US20180098998A1 - Heterocyclic amides as kinase inhibitors - Google Patents
Heterocyclic amides as kinase inhibitors Download PDFInfo
- Publication number
- US20180098998A1 US20180098998A1 US15/835,747 US201715835747A US2018098998A1 US 20180098998 A1 US20180098998 A1 US 20180098998A1 US 201715835747 A US201715835747 A US 201715835747A US 2018098998 A1 US2018098998 A1 US 2018098998A1
- Authority
- US
- United States
- Prior art keywords
- pharmaceutically acceptable
- alkyl
- methyl
- mmol
- alkoxy
- Prior art date
- Legal status (The legal status is an assumption and is not a legal conclusion. Google has not performed a legal analysis and makes no representation as to the accuracy of the status listed.)
- Abandoned
Links
- -1 Heterocyclic amides Chemical class 0.000 title claims description 196
- 229940043355 kinase inhibitor Drugs 0.000 title 1
- 239000003757 phosphotransferase inhibitor Substances 0.000 title 1
- 150000001875 compounds Chemical class 0.000 claims abstract description 310
- 238000000034 method Methods 0.000 claims abstract description 84
- 150000003839 salts Chemical class 0.000 claims description 176
- 239000007787 solid Substances 0.000 claims description 148
- 125000002496 methyl group Chemical group [H]C([H])([H])* 0.000 claims description 115
- 125000005843 halogen group Chemical group 0.000 claims description 71
- 125000000229 (C1-C4)alkoxy group Chemical group 0.000 claims description 64
- 125000004178 (C1-C4) alkyl group Chemical group 0.000 claims description 62
- 229910052757 nitrogen Inorganic materials 0.000 claims description 46
- 125000001997 phenyl group Chemical group [H]C1=C([H])C([H])=C(*)C([H])=C1[H] 0.000 claims description 44
- 125000006570 (C5-C6) heteroaryl group Chemical group 0.000 claims description 43
- 125000001153 fluoro group Chemical group F* 0.000 claims description 37
- 125000000592 heterocycloalkyl group Chemical group 0.000 claims description 37
- 239000000546 pharmaceutical excipient Substances 0.000 claims description 34
- 125000001424 substituent group Chemical group 0.000 claims description 33
- 125000004093 cyano group Chemical group *C#N 0.000 claims description 32
- 229910052760 oxygen Inorganic materials 0.000 claims description 30
- 239000008194 pharmaceutical composition Substances 0.000 claims description 30
- 229910052736 halogen Inorganic materials 0.000 claims description 28
- 241000282414 Homo sapiens Species 0.000 claims description 25
- ZHXTWWCDMUWMDI-UHFFFAOYSA-N dihydroxyboron Chemical compound O[B]O ZHXTWWCDMUWMDI-UHFFFAOYSA-N 0.000 claims description 25
- 229910052717 sulfur Inorganic materials 0.000 claims description 24
- 125000000816 ethylene group Chemical group [H]C([H])([*:1])C([H])([H])[*:2] 0.000 claims description 23
- 125000001309 chloro group Chemical group Cl* 0.000 claims description 22
- 125000002887 hydroxy group Chemical group [H]O* 0.000 claims description 22
- 210000000056 organ Anatomy 0.000 claims description 20
- 125000004169 (C1-C6) alkyl group Chemical group 0.000 claims description 19
- 125000001246 bromo group Chemical group Br* 0.000 claims description 18
- 125000003178 carboxy group Chemical group [H]OC(*)=O 0.000 claims description 18
- 125000004076 pyridyl group Chemical group 0.000 claims description 17
- 125000000753 cycloalkyl group Chemical group 0.000 claims description 16
- 125000005913 (C3-C6) cycloalkyl group Chemical group 0.000 claims description 15
- 125000003545 alkoxy group Chemical group 0.000 claims description 15
- 206010059176 Juvenile idiopathic arthritis Diseases 0.000 claims description 14
- 125000004353 pyrazol-1-yl group Chemical group [H]C1=NN(*)C([H])=C1[H] 0.000 claims description 14
- 125000004289 pyrazol-3-yl group Chemical group [H]N1N=C(*)C([H])=C1[H] 0.000 claims description 14
- 208000020408 systemic-onset juvenile idiopathic arthritis Diseases 0.000 claims description 14
- 125000000842 isoxazolyl group Chemical group 0.000 claims description 13
- 125000003226 pyrazolyl group Chemical group 0.000 claims description 13
- WSFSSNUMVMOOMR-UHFFFAOYSA-N Formaldehyde Chemical compound O=C WSFSSNUMVMOOMR-UHFFFAOYSA-N 0.000 claims description 12
- 206010063837 Reperfusion injury Diseases 0.000 claims description 12
- 206010051379 Systemic Inflammatory Response Syndrome Diseases 0.000 claims description 12
- 125000004005 formimidoyl group Chemical group [H]\N=C(/[H])* 0.000 claims description 12
- 125000001544 thienyl group Chemical group 0.000 claims description 12
- 125000004191 (C1-C6) alkoxy group Chemical group 0.000 claims description 11
- 206010009900 Colitis ulcerative Diseases 0.000 claims description 11
- 208000011231 Crohn disease Diseases 0.000 claims description 11
- 201000004681 Psoriasis Diseases 0.000 claims description 11
- 201000006704 Ulcerative Colitis Diseases 0.000 claims description 11
- 125000000956 methoxy group Chemical group [H]C([H])([H])O* 0.000 claims description 11
- 125000001425 triazolyl group Chemical group 0.000 claims description 11
- 208000012947 ischemia reperfusion injury Diseases 0.000 claims description 10
- 125000000449 nitro group Chemical group [O-][N+](*)=O 0.000 claims description 10
- 206010039073 rheumatoid arthritis Diseases 0.000 claims description 10
- 201000005671 spondyloarthropathy Diseases 0.000 claims description 10
- 125000004105 2-pyridyl group Chemical group N1=C([*])C([H])=C([H])C([H])=C1[H] 0.000 claims description 9
- 125000000175 2-thienyl group Chemical group S1C([*])=C([H])C([H])=C1[H] 0.000 claims description 9
- 125000001511 cyclopentyl group Chemical group [H]C1([H])C([H])([H])C([H])([H])C([H])(*)C1([H])[H] 0.000 claims description 9
- 125000002541 furyl group Chemical group 0.000 claims description 9
- 150000002367 halogens Chemical class 0.000 claims description 9
- 125000002883 imidazolyl group Chemical group 0.000 claims description 9
- 125000002971 oxazolyl group Chemical group 0.000 claims description 9
- 125000003386 piperidinyl group Chemical group 0.000 claims description 9
- 125000000719 pyrrolidinyl group Chemical group 0.000 claims description 9
- 125000000168 pyrrolyl group Chemical group 0.000 claims description 9
- 125000003831 tetrazolyl group Chemical group 0.000 claims description 9
- 125000000113 cyclohexyl group Chemical group [H]C1([H])C([H])([H])C([H])([H])C([H])(*)C([H])([H])C1([H])[H] 0.000 claims description 8
- 125000000335 thiazolyl group Chemical group 0.000 claims description 8
- 125000006529 (C3-C6) alkyl group Chemical group 0.000 claims description 7
- 125000003342 alkenyl group Chemical group 0.000 claims description 7
- 125000003302 alkenyloxy group Chemical group 0.000 claims description 7
- 229910002091 carbon monoxide Inorganic materials 0.000 claims description 7
- 125000002915 carbonyl group Chemical group [*:2]C([*:1])=O 0.000 claims description 7
- 125000004573 morpholin-4-yl group Chemical group N1(CCOCC1)* 0.000 claims description 7
- 201000006417 multiple sclerosis Diseases 0.000 claims description 7
- 125000004123 n-propyl group Chemical group [H]C([H])([H])C([H])([H])C([H])([H])* 0.000 claims description 7
- 125000004192 tetrahydrofuran-2-yl group Chemical group [H]C1([H])OC([H])(*)C([H])([H])C1([H])[H] 0.000 claims description 7
- 125000004299 tetrazol-5-yl group Chemical group [H]N1N=NC(*)=N1 0.000 claims description 7
- 125000002023 trifluoromethyl group Chemical group FC(F)(F)* 0.000 claims description 7
- 125000000740 n-pentyl group Chemical group [H]C([H])([H])C([H])([H])C([H])([H])C([H])([H])C([H])([H])* 0.000 claims description 6
- 125000001399 1,2,3-triazolyl group Chemical group N1N=NC(=C1)* 0.000 claims description 5
- 125000004504 1,2,4-oxadiazolyl group Chemical group 0.000 claims description 5
- 125000001376 1,2,4-triazolyl group Chemical group N1N=C(N=C1)* 0.000 claims description 5
- 125000001781 1,3,4-oxadiazolyl group Chemical group 0.000 claims description 5
- 125000004215 2,4-difluorophenyl group Chemical group [H]C1=C([H])C(*)=C(F)C([H])=C1F 0.000 claims description 5
- 125000004198 2-fluorophenyl group Chemical group [H]C1=C([H])C(F)=C(*)C([H])=C1[H] 0.000 claims description 5
- 125000006304 2-iodophenyl group Chemical group [H]C1=C([H])C(I)=C(*)C([H])=C1[H] 0.000 claims description 5
- 125000004211 3,5-difluorophenyl group Chemical group [H]C1=C(F)C([H])=C(*)C([H])=C1F 0.000 claims description 5
- 125000006275 3-bromophenyl group Chemical group [H]C1=C([H])C(Br)=C([H])C(*)=C1[H] 0.000 claims description 5
- 125000004180 3-fluorophenyl group Chemical group [H]C1=C([H])C(*)=C([H])C(F)=C1[H] 0.000 claims description 5
- 125000004800 4-bromophenyl group Chemical group [H]C1=C([H])C(*)=C([H])C([H])=C1Br 0.000 claims description 5
- 125000001255 4-fluorophenyl group Chemical group [H]C1=C([H])C(*)=C([H])C([H])=C1F 0.000 claims description 5
- 125000004172 4-methoxyphenyl group Chemical group [H]C1=C([H])C(OC([H])([H])[H])=C([H])C([H])=C1* 0.000 claims description 5
- 206010028980 Neoplasm Diseases 0.000 claims description 5
- 206010040047 Sepsis Diseases 0.000 claims description 5
- 230000036210 malignancy Effects 0.000 claims description 5
- 125000003261 o-tolyl group Chemical group [H]C1=C([H])C(*)=C(C([H])=C1[H])C([H])([H])[H] 0.000 claims description 5
- 201000008482 osteoarthritis Diseases 0.000 claims description 5
- 125000003854 p-chlorophenyl group Chemical group [H]C1=C([H])C(*)=C([H])C([H])=C1Cl 0.000 claims description 5
- 125000001037 p-tolyl group Chemical group [H]C1=C([H])C(=C([H])C([H])=C1*)C([H])([H])[H] 0.000 claims description 5
- 201000001263 Psoriatic Arthritis Diseases 0.000 claims description 2
- 208000036824 Psoriatic arthropathy Diseases 0.000 claims description 2
- 206010066476 Haematological malignancy Diseases 0.000 claims 1
- 208000002250 Hematologic Neoplasms Diseases 0.000 claims 1
- 201000011510 cancer Diseases 0.000 claims 1
- IAZDPXIOMUYVGZ-WFGJKAKNSA-N Dimethyl sulfoxide Chemical compound [2H]C([2H])([2H])S(=O)C([2H])([2H])[2H] IAZDPXIOMUYVGZ-WFGJKAKNSA-N 0.000 description 225
- XEKOWRVHYACXOJ-UHFFFAOYSA-N Ethyl acetate Chemical compound CCOC(C)=O XEKOWRVHYACXOJ-UHFFFAOYSA-N 0.000 description 186
- YMWUJEATGCHHMB-UHFFFAOYSA-N Dichloromethane Chemical compound ClCCl YMWUJEATGCHHMB-UHFFFAOYSA-N 0.000 description 179
- 238000005160 1H NMR spectroscopy Methods 0.000 description 170
- VLKZOEOYAKHREP-UHFFFAOYSA-N n-Hexane Chemical compound CCCCCC VLKZOEOYAKHREP-UHFFFAOYSA-N 0.000 description 131
- 239000000243 solution Substances 0.000 description 131
- XLYOFNOQVPJJNP-UHFFFAOYSA-N water Substances O XLYOFNOQVPJJNP-UHFFFAOYSA-N 0.000 description 131
- 239000000203 mixture Substances 0.000 description 126
- 238000002360 preparation method Methods 0.000 description 126
- 239000011541 reaction mixture Substances 0.000 description 116
- OKKJLVBELUTLKV-UHFFFAOYSA-N Methanol Chemical compound OC OKKJLVBELUTLKV-UHFFFAOYSA-N 0.000 description 112
- 208000037265 diseases, disorders, signs and symptoms Diseases 0.000 description 91
- 235000019439 ethyl acetate Nutrition 0.000 description 87
- 238000006243 chemical reaction Methods 0.000 description 80
- LFQSCWFLJHTTHZ-UHFFFAOYSA-N Ethanol Chemical compound CCO LFQSCWFLJHTTHZ-UHFFFAOYSA-N 0.000 description 70
- 239000000047 product Substances 0.000 description 66
- 238000011282 treatment Methods 0.000 description 66
- ZMXDDKWLCZADIW-UHFFFAOYSA-N N,N-Dimethylformamide Chemical compound CN(C)C=O ZMXDDKWLCZADIW-UHFFFAOYSA-N 0.000 description 57
- RTZKZFJDLAIYFH-UHFFFAOYSA-N Diethyl ether Chemical compound CCOCC RTZKZFJDLAIYFH-UHFFFAOYSA-N 0.000 description 56
- ZMANZCXQSJIPKH-UHFFFAOYSA-N Triethylamine Chemical compound CCN(CC)CC ZMANZCXQSJIPKH-UHFFFAOYSA-N 0.000 description 49
- 102100022501 Receptor-interacting serine/threonine-protein kinase 1 Human genes 0.000 description 48
- HEDRZPFGACZZDS-MICDWDOJSA-N Trichloro(2H)methane Chemical compound [2H]C(Cl)(Cl)Cl HEDRZPFGACZZDS-MICDWDOJSA-N 0.000 description 48
- 201000010099 disease Diseases 0.000 description 48
- 101710138589 Receptor-interacting serine/threonine-protein kinase 1 Proteins 0.000 description 46
- VEXZGXHMUGYJMC-UHFFFAOYSA-N Hydrochloric acid Chemical compound Cl VEXZGXHMUGYJMC-UHFFFAOYSA-N 0.000 description 43
- 208000035475 disorder Diseases 0.000 description 43
- YXFVVABEGXRONW-UHFFFAOYSA-N Toluene Chemical compound CC1=CC=CC=C1 YXFVVABEGXRONW-UHFFFAOYSA-N 0.000 description 42
- IXCSERBJSXMMFS-UHFFFAOYSA-N hydrogen chloride Substances Cl.Cl IXCSERBJSXMMFS-UHFFFAOYSA-N 0.000 description 40
- WMFOQBRAJBCJND-UHFFFAOYSA-M Lithium hydroxide Chemical compound [Li+].[OH-] WMFOQBRAJBCJND-UHFFFAOYSA-M 0.000 description 39
- PMZURENOXWZQFD-UHFFFAOYSA-L Sodium Sulfate Chemical compound [Na+].[Na+].[O-]S([O-])(=O)=O PMZURENOXWZQFD-UHFFFAOYSA-L 0.000 description 38
- 239000000543 intermediate Substances 0.000 description 38
- HPALAKNZSZLMCH-UHFFFAOYSA-M sodium;chloride;hydrate Chemical compound O.[Na+].[Cl-] HPALAKNZSZLMCH-UHFFFAOYSA-M 0.000 description 38
- IJGRMHOSHXDMSA-UHFFFAOYSA-N Atomic nitrogen Chemical compound N#N IJGRMHOSHXDMSA-UHFFFAOYSA-N 0.000 description 37
- UIIMBOGNXHQVGW-UHFFFAOYSA-M Sodium bicarbonate Chemical compound [Na+].OC([O-])=O UIIMBOGNXHQVGW-UHFFFAOYSA-M 0.000 description 37
- 239000012267 brine Substances 0.000 description 36
- 229910052938 sodium sulfate Inorganic materials 0.000 description 35
- WYURNTSHIVDZCO-UHFFFAOYSA-N tetrahydrofuran Substances C1CCOC1 WYURNTSHIVDZCO-UHFFFAOYSA-N 0.000 description 35
- OKKJLVBELUTLKV-MZCSYVLQSA-N Deuterated methanol Chemical compound [2H]OC([2H])([2H])[2H] OKKJLVBELUTLKV-MZCSYVLQSA-N 0.000 description 32
- VYPSYNLAJGMNEJ-UHFFFAOYSA-N Silicium dioxide Chemical compound O=[Si]=O VYPSYNLAJGMNEJ-UHFFFAOYSA-N 0.000 description 31
- 239000007832 Na2SO4 Substances 0.000 description 30
- 239000002904 solvent Substances 0.000 description 29
- 238000000746 purification Methods 0.000 description 28
- 230000001404 mediated effect Effects 0.000 description 27
- 239000003814 drug Substances 0.000 description 26
- 239000012074 organic phase Substances 0.000 description 26
- HEMHJVSKTPXQMS-UHFFFAOYSA-M sodium hydroxide Inorganic materials [OH-].[Na+] HEMHJVSKTPXQMS-UHFFFAOYSA-M 0.000 description 26
- 239000000725 suspension Substances 0.000 description 26
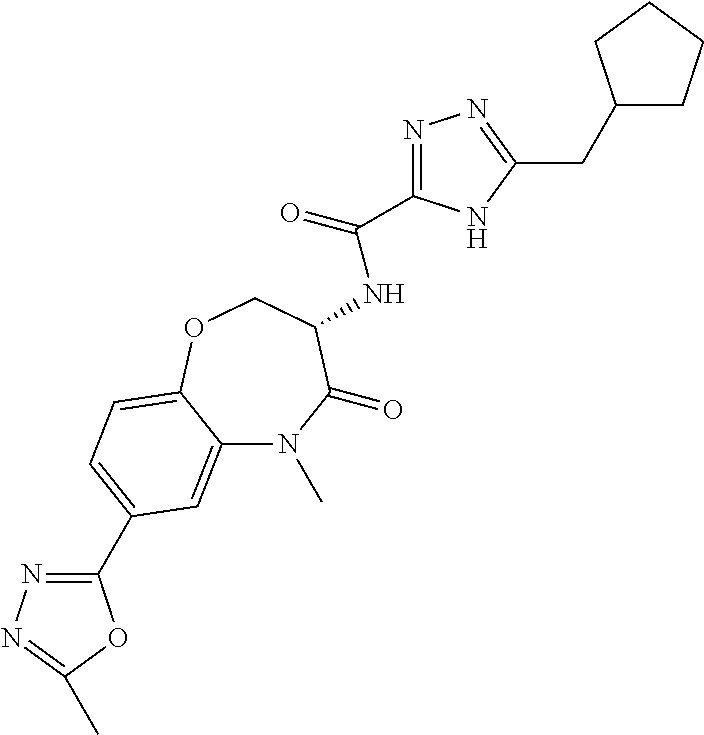
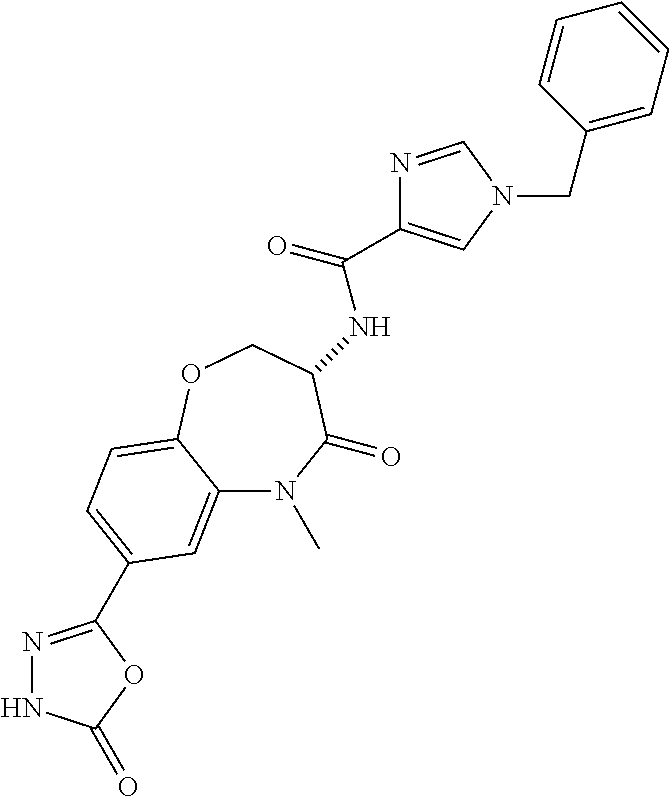
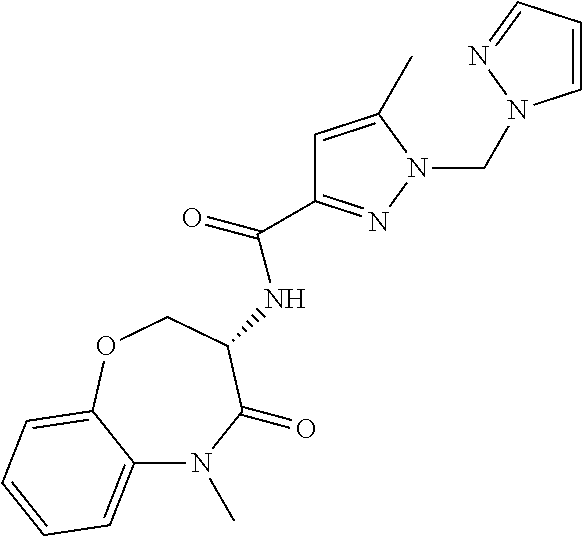
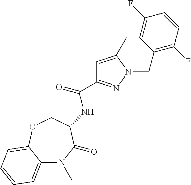
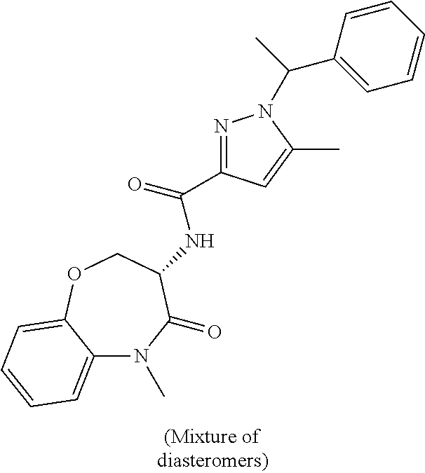
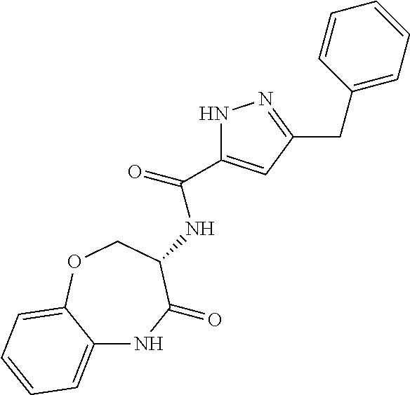
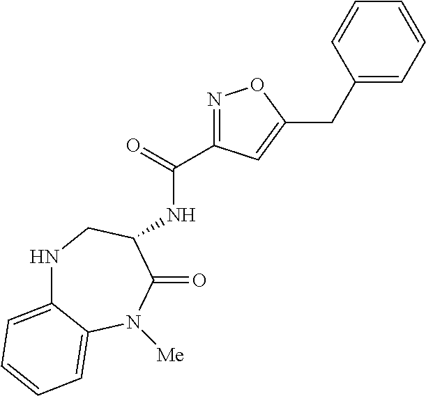
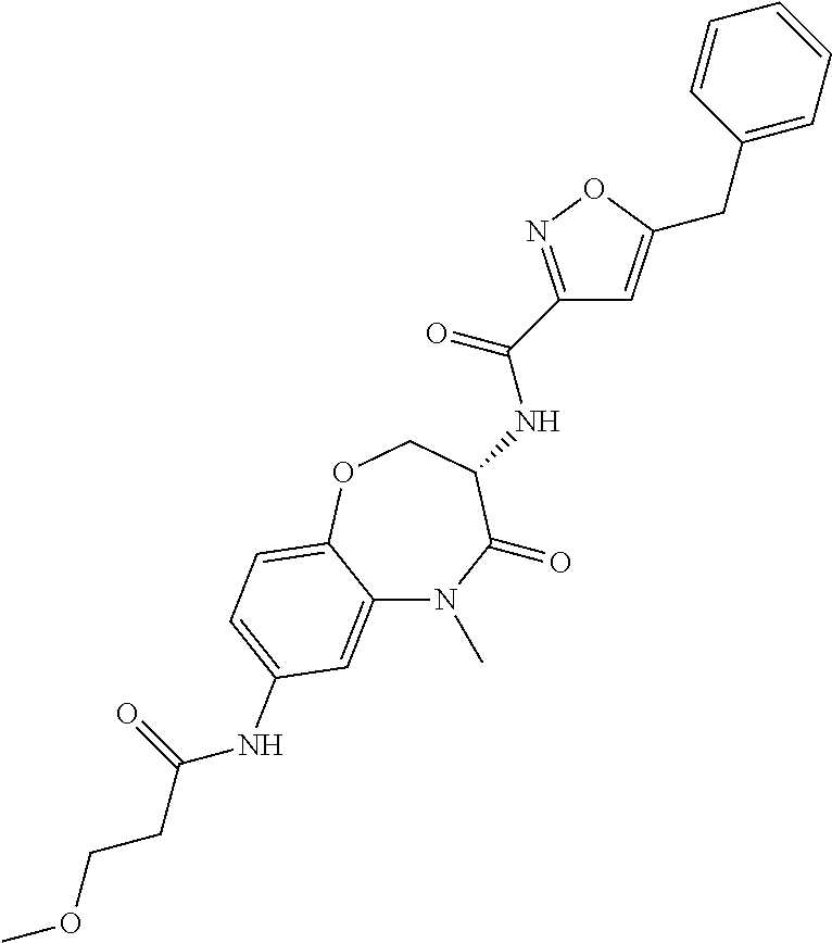
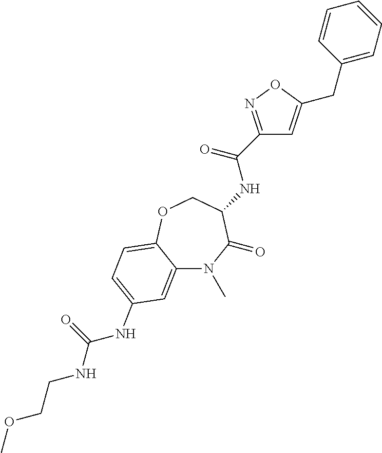
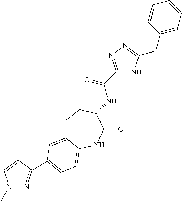
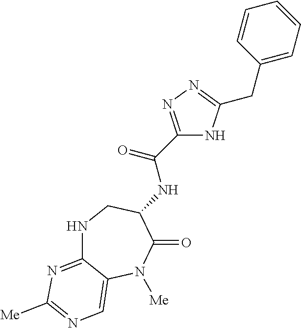
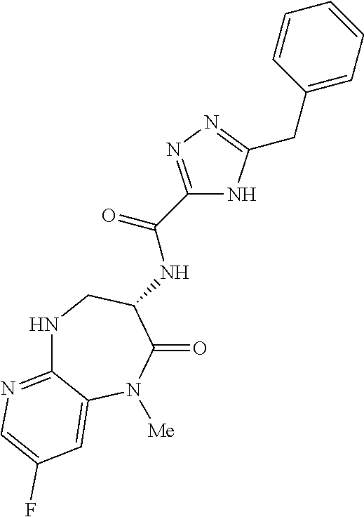
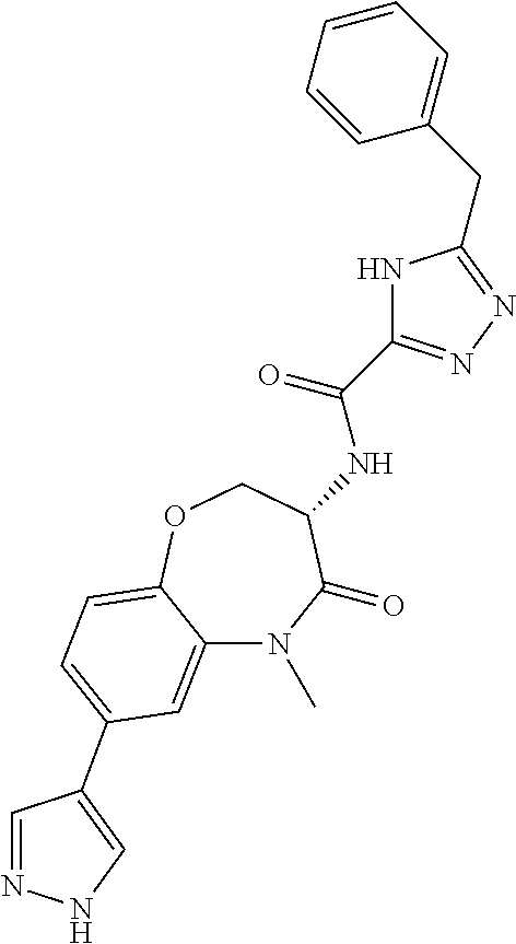
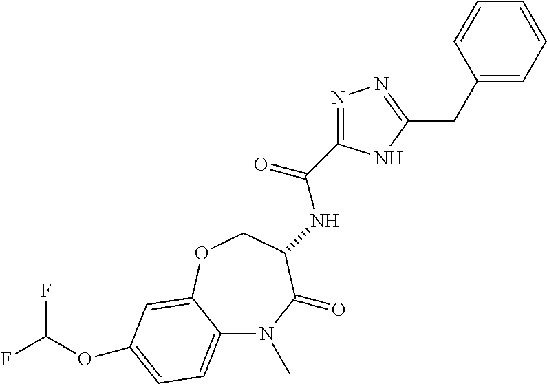
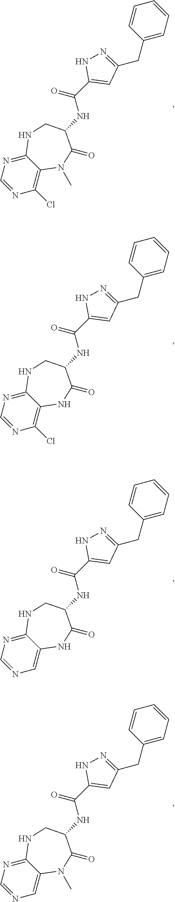
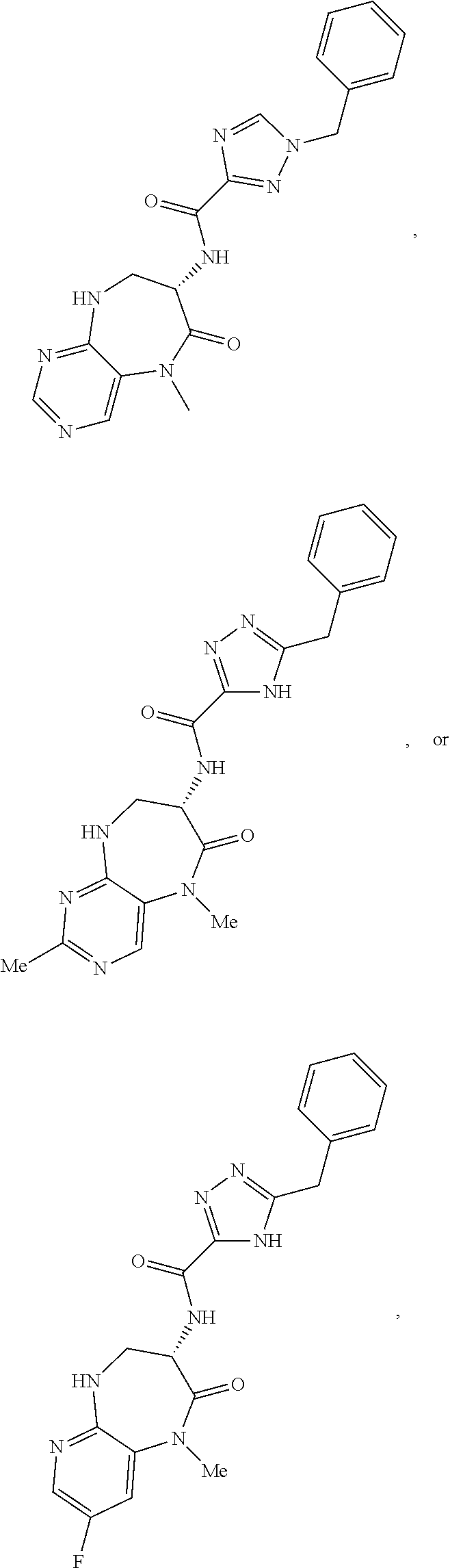
- LYPAFUINURXJSG-AWEZNQCLSA-N 5-benzyl-n-[(3s)-5-methyl-4-oxo-2,3-dihydro-1,5-benzoxazepin-3-yl]-1h-1,2,4-triazole-3-carboxamide Chemical compound N([C@H]1COC2=CC=CC=C2N(C1=O)C)C(=O)C(N=1)=NNC=1CC1=CC=CC=C1 LYPAFUINURXJSG-AWEZNQCLSA-N 0.000 description 25
- 238000004895 liquid chromatography mass spectrometry Methods 0.000 description 25
- IAZDPXIOMUYVGZ-UHFFFAOYSA-N Dimethylsulphoxide Chemical compound CS(C)=O IAZDPXIOMUYVGZ-UHFFFAOYSA-N 0.000 description 24
- 238000004519 manufacturing process Methods 0.000 description 24
- 238000003756 stirring Methods 0.000 description 23
- 239000012458 free base Substances 0.000 description 20
- RYHBNJHYFVUHQT-UHFFFAOYSA-N 1,4-Dioxane Chemical compound C1COCCO1 RYHBNJHYFVUHQT-UHFFFAOYSA-N 0.000 description 19
- 125000003118 aryl group Chemical group 0.000 description 19
- 239000003921 oil Substances 0.000 description 19
- CSNNHWWHGAXBCP-UHFFFAOYSA-L Magnesium sulfate Chemical compound [Mg+2].[O-][S+2]([O-])([O-])[O-] CSNNHWWHGAXBCP-UHFFFAOYSA-L 0.000 description 18
- 239000002253 acid Substances 0.000 description 18
- 230000007812 deficiency Effects 0.000 description 18
- 229910000030 sodium bicarbonate Inorganic materials 0.000 description 18
- 150000001412 amines Chemical class 0.000 description 17
- 238000001144 powder X-ray diffraction data Methods 0.000 description 17
- JGFZNNIVVJXRND-UHFFFAOYSA-N N,N-Diisopropylethylamine (DIPEA) Chemical compound CCN(C(C)C)C(C)C JGFZNNIVVJXRND-UHFFFAOYSA-N 0.000 description 16
- 239000002585 base Substances 0.000 description 16
- 210000004027 cell Anatomy 0.000 description 16
- 239000000706 filtrate Substances 0.000 description 16
- 125000001072 heteroaryl group Chemical group 0.000 description 16
- 239000012044 organic layer Substances 0.000 description 16
- SJRJJKPEHAURKC-UHFFFAOYSA-N N-Methylmorpholine Chemical compound CN1CCOCC1 SJRJJKPEHAURKC-UHFFFAOYSA-N 0.000 description 15
- 150000001408 amides Chemical class 0.000 description 15
- KRKNYBCHXYNGOX-UHFFFAOYSA-N citric acid Chemical compound OC(=O)CC(O)(C(O)=O)CC(O)=O KRKNYBCHXYNGOX-UHFFFAOYSA-N 0.000 description 15
- 239000007822 coupling agent Substances 0.000 description 15
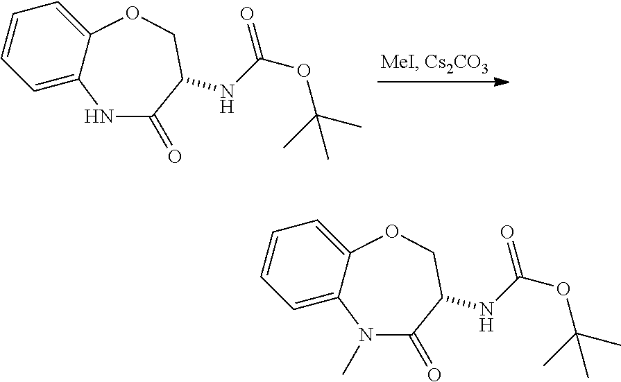
- INQOMBQAUSQDDS-UHFFFAOYSA-N iodomethane Chemical compound IC INQOMBQAUSQDDS-UHFFFAOYSA-N 0.000 description 15
- FJDQFPXHSGXQBY-UHFFFAOYSA-L caesium carbonate Chemical compound [Cs+].[Cs+].[O-]C([O-])=O FJDQFPXHSGXQBY-UHFFFAOYSA-L 0.000 description 14
- 230000006378 damage Effects 0.000 description 14
- 238000001914 filtration Methods 0.000 description 14
- KDLHZDBZIXYQEI-UHFFFAOYSA-N Palladium Chemical compound [Pd] KDLHZDBZIXYQEI-UHFFFAOYSA-N 0.000 description 13
- DTQVDTLACAAQTR-UHFFFAOYSA-N Trifluoroacetic acid Chemical compound OC(=O)C(F)(F)F DTQVDTLACAAQTR-UHFFFAOYSA-N 0.000 description 13
- 239000007858 starting material Substances 0.000 description 13
- 208000011580 syndromic disease Diseases 0.000 description 13
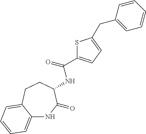
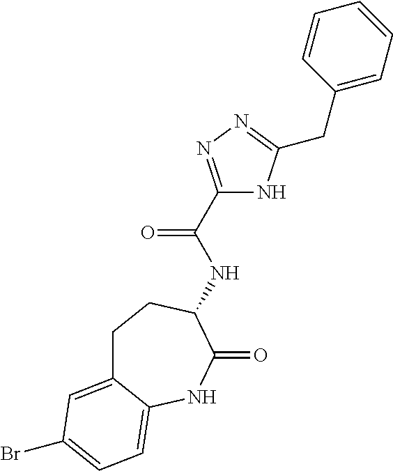
- HJKYMBMIUYPTGQ-INIZCTEOSA-N 5-benzyl-n-[(3s)-7-chloro-2-oxo-1,3,4,5-tetrahydro-1-benzazepin-3-yl]-1h-1,2,4-triazole-3-carboxamide Chemical compound N([C@@H]1C(=O)NC2=CC=C(C=C2CC1)Cl)C(=O)C(N=1)=NNC=1CC1=CC=CC=C1 HJKYMBMIUYPTGQ-INIZCTEOSA-N 0.000 description 12
- NLXLAEXVIDQMFP-UHFFFAOYSA-N Ammonia chloride Chemical compound [NH4+].[Cl-] NLXLAEXVIDQMFP-UHFFFAOYSA-N 0.000 description 12
- OAKJQQAXSVQMHS-UHFFFAOYSA-N Hydrazine Chemical compound NN OAKJQQAXSVQMHS-UHFFFAOYSA-N 0.000 description 12
- KWYUFKZDYYNOTN-UHFFFAOYSA-M Potassium hydroxide Chemical compound [OH-].[K+] KWYUFKZDYYNOTN-UHFFFAOYSA-M 0.000 description 12
- 230000002378 acidificating effect Effects 0.000 description 12
- 230000001363 autoimmune Effects 0.000 description 12
- BWHMMNNQKKPAPP-UHFFFAOYSA-L potassium carbonate Chemical compound [K+].[K+].[O-]C([O-])=O BWHMMNNQKKPAPP-UHFFFAOYSA-L 0.000 description 12
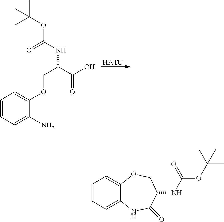
- 239000007821 HATU Substances 0.000 description 11
- 208000006011 Stroke Diseases 0.000 description 11
- 239000000523 sample Substances 0.000 description 11
- WEVYAHXRMPXWCK-UHFFFAOYSA-N Acetonitrile Chemical compound CC#N WEVYAHXRMPXWCK-UHFFFAOYSA-N 0.000 description 10
- 208000004930 Fatty Liver Diseases 0.000 description 10
- 208000022559 Inflammatory bowel disease Diseases 0.000 description 10
- KFZMGEQAYNKOFK-UHFFFAOYSA-N Isopropanol Chemical compound CC(C)O KFZMGEQAYNKOFK-UHFFFAOYSA-N 0.000 description 10
- JUJWROOIHBZHMG-UHFFFAOYSA-N Pyridine Chemical compound C1=CC=NC=C1 JUJWROOIHBZHMG-UHFFFAOYSA-N 0.000 description 10
- 206010038848 Retinal detachment Diseases 0.000 description 10
- 208000007014 Retinitis pigmentosa Diseases 0.000 description 10
- PXIPVTKHYLBLMZ-UHFFFAOYSA-N Sodium azide Chemical compound [Na+].[N-]=[N+]=[N-] PXIPVTKHYLBLMZ-UHFFFAOYSA-N 0.000 description 10
- 206010052779 Transplant rejections Diseases 0.000 description 10
- 206010067774 Tumour necrosis factor receptor-associated periodic syndrome Diseases 0.000 description 10
- 125000000217 alkyl group Chemical group 0.000 description 10
- QVGXLLKOCUKJST-UHFFFAOYSA-N atomic oxygen Chemical compound [O] QVGXLLKOCUKJST-UHFFFAOYSA-N 0.000 description 10
- 125000004432 carbon atom Chemical group C* 0.000 description 10
- PFKFTWBEEFSNDU-UHFFFAOYSA-N carbonyldiimidazole Chemical compound C1=CN=CN1C(=O)N1C=CN=C1 PFKFTWBEEFSNDU-UHFFFAOYSA-N 0.000 description 10
- 239000012043 crude product Substances 0.000 description 10
- 239000010410 layer Substances 0.000 description 10
- 230000017074 necrotic cell death Effects 0.000 description 10
- 239000001301 oxygen Substances 0.000 description 10
- 125000006239 protecting group Chemical group 0.000 description 10
- 230000002829 reductive effect Effects 0.000 description 10
- 230000004264 retinal detachment Effects 0.000 description 10
- 229920006395 saturated elastomer Polymers 0.000 description 10
- RIOQSEWOXXDEQQ-UHFFFAOYSA-N triphenylphosphine Chemical compound C1=CC=CC=C1P(C=1C=CC=CC=1)C1=CC=CC=C1 RIOQSEWOXXDEQQ-UHFFFAOYSA-N 0.000 description 10
- PAQZWJGSJMLPMG-UHFFFAOYSA-N 2,4,6-tripropyl-1,3,5,2$l^{5},4$l^{5},6$l^{5}-trioxatriphosphinane 2,4,6-trioxide Chemical compound CCCP1(=O)OP(=O)(CCC)OP(=O)(CCC)O1 PAQZWJGSJMLPMG-UHFFFAOYSA-N 0.000 description 9
- 201000005569 Gout Diseases 0.000 description 9
- 206010028851 Necrosis Diseases 0.000 description 9
- 102100027716 RanBP-type and C3HC4-type zinc finger-containing protein 1 Human genes 0.000 description 9
- 239000007864 aqueous solution Substances 0.000 description 9
- 206010003246 arthritis Diseases 0.000 description 9
- 229960000074 biopharmaceutical Drugs 0.000 description 9
- 239000002552 dosage form Substances 0.000 description 9
- 229910052943 magnesium sulfate Inorganic materials 0.000 description 9
- 208000010125 myocardial infarction Diseases 0.000 description 9
- 239000000843 powder Substances 0.000 description 9
- 239000012265 solid product Substances 0.000 description 9
- 239000012453 solvate Substances 0.000 description 9
- 239000003981 vehicle Substances 0.000 description 9
- 208000003343 Antiphospholipid Syndrome Diseases 0.000 description 8
- 108090000426 Caspase-1 Proteins 0.000 description 8
- 206010008190 Cerebrovascular accident Diseases 0.000 description 8
- 206010012438 Dermatitis atopic Diseases 0.000 description 8
- 101100046526 Mus musculus Tnf gene Proteins 0.000 description 8
- 241000699670 Mus sp. Species 0.000 description 8
- 230000006907 apoptotic process Effects 0.000 description 8
- 201000008937 atopic dermatitis Diseases 0.000 description 8
- 229910000024 caesium carbonate Inorganic materials 0.000 description 8
- 208000026106 cerebrovascular disease Diseases 0.000 description 8
- 238000001035 drying Methods 0.000 description 8
- 230000000694 effects Effects 0.000 description 8
- 238000001990 intravenous administration Methods 0.000 description 8
- 238000011068 loading method Methods 0.000 description 8
- 238000010992 reflux Methods 0.000 description 8
- 239000000377 silicon dioxide Substances 0.000 description 8
- 201000000596 systemic lupus erythematosus Diseases 0.000 description 8
- 238000002560 therapeutic procedure Methods 0.000 description 8
- VHUUQVKOLVNVRT-UHFFFAOYSA-N Ammonium hydroxide Chemical compound [NH4+].[OH-] VHUUQVKOLVNVRT-UHFFFAOYSA-N 0.000 description 7
- 206010021245 Idiopathic thrombocytopenic purpura Diseases 0.000 description 7
- LRHPLDYGYMQRHN-UHFFFAOYSA-N N-Butanol Chemical compound CCCCO LRHPLDYGYMQRHN-UHFFFAOYSA-N 0.000 description 7
- QAOWNCQODCNURD-UHFFFAOYSA-N Sulfuric acid Chemical compound OS(O)(=O)=O QAOWNCQODCNURD-UHFFFAOYSA-N 0.000 description 7
- 239000013543 active substance Substances 0.000 description 7
- 239000008346 aqueous phase Substances 0.000 description 7
- 201000003710 autoimmune thrombocytopenic purpura Diseases 0.000 description 7
- 239000003480 eluent Substances 0.000 description 7
- 125000000623 heterocyclic group Chemical group 0.000 description 7
- 229910000104 sodium hydride Inorganic materials 0.000 description 7
- 230000001225 therapeutic effect Effects 0.000 description 7
- ZGYIXVSQHOKQRZ-COIATFDQSA-N (e)-n-[4-[3-chloro-4-(pyridin-2-ylmethoxy)anilino]-3-cyano-7-[(3s)-oxolan-3-yl]oxyquinolin-6-yl]-4-(dimethylamino)but-2-enamide Chemical compound N#CC1=CN=C2C=C(O[C@@H]3COCC3)C(NC(=O)/C=C/CN(C)C)=CC2=C1NC(C=C1Cl)=CC=C1OCC1=CC=CC=N1 ZGYIXVSQHOKQRZ-COIATFDQSA-N 0.000 description 6
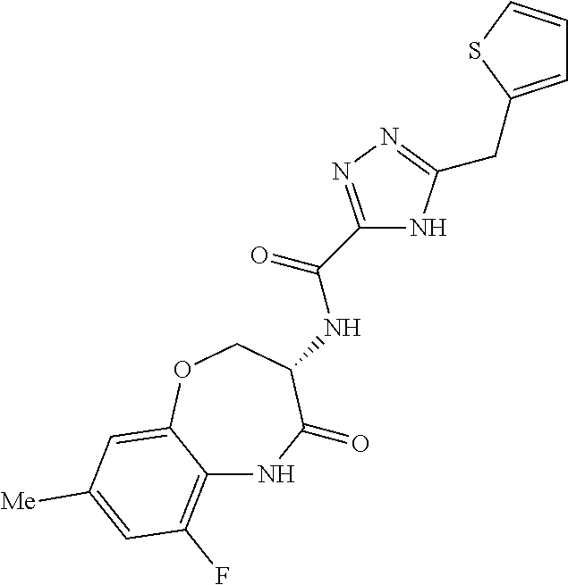
- MQTGSIQQEKYWMR-UHFFFAOYSA-N 5-benzyl-1,2-oxazole-3-carboxylic acid Chemical compound O1N=C(C(=O)O)C=C1CC1=CC=CC=C1 MQTGSIQQEKYWMR-UHFFFAOYSA-N 0.000 description 6
- 206010053185 Glycogen storage disease type II Diseases 0.000 description 6
- 108010053317 Hexosaminidase A Proteins 0.000 description 6
- 102000016871 Hexosaminidase A Human genes 0.000 description 6
- 101001081220 Homo sapiens RanBP-type and C3HC4-type zinc finger-containing protein 1 Proteins 0.000 description 6
- 208000023105 Huntington disease Diseases 0.000 description 6
- WTDHULULXKLSOZ-UHFFFAOYSA-N Hydroxylamine hydrochloride Chemical compound Cl.ON WTDHULULXKLSOZ-UHFFFAOYSA-N 0.000 description 6
- 102000051628 Interleukin-1 receptor antagonist Human genes 0.000 description 6
- 108700021006 Interleukin-1 receptor antagonist Proteins 0.000 description 6
- AFVFQIVMOAPDHO-UHFFFAOYSA-N Methanesulfonic acid Chemical compound CS(O)(=O)=O AFVFQIVMOAPDHO-UHFFFAOYSA-N 0.000 description 6
- 206010072927 Mucolipidosis type I Diseases 0.000 description 6
- 101710090077 NF-kappa-B essential modulator Proteins 0.000 description 6
- CDBYLPFSWZWCQE-UHFFFAOYSA-L Sodium Carbonate Chemical compound [Na+].[Na+].[O-]C([O-])=O CDBYLPFSWZWCQE-UHFFFAOYSA-L 0.000 description 6
- 206010002026 amyotrophic lateral sclerosis Diseases 0.000 description 6
- ILAHWRKJUDSMFH-UHFFFAOYSA-N boron tribromide Chemical compound BrB(Br)Br ILAHWRKJUDSMFH-UHFFFAOYSA-N 0.000 description 6
- 229910052799 carbon Inorganic materials 0.000 description 6
- 239000013058 crude material Substances 0.000 description 6
- CSJLBAMHHLJAAS-UHFFFAOYSA-N diethylaminosulfur trifluoride Chemical compound CCN(CC)S(F)(F)F CSJLBAMHHLJAAS-UHFFFAOYSA-N 0.000 description 6
- 238000007429 general method Methods 0.000 description 6
- 150000004677 hydrates Chemical class 0.000 description 6
- 239000003112 inhibitor Substances 0.000 description 6
- 125000002757 morpholinyl group Chemical group 0.000 description 6
- SCVFZCLFOSHCOH-UHFFFAOYSA-M potassium acetate Chemical compound [K+].CC([O-])=O SCVFZCLFOSHCOH-UHFFFAOYSA-M 0.000 description 6
- 229910000027 potassium carbonate Inorganic materials 0.000 description 6
- 108090000623 proteins and genes Proteins 0.000 description 6
- 125000000714 pyrimidinyl group Chemical group 0.000 description 6
- 230000009467 reduction Effects 0.000 description 6
- 238000006722 reduction reaction Methods 0.000 description 6
- 125000003718 tetrahydrofuranyl group Chemical group 0.000 description 6
- 208000037816 tissue injury Diseases 0.000 description 6
- SEDZOYHHAIAQIW-UHFFFAOYSA-N trimethylsilyl azide Chemical compound C[Si](C)(C)N=[N+]=[N-] SEDZOYHHAIAQIW-UHFFFAOYSA-N 0.000 description 6
- PZPLVTIVYLSWDZ-KRWDZBQOSA-N (3s)-3-[(5-benzyl-1,2-oxazole-3-carbonyl)amino]-5-methyl-4-oxo-2,3-dihydro-1,5-benzoxazepine-7-carboxylic acid Chemical compound N([C@H]1COC2=CC=C(C=C2N(C1=O)C)C(O)=O)C(=O)C(=NO1)C=C1CC1=CC=CC=C1 PZPLVTIVYLSWDZ-KRWDZBQOSA-N 0.000 description 5
- LGLCJIIJYYSZRU-FJXQXJEOSA-N (3s)-3-amino-5-methyl-2,3-dihydro-1,5-benzoxazepin-4-one;hydrochloride Chemical compound Cl.O1C[C@H](N)C(=O)N(C)C2=CC=CC=C21 LGLCJIIJYYSZRU-FJXQXJEOSA-N 0.000 description 5
- DJGOJBWXSFLLLK-JTQLQIEISA-N (3s)-5-methyl-3-[(2-methylpropan-2-yl)oxycarbonylamino]-4-oxo-2,3-dihydro-1,5-benzoxazepine-7-carboxylic acid Chemical compound O1C[C@H](NC(=O)OC(C)(C)C)C(=O)N(C)C2=CC(C(O)=O)=CC=C21 DJGOJBWXSFLLLK-JTQLQIEISA-N 0.000 description 5
- PWKNBLFSJAVFAB-UHFFFAOYSA-N 1-fluoro-2-nitrobenzene Chemical class [O-][N+](=O)C1=CC=CC=C1F PWKNBLFSJAVFAB-UHFFFAOYSA-N 0.000 description 5
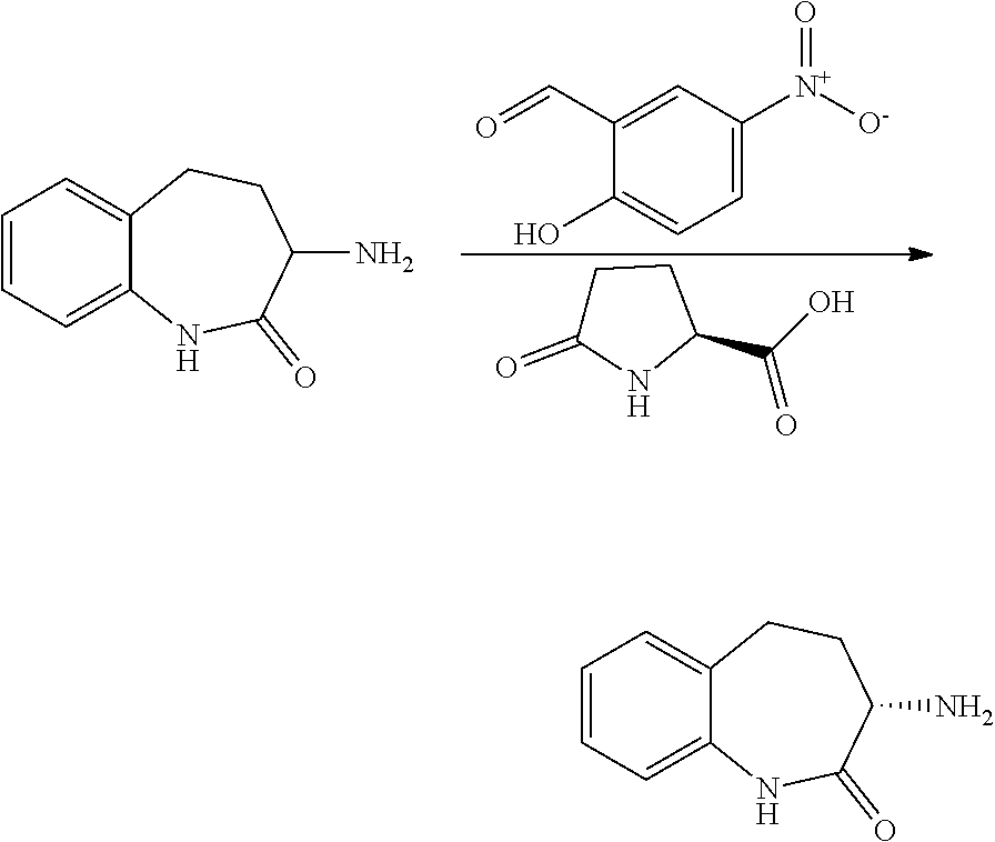
- ODHCTXKNWHHXJC-VKHMYHEASA-N 5-oxo-L-proline Chemical compound OC(=O)[C@@H]1CCC(=O)N1 ODHCTXKNWHHXJC-VKHMYHEASA-N 0.000 description 5
- 208000024827 Alzheimer disease Diseases 0.000 description 5
- 206010003827 Autoimmune hepatitis Diseases 0.000 description 5
- 102000004127 Cytokines Human genes 0.000 description 5
- 108090000695 Cytokines Proteins 0.000 description 5
- 101710156256 Myosin phosphatase Rho-interacting protein Proteins 0.000 description 5
- 208000018737 Parkinson disease Diseases 0.000 description 5
- 102100033729 Receptor-interacting serine/threonine-protein kinase 3 Human genes 0.000 description 5
- NINIDFKCEFEMDL-UHFFFAOYSA-N Sulfur Chemical group [S] NINIDFKCEFEMDL-UHFFFAOYSA-N 0.000 description 5
- OKJPEAGHQZHRQV-UHFFFAOYSA-N Triiodomethane Natural products IC(I)I OKJPEAGHQZHRQV-UHFFFAOYSA-N 0.000 description 5
- 208000036142 Viral infection Diseases 0.000 description 5
- 230000004913 activation Effects 0.000 description 5
- 208000026935 allergic disease Diseases 0.000 description 5
- 125000004429 atom Chemical group 0.000 description 5
- 239000003124 biologic agent Substances 0.000 description 5
- 230000015572 biosynthetic process Effects 0.000 description 5
- 239000003795 chemical substances by application Substances 0.000 description 5
- 208000010643 digestive system disease Diseases 0.000 description 5
- 238000001704 evaporation Methods 0.000 description 5
- 230000008020 evaporation Effects 0.000 description 5
- 239000006260 foam Substances 0.000 description 5
- 238000004128 high performance liquid chromatography Methods 0.000 description 5
- QJGQUHMNIGDVPM-UHFFFAOYSA-N nitrogen group Chemical group [N] QJGQUHMNIGDVPM-UHFFFAOYSA-N 0.000 description 5
- 125000001715 oxadiazolyl group Chemical group 0.000 description 5
- 229920000642 polymer Polymers 0.000 description 5
- 235000018102 proteins Nutrition 0.000 description 5
- 102000004169 proteins and genes Human genes 0.000 description 5
- UMJSCPRVCHMLSP-UHFFFAOYSA-N pyridine Natural products COC1=CC=CN=C1 UMJSCPRVCHMLSP-UHFFFAOYSA-N 0.000 description 5
- 230000001105 regulatory effect Effects 0.000 description 5
- 208000010157 sclerosing cholangitis Diseases 0.000 description 5
- 239000000741 silica gel Substances 0.000 description 5
- 229910002027 silica gel Inorganic materials 0.000 description 5
- 235000011152 sodium sulphate Nutrition 0.000 description 5
- 239000000126 substance Substances 0.000 description 5
- 125000000999 tert-butyl group Chemical group [H]C([H])([H])C(*)(C([H])([H])[H])C([H])([H])[H] 0.000 description 5
- 239000002451 tumor necrosis factor inhibitor Substances 0.000 description 5
- 230000009385 viral infection Effects 0.000 description 5
- FHOAKXBXYSJBGX-YFKPBYRVSA-N (2s)-3-hydroxy-2-[(2-methylpropan-2-yl)oxycarbonylamino]propanoic acid Chemical compound CC(C)(C)OC(=O)N[C@@H](CO)C(O)=O FHOAKXBXYSJBGX-YFKPBYRVSA-N 0.000 description 4
- AUAKXRGQXZRTQC-QMMMGPOBSA-N (3s)-3-amino-1,3,4,5-tetrahydro-1-benzazepin-2-one Chemical compound N1C(=O)[C@@H](N)CCC2=CC=CC=C21 AUAKXRGQXZRTQC-QMMMGPOBSA-N 0.000 description 4
- SCYULBFZEHDVBN-UHFFFAOYSA-N 1,1-Dichloroethane Chemical compound CC(Cl)Cl SCYULBFZEHDVBN-UHFFFAOYSA-N 0.000 description 4
- HRVRAYIYXRVAPR-UHFFFAOYSA-N 1,3,4,5-tetrahydro-1-benzazepin-2-one Chemical compound N1C(=O)CCCC2=CC=CC=C21 HRVRAYIYXRVAPR-UHFFFAOYSA-N 0.000 description 4
- LMDZBCPBFSXMTL-UHFFFAOYSA-N 1-Ethyl-3-(3-dimethylaminopropyl)carbodiimide Substances CCN=C=NCCCN(C)C LMDZBCPBFSXMTL-UHFFFAOYSA-N 0.000 description 4
- KXBWKWXLJDJUTG-KRWDZBQOSA-N 5-benzyl-n-[(3r)-5-methyl-4-oxo-2,3-dihydro-1,5-benzothiazepin-3-yl]-1,2-oxazole-3-carboxamide Chemical compound N([C@H]1CSC2=CC=CC=C2N(C1=O)C)C(=O)C(=NO1)C=C1CC1=CC=CC=C1 KXBWKWXLJDJUTG-KRWDZBQOSA-N 0.000 description 4
- 125000006163 5-membered heteroaryl group Chemical group 0.000 description 4
- MJZJYWCQPMNPRM-UHFFFAOYSA-N 6,6-dimethyl-1-[3-(2,4,5-trichlorophenoxy)propoxy]-1,6-dihydro-1,3,5-triazine-2,4-diamine Chemical compound CC1(C)N=C(N)N=C(N)N1OCCCOC1=CC(Cl)=C(Cl)C=C1Cl MJZJYWCQPMNPRM-UHFFFAOYSA-N 0.000 description 4
- RZVAJINKPMORJF-UHFFFAOYSA-N Acetaminophen Chemical compound CC(=O)NC1=CC=C(O)C=C1 RZVAJINKPMORJF-UHFFFAOYSA-N 0.000 description 4
- 208000035143 Bacterial infection Diseases 0.000 description 4
- 208000009137 Behcet syndrome Diseases 0.000 description 4
- OKTJSMMVPCPJKN-UHFFFAOYSA-N Carbon Chemical group [C] OKTJSMMVPCPJKN-UHFFFAOYSA-N 0.000 description 4
- 102100035904 Caspase-1 Human genes 0.000 description 4
- 208000006545 Chronic Obstructive Pulmonary Disease Diseases 0.000 description 4
- 208000015943 Coeliac disease Diseases 0.000 description 4
- DYHSDKLCOJIUFX-UHFFFAOYSA-N Di-tert-butyl dicarbonate Substances CC(C)(C)OC(=O)OC(=O)OC(C)(C)C DYHSDKLCOJIUFX-UHFFFAOYSA-N 0.000 description 4
- 201000008808 Fibrosarcoma Diseases 0.000 description 4
- 208000015872 Gaucher disease Diseases 0.000 description 4
- 206010072579 Granulomatosis with polyangiitis Diseases 0.000 description 4
- 208000028622 Immune thrombocytopenia Diseases 0.000 description 4
- 206010067125 Liver injury Diseases 0.000 description 4
- 208000015439 Lysosomal storage disease Diseases 0.000 description 4
- MZRVEZGGRBJDDB-UHFFFAOYSA-N N-Butyllithium Chemical compound [Li]CCCC MZRVEZGGRBJDDB-UHFFFAOYSA-N 0.000 description 4
- 238000005481 NMR spectroscopy Methods 0.000 description 4
- 206010033645 Pancreatitis Diseases 0.000 description 4
- 206010037660 Pyrexia Diseases 0.000 description 4
- 208000021386 Sjogren Syndrome Diseases 0.000 description 4
- 201000009594 Systemic Scleroderma Diseases 0.000 description 4
- 206010042953 Systemic sclerosis Diseases 0.000 description 4
- 108060008682 Tumor Necrosis Factor Proteins 0.000 description 4
- 102000000852 Tumor Necrosis Factor-alpha Human genes 0.000 description 4
- 206010067584 Type 1 diabetes mellitus Diseases 0.000 description 4
- 206010047115 Vasculitis Diseases 0.000 description 4
- 208000027418 Wounds and injury Diseases 0.000 description 4
- MIFGOLAMNLSLGH-QOKNQOGYSA-N Z-Val-Ala-Asp(OMe)-CH2F Chemical compound COC(=O)C[C@@H](C(=O)CF)NC(=O)[C@H](C)NC(=O)[C@H](C(C)C)NC(=O)OCC1=CC=CC=C1 MIFGOLAMNLSLGH-QOKNQOGYSA-N 0.000 description 4
- 238000010521 absorption reaction Methods 0.000 description 4
- 239000002260 anti-inflammatory agent Substances 0.000 description 4
- 208000006673 asthma Diseases 0.000 description 4
- 208000022362 bacterial infectious disease Diseases 0.000 description 4
- 150000003857 carboxamides Chemical class 0.000 description 4
- 230000030833 cell death Effects 0.000 description 4
- 230000001413 cellular effect Effects 0.000 description 4
- 238000004440 column chromatography Methods 0.000 description 4
- 238000002447 crystallographic data Methods 0.000 description 4
- 125000001559 cyclopropyl group Chemical group [H]C1([H])C([H])([H])C1([H])* 0.000 description 4
- 230000001419 dependent effect Effects 0.000 description 4
- 208000037765 diseases and disorders Diseases 0.000 description 4
- ISVCHIZPICJRNZ-UHFFFAOYSA-N ethyl 5-methyl-1-[(4-methylphenyl)methyl]pyrazole-3-carboxylate Chemical compound N1=C(C(=O)OCC)C=C(C)N1CC1=CC=C(C)C=C1 ISVCHIZPICJRNZ-UHFFFAOYSA-N 0.000 description 4
- 125000001495 ethyl group Chemical group [H]C([H])([H])C([H])([H])* 0.000 description 4
- 238000003818 flash chromatography Methods 0.000 description 4
- 230000002489 hematologic effect Effects 0.000 description 4
- 231100000234 hepatic damage Toxicity 0.000 description 4
- 125000005842 heteroatom Chemical group 0.000 description 4
- 230000036039 immunity Effects 0.000 description 4
- 206010022000 influenza Diseases 0.000 description 4
- 208000014674 injury Diseases 0.000 description 4
- 230000003993 interaction Effects 0.000 description 4
- 230000008818 liver damage Effects 0.000 description 4
- 208000019423 liver disease Diseases 0.000 description 4
- 208000002780 macular degeneration Diseases 0.000 description 4
- KBOPZPXVLCULAV-UHFFFAOYSA-N mesalamine Chemical compound NC1=CC=C(O)C(C(O)=O)=C1 KBOPZPXVLCULAV-UHFFFAOYSA-N 0.000 description 4
- 229960004963 mesalazine Drugs 0.000 description 4
- 125000002950 monocyclic group Chemical group 0.000 description 4
- 201000008383 nephritis Diseases 0.000 description 4
- 229960002450 ofatumumab Drugs 0.000 description 4
- 238000007911 parenteral administration Methods 0.000 description 4
- HXITXNWTGFUOAU-UHFFFAOYSA-N phenylboronic acid Chemical compound OB(O)C1=CC=CC=C1 HXITXNWTGFUOAU-UHFFFAOYSA-N 0.000 description 4
- XHXFXVLFKHQFAL-UHFFFAOYSA-N phosphoryl trichloride Chemical compound ClP(Cl)(Cl)=O XHXFXVLFKHQFAL-UHFFFAOYSA-N 0.000 description 4
- LPNYRYFBWFDTMA-UHFFFAOYSA-N potassium tert-butoxide Chemical compound [K+].CC(C)(C)[O-] LPNYRYFBWFDTMA-UHFFFAOYSA-N 0.000 description 4
- 239000002244 precipitate Substances 0.000 description 4
- XOFYZVNMUHMLCC-ZPOLXVRWSA-N prednisone Chemical compound O=C1C=C[C@]2(C)[C@H]3C(=O)C[C@](C)([C@@](CC4)(O)C(=O)CO)[C@@H]4[C@@H]3CCC2=C1 XOFYZVNMUHMLCC-ZPOLXVRWSA-N 0.000 description 4
- 201000003651 pulmonary sarcoidosis Diseases 0.000 description 4
- 238000011084 recovery Methods 0.000 description 4
- 125000006413 ring segment Chemical group 0.000 description 4
- 229960004641 rituximab Drugs 0.000 description 4
- 239000012279 sodium borohydride Substances 0.000 description 4
- 229910000033 sodium borohydride Inorganic materials 0.000 description 4
- 229940071598 stelara Drugs 0.000 description 4
- 239000011593 sulfur Substances 0.000 description 4
- YHSONFJMJNCOAE-JTQLQIEISA-N tert-butyl n-[(3r)-4-oxo-3,5-dihydro-2h-1,5-benzothiazepin-3-yl]carbamate Chemical compound N1C(=O)[C@@H](NC(=O)OC(C)(C)C)CSC2=CC=CC=C21 YHSONFJMJNCOAE-JTQLQIEISA-N 0.000 description 4
- XHFAFKNTHPRBQI-LURJTMIESA-N tert-butyl n-[(7s)-4-chloro-6-oxo-5,7,8,9-tetrahydropyrimido[4,5-b][1,4]diazepin-7-yl]carbamate Chemical compound N1C(=O)[C@@H](NC(=O)OC(C)(C)C)CNC2=NC=NC(Cl)=C21 XHFAFKNTHPRBQI-LURJTMIESA-N 0.000 description 4
- 125000001412 tetrahydropyranyl group Chemical group 0.000 description 4
- CSRZQMIRAZTJOY-UHFFFAOYSA-N trimethylsilyl iodide Substances C[Si](C)(C)I CSRZQMIRAZTJOY-UHFFFAOYSA-N 0.000 description 4
- 201000008827 tuberculosis Diseases 0.000 description 4
- 229960003824 ustekinumab Drugs 0.000 description 4
- DPXKFRBVNAOQQV-VIFPVBQESA-N (2r)-2-[(2-methylpropan-2-yl)oxycarbonylamino]-3-(2-nitrophenyl)sulfanylpropanoic acid Chemical compound CC(C)(C)OC(=O)N[C@H](C(O)=O)CSC1=CC=CC=C1[N+]([O-])=O DPXKFRBVNAOQQV-VIFPVBQESA-N 0.000 description 3
- YBVFEWAJVVFSOW-JTQLQIEISA-N (2r)-3-(2-aminophenyl)sulfanyl-2-[(2-methylpropan-2-yl)oxycarbonylamino]propanoic acid Chemical compound CC(C)(C)OC(=O)N[C@H](C(O)=O)CSC1=CC=CC=C1N YBVFEWAJVVFSOW-JTQLQIEISA-N 0.000 description 3
- PMDFZPHGVXNDOE-VIFPVBQESA-N (2s)-2-[(2-methylpropan-2-yl)oxycarbonylamino]-3-(2-nitrophenoxy)propanoic acid Chemical compound CC(C)(C)OC(=O)N[C@H](C(O)=O)COC1=CC=CC=C1[N+]([O-])=O PMDFZPHGVXNDOE-VIFPVBQESA-N 0.000 description 3
- BXPNIFICXLSCDW-JTQLQIEISA-N (2s)-3-(2-aminophenoxy)-2-[(2-methylpropan-2-yl)oxycarbonylamino]propanoic acid Chemical compound CC(C)(C)OC(=O)N[C@H](C(O)=O)COC1=CC=CC=C1N BXPNIFICXLSCDW-JTQLQIEISA-N 0.000 description 3
- BMLZHUUDYQTPQL-LURJTMIESA-N (2s)-3-[(5-amino-6-chloropyrimidin-4-yl)amino]-2-[(2-methylpropan-2-yl)oxycarbonylamino]propanoic acid Chemical compound CC(C)(C)OC(=O)N[C@H](C(O)=O)CNC1=NC=NC(Cl)=C1N BMLZHUUDYQTPQL-LURJTMIESA-N 0.000 description 3
- NJJRFMFQXVMWOO-LURJTMIESA-N (3s)-3-amino-1,2,3,5-tetrahydro-1,5-benzodiazepin-4-one Chemical compound N1C(=O)[C@@H](N)CNC2=CC=CC=C21 NJJRFMFQXVMWOO-LURJTMIESA-N 0.000 description 3
- HMLGSIZOMSVISS-ONJSNURVSA-N (7r)-7-[[(2z)-2-(2-amino-1,3-thiazol-4-yl)-2-(2,2-dimethylpropanoyloxymethoxyimino)acetyl]amino]-3-ethenyl-8-oxo-5-thia-1-azabicyclo[4.2.0]oct-2-ene-2-carboxylic acid Chemical compound N([C@@H]1C(N2C(=C(C=C)CSC21)C(O)=O)=O)C(=O)\C(=N/OCOC(=O)C(C)(C)C)C1=CSC(N)=N1 HMLGSIZOMSVISS-ONJSNURVSA-N 0.000 description 3
- 125000006273 (C1-C3) alkyl group Chemical group 0.000 description 3
- WSLDOOZREJYCGB-UHFFFAOYSA-N 1,2-Dichloroethane Chemical compound ClCCCl WSLDOOZREJYCGB-UHFFFAOYSA-N 0.000 description 3
- GQIRIWDEZSKOCN-UHFFFAOYSA-N 1-chloro-n,n,2-trimethylprop-1-en-1-amine Chemical compound CN(C)C(Cl)=C(C)C GQIRIWDEZSKOCN-UHFFFAOYSA-N 0.000 description 3
- TXUWMXQFNYDOEZ-UHFFFAOYSA-N 5-(1H-indol-3-ylmethyl)-3-methyl-2-sulfanylidene-4-imidazolidinone Chemical compound O=C1N(C)C(=S)NC1CC1=CNC2=CC=CC=C12 TXUWMXQFNYDOEZ-UHFFFAOYSA-N 0.000 description 3
- GTWFWLGJAVSBHB-UHFFFAOYSA-N 5-benzyl-1h-1,2,4-triazole-3-carboxylic acid;hydrochloride Chemical compound Cl.OC(=O)C1=NNC(CC=2C=CC=CC=2)=N1 GTWFWLGJAVSBHB-UHFFFAOYSA-N 0.000 description 3
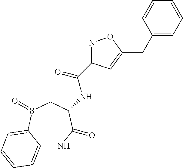
- DIRQWENNGASZSV-SFNQZPIRSA-N 5-benzyl-n-[(1r,3r)-5-methyl-1,4-dioxo-2,3-dihydro-1$l^{4},5-benzothiazepin-3-yl]-1,2-oxazole-3-carboxamide Chemical compound N([C@H]1C[S@@](=O)C2=CC=CC=C2N(C1=O)C)C(=O)C(=NO1)C=C1CC1=CC=CC=C1 DIRQWENNGASZSV-SFNQZPIRSA-N 0.000 description 3
- DIRQWENNGASZSV-ADKRDUOOSA-N 5-benzyl-n-[(1s,3r)-5-methyl-1,4-dioxo-2,3-dihydro-1$l^{4},5-benzothiazepin-3-yl]-1,2-oxazole-3-carboxamide Chemical compound N([C@H]1C[S@](=O)C2=CC=CC=C2N(C1=O)C)C(=O)C(=NO1)C=C1CC1=CC=CC=C1 DIRQWENNGASZSV-ADKRDUOOSA-N 0.000 description 3
- ZMXUFRIQAQDJAQ-AWEZNQCLSA-N 5-benzyl-n-[(3s)-6-fluoro-5-methyl-4-oxo-2,3-dihydro-1,5-benzoxazepin-3-yl]-1h-1,2,4-triazole-3-carboxamide Chemical compound N([C@H]1COC2=CC=CC(F)=C2N(C1=O)C)C(=O)C(N=1)=NNC=1CC1=CC=CC=C1 ZMXUFRIQAQDJAQ-AWEZNQCLSA-N 0.000 description 3
- CSCPPACGZOOCGX-UHFFFAOYSA-N Acetone Chemical compound CC(C)=O CSCPPACGZOOCGX-UHFFFAOYSA-N 0.000 description 3
- 208000029602 Alpha-N-acetylgalactosaminidase deficiency Diseases 0.000 description 3
- 206010068220 Aspartylglucosaminuria Diseases 0.000 description 3
- 201000001320 Atherosclerosis Diseases 0.000 description 3
- 102100022548 Beta-hexosaminidase subunit alpha Human genes 0.000 description 3
- WKBOTKDWSSQWDR-UHFFFAOYSA-N Bromine atom Chemical compound [Br] WKBOTKDWSSQWDR-UHFFFAOYSA-N 0.000 description 3
- 108090000538 Caspase-8 Proteins 0.000 description 3
- 102000004091 Caspase-8 Human genes 0.000 description 3
- PMATZTZNYRCHOR-CGLBZJNRSA-N Cyclosporin A Chemical compound CC[C@@H]1NC(=O)[C@H]([C@H](O)[C@H](C)C\C=C\C)N(C)C(=O)[C@H](C(C)C)N(C)C(=O)[C@H](CC(C)C)N(C)C(=O)[C@H](CC(C)C)N(C)C(=O)[C@@H](C)NC(=O)[C@H](C)NC(=O)[C@H](CC(C)C)N(C)C(=O)[C@H](C(C)C)NC(=O)[C@H](CC(C)C)N(C)C(=O)CN(C)C1=O PMATZTZNYRCHOR-CGLBZJNRSA-N 0.000 description 3
- 108010036949 Cyclosporine Proteins 0.000 description 3
- 206010011777 Cystinosis Diseases 0.000 description 3
- 208000011518 Danon disease Diseases 0.000 description 3
- 102000010170 Death domains Human genes 0.000 description 3
- 108050001718 Death domains Proteins 0.000 description 3
- 208000024720 Fabry Disease Diseases 0.000 description 3
- 208000001948 Farber Lipogranulomatosis Diseases 0.000 description 3
- 208000033149 Farber disease Diseases 0.000 description 3
- 201000008892 GM1 Gangliosidosis Diseases 0.000 description 3
- 208000001905 GM2 Gangliosidoses Diseases 0.000 description 3
- 201000008905 GM2 gangliosidosis Diseases 0.000 description 3
- 208000017462 Galactosialidosis Diseases 0.000 description 3
- 208000010055 Globoid Cell Leukodystrophy Diseases 0.000 description 3
- 208000001500 Glycogen Storage Disease Type IIb Diseases 0.000 description 3
- 208000035148 Glycogen storage disease due to LAMP-2 deficiency Diseases 0.000 description 3
- 208000032007 Glycogen storage disease due to acid maltase deficiency Diseases 0.000 description 3
- 101001045440 Homo sapiens Beta-hexosaminidase subunit alpha Proteins 0.000 description 3
- 101000850748 Homo sapiens Tumor necrosis factor receptor type 1-associated DEATH domain protein Proteins 0.000 description 3
- 108060006678 I-kappa-B kinase Proteins 0.000 description 3
- 102000001284 I-kappa-B kinase Human genes 0.000 description 3
- 208000028226 Krabbe disease Diseases 0.000 description 3
- 208000003221 Lysosomal acid lipase deficiency Diseases 0.000 description 3
- 102100033448 Lysosomal alpha-glucosidase Human genes 0.000 description 3
- 201000011442 Metachromatic leukodystrophy Diseases 0.000 description 3
- BAVYZALUXZFZLV-UHFFFAOYSA-N Methylamine Chemical compound NC BAVYZALUXZFZLV-UHFFFAOYSA-N 0.000 description 3
- 208000008955 Mucolipidoses Diseases 0.000 description 3
- 208000002678 Mucopolysaccharidoses Diseases 0.000 description 3
- 208000000149 Multiple Sulfatase Deficiency Disease Diseases 0.000 description 3
- 208000035032 Multiple sulfatase deficiency Diseases 0.000 description 3
- 102100022219 NF-kappa-B essential modulator Human genes 0.000 description 3
- 208000002537 Neuronal Ceroid-Lipofuscinoses Diseases 0.000 description 3
- 208000014060 Niemann-Pick disease Diseases 0.000 description 3
- NFHFRUOZVGFOOS-UHFFFAOYSA-N Pd(PPh3)4 Substances [Pd].C1=CC=CC=C1P(C=1C=CC=CC=1)C1=CC=CC=C1.C1=CC=CC=C1P(C=1C=CC=CC=1)C1=CC=CC=C1.C1=CC=CC=C1P(C=1C=CC=CC=1)C1=CC=CC=C1.C1=CC=CC=C1P(C=1C=CC=CC=1)C1=CC=CC=C1 NFHFRUOZVGFOOS-UHFFFAOYSA-N 0.000 description 3
- NQRYJNQNLNOLGT-UHFFFAOYSA-N Piperidine Chemical compound C1CCNCC1 NQRYJNQNLNOLGT-UHFFFAOYSA-N 0.000 description 3
- 101710164093 RanBP-type and C3HC4-type zinc finger-containing protein 1 Proteins 0.000 description 3
- 208000013608 Salla disease Diseases 0.000 description 3
- 208000021811 Sandhoff disease Diseases 0.000 description 3
- 208000000828 Sialic Acid Storage Disease Diseases 0.000 description 3
- 208000022292 Tay-Sachs disease Diseases 0.000 description 3
- 208000031981 Thrombocytopenic Idiopathic Purpura Diseases 0.000 description 3
- 102100033081 Tumor necrosis factor receptor type 1-associated DEATH domain protein Human genes 0.000 description 3
- 108700001567 Type I Schindler Disease Proteins 0.000 description 3
- 102000044159 Ubiquitin Human genes 0.000 description 3
- 108090000848 Ubiquitin Proteins 0.000 description 3
- 208000026589 Wolman disease Diseases 0.000 description 3
- 201000008333 alpha-mannosidosis Diseases 0.000 description 3
- 235000019270 ammonium chloride Nutrition 0.000 description 3
- 229960004238 anakinra Drugs 0.000 description 3
- 229940121363 anti-inflammatory agent Drugs 0.000 description 3
- 230000003110 anti-inflammatory effect Effects 0.000 description 3
- 230000008901 benefit Effects 0.000 description 3
- 125000002619 bicyclic group Chemical group 0.000 description 3
- 239000011230 binding agent Substances 0.000 description 3
- GDTBXPJZTBHREO-UHFFFAOYSA-N bromine Substances BrBr GDTBXPJZTBHREO-UHFFFAOYSA-N 0.000 description 3
- 229910052794 bromium Inorganic materials 0.000 description 3
- 239000002775 capsule Substances 0.000 description 3
- 125000002837 carbocyclic group Chemical group 0.000 description 3
- 150000001721 carbon Chemical group 0.000 description 3
- 239000003153 chemical reaction reagent Substances 0.000 description 3
- 208000024042 cholesterol ester storage disease Diseases 0.000 description 3
- 208000013760 cholesteryl ester storage disease Diseases 0.000 description 3
- 230000001684 chronic effect Effects 0.000 description 3
- 229960001265 ciclosporin Drugs 0.000 description 3
- DQLATGHUWYMOKM-UHFFFAOYSA-L cisplatin Chemical compound N[Pt](N)(Cl)Cl DQLATGHUWYMOKM-UHFFFAOYSA-L 0.000 description 3
- 229960004316 cisplatin Drugs 0.000 description 3
- 238000002648 combination therapy Methods 0.000 description 3
- 238000001816 cooling Methods 0.000 description 3
- 125000004122 cyclic group Chemical group 0.000 description 3
- 125000000000 cycloalkoxy group Chemical group 0.000 description 3
- 229930182912 cyclosporin Natural products 0.000 description 3
- WGLUMOCWFMKWIL-UHFFFAOYSA-N dichloromethane;methanol Chemical compound OC.ClCCl WGLUMOCWFMKWIL-UHFFFAOYSA-N 0.000 description 3
- 239000003085 diluting agent Substances 0.000 description 3
- 239000007884 disintegrant Substances 0.000 description 3
- 229940079593 drug Drugs 0.000 description 3
- UYBGFYOOVMZORR-UHFFFAOYSA-N ethyl 1-[(3-fluorophenyl)methyl]imidazole-4-carboxylate Chemical compound C1=NC(C(=O)OCC)=CN1CC1=CC=CC(F)=C1 UYBGFYOOVMZORR-UHFFFAOYSA-N 0.000 description 3
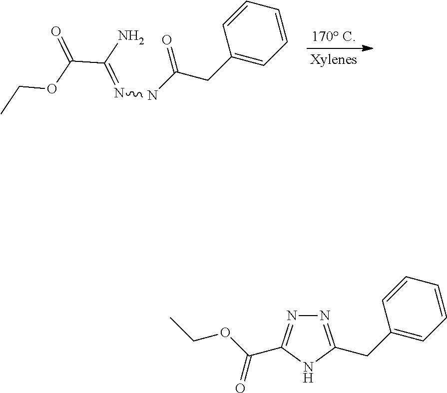
- OKWGRNVMIZBILF-UHFFFAOYSA-N ethyl 2-amino-2-[(2-phenylacetyl)hydrazinylidene]acetate Chemical compound CCOC(=O)C(N)=NNC(=O)CC1=CC=CC=C1 OKWGRNVMIZBILF-UHFFFAOYSA-N 0.000 description 3
- JZPJXOPGWMQZEX-UHFFFAOYSA-N ethyl 2-benzyltetrazole-5-carboxylate Chemical compound N1=C(C(=O)OCC)N=NN1CC1=CC=CC=C1 JZPJXOPGWMQZEX-UHFFFAOYSA-N 0.000 description 3
- DSHWMBCJDOGPTB-UHFFFAOYSA-N ethyl 2-ethoxy-2-iminoacetate Chemical compound CCOC(=N)C(=O)OCC DSHWMBCJDOGPTB-UHFFFAOYSA-N 0.000 description 3
- YUSGRCXQWUJBGR-UHFFFAOYSA-N ethyl 5-[(4-fluorophenyl)methyl]-1h-pyrazole-3-carboxylate Chemical compound N1N=C(C(=O)OCC)C=C1CC1=CC=C(F)C=C1 YUSGRCXQWUJBGR-UHFFFAOYSA-N 0.000 description 3
- XCYXOXDKVNFEIZ-UHFFFAOYSA-N ethyl 5-benzyl-1,2-oxazole-3-carboxylate Chemical compound O1N=C(C(=O)OCC)C=C1CC1=CC=CC=C1 XCYXOXDKVNFEIZ-UHFFFAOYSA-N 0.000 description 3
- ZDYNKUMTNKZJGQ-UHFFFAOYSA-N ethyl 5-benzyl-1h-1,2,4-triazole-3-carboxylate Chemical compound CCOC(=O)C1=NNC(CC=2C=CC=CC=2)=N1 ZDYNKUMTNKZJGQ-UHFFFAOYSA-N 0.000 description 3
- 238000000605 extraction Methods 0.000 description 3
- 239000000945 filler Substances 0.000 description 3
- 238000009472 formulation Methods 0.000 description 3
- 201000008049 fucosidosis Diseases 0.000 description 3
- 230000006870 function Effects 0.000 description 3
- 125000000524 functional group Chemical group 0.000 description 3
- 239000007789 gas Substances 0.000 description 3
- 201000004502 glycogen storage disease II Diseases 0.000 description 3
- 239000012456 homogeneous solution Substances 0.000 description 3
- 150000002430 hydrocarbons Chemical group 0.000 description 3
- 230000002757 inflammatory effect Effects 0.000 description 3
- 230000005764 inhibitory process Effects 0.000 description 3
- 230000000366 juvenile effect Effects 0.000 description 3
- 229940054136 kineret Drugs 0.000 description 3
- 239000007788 liquid Substances 0.000 description 3
- 239000000314 lubricant Substances 0.000 description 3
- 239000000463 material Substances 0.000 description 3
