WO2020195615A1 - 血圧関連情報表示装置、血圧関連情報表示方法、およびプログラム - Google Patents

血圧関連情報表示装置、血圧関連情報表示方法、およびプログラム Download PDF

Info

Publication number
WO2020195615A1
WO2020195615A1 PCT/JP2020/008976 JP2020008976W WO2020195615A1 WO 2020195615 A1 WO2020195615 A1 WO 2020195615A1 JP 2020008976 W JP2020008976 W JP 2020008976W WO 2020195615 A1 WO2020195615 A1 WO 2020195615A1
Authority
WO
WIPO (PCT)
Prior art keywords
blood pressure
waveform
related information
information display
display device
Prior art date
Legal status (The legal status is an assumption and is not a legal conclusion. Google has not performed a legal analysis and makes no representation as to the accuracy of the status listed.)
Ceased
Application number
PCT/JP2020/008976
Other languages
English (en)
French (fr)
Japanese (ja)
Inventor
綾子 小久保
光巨 桑原
新吾 山下
七臣 苅尾
Current Assignee (The listed assignees may be inaccurate. Google has not performed a legal analysis and makes no representation or warranty as to the accuracy of the list.)
Omron Healthcare Co Ltd
Jichi Medical University
Original Assignee
Omron Healthcare Co Ltd
Jichi Medical University
Priority date (The priority date is an assumption and is not a legal conclusion. Google has not performed a legal analysis and makes no representation as to the accuracy of the date listed.)
Filing date
Publication date
Application filed by Omron Healthcare Co Ltd, Jichi Medical University filed Critical Omron Healthcare Co Ltd
Priority to CN202080024289.4A priority Critical patent/CN113645897B/zh
Priority to DE112020001440.1T priority patent/DE112020001440T5/de
Publication of WO2020195615A1 publication Critical patent/WO2020195615A1/ja
Priority to US17/484,422 priority patent/US12186060B2/en
Anticipated expiration legal-status Critical
Ceased legal-status Critical Current

Links

Images

Classifications

    • AHUMAN NECESSITIES
    • A61MEDICAL OR VETERINARY SCIENCE; HYGIENE
    • A61BDIAGNOSIS; SURGERY; IDENTIFICATION
    • A61B5/00Measuring for diagnostic purposes; Identification of persons
    • A61B5/02Detecting, measuring or recording for evaluating the cardiovascular system, e.g. pulse, heart rate, blood pressure or blood flow
    • A61B5/021Measuring pressure in heart or blood vessels
    • A61B5/02108Measuring pressure in heart or blood vessels from analysis of pulse wave characteristics
    • A61B5/02125Measuring pressure in heart or blood vessels from analysis of pulse wave characteristics of pulse wave propagation time
    • AHUMAN NECESSITIES
    • A61MEDICAL OR VETERINARY SCIENCE; HYGIENE
    • A61BDIAGNOSIS; SURGERY; IDENTIFICATION
    • A61B5/00Measuring for diagnostic purposes; Identification of persons
    • A61B5/48Other medical applications
    • A61B5/4806Sleep evaluation
    • A61B5/4818Sleep apnoea
    • AHUMAN NECESSITIES
    • A61MEDICAL OR VETERINARY SCIENCE; HYGIENE
    • A61BDIAGNOSIS; SURGERY; IDENTIFICATION
    • A61B5/00Measuring for diagnostic purposes; Identification of persons
    • A61B5/0002Remote monitoring of patients using telemetry, e.g. transmission of vital signals via a communication network
    • A61B5/0015Remote monitoring of patients using telemetry, e.g. transmission of vital signals via a communication network characterised by features of the telemetry system
    • A61B5/002Monitoring the patient using a local or closed circuit, e.g. in a room or building
    • AHUMAN NECESSITIES
    • A61MEDICAL OR VETERINARY SCIENCE; HYGIENE
    • A61BDIAGNOSIS; SURGERY; IDENTIFICATION
    • A61B5/00Measuring for diagnostic purposes; Identification of persons
    • A61B5/02Detecting, measuring or recording for evaluating the cardiovascular system, e.g. pulse, heart rate, blood pressure or blood flow
    • A61B5/021Measuring pressure in heart or blood vessels
    • A61B5/02108Measuring pressure in heart or blood vessels from analysis of pulse wave characteristics
    • AHUMAN NECESSITIES
    • A61MEDICAL OR VETERINARY SCIENCE; HYGIENE
    • A61BDIAGNOSIS; SURGERY; IDENTIFICATION
    • A61B5/00Measuring for diagnostic purposes; Identification of persons
    • A61B5/02Detecting, measuring or recording for evaluating the cardiovascular system, e.g. pulse, heart rate, blood pressure or blood flow
    • A61B5/021Measuring pressure in heart or blood vessels
    • A61B5/02108Measuring pressure in heart or blood vessels from analysis of pulse wave characteristics
    • A61B5/02116Measuring pressure in heart or blood vessels from analysis of pulse wave characteristics of pulse wave amplitude
    • AHUMAN NECESSITIES
    • A61MEDICAL OR VETERINARY SCIENCE; HYGIENE
    • A61BDIAGNOSIS; SURGERY; IDENTIFICATION
    • A61B5/00Measuring for diagnostic purposes; Identification of persons
    • A61B5/72Signal processing specially adapted for physiological signals or for diagnostic purposes
    • A61B5/7235Details of waveform analysis
    • A61B5/7264Classification of physiological signals or data, e.g. using neural networks, statistical classifiers, expert systems or fuzzy systems
    • AHUMAN NECESSITIES
    • A61MEDICAL OR VETERINARY SCIENCE; HYGIENE
    • A61BDIAGNOSIS; SURGERY; IDENTIFICATION
    • A61B5/00Measuring for diagnostic purposes; Identification of persons
    • A61B5/72Signal processing specially adapted for physiological signals or for diagnostic purposes
    • A61B5/7271Specific aspects of physiological measurement analysis
    • A61B5/7282Event detection, e.g. detecting unique waveforms indicative of a medical condition
    • AHUMAN NECESSITIES
    • A61MEDICAL OR VETERINARY SCIENCE; HYGIENE
    • A61BDIAGNOSIS; SURGERY; IDENTIFICATION
    • A61B5/00Measuring for diagnostic purposes; Identification of persons
    • A61B5/74Details of notification to user or communication with user or patient; User input means
    • A61B5/742Details of notification to user or communication with user or patient; User input means using visual displays

