WO2004018478A2 - Synthesis of epothilones, intermediates thereto, analogues and uses thereof - Google Patents
Synthesis of epothilones, intermediates thereto, analogues and uses thereof Download PDFInfo
- Publication number
- WO2004018478A2 WO2004018478A2 PCT/US2003/026367 US0326367W WO2004018478A2 WO 2004018478 A2 WO2004018478 A2 WO 2004018478A2 US 0326367 W US0326367 W US 0326367W WO 2004018478 A2 WO2004018478 A2 WO 2004018478A2
- Authority
- WO
- WIPO (PCT)
- Prior art keywords
- cyclic
- compound
- aryl
- heteroaryl
- acyclic
- Prior art date
- Legal status (The legal status is an assumption and is not a legal conclusion. Google has not performed a legal analysis and makes no representation as to the accuracy of the status listed.)
- Ceased
Links
- 0 C*CC=C(C(C)C(C)C)N Chemical compound C*CC=C(C(C)C(C)C)N 0.000 description 17
- SDDFPBYNXMVYGH-QRJSTWQJSA-N CC([C@H](C/C=C(\CC=C)/C(F)(F)F)O)=O Chemical compound CC([C@H](C/C=C(\CC=C)/C(F)(F)F)O)=O SDDFPBYNXMVYGH-QRJSTWQJSA-N 0.000 description 1
Classifications
-
- C—CHEMISTRY; METALLURGY
- C07—ORGANIC CHEMISTRY
- C07D—HETEROCYCLIC COMPOUNDS
- C07D417/00—Heterocyclic compounds containing two or more hetero rings, at least one ring having nitrogen and sulfur atoms as the only ring hetero atoms, not provided for by group C07D415/00
- C07D417/02—Heterocyclic compounds containing two or more hetero rings, at least one ring having nitrogen and sulfur atoms as the only ring hetero atoms, not provided for by group C07D415/00 containing two hetero rings
- C07D417/06—Heterocyclic compounds containing two or more hetero rings, at least one ring having nitrogen and sulfur atoms as the only ring hetero atoms, not provided for by group C07D415/00 containing two hetero rings linked by a carbon chain containing only aliphatic carbon atoms
-
- A—HUMAN NECESSITIES
- A61—MEDICAL OR VETERINARY SCIENCE; HYGIENE
- A61P—SPECIFIC THERAPEUTIC ACTIVITY OF CHEMICAL COMPOUNDS OR MEDICINAL PREPARATIONS
- A61P25/00—Drugs for disorders of the nervous system
-
- A—HUMAN NECESSITIES
- A61—MEDICAL OR VETERINARY SCIENCE; HYGIENE
- A61P—SPECIFIC THERAPEUTIC ACTIVITY OF CHEMICAL COMPOUNDS OR MEDICINAL PREPARATIONS
- A61P35/00—Antineoplastic agents
-
- C—CHEMISTRY; METALLURGY
- C07—ORGANIC CHEMISTRY
- C07D—HETEROCYCLIC COMPOUNDS
- C07D413/00—Heterocyclic compounds containing two or more hetero rings, at least one ring having nitrogen and oxygen atoms as the only ring hetero atoms
- C07D413/02—Heterocyclic compounds containing two or more hetero rings, at least one ring having nitrogen and oxygen atoms as the only ring hetero atoms containing two hetero rings
- C07D413/06—Heterocyclic compounds containing two or more hetero rings, at least one ring having nitrogen and oxygen atoms as the only ring hetero atoms containing two hetero rings linked by a carbon chain containing only aliphatic carbon atoms
-
- C—CHEMISTRY; METALLURGY
- C07—ORGANIC CHEMISTRY
- C07D—HETEROCYCLIC COMPOUNDS
- C07D419/00—Heterocyclic compounds containing two or more hetero rings, at least one ring having nitrogen, oxygen, and sulfur atoms as the only ring hetero atoms
- C07D419/02—Heterocyclic compounds containing two or more hetero rings, at least one ring having nitrogen, oxygen, and sulfur atoms as the only ring hetero atoms containing two hetero rings
- C07D419/06—Heterocyclic compounds containing two or more hetero rings, at least one ring having nitrogen, oxygen, and sulfur atoms as the only ring hetero atoms containing two hetero rings linked by a carbon chain containing only aliphatic carbon atoms
-
- C—CHEMISTRY; METALLURGY
- C07—ORGANIC CHEMISTRY
- C07D—HETEROCYCLIC COMPOUNDS
- C07D493/00—Heterocyclic compounds containing oxygen atoms as the only ring hetero atoms in the condensed system
- C07D493/02—Heterocyclic compounds containing oxygen atoms as the only ring hetero atoms in the condensed system in which the condensed system contains two hetero rings
- C07D493/04—Ortho-condensed systems
Definitions
- Epothilones A and B (2a and 2b, Scheme 1) are naturally occurring cytotoxic macrolides that were isolated from a cellulose degrading mycobacterium, Sorangium cellulosum (Hofle et al. Angew. Chem., Int. Ed. Engl. 1996, 35, 1567 andJ Ant ⁇ biot. 1996, 49, 560; each of which is incorporated herein by reference).
- epothilones A and B share the same mechanism of action as paclitaxel (Taxol ® ) which involves growth inhibition of tumor cells by tubulin polymerization and stabilization of microtubule assemblies (Bollag et al. Cancer Res.
- Taxol ® is far from an ideal drug. Its marginal water solubility necessitates recourse to formulation vehicles such as Cremophores that pose their own risks and management issues (Essayan et al. J. Allergy Clin. Immunol.
- Taxol ® is vulnerable to deactivation through multiple drug resistance (MDR) (Giannakakou et al. J. Biol. Chem. 1997, 272, 17118; incorporated herein by reference).
- MDR multiple drug resistance
- epothilones A and B retain remarkable potency against MDR tumor cells (Kowalski et al. Mol. Biol. Cell 1995, 6, 2137; incorporated herein by reference).
- the increased water solubility in comparison to paclitaxel may be useful for the formulability of epothilones.
- R, H
- R 2 CH 2 OH
- rso-dEpoE F 5d
- R, CH 3
- R 2 CHsOH, iso-dEpoF (ddEpoF)
- Figure 1 is a table of IC 50 values of epothilones against CCR -CEM, CCRF- CEM/VBL, and CCRF-CEM/Taxol cell growth.
- Cell growth inhibition was measured by XTT tetrazonium assay after 72-hour incubation for cell growth, as described previously (Scudiero et al. Cancer Res. 46:4827-4833, 1988; incorporated herein by reference).
- IC 50 values were determined from dose-effect relationship at six or seven concentrations of each drug, by using a computer program (Chou et al. Adv. Enzyme Regul. 22:27-55, 1984; Chou et al.
- Figure 2 is a 1HNMR spectrum of tr ⁇ y-9,10-dehydro-12,13-desoxyEpoB.
- Figure 5 is a C NMR spectrum of tr ⁇ lO-dehydro- ⁇ lS-desoxyEpoB.
- Figure 4 shows a scheme for synthesis of 11-R and 14-R epothilones using LACDAC-ring closing olefin methathesis, and illustrates certain substitutions available with synthetic strategies that pass through a 9,10-dehydro epothilone.
- Figure 5 presents relative cytotoxicity data against human leukemic cells in vitro for a variety of epothilone compounds and derivatives including certain 9,10- dehydro compounds (e.g., compound 7 in Figure 5 A and compound 88 and 89 in Figure 5B).
- Figure 6 depicts alternative synthetic strategies for preparing 9,10-dehydro epothilone analogs.
- Figure 6A illustrates a Macro-Stille strategy, a sp -sp coupling strategy, and ⁇ -Suzuki strategy.
- Figure 6B illustrates a Julia olefination strategy, a Wadsworth-Emmons strategy, and a Macro-Reformatosky strategy.
- Figure 6C illustrates a McMurry coupling strategy and a lactam analog synthesis.
- Figure 7 shows various analogs of 9,10-dehydro-12,13-desoxy EpoB.
- Figure 8 shows the therapeutic effect of 9,10-dehydro-dEpoB and dEpoB in nude mice bearing human mammary carcinoma MX-1 xenograft (iv infusion, Q2Dx3).
- Figure 9 shows the stability of epothilone analogs in murine plasma.
- Epo 1 is 12,13-desoxyE ⁇ oB
- Epo 2 is 26-F 3 -12,13-desoxyEpoB
- Epo 3 is (E)-9,10-dehydro- 12,13-desoxy ⁇ poB
- Epo 4 is 26-F 3 -(E)-9,10-dehydro-12,13-desoxyEpoB.
- Epo 3 is (E)-9,10-dehydro-12,13-desoxyEpoB.
- Figure 11 shows the potencies of various epothilone analogues against tumor cell growth in vitro and therapeutic index, as compared to paclitaxel and vinblastine.
- Figure 12 is a table summarizing the effect of dEpoB, Taxol, and 26-triF-9,10- deH-dEpoB against MX-1 xenograft in nude mice.
- Figure 13 shows the therapeutic effect of 26-trifluoro-9,10-dehydro-dEpoB and
- Figure 14 shows body weight changes of nude mice bearing human mammary carcinoma tumor MX-1 xenograft following treatment with 26-trifluoro-9,10-dehydro- dEpoB and 9,10-dehydro-EpoB (6 hour infusion, Q2Dx6 & Q2Dx9, respectively).
- Figure 15 shows the therapeutic effect of 26-trifluoro-9,10-dehydro-dEpoB and 9,10-dehydroEpoB on tumor size in nude mice bearing MX-1 xenografts (6 hour iv infusion, Q2Dx6 & Q2Dx9, respectively).
- Figure 16 shows body weight changes of nude mice bearing human mammary carcinoma tumor MX- 1 xenograft following treatment with 26-trifluoro-9, 10-dehydro- dEpoB and 9,10-dehydro-EpoB (6 hour iv infusion, Q2Dx6 & Q2Dx9, respectively).
- Figure 17 shows the therapeutic effect of 9,10-dehydro-dEpoB on tumor size in nude mice bearing HCT-116 xenografts (iv infusion, Q2Dx7).
- Figure 18 shows the effect of 9,10-dehydro-dEpoB on tumor size in nude mice bearing human colon carcinoma HCT-116 xenografts (iv infusion, Q3Dx5).
- Figure 19 shows the effect of 9,10-dehydro-dEpoB on tumor size in nude mice bearing A549/Taxol xenografts (6 hour iv infusion, Q3Dx7).
- Figure 20 shows changes in body weight of nude mice bearing A549/Taxol xenograft treated with 26-trifluoro-9,10-dehydro-dEpoB and 9,10-dehydro-dEpoB (6 hour iv infusion, Q3Dx7).
- Figure 21 shows the effect of 26-trifluoro-9,10-dehydro-dEpoB and 9,10- dehydro-dEpoB on tumor size in nude mice bearing A549/Taxol xenografts (6 hour iv infusion, Q2Dx7).
- Figure 22 shows changes in body weight of nude mice bearing A549/Taxol xenografts treated with 26-trifluoro-9,10-dehydro-dEpoB and 9,10-dehydro-dEpoB (6 hour iv infusion, Q2Dx7).
- Figure 23 shows the effect of 9,10-dehydro-EpoB on tumor size in nude mice bearing human colon carcinoma HCT-116 tumor xenografts (6 hour iv infusion).
- Figure 24 shows changes in body weight of nude mice bearing human colon carcinoma HCT-116 tumor xenograft following treatment with 9,10-dehydro-EpoB (6 hour iv infusion).
- Figure 25 shows microtubule formation from tubulin in the presence of various epothilone analogues at 37 °C
- Figure 26 shows microtubule formation from tubulin in the presence of various epothilone analogues at 4 °C.
- Figure 27 shows the effect of 9,10-dehydro-dEpoB and dEpoB on tumor size in nude mice bearing HCT-116 xenografts (iv infusion, Q2Dx6).
- Figure 28 shows changes in body weight of nude mice bearing HCT-116 xenografts after treatment with 9,10-dehydro-dEpoB and dEpoB (iv infusion, Q2Dx6).
- Figure 29 shows the effect of 9,10-dehydro-dEpoB on tumor size in nude mice bearing human colon carcinoma HCT-116 xenografts (iv infusion, Q3Dx4).
- Figure 30 shows changes in body weight of nude mice bearing human colon carcinoma tumor HCT- 116 xenografts following treatment with 9, 10-dehydro-dEpoB (5 mg/kg, iv infusion, X3Dx4).
- Figure 31 is a table with IC5 0 values for epothilone analogues against CCRF- CEM cell growth.
- Figure 32 shows the metabolic stability of epothilone analogues in vitro.
- Figure 33 is a table detailing the therapeutic effects of various epothilone analogues against human tumor xenografts in mice with 6 hour iv infusion.
- Figure 34 shows the effect of 9,10-dehydro-EpoB on tumor size in nude mice bearing human colon carcinoma HCT-116 tumor xenograft (6 hour iv infusion, Q2Dx7).
- Figure 35 shows changes in body weight of nude mice bearing human colon carcinoma HCT-116 tumor xenografts following treatment with 9,10-dehydro-EpoB and oxazole-EpoD (6 hour infusion, Q2Dx7).
- Figure 36 shows the effect of 26-trifluoro-9,10-dehydro-dEpoB and 9,10- dehydro-dEpoB on tumor size in nude mice bearing A549/Taxol xenografts (6 hour iv infusion, Q2Dx4).
- Figure 37 shows the effect of 9,10-dehydro-dEpoB on tumor size in nude mice bearing A549/Taxol xenografts (6 hour iv infusion, Q3Dx3).
- Figure 38 shows the stability of epothilone analogues in 20% mouse plasma/PBS.
- Figure 39 shows the stability of epothilone analogues in 10% Men Liver S9/PBS.
- Figure 40 shows EpoD stability chromatogram in 10% Men Liver S9/PBS.
- Figure 41 are tables describing the effect of various epothilone analogues on in vitro microtubule polymerization at 37 °C in the absence of GTP (A) and the cytotoxicity of various epothilone analogs in the human lung cell line A549 (B).
- Figure 42 shows the stabilization of microtubule formation by epothilones at 35 °C and 4 °C.
- Figure 43 shows the therapeutic effect of 9,10-dehydro-dEpoB in nude mice bearing T human mammary carcinoma (MX-1) xenograft (6 hour infusion, Q2Dx5).
- Figure 44 shows the change in body weight of nude mice bearing human mammary carcinoma (MX-1) xenograft following treatment with 9,10-dehydro-dEpoB (6 hour infusion, Q2Dx8).
- Figure 45 shows the change in body weight of nude mice bearing HCT-116 xenograft following treatment with 9,10-dehydro-dEpoB (iv infusion, Q2Dx7).
- Figure 46 shows the therapeutic effect of 9,10-dehydro-dEpoF, dEpoB, and Taxol on tumor size in nude mice bearing human mammary carcinoma (MX-1) tumor xenograft (6 hour iv infusion, Q2Dx6).
- Figure 47 shows the changes in body weight of nude mice bearing human mammary carcinoma (MX- 1 ) tumor xenograft following treatment with 9, 10-dehydro- dEpoF, dEpoB, and Taxol (6 hour infusion, Q2Dx6).
- Figure 48 shows the therapeutic effect of 9,10-dehydo-dEpoF and dEpoB in nude mice bearing human colon carcinoma HCT-116 xenograft (6 hour infusion, Q2Dx8).
- Figure 49 shows the changes in body weight of nude mice bearing HCT- 116 xenograft following treatment with 9,10-dehydro-dEpoF and dEpoB (6 hour infusion, Q2Dx8).
- Figure 50 shows the therapeutic effect of 9,10-dehydro-dEpoF and dEpoB in nude mice bearing Taxol-resistant human lung carcinoma (A549/Taxol) xenograft (6 hour infusion, Q2Dx5).
- Figure 51 shows changes in body weight of nude mice bearing Taxol-resistant human lung carcinoma (A549/Taxol) xenograft following treatment with 9,10-dehydro- dEpoF and dEpoB (6 hour infusion, Q2Dx5).
- Figure 52 is a table comparing the potency of various epothilone analogs with respect to inhibition of tumor growth in vitro and relative therapeutic index.
- Figure 53 shows the therapeutic effect of 9,10-dehydro-dEpoB in nude mice bearing MX-1 xenograft (Q3Dx9, 6 hr.-iv infusion).
- Figure 54 shows changes in body weight of nude mice bearing an MX-1 xenograft following treatment with 9,10-dehydro-dEpoB (Q3Dx9, 6 hr-iv infusion).
- Figure 55 shows the therapeutic effect of 9,10-dehydro-epothilone B in nude mice bearing MX-1 xenograft (Q3Dx9, 6 hour infusion).
- Figure 56 shows changes in body weight of nude mice bearing MX-1 xenograft following treatment with 9,10-dehydro-epothilone B (Q3Dx9, 6hr.-iv infusion).
- Figure 57 shows the therapeutic effect at low doses of 26-trifluoro-9,10- dehydro-dEpoB in nude mice bearing MX-1 xenograft (6 hr.-i.v. infusion, Q2Dxl2).
- Figure 58 shows changes in body weight of nude mice bearing a MX-1 xenograft following treatment with low doses of 26-trifluoro-9,10-dehydro-dEpoB (6hr.-i.v. infusion, Q2Dxl2).
- Figure 59 shows the chemotherapeutic effect of epothilone analogs against human tumor xenografts in nude mice.
- Tumor tissue 40-50 mg
- Treatment was started when tumor size reached about 100 mm or greater as indicated. All treatments as indicated by arrows were carried out with 6-hr-i.v. infusion via tail vein using a mini-catheter and progr ⁇ immable pump as described earlier (Su, D.- S. et al, Angew. Chem. Int. Ed. 1997, 36, 2093; Chou, T. C. et al. Proc. Natl. Acad. Sci. USA.
- mice were referred to as the total body weight minus tumor weight assuming 1 mm of tumor equals 1 mg of rumor tissue.
- A. Mammary carcinoma MX-1 xenograft treated with a low dose of 25-trifluoro-(E)-9,10- dehydro-12,13-desoxy ⁇ poB (10 mg/kg) when compared with those in Table 1 (20 mg kg and 30 mg/kg).
- MX-1 large xenografts (500 mm 3 ) were treated with 25- trifluoro-(E)-9,10-dehydro-12,13-desoxyE ⁇ oB (25 mg/kg) and dEpoB (30 mg/kg).
- FIG. 60 depicts the synthesis of C-21 modified 9,10-(E)-dehydro-epothilones.
- Figure 60 A shows the synthesis of 26-trifluoro-21-methylamino-9,10-(E)-dehydro- 12, 13 -desoxyepothilone B.
- Figure 60B is a synthetic scheme for the preparation to 26- trifluoro-21-amino-9,10-(E)-dehydro-12,13-desoxyepothilone B as an intermediate in the synthesis of 26-trifluoro-21-dimethylamino-9,10-(E)-dehydro-12,13- desoxyepothilone B.
- Figure 61 is table with IC 5 0 values for C-21 modified epothilones against tumor cell line CCRF-C ⁇ M and its drug-resistant sublines.
- Figure 62 shows the therapeutic effect of 26-trifluoro-9,10-dehydro-d ⁇ poB and Taxol in nude mice bearing human T-cell lymphoblastic leukemia CCRF-CEM xenograft (6 hour iv infusion, Q2Dx8).
- Figure 63 shows the changes in body weight changes of nude mice bearing human T-cell lymphoblastic leukemia CCRF-CEM xenograft following treatment with 25-trifluoro-9,10-dehydro-dEpoB and Taxol (6 hour iv infusion, Q2Dx8).