- UUYBWDFXXOQFLF-SFHVURJKSA-N methyl (3s)-3-[(5-benzyl-1,2-oxazole-3-carbonyl)amino]-5-methyl-4-oxo-2,3-dihydro-1,5-benzoxazepine-7-carboxylate Chemical compound N([C@H]1COC2=CC=C(C=C2N(C)C1=O)C(=O)OC)C(=O)C(=NO1)C=C1CC1=CC=CC=C1 UUYBWDFXXOQFLF-SFHVURJKSA-N 0.000 description 3
- 201000007769 mucolipidosis Diseases 0.000 description 3
- 206010028093 mucopolysaccharidosis Diseases 0.000 description 3
- BJLZFUKKIWANEO-KRWDZBQOSA-N n-[(3s)-7-amino-5-methyl-4-oxo-2,3-dihydro-1,5-benzoxazepin-3-yl]-5-benzyl-1,2-oxazole-3-carboxamide Chemical compound N([C@H]1COC2=CC=C(N)C=C2N(C1=O)C)C(=O)C(=NO1)C=C1CC1=CC=CC=C1 BJLZFUKKIWANEO-KRWDZBQOSA-N 0.000 description 3
- 125000004433 nitrogen atom Chemical group N* 0.000 description 3
- 239000008184 oral solid dosage form Substances 0.000 description 3
- 150000007530 organic bases Chemical class 0.000 description 3
- 239000012071 phase Substances 0.000 description 3
- UHZYTMXLRWXGPK-UHFFFAOYSA-N phosphorus pentachloride Chemical compound ClP(Cl)(Cl)(Cl)Cl UHZYTMXLRWXGPK-UHFFFAOYSA-N 0.000 description 3
- 235000011056 potassium acetate Nutrition 0.000 description 3
- 238000000634 powder X-ray diffraction Methods 0.000 description 3
- 201000010108 pycnodysostosis Diseases 0.000 description 3
- 239000011347 resin Substances 0.000 description 3
- 229920005989 resin Polymers 0.000 description 3
- 238000000926 separation method Methods 0.000 description 3
- 229910000029 sodium carbonate Inorganic materials 0.000 description 3
- AKHNMLFCWUSKQB-UHFFFAOYSA-L sodium thiosulfate Chemical compound [Na+].[Na+].[O-]S([O-])(=O)=S AKHNMLFCWUSKQB-UHFFFAOYSA-L 0.000 description 3
- 230000002459 sustained effect Effects 0.000 description 3
- 239000003826 tablet Substances 0.000 description 3
- ZXBVHUSRETVQFP-UHFFFAOYSA-N tert-butyl n-(7-bromo-1-methyl-2-oxo-4,5-dihydro-3h-1-benzazepin-3-yl)carbamate Chemical compound C1CC(NC(=O)OC(C)(C)C)C(=O)N(C)C2=CC=C(Br)C=C21 ZXBVHUSRETVQFP-UHFFFAOYSA-N 0.000 description 3
- CIQKQYMWRJCIHQ-UHFFFAOYSA-N tert-butyl n-(7-bromo-2-oxo-1,3,4,5-tetrahydro-1-benzazepin-3-yl)carbamate Chemical compound N1C(=O)C(NC(=O)OC(C)(C)C)CCC2=CC(Br)=CC=C21 CIQKQYMWRJCIHQ-UHFFFAOYSA-N 0.000 description 3
- QKSQWQOAUQFORH-UHFFFAOYSA-N tert-butyl n-[(2-methylpropan-2-yl)oxycarbonylimino]carbamate Chemical compound CC(C)(C)OC(=O)N=NC(=O)OC(C)(C)C QKSQWQOAUQFORH-UHFFFAOYSA-N 0.000 description 3
- LHMLZLUVZZHQLI-JTQLQIEISA-N tert-butyl n-[(3r)-5-methyl-4-oxo-2,3-dihydro-1,5-benzothiazepin-3-yl]carbamate Chemical compound S1C[C@H](NC(=O)OC(C)(C)C)C(=O)N(C)C2=CC=CC=C21 LHMLZLUVZZHQLI-JTQLQIEISA-N 0.000 description 3
- NETWMZIHMUWUMS-NSHDSACASA-N tert-butyl n-[(3s)-4-oxo-1,2,3,5-tetrahydro-1,5-benzodiazepin-3-yl]carbamate Chemical compound N1C(=O)[C@@H](NC(=O)OC(C)(C)C)CNC2=CC=CC=C21 NETWMZIHMUWUMS-NSHDSACASA-N 0.000 description 3
- STPHEUUFTOGKNY-JTQLQIEISA-N tert-butyl n-[(3s)-4-oxo-3,5-dihydro-2h-1,5-benzoxazepin-3-yl]carbamate Chemical compound N1C(=O)[C@@H](NC(=O)OC(C)(C)C)COC2=CC=CC=C21 STPHEUUFTOGKNY-JTQLQIEISA-N 0.000 description 3
- NZKDTPNXUCRRTP-ZDUSSCGKSA-N tert-butyl n-[(3s)-5-methyl-3-[(2-methylpropan-2-yl)oxycarbonylamino]-4-oxo-2,3-dihydro-1,5-benzoxazepin-7-yl]carbamate Chemical compound O1C[C@H](NC(=O)OC(C)(C)C)C(=O)N(C)C2=CC(NC(=O)OC(C)(C)C)=CC=C21 NZKDTPNXUCRRTP-ZDUSSCGKSA-N 0.000 description 3
- BWMUFYSCJIEIBJ-JTQLQIEISA-N tert-butyl n-[(3s)-5-methyl-4-oxo-2,3-dihydro-1,5-benzoxazepin-3-yl]carbamate Chemical compound O1C[C@H](NC(=O)OC(C)(C)C)C(=O)N(C)C2=CC=CC=C21 BWMUFYSCJIEIBJ-JTQLQIEISA-N 0.000 description 3
- CLHGQUZDVYVQIF-VIFPVBQESA-N tert-butyl n-[(3s)-6,8-difluoro-7-methyl-4-oxo-3,5-dihydro-2h-1,5-benzoxazepin-3-yl]carbamate Chemical compound O1C[C@H](NC(=O)OC(C)(C)C)C(=O)NC2=C(F)C(C)=C(F)C=C21 CLHGQUZDVYVQIF-VIFPVBQESA-N 0.000 description 3
- 238000011200 topical administration Methods 0.000 description 3
- 239000003643 water by type Substances 0.000 description 3
- ATVFTGTXIUDKIZ-YFKPBYRVSA-N (2r)-2-[(2-methylpropan-2-yl)oxycarbonylamino]-3-sulfanylpropanoic acid Chemical compound CC(C)(C)OC(=O)N[C@@H](CS)C(O)=O ATVFTGTXIUDKIZ-YFKPBYRVSA-N 0.000 description 2
- GKFILFXKODKESN-JTQLQIEISA-N (2s)-3-(2-amino-3,5-difluoro-6-methylphenoxy)-2-[(2-methylpropan-2-yl)oxycarbonylamino]propanoic acid Chemical compound CC1=C(F)C=C(F)C(N)=C1OC[C@H](NC(=O)OC(C)(C)C)C(O)=O GKFILFXKODKESN-JTQLQIEISA-N 0.000 description 2
- BUSNPIQZZMTWJO-VIFPVBQESA-N (2s)-3-(3,5-difluoro-4-methyl-2-nitrophenoxy)-2-[(2-methylpropan-2-yl)oxycarbonylamino]propanoic acid Chemical compound CC1=C(F)C=C(OC[C@H](NC(=O)OC(C)(C)C)C(O)=O)C([N+]([O-])=O)=C1F BUSNPIQZZMTWJO-VIFPVBQESA-N 0.000 description 2
- KRJLRVZLNABMAT-YFKPBYRVSA-N (2s)-3-amino-2-[(2-methylpropan-2-yl)oxycarbonylamino]propanoic acid Chemical compound CC(C)(C)OC(=O)N[C@@H](CN)C(O)=O KRJLRVZLNABMAT-YFKPBYRVSA-N 0.000 description 2
- CVTKHBONQJBXKR-LURJTMIESA-N (3r)-3-amino-3,5-dihydro-2h-1,5-benzothiazepin-4-one Chemical compound N1C(=O)[C@@H](N)CSC2=CC=CC=C21 CVTKHBONQJBXKR-LURJTMIESA-N 0.000 description 2
- DBANTYKXHCHXGU-FJXQXJEOSA-N (3r)-3-amino-5-methyl-2,3-dihydro-1,5-benzothiazepin-4-one;hydrochloride Chemical compound Cl.S1C[C@H](N)C(=O)N(C)C2=CC=CC=C21 DBANTYKXHCHXGU-FJXQXJEOSA-N 0.000 description 2
- PENMTPXIGDXDCH-ZETCQYMHSA-N (3s)-3,7-diamino-5-methyl-2,3-dihydro-1,5-benzoxazepin-4-one Chemical compound O1C[C@H](N)C(=O)N(C)C2=CC(N)=CC=C21 PENMTPXIGDXDCH-ZETCQYMHSA-N 0.000 description 2
- GKRSKDGVZPGOIM-FQEVSTJZSA-N (3s)-3-[(5-benzyl-1,2-oxazole-3-carbonyl)amino]-n-(2-cyanoethyl)-5-methyl-4-oxo-2,3-dihydro-1,5-benzoxazepine-7-carboxamide Chemical compound N([C@H]1COC2=CC=C(C=C2N(C1=O)C)C(=O)NCCC#N)C(=O)C(=NO1)C=C1CC1=CC=CC=C1 GKRSKDGVZPGOIM-FQEVSTJZSA-N 0.000 description 2
- RMKCDKXXFTYREG-VIFPVBQESA-N (3s)-3-amino-1-methyl-4,5-dihydro-3h-1-benzazepin-2-one Chemical compound C1C[C@H](N)C(=O)N(C)C2=CC=CC=C21 RMKCDKXXFTYREG-VIFPVBQESA-N 0.000 description 2
- ZHNDGCJXEHFSRM-LURJTMIESA-N (3s)-3-amino-3,5-dihydro-2h-1,5-benzoxazepin-4-one Chemical compound N1C(=O)[C@@H](N)COC2=CC=CC=C21 ZHNDGCJXEHFSRM-LURJTMIESA-N 0.000 description 2
- RUFPRMFDRJQAFF-VIFPVBQESA-N (3s)-3-amino-5-methyl-8-(5-methyl-1,3,4-oxadiazol-2-yl)-2,3-dihydro-1,5-benzoxazepin-4-one Chemical compound O=C([C@@H](N)COC1=C2)N(C)C1=CC=C2C1=NN=C(C)O1 RUFPRMFDRJQAFF-VIFPVBQESA-N 0.000 description 2
- XMFUUKPIHRRRDU-LBPRGKRZSA-N (3s)-3-amino-7-(4,4,5,5-tetramethyl-1,3,2-dioxaborolan-2-yl)-1,3,4,5-tetrahydro-1-benzazepin-2-one Chemical compound O1C(C)(C)C(C)(C)OB1C1=CC=C(NC(=O)[C@@H](N)CC2)C2=C1 XMFUUKPIHRRRDU-LBPRGKRZSA-N 0.000 description 2
- WECCYNVUKXMXDE-ZETCQYMHSA-N (3s)-3-amino-7-bromo-5-methyl-2,3-dihydro-1,5-benzoxazepin-4-one Chemical compound O1C[C@H](N)C(=O)N(C)C2=CC(Br)=CC=C21 WECCYNVUKXMXDE-ZETCQYMHSA-N 0.000 description 2
- 125000006582 (C5-C6) heterocycloalkyl group Chemical group 0.000 description 2
- KZPYGQFFRCFCPP-UHFFFAOYSA-N 1,1'-bis(diphenylphosphino)ferrocene Chemical compound [Fe+2].C1=CC=C[C-]1P(C=1C=CC=CC=1)C1=CC=CC=C1.C1=CC=C[C-]1P(C=1C=CC=CC=1)C1=CC=CC=C1 KZPYGQFFRCFCPP-UHFFFAOYSA-N 0.000 description 2
- NDQXKKFRNOPRDW-UHFFFAOYSA-N 1,1,1-triethoxyethane Chemical compound CCOC(C)(OCC)OCC NDQXKKFRNOPRDW-UHFFFAOYSA-N 0.000 description 2
- LKYNGTHMKCTTQC-UHFFFAOYSA-N 1,2-oxazole-3-carboxamide Chemical compound NC(=O)C=1C=CON=1 LKYNGTHMKCTTQC-UHFFFAOYSA-N 0.000 description 2
- OCVQTKVLCRLWAY-UHFFFAOYSA-N 1,3,5-trifluoro-2-methyl-4-nitrobenzene Chemical compound CC1=C(F)C=C(F)C([N+]([O-])=O)=C1F OCVQTKVLCRLWAY-UHFFFAOYSA-N 0.000 description 2
- SXDSJKZTQQFPFL-UHFFFAOYSA-N 1-[(3-fluorophenyl)methyl]imidazole-4-carboxylic acid Chemical compound C1=NC(C(=O)O)=CN1CC1=CC=CC(F)=C1 SXDSJKZTQQFPFL-UHFFFAOYSA-N 0.000 description 2
- XHLHPRDBBAGVEG-UHFFFAOYSA-N 1-tetralone Chemical class C1=CC=C2C(=O)CCCC2=C1 XHLHPRDBBAGVEG-UHFFFAOYSA-N 0.000 description 2
- IXUWFANOYXQACD-UHFFFAOYSA-N 2-(4-fluoro-3-nitrophenyl)-5-methyl-1,3,4-oxadiazole Chemical compound O1C(C)=NN=C1C1=CC=C(F)C([N+]([O-])=O)=C1 IXUWFANOYXQACD-UHFFFAOYSA-N 0.000 description 2
- FZCVCPONBZDTKF-UHFFFAOYSA-N 2-(4-fluorophenyl)-5-methyl-1,3,4-oxadiazole Chemical compound O1C(C)=NN=C1C1=CC=C(F)C=C1 FZCVCPONBZDTKF-UHFFFAOYSA-N 0.000 description 2
- FCSBSGMKWOPSMX-UHFFFAOYSA-N 2-(thiolan-2-ylsulfinyl)thiolane Chemical compound C1CCSC1S(=O)C1CCCS1 FCSBSGMKWOPSMX-UHFFFAOYSA-N 0.000 description 2
- SULGXWMEEJVIFD-UHFFFAOYSA-N 2-benzyltetrazole-5-carboxylic acid Chemical compound N1=C(C(=O)O)N=NN1CC1=CC=CC=C1 SULGXWMEEJVIFD-UHFFFAOYSA-N 0.000 description 2
- GSLTVFIVJMCNBH-UHFFFAOYSA-N 2-isocyanatopropane Chemical compound CC(C)N=C=O GSLTVFIVJMCNBH-UHFFFAOYSA-N 0.000 description 2
- FPQQSJJWHUJYPU-UHFFFAOYSA-N 3-(dimethylamino)propyliminomethylidene-ethylazanium;chloride Chemical compound Cl.CCN=C=NCCCN(C)C FPQQSJJWHUJYPU-UHFFFAOYSA-N 0.000 description 2
- AUAKXRGQXZRTQC-UHFFFAOYSA-N 3-amino-1,3,4,5-tetrahydro-1-benzazepin-2-one Chemical compound N1C(=O)C(N)CCC2=CC=CC=C21 AUAKXRGQXZRTQC-UHFFFAOYSA-N 0.000 description 2
- QFQXPBASSDNECX-UHFFFAOYSA-N 3-amino-1-methyl-7-(2,2,2-trifluoro-1,1-dihydroxyethyl)-4,5-dihydro-3h-1-benzazepin-2-one Chemical compound C1CC(N)C(=O)N(C)C2=CC=C(C(O)(O)C(F)(F)F)C=C21 QFQXPBASSDNECX-UHFFFAOYSA-N 0.000 description 2
- RPAQJGKCTXWKJI-GGYWPGCISA-N 3-benzyl-n-[(3s)-5-methyl-4-oxo-2,3-dihydro-1,5-benzoxazepin-3-yl]piperidine-1-carboxamide Chemical compound N([C@H]1COC2=CC=CC=C2N(C1=O)C)C(=O)N(C1)CCCC1CC1=CC=CC=C1 RPAQJGKCTXWKJI-GGYWPGCISA-N 0.000 description 2
- SRTFPLRSSPUVPO-ZVAWYAOSSA-N 3-benzyl-n-[(3s)-5-methyl-4-oxo-2,3-dihydro-1,5-benzoxazepin-3-yl]pyrrolidine-1-carboxamide Chemical compound N([C@H]1COC2=CC=CC=C2N(C1=O)C)C(=O)N(C1)CCC1CC1=CC=CC=C1 SRTFPLRSSPUVPO-ZVAWYAOSSA-N 0.000 description 2
- NHQDETIJWKXCTC-UHFFFAOYSA-N 3-chloroperbenzoic acid Chemical compound OOC(=O)C1=CC=CC(Cl)=C1 NHQDETIJWKXCTC-UHFFFAOYSA-N 0.000 description 2
- SSQCOKYODRYBCD-UHFFFAOYSA-N 3-iodo-1,3,4,5-tetrahydro-1-benzazepin-2-one Chemical compound N1C(=O)C(I)CCC2=CC=CC=C21 SSQCOKYODRYBCD-UHFFFAOYSA-N 0.000 description 2
- NIGDWBHWHVHOAD-UHFFFAOYSA-N 4,6-dichloropyrimidin-5-amine Chemical compound NC1=C(Cl)N=CN=C1Cl NIGDWBHWHVHOAD-UHFFFAOYSA-N 0.000 description 2
- VHYFNPMBLIVWCW-UHFFFAOYSA-N 4-Dimethylaminopyridine Chemical compound CN(C)C1=CC=NC=C1 VHYFNPMBLIVWCW-UHFFFAOYSA-N 0.000 description 2
- YYROPELSRYBVMQ-UHFFFAOYSA-N 4-toluenesulfonyl chloride Chemical compound CC1=CC=C(S(Cl)(=O)=O)C=C1 YYROPELSRYBVMQ-UHFFFAOYSA-N 0.000 description 2
- IRJNZLGUNMKGOG-UHFFFAOYSA-N 5-[(3-fluorophenyl)methyl]-1h-1,2,4-triazole-3-carboxylic acid Chemical compound OC(=O)C1=NNC(CC=2C=C(F)C=CC=2)=N1 IRJNZLGUNMKGOG-UHFFFAOYSA-N 0.000 description 2
- VWSOGTFMQASGOB-UHFFFAOYSA-N 5-[(4-chlorophenyl)methyl]-1,2-oxazole-3-carboxylic acid Chemical compound O1N=C(C(=O)O)C=C1CC1=CC=C(Cl)C=C1 VWSOGTFMQASGOB-UHFFFAOYSA-N 0.000 description 2
- BEWDZECYRLIWRS-UHFFFAOYSA-N 5-[(4-fluorophenyl)methyl]-1h-pyrazole-3-carboxylic acid Chemical compound N1N=C(C(=O)O)C=C1CC1=CC=C(F)C=C1 BEWDZECYRLIWRS-UHFFFAOYSA-N 0.000 description 2
- OUTUIBUQJDQMKU-UHFFFAOYSA-N 5-[(n-methylanilino)methyl]-1h-pyrazole-3-carboxylic acid Chemical compound C=1C=CC=CC=1N(C)CC1=CC(C(O)=O)=NN1 OUTUIBUQJDQMKU-UHFFFAOYSA-N 0.000 description 2
- WTZOKLZJHWSCBN-UHFFFAOYSA-N 5-benzyl-1h-1,2,4-triazole-3-carboxylic acid Chemical compound OC(=O)C1=NNC(CC=2C=CC=CC=2)=N1 WTZOKLZJHWSCBN-UHFFFAOYSA-N 0.000 description 2
- YYEOXPLPYNYVRY-UHFFFAOYSA-N 5-benzyl-1h-pyrazole-3-carboxylic acid Chemical class N1N=C(C(=O)O)C=C1CC1=CC=CC=C1 YYEOXPLPYNYVRY-UHFFFAOYSA-N 0.000 description 2
- CATNMIXFSDYZHA-UHFFFAOYSA-N 5-benzyl-n-(1-hydroxy-5-methyl-4-oxo-3,5-dihydro-2h-1-benzazepin-3-yl)-1,2-oxazole-3-carboxamide Chemical compound O=C1C(C)C2=CC=CC=C2N(O)CC1NC(=O)C(=NO1)C=C1CC1=CC=CC=C1 CATNMIXFSDYZHA-UHFFFAOYSA-N 0.000 description 2
- MPSLQYSWBBUEGZ-UHFFFAOYSA-N 5-benzyl-n-(7-bromo-2-oxo-1,3,4,5-tetrahydro-1-benzazepin-3-yl)-1h-1,2,4-triazole-3-carboxamide Chemical compound C1CC2=CC(Br)=CC=C2NC(=O)C1NC(=O)C(N=1)=NNC=1CC1=CC=CC=C1 MPSLQYSWBBUEGZ-UHFFFAOYSA-N 0.000 description 2
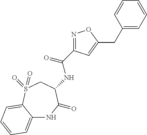
- SIAXWGAPJQURGY-KRWDZBQOSA-N 5-benzyl-n-[(3r)-5-methyl-1,1,4-trioxo-2,3-dihydro-1$l^{6},5-benzothiazepin-3-yl]-1,2-oxazole-3-carboxamide Chemical compound N([C@H]1CS(=O)(=O)C2=CC=CC=C2N(C1=O)C)C(=O)C(=NO1)C=C1CC1=CC=CC=C1 SIAXWGAPJQURGY-KRWDZBQOSA-N 0.000 description 2
- RZTNZDRSKNCFGE-FQEVSTJZSA-N 5-benzyl-n-[(3s)-2-oxo-7-(4,4,5,5-tetramethyl-1,3,2-dioxaborolan-2-yl)-1,3,4,5-tetrahydro-1-benzazepin-3-yl]-1h-1,2,4-triazole-3-carboxamide Chemical compound O1C(C)(C)C(C)(C)OB1C1=CC=C(NC(=O)[C@H](CC2)NC(=O)C=3N=C(CC=4C=CC=CC=4)NN=3)C2=C1 RZTNZDRSKNCFGE-FQEVSTJZSA-N 0.000 description 2
- LDTKVTJOABCZHG-NRFANRHFSA-N 5-benzyl-n-[(3s)-2-oxo-8-(4,4,5,5-tetramethyl-1,3,2-dioxaborolan-2-yl)-1,3,4,5-tetrahydro-1-benzazepin-3-yl]-1h-pyrazole-3-carboxamide Chemical compound O1C(C)(C)C(C)(C)OB1C1=CC=C(CC[C@H](NC(=O)C2=NNC(CC=3C=CC=CC=3)=C2)C(=O)N2)C2=C1 LDTKVTJOABCZHG-NRFANRHFSA-N 0.000 description 2
- PHOPMGUUMJWWGE-KRWDZBQOSA-N 5-benzyl-n-[(3s)-5-methyl-4-oxo-7-(2h-tetrazol-5-yl)-2,3-dihydro-1,5-benzoxazepin-3-yl]-1,2-oxazole-3-carboxamide Chemical compound N([C@H]1COC2=CC=C(C=C2N(C1=O)C)C1=NNN=N1)C(=O)C(=NO1)C=C1CC1=CC=CC=C1 PHOPMGUUMJWWGE-KRWDZBQOSA-N 0.000 description 2
- GLVFKKKPHFVVDC-FQEVSTJZSA-N 5-benzyl-n-[(3s)-7-[1-(2-cyanoethyl)tetrazol-5-yl]-5-methyl-4-oxo-2,3-dihydro-1,5-benzoxazepin-3-yl]-1,2-oxazole-3-carboxamide Chemical compound N([C@H]1COC2=CC=C(C=C2N(C1=O)C)C=1N(N=NN=1)CCC#N)C(=O)C(=NO1)C=C1CC1=CC=CC=C1 GLVFKKKPHFVVDC-FQEVSTJZSA-N 0.000 description 2
- DZLDCMDBRVUWCQ-KRWDZBQOSA-N 5-benzyl-n-[(3s)-8-hydroxy-4-oxo-3,5-dihydro-2h-1,5-benzoxazepin-3-yl]-1,2-oxazole-3-carboxamide Chemical compound N([C@@H]1C(=O)NC2=CC=C(C=C2OC1)O)C(=O)C(=NO1)C=C1CC1=CC=CC=C1 DZLDCMDBRVUWCQ-KRWDZBQOSA-N 0.000 description 2
- IVYAPCQMEXZKBT-UHFFFAOYSA-N 5-methyl-1-[(4-methylphenyl)methyl]pyrazole-3-carboxylic acid Chemical compound CC1=CC(C(O)=O)=NN1CC1=CC=C(C)C=C1 IVYAPCQMEXZKBT-UHFFFAOYSA-N 0.000 description 2
- 125000006164 6-membered heteroaryl group Chemical group 0.000 description 2
- UWDHZOBBNJDJQH-UHFFFAOYSA-N 7-chloro-9-fluoro-1,3,4,5-tetrahydro-1-benzazepin-2-one Chemical compound C1CCC(=O)NC2=C1C=C(Cl)C=C2F UWDHZOBBNJDJQH-UHFFFAOYSA-N 0.000 description 2
- 208000009304 Acute Kidney Injury Diseases 0.000 description 2
- CIWBSHSKHKDKBQ-JLAZNSOCSA-N Ascorbic acid Chemical compound OC[C@H](O)[C@H]1OC(=O)C(O)=C1O CIWBSHSKHKDKBQ-JLAZNSOCSA-N 0.000 description 2
- 108091008875 B cell receptors Proteins 0.000 description 2
- 229910015845 BBr3 Inorganic materials 0.000 description 2
- DOOPBMSFMSCQTE-HNNXBMFYSA-N CC(C)(C)OC(=O)N[C@H]1CCc2ccc(cc2NC1=O)B1OC(C)(C)C(C)(C)O1 Chemical compound CC(C)(C)OC(=O)N[C@H]1CCc2ccc(cc2NC1=O)B1OC(C)(C)C(C)(C)O1 DOOPBMSFMSCQTE-HNNXBMFYSA-N 0.000 description 2
- KXDHJXZQYSOELW-UHFFFAOYSA-M Carbamate Chemical compound NC([O-])=O KXDHJXZQYSOELW-UHFFFAOYSA-M 0.000 description 2
- 108010076667 Caspases Proteins 0.000 description 2
- 102000011727 Caspases Human genes 0.000 description 2
- VEXZGXHMUGYJMC-UHFFFAOYSA-M Chloride anion Chemical compound [Cl-] VEXZGXHMUGYJMC-UHFFFAOYSA-M 0.000 description 2
- RYGMFSIKBFXOCR-UHFFFAOYSA-N Copper Chemical compound [Cu] RYGMFSIKBFXOCR-UHFFFAOYSA-N 0.000 description 2
- 229920002261 Corn starch Polymers 0.000 description 2
- CMSMOCZEIVJLDB-UHFFFAOYSA-N Cyclophosphamide Chemical compound ClCCN(CCCl)P1(=O)NCCCO1 CMSMOCZEIVJLDB-UHFFFAOYSA-N 0.000 description 2
- ROSDSFDQCJNGOL-UHFFFAOYSA-N Dimethylamine Chemical compound CNC ROSDSFDQCJNGOL-UHFFFAOYSA-N 0.000 description 2
- 102100026693 FAS-associated death domain protein Human genes 0.000 description 2
- 101000911074 Homo sapiens FAS-associated death domain protein Proteins 0.000 description 2
- UFHFLCQGNIYNRP-UHFFFAOYSA-N Hydrogen Chemical compound [H][H] UFHFLCQGNIYNRP-UHFFFAOYSA-N 0.000 description 2
- 108010065637 Interleukin-23 Proteins 0.000 description 2
- 102000013264 Interleukin-23 Human genes 0.000 description 2
- 102000015696 Interleukins Human genes 0.000 description 2
- 108010063738 Interleukins Proteins 0.000 description 2
- QZRGKCOWNLSUDK-UHFFFAOYSA-N Iodochlorine Chemical compound ICl QZRGKCOWNLSUDK-UHFFFAOYSA-N 0.000 description 2
- 229940122245 Janus kinase inhibitor Drugs 0.000 description 2
- FBOZXECLQNJBKD-ZDUSSCGKSA-N L-methotrexate Chemical compound C=1N=C2N=C(N)N=C(N)C2=NC=1CN(C)C1=CC=C(C(=O)N[C@@H](CCC(O)=O)C(O)=O)C=C1 FBOZXECLQNJBKD-ZDUSSCGKSA-N 0.000 description 2
- 206010024305 Leukaemia monocytic Diseases 0.000 description 2
- 241000124008 Mammalia Species 0.000 description 2
- 229920000168 Microcrystalline cellulose Polymers 0.000 description 2
- 229920000881 Modified starch Polymers 0.000 description 2
- YNAVUWVOSKDBBP-UHFFFAOYSA-N Morpholine Chemical compound C1COCCN1 YNAVUWVOSKDBBP-UHFFFAOYSA-N 0.000 description 2
- 241000699666 Mus <mouse, genus> Species 0.000 description 2
- WHNWPMSKXPGLAX-UHFFFAOYSA-N N-Vinyl-2-pyrrolidone Chemical compound C=CN1CCCC1=O WHNWPMSKXPGLAX-UHFFFAOYSA-N 0.000 description 2
- AFBPFSWMIHJQDM-UHFFFAOYSA-N N-methylaniline Chemical compound CNC1=CC=CC=C1 AFBPFSWMIHJQDM-UHFFFAOYSA-N 0.000 description 2
- PXHVJJICTQNCMI-UHFFFAOYSA-N Nickel Chemical compound [Ni] PXHVJJICTQNCMI-UHFFFAOYSA-N 0.000 description 2
- GRYLNZFGIOXLOG-UHFFFAOYSA-N Nitric acid Chemical compound O[N+]([O-])=O GRYLNZFGIOXLOG-UHFFFAOYSA-N 0.000 description 2
- 229910002666 PdCl2 Inorganic materials 0.000 description 2
- 108091000080 Phosphotransferase Proteins 0.000 description 2
- LOUPRKONTZGTKE-WZBLMQSHSA-N Quinine Chemical compound C([C@H]([C@H](C1)C=C)C2)C[N@@]1[C@@H]2[C@H](O)C1=CC=NC2=CC=C(OC)C=C21 LOUPRKONTZGTKE-WZBLMQSHSA-N 0.000 description 2
- SMWDFEZZVXVKRB-UHFFFAOYSA-N Quinoline Chemical compound N1=CC=CC2=CC=CC=C21 SMWDFEZZVXVKRB-UHFFFAOYSA-N 0.000 description 2
- 208000033626 Renal failure acute Diseases 0.000 description 2
- KEAYESYHFKHZAL-UHFFFAOYSA-N Sodium Chemical compound [Na] KEAYESYHFKHZAL-UHFFFAOYSA-N 0.000 description 2
- VMHLLURERBWHNL-UHFFFAOYSA-M Sodium acetate Chemical compound [Na+].CC([O-])=O VMHLLURERBWHNL-UHFFFAOYSA-M 0.000 description 2
- FAPWRFPIFSIZLT-UHFFFAOYSA-M Sodium chloride Chemical compound [Na+].[Cl-] FAPWRFPIFSIZLT-UHFFFAOYSA-M 0.000 description 2
- 240000006394 Sorghum bicolor Species 0.000 description 2
- 229920002472 Starch Polymers 0.000 description 2
- 108091008874 T cell receptors Proteins 0.000 description 2
- 210000001744 T-lymphocyte Anatomy 0.000 description 2
- 239000004012 Tofacitinib Substances 0.000 description 2
- 208000030886 Traumatic Brain injury Diseases 0.000 description 2
- 102100040247 Tumor necrosis factor Human genes 0.000 description 2
- HRFZMWDXVRQGNV-KRWDZBQOSA-N [(3s)-3-[(5-benzyl-1h-pyrazole-3-carbonyl)amino]-2-oxo-1,3,4,5-tetrahydro-1-benzazepin-8-yl]boronic acid Chemical compound N([C@H]1CCC2=CC=C(C=C2NC1=O)B(O)O)C(=O)C(=NN1)C=C1CC1=CC=CC=C1 HRFZMWDXVRQGNV-KRWDZBQOSA-N 0.000 description 2
- JVFVLOSUPASGFW-UHFFFAOYSA-N [(6-chloro-8-fluoro-3,4-dihydro-2H-naphthalen-1-ylidene)amino] 4-methylbenzenesulfonate Chemical compound S(=O)(=O)(C1=CC=C(C)C=C1)ON=C1CCCC2=CC(=CC(=C12)F)Cl JVFVLOSUPASGFW-UHFFFAOYSA-N 0.000 description 2
- 229960003697 abatacept Drugs 0.000 description 2
- ODHCTXKNWHHXJC-UHFFFAOYSA-N acide pyroglutamique Natural products OC(=O)C1CCC(=O)N1 ODHCTXKNWHHXJC-UHFFFAOYSA-N 0.000 description 2
- 229940119059 actemra Drugs 0.000 description 2
- 201000011040 acute kidney failure Diseases 0.000 description 2
- 235000010443 alginic acid Nutrition 0.000 description 2
- 239000000783 alginic acid Substances 0.000 description 2
- 229920000615 alginic acid Polymers 0.000 description 2
- 229960001126 alginic acid Drugs 0.000 description 2
- 150000004781 alginic acids Chemical class 0.000 description 2
- 238000004458 analytical method Methods 0.000 description 2
- 238000003782 apoptosis assay Methods 0.000 description 2
- 229940094361 arcalyst Drugs 0.000 description 2
- LMEKQMALGUDUQG-UHFFFAOYSA-N azathioprine Chemical compound CN1C=NC([N+]([O-])=O)=C1SC1=NC=NC2=C1NC=N2 LMEKQMALGUDUQG-UHFFFAOYSA-N 0.000 description 2
- 229960002170 azathioprine Drugs 0.000 description 2
- 125000002393 azetidinyl group Chemical group 0.000 description 2
- 229960003270 belimumab Drugs 0.000 description 2
- 229940022836 benlysta Drugs 0.000 description 2
- 125000003785 benzimidazolyl group Chemical group N1=C(NC2=C1C=CC=C2)* 0.000 description 2
- 125000000499 benzofuranyl group Chemical group O1C(=CC2=C1C=CC=C2)* 0.000 description 2
- 125000001164 benzothiazolyl group Chemical group S1C(=NC2=C1C=CC=C2)* 0.000 description 2
- 125000004196 benzothienyl group Chemical group S1C(=CC2=C1C=CC=C2)* 0.000 description 2
- 125000003354 benzotriazolyl group Chemical group N1N=NC2=C1C=CC=C2* 0.000 description 2
- 125000004541 benzoxazolyl group Chemical group O1C(=NC2=C1C=CC=C2)* 0.000 description 2
- 125000001797 benzyl group Chemical group [H]C1=C([H])C([H])=C(C([H])=C1[H])C([H])([H])* 0.000 description 2
- AGSPXMVUFBBBMO-UHFFFAOYSA-N beta-aminopropionitrile Chemical compound NCCC#N AGSPXMVUFBBBMO-UHFFFAOYSA-N 0.000 description 2
- IPWKHHSGDUIRAH-UHFFFAOYSA-N bis(pinacolato)diboron Chemical compound O1C(C)(C)C(C)(C)OB1B1OC(C)(C)C(C)(C)O1 IPWKHHSGDUIRAH-UHFFFAOYSA-N 0.000 description 2
- 238000009835 boiling Methods 0.000 description 2
- 208000029028 brain injury Diseases 0.000 description 2
- 210000005013 brain tissue Anatomy 0.000 description 2
- UQDREABLTVNPEL-UHFFFAOYSA-N butyl 4-butoxypyridine-2-carboxylate Chemical compound CCCCOC(=O)C1=CC(OCCCC)=CC=N1 UQDREABLTVNPEL-UHFFFAOYSA-N 0.000 description 2
- OSGAYBCDTDRGGQ-UHFFFAOYSA-L calcium sulfate Chemical compound [Ca+2].[O-]S([O-])(=O)=O OSGAYBCDTDRGGQ-UHFFFAOYSA-L 0.000 description 2
- 229960001838 canakinumab Drugs 0.000 description 2
- 150000001732 carboxylic acid derivatives Chemical class 0.000 description 2
- 239000003054 catalyst Substances 0.000 description 2
- 230000005754 cellular signaling Effects 0.000 description 2
- 239000001913 cellulose Substances 0.000 description 2
- 235000010980 cellulose Nutrition 0.000 description 2
- 229920002678 cellulose Polymers 0.000 description 2
- 230000008859 change Effects 0.000 description 2
- 125000000259 cinnolinyl group Chemical group N1=NC(=CC2=CC=CC=C12)* 0.000 description 2
- 239000012230 colorless oil Substances 0.000 description 2
- 238000007796 conventional method Methods 0.000 description 2
- 229910052802 copper Inorganic materials 0.000 description 2
- 239000010949 copper Substances 0.000 description 2
- 239000008120 corn starch Substances 0.000 description 2
- 239000003246 corticosteroid Substances 0.000 description 2
- 229960001334 corticosteroids Drugs 0.000 description 2
- 239000006184 cosolvent Substances 0.000 description 2
- 239000013078 crystal Substances 0.000 description 2
- 238000002425 crystallisation Methods 0.000 description 2
- 230000008025 crystallization Effects 0.000 description 2
- 125000001995 cyclobutyl group Chemical group [H]C1([H])C([H])([H])C([H])(*)C1([H])[H] 0.000 description 2
- 229960004397 cyclophosphamide Drugs 0.000 description 2
- 230000016396 cytokine production Effects 0.000 description 2
- 229940027008 deltasone Drugs 0.000 description 2
- 229910052805 deuterium Inorganic materials 0.000 description 2
- 125000004431 deuterium atom Chemical group 0.000 description 2
- 238000011161 development Methods 0.000 description 2
- WYACBZDAHNBPPB-UHFFFAOYSA-N diethyl oxalate Chemical compound CCOC(=O)C(=O)OCC WYACBZDAHNBPPB-UHFFFAOYSA-N 0.000 description 2
- MKRTXPORKIRPDG-UHFFFAOYSA-N diphenylphosphoryl azide Chemical compound C=1C=CC=CC=1P(=O)(N=[N+]=[N-])C1=CC=CC=C1 MKRTXPORKIRPDG-UHFFFAOYSA-N 0.000 description 2
- 238000010828 elution Methods 0.000 description 2
- XBRDBODLCHKXHI-UHFFFAOYSA-N epolamine Chemical compound OCCN1CCCC1 XBRDBODLCHKXHI-UHFFFAOYSA-N 0.000 description 2
- 229950009760 epratuzumab Drugs 0.000 description 2
- CCIVGXIOQKPBKL-UHFFFAOYSA-M ethanesulfonate Chemical compound CCS([O-])(=O)=O CCIVGXIOQKPBKL-UHFFFAOYSA-M 0.000 description 2
- WNMMKCWUDGKINQ-UHFFFAOYSA-N ethyl (2e)-2-amino-2-[[2-(3-fluorophenyl)acetyl]hydrazinylidene]acetate Chemical compound CCOC(=O)C(\N)=N/NC(=O)CC1=CC=CC(F)=C1 WNMMKCWUDGKINQ-UHFFFAOYSA-N 0.000 description 2
- IMCHLXPYLSAOPD-UHFFFAOYSA-N ethyl 1-acetyl-5-(bromomethyl)pyrazole-3-carboxylate Chemical compound CCOC(=O)C=1C=C(CBr)N(C(C)=O)N=1 IMCHLXPYLSAOPD-UHFFFAOYSA-N 0.000 description 2
- XRWISRXNQGSXRJ-UHFFFAOYSA-N ethyl 1-acetyl-5-[(n-methylanilino)methyl]pyrazole-3-carboxylate Chemical compound CC(=O)N1N=C(C(=O)OCC)C=C1CN(C)C1=CC=CC=C1 XRWISRXNQGSXRJ-UHFFFAOYSA-N 0.000 description 2
- JPNDXJLHRNVUHY-UHFFFAOYSA-N ethyl 5-(4-fluorophenyl)-2,4-dioxopentanoate Chemical compound CCOC(=O)C(=O)CC(=O)CC1=CC=C(F)C=C1 JPNDXJLHRNVUHY-UHFFFAOYSA-N 0.000 description 2
- BHHJUFBWXKMGFO-UHFFFAOYSA-N ethyl 5-[(3-fluorophenyl)methyl]-1h-1,2,4-triazole-3-carboxylate Chemical compound CCOC(=O)C1=NNC(CC=2C=C(F)C=CC=2)=N1 BHHJUFBWXKMGFO-UHFFFAOYSA-N 0.000 description 2
- YVPZRLZNGCSAIH-UHFFFAOYSA-N ethyl 5-[difluoro(phenyl)methyl]-1,2-oxazole-3-carboxylate Chemical compound O1N=C(C(=O)OCC)C=C1C(F)(F)C1=CC=CC=C1 YVPZRLZNGCSAIH-UHFFFAOYSA-N 0.000 description 2
- GBGMRACAYBETBI-UHFFFAOYSA-N ethyl 5-benzoyl-1,2-oxazole-3-carboxylate Chemical compound O1N=C(C(=O)OCC)C=C1C(=O)C1=CC=CC=C1 GBGMRACAYBETBI-UHFFFAOYSA-N 0.000 description 2
- BOTXQJAHRCGJEG-UHFFFAOYSA-N ethyl 5-methyl-1h-pyrazole-3-carboxylate Chemical compound CCOC(=O)C=1C=C(C)NN=1 BOTXQJAHRCGJEG-UHFFFAOYSA-N 0.000 description 2
- OPYRTVDEVNUYOC-UHFFFAOYSA-N ethyl 5-methyl-2-[(4-methylphenyl)methyl]pyrazole-3-carboxylate Chemical compound CCOC(=O)C1=CC(C)=NN1CC1=CC=C(C)C=C1 OPYRTVDEVNUYOC-UHFFFAOYSA-N 0.000 description 2
- 239000000796 flavoring agent Substances 0.000 description 2
- 238000010438 heat treatment Methods 0.000 description 2
- IKDUDTNKRLTJSI-UHFFFAOYSA-N hydrazine hydrate Chemical compound O.NN IKDUDTNKRLTJSI-UHFFFAOYSA-N 0.000 description 2
- 235000011167 hydrochloric acid Nutrition 0.000 description 2
- 150000003840 hydrochlorides Chemical class 0.000 description 2
- 229910052739 hydrogen Inorganic materials 0.000 description 2
- 239000001257 hydrogen Substances 0.000 description 2
- 125000004435 hydrogen atom Chemical group [H]* 0.000 description 2
- 230000007062 hydrolysis Effects 0.000 description 2
- 238000006460 hydrolysis reaction Methods 0.000 description 2
- 229940071829 ilaris Drugs 0.000 description 2
- 125000004857 imidazopyridinyl group Chemical group N1C(=NC2=C1C=CC=N2)* 0.000 description 2
- 239000012535 impurity Substances 0.000 description 2
- 125000003453 indazolyl group Chemical group N1N=C(C2=C1C=CC=C2)* 0.000 description 2
- 125000003406 indolizinyl group Chemical group C=1(C=CN2C=CC=CC12)* 0.000 description 2
- 125000001041 indolyl group Chemical group 0.000 description 2
- 238000001802 infusion Methods 0.000 description 2
- 239000004615 ingredient Substances 0.000 description 2
- 230000002401 inhibitory effect Effects 0.000 description 2
- 238000002347 injection Methods 0.000 description 2
- 239000007924 injection Substances 0.000 description 2
- 150000007529 inorganic bases Chemical class 0.000 description 2
- 229940047122 interleukins Drugs 0.000 description 2
- 125000002346 iodo group Chemical group I* 0.000 description 2
- 230000000302 ischemic effect Effects 0.000 description 2
- SUMDYPCJJOFFON-UHFFFAOYSA-N isethionic acid Chemical compound OCCS(O)(=O)=O SUMDYPCJJOFFON-UHFFFAOYSA-N 0.000 description 2
- 125000000904 isoindolyl group Chemical group C=1(NC=C2C=CC=CC12)* 0.000 description 2
- 125000001449 isopropyl group Chemical group [H]C([H])([H])C([H])(*)C([H])([H])[H] 0.000 description 2
- 125000001786 isothiazolyl group Chemical group 0.000 description 2
- 210000003734 kidney Anatomy 0.000 description 2
- 238000011813 knockout mouse model Methods 0.000 description 2
- 210000005228 liver tissue Anatomy 0.000 description 2
- HQKMJHAJHXVSDF-UHFFFAOYSA-L magnesium stearate Chemical compound [Mg+2].CCCCCCCCCCCCCCCCCC([O-])=O.CCCCCCCCCCCCCCCCCC([O-])=O HQKMJHAJHXVSDF-UHFFFAOYSA-L 0.000 description 2
- GLVAUDGFNGKCSF-UHFFFAOYSA-N mercaptopurine Chemical compound S=C1NC=NC2=C1NC=N2 GLVAUDGFNGKCSF-UHFFFAOYSA-N 0.000 description 2
- 229940098779 methanesulfonic acid Drugs 0.000 description 2
- 229960000485 methotrexate Drugs 0.000 description 2
- ILFOXMAFSAOVQO-UHFFFAOYSA-N methyl 5-(4-chlorophenyl)-2,4-dioxopentanoate Chemical compound COC(=O)C(=O)CC(=O)CC1=CC=C(Cl)C=C1 ILFOXMAFSAOVQO-UHFFFAOYSA-N 0.000 description 2
- QPVNKLDTDFBFDY-UHFFFAOYSA-N methyl 5-[(4-chlorophenyl)methyl]-1,2-oxazole-3-carboxylate Chemical compound O1N=C(C(=O)OC)C=C1CC1=CC=C(Cl)C=C1 QPVNKLDTDFBFDY-UHFFFAOYSA-N 0.000 description 2
- UAEPNZWRGJTJPN-UHFFFAOYSA-N methylcyclohexane Chemical compound CC1CCCCC1 UAEPNZWRGJTJPN-UHFFFAOYSA-N 0.000 description 2
- HPNSFSBZBAHARI-UHFFFAOYSA-N micophenolic acid Natural products OC1=C(CC=C(C)CCC(O)=O)C(OC)=C(C)C2=C1C(=O)OC2 HPNSFSBZBAHARI-UHFFFAOYSA-N 0.000 description 2
- 229940016286 microcrystalline cellulose Drugs 0.000 description 2
- 239000008108 microcrystalline cellulose Substances 0.000 description 2
- 235000019813 microcrystalline cellulose Nutrition 0.000 description 2
- 150000007522 mineralic acids Chemical class 0.000 description 2
- 230000000116 mitigating effect Effects 0.000 description 2
- 201000006894 monocytic leukemia Diseases 0.000 description 2
- PXOMPNKQCRXXQC-UHFFFAOYSA-N n-(6-chloro-8-fluoro-3,4-dihydro-2h-naphthalen-1-ylidene)hydroxylamine Chemical compound ClC1=CC(F)=C2C(=NO)CCCC2=C1 PXOMPNKQCRXXQC-UHFFFAOYSA-N 0.000 description 2
- IIZWFTNGDCXXNB-IBGZPJMESA-N n-[(3s)-7-acetamido-5-methyl-4-oxo-2,3-dihydro-1,5-benzoxazepin-3-yl]-5-benzyl-1,2-oxazole-3-carboxamide Chemical compound N([C@H]1COC2=CC=C(NC(C)=O)C=C2N(C1=O)C)C(=O)C(=NO1)C=C1CC1=CC=CC=C1 IIZWFTNGDCXXNB-IBGZPJMESA-N 0.000 description 2
- 229960005027 natalizumab Drugs 0.000 description 2
- 230000003589 nefrotoxic effect Effects 0.000 description 2
- 231100000381 nephrotoxic Toxicity 0.000 description 2
- 229910017604 nitric acid Inorganic materials 0.000 description 2
- 125000001400 nonyl group Chemical group [H]C([*])([H])C([H])([H])C([H])([H])C([H])([H])C([H])([H])C([H])([H])C([H])([H])C([H])([H])C([H])([H])[H] 0.000 description 2
- QIQXTHQIDYTFRH-UHFFFAOYSA-N octadecanoic acid Chemical compound CCCCCCCCCCCCCCCCCC(O)=O QIQXTHQIDYTFRH-UHFFFAOYSA-N 0.000 description 2
- WWZKQHOCKIZLMA-UHFFFAOYSA-M octanoate Chemical compound CCCCCCCC([O-])=O WWZKQHOCKIZLMA-UHFFFAOYSA-M 0.000 description 2
- 229940035567 orencia Drugs 0.000 description 2
- 150000007524 organic acids Chemical class 0.000 description 2
- 125000003566 oxetanyl group Chemical group 0.000 description 2
- PIBWKRNGBLPSSY-UHFFFAOYSA-L palladium(II) chloride Chemical compound Cl[Pd]Cl PIBWKRNGBLPSSY-UHFFFAOYSA-L 0.000 description 2
- 229960005489 paracetamol Drugs 0.000 description 2
- 230000037361 pathway Effects 0.000 description 2
- QCCDLTOVEPVEJK-UHFFFAOYSA-N phenylacetone Chemical class CC(=O)CC1=CC=CC=C1 QCCDLTOVEPVEJK-UHFFFAOYSA-N 0.000 description 2
- 102000020233 phosphotransferase Human genes 0.000 description 2
- 125000004592 phthalazinyl group Chemical group C1(=NN=CC2=CC=CC=C12)* 0.000 description 2
- 125000004193 piperazinyl group Chemical group 0.000 description 2
- 229920001592 potato starch Polymers 0.000 description 2
- 229960004618 prednisone Drugs 0.000 description 2
- 230000002265 prevention Effects 0.000 description 2
- 230000008569 process Effects 0.000 description 2
- 230000005522 programmed cell death Effects 0.000 description 2
- 125000001042 pteridinyl group Chemical group N1=C(N=CC2=NC=CN=C12)* 0.000 description 2
- 125000000561 purinyl group Chemical group N1=C(N=C2N=CNC2=C1)* 0.000 description 2
- 125000003373 pyrazinyl group Chemical group 0.000 description 2
- 125000002098 pyridazinyl group Chemical group 0.000 description 2
- 125000002294 quinazolinyl group Chemical group N1=C(N=CC2=CC=CC=C12)* 0.000 description 2
- 125000001567 quinoxalinyl group Chemical group N1=C(C=NC2=CC=CC=C12)* 0.000 description 2
- 102000005962 receptors Human genes 0.000 description 2
- 108020003175 receptors Proteins 0.000 description 2
- 230000007115 recruitment Effects 0.000 description 2
- 229960001886 rilonacept Drugs 0.000 description 2
- 108010046141 rilonacept Proteins 0.000 description 2
- 238000007363 ring formation reaction Methods 0.000 description 2
- 229960004540 secukinumab Drugs 0.000 description 2
- 229950010077 sifalimumab Drugs 0.000 description 2
- 238000010898 silica gel chromatography Methods 0.000 description 2
- 239000001632 sodium acetate Substances 0.000 description 2
- 235000017281 sodium acetate Nutrition 0.000 description 2
- 235000017557 sodium bicarbonate Nutrition 0.000 description 2
- 239000012312 sodium hydride Substances 0.000 description 2
- JQWHASGSAFIOCM-UHFFFAOYSA-M sodium periodate Chemical compound [Na+].[O-]I(=O)(=O)=O JQWHASGSAFIOCM-UHFFFAOYSA-M 0.000 description 2
- 159000000000 sodium salts Chemical class 0.000 description 2
- 241000894007 species Species 0.000 description 2
- 229940032147 starch Drugs 0.000 description 2
- 239000008107 starch Substances 0.000 description 2
- 235000019698 starch Nutrition 0.000 description 2
- 239000012258 stirred mixture Substances 0.000 description 2
- 238000003786 synthesis reaction Methods 0.000 description 2
- 238000010189 synthetic method Methods 0.000 description 2
- 239000006188 syrup Substances 0.000 description 2
- 235000020357 syrup Nutrition 0.000 description 2
- 238000007910 systemic administration Methods 0.000 description 2
- CBPNZQVSJQDFBE-HGVVHKDOSA-N temsirolimus Chemical compound C1C[C@@H](OC(=O)C(C)(CO)CO)[C@H](OC)C[C@@H]1C[C@@H](C)[C@H]1OC(=O)[C@@H]2CCCCN2C(=O)C(=O)[C@](O)(O2)[C@H](C)CCC2C[C@H](OC)/C(C)=C/C=C/C=C/[C@@H](C)C[C@@H](C)C(=O)[C@H](OC)[C@H](O)/C(C)=C/[C@@H](C)C(=O)C1 CBPNZQVSJQDFBE-HGVVHKDOSA-N 0.000 description 2
- DKBWYAMKNNCKJJ-UHFFFAOYSA-N tert-butyl N-(7-cyano-2-oxo-1,3,4,5-tetrahydro-1-benzazepin-3-yl)carbamate Chemical compound CC(C)(C)OC(=O)NC1CCc2cc(ccc2NC1=O)C#N DKBWYAMKNNCKJJ-UHFFFAOYSA-N 0.000 description 2
- BHKHPHPXCWCFJY-LBPRGKRZSA-N tert-butyl N-[(3S)-5-methyl-8-(5-methyl-1,3,4-oxadiazol-2-yl)-4-oxo-2,3-dihydro-1,5-benzoxazepin-3-yl]carbamate Chemical compound CN1c2ccc(cc2OC[C@H](NC(=O)OC(C)(C)C)C1=O)-c1nnc(C)o1 BHKHPHPXCWCFJY-LBPRGKRZSA-N 0.000 description 2
- YWUGDZHZUVBYAH-JTQLQIEISA-N tert-butyl N-[(3S)-8-(hydrazinecarbonyl)-5-methyl-4-oxo-2,3-dihydro-1,5-benzoxazepin-3-yl]carbamate Chemical compound CN1c2ccc(cc2OC[C@H](NC(=O)OC(C)(C)C)C1=O)C(=O)NN YWUGDZHZUVBYAH-JTQLQIEISA-N 0.000 description 2
- LDTAAXCBEMKKOY-NSHDSACASA-N tert-butyl N-[(3S)-8-bromo-2-oxo-1,3,4,5-tetrahydro-1-benzazepin-3-yl]carbamate Chemical compound CC(C)(C)OC(=O)N[C@H]1CCc2ccc(Br)cc2NC1=O LDTAAXCBEMKKOY-NSHDSACASA-N 0.000 description 2
- LPUCGFJVRVNPFY-NSHDSACASA-N tert-butyl n-[(3s)-1,5-dimethyl-4-oxo-2,3-dihydro-1,5-benzodiazepin-3-yl]carbamate Chemical compound CN1C[C@H](NC(=O)OC(C)(C)C)C(=O)N(C)C2=CC=CC=C12 LPUCGFJVRVNPFY-NSHDSACASA-N 0.000 description 2
- KVSYULVERBQBJN-LBPRGKRZSA-N tert-butyl n-[(3s)-1-methyl-2-oxo-4,5-dihydro-3h-1-benzazepin-3-yl]carbamate Chemical compound C1C[C@H](NC(=O)OC(C)(C)C)C(=O)N(C)C2=CC=CC=C21 KVSYULVERBQBJN-LBPRGKRZSA-N 0.000 description 2
- KMQMLZIXVMSMOI-LBPRGKRZSA-N tert-butyl n-[(3s)-2-oxo-1,3,4,5-tetrahydro-1-benzazepin-3-yl]carbamate Chemical compound N1C(=O)[C@@H](NC(=O)OC(C)(C)C)CCC2=CC=CC=C21 KMQMLZIXVMSMOI-LBPRGKRZSA-N 0.000 description 2
- CFOMOPGZYBSMPZ-LBPRGKRZSA-N tert-butyl n-[(3s)-2-oxo-7-(2h-tetrazol-5-yl)-1,3,4,5-tetrahydro-1-benzazepin-3-yl]carbamate Chemical compound C([C@@H](C(NC1=CC=2)=O)NC(=O)OC(C)(C)C)CC1=CC=2C=1N=NNN=1 CFOMOPGZYBSMPZ-LBPRGKRZSA-N 0.000 description 2
- KGVOCARGRXHBTH-INIZCTEOSA-N tert-butyl n-[(3s)-2-oxo-7-(4,4,5,5-tetramethyl-1,3,2-dioxaborolan-2-yl)-1,3,4,5-tetrahydro-1-benzazepin-3-yl]carbamate Chemical compound C([C@@H](C(NC1=CC=2)=O)NC(=O)OC(C)(C)C)CC1=CC=2B1OC(C)(C)C(C)(C)O1 KGVOCARGRXHBTH-INIZCTEOSA-N 0.000 description 2
- MPNLQKVSCAXVPD-NSHDSACASA-N tert-butyl n-[(3s)-5-methyl-2-oxo-3,4-dihydro-1h-1,5-benzodiazepin-3-yl]carbamate Chemical compound CN1C[C@H](NC(=O)OC(C)(C)C)C(=O)NC2=CC=CC=C12 MPNLQKVSCAXVPD-NSHDSACASA-N 0.000 description 2
- BFGNRTZQQDPCPJ-NSHDSACASA-N tert-butyl n-[(3s)-5-methyl-4-oxo-2,3-dihydro-1h-1,5-benzodiazepin-3-yl]carbamate Chemical compound N1C[C@H](NC(=O)OC(C)(C)C)C(=O)N(C)C2=CC=CC=C21 BFGNRTZQQDPCPJ-NSHDSACASA-N 0.000 description 2
- JDKJEANZTBTCTB-JTQLQIEISA-N tert-butyl n-[(3s)-5-methyl-4-oxo-7-(2-oxo-3h-1,3,4-oxadiazol-5-yl)-2,3-dihydro-1,5-benzoxazepin-3-yl]carbamate Chemical compound O=C([C@@H](NC(=O)OC(C)(C)C)COC1=CC=2)N(C)C1=CC=2C1=NNC(=O)O1 JDKJEANZTBTCTB-JTQLQIEISA-N 0.000 description 2
- PJEZEXXNSRAAAM-ZDUSSCGKSA-N tert-butyl n-[(3s)-7-(2-cyanoethylcarbamoyl)-5-methyl-4-oxo-2,3-dihydro-1,5-benzoxazepin-3-yl]carbamate Chemical compound O1C[C@H](NC(=O)OC(C)(C)C)C(=O)N(C)C2=CC(C(=O)NCCC#N)=CC=C21 PJEZEXXNSRAAAM-ZDUSSCGKSA-N 0.000 description 2
- CVQUMOPEIJQQLI-LBPRGKRZSA-N tert-butyl n-[(3s)-7-(dimethylcarbamoyl)-5-methyl-4-oxo-2,3-dihydro-1,5-benzoxazepin-3-yl]carbamate Chemical compound O1C[C@H](NC(=O)OC(C)(C)C)C(=O)N(C)C2=CC(C(=O)N(C)C)=CC=C21 CVQUMOPEIJQQLI-LBPRGKRZSA-N 0.000 description 2
- AYOZGJIWDZZIEE-ZDUSSCGKSA-N tert-butyl n-[(3s)-7-[1-(2-cyanoethyl)tetrazol-5-yl]-5-methyl-4-oxo-2,3-dihydro-1,5-benzoxazepin-3-yl]carbamate Chemical compound O=C([C@@H](NC(=O)OC(C)(C)C)COC1=CC=2)N(C)C1=CC=2C1=NN=NN1CCC#N AYOZGJIWDZZIEE-ZDUSSCGKSA-N 0.000 description 2
- CIQKQYMWRJCIHQ-LBPRGKRZSA-N tert-butyl n-[(3s)-7-bromo-2-oxo-1,3,4,5-tetrahydro-1-benzazepin-3-yl]carbamate Chemical compound N1C(=O)[C@@H](NC(=O)OC(C)(C)C)CCC2=CC(Br)=CC=C21 CIQKQYMWRJCIHQ-LBPRGKRZSA-N 0.000 description 2
- DDQFSJZMXWTVIB-JTQLQIEISA-N tert-butyl n-[(3s)-7-fluoro-4-oxo-3,5-dihydro-2h-1,5-benzoxazepin-3-yl]carbamate Chemical compound N1C(=O)[C@@H](NC(=O)OC(C)(C)C)COC2=CC=C(F)C=C21 DDQFSJZMXWTVIB-JTQLQIEISA-N 0.000 description 2
- ALGWOQBZTDBKTO-ZETCQYMHSA-N tert-butyl n-[(7s)-4-chloro-5-methyl-6-oxo-8,9-dihydro-7h-pyrimido[4,5-b][1,4]diazepin-7-yl]carbamate Chemical compound N1C[C@H](NC(=O)OC(C)(C)C)C(=O)N(C)C2=C(Cl)N=CN=C21 ALGWOQBZTDBKTO-ZETCQYMHSA-N 0.000 description 2
- ONMPFSDQXXUSEY-QMMMGPOBSA-N tert-butyl n-[(7s)-6-oxo-5,7,8,9-tetrahydropyrimido[4,5-b][1,4]diazepin-7-yl]carbamate Chemical compound N1C(=O)[C@@H](NC(=O)OC(C)(C)C)CNC2=NC=NC=C21 ONMPFSDQXXUSEY-QMMMGPOBSA-N 0.000 description 2
- QFZHRURRWRLHNU-AWEZNQCLSA-N tert-butyl n-methyl-n-[(3s)-5-methyl-3-[(2-methylpropan-2-yl)oxycarbonylamino]-4-oxo-2,3-dihydro-1,5-benzoxazepin-7-yl]carbamate Chemical compound O1C[C@H](NC(=O)OC(C)(C)C)C(=O)N(C)C2=CC(N(C(=O)OC(C)(C)C)C)=CC=C21 QFZHRURRWRLHNU-AWEZNQCLSA-N 0.000 description 2
- VZGDMQKNWNREIO-UHFFFAOYSA-N tetrachloromethane Chemical compound ClC(Cl)(Cl)Cl VZGDMQKNWNREIO-UHFFFAOYSA-N 0.000 description 2
- 125000000147 tetrahydroquinolinyl group Chemical group N1(CCCC2=CC=CC=C12)* 0.000 description 2
- 125000005958 tetrahydrothienyl group Chemical group 0.000 description 2
- 125000004632 tetrahydrothiopyranyl group Chemical group S1C(CCCC1)* 0.000 description 2
- 229940124597 therapeutic agent Drugs 0.000 description 2
- 125000001113 thiadiazolyl group Chemical group 0.000 description 2
- 125000002053 thietanyl group Chemical group 0.000 description 2
- 125000004568 thiomorpholinyl group Chemical group 0.000 description 2
- 210000001519 tissue Anatomy 0.000 description 2
- 229960001350 tofacitinib Drugs 0.000 description 2
- UJLAWZDWDVHWOW-YPMHNXCESA-N tofacitinib Chemical compound C[C@@H]1CCN(C(=O)CC#N)C[C@@H]1N(C)C1=NC=NC2=C1C=CN2 UJLAWZDWDVHWOW-YPMHNXCESA-N 0.000 description 2
- JOXIMZWYDAKGHI-UHFFFAOYSA-N toluene-4-sulfonic acid Chemical compound CC1=CC=C(S(O)(=O)=O)C=C1 JOXIMZWYDAKGHI-UHFFFAOYSA-N 0.000 description 2
- 230000000699 topical effect Effects 0.000 description 2
- 231100000419 toxicity Toxicity 0.000 description 2
- 230000001988 toxicity Effects 0.000 description 2
- VZCYOOQTPOCHFL-UHFFFAOYSA-N trans-butenedioic acid Natural products OC(=O)C=CC(O)=O VZCYOOQTPOCHFL-UHFFFAOYSA-N 0.000 description 2
- 230000009529 traumatic brain injury Effects 0.000 description 2
- 125000004306 triazinyl group Chemical group 0.000 description 2
- 125000000876 trifluoromethoxy group Chemical group FC(F)(F)O* 0.000 description 2
- GETQZCLCWQTVFV-UHFFFAOYSA-N trimethylamine Chemical compound CN(C)C GETQZCLCWQTVFV-UHFFFAOYSA-N 0.000 description 2
- 229940079023 tysabri Drugs 0.000 description 2
- 239000008096 xylene Substances 0.000 description 2
- 150000003738 xylenes Chemical class 0.000 description 2
- LSPHULWDVZXLIL-UHFFFAOYSA-N (+/-)-Camphoric acid Chemical compound CC1(C)C(C(O)=O)CCC1(C)C(O)=O LSPHULWDVZXLIL-UHFFFAOYSA-N 0.000 description 1
- CYPYTURSJDMMMP-WVCUSYJESA-N (1e,4e)-1,5-diphenylpenta-1,4-dien-3-one;palladium Chemical compound [Pd].[Pd].C=1C=CC=CC=1\C=C\C(=O)\C=C\C1=CC=CC=C1.C=1C=CC=CC=1\C=C\C(=O)\C=C\C1=CC=CC=C1.C=1C=CC=CC=1\C=C\C(=O)\C=C\C1=CC=CC=C1 CYPYTURSJDMMMP-WVCUSYJESA-N 0.000 description 1
- CQWNKLXCBXBGGT-JTQLQIEISA-N (2s)-3-(3,5-difluoro-2-methyl-6-nitrophenoxy)-2-[(2-methylpropan-2-yl)oxycarbonylamino]propanoic acid Chemical compound CC1=C(F)C=C(F)C([N+]([O-])=O)=C1OC[C@H](NC(=O)OC(C)(C)C)C(O)=O CQWNKLXCBXBGGT-JTQLQIEISA-N 0.000 description 1
- FFGSZNWQIUHIJA-RGMNGODLSA-N (3R)-3-amino-3,5-dihydro-2H-1,5-benzothiazepin-4-one hydrochloride Chemical compound Cl.N[C@H]1CSc2ccccc2NC1=O FFGSZNWQIUHIJA-RGMNGODLSA-N 0.000 description 1
- XKVHOXGVSNTJDI-QHCPKHFHSA-N (3S)-3-[(5-benzyl-1,2-oxazole-3-carbonyl)amino]-5-methyl-4-oxo-N-(2-pyrrolidin-1-ylethyl)-2,3-dihydro-1,5-benzoxazepine-7-carboxamide Chemical compound CN1C2=C(OC[C@H](NC(=O)C3=NOC(CC4=CC=CC=C4)=C3)C1=O)C=CC(=C2)C(=O)NCCN1CCCC1 XKVHOXGVSNTJDI-QHCPKHFHSA-N 0.000 description 1
- DPWYGQHLESEVNT-FQEVSTJZSA-N (3S)-3-[(5-benzyl-1,2-oxazole-3-carbonyl)amino]-5-methyl-N-(2-methylsulfonylethyl)-4-oxo-2,3-dihydro-1,5-benzoxazepine-7-carboxamide Chemical compound CN1C2=C(OC[C@H](NC(=O)C3=NOC(CC4=CC=CC=C4)=C3)C1=O)C=CC(=C2)C(=O)NCCS(C)(=O)=O DPWYGQHLESEVNT-FQEVSTJZSA-N 0.000 description 1
- QHPTXDDHGFVJCK-ZETCQYMHSA-N (3r)-3-amino-5-methyl-2,3-dihydro-1,5-benzothiazepin-4-one Chemical compound S1C[C@H](N)C(=O)N(C)C2=CC=CC=C21 QHPTXDDHGFVJCK-ZETCQYMHSA-N 0.000 description 1
- MIIUKIYMNWRWKO-SFHVURJKSA-N (3s)-3-[(5-benzyl-1,2-oxazole-3-carbonyl)amino]-5-methyl-n-methylsulfonyl-4-oxo-2,3-dihydro-1,5-benzoxazepine-7-carboxamide Chemical compound N([C@H]1COC2=CC=C(C=C2N(C1=O)C)C(=O)NS(C)(=O)=O)C(=O)C(=NO1)C=C1CC1=CC=CC=C1 MIIUKIYMNWRWKO-SFHVURJKSA-N 0.000 description 1
- IGTIQHRPMQJJCA-IBGZPJMESA-N (3s)-3-[(5-benzyl-1,2-oxazole-3-carbonyl)amino]-n,n,5-trimethyl-4-oxo-2,3-dihydro-1,5-benzoxazepine-7-carboxamide Chemical compound N([C@H]1COC2=CC=C(C=C2N(C)C1=O)C(=O)N(C)C)C(=O)C(=NO1)C=C1CC1=CC=CC=C1 IGTIQHRPMQJJCA-IBGZPJMESA-N 0.000 description 1
- WGQRJYAYYNVCJS-ZETCQYMHSA-N (3s)-3-amino-5-methyl-2,3-dihydro-1,5-benzoxazepin-4-one Chemical compound O1C[C@H](N)C(=O)N(C)C2=CC=CC=C21 WGQRJYAYYNVCJS-ZETCQYMHSA-N 0.000 description 1
- XUXYYNCANORAOF-ZETCQYMHSA-N (3s)-3-amino-5-methyl-2,3-dihydro-1h-1,5-benzodiazepin-4-one Chemical compound N1C[C@H](N)C(=O)N(C)C2=CC=CC=C21 XUXYYNCANORAOF-ZETCQYMHSA-N 0.000 description 1
- RYYSHBGYRGLJQA-ZETCQYMHSA-N (3s)-3-amino-5-methyl-3,4-dihydro-1h-1,5-benzodiazepin-2-one Chemical compound CN1C[C@H](N)C(=O)NC2=CC=CC=C12 RYYSHBGYRGLJQA-ZETCQYMHSA-N 0.000 description 1
- ULACCPSUZGGAHS-VIFPVBQESA-N (3s)-3-amino-5-methyl-7-(1h-pyrazol-5-yl)-2,3-dihydro-1,5-benzoxazepin-4-one Chemical compound O=C([C@@H](N)COC1=CC=2)N(C)C1=CC=2C1=CC=NN1 ULACCPSUZGGAHS-VIFPVBQESA-N 0.000 description 1
- PGBKGOJFBRKNHS-ZETCQYMHSA-N (3s)-3-amino-5-methyl-7-(2-oxo-3h-1,3,4-oxadiazol-5-yl)-2,3-dihydro-1,5-benzoxazepin-4-one Chemical compound O=C([C@@H](N)COC1=CC=2)N(C)C1=CC=2C1=NNC(=O)O1 PGBKGOJFBRKNHS-ZETCQYMHSA-N 0.000 description 1
- SBLPFHIGOJJBDF-QMMMGPOBSA-N (3s)-3-amino-5-methyl-7-(methylamino)-2,3-dihydro-1,5-benzoxazepin-4-one Chemical compound O1C[C@H](N)C(=O)N(C)C2=CC(NC)=CC=C21 SBLPFHIGOJJBDF-QMMMGPOBSA-N 0.000 description 1
- RRBWBJQZZOQQNO-JTQLQIEISA-N (3s)-3-amino-5-methyl-7-pyrazol-1-yl-2,3-dihydro-1,5-benzoxazepin-4-one Chemical compound O=C([C@@H](N)COC1=CC=2)N(C)C1=CC=2N1C=CC=N1 RRBWBJQZZOQQNO-JTQLQIEISA-N 0.000 description 1
- PMPWJOLSPSQGLI-QMMMGPOBSA-N (3s)-3-amino-7-(2h-tetrazol-5-yl)-1,3,4,5-tetrahydro-1-benzazepin-2-one Chemical compound C([C@@H](C(NC1=CC=2)=O)N)CC1=CC=2C=1N=NNN=1 PMPWJOLSPSQGLI-QMMMGPOBSA-N 0.000 description 1
- MLCIKXLZQSZZQS-QMMMGPOBSA-N (3s)-3-amino-7-bromo-1,3,4,5-tetrahydro-1-benzazepin-2-one Chemical compound N1C(=O)[C@@H](N)CCC2=CC(Br)=CC=C21 MLCIKXLZQSZZQS-QMMMGPOBSA-N 0.000 description 1
- PSPKYSDBTWVXGQ-LURJTMIESA-N (3s)-3-amino-7-fluoro-3,5-dihydro-2h-1,5-benzoxazepin-4-one Chemical compound N1C(=O)[C@@H](N)COC2=CC=C(F)C=C21 PSPKYSDBTWVXGQ-LURJTMIESA-N 0.000 description 1
- JLCZBHPHFQCOJY-RGMNGODLSA-N (3s)-3-amino-7-fluoro-3,5-dihydro-2h-1,5-benzoxazepin-4-one;2,2,2-trifluoroacetic acid Chemical compound OC(=O)C(F)(F)F.N1C(=O)[C@@H](N)COC2=CC=C(F)C=C21 JLCZBHPHFQCOJY-RGMNGODLSA-N 0.000 description 1
- VFDQQHQVCCQZSS-LBPRGKRZSA-N (3s)-3-amino-8-(4,4,5,5-tetramethyl-1,3,2-dioxaborolan-2-yl)-1,3,4,5-tetrahydro-1-benzazepin-2-one Chemical compound O1C(C)(C)C(C)(C)OB1C1=CC=C(CC[C@H](N)C(=O)N2)C2=C1 VFDQQHQVCCQZSS-LBPRGKRZSA-N 0.000 description 1
- SXRJVZCERXUVJR-QMMMGPOBSA-N (3s)-3-amino-8-bromo-1,3,4,5-tetrahydro-1-benzazepin-2-one Chemical compound N1C(=O)[C@@H](N)CCC2=CC=C(Br)C=C21 SXRJVZCERXUVJR-QMMMGPOBSA-N 0.000 description 1
- MKOOSOMFNCWCDX-LURJTMIESA-N (3s)-3-amino-8-hydroxy-3,5-dihydro-2h-1,5-benzoxazepin-4-one Chemical compound N1C(=O)[C@@H](N)COC2=CC(O)=CC=C21 MKOOSOMFNCWCDX-LURJTMIESA-N 0.000 description 1
- PZIQJIBCYDPOAH-FVGYRXGTSA-N (3s)-3-amino-n,n,5-trimethyl-4-oxo-2,3-dihydro-1,5-benzoxazepine-7-carboxamide;2,2,2-trifluoroacetic acid Chemical compound OC(=O)C(F)(F)F.O1C[C@H](N)C(=O)N(C)C2=CC(C(=O)N(C)C)=CC=C21 PZIQJIBCYDPOAH-FVGYRXGTSA-N 0.000 description 1
- NXLNNXIXOYSCMB-UHFFFAOYSA-N (4-nitrophenyl) carbonochloridate Chemical compound [O-][N+](=O)C1=CC=C(OC(Cl)=O)C=C1 NXLNNXIXOYSCMB-UHFFFAOYSA-N 0.000 description 1
- MAOUIYSHFCHSBK-VKHMYHEASA-N (7s)-7-amino-4-chloro-5,7,8,9-tetrahydropyrimido[4,5-b][1,4]diazepin-6-one Chemical compound N1C(=O)[C@@H](N)CNC2=NC=NC(Cl)=C21 MAOUIYSHFCHSBK-VKHMYHEASA-N 0.000 description 1
- BWFCUPYEMMDROL-BYPYZUCNSA-N (7s)-7-amino-5,7,8,9-tetrahydropyrimido[4,5-b][1,4]diazepin-6-one Chemical compound N1C(=O)[C@@H](N)CNC2=NC=NC=C21 BWFCUPYEMMDROL-BYPYZUCNSA-N 0.000 description 1
- 125000006526 (C1-C2) alkyl group Chemical group 0.000 description 1
- 125000006274 (C1-C3)alkoxy group Chemical group 0.000 description 1
- 125000006002 1,1-difluoroethyl group Chemical group 0.000 description 1
- NKKJZSJQQRVXLM-UHFFFAOYSA-N 1,3,4-oxadiazole-2-carboxamide Chemical compound NC(=O)C1=NN=CO1 NKKJZSJQQRVXLM-UHFFFAOYSA-N 0.000 description 1
- HZCVONJWZPKKBI-UHFFFAOYSA-N 1,3,5-trifluoro-2-methylbenzene Chemical compound CC1=C(F)C=C(F)C=C1F HZCVONJWZPKKBI-UHFFFAOYSA-N 0.000 description 1
- 125000005871 1,3-benzodioxolyl group Chemical group 0.000 description 1
- IGERFAHWSHDDHX-UHFFFAOYSA-N 1,3-dioxanyl Chemical group [CH]1OCCCO1 IGERFAHWSHDDHX-UHFFFAOYSA-N 0.000 description 1
- JPRPJUMQRZTTED-UHFFFAOYSA-N 1,3-dioxolanyl Chemical group [CH]1OCCO1 JPRPJUMQRZTTED-UHFFFAOYSA-N 0.000 description 1
- ILWJAOPQHOZXAN-UHFFFAOYSA-N 1,3-dithianyl Chemical group [CH]1SCCCS1 ILWJAOPQHOZXAN-UHFFFAOYSA-N 0.000 description 1
- KFHQOZXAFUKFNB-UHFFFAOYSA-N 1,3-oxathiolanyl Chemical group [CH]1OCCS1 KFHQOZXAFUKFNB-UHFFFAOYSA-N 0.000 description 1
- WORJRXHJTUTINR-UHFFFAOYSA-N 1,4-dioxane;hydron;chloride Chemical compound Cl.C1COCCO1 WORJRXHJTUTINR-UHFFFAOYSA-N 0.000 description 1
- 125000005940 1,4-dioxanyl group Chemical group 0.000 description 1
- HKDFRDIIELOLTJ-UHFFFAOYSA-N 1,4-dithianyl Chemical group [CH]1CSCCS1 HKDFRDIIELOLTJ-UHFFFAOYSA-N 0.000 description 1
- WEJRYKSUUFKMBC-UHFFFAOYSA-N 1-(4-chlorophenyl)propan-2-one Chemical compound CC(=O)CC1=CC=C(Cl)C=C1 WEJRYKSUUFKMBC-UHFFFAOYSA-N 0.000 description 1
- ZUEKIIWSVFBTCM-UHFFFAOYSA-N 1-(4-fluorophenyl)propan-2-one Chemical compound CC(=O)CC1=CC=C(F)C=C1 ZUEKIIWSVFBTCM-UHFFFAOYSA-N 0.000 description 1
- SCBZBMXPJYMXRC-UHFFFAOYSA-N 1-(bromomethyl)-3-fluorobenzene Chemical compound FC1=CC=CC(CBr)=C1 SCBZBMXPJYMXRC-UHFFFAOYSA-N 0.000 description 1
- WZRKSPFYXUXINF-UHFFFAOYSA-N 1-(bromomethyl)-4-methylbenzene Chemical compound CC1=CC=C(CBr)C=C1 WZRKSPFYXUXINF-UHFFFAOYSA-N 0.000 description 1
- ASOKPJOREAFHNY-UHFFFAOYSA-N 1-Hydroxybenzotriazole Chemical compound C1=CC=C2N(O)N=NC2=C1 ASOKPJOREAFHNY-UHFFFAOYSA-N 0.000 description 1
- WCGIKWQIFZYKBE-INIZCTEOSA-N 1-[(4-fluorophenyl)methyl]-N-[(3S)-4-oxo-3,5-dihydro-2H-1,5-benzoxazepin-3-yl]triazole-4-carboxamide Chemical compound FC1=CC=C(CN2C=C(N=N2)C(=O)N[C@H]2COC3=C(NC2=O)C=CC=C3)C=C1 WCGIKWQIFZYKBE-INIZCTEOSA-N 0.000 description 1
- GEIIHUVIRFFTOE-KRWDZBQOSA-N 1-[(4-fluorophenyl)methyl]-n-[(3s)-2-oxo-1,3,4,5-tetrahydro-1-benzazepin-3-yl]triazole-4-carboxamide Chemical compound C1=CC(F)=CC=C1CN1N=NC(C(=O)N[C@@H]2C(NC3=CC=CC=C3CC2)=O)=C1 GEIIHUVIRFFTOE-KRWDZBQOSA-N 0.000 description 1
- DOIHBHBGRIMGIB-SFHVURJKSA-N 1-[(4-methylphenyl)methyl]-N-[(3S)-2-oxo-1,3,4,5-tetrahydro-1-benzazepin-3-yl]triazole-4-carboxamide Chemical compound CC1=CC=C(CN2C=C(N=N2)C(=O)N[C@H]2CCC3=C(NC2=O)C=CC=C3)C=C1 DOIHBHBGRIMGIB-SFHVURJKSA-N 0.000 description 1
- BHKKSKOHRFHHIN-MRVPVSSYSA-N 1-[[2-[(1R)-1-aminoethyl]-4-chlorophenyl]methyl]-2-sulfanylidene-5H-pyrrolo[3,2-d]pyrimidin-4-one Chemical compound N[C@H](C)C1=C(CN2C(NC(C3=C2C=CN3)=O)=S)C=CC(=C1)Cl BHKKSKOHRFHHIN-MRVPVSSYSA-N 0.000 description 1
- GIXBUDSOCYNAHX-IBGZPJMESA-N 1-benzyl-5-methyl-N-[(3S)-2-oxo-1,3,4,5-tetrahydro-1-benzazepin-3-yl]pyrazole-3-carboxamide Chemical compound C(C1=CC=CC=C1)N1N=C(C=C1C)C(=O)N[C@H]1CCC2=C(NC1=O)C=CC=C2 GIXBUDSOCYNAHX-IBGZPJMESA-N 0.000 description 1
- XXWZNQLMKQFGLJ-SFHVURJKSA-N 1-benzyl-5-methyl-N-[(3S)-5-methyl-4-oxo-2,3-dihydro-1,5-benzoxazepin-3-yl]pyrazole-3-carboxamide Chemical compound CN1C2=C(OC[C@H](NC(=O)C3=NN(CC4=CC=CC=C4)C(C)=C3)C1=O)C=CC=C2 XXWZNQLMKQFGLJ-SFHVURJKSA-N 0.000 description 1