Definitions

  • the present invention relates to a blood pressure-related information display device and a blood pressure-related information display method, and more particularly to a device and method for visualizing and displaying information related to a blood pressure surge of a subject.
  • the present invention also relates to a program for causing a computer to execute such a blood pressure-related information display method.
  • the waveform of the blood pressure surge is only displayed in a form in which the peak of each pulse can be seen by expanding the time axis of the systolic blood pressure value (SBP) time series data. It is not displayed as a curve (shape) showing the tendency of rising and falling.
  • SBP systolic blood pressure value
  • the blood pressure-related information display device of this disclosure is A blood pressure-related information display device that visualizes and displays information related to blood pressure surges.
  • a blood pressure surge detector that detects a blood pressure surge based on predetermined criteria from time-series data of blood pressure that changes in conjunction with the subject's pulsation, For each detected blood pressure surge, an individual waveform acquisition unit that obtains an envelope connecting a plurality of beat-corresponding peaks forming the blood pressure surge as an individual waveform, and A statistical processing unit that statistically processes the plurality of obtained individual waveforms to obtain typical waveforms and waveform variations of blood pressure surges in the time series data. It is characterized by including a display processing unit that performs a process of superimposing a curve showing the representative waveform on a region showing the waveform variation of the blood pressure surge on the display screen.
  • the "predetermined criteria” typically refers to criteria for detecting blood pressure surges in patients with sleep apnea syndrome (SAS). For example, from the time of the surge start point to the time of the surge peak point within the peak detection section (for example, a period of 15 beats) as disclosed in Japanese Patent Application No. 2017-048946 and Japanese Patent Application No. 2017-050066 In addition to being included, the difference (blood pressure fluctuation) between the systolic blood pressure value at the time of the surge start point and the systolic blood pressure value at the time of the peak point is 20 mmHg (or 15 mmHg) or more, and the time and peak of the surge start point. It means that the period between the point time is larger than 5 beats and the period between the peak point time and the surge end point time is larger than 7 beats.
  • the plurality of "beat-corresponding peaks" that form a blood pressure surge refer to peaks corresponding to systolic blood pressure in a continuous instantaneous blood pressure waveform. However, it may be a peak corresponding to the diastolic blood pressure value (DBP).
  • DBP diastolic blood pressure value
  • “statistical processing” refers to processing for averaging individual waveforms, processing for obtaining the median, and the like.
  • the “typical waveform” of a blood pressure surge refers to, for example, an average waveform obtained by averaging a plurality of individual waveforms, or a waveform corresponding to the median value of a plurality of individual waveforms.
  • the “waveform variation” of the blood pressure surge refers to, for example, the width of the distribution of a plurality of individual waveforms.
  • the "display screen” typically refers to the screen of the display device, but may be, for example, a paper surface output by a printer.
  • the horizontal coordinates typically represent the passage of time (for example, the progression of beats), and the vertical coordinates are blood pressure fluctuations associated with a blood pressure surge. It is done in a manner that represents a quantity.
  • the blood pressure surge detection unit detects the blood pressure surge from the time-series data of the blood pressure that changes in conjunction with the pulsation of the subject based on a predetermined determination criterion.
  • the individual waveform acquisition unit obtains an envelope connecting a plurality of beat-corresponding peaks forming the blood pressure surge as an individual waveform for each detected blood pressure surge.
  • the statistical processing unit statistically processes the plurality of obtained individual waveforms to obtain a representative waveform and waveform variation of the blood pressure surge in the time series data.
  • the display processing unit performs a process of superimposing a curve showing the representative waveform on the region showing the waveform variation of the blood pressure surge on the display screen.
  • the user typically, a medical person such as a doctor or a nurse.
  • the subject may be a subject; the same applies hereinafter
  • the statistical processing unit described above with respect to the horizontal direction on a coordinate plane including horizontal coordinates representing the passage of time and vertical coordinates representing the amount of blood pressure fluctuation associated with a blood pressure surge A state equivalent to aligning the peak positions of the plurality of individual waveforms by relatively sliding the plurality of individual waveforms is created in the memory area, and in this state, the plurality of individual waveforms are generated for each of the horizontal coordinates. It is characterized in that the blood pressure fluctuation amount data is statistically processed to obtain the representative waveform and the waveform variation.
  • the “individual waveform peak” refers to the peak of each blood pressure surge, and corresponds to the maximum beat-corresponding peak among the plurality of beat-corresponding peaks forming each blood pressure surge.
  • the "equivalent state” does not require a process of actually drawing and aligning the peak positions of the plurality of individual waveforms on the coordinate plane, and the data in the memory area is defined on the coordinate plane. It means that it is enough if it is in a state equivalent to the state.
  • the statistical processing unit is in a state equivalent to aligning the peak positions of the plurality of individual waveforms by relatively sliding the plurality of individual waveforms in the lateral direction. Is created in the memory area, and the blood pressure fluctuation amount data of the plurality of individual waveforms is statistically processed in this state, so that the representative waveform and the waveform variation can be easily grasped.
  • the blood pressure-related information display device of one embodiment is characterized in that each of the blood pressure fluctuation amount data of the plurality of individual waveforms is a fluctuation amount based on the blood pressure value at the start point of the individual waveform.
  • the blood pressure-related information display device of this one embodiment makes it easy to grasp the typical waveform and the waveform variation.
  • the blood pressure-related information display device of one embodiment is characterized in that the blood pressure fluctuation amount data of the plurality of individual waveforms is normalized so as to align the peak heights of the plurality of individual waveforms.
  • the blood pressure-related information display device of this one embodiment makes it easier to grasp the typical waveform and the waveform variation.
  • the horizontal coordinates representing the passage of time are determined by the beat numbers that specify the beat-corresponding peaks.
  • the statistical processing unit is characterized in that the blood pressure fluctuation amount data of the plurality of individual waveforms is statistically processed for each beat number.
  • the beat interval is not constant due to the beating of the heart, the period of one beat when a blood pressure surge forming a certain individual waveform occurs and the period of one beat when a blood pressure surge forming another individual waveform occurs. May differ from each other. "The lateral coordinates representing the passage of time are ... determined by the beat number" means that the passage of time is represented by the progress of the beat regardless of the difference.
  • the lateral coordinates representing the passage of time are determined by the beat number that specifies the beat-corresponding peak. Therefore, regardless of the difference between the period of one beat when a blood pressure surge forming a certain individual waveform and the period of one beat when a blood pressure surge forming another individual waveform occurs, the representative waveform and the waveform It becomes easier to grasp the variation. Further, when the statistical processing unit statistically processes the blood pressure fluctuation data of the plurality of individual waveforms, it is sufficient to perform the statistical processing of the blood pressure fluctuation data for each beat number. Therefore, the calculation amount of the statistical processing unit can be reduced as compared with the case where the statistical processing of the blood pressure fluctuation amount data is continuously performed in the lateral direction.
  • the statistical processing unit has a portion of the plurality of individual waveforms whose lateral dimension is shorter than the longest individual waveform is insufficient from the longest individual waveform. , The contribution of the blood pressure fluctuation data to the statistical processing is set to zero.
  • the statistical processing of the blood pressure fluctuation amount data can be performed without any trouble. ..
  • the waveform variation obtained by the statistical processing unit is defined as ⁇ k times the standard deviation of the distribution formed by the blood pressure fluctuation data of the plurality of individual waveforms, where k is a natural number.
  • the display processing unit is characterized in that, as a region showing the waveform variation, a region having a width corresponding to ⁇ k times the standard deviation in the vertical direction is displayed on the display screen.
  • the area showing the waveform variation on the display screen is ⁇ k times the standard deviation in the vertical direction (however, k is a natural number. Typically, it is a natural number.
  • a region having a width corresponding to (k is set as 1, 2 or 3) is displayed. Therefore, the user can intuitively grasp the curve showing the typical waveform of the blood pressure surge in the subject and the region showing the waveform variation.
  • the display of the region showing the waveform variation is particularly useful, for example, when the variation of the individual waveforms is sufficient to be treated as a normal distribution (for example, when the number of individual waveforms is several tens or more).
  • the waveform variation obtained by the statistical processing unit is defined as an interquartile range of the distribution formed by the blood pressure fluctuation data of the plurality of individual waveforms.
  • the display processing unit is characterized in that, as a region showing the waveform variation, a region having a width corresponding to the interquartile range in the vertical direction is displayed on the display screen.
  • a region having a width corresponding to the interquartile range in the vertical direction is displayed as a region showing the waveform variation on the display screen. Therefore, the user can intuitively grasp the curve showing the typical waveform of the blood pressure surge in the subject and the region showing the waveform variation. Further, as compared with the case where the region showing the waveform variation is defined by using the standard deviation, many calculations are not required and the calculation is simple. Therefore, it can contribute to the improvement of processing speed and the saving of memory.
  • the display processing unit forms a region showing the waveform variation on the display screen so as to be distinguishable from the curve showing the typical waveform. It is characterized in that it performs a process of displaying a curve showing an individual waveform of.
  • a curve showing the representative waveform and a curve showing the plurality of individual waveforms are displayed so as to form a region showing the waveform variation on the display screen. Therefore, the user can intuitively grasp the curve showing the typical waveform of the blood pressure surge in the subject and the region showing the waveform variation.