- Figure 64 shows the therapeutic effect of 26-trifluoro-9,10-dehydro-dEpoB and
- Figure 65 shows the changes in body weight changes of nude mice bearing human T-cell lymphoblastic leukemia CCRF-CEM/Taxol xenograft (Taxol resistant) following treatment with 26-trifluoro-9, 10-dehydro-dEpoB and Taxol (6 hour iv infusion, Q2Dx7, x5).
- Figure 66 shows the therapeutic effect of 26-trifluoro-9,10-dehydro-dEpoB and Taxol in nude mice bearing human colon carcinoma HCT-116 xenograft (Q2Dx4, x2, 6 hour iv infusion).
- Figure 67 shows the changes in body weight of nude mice bearing human colon carcinoma HCT-116 xenograft following treatment with 26-trifluoro-9,10-dehydro- dEpoB and Taxol (Q2Dx4, x2, 6 hour iv infusion).
- Figure 68 shows the therapeutic effect of 9,10-dehydro-EpoB in nude mice bearing MX-1 xenograft (6 hour iv infusion).
- Figure 69 shows the changes in body weight of nude mice bearing human mammary carcinoma MX-1 xenograft following treatment with 9,10-dehydro-EpoB (6 hour iv infusion).
- Figure 70 shows the therapeutic effect of 9,10-dehydro-EpoB in nude mice bearing human T-cell lymphoblastic leukemia CCRF-CEM/Taxol xenograft (Taxol resistant) (6 hour iv infusion, Q3Dx5, x2).
- Figure 71 shows the changes in body weight of nude mice bearing human T- cell lymphoblastic leukemia CCRF-CEM/Taxol xenograft (Taxol resistant) following treatment with 9,10-dehydro-EpoB (6 hour iv infusion, Q3Dx5, x2).
- Figure 72 shows the therapeutic effect of 26-trifluoro-dEpoB and 26-trifluoro- 9,10-dehydro-dEpoF in nude mice bearing human mammary carcinoma MX-1 xenograft (Q2Dxl 1, iv injection).
- Figure 73 shows the changes in body weight of nude mice bearing human mammary carcinoma MX-1 xenograft following treatment with 26-trifluoro-dEpoB and 26-trifluoro-9,10-dehydro-dEpoF (Q2Dxl l, iv injection).
- Figure 74 shows the therapeutic effect of 9,10-dehydro-dEpoB in nude mice bearing human mammary carcinoma MX-1 xenograft (Q3Dx9, 6 hour iv infusion).
- Figure 75 shows the changes in body weight of nude mice bearing human mammary carcinoma MX-1 xenograft following treatment with 9,10-dehydro-dEpoB (Q3Dx9, 6 hour iv infusion).
- Figure 76 shows the therapeutic effect of 26-trifluoro-9,10-dehydro-dEpoF in nude mice bearing human lung carcinoma (MX-1) xenograft (6 hour iv infusion and iv injection).
- Figure 77 shows the changes in body weight of nude mice bearing MX-1 xenograft following treatment with 26-trifluoro-9,10-dehydro-dEpoF (6 hour iv infusion and iv injection).
- protecting group it is meant that a particular functional moiety, e.g., O, S, or N, is temporarily blocked so that a reaction can be carried out selectively at another reactive site in a multifunctional compound.
- a protecting group reacts selectively in good yield to give a protected substrate that is stable to the projected reactions; the protecting group must be selectively removed in good yield by readily available, preferably nontoxic reagents that do not attack the other funcational groups; the protecting group forms an easily separable derivative (more preferably without the generation of new stereogenic centers); and the protecting group has a minimum of additional functionality to avoid further sites of reaction.
- oxygen, sulfur, nitrogen and carbon protecting groups may be utilized.
- Exemplary protecting groups are detailed herein, however, it will be appreciated that the present invention is not intended to be limited to these protecting groups; rather, a variety of additional equivalent protecting groups can be readily identified using the above criteria and utilized in the method of the present invention.
- the substituent may be either the same or different at every position.
- substituted is contemplated to include all permissible substituents of organic compounds.
- the permissible substituents include acyclic and cyclic, branched and unbranched, carbocyclic and heterocyclic, aromatic and nonaromatic substituents of organic compounds.
- heteroatoms such as nitrogen may have hydrogen substituents and/or any permissible substituents of organic compounds described herein which satisfy the valencies of the heteroatoms.
- this invention is not intended to be limited in any manner by the permissible substituents of organic compounds. Combinations of substituents and variables envisioned by this invention are preferably those that result in the formation of stable compounds useful in the treatment, for example of proliferative disorders, including, but not limited to cancer.
- stable as used herein, preferably refers to compounds which possess stability sufficient to allow manufacture and which maintain the integrity of the compound for a sufficient period of time to be detected and preferably for a sufficient period of time to be useful for the purposes detailed herein.
- aliphatic includes both saturated and unsaturated, straight chain (i.e., unbranched), branched, cyclic, or polycyclic aliphatic hydrocarbons, which are optionally substituted with one or more functional groups.
- aliphatic is intended herein to include, but is not limited to, alkyl, alkenyl, alkynyl, cycloalkyl, cycloalkenyl, and cycloalkynyl moieties.
- alkyl includes straight, branched and cyclic alkyl groups.
- An analogous convention applies to other generic terms such as “alkenyl”, “alkynyl” and the like.
- alkyl alkyl
- alkenyl encompass both substituted and unsubstituted groups.
- lower alkyl is used to indicate those alkyl groups (cyclic, acyclic, substituted, unsubstituted, branched or unbranched) having 1-6 carbon atoms.
- the alkyl, alkenyl and alkynyl groups employed in the invention contain 1-20 aliphatic carbon atoms. In certain other embodiments, the alkyl, alkenyl, and alkynyl groups employed in the invention contain 1-10 aliphatic carbon atoms.
- the alkyl, alkenyl, and alkynyl groups employed in the invention contain 1-8 aliphatic carbon atoms. In still other embodiments, the alkyl, alkenyl, and alkynyl groups employed in the invention contain 1-6 aliphatic carbon atoms. In yet other embodiments, the alkyl, alkenyl, and alkynyl groups employed in the invention contain 1-4 carbon atoms.
- Illustrative aliphatic groups thus include, but are not limited to, for example, methyl, ethyl, n-propyl, isopropyl, cyclopropyl, -CH 2 - cyclopropyl, allyl, n-butyl, sec-butyl, isobutyl, tert-butyl, cyclobutyl, -CH 2 -cyclobutyl, n-pentyl, sec-pentyl, isopentyl, tert-pentyl, cyclopentyl, -CH -cyclopentyl, n-hexyl, sec- hexyl, cyclohexyl, -CH 2 -cyclohexyl moieties and the like, which again, may bear one or more substituents.
- Alkenyl groups include, but are not limited to, for example, ethenyl, propenyl, butenyl, l-methyl-2-buten-l-yl, and the like.
- Representative alkynyl groups include, but are not limited to, ethynyl, 2-propynyl (propargyl), 1-propynyl and the like.
- alkoxy refers to an alkyl group, as previously defined, attached to the parent molecular moiety through an oxygen atom or through a sulfur atom.
- the alkyl group contains 1-20 alipahtic carbon atoms.
- the alkyl group contains 1-10 aliphatic carbon atoms.
- the alkyl, alkenyl, and alkynyl groups employed in the invention contain 1-8 aliphatic carbon atoms.
- the alkyl group contains 1-6 aliphatic carbon atoms.
- the alkyl group contains 1-4 aliphatic carbon atoms.
- alkoxy examples include but are not limited to, methoxy, ethoxy, propoxy, isopropoxy, n-butoxy, tert- butoxy, neopentoxy and n-hexoxy.
- thioalkyl examples include, but are not limited to, methylthio, ethylthio, propylthio, isopropylthio, n-butylthio, and the like.
- alkylamino refers to a group having the structure -NHR 1 wherein R' is alkyl, as defined herein.
- the alkyl group contains 1-20 aliphatic carbon atoms.
- the alkyl group contains 1-10 aliphatic carbon atoms.
- the alkyl, alkenyl, and alkynyl groups employed in the invention contain 1-8 aliphatic carbon atoms.
- the alkyl group contains 1-6 aliphatic carbon atoms.
- the alkyl group contains 1-4 aliphatic carbon atoms.
- alkylamino include, but are not limited to, methylamino, ethylamino, iso-propylamino and the like.
- substituents of the above-described aliphatic (and other) moieties of compounds of the invention include, but are not limited to aliphatic; heteroaliphatic; aryl; heteroaryl; arylalkyl; heteroarylalkyl; alkoxy; aryloxy; heteroalkoxy; heteroaryloxy; alkylthio; arylthio; heteroalkylthio; heteroarylthio; F; Cl; Br; I; -OH; -NO 2 ; -CN; -CF 3 ; -CH 2 CF 3 ; -CHC1 2 ; -CH 2 OH; -CH 2 CH 2 OH; -CH 2 NH 2 ; - CH 2 SO 2 CH 3 ; -C(O)R x ; -CO 2 (R x ); -CON(R x ) 2 ; -OC(O)R x ; -OCO 2 R x ; -OCON(R x )
- aryl and heteroaryl refer to stable mono- or polycyclic, heterocyclic, polycyclic, and polyheterocyclic unsaturated moieties having preferably 3-14 carbon atoms, each of which may be substituted or unsubstituted.
- Substituents include, but are not limited to, any of the previously mentioned substitutents, i.e., the substituents recited for aliphatic moieties, or for other moieties as disclosed herein, resulting in the formation of a stable compound.
- aryl refers to a mono- or bicyclic carbocyclic ring system having one or two aromatic rings including, but not limited to, phenyl, naphthyl, tetrahydronaphthyl, indanyl, indenyl and the like.
- heteroaryl refers to a cyclic aromatic radical having from five to ten ring atoms of which one ring atom is selected from S, O and N; zero, one or two ring atoms are additional heteroatoms independently selected from S, O and N; and the remaining ring atoms are carbon, the radical being joined to the rest of the molecule via any of the ring atoms, such as, for example, pyridyl, pyrazinyl, pyrimidinyl, pyrrolyl, pyrazolyl, imidazolyl, thiazolyl, oxazolyl, isooxazolyl, thiadiazolyl,oxadiazolyl, thiophenyl, furanyl, quinolinyl, isoquinolinyl, and the like.
- aryl and heteroaryl groups can be unsubstituted or substituted, wherein substitution includes replacement of one, two or three of the hydrogen atoms thereon independently with any one or more of the following moieties including, but not limited to: aliphatic; heteroaliphatic; aryl; heteroaryl; arylalkyl; heteroarylalkyl; alkoxy; aryloxy; heteroalkoxy; heteroaryloxy; alkylthio; arylthio; heteroalkylthio; heteroarylthio; F; Cl; Br; I; -OH; -NO 2 ; -CN; -CF 3 ; -CH 2 CF 3 ; -CHC1 2 ; -CH 2 OH; -CH 2 CH 2 OH; -CH 2 NH 2 ; -CH 2 SO 2 CH 3 ; -C(O)R x ; - CO 2 (R x ); -CON(R
- cycloalkyl refers specifically to groups having three to seven, preferably three to ten carbon atoms. Suitable cycloalkyls include, but are not limited to cyclopropyl, cyclobutyl, cyclopentyl, cyclohexyl, cycloheptyl and the like, which, as in the case of other aliphatic, heteroaliphatic or hetercyclic moieties, may optionally be substituted with substituents including, but not limited to aliphatic; heteroaliphatic; aryl; heteroaryl; arylalkyl; heteroarylalkyl; alkoxy; aryloxy; heteroalkoxy; heteroaryloxy; alkylthio; arylthio; heteroalkylthio; heteroarylthio; F; Cl; Br; I; -OH; -NO 2 ; -CN; -CF 3 ; -CH 2 CF 3 ; -CHC1 2 ;
- heteroaliphatic refers to aliphatic moieties that contain one or more oxygen, sulfur, nitrogen, phosphorus or silicon atoms, e.g., in place of carbon atoms. Heteroaliphatic moieties may be branched, unbranched, cyclic or acyclic and include saturated and unsaturated heterocycles such as morpholino, pyrrolidinyl, etc.
- heteroaliphatic moieties are substituted by independent replacement of one or more of the hydrogen atoms thereon with one or more moieties including, but not limited to aliphatic; heteroaliphatic; aryl; heteroaryl; arylalkyl; heteroarylalkyl; alkoxy; aryloxy; heteroalkoxy; heteroaryloxy; alkylthio; arylthio; heteroalkylthio; heteroarylthio; F; Cl; Br; I; -OH; -NO 2 ; -CN; -CF 3 ; -CH 2 CF 3 ; -CHC1 2 ; -CH 2 OH; -CH 2 CH 2 OH; -CH 2 NH 2 ; -CH 2 SO 2 CH 3 ; -C(O)R x ; -CO 2 (R x ); - CON(R x ) 2 ; -OC(O)R x ; -OCO 2 R x ; -
- haloalkyl denotes an alkyl group, as defined above, having one, two, or three halogen atoms attached thereto and is exemplified by such groups as chloromethyl, bromoethyl, trifluoromethyl, and the like.
- heterocycloalkyl refers to a non- aromatic 5-, 6-, or 7- membered ring or a polycyclic group, including, but not limited to a bi- or tri-cyclic group comprising fused six-membered rings having between one and three heteroatoms independently selected from oxygen, sulfur and nitrogen, wherein (i) each 5 -membered ring has 0 to 1 double bonds and each 6-membered ring has 0 to 2 double bonds, (ii) the nitrogen and sulfur heteroatoms may be optionally be oxidized, (iii) the nitrogen heteroatom may optionally be quaternized, and (iv) any of the above heterocyclic rings may be fused to a benzene ring.
- heterocycles include, but are not limited to, pyrrolidinyl, pyrazolinyl, pyrazolidinyl, imidazolinyl, imidazolidinyl, piperidinyl, piperazinyl, oxazolidinyl, isoxazolidinyl, morpholinyl, thiazolidinyl, isothiazolidinyl, and tetrahydrofuryl.
- substituted heterocycloalkyl or heterocycle refers to a heterocycloalkyl or heterocycle group, as defined above, substituted by the independent replacement of one, two or three of the hydrogen atoms thereon with but are not limited to aliphatic; heteroaliphatic; aryl; heteroaryl; arylalkyl; heteroarylalkyl; alkoxy; aryloxy; heteroalkoxy; heteroaryloxy; alkylthio; arylthio; heteroalkylthio; heteroarylthio; F; Cl; Br; I; -OH; -NO 2 ; -CN; -CF 3 ; -CH 2 CF 3 ; -CHC1 2 ; -CH 2 OH; - CH 2 CH 2 OH; -CH 2 NH 2 ; -CH 2 SO 2 CH 3 ; -C(O)R x ; -CO 2 (R x ); -CON(R x );
- labels As used herein, the term “labeled” is intended to mean that a compound has at least one element, isotope or chemical compound attached to enable the detection of the compound.
- labels fall into three classes: a) isotopic labels, which may be radioactive or heavy isotopes, including, but not limited to, 2 H, 3 H, 32 P, 35 S, 67 Ga, 99m Tc (Tc-99m), m In, 123 1, 125 1, 169 Yb and 186 Re; b) immune labels, which may be antibodies or antigens; and c) colored or fluorescent dyes. It will be appreciated that the labels may be incorporated into the compound at any position that does not interfere with the biological activity or characteristic of the compound that is being detected.
- photoaffinity labeling is utilized for the direct elucidation of intermolecular interactions in biological systems (e.g., to probe the epothilone binding site in a tubulin dimer).
- a variety of known photophores can be employed, most relying on photoconversion of diazo compounds, azides, or diazirines to nitrenes or carbenes (See, Bayley, H., Photogenerated Reagents in Biochemistry and Molecular Biology (1983), Elsevier, Amsterdam.), the entire contents of which are hereby incorporated by reference.
- the photoaffinity labels employed are o-, m- and p-azidobenzoyls, substituted with one or more halogen moieties, including, but not limited to 4-azido- 2,3,5,6-tetrafluorobenzoic acid.
- Polymer refers to a composition comprising chains that may be open, closed, linear, branched or cross-linked of repeating units (monomers) that may be the same or different. It will be appreciated that in certain embodiments the term polymer refers to biopolymers, which, as used herein, is intended to refer to polymeric materials found in nature or based upon those materials found in nature, including, but not limited to nucleic acids, peptides, and mimetics thereof. In certain other embodiments, the term polymer refers to synthetic polymers, such as biodegradable polymers or other polymeric materials. It will be appreciated that polymeric solid supports are also encompassed by the polymers of the present invention.
- solid support is meant to include, but is not limited to, pellets, disks, capillaries, hollow fibers, needles, pins, solid fibers, cellulose beads, pore-glass beads, silica gels, polystyrene beads optionally cross-linked with divinylbenzene, grafted co- poly beads, poly-acrylamide beads, latex beads, dimethylacrylamide beads optionally crosslinked with N-N'-bis-acryloylethylenediamine, and glass particles coated with a hydrophobic polymer.
- An exemplary solid support is a Tentagel amino resin, a composite of 1) a polystyrene bead crosslinked with divinylbenzene and 2) PEG (polyethylene glycol).
- Tentagel is a particularly useful solid support because it provides a versatile support for use in on-bead or off-bead assays, and it also undergoes excellent swelling in solvents ranging from toluene to water.
- the present invention provides novel synthetic methodologies enabling access to macrocycles having a broad range of biological and pharmacological activity, as well as novel compounds with such activity, novel therapeutic compositions, and methods of using these compounds and compositions.
- the inventive compounds are useful in the treatment of cancer.
- Certain compounds of the invention exhibit cytotoxic or growth inhibitory effects on cancer cells lines, exhibit an ability to polymerize tubulin and stabilize microtubule assemblies, and/or lead to shrinkage or diappearance of tumors in cancer cell xenograft models.
- the compounds may have reduced or minimal side effects including toxicity to vital organs, nausea, vomiting, diarrhea, allopecia, weight loss, weight gain, liver toxicity, skin disorders, etc.
- the compounds may also be easier to formulate due to increased water solubility, decreased toxicity, increased therapeutic range, increased efficacy, etc.