- HGKHZXGTYRYWBP-KRWDZBQOSA-N 1-benzyl-N-[(3S)-1-methyl-2-oxo-4,5-dihydro-3H-1-benzazepin-3-yl]-1,2,4-triazole-3-carboxamide Chemical compound C(C1=CC=CC=C1)N1N=C(N=C1)C(=O)N[C@H]1CCC2=C(N(C1=O)C)C=CC=C2 HGKHZXGTYRYWBP-KRWDZBQOSA-N 0.000 description 1
- NDLPPQCNFJGLBM-SFHVURJKSA-N 1-benzyl-N-[(3S)-1-methyl-2-oxo-4,5-dihydro-3H-1-benzazepin-3-yl]imidazole-4-carboxamide Chemical compound C(C1=CC=CC=C1)N1C=NC(=C1)C(=O)N[C@H]1CCC2=C(N(C1=O)C)C=CC=C2 NDLPPQCNFJGLBM-SFHVURJKSA-N 0.000 description 1
- SBHDTZIYHDOSNM-KRWDZBQOSA-N 1-benzyl-N-[(3S)-2-oxo-1,3,4,5-tetrahydro-1-benzazepin-3-yl]triazole-4-carboxamide Chemical compound C(C1=CC=CC=C1)N1N=NC(=C1)C(=O)N[C@H]1CCC2=C(NC1=O)C=CC=C2 SBHDTZIYHDOSNM-KRWDZBQOSA-N 0.000 description 1
- OJLFTGVMYJICFC-HNNXBMFYSA-N 1-benzyl-N-[(3S)-5-methyl-4-oxo-2,3-dihydro-1,5-benzoxazepin-3-yl]-1,2,4-triazole-3-carboxamide Chemical compound CN1C2=C(OC[C@H](NC(=O)C3=NN(CC4=CC=CC=C4)C=N3)C1=O)C=CC=C2 OJLFTGVMYJICFC-HNNXBMFYSA-N 0.000 description 1
- DVYVTCVSHUVZHY-KRWDZBQOSA-N 1-benzyl-N-[(3S)-5-methyl-4-oxo-7-(2-oxo-3H-1,3,4-oxadiazol-5-yl)-2,3-dihydro-1,5-benzoxazepin-3-yl]imidazole-4-carboxamide Chemical compound CN1C2=C(OC[C@H](NC(=O)C3=CN(CC4=CC=CC=C4)C=N3)C1=O)C=CC(=C2)C1=NNC(=O)O1 DVYVTCVSHUVZHY-KRWDZBQOSA-N 0.000 description 1
- VJEKPIGXXSEVJM-KRWDZBQOSA-N 1-benzyl-N-[(3S)-6-fluoro-5-methyl-4-oxo-2,3-dihydro-1,5-benzoxazepin-3-yl]imidazole-4-carboxamide Chemical compound CN1C2=C(OC[C@H](NC(=O)C3=CN(CC4=CC=CC=C4)C=N3)C1=O)C=CC=C2F VJEKPIGXXSEVJM-KRWDZBQOSA-N 0.000 description 1
- PEYHHYXMDWPJAX-KRWDZBQOSA-N 1-benzyl-N-[(3S)-7-fluoro-5-methyl-4-oxo-2,3-dihydro-1,5-benzoxazepin-3-yl]imidazole-4-carboxamide Chemical compound CN1C2=C(OC[C@H](NC(=O)C3=CN(CC4=CC=CC=C4)C=N3)C1=O)C=CC(F)=C2 PEYHHYXMDWPJAX-KRWDZBQOSA-N 0.000 description 1
- YYYVOAUPHAUFON-INIZCTEOSA-N 1-benzyl-N-[(3S)-7-fluoro-5-methyl-4-oxo-2,3-dihydro-1,5-benzoxazepin-3-yl]triazole-4-carboxamide Chemical compound CN1C2=C(OC[C@H](NC(=O)C3=CN(CC4=CC=CC=C4)N=N3)C1=O)C=CC(F)=C2 YYYVOAUPHAUFON-INIZCTEOSA-N 0.000 description 1
- JNSCAAQBPHAERY-KRWDZBQOSA-N 1-benzyl-N-[(3S)-8-chloro-2-oxo-1,3,4,5-tetrahydro-1-benzazepin-3-yl]imidazole-4-carboxamide Chemical compound C(C1=CC=CC=C1)N1C=NC(=C1)C(=O)N[C@H]1CCC2=C(NC1=O)C=C(C=C2)Cl JNSCAAQBPHAERY-KRWDZBQOSA-N 0.000 description 1
- RHJPBDXNDVBXSU-KRWDZBQOSA-N 1-benzyl-N-[(3S)-8-fluoro-2-oxo-1,3,4,5-tetrahydro-1-benzazepin-3-yl]imidazole-4-carboxamide Chemical compound C(C1=CC=CC=C1)N1C=NC(=C1)C(=O)N[C@H]1CCC2=C(NC1=O)C=C(C=C2)F RHJPBDXNDVBXSU-KRWDZBQOSA-N 0.000 description 1
- PSGHZXQUMYNATQ-INIZCTEOSA-N 1-benzyl-N-[(3S)-8-fluoro-2-oxo-1,3,4,5-tetrahydro-1-benzazepin-3-yl]triazole-4-carboxamide Chemical compound FC1=CC2=C(CC[C@H](NC(=O)C3=CN(CC4=CC=CC=C4)N=N3)C(=O)N2)C=C1 PSGHZXQUMYNATQ-INIZCTEOSA-N 0.000 description 1
- PDHHTMYIRLPXAM-SFHVURJKSA-N 1-benzyl-n-[(3s)-8-fluoro-1-methyl-2-oxo-4,5-dihydro-3h-1-benzazepin-3-yl]imidazole-4-carboxamide Chemical compound N([C@H]1CCC2=CC=C(F)C=C2N(C1=O)C)C(=O)C(N=C1)=CN1CC1=CC=CC=C1 PDHHTMYIRLPXAM-SFHVURJKSA-N 0.000 description 1
- MICMHFIQSAMEJG-UHFFFAOYSA-N 1-bromopyrrolidine-2,5-dione Chemical compound BrN1C(=O)CCC1=O.BrN1C(=O)CCC1=O MICMHFIQSAMEJG-UHFFFAOYSA-N 0.000 description 1
- SJJCQDRGABAVBB-UHFFFAOYSA-N 1-hydroxy-2-naphthoic acid Chemical compound C1=CC=CC2=C(O)C(C(=O)O)=CC=C21 SJJCQDRGABAVBB-UHFFFAOYSA-N 0.000 description 1
- PJUPKRYGDFTMTM-UHFFFAOYSA-N 1-hydroxybenzotriazole;hydrate Chemical compound O.C1=CC=C2N(O)N=NC2=C1 PJUPKRYGDFTMTM-UHFFFAOYSA-N 0.000 description 1
- IXPNQXFRVYWDDI-UHFFFAOYSA-N 1-methyl-2,4-dioxo-1,3-diazinane-5-carboximidamide Chemical compound CN1CC(C(N)=N)C(=O)NC1=O IXPNQXFRVYWDDI-UHFFFAOYSA-N 0.000 description 1
- FRPZMMHWLSIFAZ-UHFFFAOYSA-N 10-undecenoic acid Chemical compound OC(=O)CCCCCCCCC=C FRPZMMHWLSIFAZ-UHFFFAOYSA-N 0.000 description 1
- YBYIRNPNPLQARY-UHFFFAOYSA-N 1H-indene Natural products C1=CC=C2CC=CC2=C1 YBYIRNPNPLQARY-UHFFFAOYSA-N 0.000 description 1
- NEUWPDLMDVINSN-UHFFFAOYSA-N 1h-pyrazol-5-ylboronic acid Chemical compound OB(O)C=1C=CNN=1 NEUWPDLMDVINSN-UHFFFAOYSA-N 0.000 description 1
- XXMFJKNOJSDQBM-UHFFFAOYSA-N 2,2,2-trifluoroacetic acid;hydrate Chemical compound [OH3+].[O-]C(=O)C(F)(F)F XXMFJKNOJSDQBM-UHFFFAOYSA-N 0.000 description 1
- 125000004206 2,2,2-trifluoroethyl group Chemical group [H]C([H])(*)C(F)(F)F 0.000 description 1
- YREROAPXUOXCGI-UHFFFAOYSA-N 2,5-dihydroxybenzoic acid Chemical compound OC(=O)C1=CC(O)=CC=C1O.OC(=O)C1=CC(O)=CC=C1O YREROAPXUOXCGI-UHFFFAOYSA-N 0.000 description 1
- FJKYRKLTOUUAFO-UHFFFAOYSA-N 2-(3-fluorophenyl)acetohydrazide Chemical compound NNC(=O)CC1=CC=CC(F)=C1 FJKYRKLTOUUAFO-UHFFFAOYSA-N 0.000 description 1
- TWHOUWQNTGRQMY-UHFFFAOYSA-N 2-(thiolan-2-ylsulfonyl)thiolane Chemical compound C1CCSC1S(=O)(=O)C1CCCS1 TWHOUWQNTGRQMY-UHFFFAOYSA-N 0.000 description 1
- HZAXFHJVJLSVMW-UHFFFAOYSA-N 2-Aminoethan-1-ol Chemical compound NCCO HZAXFHJVJLSVMW-UHFFFAOYSA-N 0.000 description 1
- XNWFRZJHXBZDAG-UHFFFAOYSA-N 2-METHOXYETHANOL Chemical compound COCCO XNWFRZJHXBZDAG-UHFFFAOYSA-N 0.000 description 1
- OGMSXFYZWDFZOA-INIZCTEOSA-N 2-benzyl-N-[(3S)-2-oxo-1,3,4,5-tetrahydro-1-benzazepin-3-yl]tetrazole-5-carboxamide Chemical compound C(C1=CC=CC=C1)N1N=C(N=N1)C(=O)N[C@H]1CCC2=C(NC1=O)C=CC=C2 OGMSXFYZWDFZOA-INIZCTEOSA-N 0.000 description 1
- OYTBQENTPUFDRI-HNNXBMFYSA-N 2-benzyl-N-[(3S)-8-fluoro-2-oxo-1,3,4,5-tetrahydro-1-benzazepin-3-yl]tetrazole-5-carboxamide Chemical compound C(C1=CC=CC=C1)N1N=C(N=N1)C(=O)N[C@H]1CCC2=C(NC1=O)C=C(C=C2)F OYTBQENTPUFDRI-HNNXBMFYSA-N 0.000 description 1
- SVVZGNAZMPSGMU-UHFFFAOYSA-N 2-chloro-5-fluoro-3-nitropyridine Chemical compound [O-][N+](=O)C1=CC(F)=CN=C1Cl SVVZGNAZMPSGMU-UHFFFAOYSA-N 0.000 description 1
- IHFRMUGEILMHNU-UHFFFAOYSA-N 2-hydroxy-5-nitrobenzaldehyde Chemical compound OC1=CC=C([N+]([O-])=O)C=C1C=O IHFRMUGEILMHNU-UHFFFAOYSA-N 0.000 description 1
- BSKHPKMHTQYZBB-UHFFFAOYSA-N 2-methylpyridine Chemical compound CC1=CC=CC=N1 BSKHPKMHTQYZBB-UHFFFAOYSA-N 0.000 description 1
- KPGXRSRHYNQIFN-UHFFFAOYSA-N 2-oxoglutaric acid Chemical compound OC(=O)CCC(=O)C(O)=O KPGXRSRHYNQIFN-UHFFFAOYSA-N 0.000 description 1
- FPTCVTJCJMVIDV-UHFFFAOYSA-N 2-phenylacetohydrazide Chemical compound NNC(=O)CC1=CC=CC=C1 FPTCVTJCJMVIDV-UHFFFAOYSA-N 0.000 description 1
- MFBOZZCRUVAHGD-FQEVSTJZSA-N 3-(n-methylanilino)-n-[(3s)-4-oxo-3,5-dihydro-2h-1,5-benzoxazepin-3-yl]benzamide Chemical compound C=1C=CC(C(=O)N[C@@H]2C(NC3=CC=CC=C3OC2)=O)=CC=1N(C)C1=CC=CC=C1 MFBOZZCRUVAHGD-FQEVSTJZSA-N 0.000 description 1
- FSMNUTGAHKPRJC-JTQLQIEISA-N 3-[5-[(3S)-3-amino-5-methyl-4-oxo-2,3-dihydro-1,5-benzoxazepin-7-yl]tetrazol-1-yl]propanenitrile Chemical compound N[C@@H]1C(N(C2=C(OC1)C=CC(=C2)C2=NN=NN2CCC#N)C)=O FSMNUTGAHKPRJC-JTQLQIEISA-N 0.000 description 1
- YJZBGDWFAKQSEL-UHFFFAOYSA-N 3-amino-1-methyl-3,4-dihydro-1-benzazepine-2,5-dione Chemical compound O=C1CC(N)C(=O)N(C)C2=CC=CC=C21 YJZBGDWFAKQSEL-UHFFFAOYSA-N 0.000 description 1
- SBMDHPHXVYCRNO-UHFFFAOYSA-N 3-amino-2-oxo-1,3,4,5-tetrahydro-1-benzazepine-7-carbonitrile Chemical compound N1C(=O)C(N)CCC2=CC(C#N)=CC=C21 SBMDHPHXVYCRNO-UHFFFAOYSA-N 0.000 description 1
- MLCIKXLZQSZZQS-UHFFFAOYSA-N 3-amino-7-bromo-1,3,4,5-tetrahydro-1-benzazepin-2-one Chemical compound N1C(=O)C(N)CCC2=CC(Br)=CC=C21 MLCIKXLZQSZZQS-UHFFFAOYSA-N 0.000 description 1
- PECYZEOJVXMISF-UHFFFAOYSA-N 3-aminoalanine Chemical compound [NH3+]CC(N)C([O-])=O PECYZEOJVXMISF-UHFFFAOYSA-N 0.000 description 1
- PDFYKDYEFKYENU-UHFFFAOYSA-N 3-azido-1,3,4,5-tetrahydro-1-benzazepin-2-one Chemical compound N1C(=O)C(N=[N+]=[N-])CCC2=CC=CC=C21 PDFYKDYEFKYENU-UHFFFAOYSA-N 0.000 description 1
- YUBATOJDEMUJRX-NNBQYGFHSA-N 3-benzyl-N-[(3S)-4-oxo-3,5-dihydro-2H-1,5-benzoxazepin-3-yl]piperidine-1-carboxamide Chemical compound O=C(N[C@H]1COC2=C(NC1=O)C=CC=C2)N1CCCC(CC2=CC=CC=C2)C1 YUBATOJDEMUJRX-NNBQYGFHSA-N 0.000 description 1
- BKDMXVREWXKZLB-UHFFFAOYSA-N 3-benzylpiperidine Chemical compound C=1C=CC=CC=1CC1CCCNC1 BKDMXVREWXKZLB-UHFFFAOYSA-N 0.000 description 1
- IYTJRMRETHPZAC-UHFFFAOYSA-N 4,4-dibenzylpiperidine Chemical compound C1CNCCC1(CC=1C=CC=CC=1)CC1=CC=CC=C1 IYTJRMRETHPZAC-UHFFFAOYSA-N 0.000 description 1
- FKRXXAMAHOGYNT-UHFFFAOYSA-N 4,6-dichloro-2-methylpyrimidin-5-amine Chemical compound CC1=NC(Cl)=C(N)C(Cl)=N1 FKRXXAMAHOGYNT-UHFFFAOYSA-N 0.000 description 1
- QCQCHGYLTSGIGX-GHXANHINSA-N 4-[[(3ar,5ar,5br,7ar,9s,11ar,11br,13as)-5a,5b,8,8,11a-pentamethyl-3a-[(5-methylpyridine-3-carbonyl)amino]-2-oxo-1-propan-2-yl-4,5,6,7,7a,9,10,11,11b,12,13,13a-dodecahydro-3h-cyclopenta[a]chrysen-9-yl]oxy]-2,2-dimethyl-4-oxobutanoic acid Chemical compound N([C@@]12CC[C@@]3(C)[C@]4(C)CC[C@H]5C(C)(C)[C@@H](OC(=O)CC(C)(C)C(O)=O)CC[C@]5(C)[C@H]4CC[C@@H]3C1=C(C(C2)=O)C(C)C)C(=O)C1=CN=CC(C)=C1 QCQCHGYLTSGIGX-GHXANHINSA-N 0.000 description 1
- QCXJEYYXVJIFCE-UHFFFAOYSA-M 4-acetamidobenzoate Chemical compound CC(=O)NC1=CC=C(C([O-])=O)C=C1 QCXJEYYXVJIFCE-UHFFFAOYSA-M 0.000 description 1
- WUBBRNOQWQTFEX-UHFFFAOYSA-N 4-aminosalicylic acid Chemical compound NC1=CC=C(C(O)=O)C(O)=C1 WUBBRNOQWQTFEX-UHFFFAOYSA-N 0.000 description 1
- NNMYRMGMVLMQAY-UHFFFAOYSA-N 4-chloropyridine-2-carboxylic acid Chemical compound OC(=O)C1=CC(Cl)=CC=N1 NNMYRMGMVLMQAY-UHFFFAOYSA-N 0.000 description 1
- 229960000549 4-dimethylaminophenol Drugs 0.000 description 1
- UIVXXFYJRYVRKJ-UHFFFAOYSA-N 4-fluorobenzohydrazide Chemical compound NNC(=O)C1=CC=C(F)C=C1 UIVXXFYJRYVRKJ-UHFFFAOYSA-N 0.000 description 1
- 125000002471 4H-quinolizinyl group Chemical group C=1(C=CCN2C=CC=CC12)* 0.000 description 1
- ITYVXELLOLGVIG-ZDUSSCGKSA-N 5-(cyclopentylmethyl)-N-[(3S)-6-fluoro-8-methyl-4-oxo-3,5-dihydro-2H-1,5-benzoxazepin-3-yl]-1H-1,2,4-triazole-3-carboxamide Chemical compound C1(CCCC1)CC=1NC(=NN=1)C(=O)N[C@@H]1C(NC2=C(OC1)C=C(C=C2F)C)=O ITYVXELLOLGVIG-ZDUSSCGKSA-N 0.000 description 1
- ZQKZGHNLTOVQEO-SFHVURJKSA-N 5-[(2-fluorophenyl)methyl]-N-[(3S)-2-oxo-1,3,4,5-tetrahydro-1-benzazepin-3-yl]-1H-pyrazole-3-carboxamide Chemical compound FC1=C(CC2=NNC(=C2)C(=O)N[C@H]2CCC3=C(NC2=O)C=CC=C3)C=CC=C1 ZQKZGHNLTOVQEO-SFHVURJKSA-N 0.000 description 1
- VTQDCJNIMDEYQV-SFHVURJKSA-N 5-[(3-fluorophenyl)methyl]-N-[(3S)-2-oxo-1,3,4,5-tetrahydro-1-benzazepin-3-yl]-1H-pyrazole-3-carboxamide Chemical compound FC=1C=C(CC2=NNC(=C2)C(=O)N[C@H]2CCC3=C(NC2=O)C=CC=C3)C=CC=1 VTQDCJNIMDEYQV-SFHVURJKSA-N 0.000 description 1
- ZSHQVSBKYGPSQO-KRWDZBQOSA-N 5-[(4-chlorophenyl)methyl]-N-[(3S)-5-methyl-4-oxo-2,3-dihydro-1,5-benzoxazepin-3-yl]-1,2-oxazole-3-carboxamide Chemical compound CN1C2=C(OC[C@H](NC(=O)C3=NOC(CC4=CC=C(Cl)C=C4)=C3)C1=O)C=CC=C2 ZSHQVSBKYGPSQO-KRWDZBQOSA-N 0.000 description 1
- UCRTUKSJJVMFJB-UHFFFAOYSA-N 5-[difluoro(phenyl)methyl]-1,2-oxazole-3-carboxylic acid Chemical compound O1N=C(C(=O)O)C=C1C(F)(F)C1=CC=CC=C1 UCRTUKSJJVMFJB-UHFFFAOYSA-N 0.000 description 1
- GNOOZQKPFPQYKK-UHFFFAOYSA-N 5-[hydroxy(phenyl)methyl]-1,2-oxazole-3-carboxylic acid Chemical compound C=1C=CC=CC=1C(O)C1=CC(C(O)=O)=NO1 GNOOZQKPFPQYKK-UHFFFAOYSA-N 0.000 description 1
- CBAIMEHNQSBEFB-FUKCDUGKSA-N 5-[hydroxy(phenyl)methyl]-N-[(3S)-4-oxo-3,5-dihydro-2H-1,5-benzoxazepin-3-yl]thiophene-2-carboxamide Chemical compound OC(C1=CC=C(S1)C(=O)N[C@@H]1C(NC2=C(OC1)C=CC=C2)=O)C1=CC=CC=C1 CBAIMEHNQSBEFB-FUKCDUGKSA-N 0.000 description 1
- DWEYACIOYHILCZ-INIZCTEOSA-N 5-benzyl-N-[(3S)-1-methyl-2-oxo-4,5-dihydro-3H-1-benzazepin-3-yl]-1H-1,2,4-triazole-3-carboxamide Chemical compound CN1C2=C(CC[C@H](NC(=O)C3=NN=C(CC4=CC=CC=C4)N3)C1=O)C=CC=C2 DWEYACIOYHILCZ-INIZCTEOSA-N 0.000 description 1
- RJQBXVZKNKZUJO-IBGZPJMESA-N 5-benzyl-N-[(3S)-2-oxo-1,3,4,5-tetrahydro-1-benzazepin-3-yl]thiophene-2-carboxamide Chemical compound C(C1=CC=CC=C1)C1=CC=C(S1)C(=O)N[C@H]1CCC2=C(NC1=O)C=CC=C2 RJQBXVZKNKZUJO-IBGZPJMESA-N 0.000 description 1
- FHRHHVRGNFXHFQ-QHCPKHFHSA-N 5-benzyl-N-[(3S)-2-oxo-8-(2-pyrrolidin-1-ylethoxy)-1,3,4,5-tetrahydro-1-benzazepin-3-yl]-1,2-oxazole-3-carboxamide Chemical compound C(C1=CC=CC=C1)C1=CC(=NO1)C(=O)N[C@H]1CCC2=C(NC1=O)C=C(C=C2)OCCN1CCCC1 FHRHHVRGNFXHFQ-QHCPKHFHSA-N 0.000 description 1
- WFOLMDZBRVMVFY-IAXKEJLGSA-N 5-benzyl-N-[(3S)-2-oxo-8-(oxolan-2-ylmethoxy)-1,3,4,5-tetrahydro-1-benzazepin-3-yl]-1,2-oxazole-3-carboxamide Chemical compound C(C1=CC=CC=C1)C1=CC(=NO1)C(=O)N[C@H]1CCC2=C(NC1=O)C=C(C=C2)OCC1OCCC1 WFOLMDZBRVMVFY-IAXKEJLGSA-N 0.000 description 1
- WPSOPZQBELMGQZ-KRWDZBQOSA-N 5-benzyl-N-[(3S)-4-oxo-3,5-dihydro-2H-1,5-benzoxazepin-3-yl]furan-2-carboxamide Chemical compound O=C(N[C@H]1COC2=C(NC1=O)C=CC=C2)C1=CC=C(CC2=CC=CC=C2)O1 WPSOPZQBELMGQZ-KRWDZBQOSA-N 0.000 description 1
- PHOWFRBFPULVPD-INIZCTEOSA-N 5-benzyl-N-[(3S)-4-oxo-3,5-dihydro-2H-pyrido[4,3-b][1,4]oxazepin-3-yl]-1,2-oxazole-3-carboxamide Chemical compound C(C1=CC=CC=C1)C1=CC(=NO1)C(=O)N[C@@H]1C(NC2=C(OC1)C=CN=C2)=O PHOWFRBFPULVPD-INIZCTEOSA-N 0.000 description 1
- PHCBQEIZOYSLGD-KRWDZBQOSA-N 5-benzyl-N-[(3S)-4-oxo-7-(trifluoromethyl)-3,5-dihydro-2H-1,5-benzoxazepin-3-yl]-1,2-oxazole-3-carboxamide Chemical compound FC(F)(F)C1=CC2=C(OC[C@H](NC(=O)C3=NOC(CC4=CC=CC=C4)=C3)C(=O)N2)C=C1 PHCBQEIZOYSLGD-KRWDZBQOSA-N 0.000 description 1
- JMADMLKKULRZPD-SFHVURJKSA-N 5-benzyl-N-[(3S)-5,6-dimethyl-4-oxo-2,3-dihydro-1,5-benzoxazepin-3-yl]-1,2-oxazole-3-carboxamide Chemical compound CN1C2=C(OC[C@H](NC(=O)C3=NOC(CC4=CC=CC=C4)=C3)C1=O)C=CC=C2C JMADMLKKULRZPD-SFHVURJKSA-N 0.000 description 1
- QPQWAUBXMFKFMA-FQEVSTJZSA-N 5-benzyl-N-[(3S)-5-methyl-4-oxo-7-(1H-pyrazol-5-yl)-2,3-dihydro-1,5-benzoxazepin-3-yl]-1,2-oxazole-3-carboxamide Chemical compound CN1C2=C(OC[C@H](NC(=O)C3=NOC(CC4=CC=CC=C4)=C3)C1=O)C=CC(=C2)C1=NNC=C1 QPQWAUBXMFKFMA-FQEVSTJZSA-N 0.000 description 1
- XSNVBMXTHDEJRZ-KRWDZBQOSA-N 5-benzyl-N-[(3S)-5-methyl-4-oxo-7-(2-oxo-3H-1,3,4-oxadiazol-5-yl)-2,3-dihydro-1,5-benzoxazepin-3-yl]-1,2-oxazole-3-carboxamide Chemical compound CN1C2=C(OC[C@H](NC(=O)C3=NOC(CC4=CC=CC=C4)=C3)C1=O)C=CC(=C2)C1=NNC(=O)O1 XSNVBMXTHDEJRZ-KRWDZBQOSA-N 0.000 description 1
- FKWXUOQEQGLVQM-FQEVSTJZSA-N 5-benzyl-N-[(3S)-5-methyl-4-oxo-7-pyrazol-1-yl-2,3-dihydro-1,5-benzoxazepin-3-yl]-1,2-oxazole-3-carboxamide Chemical compound CN1C2=C(OC[C@H](NC(=O)C3=NOC(CC4=CC=CC=C4)=C3)C1=O)C=CC(=C2)N1C=CC=N1 FKWXUOQEQGLVQM-FQEVSTJZSA-N 0.000 description 1
- CHBBCRVGTRTFEU-NRFANRHFSA-N 5-benzyl-N-[(3S)-5-methyl-7-(morpholine-4-carbonyl)-4-oxo-2,3-dihydro-1,5-benzoxazepin-3-yl]-1,2-oxazole-3-carboxamide Chemical compound C(C1=CC=CC=C1)C1=CC(=NO1)C(=O)N[C@@H]1C(N(C2=C(OC1)C=CC(=C2)C(=O)N1CCOCC1)C)=O CHBBCRVGTRTFEU-NRFANRHFSA-N 0.000 description 1
- YFIHHCIOUVETOH-SFHVURJKSA-N 5-benzyl-N-[(3S)-5-methyl-7-methylsulfonyl-4-oxo-2,3-dihydro-1,5-benzoxazepin-3-yl]-1,2-oxazole-3-carboxamide Chemical compound CN1C2=C(OC[C@H](NC(=O)C3=NOC(CC4=CC=CC=C4)=C3)C1=O)C=CC(=C2)S(C)(=O)=O YFIHHCIOUVETOH-SFHVURJKSA-N 0.000 description 1
- RDMVIJISRLOCOD-INIZCTEOSA-N 5-benzyl-N-[(3S)-6-fluoro-4-oxo-3,5-dihydro-2H-1,5-benzoxazepin-3-yl]-1,2-oxazole-3-carboxamide Chemical compound FC1=CC=CC2=C1NC(=O)[C@H](CO2)NC(=O)C1=NOC(CC2=CC=CC=C2)=C1 RDMVIJISRLOCOD-INIZCTEOSA-N 0.000 description 1
- LREGOBFKMCZZJT-KRWDZBQOSA-N 5-benzyl-N-[(3S)-6-fluoro-5-methyl-4-oxo-2,3-dihydro-1,5-benzoxazepin-3-yl]-1,2-oxazole-3-carboxamide Chemical compound CN1C2=C(OC[C@H](NC(=O)C3=NOC(CC4=CC=CC=C4)=C3)C1=O)C=CC=C2F LREGOBFKMCZZJT-KRWDZBQOSA-N 0.000 description 1
- QVMQOEYVCSGTFE-KRWDZBQOSA-N 5-benzyl-N-[(3S)-6-methyl-4-oxo-3,5-dihydro-2H-1,5-benzoxazepin-3-yl]-1,2-oxazole-3-carboxamide Chemical compound C(C1=CC=CC=C1)C1=CC(=NO1)C(=O)N[C@@H]1C(NC2=C(OC1)C=CC=C2C)=O QVMQOEYVCSGTFE-KRWDZBQOSA-N 0.000 description 1
- JXPYPZYOUXWNHI-FQEVSTJZSA-N 5-benzyl-N-[(3S)-7-[1-(2-cyanoethyl)tetrazol-5-yl]-5-methyl-4-oxo-2,3-dihydro-1,5-benzoxazepin-3-yl]-1H-pyrazole-3-carboxamide Chemical compound CN1C2=C(OC[C@H](NC(=O)C3=NNC(CC4=CC=CC=C4)=C3)C1=O)C=CC(=C2)C1=NN=NN1CCC#N JXPYPZYOUXWNHI-FQEVSTJZSA-N 0.000 description 1
- MPSLQYSWBBUEGZ-INIZCTEOSA-N 5-benzyl-N-[(3S)-7-bromo-2-oxo-1,3,4,5-tetrahydro-1-benzazepin-3-yl]-1H-1,2,4-triazole-3-carboxamide Chemical compound C(C1=CC=CC=C1)C=1NC(=NN1)C(=O)N[C@H]1CCC2=C(NC1=O)C=CC(=C2)Br MPSLQYSWBBUEGZ-INIZCTEOSA-N 0.000 description 1
- KHDUCVXSHXIAKF-KRWDZBQOSA-N 5-benzyl-N-[(3S)-7-bromo-5-methyl-4-oxo-2,3-dihydro-1,5-benzoxazepin-3-yl]-1,2-oxazole-3-carboxamide Chemical compound CN1C2=C(OC[C@H](NC(=O)C3=NOC(CC4=CC=CC=C4)=C3)C1=O)C=CC(Br)=C2 KHDUCVXSHXIAKF-KRWDZBQOSA-N 0.000 description 1
- WUTIGKBRYFVBLP-KRWDZBQOSA-N 5-benzyl-N-[(3S)-7-bromo-5-methyl-4-oxo-2,3-dihydro-1,5-benzoxazepin-3-yl]-1H-pyrazole-3-carboxamide Chemical compound CN1C2=C(OC[C@H](NC(=O)C3=CC(CC4=CC=CC=C4)=NN3)C1=O)C=CC(Br)=C2 WUTIGKBRYFVBLP-KRWDZBQOSA-N 0.000 description 1
- SUYFOSNWHKXTSJ-AWEZNQCLSA-N 5-benzyl-N-[(3S)-7-fluoro-5-methyl-4-oxo-2,3-dihydro-1,5-benzoxazepin-3-yl]-1H-1,2,4-triazole-3-carboxamide Chemical compound CN1C2=C(OC[C@H](NC(=O)C3=NN=C(CC4=CC=CC=C4)N3)C1=O)C=CC(F)=C2 SUYFOSNWHKXTSJ-AWEZNQCLSA-N 0.000 description 1
- NFAAMEUODYFJKB-KRWDZBQOSA-N 5-benzyl-N-[(3S)-7-fluoro-5-methyl-4-oxo-2,3-dihydro-1,5-benzoxazepin-3-yl]-1H-pyrazole-3-carboxamide Chemical compound CN1C2=C(OC[C@H](NC(=O)C3=NNC(CC4=CC=CC=C4)=C3)C1=O)C=CC(F)=C2 NFAAMEUODYFJKB-KRWDZBQOSA-N 0.000 description 1
- RBQDZLGJUIYOKX-SFHVURJKSA-N 5-benzyl-N-[(3S)-7-methoxy-4-oxo-3,5-dihydro-2H-1,5-benzoxazepin-3-yl]-1,2-oxazole-3-carboxamide Chemical compound COC1=CC2=C(OC[C@H](NC(=O)C3=NOC(CC4=CC=CC=C4)=C3)C(=O)N2)C=C1 RBQDZLGJUIYOKX-SFHVURJKSA-N 0.000 description 1
- GXWBQNCMWKFFRI-FQEVSTJZSA-N 5-benzyl-N-[(3S)-8-(2-methoxyethoxy)-4-oxo-3,5-dihydro-2H-1,5-benzoxazepin-3-yl]-1,2-oxazole-3-carboxamide Chemical compound C(C1=CC=CC=C1)C1=CC(=NO1)C(=O)N[C@@H]1C(NC2=C(OC1)C=C(C=C2)OCCOC)=O GXWBQNCMWKFFRI-FQEVSTJZSA-N 0.000 description 1
- AECZRQRWEZVEKX-KRWDZBQOSA-N 5-benzyl-N-[(3S)-8-bromo-2-oxo-1,3,4,5-tetrahydro-1-benzazepin-3-yl]-1,2-oxazole-3-carboxamide Chemical compound C(C1=CC=CC=C1)C1=CC(=NO1)C(=O)N[C@H]1CCC2=C(NC1=O)C=C(C=C2)Br AECZRQRWEZVEKX-KRWDZBQOSA-N 0.000 description 1
- HINPCZHUSLTOJA-KRWDZBQOSA-N 5-benzyl-N-[(3S)-8-bromo-2-oxo-1,3,4,5-tetrahydro-1-benzazepin-3-yl]-1H-pyrazole-3-carboxamide Chemical compound C(C1=CC=CC=C1)C1=NNC(=C1)C(=O)N[C@H]1CCC2=C(NC1=O)C=C(C=C2)Br HINPCZHUSLTOJA-KRWDZBQOSA-N 0.000 description 1
- HAGRENAZNMFDJD-HNNXBMFYSA-N 5-benzyl-N-[(3S)-8-chloro-2-oxo-1,3,4,5-tetrahydro-1-benzazepin-3-yl]-1H-1,2,4-triazole-3-carboxamide Chemical compound ClC1=CC2=C(CC[C@H](NC(=O)C3=NN=C(CC4=CC=CC=C4)N3)C(=O)N2)C=C1 HAGRENAZNMFDJD-HNNXBMFYSA-N 0.000 description 1
- MSPLUIPZJSLDSA-KRWDZBQOSA-N 5-benzyl-N-[(3S)-8-chloro-2-oxo-1,3,4,5-tetrahydro-1-benzazepin-3-yl]-1H-pyrazole-3-carboxamide Chemical compound C(C1=CC=CC=C1)C1=NNC(=C1)C(=O)N[C@H]1CCC2=C(NC1=O)C=C(C=C2)Cl MSPLUIPZJSLDSA-KRWDZBQOSA-N 0.000 description 1
- KLFZBXWKEBNIID-INIZCTEOSA-N 5-benzyl-N-[(3S)-8-fluoro-1-methyl-2-oxo-4,5-dihydro-3H-1-benzazepin-3-yl]-1H-1,2,4-triazole-3-carboxamide Chemical compound C(C1=CC=CC=C1)C=1NC(=NN=1)C(=O)N[C@H]1CCC2=C(N(C1=O)C)C=C(C=C2)F KLFZBXWKEBNIID-INIZCTEOSA-N 0.000 description 1
- SFECLMMDMIWFFI-HNNXBMFYSA-N 5-benzyl-N-[(3S)-8-fluoro-2-oxo-1,3,4,5-tetrahydro-1-benzazepin-3-yl]-1,3,4-oxadiazole-2-carboxamide Chemical compound FC1=CC2=C(CC[C@H](NC(=O)C3=NN=C(CC4=CC=CC=C4)O3)C(=O)N2)C=C1 SFECLMMDMIWFFI-HNNXBMFYSA-N 0.000 description 1
- HGXWEYMQHGQXJB-KRWDZBQOSA-N 5-benzyl-N-[(3S)-8-fluoro-2-oxo-1,3,4,5-tetrahydro-1-benzazepin-3-yl]-1H-pyrazole-3-carboxamide Chemical compound C(C1=CC=CC=C1)C1=NNC(=C1)C(=O)N[C@H]1CCC2=C(NC1=O)C=C(C=C2)F HGXWEYMQHGQXJB-KRWDZBQOSA-N 0.000 description 1
- ILLXMVLNAVWHPN-SFHVURJKSA-N 5-benzyl-N-[(3S)-8-methyl-4-oxo-3,5-dihydro-2H-1,5-benzoxazepin-3-yl]-1,2-oxazole-3-carboxamide Chemical compound CC1=CC2=C(NC(=O)[C@H](CO2)NC(=O)C2=NOC(CC3=CC=CC=C3)=C2)C=C1 ILLXMVLNAVWHPN-SFHVURJKSA-N 0.000 description 1
- AYSFVNNXXXKHFA-SFHVURJKSA-N 5-benzyl-N-[(3S)-9-methyl-4-oxo-3,5-dihydro-2H-1,5-benzoxazepin-3-yl]-1,2-oxazole-3-carboxamide Chemical compound CC1=CC=CC2=C1OC[C@H](NC(=O)C1=NOC(CC3=CC=CC=C3)=C1)C(=O)N2 AYSFVNNXXXKHFA-SFHVURJKSA-N 0.000 description 1
- BHGLFKVEJPVPQY-INIZCTEOSA-N 5-benzyl-n-[(3s)-2-oxo-1,3,4,5-tetrahydro-1-benzazepin-3-yl]-1h-1,2,4-triazole-3-carboxamide Chemical compound N([C@@H]1C(NC2=CC=CC=C2CC1)=O)C(=O)C(N=1)=NNC=1CC1=CC=CC=C1 BHGLFKVEJPVPQY-INIZCTEOSA-N 0.000 description 1
- KNOUWGGQMADIBV-KRWDZBQOSA-N 5-benzyl-n-[(3s)-5-methyl-4-oxo-2,3-dihydro-1,5-benzoxazepin-3-yl]-1,2-oxazole-3-carboxamide Chemical compound N([C@H]1COC2=CC=CC=C2N(C1=O)C)C(=O)C(=NO1)C=C1CC1=CC=CC=C1 KNOUWGGQMADIBV-KRWDZBQOSA-N 0.000 description 1
- JKLPPQNDYBEQLH-FQEVSTJZSA-N 5-benzyl-n-[(3s)-5-methyl-4-oxo-7-(propan-2-ylcarbamoylamino)-2,3-dihydro-1,5-benzoxazepin-3-yl]-1,2-oxazole-3-carboxamide Chemical compound N([C@H]1COC2=CC=C(C=C2N(C)C1=O)NC(=O)NC(C)C)C(=O)C(=NO1)C=C1CC1=CC=CC=C1 JKLPPQNDYBEQLH-FQEVSTJZSA-N 0.000 description 1
- LOVPCXHNXBNPTI-KRWDZBQOSA-N 5-benzyl-n-[(3s)-7-(hydrazinecarbonyl)-5-methyl-4-oxo-2,3-dihydro-1,5-benzoxazepin-3-yl]-1,2-oxazole-3-carboxamide Chemical compound N([C@H]1COC2=CC=C(C=C2N(C1=O)C)C(=O)NN)C(=O)C(=NO1)C=C1CC1=CC=CC=C1 LOVPCXHNXBNPTI-KRWDZBQOSA-N 0.000 description 1
- UOUWVFKRXIALLZ-KRWDZBQOSA-N 5-benzyl-n-[(3s)-7-(hydrazinecarbonyl)-5-methyl-4-oxo-2,3-dihydro-1,5-benzoxazepin-3-yl]-1h-pyrazole-3-carboxamide Chemical compound N([C@H]1COC2=CC=C(C=C2N(C1=O)C)C(=O)NN)C(=O)C(=NN1)C=C1CC1=CC=CC=C1 UOUWVFKRXIALLZ-KRWDZBQOSA-N 0.000 description 1
- SYLMUJSPDYEIQC-LNKDEEDCSA-N 5-benzyl-n-[(3s)-7-deuterio-1-methyl-2-oxo-4,5-dihydro-3h-1-benzazepin-3-yl]-1h-pyrazole-3-carboxamide Chemical compound N([C@@H]1C(=O)N(C)C2=CC=C(C=C2CC1)[2H])C(=O)C(=NN1)C=C1CC1=CC=CC=C1 SYLMUJSPDYEIQC-LNKDEEDCSA-N 0.000 description 1
- LNBZUPNYOQEQEG-KRWDZBQOSA-N 5-benzyl-n-[(3s)-7-fluoro-4-oxo-3,5-dihydro-2h-1,5-benzoxazepin-3-yl]-1,2-oxazole-3-carboxamide Chemical compound N([C@H]1COC2=CC=C(C=C2NC1=O)F)C(=O)C(=NO1)C=C1CC1=CC=CC=C1 LNBZUPNYOQEQEG-KRWDZBQOSA-N 0.000 description 1
- HLTNVXVETKMVLM-UHFFFAOYSA-N 5-methyl-1-propylpyrazole-3-carboxylic acid Chemical class CCCN1N=C(C(O)=O)C=C1C HLTNVXVETKMVLM-UHFFFAOYSA-N 0.000 description 1
- YSBHPTIOGSZPDD-HNNXBMFYSA-N 5-methyl-N-[(3S)-5-methyl-4-oxo-2,3-dihydro-1,5-benzoxazepin-3-yl]-1-(pyrazol-1-ylmethyl)pyrazole-3-carboxamide Chemical compound CN1C2=C(OC[C@H](NC(=O)C3=NN(CN4C=CC=N4)C(C)=C3)C1=O)C=CC=C2 YSBHPTIOGSZPDD-HNNXBMFYSA-N 0.000 description 1
- ZBYTWFVWOCJGRZ-UHFFFAOYSA-N 6-chloro-8-fluoro-3,4-dihydro-2h-naphthalen-1-one Chemical compound C1CCC(=O)C2=C1C=C(Cl)C=C2F ZBYTWFVWOCJGRZ-UHFFFAOYSA-N 0.000 description 1
- YGVDCGFUUUJCDF-UHFFFAOYSA-N 7-bromo-3,4-dihydro-2h-naphthalen-1-one Chemical compound C1CCC(=O)C2=CC(Br)=CC=C21 YGVDCGFUUUJCDF-UHFFFAOYSA-N 0.000 description 1
- ZCYVEMRRCGMTRW-UHFFFAOYSA-N 7553-56-2 Chemical compound [I] ZCYVEMRRCGMTRW-UHFFFAOYSA-N 0.000 description 1
- HZCRDMVVKIJKFI-UHFFFAOYSA-N 8-bromo-1,3,4,5-tetrahydro-1-benzazepin-2-one Chemical compound C1CCC(=O)NC2=CC(Br)=CC=C21 HZCRDMVVKIJKFI-UHFFFAOYSA-N 0.000 description 1
- QTBSBXVTEAMEQO-UHFFFAOYSA-M Acetate Chemical compound CC([O-])=O QTBSBXVTEAMEQO-UHFFFAOYSA-M 0.000 description 1
- GUBGYTABKSRVRQ-XLOQQCSPSA-N Alpha-Lactose Chemical compound O[C@@H]1[C@@H](O)[C@@H](O)[C@@H](CO)O[C@H]1O[C@@H]1[C@@H](CO)O[C@H](O)[C@H](O)[C@H]1O GUBGYTABKSRVRQ-XLOQQCSPSA-N 0.000 description 1
- 239000004475 Arginine Substances 0.000 description 1
- 241000416162 Astragalus gummifer Species 0.000 description 1
- 208000023275 Autoimmune disease Diseases 0.000 description 1
- 238000006237 Beckmann rearrangement reaction Methods 0.000 description 1
- OMPJBNCRMGITSC-UHFFFAOYSA-N Benzoylperoxide Chemical compound C=1C=CC=CC=1C(=O)OOC(=O)C1=CC=CC=C1 OMPJBNCRMGITSC-UHFFFAOYSA-N 0.000 description 1
- BVKZGUZCCUSVTD-UHFFFAOYSA-M Bicarbonate Chemical compound OC([O-])=O BVKZGUZCCUSVTD-UHFFFAOYSA-M 0.000 description 1
- GAWIXWVDTYZWAW-UHFFFAOYSA-N C[CH]O Chemical group C[CH]O GAWIXWVDTYZWAW-UHFFFAOYSA-N 0.000 description 1
- OYPRJOBELJOOCE-UHFFFAOYSA-N Calcium Chemical compound [Ca] OYPRJOBELJOOCE-UHFFFAOYSA-N 0.000 description 1
- 239000004215 Carbon black (E152) Substances 0.000 description 1
- BVKZGUZCCUSVTD-UHFFFAOYSA-L Carbonate Chemical compound [O-]C([O-])=O BVKZGUZCCUSVTD-UHFFFAOYSA-L 0.000 description 1
- 108010010737 Ceruletide Proteins 0.000 description 1
- HEDRZPFGACZZDS-UHFFFAOYSA-N Chloroform Chemical compound ClC(Cl)Cl HEDRZPFGACZZDS-UHFFFAOYSA-N 0.000 description 1
- 206010008609 Cholangitis sclerosing Diseases 0.000 description 1
- 235000001258 Cinchona calisaya Nutrition 0.000 description 1
- KRKNYBCHXYNGOX-UHFFFAOYSA-K Citrate Chemical compound [O-]C(=O)CC(O)(CC([O-])=O)C([O-])=O KRKNYBCHXYNGOX-UHFFFAOYSA-K 0.000 description 1
- 229910021595 Copper(I) iodide Inorganic materials 0.000 description 1
- UDIPTWFVPPPURJ-UHFFFAOYSA-M Cyclamate Chemical compound [Na+].[O-]S(=O)(=O)NC1CCCCC1 UDIPTWFVPPPURJ-UHFFFAOYSA-M 0.000 description 1
- FBPFZTCFMRRESA-FSIIMWSLSA-N D-Glucitol Natural products OC[C@H](O)[C@H](O)[C@@H](O)[C@H](O)CO FBPFZTCFMRRESA-FSIIMWSLSA-N 0.000 description 1
- FBPFZTCFMRRESA-KVTDHHQDSA-N D-Mannitol Chemical compound OC[C@@H](O)[C@@H](O)[C@H](O)[C@H](O)CO FBPFZTCFMRRESA-KVTDHHQDSA-N 0.000 description 1
- FBPFZTCFMRRESA-JGWLITMVSA-N D-glucitol Chemical compound OC[C@H](O)[C@@H](O)[C@H](O)[C@H](O)CO FBPFZTCFMRRESA-JGWLITMVSA-N 0.000 description 1
- RGHNJXZEOKUKBD-SQOUGZDYSA-M D-gluconate Chemical compound OC[C@@H](O)[C@@H](O)[C@H](O)[C@@H](O)C([O-])=O RGHNJXZEOKUKBD-SQOUGZDYSA-M 0.000 description 1
- AEMOLEFTQBMNLQ-AQKNRBDQSA-N D-glucopyranuronic acid Chemical compound OC1O[C@H](C(O)=O)[C@@H](O)[C@H](O)[C@H]1O AEMOLEFTQBMNLQ-AQKNRBDQSA-N 0.000 description 1
- 102000006999 Death Domain Receptor Signaling Adaptor Proteins Human genes 0.000 description 1
- 108010072757 Death Domain Receptor Signaling Adaptor Proteins Proteins 0.000 description 1
- 108010086291 Deubiquitinating Enzyme CYLD Proteins 0.000 description 1
- FEWJPZIEWOKRBE-JCYAYHJZSA-N Dextrotartaric acid Chemical compound OC(=O)[C@H](O)[C@@H](O)C(O)=O FEWJPZIEWOKRBE-JCYAYHJZSA-N 0.000 description 1
- XBPCUCUWBYBCDP-UHFFFAOYSA-N Dicyclohexylamine Chemical compound C1CCCCC1NC1CCCCC1 XBPCUCUWBYBCDP-UHFFFAOYSA-N 0.000 description 1
- MYMOFIZGZYHOMD-UHFFFAOYSA-N Dioxygen Chemical compound O=O MYMOFIZGZYHOMD-UHFFFAOYSA-N 0.000 description 1
- 239000001692 EU approved anti-caking agent Substances 0.000 description 1
- 102100030013 Endoribonuclease Human genes 0.000 description 1
- 101710199605 Endoribonuclease Proteins 0.000 description 1
- 108010008165 Etanercept Proteins 0.000 description 1
- 244000166102 Eucalyptus leucoxylon Species 0.000 description 1
- 235000004694 Eucalyptus leucoxylon Nutrition 0.000 description 1
- HKVAMNSJSFKALM-GKUWKFKPSA-N Everolimus Chemical compound C1C[C@@H](OCCO)[C@H](OC)C[C@@H]1C[C@@H](C)[C@H]1OC(=O)[C@@H]2CCCCN2C(=O)C(=O)[C@](O)(O2)[C@H](C)CC[C@H]2C[C@H](OC)/C(C)=C/C=C/C=C/[C@@H](C)C[C@@H](C)C(=O)[C@H](OC)[C@H](O)/C(C)=C/[C@@H](C)C(=O)C1 HKVAMNSJSFKALM-GKUWKFKPSA-N 0.000 description 1
- 208000033962 Fontaine progeroid syndrome Diseases 0.000 description 1
- BDAGIHXWWSANSR-UHFFFAOYSA-M Formate Chemical compound [O-]C=O BDAGIHXWWSANSR-UHFFFAOYSA-M 0.000 description 1
- VZCYOOQTPOCHFL-OWOJBTEDSA-N Fumaric acid Chemical compound OC(=O)\C=C\C(O)=O VZCYOOQTPOCHFL-OWOJBTEDSA-N 0.000 description 1
- 108010010803 Gelatin Proteins 0.000 description 1
- WQZGKKKJIJFFOK-GASJEMHNSA-N Glucose Natural products OC[C@H]1OC(O)[C@H](O)[C@@H](O)[C@@H]1O WQZGKKKJIJFFOK-GASJEMHNSA-N 0.000 description 1
- AEMRFAOFKBGASW-UHFFFAOYSA-M Glycolate Chemical compound OCC([O-])=O AEMRFAOFKBGASW-UHFFFAOYSA-M 0.000 description 1
- 229920002907 Guar gum Polymers 0.000 description 1
- 206010019851 Hepatotoxicity Diseases 0.000 description 1
- 101001011663 Homo sapiens Mixed lineage kinase domain-like protein Proteins 0.000 description 1
- 101001099058 Homo sapiens Serine/threonine-protein phosphatase PGAM5, mitochondrial Proteins 0.000 description 1
- 101000595548 Homo sapiens TIR domain-containing adapter molecule 1 Proteins 0.000 description 1
- 101000831496 Homo sapiens Toll-like receptor 3 Proteins 0.000 description 1
- 101000669447 Homo sapiens Toll-like receptor 4 Proteins 0.000 description 1
- 101000610605 Homo sapiens Tumor necrosis factor receptor superfamily member 10A Proteins 0.000 description 1
- 101000610604 Homo sapiens Tumor necrosis factor receptor superfamily member 10B Proteins 0.000 description 1
- CPELXLSAUQHCOX-UHFFFAOYSA-N Hydrogen bromide Chemical compound Br CPELXLSAUQHCOX-UHFFFAOYSA-N 0.000 description 1
- AVXURJPOCDRRFD-UHFFFAOYSA-N Hydroxylamine Chemical compound ON AVXURJPOCDRRFD-UHFFFAOYSA-N 0.000 description 1
- DGAQECJNVWCQMB-PUAWFVPOSA-M Ilexoside XXIX Chemical compound C[C@@H]1CC[C@@]2(CC[C@@]3(C(=CC[C@H]4[C@]3(CC[C@@H]5[C@@]4(CC[C@@H](C5(C)C)OS(=O)(=O)[O-])C)C)[C@@H]2[C@]1(C)O)C)C(=O)O[C@H]6[C@@H]([C@H]([C@@H]([C@H](O6)CO)O)O)O.[Na+] DGAQECJNVWCQMB-PUAWFVPOSA-M 0.000 description 1
- 108010034143 Inflammasomes Proteins 0.000 description 1
- 206010061218 Inflammation Diseases 0.000 description 1
- 108010065805 Interleukin-12 Proteins 0.000 description 1
- 102000013462 Interleukin-12 Human genes 0.000 description 1
- CKLJMWTZIZZHCS-REOHCLBHSA-N L-aspartic acid Chemical compound OC(=O)[C@@H](N)CC(O)=O CKLJMWTZIZZHCS-REOHCLBHSA-N 0.000 description 1
- WHUUTDBJXJRKMK-VKHMYHEASA-N L-glutamic acid Chemical compound OC(=O)[C@@H](N)CCC(O)=O WHUUTDBJXJRKMK-VKHMYHEASA-N 0.000 description 1
- JVTAAEKCZFNVCJ-UHFFFAOYSA-M Lactate Chemical compound CC(O)C([O-])=O JVTAAEKCZFNVCJ-UHFFFAOYSA-M 0.000 description 1
- GUBGYTABKSRVRQ-QKKXKWKRSA-N Lactose Natural products OC[C@H]1O[C@@H](O[C@H]2[C@H](O)[C@@H](O)C(O)O[C@@H]2CO)[C@H](O)[C@@H](O)[C@H]1O GUBGYTABKSRVRQ-QKKXKWKRSA-N 0.000 description 1
- 240000007472 Leucaena leucocephala Species 0.000 description 1
- 235000010643 Leucaena leucocephala Nutrition 0.000 description 1
- KDXKERNSBIXSRK-UHFFFAOYSA-N Lysine Natural products NCCCCC(N)C(O)=O KDXKERNSBIXSRK-UHFFFAOYSA-N 0.000 description 1
- 239000004472 Lysine Substances 0.000 description 1
- 108091054455 MAP kinase family Proteins 0.000 description 1
- 102000043136 MAP kinase family Human genes 0.000 description 1
- FYYHWMGAXLPEAU-UHFFFAOYSA-N Magnesium Chemical compound [Mg] FYYHWMGAXLPEAU-UHFFFAOYSA-N 0.000 description 1
- OFOBLEOULBTSOW-UHFFFAOYSA-L Malonate Chemical compound [O-]C(=O)CC([O-])=O OFOBLEOULBTSOW-UHFFFAOYSA-L 0.000 description 1
- 229930195725 Mannitol Natural products 0.000 description 1
- 241001465754 Metazoa Species 0.000 description 1
- LOMVENUNSWAXEN-UHFFFAOYSA-N Methyl oxalate Chemical compound COC(=O)C(=O)OC LOMVENUNSWAXEN-UHFFFAOYSA-N 0.000 description 1
- 102100030177 Mixed lineage kinase domain-like protein Human genes 0.000 description 1
- RTGDFNSFWBGLEC-UHFFFAOYSA-N Mycophenolate mofetil Chemical compound COC1=C(C)C=2COC(=O)C=2C(O)=C1CC=C(C)CCC(=O)OCCN1CCOCC1 RTGDFNSFWBGLEC-UHFFFAOYSA-N 0.000 description 1
- KWYHDKDOAIKMQN-UHFFFAOYSA-N N,N,N',N'-tetramethylethylenediamine Chemical compound CN(C)CCN(C)C KWYHDKDOAIKMQN-UHFFFAOYSA-N 0.000 description 1
- ZKGNPQKYVKXMGJ-UHFFFAOYSA-N N,N-dimethylacetamide Chemical compound CN(C)C(C)=O.CN(C)C(C)=O ZKGNPQKYVKXMGJ-UHFFFAOYSA-N 0.000 description 1
- UEWRFVTWZLJHTA-QMMMGPOBSA-N N-[(3S)-4-oxo-3,5-dihydro-2H-1,5-benzoxazepin-3-yl]formamide Chemical class N1C(=O)[C@@H](NC=O)COC2=CC=CC=C21 UEWRFVTWZLJHTA-QMMMGPOBSA-N 0.000 description 1
- JYDLOJNZMHXVGN-AWEZNQCLSA-N N-[(3S)-6-fluoro-5-methyl-4-oxo-2,3-dihydro-1,5-benzoxazepin-3-yl]-5-[(3-fluorophenyl)methyl]-1H-1,2,4-triazole-3-carboxamide Chemical compound CN1C2=C(OC[C@H](NC(=O)C3=NN=C(CC4=CC(F)=CC=C4)N3)C1=O)C=CC=C2F JYDLOJNZMHXVGN-AWEZNQCLSA-N 0.000 description 1
- XBPHLJFZIFBDKM-SFHVURJKSA-N N-[(3S)-7-bromo-5-methyl-4-oxo-2,3-dihydro-1,5-benzoxazepin-3-yl]-5-[(4-methylphenyl)methyl]-1H-pyrazole-3-carboxamide Chemical compound CN1C2=C(OC[C@H](NC(=O)C3=CC(CC4=CC=C(C)C=C4)=NN3)C1=O)C=CC(Br)=C2 XBPHLJFZIFBDKM-SFHVURJKSA-N 0.000 description 1
- YKITZJUXVGXMLW-HNNXBMFYSA-N N-[(3S)-7-fluoro-5-methyl-4-oxo-2,3-dihydro-1,5-benzoxazepin-3-yl]-5-[(4-methylphenyl)methyl]-1H-1,2,4-triazole-3-carboxamide Chemical compound CN1C2=C(OC[C@H](NC(=O)C3=NN=C(CC4=CC=C(C)C=C4)N3)C1=O)C=CC(F)=C2 YKITZJUXVGXMLW-HNNXBMFYSA-N 0.000 description 1
- QYSFQDRECUHOGC-SFHVURJKSA-N N-[(3S)-7-fluoro-5-methyl-4-oxo-2,3-dihydro-1,5-benzoxazepin-3-yl]-5-[(4-methylphenyl)methyl]-1H-pyrazole-3-carboxamide Chemical compound CN1C2=C(OC[C@H](NC(=O)C3=NNC(CC4=CC=C(C)C=C4)=C3)C1=O)C=CC(F)=C2 QYSFQDRECUHOGC-SFHVURJKSA-N 0.000 description 1
- OPIHFMACQTXKRH-SFHVURJKSA-N N-[(3S)-8-bromo-2-oxo-1,3,4,5-tetrahydro-1-benzazepin-3-yl]-5-[(4-methylphenyl)methyl]-1H-pyrazole-3-carboxamide Chemical compound BrC=1C=CC2=C(NC([C@H](CC2)NC(=O)C2=CC(=NN2)CC2=CC=C(C=C2)C)=O)C=1 OPIHFMACQTXKRH-SFHVURJKSA-N 0.000 description 1
- LZEITAGBMRBJDP-HNNXBMFYSA-N N-[(3S)-8-chloro-2-oxo-1,3,4,5-tetrahydro-1-benzazepin-3-yl]-5-[(4-fluorophenyl)methyl]-1H-1,2,4-triazole-3-carboxamide Chemical compound FC1=CC=C(CC2=NN=C(N2)C(=O)N[C@H]2CCC3=C(NC2=O)C=C(Cl)C=C3)C=C1 LZEITAGBMRBJDP-HNNXBMFYSA-N 0.000 description 1
- UUSMUOQHYVNXDY-INIZCTEOSA-N N-[(3S)-8-chloro-2-oxo-1,3,4,5-tetrahydro-1-benzazepin-3-yl]-5-[(4-methylphenyl)methyl]-1H-1,2,4-triazole-3-carboxamide Chemical compound CC1=CC=C(CC2=NN=C(N2)C(=O)N[C@H]2CCC3=C(NC2=O)C=C(Cl)C=C3)C=C1 UUSMUOQHYVNXDY-INIZCTEOSA-N 0.000 description 1
- BEIWROMOGZFVET-HNNXBMFYSA-N N-[(3S)-8-fluoro-2-oxo-1,3,4,5-tetrahydro-1-benzazepin-3-yl]-5-[(3-fluorophenyl)methyl]-1H-1,2,4-triazole-3-carboxamide Chemical compound FC1=CC2=C(CC[C@H](NC(=O)C3=NN=C(CC4=CC(F)=CC=C4)N3)C(=O)N2)C=C1 BEIWROMOGZFVET-HNNXBMFYSA-N 0.000 description 1
- GAQSSIZALQOEPY-HNNXBMFYSA-N N-[(3S)-8-fluoro-2-oxo-1,3,4,5-tetrahydro-1-benzazepin-3-yl]-5-[(4-fluorophenyl)methyl]-1H-1,2,4-triazole-3-carboxamide Chemical compound FC1=CC=C(CC2=NN=C(N2)C(=O)N[C@H]2CCC3=C(NC2=O)C=C(F)C=C3)C=C1 GAQSSIZALQOEPY-HNNXBMFYSA-N 0.000 description 1
- XGQJCWMRHIDKKK-INIZCTEOSA-N N-[(3S)-8-fluoro-2-oxo-1,3,4,5-tetrahydro-1-benzazepin-3-yl]-5-[(4-methylphenyl)methyl]-1H-1,2,4-triazole-3-carboxamide Chemical compound CC1=CC=C(CC2=NN=C(N2)C(=O)N[C@H]2CCC3=C(NC2=O)C=C(F)C=C3)C=C1 XGQJCWMRHIDKKK-INIZCTEOSA-N 0.000 description 1
- FHSNICHBKFBJEW-YFKPBYRVSA-N N-[(7S)-4-chloro-5-methyl-6-oxo-8,9-dihydro-7H-pyrimido[4,5-b][1,4]diazepin-7-yl]formamide Chemical class CN1c2c(Cl)ncnc2NC[C@H](NC=O)C1=O FHSNICHBKFBJEW-YFKPBYRVSA-N 0.000 description 1
- QIAFMBKCNZACKA-UHFFFAOYSA-N N-benzoylglycine Chemical compound OC(=O)CNC(=O)C1=CC=CC=C1 QIAFMBKCNZACKA-UHFFFAOYSA-N 0.000 description 1
- PCLIMKBDDGJMGD-UHFFFAOYSA-N N-bromosuccinimide Substances BrN1C(=O)CCC1=O PCLIMKBDDGJMGD-UHFFFAOYSA-N 0.000 description 1
- MBBZMMPHUWSWHV-BDVNFPICSA-N N-methylglucamine Chemical compound CNC[C@H](O)[C@@H](O)[C@H](O)[C@H](O)CO MBBZMMPHUWSWHV-BDVNFPICSA-N 0.000 description 1
- 150000001204 N-oxides Chemical class 0.000 description 1
- 108010014632 NF-kappa B kinase Proteins 0.000 description 1
- 229910002651 NO3 Inorganic materials 0.000 description 1
- PVNIIMVLHYAWGP-UHFFFAOYSA-N Niacin Chemical compound OC(=O)C1=CC=CN=C1 PVNIIMVLHYAWGP-UHFFFAOYSA-N 0.000 description 1
- 229910021586 Nickel(II) chloride Inorganic materials 0.000 description 1
- NHNBFGGVMKEFGY-UHFFFAOYSA-N Nitrate Chemical compound [O-][N+]([O-])=O NHNBFGGVMKEFGY-UHFFFAOYSA-N 0.000 description 1
- 102100023050 Nuclear factor NF-kappa-B p105 subunit Human genes 0.000 description 1
- MUBZPKHOEPUJKR-UHFFFAOYSA-N Oxalic acid Chemical compound OC(=O)C(O)=O MUBZPKHOEPUJKR-UHFFFAOYSA-N 0.000 description 1
- 101150071716 PCSK1 gene Proteins 0.000 description 1
- 229910019142 PO4 Inorganic materials 0.000 description 1
- 229910019213 POCl3 Inorganic materials 0.000 description 1
- ZLMJMSJWJFRBEC-UHFFFAOYSA-N Potassium Chemical compound [K] ZLMJMSJWJFRBEC-UHFFFAOYSA-N 0.000 description 1
- 102000001253 Protein Kinase Human genes 0.000 description 1
- WTKZEGDFNFYCGP-UHFFFAOYSA-N Pyrazole Chemical compound C=1C=NNC=1 WTKZEGDFNFYCGP-UHFFFAOYSA-N 0.000 description 1
- 206010061481 Renal injury Diseases 0.000 description 1
- 206010063897 Renal ischaemia Diseases 0.000 description 1
- 101710184528 Scaffolding protein Proteins 0.000 description 1
- 238000006085 Schmidt reaction Methods 0.000 description 1
- 206010053879 Sepsis syndrome Diseases 0.000 description 1
- 101710113029 Serine/threonine-protein kinase Proteins 0.000 description 1
- 102100038901 Serine/threonine-protein phosphatase PGAM5, mitochondrial Human genes 0.000 description 1
- UIIMBOGNXHQVGW-DEQYMQKBSA-M Sodium bicarbonate-14C Chemical compound [Na+].O[14C]([O-])=O UIIMBOGNXHQVGW-DEQYMQKBSA-M 0.000 description 1
- 238000003428 Staudinger Azide reduction reaction Methods 0.000 description 1
- 235000021355 Stearic acid Nutrition 0.000 description 1
- 229930006000 Sucrose Natural products 0.000 description 1
- CZMRCDWAGMRECN-UGDNZRGBSA-N Sucrose Chemical compound O[C@H]1[C@H](O)[C@@H](CO)O[C@@]1(CO)O[C@@H]1[C@H](O)[C@@H](O)[C@H](O)[C@@H](CO)O1 CZMRCDWAGMRECN-UGDNZRGBSA-N 0.000 description 1
- QAOWNCQODCNURD-UHFFFAOYSA-L Sulfate Chemical compound [O-]S([O-])(=O)=O QAOWNCQODCNURD-UHFFFAOYSA-L 0.000 description 1
- 102100036073 TIR domain-containing adapter molecule 1 Human genes 0.000 description 1
- 108090000925 TNF receptor-associated factor 2 Proteins 0.000 description 1
- 102100034779 TRAF family member-associated NF-kappa-B activator Human genes 0.000 description 1
- STSCVKRWJPWALQ-UHFFFAOYSA-N TRIFLUOROACETIC ACID ETHYL ESTER Chemical compound CCOC(=O)C(F)(F)F STSCVKRWJPWALQ-UHFFFAOYSA-N 0.000 description 1
- QJJXYPPXXYFBGM-LFZNUXCKSA-N Tacrolimus Chemical compound C1C[C@@H](O)[C@H](OC)C[C@@H]1\C=C(/C)[C@@H]1[C@H](C)[C@@H](O)CC(=O)[C@H](CC=C)/C=C(C)/C[C@H](C)C[C@H](OC)[C@H]([C@H](C[C@H]2C)OC)O[C@@]2(O)C(=O)C(=O)N2CCCC[C@H]2C(=O)O1 QJJXYPPXXYFBGM-LFZNUXCKSA-N 0.000 description 1
- CBPNZQVSJQDFBE-FUXHJELOSA-N Temsirolimus Chemical compound C1C[C@@H](OC(=O)C(C)(CO)CO)[C@H](OC)C[C@@H]1C[C@@H](C)[C@H]1OC(=O)[C@@H]2CCCCN2C(=O)C(=O)[C@](O)(O2)[C@H](C)CC[C@H]2C[C@H](OC)/C(C)=C/C=C/C=C/[C@@H](C)C[C@@H](C)C(=O)[C@H](OC)[C@H](O)/C(C)=C/[C@@H](C)C(=O)C1 CBPNZQVSJQDFBE-FUXHJELOSA-N 0.000 description 1
- DKGAVHZHDRPRBM-UHFFFAOYSA-N Tert-Butanol Chemical compound CC(C)(C)O DKGAVHZHDRPRBM-UHFFFAOYSA-N 0.000 description 1
- ZMZDMBWJUHKJPS-UHFFFAOYSA-M Thiocyanate anion Chemical compound [S-]C#N ZMZDMBWJUHKJPS-UHFFFAOYSA-M 0.000 description 1
- 101150009046 Tnfrsf1a gene Proteins 0.000 description 1
- 102100024324 Toll-like receptor 3 Human genes 0.000 description 1
- 102100039360 Toll-like receptor 4 Human genes 0.000 description 1
- 229920001615 Tragacanth Polymers 0.000 description 1
- GSEJCLTVZPLZKY-UHFFFAOYSA-N Triethanolamine Chemical compound OCCN(CCO)CCO GSEJCLTVZPLZKY-UHFFFAOYSA-N 0.000 description 1
- 108060008683 Tumor Necrosis Factor Receptor Proteins 0.000 description 1
- 102100040113 Tumor necrosis factor receptor superfamily member 10A Human genes 0.000 description 1
- 102100040112 Tumor necrosis factor receptor superfamily member 10B Human genes 0.000 description 1
- 101710187743 Tumor necrosis factor receptor superfamily member 1A Proteins 0.000 description 1
- 102100033732 Tumor necrosis factor receptor superfamily member 1A Human genes 0.000 description 1
- 102100024250 Ubiquitin carboxyl-terminal hydrolase CYLD Human genes 0.000 description 1
- HCHKCACWOHOZIP-UHFFFAOYSA-N Zinc Chemical compound [Zn] HCHKCACWOHOZIP-UHFFFAOYSA-N 0.000 description 1
- JVVXZOOGOGPDRZ-SLFFLAALSA-N [(1R,4aS,10aR)-1,4a-dimethyl-7-propan-2-yl-2,3,4,9,10,10a-hexahydrophenanthren-1-yl]methanamine Chemical compound NC[C@]1(C)CCC[C@]2(C)C3=CC=C(C(C)C)C=C3CC[C@H]21 JVVXZOOGOGPDRZ-SLFFLAALSA-N 0.000 description 1
- FWWWMZSECGMFHB-INIZCTEOSA-N [(3S)-3-[(5-benzyl-1H-1,2,4-triazole-3-carbonyl)amino]-2-oxo-1,3,4,5-tetrahydro-1-benzazepin-7-yl]boronic acid Chemical compound C(C1=CC=CC=C1)C=1NC(=NN1)C(=O)N[C@H]1CCC2=C(NC1=O)C=CC(=C2)B(O)O FWWWMZSECGMFHB-INIZCTEOSA-N 0.000 description 1
- DPXJVFZANSGRMM-UHFFFAOYSA-N acetic acid;2,3,4,5,6-pentahydroxyhexanal;sodium Chemical compound [Na].CC(O)=O.OCC(O)C(O)C(O)C(O)C=O DPXJVFZANSGRMM-UHFFFAOYSA-N 0.000 description 1
- OFLXLNCGODUUOT-UHFFFAOYSA-N acetohydrazide Chemical class C\C(O)=N\N OFLXLNCGODUUOT-UHFFFAOYSA-N 0.000 description 1
- RAFKCLFWELPONH-UHFFFAOYSA-N acetonitrile;dichloromethane Chemical compound CC#N.ClCCl RAFKCLFWELPONH-UHFFFAOYSA-N 0.000 description 1
- WETWJCDKMRHUPV-UHFFFAOYSA-N acetyl chloride Chemical compound CC(Cl)=O WETWJCDKMRHUPV-UHFFFAOYSA-N 0.000 description 1
- YBCVMFKXIKNREZ-UHFFFAOYSA-N acoh acetic acid Chemical compound CC(O)=O.CC(O)=O YBCVMFKXIKNREZ-UHFFFAOYSA-N 0.000 description 1
- 239000012042 active reagent Substances 0.000 description 1
- 230000001154 acute effect Effects 0.000 description 1
- 229960002964 adalimumab Drugs 0.000 description 1
- WNLRTRBMVRJNCN-UHFFFAOYSA-L adipate(2-) Chemical compound [O-]C(=O)CCCCC([O-])=O WNLRTRBMVRJNCN-UHFFFAOYSA-L 0.000 description 1
- 239000000443 aerosol Substances 0.000 description 1
- 229910052783 alkali metal Inorganic materials 0.000 description 1
- 229910052784 alkaline earth metal Inorganic materials 0.000 description 1
- 239000002168 alkylating agent Substances 0.000 description 1
- 229940100198 alkylating agent Drugs 0.000 description 1
- 150000001371 alpha-amino acids Chemical class 0.000 description 1
- 235000008206 alpha-amino acids Nutrition 0.000 description 1
- AZDRQVAHHNSJOQ-UHFFFAOYSA-N alumane Chemical class [AlH3] AZDRQVAHHNSJOQ-UHFFFAOYSA-N 0.000 description 1
- 229940024606 amino acid Drugs 0.000 description 1
- 235000001014 amino acid Nutrition 0.000 description 1
- 150000001413 amino acids Chemical class 0.000 description 1
- 239000000908 ammonium hydroxide Substances 0.000 description 1
- 150000003863 ammonium salts Chemical class 0.000 description 1
- HOPRXXXSABQWAV-UHFFFAOYSA-N anhydrous collidine Natural products CC1=CC=NC(C)=C1C HOPRXXXSABQWAV-UHFFFAOYSA-N 0.000 description 1
- 239000003963 antioxidant agent Substances 0.000 description 1
- 235000006708 antioxidants Nutrition 0.000 description 1
- ODKSFYDXXFIFQN-UHFFFAOYSA-N arginine Natural products OC(=O)C(N)CCCNC(N)=N ODKSFYDXXFIFQN-UHFFFAOYSA-N 0.000 description 1
- 150000001499 aryl bromides Chemical class 0.000 description 1
- 229940072107 ascorbate Drugs 0.000 description 1
- 235000010323 ascorbic acid Nutrition 0.000 description 1
- 239000011668 ascorbic acid Substances 0.000 description 1
- 229940009098 aspartate Drugs 0.000 description 1
- 238000011914 asymmetric synthesis Methods 0.000 description 1
- 125000004069 aziridinyl group Chemical group 0.000 description 1
- 150000007514 bases Chemical class 0.000 description 1
- JUHORIMYRDESRB-UHFFFAOYSA-N benzathine Chemical compound C=1C=CC=CC=1CNCCNCC1=CC=CC=C1 JUHORIMYRDESRB-UHFFFAOYSA-N 0.000 description 1
- 229940077388 benzenesulfonate Drugs 0.000 description 1
- SRSXLGNVWSONIS-UHFFFAOYSA-M benzenesulfonate Chemical compound [O-]S(=O)(=O)C1=CC=CC=C1 SRSXLGNVWSONIS-UHFFFAOYSA-M 0.000 description 1
- 229940050390 benzoate Drugs 0.000 description 1
- WPYMKLBDIGXBTP-UHFFFAOYSA-N benzoic acid Chemical compound OC(=O)C1=CC=CC=C1 WPYMKLBDIGXBTP-UHFFFAOYSA-N 0.000 description 1
- LCYTTWQXOATDOR-UHFFFAOYSA-N benzyl 1h-pyrazole-5-carboxylate Chemical class C=1C=NNC=1C(=O)OCC1=CC=CC=C1 LCYTTWQXOATDOR-UHFFFAOYSA-N 0.000 description 1
- NTOGKFZLQRAFQT-UHFFFAOYSA-N benzyl N-(2,5-dioxo-3,4-dihydro-1H-1-benzazepin-3-yl)carbamate Chemical compound O=C(NC1CC(=O)c2ccccc2NC1=O)OCc1ccccc1 NTOGKFZLQRAFQT-UHFFFAOYSA-N 0.000 description 1
- AGEZXYOZHKGVCM-UHFFFAOYSA-N benzyl bromide Chemical compound BrCC1=CC=CC=C1 AGEZXYOZHKGVCM-UHFFFAOYSA-N 0.000 description 1
- WQZGKKKJIJFFOK-VFUOTHLCSA-N beta-D-glucose Chemical compound OC[C@H]1O[C@@H](O)[C@H](O)[C@@H](O)[C@@H]1O WQZGKKKJIJFFOK-VFUOTHLCSA-N 0.000 description 1
- ZADPBFCGQRWHPN-UHFFFAOYSA-N boronic acid Chemical compound OBO ZADPBFCGQRWHPN-UHFFFAOYSA-N 0.000 description 1
- 239000006172 buffering agent Substances 0.000 description 1
- 210000004899 c-terminal region Anatomy 0.000 description 1
- 229940046731 calcineurin inhibitors Drugs 0.000 description 1
- 239000011575 calcium Substances 0.000 description 1
- 229910052791 calcium Inorganic materials 0.000 description 1
- FATUQANACHZLRT-KMRXSBRUSA-L calcium glucoheptonate Chemical compound [Ca+2].OC[C@@H](O)[C@@H](O)[C@H](O)[C@@H](O)C(O)C([O-])=O.OC[C@@H](O)[C@@H](O)[C@H](O)[C@@H](O)C(O)C([O-])=O FATUQANACHZLRT-KMRXSBRUSA-L 0.000 description 1
- XAAHAAMILDNBPS-UHFFFAOYSA-L calcium hydrogenphosphate dihydrate Chemical compound O.O.[Ca+2].OP([O-])([O-])=O XAAHAAMILDNBPS-UHFFFAOYSA-L 0.000 description 1
- CJZGTCYPCWQAJB-UHFFFAOYSA-L calcium stearate Chemical compound [Ca+2].CCCCCCCCCCCCCCCCCC([O-])=O.CCCCCCCCCCCCCCCCCC([O-])=O CJZGTCYPCWQAJB-UHFFFAOYSA-L 0.000 description 1
- 239000008116 calcium stearate Substances 0.000 description 1
- 235000013539 calcium stearate Nutrition 0.000 description 1
- MIOPJNTWMNEORI-UHFFFAOYSA-N camphorsulfonic acid Chemical compound C1CC2(CS(O)(=O)=O)C(=O)CC1C2(C)C MIOPJNTWMNEORI-UHFFFAOYSA-N 0.000 description 1
- 239000007894 caplet Substances 0.000 description 1
- 239000011203 carbon fibre reinforced carbon Substances 0.000 description 1
- 239000001768 carboxy methyl cellulose Substances 0.000 description 1
- 150000001768 cations Chemical class 0.000 description 1
- 229940107810 cellcept Drugs 0.000 description 1
- 230000010001 cellular homeostasis Effects 0.000 description 1
- 229960003115 certolizumab pegol Drugs 0.000 description 1
- YRALAIOMGQZKOW-HYAOXDFASA-N ceruletide Chemical compound C([C@@H](C(=O)N[C@H](C(=O)NCC(=O)N[C@@H](CC=1C2=CC=CC=C2NC=1)C(=O)N[C@@H](CCSC)C(=O)N[C@@H](CC(O)=O)C(=O)N[C@@H](CC=1C=CC=CC=1)C(N)=O)[C@@H](C)O)NC(=O)[C@H](CC(O)=O)NC(=O)[C@H](CCC(N)=O)NC(=O)[C@H]1NC(=O)CC1)C1=CC=C(OS(O)(=O)=O)C=C1 YRALAIOMGQZKOW-HYAOXDFASA-N 0.000 description 1
- 239000002738 chelating agent Substances 0.000 description 1
- 150000005829 chemical entities Chemical class 0.000 description 1
- 238000004296 chiral HPLC Methods 0.000 description 1
- OEYIOHPDSNJKLS-UHFFFAOYSA-N choline Chemical compound C[N+](C)(C)CCO OEYIOHPDSNJKLS-UHFFFAOYSA-N 0.000 description 1
- 229960001231 choline Drugs 0.000 description 1
- 238000004587 chromatography analysis Methods 0.000 description 1
- 229940090100 cimzia Drugs 0.000 description 1
- LOUPRKONTZGTKE-UHFFFAOYSA-N cinchonine Natural products C1C(C(C2)C=C)CCN2C1C(O)C1=CC=NC2=CC=C(OC)C=C21 LOUPRKONTZGTKE-UHFFFAOYSA-N 0.000 description 1
- 229940114081 cinnamate Drugs 0.000 description 1
- 229940001468 citrate Drugs 0.000 description 1
- GKIRPKYJQBWNGO-OCEACIFDSA-N clomifene Chemical compound C1=CC(OCCN(CC)CC)=CC=C1C(\C=1C=CC=CC=1)=C(\Cl)C1=CC=CC=C1 GKIRPKYJQBWNGO-OCEACIFDSA-N 0.000 description 1
- 239000011248 coating agent Substances 0.000 description 1
- UTBIMNXEDGNJFE-UHFFFAOYSA-N collidine Natural products CC1=CC=C(C)C(C)=N1 UTBIMNXEDGNJFE-UHFFFAOYSA-N 0.000 description 1
- 239000003086 colorant Substances 0.000 description 1
- LSXDOTMGLUJQCM-UHFFFAOYSA-M copper(i) iodide Chemical compound I[Cu] LSXDOTMGLUJQCM-UHFFFAOYSA-M 0.000 description 1
- 230000008878 coupling Effects 0.000 description 1
- 238000010168 coupling process Methods 0.000 description 1
- 238000005859 coupling reaction Methods 0.000 description 1
- 239000006071 cream Substances 0.000 description 1
- 229960000913 crospovidone Drugs 0.000 description 1
- 229940109275 cyclamate Drugs 0.000 description 1
- 125000002933 cyclohexyloxy group Chemical group C1(CCCCC1)O* 0.000 description 1
- 210000005220 cytoplasmic tail Anatomy 0.000 description 1
- GHVNFZFCNZKVNT-UHFFFAOYSA-M decanoate Chemical compound CCCCCCCCCC([O-])=O GHVNFZFCNZKVNT-UHFFFAOYSA-M 0.000 description 1
- GHVNFZFCNZKVNT-UHFFFAOYSA-N decanoic acid Chemical compound CCCCCCCCCC(O)=O GHVNFZFCNZKVNT-UHFFFAOYSA-N 0.000 description 1
- 238000012217 deletion Methods 0.000 description 1
- 230000037430 deletion Effects 0.000 description 1
- 238000010511 deprotection reaction Methods 0.000 description 1
- 230000009504 deubiquitination Effects 0.000 description 1
- 239000008121 dextrose Substances 0.000 description 1
- 235000019700 dicalcium phosphate Nutrition 0.000 description 1
- 229940095079 dicalcium phosphate anhydrous Drugs 0.000 description 1
- JXTHNDFMNIQAHM-UHFFFAOYSA-M dichloroacetate Chemical compound [O-]C(=O)C(Cl)Cl JXTHNDFMNIQAHM-UHFFFAOYSA-M 0.000 description 1
- ZBCBWPMODOFKDW-UHFFFAOYSA-N diethanolamine Chemical compound OCCNCCO ZBCBWPMODOFKDW-UHFFFAOYSA-N 0.000 description 1
- 125000004786 difluoromethoxy group Chemical group [H]C(F)(F)O* 0.000 description 1
- 125000005433 dihydrobenzodioxinyl group Chemical group O1C(COC2=C1C=CC=C2)* 0.000 description 1
- 125000005435 dihydrobenzoxazolyl group Chemical group O1C(NC2=C1C=CC=C2)* 0.000 description 1
- 125000004852 dihydrofuranyl group Chemical group O1C(CC=C1)* 0.000 description 1
- 125000004639 dihydroindenyl group Chemical group C1(CCC2=CC=CC=C12)* 0.000 description 1
- 125000001070 dihydroindolyl group Chemical group N1(CCC2=CC=CC=C12)* 0.000 description 1
- 125000005043 dihydropyranyl group Chemical group O1C(CCC=C1)* 0.000 description 1
- UXGNZZKBCMGWAZ-UHFFFAOYSA-N dimethylformamide dmf Chemical compound CN(C)C=O.CN(C)C=O UXGNZZKBCMGWAZ-UHFFFAOYSA-N 0.000 description 1
- 239000001177 diphosphate Substances 0.000 description 1
- XPPKVPWEQAFLFU-UHFFFAOYSA-J diphosphate(4-) Chemical compound [O-]P([O-])(=O)OP([O-])([O-])=O XPPKVPWEQAFLFU-UHFFFAOYSA-J 0.000 description 1
- 235000011180 diphosphates Nutrition 0.000 description 1
- YWEUIGNSBFLMFL-UHFFFAOYSA-N diphosphonate Chemical compound O=P(=O)OP(=O)=O YWEUIGNSBFLMFL-UHFFFAOYSA-N 0.000 description 1
- 238000004090 dissolution Methods 0.000 description 1
- 238000009826 distribution Methods 0.000 description 1
- CETRZFQIITUQQL-UHFFFAOYSA-N dmso dimethylsulfoxide Chemical compound CS(C)=O.CS(C)=O CETRZFQIITUQQL-UHFFFAOYSA-N 0.000 description 1
- POULHZVOKOAJMA-UHFFFAOYSA-M dodecanoate Chemical compound CCCCCCCCCCCC([O-])=O POULHZVOKOAJMA-UHFFFAOYSA-M 0.000 description 1
- MOTZDAYCYVMXPC-UHFFFAOYSA-N dodecyl hydrogen sulfate Chemical compound CCCCCCCCCCCCOS(O)(=O)=O MOTZDAYCYVMXPC-UHFFFAOYSA-N 0.000 description 1
- 229940043264 dodecyl sulfate Drugs 0.000 description 1
- 230000009977 dual effect Effects 0.000 description 1