  • the display of the curve showing the plurality of individual waveforms is useful for allowing the user to grasp the variation of the individual waveforms, for example, when the number of individual waveforms is several or less.
  • the input unit for inputting the information indicating the physical condition specific period in which the physical condition of the subject is specified is provided.
  • the statistical processing unit obtains a typical waveform and waveform variation of the blood pressure surge in the time series data for each physical condition specific period.
  • the display processing unit is characterized in that it performs a process of superimposing a curve showing a typical waveform on a region showing the waveform variation of the blood pressure surge for each physical condition specific period on the display screen. And.
  • the term "physical condition specific period” refers to a subject such as an apnea period, a REM sleep period, a non-REM sleep period, an arousal period, and / or a period in which percutaneous arterial oxygen saturation (SpO 2 ) is low. Refers to the period during which a person is in a physical condition that can cause a blood pressure surge.
  • the input unit inputs information representing the physical condition specific period of the subject along with the time-series data of the blood pressure that changes in conjunction with the pulsation of the subject.
  • the statistical processing unit obtains a typical waveform and waveform variation of the blood pressure surge in the time series data for each physical condition specific period.
  • the display processing unit performs a process of superimposing a curve showing the representative waveform on the region showing the waveform variation of the blood pressure surge for each physical condition specific period on the display screen.
  • the user can use a curve and waveform variation showing a typical waveform of the blood pressure surge in the subject for each of the above-mentioned physical condition specific periods, in other words, for each period in which the subject is in a physical condition that can cause a blood pressure surge. It is possible to grasp the area indicating. Therefore, the user can grasp, for example, the factor (physical condition) causing the most serious blood pressure surge.
  • the blood pressure-related information display method of this disclosure is a blood pressure related information display method that visualizes and displays information related to blood pressure surge.
  • Blood pressure surge is detected based on predetermined criteria from time-series data of blood pressure that changes in conjunction with the pulsation of the subject.
  • the envelope connecting the multiple beat-corresponding peaks forming the blood pressure surge was obtained as an individual waveform.
  • Statistical processing of the plurality of obtained individual waveforms was performed to obtain typical waveforms and waveform variations of blood pressure surges in the time series data. It is characterized in that a process of superimposing a curve showing the typical waveform on the region showing the waveform variation of the blood pressure surge and displaying it on the display screen is performed.
  • the user can intuitively grasp the curve showing the typical waveform of the blood pressure surge in the subject and the region showing the waveform variation. This is considered to be useful as a material for evaluating the risk of cardiovascular disease and a material for evaluating the risk of disease of a specific organ, in addition to the diagnosis and treatment of SAS.
  • this disclosed program is a program for causing a computer to execute the above blood pressure-related information display method.
  • the blood pressure-related information display device and the blood pressure-related information display method of this disclosure a typical waveform of a blood pressure surge and a waveform variation can be superposed and displayed. Further, the blood pressure-related information display method can be implemented by causing a computer to execute the program of this disclosure.
  • FIG. 1 It is a block diagram which shows one Embodiment which configured the blood pressure-related information display device of this invention as a system on a network. It is a block diagram which shows the structure of the hospital terminal included in the said system. It is a block diagram which shows the structure of the server included in the said system. It is a figure which shows the mode in which the time series data of the overnight blood pressure of a subject and the physical condition which can cause a blood pressure surge are measured together by the said system. It is a figure which shows the operation flow of the said server at the time of executing the basic blood pressure-related information display method. It is a figure which shows the operation flow of the said server at the time of executing the applied blood pressure-related information display method. FIG.
  • FIG. 6A is a diagram showing time-series data of the overnight blood pressure of the subject.
  • FIG. 6B is an enlarged view of a part of FIG. 6A to show the blood pressure surge detected on the time-series data and the apnea / hypopnea event measured by the PSG device. It is a figure explaining the determination criterion for detecting a blood pressure surge by exemplifying a waveform (individual waveform) of a blood pressure surge. It is a figure which conceptually explains the process of averaging the individual waveforms of a blood pressure surge.
  • FIG. 9A is a diagram illustrating a plurality of individual waveforms.
  • FIG. 9A is a diagram illustrating a plurality of individual waveforms.
  • 9B is a diagram illustrating image data in a mode in which a curve showing an average waveform is superimposed on a region showing waveform variation. It is a figure which shows the detailed flow of the statistical processing about the individual waveform of a blood pressure surge. It is a figure which illustrates the table which recorded the time to identify the detected blood pressure surge. It is a figure which illustrates the table which recorded the time series data of the beat correspondence peak of an individual waveform for a certain blood pressure surge. It is a figure which illustrates the table used for statistical processing of the blood pressure fluctuation amount data. It is a figure which shows the flow of the display processing in the said hospital terminal at the time of executing the said-applied blood pressure-related information display method.
  • FIG. 16A is a diagram illustrating a plurality of individual waveforms obtained for the apnea period, as in FIG. 9A.
  • FIG. 16B is a diagram showing a modified example of how to display the waveform variation.
  • FIG. 1 shows an example in which the blood pressure-related information display device of the present invention is configured as a system of one embodiment on a network (the whole is indicated by reference numeral 100).
  • the system 100 includes hospital terminals 200A and 200B having a display 240 as a display screen, a server 300, a tonometry type sphygmomanometer 400, and a PSG (polysomnography) device 500.
  • hospital terminals 200A and 200B, a server 300, a blood pressure monitor 400, and a PSG device 500 can communicate with each other via a network 900 which is a LAN (Local Area Network) in the hospital. Communication via the network 900 may be wireless or wired.
  • LAN Local Area Network
  • the network 900 is an in-hospital LAN (Local Area Network), but is not limited to this, and may be another type of network such as the Internet, or a USB cable or the like is used. It may be one-to-one communication. Although only two hospital terminals 200A and 200B are shown in this example, three or more hospital terminals may be provided.
  • LAN Local Area Network
  • the hospital terminal 200A includes a main body 200M, a control unit 210, a memory 220, an operation unit 230, a display 240 as a display screen, and a communication unit 290 mounted on the main body 200M. And include.
  • the hospital terminal 200A is composed of a commercially available notebook personal computer, and application software (computer program) is installed so as to perform the processing described later, and the server 300 can be accessed.
  • the control unit 210 includes a CPU (Central Processing Unit) and its auxiliary circuits, controls each part of the hospital terminal 200A, and executes the processing described later according to the programs and data stored in the memory 220. That is, the data input from the operation unit 230 and the communication unit 290 is processed, and the processed data is stored in the memory 220, displayed on the display 240, or output from the communication unit 290.
  • CPU Central Processing Unit
  • the memory 220 includes a RAM (Random Access Memory) used as a work area required for the control unit 210 to execute a program, and a ROM (Read Only) for storing a basic program for execution by the control unit 210. Memory) and is included. Further, a semiconductor memory (memory card, SSD (Solid State Drive)) or the like may be used as a storage medium of the auxiliary storage device for assisting the storage area of the memory 220.
  • RAM Random Access Memory
  • ROM Read Only
  • the operation unit 230 is composed of a keyboard and a mouse, and typically inputs an operation signal indicating an operation by a doctor as a user to the control unit 210. Further, the operation unit 230 may be composed of other operation devices such as a touch panel in place of or in addition to the keyboard and mouse.
  • the display 240 includes a display screen (for example, an LCD (Liquid Crystal Display) or an EL (Electroluminescence) display).
  • the display 240 is controlled by the control unit 210 to display a predetermined image on the display screen.
  • the communication unit 290 transmits the information from the control unit 210 to the server 300 via the network 900.
  • the server 300 includes a control unit 310, a storage unit 320, an operation unit 330, a display 340, and a communication unit 390.
  • the server 300 is a general-purpose computer device in which a program (software) is installed so as to perform a process described later.
  • the control unit 310 includes a CPU and its auxiliary circuits, controls each unit of the server 300, executes a predetermined process according to the programs and data stored in the storage unit 320, and inputs from the operation unit 330 and the communication unit 390.
  • the processed data is processed, and the processed data is stored in the storage unit 320, displayed on the display 340, or output from the communication unit 390.
  • the storage unit 320 includes a RAM used as a work area required for the control unit 310 to execute a program, and a ROM for storing a basic program for execution by the control unit 310.
  • the storage unit 320 is provided with a database 321 containing blood pressure measurement data sent from many subjects.
  • a magnetic disk (HD (Hard Disk), FD (Flexible Disk)), an optical disk (CD (Compact Disc), DVD (Digital Versatile Disk)) ), BD (Blu-ray Disc)), magneto-optical disk (MO (Magneto-Optical disk)), semiconductor memory (memory card, SSD), or the like may be used.
  • HD Hard Disk
  • FD Fluorescent Disk
  • CD Compact Disc
  • DVD Digital Versatile Disk
  • BD Blu-ray Disc
  • MO Magneto-optical disk
  • semiconductor memory memory card, SSD
  • the operation unit 330 is composed of a keyboard and a mouse, and inputs an operation signal indicating an operation by the user to the control unit 310. Further, the operation unit 330 may be composed of other operation devices such as a touch panel in place of or in addition to the keyboard and mouse.
  • the display 340 includes a display screen (for example, an LCD or an EL display).
  • the display 340 is controlled by the control unit 310 to display a predetermined image on the display screen.
  • the communication unit 390 transmits the information from the control unit 310 to another device (hospital terminal 200A in this example) via the network 900, and receives the information transmitted from the other device via the network 900. And hands it over to the control unit 310.
  • the sphygmomanometer 400 shown in FIG. 1 is composed of a tonometry type sphygmomanometer as disclosed in Japanese Patent Application No. 2017-050066.
  • the sphygmomanometer 400 is a pressure sensor unit that continuously detects the pressure pulse wave of the radial artery passing through the measurement site (for example, the left wrist) of the subject 90 by a tonometry method for each beat. It includes a 402 and a main unit 401 that outputs a change in pressure detected by the pressure sensor unit 402 as time-series data of blood pressure.