- R 0 is a substituted or unsubstituted aryl, heteroaryl, arylalkyl, arylalkenyl, arylalkynyl, heteroarylalkyl, heteroarylalkenyl, or heteroarylalkynyl moiety; in certain embodiments, R 0 is a arylalkyl, arylalkenyl, heteroarylalkyl, or heteroarylalkenyl moiety; in other embodiments, R 0 is a heteroarylalkenyl moiety; in certain embodiments, R 0 is a heteroarylalkyl moiety; in other embodiments, R 0 is a 5-7 membered aryl or heteroaryl moiety; in yet other embodiments, R 0 is an 8-12 membered bicyclic aryl or heteroaryl moiety; in still other embodiments, R 0 is a bicyclic moiety wherein a phenyl ring is fused to a heteroaryl
- R 3 and R are each independently hydrogen; or substituted or vmsubstituted, linear or branched, cyclic or acyclic aliphatic, heteroaliphatic, aryl, heteroaryl, arylalkyl, or heteroarylalkyl moiety, optionally substituted by one or more of hydroxy, protected hydroxy, alkoxy, carboxy, carboxaldehyde, linear or branched alkyl or cyclic acetal, fluorine, amino, protected amino, amino substituted with one or two alkyl or aryl moieties, N-hydroximino, or N-alkoxyimino; in certain embodiments, R 3 and R are each independently hydrogen, fluorine, or lower alkyl; in other embodiments, R 3 and R 4 are each independently hydrogen or methyl; in still other embodiments, R 3 is methyl, and R4 is hydrogen;
- R 5 and Re are each independently hydrogen or a protecting group; in certain embodiments, R 5 and R 6 are both hydrogen; X is O, S, C(R 7 ) 2 , or NR , wherein each occurrence of R is independently hydrogen or lower alkyl; in certain embodiments, X is O; in other embodiments, X is NH;
- Y is O, S, NH, C(R ) 2 , CH 2 , N(R 7 ), or NH, wherein each occurrence of R 7 is independently hydrogen or lower alkyl; in certain embodiments, Y is O; in other embodiments, Y is NH; in yet other embodiments, Y is CH 2 ; each R 8 is independently hydrogen; halogen, hydroxy, alkoxy, amino, dialkylamino, alkylamino, fluoro, cyano, or substituted or unsubstituted, linear or branched, cyclic or acyclic aliphatic, heteroaliphatic, aryl, heteroaryl, arylalkyl, arylalkenyl, arylalkynyl, or heteroarylalkyl, heteroarylalkenyl, heteroarylalkynyl moiety, optionally substituted by one or more of hydroxy, protected hydroxy, alkoxy, carboxy, caboxaldehyde, linear or branched al
- R and Rio are each indenpendently hydrogen; or substituted or unsubstituted, linear or branched, cyclic or acyclic aliphatic, heteroaliphatic, aryl, heteroaryl, aryl, arylalkyl, arylalkenyl, arylalkynyl, heteroarylalkyl, heteroarylalkenyl, or heteroarylalkynyl moiety, optionally substituted by one or more of hydroxy, protected hydroxy, alkoxy, carboxy, carboxaldehyde, linear or branched alkyl or cyclic acetal, fluorine, amino, protected amino, amino substituted with one or two alkyl or aryl moieties, N-hydroximino, or N-alkoxyimino; in certain embodiments, one of R 9 and Rio is methyl; in other embodiments, both R and Rio are methyl; in yet other embodiments, one of R and Rio is methyl, and the other is hydrogen; in other embodiment
- R B is hydrogen, u"" , methyl, ethyl, propyl, butyl, pentyl, hexyl, cyclopropyl, cyclobutyl, cyclopentyl, or cyclohexyl, each unsubstituted or optionally substituted with one or more occurrences of halogen, -OH, -OR B ', NH
- the compounds of the invention include compounds of the general formula (I) or (I') as further defined below:
- Ri is hydrogen or lower alkyl; in certain embodiments, Ri is methyl; in certain embodiments, Ri is -CF 3 , -CF 2 H, or CH 2 F; in other embodiments, Ri is perfluorinated or fluorinated alkyl group; in yet other embodiments, Ri is halogentated or perhalogenated alkyl group; R 2 is a substituted or unsubstituted aryl, heteroaryl, arylalkyl, or heteroarylalkyl moiety; in certain embodiments, R 2 is substituted or unsubstituted oxazole; in other embodiments, R 2 is substituted or unsubstituted thiazole;
- R 3 and R 4 axe each independently hydrogen; or substituted or unsubstituted, linear or branched, cyclic or acyclic aliphatic, heteroaliphatic, aryl, heteroaryl, arylalkyl, or heteroarylalkyl moiety, optionally substituted by one or more of hydroxy, protected hydroxy, alkoxy, carboxy, carboxaldehyde, linear or branched alkyl or cyclic acetal, fluorine, amino, protected amino, amino substituted with one or two alkyl or aryl moieties, N-hydroximino, or N-alkoxyimino; in certain embodiments, R 3 and R 4 are each independently hydrogen, fluorine, or lower alkyl; in other embodiments, R 3 and P are each independently hydrogen or methyl; in still other embodiments, R 3 is methyl, and t is hydrogen;
- R 5 and R ⁇ are each independently hydrogen or a protecting group; in certain embodiments, R 5 and R 6 are both hydrogen; X is O, S, C(R 7 ) 2 , or NR 7 , wherein each occurrence of R 7 is independently hydrogen or lower alkyl; in certain embodiments, X is O; in other embodiments, X is NH;
- R B is hydrogen, methyl, or ethyl, in still other embodiments, R B is methyl, in yet other embodiments, RB is -CF 3 , -CH 2 F, or
- the compounds of the invention include compounds of the general formula (II) or (II') with the stereochemistry defined as shown:
- X is O. In other embodiments, X is NH. In other embodiments, X is CH 2 .
- R 2 is a substituted or unsubstituted thiazole. In certain embodiments, R 2 is 2-methyl-thiazo-4-yl. In other embodiments, R is 2- hydroxylmethyl-thiazo-4-yl. In yet other embodiments, R 2 is 2-aminomethyl-thiazo-4- yl. In other embodiments, R 2 is 2-thiolmethyl-thiazo-4-yl.
- R 2 is a substituted or unsubstituted oxazole. In certain ' embodiments, R 2 is 2-methyl-oxazo-4-yl. In other embodiments, R is 2- hydroxylmethyl-oxazo-4-yl. In yet other embodiments, R 2 is 2-aminomethyl-oxazo-4- yl. In other embodiments, R 2 is 2-thiolmethyl-oxazo-4-yl.
- R B is hydrogen, methyl, ethyl, -CF 3 , -CH 2 F, -CF 2 H. In certain embodiments, R B is methyl. In yet other embodiments, R B is -CF 3 . In certain embodiments, R B is hydrogen. In other embodiments, R B is ethyl. Certain preferred compounds include, for example:
- inventive compounds and pharmaceutical compositions thereof may be in the form of an individual enantiomer, diastereomer or geometric isomer, or may be in the form of a mixture of stereoisomers.
- the compounds of the invention are enantiopure compounds.
- a mixtures of stereoisomers or diastereomers are provided. It will be appreciated that some of the foregoing classes and subclasses of compounds can exist in various isomeric forms.
- the invention encompasses the compounds as individual isomers substantially free of other isomers and alternatively, as mixtures of various isomers, e.g., racemic mixtures of stereoisomers. Additionally, the invention encompasses both (Z) and (E) double bond isomers unless otherwise specifically designated.
- compounds of the invention generally depicted in structure (0), (0'), (I), (I'), (II), and (IF) encompass those structures in which double bonds are (Z) or (E).
- the double bond at the C12- C13 position is in the cis or Z configuration.
- the double bond at the C9-C10 position is in the trans or E configuration.
- the double bond at the C12-C13 position is in the cis or Z configuration, and the double bond at the C9-C10 position is in the trans or E configuration.
- the invention also encompasses tautomers of specific compounds as described above.
- the present invention provides pharmaceutically acceptable derivatives of the inventive compounds, and methods of treating a subject using these compounds, pharmaceutical compositions thereof, or either of these in combination with one or more additional therapeutic agents.
- pharmaceutically acceptable derivative denotes any pharmaceutically acceptable salt, ester, or salt of such ester, of such compound, or any other adduct or derivative which, upon administration to a patient, is capable of providing (directly or indirectly) a compound as otherwise described herein, or a metabolite or residue thereof.
- Pharmaceutically acceptable derivatives thus include among others pro-drugs.
- a pro- drug is a derivative of a compound, usually with significantly reduced pharmacological activity, which contains an additional moiety that is susceptible to removal in vivo yielding the parent molecule as the pharmacologically active species.
- An example of a pro-drug is an ester that is cleaved in vivo to yield a compound of interest.
- Pro-drugs of a variety of compounds, and materials and methods for derivatizing the parent compounds to create the pro-drugs are known and may be adapted to the present invention. Certain exemplary pharmaceutical compositions and pharmaceutically acceptable derivatives will be discussed in more detail herein below.
- the present invention provides an efficient and modular route for the synthesis of epothilones, desoxyepothilones and analogues thereof.
- synthesis of certain exemplary compounds is described in the Exemplification herein, it will be appreciated that this methodology is generally applicable to the generation of analogues and conjugates as discussed above for each of the classes and subclasses described herein.
- the 9, 10-dehydroepothilone compounds of the present invention may be prepared in a variety of ways using synthetic methodologies useful in the synthesis of epothilones.
- the compounds are prepared using a convergent synthetic route.
- the epothilone may be synthesized by preparing two or three intermediates which are brought together to yield the desired compound.
- one of the intermediates is an acyl portion containing carbons 1-9, and another intermediate contains carbons 10-15 and may also contain the thiazole side chain.
- These two roughly equal portions of the epothilone may be brought together first using an esterification reaction between C-l and an oxygen off C- 15.
- the macrocycle may then be closed using a carbon-carbon coupling reaction such as a Suzuki coupling or ring closing metathesis reaction.
- the final ring closing step is accomplished using a ring closing metathesis reaction to form the 9,10- double bond and close the macrocycle.
- the ring closing metathesis reaction is accomplished using an organometallic catalyst such as the Grubbs catalyst as shown in Scheme 8 below.
- the 9,10-double bond is reduced or oxidized, or the 9,10-double bond may be further functionalized to prepare additional epothilone derivatives.
- the final ring closing step is accomplished using a ring closing metathesis reaction to form the 12,13-double bond and close the macrocycle.
- the 12,13-double bond is reduced or oxidized.
- a macroaldolization or macrolacto ization reaction is used to form the macrocycle.
- This invention also provides a pharmaceutical preparation comprising at least one of the compounds as described above and herein, or a pharmaceutically acceptable derivative thereof, which compounds are capable of inhibiting the growth of or killing cancer cells, and, in certain embodiments of special interest are capable of inhibiting the growth of or killing multidrug resistant cancer cells.
- the pharmaceutical preparation also comprises as solubilizing or emulsifying agent such as Cremophor (polyoxyl 35 castor oil) or Solutol (polyethylene glycol 660 12- hydroxystrearate).
- compositions comprising any one of the compounds as described herein, and optionally comprise a pharmaceutically acceptable carrier.
- these compositions optionally further comprise one or more additional therapeutic agents.
- the additional therapeutic agent is an anticancer agent, as discussed in more detail herein. It will also be appreciated that certain of the compounds of present invention can exist in free form for treatment, or where appropriate, as a pharmaceutically acceptable derivative thereof.
- a pharmaceutically acceptable derivative includes, but is not limited to, pharmaceutically acceptable salts, esters, salts of such esters, or any other adduct or derivative which upon administration to a patient in need is capable of providing, directly or indirectly, a compound as otherwise described herein, or a metabolite or residue thereof, e.g., a prodrug.
- the term "pharmaceutically acceptable salt” refers to those salts which are, within the scope of sound medical judgement, suitable for use in contact with the tissues of humans and lower animals without undue toxicity, irritation, allergic response and the like, and are commensurate with a reasonable benefit/risk ratio.
- salts are well known in the art. For example, S. M. Berge, et al. describe pharmaceutically acceptable salts in detail in J Pharmaceutical Sciences, 66: 1-19 (1977), incorporated herein by reference.
- the salts can be prepared in situ during the final isolation and purification of the compounds of the invention, or separately by reacting the free base function with a suitable organic acid.
- Examples of pharmaceutically acceptable, nontoxic acid addition salts are salts of an amino group formed with inorganic acids such as hydrochloric acid, hydrobromic acid, phosphoric acid, sulfuric acid and perchloric acid or with organic acids such as acetic acid, oxalic acid, maleic acid, tartaric acid, citric acid, succinic acid or malonic acid or by using other methods used in the art such as ion exchange.
- inorganic acids such as hydrochloric acid, hydrobromic acid, phosphoric acid, sulfuric acid and perchloric acid
- organic acids such as acetic acid, oxalic acid, maleic acid, tartaric acid, citric acid, succinic acid or malonic acid or by using other methods used in the art such as ion exchange.
- salts include adipate, alginate, ascorbate, aspartate, benzenesulfonate, benzoate, bisulfate, borate, butyrate, camphorate, camphorsulfonate, citrate, cyclopentanepropionate, digluconate, dodecylsulfate, ethanesulfonate, formate, fumarate, glucoheptonate, glycerophosphate, gluconate, hernisulfate, heptanoate, hexanoate, hydroiodide, 2-hydroxy-ethanesulfonate, lactobionate, lactate, laurate, lauryl sulfate, malate, maleate, malonate, methanesulfonate, 2-naphthalenesulfonate, nicotinate, nitrate, oleate, oxalate, palmitate, pamoate, pectinate,
- alkali or alkaline earth metal salts include sodium, lithium, potassium, calcium, magnesium, and the like.
- Further pharmaceutically acceptable salts include, when appropriate, nontoxic ammonium, quaternary ammonium, and amine cations formed using counterions such as halide, hydroxide, carboxylate, sulfate, phosphate, nitrate, loweralkyl sulfonate and aryl sulfonate.
- ester refers to esters which hydrolyze in vivo and include those that break down readily in the human body to leave the parent compound or a salt thereof.
- Suitable ester groups include, for example, those derived from pharmaceutically acceptable aliphatic carboxylic acids, particularly alkanoic, alkenoic, cycloalkanoic and alkanedioic acids, in which each alkyl or alkenyl moiety advantageously has not more than 6 carbon atoms.
- esters include formates, acetates, propionates, butyrates, acrylates and ethylsuccinates.
- prodrugs refers to those prodrugs of the compounds of the present invention which are, within the scope of sound medical judgment, suitable for use in contact with the tissues of humans and lower animals with undue toxicity, irritation, allergic response, and the like, commensurate with a reasonable benefit/risk ratio, and effective for their intended use, as well as the zwitterionic forms, where possible, of the compounds of the invention.
- prodrug refers to compounds that are rapidly transformed in vivo to yield the parent compound of the above formula, for example by hydrolysis in blood. A thorough discussion is provided in T. Higuchi and V. Stella, Pro-drugs as Novel Delivery Systems, Vol. 14 of the A.C.S. Symposium Series, and in Edward B. Roche, ed., Bioreversible Carriers in Drug Design, American Pharmaceutical Association and Pergamon Press, 1987, both of which are incorporated herein by reference.
- the pharmaceutical compositions of the present invention additionally comprise a pharmaceutically acceptable carrier, which, as used herein, includes any and all solvents, diluents, or other liquid vehicle, dispersion or suspension aids, surface active agents, isotonic agents, thickening or emulsifying agents, preservatives, solid binders, lubricants and the like, as suited to the particular dosage form desired.
- a pharmaceutically acceptable carrier includes any and all solvents, diluents, or other liquid vehicle, dispersion or suspension aids, surface active agents, isotonic agents, thickening or emulsifying agents, preservatives, solid binders, lubricants and the like, as suited to the particular dosage form desired.
- Remington's Pharmaceutical Sciences, Fifteenth Edition, E. W. Martin (Mack Publishing Co., Easton, Pa., 1975) discloses various carriers used in formulating pharmaceutical compositions and known techniques for the preparation thereof.
- any conventional carrier medium is incompatible with the anti-cancer compounds of the invention, such as by producing any undesirable biological effect or otherwise interacting in a deleterious manner with any other component(s) of the pharmaceutical composition, its use is contemplated to be within the scope of this invention.
- materials which can serve as pharmaceutically acceptable carriers include, but are not limited to, sugars such as lactose, glucose and sucrose; starches such as corn starch and potato starch; cellulose and its derivatives such as sodium carboxymethyl cellulose, ethyl cellulose and cellulose acetate; powdered tragacanth; malt; gelatin; talc; Cremophor; Solutol; excipients such as cocoa butter and suppository waxes; oils such as peanut oil, cottonseed oil; safflower oil; sesame oil; olive oil; corn oil and soybean oil; glycols; such a propylene glycol; esters such as ethyl oleate and ethyl laurate; agar; buffering agents such as magnesium hydroxide and aluminum hydroxide; alginic acid; pyrogen-free water; isotonic saline; Ringer's solution; ethyl alcohol, and phosphate buffer solutions, as well as other
- the invention further provides a method for inhibiting tumor growth and/or tumor metastasis.
- the invention provides a method of treating cancers by inhibiting tumor growth and/or tumor metastasis for tumors multidrug resistant cancer cells.
- the method involves the administration of a therapeutically effective amount of the compound or a pharmaceutically acceptable derivative thereof to a subject (including, but not limited to a human or animal) in need of it.
- the therapeutically effective amoxmt is an amoxmt sufficient to kill or inhibit the growth of multidrug resistant cancer cell lines.
- the inventive compounds are useful for the treatment of solid tumors.
- the compounds and pharmaceutical compositions of the present invention may be used in treating or preventing any disease or conditions including proliferative diseases (e.g., cancer), autoimmune diseases (e.g., rheumatoid arthritis), and infections (e.g., bacterial, fungal, etc.).
- the compounds and pharmaceutical compositions may be administered to animals, preferably mammals (e.g., domesticated animals, cats, dogs, mice, rats), and more preferably humans. Any method of administration may be used to deliver the compound of pharmaceutical compositions to the animal. In certain embodiments, the compound or pharmaceutical composition is administered parenterally.
- tumor cells are killed, or their growth is inhibited by contacting the tumor cells with an inventive compound or composition, as described herein.
- a method for the treatment of cancer comprising administering a therapeutically effective amount of an inventive compound, or a pharmaceutical composition comprising an inventive compound to a subject in need thereof, in such amounts and for such time as is necessary to achieve the desired result.
- a "therapeutically effective amount" of the inventive compound or pharmaceutical composition is that amount effective for killing or inhibiting the growth of tumor cells.
- the compounds and compositions, according to the method of the present invention may be administered using any amount and any route of administration effective for killing or inhibiting the growth of tumor cells.
- the expression "amount effective to kill or inhibit the growth of tumor cells”, as used herein, refers to a sufficient amoxmt of agent to kill or inhibit the growth of tumor cells.
- the exact amount required will vary from subject to subject, depending on the species, age, and general condition of the subject, the severity of the infection, the particular anticancer agent, its mode of administration, and the like.
- the anticancer compounds of the invention are preferably formulated in dosage unit form for ease of administration and uniformity of dosage.
- dosage unit form refers to a physically discrete unit of anticancer agent appropriate for the patient to be treated.
- the total daily usage of the compounds and compositions of the present invention will be decided by the attending physician within the scope of sound medical judgment.
- the specific therapeutically effective dose level for any particular patient or organism will depend upon a variety of factors including the disorder being treated and the severity of the disorder; the activity of the specific compound employed; the specific composition employed; the age, body weight, general health, sex and diet of the patient; the time of administration, route of administration, and rate of excretion of the specific compound employed; the duration of the treatment; drugs used in combination or coincidental with the specific compound employed; and like factors well known in the medical arts.
- the pharmaceutical compositions of this invention can be administered to humans and other animals orally, rectally, parenterally, intracisternally, intravaginally, intraperitoneally, topically (as by powders, ointments, or drops), bucally, as an oral or nasal spray, or the like, depending on the severity of the infection being treated.
- the inventive compounds as described herein are formulated by conjugating with water soluble chelators, or water soluble polymers such as polyethylene glycol as poly (1 -glutamic acid), or poly (1- aspartic acid), as described in U.S. Patent 5,977,163, the entire contents of which are hereby incorporated by reference.
- the compounds of the invention may be administered orally or parenterally at dosage levels sufficient to deliver from about 0.001 mg/kg to about 100 mg/kg, from about 0.01 mg/kg to about
- the desired dosage may delivered as delivered every other day, every third day, every week, every two weeks, every three weeks, or every four weeks. In certain embodiments, the desired dosage may be delivered using multiple administrations (e.g., two, three, four, five, six, seven, eight, nine, or ten administrations).
- Liquid dosage forms for oral administration include, but are not limited to, pharmaceutically acceptable emulsions, microemulsions, solutions, suspensions, syrups and elixirs.
- the liquid dosage forms may contain inert diluents commonly used in the art such as, for example, water or other solvents, solubilizing agents and emulsifiers such as ethyl alcohol, isopropyl alcohol, ethyl carbonate, ethyl acetate, benzyl alcohol, benzyl benzoate, propylene glycol, 1,3- butylene glycol, dimethylformamide, oils (in particular, cottonseed, groundnut, corn, germ, olive, castor, and sesame oils), glycerol, tetrahydrofurfuryl alcohol, polyethylene glycols and fatty acid esters of sorbitan, and mixtures thereof.