- 230000008482 dysregulation Effects 0.000 description 1
- 239000003995 emulsifying agent Substances 0.000 description 1
- 239000000839 emulsion Substances 0.000 description 1
- 229940073621 enbrel Drugs 0.000 description 1
- 229940104788 entyvio Drugs 0.000 description 1
- 230000002255 enzymatic effect Effects 0.000 description 1
- 150000002148 esters Chemical class 0.000 description 1
- 229950000206 estolate Drugs 0.000 description 1
- OLAMWIPURJGSKE-UHFFFAOYSA-N et2o diethylether Chemical compound CCOCC.CCOCC OLAMWIPURJGSKE-UHFFFAOYSA-N 0.000 description 1
- AFAXGSQYZLGZPG-UHFFFAOYSA-L ethane-1,2-disulfonate Chemical compound [O-]S(=O)(=O)CCS([O-])(=O)=O AFAXGSQYZLGZPG-UHFFFAOYSA-L 0.000 description 1
- UXOLDCOJRAMLTQ-ZZXKWVIFSA-N ethyl (2e)-2-chloro-2-hydroxyiminoacetate Chemical compound CCOC(=O)C(\Cl)=N/O UXOLDCOJRAMLTQ-ZZXKWVIFSA-N 0.000 description 1
- XFZLWCAUSNMPNR-UHFFFAOYSA-N ethyl 1-acetyl-5-methylpyrazole-3-carboxylate Chemical compound CCOC(=O)C=1C=C(C)N(C(C)=O)N=1 XFZLWCAUSNMPNR-UHFFFAOYSA-N 0.000 description 1
- BUYFXNQLAQQSEN-UHFFFAOYSA-N ethyl 1-benzyltetrazole-5-carboxylate Chemical compound CCOC(=O)C1=NN=NN1CC1=CC=CC=C1 BUYFXNQLAQQSEN-UHFFFAOYSA-N 0.000 description 1
- KLWYPRNPRNPORS-UHFFFAOYSA-N ethyl 1h-imidazole-5-carboxylate Chemical compound CCOC(=O)C1=CN=CN1 KLWYPRNPRNPORS-UHFFFAOYSA-N 0.000 description 1
- FCZCIXQGZOUIDN-UHFFFAOYSA-N ethyl 2-diethoxyphosphinothioyloxyacetate Chemical compound CCOC(=O)COP(=S)(OCC)OCC FCZCIXQGZOUIDN-UHFFFAOYSA-N 0.000 description 1
- JBEHAOGLPHSQSL-UHFFFAOYSA-N ethyl 2h-tetrazole-5-carboxylate Chemical compound CCOC(=O)C=1N=NNN=1 JBEHAOGLPHSQSL-UHFFFAOYSA-N 0.000 description 1
- ZDUIBNWIABOEKN-UHFFFAOYSA-N ethyl 5-methyl-1-propylpyrazole-3-carboxylate Chemical compound CCCN1N=C(C(=O)OCC)C=C1C ZDUIBNWIABOEKN-UHFFFAOYSA-N 0.000 description 1
- PQVSTLUFSYVLTO-UHFFFAOYSA-N ethyl n-ethoxycarbonylcarbamate Chemical compound CCOC(=O)NC(=O)OCC PQVSTLUFSYVLTO-UHFFFAOYSA-N 0.000 description 1
- OJCSPXHYDFONPU-UHFFFAOYSA-N etoac etoac Chemical compound CCOC(C)=O.CCOC(C)=O OJCSPXHYDFONPU-UHFFFAOYSA-N 0.000 description 1
- 229960005167 everolimus Drugs 0.000 description 1
- 239000012065 filter cake Substances 0.000 description 1
- 235000019634 flavors Nutrition 0.000 description 1
- 238000011010 flushing procedure Methods 0.000 description 1
- 235000013355 food flavoring agent Nutrition 0.000 description 1
- 235000003599 food sweetener Nutrition 0.000 description 1
- GKDRMWXFWHEQQT-UHFFFAOYSA-N fostamatinib Chemical compound COC1=C(OC)C(OC)=CC(NC=2N=C(NC=3N=C4N(COP(O)(O)=O)C(=O)C(C)(C)OC4=CC=3)C(F)=CN=2)=C1 GKDRMWXFWHEQQT-UHFFFAOYSA-N 0.000 description 1
- 229950005309 fostamatinib Drugs 0.000 description 1
- DSLZVSRJTYRBFB-DUHBMQHGSA-N galactaric acid Chemical compound OC(=O)[C@H](O)[C@@H](O)[C@@H](O)[C@H](O)C(O)=O DSLZVSRJTYRBFB-DUHBMQHGSA-N 0.000 description 1
- 238000002290 gas chromatography-mass spectrometry Methods 0.000 description 1
- 238000001030 gas--liquid chromatography Methods 0.000 description 1
- 239000000499 gel Substances 0.000 description 1
- 239000008273 gelatin Substances 0.000 description 1
- 229920000159 gelatin Polymers 0.000 description 1
- 235000019322 gelatine Nutrition 0.000 description 1
- 235000011852 gelatine desserts Nutrition 0.000 description 1
- 229960001731 gluceptate Drugs 0.000 description 1
- KWMLJOLKUYYJFJ-VFUOTHLCSA-N glucoheptonic acid Chemical compound OC[C@@H](O)[C@@H](O)[C@H](O)[C@@H](O)[C@@H](O)C(O)=O KWMLJOLKUYYJFJ-VFUOTHLCSA-N 0.000 description 1
- 229940050410 gluconate Drugs 0.000 description 1
- 229940097042 glucuronate Drugs 0.000 description 1
- 229930195712 glutamate Natural products 0.000 description 1
- 229940049906 glutamate Drugs 0.000 description 1
- JFCQEDHGNNZCLN-UHFFFAOYSA-N glutaric acid Chemical compound OC(=O)CCCC(O)=O JFCQEDHGNNZCLN-UHFFFAOYSA-N 0.000 description 1
- 229960001743 golimumab Drugs 0.000 description 1
- 239000003979 granulating agent Substances 0.000 description 1
- 239000000665 guar gum Substances 0.000 description 1
- 235000010417 guar gum Nutrition 0.000 description 1
- 229960002154 guar gum Drugs 0.000 description 1
- 210000005003 heart tissue Anatomy 0.000 description 1
- 231100000304 hepatotoxicity Toxicity 0.000 description 1
- 230000007686 hepatotoxicity Effects 0.000 description 1
- 125000003187 heptyl group Chemical group [H]C([*])([H])C([H])([H])C([H])([H])C([H])([H])C([H])([H])C([H])([H])C([H])([H])[H] 0.000 description 1
- IPCSVZSSVZVIGE-UHFFFAOYSA-M hexadecanoate Chemical compound CCCCCCCCCCCCCCCC([O-])=O IPCSVZSSVZVIGE-UHFFFAOYSA-M 0.000 description 1
- 125000005984 hexahydro-1H-1,4-diazepinyl group Chemical group 0.000 description 1
- FUZZWVXGSFPDMH-UHFFFAOYSA-M hexanoate Chemical compound CCCCCC([O-])=O FUZZWVXGSFPDMH-UHFFFAOYSA-M 0.000 description 1
- FUZZWVXGSFPDMH-UHFFFAOYSA-N hexanoic acid Chemical compound CCCCCC(O)=O FUZZWVXGSFPDMH-UHFFFAOYSA-N 0.000 description 1
- 239000003906 humectant Substances 0.000 description 1
- 229940048921 humira Drugs 0.000 description 1
- 229930195733 hydrocarbon Natural products 0.000 description 1
- XMBWDFGMSWQBCA-UHFFFAOYSA-N hydrogen iodide Chemical compound I XMBWDFGMSWQBCA-UHFFFAOYSA-N 0.000 description 1
- ZMZDMBWJUHKJPS-UHFFFAOYSA-N hydrogen thiocyanate Natural products SC#N ZMZDMBWJUHKJPS-UHFFFAOYSA-N 0.000 description 1
- 238000005984 hydrogenation reaction Methods 0.000 description 1
- NPZTUJOABDZTLV-UHFFFAOYSA-N hydroxybenzotriazole Substances O=C1C=CC=C2NNN=C12 NPZTUJOABDZTLV-UHFFFAOYSA-N 0.000 description 1
- 125000004029 hydroxymethyl group Chemical group [H]OC([H])([H])* 0.000 description 1
- 239000005457 ice water Substances 0.000 description 1
- 125000002632 imidazolidinyl group Chemical group 0.000 description 1
- 125000002636 imidazolinyl group Chemical group 0.000 description 1
- 238000011065 in-situ storage Methods 0.000 description 1
- 230000001965 increasing effect Effects 0.000 description 1
- 125000003392 indanyl group Chemical group C1(CCC2=CC=CC=C12)* 0.000 description 1
- 125000003454 indenyl group Chemical group C1(C=CC2=CC=CC=C12)* 0.000 description 1
- 125000003387 indolinyl group Chemical group N1(CCC2=CC=CC=C12)* 0.000 description 1
- 208000027866 inflammatory disease Diseases 0.000 description 1
- 230000004054 inflammatory process Effects 0.000 description 1
- 229960000598 infliximab Drugs 0.000 description 1
- 238000002329 infrared spectrum Methods 0.000 description 1
- 238000010255 intramuscular injection Methods 0.000 description 1
- 239000007927 intramuscular injection Substances 0.000 description 1
- 238000010253 intravenous injection Methods 0.000 description 1
- 230000026045 iodination Effects 0.000 description 1
- 238000006192 iodination reaction Methods 0.000 description 1
- 229910052740 iodine Inorganic materials 0.000 description 1
- 239000011630 iodine Substances 0.000 description 1
- 230000007794 irritation Effects 0.000 description 1
- 125000000959 isobutyl group Chemical group [H]C([H])([H])C([H])(C([H])([H])[H])C([H])([H])* 0.000 description 1
- KQNPFQTWMSNSAP-UHFFFAOYSA-N isobutyric acid Chemical compound CC(C)C(O)=O KQNPFQTWMSNSAP-UHFFFAOYSA-N 0.000 description 1
- 125000004594 isoindolinyl group Chemical group C1(NCC2=CC=CC=C12)* 0.000 description 1
- 238000002955 isolation Methods 0.000 description 1
- 125000002183 isoquinolinyl group Chemical group C1(=NC=CC2=CC=CC=C12)* 0.000 description 1
- 125000005956 isoquinolyl group Chemical group 0.000 description 1
- 208000037806 kidney injury Diseases 0.000 description 1
- 150000003951 lactams Chemical class 0.000 description 1
- 229940001447 lactate Drugs 0.000 description 1
- 229940099584 lactobionate Drugs 0.000 description 1
- JYTUSYBCFIZPBE-AMTLMPIISA-N lactobionic acid Chemical compound OC(=O)[C@H](O)[C@@H](O)[C@@H]([C@H](O)CO)O[C@@H]1O[C@H](CO)[C@H](O)[C@H](O)[C@H]1O JYTUSYBCFIZPBE-AMTLMPIISA-N 0.000 description 1
- 239000008101 lactose Substances 0.000 description 1
- JNODQFNWMXFMEV-UHFFFAOYSA-N latrepirdine Chemical compound C1N(C)CCC2=C1C1=CC(C)=CC=C1N2CCC1=CC=C(C)N=C1 JNODQFNWMXFMEV-UHFFFAOYSA-N 0.000 description 1
- 229940070765 laurate Drugs 0.000 description 1
- 239000003446 ligand Substances 0.000 description 1
- 238000004811 liquid chromatography Methods 0.000 description 1
- YNESATAKKCNGOF-UHFFFAOYSA-N lithium bis(trimethylsilyl)amide Chemical compound [Li+].C[Si](C)(C)[N-][Si](C)(C)C YNESATAKKCNGOF-UHFFFAOYSA-N 0.000 description 1
- 229940040692 lithium hydroxide monohydrate Drugs 0.000 description 1
- GLXDVVHUTZTUQK-UHFFFAOYSA-M lithium hydroxide monohydrate Substances [Li+].O.[OH-] GLXDVVHUTZTUQK-UHFFFAOYSA-M 0.000 description 1
- 239000006210 lotion Substances 0.000 description 1
- 210000004072 lung Anatomy 0.000 description 1
- 229940124302 mTOR inhibitor Drugs 0.000 description 1
- 239000011777 magnesium Substances 0.000 description 1
- 229910052749 magnesium Inorganic materials 0.000 description 1
- 235000019359 magnesium stearate Nutrition 0.000 description 1
- 235000019341 magnesium sulphate Nutrition 0.000 description 1
- 230000014759 maintenance of location Effects 0.000 description 1
- 229940049920 malate Drugs 0.000 description 1
- VZCYOOQTPOCHFL-UPHRSURJSA-N maleic acid Chemical compound OC(=O)\C=C/C(O)=O VZCYOOQTPOCHFL-UPHRSURJSA-N 0.000 description 1
- BJEPYKJPYRNKOW-UHFFFAOYSA-N malic acid Chemical compound OC(=O)C(O)CC(O)=O BJEPYKJPYRNKOW-UHFFFAOYSA-N 0.000 description 1
- 239000003628 mammalian target of rapamycin inhibitor Substances 0.000 description 1
- IWYDHOAUDWTVEP-UHFFFAOYSA-M mandelate Chemical compound [O-]C(=O)C(O)C1=CC=CC=C1 IWYDHOAUDWTVEP-UHFFFAOYSA-M 0.000 description 1
- 239000000594 mannitol Substances 0.000 description 1
- 235000010355 mannitol Nutrition 0.000 description 1
- 230000000873 masking effect Effects 0.000 description 1
- 238000004949 mass spectrometry Methods 0.000 description 1
- 238000001819 mass spectrum Methods 0.000 description 1
- 235000012054 meals Nutrition 0.000 description 1
- BCVXHSPFUWZLGQ-UHFFFAOYSA-N mecn acetonitrile Chemical compound CC#N.CC#N BCVXHSPFUWZLGQ-UHFFFAOYSA-N 0.000 description 1
- 239000000155 melt Substances 0.000 description 1
- 238000002844 melting Methods 0.000 description 1
- 230000008018 melting Effects 0.000 description 1
- 239000012528 membrane Substances 0.000 description 1
- 210000004379 membrane Anatomy 0.000 description 1
- HNQIVZYLYMDVSB-UHFFFAOYSA-N methanesulfonimidic acid Chemical compound CS(N)(=O)=O HNQIVZYLYMDVSB-UHFFFAOYSA-N 0.000 description 1
- OKKJLVBELUTLKV-VMNATFBRSA-N methanol-d1 Chemical compound [2H]OC OKKJLVBELUTLKV-VMNATFBRSA-N 0.000 description 1
- BUTPBERGMJVRBM-UHFFFAOYSA-N methanol;methylsulfinylmethane Chemical compound OC.CS(C)=O BUTPBERGMJVRBM-UHFFFAOYSA-N 0.000 description 1
- PTTSAOYHGGEGRV-SFHVURJKSA-N methyl (3s)-3-[(5-benzyl-1h-pyrazole-3-carbonyl)amino]-5-methyl-4-oxo-2,3-dihydro-1,5-benzoxazepine-7-carboxylate Chemical compound N([C@H]1COC2=CC=C(C=C2N(C)C1=O)C(=O)OC)C(=O)C(=NN1)C=C1CC1=CC=CC=C1 PTTSAOYHGGEGRV-SFHVURJKSA-N 0.000 description 1
- GYNNXHKOJHMOHS-UHFFFAOYSA-N methyl-cycloheptane Natural products CC1CCCCCC1 GYNNXHKOJHMOHS-UHFFFAOYSA-N 0.000 description 1
- 239000011259 mixed solution Substances 0.000 description 1
- 230000004048 modification Effects 0.000 description 1
- 238000012986 modification Methods 0.000 description 1
- 239000004570 mortar (masonry) Substances 0.000 description 1
- 229960000951 mycophenolic acid Drugs 0.000 description 1
- HPNSFSBZBAHARI-RUDMXATFSA-N mycophenolic acid Chemical compound OC1=C(C\C=C(/C)CCC(O)=O)C(OC)=C(C)C2=C1C(=O)OC2 HPNSFSBZBAHARI-RUDMXATFSA-N 0.000 description 1
- KVKFRMCSXWQSNT-UHFFFAOYSA-N n,n'-dimethylethane-1,2-diamine Chemical compound CNCCNC KVKFRMCSXWQSNT-UHFFFAOYSA-N 0.000 description 1
- FGNGTWFJQFTFGN-UHFFFAOYSA-N n,n,n',n'-tetramethylethane-1,2-diamine Chemical compound CN(C)CCN(C)C.CN(C)CCN(C)C FGNGTWFJQFTFGN-UHFFFAOYSA-N 0.000 description 1
- PEECTLLHENGOKU-UHFFFAOYSA-N n,n-dimethylpyridin-4-amine Chemical compound CN(C)C1=CC=NC=C1.CN(C)C1=CC=NC=C1 PEECTLLHENGOKU-UHFFFAOYSA-N 0.000 description 1
- QNSMOZUNAIAYOU-UHFFFAOYSA-N n-(7-bromo-3,4-dihydro-2h-naphthalen-1-ylidene)hydroxylamine Chemical compound C1=C(Br)C=C2C(=NO)CCCC2=C1 QNSMOZUNAIAYOU-UHFFFAOYSA-N 0.000 description 1
- XGKZHLJJTKRURE-QMMMGPOBSA-N n-[(3r)-4-oxo-3,5-dihydro-2h-1,5-benzothiazepin-3-yl]formamide Chemical class N1C(=O)[C@@H](NC=O)CSC2=CC=CC=C21 XGKZHLJJTKRURE-QMMMGPOBSA-N 0.000 description 1
- YFZIRPQBVHZSPE-JTQLQIEISA-N n-[(3s)-2-oxo-1,3,4,5-tetrahydro-1-benzazepin-3-yl]formamide Chemical class N1C(=O)[C@@H](NC=O)CCC2=CC=CC=C21 YFZIRPQBVHZSPE-JTQLQIEISA-N 0.000 description 1
- MZLZOJJOTHIWLO-VIFPVBQESA-N n-[(3s)-4-oxo-1,2,3,5-tetrahydro-1,5-benzodiazepin-3-yl]formamide Chemical class N1C(=O)[C@@H](NC=O)CNC2=CC=CC=C21 MZLZOJJOTHIWLO-VIFPVBQESA-N 0.000 description 1
- NZIRAXUBAVLERB-SFHVURJKSA-N n-[(3s)-5-methyl-4-oxo-2,3-dihydro-1,5-benzoxazepin-3-yl]-4-phenoxypyridine-2-carboxamide Chemical compound N([C@H]1COC2=CC=CC=C2N(C1=O)C)C(=O)C(N=CC=1)=CC=1OC1=CC=CC=C1 NZIRAXUBAVLERB-SFHVURJKSA-N 0.000 description 1
- ZXUDJIGGVOESJD-LURJTMIESA-N n-[(7s)-5-methyl-6-oxo-8,9-dihydro-7h-pyrimido[4,5-b][1,4]diazepin-7-yl]formamide Chemical class N1C[C@H](NC=O)C(=O)N(C)C2=CN=CN=C21 ZXUDJIGGVOESJD-LURJTMIESA-N 0.000 description 1
- FSSHPXXXMGFQEW-LURJTMIESA-N n-[(7s)-6-oxo-5,7,8,9-tetrahydropyrimido[4,5-b][1,4]diazepin-7-yl]formamide Chemical class N1C(=O)[C@@H](NC=O)CNC2=NC=NC=C21 FSSHPXXXMGFQEW-LURJTMIESA-N 0.000 description 1
- 125000004108 n-butyl group Chemical group [H]C([H])([H])C([H])([H])C([H])([H])C([H])([H])* 0.000 description 1
- WOOWBQQQJXZGIE-UHFFFAOYSA-N n-ethyl-n-propan-2-ylpropan-2-amine Chemical compound CCN(C(C)C)C(C)C.CCN(C(C)C)C(C)C WOOWBQQQJXZGIE-UHFFFAOYSA-N 0.000 description 1
- XTEGVFVZDVNBPF-UHFFFAOYSA-L naphthalene-1,5-disulfonate(2-) Chemical compound C1=CC=C2C(S(=O)(=O)[O-])=CC=CC2=C1S([O-])(=O)=O XTEGVFVZDVNBPF-UHFFFAOYSA-L 0.000 description 1
- PSZYNBSKGUBXEH-UHFFFAOYSA-M naphthalene-1-sulfonate Chemical compound C1=CC=C2C(S(=O)(=O)[O-])=CC=CC2=C1 PSZYNBSKGUBXEH-UHFFFAOYSA-M 0.000 description 1
- 125000001624 naphthyl group Chemical group 0.000 description 1
- 230000021597 necroptosis Effects 0.000 description 1
- 229910052759 nickel Inorganic materials 0.000 description 1
- LAIZPRYFQUWUBN-UHFFFAOYSA-L nickel chloride hexahydrate Chemical compound O.O.O.O.O.O.[Cl-].[Cl-].[Ni+2] LAIZPRYFQUWUBN-UHFFFAOYSA-L 0.000 description 1
- QMMRZOWCJAIUJA-UHFFFAOYSA-L nickel dichloride Chemical compound Cl[Ni]Cl QMMRZOWCJAIUJA-UHFFFAOYSA-L 0.000 description 1
- 235000001968 nicotinic acid Nutrition 0.000 description 1
- 239000011664 nicotinic acid Substances 0.000 description 1
- VWBWQOUWDOULQN-UHFFFAOYSA-N nmp n-methylpyrrolidone Chemical compound CN1CCCC1=O.CN1CCCC1=O VWBWQOUWDOULQN-UHFFFAOYSA-N 0.000 description 1
- OQCDKBAXFALNLD-UHFFFAOYSA-N octadecanoic acid Natural products CCCCCCCC(C)CCCCCCCCC(O)=O OQCDKBAXFALNLD-UHFFFAOYSA-N 0.000 description 1
- 125000002347 octyl group Chemical group [H]C([*])([H])C([H])([H])C([H])([H])C([H])([H])C([H])([H])C([H])([H])C([H])([H])C([H])([H])[H] 0.000 description 1
- 239000002674 ointment Substances 0.000 description 1
- 229940049964 oleate Drugs 0.000 description 1
- ZQPPMHVWECSIRJ-KTKRTIGZSA-N oleic acid Chemical compound CCCCCCCC\C=C/CCCCCCCC(O)=O ZQPPMHVWECSIRJ-KTKRTIGZSA-N 0.000 description 1
- 238000006384 oligomerization reaction Methods 0.000 description 1
- 239000006186 oral dosage form Substances 0.000 description 1
- 125000005968 oxazolinyl group Chemical group 0.000 description 1
- 230000003647 oxidation Effects 0.000 description 1
- 238000007254 oxidation reaction Methods 0.000 description 1
- 125000000466 oxiranyl group Chemical group 0.000 description 1
- 238000012856 packing Methods 0.000 description 1
- 230000036961 partial effect Effects 0.000 description 1
- 239000006072 paste Substances 0.000 description 1
- 229940124531 pharmaceutical excipient Drugs 0.000 description 1
- 239000010452 phosphate Substances 0.000 description 1
- NBIIXXVUZAFLBC-UHFFFAOYSA-K phosphate Chemical compound [O-]P([O-])([O-])=O NBIIXXVUZAFLBC-UHFFFAOYSA-K 0.000 description 1
- DLYUQMMRRRQYAE-UHFFFAOYSA-N phosphorus pentoxide Inorganic materials O1P(O2)(=O)OP3(=O)OP1(=O)OP2(=O)O3 DLYUQMMRRRQYAE-UHFFFAOYSA-N 0.000 description 1
- 108091008695 photoreceptors Proteins 0.000 description 1
- 230000000704 physical effect Effects 0.000 description 1
- 239000006187 pill Substances 0.000 description 1
- KASDHRXLYQOAKZ-ZPSXYTITSA-N pimecrolimus Chemical compound C/C([C@H]1OC(=O)[C@@H]2CCCCN2C(=O)C(=O)[C@]2(O)O[C@@H]([C@H](C[C@H]2C)OC)[C@@H](OC)C[C@@H](C)C/C(C)=C/[C@H](C(C[C@H](O)[C@H]1C)=O)CC)=C\[C@@H]1CC[C@@H](Cl)[C@H](OC)C1 KASDHRXLYQOAKZ-ZPSXYTITSA-N 0.000 description 1
- 229960005330 pimecrolimus Drugs 0.000 description 1
- 239000004014 plasticizer Substances 0.000 description 1
- 239000004810 polytetrafluoroethylene Substances 0.000 description 1
- 229920001343 polytetrafluoroethylene Polymers 0.000 description 1
- 235000013809 polyvinylpolypyrrolidone Nutrition 0.000 description 1
- 229920000523 polyvinylpolypyrrolidone Polymers 0.000 description 1
- 235000013855 polyvinylpyrrolidone Nutrition 0.000 description 1
- 229920000036 polyvinylpyrrolidone Polymers 0.000 description 1
- 229910052700 potassium Inorganic materials 0.000 description 1
- 239000011591 potassium Substances 0.000 description 1
- XAEFZNCEHLXOMS-UHFFFAOYSA-M potassium benzoate Chemical compound [K+].[O-]C(=O)C1=CC=CC=C1 XAEFZNCEHLXOMS-UHFFFAOYSA-M 0.000 description 1
- 230000003389 potentiating effect Effects 0.000 description 1
- 229940069328 povidone Drugs 0.000 description 1
- 238000001556 precipitation Methods 0.000 description 1
- 239000002243 precursor Substances 0.000 description 1
- 239000003755 preservative agent Substances 0.000 description 1
- 201000000742 primary sclerosing cholangitis Diseases 0.000 description 1
- 230000007112 pro inflammatory response Effects 0.000 description 1
- 230000001686 pro-survival effect Effects 0.000 description 1
- 230000007757 pro-survival signaling Effects 0.000 description 1
- MFDFERRIHVXMIY-UHFFFAOYSA-N procaine Chemical compound CCN(CC)CCOC(=O)C1=CC=C(N)C=C1 MFDFERRIHVXMIY-UHFFFAOYSA-N 0.000 description 1
- 229960004919 procaine Drugs 0.000 description 1
- 230000001737 promoting effect Effects 0.000 description 1
- NGKSKVYWPINGLI-UHFFFAOYSA-N prop-2-ynylbenzene Chemical compound C#CCC1=CC=CC=C1 NGKSKVYWPINGLI-UHFFFAOYSA-N 0.000 description 1
- 125000004368 propenyl group Chemical group C(=CC)* 0.000 description 1
- 238000011321 prophylaxis Methods 0.000 description 1
- 230000001681 protective effect Effects 0.000 description 1
- 108060006633 protein kinase Proteins 0.000 description 1
- 125000003072 pyrazolidinyl group Chemical group 0.000 description 1
- 125000002755 pyrazolinyl group Chemical group 0.000 description 1
- 229940043131 pyroglutamate Drugs 0.000 description 1
- 125000001422 pyrrolinyl group Chemical group 0.000 description 1
- 238000010791 quenching Methods 0.000 description 1
- 230000000171 quenching effect Effects 0.000 description 1
- 229960000948 quinine Drugs 0.000 description 1
- 125000002943 quinolinyl group Chemical group N1=C(C=CC2=CC=CC=C12)* 0.000 description 1
- 125000005493 quinolyl group Chemical group 0.000 description 1
- 230000006340 racemization Effects 0.000 description 1
- 230000005855 radiation Effects 0.000 description 1
- 150000003254 radicals Chemical class 0.000 description 1
- 230000033300 receptor internalization Effects 0.000 description 1
- 229940116176 remicade Drugs 0.000 description 1
- 210000005084 renal tissue Anatomy 0.000 description 1
- 230000004044 response Effects 0.000 description 1
- 208000032253 retinal ischemia Diseases 0.000 description 1
- 238000004007 reversed phase HPLC Methods 0.000 description 1
- XOVSRHHCHKUFKM-UHFFFAOYSA-N s-methylthiohydroxylamine Chemical compound CSN XOVSRHHCHKUFKM-UHFFFAOYSA-N 0.000 description 1
- 229960001860 salicylate Drugs 0.000 description 1
- YGSDEFSMJLZEOE-UHFFFAOYSA-M salicylate Chemical compound OC1=CC=CC=C1C([O-])=O YGSDEFSMJLZEOE-UHFFFAOYSA-M 0.000 description 1
- 229940116351 sebacate Drugs 0.000 description 1
- CXMXRPHRNRROMY-UHFFFAOYSA-L sebacate(2-) Chemical compound [O-]C(=O)CCCCCCCCC([O-])=O CXMXRPHRNRROMY-UHFFFAOYSA-L 0.000 description 1
- 125000002914 sec-butyl group Chemical group [H]C([H])([H])C([H])([H])C([H])(*)C([H])([H])[H] 0.000 description 1
- 230000011664 signaling Effects 0.000 description 1
- 229910052710 silicon Inorganic materials 0.000 description 1
- 239000010703 silicon Substances 0.000 description 1
- 229940068638 simponi Drugs 0.000 description 1
- 238000009097 single-agent therapy Methods 0.000 description 1
- 239000002002 slurry Substances 0.000 description 1
- 150000003384 small molecules Chemical class 0.000 description 1
- AWUCVROLDVIAJX-GSVOUGTGSA-N sn-glycerol 3-phosphate Chemical compound OC[C@@H](O)COP(O)(O)=O AWUCVROLDVIAJX-GSVOUGTGSA-N 0.000 description 1
- 239000011734 sodium Substances 0.000 description 1
- 229910052708 sodium Inorganic materials 0.000 description 1
- 235000010413 sodium alginate Nutrition 0.000 description 1
- 239000000661 sodium alginate Substances 0.000 description 1
- 229940005550 sodium alginate Drugs 0.000 description 1
- 239000012354 sodium borodeuteride Substances 0.000 description 1
- 235000019812 sodium carboxymethyl cellulose Nutrition 0.000 description 1
- 229920001027 sodium carboxymethylcellulose Polymers 0.000 description 1
- 239000011780 sodium chloride Substances 0.000 description 1
- 229920003109 sodium starch glycolate Polymers 0.000 description 1
- 239000008109 sodium starch glycolate Substances 0.000 description 1
- 229940079832 sodium starch glycolate Drugs 0.000 description 1
- WGRULTCAYDOGQK-UHFFFAOYSA-M sodium;sodium;hydroxide Chemical compound [OH-].[Na].[Na+] WGRULTCAYDOGQK-UHFFFAOYSA-M 0.000 description 1
- 239000000600 sorbitol Substances 0.000 description 1
- 235000010356 sorbitol Nutrition 0.000 description 1
- VNFWTIYUKDMAOP-UHFFFAOYSA-N sphos Chemical compound COC1=CC=CC(OC)=C1C1=CC=CC=C1P(C1CCCCC1)C1CCCCC1 VNFWTIYUKDMAOP-UHFFFAOYSA-N 0.000 description 1
- 239000007921 spray Substances 0.000 description 1
- 239000003381 stabilizer Substances 0.000 description 1
- 229940114926 stearate Drugs 0.000 description 1
- 239000008117 stearic acid Substances 0.000 description 1
- 239000008174 sterile solution Substances 0.000 description 1
- 238000010254 subcutaneous injection Methods 0.000 description 1
- 239000007929 subcutaneous injection Substances 0.000 description 1
- 238000006467 substitution reaction Methods 0.000 description 1
- 239000000758 substrate Substances 0.000 description 1
- 229940086735 succinate Drugs 0.000 description 1
- KDYFGRWQOYBRFD-UHFFFAOYSA-L succinate(2-) Chemical compound [O-]C(=O)CCC([O-])=O KDYFGRWQOYBRFD-UHFFFAOYSA-L 0.000 description 1
- 239000005720 sucrose Substances 0.000 description 1
- YRALAIOMGQZKOW-UHFFFAOYSA-N sulfated caerulein Natural products C=1C=CC=CC=1CC(C(N)=O)NC(=O)C(CC(O)=O)NC(=O)C(CCSC)NC(=O)C(CC=1C2=CC=CC=C2NC=1)NC(=O)CNC(=O)C(C(C)O)NC(=O)C(NC(=O)C(CC(O)=O)NC(=O)C(CCC(N)=O)NC(=O)C1NC(=O)CC1)CC1=CC=C(OS(O)(=O)=O)C=C1 YRALAIOMGQZKOW-UHFFFAOYSA-N 0.000 description 1
- 150000003457 sulfones Chemical class 0.000 description 1
- 150000003462 sulfoxides Chemical group 0.000 description 1
- 125000004434 sulfur atom Chemical group 0.000 description 1
- 150000003467 sulfuric acid derivatives Chemical class 0.000 description 1
- 239000000829 suppository Substances 0.000 description 1
- 239000004094 surface-active agent Substances 0.000 description 1
- 238000001356 surgical procedure Methods 0.000 description 1
- 230000004083 survival effect Effects 0.000 description 1
- 239000000375 suspending agent Substances 0.000 description 1
- 239000003765 sweetening agent Substances 0.000 description 1
- GFYHSKONPJXCDE-UHFFFAOYSA-N sym-collidine Natural products CC1=CN=C(C)C(C)=C1 GFYHSKONPJXCDE-UHFFFAOYSA-N 0.000 description 1
- 229960001967 tacrolimus Drugs 0.000 description 1
- QJJXYPPXXYFBGM-SHYZHZOCSA-N tacrolimus Natural products CO[C@H]1C[C@H](CC[C@@H]1O)C=C(C)[C@H]2OC(=O)[C@H]3CCCCN3C(=O)C(=O)[C@@]4(O)O[C@@H]([C@H](C[C@H]4C)OC)[C@@H](C[C@H](C)CC(=C[C@@H](CC=C)C(=O)C[C@H](O)[C@H]2C)C)OC QJJXYPPXXYFBGM-SHYZHZOCSA-N 0.000 description 1
- 239000000454 talc Substances 0.000 description 1
- 229910052623 talc Inorganic materials 0.000 description 1
- 235000012222 talc Nutrition 0.000 description 1
- 229940095064 tartrate Drugs 0.000 description 1
- 229960000235 temsirolimus Drugs 0.000 description 1
- QFJCIRLUMZQUOT-UHFFFAOYSA-N temsirolimus Natural products C1CC(O)C(OC)CC1CC(C)C1OC(=O)C2CCCCN2C(=O)C(=O)C(O)(O2)C(C)CCC2CC(OC)C(C)=CC=CC=CC(C)CC(C)C(=O)C(OC)C(O)C(C)=CC(C)C(=O)C1 QFJCIRLUMZQUOT-UHFFFAOYSA-N 0.000 description 1
- WIHAATZBRUDCPJ-KRWDZBQOSA-N tert-butyl N-[(3S)-2-oxo-8-(2-pyrrolidin-1-ylethoxy)-1,3,4,5-tetrahydro-1-benzazepin-3-yl]carbamate Chemical compound O=C1[C@H](CCC2=C(N1)C=C(C=C2)OCCN2CCCC2)NC(OC(C)(C)C)=O WIHAATZBRUDCPJ-KRWDZBQOSA-N 0.000 description 1
- RAXWZUXZYHZRKI-NSHDSACASA-N tert-butyl N-[(3S)-8-hydroxy-2-oxo-1,3,4,5-tetrahydro-1-benzazepin-3-yl]carbamate Chemical compound CC(C)(C)OC(=O)N[C@H]1CCc2ccc(O)cc2NC1=O RAXWZUXZYHZRKI-NSHDSACASA-N 0.000 description 1
- YZPYJPPOYHQBKW-JTQLQIEISA-N tert-butyl n-[(3s)-6,8-difluoro-9-methyl-4-oxo-3,5-dihydro-2h-1,5-benzoxazepin-3-yl]carbamate Chemical compound N1C(=O)[C@@H](NC(=O)OC(C)(C)C)COC2=C1C(F)=CC(F)=C2C YZPYJPPOYHQBKW-JTQLQIEISA-N 0.000 description 1
- DKBWYAMKNNCKJJ-ZDUSSCGKSA-N tert-butyl n-[(3s)-7-cyano-2-oxo-1,3,4,5-tetrahydro-1-benzazepin-3-yl]carbamate Chemical compound N1C(=O)[C@@H](NC(=O)OC(C)(C)C)CCC2=CC(C#N)=CC=C21 DKBWYAMKNNCKJJ-ZDUSSCGKSA-N 0.000 description 1
- RRAPQGOIZSAGCD-JTQLQIEISA-N tert-butyl n-[(3s)-7-fluoro-5-methyl-4-oxo-2,3-dihydro-1,5-benzoxazepin-3-yl]carbamate Chemical compound O1C[C@H](NC(=O)OC(C)(C)C)C(=O)N(C)C2=CC(F)=CC=C21 RRAPQGOIZSAGCD-JTQLQIEISA-N 0.000 description 1
- SQZYNNWNYWSRBC-NSHDSACASA-N tert-butyl n-[(3s)-8-methoxy-4-oxo-3,5-dihydro-2h-1,5-benzoxazepin-3-yl]carbamate Chemical compound N1C(=O)[C@@H](NC(=O)OC(C)(C)C)COC2=CC(OC)=CC=C21 SQZYNNWNYWSRBC-NSHDSACASA-N 0.000 description 1
- GOQYEBVIBUJJLG-QMMMGPOBSA-N tert-butyl n-[(7s)-4-chloro-2,5-dimethyl-6-oxo-8,9-dihydro-7h-pyrimido[4,5-b][1,4]diazepin-7-yl]carbamate Chemical compound N1C[C@H](NC(=O)OC(C)(C)C)C(=O)N(C)C2=C(Cl)N=C(C)N=C21 GOQYEBVIBUJJLG-QMMMGPOBSA-N 0.000 description 1
- VPWTZWTZKPFARL-UHFFFAOYSA-N tert-butyl n-[1-methyl-2-oxo-7-(2,2,2-trifluoro-1,1-dihydroxyethyl)-4,5-dihydro-3h-1-benzazepin-3-yl]carbamate Chemical compound C1CC(NC(=O)OC(C)(C)C)C(=O)N(C)C2=CC=C(C(O)(O)C(F)(F)F)C=C21 VPWTZWTZKPFARL-UHFFFAOYSA-N 0.000 description 1
- 125000005931 tert-butyloxycarbonyl group Chemical group [H]C([H])([H])C(OC(*)=O)(C([H])([H])[H])C([H])([H])[H] 0.000 description 1
- 238000012360 testing method Methods 0.000 description 1
- WHRNULOCNSKMGB-UHFFFAOYSA-N tetrahydrofuran thf Chemical compound C1CCOC1.C1CCOC1 WHRNULOCNSKMGB-UHFFFAOYSA-N 0.000 description 1
- 125000003039 tetrahydroisoquinolinyl group Chemical group C1(NCCC2=CC=CC=C12)* 0.000 description 1
- PHCBRBWANGJMHS-UHFFFAOYSA-J tetrasodium;disulfate Chemical compound [Na+].[Na+].[Na+].[Na+].[O-]S([O-])(=O)=O.[O-]S([O-])(=O)=O PHCBRBWANGJMHS-UHFFFAOYSA-J 0.000 description 1
- WROMPOXWARCANT-UHFFFAOYSA-N tfa trifluoroacetic acid Chemical compound OC(=O)C(F)(F)F.OC(=O)C(F)(F)F WROMPOXWARCANT-UHFFFAOYSA-N 0.000 description 1
- 125000002769 thiazolinyl group Chemical group 0.000 description 1
- 125000001730 thiiranyl group Chemical group 0.000 description 1
- 229960003989 tocilizumab Drugs 0.000 description 1
- 235000010487 tragacanth Nutrition 0.000 description 1
- 239000000196 tragacanth Substances 0.000 description 1
- 229940116362 tragacanth Drugs 0.000 description 1
- WBYWAXJHAXSJNI-VOTSOKGWSA-M trans-cinnamate Chemical compound [O-]C(=O)\C=C\C1=CC=CC=C1 WBYWAXJHAXSJNI-VOTSOKGWSA-M 0.000 description 1
- 230000009466 transformation Effects 0.000 description 1
- 125000003866 trichloromethyl group Chemical group ClC(Cl)(Cl)* 0.000 description 1
- BAVYZALUXZFZLV-FIBGUPNXSA-N trideuteriomethanamine Chemical compound [2H]C([2H])([2H])N BAVYZALUXZFZLV-FIBGUPNXSA-N 0.000 description 1
- OKKJLVBELUTLKV-FIBGUPNXSA-N trideuteriomethanol Chemical compound [2H]C([2H])([2H])O OKKJLVBELUTLKV-FIBGUPNXSA-N 0.000 description 1
- 125000003652 trifluoroethoxy group Chemical group FC(CO*)(F)F 0.000 description 1
- 230000001960 triggered effect Effects 0.000 description 1
- 238000001665 trituration Methods 0.000 description 1
- 102000003298 tumor necrosis factor receptor Human genes 0.000 description 1
- 229940075466 undecylenate Drugs 0.000 description 1
- 229960004914 vedolizumab Drugs 0.000 description 1
- 125000000391 vinyl group Chemical group [H]C([*])=C([H])[H] 0.000 description 1
- 238000005406 washing Methods 0.000 description 1
- 239000000080 wetting agent Substances 0.000 description 1
- 238000010626 work up procedure Methods 0.000 description 1
- 229910052725 zinc Inorganic materials 0.000 description 1
- 239000011701 zinc Substances 0.000 description 1
- GTLDTDOJJJZVBW-UHFFFAOYSA-N zinc cyanide Chemical compound [Zn+2].N#[C-].N#[C-] GTLDTDOJJJZVBW-UHFFFAOYSA-N 0.000 description 1
Images
Classifications
-
- A—HUMAN NECESSITIES
- A61—MEDICAL OR VETERINARY SCIENCE; HYGIENE
- A61K—PREPARATIONS FOR MEDICAL, DENTAL OR TOILETRY PURPOSES
- A61K31/00—Medicinal preparations containing organic active ingredients
- A61K31/33—Heterocyclic compounds
- A61K31/395—Heterocyclic compounds having nitrogen as a ring hetero atom, e.g. guanethidine or rifamycins
- A61K31/55—Heterocyclic compounds having nitrogen as a ring hetero atom, e.g. guanethidine or rifamycins having seven-membered rings, e.g. azelastine, pentylenetetrazole
-
- C—CHEMISTRY; METALLURGY
- C07—ORGANIC CHEMISTRY
- C07D—HETEROCYCLIC COMPOUNDS
- C07D403/00—Heterocyclic compounds containing two or more hetero rings, having nitrogen atoms as the only ring hetero atoms, not provided for by group C07D401/00
- C07D403/02—Heterocyclic compounds containing two or more hetero rings, having nitrogen atoms as the only ring hetero atoms, not provided for by group C07D401/00 containing two hetero rings
- C07D403/12—Heterocyclic compounds containing two or more hetero rings, having nitrogen atoms as the only ring hetero atoms, not provided for by group C07D401/00 containing two hetero rings linked by a chain containing hetero atoms as chain links
-
- A—HUMAN NECESSITIES
- A61—MEDICAL OR VETERINARY SCIENCE; HYGIENE
- A61K—PREPARATIONS FOR MEDICAL, DENTAL OR TOILETRY PURPOSES
- A61K31/00—Medicinal preparations containing organic active ingredients
- A61K31/33—Heterocyclic compounds
- A61K31/395—Heterocyclic compounds having nitrogen as a ring hetero atom, e.g. guanethidine or rifamycins
- A61K31/55—Heterocyclic compounds having nitrogen as a ring hetero atom, e.g. guanethidine or rifamycins having seven-membered rings, e.g. azelastine, pentylenetetrazole
- A61K31/551—Heterocyclic compounds having nitrogen as a ring hetero atom, e.g. guanethidine or rifamycins having seven-membered rings, e.g. azelastine, pentylenetetrazole having two nitrogen atoms, e.g. dilazep
-
- A—HUMAN NECESSITIES
- A61—MEDICAL OR VETERINARY SCIENCE; HYGIENE
- A61K—PREPARATIONS FOR MEDICAL, DENTAL OR TOILETRY PURPOSES
- A61K31/00—Medicinal preparations containing organic active ingredients
- A61K31/33—Heterocyclic compounds
- A61K31/395—Heterocyclic compounds having nitrogen as a ring hetero atom, e.g. guanethidine or rifamycins
- A61K31/55—Heterocyclic compounds having nitrogen as a ring hetero atom, e.g. guanethidine or rifamycins having seven-membered rings, e.g. azelastine, pentylenetetrazole
- A61K31/553—Heterocyclic compounds having nitrogen as a ring hetero atom, e.g. guanethidine or rifamycins having seven-membered rings, e.g. azelastine, pentylenetetrazole having at least one nitrogen and one oxygen as ring hetero atoms, e.g. loxapine, staurosporine
-
- A—HUMAN NECESSITIES
- A61—MEDICAL OR VETERINARY SCIENCE; HYGIENE
- A61P—SPECIFIC THERAPEUTIC ACTIVITY OF CHEMICAL COMPOUNDS OR MEDICINAL PREPARATIONS
- A61P1/00—Drugs for disorders of the alimentary tract or the digestive system
-
- A—HUMAN NECESSITIES
- A61—MEDICAL OR VETERINARY SCIENCE; HYGIENE
- A61P—SPECIFIC THERAPEUTIC ACTIVITY OF CHEMICAL COMPOUNDS OR MEDICINAL PREPARATIONS
- A61P1/00—Drugs for disorders of the alimentary tract or the digestive system
- A61P1/02—Stomatological preparations, e.g. drugs for caries, aphtae, periodontitis
-
- A—HUMAN NECESSITIES
- A61—MEDICAL OR VETERINARY SCIENCE; HYGIENE
- A61P—SPECIFIC THERAPEUTIC ACTIVITY OF CHEMICAL COMPOUNDS OR MEDICINAL PREPARATIONS
- A61P1/00—Drugs for disorders of the alimentary tract or the digestive system
- A61P1/04—Drugs for disorders of the alimentary tract or the digestive system for ulcers, gastritis or reflux esophagitis, e.g. antacids, inhibitors of acid secretion, mucosal protectants
-
- A—HUMAN NECESSITIES
- A61—MEDICAL OR VETERINARY SCIENCE; HYGIENE
- A61P—SPECIFIC THERAPEUTIC ACTIVITY OF CHEMICAL COMPOUNDS OR MEDICINAL PREPARATIONS
- A61P1/00—Drugs for disorders of the alimentary tract or the digestive system
- A61P1/16—Drugs for disorders of the alimentary tract or the digestive system for liver or gallbladder disorders, e.g. hepatoprotective agents, cholagogues, litholytics
-
- A—HUMAN NECESSITIES
- A61—MEDICAL OR VETERINARY SCIENCE; HYGIENE
- A61P—SPECIFIC THERAPEUTIC ACTIVITY OF CHEMICAL COMPOUNDS OR MEDICINAL PREPARATIONS
- A61P1/00—Drugs for disorders of the alimentary tract or the digestive system
- A61P1/18—Drugs for disorders of the alimentary tract or the digestive system for pancreatic disorders, e.g. pancreatic enzymes
-
- A—HUMAN NECESSITIES
- A61—MEDICAL OR VETERINARY SCIENCE; HYGIENE
- A61P—SPECIFIC THERAPEUTIC ACTIVITY OF CHEMICAL COMPOUNDS OR MEDICINAL PREPARATIONS
- A61P11/00—Drugs for disorders of the respiratory system
-
- A—HUMAN NECESSITIES
- A61—MEDICAL OR VETERINARY SCIENCE; HYGIENE
- A61P—SPECIFIC THERAPEUTIC ACTIVITY OF CHEMICAL COMPOUNDS OR MEDICINAL PREPARATIONS
- A61P11/00—Drugs for disorders of the respiratory system
- A61P11/06—Antiasthmatics
-
- A—HUMAN NECESSITIES
- A61—MEDICAL OR VETERINARY SCIENCE; HYGIENE
- A61P—SPECIFIC THERAPEUTIC ACTIVITY OF CHEMICAL COMPOUNDS OR MEDICINAL PREPARATIONS
- A61P11/00—Drugs for disorders of the respiratory system
- A61P11/08—Bronchodilators
-
- A—HUMAN NECESSITIES
- A61—MEDICAL OR VETERINARY SCIENCE; HYGIENE
- A61P—SPECIFIC THERAPEUTIC ACTIVITY OF CHEMICAL COMPOUNDS OR MEDICINAL PREPARATIONS
- A61P13/00—Drugs for disorders of the urinary system
- A61P13/12—Drugs for disorders of the urinary system of the kidneys
-
- A—HUMAN NECESSITIES
- A61—MEDICAL OR VETERINARY SCIENCE; HYGIENE
- A61P—SPECIFIC THERAPEUTIC ACTIVITY OF CHEMICAL COMPOUNDS OR MEDICINAL PREPARATIONS
- A61P17/00—Drugs for dermatological disorders
-
- A—HUMAN NECESSITIES
- A61—MEDICAL OR VETERINARY SCIENCE; HYGIENE
- A61P—SPECIFIC THERAPEUTIC ACTIVITY OF CHEMICAL COMPOUNDS OR MEDICINAL PREPARATIONS
- A61P17/00—Drugs for dermatological disorders
- A61P17/02—Drugs for dermatological disorders for treating wounds, ulcers, burns, scars, keloids, or the like
-
- A—HUMAN NECESSITIES
- A61—MEDICAL OR VETERINARY SCIENCE; HYGIENE
- A61P—SPECIFIC THERAPEUTIC ACTIVITY OF CHEMICAL COMPOUNDS OR MEDICINAL PREPARATIONS
- A61P17/00—Drugs for dermatological disorders
- A61P17/04—Antipruritics
-
- A—HUMAN NECESSITIES
- A61—MEDICAL OR VETERINARY SCIENCE; HYGIENE
- A61P—SPECIFIC THERAPEUTIC ACTIVITY OF CHEMICAL COMPOUNDS OR MEDICINAL PREPARATIONS
- A61P17/00—Drugs for dermatological disorders
- A61P17/06—Antipsoriatics
-
- A—HUMAN NECESSITIES
- A61—MEDICAL OR VETERINARY SCIENCE; HYGIENE
- A61P—SPECIFIC THERAPEUTIC ACTIVITY OF CHEMICAL COMPOUNDS OR MEDICINAL PREPARATIONS
- A61P19/00—Drugs for skeletal disorders
- A61P19/02—Drugs for skeletal disorders for joint disorders, e.g. arthritis, arthrosis
-
- A—HUMAN NECESSITIES
- A61—MEDICAL OR VETERINARY SCIENCE; HYGIENE
- A61P—SPECIFIC THERAPEUTIC ACTIVITY OF CHEMICAL COMPOUNDS OR MEDICINAL PREPARATIONS
- A61P19/00—Drugs for skeletal disorders
- A61P19/04—Drugs for skeletal disorders for non-specific disorders of the connective tissue
-
- A—HUMAN NECESSITIES
- A61—MEDICAL OR VETERINARY SCIENCE; HYGIENE
- A61P—SPECIFIC THERAPEUTIC ACTIVITY OF CHEMICAL COMPOUNDS OR MEDICINAL PREPARATIONS
- A61P19/00—Drugs for skeletal disorders
- A61P19/06—Antigout agents, e.g. antihyperuricemic or uricosuric agents
-
- A—HUMAN NECESSITIES
- A61—MEDICAL OR VETERINARY SCIENCE; HYGIENE
- A61P—SPECIFIC THERAPEUTIC ACTIVITY OF CHEMICAL COMPOUNDS OR MEDICINAL PREPARATIONS
- A61P19/00—Drugs for skeletal disorders
- A61P19/08—Drugs for skeletal disorders for bone diseases, e.g. rachitism, Paget's disease
-
- A—HUMAN NECESSITIES
- A61—MEDICAL OR VETERINARY SCIENCE; HYGIENE
- A61P—SPECIFIC THERAPEUTIC ACTIVITY OF CHEMICAL COMPOUNDS OR MEDICINAL PREPARATIONS
- A61P21/00—Drugs for disorders of the muscular or neuromuscular system
-
- A—HUMAN NECESSITIES
- A61—MEDICAL OR VETERINARY SCIENCE; HYGIENE
- A61P—SPECIFIC THERAPEUTIC ACTIVITY OF CHEMICAL COMPOUNDS OR MEDICINAL PREPARATIONS
- A61P25/00—Drugs for disorders of the nervous system
-
- A—HUMAN NECESSITIES
- A61—MEDICAL OR VETERINARY SCIENCE; HYGIENE
- A61P—SPECIFIC THERAPEUTIC ACTIVITY OF CHEMICAL COMPOUNDS OR MEDICINAL PREPARATIONS
- A61P25/00—Drugs for disorders of the nervous system
- A61P25/14—Drugs for disorders of the nervous system for treating abnormal movements, e.g. chorea, dyskinesia
-
- A—HUMAN NECESSITIES
- A61—MEDICAL OR VETERINARY SCIENCE; HYGIENE
- A61P—SPECIFIC THERAPEUTIC ACTIVITY OF CHEMICAL COMPOUNDS OR MEDICINAL PREPARATIONS
- A61P25/00—Drugs for disorders of the nervous system
- A61P25/14—Drugs for disorders of the nervous system for treating abnormal movements, e.g. chorea, dyskinesia
- A61P25/16—Anti-Parkinson drugs
-
- A—HUMAN NECESSITIES
- A61—MEDICAL OR VETERINARY SCIENCE; HYGIENE
- A61P—SPECIFIC THERAPEUTIC ACTIVITY OF CHEMICAL COMPOUNDS OR MEDICINAL PREPARATIONS
- A61P25/00—Drugs for disorders of the nervous system
- A61P25/28—Drugs for disorders of the nervous system for treating neurodegenerative disorders of the central nervous system, e.g. nootropic agents, cognition enhancers, drugs for treating Alzheimer's disease or other forms of dementia
-
- A—HUMAN NECESSITIES
- A61—MEDICAL OR VETERINARY SCIENCE; HYGIENE
- A61P—SPECIFIC THERAPEUTIC ACTIVITY OF CHEMICAL COMPOUNDS OR MEDICINAL PREPARATIONS
- A61P27/00—Drugs for disorders of the senses
-
- A—HUMAN NECESSITIES
- A61—MEDICAL OR VETERINARY SCIENCE; HYGIENE
- A61P—SPECIFIC THERAPEUTIC ACTIVITY OF CHEMICAL COMPOUNDS OR MEDICINAL PREPARATIONS
- A61P27/00—Drugs for disorders of the senses
- A61P27/02—Ophthalmic agents
-
- A—HUMAN NECESSITIES
- A61—MEDICAL OR VETERINARY SCIENCE; HYGIENE
- A61P—SPECIFIC THERAPEUTIC ACTIVITY OF CHEMICAL COMPOUNDS OR MEDICINAL PREPARATIONS
- A61P29/00—Non-central analgesic, antipyretic or antiinflammatory agents, e.g. antirheumatic agents; Non-steroidal antiinflammatory drugs [NSAID]
-
- A—HUMAN NECESSITIES
- A61—MEDICAL OR VETERINARY SCIENCE; HYGIENE
- A61P—SPECIFIC THERAPEUTIC ACTIVITY OF CHEMICAL COMPOUNDS OR MEDICINAL PREPARATIONS
- A61P29/00—Non-central analgesic, antipyretic or antiinflammatory agents, e.g. antirheumatic agents; Non-steroidal antiinflammatory drugs [NSAID]
- A61P29/02—Non-central analgesic, antipyretic or antiinflammatory agents, e.g. antirheumatic agents; Non-steroidal antiinflammatory drugs [NSAID] without antiinflammatory effect
-
- A—HUMAN NECESSITIES
- A61—MEDICAL OR VETERINARY SCIENCE; HYGIENE
- A61P—SPECIFIC THERAPEUTIC ACTIVITY OF CHEMICAL COMPOUNDS OR MEDICINAL PREPARATIONS
- A61P3/00—Drugs for disorders of the metabolism
-
- A—HUMAN NECESSITIES
- A61—MEDICAL OR VETERINARY SCIENCE; HYGIENE
- A61P—SPECIFIC THERAPEUTIC ACTIVITY OF CHEMICAL COMPOUNDS OR MEDICINAL PREPARATIONS
- A61P3/00—Drugs for disorders of the metabolism
- A61P3/06—Antihyperlipidemics
-
- A—HUMAN NECESSITIES
- A61—MEDICAL OR VETERINARY SCIENCE; HYGIENE
- A61P—SPECIFIC THERAPEUTIC ACTIVITY OF CHEMICAL COMPOUNDS OR MEDICINAL PREPARATIONS
- A61P3/00—Drugs for disorders of the metabolism
- A61P3/08—Drugs for disorders of the metabolism for glucose homeostasis
- A61P3/10—Drugs for disorders of the metabolism for glucose homeostasis for hyperglycaemia, e.g. antidiabetics
-
- A—HUMAN NECESSITIES
- A61—MEDICAL OR VETERINARY SCIENCE; HYGIENE
- A61P—SPECIFIC THERAPEUTIC ACTIVITY OF CHEMICAL COMPOUNDS OR MEDICINAL PREPARATIONS
- A61P31/00—Antiinfectives, i.e. antibiotics, antiseptics, chemotherapeutics
- A61P31/04—Antibacterial agents
-
- A—HUMAN NECESSITIES
- A61—MEDICAL OR VETERINARY SCIENCE; HYGIENE
- A61P—SPECIFIC THERAPEUTIC ACTIVITY OF CHEMICAL COMPOUNDS OR MEDICINAL PREPARATIONS
- A61P31/00—Antiinfectives, i.e. antibiotics, antiseptics, chemotherapeutics
- A61P31/04—Antibacterial agents
- A61P31/06—Antibacterial agents for tuberculosis
-
- A—HUMAN NECESSITIES
- A61—MEDICAL OR VETERINARY SCIENCE; HYGIENE
- A61P—SPECIFIC THERAPEUTIC ACTIVITY OF CHEMICAL COMPOUNDS OR MEDICINAL PREPARATIONS
- A61P31/00—Antiinfectives, i.e. antibiotics, antiseptics, chemotherapeutics
- A61P31/12—Antivirals
-
- A—HUMAN NECESSITIES
- A61—MEDICAL OR VETERINARY SCIENCE; HYGIENE
- A61P—SPECIFIC THERAPEUTIC ACTIVITY OF CHEMICAL COMPOUNDS OR MEDICINAL PREPARATIONS
- A61P31/00—Antiinfectives, i.e. antibiotics, antiseptics, chemotherapeutics
- A61P31/12—Antivirals
- A61P31/14—Antivirals for RNA viruses
-
- A—HUMAN NECESSITIES
- A61—MEDICAL OR VETERINARY SCIENCE; HYGIENE
- A61P—SPECIFIC THERAPEUTIC ACTIVITY OF CHEMICAL COMPOUNDS OR MEDICINAL PREPARATIONS
- A61P31/00—Antiinfectives, i.e. antibiotics, antiseptics, chemotherapeutics
- A61P31/12—Antivirals
- A61P31/14—Antivirals for RNA viruses
- A61P31/16—Antivirals for RNA viruses for influenza or rhinoviruses
-
- A—HUMAN NECESSITIES
- A61—MEDICAL OR VETERINARY SCIENCE; HYGIENE
- A61P—SPECIFIC THERAPEUTIC ACTIVITY OF CHEMICAL COMPOUNDS OR MEDICINAL PREPARATIONS
- A61P35/00—Antineoplastic agents
-
- A—HUMAN NECESSITIES
- A61—MEDICAL OR VETERINARY SCIENCE; HYGIENE
- A61P—SPECIFIC THERAPEUTIC ACTIVITY OF CHEMICAL COMPOUNDS OR MEDICINAL PREPARATIONS
- A61P37/00—Drugs for immunological or allergic disorders
-
- A—HUMAN NECESSITIES
- A61—MEDICAL OR VETERINARY SCIENCE; HYGIENE
- A61P—SPECIFIC THERAPEUTIC ACTIVITY OF CHEMICAL COMPOUNDS OR MEDICINAL PREPARATIONS
- A61P37/00—Drugs for immunological or allergic disorders
- A61P37/02—Immunomodulators
-
- A—HUMAN NECESSITIES
- A61—MEDICAL OR VETERINARY SCIENCE; HYGIENE
- A61P—SPECIFIC THERAPEUTIC ACTIVITY OF CHEMICAL COMPOUNDS OR MEDICINAL PREPARATIONS
- A61P37/00—Drugs for immunological or allergic disorders
- A61P37/02—Immunomodulators
- A61P37/06—Immunosuppressants, e.g. drugs for graft rejection
-
- A—HUMAN NECESSITIES
- A61—MEDICAL OR VETERINARY SCIENCE; HYGIENE
- A61P—SPECIFIC THERAPEUTIC ACTIVITY OF CHEMICAL COMPOUNDS OR MEDICINAL PREPARATIONS
- A61P37/00—Drugs for immunological or allergic disorders
- A61P37/08—Antiallergic agents
-
- A—HUMAN NECESSITIES
- A61—MEDICAL OR VETERINARY SCIENCE; HYGIENE
- A61P—SPECIFIC THERAPEUTIC ACTIVITY OF CHEMICAL COMPOUNDS OR MEDICINAL PREPARATIONS
- A61P43/00—Drugs for specific purposes, not provided for in groups A61P1/00-A61P41/00
-
- A—HUMAN NECESSITIES
- A61—MEDICAL OR VETERINARY SCIENCE; HYGIENE
- A61P—SPECIFIC THERAPEUTIC ACTIVITY OF CHEMICAL COMPOUNDS OR MEDICINAL PREPARATIONS
- A61P9/00—Drugs for disorders of the cardiovascular system
-
- A—HUMAN NECESSITIES
- A61—MEDICAL OR VETERINARY SCIENCE; HYGIENE
- A61P—SPECIFIC THERAPEUTIC ACTIVITY OF CHEMICAL COMPOUNDS OR MEDICINAL PREPARATIONS
- A61P9/00—Drugs for disorders of the cardiovascular system
- A61P9/10—Drugs for disorders of the cardiovascular system for treating ischaemic or atherosclerotic diseases, e.g. antianginal drugs, coronary vasodilators, drugs for myocardial infarction, retinopathy, cerebrovascula insufficiency, renal arteriosclerosis
-
- C—CHEMISTRY; METALLURGY
- C07—ORGANIC CHEMISTRY
- C07D—HETEROCYCLIC COMPOUNDS
- C07D223/00—Heterocyclic compounds containing seven-membered rings having one nitrogen atom as the only ring hetero atom
- C07D223/02—Heterocyclic compounds containing seven-membered rings having one nitrogen atom as the only ring hetero atom not condensed with other rings
- C07D223/06—Heterocyclic compounds containing seven-membered rings having one nitrogen atom as the only ring hetero atom not condensed with other rings with hetero atoms or with carbon atoms having three bonds to hetero atoms with at the most one bond to halogen, e.g. ester or nitrile radicals, directly attached to ring carbon atoms
- C07D223/08—Oxygen atoms
-
- C—CHEMISTRY; METALLURGY
- C07—ORGANIC CHEMISTRY
- C07D—HETEROCYCLIC COMPOUNDS
- C07D267/00—Heterocyclic compounds containing rings of more than six members having one nitrogen atom and one oxygen atom as the only ring hetero atoms
- C07D267/02—Seven-membered rings
- C07D267/08—Seven-membered rings having the hetero atoms in positions 1 and 4
- C07D267/12—Seven-membered rings having the hetero atoms in positions 1 and 4 condensed with carbocyclic rings or ring systems
- C07D267/14—Seven-membered rings having the hetero atoms in positions 1 and 4 condensed with carbocyclic rings or ring systems condensed with one six-membered ring
-
- C—CHEMISTRY; METALLURGY
- C07—ORGANIC CHEMISTRY
- C07D—HETEROCYCLIC COMPOUNDS
- C07D281/00—Heterocyclic compounds containing rings of more than six members having one nitrogen atom and one sulfur atom as the only ring hetero atoms
- C07D281/02—Seven-membered rings
- C07D281/04—Seven-membered rings having the hetero atoms in positions 1 and 4
- C07D281/08—Seven-membered rings having the hetero atoms in positions 1 and 4 condensed with carbocyclic rings or ring systems
- C07D281/10—Seven-membered rings having the hetero atoms in positions 1 and 4 condensed with carbocyclic rings or ring systems condensed with one six-membered ring
-
- C—CHEMISTRY; METALLURGY
- C07—ORGANIC CHEMISTRY
- C07D—HETEROCYCLIC COMPOUNDS
- C07D403/00—Heterocyclic compounds containing two or more hetero rings, having nitrogen atoms as the only ring hetero atoms, not provided for by group C07D401/00
- C07D403/14—Heterocyclic compounds containing two or more hetero rings, having nitrogen atoms as the only ring hetero atoms, not provided for by group C07D401/00 containing three or more hetero rings
-
- C—CHEMISTRY; METALLURGY
- C07—ORGANIC CHEMISTRY
- C07D—HETEROCYCLIC COMPOUNDS
- C07D409/00—Heterocyclic compounds containing two or more hetero rings, at least one ring having sulfur atoms as the only ring hetero atoms
- C07D409/02—Heterocyclic compounds containing two or more hetero rings, at least one ring having sulfur atoms as the only ring hetero atoms containing two hetero rings
- C07D409/12—Heterocyclic compounds containing two or more hetero rings, at least one ring having sulfur atoms as the only ring hetero atoms containing two hetero rings linked by a chain containing hetero atoms as chain links
-
- C—CHEMISTRY; METALLURGY
- C07—ORGANIC CHEMISTRY
- C07D—HETEROCYCLIC COMPOUNDS
- C07D413/00—Heterocyclic compounds containing two or more hetero rings, at least one ring having nitrogen and oxygen atoms as the only ring hetero atoms
- C07D413/02—Heterocyclic compounds containing two or more hetero rings, at least one ring having nitrogen and oxygen atoms as the only ring hetero atoms containing two hetero rings
- C07D413/12—Heterocyclic compounds containing two or more hetero rings, at least one ring having nitrogen and oxygen atoms as the only ring hetero atoms containing two hetero rings linked by a chain containing hetero atoms as chain links
-
- C—CHEMISTRY; METALLURGY
- C07—ORGANIC CHEMISTRY
- C07D—HETEROCYCLIC COMPOUNDS
- C07D413/00—Heterocyclic compounds containing two or more hetero rings, at least one ring having nitrogen and oxygen atoms as the only ring hetero atoms
- C07D413/14—Heterocyclic compounds containing two or more hetero rings, at least one ring having nitrogen and oxygen atoms as the only ring hetero atoms containing three or more hetero rings
-
- C—CHEMISTRY; METALLURGY
- C07—ORGANIC CHEMISTRY
- C07D—HETEROCYCLIC COMPOUNDS
- C07D417/00—Heterocyclic compounds containing two or more hetero rings, at least one ring having nitrogen and sulfur atoms as the only ring hetero atoms, not provided for by group C07D415/00
- C07D417/02—Heterocyclic compounds containing two or more hetero rings, at least one ring having nitrogen and sulfur atoms as the only ring hetero atoms, not provided for by group C07D415/00 containing two hetero rings
- C07D417/12—Heterocyclic compounds containing two or more hetero rings, at least one ring having nitrogen and sulfur atoms as the only ring hetero atoms, not provided for by group C07D415/00 containing two hetero rings linked by a chain containing hetero atoms as chain links
-
- C—CHEMISTRY; METALLURGY
- C07—ORGANIC CHEMISTRY
- C07D—HETEROCYCLIC COMPOUNDS
- C07D487/00—Heterocyclic compounds containing nitrogen atoms as the only ring hetero atoms in the condensed system, not provided for by groups C07D451/00 - C07D477/00
- C07D487/02—Heterocyclic compounds containing nitrogen atoms as the only ring hetero atoms in the condensed system, not provided for by groups C07D451/00 - C07D477/00 in which the condensed system contains two hetero rings
- C07D487/04—Ortho-condensed systems
-
- C—CHEMISTRY; METALLURGY
- C07—ORGANIC CHEMISTRY
- C07D—HETEROCYCLIC COMPOUNDS
- C07D498/00—Heterocyclic compounds containing in the condensed system at least one hetero ring having nitrogen and oxygen atoms as the only ring hetero atoms
- C07D498/02—Heterocyclic compounds containing in the condensed system at least one hetero ring having nitrogen and oxygen atoms as the only ring hetero atoms in which the condensed system contains two hetero rings
- C07D498/04—Ortho-condensed systems
Definitions
- the present invention relates to heterocyclic amides that inhibit RIP1 kinase and methods of making and using the same.