  • the pressure sensor unit 402 and the main unit 401 are connected by a signal cable 403.
  • the tonometry method is a method for determining blood pressure by measuring a pressure pulse wave by compressing a blood vessel with a pressure sensor unit 402 (for example, a pressure pulse wave sensor).
  • a pressure sensor unit 402 for example, a pressure pulse wave sensor.
  • the internal pressure (blood pressure) of the blood vessels and the external pressure of the blood vessels (blood pressure) according to Laplace's law, considering the blood flow in the blood vessels and the blood vessel wall regardless of the presence or absence of pulsation.
  • the relational expression with the pressure of the pressure pulse wave) can be derived.
  • the sphygmomanometer 400 measures the blood pressure value of the measurement site (for example, the left wrist) for each heartbeat, and measures the measurement time (time) and the blood pressure in the manner shown in FIG. 6 (A), for example.
  • the blood pressure time series data 801 associated with the above is output.
  • Overnight time-series data 801 includes beat-corresponding peaks (corresponding to systolic blood pressure (SBP) or diastolic blood pressure (DBP)) for approximately 30,000 beats.
  • the PSG device 500 shown in FIG. 1 is composed of a commercially available PSG device (for example, Neurotax® EEG-9200 manufactured by Nihon Kohden Co., Ltd.) in this example, and will be described later in [B. It is used only when executing [Applied blood pressure related information display method].
  • the PSG device 500 includes a sensor group 502 and a main unit 501 that processes signals from the sensor group 502 and outputs information that identifies the physical condition of the subject 90. ..
  • the sensor group 502 includes an electroencephalogram detection electrode 502A for detecting an electroencephalogram, an eye movement detection electrode 502B for detecting eye movement, an air flow sensor 502C for detecting airflow associated with breathing, and an electrocardiogram electrode for obtaining an electrocardiogram. It includes a 502D, a pulse oximeter 502E for detecting percutaneous arterial oxygen saturation (SpO 2 ), and an electromyogram electrode 502F for obtaining an electromyogram.
  • the sensor group 502 and the main unit 501 are connected by a signal cable (not shown) via a cable box (not shown).
  • the PSG device 500 uses the apnea period (or hypopnea period) and the REM sleep period as information indicating the period during which the physical condition of the subject 90 is specified (this is referred to as a “physical condition specifying period”).
  • apnea during sleep means "a state in which breathing stops for 10 seconds or more”.
  • hyperpnea means that the ventilation by respiration is reduced to 50% or more for 10 seconds or more.
  • REM sleep refers to sleep accompanied by rapid eye movement
  • non-REM sleep refers to sleep not accompanied by rapid eye movement
  • awakening refers to a state of being awake.
  • SpO 2 refers to a value measured (percutaneously) through the skin as to what percentage of hemoglobin contained in red blood cells flowing in arterial blood is bound to oxygen. The period during which SpO 2 is “low” refers to the period during which SpO 2 is less than 90% in this example.
  • the PSG device 500 can output a plurality of types of information representing a physical condition specifying period for the subject 90.
  • the system 100 is roughly classified as follows, including the creation of image data on the server 300 and the display of image data on a hospital terminal (for example, 200A) [A. Basic blood pressure-related information display method] and [B. An applied blood pressure-related information display method] can be implemented.
  • the blood pressure is associated with the measurement time (time) output by the sphygmomanometer 400 and the blood pressure as illustrated in FIG. 6A without using the PSG device 500.
  • Image data is created and displayed as follows using only the time series data 801.
  • the server 300 is always in an operating state (however, the maintenance period, etc. are excluded), and FIG. 5A (shows the operating flow of the server 300 when executing the basic blood pressure-related information display method).
  • step S101 of the above the data from the hospital terminal 200A is awaited.
  • the control unit 310 of the server 300 receives the above-mentioned blood pressure time series data from the hospital terminal 200A from the network 900 via the communication unit 390 as an input unit (YES in step S101)
  • the received blood pressure time series The data is stored in the database 321 of the storage unit 320.
  • the processes of steps S102 to S107 described below are executed.
  • control unit 310 functions as a preprocessing unit, smoothing using a moving average known for time series data of blood pressure, noise removal, and a high frequency component using a low-pass filter. Perform pretreatment such as removal.
  • the control unit 310 acts as a blood pressure surge detection unit and discloses it to, for example, Japanese Patent Application No. 2017-0489946 and Japanese Patent Application No. 2017-050066 from the time series data of the blood pressure of the subject 90.
  • the blood pressure surge is detected based on a predetermined criterion.
  • a predetermined criterion for example, in FIG. 6B, a plurality of blood pressure surges are detected as shown by the broken line rectangular frames 803, 803, .... It is said that hundreds of blood pressure surges can occur overnight.
  • peaks corresponding to systolic blood pressure (SBP) are marked with black circles, which are connected by envelopes.
  • peaks corresponding to diastolic blood pressure (DBP) are marked with white circles, which are connected by envelopes.
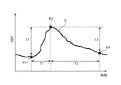
  • the “predetermined criterion” for detecting the blood pressure surge is a peak detection section (for example, as shown in FIG. 7 (an example of an individual waveform of the blood pressure surge is shown by a curve C)).
  • the period of 15 beats includes the time from the surge start point P1 to the time of the surge peak point P2, and the systolic blood pressure value (SBP) at the time of the surge start point P1 and the systolic period at the time of the peak point P2.
  • the difference (blood pressure fluctuation amount) L1 from the blood pressure value (SBP) is 20 mmHg (or 15 mmHg) or more, and the period T1 between the time of the surge start point P1 and the time of the peak point P2 is larger than 5 beats. It also means that the period T3 between the time of the peak point P2 and the time of the surge end point P4 is larger than 7 beats.
  • the surge start point P1 is defined as a point prior to the peak point P2 that gives the minimum systolic blood pressure value (SBP).
  • the control unit 310 acts as an individual waveform acquisition unit, and for each of the detected blood pressure surges 803,803, ..., Corresponds to a plurality of beats forming the blood pressure surge 803.
  • the envelope connecting the peaks (in this example, the peak corresponding to systolic blood pressure (SBP)) is obtained as an individual waveform.
  • SBP systolic blood pressure
  • FIG. 7 the individual waveform of the blood pressure surge is represented by a curve C forming a mountain shape.
  • the control unit 310 acts as a statistical processing unit, and in this example, all the obtained individual waveforms are statistically processed in the time series data 801. Obtain the typical waveform and waveform variation of the blood pressure surge.
  • statistical processing refers to processing for averaging individual waveforms.
  • the "typical waveform” of a blood pressure surge refers to an average waveform obtained by averaging a plurality of individual waveforms.
  • the "waveform variation” of the blood pressure surge refers to the width of the distribution of a plurality of individual waveforms.
  • the process of averaging the individual waveforms of blood pressure surges means the following process. As illustrated in FIG. 8, it is assumed that the individual waveform C1 of "surge No. 1" and the individual waveform C2 of "surge No. 2" exist as blood pressure surges. In this case, the process of averaging the individual curves of the blood pressure surge is the horizontal direction X on the coordinate plane Q including the horizontal coordinates X representing the passage of time and the vertical coordinates Y representing the amount of blood pressure fluctuation associated with the blood pressure surge.
  • the blood pressure fluctuation amount data of the plurality of individual curves C1 and C2 for each lateral coordinate X Corresponds to the process of obtaining a curve Cav showing an average waveform as a representative waveform by averaging.
  • the lateral coordinates X representing the passage of time are defined by the beat numbers that specify the beat-corresponding peaks.
  • the longitudinal coordinate Y is determined by the amount of fluctuation in the systolic blood pressure value (SBP) associated with the blood pressure surge.
  • SBP systolic blood pressure value
  • the range of the "waveform variation" of the blood pressure surge is the lateral coordinate X using the standard deviation ⁇ of the distribution (distribution for each lateral coordinate X) formed by the blood pressure fluctuation data of a plurality of individual waveforms.
  • Each is defined as a range of ⁇ k times the standard deviation ⁇ (where k is a natural number).
  • k is set as 1, 2 or 3.
  • the range of “waveform variation” of blood pressure surge is the range of ⁇ ⁇ .
  • the display of the region showing the waveform variation ⁇ ⁇ (for example, the region Sd shown in FIG. 9B described later) is when the variation of the individual waveform is sufficient to be treated as a normal distribution (for example, several tens). In the above cases), it becomes a particularly useful display.
  • control unit 310 acts as a part of the display processing unit to generate an average waveform in a region (represented by the symbol Sd) indicating the waveform variation of the blood pressure surge.
  • Image data of an aspect in which the shown curve Cav is superimposed is created.
  • step S104 of FIG. 5A it is assumed that the individual waveforms C11, C12, C13, ... Are obtained in step S104 of FIG. 5A.
  • step S106 of FIG. 5A as shown in FIG. 9B, for example, image data Im in an embodiment in which the curve Cav showing the average waveform is superimposed on the region Sd showing the waveform variation is obtained.
  • the curve Cav showing the average waveform is represented by a solid line with a certain concentration.
  • the region Sd showing the waveform variation is represented as a region having an intermediate concentration between the curve Cav and the background region (white region in this example) Bg.
  • step S107 of FIG. 5A the control unit 310 of the server 300 sends the created image data Im via the network 900, in this example, the provider of the time series data of blood pressure. Send to the hospital terminal 200A.
  • control unit 310 of the server 300 may transmit the image data Im to a hospital terminal 200B or the like other than the hospital terminal 200A according to the designation of the user who operates the hospital terminal 200A, for example.
  • FIG. 10 shows a detailed flow of statistical processing for individual waveforms of blood pressure surges by the control unit 310 of the server 300 described in step S105 of FIG. 5A.
  • the control unit 310 acquires time-series data of beat-corresponding peaks of individual waveforms for all detected blood pressure surges from the database 321.
  • the number of acquired blood pressure surges is N.
  • the detected blood pressure surge No. 1 is specified by a start time (start point time) 22:20:15, a peak time (peak time) 22:20:21, and an end time (end point time) 22:20:26.
  • blood pressure surge No. 2 is specified at a start time of 22:25:35, a peak time of 22:25:44, and an end time of 22:25:52.
  • the time notation is "hour: minute: second" (the same applies hereinafter).
  • blood pressure surge No. Regarding No. 1 as for the time-series data of the beat-corresponding peaks of the individual waveforms, for example, as shown in the table MT2 of FIG. 12, at the start time 22:20:15, the peak corresponding to SBP as the beat-corresponding peak is 130 [mmHg]. , The peak corresponding to DBP is recorded as 78 [mmHg], and the pulse rate PR is recorded as 61 [beats / minute].
  • the peak corresponding to SBP is 134 [mmHg]