- the oral compositions can also include adjuvants such as, for example, water or other solvents, solubil
- sterile injectable aqueous or oleaginous suspensions may be formulated according to the known art using suitable dispersing or wetting agents and suspending agents.
- the sterile injectable preparation may also be a sterile injectable solution, suspension or emulsion in a nontoxic parenterally acceptable diluent or solvent, for example, as a solution in 1,3-butanediol.
- acceptable vehicles and solvents that may be employed are water, Ringer's solution, U.S.P. and isotonic sodium chloride solution.
- sterile, fixed oils are conventionally employed as a solvent or suspending medium.
- any bland fixed oil can be employed including synthetic mono- or diglycerides.
- fatty acids such as oleic acid are used in the preparation of injectables.
- the injectable formulations can be sterilized, for example, by filtration through a bacterial-retaining filter, or by incorporating sterilizing agents in the form of sterile solid compositions which can be dissolved or dispersed in sterile water or other sterile inj ectable medium prior to use .
- compositions for rectal or vaginal administration are preferably suppositories which can be prepared by mixing the compounds of this invention with suitable non- irritating excipients or carriers such as cocoa butter, polyethylene glycol or a suppository wax which are solid at ambient temperature but liquid at body temperature and therefore melt in the rectum or vaginal cavity and release the active compound.
- Solid dosage forms for oral administration include capsules, tablets, pills, powders, and granules.
- the active compound is mixed with at least one inert, pharmaceutically acceptable excipient or carrier such as sodium citrate or dicalcium phosphate and or a) fillers or extenders such as starches, lactose, sucrose, glucose, mannitol, and silicic acid, b) binders such as, for example, carboxymethylcellulose, alginates, gelatin, polyvmylpyrrolidmone, sucrose, and acacia, c) humectants such as glycerol, d) disintegrating agents such as agar—agar, calcium carbonate, potato or tapioca starch, alginic acid, certain silicates, and sodium carbonate, e) solution retarding agents such as paraffin, f) absorption accelerators such as quaternary ammonium compounds, g) wetting agents such as, for example, cetyl alcohol and gly
- Solid compositions of a similar type may also be employed as fillers in soft and hard-filled gelatin capsules using such excipients as lactose or milk sugar as well as high molecular weight polyethylene glycols and the like.
- the solid dosage forms of tablets, dragees, capsules, pills, and granules can be prepared with coatings and shells such as enteric coatings and other coatings well known in the pharmaceutical formulating art. They may optionally contain opacifying agents and can also be of a composition that they release the active ingredient(s) only, or preferentially, in a certain part of the intestinal tract, optionally, in a delayed manner. Examples of embedding compositions which can be used include polymeric substances and waxes. Solid compositions of a similar type may also be employed as fillers in soft and hard-filled gelatin capsules using such excipients as lactose or milk sugar as well as high molecular weight polethylene glycols and the like.
- the active compounds can also be in micro-encapsulated form with one or more excipients as noted above.
- the solid dosage forms of tablets, dragees, capsules, pills, and granules can be prepared with coatings and shells such as enteric coatings, release controlling coatings and other coatings well known in the pharmaceutical formulating art.
- the active compound may be admixed with at least one inert diluent such as sucrose, lactose or starch.
- Such dosage forms may also comprise, as is normal practice, additional substances other than inert diluents, e.g., tableting lubricants and other tableting aids such a magnesium stearate and microcrystalline cellulose.
- the dosage forms may also comprise buffering agents. They may optionally contain opacifying agents and can also be of a composition that they release the active ingredient(s) only, or preferentially, in a certain part of the intestinal tract, optionally, in a delayed manner. Examples of embedding compositions which can be used include polymeric substances and waxes.
- Dosage forms for topical or transdermal administration of a compound of this invention include ointments, pastes, creams, lotions, gels, powders, solutions, sprays, inhalants or patches.
- the active component is admixed under sterile conditions with a pharmaceutically acceptable carrier and any needed preservatives or buffers as may be required.
- Ophthalmic formulation, ear drops, and eye drops are also contemplated as being within the scope of this invention. Additionally, the present invention contemplates the use of transdermal patches, which have the added advantage of providing controlled delivery of a compound to the body. Such dosage forms can be made by dissolving or dispensing the compound in the proper medium. Absorption enhancers can also be used to increase the flux of the compound across the skin. The rate can be controlled by either providing a rate controlling membrane or by dispersing the compound in a polymer matrix or gel.
- the compounds of the present invention are useful as anticancer agents, and thus may be useful in the treatment of cancer, by effecting tumor cell death or inhibiting the growth of tumor cells.
- inventive anticancer agents are useful in the treatment of cancers and other proliferative disorders, including, but not limited to breast cancer, brain cancer, skin cancer, cervical cancer, colon and rectal cancer, leukemia, lung cancer, melanoma, multiple myeloma, non-Hodgkin's lymphoma, ovarian cancer, pancreatic cancer, prostate cancer, and gastric cancer, to name a few.
- the inventive anticancer agents are active against leukemia cells and melanoma cells, and thus are useful for the treatment of leukemias (e.g., myeloid, lymphocytic, promyelocytic, myelocytic and lymphoblastic leukemias, whether acute or chromic forms) and malignant melanomas.
- the inventive anticancer agents are active against solid tumors and also kill and/or inhibit the growth of multidrug resistant cells (MDR cells).
- MDR cells multidrug resistant cells
- the inventive anticancer agents are active against cancers which are resistant to other known anti-neoplastic agents or which have been found not to respond clinically to other known anti-neoplastic agents.
- the inventive anticancer agents are active against cancer which are resistant to other anti-neoplastic microtubule-stabilizing agents (e.g., paclitaxel).
- the compounds and pharmaceutical compositions of the present invention can be employed in combination therapies, that is, the compounds and pharmaceutical compositions can be administered concurrently with, prior to, or subsequent to, one or more other desired therapeutics or medical procedures.
- the particular combination of therapies (therapeutics or procedures) to employ in a combination regimen will take into account compatibility of the desired therapeutics and/or procedures and the desired therapeutic effect to be achieved.
- the therapies employed may achieve a desired effect for the same disorder (for example, an inventive compound may be administered concurrently with another anticancer agent), or they may achieve different effects (e.g., control of any adverse effects).
- the present invention also provides a pharmaceutical pack or kit comprising one or more containers filled with one or more of the ingredients of the pharmaceutical compositions of the invention, and in certain embodiments, includes an additional approved therapeutic agent for use as a combination therapy.
- an additional approved therapeutic agent for use as a combination therapy can be a notice in the form prescribed by a governmental agency regulating the manufacture, use or sale of pharmaceutical products, which notice reflects approval by the agency of manufacture, use or sale for human administration.
- This Example describes the synthesis of tr ⁇ s-9,10-dehydro-12,13- desoxyepothilone B, 26-trifluoro-tr ⁇ r ⁇ -9,10-dehydro- 12, 13 -desoxyepothilone B, 26- trifluoro-12,13-desoxyepothilone B, and 12,13-desoxyepothilone B and biological testing of these compounds.
- Fluorinated derivatives of epothilones were prepared and tested given the enhanced pharmacokinetics and chemotherapeutic indices of other medicinal agents with fluorine substitutions (Ojima, I.; Inoue, T.; Chakravarty, S.; J. Fluorine Chem. 1999, 97; Newman, R. A.; Yang, J.; Finlay, M. R. V.; Cabral, F., Vourloumis, D.;
- Synthetic 19 was evaluated as to its cytotoxic activity. As shown in Table 1-1 below, direct comparison of the previously reported [17]ddEpoB (23) with 27-F 3 - [17]ddEpoB (19) indicated that the new perfluorinated compound possessed a comparably high cytotoxic potency.
- CCRF-CEM is a human T-cell acute lymphoblastic leukemia cell line.
- the CCRF-CEM ioo, CCRF-CEM/VMI and CCRF- CEM/ ⁇ axoi cell lines all overexpress P-glycoprotein and display a multidrug resistance phenotype to MDR associated oncolytics (Ojima, I.; Inoue, T.; Chakravarty, S.; J. Fluorine Chem. 1999, 97; Newman, R. A.; Yang, J.; Finlay, M. R. V.; Cabral, F., Vourloumis, D.; Stephens, L.
- CCRF-CEM/VBL 100 0.0065 0.0210 0.014 0.0106
- CCRF-CEM is a human T-cell acute lymphoblastic leukemia cell line.
- the CCRF-CEM/VBLIOO, CCRF-CEM/VMI and CCRF- CEM/ ⁇ a ⁇ o i cell lines all overexpress P-glycoprotein and display a multidrug resistance phenotype to MDR associated oncolytics (Prie, G.; Thibonnet, J.; Abarbri, M.; Duchene, A.; Parrain, J. Synlett 1998, 839; incorporated herein by reference).
- R Me 3
- R Me, 83%
- R CF, 45
- R Me, 81% 47
- R Me, 78% 6
- R CF 3 , 86% 8
- R CF, 71%
- Epo 1 (1, dEpoB) 0.0036 0.016 0.0046 Epo 2 (2) 0.0041 0.080 0.018 Epo 3 (28) 0.0009 0.0042 0.0012 Epo 4 (29) 0.0035 0.0210 0.0057
- CCRF-CEM is a human T-cell acute lymphoblastic leukemia cell line.
- the CCRF-CEM/VBLioo cell line is resistant to vinblastine and CCRF-CEM/Taxol to taxol.
- Epothilone 28 demonstrated a markedly improved potency in inhibiting on the growth of implanted tumors, relative to dEpoB (see Figure 10).
- the improved potency and plasma stability allows very substantial reduction of drug dosing (an order of magnitude) in the context of xenografts of 28 (Epo 3).
- compound 28 enjoys major pharmaceutical advantages relative to d ⁇ poB (1). This allowed for the reduction of the dosing levels for 28 relative to 1 in xenograft experiments to be reduced by an order of magnitude.
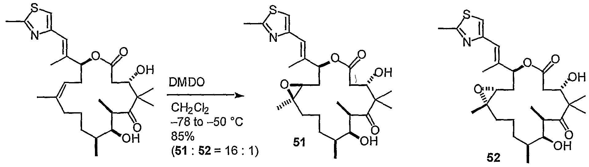
- Epoxidation of 28 with 2,2'-dimethydioxirane (DMDO) proceeded with high chemoselectively at the more substituted C12-C13 olefin to give an 87% yield of a 1 :2.6 ratio of the (E)-9,10-dehydroepothilone B (49) and its diastereomer (50).
- the stereochemistry of the epoxides was determined by selective diimide reduction of the C9-C10 double bonds. Examination of the spectral properties of these products revealed the minor product (49) to be dEpoB.
- (E)-9,10-dehydroepothilone B (51) was evaluated against a variety of cell types to determine their antitumor potential. As shown in Table 1-4, (E)-9,10- dehydroepothiloneB (49) exhibits high cytotoxic activity against a variety of sensitive and resistant tumor cell lines. Direct comparison of 49 and ⁇ poB (51) indicates this new analog possesses nearly 3-fold more potency than ⁇ poB (51) making it one of the most potent epothilone analogs reported to date. Interestingly, ⁇ -epoxide series (50, 52) displayed a much lower activity than ⁇ poB (51). The graph below shows the findings for in vivo studies of compound 49. Table 1-4. In vitro cytotoxicities (IC 50 ) with tumor cell lines 2
- CCRF-CEM is a human T-cell acute lymphoblastic leukemia cell line.
- the CCRF-CEM/VBL and CCRF-CEM Taxol cell lines all overexpress P-glycoprotein and display a multidrug resistance phenotype to MDR-associated oncolytics.
- Infrared spectra were obtained on a Perkin-Elmer FT-IR model 1600 spectrometer. Optical rotations were obtained on a JASCO model DIP-370 digital polarimeter at 22 ⁇ 2 °C.
- Analytical thin-layer chromatography was performed on E. Merck silica gel 60 F254 plates. Compounds which were not UV active were visualized by dipping the plates in a eerie ammonium molybdate or j» ⁇ r -anisaldehyde solution and heating.
- Silica gel chromatography was performed using the indicated solvent on Davisil ® (grade 1740, type 60A, 170-400 mesh) silica gel.
- TES triethylsilyl
- TBS Dimethyltertbutylsilyl
- EDCI l-ethyl-3-(3- dimetl ⁇ ylaminopropyl)carbodiimide
- HF-PY hydrogen fluoride in pyridine
- DMAP 4- N, N-dimethylaminopyridine
- DCM dichloromethane
- DMF N, N- dimethylformamide
- THF tetrahydrofuran.
- Compound 55 A solution of 54 (69.7 mg, 79.5 ⁇ mol) in toluene (158 mL) was heated to reflux and treated with a solution of Grubbs' catalyst (6.7 mg, 7.95 ⁇ mol) in toluene
- Ketone 48 was azeotroped with benzene (5 mL x 2) and then dried under high vacuum for 0.5 h.
- a solution of Wittig salt (907 mg, 2.59 mmol) in THF (19 mL) was added t-BuOK (2.4 mL of a 1.0 M solution in THF, 2.43 mmol) dropwise over 5 min at 0 °C.
- the mixture was stirred at 0 °C for 0.5 h and then cooled to -78 °C.
- To the mixture was added dropwise a solution of ketone 48 (1.10 g, 1.62 mmol) in THF (13 mL) over 10 min, and the resulting mixture was allowed to warm to -20 °C over 2 h.
- Ketone 48 was azeotroped with benzene (5 mL x 2) and then dried under high vacuum for 0.5 h.
- benzene 5 mL x 2
- t- BuOK 2.2 mL of a 1.0 M solution in THF, 2.20 mmol
- Example 2 Alternative synthetic strategies for synthesizing intermediates of epothilones
- 71a 9-Benzyloxy-3-(diethylmethylsilanyloxy)-7-hydroxy-4,4,6,8-tetramethy ⁇ -5-oxo- nonanoic acid tert-butyl ester (71a)
- Zn 5.0 mg, 7.8 ⁇ mol, nanosize
- the mixture was sonicated for 15 min. More Zn (5.0 mg, 7.8 ⁇ mol, nanosize) was added, followed by sonication for a further 15 min.
- the suspension was filtered through a celite pad, washing with EtOAc several times. The filtrates were washed with sat.
- Ester 84 A mixture of alcohol 83 (16.71 g, 0.07386 mol) and pyridine (15.0 mL, 2.5 equiv) was cooled to -10 °C and treated with thionyl chloride (11.3 mL, 2.1 equiv) slowly over 11 min. The resulting mixture was warmed to 55 °C and stirred for 12 h. The reaction mixture was cooled to -5 °C, quenched with water (200 mL) and extracted with CH 2 C1 2 (2 x 200 mL, 2 150 mL). Combined organics were washed with saturated NaHC0 3 (2 x 200 L), and brine (200 mL), dried (MgSO 4 ), and concentrated in vacuo.
- fully synthetic 28 has not fully met the stringent standards of highly favorable effective therapeutic index and elimination of tumors to a non- relapsing state.
- mice On day 10 after suspension of treatment, 5/10 (dEpoB), 2/7 (Paclitaxel), and 0/4 (compound 29) mice relapsed. Extended observation following suspension of treatment with 20 mg/kg dosages of 29 showed a long term absence of tumors until day 27 at which point 2 out of 4 mice's tumors relapsed. Remarkably, treatment with 30 mg/kg dosages of 29, resulted in complete tumor disappearance and the absence of any relapse for over two months after suspension of treatment.
- agent 29 completely suppressed the growth of the human mammary carcinoma MX-1 xenografts, shrank the tumors and made them disappear for as long as 64 days is impressive.
- the body weight of the xenografts returned to pretreatment control level within 12-18 days after suspension of treatment. This finding suggests the lack of vital organ damage.
- the maximal body weight decrease was only 12%, with a body weight gain of 6% during the last three doses.
- the body weight recovered to the pretreatment control level only three days after cessation of treatment. Table 1 above shows that the animals could survive body weight losses of as much as 21%.
- the therapeutic safety margin realized herein is remarkably broad for a curative cancer therapeutic agent.
- Table 10-2 Profile of dEpoB derivatives.
- EpoB (2b) 0 53+ 0.2 15 57 15 8 ND ND 06-O S +++ dEpoB (1) 5 6 ⁇ 2 8 32 46 ⁇ 7 l O ⁇ O l 94 44 25-30 ++++ deH-dEpoB (28) 090+ 0 0 29 84 ⁇ 6 4 9+0 7 27 3 3 34 ++++
- Reagents and conditions (a) (i)TrocCl, pyr., 92%; (ii) p-TsOH « H 2 0, 76%; (iii) LDA, t- butyl acetate, THF, 80%; (iv) Dess-Martin periodinane, 74%; (b) Noyori catalyst (10 mol%), MeOH/HCl, H 2 , 1200psi, 80%. (c) (i) TESC1, imidazole, 77%; (ii) Zn, AcOH, THF, 99%; (iii) TBSOTf, 2,6-lutidine, 82%; for remaining steps see Rivkin et al. J. Am. Chem. Soc. 2003, 125, 2899.
- Reagents and conditions (a) (i) Allyl bromide, In, THF-water (3:1) 48 °C, 85%; SOCl 2 , pyr 55 °C, 77%; (b) (i) DIBAL-H, CH 2 C1 2 , -78°C to r.t.
- Reagents and conditions (a) EDCI, DMAP, CH 2 C1 2 , 25, 0 °C to rt, 86% from t-butyl ester; (b) Grubb's catalyst, toluene, 110 °C, 20 min, 71%; (c) (i) KHMDS, 101, THF, 78 °C to -20 °C, 70%; (ii) HF-pyridine, THF, 98%.
- Infrared spectra were obtained on a Perkin-Elmer FT-IR model 1600 spectrometer. Optical rotations were obtained on a JASCO model DIP-370 digital polarimeter. Analytical thin-layer chromatography was performed on E. Merck silica gel 60 F254 plates. Compounds which were not UV active were visualized by dipping the plates in j> ⁇ r ⁇ -anisaldehyde solution and heating. Preparative thin layer chromatography was performed using the indicated solvent on Whatman ® (LK6F Silica gel 60A) TLC plate.
- Paclitaxel Texol ®
- VBL vinblastine sulfate
- All epothilones and paclitaxel were dissolved in Cremophor/ethanol (1:1) vehicle and then diluted with saline for iv infusion for 6 hrs via tail vein using a custom-designed mini-catheter (T.- C. Chou et al. Proc.
- the CCRF-CEM human lymphoblastic leukemia cells were obtained from Dr. William Beck of the University of Illinois, Chicago.
- Human mammary carcinoma (MX-1) and human lung carcinoma cells (A549) were obtained from American Type Culture Collection (ATCC, Rockville, MD).
- the paclitaxel- resistant A549/taxol cells (44-fold resistance) were developed with the method as described above (T.-C. Chou et al. Proc. Natl. Acad. Sci. USA. 2001, 98, 8113-8118; incorporated herein by reference).
- Athymic nude mice bearing the nu/nu gene were obtained from ⁇ CI, Frederick, MD and used for all human tumor xenografts. Male nude mice 6 weeks or older weighing 20-22 g or more were used. Drugs were administered via the tail vein for 6 hours by i.v. infusion using a home-made infusion mini-catheter and containment tube (T.-C. Chou et al. Proc. Natl. Acad. Sci. USA. 2001, 98, 8113-8118; incorporated herein by reference). A programmable Harvard PHD2000 syringe pump with multitrack was used for i.v. infusion.