- Receptor-interacting protein-1 (RIP1) kinase is a TKL family serine/threonine protein kinase involved in innate immune signaling.
- RIP1 kinase is a RHIM domain containing protein, with an N-terminal kinase domain and a C-terminal death domain ((2005) Trends Biochem. Sci. 30, 151-159).
- the death domain of RIP1 mediates interaction with other death domain containing proteins including Fas and TNFR-1 ((1995) Cell 81 513-523), TRAIL-R1 and TRAIL-R2 ((1997) Immunity 7, 821-830) and TRADD ((1996) Immunity 4, 387-396), while the RHIM domain is crucial for binding other RHIM domain containing proteins such as TRIF ((2004) Nat Immunol. 5, 503-507), DAI ((2009) EMBO Rep. 10, 916-922) and RIP3 ((1999) J. Biol. Chem. 274, 16871-16875); (1999) Curr. Biol. 9, 539-542) and exerts many of its effects through these interactions.
- RIP1 is a central regulator of cell signaling, and is involved in mediating both pro-survival and programmed cell death pathways which will be discussed below.
- RIP1 The role for RIP1 in cell signaling has been assessed under various conditions [including TLR3 ((2004) Nat Immunol. 5, 503-507), TLR4 ((2005) J. Biol. Chem. 280, 36560-36566), TRAIL ((2012) J. Virol. Epub, ahead of print), FAS ((2004) J. Biol. Chem. 279, 7925-7933)], but is best understood in the context of mediating signals downstream of the death receptor TNFR1 ((2003) Cell 114, 181-190). Engagement of the TNFR by TNF leads to its oligomerization, and the recruitment of multiple proteins, including linear K63-linked polyubiquitinated RIP1 ((2006) Mol. Cell 22, 245-257), TRAF2/5 ((2010) J.
- complex I provides a platform for pro-survival signaling through the activation of the NF ⁇ B and MAP kinases pathways ((2010) Sci. Signal. 115, re4).
- DISC death-inducing signaling complex
- RIP3 can now enter this complex, become phosphorylated by RIP1 and initiate a caspase-independent programmed necrotic cell death through the activation of MLKL and PGAM5 ((2012) Cell 148, 213-227); ((2012) Cell 148, 228-243); ((2012) Proc. Natl. Acad. Sci. USA. 109, 5322-5327).
- DAMPs danger associated molecular patterns
- Dysregulation of RIP1 kinase-mediated programmed cell death has been linked to various inflammatory diseases, as demonstrated by use of the RIP3 knockout mouse (where RIP1-mediated programmed necrosis is completely blocked) and by Necrostatin-1 (a tool inhibitor of RIP1 kinase activity with poor oral bioavailability).
- the RIP3 knockout mouse has been shown to be protective in inflammatory bowel disease (including Ulcerative colitis and Crohn's disease) ((2011) Nature 477, 330-334), Psoriasis ((2011) Immunity 35, 572-582), retinal-detachment-induced photoreceptor necrosis ((2010) PNAS 107, 21695-21700), retinitis pigmentosa ((2012) Proc. Natl. Acad. Sci., 109:36, 14598-14603), cerulein-induced acute pancreatits ((2009) Cell 137, 1100-1111) and Sepsis/systemic inflammatory response syndrome (SIRS) ((2011) Immunity 35, 908-918).
- inflammatory bowel disease including Ulcerative colitis and Crohn's disease
- Psoriasis (2011) Immunity 35, 572-582)
- retinal-detachment-induced photoreceptor necrosis (2010) PNAS 107, 21695-21700)
- Necrostatin-1 has been shown to be effective in alleviating ischemic brain injury ((2005) Nat. Chem. Biol. 1, 112-119), retinal ischemia/reperfusion injury ((2010) J. Neurosci. Res. 88, 1569-1576), Huntington's disease ((2011) Cell Death Dis. 2 e115), renal ischemia reperfusion injury ((2012) Kidney Int. 81, 751-761), cisplatin induced kidney injury ((2012) Ren. Fail. 34, 373-377) and traumatic brain injury ((2012) Neurochem. Res. 37, 1849-1858).
- Other diseases or disorders regulated at least in part by RIP1-dependent apoptosis, necrosis or cytokine production include hematological and solid organ malignancies ((2013) Genes Dev. 27: 1640-1649), bacterial infections and viral infections ((2014) Cell Host & Microbe 15, 23-35) (including, but not limited to, tuberculosis and influenza ((2013) Cell 153, 1-14)) and Lysosomal storage diseases (particularly, Gaucher Disease, Nature Medicine Advance Online Publication, 19 Jan. 2014, doi:10.1038/nm.3449).
- a potent, selective, small molecule inhibitor of RIP1 kinase activity would block RIP1-dependent cellular necrosis and thereby provide a therapeutic benefit in diseases or events associated with DAMPs, cell death, and/or inflammation.
- the invention is directed to compounds according to Formula (I):
- X is O, S, SO, SO 2 , NH, CO, CH 2 , CF 2 , CH(CH 3 ), CH(OH), or N(CH 3 );
- Y is CH 2 or CH 2 CH 2 ;
- Z 1 is N, CH or CR 1 ;
- Z 2 is CH or CR 2 ;
- Z 3 is N, CH or CR 3 ;
- Z 4 is CH or CR 4 ;
- R 1 is fluoro or methyl
- R 2 and R 3 is halogen, cyano, (C 1 -C 6 )alkyl, halo(C 1 -C 4 )alkyl, (C 1 -C 6 )alkoxy, halo(C 1 -C 4 )alkoxy, hydroxyl, B(OH) 2 , —COOH, halo(C 1 -C 4 )alkylC(OH) 2 —, (C 1 -C 4 )alkoxy(C 1 -C 4 )alkoxy, (C 1 -C 4 )alkylSO 2 -, (C 1 -C 4 )alkylSO 2 NHC(O)—, (C 1 -C 4 )alkylC(O)NH—, ((C 1 -C 4 )alkyl)((C 1 -C 4 )alkyONC(O)—, (C 1 -C 4 )alkylOC(O)—, (C 1 -C 4 )
- 3-6 membered cycloalkyl, 5-6 membered heterocycloalkyl and 5-6 membered heteroaryl are optionally substituted by 1 or 2 substituents each independently selected from the group consisting of (C 1 -C 4 )alkyl and —(C 1 -C 4 )alkyl-CN;
- R 2 and R 3 is halogen or (C 1 -C 6 )alkyl
- R 4 is fluoro, chloro, or methyl
- R 5 is H or methyl
- A is phenyl, 5-6 membered heteroaryl, or 5-6 membered heterocycloalkyl, wherein the carbonyl moiety and L are substituted 1,3 on ring A;
- n 0 or m is 1 and R A is (C 1 -C 4 )alkyl
- L is O, S, NH, N(CH 3 ), CH 2 , CH 2 CH 2 , CH(CH 3 ), CHF, CF 2 , CH 2 O, CH 2 N(CH 3 ), CH 2 NH, or CH(OH);
- B is an optionally substituted (C 3 -C 6 )cycloalkyl, phenyl, 5-6 membered heteroaryl, or 5-6 membered heterocycloalkyl;
- the compounds according to Formula (I), or salts, particularly pharmaceutically acceptable salts, thereof, are inhibitors of RIP1 kinase.
- the present invention is also directed to a method of inhibiting RIP1 kinase which method comprises contacting a cell with a compound according to Formula (I), or a salt, particularly a pharmaceutically acceptable salt, thereof.
- the invention is further directed to a method of treating a RIP1 kinase-mediated disease or disorder which comprises administering a therapeutically effective amount of a compound according to Formula (I), or a salt, particularly a pharmaceutically acceptable salt thereof, to a patient (a human or other mammal, particularly, a human) in need thereof.
- Such RIP1 kinase-mediated diseases or disorders include inflammatory bowel disease (including Crohn's disease and ulcerative colitis), psoriasis, retinal detachment, retinitis pigmentosa, arthritis (including rheumatoid arthritis, spondyloarthritis, gout, and SoJIA), transplant rejection, ischemia reperfusion injury of solid organs, multiple sclerosis, and tumor necrosis factor receptor-associated periodic syndrome.
- the present invention is further directed to a pharmaceutical composition
- a pharmaceutical composition comprising a compound according to Formula (I), or a salt, particularly a pharmaceutically acceptable salt, thereof and a pharmaceutically acceptable excipient.
- this invention is directed to a pharmaceutical composition for the treatment of a RIP1 kinase-mediated disease or disorder, where the composition comprises a compound according to Formula (I), or a salt, particularly a pharmaceutically acceptable salt, thereof and a pharmaceutically acceptable excipient.
- FIG. 1A shows the temperature loss over time in mice after oral pre-dosing with the compound of Example 12 or vehicle followed by simultaneous i.v. administration of mouse TNF and zVAD.
- FIG. 1B shows the temperature loss in mice 2.5 hours after oral pre-dosing with the compound of Example 12 or vehicle followed by simultaneous i.v. administration of mouse TNF and zVAD.
- FIG. 2A shows the temperature loss over time in mice after oral pre-dosing with the compound of Example 12 or vehicle followed by i.v. administration of mouse TNF.
- FIG. 2B shows the temperature loss in mice 6 hours after oral pre-dosing with the compound of Example 12 or vehicle followed by i.v. administration of mouse TNF.
- FIG. 3A shows the cellular levels of ATP in mouse L929 fibrosarcoma cells pre-treated with the compound of Example 77 followed by treatment with TNF ⁇ +QvD.
- FIG. 3B shows the cellular levels of ATP in human monocytic leukemia U937 fibrosarcoma cells pre-treated with the compound of Example 77 followed by treatment with TNF ⁇ +QvD.
- FIG. 4A shows the temperature loss over time in mice after oral pre-dosing with the compound of Example 161 or vehicle followed by simultaneous i.v. administration of mouse TNF and zVAD.
- FIG. 4B shows the temperature loss in mice 6 hours after oral pre-dosing with the compound of Example 161 or vehicle followed by simultaneous i.v. administration of mouse TNF and zVAD.
- FIG. 5A shows the temperature loss over time in mice after oral pre-dosing with the compound of Example 161 or vehicle followed by i.v. administration of mouse TNF.
- FIG. 5B shows the temperature loss in mice 6 hours after oral pre-dosing with the compound of Example 161 or vehicle followed by i.v. administration of mouse TNF.
- FIG. 6A shows the cellular levels of ATP in mouse L929 fibrosarcoma cells pre-treated with the compound of Example 161 followed by treatment with TNF ⁇ +QvD.
- FIG. 6B shows an IC 50 curve of ATP in human monocytic leukemia U937 fibrosarcoma cells pre-treated with the compound of Example 161 followed by treatment with TNF ⁇ +QvD. Data are normalized to 10 mM Nec-1 which was set at 100% survival.
- FIG. 7 is a powder x-ray diffraction (PXRD) pattern of a crystalline form of anhydrous (S)-5-benzyl-N-(5-methyl-4-oxo-2,3,4,5-tetrahydrobenzo[b][1,4]oxazepin-3-yl)-4H-1,2,4-triazole-3-carboxamide (free base).
- PXRD powder x-ray diffraction
- This invention is also directed to a compound of Formula (I) wherein:
- X is O, S, SO, SO 2 , NH, CO, CH 2 , CF 2 , CH(CH 3 ), CH(OH), or N(CH 3 );
- Y is CH 2 or CH 2 CH 2 ;
- Z 1 is N, CH or CR 1 ;
- Z 2 is CH or CR 2 ;
- Z 3 is N, CH or CR 3 ;
- Z 4 is CH or CR 4 ;
- R 1 is fluoro or methyl
- R 2 and R 3 is halogen, cyano, (C 1 -C 6 )alkyl, halo(C 1 -C 4 )alkyl, (C 1 -C 6 )alkoxy, hydroxyl, B(OH) 2 , —COOH, halo(C 1 -C 4 )alkylC(OH) 2 —, (C 1 -C 4 )alkoxy(C 1 -C 4 )alkoxy, (C 1 -C 4 )alkylSO 2 —, (C 1 -C 4 )alkylSO 2 NHC(O)—, (C 1 -C 4 )alkylC(O)NH—, ((C 1 -C 4 )alkyl)((C 1 -C 4 )alkyl)NC(O)—, (C 1 -C 4 )alkylOC(O)—, (C 1 -C 4 )alkylC(O)N(C 1 -C 4
- 5-6 membered heterocycloalkyl and 5-6 membered heteroaryl are optionally substituted by 1 or 2 substituents each independently selected from the group consisting of (C 1 -C 4 )alkyl and —(C 1 -C 4 )alkyl-CN; and the other of R 2 and R 3 is halogen or (C 1 -C 6 )alkyl;
- R 4 is fluoro, chloro, or methyl
- R 5 is H or methyl
- A is phenyl, 5-6 membered heteroaryl, or 5-6 membered heterocycloalkyl, wherein the carbonyl moiety and L are substituted 1,3 on ring A;
- L is O, S, NH, N(CH 3 ), CH 2 , CH 2 CH 2 , CH(CH 3 ), CHF, CF 2 , CH 2 O, CH 2 N(CH 3 ), CH 2 NH, or CH(OH);
- B is an optionally substituted (C 3 -C 6 )cycloalkyl, phenyl, 5-6 membered heteroaryl, or 5-6 membered heterocycloalkyl;
- alkyl represents a saturated, straight or branched hydrocarbon group having the specified number of carbon atoms.
- (C 1 -C 4 )alkyl refers to an alkyl moiety containing from 1 to 4 carbon atoms.
- Exemplary alkyls include, but are not limited to methyl, ethyl, n-propyl, isopropyl, n-butyl, isobutyl, s-butyl, and t-butyl.
- substituent term such as “alkyl”
- aryl(C 1 -C 4 )alkyl examples include, but are not limited to, benzyl (phenylmethyl), 1-methylbenzyl (1-phenylethyl), and phenethyl (2-phenylethyl).
- hydroxy(C 1 -C 4 )alkyl examples include, but are not limited to, hydroxymethyl, hydroxyethyl, and hydroxyisopropyl.
- halo(C 1 -C 4 )alkyl represents a group having one or more halogen atoms, which may be the same or different, at one or more carbon atoms of an alkyl moiety containing from 1 to 4 carbon atoms.
- halo(C 1 -C 4 )alkyl groups include, but are not limited to, —CF 3 (trifluoromethyl), —CCl 3 (trichloromethyl), 1,1-difluoroethyl, 2,2,2-trifluoroethyl, and hexafluoroisopropyl.
- Alkenyl refers to straight or branched hydrocarbon group having at least 1 and up to 3 carbon-carbon double bonds. Examples include ethenyl and propenyl.
- Alkoxy refers to an “alkyl-oxy-” group, containing an alkyl moiety attached through an oxygen linking atom.
- the term “(C 1 -C 4 )alkoxy” represents a saturated, straight or branched hydrocarbon moiety having at least 1 and up to 4 carbon atoms attached through an oxygen linking atom.
- Exemplary “(C 1 -C 4 )alkoxy” groups include, but are not limited to, methoxy, ethoxy, n-propoxy, isopropoxy, n-butoxy, s-butoxy, and t-butoxy.
- halo(C 1 -C 4 )alkoxy refers to a “haloalkyl-oxy-” group, containing a “halo(C 1 -C 4 )alkyl” moiety attached through an oxygen linking atom, which halo(C 1 -C 4 )alkyl” refers to a moiety having one or more halogen atoms, which may be the same or different, at one or more carbon atoms of an alkyl moiety containing from 1 to 4 carbon atoms.
- halo(C 1 -C 4 )alkoxy examples include, but are not limited to, —OCHF 2 (difluoromethoxy), —OCF 3 (trifluoromethoxy), —OCH 2 CF 3 (trifluoroethoxy), and —OCH(CF 3 ) 2 (hexafluoroisopropoxy).
- a carbocyclic group is a cyclic group in which all of the ring members are carbon atoms, which may be saturated, partially unsaturated (non-aromatic) or fully unsaturated (aromatic).
- the term “carbocyclic” includes cycloalkyl and aryl groups.
- Cycloalkyl refers to a non-aromatic, saturated, cyclic hydrocarbon group containing the specified number of carbon atoms.
- the term “(C 3 -C 6 )cycloalkyl” refers to a non-aromatic cyclic hydrocarbon ring having from three to six ring carbon atoms.
- Exemplary “(C 3 -C 6 )cycloalkyl” groups include cyclopropyl, cyclobutyl, cyclopentyl, and cyclohexyl.
- cycloalkyloxy or “cycloalkoxy” refer to a group containing a cycloalkyl moiety, defined hereinabove, attached through an oxygen linking atom.
- exemplary “(C 3 -C 6 )cycloalkyloxy” groups include cyclopropyloxy, cyclobutyloxy, cyclopentyloxy, and cyclohexyloxy.
- Aryl refers to a group or moiety comprising an aromatic, monocyclic or bicyclic hydrocarbon radical containing from 6 to 10 carbon ring atoms and having at least one aromatic ring.
- aryl groups are phenyl, naphthyl, indenyl, and dihydroindenyl (indanyl).
- aryl is phenyl.
- a heterocyclic group is a cyclic group having, as ring members, atoms of at least two different elements, which cyclic group may be saturated, partially unsaturated (non-aromatic) or fully unsaturated (aromatic).
- the terms “heterocyclic” or “heterocyclyl” includes heterocycloalkyl and heteroaryl groups.
- heterocyclic, heterocyclyl, heteroaryl, and heterocycloalkyl are intended to encompass stable groups where a ring nitrogen heteroatom is optionally oxidized (e.g., heteroaryl groups containing an N-oxide, such as oxo-pyridyl (pyridyl-N-oxide) and oxo-oxadiazolyl (oxo-4,5-dihydro-1,3,4-oxadiazolyl) or where a ring sulfur heteroatom is optionally oxidized (e.g., heterocycloalkyl groups containing sulfones or sulfoxide moieties, such as tetrahydrothienyl-1-oxide (tetrahydrothienyl sulfoxide, tetrahydrothiophenyl sulfoxide) and tetrahydrothienyl-1,1-dioxide (tetrahydrothienyl sulfone
- Heterocycloalkyl refers to a non-aromatic, monocyclic or bicyclic group containing 3-10 ring atoms, being saturated or having one or more degrees of unsaturation and containing one or more (generally one or two) heteroatom substitutions independently selected from oxygen, sulfur, and nitrogen.
- heterocycloalkyl groups include, but are not limited to, aziridinyl, thiiranyl, oxiranyl, azetidinyl, oxetanyl, thietanyl, pyrrolidinyl, pyrrolinyl, pyrazolidinyl, pyrazolinyl, imidazolidinyl, imidazolinyl, oxazolinyl, thiazolinyl, tetrahydrofuranyl, dihydrofuranyl, tetrahydrothienyl, 1,3-dioxolanyl, piperidinyl, piperazinyl, tetrahydropyranyl, dihydropyranyl, tetrahydrothiopyranyl, 1,3-dioxanyl, 1,4-dioxanyl, 1,3-oxathiolanyl, 1,3-oxathianyl, 1,3-d
- Examples of “4-membered heterocycloalkyl” groups include oxetanyl, thietanyl and azetidinyl.
- 5-6-membered heterocycloalkyl represents a non aromatic, monocyclic group, which is saturated or partially unsaturated, containing 5 or 6 ring atoms, which includes one or two heteroatoms selected independently from oxygen, sulfur, and nitrogen.
- Illustrative examples of 5 to 6-membered heterocycloalkyl groups include, but are not limited to pyrrolidinyl, piperidinyl, piperazinyl, tetrahydrofuranyl, tetrahydrothienyl, tetrahydropyranyl, tetrahydrothiopyranyl, morpholinyl, and thiomorpholinyl.
- Heteroaryl represents a group or moiety comprising an aromatic monocyclic or bicyclic radical, containing 5 to 10 ring atoms, including 1 to 4 heteroatoms independently selected from nitrogen, oxygen and sulfur. This term also encompasses bicyclic heterocyclic-aryl groups containing either an aryl ring moiety fused to a heterocycloalkyl ring moiety or a heteroaryl ring moiety fused to a cycloalkyl ring moiety.
- heteroaryls include, but are not limited to, furanyl, thienyl, pyrrolyl, imidazolyl, pyrazolyl, triazolyl, tetrazolyl, thiazolyl, oxazolyl, isoxazolyl, oxadiazolyl, thiadiazolyl, isothiazolyl, pyridinyl (pyridyl), oxo-pyridyl (pyridyl-N-oxide), pyridazinyl, pyrazinyl, pyrimidinyl, triazinyl, benzofuranyl, isobenzofuryl, 2,3-dihydrobenzofuryl, 1,3-benzodioxolyl, dihydrobenzodioxinyl, benzothienyl, indolizinyl, indolyl, isoindolyl, dihydroindolyl, benzimi
- 5-6-membered heteroaryl represents an aromatic monocyclic group containing 5 or 6 ring atoms, including at least one carbon atom and 1 to 4 heteroatoms independently selected from nitrogen, oxygen and sulfur.
- Selected 5-membered heteroaryl groups contain one nitrogen, oxygen, or sulfur ring heteroatom, and optionally contain 1, 2, or 3 additional nitrogen ring atoms.
- Selected 6-membered heteroaryl groups contain 1, 2, or 3 nitrogen ring heteroatoms.
- 5-membered heteroaryl groups include furyl (furanyl), thienyl, pyrrolyl, imidazolyl, pyrazolyl, triazolyl, tetrazolyl, thiazolyl, isothiazolyl, thiadiazolyl, oxazolyl, isoxazolyl, oxadiazolyl and oxo-oxadiazolyl.
- Selected 6-membered heteroaryl groups include pyridinyl, oxo-pyridyl, pyrazinyl, pyrimidinyl, pyridazinyl and triazinyl.
- Bicyclic heteroaryl groups include 6,5-fused heteroaryl (9-membered heteroaryl) and 6,6-fused heteroaryl (10-membered heteroaryl) groups.
- 6,5-fused heteroaryl (9-membered heteroaryl) groups include benzothienyl, benzofuranyl, indolyl, indolinyl, isoindolyl, isoindolinyl, indazolyl, indolizinyl, isobenzofuryl, 2,3-dihydrobenzofuryl, benzoxazolyl, benzthiazolyl, benzimidazolyl, benzoxadiazolyl, benzthiadiazolyl, benzotriazolyl, 1,3-benzoxathiol-2-on-yl (2-oxo-1,3-benzoxathiolyl), purinyl and imidazopyridinyl.
- 6,6-fused heteroaryl (10-membered heteroaryl) groups include quinolyl, isoquinolyl, phthalazinyl, naphthridinyl (1,5-naphthyridinyl, 1,6-naphthyridinyl, 1,7-naphthyridinyl, 1,8-naphthyridinyl), quinazolinyl, quinoxalinyl, 4H-quinolizinyl, tetrahydroquinolinyl, cinnolinyl, and pteridinyl.
- bicyclic ring systems may be attached at any suitable position on either ring.
- halogen and “halo” represent chloro, fluoro, bromo, or iodo substituents.
- Oxo represents a double-bonded oxygen moiety; for example, if attached directly to a carbon atom forms a carbonyl moiety (C ⁇ O).
- Hydroxo or “hydroxyl” is intended to mean the radical —OH.
- cyano refers to the group —CN.
- the term “optionally substituted” indicates that a group (such as an alkyl, cycloalkyl, alkoxy, heterocycloalkyl, aryl, or heteroaryl group) or ring or moiety (such as a carbocyclic or heterocyclic ring or moiety) may be unsubstituted, or the group, ring or moiety may be substituted with one or more substituent(s) as defined.
- groups may be selected from a number of alternative groups, the selected groups may be the same or different.
- pharmaceutically acceptable refers to those compounds, materials, compositions, and dosage forms which are, within the scope of sound medical judgment, suitable for use in contact with the tissues of human beings and animals without excessive toxicity, irritation, or other problem or complication, commensurate with a reasonable benefit/risk ratio.
- the terms “compound(s) of the invention” or “compound(s) of this invention” mean a compound of Formula (I), particularly a compound of any one of Formulas (I-IV), as defined herein, in any form, i.e., any salt or non-salt form (e.g., as a free acid or base form, or as a salt, particularly a pharmaceutically acceptable salt thereof) and any physical form thereof (e.g., including non-solid forms (e.g., liquid or semi-solid forms), and solid forms (e.g., amorphous or crystalline forms, specific polymorphic forms, solvate forms, including hydrate forms (e.g., mono-, di- and hemi-hydrates)), and mixtures of various forms.
- any salt or non-salt form e.g., as a free acid or base form, or as a salt, particularly a pharmaceutically acceptable salt thereof
- any physical form thereof e.g., including non-solid forms (e.g., liquid or semi
- X is O, S, SO, SO 2 , NH, CO, CH 2 , CF 2 , CH(CH 3 ), N(CH 3 ), or CH(OH).
- X is O, S, SO, SO 2 , NH, CO, CH 2 , or N(CH 3 ).
- X is S, SO, SO 2 , or CO.
- X is CF 2 , CH(CH 3 ), or CH(OH).
- X is O, CH 2 , NH or N(CH 3 ).
- X is O or CH 2 .
- Y is CH 2 or CH 2 CH 2 . In another embodiment, Y is CH 2 CH 2 . In selected embodiments, Y is CH 2 .
- Z 1 , Z 2 , Z 3 , and Z 4 are each CH. In another embodiment, Z 1 is CR 1 and Z 2 , Z 3 and Z 4 are each CH.
- Z 1 , Z 2 , and Z 4 are each CH and Z 3 is CR 3 .
- Z 1 , Z 3 , and Z 4 are each CH and Z 2 is CR 2 .
- Z 1 , Z 2 , and Z 3 are each CH and Z 4 is CR 4 .
- Z 1 and Z 2 are CH, Z 3 is CR 3 , and Z 4 is CR 4 .
- Z 1 and Z 4 are CH, Z 2 is CR 2 , and Z 3 is CR 3 .
- Z 1 and Z 3 are CH, Z 2 is CR 2 , and Z 4 is CR 4 .
- Z 1 is CH, Z 2 is CR 2 , Z 3 is CR 3 , and Z 4 is CR 4 .
- Z 1 is CH, Z 2 is CR 2 , Z 3 is CR 3 , and Z 4 is CR 4 .
- Z 1 and Z 3 are both N, Z 2 is CH and Z 4 is CH or CR 4 . In yet another embodiment of the compounds of this invention Z 1 and Z 3 are both N, Z 2 is CH or CR 2 and Z 4 is CH. In still other embodiments, Z 1 is N, Z 2 is CR 2 and Z 3 and Z 4 are CH. In yet other embodiments, Z 3 is N, and Z 2 , Z 3 and Z 4 are CH.
- R 1 is fluoro. In another embodiment, R 1 is methyl.
- one of R 2 and R 3 is halogen, cyano, (C 1 -C 6 )alkyl, halo(C 1 -C 4 )alkyl, (C 1 -C 6 )alkoxy, halo(C 1 -C 4 )alkoxy, hydroxyl, B(OH) 2 , —COOH, halo(C 1 -C 4 )alkylC(OH) 2 —, (C 1 -C 4 )alkoxy(C 1 -C 4 )alkoxy, (C 1 -C 4 )alkylSO 2 —, (C 1 -C 4 )alkylSO 2 NHC(O)—, (C 1 -C 4 )alkylC(O)NH—, ((C 1 -C 4 )alkyl)((C 1 -C 4 )alkyl)NC(O)—, (C 1 -C 4 )alkylOC(O)—, (C 1 -C 4
- 3-6 membered cycloalkyl, 5-6 membered heterocycloalkyl and 5-6 membered heteroaryl are optionally substituted by 1 or 2 substituents each independently selected from the group consisting of (C 1 -C 4 )alkyl and —(C 1 -C 4 )alkyl-CN;
- R 2 and R 3 is halogen, cyano or (C 1 -C 6 )alkyl.
- one of R 2 and R 3 is halogen, cyano, (C 1 -C 6 )alkyl, halo(C 1 -C 4 )alkyl, (C 1 -C 6 )alkoxy, hydroxyl, B(OH) 2 , —COOH, halo(C 1 -C 4 )alkylC(OH) 2 —, (C 1 -C 4 )alkoxy(C 1 -C 4 )alkoxy, (C 1 -C 4 )alkylSO 2 —, (C 1 -C 4 )alkylSO 2 NHC(O)—, (C 1 -C 4 )alkylC(O)NH—, ((C 1 -C 4 )alkyl)((C 1 -C 4 )alkyl)NC(O)—, (C 1 -C 4 )alkylOC(O)—, (C 1 -C 4 )alkylC(
- 5-6 membered heterocycloalkyl and 5-6 membered heteroaryl are optionally substituted by 1 or 2 substituents each independently selected from the group consisting of (C 1 -C 4 )alkyl and —(C 1 -C 4 )alkyl-CN;
- R 2 and R 3 is halogen or (C 1 -C 6 )alkyl.
- R 2 is halogen, cyano, (C 1 -C 6 )alkyl, (C 1 -C 6 )alkoxy, halo(C 1 -C 4 )alkoxy, hydroxyl, B(OH) 2 , —COOH, halo(C 1 -C 4 )alkylC(OH) 2 —, (C 1 -C 4 )alkoxy(C 1 -C 4 )alkoxy, 3-5 membered cycloalkyl, or 5-6 membered heteroaryl, wherein said 3-5 membered cycloalkyl or 5-6 membered heteroaryl is optionally substituted by a (C 1 -C 3 )alkyl substituent; and Z 3 is CH or CR 3 and R 3 is cyano, (C 1 -C 6 )alkyl, or a 5-6 membered heteroaryl, optionally substituted by a (C 1 -C 3 )alkyl substituent.
- R 2 is halogen, cyano, (C 1 -C 6 )alkyl, hydroxyl, B(OH) 2 , —COOH, halo(C 1 -C 4 )alkylC(OH) 2 —, (C 1 -C 4 )alkoxy(C 1 -C 4 )alkoxy, or 5-6 membered heteroaryl, wherein said 5-6 membered heteroaryl is optionally substituted by a (C 1 -C 3 )alkyl substituent; and Z 3 is CH.
- R 3 is halogen, (C 1 -C 6 )alkyl, halo(C 1 -C 4 )alkyl, (C 1 -C 6 )alkoxy, halo(C 1 -C 6 )alkoxy, B(OH) 2 , —COOH, (C 1 -C 4 )alkylSO 2 —, (C 1 -C 4 )alkylSO 2 NHC(O)—, (C 1 -C 4 )alkylC(O)NH—, ((C 1 -C 4 )alkyl)((C 1 -C 4 )alkyl)NC(O)—, (C 1 -C 4 )alkylOC(O)—, (C 1 -C 4 )alkylC(O)N(C 1 -C 4 )alkyl)-, (C 1 -C 4 )alkoxy(C 2 -C 4 )alkylNHC(O)NH—, (C 1
- R 3 is halogen, (C 1 -C 6 )alkyl, halo(C 1 -C 4 )alkyl, (C 1 -C 6 )alkoxy, B(OH) 2 , —COOH, (C 1 -C 4 )alkylSO 2 —, (C 1 -C 4 )alkylSO 2 NHC(O)—, (C 1 -C 4 )alkylC(O)NH—, ((C 1 -C 4 )alkyl)((C 1 -C 4 )alkyl)NC(O)—, (C 1 -C 4 )alkylOC(O)—, (C 1 -C 4 )alkylC(O)N(C 1 -C 4 )alkyl)-, (C 1 -C 4 )alkoxy(C 2 -C 4 )alkylNHC(O)NH—, (C 1 -C 4 )alkylSO 2 (C 2 ,
- R 2 is fluoro, chloro, bromo, —CN, —CH 3 , —OCH 3 , —OCHF 2 , —OH, B(OH) 2 , CF 3 C(OH) 2 —, CH 3 OCH 2 CH 2 O—, cyclopropyl, 5H-tetrazol-5-yl, pyrazol-3-yl, or 5-methyl-1,3,4-oxadiazol-2-yl.
- R 2 is fluoro, chloro, bromo, —CN, —CH 3 , —OH, B(OH) 2 , CF 3 C(OH) 2 —, CH 3 OCH 2 CH 2 O—, 5H-tetrazol-5-yl, pyrazol-3-yl, or 5-methyl-1,3,4-oxadiazol-2-yl.
- R 2 is chloro, bromo, —CN, —CH 3 , —OH, B(OH) 2 , CF 3 C(OH) 2 —, CH 3 OCH 2 CH 2 O—, 5H-tetrazol-5-yl, pyrazol-3-yl, or 5-methyl-1,3,4-oxadiazol-2-yl.
- R 3 is fluoro, chloro, bromo, —CN, —OCH 3 , —OCHF 2 , B(OH) 2 , —COOH, CH 3 SO 2 —, CH 3 SO 2 NHC(O)—, CH 3 C(O)NH—, (CH 3 ) 2 NC(O)—, CH 3 OC(O)—, (CH 3 )C(O)N(CH 3 )—, HOCH 2 CH 2 C(O)NH—, CH 3 OCH 2 CH 2 NHC(O)NH—, CH 3 SO 2 CH 2 CH 2 NHC(O)—, CH 3 CH 2 NHC(O)NH—, CH 3 OC(O)NH—, morpholin-4-yl-CO—, pyrrolidin-1-yl-CH 2 CH 2 NHC(O)—, pyridin-2-yl, tetrahydrofuran-2-yl-CH 2 O—, pyrrolidin-1-yl-CH 2 CH 2 O—,
- R 3 is fluoro, chloro, bromo, —OCH 3 , B(OH) 2 , —COOH, CH 3 SO 2 —, CH 3 SO 2 NHC(O)—, CH 3 C(O)NH—, (CH 3 ) 2 NC(O)—, CH 3 OC(O)—, (CH 3 )C(O)N(CH 3 )—, HOCH 2 CH 2 C(O)NH—, CH 3 OCH 2 CH 2 NHC(O)NH—, CH 3 SO 2 CH 2 CH 2 NHC(O)—, CH 3 CH 2 NHC(O)NH—, CH 3 OC(O)NH—, morpholin-4-yl-CO—, pyrrolidin-1-yl-CH 2 CH 2 NHC(O)—, tetrahydrofuran-2-yl-CH 2 O—, pyrrolidin-1-yl-CH 2 CH 2 O—, tetrazol-5-yl, 1-(2-cyanoethyl
- R 3 is fluoro, chloro, bromo, —OCH 3 , B(OH) 2 , —COOH, CH 3 SO 2 —, CH 3 SO 2 NHC(O)—, CH 3 C(O)NH—, (CH 3 ) 2 NC(O)—, CH 3 OC(O)—, (CH 3 )C(O)N(CH 3 )—, HOCH 2 CH 2 C(O)NH—, CH 3 OCH 2 CH 2 NHC(O)NH—, CH 3 SO 2 CH 2 CH 2 NHC(O)—, CH 3 CH 2 NHC(O)NH—, CH 3 OC(O)NH—, morpholin-4-yl-CO—, pyrrolidin-1-yl-CH 2 CH 2 NHC(O)—, tetrahydrofuran-2-yl-CH 2 O—, pyrrolidin-1-yl-CH 2 CH 2 O—, tetrazol-5-yl, 1-(2-cyanoethyl
- R 4 is fluoro, chloro, methyl, or trifluoromethyl. In another embodiment, R 4 is fluoro. In yet another embodiment, R 4 is methyl.
- R 5 is H. In another embodiment, R 5 is methyl.
- A is phenyl, 5-6 membered heteroaryl, or 5-6 membered heterocycloalkyl, wherein the carbonyl moiety and L are substituted 1,3 on ring A.
- A is a 5 membered heteroaryl containing one oxygen or sulfur atom and optionally containing one or two nitrogen atoms; specifically A is furyl, thienyl, oxazolyl, isoxazolyl, thiazolyl, or oxadiazolyl (more specifically, 1, 2, 4-oxadiazolyl or 1, 3, 4-oxadiazolyl).
- A is a 5 membered heteroaryl containing one nitrogen atom and optionally containing one, two or three additional nitrogen atoms, specifically; A is pyrrolyl, pyrazolyl, imidazolyl, triazolyl (more specifically, 1, 2, 3-triazolyl or 1, 2, 4-triazolyl) or tetrazolyl.
- A is triazolyl.
- A is a 5 or 6 membered heterocycloalkyl specifically, A is piperidinyl or pyrrolidinyl.
- A is a 6 membered aromatic group selected from phenyl and pyridyl.
- Another embodiment of this invention is directed to a compound according to Formula (II):
- a 1 is C
- a 4 is C or N
- a 2 , A 3 , and A 5 are each independently selected from CH, CR A , O, S, N, NH and NR A to form a furyl, thienyl, oxazolyl, isoxazolyl, thiazolyl, oxadiazolyl, pyrrolyl, pyrazolyl, imidazolyl, triazolyl or tetrazolyl ring moiety,
- ring moiety contains 0 or 1 of CR A and NR A ;
- a 1 is C
- a 4 is C or N
- a 2 , A 3 , and A 5 are each independently selected from CH, O, N, and NH to form an oxazolyl, isoxazolyl, oxadiazolyl, pyrrolyl, pyrazolyl, imidazolyl, triazolyl or tetrazolyl ring moiety.
- a 1 and A 4 are each C, and A 2 , A 3 and A 5 are each independently selected from N and NH to form a triazolyl ring moiety.
- A is piperidinyl or pyrrolidinyl
- A is piperidinyl or pyrrolidinyl
- s is 0 or 1
- A10 is N and X, Z 1 , Z 2 , Z 3 , Z 4 , R 5 R A , m, L, and B are as defined herein.
- m is 0 and A is an unsubstituted piperidinyl or pyrrolidinyl moiety.
- m is 0. In another embodiment, m is 1 and R A is (C 1 -C 4 )alkyl, specifically R A is (C 1 -C 2 )alkyl. In selected embodiments, R A is methyl.
- a further embodiment of this invention wherein A is phenyl, pyridinyl, or pyridinyl-N-oxide, may be represented by Formula (IV):
- a 6 , A 7 , A 8 , and A 9 are each CH;
- one of A 6 , A 7 , A 8 , and A 9 is CR A and the others of A 6 , A 7 , A 8 , and A 9 are CH;
- a 6 , A 7 , A 8 , and A 9 is N and the others of A 6 , A 7 , A 8 , and A 9 are CH;
- one of A 6 , A 7 , A 8 , and A 9 is N—O and the other of A 6 , A 7 , A 8 , and A 9 are CH;
- L is O, S, NH, N(CH 3 ), CH 2 , CH 2 CH 2 , CH(CH 3 ), CHF, CF 2 , CH 2 O, CH 2 N(CH 3 ), CH 2 NH, or CH(OH).
- L is O, S, N(CH 3 ), CH 2 , CH 2 CH 2 , CH(CH 3 ), CF 2 , CH 2 O, CH 2 N(CH 3 ), or CH(OH).
- L is CH 2 O, CH 2 CH 2 , CH 2 NH, or CH 2 N(CH 3 ).
- L is N(CH 3 ), CH(CH 3 ), or CH(OH).
- L is —(R)CH(CH 3 ).
- L is O, CH 2 , or NH.
- L is O.
- L is CH 2 .
- B is an optionally substituted (C 3 -C 6 )cycloalkyl, phenyl, 5-6 membered heteroaryl, or 5-6 membered heterocycloalkyl; wherein said (C 3 -C 6 )cycloalkyl, phenyl, 5-6 membered heteroaryl, or 5-6 membered heterocycloalkyl is unsubstituted or is substituted by one or two substituents each independently selected from halogen, (C 1 -C 4 )alkyl, halo(C 1 -C 4 )alkyl, (C 1 -C 4 )alkoxy, halo(C 1 -C 4 )alkoxy, nitro, and (C 1 -C 4 )alkylC(O)—.
- B is an optionally substituted 5-6 membered heteroaryl or 5-6 membered heterocycloalkyl.
- B is an optionally substituted pyrazolyl, thienyl, pyridinyl (pyridyl), oxo-pyridyl, pyrimidinyl, isoxazolyl, morpholinyl, tetrahydropyranyl or tetrahydrofuranyl, wherein the pyrazolyl, thienyl, pyridinyl (pyridyl), oxo-pyridyl, pyrimidinyl, isoxazolyl, morpholinyl, tetrahydropyranyl or tetrahydrofuranyl is optionally substituted by one or two independently selected (C 1 -C 4 )alkyl substituents.
- Bis an optionally substituted pyrazolyl, thienyl, pyridinyl (pyridyl), oxo-pyridyl, pyrimidinyl, isoxazolyl, morpholinyl, or tetrahydrofuranyl wherein the pyrazolyl, thienyl, pyridinyl (pyridyl), oxo-pyridyl, pyrimidinyl, isoxazolyl, morpholinyl, or tetrahydrofuranyl is optionally substituted by one or two independently selected (C 1 -C 4 )alkyl substituents.
- B is thien-2-yl (thiophen-2-yl), 5-methyl-thien-2-yl (5-methyl-thiophen-2-yl), pyrazol-1-yl, 3,5-dimethylpyrazol-1-yl, 4-methylpyrazol-1-yl, 3,5-dimethylisoxazol-4-yl, tetrahydropyran-3-yl, tetrahydrofuran-2-yl, morpholin-4-yl, pyridin-2-yl, 2-oxo-pyridin-1-yl, 6-methylpyridin-3-yl, or 2-methylpyrimidin-5-yl.
- B is thien-2-yl (thiophen-2-yl), 5-methyl-thien-2-yl (5-methyl-thiophen-2-yl), pyrazol-1-yl, 3,5-dimethylpyrazol-1-yl, 4-methylpyrazol-1-yl, 3,5-dimethylisoxazol-4-yl, tetrahydrofuran-2-yl, morpholin-4-yl, pyridin-2-yl, 2-oxo-pyridin-1-yl, 6-methylpyridin-3-yl, and 2-methylpyrimidin-5-yl.
- B is thien-2-yl, pyrazol-1-yl, 3,5-dimethylpyrazol-1-yl, 4-methylpyrazol-1-yl, 3,5-dimethylisoxazol-4-yl, tetrahydrofuran-2-yl, morpholin-4-yl, pyridin-2-yl, 2-oxo-pyridin-1-yl, 6-methylpyridin-3-yl, and 2-methylpyrimidin-5-yl.
- B is unsubstituted (C 3 -C 6 )cycloalkyl or phenyl.
- B is unsubstituted cyclopropyl, cyclobutyl, cyclopentyl or cyclohexyl.
- B is unsubstituted cyclopentyl or cyclohexyl.
- B is unsubstituted phenyl.
- B is substituted phenyl.
- B is phenyl, substituted by 1 or 2 substituents independently selected from halogen, (C 1 -C 4 )alkyl, halo(C 1 -C 4 )alkyl, (C 1 -C 4 )alkoxy, halo(C 1 -C 4 )alkoxy, nitro, and (C 1 -C 4 )alkylC(O)—.
- B is phenyl, substituted by 1 or 2 substituents independently selected from halogen, (C 1 -C 3 )alkyl and (C 1 -C 3 )alkoxy.
- B is phenyl, substituted by a substituent selected from fluoro, chloro, bromo, iodo, nitro, methyl, ethyl, isopropyl, trifluoromethyl, methoxy, and —COCH 3 .
- B is phenyl, substituted by 1 or 2 substituents independently selected from iodo, fluoro, chloro, bromo, methyl and methoxy.
- B is phenyl, substituted by 1 or 2 substituents independently selected from fluoro, chloro, bromo, and methyl, specifically B is phenyl, substituted by 1 or 2 fluoro substituents.
- B is cyclopentyl, cyclohexyl, 2-methylphenyl, 4-methylphenyl, 2-trifluoromethylphenyl, 2-fluorophenyl, 3-fluorophenyl, 4-fluorophenyl, 2-iodophenyl, 3-bromophenyl, 4-bromophenyl, 4-chlorophenyl, 2,5-difluorophenyl, 2,4-difluorophenyl, 3,4-difluorophenyl, 3,5-difluorophenyl, or 4-methoxyphenyl.
- B is 2,3-difluorophenyl or 2,6-difluorophenyl.
- the moiety -L-B is (C 3 -C 6 )alkyl, (C 3 -C 6 )alkoxy, halo(C 3 -C 6 )alkoxy, (C 3 -C 6 )alkenyl, or (C 3 -C 6 )alkenyloxy.
- the moiety -L-B is (C 3 -C 6 )alkyl, (C 3 -C 6 )alkoxy, or (C 3 -C 5 )alkenyloxy.
- -L-B is —OCH 2 CH ⁇ CH 2 , —CH 2 CH 2 CH 2 CH 2 CH 3 , —OCH 2 CH 2 CH 2 CH 3 , —CH 2 CH 2 CH 3 , —CH 2 CH(CH 3 ) 2 or —CH 2 CH 2 CH(CH 3 ) 2 .
- -L-B is —OCH 2 CH ⁇ CH 2 , —CH 2 CH 2 CH 2 CH 2 CH 3 , —OCH 2 CH 2 CH 2 CH 3 , —CH 2 CH 2 CH 3 , or —CH 2 CH(CH 3 ) 2 .
- Representative compounds of this invention include the compounds of the Examples. It will be appreciated that the present invention encompasses compounds of Formula (I) as the free base and as salts thereof, for example as a pharmaceutically acceptable salt thereof. In one embodiment the invention relates to compounds of Formula (I) in the form of a free base. In another embodiment the invention relates to compounds of Formula (I) in the form of a salt, particularly, a pharmaceutically acceptable salt. It will be further appreciated that, in one embodiment, the invention relates to compounds of the Examples in the form of a free base. In another embodiment the invention relates to compounds of the Examples in the form of a salt, particularly, a pharmaceutically acceptable salt.
- this invention is directed to (S)-5-benzyl-N-(5-methyl-4-oxo-2,3,4,5-tetrahydrobenzo[b][1,4]oxazepin-3-yl)-4H-1,2,4-triazole-3-carboxamide; (S)-5-benzyl-N-(6-fluoro-5-methyl-4-oxo-2,3,4,5-tetrahydrobenzo[b][1,4]oxazepin-3-yl)-4H-1,2,4-triazole-3-carboxamide; and 5-benzyl-N-(7-bromo-2-oxo-2,3,4,5-tetrahydro-1H-benzo[b]azepin-3-yl)-4H-1,2,4-triazole-3-carboxamide, or a salt thereof, particularly a pharmaceutically acceptable salt, thereof.
- this invention is directed to (S)-5-benzyl-N-(5-methyl-4-oxo-2,3,4,5-tetrahydrobenzo[b][1,4]oxazepin-3-yl)-4H-1,2,4-triazole-3-carboxamide; (S)-5-benzyl-N-(6-fluoro-5-methyl-4-oxo-2,3,4,5-tetrahydrobenzo[b][1,4]oxazepin-3-yl)-4H-1,2,4-triazole-3-carboxamide; or 5-benzyl-N-(7-bromo-2-oxo-2,3,4,5-tetrahydro-1H-benzo[b]azepin-3-yl)-4H-1,2,4-triazole-3-carboxamide, or a pharmaceutically acceptable salt, thereof.
- this invention is directed to (S)-5-benzyl-N-(5-methyl-4-oxo-2,3,4,5-tetrahydrobenzo[b][1,4]oxazepin-3-yl)-4H-1,2,4-triazole-3-carboxamide and (S)-5-benzyl-N-(7-chloro-2-oxo-2,3,4,5-tetrahydro-1H-benzo[b]azepin-3-yl)-4H-1,2,4-triazole-3-carboxamide, or a pharmaceutically acceptable salt thereof.
- This invention is directed to (S)-5-benzyl-N-(5-methyl-4-oxo-2,3,4,5-tetrahydrobenzo[b][1,4]oxazepin-3-yl)-4H-1,2,4-triazole-3-carboxamide or a salt, particularly a pharmaceutically acceptable salt, thereof.
- one particular compound of the invention is (S)-5-benzyl-N-(5-methyl-4-oxo-2,3,4,5-tetrahydrobenzo[b][1,4]oxazepin-3-yl)-4H-1,2,4-triazole-3-carboxamide (free base).
- the compound of the invention is a salt of (S)-5-benzyl-N-(5-methyl-4-oxo-2,3,4,5-tetrahydrobenzo[b][1,4]oxazepin-3-yl)-4H-1,2,4-triazole-3-carboxamide.
- the compound of the invention is a pharmaceutically acceptable salt of (S)-5-benzyl-N-(5-methyl-4-oxo-2,3,4,5-tetrahydrobenzo[b][1,4]oxazepin-3-yl)-4H-1,2,4-triazole-3-carboxamide.
- the compound of the invention is a base-addition salt of (S)-5-benzyl-N-(5-methyl-4-oxo-2,3,4,5-tetrahydrobenzo[b][1,4]oxazepin-3-yl)-4H-1,2,4-triazole-3-carboxamide.
- the compound of the invention is a crystalline form of anhydrous (S)-5-benzyl-N-(5-methyl-4-oxo-2,3,4,5-tetrahydrobenzo[b][1,4]oxazepin-3-yl)-4H-1,2,4-triazole-3-carboxamide (free base) characterized by the PXRD pattern of FIG. 7 .
- a particular compound of the invention is a crystalline form of anhydrous (S)-5-benzyl-N-(5-methyl-4-oxo-2,3,4,5-tetrahydrobenzo[b][1,4]oxazepin-3-yl)-4H-1,2,4-triazole-3-carboxamide (free base) characterized by the diffraction data in Table 1.
- This invention is directed (S)-5-benzyl-N-(7-chloro-2-oxo-2,3,4,5-tetrahydro-1H-benzo[b]azepin-3-yl)-4H-1,2,4-triazole-3-carboxamide, or a salt, particularly a pharmaceutically acceptable salt, thereof.
- one particular compound of the invention is (S)-5-benzyl-N-(7-chloro-2-oxo-2,3,4,5-tetrahydro-1H-benzo[b]azepin-3-yl)-4H-1,2,4-triazole-3-carboxamide (free base).
- the compound of the invention is a salt of (S)-5-benzyl-N-(7-chloro-2-oxo-2,3,4,5-tetrahydro-1H-benzo[b]azepin-3-yl)-4H-1,2,4-triazole-3-carboxamide.
- the compound of the invention is a pharmaceutically acceptable salt of (S)-5-benzyl-N-(7-chloro-2-oxo-2,3,4,5-tetrahydro-1H-benzo[b]azepin-3-yl)-4H-1,2,4-triazole-3-carboxamide.
- the compound of the invention is a base-addition salt of (S)-5-benzyl-N-(7-chloro-2-oxo-2,3,4,5-tetrahydro-1H-benzo[b]azepin-3-yl)-4H-1,2,4-triazole-3-carboxamide.