  • the peak corresponding to DBP is 80 [mmHg]
  • the pulse rate PR is 60 [beats / minute].
  • the time-series data of the peaks corresponding to beats are recorded sequentially, and at the end time of 22:20:26, the peak corresponding to SBP is 133 [mmHg], the peak corresponding to DBP is 82 [mmHg], and the pulse rate PR. Is recorded as 61 [beats / minute].
  • the blood pressure surge No. As for 2, the time-series data of the beat-corresponding peaks of the individual waveforms are recorded in the same manner.
  • the offset By performing the offset in this way, it becomes easy to grasp the curve Cav showing the average waveform as a typical waveform and the waveform variation ⁇ ⁇ for each lateral coordinate X.
  • control unit 310 identifies the individual waveform having the longest X-direction (horizontal) dimension among the N individual waveforms. Further, the longest dimension in the X direction is obtained as the number of beats M.
  • control unit 310 secures a memory area of N rows and M columns in the storage unit 320 as a work area for executing the calculation.
  • the number of acquired blood pressure surges N 2
  • the X-direction dimension of the individual waveform C1 of “Surge No. 1” is 12 beats. It is assumed that the individual waveform C2 of "Surge No. 2" has a dimension in the X direction of 17 beats.
  • a memory area of 2 rows and 17 columns is secured as a work area for the purpose.
  • N of acquired blood pressure surges is actually larger than 2
  • a memory area having a number of rows greater than 2 is secured.
  • the beat numbers representing the X-direction coordinates are represented.
  • the control unit 310 relatively slides N individual waveforms with respect to the lateral direction X in the memory area of N rows and M columns to obtain peaks of N individual waveforms. Align the positions (beat numbers). For example, in the example of FIG. 13, the positions of the peaks of the two individual waveforms C1 and C2 of "surge No. 1" and “surge No. 2" in the lateral direction X are surrounded by a beat number 10 (circled by a broken line). It is arranged in the place of). As a result, in the second row of the table MT3, the blood pressure fluctuation amount data of "surge No.
  • the control unit 310 statistically processes (averages in this example) the blood pressure fluctuation amount data of N individual waveforms for each beat number (column). Find the average value. For example, in the example of FIG. 13, in the lowermost row (fourth row) of the table MT3, for each beat number of the blood pressure fluctuation amount data in the case of the individual waveforms of the above-mentioned "surge No. 1" and "surge No. 2". The average value is shown. The average value of the beat numbers determines a curve Cav showing an average waveform as a representative waveform.
  • the control unit 310 has an individual waveform shorter than the individual waveform having the longest X-direction dimension among the N individual waveforms (“surge No. 2” in the above example) (“surge No. 2” in the above example).
  • the contribution of the portion short of the longest individual waveform ("Surge No. 2 "in the above example) to the statistical processing of the blood pressure fluctuation amount data is set to zero.
  • the individual waveform of "surge No. 1” the portion where the X-direction dimension is insufficient compared to the individual waveform of "surge No. 2", that is, the portions of beat numbers 1 to 3, and the beat.
  • the contribution of the blood pressure fluctuation data to the statistical processing is set to zero.
  • the statistical processing of the blood pressure fluctuation amount data can be performed without any trouble.
  • control unit 310 obtains the standard deviation ⁇ of the distribution formed by the blood pressure fluctuation amount data of N individual waveforms for each beat number (column).
  • the area of ⁇ ⁇ for each beat number defines the area Sd showing the waveform variation described above.
  • N individual waveforms are further added. It may be normalized so that the heights of the peaks of are aligned. This makes it easier to grasp the curve Cav showing the average waveform as a typical waveform and the waveform variation ⁇ ⁇ for each lateral coordinate X.
  • the hospital terminal 200A receives the image data Im as shown in FIG. 9B from the server 300 via the network 900.
  • the control unit 210 of the hospital terminal 200A works as a part of the display processing unit, and the display screen of the display 240 is displayed. Image data Im is displayed.
  • the blood pressure fluctuation amount (systolic blood pressure value (SBP) at the time of the surge start point P1 and the systolic blood pressure value (SBP) at the time of the peak point P2 shown in FIG. 7) is displayed on the display screen of the display 240.
  • the mean value of the difference L1) from and the value of the standard deviation ⁇ (or ⁇ ⁇ , ⁇ 2 ⁇ , ⁇ 3 ⁇ ) of the distribution may be displayed together.
  • the user can grasp the curve Cav showing the typical waveform of the blood pressure surge in the subject 90 and the region Sd showing the waveform variation. This is considered to be useful as a material for evaluating the risk of cardiovascular disease and a material for evaluating the risk of disease of a specific organ, in addition to the diagnosis and treatment of SAS.
  • the user may input a transfer instruction via the operation unit 230 of the hospital terminal 200A and transmit the image data Im to a hospital terminal 200B or the like other than the hospital terminal 200A.
  • a doctor as a user operates the operation unit 230 of the hospital terminal 200A, and the time-series data of the blood pressure measured for the subject 90 and the information indicating the physical condition specific period are combined with each other via the network 900.
  • Send to server 300 for example, a doctor as a user operates the operation unit 230 of the hospital terminal 200A, and the time-series data of the blood pressure measured for the subject 90 and the information indicating the physical condition specific period are combined with each other via the network 900.
  • server 300 Send to server 300.
  • the server 300 is always in an operating state (however, the maintenance period, etc. are excluded), and FIG. 5B (shows the operating flow of the server 300 when executing an applied blood pressure-related information display method).
  • step S151 of the above the data from the hospital terminal 200A is awaited.
  • the control unit 310 of the server 300 receives the above-mentioned data (time-series data of blood pressure and information representing the physical condition specific period) from the hospital terminal 200A from the network 900 via the communication unit 390 as an input unit (step). YES in S151), the time-series data of the received blood pressure and the information representing the physical condition specific period are stored in the database 321 of the storage unit 320. Then, the processes of steps S152 to S157 described below are executed.
  • control unit 310 acts as a preprocessing unit, smoothing using a moving average known for time series data of blood pressure, noise removal, and high frequency components using a low-pass filter. Perform pretreatment such as removal.
  • the control unit 310 acts as a blood pressure surge detection unit and discloses it to, for example, Japanese Patent Application No. 2017-0489946 and Japanese Patent Application No. 2017-050066 from the time series data of the blood pressure of the subject 90.
  • the blood pressure surge is detected based on a predetermined criterion.
  • a predetermined criterion for example, in FIG. 6B, a plurality of blood pressure surges are detected as shown by the broken line rectangular frames 803, 803, ....
  • the "predetermined determination criterion" for detecting the blood pressure surge is the same as the determination criterion described with reference to FIG. 7 with respect to step S103 of FIG. 5A.
  • the control unit 310 acts as an individual waveform acquisition unit, and for each of the detected blood pressure surges 803,803, ..., Corresponds to a plurality of beats forming the blood pressure surge 803.
  • the envelope connecting the peaks (in this example, the peak corresponding to systolic blood pressure (SBP)) is obtained as an individual waveform.
  • SBP systolic blood pressure
  • FIG. 7 the individual waveform of the blood pressure surge is represented by a curve C forming a mountain shape.
  • the control unit 310 functions as a statistical processing unit, and in this example, statistically processes a plurality of individual waveforms obtained for each physical condition specific period described above.
  • the representative waveform and waveform variation of the blood pressure surge in the time series data 801 are obtained.
  • a certain physical condition specific period for example, apnea period
  • the blood pressure surge is in the physical condition specific period. Treated as occurring.
  • the “statistical process” refers to a process of averaging individual waveforms in the same manner as described with reference to FIG. 8 (and FIGS.
  • a plurality of processes for averaging the individual curves of the blood pressure surge are performed with respect to the horizontal direction X on the coordinate plane Q including the horizontal coordinates X representing the passage of time and the vertical coordinates Y representing the amount of blood pressure fluctuation associated with the blood pressure surge.
  • the blood pressure fluctuation data of the plurality of individual curves C1 and C2 are averaged for each lateral coordinate X. Then, it corresponds to the process of obtaining the curve Cav showing the average waveform as a typical waveform.
  • the range of the “wave pressure variation” of the blood pressure surge is the distribution (distribution for each lateral coordinate X) formed by the blood pressure fluctuation amount data of a plurality of individual waveforms. ) Is defined as a range of ⁇ ⁇ for each lateral coordinate X using the standard deviation ⁇ .
  • a curve Cav showing an average waveform as a representative waveform and a waveform variation ⁇ ⁇ for each lateral coordinate X can be obtained for each physical condition specific period.
  • apnea period including hypopnea period
  • REM sleep period REM sleep period
  • non-REM sleep period non-REM sleep period
  • awakening period the apnea period
  • a curve Cav showing an average waveform as a representative waveform and a waveform variation ⁇ ⁇ for each lateral coordinate X can be obtained.
  • a curve Cav showing an average waveform as a representative waveform and a waveform variation ⁇ ⁇ for each lateral coordinate X can be obtained for each of the REM sleep period, the non-REM sleep period, and the awakening period.
  • step S156 of FIG. 5B the control unit 310 acts as a part of the display processing unit, and is as illustrated in FIG. 9B for each physical condition specific period described above.
  • Image data Im in an embodiment in which the curve Cav showing the average waveform is superimposed on the region Sd showing the waveform variation of the blood pressure surge is created.
  • the region Sd1 showing waveform variation for each of the apnea period including the hypopnea period
  • the REM sleep period REM
  • the non-REM sleep period NREM
  • Sd2, Sd3, and Sd4 are superposed with curves Cav1, Cav2, Cav3, and Cav4 showing average waveforms, respectively, to obtain image data Im1, Im2, Im3, and Im4.
  • step S157 of FIG. 5B the control unit 310 of the server 300 transmits the image data Im1, Im2, Im3, Im4 created for each physical condition specific period to this example via the network 900. Then, it is transmitted to the hospital terminal 200A, which is the provider of the blood pressure time series data.
  • the control unit 310 of the server 300 transmits the image data Im1, Im2, Im3, Im4 to, for example, a hospital terminal 200B other than the hospital terminal 200A according to the designation of the user who operates the hospital terminal 200A. May be good.
  • FIG. 14 shows a flow of display processing on the hospital terminal 200A when image data created for each physical condition specific period is received from the server 300.
  • the hospital terminal 200A will be described, but other hospital terminals 200B and the like can also perform the same display processing.
  • the hospital terminal 200A receives the image data created for each physical condition specific period from the server 300 via the network 900.
  • apnea period including hypopnea period
  • REM sleep period REM sleep period
  • non-REM sleep period REM sleep period