- a typical 6 hrs infusion volume for each drug in Cremophor/ethanol (1:1) was 100 ml in 2.0 ml of saline. Tumor volume was assessed by measuring length x width x height (or width) by using a caliper. For tumor-bearing nude mice during the course of experiment, the body weight refers to total weight minus the weight of the tumor. All animal studies conducted in accordance with the guidelines for the National Institute of Health Guide for the Care and Use of Animals and the protocol approved by the Memorial Sloan-Kettering Cancer Center's Institutional Animal Care and Use Committee. Cytotoxicity Assays. In preparation for in vitro cytotoxicity assays, cells were cultured at an initial density 2-5 x 10 4 cells per milliliter.
- cytotoxicity was measured, in duplicate, by using the 2,3-bis-(2- methoxy-4-nitro-5-sulfophenyl)-5-carboxanilide)-2H-terazodium hydroxide (XTT) microculture method (D. A. Scudiero et al. Cancer Res. 1988, 48, 4827-4833; incorporated herein by reference) in 96-well microtiter plates. For both methods, the absorbance of each well was measured with a microplate reader (Power Wave XS, Bio- Tek, Winooski, VT).
- XTT 2,3-bis-(2- methoxy-4-nitro-5-sulfophenyl)-5-carboxanilide)-2H-terazodium hydroxide
- the Agilent autosampler set at 37°C, picked up 20 ⁇ l of the sample, loaded it onto the cartridge, washed it with water, then the Prospekt-2 diverted the mobile phase stream through the extraction cartridge onto the analytical column, Reliance Stable Bond C8 4x80 mm with guard column (MacMod, Chadds Ford, PA) and the eluent was monitored at 250 nm.
- the mobile phase consisted of 53 or 65% acetonitrile/0.1% formic acid at 0.4 ml/min, so that the retention time of the compound of interest was about 6 minutes.
- Sample preparation involved the addition of equal volumes of plasma to PBS for a total volume of 300-400 ⁇ l, filtered, and the addition of
- Sodium dichromate is used to evaluate time zero which is 2.5 min and the retention times for the standards are 3.9, 5.4, 10.6, 14. 18.7 and 19.8 min, respectively.
- Example 11 In vitro studies A typical experiment involves culturing cells (e.g., CCRF-CEM) at an initial density of 2-5x10 4 cells per ml. They are maintained in a 5% CO -humidified atmosphere at 37°C in RPMI medium 1640 (GIBCO/BRL) containing penicillin (100 units/ml), streptomycin (100 ⁇ g/ml) (GIBCO/BRL), and 5% heat-inactivated fetal bovine serum.
- RPMI medium 1640 RPMI medium 1640
- penicillin 100 units/ml
- streptomycin 100 ⁇ g/ml
- fetal bovine serum fetal bovine serum
- cytotoxicitiy is measured by using the 2,-3-bis (2-methoxy-4-nitro-5- sulfophenyl)-5 carboxanilide)-2Hterazodium hydroxide (XTT)-microculture tetrazonium method in duplicate in 96-well microtiter plates.
- XTT 2,-3-bis (2-methoxy-4-nitro-5- sulfophenyl)-5 carboxanilide)-2Hterazodium hydroxide
- CCRF-CEM human T cells acute lymphoblastic leukemic cells, its teniposide-resistant subline (CCRF-CEM/NMi) and vinblastine-resistant subline (CCRF-CEM/VBLioo) are obtained from W.T. Beck (University of Illinois, Chicago, II).
- certain of the inventive compounds demonstrated activity in CCRF-CEM cell lines and CCRF-CEM cell lines resistant to Taxol.
- Certain of these compounds exhibit IC 5 QS in the range of 0.0015 to about 0.120 for CCRF-CEM cell lines.
- Certain other compounds exhibit IC50S in the range of 0.0015 to about 10.5.
- Certain of these compounds also exhibit ICsos in the range of 0.011 to about 0.80 for CCRF-CEM/Taxol resistant cell lines and certain other compounds exhibit IC 50 s in the range of about 0.011 to about 13.0 ⁇ M.
- 26F-EpoD exhibits activities in the range of 0.0015 ⁇ M for CCRF-CEM cell lines and in the range of 0.011 ⁇ M for CCRF- CEM/Taxol resistant cell lines (Figure 11).
- Athymic nude mice bearing the nu/nu gene are typically used for tumor xenografts.
- Outbred, Swiss-background mice were obtained from Charles River
- mice Male mice 8 weeks or older weighing 22 g and up were used for most experiments.
- the drug was administered via the tail vein for 6 hr.-i.v. infusion.
- Each individual mouse was confined in a perforated Falcon polypropylene tube restrainer for drug administration. Tumor volume was assessed by measuring length x width x height (or width) using a caliper.
- the programmable Harvard PHD2000 syringe pump (Harvard Apparatus) with multi-track was used for i.v. infusion. All animal studies were conducted in accordance with the guidelines of the National Institutes of Health "Guide for the Care and Use of Animals" and the protocol approved by the Memorial Sloan-Kettering Cancer Center's Institutional Animal Care and Use Committee.
- mice were euthanized when tumors reached > 10% of their total body weight.
- 9,10-dehydro-EpoB was tested in nude mice bearing human mammary carcinoma MX- 1.
- 9, 10-dehydro-EpoB was formulated as follows: 9,10-dehydro-EpoB was dissolved in ethanol and Cremophor was added (1:1) at a concentration of 20 mg l. This solution was diluted with saline for i.v. infusion. The diluted solution was used for i.v. infusion within one hour.
- Tumor size and body weight were then measured using dosages of 10 mg/kg, 20 mg/kg, and 30 mg/kg over 15 days. Tumor size and body weight were also measured using a dosage regimen of 0.4 mg/kg Q3Dx2, 0.5 mg/kg Q3Dx2, and 0.6 mg/kg Q3Dx5 (see Figures 33, 34, 55 and 56). The every third day dosing regimen was used to reduce toxicity.
- Other therapeutic studies on 9,10-dehydro-Epo B are shown in Figures 70 and 71 (CCRF- CEM/Taxol Q3Dx5) and in Figures 23 and 24 (HCT-116, Q2Dx7).
- 9,10-dehydro- 12,13-desoxyepothilone B (iso-490 epothilone)
- 9,10-dehydro-12,13-desxoyepothilone D has been shown to arrest tumor growth after two to three infusions of 10 mg/kg or 20 mg/kg, each of which was administered every other day.
- Better results in mice were obtained using a dose of 30 mg/kg of 9,10-dehydro-12,13-desoxyepothilone B using two 6 hour infusion iv every other day.
- 9, 10-dehydro- 12, 13 -desoxyepothilone B shows decreased toxicity as compared to other epothilones, greater potency in arresting tumor growth, and greater serum stability.
- Other therapeutic studies are shown in Figures 17 and 18 (HCT-116,
- 9,10-dehydro-Epo B When 9,10-dehydro-Epo B was administered every other day for 9 doses, the implanted tumor continued to shrink moderately from the second to the eighth day, but body weight recovered very slowly from 76% to 82% of the control during the same period. On the tenth day, one-fourth of tumor was gone.
- a dosage of 0.6 mg/kg of 9,10-dehydro-EpoB was administered Q2Wx6, 6 hour infusion, to nude mice with HCT- 116 xenografts, four out of four mice died of toxicity within three days after the sixth dosage.
- 9,10-dehydro-EpoB abolished tumor growth against CCRF-CEM/Taxol using 0.6 mg/kg, Q3Dx5,x2 schedule ( Figures 70 and 71).
- 26-trifluoro-9,10-dehydro-12,13-desoxy-epothilone B (F 3 -deH-dEpoB) as shown in the Figures is curative at 20 mg/kg and 30 mg/kg, Q2Dx6, 6 hour infusions, in a nude mouse model implanted with human mammary carcinoma MX-1 xenografts. The data also suggests that 30 mg/kg Q2Dx6 is approximately the maximal tolerated dose.
- Figure 61 lists in vitro potency of C-21 modified epothilones against CCRF- CEM, CCRF-CEM/VBL and CCRF-CEM/Taxol.
- Figure 62 shows therapeutic effect of 26-F 3 -9,10-deH-dEpoB (15mg/kg and 30mg/kg) and Taxol (20mg/kg) Q2Dx8, 6 hour i.v. infusion against human T-cell lymphoblastic leukemia CCRF-CEM xenograft. Similar body weight decreases were observed in all three groups of treatment ( Figure 63). Treatment of CCRF-CEM/Taxol xenograft (Taxol resistant) with 26-F 3 -9, 10- deH-dEpo B, 15mg/kg achieved 1/3 tumor disappearance, and 30mg/kg achieved % tumor disappearance.
- 9,10-dehydro-EpoB the most potent epothilone known in vitro, although highly efficacious, showed a narrow therapeutic safety margin in vivo.
Landscapes
- Organic Chemistry (AREA)
- Chemical & Material Sciences (AREA)
- Health & Medical Sciences (AREA)
- Veterinary Medicine (AREA)
- Medicinal Chemistry (AREA)
- Nuclear Medicine, Radiotherapy & Molecular Imaging (AREA)
- General Chemical & Material Sciences (AREA)
- Pharmacology & Pharmacy (AREA)
- Life Sciences & Earth Sciences (AREA)
- Animal Behavior & Ethology (AREA)
- General Health & Medical Sciences (AREA)
- Public Health (AREA)
- Chemical Kinetics & Catalysis (AREA)
- Bioinformatics & Cheminformatics (AREA)
- Engineering & Computer Science (AREA)
- Biomedical Technology (AREA)
- Neurology (AREA)
- Neurosurgery (AREA)
- Pharmaceuticals Containing Other Organic And Inorganic Compounds (AREA)
- Heterocyclic Carbon Compounds Containing A Hetero Ring Having Oxygen Or Sulfur (AREA)
- Plural Heterocyclic Compounds (AREA)
- Saccharide Compounds (AREA)
- Medicines That Contain Protein Lipid Enzymes And Other Medicines (AREA)
- Medicinal Preparation (AREA)
- Low-Molecular Organic Synthesis Reactions Using Catalysts (AREA)
- Organic Low-Molecular-Weight Compounds And Preparation Thereof (AREA)
- Medicines Containing Antibodies Or Antigens For Use As Internal Diagnostic Agents (AREA)
Abstract
Description
Claims
Priority Applications (13)
| Application Number | Priority Date | Filing Date | Title |
|---|---|---|---|
| DE60310916T DE60310916T2 (en) | 2002-08-23 | 2003-08-22 | SYNTHESIS OF EPOTHILONES, INTERMEDIATES THEREOF, ANALOGUES AND ITS USES |
| ES03793304T ES2281692T3 (en) | 2002-08-23 | 2003-08-22 | SYNTHESIS OF EPOTILONES, THEIR INTERMEDIARIES, THEIR ANALOGS AND THEIR USES. |
| AU2003260002A AU2003260002B2 (en) | 2002-08-23 | 2003-08-22 | Synthesis of epothilones, intermediates thereto, analogues and uses thereof |
| SI200330738T SI1506203T1 (en) | 2002-08-23 | 2003-08-22 | Synthesis of epothilones, intermediates thereto, analogues and uses thereof |
| CA2496477A CA2496477C (en) | 2002-08-23 | 2003-08-22 | Synthesis of epothilones, intermediates thereto, analogues and uses thereof |
| MXPA05002113A MXPA05002113A (en) | 2002-08-23 | 2003-08-22 | Synthesis of epothilones, intermediates thereto, analogues and uses thereof. |
| NZ538522A NZ538522A (en) | 2002-08-23 | 2003-08-22 | Synthesis of epothilones, intermediates thereto, analogues and uses thereof |
| DK03793304T DK1506203T3 (en) | 2002-08-23 | 2003-08-22 | Synthesis of epothilones, intermediates thereof, analogs thereof and uses thereof |
| CNA038225611A CN1759115A (en) | 2002-08-23 | 2003-08-22 | Epothilone (EPOTHILONE), an intermediate for synthesizing Epothilone, its analogue and its use |
| JP2005501774A JP4791183B2 (en) | 2002-08-23 | 2003-08-22 | Synthesis and use of epothilone, its intermediates and analogues |
| EP03793304A EP1506203B1 (en) | 2002-08-23 | 2003-08-22 | Synthesis of epothilones, intermediates thereto, analogues and uses thereof |
| IL167046A IL167046A (en) | 2002-08-23 | 2005-02-22 | Epothilone derivatives and pharmaceutical compositions comprising them |
| PH12012501351A PH12012501351A1 (en) | 2002-08-23 | 2012-06-29 | Synthesis of eporthilones, intermediates thereto, analogues and uses thereof |
Applications Claiming Priority (14)
| Application Number | Priority Date | Filing Date | Title |
|---|---|---|---|
| US40582302P | 2002-08-23 | 2002-08-23 | |
| US60/405,823 | 2002-08-23 | ||
| US40858902P | 2002-09-06 | 2002-09-06 | |
| US60/408,589 | 2002-09-06 | ||
| US42312902P | 2002-11-01 | 2002-11-01 | |
| US60/423,129 | 2002-11-01 | ||
| US45615903P | 2003-03-20 | 2003-03-20 | |
| US60/456,159 | 2003-03-20 | ||
| US10/402,004 | 2003-03-28 | ||
| US10/402,004 US6921769B2 (en) | 2002-08-23 | 2003-03-28 | Synthesis of epothilones, intermediates thereto and analogues thereof |
| US10/435,408 | 2003-05-09 | ||
| US10/435,408 US7649006B2 (en) | 2002-08-23 | 2003-05-09 | Synthesis of epothilones, intermediates thereto and analogues thereof |
| US49674103P | 2003-08-21 | 2003-08-21 | |
| US60/496,741 | 2003-08-21 |
Publications (2)
| Publication Number | Publication Date |
|---|---|
| WO2004018478A2 true WO2004018478A2 (en) | 2004-03-04 |
| WO2004018478A3 WO2004018478A3 (en) | 2004-12-09 |
Family
ID=31950966
Family Applications (1)
| Application Number | Title | Priority Date | Filing Date |
|---|---|---|---|
| PCT/US2003/026367 Ceased WO2004018478A2 (en) | 2002-08-23 | 2003-08-22 | Synthesis of epothilones, intermediates thereto, analogues and uses thereof |
Country Status (18)
| Country | Link |
|---|---|
| US (1) | US7875638B2 (en) |
| EP (3) | EP1767535B1 (en) |
| JP (2) | JP4791183B2 (en) |
| KR (1) | KR101173510B1 (en) |
| CN (2) | CN102532120A (en) |
| AT (2) | ATE450534T1 (en) |
| AU (1) | AU2003260002B2 (en) |
| CA (1) | CA2496477C (en) |
| DE (2) | DE60330407D1 (en) |
| DK (2) | DK1506203T3 (en) |
| ES (2) | ES2281692T3 (en) |
| IL (1) | IL167046A (en) |
| MX (1) | MXPA05002113A (en) |
| NZ (1) | NZ538522A (en) |
| PH (1) | PH12012501351A1 (en) |
| PT (2) | PT1767535E (en) |
| SI (1) | SI1767535T1 (en) |
| WO (1) | WO2004018478A2 (en) |
Cited By (32)
| Publication number | Priority date | Publication date | Assignee | Title |
|---|---|---|---|---|
| JP2006510743A (en) * | 2002-11-07 | 2006-03-30 | コーサン バイオサイエンシーズ, インコーポレイテッド | Trans-9,10-dehydroepothilone C and D, their analogs, and methods of making them |
| WO2006111491A1 (en) * | 2005-04-21 | 2006-10-26 | F. Hoffmann-La Roche Ag | Process for the preparation of 9,10-dehydro-12,13-desoxyepothilone derivatives |
| EP1670487A4 (en) * | 2003-10-09 | 2008-05-21 | Kosan Biosciences Inc | Therapeutic formulations |
| WO2008098138A1 (en) | 2007-02-07 | 2008-08-14 | The Government Of The United States Of America As Represented By The Secretary Of The Department Of Health And Human Services | Synthetic macrocyclic compounds for treating cancer |
| WO2009112077A1 (en) * | 2008-03-13 | 2009-09-17 | F. Hoffmann-La Roche Ag | Process for the preparation of epothilone precursor compounds |
| EP1722791A4 (en) * | 2004-02-27 | 2010-06-09 | Sloan Kettering Inst Cancer | SYNTHESIS OF EPOTHILONES, INTERMEDIATES, ANALOGUES AND USES THEREOF |
| US7759374B2 (en) | 2002-08-23 | 2010-07-20 | Sloan-Kettering Institute For Cancer Research | Synthesis of epothilones, intermediates thereto and analogues thereof |
| WO2010099213A1 (en) | 2009-02-24 | 2010-09-02 | Dekk-Tec, Inc. | Complexes of 4-hydroperoxy ifosfamide as anti-tumor agents |
| WO2010138686A1 (en) | 2009-05-29 | 2010-12-02 | The United States Of America, As Represented By The Secretary, Department Of Health And Human Services | Mdri-inverse agents |
| US7875638B2 (en) | 2002-08-23 | 2011-01-25 | Sloan-Kettering Institute For Cancer Research | Synthesis of epothilones, intermediates thereto, analogues and uses thereof |
| EP2336140A2 (en) | 2004-10-25 | 2011-06-22 | Dekk-Tec, Inc. | Salts of isophosphoramide mustard and analogs thereof as anti-tumor agents |
| WO2011112867A1 (en) | 2010-03-10 | 2011-09-15 | The United States Of America, As Represented By The Secretary, Dept. Of Health And Human Services | The use of fenoterol and fenoterol analogues in the treatment of glioblastomas and astrocytomas |
| WO2012033601A1 (en) | 2010-08-20 | 2012-03-15 | The United States Of America, As Represented By The Secretary, Department Of Health & Human Services | Thiosemicarbazones with mdr1 - inverse activity |
| WO2013009475A1 (en) | 2011-07-11 | 2013-01-17 | The United States Of America, As Represented By The Secretary, Department Of Health & Human Services | Photosensitizing antibody-phuorophore conjugates |
| EP2581367A2 (en) | 2007-04-06 | 2013-04-17 | Ziopharm Oncology, Inc. | Salts of isophosphoramide mustard and analogs thereof |
| WO2013177418A1 (en) | 2012-05-25 | 2013-11-28 | The United States Of America, As Represented By The Secretary, Department Of Health And Human Services | Methods of regulating cannabinoid receptor activity-related disorders and diseases |
| US8664201B2 (en) | 2008-07-31 | 2014-03-04 | Ziopharm Oncology, Inc. | Synthesis and formulations of salts of isophosphoramide mustard and analogs thereof |
| WO2016022896A1 (en) | 2014-08-08 | 2016-02-11 | The United States Of America, As Represented By The Secretary, Department Of Health & Human Services | Photo-controlled removal of targets in vitro and in vivo |
| WO2019099615A1 (en) | 2017-11-17 | 2019-05-23 | The United States Of America, As Represented By The Secretary, Department Of Health And Human Services | Use of copeptin to modulate the immune response and hematopoiesis, and stimulate bone growth |
| WO2019199751A1 (en) | 2018-04-10 | 2019-10-17 | The United States Of America, As Represented By The Secretary, Department Of Health And Human Services | Combination of near infrared photoimmunotherapy targeting cancer cells and host-immune activation |