- this invention is directed to a compound of Formula (I) wherein:
- X is O, S, SO, SO 2 , NH, CO, CH 2 , or N(CH 3 );
- Y is CH 2 or CH 2 CH 2 ;
- Z 1 , Z 2 , Z 3 , and Z 4 are each CH; or Z 1 is CR 1 and Z 2 , Z 3 and Z 4 are each CH; or Z 1 , Z 2 , and Z 4 are each CH and Z 3 is CR 3 ; or Z 1 , Z 3 , and Z 4 are each CH and Z 2 is CR 2 ; or Z 1 , Z 2 , and Z 3 are each CH and Z 4 is CR 4 ; or Z 1 and Z 2 are CH, Z 3 is CR 3 , and Z 4 is CR 4 ; or Z 1 and Z 4 are CH, Z 2 is CR 2 , and Z 3 is CR 3 ; or Z 1 and Z 3 are CH, Z 2 is CR 2 , and Z 4 is CR 4 ; or Z 1 is CH, Z 2 is CR 2 , and Z 4 is CR 4 ; or Z 1 is CH, Z 2 is CR 2 , Z 3 is CR 3 , and Z 4 is CR 4 ; or Z 1 is CH, Z 2 is
- R 1 is methyl
- R 2 is fluoro, chloro, bromo, —CN, —CH 3 , —OCH 3 , —OCHF 2 , —OH, B(OH) 2 , CF 3 C(OH) 2 —, CH 3 OCH 2 CH 2 O—, cyclopropyl, 5H-tetrazol-5-yl, pyrazol-3-yl, or 5-methyl-1,3,4-oxadiazol-2-yl;
- R 3 is fluoro, chloro, bromo, —CN, —OCH 3 , —OCHF 2 , B(OH) 2 , —COOH, CH 3 SO 2 —, CH 3 SO 2 NHC(O)—, CH 3 C(O)NH—, (CH 3 ) 2 NC(O)—, CH 3 OC(O)—, (CH 3 )C(O)N(CH 3 )—, HOCH 2 CH 2 C(O)NH—, CH 3 OCH 2 CH 2 NHC(O)NH—, CH 3 SO 2 CH 2 CH 2 NHC(O)—, CH 3 CH 2 NHC(O)NH—, CH 3 OC(O)NH—, morpholin-4-yl-CO—, pyrrolidin-1-yl-CH 2 CH 2 NHC(O)—, pyridin-2-yl, tetrahydrofuran-2-yl-CH 2 O—, pyrrolidin-1-yl-CH 2 CH 2 O—, tetra
- R 4 is fluoro, chloro, methyl, or trifluoromethyl
- R 5 is H or methyl
- A is furyl, thienyl, oxazolyl, isoxazolyl, thiazolyl, 1, 2, 4-oxadiazolyl, 1, 3, 4-oxadiazolyl, pyrrolyl, pyrazolyl, imidazolyl, 1, 2, 3-triazolyl, 1, 2, 4-triazolyl, tetrazolyl, piperidinyl, pyrrolidinyl, phenyl or pyridyl;
- n 0 or m is 1 and R A is methyl
- L is O, S, N(CH 3 ), CH 2 , CH 2 CH 2 , CH(CH 3 ), —(R)CH(CH 3 ), CF 2 , CH 2 O, CH 2 N(CH 3 ), or CH(OH); and B is thien-2-yl, 5-methyl-thien-2-yl, pyrazol-1-yl, 3,5-dimethylpyrazol-1-yl, 4-methylpyrazol-1-yl, 3,5-dimethylisoxazol-4-yl, tetrahydropyran-3-yl, tetrahydrofuran-2-yl, morpholin-4-yl, pyridin-2-yl, 2-oxo-pyridin-1-yl, 6-methylpyridin-3-yl, 2-methylpyrimidin-5-yl, cyclopentyl, cyclohexyl, phenyl, 2-methylphenyl, 4-methylphenyl, 2-trifluoromethylphenyl, 2-fluorophenyl
- R B is —OCH 2 CH ⁇ CH 2 , —CH 2 CH 2 CH 2 CH 2 CH 3 , —OCH 2 CH 2 CH 2 CH 3 , —CH 2 CH 2 CH 3 , —CH 2 CH(CH 3 ) 2 or —CH 2 CH 2 CH(CH 3 ) 2 ;
- this invention is directed to a compound of Formula (I) wherein:
- X is O, S, SO, SO 2 , NH, CO, CH 2 , or N(CH 3 );
- Y is CH 2 or CH 2 CH 2 ;
- Z 1 , Z 2 , Z 3 , and Z 4 are each CH; or Z 1 is CR 1 and Z 2 , Z 3 and Z 4 are each CH; or Z 1 , Z 2 , and Z 4 are each CH and Z 3 is CR 3 ; or Z 1 , Z 3 , and Z 4 are each CH and Z 2 is CR 2 ; or Z 1 , Z 2 , and Z 3 are each CH and Z 4 is CR 4 ; or Z 1 and Z 3 are CH, Z 2 is CR 2 , and Z 4 is CR 4 ; or Z 1 and Z 3 are CH, Z 2 is CR 2 , and Z 4 is CR 4 ; or Z 1 and Z 3 are both N, Z 2 is CH and Z 4 is CH or CR 4 ; or Z 1 is N, Z 2 is CR 4 and Z 3 and Z 4 are CH; or Z 3 is N, and Z 2 , Z 3 and Z 4 are CH;
- R 1 is methyl
- R 2 is fluoro, chloro, bromo, —CN, —CH 3 , —OH, B(OH) 2 , CF 3 C(OH) 2 —, CH 3 OCH 2 CH 2 O—, 5H-tetrazol-5-yl, pyrazol-3-yl, or 5-methyl-1,3,4-oxadiazol-2-yl;
- R 3 is fluoro, chloro, bromo, —OCH 3 , B(OH) 2 , —COOH, CH 3 SO 2 —, CH 3 SO 2 NHC(O)—, CH 3 C(O)NH—, (CH 3 ) 2 NC(O)—, CH 3 OC(O)—, (CH 3 )C(O)N(CH 3 )—, HOCH 2 CH 2 C(O)NH—, CH 3 OCH 2 CH 2 NHC(O)NH—, CH 3 SO 2 CH 2 CH 2 NHC(O)—, CH 3 CH 2 NHC(O)NH—, CH 3 OC(O)NH—, morpholin-4-yl-CO—, pyrrolidin-1-yl-CH 2 CH 2 NHC(O)—, tetrahydrofuran-2-yl-CH 2 O—, pyrrolidin-1-yl-CH 2 CH 2 O—, tetrazol-5-yl, 1-(2-cyanoethyl)-tetra
- R 4 is fluoro, chloro, methyl, or trifluoromethyl
- R 5 is H or methyl
- A is furyl, thienyl, oxazolyl, isoxazolyl, thiazolyl, 1, 2, 4-oxadiazolyl, 1, 3, 4-oxadiazolyl, pyrrolyl, pyrazolyl, imidazolyl, 1, 2, 3-triazolyl, 1, 2, 4-triazolyl, tetrazolyl, piperidinyl, pyrrolidinyl, phenyl or pyridyl;
- n 0 or m is 1 and R A is methyl
- L is O, S, N(CH 3 ), CH 2 , CH 2 CH 2 , CH(CH 3 ), CF 2 , CH 2 O, CH 2 N(CH 3 ), or CH(OH);
- B is thien-2-yl, 5-methyl-thien-2-yl, pyrazol-1-yl, 3,5-dimethylpyrazol-1-yl, 4-methylpyrazol-1-yl, 3,5-dimethylisoxazol-4-yl, tetrahydrofuran-2-yl, morpholin-4-yl, pyridin-2-yl, 2-oxo-pyridin-1-yl, 6-methylpyridin-3-yl, 2-methylpyrimidin-5-yl, cyclopentyl, cyclohexyl, phenyl, 2-methylphenyl, 4-methylphenyl, 2-trifluoromethylphenyl, 2-fluorophenyl, 3-fluorophenyl, 4-fluorophenyl, 2-iodophenyl, 3-bromophenyl, 4-bromophenyl, 4-chlorophenyl, 2,5-difluorophenyl, 2,4-difluorophenyl, 3,
- R B is —OCH 2 CH ⁇ CH 2 , —CH 2 CH 2 CH 2 CH 2 CH 3 , —OCH 2 CH 2 CH 2 CH 3 , —CH 2 CH 2 CH 3 , —CH 2 CH(CH 3 ) 2 or —CH 2 CH 2 CH(CH 3 ) 2 ;
- this invention is directed to a compound of Formula (I) wherein:
- X is O, CH 2 , NH or N(CH 3 );
- Y is CH 2 or CH 2 CH 2 ;
- Z 1 , Z 2 , Z 3 , and Z 4 are each CH; or Z 1 is CR 1 and Z 2 , Z 3 and Z 4 are each CH; or Z 1 , Z 2 , and Z 4 are each CH and Z 3 is CR 3 ; or Z 1 , Z 3 , and Z 4 are each CH and Z 2 is CR 2 ; or Z 1 , Z 2 , and Z 3 are each CH and Z 4 is CR 4 ; or Z 1 and Z 3 are CH, Z 2 is CR 2 , and Z 4 is CR 4 ; or Z 1 and Z 3 are CH, Z 2 is CR 2 , and Z 4 is CR 4 ; or Z 1 and Z 3 are both N, Z 2 is CH and Z 4 is CH or CR 4 ; or Z 1 is N, Z 2 is CR 4 and Z 3 and Z 4 are CH; or Z 3 is N, and Z 2 , Z 3 and Z 4 are CH;
- R 1 is methyl
- R 2 is chloro, bromo, —CN, —CH 3 , —OH, B(OH) 2 , CF 3 C(OH) 2 —, CH 3 OCH 2 CH 2 O—, 5H-tetrazol-5-yl, pyrazol-3-yl, or 5-methyl-1,3,4-oxadiazol-2-yl;
- R 3 is fluoro, chloro, bromo, —OCH 3 , B(OH) 2 , —COOH, CH 3 SO 2 —, CH 3 SO 2 NHC(O)—, CH 3 C(O)NH—, (CH 3 ) 2 NC(O)—, CH 3 OC(O)—, (CH 3 )C(O)N(CH 3 )—, HOCH 2 CH 2 C(O)NH—, CH 3 OCH 2 CH 2 NHC(O)NH—, CH 3 SO 2 CH 2 CH 2 NHC(O)—, CH 3 CH 2 NHC(O)NH—, CH 3 OC(O)NH—, morpholin-4-yl-CO—, pyrrolidin-1-yl-CH 2 CH 2 NHC(O)—, tetrahydrofuran-2-yl-CH 2 O—, pyrrolidin-1-yl-CH 2 CH 2 O—, tetrazol-5-yl, 1-(2-cyanoethyl)-tetra
- R 4 is fluoro or methyl
- A is furyl, thienyl, oxazolyl, isoxazolyl, thiazolyl, 1, 2, 4-oxadiazolyl, 1, 3, 4-oxadiazolyl, pyrrolyl, pyrazolyl, imidazolyl, 1, 2, 3-triazolyl, 1, 2, 4-triazolyl, tetrazolyl, piperidinyl, pyrrolidinyl, phenyl or pyridyl;
- L is O, S, N(CH 3 ), CH 2 , CH 2 CH 2 , CH(CH 3 ), CF 2 , CH 2 O, CH 2 N(CH 3 ), or CH(OH);
- B is thien-2-yl, pyrazol-1-yl, 3,5-dimethylpyrazol-1-yl, 4-methylpyrazol-1-yl, 3,5-dimethylisoxazol-4-yl, tetrahydrofuran-2-yl, morpholin-4-yl, pyridin-2-yl, 2-oxo-pyridin-1-yl, 6-methylpyridin-3-yl, 2-methylpyrimidin-5-yl, cyclopentyl, cyclohexyl, phenyl, 2-methylphenyl, 4-methylphenyl, 2-trifluoromethylphenyl, 2-fluorophenyl, 3-fluorophenyl, 4-fluorophenyl, 2-iodophenyl, 3-bromophenyl, 4-bromophenyl, 4-chlorophenyl, 2,5-difluorophenyl, 2,4-difluorophenyl, 3,4-difluorophenyl
- or -L-B is —OCH 2 CH ⁇ CH 2 , —CH 2 CH 2 CH 2 CH 2 CH 3 , —OCH 2 CH 2 CH 2 CH 3 , —CH 2 CH 2 CH 3 , or —CH 2 CH(CH 3 ) 2 ; or a pharmaceutically acceptable salt thereof.
- this invention is directed to a compound of Formula (I) wherein X is O or CH 2 ; Y is CH 2 ; Z 1 , Z 2 , and Z 4 are each CH and Z 3 is CR 3 ; or Z 1 , Z 3 , and Z 4 are each CH and Z 2 is CR 2 ; or Z 1 , Z 2 , and Z 3 are each CH and Z 4 is CR 4 ; or Z 1 and Z 3 are CH, Z 2 is CR 2 , and Z 4 is CR 4 ; R 2 is fluoro, chloro, bromo, or —CH 3 ; R 3 is 5-methyl-1,3,4-oxadiazol-2-yl; R 4 is fluoro; R 5 is H or methyl; A is triazolyl; m is 0; L is CH 2 ; and B is cyclopentyl or phenyl; or a salt, particularly a pharmaceutically acceptable salt thereof.
- the compounds of this invention contain one or more asymmetric centers (also referred to as a chiral center), such as a chiral carbon, or a chiral —SO— moiety.
- asymmetric centers also referred to as a chiral center
- the stereochemistry of the chiral carbon center present in compounds of this invention is generally represented in the compound names and/or in the chemical structures illustrated herein.
- Compounds of this invention containing one or more chiral centers may be present as racemic mixtures, diastereomeric mixtures, enantiomerically enriched mixtures, diastereomerically enriched mixtures, or as enantiomerically or diastereomerically pure individual stereoisomers.
- Individual stereoisomers of a compound of this invention may be resolved (or mixtures of stereoisomers may be enriched) using methods known to those skilled in the art. For example, such resolution may be carried out (1) by formation of diastereoisomeric salts, complexes or other derivatives; (2) by selective reaction with a stereoisomer-specific reagent, for example by enzymatic oxidation or reduction; or (3) by gas-liquid or liquid chromatography in a chiral environment, for example, on a chiral support such as silica with a bound chiral ligand or in the presence of a chiral solvent.
- stereoisomers may be synthesized by asymmetric synthesis using optically active reagents, substrates, catalysts or solvents, or by converting one enantiomer to the other by asymmetric transformation.
- the invention also includes various deuterated forms of the compounds of this invention, a specific example of which is N-[(3S)-7-deuterio-1-methyl-2-oxo-2,3,4,5-tetrahydro-1H-1-benzazepin-3-yl]-5-(phenylmethyl)-1H-pyrazole-3-carboxamide.
- Each available hydrogen atom attached to a carbon atom may be independently replaced with a deuterium atom.
- a person of ordinary skill in the art will know how to synthesize deuterated forms of the compounds of this invention.
- ⁇ -deuterated ⁇ -amino acids are commercially available or may be prepared by conventional techniques (see for example: Elemes, Y. and Ragnarsson, U. J. Chem.
- solvates (particularly, hydrates) of a compound of Formula (I), particularly a compound of any one of Formulas (I-IV), including solvates of salts of a compound of Formula (I), particularly a compound of any one of Formulas (I-IV), may be formed when solvent molecules are incorporated into the crystalline lattice during crystallization.
- the present invention includes within its scope all possible stoichiometric and non-stoichiometric salt and/or hydrate forms.
- the compound or salt including solvates (particularly, hydrates) thereof, may exist in crystalline forms, non-crystalline forms or a mixture thereof.
- the compound or salt, or solvates (particularly, hydrates) thereof may also exhibit polymorphism (i.e. the capacity to occur in different crystalline forms). These different crystalline forms are typically known as “polymorphs.”
- polymorphs typically known as “polymorphs.”
- the disclosed compound, or solvates (particularly, hydrates) thereof also include all polymorphs thereof. Polymorphs have the same chemical composition but differ in packing, geometrical arrangement, and other descriptive properties of the crystalline solid state.
- Polymorphs may have different physical properties such as shape, density, hardness, deformability, stability, and dissolution properties. Polymorphs typically exhibit different melting points, IR spectra, and X-ray powder diffraction patterns, which may be used for identification. One of ordinary skill in the art will appreciate that different polymorphs may be produced, for example, by changing or adjusting the conditions used in crystallizing/recrystallizing the compound. It is well known and understood to those skilled in the art that the apparatus employed, humidity, temperature, orientation of the powder crystals, and other parameters involved in obtaining a powder X-ray diffraction (PXRD) pattern may cause some variability in the appearance, intensities, and positions of the lines in the diffraction pattern.
- PXRD powder X-ray diffraction
- a powder X-ray diffraction pattern that is “substantially in accordance” with that of the Figure provided herein is a PXRD pattern that would be considered by one skilled in the art to represent a compound possessing the same crystal form as the compound that provided the PXRD pattern of the Figure.
- the PXRD pattern may be identical to that of FIG. 7 , or more likely it may be somewhat different.
- Such a PXRD pattern may not necessarily show each of the lines of the diffraction patterns presented herein, and/or may show a slight change in appearance, intensity, or a shift in position of said lines resulting from differences in the conditions involved in obtaining the data.
- a person skilled in the art is capable of determining if a sample of a crystalline compound has the same form as, or a different form from, a form disclosed herein by comparison of their PXRD patterns. For example, one skilled in the art can overlay a PXRD pattern of a sample of a crystalline form of anhydrous (S)-5-benzyl-N-(5-methyl-4-oxo-2,3,4,5-tetrahydrobenzo[b][1,4]oxazepin-3-yl)-4H-1,2,4-triazole-3-carboxamide (free base) with the PXRD pattern of FIG.
- the sample form can be readily and accurately identified as having the same form as the crystalline form of anhydrous (S)-5-benzyl-N-(5-methyl-4-oxo-2,3,4,5-tetrahydrobenzo[b][1,4]oxazepin-3-yl)-4H-1,2,4-triazole-3-carboxamide (free base) described herein.
- S anhydrous
- a person skilled in the art is capable of determining if a given diffraction angle (expressed in ° 20) obtained from a PXRD pattern is at about the same position as a recited value.
- the salts of the compounds of Formula (I), particularly a compound of any one of Formulas (I-IV), are preferably pharmaceutically acceptable.
- Suitable pharmaceutically acceptable salts can include acid or base addition salts.
- salts and solvates e.g. hydrates and hydrates of salts
- the counterion or associated solvent is pharmaceutically acceptable.
- Salts and solvates having non-pharmaceutically acceptable counterions or associated solvents are within the scope of the present invention, for example, for use as intermediates in the preparation of other compounds of the invention and their salts and solvates.
- Salts may be prepared in situ during the final isolation and purification of a compound of Formula (I), particularly a compound of any one of Formulas (I-IV). If a basic compound of Formula (I-IV) is isolated as a salt, the corresponding free base form of that compound may be prepared by any suitable method known to the art, including treatment of the salt with an inorganic or organic base, suitably an inorganic or organic base having a higher pK a than the free base form of the compound.
- a disclosed compound containing a carboxylic acid or other acidic functional group is isolated as a salt
- the corresponding free acid form of that compound may be prepared by any suitable method known to the art, including treatment of the salt with an inorganic or organic acid, suitably an inorganic or organic acid having a lower pK a than the free acid form of the compound.
- This invention also provides for the conversion of one salt of a compound of this invention, e.g., a hydrochloride salt, into another salt of a compound of this invention, e.g., a sulfate salt.
- Salts of the compounds of Formula (I), particularly compounds of Formulas (I-IV), containing a basic amine or other basic functional group may be prepared by any suitable method known in the art, such as treatment of the free base with an acid.
- suitable method known in the art, such as treatment of the free base with an acid.
- pharmaceutically acceptable salts so formed include acetate, adipate, ascorbate, aspartate, benzenesulfonate, benzoate, camphorate, camphor-sulfonate (camsylate), caprate (decanoate), caproate (hexanoate), caprylate (octanoate), carbonate, bicarbonate, cinnamate, citrate, cyclamate, dodecylsulfate (estolate), ethane-1,2-disulfonate (edisylate), ethanesulfonate (esylate), formate, fumarate, galactarate (mucate), gentisate
- Salts of the disclosed compounds containing a carboxylic acid or other acidic functional group can be prepared by reacting with a suitable base.
- a suitable base which affords a pharmaceutically acceptable cation, which includes alkali metal salts (especially sodium and potassium), alkaline earth metal salts (especially calcium and magnesium), aluminum salts and ammonium salts, as well as salts made from physiologically acceptable organic bases such as trimethylamine, triethylamine, morpholine, pyridine, piperidine, picoline, dicyclohexylamine, N,N′-dibenzylethylenediamine, 2-hydroxyethylamine, bis-(2-hydroxyethyl)amine, tri-(2-hydroxyethyl)amine, procaine, dibenzylpiperidine, dehydroabietylamine, N,N′-bisdehydroabietylamine, glucamine, N-methylglucamine, collidine, choline, quinine, quinoline
- the compounds of this invention are intended for use in pharmaceutical compositions it will readily be understood that they are each preferably provided in substantially pure form, for example at least 60% pure, more suitably at least 75% pure and preferably at least 85%, especially at least 98% pure (% are on a weight for weight basis). Impure preparations of the compounds may be used for preparing the more pure forms used in the pharmaceutical compositions.
- the compounds of this invention may be prepared using synthetic procedures illustrated in the Schemes below or by drawing on the knowledge of a skilled organic chemist.
- the synthesis provided in these Schemes are applicable for producing compounds of the invention having a variety of different R groups employing appropriate precursors, which are suitably protected if needed, to achieve compatibility with the reactions outlined herein. Subsequent deprotection, where needed, affords compounds of the nature generally disclosed. While the Schemes are shown with compounds only of Formulas (I-IV), they are illustrative of processes that may be used to make the compounds of the invention.
- (S)—N-(4-Oxo-2,3,4,5-tetrahydrobenzo[b][1,4]oxazepin-3-yl)carboxamides may be prepared via the general method outlined in Scheme 1.
- Boc-L-serine can be condensed with an appropriate substituted 1-fluoro-2-nitrobenzene with a base, followed by reduction of the nitro group to the amine and cyclisation to the Boc protected (S)-3-amino-2,3-dihydrobenzo[b][1,4]oxazepin-4(5H)-one using an amide coupling agent.
- the Boc protecting group can be removed using acidic conditions and the resulting free amine can be coupled to the appropriate acid using an amide coupling agent.
- the Boc protected (S)-3-amino-2,3-dihydrobenzo[b][1,4]oxazepin-4(5H)-one can also be methylated to give the Boc protected (S)-3-amino-5-methyl-2,3-dihydrobenzo[b][1,4]oxazepin-4(5H)-one, which can then be deprotected using acidic conditions, and the resulting free amine can be coupled to an appropriate acid using an amide coupling agent.
- (R)—N-(4-Oxo-2,3,4,5-tetrahydrobenzo[b][1,4]thiazepin-3-yl)carboxamides may be prepared via the general method outlined in Scheme 2.
- Boc-L-cysteine can be condensed with an appropriate substituted 1-fluoro-2-nitrobenzene with a base, followed by reduction of the nitro group to the amine and cyclisation to the Boc protected (R)-3-amino-2,3-dihydrobenzo[b][1,4]thiazepin-4(5H)-one using an amide coupling agent.
- the Boc protecting group can be removed using acidic conditions and the resulting free amine can be coupled to an appropriate acid using an amide coupling agent.
- the Boc protected (R)-3-amino-2,3-dihydrobenzo[b][1,4]thiazepin-4(5H)-one can also be methylated to give the Boc protected (R)-3-amino-5-methyl-2,3-dihydrobenzo[b][1,4]thiazepin-4(5H)-one, which can then be deprotected using acidic conditions, and the resulting free amine can be coupled to an appropriate acid using an amide coupling agent.
- (S)—N-(2-Oxo-2,3,4,5-tetrahydro-1H-benzo[b][1,4]diazepin-3-yl)carboxamides may be prepared via the general method outlined in Scheme 3.
- 3-Aminoalanine can be condensed with the appropriate substituted 1-fluoro-2-nitrobenzene with a base, followed by reduction of the nitro group to the amine and cyclisation to the Boc protected (S)-3-amino-4,5-dihydro-1H-benzo[b][1,4]diazepin-2(3H)-one using an amide coupling agent.
- the Boc protecting group can be removed using acidic conditions and the resulting free amine can be coupled to the appropriate acid using an amide coupling agent.
- the Boc protected (S)-3-amino-4,5-dihydro-1H-benzo[b][1,4]diazepin-2(3H)-one can also be methylated with methyl iodide using sodium hydride as base to give the Boc protected (S)-3-amino-1-methyl-4,5-dihydro-1H-benzo[b][1,4]diazepin-2(3H)-one, which can then be deprotected using acidic conditions, and the resulting free amine can be coupled to the appropriate acid using an amide coupling agent.
- the Boc protected (S)-3-amino-4,5-dihydro-1H-benzo[b][1,4]diazepin-2(3H)-one can also be methylated with methyl iodide using potassium carbonate as base in ethanol to give the Boc protected (S)-3-amino-5-methyl-4,5-dihydro-1H-benzo[b][1,4]diazepin-2(3H)-one, which can then be deprotected using acidic conditions, and the resulting free amine can be coupled to the appropriate acid using an amide coupling agent.
- (S)—N-(6-Oxo-6,7,8,9-tetrahydro-5H-pyrimido[4,5-b][1,4]diazepin-7-yl)carboxamides may be prepared via the general method outlined in Scheme 4.
- Boc-L-serine can be condensed with 4,6-dichloropyrimidin-5-amine in the presence of a base such as triethylamine, followed by cyclisation to the Boc protected (S)-7-amino-4-chloro-8,9-dihydro-5H-pyrimido[4,5-b][1,4]diazepin-6(7H)-one using an amide coupling agent.
- the chloride can be removed by reduction using hydrogenation with a palladium/carbon catalyst.
- the Boc protecting group can then be removed using acidic conditions and the resulting free amine can be coupled to the appropriate acid using an amide coupling agent.
- the Boc protected (S)-7-amino-8,9-dihydro-5H-pyrimido[4,5-b][1,4]diazepin-6(7H)-one can be methylated in the presence of a base, deprotected using acidic conditions, and the resulting free amine can be coupled to the appropriate acid using an amide coupling agent to yield (S)—N-(5-methyl-6-oxo-6,7,8,9-tetrahydro-5H-pyrimido[4,5-b][1,4]diazepin-7-yl)carboxamides (Scheme 4, R ⁇ H).
- (S)—N-(2-oxo-2,3,4,5-tetrahydro-1H-benzo[b]azepin-3-yl) carboxamides may be prepared via the general method outlined in Scheme 5.
- the appropriately substituted tetralone can be converted to the 1,3,4,5-tetrahydro-1-benzazepin-2-one via either an acid-mediated Schmidt reaction with sodium azide, or Beckmann rearrangement of the corresponding ketoximes formed from reaction with hydroxylamine.
- the 1,3,4,5-tetrahydro-1-benzazepin-2-one can then be converted to the ⁇ -iodobenzlactam by iodotrimethylsilane-mediate iodination, subsequently converted to the ⁇ -azidobenzlactam with sodium azide, and following a Staudinger reduction with triphenylphosphine yields the ⁇ -aminobenzlactam.
- a racemization/resolution of the ⁇ -aminobenzlactam can be accomplished using L-pyroglutamic acid and 5-nirosalicylaldehyde to yield the (S)-3-amino-4,5-dihydro-1H-benzo[b]azepin-2(3H)-one as described by Armstrong et. al. in Tetrahedron Letters 1994, pages 3239-42.
- This amine can then be coupled to the appropriate acid using an amide coupling agent.
- the amine can protected with a Boc protecting group, then methylated at the lactam nitrogen with methyl iodide, followed by deprotected using acidic conditions. The resulting free amine can be coupled to the appropriate acid using an amide coupling agent.
- 5-Substituted-4H-1,2,4-triazole-3-carboxylic acids may be prepared via the general method outlined in Scheme 6.
- the appropriately substituted acetohydrazide is condensed with ethyl 2-ethoxy-2-iminoacetate in ethanol.
- the resulting ethyl 2-amino-2-(2-substituted hydrazono)acetate is then heated neat or in a high boiling solvent such as xylenes resulting in cyclization to the 5-substituted-4H-1,2,4-triazole-3-carboxylic ethyl ester.
- This can then by hydrolyzed using aqueous base, for example lithium hydroxide in THF and water.
- 5-Benzyl-1H-pyrazole-3-carboxylic acids can be prepared following the route shown in Scheme 7.
- the appropriately substituted benzyl methyl ketone is condensed with diethyl oxalate in the presence of a base such as potassium tert-butoxide in ethanol.
- the resulting ethyl 5-(substituted-phenyl)-2,4-dioxopentanoate is then condensed with hydrazine in ethanol resulting in cyclization to the ethyl 5-substituted benzyl-1H-pyrazole-3-carboxylate.
- This can then by hydrolyzed using aqueous base, for example lithium hydroxide in THF and water.
- 5-Methyl-1-substituted-1H-pyrazole-3-carboxylic acids can be prepared following the route shown in Scheme 8.
- Ethyl 3-methyl-1H-pyrazole-5-carboxylate is alkylated in the presence of a base such as potassium hydroxide with the appropriate alkylating agent, such as an alkyl or arylbromide, to give a mixture of desired ethyl 5-methyl-1-propyl-1H-pyrazole-3-carboxylate and undesired regioisomer ethyl 3-methyl-1-substituted-1H-pyrazole-5-carboxylate ethyl oxalate.
- a base such as potassium hydroxide
- the appropriate alkylating agent such as an alkyl or arylbromide
- the ethyl 5-methyl-1-substituted-1H-pyrazole-3-carboxylates can be isolated using chromatography and then hydrolyzed using aqueous base, for example lithium hydroxide in THF and water to yield 5-methyl-1-propyl-1H-pyrazole-3-carboxylic acids.
- the compounds of this invention may be particularly useful for the treatment of RIP1 kinase-mediated diseases or disorders.
- RIP1 kinase-mediated diseases or disorders are diseases or disorders that are mediated by activation of RIP1 kinase, and as such, are diseases or disorders where inhibition of RIP1 kinase would provide benefit.
- the compounds of this invention may be particularly useful for the treatment of diseases/disorders which are likely to be regulated at least in part by programmed necrosis, particularly inflammatory bowel disease (including Crohn's disease and ulcerative colitis), psoriasis, retinal detachment, retinitis pigmentosa, macular degeneration, pancreatitis, atopic dermatitis, arthritis (including rheumatoid arthritis, spondyloarthritis, gout, SoJIA), systemic lupus erythematosus (SLE), Sjogren's syndrome, systemic scleroderma, anti-phospholipid syndrome (APS), vasculitis, osteoarthritis, liver damage/diseases (non-alcohol steatohepatitis, alcohol steatohepatitis, autoimmune hepatitis autoimmune hepatobiliary diseases, primary sclerosing cholangitis (PSC)), nep
- the compounds of this invention may be particularly useful for the treatment of diseases/disorders which are likely to be regulated at least in part by programmed necrosis, apoptosis or the production of inflammatory cytokines, particularly inflammatory bowel disease (including Crohn's disease and ulcerative colitis), psoriasis, retinal detachment, retinitis pigmentosa, macular degeneration, pancreatitis, atopic dermatitis, arthritis (including rheumatoid arthritis, spondyloarthritis, gout, systemic onset juvenile idiopathic arthritis (SoJIA), psoriatic arthritis), systemic lupus erythematosus (SLE), Sjogren's syndrome, systemic scleroderma, anti-phospholipid syndrome (APS), vasculitis, osteoarthritis, liver damage/diseases (non-alcohol steatohepatitis, alcohol steatohepatitis, autoimmune
- cisplatin acute kidney injury (AKI)) Celiac disease, autoimmune idiopathic thrombocytopenic purpura (autoimmune ITP), transplant rejection, ischemia reperfusion injury of solid organs, sepsis, systemic inflammatory response syndrome (SIRS), cerebrovascular accident (CVA, stroke), myocardial infarction (MI), atherosclerosis, Huntington's disease, Alzheimer's disease, Parkinson's disease, Amyotrophic lateral sclerosis (ALS), allergic diseases (including asthma and atopic dermatitis), multiple sclerosis, type I diabetes, Wegener's granulomatosis, pulmonary sarcoidosis, Behcet's disease, interleukin-1 converting enzyme (ICE, also known as caspase-1) associated fever syndrome, chronic obstructive pulmonary disease (COPD), tumor necrosis factor receptor-associated periodic syndrome (TRAPS), peridontitis, NEMO-deficiency syndrome (NF-kappa-B essential modulator gene (also known as
- the treatment of the above-noted diseases/disorders may concern, more specifically, the amelioration of organ injury or damage sustained as a result of the noted diseases.
- the compounds of this invention may be particularly useful for amelioration of brain tissue injury or damage following ischemic brain injury or traumatic brain injury, or for amelioration of heart tissue injury or damage following myocardial infarction, or for amelioration of brain tissue injury or damage associated with Huntington's disease, Alzheimer's disease or Parkinson's disease, or for amelioration of liver tissue injury or damage associated with non-alcohol steatohepatitis, alcohol steatohepatitis, autoimmune hepatitis autoimmune hepatobiliary diseases, or primary sclerosing cholangitis.
- diseases/disorders selected from those described herein may concern, more specifically, the amelioration of liver tissue injury or damage associated with overdose of acetaminophen, or for amelioration of kidney tissue injury or damage following renal transplant or the administration of nephrotoxic drugs or substances e.g. cisplatin.
- the compounds of this invention may be particularly useful for the treatment of inflammatory bowel disease (including Crohn's disease and ulcerative colitis), psoriasis, retinal detachment, retinitis pigmentosa, arthritis (including rheumatoid arthritis, spondyloarthritis, gout, and SoJIA), transplant rejection, ischemia reperfusion injury of solid organs, multiple sclerosis, and/or tumor necrosis factor receptor-associated periodic syndrome.
- the compounds of this invention may be particularly useful for the treatment of inflammatory bowel disease (including Crohn's disease and ulcerative colitis), psoriasis, retinal detachment, retinitis pigmentosa, arthritis (including rheumatoid arthritis, spondyloarthritis, gout, and systemic onset juvenile idiopathic arthritis (SoJIA)), transplant rejection, and/or ischemia reperfusion injury of solid organs.
- inflammatory bowel disease including Crohn's disease and ulcerative colitis
- psoriasis retinal detachment
- retinitis pigmentosa retinitis pigmentosa
- arthritis including rheumatoid arthritis, spondyloarthritis, gout, and systemic onset juvenile idiopathic arthritis (SoJIA)
- transplant rejection including rheumatoid arthritis, spondyloarthritis, gout, and systemic onset juvenile
- Treatment of RIP i-mediated disease conditions may be achieved using a compound of this invention as a monotherapy, or in dual or multiple combination therapy, particularly for the treatment of refractory cases, such as in combination with other anti-inflammatory and/or anti-TNF agents, which may be administered in therapeutically effective amounts as is known in the art.
- Combination therapies according to the present invention thus comprise the administration of at least one compound of any one of Formulas (I-IV) or a pharmaceutically acceptable salt thereof, and at least one other therapeutically active agent.
- combination therapies according to the present invention comprise the administration of at least one compound of any one of Formulas (I-IV) or a pharmaceutically acceptable salt thereof, and at least one other therapeutically active agent.
- the compound(s) of any one of Formulas (I-IV) and pharmaceutically acceptable salts thereof, and the other therapeutically active agent(s) may be administered together in a single pharmaceutical composition or separately and, when administered separately this may occur simultaneously or sequentially in any order.
- a combination comprising (S)-5-benzyl-N-(5-methyl-4-oxo-2,3,4,5-tetrahydrobenzo[b][1,4]oxazepin-3-yl)-4H-1,2,4-triazole-3-carboxamide, or a pharmaceutically acceptable salt thereof, together with one or more other therapeutically active agents.
- a combination comprising (S)-5-benzyl-N-(7-chloro-2-oxo-2,3,4,5-tetrahydro-1H-benzo[b]azepin-3-yl)-4H-1,2,4-triazole-3-carboxamide, or a pharmaceutically acceptable salt thereof, together with one or more other therapeutically active agents.
- a compound of any one of Formulas (I-IV) or a pharmaceutically acceptable salt thereof, and a pharmaceutical composition comprising a compound of any one of Formulas (I-IV) or a pharmaceutically acceptable salt thereof may be used in combination with or include one or more other therapeutic agents, for example an anti-inflammatory agent and/or an anti-TNF agent.
- the compounds of this invention may be administered in combination with other anti-inflammatory agents for any of the indications above, including oral or topical corticosteroids (such as prednisone (Deltasone®) and bundesonide), anti-TNF agents (including anti-TNF biologic agents), 5-aminosalicyclic acid and mesalamine preparations, hydroxycloroquine, thiopurines (azathioprin, mercaptopurin), methotrexate, cyclophosphamide, cyclosporine, JAK inhibitors (tofacitinib), anti-IL6 biologics, anti-IL1 or IL12 or IL23 biologics (ustekinumab (Stelara®)), anti-integrin agents (natalizumab (Tysabri®)), anti-CD20 or CD4 biologics and other cytokine inhibitors or biologics to T-cell or B-cell receptors or interleukins.
- corticosteroids such as prednisone (Delt
- the compounds of this invention may be administered in combination with other anti-inflammatory agents for any of the indications above, including oral or topical corticosteroids (such as prednisone (Deltasone®) and bundesonide), anti-TNF agents (including anti-TNF biologic agents), 5-aminosalicyclic acid and mesalamine preparations, hydroxycloroquine, thiopurines (azathioprin, mercaptopurin), methotrexate, cyclophosphamide, cyclosporine, calcineurin inhibitors (cyclosporine, pimecrolimus, tacrolimus), mycophenolic acid (CellCept®), mTOR inhibitors (temsirolimus, everolimus), JAK inhibitors (tofacitinib), (Xeljan®)), Syk inhibitors (fostamatinib), anti-IL6 biologics, anti-IL1 (anakinra (Kineret®), canakinumab (Ilaris
- anti-inflammatory biologic agents include Actemra® (anti-IL6R mAb), anti-CD20 mAbs (rituximab (Rituxan®) and ofatumumab (Arzerra®)), abatacept (Orencia®), anakinra (Kineret®), ustekinumab (Stelara®), and belimumab (Benlysta®).
- anti-inflammatory biologic agents examples include Actemra® (tocilizumab, anti-IL6R mAb), anti-CD20 mAbs (rituximab (Rituxan®) and ofatumumab (Arzerra®)), abatacept (Orencia®), anakinra (Kineret®), Canakinumab (Ilaris®), rilonacept (Arcalyst®), secukinumab, epratuzumab, sifalimumab, ustekinumab (Stelara®), and belimumab (Benlysta®).
- Suitable anti-TNF agents biologic agents include etanecerpt (Enbrel®), adalimumab (Humira®), infliximab (Remicade®), certolizumab (Cimzia®), and golimumab (Simponi®).
- one embodiment of this invention is directed to a method of inhibiting RIP1 kinase comprising contacting a cell with a compound of the invention.
- the invention is directed to a method of treating a RIP1 kinase-mediated disease or disorder (specifically, a disease or disorder recited herein) comprising administering a therapeutically effective amount of a compound of Formula (I), particularly a compound of any one of Formulas (I-IV), or a salt, particularly a pharmaceutically acceptable salt thereof, to a human in need thereof.
- the invention is directed to a method of treating a RIP1 kinase-mediated disease or disorder (specifically, a disease or disorder recited herein) comprising administering a therapeutically effective amount of (S)-5-benzyl-N-(5-methyl-4-oxo-2,3,4,5-tetrahydrobenzo[b][1,4]oxazepin-3-yl)-4H-1,2,4-triazole-3-carboxamide, or a pharmaceutically acceptable salt thereof, to a human in need thereof.
- a RIP1 kinase-mediated disease or disorder specifically, a disease or disorder recited herein
- administering a therapeutically effective amount of (S)-5-benzyl-N-(5-methyl-4-oxo-2,3,4,5-tetrahydrobenzo[b][1,4]oxazepin-3-yl)-4H-1,2,4-triazole-3-carboxamide, or a pharmaceutically acceptable salt thereof, to a human in need thereof
- the invention is directed to a method of treating a RIP1 kinase-mediated disease or disorder (specifically, a disease or disorder recited herein) comprising administering a therapeutically effective amount of (S)-5-benzyl-N-(7-chloro-2-oxo-2,3,4,5-tetrahydro-1H-benzo[b]azepin-3-yl)-4H-1,2,4-triazole-3-carboxamide, or a pharmaceutically acceptable salt thereof, to a human in need thereof.
- a RIP1 kinase-mediated disease or disorder specifically, a disease or disorder recited herein
- administering a therapeutically effective amount of (S)-5-benzyl-N-(7-chloro-2-oxo-2,3,4,5-tetrahydro-1H-benzo[b]azepin-3-yl)-4H-1,2,4-triazole-3-carboxamide, or a pharmaceutically acceptable salt thereof, to a human in need thereof.
- this invention provides a compound of the invention for use in therapy.
- This invention also provides a compound of Formula (I), particularly a compound of any one of Formulas (I-IV), or a pharmaceutically acceptable salt thereof, for use in therapy.
- This invention particularly provides a compound of Formula (I), particularly a compound of any one of Formulas (I-IV), or a pharmaceutically acceptable salt thereof, for use in the treatment of a RIP1 kinase-mediated disease or disorder (for example, a disease or disorder recited herein).
- this invention provides a compound described herein, or a pharmaceutically acceptable salt thereof, for use in therapy. More specifically, this invention provides (S)-5-benzyl-N-(5-methyl-4-oxo-2,3,4,5-tetrahydrobenzo[b][1,4]oxazepin-3-yl)-4H-1,2,4-triazole-3-carboxamide, or a pharmaceutically acceptable salt thereof, for use in therapy.
- This invention further provides (S)-5-benzyl-N-(7-chloro-2-oxo-2,3,4,5-tetrahydro-1H-benzo[b]azepin-3-yl)-4H-1,2,4-triazole-3-carboxamide, or a pharmaceutically acceptable salt thereof, for use in therapy.
- this invention provides a compound of the invention for use in the treatment of a RIP1 kinase-mediated disease or disorder.
- this invention provides a compound described herein, or a pharmaceutically acceptable salt thereof, for use in the treatment of a RIP1 kinase-mediated disease or disorder.
- this invention provides a compound of Formula (I), particularly a compound of any one of Formulas (I-IV), or a pharmaceutically acceptable salt thereof, for use in the treatment of diseases/disorders which are likely to be regulated at least in part by programmed necrosis, apoptosis or the production of inflammatory cytokines, particularly inflammatory bowel disease (including Crohn's disease and ulcerative colitis), psoriasis, retinal detachment, retinitis pigmentosa, macular degeneration, pancreatitis, atopic dermatitis, arthritis (including rheumatoid arthritis, spondyloarthritis, gout, systemic onset juvenile idiopathic arthritis (SoJIA)), systemic lupus erythematosus (SLE), Sjogren's syndrome, systemic scleroderma, anti-phospholipid syndrome (APS), vasculitis, osteoarthritis, liver damage/diseases (non), inflammatory
- this invention provides a compound of Formula (I), or a pharmaceutically acceptable salt thereof, for use in the treatment of inflammatory bowel disease. In another embodiment, this invention provides a compound of Formula (I), or a pharmaceutically acceptable salt thereof, for use in the treatment of Crohn's disease. In another embodiment, this invention provides a compound of Formula (I), or a pharmaceutically acceptable salt thereof, for use in the treatment of ulcerative colitis. In another embodiment, this invention provides a compound of Formula (I), or a pharmaceutically acceptable salt thereof, for use in the treatment of psoriasis. In another embodiment, this invention provides a compound of Formula (I), or a pharmaceutically acceptable salt thereof, for use in the treatment of retinal detachment.
- this invention provides a compound of Formula (I), or a pharmaceutically acceptable salt thereof, for use in the treatment of retinitis pigmentosa. In another embodiment, this invention provides a compound of Formula (I), or a pharmaceutically acceptable salt thereof, for use in the treatment of arthritis. In another embodiment, this invention provides a compound of Formula (I), or a pharmaceutically acceptable salt thereof, for use in the treatment of rheumatoid arthritis. In another embodiment, this invention provides a compound of Formula (I), or a pharmaceutically acceptable salt thereof, for use in the treatment of spondyloarthritis. In another embodiment, this invention provides a compound of Formula (I), or a pharmaceutically acceptable salt thereof, for use in the treatment of gout.
- this invention provides a compound of Formula (I), or a pharmaceutically acceptable salt thereof, for use in the treatment of systemic onset juvenile idiopathic arthritis. In another embodiment, this invention provides a compound of Formula (I), or a pharmaceutically acceptable salt thereof, for use in the treatment of transplant rejection. In another embodiment, this invention provides a compound of Formula (I), or a pharmaceutically acceptable salt thereof, for use in the treatment of ischemia reperfusion injury of solid organs.
- This invention specifically provides for the use of a compound of Formula (I), particularly a compound of any one of Formulas (I-IV), or a pharmaceutically acceptable salt thereof, as an active therapeutic substance. More specifically, this provides for the use of the compounds described herein for the treatment of a RIP1 kinase-mediated disease or disorder. Accordingly, the invention provides for the use of a compound of Formula (I), particularly a compound of any one of Formulas (I-IV), or a pharmaceutically acceptable salt thereof, as an active therapeutic substance in the treatment of a human in need thereof with a RIP1 kinase-mediated disease or disorder.
- the invention further provides for the use of a compound of Formula (I), particularly a compound of any one of Formulas (I-IV), or a salt thereof, particularly a pharmaceutically acceptable salt thereof, in the manufacture of a medicament for use in the treatment of a RIP1 kinase-mediated disease or disorder, for example the diseases and disorders recited herein.
- the invention also provides for the use of a compound described herein, or a pharmaceutically acceptable salt thereof, in the manufacture of a medicament for use in the treatment of a RIP1 kinase-mediated disease or disorder, for example the diseases and disorders recited herein.
- the invention also provides for the use of (S)-5-benzyl-N-(5-methyl-4-oxo-2,3,4,5-tetrahydrobenzo[b][1,4]oxazepin-3-yl)-4H-1,2,4-triazole-3-carboxamide, or a pharmaceutically acceptable salt thereof, in the manufacture of a medicament for use in the treatment of a RIP1 kinase-mediated disease or disorder, for example the diseases and disorders recited herein.
- the invention further provides for the use of (S)-5-benzyl-N-(7-chloro-2-oxo-2,3,4,5-tetrahydro-1H-benzo[b]azepin-3-yl)-4H-1,2,4-triazole-3-carboxamide, or a pharmaceutically acceptable salt thereof, in the manufacture of a medicament for use in the treatment of a RIP1 kinase-mediated disease or disorder, for example the diseases and disorders recited herein.
- the invention provides for the use of a compound of Formula (I), particularly a compound of any one of Formulas (I-IV), or a pharmaceutically acceptable salt thereof, in the manufacture of a medicament for use in the treatment of a human in need thereof with a RIP1 kinase-mediated disease or disorder.
- this invention provides for the use of a compound of Formula (I), particularly a compound of any one of Formulas (I-IV), or a pharmaceutically acceptable salt thereof, in the manufacture of a medicament for use in the treatment of diseases/disorders which are likely to be regulated at least in part by programmed necrosis, apoptosis or the production of inflammatory cytokines, particularly inflammatory bowel disease (including Crohn's disease and ulcerative colitis), psoriasis, retinal detachment, retinitis pigmentosa, macular degeneration, pancreatitis, atopic dermatitis, arthritis (including rheumatoid arthritis, spondyloarthritis, gout, systemic onset juvenile idiopathic arthritis (SoJIA)), systemic lupus erythematosus (SLE), Sjogren's syndrome, systemic scleroderma, anti-phospholipid syndrome (APS), vasculitis, osteoarthritis
- this invention provides for the use of a compound of Formula (I), or a pharmaceutically acceptable salt thereof, in the manufacture of a medicament for use in the treatment of inflammatory bowel disease.
- this invention provides for the use of a compound of Formula (I), or a pharmaceutically acceptable salt thereof, in the manufacture of a medicament for use in the treatment of Crohn's disease.
- this invention provides for the use of a compound of Formula (I), or a pharmaceutically acceptable salt thereof, in the manufacture of a medicament for use in the treatment of ulcerative colitis.
- this invention provides for the use of a compound of Formula (I), or a pharmaceutically acceptable salt thereof, in the manufacture of a medicament for use in the treatment of psoriasis.
- this invention provides for the use of a compound of Formula (I), or a pharmaceutically acceptable salt thereof, in the manufacture of a medicament for use in the treatment of retinal detachment. In another embodiment, this invention provides for the use of a compound of Formula (I), or a pharmaceutically acceptable salt thereof, in the manufacture of a medicament for use in the treatment of retinitis pigmentosa. In another embodiment, this invention provides for the use of a compound of Formula (I), or a pharmaceutically acceptable salt thereof, in the manufacture of a medicament for use in the treatment of arthritis.
- this invention provides for the use of a compound of Formula (I), or a pharmaceutically acceptable salt thereof, in the manufacture of a medicament for use in the treatment of rheumatoid arthritis. In another embodiment, this invention provides for the use of a compound of Formula (I), or a pharmaceutically acceptable salt thereof, in the manufacture of a medicament for use in the treatment of spondyloarthritis. In another embodiment, this invention provides for the use of a compound of Formula (I), or a pharmaceutically acceptable salt thereof, in the manufacture of a medicament for use in the treatment of gout.
- this invention provides for the use of a compound of Formula (I), or a pharmaceutically acceptable salt thereof, in the manufacture of a medicament for use in the treatment of systemic onset juvenile idiopathic arthritis. In another embodiment, this invention provides for the use of a compound of Formula (I), or a pharmaceutically acceptable salt thereof, in the manufacture of a medicament for use in the treatment of transplant rejection. In another embodiment, this invention provides for the use of a compound of Formula (I), or a pharmaceutically acceptable salt thereof, in the manufacture of a medicament for use in the treatment of ischemia reperfusion injury of solid organs.
- a therapeutically “effective amount” is intended to mean that amount of a compound that, when administered to a patient in need of such treatment, is sufficient to effect treatment, as defined herein.
- a therapeutically effective amount of a compound of Formula (I), particularly a compound of any one of Formulas (I-IV), or a pharmaceutically acceptable salt thereof is a quantity of an inventive agent that, when administered to a human in need thereof, is sufficient to modulate and/or inhibit the activity of RIP1 kinase such that a disease condition which is mediated by that activity is reduced, alleviated or prevented.
- the amount of a given compound that will correspond to such an amount will vary depending upon factors such as the particular compound (e.g., the potency (pIC 50 ), efficacy (EC 50 ), and the biological half-life of the particular compound), disease condition and its severity, the identity (e.g., age, size and weight) of the patient in need of treatment, but can nevertheless be routinely determined by one skilled in the art.
- the particular compound e.g., the potency (pIC 50 ), efficacy (EC 50 ), and the biological half-life of the particular compound
- disease condition and its severity e.g., the identity of the patient in need of treatment, but can nevertheless be routinely determined by one skilled in the art.
- duration of treatment and the time period of administration (time period between dosages and the timing of the dosages, e.g., before/with/after meals) of the compound will vary according to the identity of the mammal in need of treatment (e.g., weight), the particular compound and its properties (e.g., pharmacokinetic properties), disease or disorder and its severity and the specific composition and method being used, but can nevertheless be determined by one of skill in the art.
- Treating” or “treatment” is intended to mean at least the mitigation of a disease or disorder in a patient.
- the methods of treatment for mitigation of a disease or disorder include the use of the compounds in this invention in any conventionally acceptable manner, for example for prevention, retardation, prophylaxis, therapy or cure of a RIP1 kinase-mediated disease or disorder, as described hereinabove.
- the compounds of the invention may be administered by any suitable route of administration, including both systemic administration and topical administration.
- Systemic administration includes oral administration, parenteral administration, transdermal administration, rectal administration, and administration by inhalation.
- Parenteral administration refers to routes of administration other than enteral, transdermal, or by inhalation, and is typically by injection or infusion.
- Parenteral administration includes intravenous, intramuscular, and subcutaneous injection or infusion.
- Inhalation refers to administration into the patient's lungs whether inhaled through the mouth or through the nasal passages.
- Topical administration includes application to the skin.
- the compounds of the invention may be administered once or according to a dosing regimen wherein a number of doses are administered at varying intervals of time for a given period of time. For example, doses may be administered one, two, three, or four times per day. Doses may be administered until the desired therapeutic effect is achieved or indefinitely to maintain the desired therapeutic effect. Suitable dosing regimens for a compound of the invention depend on the pharmacokinetic properties of that compound, such as absorption, distribution, and half-life, which can be determined by the skilled artisan.
- suitable dosing regimens including the duration such regimens are administered, for a compound of the invention depend on the disease or disorder being treated, the severity of the disease or disorder being treated, the age and physical condition of the patient being treated, the medical history of the patient to be treated, the nature of concurrent therapy, the desired therapeutic effect, and like factors within the knowledge and expertise of the skilled artisan. It will be further understood by such skilled artisans that suitable dosing regimens may require adjustment given an individual patient's response to the dosing regimen or over time as individual patient needs change. Total daily dosages range from 1 mg to 2000 mg, preferably, total daily dosages range from 1 mg to 250 mg.
- the compounds of the invention will be normally, but not necessarily, formulated into a pharmaceutical composition prior to administration to a patient. Accordingly, the invention also is directed to pharmaceutical compositions comprising a compound of the invention and one or more pharmaceutically acceptable excipients.
- a pharmaceutical composition comprising (S)-5-benzyl-N-(5-methyl-4-oxo-2,3,4,5-tetrahydrobenzo[b][1,4]oxazepin-3-yl)-4H-1,2,4-triazole-3-carboxamide (free base), and one or more pharmaceutically acceptable excipients.
- a pharmaceutical composition comprising (S)-5-benzyl-N-(5-methyl-4-oxo-2,3,4,5-tetrahydrobenzo[b][1,4]oxazepin-3-yl)-4H-1,2,4-triazole-3-carboxamide, or a pharmaceutically acceptable salt thereof, and one or more pharmaceutically acceptable excipients.
- a pharmaceutical composition comprising crystalline (S)-5-benzyl-N-(5-methyl-4-oxo-2,3,4,5-tetrahydrobenzo[b][1,4]oxazepin-3-yl)-4H-1,2,4-triazole-3-carboxamide (free base) having the PXRD pattern of FIG. 7 and one or more pharmaceutically acceptable excipients.
- a pharmaceutical composition comprising crystalline (S)-5-benzyl-N-(5-methyl-4-oxo-2,3,4,5-tetrahydrobenzo[b][1,4]oxazepin-3-yl)-4H-1,2,4-triazole-3-carboxamide (free base) characterized by the diffraction data in Table 1, and one or more pharmaceutically acceptable excipients.
- a pharmaceutical composition comprising (S)-5-benzyl-N-(7-chloro-2-oxo-2,3,4,5-tetrahydro-1H-benzo[b]azepin-3-yl)-4H-1,2,4-triazole-3-carboxamide (free base) and one or more pharmaceutically acceptable excipients.
- a pharmaceutical composition comprising (S)-5-benzyl-N-(7-chloro-2-oxo-2,3,4,5-tetrahydro-1H-benzo[b]azepin-3-yl)-4H-1,2,4-triazole-3-carboxamide, or a pharmaceutically acceptable salt thereof, and one or more pharmaceutically acceptable excipients.
- compositions of the invention may be prepared and packaged in bulk form wherein an effective amount of a compound of the invention can be extracted and then given to the patient such as with powders, syrups, and solutions for injection.
- the pharmaceutical compositions of the invention may be prepared and packaged in unit dosage form.
- a dose of the pharmaceutical composition contains at least a therapeutically effective amount of a compound of this invention (i.e., a compound of Formula (I), particularly a compound of any one of Formulas (I-IV), or a salt, particularly a pharmaceutically acceptable salt, thereof).
- the pharmaceutical compositions may contain from 1 mg to 1000 mg of a compound of this invention.
- unit dosage forms containing from 1 mg to 1000 mg of a compound of the invention may be administered one, two, three, or four times per day, preferably one, two, or three times per day, and more preferably, one or two times per day, to effect treatment of a RIP1 kinase-mediated disease or disorder.
- compositions of the invention typically contain one compound of the invention. However, in certain embodiments, the pharmaceutical compositions of the invention contain more than one compound of the invention. In addition, the pharmaceutical compositions of the invention may optionally further comprise one or more additional pharmaceutically active compounds.
- pharmaceutically acceptable excipient means a material, composition or vehicle involved in giving form or consistency to the composition.
- Each excipient must be compatible with the other ingredients of the pharmaceutical composition when commingled such that interactions which would substantially reduce the efficacy of the compound of the invention when administered to a patient and interactions which would result in pharmaceutical compositions that are not pharmaceutically acceptable are avoided.
- each excipient must of course be of sufficiently high purity to render it pharmaceutically acceptable.
- the compounds of the invention and the pharmaceutically acceptable excipient or excipients will typically be formulated into a dosage form adapted for administration to the patient by the desired route of administration.
- Conventional dosage forms include those adapted for (1) oral administration such as tablets, capsules, caplets, pills, troches, powders, syrups, elixirs, suspensions, solutions, emulsions, sachets, and cachets; (2) parenteral administration such as sterile solutions, suspensions, and powders for reconstitution; (3) transdermal administration such as transdermal patches; (4) rectal administration such as suppositories; (5) inhalation such as aerosols and solutions; and (6) topical administration such as creams, ointments, lotions, solutions, pastes, sprays, foams, and gels.
- Suitable pharmaceutically acceptable excipients will vary depending upon the particular dosage form chosen.
- suitable pharmaceutically acceptable excipients may be chosen for a particular function that they may serve in the composition.
- certain pharmaceutically acceptable excipients may be chosen for their ability to facilitate the production of uniform dosage forms.
- Certain pharmaceutically acceptable excipients may be chosen for their ability to facilitate the production of stable dosage forms.
- Certain pharmaceutically acceptable excipients may be chosen for their ability to facilitate the carrying or transporting the compound or compounds of the invention once administered to the patient from one organ, or portion of the body, to another organ, or portion of the body.
- Certain pharmaceutically acceptable excipients may be chosen for their ability to enhance patient compliance.
- Suitable pharmaceutically acceptable excipients include the following types of excipients: diluents, fillers, binders, disintegrants, lubricants, glidants, granulating agents, coating agents, wetting agents, solvents, co-solvents, suspending agents, emulsifiers, sweeteners, flavoring agents, flavor masking agents, coloring agents, anti-caking agents, humectants, chelating agents, plasticizers, viscosity increasing agents, antioxidants, preservatives, stabilizers, surfactants, and buffering agents.
- excipients may serve more than one function and may serve alternative functions depending on how much of the excipient is present in the formulation and what other ingredients are present in the formulation.
- Skilled artisans possess the knowledge and skill in the art to enable them to select suitable pharmaceutically acceptable excipients in appropriate amounts for use in the invention.
- resources that are available to the skilled artisan which describe pharmaceutically acceptable excipients and may be useful in selecting suitable pharmaceutically acceptable excipients. Examples include Remington's Pharmaceutical Sciences (Mack Publishing Company), The Handbook of Pharmaceutical Additives (Gower Publishing Limited), and The Handbook of Pharmaceutical Excipients (the American Pharmaceutical Association and the Pharmaceutical Press).
- compositions of the invention are prepared using techniques and methods known to those skilled in the art. Some of the methods commonly used in the art are described in Remington's Pharmaceutical Sciences (Mack Publishing Company). Accordingly, another embodiment of this invention is a method of preparing a pharmaceutical composition comprising the step of admixing crystalline (S)-5-benzyl-N-(5-methyl-4-oxo-2,3,4,5-tetrahydrobenzo[b][1,4]oxazepin-3-yl)-4H-1,2,4-triazole-3-carboxamide (free base) having the PXRD pattern of FIG. 7 with one or more pharmaceutically acceptable excipients.
- a method of preparing a pharmaceutical composition comprising the step of admixing crystalline (S)-5-benzyl-N-(5-methyl-4-oxo-2,3,4,5-tetrahydrobenzo[b][1,4]oxazepin-3-yl)-4H-1,2,4-triazole-3-carboxamide (free base) characterized by the diffraction data in Table 1, with one or more pharmaceutically acceptable excipients.
- the invention is directed to a solid oral dosage form such as a tablet or capsule comprising an effective amount of a compound of the invention and a diluent or filler.
- Suitable diluents and fillers include lactose, sucrose, dextrose, mannitol, sorbitol, starch (e.g. corn starch, potato starch, and pre-gelatinized starch), cellulose and its derivatives (e.g. microcrystalline cellulose), calcium sulfate, and dibasic calcium phosphate.
- the oral solid dosage form may further comprise a binder. Suitable binders include starch (e.g.
- the oral solid dosage form may further comprise a disintegrant. Suitable disintegrants include crospovidone, sodium starch glycolate, croscarmelose, alginic acid, and sodium carboxymethyl cellulose.
- the oral solid dosage form may further comprise a lubricant. Suitable lubricants include stearic acid, magnesium stearate, calcium stearate, and talc.
- the reactions described herein are applicable for producing compounds of the invention having a variety of different substituent groups (e.g., R 1 , R 2 , etc.), as defined herein.
- substituent groups e.g., R 1 , R 2 , etc.
- the skilled artisan will appreciate that if a particular substituent is not compatible with the synthetic methods described herein, the substituent may be protected with a suitable protecting group that is stable to the reaction conditions. The protecting group may be removed at a suitable point in the reaction sequence to provide a desired intermediate or target compound.
- suitable protecting groups and the methods for protecting and de-protecting different substituents using such suitable protecting groups are well known to those skilled in the art; examples of which may be found in T. Greene and P. Wuts, Protecting Groups in Chemical Synthesis (3rd ed.), John Wiley & Sons, NY (1999).
- the reaction mixture was partitioned between ethyl acetate (1000 mL) and 0.5 M HCl solution (1000 mL). The layers were separated, the organic layer was washed with water (3 ⁇ 400 ml), brine (400 mL), and concentrated under reduced pressure to provide the crude product.
- the crude compound was purified by silica gel column using 0-10% MeOH in DCM to afford (S)-2-((tert-butoxycarbonyl)amino)-3-(2-nitrophenoxy)propanoic acid (32 g, 76 mmol, 62.3% yield) as reddish yellow semi solid.
- 1,1-Dimethylethyl [1-methyl-2-oxo-7-(2,2,2-trifluoro-1,1-dihydroxyethyl)-2,3,4,5-tetrahydro-1H-1-benzazepin-3-yl]carbamate (125 mg, 0.324 mmol) was dissolved in DCM (2 mL), and then HCl (4N in dioxane) (0.809 mL, 3.24 mmol) was added. The yellow solution was maintained at room temperature for 16 hours.
- Ethyl 5-benzoylisoxazole-3-carboxylate 400 mg, 1.631 mmol was dissolved in 5 mL MeOH, and then NaBH 4 (93 mg, 2.447 mmol) was added at 0° C. The reaction mixture was maintained at rt for 16 h. The mixture was concentrated, and then partitioned between sat. NaHCO 3 (aq) and DCM. The organic layer was concentrated and dissolved in 1 mL THF. An aqueous solution of LiOH (1.2 mL, 50 mg/ml solution) was added to this THF solution. The mixture was maintained at rt for 16 h.
- reaction mixture was filtered through a celite pad, washed with excess methanol (300 mL) and concentrated to provide the crude (S)-3-(2-amino-3,5-difluoro-4-methylphenoxy)-2-((tert-butoxycarbonyl)amino)propanoic acid compound and (S)-3-(2-amino-3,5-difluoro-6-methylphenoxy)-2-((tert-butoxycarbonyl)amino)propanoic acid (1:1 mixture) (9 g, 92% recovery).
- TLC 10% MeOH in DCM; Rf: 0.4. This compound was used to next step without further purification.
- the desired regioisomer was isolated by chiral HPLC (column: Chiralpak-IC (250*30*5.0 ⁇ ), mobile phase: n-hexane:IPA (80:20), flow rate: 30 ml/min) of the regioisomeric mixture (2.57 g, 7.8 mmol) to afford (S)-tert-butyl (6,8-difluoro-7-methyl-4-oxo-2,3,4,5-tetrahydrobenzo[b][1,4]oxazepin-3-yl)carbamate (710 mg, 27% recovery) as an off-white solid.
- Benzyl (2,5-dioxo-2,3,4,5-tetrahydro-1H-benzo[b]azepin-3-yl)carbamate 400 mg, 1.233 mmol was dissolved in 10 mL of THF, and then Cs 2 CO 3 (1.0 g, 3.08 mmol) was added, followed by methyl iodide (0.116 mL, 1.850 mmol). The reaction mixture was maintained at room temperature for 16 hours. The mixture was then filtered. The filtrate was concentrated, and then purified by Isco Combiflash (15%-80% EtOAc/Hexane; 40 g Isco RediSep column).
- Benzyl (1-methyl-2,5-dioxo-2,3,4,5-tetrahydro-1H-benzo[b]azepin-3-yl) carbamate (290 mg, 0.857 mmol) was dissolved in ethanol (20 mL). Palladium on Carbon (10 wt % loading, 91 mg, 0.857 mmol) was added. The reaction mixture was maintained at room temperature for 3 h under a hydrogen balloon. The reaction mixture was filtered and the filtrate was concentrated to a yellow oil, which was then turned into white solid upon standing under high vacuum for 16 h to yield 3-amino-1-methyl-3,4-dihydro-1H-benzo[b]azepine-2,5-dione (158 mg, 90% yield).
- Step 1 (S)-5-benzyl-N-(7-(1-(2-cyanoethyl)-1H-tetrazol-5-yl)-5-methyl-4-oxo-2,3,4,5-tetrahydrobenzo[b][1,4]oxazepin-3-yl)isoxazole-3-carboxamide.
- Step 2 (S)-5-benzyl-N-(5-methyl-4-oxo-7-(1H-tetrazol-5-yl)-2,3,4,5-tetrahydrobenzo[b][1,4]oxazepin-3-yl)isoxazole-3-carboxamide.
- the PXRD analysis was conducted using a PANanalytical X'Pert Pro diffractometer equipped with a copper anode X-ray tube, programmable slits, and X'Celerator detector fitted with a nickel filter. Generator tension and current were set to 45 kV and 40 mA respectively to generate the copper Ku radiation powder diffraction pattern over the range of 2-40°2 ⁇ .
- the test specimen was lightly triturated using an agate mortar and pestle and the resulting fine powder was mounted onto a silicon zero background plate.
- the reaction mixture was put in an Emrys Optimizer (150 W, absorption normal) and microwaved at 130° C., for 20 min.
- the reaction mixture was filtered and the filtrate was concentrated.
- the residue was purified by reverse phase HPLC (Waters Sunfire 30 ⁇ 150 mm, 26-60% CH 3 CN:H 2 O (0.1% TFA), 50 mg/mL). Collected fractions containing the product were combined, neutralized by NaHCO 3 , and then concentrated to give the desired product as a white solid (6 mg, 11% yield).
Landscapes
- Chemical & Material Sciences (AREA)
- Organic Chemistry (AREA)
- Health & Medical Sciences (AREA)
- Life Sciences & Earth Sciences (AREA)
- Veterinary Medicine (AREA)
- Public Health (AREA)
- General Health & Medical Sciences (AREA)
- Medicinal Chemistry (AREA)
- Animal Behavior & Ethology (AREA)
- Pharmacology & Pharmacy (AREA)
- Nuclear Medicine, Radiotherapy & Molecular Imaging (AREA)
- General Chemical & Material Sciences (AREA)
- Chemical Kinetics & Catalysis (AREA)
- Engineering & Computer Science (AREA)
- Bioinformatics & Cheminformatics (AREA)
- Immunology (AREA)
- Biomedical Technology (AREA)
- Neurology (AREA)
- Neurosurgery (AREA)
- Epidemiology (AREA)
- Pulmonology (AREA)
- Physical Education & Sports Medicine (AREA)
- Rheumatology (AREA)
- Virology (AREA)
- Dermatology (AREA)
- Diabetes (AREA)
- Communicable Diseases (AREA)
- Oncology (AREA)
- Pain & Pain Management (AREA)
- Hematology (AREA)
- Obesity (AREA)
- Orthopedic Medicine & Surgery (AREA)
- Psychology (AREA)
- Urology & Nephrology (AREA)
- Molecular Biology (AREA)
- Hospice & Palliative Care (AREA)
- Heart & Thoracic Surgery (AREA)
- Cardiology (AREA)
- Psychiatry (AREA)
- Vascular Medicine (AREA)
Abstract
Description
- The present invention relates to heterocyclic amides that inhibit RIP1 kinase and methods of making and using the same.
- Receptor-interacting protein-1 (RIP1) kinase, originally referred to as RIP, is a TKL family serine/threonine protein kinase involved in innate immune signaling. RIP1 kinase is a RHIM domain containing protein, with an N-terminal kinase domain and a C-terminal death domain ((2005) Trends Biochem. Sci. 30, 151-159). The death domain of RIP1 mediates interaction with other death domain containing proteins including Fas and TNFR-1 ((1995) Cell 81 513-523), TRAIL-R1 and TRAIL-R2 ((1997) Immunity 7, 821-830) and TRADD ((1996)
Immunity 4, 387-396), while the RHIM domain is crucial for binding other RHIM domain containing proteins such as TRIF ((2004) Nat Immunol. 5, 503-507), DAI ((2009) EMBO Rep. 10, 916-922) and RIP3 ((1999) J. Biol. Chem. 274, 16871-16875); (1999) Curr. Biol. 9, 539-542) and exerts many of its effects through these interactions. RIP1 is a central regulator of cell signaling, and is involved in mediating both pro-survival and programmed cell death pathways which will be discussed below. - The role for RIP1 in cell signaling has been assessed under various conditions [including TLR3 ((2004) Nat Immunol. 5, 503-507), TLR4 ((2005) J. Biol. Chem. 280, 36560-36566), TRAIL ((2012) J. Virol. Epub, ahead of print), FAS ((2004) J. Biol. Chem. 279, 7925-7933)], but is best understood in the context of mediating signals downstream of the death receptor TNFR1 ((2003) Cell 114, 181-190). Engagement of the TNFR by TNF leads to its oligomerization, and the recruitment of multiple proteins, including linear K63-linked polyubiquitinated RIP1 ((2006) Mol. Cell 22, 245-257), TRAF2/5 ((2010) J. Mol. Biol. 396, 528-539), TRADD ((2008) Nat. Immunol. 9, 1037-1046) and cIAPs ((2008) Proc. Natl. Acad. Sci. USA. 105, 11778-11783), to the cytoplasmic tail of the receptor. This complex which is dependent on RIP1 as a scaffolding protein (i.e. kinase independent), termed complex I, provides a platform for pro-survival signaling through the activation of the NFκB and MAP kinases pathways ((2010) Sci. Signal. 115, re4). Alternatively, binding of TNF to its receptor under conditions promoting the deubiquitination of RIP1 (by proteins such as A20 and CYLD or inhibition of the cIAPs) results in receptor internalization and the formation of complex II or DISC (death-inducing signaling complex) ((2011) Cell Death Dis. 2, e230). Formation of the DISC, which contains RIP1, TRADD, FADD and
caspase 8, results in the activation ofcaspase 8 and the onset of programmed apoptotic cell death also in a RIP1 kinase independent fashion ((2012) FEBS J 278, 877-887). Apoptosis is largely a quiescent form of cell death, and is involved in routine processes such as development and cellular homeostasis. - Under conditions where the DISC forms and RIP3 is expressed, but apoptosis is inhibited (such as FADD/
caspase 8 deletion, caspase inhibition or viral infection), a third RIP1 kinase-dependent possibility exists. RIP3 can now enter this complex, become phosphorylated by RIP1 and initiate a caspase-independent programmed necrotic cell death through the activation of MLKL and PGAM5 ((2012) Cell 148, 213-227); ((2012) Cell 148, 228-243); ((2012) Proc. Natl. Acad. Sci. USA. 109, 5322-5327). As opposed to apoptosis, programmed necrosis (not to be confused with passive necrosis which is not programmed) results in the release of danger associated molecular patterns (DAMPs) from the cell. These DAMPs are capable of providing a “danger signal” to surrounding cells and tissues, eliciting proinflammatory responses including inflammasome activation, cytokine production and cellular recruitment ((2008 Nat. Rev. Immunol 8, 279-289). - Dysregulation of RIP1 kinase-mediated programmed cell death has been linked to various inflammatory diseases, as demonstrated by use of the RIP3 knockout mouse (where RIP1-mediated programmed necrosis is completely blocked) and by Necrostatin-1 (a tool inhibitor of RIP1 kinase activity with poor oral bioavailability). The RIP3 knockout mouse has been shown to be protective in inflammatory bowel disease (including Ulcerative colitis and Crohn's disease) ((2011) Nature 477, 330-334), Psoriasis ((2011)
Immunity 35, 572-582), retinal-detachment-induced photoreceptor necrosis ((2010) PNAS 107, 21695-21700), retinitis pigmentosa ((2012) Proc. Natl. Acad. Sci., 109:36, 14598-14603), cerulein-induced acute pancreatits ((2009) Cell 137, 1100-1111) and Sepsis/systemic inflammatory response syndrome (SIRS) ((2011)Immunity 35, 908-918). Necrostatin-1 has been shown to be effective in alleviating ischemic brain injury ((2005) Nat. Chem. Biol. 1, 112-119), retinal ischemia/reperfusion injury ((2010) J. Neurosci. Res. 88, 1569-1576), Huntington's disease ((2011) Cell Death Dis. 2 e115), renal ischemia reperfusion injury ((2012) Kidney Int. 81, 751-761), cisplatin induced kidney injury ((2012) Ren. Fail. 34, 373-377) and traumatic brain injury ((2012) Neurochem. Res. 37, 1849-1858). Other diseases or disorders regulated at least in part by RIP1-dependent apoptosis, necrosis or cytokine production include hematological and solid organ malignancies ((2013) Genes Dev. 27: 1640-1649), bacterial infections and viral infections ((2014) Cell Host & Microbe 15, 23-35) (including, but not limited to, tuberculosis and influenza ((2013) Cell 153, 1-14)) and Lysosomal storage diseases (particularly, Gaucher Disease, Nature Medicine Advance Online Publication, 19 Jan. 2014, doi:10.1038/nm.3449). - A potent, selective, small molecule inhibitor of RIP1 kinase activity would block RIP1-dependent cellular necrosis and thereby provide a therapeutic benefit in diseases or events associated with DAMPs, cell death, and/or inflammation.
- The invention is directed to compounds according to Formula (I):
- wherein:
- X is O, S, SO, SO2, NH, CO, CH2, CF2, CH(CH3), CH(OH), or N(CH3);
- Y is CH2 or CH2CH2;
- Z1 is N, CH or CR1;
- Z2 is CH or CR2;
- Z3 is N, CH or CR3;
- Z4 is CH or CR4;
- R1 is fluoro or methyl;
- one of R2 and R3 is halogen, cyano, (C1-C6)alkyl, halo(C1-C4)alkyl, (C1-C6)alkoxy, halo(C1-C4)alkoxy, hydroxyl, B(OH)2, —COOH, halo(C1-C4)alkylC(OH)2—, (C1-C4)alkoxy(C1-C4)alkoxy, (C1-C4)alkylSO2-, (C1-C4)alkylSO2NHC(O)—, (C1-C4)alkylC(O)NH—, ((C1-C4)alkyl)((C1-C4)alkyONC(O)—, (C1-C4)alkylOC(O)—, (C1-C4)alkylC(O)N(C1-C4)alkyl)-, (C1-C4)alkylNHC(O)—, (C1-C4)alkoxy(C2-C4)alkylNHC(O)—, (C1-C4)alkoxy(C2-C4)alkylC(O)NH—, (C1-C4)alkoxy(C2-C4)alkylNHC(O)NH—, (C1-C4)alkylSO2(C2-C4)alkylNHC(O)—, (C1-C4)alkylNHC(O)NH—, (C1-C4)alkylOC(O)NH—, hydroxy(C1-C4)alkylOC(O)NH—, 5-6 membered heterocycloalkyl-C(O)—, 5-6 membered heterocycloalkyl-(C1-C4)alkyl-NHC(O)—, 5-6 membered heterocycloalkyl-(C1-C4)alkoxy-, 3-6 membered cycloalkyl, 5-6 membered heteroaryl, or 5-6 membered heteroaryl-C(O)NH,
- wherein said 3-6 membered cycloalkyl, 5-6 membered heterocycloalkyl and 5-6 membered heteroaryl are optionally substituted by 1 or 2 substituents each independently selected from the group consisting of (C1-C4)alkyl and —(C1-C4)alkyl-CN;
- and the other of R2 and R3 is halogen or (C1-C6)alkyl;
- R4 is fluoro, chloro, or methyl;
- R5 is H or methyl;
- A is phenyl, 5-6 membered heteroaryl, or 5-6 membered heterocycloalkyl, wherein the carbonyl moiety and L are substituted 1,3 on ring A;
- m is 0 or m is 1 and RA is (C1-C4)alkyl; and
- L is O, S, NH, N(CH3), CH2, CH2CH2, CH(CH3), CHF, CF2, CH2O, CH2N(CH3), CH2NH, or CH(OH);
- B is an optionally substituted (C3-C6)cycloalkyl, phenyl, 5-6 membered heteroaryl, or 5-6 membered heterocycloalkyl;
- wherein said (C3-C6)cycloalkyl, phenyl, 5-6 membered heteroaryl, or 5-6 membered heterocycloalkyl is unsubstituted or is substituted by one or two substituents each independently selected from halogen, (C1-C4)alkyl, halo(C1-C4)alkyl, (C1-C4)alkoxy, halo(C1-C4)alkoxy, nitro, and (C1-C4)alkylC(O)—;
- or the moiety -L-B is (C3-C6)alkyl, (C3-C6)alkoxy, halo(C3-C6)alkoxy, (C3-C6)alkenyl, or (C3-C6)alkenyloxy;
- or a salt, particularly a pharmaceutically acceptable salt, thereof.
- The compounds according to Formula (I), or salts, particularly pharmaceutically acceptable salts, thereof, are inhibitors of RIP1 kinase.
- Accordingly, the present invention is also directed to a method of inhibiting RIP1 kinase which method comprises contacting a cell with a compound according to Formula (I), or a salt, particularly a pharmaceutically acceptable salt, thereof.
- The invention is further directed to a method of treating a RIP1 kinase-mediated disease or disorder which comprises administering a therapeutically effective amount of a compound according to Formula (I), or a salt, particularly a pharmaceutically acceptable salt thereof, to a patient (a human or other mammal, particularly, a human) in need thereof. Such RIP1 kinase-mediated diseases or disorders include inflammatory bowel disease (including Crohn's disease and ulcerative colitis), psoriasis, retinal detachment, retinitis pigmentosa, arthritis (including rheumatoid arthritis, spondyloarthritis, gout, and SoJIA), transplant rejection, ischemia reperfusion injury of solid organs, multiple sclerosis, and tumor necrosis factor receptor-associated periodic syndrome.
- The present invention is further directed to a pharmaceutical composition comprising a compound according to Formula (I), or a salt, particularly a pharmaceutically acceptable salt, thereof and a pharmaceutically acceptable excipient. Particularly, this invention is directed to a pharmaceutical composition for the treatment of a RIP1 kinase-mediated disease or disorder, where the composition comprises a compound according to Formula (I), or a salt, particularly a pharmaceutically acceptable salt, thereof and a pharmaceutically acceptable excipient.