  • the control unit 210 of the hospital terminal 200A functions as a part of the display processing unit, and as shown in FIG. 15A, the image data Im1 created for each physical condition specific period on the display screen of the display 240. , Im2, Im3, and Im4 are displayed side by side as thumbnails (step S202 in FIG. 14).
  • the display screen of the display 240 has a physical condition specifying column 241 that specifies the physical condition specifying period and an image data column 242 arranged below the physical condition specifying column 241. It is displayed.
  • an "apnea” column 241a representing an apnea period, a “REM” column 241b representing a REM sleep period, and a “non-REM sleep period” are displayed.
  • a “NREM” column 241c and an "awakening response" column 241d representing the awakening period are included.
  • the image data column 242 includes a column 242a for displaying the image data Im1 created for the aspiration period, a column 242b for displaying the image data Im2 created for the REM sleep period, and an image data created for the non-REM sleep period.
  • a column 242c for displaying Im3 and a column 242d for displaying image data Im4 created for the awakening period are included.
  • the image data Im1 created for the apnea period has a mode in which the curve Cav1 showing the average waveform is superimposed on the region Sd1 showing the waveform variation.
  • the image data Im2 created for the REM sleep period has a mode in which the curve Cav2 showing the average waveform is superimposed on the region Sd2 showing the waveform variation.
  • the image data Im3 created for the non-REM sleep period has a mode in which the curve Cav3 showing the average waveform is superimposed on the region Sd3 showing the waveform variation.
  • the image data Im4 created for the awakening period has a mode in which the curve Cav4 showing the average waveform is superimposed on the region Sd4 showing the waveform variation.
  • each physical condition specific period in other words, every period when the subject 90 is in a physical condition that can cause a blood pressure surge.
  • the curve Cav showing the typical waveform of the blood pressure surge in the subject 90 and the region Sd showing the waveform variation can be grasped. Therefore, the user can easily grasp, for example, the factor (physical condition) that causes the most serious blood pressure surge. For example, among the image data Im1, Im2, Im3, Im4, since the blood pressure fluctuation amount of the image data Im1 created for the apnea period is the largest, it is determined that "apnea" causes the most serious blood pressure surge. You may.
  • the control unit 210 of the hospital terminal 200A determines whether or not the displayed image data Im1, Im2, Im3, Im4 are selected.
  • the control unit 210 displays as shown in FIG. 15B.
  • the image data for the selected physical condition specific period in this example, the image data Im1 created for the apnea period
  • the amount of blood pressure fluctuation for the selected physical condition specific period (systolic blood pressure value (SBP) and peak point P2 at the time of surge start point P1 shown in FIG. 7).
  • the average value of the difference L1) from the systolic blood pressure value (SBP) at the time of, and the value of the standard deviation ⁇ (or ⁇ ⁇ , ⁇ 2 ⁇ , ⁇ 3 ⁇ ) of the distribution may also be displayed.
  • control unit 210 turns off the image (step S205 of FIG. 14) and ends this display process. To do.
  • the user may input a transfer instruction via the operation unit 230 of the hospital terminal 200A and transmit the image data Im1, Im2, Im3, Im4 to a hospital terminal 200B or the like other than the hospital terminal 200A. ..
  • displaying the image data Im1, Im2, Im3, Im4 in the mode in which the curve showing the average waveform is superimposed on the region showing the waveform variation of the blood pressure surge is a diagnosis of SAS.
  • it is considered to be useful as a material for evaluating the risk of cardiovascular disease and as a material for evaluating the risk of disease of a specific organ.
  • the server 300 creates image data Im (or image data Im1, Im2, Im3, Im4 for each physical condition specific period; the same applies hereinafter), and displays 240 of the hospital terminals 200A, 200B, ... Displayed an image, but it is not limited to this.
  • the control unit 310 of the server 300 transmits only the data for image creation, and the control unit 210 of the hospital terminals 200A, 200B, ... Data Im may be created.
  • the blood pressure-related information display device of the present invention is configured as a system 100 on a network including hospital terminals 200A, 200B, ... And a server 300, but the present invention is not limited thereto.
  • the blood pressure-related information display device of the present invention may be configured with only one of the hospital terminals 200A, 200B, .... That is, from the reception of all of the above-mentioned blood pressure-related information display methods (time-series data of blood pressure from the sphygmomanometer 400 and information indicating the physical condition specific period from the PSG device 500) on the hospital terminal (for example, 200A), the display 240 (Including the display of image data Im and the like on the display screen) may be executed.
  • the display 240 Including the display of image data Im and the like on the display screen
  • a program for executing the above-mentioned blood pressure-related information display method is installed in the control unit 210 in the memory 220 of the hospital terminal 200A.
  • the blood pressure-related information display device of the present invention can be configured compactly and compactly.
  • the above-mentioned blood pressure-related information display method can be used as software (computer program) to record non-transitory data such as a CD (compact disc), DVD (digital universal disc), and flash memory. It may be recorded on a medium.
  • a substantial computer device such as a personal computer, a PDA (Personal Digital Assistance), or a smartphone, the above-mentioned blood pressure-related information is displayed on those computer devices. The method can be executed.
  • the region Sd indicating the waveform variation constituting the image data Im is ⁇ k times (typically ⁇ ⁇ , ⁇ k times the standard deviation ⁇ of the distribution formed by the blood pressure fluctuation data for each lateral coordinate X. It was defined as a range of ⁇ 2 ⁇ or ⁇ 3 ⁇ ). However, the range of the region Sd showing the waveform variation is not limited to that defined by using the standard deviation ⁇ .
  • the region Sd showing the waveform variation may be defined as the interquartile range of the distribution formed by the blood pressure fluctuation amount data for each lateral coordinate X. That is, as a process, the blood pressure fluctuation amount data is arranged in ascending order for each lateral coordinate X. Then, the first quartile is the lower limit of the region Sd, and the third quartile is the upper limit of the region Sd. As a result, the region Sd showing the waveform variation can be obtained.
  • the "typical waveform" of the blood pressure surge is an average waveform obtained by averaging a plurality of individual waveforms, but the waveform is not limited to this.
  • the "typical waveform" of the blood pressure surge may be the second quartile (median) of the distribution formed by the blood pressure fluctuation data for each lateral coordinate X.
  • blood pressure fluctuation amount data can be arranged in ascending order for each lateral coordinate X, and the median value can be arranged in the lateral direction to obtain a representative waveform.
  • the region Sd indicating the waveform variation constituting the image data Im is formed on the display screen of the display 240, for example, as shown in FIG. 9B, a curve cab showing a typical waveform and a background. It was displayed as a region with an intermediate concentration between the region Bg.
  • the display mode of the region Sd showing the waveform variation is not limited to the region having an intermediate density.
  • FIG. 16A exemplifies a plurality of individual waveforms C11, C12, C13, ..., Similar to FIG. 9A.
  • a plurality of individual waveforms C11, C12 can be distinguished from the curve Cav'showing a typical waveform so as to form a region Sd'showing waveform variation.
  • a curve Ci indicating C13, ... May be displayed.
  • the curve Cav' is displayed as a solid line
  • the curves Ci indicating a plurality of individual waveforms C11, C12, C13, ... are displayed as broken lines.
  • the image data in the mode in which the curve Cav'showing a typical waveform is superposed on the region Sd' (including a plurality of curves Ci) showing the waveform variation is represented by the reference numeral Im'.
  • the user can intuitively grasp the curve Cav'showing the typical waveform of the blood pressure surge in the subject 90 and the region Sd' showing the waveform variation.
  • the display of the curve Ci showing the plurality of individual waveforms is useful for allowing the user to grasp the variation of the individual waveforms C11, C12, C13, ..., For example, when the number of individual waveforms is several or less.
  • the curve Cav'showing a typical waveform and the curve Ci showing a plurality of individual waveforms C11, C12, C13, ... can be distinguished.
  • the curve Cav'showing a typical waveform may be displayed by a solid red line
  • the curve Ci showing a plurality of individual waveforms C11, C12, C13, ... May be displayed by a solid blue line.
  • the acquisition is performed while creating and displaying the first image data Im including the region Sd (the region having an intermediate density of ⁇ ⁇ in the vertical direction) showing the waveform variation as shown in FIG. 9B. If the number N of blood pressure surges is less than the threshold value N ⁇ , the region Sd'(curves Ci showing a plurality of individual waveforms C11, C12, C13, ...) Showing waveform variation as shown in FIG. 16 (B) is formed. You may create and display the included second image data Im'. Whether or not the number N of blood pressure surges is larger than the threshold value N ⁇ can be determined, for example, by the control unit 310 of the server 300 acting as the blood pressure surge number determination unit.
  • the control unit 310 of the server 300 includes the first image data Im including the region Sd showing the waveform variation as shown in FIG. 9B. Both may be created with the second image data Im ′ including the region Sd ′ showing various waveform variations.
  • both the first image data and the second image data are transmitted from the server 300 to the hospital terminal (for example, 200A), and input to the user via the operation unit 230 of the hospital terminal (for example, 200A).
  • the display of the first image data Im'and the display of the second image data Im' may be switched on the display screen of the display 240.
  • the sphygmomanometer 400 is a tonometry type sphygmomanometer, but the present invention is not limited to this.
  • the sphygmomanometer 400 includes a light emitting element that irradiates light toward an artery passing through a corresponding portion of the measurement site and a light receiving element that receives reflected light (or transmitted light) of the light, and has an arterial pulse. Blood pressure may be detected continuously based on the change in volume of the wave (photoelectric method).
  • the sphygmomanometer 400 is provided with a piezoelectric sensor that is in contact with the part to be measured, and detects the strain due to the pressure of the artery passing through the corresponding part of the part to be measured as a change in electrical resistance, and changes in this electrical resistance. Blood pressure may be continuously detected based on (piezoelectric method). Further, the sphygmomanometer 400 includes a transmitting element that sends a radio wave (transmitted wave) toward an artery passing through a corresponding portion of the measured portion, and a receiving element that receives a reflected wave of the radio wave, and has an arterial pulse.
  • a radio wave transmitted wave
  • the change in the distance between the artery and the sensor due to the wave may be detected as the phase shift between the transmitted wave and the reflected wave, and the blood pressure may be continuously detected based on this phase shift (radio wave irradiation method). ). Further, if a physical quantity capable of calculating blood pressure can be observed, a method other than these may be applied.