| EP3620470A1 (en) | 2013-10-11 | 2020-03-11 | The United States of America, as represented by The Secretary, Department of Health and Human Services | Tem8 antibodies and their use |
| WO2021003297A1 (en) | 2019-07-02 | 2021-01-07 | The United States Of America, As Represented By The Secretary, Department Of Health And Human Services | Monoclonal antibodies that bind egfrviii and their use |
| WO2021154705A1 (en) | 2020-01-27 | 2021-08-05 | The United States Of America, As Represented By The Secretary, Department Of Health And Human Services | Rab13 and net1 antisense oligonucleotides to treat metastatic cancer |
| US11098080B2 (en) | 2015-10-27 | 2021-08-24 | Hoffmann-La Roche Inc. | Peptide macrocycles against Acinetobacter baumannii |
| WO2022165277A1 (en) | 2021-01-29 | 2022-08-04 | The United States Of America, As Represented By The Secretary, Department Of Health And Human Services | Near infrared photoimmunotherapy (nir-pit) combination therapy to treat cancer |
| US11505573B2 (en) | 2018-03-28 | 2022-11-22 | Hoffmann-La Roche Inc. | Peptide macrocycles against Acinetobacter baumannii |
| US11819532B2 (en) | 2018-04-23 | 2023-11-21 | Hoffmann-La Roche Inc. | Peptide macrocycles against Acinetobacter baumannii |
| WO2024006965A1 (en) | 2022-06-30 | 2024-01-04 | The United States Of America, As Represented By The Secretary, Department Of Health And Human Services | Cd25-specific antibodies and uses thereof |
| US11963990B2 (en) | 2021-04-30 | 2024-04-23 | Kalivir Immunotherapeutics, Inc. | Oncolytic viruses for modified MHC expression |
| US12036257B2 (en) | 2017-10-31 | 2024-07-16 | Kalivir Immunotherapeutics, Inc. | Platform oncolytic vector for systemic delivery |
| WO2025014896A1 (en) | 2023-07-07 | 2025-01-16 | The United States Of America, As Represented By The Secretary, Department Of Health And Human Services | Humanized 40h3 antibody |
| US12403165B2 (en) | 2020-11-19 | 2025-09-02 | KaliVir Immunotherapeutcs, Inc. | Oncolytic immunotherapy by tumor micro-environment remodeling |
Families Citing this family (4)
| Publication number | Priority date | Publication date | Assignee | Title |
|---|---|---|---|---|
| AU2003264822A1 (en) * | 2002-10-11 | 2004-05-04 | Dana-Farber Cancer Institute Inc | Epothilone derivatives for the treatment of multiple myeloma |
| WO2008141234A2 (en) * | 2007-05-11 | 2008-11-20 | Kosan Biosciences Incorporated | Methods of making epothilones |
| CN101747326B (en) * | 2010-01-12 | 2012-07-25 | 山东大学 | 18-membered macrolide epothilone compound and its application |
| CN116710085A (en) * | 2021-12-31 | 2023-09-05 | 成都华昊中天药业有限公司 | Utenidron liposome composition and its preparation method and application |
Family Cites Families (227)
| Publication number | Priority date | Publication date | Assignee | Title |
|---|---|---|---|---|
| US4605661A (en) * | 1984-06-18 | 1986-08-12 | Eli Lilly And Company | Aromastase inhibiting α,α-diarylimidazole-4(5)-propionitriles, α,α-diarylimidazole-4(5)-propionamides, and 4(5)-(2,2-diarylethyl)imidazoles |
| EP0225292A3 (en) | 1985-12-06 | 1988-11-30 | Ciba-Geigy Ag | Certain n-substituted butyramide derivatives |
| DE3811574A1 (en) * | 1988-03-31 | 1989-10-19 | Schering Ag | N-SUBSTITUTED IMIDAZOLES, METHODS FOR THEIR PRODUCTION AND THEIR USE IN MEDICINAL PRODUCTS |
| DE4138042C2 (en) | 1991-11-19 | 1993-10-14 | Biotechnolog Forschung Gmbh | Epothilones, their production processes and agents containing these compounds |
| EP1155689B1 (en) * | 1993-07-19 | 2006-09-20 | Angiotech Pharmaceuticals, Inc. | Anti-angiogenic stents and methods of their preparation |
| US5886026A (en) | 1993-07-19 | 1999-03-23 | Angiotech Pharmaceuticals Inc. | Anti-angiogenic compositions and methods of use |
| US20030203976A1 (en) * | 1993-07-19 | 2003-10-30 | William L. Hunter | Anti-angiogenic compositions and methods of use |
| DK1186606T4 (en) | 1995-11-17 | 2011-12-05 | Biotechnolog Forschung Gmbh | Epothilone derivatives, their preparation and use |
| DE19607702A1 (en) | 1996-02-29 | 1997-09-04 | Biotechnolog Forschung Gmbh | Heterocyclic compounds, manufacturing processes and agents |
| DE69735057T2 (en) | 1996-03-12 | 2006-08-31 | PG-TXL Co., L.P., Houston | WATER-SOLUBLE PACLITAXEL PRODUCTS |
| US6441025B2 (en) * | 1996-03-12 | 2002-08-27 | Pg-Txl Company, L.P. | Water soluble paclitaxel derivatives |
| US20040106985A1 (en) | 1996-04-26 | 2004-06-03 | Jang G. David | Intravascular stent |
| US5917084A (en) | 1996-07-03 | 1999-06-29 | Millennium Pharmaceuticals, Inc. | Antifungal agents |
| US5969145A (en) | 1996-08-30 | 1999-10-19 | Novartis Ag | Process for the production of epothilones and intermediate products within the process |
| DE19645362A1 (en) | 1996-10-28 | 1998-04-30 | Ciba Geigy Ag | Production of epothilone compounds with taxol-like activity |
| DE19636343C1 (en) | 1996-08-30 | 1997-10-23 | Schering Ag | New (di:methyl)-dioxanyl-methyl-pentanone and related compounds |
| DE19645361A1 (en) | 1996-08-30 | 1998-04-30 | Ciba Geigy Ag | Production of epothilone compounds with taxol-like activity |
| DE19638870B4 (en) | 1996-09-23 | 2009-05-14 | Helmholtz-Zentrum für Infektionsforschung GmbH | Tubulysins, methods for their production and agents containing them |
| DK1367057T3 (en) * | 1996-11-18 | 2009-01-19 | Biotechnolog Forschung Gmbh | Epothilones E and F |
| US6204388B1 (en) | 1996-12-03 | 2001-03-20 | Sloan-Kettering Institute For Cancer Research | Synthesis of epothilones, intermediates thereto and analogues thereof |
| WO1999001124A1 (en) | 1996-12-03 | 1999-01-14 | Sloan-Kettering Institute For Cancer Research | Synthesis of epothilones, intermediates thereto, analogues and uses thereof |
| US6867305B2 (en) * | 1996-12-03 | 2005-03-15 | Sloan-Kettering Institute For Cancer Research | Synthesis of epothilones, intermediates thereto and analogues thereof |
| US6380394B1 (en) | 1996-12-13 | 2002-04-30 | The Scripps Research Institute | Epothilone analogs |
| US6660758B1 (en) * | 1996-12-13 | 2003-12-09 | The Scripps Research Institute | Epothilone analogs |
| DE19701758A1 (en) | 1997-01-20 | 1998-07-23 | Wessjohann Ludgar A Dr | New beta-keto-alcohol derivatives |
| PT975638E (en) * | 1997-02-25 | 2002-12-31 | Biotechnolog Forschung Mbh Gbf | EPOTHILONS MODIFIED IN LATERAL CHAINS |
| US20020086812A1 (en) | 1997-03-04 | 2002-07-04 | Schweinfest Clifford W. | Methods and compositions for diagnosis and treatment of cancer |
| DE19713970B4 (en) | 1997-04-04 | 2006-08-31 | R&D-Biopharmaceuticals Gmbh | Epothilone Synthesis Building Blocks II - Prenyl Derivatives |
| WO1998047891A1 (en) | 1997-04-18 | 1998-10-29 | Studiengesellschaft Kohle Mbh | Selective olefin metathesis of bifunctional or polyfunctional substrates in compressed carbon dioxide as reaction medium |
| US6117659A (en) | 1997-04-30 | 2000-09-12 | Kosan Biosciences, Inc. | Recombinant narbonolide polyketide synthase |
| DE19849464A1 (en) | 1997-04-30 | 2000-04-27 | Schering Ag | Stent with polymeric coating having pockets, preferably cyclodextrin stuctures, containing active agent for prophylaxis of restenosis |
| DE19821954A1 (en) | 1997-05-15 | 1998-11-19 | Biotechnolog Forschung Gmbh | Preparation of epothilone derivatives |
| DE19720312A1 (en) | 1997-05-15 | 1998-11-19 | Hoechst Ag | Preparation with increased in vivo tolerance |
| US20030049841A1 (en) * | 1997-06-16 | 2003-03-13 | Short Jay M. | High throughput or capillary-based screening for a bioactivity or biomolecule |
| DE19726627A1 (en) | 1997-06-17 | 1998-12-24 | Schering Ag | New intermediates for epothilone |
| US6605599B1 (en) | 1997-07-08 | 2003-08-12 | Bristol-Myers Squibb Company | Epothilone derivatives |
| US6384230B1 (en) | 1997-07-16 | 2002-05-07 | Schering Aktiengesellschaft | Thiazole derivatives, method for their production and use |
| DE19751200A1 (en) | 1997-11-13 | 1999-05-20 | Schering Ag | New epothilone derivatives |
| DE19735574A1 (en) | 1997-08-09 | 1999-02-11 | Schering Ag | New 3-hydroxy-5-oxo-hexanoic acid derivatives |
| DE19813821A1 (en) | 1998-03-20 | 1999-09-23 | Schering Ag | New epothilone derivatives |
| DE19735578A1 (en) | 1997-08-09 | 1999-02-11 | Schering Ag | New di:hydroxy-hexanone or -pentene derivatives |
| DE19749717A1 (en) | 1997-10-31 | 1999-05-06 | Schering Ag | New epothilone derivatives |
| DE19735575A1 (en) | 1997-08-09 | 1999-02-11 | Schering Ag | New di:hydroxy-butanal or -pentene derivatives |
| ES2290993T3 (en) | 1997-08-09 | 2008-02-16 | Bayer Schering Pharma Aktiengesellschaft | NEW DERIVATIVES OF EPOTILONE, PROCESS FOR ITS PRODUCTION AND ITS PHARMACEUTICAL USE. |
| DE19744135C1 (en) | 1997-09-29 | 1999-03-25 | Schering Ag | Medical implants coated with epothilone |
| US6365749B1 (en) * | 1997-12-04 | 2002-04-02 | Bristol-Myers Squibb Company | Process for the preparation of ring-opened epothilone intermediates which are useful for the preparation of epothilone analogs |
| US6320045B1 (en) | 1997-12-04 | 2001-11-20 | Bristol-Myers Squibb Company | Process for the reduction of oxiranyl epothilones to olefinic epothilones |
| US6096757A (en) | 1998-12-21 | 2000-08-01 | Schering Corporation | Method for treating proliferative diseases |
| US6090601A (en) | 1998-01-23 | 2000-07-18 | Kosan Bioscience | Sorangium polyketide synthase |
| US6280999B1 (en) | 1998-01-23 | 2001-08-28 | Kosan Bioscience | Sorangium polyketide synthases and encoding DNA therefor |
| SK287775B6 (en) | 1998-02-05 | 2011-09-05 | Novartis Ag | Pharmaceutical formulation containing epothilone, infusion solution and use of pharmaceutical formulation |
| US6683100B2 (en) * | 1999-01-19 | 2004-01-27 | Novartis Ag | Organic compounds |
| DE19804673A1 (en) * | 1998-02-06 | 1999-08-12 | Studiengesellschaft Kohle Mbh | Process for the preparation of macrocyclic products by ring-closing diine metathesis |
| US6194181B1 (en) | 1998-02-19 | 2001-02-27 | Novartis Ag | Fermentative preparation process for and crystal forms of cytostatics |
| FR2775187B1 (en) * | 1998-02-25 | 2003-02-21 | Novartis Ag | USE OF EPOTHILONE B FOR THE MANUFACTURE OF AN ANTIPROLIFERATIVE PHARMACEUTICAL PREPARATION AND A COMPOSITION COMPRISING EPOTHILONE B AS AN IN VIVO ANTIPROLIFERATIVE AGENT |
| US6302838B1 (en) | 1998-02-25 | 2001-10-16 | Novartis Ag | Cancer treatment with epothilones |
| DE69927790T2 (en) | 1998-02-25 | 2006-07-20 | Sloan-Kettering Institute For Cancer Research | SYNTHESIS OF EPOTHILONES, ITS INTERMEDIATE PRODUCTS AND ANALOGICAL COMPOUNDS |
| US6399638B1 (en) | 1998-04-21 | 2002-06-04 | Bristol-Myers Squibb Company | 12,13-modified epothilone derivatives |
| US6407103B2 (en) | 1998-04-21 | 2002-06-18 | Bristol-Myers Squibb Pharma Company | Indeno [1,2-c] pyrazol-4-ones and their uses |
| US6498257B1 (en) * | 1998-04-21 | 2002-12-24 | Bristol-Myers Squibb Company | 2,3-olefinic epothilone derivatives |
| JPH11322611A (en) * | 1998-05-14 | 1999-11-24 | Sankyo Co Ltd | Antiviral agent |
| GB9810659D0 (en) * | 1998-05-18 | 1998-07-15 | Ciba Geigy Ag | Organic compounds |
| DE19826988A1 (en) | 1998-06-18 | 1999-12-23 | Biotechnolog Forschung Gmbh | Epothilone minor components |
| US6121029A (en) | 1998-06-18 | 2000-09-19 | Novartis Ag | Genes for the biosynthesis of epothilones |
| DE19830060A1 (en) | 1998-06-30 | 2000-02-10 | Schering Ag | New epothilone derivatives, used as mitosis regulators e.g. for treating malignant tumors, psoriasis or arthritis |
| DE19923001A1 (en) | 1999-05-13 | 2000-11-16 | Schering Ag | New epothilone derivatives, used as mitosis regulators e.g. for treating malignant tumors, psoriasis or arthritis |
| EP1100927A2 (en) * | 1998-07-02 | 2001-05-23 | The Board Of Trustees Of The Leland Stanford Junior University | Methods for making polyketides using altered pks |
| US20030199535A1 (en) | 1998-07-30 | 2003-10-23 | Claudio Cavazza | Method for preventing and/or treating peripheral neuropathies induced by the administration of an anticancer agent |
| NZ510819A (en) * | 1998-10-02 | 2004-03-26 | Kosan Biosciences Inc | Polyketide synthase enzymes and recombinant DNA constructs therefor |
| DE19846493A1 (en) | 1998-10-09 | 2000-04-13 | Biotechnolog Forschung Gmbh | DNA sequence coding for products involved in the biosynthesis of polyketide or heteropolyketide compounds, especially epothilone |
| DE19848306A1 (en) | 1998-10-14 | 2000-04-20 | Schering Ag | High yield preparation of cytotoxic or fungicidal compound epothilon B, from phenylsulfonyl-butanol derivative by multistage process via new thiazole derivative intermediates |
| JP2003512013A (en) | 1998-10-29 | 2003-04-02 | コーサン バイオサイエンシーズ, インコーポレイテッド | Recombinant oleandride polyketide synthase |
| US6303767B1 (en) | 1998-11-05 | 2001-10-16 | Kosan Biosciences, Inc. | Nucleic acids encoding narbonolide polyketide synthase enzymes from streptomyces narbonensis |
| NZ511722A (en) | 1998-11-20 | 2004-05-28 | Kosan Biosciences Inc | Recombinant methods and materials for producing epothilone and epothilone derivatives |
| US6410301B1 (en) | 1998-11-20 | 2002-06-25 | Kosan Biosciences, Inc. | Myxococcus host cells for the production of epothilones |
| CN1122668C (en) | 1998-12-22 | 2003-10-01 | 诺瓦提斯公司 | Epothilone derivatives and their use as antitumor agents |
| US6780620B1 (en) | 1998-12-23 | 2004-08-24 | Bristol-Myers Squibb Company | Microbial transformation method for the preparation of an epothilone |
| US6419692B1 (en) | 1999-02-03 | 2002-07-16 | Scimed Life Systems, Inc. | Surface protection method for stents and balloon catheters for drug delivery |
| US6596875B2 (en) * | 2000-02-07 | 2003-07-22 | James David White | Method for synthesizing epothilones and epothilone analogs |
| DE19908767A1 (en) | 1999-02-18 | 2000-10-19 | Schering Ag | New stable, modified epothilone derivatives, are cell division regulators useful for treating malignant tumors, angiogenesis or chronic inflammatory disease |
| WO2000048606A1 (en) * | 1999-02-18 | 2000-08-24 | Oxigene, Inc. | Compositions and methods for use in targeting vascular destruction |
| US6406722B1 (en) | 1999-02-18 | 2002-06-18 | Robert G. Gallaher | Method of treating viral infections and lesions with taxane compounds |
| YU59001A (en) * | 1999-02-18 | 2005-07-19 | Schering Ag. | 16-halogen-epothilone derivatives, method for producing them and their pharmaceutical use |
| DE19954230A1 (en) | 1999-11-04 | 2001-11-15 | Schering Ag | New, chemically and metabolically stable 16-halo or cyano-epothilone derivatives are cell division regulators useful e.g. for treating malignant tumors or chronic inflammatory disease |
| DE19908763A1 (en) | 1999-02-18 | 2000-08-24 | Schering Ag | New, chemically and metabolically stable benzo-fused epothilon derivatives, useful e.g. for treating malignant tumors or chronic inflammatory disease, are cell division regulators |
| DE19908765A1 (en) | 1999-02-18 | 2000-08-24 | Schering Ag | New, chemically and metabolically stable 16-halo or cyano-epothilone derivatives are cell division regulators useful e.g. for treating malignant tumors or chronic inflammatory disease |
| DE19908760A1 (en) | 1999-02-18 | 2000-08-24 | Schering Ag | New, chemically and metabolically stable epothilon derivatives having modified macrocyclic ring, useful e.g. for treating malignant tumors or chronic inflammatory disease, are cell division regulators |
| BR0008379A (en) | 1999-02-22 | 2002-09-24 | Biotechnolog Forschung Gmbh | C-21 modified epothilones |
| DE19907588A1 (en) | 1999-02-22 | 2000-08-24 | Biotechnolog Forschung Gmbh | New C-21 modified epothilone derivatives useful for treating e.g. cancer and other proliferative diseases and inhibiting angiogenesis and inducing apoptosis |
| DE19930111A1 (en) | 1999-07-01 | 2001-01-04 | Biotechnolog Forschung Gmbh | New C-21 modified epothilone derivatives useful for treating e.g. cancer and other proliferative diseases and inhibiting angiogenesis and inducing apoptosis |
| US20020058286A1 (en) | 1999-02-24 | 2002-05-16 | Danishefsky Samuel J. | Synthesis of epothilones, intermediates thereto and analogues thereof |
| US6211412B1 (en) | 1999-03-29 | 2001-04-03 | The University Of Kansas | Synthesis of epothilones |
| US6603015B2 (en) | 1999-03-29 | 2003-08-05 | University Of Kansas | Synthesis of epothilones |
| US6291684B1 (en) | 1999-03-29 | 2001-09-18 | Bristol-Myers Squibb Company | Process for the preparation of aziridinyl epothilones from oxiranyl epothilones |
| EP1043369B1 (en) | 1999-04-06 | 2004-09-01 | Seiko Epson Corporation | Ink composition containing copper complex colorant |