-
FIG. 1A shows the temperature loss over time in mice after oral pre-dosing with the compound of Example 12 or vehicle followed by simultaneous i.v. administration of mouse TNF and zVAD. -
FIG. 1B shows the temperature loss in mice 2.5 hours after oral pre-dosing with the compound of Example 12 or vehicle followed by simultaneous i.v. administration of mouse TNF and zVAD. -
FIG. 2A shows the temperature loss over time in mice after oral pre-dosing with the compound of Example 12 or vehicle followed by i.v. administration of mouse TNF. -
FIG. 2B shows the temperature loss inmice 6 hours after oral pre-dosing with the compound of Example 12 or vehicle followed by i.v. administration of mouse TNF. -
FIG. 3A shows the cellular levels of ATP in mouse L929 fibrosarcoma cells pre-treated with the compound of Example 77 followed by treatment with TNFα+QvD. -
FIG. 3B shows the cellular levels of ATP in human monocytic leukemia U937 fibrosarcoma cells pre-treated with the compound of Example 77 followed by treatment with TNFα+QvD. -
FIG. 4A shows the temperature loss over time in mice after oral pre-dosing with the compound of Example 161 or vehicle followed by simultaneous i.v. administration of mouse TNF and zVAD. -
FIG. 4B shows the temperature loss inmice 6 hours after oral pre-dosing with the compound of Example 161 or vehicle followed by simultaneous i.v. administration of mouse TNF and zVAD. -
FIG. 5A shows the temperature loss over time in mice after oral pre-dosing with the compound of Example 161 or vehicle followed by i.v. administration of mouse TNF. -
FIG. 5B shows the temperature loss inmice 6 hours after oral pre-dosing with the compound of Example 161 or vehicle followed by i.v. administration of mouse TNF. -
FIG. 6A shows the cellular levels of ATP in mouse L929 fibrosarcoma cells pre-treated with the compound of Example 161 followed by treatment with TNFα+QvD. -
FIG. 6B shows an IC50 curve of ATP in human monocytic leukemia U937 fibrosarcoma cells pre-treated with the compound of Example 161 followed by treatment with TNFα+QvD. Data are normalized to 10 mM Nec-1 which was set at 100% survival. -
FIG. 7 is a powder x-ray diffraction (PXRD) pattern of a crystalline form of anhydrous (S)-5-benzyl-N-(5-methyl-4-oxo-2,3,4,5-tetrahydrobenzo[b][1,4]oxazepin-3-yl)-4H-1,2,4-triazole-3-carboxamide (free base). - This invention is also directed to a compound of Formula (I) wherein:
- X is O, S, SO, SO2, NH, CO, CH2, CF2, CH(CH3), CH(OH), or N(CH3);
- Y is CH2 or CH2CH2;
- Z1 is N, CH or CR1;
- Z2 is CH or CR2;
- Z3 is N, CH or CR3;
- Z4 is CH or CR4;
- R1 is fluoro or methyl;
- one of R2 and R3 is halogen, cyano, (C1-C6)alkyl, halo(C1-C4)alkyl, (C1-C6)alkoxy, hydroxyl, B(OH)2, —COOH, halo(C1-C4)alkylC(OH)2—, (C1-C4)alkoxy(C1-C4)alkoxy, (C1-C4)alkylSO2—, (C1-C4)alkylSO2NHC(O)—, (C1-C4)alkylC(O)NH—, ((C1-C4)alkyl)((C1-C4)alkyl)NC(O)—, (C1-C4)alkylOC(O)—, (C1-C4)alkylC(O)N(C1-C4)alkyl)-, (C1-C4)alkylNHC(O)—, (C1-C4)alkoxy(C2-C4)alkylNHC(O)—, (C1-C4)alkoxy(C2-C4)alkylC(O)NH—, (C1-C4)alkoxy(C2-C4)alkylNHC(O)NH—, (C1-C4)alkylSO2(C2-C4)alkylNHC(O)—, (C1-C4)alkylNHC(O)NH—, (C1-C4)alkylOC(O)NH—, hydroxy(C1-C4)alkylOC(O)NH—, 5-6 membered heterocycloalkyl-C(O)—, 5-6 membered heterocycloalkyl-(C1-C4)alkyl-NHC(O)—, 5-6 membered heterocycloalkyl-(C1-C4)alkoxy-, 5-6 membered heteroaryl, or 5-6 membered heteroaryl-C(O)NH,
- wherein said 5-6 membered heterocycloalkyl and 5-6 membered heteroaryl are optionally substituted by 1 or 2 substituents each independently selected from the group consisting of (C1-C4)alkyl and —(C1-C4)alkyl-CN; and the other of R2 and R3 is halogen or (C1-C6)alkyl;
- R4 is fluoro, chloro, or methyl;
- R5 is H or methyl;
- A is phenyl, 5-6 membered heteroaryl, or 5-6 membered heterocycloalkyl, wherein the carbonyl moiety and L are substituted 1,3 on ring A;
-
- m is 0 or m is 1 and RA is (C1-C4)alkyl; and
- L is O, S, NH, N(CH3), CH2, CH2CH2, CH(CH3), CHF, CF2, CH2O, CH2N(CH3), CH2NH, or CH(OH);
- B is an optionally substituted (C3-C6)cycloalkyl, phenyl, 5-6 membered heteroaryl, or 5-6 membered heterocycloalkyl;
- wherein said (C3-C6)cycloalkyl, phenyl, 5-6 membered heteroaryl, or 5-6 membered heterocycloalkyl is unsubstituted or is substituted by one or two substituents each independently selected from halogen, (C1-C4)alkyl, halo(C1-C4)alkyl, (C1-C4)alkoxy, halo(C1-C4)alkoxy, nitro, and (C1-C4)alkylC(O)—;
- or the moiety -L-B is (C3-C6)alkyl, (C3-C6)alkoxy, halo(C3-C6)alkoxy, (C3-C6)alkenyl, or (C3-C6)alkenyloxy;
- or a salt, particularly a pharmaceutically acceptable salt, thereof.
- The alternative definitions for the various groups and substituent groups of Formula (I) provided throughout the specification are intended to particularly describe each compound species disclosed herein, individually, as well as groups of one or more compound species. The scope of this invention includes any combination of these group and substituent group definitions. The compounds of the invention are only those which are contemplated to be “chemically stable” as will be appreciated by those skilled in the art.
- As used herein, the term “alkyl” represents a saturated, straight or branched hydrocarbon group having the specified number of carbon atoms. The term “(C1-C4)alkyl” refers to an alkyl moiety containing from 1 to 4 carbon atoms. Exemplary alkyls include, but are not limited to methyl, ethyl, n-propyl, isopropyl, n-butyl, isobutyl, s-butyl, and t-butyl.
- When a substituent term such as “alkyl” is used in combination with another substituent term, for example as in “hydroxy(C1-C4)alkyl” or “aryl(C1-C4)alkyl”, the linking substituent term (e.g., alkyl) is intended to encompass a divalent moiety, wherein the point of attachment is through that linking substituent. Examples of “aryl(C1-C4)alkyl” groups include, but are not limited to, benzyl (phenylmethyl), 1-methylbenzyl (1-phenylethyl), and phenethyl (2-phenylethyl). Examples of “hydroxy(C1-C4)alkyl” groups include, but are not limited to, hydroxymethyl, hydroxyethyl, and hydroxyisopropyl.
- The term “halo(C1-C4)alkyl” represents a group having one or more halogen atoms, which may be the same or different, at one or more carbon atoms of an alkyl moiety containing from 1 to 4 carbon atoms. Examples of “halo(C1-C4)alkyl” groups include, but are not limited to, —CF3 (trifluoromethyl), —CCl3 (trichloromethyl), 1,1-difluoroethyl, 2,2,2-trifluoroethyl, and hexafluoroisopropyl.
- “Alkenyl” refers to straight or branched hydrocarbon group having at least 1 and up to 3 carbon-carbon double bonds. Examples include ethenyl and propenyl.
- “Alkoxy” refers to an “alkyl-oxy-” group, containing an alkyl moiety attached through an oxygen linking atom. For example, the term “(C1-C4)alkoxy” represents a saturated, straight or branched hydrocarbon moiety having at least 1 and up to 4 carbon atoms attached through an oxygen linking atom. Exemplary “(C1-C4)alkoxy” groups include, but are not limited to, methoxy, ethoxy, n-propoxy, isopropoxy, n-butoxy, s-butoxy, and t-butoxy.
- The term “halo(C1-C4)alkoxy” refers to a “haloalkyl-oxy-” group, containing a “halo(C1-C4)alkyl” moiety attached through an oxygen linking atom, which halo(C1-C4)alkyl” refers to a moiety having one or more halogen atoms, which may be the same or different, at one or more carbon atoms of an alkyl moiety containing from 1 to 4 carbon atoms. Exemplary “halo(C1-C4)alkoxy” groups include, but are not limited to, —OCHF2 (difluoromethoxy), —OCF3 (trifluoromethoxy), —OCH2CF3 (trifluoroethoxy), and —OCH(CF3)2 (hexafluoroisopropoxy).
- A carbocyclic group is a cyclic group in which all of the ring members are carbon atoms, which may be saturated, partially unsaturated (non-aromatic) or fully unsaturated (aromatic). The term “carbocyclic” includes cycloalkyl and aryl groups.
- “Cycloalkyl” refers to a non-aromatic, saturated, cyclic hydrocarbon group containing the specified number of carbon atoms. For example, the term “(C3-C6)cycloalkyl” refers to a non-aromatic cyclic hydrocarbon ring having from three to six ring carbon atoms. Exemplary “(C3-C6)cycloalkyl” groups include cyclopropyl, cyclobutyl, cyclopentyl, and cyclohexyl.
- The terms “cycloalkyloxy” or “cycloalkoxy” refer to a group containing a cycloalkyl moiety, defined hereinabove, attached through an oxygen linking atom. Exemplary “(C3-C6)cycloalkyloxy” groups include cyclopropyloxy, cyclobutyloxy, cyclopentyloxy, and cyclohexyloxy.
- “Aryl” refers to a group or moiety comprising an aromatic, monocyclic or bicyclic hydrocarbon radical containing from 6 to 10 carbon ring atoms and having at least one aromatic ring. Examples of “aryl” groups are phenyl, naphthyl, indenyl, and dihydroindenyl (indanyl). Generally, in the compounds of this invention, aryl is phenyl.
- A heterocyclic group is a cyclic group having, as ring members, atoms of at least two different elements, which cyclic group may be saturated, partially unsaturated (non-aromatic) or fully unsaturated (aromatic). The terms “heterocyclic” or “heterocyclyl” includes heterocycloalkyl and heteroaryl groups. It is to be understood that the terms heterocyclic, heterocyclyl, heteroaryl, and heterocycloalkyl, are intended to encompass stable groups where a ring nitrogen heteroatom is optionally oxidized (e.g., heteroaryl groups containing an N-oxide, such as oxo-pyridyl (pyridyl-N-oxide) and oxo-oxadiazolyl (oxo-4,5-dihydro-1,3,4-oxadiazolyl) or where a ring sulfur heteroatom is optionally oxidized (e.g., heterocycloalkyl groups containing sulfones or sulfoxide moieties, such as tetrahydrothienyl-1-oxide (tetrahydrothienyl sulfoxide, tetrahydrothiophenyl sulfoxide) and tetrahydrothienyl-1,1-dioxide (tetrahydrothienyl sulfone)).
- “Heterocycloalkyl” refers to a non-aromatic, monocyclic or bicyclic group containing 3-10 ring atoms, being saturated or having one or more degrees of unsaturation and containing one or more (generally one or two) heteroatom substitutions independently selected from oxygen, sulfur, and nitrogen. Examples of “heterocycloalkyl” groups include, but are not limited to, aziridinyl, thiiranyl, oxiranyl, azetidinyl, oxetanyl, thietanyl, pyrrolidinyl, pyrrolinyl, pyrazolidinyl, pyrazolinyl, imidazolidinyl, imidazolinyl, oxazolinyl, thiazolinyl, tetrahydrofuranyl, dihydrofuranyl, tetrahydrothienyl, 1,3-dioxolanyl, piperidinyl, piperazinyl, tetrahydropyranyl, dihydropyranyl, tetrahydrothiopyranyl, 1,3-dioxanyl, 1,4-dioxanyl, 1,3-oxathiolanyl, 1,3-oxathianyl, 1,3-dithianyl, 1,4-oxathiolanyl, 1,4-oxathianyl, 1,4-dithianyl, morpholinyl, thiomorpholinyl, hexahydro-1H-1,4-diazepinyl, azabicylo[3.2.1]octyl, azabicylo[3.3.1]nonyl, azabicylo[4.3.0]nonyl, oxabicylo[2.2.1]heptyl, 1,1-dioxidotetrahydro-2H-thiopyranyl, and 1,5,9-triazacyclododecyl.
- Examples of “4-membered heterocycloalkyl” groups include oxetanyl, thietanyl and azetidinyl.
- The term “5-6-membered heterocycloalkyl” represents a non aromatic, monocyclic group, which is saturated or partially unsaturated, containing 5 or 6 ring atoms, which includes one or two heteroatoms selected independently from oxygen, sulfur, and nitrogen. Illustrative examples of 5 to 6-membered heterocycloalkyl groups include, but are not limited to pyrrolidinyl, piperidinyl, piperazinyl, tetrahydrofuranyl, tetrahydrothienyl, tetrahydropyranyl, tetrahydrothiopyranyl, morpholinyl, and thiomorpholinyl.
- “Heteroaryl” represents a group or moiety comprising an aromatic monocyclic or bicyclic radical, containing 5 to 10 ring atoms, including 1 to 4 heteroatoms independently selected from nitrogen, oxygen and sulfur. This term also encompasses bicyclic heterocyclic-aryl groups containing either an aryl ring moiety fused to a heterocycloalkyl ring moiety or a heteroaryl ring moiety fused to a cycloalkyl ring moiety.
- Illustrative examples of heteroaryls include, but are not limited to, furanyl, thienyl, pyrrolyl, imidazolyl, pyrazolyl, triazolyl, tetrazolyl, thiazolyl, oxazolyl, isoxazolyl, oxadiazolyl, thiadiazolyl, isothiazolyl, pyridinyl (pyridyl), oxo-pyridyl (pyridyl-N-oxide), pyridazinyl, pyrazinyl, pyrimidinyl, triazinyl, benzofuranyl, isobenzofuryl, 2,3-dihydrobenzofuryl, 1,3-benzodioxolyl, dihydrobenzodioxinyl, benzothienyl, indolizinyl, indolyl, isoindolyl, dihydroindolyl, benzimidazolyl, dihydrobenzimidazolyl, benzoxazolyl, dihydrobenzoxazolyl, benzothiazolyl, benzoisothiazolyl, dihydrobenzoisothiazolyl, indazolyl, imidazopyridinyl, pyrazolopyridinyl, benzotriazolyl, triazolopyridinyl, purinyl, quinolinyl, tetrahydroquinolinyl, isoquinolinyl, tetrahydroisoquinolinyl, quinoxalinyl, cinnolinyl, phthalazinyl, quinazolinyl, 1,5-naphthyridinyl, 1,6-naphthyridinyl, 1,7-naphthyridinyl, 1,8-naphthyridinyl, and pteridinyl.
- As used herein, “5-6-membered heteroaryl” represents an aromatic monocyclic group containing 5 or 6 ring atoms, including at least one carbon atom and 1 to 4 heteroatoms independently selected from nitrogen, oxygen and sulfur. Selected 5-membered heteroaryl groups contain one nitrogen, oxygen, or sulfur ring heteroatom, and optionally contain 1, 2, or 3 additional nitrogen ring atoms. Selected 6-membered heteroaryl groups contain 1, 2, or 3 nitrogen ring heteroatoms. Examples of 5-membered heteroaryl groups include furyl (furanyl), thienyl, pyrrolyl, imidazolyl, pyrazolyl, triazolyl, tetrazolyl, thiazolyl, isothiazolyl, thiadiazolyl, oxazolyl, isoxazolyl, oxadiazolyl and oxo-oxadiazolyl. Selected 6-membered heteroaryl groups include pyridinyl, oxo-pyridyl, pyrazinyl, pyrimidinyl, pyridazinyl and triazinyl.
- Bicyclic heteroaryl groups include 6,5-fused heteroaryl (9-membered heteroaryl) and 6,6-fused heteroaryl (10-membered heteroaryl) groups. Examples of 6,5-fused heteroaryl (9-membered heteroaryl) groups include benzothienyl, benzofuranyl, indolyl, indolinyl, isoindolyl, isoindolinyl, indazolyl, indolizinyl, isobenzofuryl, 2,3-dihydrobenzofuryl, benzoxazolyl, benzthiazolyl, benzimidazolyl, benzoxadiazolyl, benzthiadiazolyl, benzotriazolyl, 1,3-benzoxathiol-2-on-yl (2-oxo-1,3-benzoxathiolyl), purinyl and imidazopyridinyl.
- Examples of 6,6-fused heteroaryl (10-membered heteroaryl) groups include quinolyl, isoquinolyl, phthalazinyl, naphthridinyl (1,5-naphthyridinyl, 1,6-naphthyridinyl, 1,7-naphthyridinyl, 1,8-naphthyridinyl), quinazolinyl, quinoxalinyl, 4H-quinolizinyl, tetrahydroquinolinyl, cinnolinyl, and pteridinyl.
- Unless otherwise specified, all bicyclic ring systems may be attached at any suitable position on either ring.
- The terms “halogen” and “halo” represent chloro, fluoro, bromo, or iodo substituents. “Oxo” represents a double-bonded oxygen moiety; for example, if attached directly to a carbon atom forms a carbonyl moiety (C═O). “Hydroxy” or “hydroxyl” is intended to mean the radical —OH. As used herein, the term “cyano” refers to the group —CN.
- As used herein, the term “optionally substituted” indicates that a group (such as an alkyl, cycloalkyl, alkoxy, heterocycloalkyl, aryl, or heteroaryl group) or ring or moiety (such as a carbocyclic or heterocyclic ring or moiety) may be unsubstituted, or the group, ring or moiety may be substituted with one or more substituent(s) as defined. In the case where groups may be selected from a number of alternative groups, the selected groups may be the same or different.
- The term “independently” means that where more than one substituent is selected from a number of possible substituents, those substituents may be the same or different.
- The term “pharmaceutically acceptable” refers to those compounds, materials, compositions, and dosage forms which are, within the scope of sound medical judgment, suitable for use in contact with the tissues of human beings and animals without excessive toxicity, irritation, or other problem or complication, commensurate with a reasonable benefit/risk ratio.
- As used herein, the terms “compound(s) of the invention” or “compound(s) of this invention” mean a compound of Formula (I), particularly a compound of any one of Formulas (I-IV), as defined herein, in any form, i.e., any salt or non-salt form (e.g., as a free acid or base form, or as a salt, particularly a pharmaceutically acceptable salt thereof) and any physical form thereof (e.g., including non-solid forms (e.g., liquid or semi-solid forms), and solid forms (e.g., amorphous or crystalline forms, specific polymorphic forms, solvate forms, including hydrate forms (e.g., mono-, di- and hemi-hydrates)), and mixtures of various forms.
- Accordingly, included within the present invention are the compounds of Formula (I), particularly, compounds of any one of Formulas (I-IV), as defined herein, in any salt or non-salt form and any physical form thereof, and mixtures of various forms. While such are included within the present invention, it will be understood that the compounds of Formula (I), particularly, compounds of any one of Formulas (I-IV), as defined herein, in any salt or non-salt form, and in any physical form thereof, may have varying levels of activity, different bioavailabilities and different handling properties for formulation purposes.
- In one embodiment of the compounds of this invention, X is O, S, SO, SO2, NH, CO, CH2, CF2, CH(CH3), N(CH3), or CH(OH). In a specific embodiment, X is O, S, SO, SO2, NH, CO, CH2, or N(CH3). In another embodiment, X is S, SO, SO2, or CO. In yet another embodiment, X is CF2, CH(CH3), or CH(OH). In a further embodiment, X is O, CH2, NH or N(CH3). In selected embodiments, X is O or CH2.
- In one embodiment of the compounds of this invention, Y is CH2 or CH2CH2. In another embodiment, Y is CH2CH2. In selected embodiments, Y is CH2.
- In one embodiment of the compounds this invention, Z1, Z2, Z3, and Z4 are each CH. In another embodiment, Z1 is CR1 and Z2, Z3 and Z4 are each CH.
- In a further embodiment, Z1, Z2, and Z4 are each CH and Z3 is CR3. In a further embodiment, Z1, Z3, and Z4 are each CH and Z2 is CR2. In a still further embodiment, Z1, Z2, and Z3 are each CH and Z4 is CR4. In another embodiment, Z1 and Z2 are CH, Z3 is CR3, and Z4 is CR4. In another embodiment, Z1 and Z4 are CH, Z2 is CR2, and Z3 is CR3. In another embodiment, Z1 and Z3 are CH, Z2 is CR2, and Z4 is CR4. In another embodiment, Z1 is CH, Z2 is CR2, Z3 is CR3, and Z4 is CR4.
- In yet another embodiment of the compounds of this invention Z1 and Z3 are both N, Z2 is CH and Z4 is CH or CR4. In yet another embodiment of the compounds of this invention Z1 and Z3 are both N, Z2 is CH or CR2 and Z4 is CH. In still other embodiments, Z1 is N, Z2 is CR2 and Z3 and Z4 are CH. In yet other embodiments, Z3 is N, and Z2, Z3 and Z4 are CH.
- In one embodiment of the compounds of this invention, R1 is fluoro. In another embodiment, R1 is methyl.
- In one embodiment, one of R2 and R3 is halogen, cyano, (C1-C6)alkyl, halo(C1-C4)alkyl, (C1-C6)alkoxy, halo(C1-C4)alkoxy, hydroxyl, B(OH)2, —COOH, halo(C1-C4)alkylC(OH)2—, (C1-C4)alkoxy(C1-C4)alkoxy, (C1-C4)alkylSO2—, (C1-C4)alkylSO2NHC(O)—, (C1-C4)alkylC(O)NH—, ((C1-C4)alkyl)((C1-C4)alkyl)NC(O)—, (C1-C4)alkylOC(O)—, (C1-C4)alkylC(O)N(C1-C4)alkyl)-, (C1-C4)alkylNHC(O)—, (C1-C4)alkoxy(C2-C4)alkylNHC(O)—, (C1-C4)alkoxy(C2-C4)alkylC(O)NH—, (C1-C4)alkoxy(C2-C4)alkylNHC(O)NH—, (C1-C4)alkylSO2(C2-C4)alkylNHC(O)—, (C1-C4)alkylNHC(O)NH—, (C1-C4)alkylOC(O)NH—, hydroxy(C1-C4)alkylOC(O)NH—, 5-6 membered heterocycloalkyl-C(O)—, 5-6 membered heterocycloalkyl-(C1-C4)alkyl-NHC(O)—, 5-6 membered heterocycloalkyl-(C1-C4)alkoxy-, 3-6 membered cycloalkyl, 5-6 membered heteroaryl, or 5-6 membered heteroaryl-C(O)NH,
- wherein said 3-6 membered cycloalkyl, 5-6 membered heterocycloalkyl and 5-6 membered heteroaryl are optionally substituted by 1 or 2 substituents each independently selected from the group consisting of (C1-C4)alkyl and —(C1-C4)alkyl-CN;
- and the other of R2 and R3 is halogen, cyano or (C1-C6)alkyl.
- In one embodiment of the compounds of this invention, one of R2 and R3 is halogen, cyano, (C1-C6)alkyl, halo(C1-C4)alkyl, (C1-C6)alkoxy, hydroxyl, B(OH)2, —COOH, halo(C1-C4)alkylC(OH)2—, (C1-C4)alkoxy(C1-C4)alkoxy, (C1-C4)alkylSO2—, (C1-C4)alkylSO2NHC(O)—, (C1-C4)alkylC(O)NH—, ((C1-C4)alkyl)((C1-C4)alkyl)NC(O)—, (C1-C4)alkylOC(O)—, (C1-C4)alkylC(O)N(C1-C4)alkyl)-, (C1-C4)alkylNHC(O)—, (C1-C4)alkoxy(C2-C4)alkylNHC(O)—, (C1-C4)alkoxy(C2-C4)alkylC(O)NH—, (C1-C4)alkoxy(C2-C4)alkylNHC(O)NH—, (C1-C4)alkylSO2(C2-C4)alkylNHC(O)—, (C1-C4)alkylNHC(O)NH—, (C1-C4)alkylOC(O)NH—, hydroxy(C1-C4)alkylOC(O)NH—, 5-6 membered heterocycloalkyl-C(O)—, 5-6 membered heterocycloalkyl-(C1-C4)alkyl-NHC(O)—, 5-6 membered heterocycloalkyl-(C1-C4)alkoxy-, 5-6 membered heteroaryl, or 5-6 membered heteroaryl-C(O)NH,
- wherein said 5-6 membered heterocycloalkyl and 5-6 membered heteroaryl are optionally substituted by 1 or 2 substituents each independently selected from the group consisting of (C1-C4)alkyl and —(C1-C4)alkyl-CN;
- and the other of R2 and R3 is halogen or (C1-C6)alkyl.
- In another embodiment, R2 is halogen, cyano, (C1-C6)alkyl, (C1-C6)alkoxy, halo(C1-C4)alkoxy, hydroxyl, B(OH)2, —COOH, halo(C1-C4)alkylC(OH)2—, (C1-C4)alkoxy(C1-C4)alkoxy, 3-5 membered cycloalkyl, or 5-6 membered heteroaryl, wherein said 3-5 membered cycloalkyl or 5-6 membered heteroaryl is optionally substituted by a (C1-C3)alkyl substituent; and Z3 is CH or CR3 and R3 is cyano, (C1-C6)alkyl, or a 5-6 membered heteroaryl, optionally substituted by a (C1-C3)alkyl substituent. In another embodiment, R2 is halogen, cyano, (C1-C6)alkyl, hydroxyl, B(OH)2, —COOH, halo(C1-C4)alkylC(OH)2—, (C1-C4)alkoxy(C1-C4)alkoxy, or 5-6 membered heteroaryl, wherein said 5-6 membered heteroaryl is optionally substituted by a (C1-C3)alkyl substituent; and Z3 is CH.
- In another embodiment, R3 is halogen, (C1-C6)alkyl, halo(C1-C4)alkyl, (C1-C6)alkoxy, halo(C1-C6)alkoxy, B(OH)2, —COOH, (C1-C4)alkylSO2—, (C1-C4)alkylSO2NHC(O)—, (C1-C4)alkylC(O)NH—, ((C1-C4)alkyl)((C1-C4)alkyl)NC(O)—, (C1-C4)alkylOC(O)—, (C1-C4)alkylC(O)N(C1-C4)alkyl)-, (C1-C4)alkoxy(C2-C4)alkylNHC(O)NH—, (C1-C4)alkylSO2(C2-C4)alkylNHC(O)—, (C1-C4)alkylNHC(O)NH—, (C1-C4)alkylOC(O)NH—, hydroxy(C1-C4)alkylOC(O)NH—, 5-6 membered heterocycloalkyl-C(O)—, 5-6 membered heterocycloalkyl-(C1-C4)alkyl-NHC(O)—, 5-6 membered heterocycloalkyl-(C1-C4)alkoxy-, 5-6 membered heteroaryl, or 5-6 membered heteroaryl-C(O)NH, herein said 5-6 membered heterocycloalkyl and 5-6 membered heteroaryl are optionally substituted by (C1-C3)alkyl or —(C1-C3)alkyl-CN; and Z2 is CH.
- In another embodiment, R3 is halogen, (C1-C6)alkyl, halo(C1-C4)alkyl, (C1-C6)alkoxy, B(OH)2, —COOH, (C1-C4)alkylSO2—, (C1-C4)alkylSO2NHC(O)—, (C1-C4)alkylC(O)NH—, ((C1-C4)alkyl)((C1-C4)alkyl)NC(O)—, (C1-C4)alkylOC(O)—, (C1-C4)alkylC(O)N(C1-C4)alkyl)-, (C1-C4)alkoxy(C2-C4)alkylNHC(O)NH—, (C1-C4)alkylSO2(C2-C4)alkylNHC(O)—, (C1-C4)alkylNHC(O)NH—, (C1-C4)alkylOC(O)NH—, hydroxy(C1-C4)alkylOC(O)NH—, 5-6 membered heterocycloalkyl-C(O)—, 5-6 membered heterocycloalkyl-(C1-C4)alkyl-NHC(O)—, 5-6 membered heterocycloalkyl-(C1-C4)alkoxy-, 5-6 membered heteroaryl, or 5-6 membered heteroaryl-C(O)NH, herein said 5-6 membered heterocycloalkyl and 5-6 membered heteroaryl are optionally substituted by (C1-C3)alkyl or —(C1-C3)alkyl-CN; and Z2 is CH.
- In specific embodiments, R2 is fluoro, chloro, bromo, —CN, —CH3, —OCH3, —OCHF2, —OH, B(OH)2, CF3C(OH)2—, CH3OCH2CH2O—, cyclopropyl, 5H-tetrazol-5-yl, pyrazol-3-yl, or 5-methyl-1,3,4-oxadiazol-2-yl.
- In other specific embodiments, R2 is fluoro, chloro, bromo, —CN, —CH3, —OH, B(OH)2, CF3C(OH)2—, CH3OCH2CH2O—, 5H-tetrazol-5-yl, pyrazol-3-yl, or 5-methyl-1,3,4-oxadiazol-2-yl.
- In another specific embodiment, R2 is chloro, bromo, —CN, —CH3, —OH, B(OH)2, CF3C(OH)2—, CH3OCH2CH2O—, 5H-tetrazol-5-yl, pyrazol-3-yl, or 5-methyl-1,3,4-oxadiazol-2-yl.
- In specific embodiments, R3 is fluoro, chloro, bromo, —CN, —OCH3, —OCHF2, B(OH)2, —COOH, CH3SO2—, CH3SO2NHC(O)—, CH3C(O)NH—, (CH3)2NC(O)—, CH3OC(O)—, (CH3)C(O)N(CH3)—, HOCH2CH2C(O)NH—, CH3OCH2CH2NHC(O)NH—, CH3SO2CH2CH2NHC(O)—, CH3CH2NHC(O)NH—, CH3OC(O)NH—, morpholin-4-yl-CO—, pyrrolidin-1-yl-CH2CH2NHC(O)—, pyridin-2-yl, tetrahydrofuran-2-yl-CH2O—, pyrrolidin-1-yl-CH2CH2O—, tetrazol-5-yl, 1-(2-cyanoethyl)-tetrazol-5-yl, pyrazol-1-yl, pyrazol-3-yl, pyrazol-4-yl, 1-methyl-pyrazol-3-yl, 1-methyl-pyrrol-4-yl-C(O)NH—, 5-methyl-1,3,4-oxadiazol-2-yl, or 5-oxo-4,5-dihydro-1,3,4-oxadiazol-2-yl.
- In other specific embodiments, R3 is fluoro, chloro, bromo, —OCH3, B(OH)2, —COOH, CH3SO2—, CH3SO2NHC(O)—, CH3C(O)NH—, (CH3)2NC(O)—, CH3OC(O)—, (CH3)C(O)N(CH3)—, HOCH2CH2C(O)NH—, CH3OCH2CH2NHC(O)NH—, CH3SO2CH2CH2NHC(O)—, CH3CH2NHC(O)NH—, CH3OC(O)NH—, morpholin-4-yl-CO—, pyrrolidin-1-yl-CH2CH2NHC(O)—, tetrahydrofuran-2-yl-CH2O—, pyrrolidin-1-yl-CH2CH2O—, tetrazol-5-yl, 1-(2-cyanoethyl)-tetrazol-5-yl, pyrazol-1-yl, pyrazol-3-yl, 1-methyl-pyrazol-3-yl, 1-methyl-pyrrol-4-yl-C(O)NH—, 5-methyl-1,3,4-oxadiazol-2-yl, or 5-oxo-4,5-dihydro-1,3,4-oxadiazol-2-yl.
- In still other embodiments, R3 is fluoro, chloro, bromo, —OCH3, B(OH)2, —COOH, CH3SO2—, CH3SO2NHC(O)—, CH3C(O)NH—, (CH3)2NC(O)—, CH3OC(O)—, (CH3)C(O)N(CH3)—, HOCH2CH2C(O)NH—, CH3OCH2CH2NHC(O)NH—, CH3SO2CH2CH2NHC(O)—, CH3CH2NHC(O)NH—, CH3OC(O)NH—, morpholin-4-yl-CO—, pyrrolidin-1-yl-CH2CH2NHC(O)—, tetrahydrofuran-2-yl-CH2O—, pyrrolidin-1-yl-CH2CH2O—, tetrazol-5-yl, 1-(2-cyanoethyl)-tetrazol-5-yl, pyrazol-1-yl, pyrazol-3-yl, 1-methyl-pyrazol-3-yl, 1-methyl-pyrrol-4-yl-C(O)NH—, or 5-oxo-4,5-dihydro-1,3,4-oxadiazol-2-yl.
- In one embodiment of the compounds of this invention, R4 is fluoro, chloro, methyl, or trifluoromethyl. In another embodiment, R4 is fluoro. In yet another embodiment, R4 is methyl.
- In one embodiment of the compounds of this invention, R5 is H. In another embodiment, R5 is methyl.
- In one embodiment of the compounds of this invention, A is phenyl, 5-6 membered heteroaryl, or 5-6 membered heterocycloalkyl, wherein the carbonyl moiety and L are substituted 1,3 on ring A.
- In another embodiment, A is a 5 membered heteroaryl containing one oxygen or sulfur atom and optionally containing one or two nitrogen atoms; specifically A is furyl, thienyl, oxazolyl, isoxazolyl, thiazolyl, or oxadiazolyl (more specifically, 1, 2, 4-oxadiazolyl or 1, 3, 4-oxadiazolyl). In another embodiment, A is a 5 membered heteroaryl containing one nitrogen atom and optionally containing one, two or three additional nitrogen atoms, specifically; A is pyrrolyl, pyrazolyl, imidazolyl, triazolyl (more specifically, 1, 2, 3-triazolyl or 1, 2, 4-triazolyl) or tetrazolyl. In selected embodiments, A is triazolyl. In yet embodiment of this invention, A is a 5 or 6 membered heterocycloalkyl specifically, A is piperidinyl or pyrrolidinyl. In a further embodiment of this invention, A is a 6 membered aromatic group selected from phenyl and pyridyl.
- Another embodiment of this invention is directed to a compound according to Formula (II):
- wherein:
- A1 is C,
- A4 is C or N,
- and A2, A3, and A5 are each independently selected from CH, CRA, O, S, N, NH and NRA to form a furyl, thienyl, oxazolyl, isoxazolyl, thiazolyl, oxadiazolyl, pyrrolyl, pyrazolyl, imidazolyl, triazolyl or tetrazolyl ring moiety,
- wherein said ring moiety contains 0 or 1 of CRA and NRA; and
- wherein X, Z1, Z2, Z3, Z4, R5, L, and B are as defined herein,
- or a salt, particularly a pharmaceutically acceptable salt, thereof.
- In selected embodiments, A1 is C, A4 is C or N, and A2, A3, and A5 are each independently selected from CH, O, N, and NH to form an oxazolyl, isoxazolyl, oxadiazolyl, pyrrolyl, pyrazolyl, imidazolyl, triazolyl or tetrazolyl ring moiety.
- In other selected embodiments, A1 and A4 are each C, and A2, A3 and A5 are each independently selected from N and NH to form a triazolyl ring moiety.
- Another embodiment of this invention, wherein A is piperidinyl or pyrrolidinyl, may be represented by Formula (III):
- wherein s is 0 or 1, A10 is N and X, Z1, Z2, Z3, Z4, R5 RA, m, L, and B are as defined herein. In specific embodiments, m is 0 and A is an unsubstituted piperidinyl or pyrrolidinyl moiety.
- In one embodiment of the compounds of this invention, m is 0. In another embodiment, m is 1 and RA is (C1-C4)alkyl, specifically RA is (C1-C2)alkyl. In selected embodiments, RA is methyl.
- A further embodiment of this invention, wherein A is phenyl, pyridinyl, or pyridinyl-N-oxide, may be represented by Formula (IV):
- wherein:
- A6, A7, A8, and A9 are each CH;
- one of A6, A7, A8, and A9 is CRA and the others of A6, A7, A8, and A9 are CH;
- one of A6, A7, A8, and A9 is N and the others of A6, A7, A8, and A9 are CH;
- one of A6, A7, A8, and A9 is N—O and the other of A6, A7, A8, and A9 are CH;
- and X, Z1, Z2, Z3, Z4, R5, L, and B are as defined herein.
- In one embodiment of the compounds of this invention, L is O, S, NH, N(CH3), CH2, CH2CH2, CH(CH3), CHF, CF2, CH2O, CH2N(CH3), CH2NH, or CH(OH). In another embodiment, L is O, S, N(CH3), CH2, CH2CH2, CH(CH3), CF2, CH2O, CH2N(CH3), or CH(OH). In another embodiment, L is CH2O, CH2CH2, CH2NH, or CH2N(CH3). In a further embodiment, L is N(CH3), CH(CH3), or CH(OH). In another further embodiment, L is —(R)CH(CH3). In a still further embodiment, L is O, CH2, or NH. In one selected embodiment, L is O. In another selected embodiment, L is CH2.
- In one embodiment of the compounds of this invention, B is an optionally substituted (C3-C6)cycloalkyl, phenyl, 5-6 membered heteroaryl, or 5-6 membered heterocycloalkyl; wherein said (C3-C6)cycloalkyl, phenyl, 5-6 membered heteroaryl, or 5-6 membered heterocycloalkyl is unsubstituted or is substituted by one or two substituents each independently selected from halogen, (C1-C4)alkyl, halo(C1-C4)alkyl, (C1-C4)alkoxy, halo(C1-C4)alkoxy, nitro, and (C1-C4)alkylC(O)—. In one embodiment of the compounds of this invention, B is an optionally substituted 5-6 membered heteroaryl or 5-6 membered heterocycloalkyl. In one embodiment, B is an optionally substituted pyrazolyl, thienyl, pyridinyl (pyridyl), oxo-pyridyl, pyrimidinyl, isoxazolyl, morpholinyl, tetrahydropyranyl or tetrahydrofuranyl, wherein the pyrazolyl, thienyl, pyridinyl (pyridyl), oxo-pyridyl, pyrimidinyl, isoxazolyl, morpholinyl, tetrahydropyranyl or tetrahydrofuranyl is optionally substituted by one or two independently selected (C1-C4)alkyl substituents. In another embodiment, Bis an optionally substituted pyrazolyl, thienyl, pyridinyl (pyridyl), oxo-pyridyl, pyrimidinyl, isoxazolyl, morpholinyl, or tetrahydrofuranyl, wherein the pyrazolyl, thienyl, pyridinyl (pyridyl), oxo-pyridyl, pyrimidinyl, isoxazolyl, morpholinyl, or tetrahydrofuranyl is optionally substituted by one or two independently selected (C1-C4)alkyl substituents. In specific embodiments, B is thien-2-yl (thiophen-2-yl), 5-methyl-thien-2-yl (5-methyl-thiophen-2-yl), pyrazol-1-yl, 3,5-dimethylpyrazol-1-yl, 4-methylpyrazol-1-yl, 3,5-dimethylisoxazol-4-yl, tetrahydropyran-3-yl, tetrahydrofuran-2-yl, morpholin-4-yl, pyridin-2-yl, 2-oxo-pyridin-1-yl, 6-methylpyridin-3-yl, or 2-methylpyrimidin-5-yl.
- In other specific embodiments, B is thien-2-yl (thiophen-2-yl), 5-methyl-thien-2-yl (5-methyl-thiophen-2-yl), pyrazol-1-yl, 3,5-dimethylpyrazol-1-yl, 4-methylpyrazol-1-yl, 3,5-dimethylisoxazol-4-yl, tetrahydrofuran-2-yl, morpholin-4-yl, pyridin-2-yl, 2-oxo-pyridin-1-yl, 6-methylpyridin-3-yl, and 2-methylpyrimidin-5-yl.
- In specific embodiments, B is thien-2-yl, pyrazol-1-yl, 3,5-dimethylpyrazol-1-yl, 4-methylpyrazol-1-yl, 3,5-dimethylisoxazol-4-yl, tetrahydrofuran-2-yl, morpholin-4-yl, pyridin-2-yl, 2-oxo-pyridin-1-yl, 6-methylpyridin-3-yl, and 2-methylpyrimidin-5-yl.
- In another embodiment of the compounds of this invention, B is unsubstituted (C3-C6)cycloalkyl or phenyl. In a selected embodiment of this invention, B is unsubstituted cyclopropyl, cyclobutyl, cyclopentyl or cyclohexyl. In a specific embodiment, B is unsubstituted cyclopentyl or cyclohexyl. In another selected embodiment of the compounds of this invention, B is unsubstituted phenyl.
- In another selected embodiment, B is substituted phenyl. In one embodiment, B is phenyl, substituted by 1 or 2 substituents independently selected from halogen, (C1-C4)alkyl, halo(C1-C4)alkyl, (C1-C4)alkoxy, halo(C1-C4)alkoxy, nitro, and (C1-C4)alkylC(O)—. In other embodiments, B is phenyl, substituted by 1 or 2 substituents independently selected from halogen, (C1-C3)alkyl and (C1-C3)alkoxy. In specific embodiments, B is phenyl, substituted by a substituent selected from fluoro, chloro, bromo, iodo, nitro, methyl, ethyl, isopropyl, trifluoromethyl, methoxy, and —COCH3. In specific embodiments, B is phenyl, substituted by 1 or 2 substituents independently selected from iodo, fluoro, chloro, bromo, methyl and methoxy.
- In one selected embodiment, B is phenyl, substituted by 1 or 2 substituents independently selected from fluoro, chloro, bromo, and methyl, specifically B is phenyl, substituted by 1 or 2 fluoro substituents. In specific embodiments, B is cyclopentyl, cyclohexyl, 2-methylphenyl, 4-methylphenyl, 2-trifluoromethylphenyl, 2-fluorophenyl, 3-fluorophenyl, 4-fluorophenyl, 2-iodophenyl, 3-bromophenyl, 4-bromophenyl, 4-chlorophenyl, 2,5-difluorophenyl, 2,4-difluorophenyl, 3,4-difluorophenyl, 3,5-difluorophenyl, or 4-methoxyphenyl. In other embodiments, B is 2,3-difluorophenyl or 2,6-difluorophenyl.
- In one embodiment of the compounds of this invention, the moiety -L-B is (C3-C6)alkyl, (C3-C6)alkoxy, halo(C3-C6)alkoxy, (C3-C6)alkenyl, or (C3-C6)alkenyloxy. In another embodiment, the moiety -L-B is (C3-C6)alkyl, (C3-C6)alkoxy, or (C3-C5)alkenyloxy. In specific embodiments, -L-B is —OCH2CH═CH2, —CH2CH2CH2CH2CH3, —OCH2CH2CH2CH3, —CH2CH2CH3, —CH2CH(CH3)2 or —CH2CH2CH(CH3)2. In other specific embodiments, -L-B is —OCH2CH═CH2, —CH2CH2CH2CH2CH3, —OCH2CH2CH2CH3, —CH2CH2CH3, or —CH2CH(CH3)2.
- Representative compounds of this invention include the compounds of the Examples. It will be appreciated that the present invention encompasses compounds of Formula (I) as the free base and as salts thereof, for example as a pharmaceutically acceptable salt thereof. In one embodiment the invention relates to compounds of Formula (I) in the form of a free base. In another embodiment the invention relates to compounds of Formula (I) in the form of a salt, particularly, a pharmaceutically acceptable salt. It will be further appreciated that, in one embodiment, the invention relates to compounds of the Examples in the form of a free base. In another embodiment the invention relates to compounds of the Examples in the form of a salt, particularly, a pharmaceutically acceptable salt.
- Specifically, this invention is directed to (S)-5-benzyl-N-(5-methyl-4-oxo-2,3,4,5-tetrahydrobenzo[b][1,4]oxazepin-3-yl)-4H-1,2,4-triazole-3-carboxamide; (S)-5-benzyl-N-(6-fluoro-5-methyl-4-oxo-2,3,4,5-tetrahydrobenzo[b][1,4]oxazepin-3-yl)-4H-1,2,4-triazole-3-carboxamide; and 5-benzyl-N-(7-bromo-2-oxo-2,3,4,5-tetrahydro-1H-benzo[b]azepin-3-yl)-4H-1,2,4-triazole-3-carboxamide, or a salt thereof, particularly a pharmaceutically acceptable salt, thereof. Specifically, this invention is directed to (S)-5-benzyl-N-(5-methyl-4-oxo-2,3,4,5-tetrahydrobenzo[b][1,4]oxazepin-3-yl)-4H-1,2,4-triazole-3-carboxamide; (S)-5-benzyl-N-(6-fluoro-5-methyl-4-oxo-2,3,4,5-tetrahydrobenzo[b][1,4]oxazepin-3-yl)-4H-1,2,4-triazole-3-carboxamide; or 5-benzyl-N-(7-bromo-2-oxo-2,3,4,5-tetrahydro-1H-benzo[b]azepin-3-yl)-4H-1,2,4-triazole-3-carboxamide, or a pharmaceutically acceptable salt, thereof.
- More specifically, this invention is directed to (S)-5-benzyl-N-(5-methyl-4-oxo-2,3,4,5-tetrahydrobenzo[b][1,4]oxazepin-3-yl)-4H-1,2,4-triazole-3-carboxamide and (S)-5-benzyl-N-(7-chloro-2-oxo-2,3,4,5-tetrahydro-1H-benzo[b]azepin-3-yl)-4H-1,2,4-triazole-3-carboxamide, or a pharmaceutically acceptable salt thereof.
- This invention is directed to (S)-5-benzyl-N-(5-methyl-4-oxo-2,3,4,5-tetrahydrobenzo[b][1,4]oxazepin-3-yl)-4H-1,2,4-triazole-3-carboxamide or a salt, particularly a pharmaceutically acceptable salt, thereof. Accordingly, one particular compound of the invention is (S)-5-benzyl-N-(5-methyl-4-oxo-2,3,4,5-tetrahydrobenzo[b][1,4]oxazepin-3-yl)-4H-1,2,4-triazole-3-carboxamide (free base). In another embodiment, the compound of the invention is a salt of (S)-5-benzyl-N-(5-methyl-4-oxo-2,3,4,5-tetrahydrobenzo[b][1,4]oxazepin-3-yl)-4H-1,2,4-triazole-3-carboxamide. In another embodiment, the compound of the invention is a pharmaceutically acceptable salt of (S)-5-benzyl-N-(5-methyl-4-oxo-2,3,4,5-tetrahydrobenzo[b][1,4]oxazepin-3-yl)-4H-1,2,4-triazole-3-carboxamide. In another embodiment, the compound of the invention is a base-addition salt of (S)-5-benzyl-N-(5-methyl-4-oxo-2,3,4,5-tetrahydrobenzo[b][1,4]oxazepin-3-yl)-4H-1,2,4-triazole-3-carboxamide. In still another embodiment, the compound of the invention is a crystalline form of anhydrous (S)-5-benzyl-N-(5-methyl-4-oxo-2,3,4,5-tetrahydrobenzo[b][1,4]oxazepin-3-yl)-4H-1,2,4-triazole-3-carboxamide (free base) characterized by the PXRD pattern of
FIG. 7 . In yet another embodiment, a particular compound of the invention is a crystalline form of anhydrous (S)-5-benzyl-N-(5-methyl-4-oxo-2,3,4,5-tetrahydrobenzo[b][1,4]oxazepin-3-yl)-4H-1,2,4-triazole-3-carboxamide (free base) characterized by the diffraction data in Table 1. - This invention is directed (S)-5-benzyl-N-(7-chloro-2-oxo-2,3,4,5-tetrahydro-1H-benzo[b]azepin-3-yl)-4H-1,2,4-triazole-3-carboxamide, or a salt, particularly a pharmaceutically acceptable salt, thereof. Accordingly, one particular compound of the invention is (S)-5-benzyl-N-(7-chloro-2-oxo-2,3,4,5-tetrahydro-1H-benzo[b]azepin-3-yl)-4H-1,2,4-triazole-3-carboxamide (free base). In another embodiment, the compound of the invention is a salt of (S)-5-benzyl-N-(7-chloro-2-oxo-2,3,4,5-tetrahydro-1H-benzo[b]azepin-3-yl)-4H-1,2,4-triazole-3-carboxamide. In another embodiment, the compound of the invention is a pharmaceutically acceptable salt of (S)-5-benzyl-N-(7-chloro-2-oxo-2,3,4,5-tetrahydro-1H-benzo[b]azepin-3-yl)-4H-1,2,4-triazole-3-carboxamide. In another embodiment, the compound of the invention is a base-addition salt of (S)-5-benzyl-N-(7-chloro-2-oxo-2,3,4,5-tetrahydro-1H-benzo[b]azepin-3-yl)-4H-1,2,4-triazole-3-carboxamide.
- In a specific embodiment, this invention is directed to a compound of Formula (I) wherein:
- X is O, S, SO, SO2, NH, CO, CH2, or N(CH3);
- Y is CH2 or CH2CH2;
- Z1, Z2, Z3, and Z4 are each CH; or Z1 is CR1 and Z2, Z3 and Z4 are each CH; or Z1, Z2, and Z4 are each CH and Z3 is CR3; or Z1, Z3, and Z4 are each CH and Z2 is CR2; or Z1, Z2, and Z3 are each CH and Z4 is CR4; or Z1 and Z2 are CH, Z3 is CR3, and Z4 is CR4; or Z1 and Z4 are CH, Z2 is CR2, and Z3 is CR3; or Z1 and Z3 are CH, Z2 is CR2, and Z4 is CR4; or Z1 is CH, Z2 is CR2, Z3 is CR3, and Z4 is CR4; or Z1 and Z3 are both N, Z2 is CH and Z4 is CH or CR4; or Z1 and Z3 are both N, Z2 is CH or CR2 and Z4 is CH; or Z1 is N, Z2 is CR4 and Z3 and Z4 are CH; or Z3 is N, and Z2, Z3 and Z4 are CH;
- R1 is methyl,
- R2 is fluoro, chloro, bromo, —CN, —CH3, —OCH3, —OCHF2, —OH, B(OH)2, CF3C(OH)2—, CH3OCH2CH2O—, cyclopropyl, 5H-tetrazol-5-yl, pyrazol-3-yl, or 5-methyl-1,3,4-oxadiazol-2-yl;
- R3 is fluoro, chloro, bromo, —CN, —OCH3, —OCHF2, B(OH)2, —COOH, CH3SO2—, CH3SO2NHC(O)—, CH3C(O)NH—, (CH3)2NC(O)—, CH3OC(O)—, (CH3)C(O)N(CH3)—, HOCH2CH2C(O)NH—, CH3OCH2CH2NHC(O)NH—, CH3SO2CH2CH2NHC(O)—, CH3CH2NHC(O)NH—, CH3OC(O)NH—, morpholin-4-yl-CO—, pyrrolidin-1-yl-CH2CH2NHC(O)—, pyridin-2-yl, tetrahydrofuran-2-yl-CH2O—, pyrrolidin-1-yl-CH2CH2O—, tetrazol-5-yl, 1-(2-cyanoethyl)-tetrazol-5-yl, pyrazol-1-yl, pyrazol-3-yl, pyrazol-4-yl, 1-methyl-pyrazol-3-yl, 1-methyl-pyrrol-4-yl-C(O)NH—, 5-methyl-1,3,4-oxadiazol-2-yl, or 5-oxo-4,5-dihydro-1,3,4-oxadiazol-2-yl;
- R4 is fluoro, chloro, methyl, or trifluoromethyl;
- R5 is H or methyl;
- A is furyl, thienyl, oxazolyl, isoxazolyl, thiazolyl, 1, 2, 4-oxadiazolyl, 1, 3, 4-oxadiazolyl, pyrrolyl, pyrazolyl, imidazolyl, 1, 2, 3-triazolyl, 1, 2, 4-triazolyl, tetrazolyl, piperidinyl, pyrrolidinyl, phenyl or pyridyl;
- m is 0 or m is 1 and RA is methyl;
- L is O, S, N(CH3), CH2, CH2CH2, CH(CH3), —(R)CH(CH3), CF2, CH2O, CH2N(CH3), or CH(OH); and B is thien-2-yl, 5-methyl-thien-2-yl, pyrazol-1-yl, 3,5-dimethylpyrazol-1-yl, 4-methylpyrazol-1-yl, 3,5-dimethylisoxazol-4-yl, tetrahydropyran-3-yl, tetrahydrofuran-2-yl, morpholin-4-yl, pyridin-2-yl, 2-oxo-pyridin-1-yl, 6-methylpyridin-3-yl, 2-methylpyrimidin-5-yl, cyclopentyl, cyclohexyl, phenyl, 2-methylphenyl, 4-methylphenyl, 2-trifluoromethylphenyl, 2-fluorophenyl, 3-fluorophenyl, 4-fluorophenyl, 2-iodophenyl, 3-bromophenyl, 4-bromophenyl, 4-chlorophenyl, 2,5-difluorophenyl, 2,4-difluorophenyl, 3,4-difluorophenyl, 3,5-difluorophenyl, 4-methoxyphenyl, 2,3-difluorophenyl or 2,6-difluorophenyl;
- or -L-B—RB is —OCH2CH═CH2, —CH2CH2CH2CH2CH3, —OCH2CH2CH2CH3, —CH2CH2CH3, —CH2CH(CH3)2 or —CH2CH2CH(CH3)2;
- or a salt, particularly, a pharmaceutically acceptable salt thereof.
- In another specific embodiment, this invention is directed to a compound of Formula (I) wherein:
- X is O, S, SO, SO2, NH, CO, CH2, or N(CH3);
- Y is CH2 or CH2CH2;
- Z1, Z2, Z3, and Z4 are each CH; or Z1 is CR1 and Z2, Z3 and Z4 are each CH; or Z1, Z2, and Z4 are each CH and Z3 is CR3; or Z1, Z3, and Z4 are each CH and Z2 is CR2; or Z1, Z2, and Z3 are each CH and Z4 is CR4; or Z1 and Z3 are CH, Z2 is CR2, and Z4 is CR4; or Z1 and Z3 are both N, Z2 is CH and Z4 is CH or CR4; or Z1 is N, Z2 is CR4 and Z3 and Z4 are CH; or Z3 is N, and Z2, Z3 and Z4 are CH;
- R1 is methyl,
- R2 is fluoro, chloro, bromo, —CN, —CH3, —OH, B(OH)2, CF3C(OH)2—, CH3OCH2CH2O—, 5H-tetrazol-5-yl, pyrazol-3-yl, or 5-methyl-1,3,4-oxadiazol-2-yl;
- R3 is fluoro, chloro, bromo, —OCH3, B(OH)2, —COOH, CH3SO2—, CH3SO2NHC(O)—, CH3C(O)NH—, (CH3)2NC(O)—, CH3OC(O)—, (CH3)C(O)N(CH3)—, HOCH2CH2C(O)NH—, CH3OCH2CH2NHC(O)NH—, CH3SO2CH2CH2NHC(O)—, CH3CH2NHC(O)NH—, CH3OC(O)NH—, morpholin-4-yl-CO—, pyrrolidin-1-yl-CH2CH2NHC(O)—, tetrahydrofuran-2-yl-CH2O—, pyrrolidin-1-yl-CH2CH2O—, tetrazol-5-yl, 1-(2-cyanoethyl)-tetrazol-5-yl, pyrazol-1-yl, pyrazol-3-yl, 1-methyl-pyrazol-3-yl, 1-methyl-pyrrol-4-yl-C(O)NH—, 5-methyl-1,3,4-oxadiazol-2-yl, or 5-oxo-4,5-dihydro-1,3,4-oxadiazol-2-yl;
- R4 is fluoro, chloro, methyl, or trifluoromethyl;
- R5 is H or methyl;
- A is furyl, thienyl, oxazolyl, isoxazolyl, thiazolyl, 1, 2, 4-oxadiazolyl, 1, 3, 4-oxadiazolyl, pyrrolyl, pyrazolyl, imidazolyl, 1, 2, 3-triazolyl, 1, 2, 4-triazolyl, tetrazolyl, piperidinyl, pyrrolidinyl, phenyl or pyridyl;
- m is 0 or m is 1 and RA is methyl;
- L is O, S, N(CH3), CH2, CH2CH2, CH(CH3), CF2, CH2O, CH2N(CH3), or CH(OH); and
- B is thien-2-yl, 5-methyl-thien-2-yl, pyrazol-1-yl, 3,5-dimethylpyrazol-1-yl, 4-methylpyrazol-1-yl, 3,5-dimethylisoxazol-4-yl, tetrahydrofuran-2-yl, morpholin-4-yl, pyridin-2-yl, 2-oxo-pyridin-1-yl, 6-methylpyridin-3-yl, 2-methylpyrimidin-5-yl, cyclopentyl, cyclohexyl, phenyl, 2-methylphenyl, 4-methylphenyl, 2-trifluoromethylphenyl, 2-fluorophenyl, 3-fluorophenyl, 4-fluorophenyl, 2-iodophenyl, 3-bromophenyl, 4-bromophenyl, 4-chlorophenyl, 2,5-difluorophenyl, 2,4-difluorophenyl, 3,4-difluorophenyl, 3,5-difluorophenyl, or 4-methoxyphenyl;
- or -L-B—RB is —OCH2CH═CH2, —CH2CH2CH2CH2CH3, —OCH2CH2CH2CH3, —CH2CH2CH3, —CH2CH(CH3)2 or —CH2CH2CH(CH3)2;
- or a salt, particularly, a pharmaceutically acceptable salt thereof.
- In another specific embodiment, this invention is directed to a compound of Formula (I) wherein:
- X is O, CH2, NH or N(CH3);
- Y is CH2 or CH2CH2;
- Z1, Z2, Z3, and Z4 are each CH; or Z1 is CR1 and Z2, Z3 and Z4 are each CH; or Z1, Z2, and Z4 are each CH and Z3 is CR3; or Z1, Z3, and Z4 are each CH and Z2 is CR2; or Z1, Z2, and Z3 are each CH and Z4 is CR4; or Z1 and Z3 are CH, Z2 is CR2, and Z4 is CR4; or Z1 and Z3 are both N, Z2 is CH and Z4 is CH or CR4; or Z1 is N, Z2 is CR4 and Z3 and Z4 are CH; or Z3 is N, and Z2, Z3 and Z4 are CH;
- R1 is methyl,
- R2 is chloro, bromo, —CN, —CH3, —OH, B(OH)2, CF3C(OH)2—, CH3OCH2CH2O—, 5H-tetrazol-5-yl, pyrazol-3-yl, or 5-methyl-1,3,4-oxadiazol-2-yl;
- R3 is fluoro, chloro, bromo, —OCH3, B(OH)2, —COOH, CH3SO2—, CH3SO2NHC(O)—, CH3C(O)NH—, (CH3)2NC(O)—, CH3OC(O)—, (CH3)C(O)N(CH3)—, HOCH2CH2C(O)NH—, CH3OCH2CH2NHC(O)NH—, CH3SO2CH2CH2NHC(O)—, CH3CH2NHC(O)NH—, CH3OC(O)NH—, morpholin-4-yl-CO—, pyrrolidin-1-yl-CH2CH2NHC(O)—, tetrahydrofuran-2-yl-CH2O—, pyrrolidin-1-yl-CH2CH2O—, tetrazol-5-yl, 1-(2-cyanoethyl)-tetrazol-5-yl, pyrazol-1-yl, pyrazol-3-yl, 1-methyl-pyrazol-3-yl, 1-methyl-pyrrol-4-yl-C(O)NH—, or 5-oxo-4,5-dihydro-1,3,4-oxadiazol-2-yl;
- R4 is fluoro or methyl;
- A is furyl, thienyl, oxazolyl, isoxazolyl, thiazolyl, 1, 2, 4-oxadiazolyl, 1, 3, 4-oxadiazolyl, pyrrolyl, pyrazolyl, imidazolyl, 1, 2, 3-triazolyl, 1, 2, 4-triazolyl, tetrazolyl, piperidinyl, pyrrolidinyl, phenyl or pyridyl;
-
- m is 0 or m is 1 and RA is methyl;
- L is O, S, N(CH3), CH2, CH2CH2, CH(CH3), CF2, CH2O, CH2N(CH3), or CH(OH); and
- B is thien-2-yl, pyrazol-1-yl, 3,5-dimethylpyrazol-1-yl, 4-methylpyrazol-1-yl, 3,5-dimethylisoxazol-4-yl, tetrahydrofuran-2-yl, morpholin-4-yl, pyridin-2-yl, 2-oxo-pyridin-1-yl, 6-methylpyridin-3-yl, 2-methylpyrimidin-5-yl, cyclopentyl, cyclohexyl, phenyl, 2-methylphenyl, 4-methylphenyl, 2-trifluoromethylphenyl, 2-fluorophenyl, 3-fluorophenyl, 4-fluorophenyl, 2-iodophenyl, 3-bromophenyl, 4-bromophenyl, 4-chlorophenyl, 2,5-difluorophenyl, 2,4-difluorophenyl, 3,4-difluorophenyl, 3,5-difluorophenyl, or 4-methoxyphenyl;
- or -L-B is —OCH2CH═CH2, —CH2CH2CH2CH2CH3, —OCH2CH2CH2CH3, —CH2CH2CH3, or —CH2CH(CH3)2; or a pharmaceutically acceptable salt thereof.
- In another specific embodiment, this invention is directed to a compound of Formula (I) wherein X is O or CH2; Y is CH2; Z1, Z2, and Z4 are each CH and Z3 is CR3; or Z1, Z3, and Z4 are each CH and Z2 is CR2; or Z1, Z2, and Z3 are each CH and Z4 is CR4; or Z1 and Z3 are CH, Z2 is CR2, and Z4 is CR4; R2 is fluoro, chloro, bromo, or —CH3; R3 is 5-methyl-1,3,4-oxadiazol-2-yl; R4 is fluoro; R5 is H or methyl; A is triazolyl; m is 0; L is CH2; and B is cyclopentyl or phenyl; or a salt, particularly a pharmaceutically acceptable salt thereof.
- The compounds of this invention contain one or more asymmetric centers (also referred to as a chiral center), such as a chiral carbon, or a chiral —SO— moiety. The stereochemistry of the chiral carbon center present in compounds of this invention is generally represented in the compound names and/or in the chemical structures illustrated herein. Compounds of this invention containing one or more chiral centers may be present as racemic mixtures, diastereomeric mixtures, enantiomerically enriched mixtures, diastereomerically enriched mixtures, or as enantiomerically or diastereomerically pure individual stereoisomers.
- Individual stereoisomers of a compound of this invention may be resolved (or mixtures of stereoisomers may be enriched) using methods known to those skilled in the art. For example, such resolution may be carried out (1) by formation of diastereoisomeric salts, complexes or other derivatives; (2) by selective reaction with a stereoisomer-specific reagent, for example by enzymatic oxidation or reduction; or (3) by gas-liquid or liquid chromatography in a chiral environment, for example, on a chiral support such as silica with a bound chiral ligand or in the presence of a chiral solvent. The skilled artisan will appreciate that where the desired stereoisomer is converted into another chemical entity by one of the separation procedures described above, a further step is required to liberate the desired form. Alternatively, specific stereoisomers may be synthesized by asymmetric synthesis using optically active reagents, substrates, catalysts or solvents, or by converting one enantiomer to the other by asymmetric transformation.
- The invention also includes various deuterated forms of the compounds of this invention, a specific example of which is N-[(3S)-7-deuterio-1-methyl-2-oxo-2,3,4,5-tetrahydro-1H-1-benzazepin-3-yl]-5-(phenylmethyl)-1H-pyrazole-3-carboxamide. Each available hydrogen atom attached to a carbon atom may be independently replaced with a deuterium atom. A person of ordinary skill in the art will know how to synthesize deuterated forms of the compounds of this invention. For example, α-deuterated α-amino acids are commercially available or may be prepared by conventional techniques (see for example: Elemes, Y. and Ragnarsson, U. J. Chem. Soc., Perkin Trans. 1, 1996, 6, 537-40). Employing such compounds may allow for the preparation of compounds in which the hydrogen atom at a chiral center is replaced with a deuterium atom. Other commercially available deuterated starting materials may be employed in the preparation of deuterated analogs of the compounds of this invention (see for example: methyl-d3-amine available from Aldrich Chemical Co., Milwaukee, Wis.), or they may be synthesized using conventional techniques employing deuterated reagents (e.g. by reduction using lithium aluminum deuteride or sodium borodeuteride or by metal-halogen exchange followed by quenching with D2O or methanol-d3).
- The skilled artisan will appreciate that solvates (particularly, hydrates) of a compound of Formula (I), particularly a compound of any one of Formulas (I-IV), including solvates of salts of a compound of Formula (I), particularly a compound of any one of Formulas (I-IV), may be formed when solvent molecules are incorporated into the crystalline lattice during crystallization. The present invention includes within its scope all possible stoichiometric and non-stoichiometric salt and/or hydrate forms.
- When a disclosed compound or its salt is named or depicted by structure, it is to be understood that the compound or salt, including solvates (particularly, hydrates) thereof, may exist in crystalline forms, non-crystalline forms or a mixture thereof. The compound or salt, or solvates (particularly, hydrates) thereof, may also exhibit polymorphism (i.e. the capacity to occur in different crystalline forms). These different crystalline forms are typically known as “polymorphs.” It is to be understood that when named or depicted by structure, the disclosed compound, or solvates (particularly, hydrates) thereof, also include all polymorphs thereof. Polymorphs have the same chemical composition but differ in packing, geometrical arrangement, and other descriptive properties of the crystalline solid state. Polymorphs, therefore, may have different physical properties such as shape, density, hardness, deformability, stability, and dissolution properties. Polymorphs typically exhibit different melting points, IR spectra, and X-ray powder diffraction patterns, which may be used for identification. One of ordinary skill in the art will appreciate that different polymorphs may be produced, for example, by changing or adjusting the conditions used in crystallizing/recrystallizing the compound. It is well known and understood to those skilled in the art that the apparatus employed, humidity, temperature, orientation of the powder crystals, and other parameters involved in obtaining a powder X-ray diffraction (PXRD) pattern may cause some variability in the appearance, intensities, and positions of the lines in the diffraction pattern. A powder X-ray diffraction pattern that is “substantially in accordance” with that of the Figure provided herein is a PXRD pattern that would be considered by one skilled in the art to represent a compound possessing the same crystal form as the compound that provided the PXRD pattern of the Figure. For example, the PXRD pattern may be identical to that of
FIG. 7 , or more likely it may be somewhat different. Such a PXRD pattern may not necessarily show each of the lines of the diffraction patterns presented herein, and/or may show a slight change in appearance, intensity, or a shift in position of said lines resulting from differences in the conditions involved in obtaining the data. A person skilled in the art is capable of determining if a sample of a crystalline compound has the same form as, or a different form from, a form disclosed herein by comparison of their PXRD patterns. For example, one skilled in the art can overlay a PXRD pattern of a sample of a crystalline form of anhydrous (S)-5-benzyl-N-(5-methyl-4-oxo-2,3,4,5-tetrahydrobenzo[b][1,4]oxazepin-3-yl)-4H-1,2,4-triazole-3-carboxamide (free base) with the PXRD pattern ofFIG. 7 , and using expertise and knowledge in the art, readily determine whether the PXRD pattern of the sample is substantially in accordance with the PXRD pattern ofFIG. 7 . If the PXRD pattern is substantially in accordance withFIG. 7 , the sample form can be readily and accurately identified as having the same form as the crystalline form of anhydrous (S)-5-benzyl-N-(5-methyl-4-oxo-2,3,4,5-tetrahydrobenzo[b][1,4]oxazepin-3-yl)-4H-1,2,4-triazole-3-carboxamide (free base) described herein. Similarly, a person skilled in the art is capable of determining if a given diffraction angle (expressed in ° 20) obtained from a PXRD pattern is at about the same position as a recited value. - Because of their potential use in medicine, the salts of the compounds of Formula (I), particularly a compound of any one of Formulas (I-IV), are preferably pharmaceutically acceptable. Suitable pharmaceutically acceptable salts can include acid or base addition salts.
- As used herein, the term “pharmaceutically acceptable” means a compound which is suitable for pharmaceutical use. Salts and solvates (e.g. hydrates and hydrates of salts) of the compounds of the invention which are suitable for use in medicine are those wherein the counterion or associated solvent is pharmaceutically acceptable. Salts and solvates having non-pharmaceutically acceptable counterions or associated solvents are within the scope of the present invention, for example, for use as intermediates in the preparation of other compounds of the invention and their salts and solvates.
- Salts may be prepared in situ during the final isolation and purification of a compound of Formula (I), particularly a compound of any one of Formulas (I-IV). If a basic compound of Formula (I-IV) is isolated as a salt, the corresponding free base form of that compound may be prepared by any suitable method known to the art, including treatment of the salt with an inorganic or organic base, suitably an inorganic or organic base having a higher pKa than the free base form of the compound. Similarly, if a disclosed compound containing a carboxylic acid or other acidic functional group is isolated as a salt, the corresponding free acid form of that compound may be prepared by any suitable method known to the art, including treatment of the salt with an inorganic or organic acid, suitably an inorganic or organic acid having a lower pKa than the free acid form of the compound. This invention also provides for the conversion of one salt of a compound of this invention, e.g., a hydrochloride salt, into another salt of a compound of this invention, e.g., a sulfate salt.
- Salts of the compounds of Formula (I), particularly compounds of Formulas (I-IV), containing a basic amine or other basic functional group may be prepared by any suitable method known in the art, such as treatment of the free base with an acid. Examples of pharmaceutically acceptable salts so formed include acetate, adipate, ascorbate, aspartate, benzenesulfonate, benzoate, camphorate, camphor-sulfonate (camsylate), caprate (decanoate), caproate (hexanoate), caprylate (octanoate), carbonate, bicarbonate, cinnamate, citrate, cyclamate, dodecylsulfate (estolate), ethane-1,2-disulfonate (edisylate), ethanesulfonate (esylate), formate, fumarate, galactarate (mucate), gentisate (2,5-dihydroxybenzoate), glucoheptonate (gluceptate), gluconate, glucuronate, glutamate, glutarate, glycerophosphorate, glycolate, hippurate, hydrobromide, hydrochloride, hydroiodide, isobutyrate, lactate, lactobionate, laurate, maleate, malate, malonate, mandelate, methanesulfonate (mesylate), naphthalene-1,5-disulfonate (napadisylate), naphthalene-sulfonate (napsylate), nicotinate, nitrate, oleate, oxalate, palmitate, pamoate, phosphate, diphosphate, proprionate, pyroglutamate, salicylate, sebacate, stearate, succinate, sulfate, tartrate, thiocyanate, p-toluenesulfonate (tosylate), undecylenate, 1-hydroxy-2-naphthoate, 2,2-dichloroacetate, 2-hydroxyethanesulfonate (isethionate), 2-oxoglutarate, 4-acetamidobenzoate, and 4-aminosalicylate.
- Salts of the disclosed compounds containing a carboxylic acid or other acidic functional group can be prepared by reacting with a suitable base. Such a pharmaceutically acceptable salt may be made with a base which affords a pharmaceutically acceptable cation, which includes alkali metal salts (especially sodium and potassium), alkaline earth metal salts (especially calcium and magnesium), aluminum salts and ammonium salts, as well as salts made from physiologically acceptable organic bases such as trimethylamine, triethylamine, morpholine, pyridine, piperidine, picoline, dicyclohexylamine, N,N′-dibenzylethylenediamine, 2-hydroxyethylamine, bis-(2-hydroxyethyl)amine, tri-(2-hydroxyethyl)amine, procaine, dibenzylpiperidine, dehydroabietylamine, N,N′-bisdehydroabietylamine, glucamine, N-methylglucamine, collidine, choline, quinine, quinoline, and basic amino acids such as lysine and arginine. In one embodiment, the pharmaceutically acceptable base-addition salt of a compound of Formula (I) is a sodium salt or a potassium salt thereof.
- Because the compounds of this invention are intended for use in pharmaceutical compositions it will readily be understood that they are each preferably provided in substantially pure form, for example at least 60% pure, more suitably at least 75% pure and preferably at least 85%, especially at least 98% pure (% are on a weight for weight basis). Impure preparations of the compounds may be used for preparing the more pure forms used in the pharmaceutical compositions.
- The compounds of this invention may be prepared using synthetic procedures illustrated in the Schemes below or by drawing on the knowledge of a skilled organic chemist. The synthesis provided in these Schemes are applicable for producing compounds of the invention having a variety of different R groups employing appropriate precursors, which are suitably protected if needed, to achieve compatibility with the reactions outlined herein. Subsequent deprotection, where needed, affords compounds of the nature generally disclosed. While the Schemes are shown with compounds only of Formulas (I-IV), they are illustrative of processes that may be used to make the compounds of the invention.
- Intermediates (compounds used in the preparation of the compounds of the invention) may also be present as salts. Thus, in reference to intermediates, the phrase “compound(s) of formula (number)” means a compound having that structural formula or a pharmaceutically acceptable salt thereof.