Landscapes

  • Health & Medical Sciences (AREA)
  • Life Sciences & Earth Sciences (AREA)
  • Engineering & Computer Science (AREA)
  • Physics & Mathematics (AREA)
  • Public Health (AREA)
  • Surgery (AREA)
  • Veterinary Medicine (AREA)
  • General Health & Medical Sciences (AREA)
  • Animal Behavior & Ethology (AREA)
  • Biophysics (AREA)
  • Pathology (AREA)
  • Biomedical Technology (AREA)
  • Heart & Thoracic Surgery (AREA)
  • Medical Informatics (AREA)
  • Molecular Biology (AREA)
  • Cardiology (AREA)
  • Physiology (AREA)
  • Artificial Intelligence (AREA)
  • Vascular Medicine (AREA)
  • Psychiatry (AREA)
  • Computer Vision & Pattern Recognition (AREA)
  • Signal Processing (AREA)
  • Evolutionary Computation (AREA)
  • Fuzzy Systems (AREA)
  • Mathematical Physics (AREA)
  • Computer Networks & Wireless Communication (AREA)
  • Measuring Pulse, Heart Rate, Blood Pressure Or Blood Flow (AREA)
PCT/JP2020/008976 2019-03-25 2020-03-03 血圧関連情報表示装置、血圧関連情報表示方法、およびプログラム Ceased WO2020195615A1 (ja)