| US6664288B1 (en) | 1999-04-14 | 2003-12-16 | Dana Farber Cancer Institute, Inc. | Method and composition for the treatment of cancer |
| PL215901B1 (en) * | 1999-04-15 | 2014-02-28 | Bristol Myers Squibb Co | Cyclic protein tyrosine kinase inhibitors |
| US7125875B2 (en) * | 1999-04-15 | 2006-10-24 | Bristol-Myers Squibb Company | Cyclic protein tyrosine kinase inhibitors |
| DE19954228A1 (en) | 1999-11-04 | 2001-09-13 | Schering Ag | New epothilone derivatives used for treating e.g. malignant melanoma, breast carcinoma, psoriasis, multiple sclerosis and arthritis |
| DE10015836A1 (en) | 2000-03-27 | 2001-10-11 | Schering Ag | New epothilone derivatives used for treating e.g. malignant melanoma, breast carcinoma, psoriasis, multiple sclerosis and arthritis |
| JP4707240B2 (en) * | 1999-05-05 | 2011-06-22 | アベンティス・フアーマ・リミテッド | Urea as a cell adhesion regulator |
| KR100621185B1 (en) | 1999-09-09 | 2006-09-06 | 삼성전자주식회사 | Control method of motion recordable microcomputer of DC monitor |
| US6569867B2 (en) | 1999-10-01 | 2003-05-27 | Kosan Biosciences, Inc. | Polyketide derivatives |
| US20020147197A1 (en) | 1999-10-08 | 2002-10-10 | Newman Michael J. | Methods and compositions for enhancing pharmaceutical treatments |
| US20030054977A1 (en) * | 1999-10-12 | 2003-03-20 | Cell Therapeutics, Inc. | Manufacture of polyglutamate-therapeutic agent conjugates |
| US20020045220A1 (en) * | 1999-10-13 | 2002-04-18 | Chaitan Khosla | Biosynthesis of polyketide synthase substrates |
| CN1086389C (en) * | 1999-11-12 | 2002-06-19 | 中国科学院上海有机化学研究所 | Isoesperamicin and its synthesizing process and usage |
| US20030036177A1 (en) * | 2002-08-13 | 2003-02-20 | Joachim Strohhacker | Single colonies of myxobacteria cells |
| CA2401800A1 (en) | 2000-03-01 | 2001-09-07 | Sloan-Kettering Institute For Cancer Research | Synthesis of epothilones, intermediates thereto and analogues thereof |
| US6518421B1 (en) * | 2000-03-20 | 2003-02-11 | Bristol-Myers Squibb Company | Process for the preparation of epothilone analogs |
| US6593115B2 (en) * | 2000-03-24 | 2003-07-15 | Bristol-Myers Squibb Co. | Preparation of epothilone intermediates |
| TWI310684B (en) * | 2000-03-27 | 2009-06-11 | Bristol Myers Squibb Co | Synergistic pharmaceutical kits for treating cancer |
| DE10020517A1 (en) | 2000-04-19 | 2001-10-25 | Schering Ag | New 13-halo or cyano-epothilone derivatives, are phase-specific cell division regulators useful for treating malignant tumors, angiogenesis or inflammatory disease |
| DE10020899A1 (en) | 2000-04-20 | 2001-10-25 | Schering Ag | New 9-oxa-epothilone derivatives, are phase-specific cell division regulators useful for treating malignant tumors, angiogenesis or inflammatory disease |
| US6998256B2 (en) * | 2000-04-28 | 2006-02-14 | Kosan Biosciences, Inc. | Methods of obtaining epothilone D using crystallization and /or by the culture of cells in the presence of methyl oleate |
| US6489314B1 (en) | 2001-04-03 | 2002-12-03 | Kosan Biosciences, Inc. | Epothilone derivatives and methods for making and using the same |
| US6589968B2 (en) | 2001-02-13 | 2003-07-08 | Kosan Biosciences, Inc. | Epothilone compounds and methods for making and using the same |
| US6838265B2 (en) * | 2000-05-02 | 2005-01-04 | Kosan Biosciences, Inc. | Overproduction hosts for biosynthesis of polyketides |
| AU2001266583A1 (en) * | 2000-05-26 | 2001-12-11 | Kosan Biosciences, Inc. | Epothilone derivatives and methods for making and using the same |
| EP1303615A2 (en) | 2000-07-25 | 2003-04-23 | Kosan Biosciences, Inc. | Fermentation process for epothilones |
| CA2417358A1 (en) | 2000-08-09 | 2002-02-14 | Kosan Biosciences, Inc. | Bio-intermediates for use in the chemical synthesis of polyketides |
| UA75365C2 (en) * | 2000-08-16 | 2006-04-17 | Bristol Myers Squibb Co | Epothilone analog polymorph modifications, a method for obtaining thereof (variants), a pharmaceutical composition based thereon |
| WO2002016395A1 (en) * | 2000-08-18 | 2002-02-28 | The Board Of Trustees Of The University Of Illinois | Prodrugs of betulinic acid derivatives for the treatment of cancer and hiv |
| US7766956B2 (en) | 2000-09-22 | 2010-08-03 | Boston Scientific Scimed, Inc. | Intravascular stent and assembly |
| EP1414384A4 (en) * | 2000-10-13 | 2005-07-27 | Univ Mississippi | SYNTHESIS OF EPOTHILONES AND RELATED ANALOGS |
| AU2002221693A1 (en) * | 2000-10-16 | 2002-04-29 | Morphochem Ag | Epothilone synthesis components iii and iv: asymmetrically substituted acyloins and acyloin derivatives, method for the production thereof and method for the production of epithilone b, d and epothilone derivatives |
| DE10051136A1 (en) | 2000-10-16 | 2002-04-18 | Ludger A Wessjohann | New alpha-hydroxy-ketone derivatives, useful as intermediates for biologically active polyketides, terpenoids, epothilones and their derivatives |
| WO2002058694A2 (en) | 2000-11-07 | 2002-08-01 | Dana-Farber Cancer Institute, Inc. | Method of treating hematologic tumors and cancers using beta lapachone |
| US7070797B2 (en) * | 2000-11-07 | 2006-07-04 | Dana Farber Cancer Institute, Inc. | Method of treating hematologic tumors and cancers |
| US20040038324A1 (en) * | 2000-11-22 | 2004-02-26 | Atadja Peter Wisdom. | Epothilone resistant cell lines |
| GB0029895D0 (en) * | 2000-12-07 | 2001-01-24 | Novartis Ag | Organic compounds |
| NZ526871A (en) | 2001-01-25 | 2006-01-27 | Bristol Myers Squibb Co | Pharmaceutical dosage forms of epothilones for oral administration |
| IL156580A0 (en) | 2001-01-25 | 2004-01-04 | Bristol Myers Squibb Co | A method for formulating an epothilone analog for parenteral use and pharmaceutical preparations including an epothilone analog |
| HU229349B1 (en) | 2001-01-25 | 2013-11-28 | Bristol Myers Squibb Co | Methods for preparation of pharmaceutical composition containing epothilone analogs useful for treatment of cancer |
| US20030004338A1 (en) * | 2001-02-01 | 2003-01-02 | Li Wen Sen | Process for the preparation of epothilone analogs |
| US6893859B2 (en) * | 2001-02-13 | 2005-05-17 | Kosan Biosciences, Inc. | Epothilone derivatives and methods for making and using the same |
| BR0207487A (en) * | 2001-02-20 | 2004-08-10 | Brystol Myers Squibb Company | Method of treating tumors in mammals and using epothilone compounds |
| PL363363A1 (en) * | 2001-02-20 | 2004-11-15 | Bristol-Myers Squibb Company | Epothilone derivatives for the treatment of refractory tumors |
| KR20030084952A (en) * | 2001-02-27 | 2003-11-01 | 게젤샤프트 퓌어 비오테크놀로기쉐 포르슝 엠베하(게베에프) | Degradation of epothilones and ethynyl substituted epotilones |
| AU2002308218B2 (en) | 2001-02-27 | 2005-11-10 | Novartis Ag | Combination comprising a signal transduction inhibitor and an epothilone derivative |
| WO2002072085A1 (en) * | 2001-03-14 | 2002-09-19 | Bristol-Myers Squibb Company | Combination of epothilone analogs and chemotherapeutic agents for the treatment of proliferative diseases |
| SK287334B6 (en) | 2001-03-19 | 2010-07-07 | Novartis Ag | Combination of an antidiarrheal agent and an epothilone or an epothilone derivative, pharmaceutical composition and commercial package comprising it, and use thereof |
| PE20020908A1 (en) | 2001-03-21 | 2002-10-26 | Cell Therapeutics Inc | RECOMBINANT PRODUCTION OF POLYANIONIC POLYMERS AND USE OF THE SAME |
| CA2441484A1 (en) | 2001-03-23 | 2002-10-03 | Napro Biotherapeutics, Inc. | Molecular conjugates for use in treatment of cancer |
| US7081454B2 (en) * | 2001-03-28 | 2006-07-25 | Bristol-Myers Squibb Co. | Tyrosine kinase inhibitors |
| US6900214B2 (en) | 2001-03-29 | 2005-05-31 | Bristol-Myers Squibb Company | Cyano-substituted dihydropyrimidine compounds and their use to treat diseases |
| US20030003048A1 (en) | 2001-04-26 | 2003-01-02 | Chun Li | Diagnostic imaging compositions, their methods of synthesis and use |
| US6906188B2 (en) * | 2001-04-30 | 2005-06-14 | State Of Oregon Acting By And Through The State Board Of Higher Education On Behalf Of Oregon State University | Method for synthesizing epothilones and epothilone analogs |
| US20030023082A1 (en) * | 2001-05-15 | 2003-01-30 | Gary Ashley | Epothilone derivatives and methods for making and using the same |
| MXPA03010909A (en) | 2001-06-01 | 2004-02-17 | Bristol Myers Squibb Co | Epothilone derivatives. |
| JP4779298B2 (en) | 2001-06-25 | 2011-09-28 | 味の素株式会社 | Antitumor agent |
| DE10138347A1 (en) | 2001-08-03 | 2003-02-27 | Schering Ag | Protected 3,5-dihydroxy-2,2-dimethyl-valeronitriles for the synthesis of epothilones and derivatives and methods of preparation |
| US6933385B2 (en) | 2001-08-03 | 2005-08-23 | Schering Ag | Protected 3,5-dihydroxy-2,2-dimethyl-valeroamides for the synthesis of epothilones and derivatives and process for the production and the use |
| US6872715B2 (en) * | 2001-08-06 | 2005-03-29 | Kosan Biosciences, Inc. | Benzoquinone ansamycins |
| ES2315399T3 (en) * | 2001-08-23 | 2009-04-01 | Novartis Ag | CYCLLOBUTILO AND CYCLOPROPILE EPOTILONE ANALOGS. |
| SK1102004A3 (en) | 2001-08-31 | 2005-05-05 | Bristol-Myers Squibb Company | Medicament for the treatment of proliferative diseases and pharmaceutical composition for the treatment of the cancer |
| WO2003022844A2 (en) * | 2001-09-06 | 2003-03-20 | Sloan-Kettering Institute For Cancer Research | Synthesis of epothilones intermediates thereto and analogues thereof |
| AR036492A1 (en) | 2001-09-06 | 2004-09-15 | Schering Corp | INHIBITORS OF THE 17BETA-HYDROXIESTEROID DEHYDROGENASE TYPE 3, PHARMACEUTICAL COMPOSITIONS AND THE USE OF SUCH INHIBITORS FOR THE PREPARATION OF A MEDICINAL PRODUCT FOR THE TREATMENT OF DEPENDING ANDROGEN DISEASES |
| WO2003029195A1 (en) | 2001-09-28 | 2003-04-10 | Sumika Fine Chemicals Co., Ltd. | Intermediates for epothilone derivative and process for producing these |
| TW200300350A (en) | 2001-11-14 | 2003-06-01 | Bristol Myers Squibb Co | C-5 modified indazolylpyrrolotriazines |
| WO2003045324A2 (en) | 2001-11-26 | 2003-06-05 | Kosan Biosciences, Inc. | 14-methyl-epothilones |
| AU2002346644A1 (en) * | 2001-12-03 | 2003-06-17 | Schering Corporation | Use of fpt inhibitors and at least two antineoplastic agents in the treatment of cancer |
| DE10164592A1 (en) | 2001-12-21 | 2003-07-03 | Schering Ag | C1-C6 epothilone fragments and process for the preparation of C1-C6 fragments of epothilones and their derivatives |
| US6884608B2 (en) | 2001-12-26 | 2005-04-26 | Bristol-Myers Squibb Company | Compositions and methods for hydroxylating epothilones |
| TW200303202A (en) | 2002-02-15 | 2003-09-01 | Bristol Myers Squibb Co | Method of preparation of 21-amino epothilone derivatives |
| EP1340498A1 (en) | 2002-03-01 | 2003-09-03 | Schering Aktiengesellschaft | Use of epothilones in the treatment of brain diseases associated with proliferative processes |
| US6900331B2 (en) | 2002-03-01 | 2005-05-31 | University Of Notre Dame | Derivatives of epothilone B and D and synthesis thereof |
| AU2003216491A1 (en) | 2002-03-07 | 2003-09-22 | The Board Of Trustees Of The University Of Illinois | Microtubule stabilizing compounds |
| SI1483251T1 (en) * | 2002-03-12 | 2010-03-31 | Bristol Myers Squibb Co | C3-cyano epothilone derivatives |
| AU2003218107A1 (en) | 2002-03-12 | 2003-09-29 | Bristol-Myers Squibb Company | C12-cyano epothilone derivatives |
| US6900208B2 (en) * | 2002-03-28 | 2005-05-31 | Bristol Myers Squibb Company | Pyrrolopyridazine compounds and methods of use thereof for the treatment of proliferative disorders |
| TW200400191A (en) * | 2002-05-15 | 2004-01-01 | Bristol Myers Squibb Co | Pharmaceutical compositions and methods of using C-21 modified epothilone derivatives |
| KR20050043796A (en) * | 2002-05-20 | 2005-05-11 | 코산 바이오사이언시즈, 인코포레이티드 | Methods to administer epothilone d |
| WO2003105828A1 (en) * | 2002-06-14 | 2003-12-24 | Bristol-Myers Squibb Company | Combination of epothilone analogs and chemotherapeutic agents for the treatment of proliferative diseases |
| TW200401638A (en) * | 2002-06-20 | 2004-02-01 | Bristol Myers Squibb Co | Heterocyclic inhibitors of kinases |
| DE10232094A1 (en) | 2002-07-15 | 2004-02-05 | GESELLSCHAFT FüR BIOTECHNOLOGISCHE FORSCHUNG MBH (GBF) | 5-thiaepothilones and 15-disubstituted epothilones |
| TWI329112B (en) * | 2002-07-19 | 2010-08-21 | Bristol Myers Squibb Co | Novel inhibitors of kinases |
| HRP20050186A2 (en) | 2002-07-31 | 2005-10-31 | Schering Aktiengesellschaft | New effector conjugates, process for their production and their pharmaceutical use |
| JP4276171B2 (en) * | 2002-08-02 | 2009-06-10 | ノバルティス アクチエンゲゼルシャフト | Epothilone derivatives |
| WO2004013145A1 (en) * | 2002-08-02 | 2004-02-12 | Bristol-Myers Squibb Company | Pyrrolotriazine kinase inhibitors |
| WO2004016269A1 (en) | 2002-08-17 | 2004-02-26 | The Queens Universlty Of Belfast | Use of vinca alkaloyds, taxane, cryptophycine, ephitoline or eleutherobine for treating alzheimer |
| US20040126379A1 (en) | 2002-08-21 | 2004-07-01 | Boehringer Ingelheim International Gmbh | Compositions and methods for treating cancer using cytotoxic CD44 antibody immunoconjugates and chemotherapeutic agents |
| EP1391213A1 (en) | 2002-08-21 | 2004-02-25 | Boehringer Ingelheim International GmbH | Compositions and methods for treating cancer using maytansinoid CD44 antibody immunoconjugates and chemotherapeutic agents |
| WO2004018635A2 (en) | 2002-08-21 | 2004-03-04 | Kosan Biosciences, Inc. | Myxococcus xanthus bacteriophage mx9 transformation and integration system |
| US6921769B2 (en) * | 2002-08-23 | 2005-07-26 | Sloan-Kettering Institute For Cancer Research | Synthesis of epothilones, intermediates thereto and analogues thereof |
| DE60330407D1 (en) * | 2002-08-23 | 2010-01-14 | Sloan Kettering Inst Cancer | Synthesis of epothilones, intermediates thereof, analogs and their use |
| AU2003270102B2 (en) | 2002-08-23 | 2008-10-02 | Medigene Ag | Non-vesicular cationic lipid formulations |
| US7649006B2 (en) * | 2002-08-23 | 2010-01-19 | Sloan-Kettering Institute For Cancer Research | Synthesis of epothilones, intermediates thereto and analogues thereof |
| NZ539163A (en) | 2002-09-04 | 2007-03-30 | Schering Corp | Pyrazolo[1,5-a]pyrimidine compounds useful as cyclin dependent kinase (CDK) inhibitors |
| US20040043089A1 (en) | 2002-09-04 | 2004-03-04 | Rabie A-Bakr M | Buguzhi agent and composition and methods of preparing and administering the same |
| CA2497444C (en) | 2002-09-04 | 2010-11-30 | Schering Corporation | Pyrazolopyrimidines as cyclin dependent kinase inhibitors |
| KR20050057139A (en) | 2002-09-04 | 2005-06-16 | 쉐링 코포레이션 | Pyrazolopyrimidines as cyclin dependent kinase inhibitors |
| MY137843A (en) | 2002-09-04 | 2009-03-31 | Schering Corp | Pyrazolopyrimidines as cyclin dependent kinase inhibitors |
| GB0221312D0 (en) | 2002-09-13 | 2002-10-23 | Novartis Ag | Organic compounds |
| WO2004025254A2 (en) | 2002-09-16 | 2004-03-25 | Agcert International, Llc | Food-borne pathogen and spoilage detection device and method |
| ATE378336T1 (en) | 2002-09-19 | 2007-11-15 | Schering Corp | IMIDAZOPYRIDINES AS INHIBITORS OF CYCLIN DEPENDENT KINASES |
| AR041292A1 (en) | 2002-09-19 | 2005-05-11 | Schering Corp | PIRAZOLOPIRIDINAS AS CYCLINE DEPENDENT KINASE INHIBITORS |
| DE10244847A1 (en) | 2002-09-20 | 2004-04-01 | Ulrich Prof. Dr. Speck | Medical device for drug delivery |
| BRPI0314133A8 (en) * | 2002-09-23 | 2017-09-19 | Bristol Myers Squibb Co | PROCESS FOR ISOLATION OF EPOTHYLONE B, METHODS FOR CULTIVATION OF MICROORGANISM PRODUCING EPOTHYLONE A OR B AND FOR PURIFIING APOTHYLONE |
| US7186740B2 (en) * | 2002-09-23 | 2007-03-06 | Schering Corporation | Imidazopyrazines as cyclin dependent kinase inhibitors |
| TW200413378A (en) | 2002-09-23 | 2004-08-01 | Schering Corp | Novel imidazopyrazines as cyclin dependent kinase inhibitors |
| US20040058899A1 (en) * | 2002-09-25 | 2004-03-25 | Klimko Peter G. | Use of epothilones and analogs in conjunction with ophthalmic surgery |
| EP1545529A4 (en) | 2002-09-30 | 2010-03-03 | Bristol Myers Squibb Co | Novel tyrosine kinase inhibitors |
| TW200501960A (en) | 2002-10-02 | 2005-01-16 | Bristol Myers Squibb Co | Synergistic kits and compositions for treating cancer |
| AU2003279911A1 (en) | 2002-10-09 | 2004-05-04 | Kosan Biosciences, Inc. | Therapeutic formulations |
| CA2499682A1 (en) | 2002-10-09 | 2004-04-22 | Kosan Biosciences, Inc. | Epo d + 5-fu/gemcitabine |
| AU2003264822A1 (en) | 2002-10-11 | 2004-05-04 | Dana-Farber Cancer Institute Inc | Epothilone derivatives for the treatment of multiple myeloma |
