temperature oxygen production with steam and power generation |
| US5643354A (en) * | 1995-04-06 | 1997-07-01 | Air Products And Chemicals, Inc. | High temperature oxygen production for ironmaking processes |
| US5501078A (en) * | 1995-04-24 | 1996-03-26 | Praxair Technology, Inc. | System and method for operating an integrated gas turbine and cryogenic air separation plant under turndown conditions |
| US5562754A (en) * | 1995-06-07 | 1996-10-08 | Air Products And Chemicals, Inc. | Production of oxygen by ion transport membranes with steam utilization |
| US5706675A (en) * | 1995-08-18 | 1998-01-13 | G & A Associates | High efficiency oxygen/air separation system |
| US5740673A (en) * | 1995-11-07 | 1998-04-21 | Air Products And Chemicals, Inc. | Operation of integrated gasification combined cycle power generation systems at part load |
| US5666823A (en) * | 1996-01-31 | 1997-09-16 | Air Products And Chemicals, Inc. | High pressure combustion turbine and air separation system integration |
-
1998
- 1998-05-22 US US09/083,219 patent/US5979183A/en not_active Expired - Lifetime
-
1999
- 1999-05-18 EP EP99303843A patent/EP0959314B1/de not_active Expired - Lifetime
- 1999-05-18 DE DE69918492T patent/DE69918492T2/de not_active Expired - Fee Related
Cited By (2)
| Publication number | Priority date | Publication date | Assignee | Title |
|---|---|---|---|---|
| DE102016107468B3 (de) * | 2016-04-22 | 2017-09-21 | Fritz Winter Eisengiesserei Gmbh & Co. Kg | Verfahren und Anlage zur Nutzung eines von einer Gaszerlegeeinrichtung bereitgestellten Zielgases |
| DE102016107468B9 (de) * | 2016-04-22 | 2017-12-21 | Fritz Winter Eisengiesserei Gmbh & Co. Kg | Verfahren und Anlage zur Nutzung eines von einer Gaszerlegeeinrichtung bereitgestellten Zielgases |
Also Published As
| Publication number | Publication date |
|---|---|
| EP0959314B1 (de) | 2004-07-07 |
| EP0959314A2 (de) | 1999-11-24 |
| DE69918492D1 (de) | 2004-08-12 |
| US5979183A (en) | 1999-11-09 |
| EP0959314A3 (de) | 2000-07-19 |
Similar Documents
| Publication | Publication Date | Title |
|---|---|---|
| DE69918492T2 (de) | Turbine à gaz à chauffage indirect integree à une unite de separation des gaz de l'air | |
| EP0518868B1 (de) | Verfahren und anlage zur erzeugung mechanischer energie | |
| DE69400252T2 (de) | Gebrauch von Stickstoff von einer Luftzerlegungsanlage um die Zufuhrluft zum Kompressor einer Gasturbine zu kühlen und dadurch der Wirkungsgrad zu erhöhen | |
| DE60019019T2 (de) | Verfahren und Vorrichtung zur Luftzerlegung mit Gasturbinen | |
| DE60216248T2 (de) | Verfahren zur energiegewinnung mit integrierter lufttrennung | |
| DE69931548T2 (de) | Turbinenanlage | |
| EP0553125B1 (de) | Verfahren und anlage zur kombinierten erzeugung elektrischer und mechanischer energie | |
| DE60036327T2 (de) | Verfahren zur Luftzerlegung mit einer Brennkraftmaschine zur Herstellung von Luftgasen und elektrischer Energie | |
| DE60123707T2 (de) | Lufttrennungsverfahren und -system zur Sauerstoffproduktion zur Verbrennungsunterstützung in einer Wärmeverbrauchsvorrichtung | |
| DE69635965T2 (de) | Sauerstoffproduktion mit Ionentransportmembranen unter Verwendung von Dampf | |
| DE69722270T2 (de) | Verfahren zur erzeugung von kraft und/oder wärme enthastend einen leitenden mischmembranreaktor | |
| DE60033889T2 (de) | Verfahren zur Energieerzeugung mit einem thermochemischen Rückgewinnungskreislauf | |
| DE102007050781A1 (de) | Systeme und Verfahren zur Energieerzeugung mit Kohlendioxydabsonderung | |
| DE102004039164A1 (de) | Verfahren zur Erzeugung von Energie in einer eine Gasturbine umfassenden Energieerzeugungsanlage sowie Energieerzeugungsanlage zur Durchführung des Verfahrens | |
| DE102007050783A1 (de) | Systeme und Verfahren zur Energieerzeugung mit Kohlendioxydisolation | |
| EP2342008B1 (de) | Igcc-kraftwerk mit rauchgasrückführung und spülgas | |
| EP1219800A2 (de) | Gasturbinenzyklus | |
| EP2167794B1 (de) | Vorrichtung und verfahren zur kraft-wärmeerzeugung | |
| DE69825868T2 (de) | Synthesegasexpander der sich direkt vor einer gasturbine befindet | |
| CH698638A2 (de) | Verfahren zur Einspritzung von Verdünnungsmittel in eine Gasturbinenanordnung. | |
| EP2174064A2 (de) | Verfahren zum betrieb einer verbrennungsanlage sowie verbrennungsanlage | |
| EP2467588A1 (de) | Verfahren und vorrichtung zur verwertung von biomassse | |
| DE69205539T2 (de) | Verfahren zum Kühlen eines Gases in einer Vorrichtung zur Nutzung von Luft und eine Vorrichtung zur Durchführung des Verfahrens. | |
| DE60034529T2 (de) | Brenngasentspannungsturbine für einen sauerstoffaufblas-vergaser und zugehöriges verfahren | |
| DE102007060550A1 (de) | System und Verfahren für emissionsarme Verbrennung |
Legal Events
| Date | Code | Title | Description |
|---|---|---|---|
| 8364 | No opposition during term of opposition | ||
| 8339 | Ceased/non-payment of the annual fee |