Priority Applications (3)

Application Number Priority Date Filing Date Title
CN202080024289.4A CN113645897B (zh) 2019-03-25 2020-03-03 血压关联信息显示装置、血压关联信息显示方法、以及存储介质
DE112020001440.1T DE112020001440T5 (de) 2019-03-25 2020-03-03 Anzeigevorrichtung für blutdruckbezogene Informationen, Anzeigeverfahren für blutdruckbezogene Informationen und Programm
US17/484,422 US12186060B2 (en) 2019-03-25 2021-09-24 Blood pressure-related information display device, blood pressure-related information display method, and computer-readable recording medium

Applications Claiming Priority (2)

Application Number Priority Date Filing Date Title
JP2019-057000 2019-03-25
JP2019057000A JP7267055B2 (ja) 2019-03-25 2019-03-25 血圧関連情報表示装置、血圧関連情報表示方法、およびプログラム

Related Child Applications (1)

Application Number Title Priority Date Filing Date
US17/484,422 Continuation US12186060B2 (en) 2019-03-25 2021-09-24 Blood pressure-related information display device, blood pressure-related information display method, and computer-readable recording medium

Publications (1)

Publication Number Publication Date
WO2020195615A1 true WO2020195615A1 (ja) 2020-10-01

Family

ID=72610007

Family Applications (1)

Application Number Title Priority Date Filing Date
PCT/JP2020/008976 Ceased WO2020195615A1 (ja) 2019-03-25 2020-03-03 血圧関連情報表示装置、血圧関連情報表示方法、およびプログラム

Country Status (5)

Country Link
US (1) US12186060B2 (enExample)
JP (1) JP7267055B2 (enExample)
CN (1) CN113645897B (enExample)
DE (1) DE112020001440T5 (enExample)
WO (1) WO2020195615A1 (enExample)

Families Citing this family (1)

* Cited by examiner, † Cited by third party
Publication number Priority date Publication date Assignee Title
JP6766708B2 (ja) * 2017-03-15 2020-10-14 オムロンヘルスケア株式会社 情報処理装置、方法及びプログラム

Citations (3)

* Cited by examiner, † Cited by third party
Publication number Priority date Publication date Assignee Title
JP2003290174A (ja) * 2002-03-29 2003-10-14 Sofutorokkusu:Kk 生体器官の監視方法
JP2014168574A (ja) * 2013-03-04 2014-09-18 Omron Healthcare Co Ltd 電子血圧計
JP2018153232A (ja) * 2017-03-15 2018-10-04 オムロンヘルスケア株式会社 情報処理装置、方法及びプログラム

Family Cites Families (11)

* Cited by examiner, † Cited by third party
Publication number Priority date Publication date Assignee Title
US5178154A (en) * 1990-09-18 1993-01-12 Sorba Medical Systems, Inc. Impedance cardiograph and method of operation utilizing peak aligned ensemble averaging
US7527597B2 (en) * 2001-01-16 2009-05-05 Biomedical Acoustic Research Corporation Acoustic detection of vascular conditions
US7041061B2 (en) * 2002-07-19 2006-05-09 Cardiac Pacemakers, Inc. Method and apparatus for quantification of cardiac wall motion asynchrony
JP4342455B2 (ja) * 2005-02-03 2009-10-14 株式会社東芝 健康管理装置および健康管理システム
US20110082357A1 (en) * 2008-05-28 2011-04-07 Neetour Medical Ltd. Method and apparatus for co2 evaluation
EP2668896B1 (en) * 2011-01-24 2014-12-17 Act Medical Service Co., Ltd. Blood vessel pulse-wave measuring system
CN104398257A (zh) * 2014-12-08 2015-03-11 蚌埠医学院 一种心电波形周期性统计分析方法
JP6548522B2 (ja) 2015-08-31 2019-07-24 カルソニックカンセイ株式会社 吸着器の作製方法
JP6508473B2 (ja) 2015-08-31 2019-05-08 東芝ライテック株式会社 照明器具
CN108135511B (zh) 2015-11-10 2021-03-12 欧姆龙健康医疗事业株式会社 诊断支援装置、诊断支援方法、记录介质
US10973422B2 (en) * 2016-01-22 2021-04-13 Fitbit, Inc. Photoplethysmography-based pulse wave analysis using a wearable device

Patent Citations (3)

* Cited by examiner, † Cited by third party
Publication number Priority date Publication date Assignee Title
JP2003290174A (ja) * 2002-03-29 2003-10-14 Sofutorokkusu:Kk 生体器官の監視方法
JP2014168574A (ja) * 2013-03-04 2014-09-18 Omron Healthcare Co Ltd 電子血圧計
JP2018153232A (ja) * 2017-03-15 2018-10-04 オムロンヘルスケア株式会社 情報処理装置、方法及びプログラム

Also Published As

Publication number Publication date
DE112020001440T5 (de) 2021-12-09
US20220007951A1 (en) 2022-01-13
CN113645897B (zh) 2025-04-15
US12186060B2 (en) 2025-01-07
JP2020156609A (ja) 2020-10-01
CN113645897A (zh) 2021-11-12
JP7267055B2 (ja) 2023-05-01

Similar Documents

Publication Publication Date Title
US12263018B2 (en) Spot check measurement system
JP5584413B2 (ja) 患者監視システム及び監視する方法
CN104321013B (zh) 用于基于ecg信号来提供睡眠质量的视觉表示的方法和装置
JP4280806B2 (ja) 非侵襲性心拍出量監視による患者の監視システム
JP5231561B2 (ja) 改善型患者モニタリング
EP2898823B1 (en) Monitoring apparatus
KR20100083537A (ko) 생체 정보를 표시하는 방법 및 장치
US11185253B2 (en) Pattern recognition system for quantifying the likelihood of the contribution of multiple possible forms of chronic disease to patient reported dyspnea
JP2016112049A (ja) 脈波解析装置
JP6547838B2 (ja) 診断支援装置、診断支援方法、診断支援プログラム
WO2020195615A1 (ja) 血圧関連情報表示装置、血圧関連情報表示方法、およびプログラム
US12023145B2 (en) Gas exchange systems and methods for calculating ventilatory threshold and evaluating pulmonary arterial hypertension
JP6762061B1 (ja) ソフトウェア
CN106572813B (zh) 用于量化慢性疾病的多种可能形式对被报告呼吸困难的患者的贡献的可能性的模式识别系统
JP2020156609A5 (enExample)
JP7256049B2 (ja) 血圧関連情報表示装置、血圧関連情報表示方法、およびプログラム
CN118574569A (zh) 心音分析装置、心音分析程序和记录介质
JP2022167320A (ja) 脈波解析装置、脈波解析方法、および脈波解析プログラム
JP2010057678A (ja) 心電図解析装置、心電図解析方法及び心電図解析プログラム
EP4465305A1 (en) Methods and systems for using and training clinical support algorithms
JP7253419B2 (ja) 血圧関連情報表示装置、血圧関連情報表示方法、およびプログラム
EP4627588A1 (en) System and method for patient monitoring
CN118574568A (zh) 心音提取装置、心音提取程序、记录介质及监测系统
CN119855543A (zh) 生理信息显示装置和生理信息显示方法
JP2020130531A (ja) 血圧関連情報処理装置、血圧関連情報処理方法、およびプログラム

Legal Events

Date Code Title Description
121 Ep: the epo has been informed by wipo that ep was designated in this application

Ref document number: 20777830

Country of ref document: EP

Kind code of ref document: A1

122 Ep: pct application non-entry in european phase

Ref document number: 20777830

Country of ref document: EP

Kind code of ref document: A1

WWG Wipo information: grant in national office

Ref document number: 202080024289.4

Country of ref document: CN