| CA2501717C (en) | 2002-10-15 | 2012-09-18 | Board Of Supervisors Of Louisiana State University And Agricultural And Mechanical College | Use of epothilone derivatives for the treatment of hyperparathyroidism |
| EP1585504A4 (en) | 2002-11-06 | 2009-07-15 | Azaya Therapeutics Inc | LIPOSOMAL PREPARATIONS OF PHARMACEUTICAL AGENTS STABILIZED BY PROTEINS |
| ES2336911T3 (en) | 2002-11-07 | 2010-04-19 | Kosan Biosciences, Inc. | TRANS-9,10-DEHYDROEPOTILONES C AND D, ITS ANALOGS AND PREPARATION PROCEDURES. |
| WO2004043400A2 (en) | 2002-11-14 | 2004-05-27 | Celmed Oncology (Usa), Inc. | Peptide deformylase activated prodrugs |
| US7645782B2 (en) | 2002-11-28 | 2010-01-12 | Wolfgang Richter | Thia-epothilone derivatives for the treatment of cancer |
| AU2003291872A1 (en) | 2002-12-04 | 2004-06-23 | Inrs (Institut National De Recherche Scientifique) | An exopolysaccharides delivery system for active molecules |
| JP2006510626A (en) | 2002-12-05 | 2006-03-30 | シエーリング アクチエンゲゼルシャフト | Epothilone analogs for site-specific delivery in the treatment of proliferative diseases |
| DE10256982A1 (en) | 2002-12-05 | 2004-06-24 | Schering Ag | New epithilone derivatives are useful for the treatment of diseases associated with proliferative diseases e.g. tumor diseases, inflammatory diseases and neurodegenerative diseases |
| WO2004052361A1 (en) | 2002-12-09 | 2004-06-24 | Novartis Ag | Microtubule stabilisers for treating stenosis in stents |
| EP1575454A4 (en) | 2002-12-09 | 2006-11-29 | Medtronic Vascular Inc | Modular stent having polymer bridges at modular unit contact sites |
| PT1585548T (en) | 2002-12-09 | 2018-10-17 | Abraxis Bioscience Llc | COMPOSITIONS AND METHODS OF ADMINISTRATION OF PHARMACOLOGICAL AGENTS |
| AU2003303058A1 (en) | 2002-12-12 | 2004-07-09 | Conforma Therapeutics Corporation | Cytotoxins and diagnostic imaging agents comprising hsp90 ligands |
| TW200420565A (en) | 2002-12-13 | 2004-10-16 | Bristol Myers Squibb Co | C-6 modified indazolylpyrrolotriazines |
| EP1572242B1 (en) | 2002-12-13 | 2014-04-16 | Immunomedics, Inc. | Immunoconjugates with an intracellularly-cleavable linkage |
| GB0230024D0 (en) | 2002-12-23 | 2003-01-29 | Novartis Ag | Organic compounds |
| US7189716B2 (en) | 2003-01-03 | 2007-03-13 | Bristol-Myers Squibb Company | Tyrosine kinase inhibitors |
| AU2003219947A1 (en) | 2003-02-26 | 2004-09-28 | Bristol-Myers Squibb Company | Compositions and methods for hydroxylating epothilones |
| GB0305928D0 (en) | 2003-03-14 | 2003-04-23 | Novartis Ag | Organic compounds |
| GB0306907D0 (en) | 2003-03-26 | 2003-04-30 | Angiogene Pharm Ltd | Boireductively-activated prodrugs |
| BRPI0408891A (en) | 2003-03-28 | 2006-04-11 | Kosan Biosciences Inc | devices, methods, and compositions for preventing restenosis |
-
2003
- 2003-08-22 DE DE60330407T patent/DE60330407D1/en not_active Expired - Lifetime
- 2003-08-22 EP EP06026750A patent/EP1767535B1/en not_active Expired - Lifetime
- 2003-08-22 ES ES03793304T patent/ES2281692T3/en not_active Expired - Lifetime
- 2003-08-22 EP EP09177388A patent/EP2186811A1/en not_active Withdrawn
- 2003-08-22 CA CA2496477A patent/CA2496477C/en not_active Expired - Fee Related
- 2003-08-22 AT AT06026750T patent/ATE450534T1/en active
- 2003-08-22 EP EP03793304A patent/EP1506203B1/en not_active Expired - Lifetime
- 2003-08-22 MX MXPA05002113A patent/MXPA05002113A/en active IP Right Grant
- 2003-08-22 PT PT06026750T patent/PT1767535E/en unknown
- 2003-08-22 CN CN2011103358062A patent/CN102532120A/en active Pending
- 2003-08-22 JP JP2005501774A patent/JP4791183B2/en not_active Expired - Fee Related
- 2003-08-22 KR KR1020057003043A patent/KR101173510B1/en not_active Expired - Fee Related
- 2003-08-22 DE DE60310916T patent/DE60310916T2/en not_active Expired - Lifetime
- 2003-08-22 AT AT03793304T patent/ATE350383T1/en active
- 2003-08-22 WO PCT/US2003/026367 patent/WO2004018478A2/en not_active Ceased
- 2003-08-22 CN CNA038225611A patent/CN1759115A/en active Pending
- 2003-08-22 NZ NZ538522A patent/NZ538522A/en not_active IP Right Cessation
- 2003-08-22 PT PT03793304T patent/PT1506203E/en unknown
- 2003-08-22 AU AU2003260002A patent/AU2003260002B2/en not_active Ceased
- 2003-08-22 DK DK03793304T patent/DK1506203T3/en active
- 2003-08-22 ES ES06026750T patent/ES2336937T3/en not_active Expired - Lifetime
- 2003-08-22 DK DK06026750.7T patent/DK1767535T3/en active
- 2003-08-22 SI SI200331750T patent/SI1767535T1/en unknown
-
2005
- 2005-02-22 IL IL167046A patent/IL167046A/en not_active IP Right Cessation
-
2008
- 2008-06-09 US US12/135,823 patent/US7875638B2/en not_active Expired - Fee Related
-
2011
- 2011-04-20 JP JP2011094302A patent/JP2011195589A/en active Pending
-
2012
- 2012-06-29 PH PH12012501351A patent/PH12012501351A1/en unknown
Cited By (48)
| Publication number | Priority date | Publication date | Assignee | Title |
|---|---|---|---|---|
| US7875638B2 (en) | 2002-08-23 | 2011-01-25 | Sloan-Kettering Institute For Cancer Research | Synthesis of epothilones, intermediates thereto, analogues and uses thereof |
| US8513429B2 (en) | 2002-08-23 | 2013-08-20 | Sloan-Kettering Insitute For Cancer Research | Synthesis of epothilones, intermediates thereto and analogues thereof |
| US8110590B2 (en) | 2002-08-23 | 2012-02-07 | Sloan-Kettering Institute For Cancer Research | Synthesis of epothilones, intermediates thereto and analogues thereof |
| US7759374B2 (en) | 2002-08-23 | 2010-07-20 | Sloan-Kettering Institute For Cancer Research | Synthesis of epothilones, intermediates thereto and analogues thereof |
| JP2011006480A (en) * | 2002-11-07 | 2011-01-13 | Kosan Biosciences Inc | Trans-9,10-dehydroepothilone c and d, their analog, and method for manufacturing them |
| JP2006510743A (en) * | 2002-11-07 | 2006-03-30 | コーサン バイオサイエンシーズ, インコーポレイテッド | Trans-9,10-dehydroepothilone C and D, their analogs, and methods of making them |
| EP1670487A4 (en) * | 2003-10-09 | 2008-05-21 | Kosan Biosciences Inc | Therapeutic formulations |
| EP1722791A4 (en) * | 2004-02-27 | 2010-06-09 | Sloan Kettering Inst Cancer | SYNTHESIS OF EPOTHILONES, INTERMEDIATES, ANALOGUES AND USES THEREOF |
| EP2336139A2 (en) | 2004-10-25 | 2011-06-22 | Dekk-Tec, Inc. | Salts of isophosphoramide mustard and analogs thereof as anti-tumor agents |
| EP2336140A2 (en) | 2004-10-25 | 2011-06-22 | Dekk-Tec, Inc. | Salts of isophosphoramide mustard and analogs thereof as anti-tumor agents |
| US9346836B2 (en) | 2004-10-25 | 2016-05-24 | Ziopharm Oncology, Inc. | Salts of isophosphoramide mustard and analogs thereof as anti-tumor agents |
| JP2008538368A (en) * | 2005-04-21 | 2008-10-23 | エフ.ホフマン−ラ ロシュ アーゲー | Method for preparing 9,10-dehydro-12,13-desoxyepothilone derivative |
| WO2006111491A1 (en) * | 2005-04-21 | 2006-10-26 | F. Hoffmann-La Roche Ag | Process for the preparation of 9,10-dehydro-12,13-desoxyepothilone derivatives |
| US7238816B2 (en) | 2005-04-21 | 2007-07-03 | Hoffmann-La Roche Inc. | Preparation of epothilone derivatives |
| WO2008098138A1 (en) | 2007-02-07 | 2008-08-14 | The Government Of The United States Of America As Represented By The Secretary Of The Department Of Health And Human Services | Synthetic macrocyclic compounds for treating cancer |
| EP2581367A2 (en) | 2007-04-06 | 2013-04-17 | Ziopharm Oncology, Inc. | Salts of isophosphoramide mustard and analogs thereof |
| US9340563B2 (en) | 2007-04-06 | 2016-05-17 | Ziopharm Oncology, Inc. | Salts of isophosphoramide mustard and analogs thereof |
| WO2009112077A1 (en) * | 2008-03-13 | 2009-09-17 | F. Hoffmann-La Roche Ag | Process for the preparation of epothilone precursor compounds |
| US9254298B2 (en) | 2008-07-31 | 2016-02-09 | Ziopharm Oncology, Inc. | Synthesis and formulations of salts of isophosphoramide mustard and analogs thereof |
| US8664201B2 (en) | 2008-07-31 | 2014-03-04 | Ziopharm Oncology, Inc. | Synthesis and formulations of salts of isophosphoramide mustard and analogs thereof |
| US9145431B2 (en) | 2008-07-31 | 2015-09-29 | Ziopharm Oncology, Inc. | Synthesis and formulations of salts of isophosphoramide mustard and analogs thereof |
| WO2010099213A1 (en) | 2009-02-24 | 2010-09-02 | Dekk-Tec, Inc. | Complexes of 4-hydroperoxy ifosfamide as anti-tumor agents |
| WO2010138686A1 (en) | 2009-05-29 | 2010-12-02 | The United States Of America, As Represented By The Secretary, Department Of Health And Human Services | Mdri-inverse agents |
| WO2011112867A1 (en) | 2010-03-10 | 2011-09-15 | The United States Of America, As Represented By The Secretary, Dept. Of Health And Human Services | The use of fenoterol and fenoterol analogues in the treatment of glioblastomas and astrocytomas |
| WO2012033601A1 (en) | 2010-08-20 | 2012-03-15 | The United States Of America, As Represented By The Secretary, Department Of Health & Human Services | Thiosemicarbazones with mdr1 - inverse activity |
| WO2013009475A1 (en) | 2011-07-11 | 2013-01-17 | The United States Of America, As Represented By The Secretary, Department Of Health & Human Services | Photosensitizing antibody-phuorophore conjugates |
| WO2013177418A1 (en) | 2012-05-25 | 2013-11-28 | The United States Of America, As Represented By The Secretary, Department Of Health And Human Services | Methods of regulating cannabinoid receptor activity-related disorders and diseases |
| EP3620470A1 (en) | 2013-10-11 | 2020-03-11 | The United States of America, as represented by The Secretary, Department of Health and Human Services | Tem8 antibodies and their use |
| EP4269421A2 (en) | 2013-10-11 | 2023-11-01 | The United States of America, as represented by The Secretary, Department of Health and Human Services | Tem8 antibodies and their use |
| WO2016022896A1 (en) | 2014-08-08 | 2016-02-11 | The United States Of America, As Represented By The Secretary, Department Of Health & Human Services | Photo-controlled removal of targets in vitro and in vivo |
| US11098080B2 (en) | 2015-10-27 | 2021-08-24 | Hoffmann-La Roche Inc. | Peptide macrocycles against Acinetobacter baumannii |
| US12012466B2 (en) | 2015-10-27 | 2024-06-18 | Hoffmann-La Roche Inc. | Peptide macrocycles against Acinetobacter baumannii |
| US12318419B2 (en) | 2017-10-31 | 2025-06-03 | Kalivir Immunotherapeutics, Inc. | Platform oncolytic vector for systemic delivery |
| US12036257B2 (en) | 2017-10-31 | 2024-07-16 | Kalivir Immunotherapeutics, Inc. | Platform oncolytic vector for systemic delivery |
| US12226440B2 (en) | 2017-10-31 | 2025-02-18 | Kalivir Immunotherapeutics, Inc. | Platform oncolytic vector for systemic delivery |
| US12472217B2 (en) | 2017-10-31 | 2025-11-18 | Kalivir Immunotherapeutics, Inc. | Platform oncolytic vector for systemic delivery |
| WO2019099615A1 (en) | 2017-11-17 | 2019-05-23 | The United States Of America, As Represented By The Secretary, Department Of Health And Human Services | Use of copeptin to modulate the immune response and hematopoiesis, and stimulate bone growth |
| US11505573B2 (en) | 2018-03-28 | 2022-11-22 | Hoffmann-La Roche Inc. | Peptide macrocycles against Acinetobacter baumannii |
| WO2019199751A1 (en) | 2018-04-10 | 2019-10-17 | The United States Of America, As Represented By The Secretary, Department Of Health And Human Services | Combination of near infrared photoimmunotherapy targeting cancer cells and host-immune activation |
| US11819532B2 (en) | 2018-04-23 | 2023-11-21 | Hoffmann-La Roche Inc. | Peptide macrocycles against Acinetobacter baumannii |
| WO2021003297A1 (en) | 2019-07-02 | 2021-01-07 | The United States Of America, As Represented By The Secretary, Department Of Health And Human Services | Monoclonal antibodies that bind egfrviii and their use |
| WO2021154705A1 (en) | 2020-01-27 | 2021-08-05 | The United States Of America, As Represented By The Secretary, Department Of Health And Human Services | Rab13 and net1 antisense oligonucleotides to treat metastatic cancer |
| US12403165B2 (en) | 2020-11-19 | 2025-09-02 | KaliVir Immunotherapeutcs, Inc. | Oncolytic immunotherapy by tumor micro-environment remodeling |
| WO2022165277A1 (en) | 2021-01-29 | 2022-08-04 | The United States Of America, As Represented By The Secretary, Department Of Health And Human Services | Near infrared photoimmunotherapy (nir-pit) combination therapy to treat cancer |
| US11963990B2 (en) | 2021-04-30 | 2024-04-23 | Kalivir Immunotherapeutics, Inc. | Oncolytic viruses for modified MHC expression |
| US12016893B2 (en) | 2021-04-30 | 2024-06-25 | Kalivir Immunotherapeutics, Inc. | Oncolytic viruses for modified MHC expression |
| WO2024006965A1 (en) | 2022-06-30 | 2024-01-04 | The United States Of America, As Represented By The Secretary, Department Of Health And Human Services | Cd25-specific antibodies and uses thereof |
| WO2025014896A1 (en) | 2023-07-07 | 2025-01-16 | The United States Of America, As Represented By The Secretary, Department Of Health And Human Services | Humanized 40h3 antibody |
Also Published As
Similar Documents
| Publication | Publication Date | Title |
|---|---|---|
| EP1506203B1 (en) | Synthesis of epothilones, intermediates thereto, analogues and uses thereof | |
| US8513429B2 (en) | Synthesis of epothilones, intermediates thereto and analogues thereof | |
| US20050192440A1 (en) | Method for synthesizing epothilones and epothilone analogs | |
| US20030176368A1 (en) | Synthesis of epothilones, intermediates thereto and analogues thereof | |
| US6921769B2 (en) | Synthesis of epothilones, intermediates thereto and analogues thereof | |
| US7384964B2 (en) | Synthesis of epothilones, intermediates thereto, analogues and uses thereof | |
| RU2462463C2 (en) | Synthesis of epothiliones, intermediate products thereof, analogues and use thereof | |
| HK1172901A (en) | Synthesis of epothilones, intermediates thereto, analogues and uses thereof | |
| ZA200502337B (en) | Synthesis of epothilones, intermediates thereto, analogues and uses thereof | |
| AU2011202835A1 (en) | Synthesis of epothilones, intermediates thereto, analogues and uses thereof | |
| MXPA06009792A (en) | Synthesis of epothilones, intermediates thereto, analogues and uses thereof |
Legal Events
| Date | Code | Title | Description |
|---|---|---|---|
| AK | Designated states |
Kind code of ref document: A2 Designated state(s): AE AG AL AM AT AU AZ BA BB BG BR BY BZ CA CH CN CO CR CU CZ DE DK DM DZ EC EE ES FI GB GD GE GH GM HR HU ID IL IN IS JP KE KG KP KR KZ LC LK LR LS LT LU LV MA MD MG MK MN MW MX MZ NO NZ OM PH PL PT RO RU SC SD SE SG SK SL TJ TM TN TR TT TZ UA UG US UZ VC VN YU ZA ZM ZW |
|
| AL | Designated countries for regional patents |
Kind code of ref document: A2 Designated state(s): GH GM KE LS MW MZ SD SL SZ TZ UG ZM ZW AM AZ BY KG KZ MD RU TJ TM AT BE BG CH CY CZ DE DK EE ES FI FR GB GR HU IE IT LU MC NL PT RO SE SI SK TR BF BJ CF CG CI CM GA GN GQ GW ML MR NE SN TD TG |
|
| 121 | Ep: the epo has been informed by wipo that ep was designated in this application | ||
| WWE | Wipo information: entry into national phase |
Ref document number: 2003793304 Country of ref document: EP |
|
| WWP | Wipo information: published in national office |
Ref document number: 2003793304 Country of ref document: EP |
|
| WWE | Wipo information: entry into national phase |
Ref document number: 2003260002 Country of ref document: AU |
|
| ENP | Entry into the national phase |
Ref document number: 2496477 Country of ref document: CA |
|
| WWE | Wipo information: entry into national phase |
Ref document number: 167046 Country of ref document: IL Ref document number: 1-2005-500358 Country of ref document: PH |
|
| WWE | Wipo information: entry into national phase |
Ref document number: PA/a/2005/002113 Country of ref document: MX Ref document number: 2005501774 Country of ref document: JP Ref document number: 1020057003043 Country of ref document: KR |
|
| WWE | Wipo information: entry into national phase |
Ref document number: 538522 Country of ref document: NZ |
|
| WWE | Wipo information: entry into national phase |
Ref document number: 2005/02337 Country of ref document: ZA Ref document number: 200502337 Country of ref document: ZA |
|
| WWE | Wipo information: entry into national phase |
Ref document number: 20038225611 Country of ref document: CN |
|
| ENP | Entry into the national phase |
Ref document number: 2005108052 Country of ref document: RU Kind code of ref document: A |
|
| WWP | Wipo information: published in national office |
Ref document number: 1020057003043 Country of ref document: KR |
|
| WWG | Wipo information: grant in national office |
Ref document number: 2003793304 Country of ref document: EP |












































































































