- (S)—N-(4-Oxo-2,3,4,5-tetrahydrobenzo[b][1,4]oxazepin-3-yl)carboxamides may be prepared via the general method outlined in
Scheme 1. Boc-L-serine can be condensed with an appropriate substituted 1-fluoro-2-nitrobenzene with a base, followed by reduction of the nitro group to the amine and cyclisation to the Boc protected (S)-3-amino-2,3-dihydrobenzo[b][1,4]oxazepin-4(5H)-one using an amide coupling agent. The Boc protecting group can be removed using acidic conditions and the resulting free amine can be coupled to the appropriate acid using an amide coupling agent. The Boc protected (S)-3-amino-2,3-dihydrobenzo[b][1,4]oxazepin-4(5H)-one can also be methylated to give the Boc protected (S)-3-amino-5-methyl-2,3-dihydrobenzo[b][1,4]oxazepin-4(5H)-one, which can then be deprotected using acidic conditions, and the resulting free amine can be coupled to an appropriate acid using an amide coupling agent. - (R)—N-(4-Oxo-2,3,4,5-tetrahydrobenzo[b][1,4]thiazepin-3-yl)carboxamides may be prepared via the general method outlined in
Scheme 2. Boc-L-cysteine can be condensed with an appropriate substituted 1-fluoro-2-nitrobenzene with a base, followed by reduction of the nitro group to the amine and cyclisation to the Boc protected (R)-3-amino-2,3-dihydrobenzo[b][1,4]thiazepin-4(5H)-one using an amide coupling agent. The Boc protecting group can be removed using acidic conditions and the resulting free amine can be coupled to an appropriate acid using an amide coupling agent. The Boc protected (R)-3-amino-2,3-dihydrobenzo[b][1,4]thiazepin-4(5H)-one can also be methylated to give the Boc protected (R)-3-amino-5-methyl-2,3-dihydrobenzo[b][1,4]thiazepin-4(5H)-one, which can then be deprotected using acidic conditions, and the resulting free amine can be coupled to an appropriate acid using an amide coupling agent. - (S)—N-(2-Oxo-2,3,4,5-tetrahydro-1H-benzo[b][1,4]diazepin-3-yl)carboxamides may be prepared via the general method outlined in
Scheme 3. 3-Aminoalanine can be condensed with the appropriate substituted 1-fluoro-2-nitrobenzene with a base, followed by reduction of the nitro group to the amine and cyclisation to the Boc protected (S)-3-amino-4,5-dihydro-1H-benzo[b][1,4]diazepin-2(3H)-one using an amide coupling agent. The Boc protecting group can be removed using acidic conditions and the resulting free amine can be coupled to the appropriate acid using an amide coupling agent. The Boc protected (S)-3-amino-4,5-dihydro-1H-benzo[b][1,4]diazepin-2(3H)-one can also be methylated with methyl iodide using sodium hydride as base to give the Boc protected (S)-3-amino-1-methyl-4,5-dihydro-1H-benzo[b][1,4]diazepin-2(3H)-one, which can then be deprotected using acidic conditions, and the resulting free amine can be coupled to the appropriate acid using an amide coupling agent. Alternatively, the Boc protected (S)-3-amino-4,5-dihydro-1H-benzo[b][1,4]diazepin-2(3H)-one can also be methylated with methyl iodide using potassium carbonate as base in ethanol to give the Boc protected (S)-3-amino-5-methyl-4,5-dihydro-1H-benzo[b][1,4]diazepin-2(3H)-one, which can then be deprotected using acidic conditions, and the resulting free amine can be coupled to the appropriate acid using an amide coupling agent. - (S)—N-(6-Oxo-6,7,8,9-tetrahydro-5H-pyrimido[4,5-b][1,4]diazepin-7-yl)carboxamides may be prepared via the general method outlined in
Scheme 4. Boc-L-serine can be condensed with 4,6-dichloropyrimidin-5-amine in the presence of a base such as triethylamine, followed by cyclisation to the Boc protected (S)-7-amino-4-chloro-8,9-dihydro-5H-pyrimido[4,5-b][1,4]diazepin-6(7H)-one using an amide coupling agent. The chloride can be removed by reduction using hydrogenation with a palladium/carbon catalyst. The Boc protecting group can then be removed using acidic conditions and the resulting free amine can be coupled to the appropriate acid using an amide coupling agent. Alternatively, the Boc protected (S)-7-amino-8,9-dihydro-5H-pyrimido[4,5-b][1,4]diazepin-6(7H)-one can be methylated in the presence of a base, deprotected using acidic conditions, and the resulting free amine can be coupled to the appropriate acid using an amide coupling agent to yield (S)—N-(5-methyl-6-oxo-6,7,8,9-tetrahydro-5H-pyrimido[4,5-b][1,4]diazepin-7-yl)carboxamides (Scheme 4, R═H). If the chloride is not removed, then this sequence can be repeated to yield the corresponding (S)—N-(4-chloro-5-methyl-6-oxo-6,7, 8,9-tetrahydro-5H-pyrimido[4,5-b][1,4]diazepin-7-yl)carboxamides (Scheme 4, R═Cl). - (S)—N-(2-oxo-2,3,4,5-tetrahydro-1H-benzo[b]azepin-3-yl) carboxamides may be prepared via the general method outlined in Scheme 5. The appropriately substituted tetralone can be converted to the 1,3,4,5-tetrahydro-1-benzazepin-2-one via either an acid-mediated Schmidt reaction with sodium azide, or Beckmann rearrangement of the corresponding ketoximes formed from reaction with hydroxylamine. The 1,3,4,5-tetrahydro-1-benzazepin-2-one can then be converted to the α-iodobenzlactam by iodotrimethylsilane-mediate iodination, subsequently converted to the α-azidobenzlactam with sodium azide, and following a Staudinger reduction with triphenylphosphine yields the α-aminobenzlactam. A racemization/resolution of the α-aminobenzlactam can be accomplished using L-pyroglutamic acid and 5-nirosalicylaldehyde to yield the (S)-3-amino-4,5-dihydro-1H-benzo[b]azepin-2(3H)-one as described by Armstrong et. al. in Tetrahedron Letters 1994, pages 3239-42. This amine can then be coupled to the appropriate acid using an amide coupling agent. Alternatively the amine can protected with a Boc protecting group, then methylated at the lactam nitrogen with methyl iodide, followed by deprotected using acidic conditions. The resulting free amine can be coupled to the appropriate acid using an amide coupling agent.
- 5-Substituted-4H-1,2,4-triazole-3-carboxylic acids may be prepared via the general method outlined in
Scheme 6. The appropriately substituted acetohydrazide is condensed with ethyl 2-ethoxy-2-iminoacetate in ethanol. The resulting ethyl 2-amino-2-(2-substituted hydrazono)acetate is then heated neat or in a high boiling solvent such as xylenes resulting in cyclization to the 5-substituted-4H-1,2,4-triazole-3-carboxylic ethyl ester. This can then by hydrolyzed using aqueous base, for example lithium hydroxide in THF and water. - 5-Benzyl-1H-pyrazole-3-carboxylic acids can be prepared following the route shown in Scheme 7. The appropriately substituted benzyl methyl ketone is condensed with diethyl oxalate in the presence of a base such as potassium tert-butoxide in ethanol. The resulting ethyl 5-(substituted-phenyl)-2,4-dioxopentanoate is then condensed with hydrazine in ethanol resulting in cyclization to the ethyl 5-substituted benzyl-1H-pyrazole-3-carboxylate. This can then by hydrolyzed using aqueous base, for example lithium hydroxide in THF and water.
- 5-Methyl-1-substituted-1H-pyrazole-3-carboxylic acids can be prepared following the route shown in
Scheme 8. Ethyl 3-methyl-1H-pyrazole-5-carboxylate is alkylated in the presence of a base such as potassium hydroxide with the appropriate alkylating agent, such as an alkyl or arylbromide, to give a mixture of desired ethyl 5-methyl-1-propyl-1H-pyrazole-3-carboxylate and undesired regioisomer ethyl 3-methyl-1-substituted-1H-pyrazole-5-carboxylate ethyl oxalate. The ethyl 5-methyl-1-substituted-1H-pyrazole-3-carboxylates can be isolated using chromatography and then hydrolyzed using aqueous base, for example lithium hydroxide in THF and water to yield 5-methyl-1-propyl-1H-pyrazole-3-carboxylic acids. - The compounds of this invention may be particularly useful for the treatment of RIP1 kinase-mediated diseases or disorders. Such RIP1 kinase-mediated diseases or disorders are diseases or disorders that are mediated by activation of RIP1 kinase, and as such, are diseases or disorders where inhibition of RIP1 kinase would provide benefit. The compounds of this invention may be particularly useful for the treatment of diseases/disorders which are likely to be regulated at least in part by programmed necrosis, particularly inflammatory bowel disease (including Crohn's disease and ulcerative colitis), psoriasis, retinal detachment, retinitis pigmentosa, macular degeneration, pancreatitis, atopic dermatitis, arthritis (including rheumatoid arthritis, spondyloarthritis, gout, SoJIA), systemic lupus erythematosus (SLE), Sjogren's syndrome, systemic scleroderma, anti-phospholipid syndrome (APS), vasculitis, osteoarthritis, liver damage/diseases (non-alcohol steatohepatitis, alcohol steatohepatitis, autoimmune hepatitis autoimmune hepatobiliary diseases, primary sclerosing cholangitis (PSC)), nephritis, Celiac disease, autoimmune ITP, transplant rejection, ischemia reperfusion injury of solid organs, sepsis, systemic inflammatory response syndrome (SIRS), cerebrovascular accident (CVA), myocardial infarction (MI), Huntington's disease, Alzheimer's disease, Parkinson's disease, allergic diseases (including asthma and atopic dermatitis), multiple sclerosis, type I diabetes, Wegener's granulomatosis, pulmonary sarcoidosis, Behcet's disease, interleukin-1 converting enzyme (ICE, also known as caspase-1) associated fever syndrome, chronic obstructive pulmonary disease (COPD), tumor necrosis factor receptor-associated periodic syndrome (TRAPS) and peridontitis.
- The compounds of this invention may be particularly useful for the treatment of diseases/disorders which are likely to be regulated at least in part by programmed necrosis, apoptosis or the production of inflammatory cytokines, particularly inflammatory bowel disease (including Crohn's disease and ulcerative colitis), psoriasis, retinal detachment, retinitis pigmentosa, macular degeneration, pancreatitis, atopic dermatitis, arthritis (including rheumatoid arthritis, spondyloarthritis, gout, systemic onset juvenile idiopathic arthritis (SoJIA), psoriatic arthritis), systemic lupus erythematosus (SLE), Sjogren's syndrome, systemic scleroderma, anti-phospholipid syndrome (APS), vasculitis, osteoarthritis, liver damage/diseases (non-alcohol steatohepatitis, alcohol steatohepatitis, autoimmune hepatitis, autoimmune hepatobiliary diseases, primary sclerosing cholangitis (PSC), acetaminophen toxicity, hepatotoxicity), kidney damage/injury (nephritis, renal transplant, surgery, administration of nephrotoxic drugs e.g. cisplatin, acute kidney injury (AKI)) Celiac disease, autoimmune idiopathic thrombocytopenic purpura (autoimmune ITP), transplant rejection, ischemia reperfusion injury of solid organs, sepsis, systemic inflammatory response syndrome (SIRS), cerebrovascular accident (CVA, stroke), myocardial infarction (MI), atherosclerosis, Huntington's disease, Alzheimer's disease, Parkinson's disease, Amyotrophic lateral sclerosis (ALS), allergic diseases (including asthma and atopic dermatitis), multiple sclerosis, type I diabetes, Wegener's granulomatosis, pulmonary sarcoidosis, Behcet's disease, interleukin-1 converting enzyme (ICE, also known as caspase-1) associated fever syndrome, chronic obstructive pulmonary disease (COPD), tumor necrosis factor receptor-associated periodic syndrome (TRAPS), peridontitis, NEMO-deficiency syndrome (NF-kappa-B essential modulator gene (also known as IKK gamma or IKKG) deficiency syndrome), HOIL-1 deficiency ((also known as RBCK1) heme-oxidized IRP2 ubiquitin ligase-1 deficiency), linear ubiquitin chain assembly complex (LUBAC) deficiency syndrome, hematological and solid organ malignancies, bacterial infections and viral infections (such as tuberculosis and influenza), and Lysosomal storage diseases (particularly, Gaucher Disease, and including GM2 Gangliosidosis, Alpha-mannosidosis, Aspartylglucosaminuria, Cholesteryl Ester storage disease, Chronic Hexosaminidase A Deficiency, Cystinosis, Danon disease, Fabry disease, Farber disease, Fucosidosis, Galactosialidosis, GM1 gangliosidosis, Mucolipidosis, Infantile Free Sialic Acid Storage Disease, Juvenile Hexosaminidase A Deficiency, Krabbe disease, Lysosomal acid lipase deficiency, Metachromatic Leukodystrophy, Mucopolysaccharidoses disorders, Multiple sulfatase deficiency, Niemann-Pick Disease, Neuronal Ceroid Lipofuscinoses, Pompe disease, Pycnodysostosis, Sandhoff disease, Schindler disease, Sialic Acid Storage Disease, Tay-Sachs and Wolman disease).
- The treatment of the above-noted diseases/disorders may concern, more specifically, the amelioration of organ injury or damage sustained as a result of the noted diseases. For example, the compounds of this invention may be particularly useful for amelioration of brain tissue injury or damage following ischemic brain injury or traumatic brain injury, or for amelioration of heart tissue injury or damage following myocardial infarction, or for amelioration of brain tissue injury or damage associated with Huntington's disease, Alzheimer's disease or Parkinson's disease, or for amelioration of liver tissue injury or damage associated with non-alcohol steatohepatitis, alcohol steatohepatitis, autoimmune hepatitis autoimmune hepatobiliary diseases, or primary sclerosing cholangitis. In addition, the treatment of diseases/disorders selected from those described herein may concern, more specifically, the amelioration of liver tissue injury or damage associated with overdose of acetaminophen, or for amelioration of kidney tissue injury or damage following renal transplant or the administration of nephrotoxic drugs or substances e.g. cisplatin.
- The compounds of this invention may be particularly useful for the treatment of inflammatory bowel disease (including Crohn's disease and ulcerative colitis), psoriasis, retinal detachment, retinitis pigmentosa, arthritis (including rheumatoid arthritis, spondyloarthritis, gout, and SoJIA), transplant rejection, ischemia reperfusion injury of solid organs, multiple sclerosis, and/or tumor necrosis factor receptor-associated periodic syndrome. More specifically, the compounds of this invention may be particularly useful for the treatment of inflammatory bowel disease (including Crohn's disease and ulcerative colitis), psoriasis, retinal detachment, retinitis pigmentosa, arthritis (including rheumatoid arthritis, spondyloarthritis, gout, and systemic onset juvenile idiopathic arthritis (SoJIA)), transplant rejection, and/or ischemia reperfusion injury of solid organs.
- Treatment of RIP i-mediated disease conditions, or more broadly, treatment of immune mediated disease, such as, but not limited to, allergic diseases, autoimmune diseases, prevention of transplant rejection and the like, may be achieved using a compound of this invention as a monotherapy, or in dual or multiple combination therapy, particularly for the treatment of refractory cases, such as in combination with other anti-inflammatory and/or anti-TNF agents, which may be administered in therapeutically effective amounts as is known in the art.
- The compounds of any one of Formulas (I-IV) and pharmaceutically acceptable salts thereof may be employed alone or in combination with other therapeutic agents. Combination therapies according to the present invention thus comprise the administration of at least one compound of any one of Formulas (I-IV) or a pharmaceutically acceptable salt thereof, and at least one other therapeutically active agent. Preferably, combination therapies according to the present invention comprise the administration of at least one compound of any one of Formulas (I-IV) or a pharmaceutically acceptable salt thereof, and at least one other therapeutically active agent. The compound(s) of any one of Formulas (I-IV) and pharmaceutically acceptable salts thereof, and the other therapeutically active agent(s) may be administered together in a single pharmaceutical composition or separately and, when administered separately this may occur simultaneously or sequentially in any order. The amounts of the compound(s) of any one of Formulas (I-IV) and pharmaceutically acceptable salts thereof, and the other therapeutically active agent(s) and the relative timings of administration will be selected in order to achieve the desired combined therapeutic effect. Thus in a further aspect, there is provided a combination comprising a compound of any one of Formulas (I-IV) or a pharmaceutically acceptable salt thereof, together with one or more other therapeutically active agents. In one aspect, there is provided a combination comprising (S)-5-benzyl-N-(5-methyl-4-oxo-2,3,4,5-tetrahydrobenzo[b][1,4]oxazepin-3-yl)-4H-1,2,4-triazole-3-carboxamide, or a pharmaceutically acceptable salt thereof, together with one or more other therapeutically active agents. In another aspect, there is provided a combination comprising (S)-5-benzyl-N-(7-chloro-2-oxo-2,3,4,5-tetrahydro-1H-benzo[b]azepin-3-yl)-4H-1,2,4-triazole-3-carboxamide, or a pharmaceutically acceptable salt thereof, together with one or more other therapeutically active agents. Thus in one aspect of this invention, a compound of any one of Formulas (I-IV) or a pharmaceutically acceptable salt thereof, and a pharmaceutical composition comprising a compound of any one of Formulas (I-IV) or a pharmaceutically acceptable salt thereof, may be used in combination with or include one or more other therapeutic agents, for example an anti-inflammatory agent and/or an anti-TNF agent.
- For example, the compounds of this invention may be administered in combination with other anti-inflammatory agents for any of the indications above, including oral or topical corticosteroids (such as prednisone (Deltasone®) and bundesonide), anti-TNF agents (including anti-TNF biologic agents), 5-aminosalicyclic acid and mesalamine preparations, hydroxycloroquine, thiopurines (azathioprin, mercaptopurin), methotrexate, cyclophosphamide, cyclosporine, JAK inhibitors (tofacitinib), anti-IL6 biologics, anti-IL1 or IL12 or IL23 biologics (ustekinumab (Stelara®)), anti-integrin agents (natalizumab (Tysabri®)), anti-CD20 or CD4 biologics and other cytokine inhibitors or biologics to T-cell or B-cell receptors or interleukins.
- The compounds of this invention may be administered in combination with other anti-inflammatory agents for any of the indications above, including oral or topical corticosteroids (such as prednisone (Deltasone®) and bundesonide), anti-TNF agents (including anti-TNF biologic agents), 5-aminosalicyclic acid and mesalamine preparations, hydroxycloroquine, thiopurines (azathioprin, mercaptopurin), methotrexate, cyclophosphamide, cyclosporine, calcineurin inhibitors (cyclosporine, pimecrolimus, tacrolimus), mycophenolic acid (CellCept®), mTOR inhibitors (temsirolimus, everolimus), JAK inhibitors (tofacitinib), (Xeljan®)), Syk inhibitors (fostamatinib), anti-IL6 biologics, anti-IL1 (anakinra (Kineret®), canakinumab (Ilaris®), rilonacept (Arcalyst®)), anti-IL12 and IL23 biologics (ustekinumab (Stelara®)), anti-IL17 biologics (secukinumab), anti-CD22 (epratuzumab), anti-integrin agents (natalizumab (Tysabri®)), vedolizumab (Entyvio®)), anti-IFNa (sifalimumab), anti-CD20 or CD4 biologics and other cytokine inhibitors or biologics to T-cell or B-cell receptors or interleukins.
- Examples of suitable anti-inflammatory biologic agents include Actemra® (anti-IL6R mAb), anti-CD20 mAbs (rituximab (Rituxan®) and ofatumumab (Arzerra®)), abatacept (Orencia®), anakinra (Kineret®), ustekinumab (Stelara®), and belimumab (Benlysta®). Examples of other suitable anti-inflammatory biologic agents include Actemra® (tocilizumab, anti-IL6R mAb), anti-CD20 mAbs (rituximab (Rituxan®) and ofatumumab (Arzerra®)), abatacept (Orencia®), anakinra (Kineret®), Canakinumab (Ilaris®), rilonacept (Arcalyst®), secukinumab, epratuzumab, sifalimumab, ustekinumab (Stelara®), and belimumab (Benlysta®). Examples of suitable anti-TNF agents biologic agents include etanecerpt (Enbrel®), adalimumab (Humira®), infliximab (Remicade®), certolizumab (Cimzia®), and golimumab (Simponi®).
- Accordingly, one embodiment of this invention is directed to a method of inhibiting RIP1 kinase comprising contacting a cell with a compound of the invention. In another embodiment, the invention is directed to a method of treating a RIP1 kinase-mediated disease or disorder (specifically, a disease or disorder recited herein) comprising administering a therapeutically effective amount of a compound of Formula (I), particularly a compound of any one of Formulas (I-IV), or a salt, particularly a pharmaceutically acceptable salt thereof, to a human in need thereof.
- In one specific embodiment, the invention is directed to a method of treating a RIP1 kinase-mediated disease or disorder (specifically, a disease or disorder recited herein) comprising administering a therapeutically effective amount of (S)-5-benzyl-N-(5-methyl-4-oxo-2,3,4,5-tetrahydrobenzo[b][1,4]oxazepin-3-yl)-4H-1,2,4-triazole-3-carboxamide, or a pharmaceutically acceptable salt thereof, to a human in need thereof. In another specific embodiment, the invention is directed to a method of treating a RIP1 kinase-mediated disease or disorder (specifically, a disease or disorder recited herein) comprising administering a therapeutically effective amount of (S)-5-benzyl-N-(7-chloro-2-oxo-2,3,4,5-tetrahydro-1H-benzo[b]azepin-3-yl)-4H-1,2,4-triazole-3-carboxamide, or a pharmaceutically acceptable salt thereof, to a human in need thereof.
- Specifically, this invention provides a compound of the invention for use in therapy. This invention also provides a compound of Formula (I), particularly a compound of any one of Formulas (I-IV), or a pharmaceutically acceptable salt thereof, for use in therapy. This invention particularly provides a compound of Formula (I), particularly a compound of any one of Formulas (I-IV), or a pharmaceutically acceptable salt thereof, for use in the treatment of a RIP1 kinase-mediated disease or disorder (for example, a disease or disorder recited herein).
- Specifically, this invention provides a compound described herein, or a pharmaceutically acceptable salt thereof, for use in therapy. More specifically, this invention provides (S)-5-benzyl-N-(5-methyl-4-oxo-2,3,4,5-tetrahydrobenzo[b][1,4]oxazepin-3-yl)-4H-1,2,4-triazole-3-carboxamide, or a pharmaceutically acceptable salt thereof, for use in therapy. This invention further provides (S)-5-benzyl-N-(7-chloro-2-oxo-2,3,4,5-tetrahydro-1H-benzo[b]azepin-3-yl)-4H-1,2,4-triazole-3-carboxamide, or a pharmaceutically acceptable salt thereof, for use in therapy.
- In another embodiment, this invention provides a compound of the invention for use in the treatment of a RIP1 kinase-mediated disease or disorder. Specifically, this invention provides a compound described herein, or a pharmaceutically acceptable salt thereof, for use in the treatment of a RIP1 kinase-mediated disease or disorder. In another embodiment, this invention provides a compound of Formula (I), particularly a compound of any one of Formulas (I-IV), or a pharmaceutically acceptable salt thereof, for use in the treatment of diseases/disorders which are likely to be regulated at least in part by programmed necrosis, apoptosis or the production of inflammatory cytokines, particularly inflammatory bowel disease (including Crohn's disease and ulcerative colitis), psoriasis, retinal detachment, retinitis pigmentosa, macular degeneration, pancreatitis, atopic dermatitis, arthritis (including rheumatoid arthritis, spondyloarthritis, gout, systemic onset juvenile idiopathic arthritis (SoJIA)), systemic lupus erythematosus (SLE), Sjogren's syndrome, systemic scleroderma, anti-phospholipid syndrome (APS), vasculitis, osteoarthritis, liver damage/diseases (non-alcohol steatohepatitis, alcohol steatohepatitis, autoimmune hepatitis, autoimmune hepatobiliary diseases, primary sclerosing cholangitis (PSC)), nephritis, Celiac disease, autoimmune idiopathic thrombocytopenic purpura (autoimmune ITP), transplant rejection, ischemia reperfusion injury of solid organs, sepsis, systemic inflammatory response syndrome (SIRS), cerebrovascular accident (CVA, stroke), myocardial infarction (MI), atherosclerosis, Huntington's disease, Alzheimer's disease, Parkinson's disease, Amyotrophic lateral sclerosis (ALS), allergic diseases (including asthma and atopic dermatitis), multiple sclerosis, type I diabetes, Wegener's granulomatosis, pulmonary sarcoidosis, Behcet's disease, interleukin-1 converting enzyme (ICE, also known as caspase-1) associated fever syndrome, chronic obstructive pulmonary disease (COPD), tumor necrosis factor receptor-associated periodic syndrome (TRAPS), peridontitis, NEMO-deficiency syndrome (NF-kappa-B essential modulator gene (also known as IKK gamma or IKKG) deficiency syndrome), HOIL-1 deficiency ((also known as RBCK1) heme-oxidized IRP2 ubiquitin ligase-1 deficiency), linear ubiquitin chain assembly complex (LUBAC) deficiency syndrome, hematological and solid organ malignancies, bacterial infections and viral infections (such as tuberculosis and influenza), and Lysosomal storage diseases (particularly, Gaucher Disease, and including GM2 Gangliosidosis, Alpha-mannosidosis, Aspartylglucosaminuria, Cholesteryl Ester storage disease, Chronic Hexosaminidase A Deficiency, Cystinosis, Danon disease, Fabry disease, Farber disease, Fucosidosis, Galactosialidosis, GM1 gangliosidosis, Mucolipidosis, Infantile Free Sialic Acid Storage Disease, Juvenile Hexosaminidase A Deficiency, Krabbe disease, Lysosomal acid lipase deficiency, Metachromatic Leukodystrophy, Mucopolysaccharidoses disorders, Multiple sulfatase deficiency, Niemann-Pick Disease, Neuronal Ceroid Lipofuscinoses, Pompe disease, Pycnodysostosis, Sandhoff disease, Schindler disease, Sialic Acid Storage Disease, Tay-Sachs and Wolman disease), wherein treatment of the above-noted diseases/disorders may concern, more specifically, the amelioration of organ injury or damage sustained as a result of the noted diseases.
- In another embodiment, this invention provides a compound of Formula (I), or a pharmaceutically acceptable salt thereof, for use in the treatment of inflammatory bowel disease. In another embodiment, this invention provides a compound of Formula (I), or a pharmaceutically acceptable salt thereof, for use in the treatment of Crohn's disease. In another embodiment, this invention provides a compound of Formula (I), or a pharmaceutically acceptable salt thereof, for use in the treatment of ulcerative colitis. In another embodiment, this invention provides a compound of Formula (I), or a pharmaceutically acceptable salt thereof, for use in the treatment of psoriasis. In another embodiment, this invention provides a compound of Formula (I), or a pharmaceutically acceptable salt thereof, for use in the treatment of retinal detachment. In another embodiment, this invention provides a compound of Formula (I), or a pharmaceutically acceptable salt thereof, for use in the treatment of retinitis pigmentosa. In another embodiment, this invention provides a compound of Formula (I), or a pharmaceutically acceptable salt thereof, for use in the treatment of arthritis. In another embodiment, this invention provides a compound of Formula (I), or a pharmaceutically acceptable salt thereof, for use in the treatment of rheumatoid arthritis. In another embodiment, this invention provides a compound of Formula (I), or a pharmaceutically acceptable salt thereof, for use in the treatment of spondyloarthritis. In another embodiment, this invention provides a compound of Formula (I), or a pharmaceutically acceptable salt thereof, for use in the treatment of gout. In another embodiment, this invention provides a compound of Formula (I), or a pharmaceutically acceptable salt thereof, for use in the treatment of systemic onset juvenile idiopathic arthritis. In another embodiment, this invention provides a compound of Formula (I), or a pharmaceutically acceptable salt thereof, for use in the treatment of transplant rejection. In another embodiment, this invention provides a compound of Formula (I), or a pharmaceutically acceptable salt thereof, for use in the treatment of ischemia reperfusion injury of solid organs.
- This invention specifically provides for the use of a compound of Formula (I), particularly a compound of any one of Formulas (I-IV), or a pharmaceutically acceptable salt thereof, as an active therapeutic substance. More specifically, this provides for the use of the compounds described herein for the treatment of a RIP1 kinase-mediated disease or disorder. Accordingly, the invention provides for the use of a compound of Formula (I), particularly a compound of any one of Formulas (I-IV), or a pharmaceutically acceptable salt thereof, as an active therapeutic substance in the treatment of a human in need thereof with a RIP1 kinase-mediated disease or disorder.
- The invention further provides for the use of a compound of Formula (I), particularly a compound of any one of Formulas (I-IV), or a salt thereof, particularly a pharmaceutically acceptable salt thereof, in the manufacture of a medicament for use in the treatment of a RIP1 kinase-mediated disease or disorder, for example the diseases and disorders recited herein. Specifically, the invention also provides for the use of a compound described herein, or a pharmaceutically acceptable salt thereof, in the manufacture of a medicament for use in the treatment of a RIP1 kinase-mediated disease or disorder, for example the diseases and disorders recited herein. More specifically, the invention also provides for the use of (S)-5-benzyl-N-(5-methyl-4-oxo-2,3,4,5-tetrahydrobenzo[b][1,4]oxazepin-3-yl)-4H-1,2,4-triazole-3-carboxamide, or a pharmaceutically acceptable salt thereof, in the manufacture of a medicament for use in the treatment of a RIP1 kinase-mediated disease or disorder, for example the diseases and disorders recited herein. The invention further provides for the use of (S)-5-benzyl-N-(7-chloro-2-oxo-2,3,4,5-tetrahydro-1H-benzo[b]azepin-3-yl)-4H-1,2,4-triazole-3-carboxamide, or a pharmaceutically acceptable salt thereof, in the manufacture of a medicament for use in the treatment of a RIP1 kinase-mediated disease or disorder, for example the diseases and disorders recited herein. Accordingly, the invention provides for the use of a compound of Formula (I), particularly a compound of any one of Formulas (I-IV), or a pharmaceutically acceptable salt thereof, in the manufacture of a medicament for use in the treatment of a human in need thereof with a RIP1 kinase-mediated disease or disorder.
- In one embodiment, this invention provides for the use of a compound of Formula (I), particularly a compound of any one of Formulas (I-IV), or a pharmaceutically acceptable salt thereof, in the manufacture of a medicament for use in the treatment of diseases/disorders which are likely to be regulated at least in part by programmed necrosis, apoptosis or the production of inflammatory cytokines, particularly inflammatory bowel disease (including Crohn's disease and ulcerative colitis), psoriasis, retinal detachment, retinitis pigmentosa, macular degeneration, pancreatitis, atopic dermatitis, arthritis (including rheumatoid arthritis, spondyloarthritis, gout, systemic onset juvenile idiopathic arthritis (SoJIA)), systemic lupus erythematosus (SLE), Sjogren's syndrome, systemic scleroderma, anti-phospholipid syndrome (APS), vasculitis, osteoarthritis, liver damage/diseases (non-alcohol steatohepatitis, alcohol steatohepatitis, autoimmune hepatitis, autoimmune hepatobiliary diseases, primary sclerosing cholangitis (PSC)), nephritis, Celiac disease, autoimmune idiopathic thrombocytopenic purpura (autoimmune ITP), transplant rejection, ischemia reperfusion injury of solid organs, sepsis, systemic inflammatory response syndrome (SIRS), cerebrovascular accident (CVA, stroke), myocardial infarction (MI), atherosclerosis, Huntington's disease, Alzheimer's disease, Parkinson's disease, Amyotrophic lateral sclerosis (ALS), allergic diseases (including asthma and atopic dermatitis), multiple sclerosis, type I diabetes, Wegener's granulomatosis, pulmonary sarcoidosis, Behcet's disease, interleukin-1 converting enzyme (ICE, also known as caspase-1) associated fever syndrome, chronic obstructive pulmonary disease (COPD), tumor necrosis factor receptor-associated periodic syndrome (TRAPS), peridontitis, NEMO-deficiency syndrome (NF-kappa-B essential modulator gene (also known as IKK gamma or IKKG) deficiency syndrome), HOIL-1 deficiency ((also known as RBCK1) heme-oxidized IRP2 ubiquitin ligase-1 deficiency), linear ubiquitin chain assembly complex (LUBAC) deficiency syndrome, hematological and solid organ malignancies, bacterial infections and viral infections (such as tuberculosis and influenza), and Lysosomal storage diseases (particularly, Gaucher Disease, and including GM2 Gangliosidosis, Alpha-mannosidosis, Aspartylglucosaminuria, Cholesteryl Ester storage disease, Chronic Hexosaminidase A Deficiency, Cystinosis, Danon disease, Fabry disease, Farber disease, Fucosidosis, Galactosialidosis, GM1 gangliosidosis, Mucolipidosis, Infantile Free Sialic Acid Storage Disease, Juvenile Hexosaminidase A Deficiency, Krabbe disease, Lysosomal acid lipase deficiency, Metachromatic Leukodystrophy, Mucopolysaccharidoses disorders, Multiple sulfatase deficiency, Niemann-Pick Disease, Neuronal Ceroid Lipofuscinoses, Pompe disease, Pycnodysostosis, Sandhoff disease, Schindler disease, Sialic Acid Storage Disease, Tay-Sachs and Wolman disease), wherein treatment of the above-noted diseases/disorders may concern, more specifically, the amelioration of organ injury or damage sustained as a result of the noted diseases.
- In another embodiment, this invention provides for the use of a compound of Formula (I), or a pharmaceutically acceptable salt thereof, in the manufacture of a medicament for use in the treatment of inflammatory bowel disease. In another embodiment, this invention provides for the use of a compound of Formula (I), or a pharmaceutically acceptable salt thereof, in the manufacture of a medicament for use in the treatment of Crohn's disease. In another embodiment, this invention provides for the use of a compound of Formula (I), or a pharmaceutically acceptable salt thereof, in the manufacture of a medicament for use in the treatment of ulcerative colitis. In another embodiment, this invention provides for the use of a compound of Formula (I), or a pharmaceutically acceptable salt thereof, in the manufacture of a medicament for use in the treatment of psoriasis. In another embodiment, this invention provides for the use of a compound of Formula (I), or a pharmaceutically acceptable salt thereof, in the manufacture of a medicament for use in the treatment of retinal detachment. In another embodiment, this invention provides for the use of a compound of Formula (I), or a pharmaceutically acceptable salt thereof, in the manufacture of a medicament for use in the treatment of retinitis pigmentosa. In another embodiment, this invention provides for the use of a compound of Formula (I), or a pharmaceutically acceptable salt thereof, in the manufacture of a medicament for use in the treatment of arthritis. In another embodiment, this invention provides for the use of a compound of Formula (I), or a pharmaceutically acceptable salt thereof, in the manufacture of a medicament for use in the treatment of rheumatoid arthritis. In another embodiment, this invention provides for the use of a compound of Formula (I), or a pharmaceutically acceptable salt thereof, in the manufacture of a medicament for use in the treatment of spondyloarthritis. In another embodiment, this invention provides for the use of a compound of Formula (I), or a pharmaceutically acceptable salt thereof, in the manufacture of a medicament for use in the treatment of gout. In another embodiment, this invention provides for the use of a compound of Formula (I), or a pharmaceutically acceptable salt thereof, in the manufacture of a medicament for use in the treatment of systemic onset juvenile idiopathic arthritis. In another embodiment, this invention provides for the use of a compound of Formula (I), or a pharmaceutically acceptable salt thereof, in the manufacture of a medicament for use in the treatment of transplant rejection. In another embodiment, this invention provides for the use of a compound of Formula (I), or a pharmaceutically acceptable salt thereof, in the manufacture of a medicament for use in the treatment of ischemia reperfusion injury of solid organs.
- A therapeutically “effective amount” is intended to mean that amount of a compound that, when administered to a patient in need of such treatment, is sufficient to effect treatment, as defined herein. Thus, e.g., a therapeutically effective amount of a compound of Formula (I), particularly a compound of any one of Formulas (I-IV), or a pharmaceutically acceptable salt thereof, is a quantity of an inventive agent that, when administered to a human in need thereof, is sufficient to modulate and/or inhibit the activity of RIP1 kinase such that a disease condition which is mediated by that activity is reduced, alleviated or prevented. The amount of a given compound that will correspond to such an amount will vary depending upon factors such as the particular compound (e.g., the potency (pIC50), efficacy (EC50), and the biological half-life of the particular compound), disease condition and its severity, the identity (e.g., age, size and weight) of the patient in need of treatment, but can nevertheless be routinely determined by one skilled in the art. Likewise, the duration of treatment and the time period of administration (time period between dosages and the timing of the dosages, e.g., before/with/after meals) of the compound will vary according to the identity of the mammal in need of treatment (e.g., weight), the particular compound and its properties (e.g., pharmacokinetic properties), disease or disorder and its severity and the specific composition and method being used, but can nevertheless be determined by one of skill in the art.
- “Treating” or “treatment” is intended to mean at least the mitigation of a disease or disorder in a patient. The methods of treatment for mitigation of a disease or disorder include the use of the compounds in this invention in any conventionally acceptable manner, for example for prevention, retardation, prophylaxis, therapy or cure of a RIP1 kinase-mediated disease or disorder, as described hereinabove.
- The compounds of the invention may be administered by any suitable route of administration, including both systemic administration and topical administration. Systemic administration includes oral administration, parenteral administration, transdermal administration, rectal administration, and administration by inhalation. Parenteral administration refers to routes of administration other than enteral, transdermal, or by inhalation, and is typically by injection or infusion. Parenteral administration includes intravenous, intramuscular, and subcutaneous injection or infusion. Inhalation refers to administration into the patient's lungs whether inhaled through the mouth or through the nasal passages. Topical administration includes application to the skin.
- The compounds of the invention may be administered once or according to a dosing regimen wherein a number of doses are administered at varying intervals of time for a given period of time. For example, doses may be administered one, two, three, or four times per day. Doses may be administered until the desired therapeutic effect is achieved or indefinitely to maintain the desired therapeutic effect. Suitable dosing regimens for a compound of the invention depend on the pharmacokinetic properties of that compound, such as absorption, distribution, and half-life, which can be determined by the skilled artisan. In addition, suitable dosing regimens, including the duration such regimens are administered, for a compound of the invention depend on the disease or disorder being treated, the severity of the disease or disorder being treated, the age and physical condition of the patient being treated, the medical history of the patient to be treated, the nature of concurrent therapy, the desired therapeutic effect, and like factors within the knowledge and expertise of the skilled artisan. It will be further understood by such skilled artisans that suitable dosing regimens may require adjustment given an individual patient's response to the dosing regimen or over time as individual patient needs change. Total daily dosages range from 1 mg to 2000 mg, preferably, total daily dosages range from 1 mg to 250 mg.
- For use in therapy, the compounds of the invention will be normally, but not necessarily, formulated into a pharmaceutical composition prior to administration to a patient. Accordingly, the invention also is directed to pharmaceutical compositions comprising a compound of the invention and one or more pharmaceutically acceptable excipients.
- In one embodiment, there is provided a pharmaceutical composition comprising (S)-5-benzyl-N-(5-methyl-4-oxo-2,3,4,5-tetrahydrobenzo[b][1,4]oxazepin-3-yl)-4H-1,2,4-triazole-3-carboxamide (free base), and one or more pharmaceutically acceptable excipients. In another embodiment, there is provided a pharmaceutical composition comprising (S)-5-benzyl-N-(5-methyl-4-oxo-2,3,4,5-tetrahydrobenzo[b][1,4]oxazepin-3-yl)-4H-1,2,4-triazole-3-carboxamide, or a pharmaceutically acceptable salt thereof, and one or more pharmaceutically acceptable excipients. In another embodiment, there is provided a pharmaceutical composition comprising crystalline (S)-5-benzyl-N-(5-methyl-4-oxo-2,3,4,5-tetrahydrobenzo[b][1,4]oxazepin-3-yl)-4H-1,2,4-triazole-3-carboxamide (free base) having the PXRD pattern of
FIG. 7 and one or more pharmaceutically acceptable excipients. In another embodiment, there is provided a pharmaceutical composition comprising crystalline (S)-5-benzyl-N-(5-methyl-4-oxo-2,3,4,5-tetrahydrobenzo[b][1,4]oxazepin-3-yl)-4H-1,2,4-triazole-3-carboxamide (free base) characterized by the diffraction data in Table 1, and one or more pharmaceutically acceptable excipients. In one embodiment, there is provided a pharmaceutical composition comprising (S)-5-benzyl-N-(7-chloro-2-oxo-2,3,4,5-tetrahydro-1H-benzo[b]azepin-3-yl)-4H-1,2,4-triazole-3-carboxamide (free base) and one or more pharmaceutically acceptable excipients. In another embodiment, there is provided a pharmaceutical composition comprising (S)-5-benzyl-N-(7-chloro-2-oxo-2,3,4,5-tetrahydro-1H-benzo[b]azepin-3-yl)-4H-1,2,4-triazole-3-carboxamide, or a pharmaceutically acceptable salt thereof, and one or more pharmaceutically acceptable excipients. - The pharmaceutical compositions of the invention may be prepared and packaged in bulk form wherein an effective amount of a compound of the invention can be extracted and then given to the patient such as with powders, syrups, and solutions for injection. Alternatively, the pharmaceutical compositions of the invention may be prepared and packaged in unit dosage form. For oral application, for example, one or more tablets or capsules may be administered. A dose of the pharmaceutical composition contains at least a therapeutically effective amount of a compound of this invention (i.e., a compound of Formula (I), particularly a compound of any one of Formulas (I-IV), or a salt, particularly a pharmaceutically acceptable salt, thereof). When prepared in unit dosage form, the pharmaceutical compositions may contain from 1 mg to 1000 mg of a compound of this invention.
- As provided herein, unit dosage forms (pharmaceutical compositions) containing from 1 mg to 1000 mg of a compound of the invention may be administered one, two, three, or four times per day, preferably one, two, or three times per day, and more preferably, one or two times per day, to effect treatment of a RIP1 kinase-mediated disease or disorder.
- The pharmaceutical compositions of the invention typically contain one compound of the invention. However, in certain embodiments, the pharmaceutical compositions of the invention contain more than one compound of the invention. In addition, the pharmaceutical compositions of the invention may optionally further comprise one or more additional pharmaceutically active compounds.
- As used herein, “pharmaceutically acceptable excipient” means a material, composition or vehicle involved in giving form or consistency to the composition. Each excipient must be compatible with the other ingredients of the pharmaceutical composition when commingled such that interactions which would substantially reduce the efficacy of the compound of the invention when administered to a patient and interactions which would result in pharmaceutical compositions that are not pharmaceutically acceptable are avoided. In addition, each excipient must of course be of sufficiently high purity to render it pharmaceutically acceptable.
- The compounds of the invention and the pharmaceutically acceptable excipient or excipients will typically be formulated into a dosage form adapted for administration to the patient by the desired route of administration. Conventional dosage forms include those adapted for (1) oral administration such as tablets, capsules, caplets, pills, troches, powders, syrups, elixirs, suspensions, solutions, emulsions, sachets, and cachets; (2) parenteral administration such as sterile solutions, suspensions, and powders for reconstitution; (3) transdermal administration such as transdermal patches; (4) rectal administration such as suppositories; (5) inhalation such as aerosols and solutions; and (6) topical administration such as creams, ointments, lotions, solutions, pastes, sprays, foams, and gels.
- Suitable pharmaceutically acceptable excipients will vary depending upon the particular dosage form chosen. In addition, suitable pharmaceutically acceptable excipients may be chosen for a particular function that they may serve in the composition. For example, certain pharmaceutically acceptable excipients may be chosen for their ability to facilitate the production of uniform dosage forms. Certain pharmaceutically acceptable excipients may be chosen for their ability to facilitate the production of stable dosage forms. Certain pharmaceutically acceptable excipients may be chosen for their ability to facilitate the carrying or transporting the compound or compounds of the invention once administered to the patient from one organ, or portion of the body, to another organ, or portion of the body. Certain pharmaceutically acceptable excipients may be chosen for their ability to enhance patient compliance.
- Suitable pharmaceutically acceptable excipients include the following types of excipients: diluents, fillers, binders, disintegrants, lubricants, glidants, granulating agents, coating agents, wetting agents, solvents, co-solvents, suspending agents, emulsifiers, sweeteners, flavoring agents, flavor masking agents, coloring agents, anti-caking agents, humectants, chelating agents, plasticizers, viscosity increasing agents, antioxidants, preservatives, stabilizers, surfactants, and buffering agents. The skilled artisan will appreciate that certain pharmaceutically acceptable excipients may serve more than one function and may serve alternative functions depending on how much of the excipient is present in the formulation and what other ingredients are present in the formulation.
- Skilled artisans possess the knowledge and skill in the art to enable them to select suitable pharmaceutically acceptable excipients in appropriate amounts for use in the invention. In addition, there are a number of resources that are available to the skilled artisan which describe pharmaceutically acceptable excipients and may be useful in selecting suitable pharmaceutically acceptable excipients. Examples include Remington's Pharmaceutical Sciences (Mack Publishing Company), The Handbook of Pharmaceutical Additives (Gower Publishing Limited), and The Handbook of Pharmaceutical Excipients (the American Pharmaceutical Association and the Pharmaceutical Press).
- The pharmaceutical compositions of the invention are prepared using techniques and methods known to those skilled in the art. Some of the methods commonly used in the art are described in Remington's Pharmaceutical Sciences (Mack Publishing Company). Accordingly, another embodiment of this invention is a method of preparing a pharmaceutical composition comprising the step of admixing crystalline (S)-5-benzyl-N-(5-methyl-4-oxo-2,3,4,5-tetrahydrobenzo[b][1,4]oxazepin-3-yl)-4H-1,2,4-triazole-3-carboxamide (free base) having the PXRD pattern of
FIG. 7 with one or more pharmaceutically acceptable excipients. In another embodiment, there is provided a method of preparing a pharmaceutical composition comprising the step of admixing crystalline (S)-5-benzyl-N-(5-methyl-4-oxo-2,3,4,5-tetrahydrobenzo[b][1,4]oxazepin-3-yl)-4H-1,2,4-triazole-3-carboxamide (free base) characterized by the diffraction data in Table 1, with one or more pharmaceutically acceptable excipients. - In one aspect, the invention is directed to a solid oral dosage form such as a tablet or capsule comprising an effective amount of a compound of the invention and a diluent or filler. Suitable diluents and fillers include lactose, sucrose, dextrose, mannitol, sorbitol, starch (e.g. corn starch, potato starch, and pre-gelatinized starch), cellulose and its derivatives (e.g. microcrystalline cellulose), calcium sulfate, and dibasic calcium phosphate. The oral solid dosage form may further comprise a binder. Suitable binders include starch (e.g. corn starch, potato starch, and pre-gelatinized starch), gelatin, acacia, sodium alginate, alginic acid, tragacanth, guar gum, povidone, and cellulose and its derivatives (e.g. microcrystalline cellulose). The oral solid dosage form may further comprise a disintegrant. Suitable disintegrants include crospovidone, sodium starch glycolate, croscarmelose, alginic acid, and sodium carboxymethyl cellulose. The oral solid dosage form may further comprise a lubricant. Suitable lubricants include stearic acid, magnesium stearate, calcium stearate, and talc.
- The following examples illustrate the invention. These examples are not intended to limit the scope of the present invention, but rather to provide guidance to the skilled artisan to prepare and use the compounds, compositions, and methods of the present invention. While particular embodiments of the present invention are described, the skilled artisan will appreciate that various changes and modifications can be made without departing from the spirit and scope of the invention.
- The reactions described herein are applicable for producing compounds of the invention having a variety of different substituent groups (e.g., R1, R2, etc.), as defined herein. The skilled artisan will appreciate that if a particular substituent is not compatible with the synthetic methods described herein, the substituent may be protected with a suitable protecting group that is stable to the reaction conditions. The protecting group may be removed at a suitable point in the reaction sequence to provide a desired intermediate or target compound. Suitable protecting groups and the methods for protecting and de-protecting different substituents using such suitable protecting groups are well known to those skilled in the art; examples of which may be found in T. Greene and P. Wuts, Protecting Groups in Chemical Synthesis (3rd ed.), John Wiley & Sons, NY (1999).
- Names for the intermediate and final compounds described herein were generated using the software naming program ACD/Name Pro V6.02 available from Advanced Chemistry Development, Inc., 110 Yonge Street, 14th Floor, Toronto, Ontario, Canada, M5C 1T4 (http://www.acdlabs.com/) or the naming program in ChemDraw, Struct=Name Pro 12.0, as part of ChemBioDraw Ultra, available from CambridgeSoft. 100 CambridgePark Drive, Cambridge, Mass. 02140 USA (www.cambridgesoft.com).
- It will be appreciated by those skilled in the art that in certain instances these programs may name a structurally depicted compound as a tautomer of that compound. It is to be understood that any reference to a named compound or a structurally depicted compound is intended to encompass all tautomers of such compounds and any mixtures of tautomers thereof.
- In the following experimental descriptions, the following abbreviations may be used:
-
Abbreviation Meaning AcOH acetic acid aq aqueous BOC, tBOC tert-butoxycarbonyl brine saturated aqueous sodium chloride BuOH butanol CDCl3 deuterated chloroform CDI 1,1′-carbonyldiimidazole CH2Cl2 or DCM methylene chloride or dichloromethane CH3CN or MeCN acetonitrile CH3NH2 methylamine d day DAST diethylaminosulfur trifluoride DCE 1,2- dichloroethane DCM 1,2-dichloromethane DIEA or DIPEA diisopropyl ethylamine DMA dimethylacetamide DMAP 4-Dimethylaminopyridine DMF N,N-dimethylformamide DMSO dimethylsulfoxide EDC 1-ethyl-3-(3-dimethylaminopropyl) carbodiimide equiv equivalents Et ethyl Et3N or TEA triethylamine Et2O diethyl ether EtOAc ethyl acetate FCC flash column chromatography h, hr hour(s) HATU O-(7-Azabenzotriazol-lyl)-N,N,N′,N′- tetramethylyronium hexafluorophosphate HCl hydrochloric acid HPLC high-performance liquid chromatography ICl iodine monochloride i-Pr2NEt N′,N′-diisopropylethylamine KOt-Bu potassium tert-butoxide KOH potassium hydroxide LCMS liquid chromatography-mass spectroscopy LiHDMS lithium hexamethyldisilazide LiOH lithium hydroxide Me methyl MeOH or CH3OH methanol MgSO4 magnesium sulfate min minute(s) MS mass spectrum μw microwave NaBH4 sodium borohydride Na2CO3 sodium carbonate NaHCO3 sodium bicarbonate NaOH sodium hydroxide Na2SO4 sodium sulfate NBS N-Bromosuccinimide N2H2 hydrazine NH4Cl ammonium chloride NH4OH ammonium hydroxide NiCl2•6H2O nickel (II) chloride hexahydrate NMP N-methyl-2-pyrrolidone NMR nuclear magnetic resonance Pd/C palladium on carbon Ph phenyl POCl3 phosphoryl chloride PSI pound-force per square inch rm or rxn mixture reaction mixture rt room temperature satd. saturated sm starting material TEA thiethylamine TFA trifluoroacetic acid THF tetrahydrofuran TMEDA tetramethylethylenediamine TMSI trimethylsilyl iodide TMSN3 trimethylsilyl azide T3P 2,4,6-tripropyl-1,3,5,2,4,6-trioxatriphosphorinane- 2,4,6-trioxide tR or Rf retention time -
- To a suspension of sodium hydride (9.75 g, 244 mmol) in DMF (250 mL) was added a solution of (S)-2-((tert-butoxycarbonyl)amino)-3-hydroxypropanoic acid (25 g, 122 mmol) in 50 mL of DMF dropwise over 10 min at 0° C. Vigorous gas evolution was observed. Once gas evolution had ceased, 1-fluoro-2-nitrobenzene (12.85 mL, 122 mmol) was added dropwise neat at 0° C. The reaction mixture was allowed to stir at room temperature for 16 hr. The reaction mixture was partitioned between ethyl acetate (1000 mL) and 0.5 M HCl solution (1000 mL). The layers were separated, the organic layer was washed with water (3×400 ml), brine (400 mL), and concentrated under reduced pressure to provide the crude product. The crude compound was purified by silica gel column using 0-10% MeOH in DCM to afford (S)-2-((tert-butoxycarbonyl)amino)-3-(2-nitrophenoxy)propanoic acid (32 g, 76 mmol, 62.3% yield) as reddish yellow semi solid. 1H NMR (400 MHz, CDCl3) d ppm 7.88 (dd, J=8.46, 1.64 Hz, 1H), 7.52-7.61 (m, 1H), 7.06-7.15 (m, 2H), 5.68 (br. d., 1H), 4.75 (br. s., 1H), 4.60-4.72 (m, 1H), 2.07 (s, 2H), 1.48 (s, 9H). MS (m/z) 325.13 (M−H+).
- The following intermediates used for the preparation of titled example compounds were synthesized using methods analogous to the ones described above.
- The following intermediates used for the preparation of titled example compounds were synthesized using (S)-3-amino-2-((tert-butoxycarbonyl)amino)-propanoic acid as described by Scott B. Hoyt et. al. in patent application WO 2008/106077.
-
- A solution of (S)-2-((tert-butoxycarbonyl)amino)-3-(2-nitrophenoxy)propanoic acid (32 g, 98 mmol) and Pd/C (2.82 g, 2.65 mmol) in methanol (500 mL) using Parr apparatus was hydrogenated with 60 PSI at rt for 2 hr. The TLC (10% MeOH in DCM; Rf: 0.4) shows complete conversion of all of the starting material and the reaction mixture was filtered through a celite bed. The celite bed was washed with methanol (130 mL, 3 times) and the combined filtrate was concentrated to afford (S)-3-(2-aminophenoxy)-2-((tert-butoxycarbonyl)amino)propanoic acid (32 g, 95 mmol, 97% yield) as pale brown semi solid. The residue was used in the next step without further purification. 1H NMR (DMSO-d6) δ: 7.42 (br. s., 1H), 6.74 (d, J=7.1 Hz, 1H), 6.64-6.70 (m, 1H), 6.57-6.62 (m, 1H), 6.47 (td, J=7.6, 1.6 Hz, 1H), 4.40 (d, J=4.3 Hz, 1H), 4.24 (dd, J=9.5, 4.9 Hz, 1H), 4.00 (dd, J=9.6, 3.5 Hz, 1H), 1.41 (s, 9H). MS (m/z) 295.19 (M−H+), 222.15 (−tBuO group).
- The following intermediates used for the preparation of titled example compounds were synthesized using methods analogous to the ones described above.
-
- To a solution of (S)-3-(2-aminophenoxy)-2-((tert-butoxycarbonyl)amino)propanoic acid (23 g, 78 mmol) and DIPEA (14.91 mL, 85 mmol) in DMSO (230 mL) stirred under nitrogen at 10° C. was added HATU (29.5 g, 78 mmol) portionwise during 15 min. The reaction mixture was stirred at room temperature for 16 hr. Reaction was quenched with water (900 mL) (resulting in formation of a solid) and was stirred at 18° C. for 20 min. The resultant solid was filtered, washed with excess water (3 times) and dried in vacuo (high vacuum) to afford (S)-tert-butyl (4-oxo-2,3,4,5-tetrahydrobenzo[b][1,4]oxazepin-3-yl)carbamate (18 g, 61.6 mmol, 79% yield) as a pale brown solid. TLC: 50% EtOAc in Hexane; Rf: 0.55. 1H NMR (400 MHz, DMSO-d6) d ppm 9.92 (s, 1H), 6.99-7.21 (m, 5H), 4.17-4.45 (m, 3H), 1.36 (s, 9H). MS (m/z): 179.16 ([M-BOC]+H+).
- The following intermediates used for the preparation of titled example compounds were synthesized using methods analogous to the ones described above.
-
- To a suspension of (S)-tert-butyl (7-fluoro-4-oxo-2,3,4,5-tetrahydrobenzo[b][1,4]oxazepin-3-yl)carbamate (0.89 g, 2.70 mmol) and K2CO3 (0.392 g, 2.84 mmol) in DMF (10.0 mL) at rt was added a solution of MeI (0.161 mL, 2.57 mmol) in DMF. The reaction mixture was stirred at rt overnight, then additional 0.74 eq of MeI and K2CO3 were added and the reaction was monitored by LCMS. The reaction mixture was diluted with EtOAc then washed with water (2×), sat. aq. NH4Cl and brine. The organic phase was concentrated in vacuo then purified by FCC [EtOAc/Hex: 15-50%] to yield the desired product (640 mg, 76%). 1H NMR (DMSO-d6) δ: 7.44 (dd, J=9.9, 3.0 Hz, 1H), 7.17-7.25 (m, 2H), 7.10 (td, J=8.5, 3.0 Hz, 1H), 4.23-4.42 (m, 3H), 3.28 (s, 3H), 1.35 (s, 9H). MS (m/z) 211.1 ([M-BOC]+H+).
- The following intermediates used for the preparation of titled example compounds were synthesized using methods analogous to the one described above.
-
- To a solution of (S)-tert-butyl (4-oxo-2,3,4,5-tetrahydrobenzo[b][1,4]oxazepin-3-yl)carbamate (30 g, 108 mmol) and Cs2CO3 (49.2 g, 151 mmol) in DMF (300 mL) stirred under nitrogen at room temp was added methyl iodide (8.09 mL, 129 mmol) dropwise during 15 min. The reaction mixture was stirred at rt for 16 hr. TLC (30% EtOAc in Hexane; Rf: 0.4) shows reaction was complete. The reaction was poured into cold water (1500 mL) which formed a solid, the resultant solid was filtered, the filter cake was washed with water (two times) and dried in vacuo to afford the crude compound. This was triturated with 5% Et2O in hexane (300 mL) to afford (S)-tert-butyl (5-methyl-4-oxo-2,3,4,5-tetrahydrobenzo[b][1,4]oxazepin-3-yl)carbamate (19 g, 62.7 mmol, 58.1% yield) as a brown solid. 1H NMR (DMSO-d6) δ: 7.47 (dd, J=7.7, 1.6 Hz, 1H), 7.23-7.33 (m, 2H), 7.14-7.21 (m, 2H), 4.25-4.41 (m, 3H), 3.28 (s, 3H), 1.34 (s, 9H). MS (m/z) 193.33 ([M-BOC]+H+).
The following intermediates used for the preparation of titled example compounds were synthesized using methods analogous to the one described above. -
- To a suspension of (S)-tert-butyl (7-fluoro-4-oxo-2,3,4,5-tetrahydrobenzo[b][1,4]oxazepin-3-yl)carbamate (105.0 mg, 0.354 mmol) in DCM (1.5 mL) was added TFA (0.191 mL, 2.481 mmol). The reaction became homogeneous almost immediately and was allowed to stir at rt and monitored by LCMS. (about 2 h). The reaction was diluted with ethyl ether then concentrated under reduced pressure (repeated 3 times) to give the desired product as a TFA salt. The sample was once azeotroped with toluene. Quantitative recovery was assumed.
- The following intermediates used for the preparation of titled example compounds were synthesized using methods analogous to the one described above.
-
- To a solution of 3,4-dihydronaphthalen-1(2H)-one (4.55 mL, 34.2 mmol) in methanesulfonic acid (40 mL) cooled in an ice/brine bath was added sodium azide (2.5 g, 38.5 mmol) in 5 portions over 15 minutes. Moderate gas evolution. Mixture was stirred cooled for 15 minutes, then at rt for 30 minutes. Reaction was poured over ice and stirred for 10 minutes. The resulting solid was filtered, rinsed with water and hexanes, and dried to give 6.10 g tan solid. 1H NMR (DMSO-d6) δ: 9.51 (br. s., 1H), 7.16-7.29 (m, 2H), 7.04-7.12 (m, 1H), 6.96 (d, J=7.6 Hz, 1H), 2.68 (t, J=6.8 Hz, 2H), 2.04-2.19 (m, 4H); MS (m/z) 162.0 (M+H+).
- The following intermediates used for the preparation of titled example compounds were synthesized using methods analogous to the ones described above.
-
- To a mixture of 4,5-dihydro-1H-benzo[b]azepin-2(3H)-one (10.6 g, 65.8 mmol) in DCM (150 mL) cooled in an ice/water bath was added TMEDA (29.8 mL, 197 mmol), then dropwise over 20 minutes was added TMSI (26.9 mL, 197 mmol). The mixture was stirred cooled for 60 minutes, iodine (25.03 g, 99 mmol) was added and the mixture was stirred cooled for another 60 minutes. The reaction was quenched with 5% Na2S2O3 and stirred 15 minutes. The resulting solid was filtered and dried to give 11.3 g tan solid. Layers of filtrate were separated. Organics were concentrated to a solid, triturated in diethyl ether and solid was filtered and dried to give 5.52 g light brown solid (87% yield, both batches). 1H NMR (DMSO-d6) δ: 9.93 (s, 1H), 7.22-7.30 (m, 2H), 7.09-7.17 (m, 1H), 6.99 (d, J=7.3 Hz, 1H), 4.63 (dd, J=9.1, 6.8 Hz, 1H), 2.52-2.81 (m, 4H); MS (m/z) 288.0 (M+H+).
- The following intermediates used for the preparation of titled example compounds were synthesized using methods analogous to the ones described above.
-
- Step 1:
- To a solution of 3-iodo-4,5-dihydro-1H-benzo[b]azepin-2(3H)-one (16.8 g, 58.5 mmol) in N,N-Dimethylformamide (DMF) (100 mL) was added sodium azide (4.57 g, 70.2 mmol) (mild exotherm) and mixture was stirred at rt for 1 hour. A precipitate formed after 30 minutes. Ice was added to the reaction and it was then diluted with 300 mL water. More solid precipitated out and the mixture was stirred for 10 minutes. Filtered tan solid, rinsed with water and used as-is in next step (was not dried because next step contained water). Small amount dried for HNMR analysis. 1H NMR (DMSO-d6) δ: 10.05 (s, 1H), 7.20-7.33 (m, 2H), 7.06-7.17 (m, 1H), 7.00 (d, J=7.8 Hz, 1H), 3.89 (dd, J=11.6, 8.1 Hz, 1H), 2.65-2.81 (m, 2H), 2.41 (tt, J=12.7, 7.8 Hz, 1H), 2.04-2.17 (m, 1H); MS (m/z) 203.0 (M+H+).
- Step 2:
- To a solution of 3-azido-4,5-dihydro-1H-benzo[b]azepin-2(3H)-one in THF (120 mL) was added 1.0 mL water and PPh3 resin (21.5 g, 3 mmol/g loading, 1.1 eq, 64.4 mmol, Aldrich). Stirred at rt for 20 hours. Reaction was filtered to remove resin, rinsed with THF and filtrate was concentrated. Triturated solid in 10% DCM/diethyl ether, filtered and dried to give a tan solid (9.13 g, 85% yield over 2 steps). 1H NMR (DMSO-d6) δ: 9.68 (br. s., 1H), 7.18-7.29 (m, 2H), 7.04-7.13 (m, 1H), 6.96 (d, J=7.8 Hz, 1H), 3.13 (dd, J=11.4, 7.8 Hz, 1H), 2.55-2.70 (m, 2H), 2.27 (tt, J=12.9, 7.7 Hz, 1H), 1.70-1.83 (m, 1H), 1.62 (br. s., 2H); MS (m/z) 177.0 (M+H+).
- The following intermediates used for the preparation of titled example compounds were synthesized using methods analogous to the ones described above.
-
- To a solution of 3-amino-4,5-dihydro-1H-benzo[b]azepin-2(3H)-one (24.1 g, 127 mmol) in isopropanol (300 mL) at 70° C. was added L-pyroglutamic acid (16.42 g, 127 mmol). Stirred for 30 minutes. Added 400 mL more isopropanol to facilitate stirring. Then 2-hydroxy-5-nitrobenzaldehyde (0.638 g, 3.82 mmol) was added and mixture was stirred at 70° C. for 3.5 days. Mixture was cooled to rt, solid was filtered, rinsing with isopropanol and hexanes. Solid was dried to give a tan solid as the pyroglutamic acid salt (33 g, 84%). The % ee=97.4% @ 220 nm and 97.8% @ 254 nm. MS (m/z) 177.0 (M+H+).
- (S)-3-amino-4,5-dihydro-1H-benzo[b]azepin-2(3H)-one, pyroglutamic acid salt (33 g) was basified with minimum amount of concentrated NH4OH and extracted with DCM four times. The combined organics were concentrated to a solid which was triturated in diethyl ether, filtered and dried to give a light orange/tan solid as free base (19.01 g, 81%). 1H NMR (DMSO-d6) δ: 9.70 (br. s., 1H), 7.17-7.30 (m, 2H), 7.05-7.13 (m, 1H), 6.96 (d, J=7.8 Hz, 1H), 3.15 (dd, J=11.5, 8.0 Hz, 1H), 2.56-2.73 (m, 2H), 2.28 (tt, J=12.9, 7.6 Hz, 1H), 2.04 (br. s., 2H), 1.69-1.83 (m, 1H); MS (m/z) 177.0 (M+H+).
- The following intermediates used for the preparation of titled example compounds were synthesized using methods analogous to the ones described above.
-
- Step 1:
- To a mixture of (S)-3-amino-4,5-dihydro-1H-benzo[b]azepin-2(3H)-one (0.615 g, 3.49 mmol) in DCM (20 mL) was added TEA (0.730 mL, 5.24 mmol) and BOC2O (0.851 mL, 3.66 mmol). The reaction was stirred at rt for 1 hour, diluted with water and layers were separated. The organics were concentrated and dried to give 950 mg of (S)-tert-butyl (2-oxo-2,3,4,5-tetrahydro-1H-benzo[b]azepin-3-yl)carbamate as an off-white solid. 1H NMR (DMSO-d6) δ: 9.71 (s, 1H), 7.22-7.30 (m, 2H), 7.08-7.15 (m, 1H), 6.95-7.03 (m, 2H), 3.87 (dt, J=12.1, 8.2 Hz, 1H), 2.61-2.70 (m, 2H), 2.19 (ddd, J=12.0, 8.0, 4.0 Hz, 1H), 2.01-2.12 (m, 1H), 1.34 (s, 9H); MS (m/z) 277 (M+H+).
- Step 2:
- To a mixture of cesium carbonate (1.592 g, 4.89 mmol) and (S)-tert-butyl (2-oxo-2,3,4,5-tetrahydro-1H-benzo[b]azepin-3-yl)carbamate (950 mg, 3.40 mmol) in N,N-Dimethylformamide (DMF) (10 mL) was added iodomethane (0.262 mL, 4.19 mmol). The reaction was stirred at rt for 20 hours, then water (30 mL) was added and mixture was stirred vigorously for 15 minutes. The resulting solid was filtered, rinsed with water and hexanes and dried to give 800 mg of (S)-tert-butyl (1-methyl-2-oxo-2,3,4,5-tetrahydro-1H-benzo[b]azepin-3-yl)carbamate as an off-white solid. 1H NMR (DMSO-d6) δ: 7.34-7.39 (m, 2H), 7.29 (d, J=7.3 Hz, 1H), 7.18-7.24 (m, 1H), 7.03 (d, J=8.6 Hz, 1H), 3.86 (dt, J=11.6, 8.3 Hz, 1H), 3.27 (s, 3H), 2.60-2.66 (m, 2H), 2.01-2.13 (m, 2H), 1.33 (s, 9H); MS (m/z) 291 (M+H+).
- Step 3:
- To a solution of (S)-tert-butyl (1-methyl-2-oxo-2,3,4,5-tetrahydro-1H-benzo[b]azepin-3-yl)carbamate (800 mg, 2.73 mmol) in DCM (20 mL) was added HCl (4.0 M in dioxane) (4.0 mL, 16.00 mmol). The mixture was stirred at rt for 1.5 hours, then concentrated and dried to give 670 mg of (S)-3-amino-1-methyl-4,5-dihydro-1H-benzo[b]azepin-2(3H)-one, HCl salt as a tan solid. 1H NMR (DMSO-d6) δ: 8.33 (br. s., 3H), 7.39-7.43 (m, 2H), 7.36 (d, J=7.1 Hz, 1H), 7.24-7.30 (m, 1H), 3.62 (dd, J=11.4, 8.1 Hz, 1H), 3.57 (s, 3H), 2.70-2.77 (m, 2H), 2.44 (ddd, J=12.1, 8.0, 4.2 Hz, 1H), 2.07-2.17 (m, 1H); MS (m/z) 191 (M+H+).
- The following intermediates used for the preparation of titled example compounds were synthesized using methods analogous to the ones described above.
-
- Step 1:
- To a solution of sodium acetate (7.47 g, 91 mmol) in Water (13.33 mL) was added hydroxylamine hydrochloride (6.33 g, 91 mmol), then Ethanol (40 mL) and 7-bromo-3,4-dihydronaphthalen-1(2H)-one (10.25 g, 45.5 mmol). The white slurry was heated at 80° C. for 45 minutes. Reaction was removed from heat, stirred for 10 minutes, then poured over ice and stirred until all ice melted. Filtered resulting solid, rinsed with water and dried to give a white solid (10.58 g, 95%). 1H NMR (DMSO-d6) δ: 11.29 (s, 1H), 7.94 (d, J=2.0 Hz, 1H), 7.42 (dd, J=8.2, 2.1 Hz, 1H), 7.17 (d, J=8.3 Hz, 1H), 2.66 (dt, J=16.9, 6.3 Hz, 4H), 1.74 (quin, J=6.4 Hz, 2H); MS (m/z) 240/242 (M+H+), bromine splitting pattern.
- Step 2:
- To methanesulfonic acid (100 mL) was added phosphorus pentoxide (9.70 g, 68.3 mmol) and mixture was heated at 90° C. for 1.5 hours. Removed from heat and added 7-bromo-3,4-dihydronaphthalen-1(2H)-one oxime (10.58 g, 43.2 mmol) in portions over 10 minutes. Mixture was heated at 80° C. for 20 hours. Reaction was removed from heat and poured over ice, then 50% w/w NaOH was added slowly along with ice to control temperature. Resulting precipitate was stirred for 10 minutes, filtered, rinsed with water and dried to give a pink powder that was 80% pure (9.81 g, 74%). 1H NMR (DMSO-d6) δ: 9.61 (s, 1H), 7.19-7.32 (m, 2H), 7.13 (d, J=2.0 Hz, 1H), 2.66 (t, J=6.9 Hz, 2H), 2.04-2.21 (m, 4H); MS (m/z) 240/242 (M+H+), bromine splitting pattern.
-
- To a solution of (R)-2-((tert-butoxycarbonyl)amino)-3-mercaptopropanoic acid (5.02 g, 22.69 mmol) in Water (32 mL) was added NaHCO3 (5.72 g, 68.1 mmol) stirred at 25° C. was slowly added a solution of 1-fluoro-2-nitrobenzene (3.20 g, 22.69 mmol) in Ethanol (40 mL). The reaction mixture was stirred at reflux for 4 h and cooled to rt. LCMS indicated the reaction was completed. The ethanol was removed under vacuum and the resulting aqueous phase was diluted with water (50 ml), washed with ether (2×100 ml), (discarded the ether phase LCMS showed minor product). The aqueous was acidified to
pH 4 with 1N aqueous HCl and extracted with DCM (2×300 mL). The organic layers were combined, washed with brine, dried over Na2SO4 and concentrated in vacuo to afford the title compound as yellow solid (R)-2-((tert-butoxycarbonyl)amino)-3-((2-nitrophenyl)thio)propanoic acid (7 g, 20.4 mmol, 90% yield). MS (m/z) 343 (M+H+). -
- To a solution of (R)-2-((tert-butoxycarbonyl)amino)-3-((2-nitrophenyl)thio)propanoic acid (0.8 g, 2.337 mmol) in MeOH (100 mL) was added ammonium chloride (0.250 g, 4.67 mmol) and zinc (1.528 g, 23.37 mmol) at 25° C. After stirring at rt for 1 h, the mixture was heated to 75 C for 2 h. The resulting mixture was then directly filtered through celite and celite was washed with boiling MeOH (2×100 ml). The combined organic were partially concentrated under vacuum (25 ml) and the residue was allowed to stand overnight at rt. Solid salts were eliminated by filtration, then DCM (100 ml) and water (100 ml) was added to the filtrate, the resulting organic phase was washed with water (3×100 ml), dried over Na2SO4 and concentrated in vacuo to afford the title compound as solid (R)-3-((2-aminophenyl)thio)-2-((tert-butoxycarbonyl)amino)propanoic acid (700 mg, 2.241 mmol, 96% yield). MS (m/z) 313 (M+H+).
-
- To a solution of (R)-3-((2-aminophenyl)thio)-2-((tert-butoxycarbonyl)amino)propanoic acid (3.3 g, 10.56 mmol) in DCM (100 mL) was added N1-((ethylimino)methylene)-N3,N3-dimethylpropane-1,3-diamine hydrochloride (2.228 g, 11.62 mmol). Stirred at rt for 5 min, then added 4-methylmorpholine (1.742 mL, 15.85 mmol). The reaction mixture was stirred at 25° C. for 5 h. LCMS showed product and the reaction was completed. Removed all the DCM and added 200 ml of EtOAc and the mixture was washed with water, 0.1N HCl(aq), NaHCO3(aq) and brine. The organic phase was dried over Na2SO4 and concentrated under reduced pressure to afford crude product. ISCO purification (eluting with 0-70% of EtOAc in hexane) to afford the pure title compound as (R)-tert-butyl (4-oxo-2,3,4,5-tetrahydrobenzo[b][1,4]thiazepin-3-yl)carbamate (1.5 g, 5.10 mmol, 48.2% yield). 1H NMR (400 MHz, CDCl3) δ=7.73-7.57 (m, 1H), 7.39 (td, J=1.4, 7.6 Hz, 2H), 7.27-7.03 (m, 2H), 5.58 (br. s., 1H), 4.49 (dt, J=7.2, 11.8 Hz, 1H), 3.85 (dd, J=6.7, 11.0 Hz, 1H), 2.95 (t, J=11.4 Hz, 1H), 1.42 (s, 9H). MS (m/z) 295 (M+H+).
-
- To a solution of (R)-tert-butyl (4-oxo-2,3,4,5-tetrahydrobenzo[b][1,4]thiazepin-3-yl)carbamate (100 mg, 0.340 mmol) in dioxane (3 mL) was added HCl (0.425 mL, 1.699 mmol, 4M in dioxane). The reaction mixture was stirred at 25° C. for 18 h. LCMS indicated the product w/o starting material. Removed all the solvents and washed the solid with ether and the solid was used without further purification. MS (m/z) 195 (M+H+).
- The following intermediates used for the preparation of titled example compounds was synthesized using methods analogous to the ones described above.
-
- To a solution of (R)-tert-butyl (4-oxo-2,3,4,5-tetrahydrobenzo[b][1,4]thiazepin-3-yl)carbamate (200 mg, 0.679 mmol) in N,N-Dimethylformamide (DMF) (5 mL) was added Cs2CO3 (332 mg, 1.019 mmol) The reaction mixture was stirred at rt for 5 min, then MeI (0.051 mL, 0.815 mmol) was added. The reaction mixture was stirred at rt for 3 h and LCMS showed the reaction was completed. Added EtOAc and washed with water, brine and dried over Na2SO4. Removed all the solvent to afford the title compound as (R)-tert-butyl (5-methyl-4-oxo-2,3,4,5-tetrahydrobenzo[b][1,4]thiazepin-3-yl)carbamate (200 mg, 0.649 mmol, 95% yield). MS (m/z) 309 (M+H+).
-
- To a solution of (R)-tert-butyl (5-methyl-4-oxo-2,3,4,5-tetrahydrobenzo[b][1,4]thiazepin-3-yl)carbamate (290 mg, 0.940 mmol) in DCM (3 mL) was added HCl (7.05 mL, 28.2 mmol, 4M in dioxane). The reaction mixture was stirred at 25° C. for 3 h. LCMS indicated the product w/o starting material. Removed all the solvents and the solid (200 mg, 87%) was washed with ether and hexane and used without further purification. MS (m/z) 209 (M+H+).
-
- To a solution of ester (500.0 mg, 1.427 mmol) in THF (16 mL)/Water (5 mL) was added LiOH (2.141 mL, 2.141 mmol) as a solution in water (1.0 mL). After 3 h, the reaction mixture was poured into cold water (70 mL) then extracted twice with EtOAc. The aqueous phase was acidified to pH˜3 then extracted with EtOAc twice to extract the desired product. The organic phase was dried over Na2SO4, filtered, then concentrated in vacuo. The solid was azeotroped twice with toluene then concentrated to a final solid that was sufficiently pure to use in the next step. No further purification appeared necessary. Yield: 456 mg (90%) white solid. MS (m/z) 337.3 (M+H+).
-
- To a suspension of (S)-3-((tert-butoxycarbonyl)amino)-5-methyl-4-oxo-2,3,4,5-tetrahydrobenzo[b][1,4]oxazepine-7-carboxylic acid (228 mg, 0.678 mmol) in dry DCM (5.5 ml) was added CDI (115 mg, 0.712 mmol) as a solid. The reaction mixture was stirred at rt for 1
h 30 min then this mixture was added slowly dropwise to a separate stirring solution of anhydrous hydrazine (217 mg, 6.78 mmol) in 3.0 mL of dry DCM at rt. After 1 h, the reaction mixture was diluted with DCM then washed with water and brine. After drying the sample over Na2SO4 and concentration, the solid product had sufficient purity to carry to the next step, (164 mg, 69%). 1H NMR (DMSO-d6) δ: 9.84 (s, 1H), 7.88 (d, J=2.0 Hz, 1H), 7.71 (dd, J=8.3, 2.0 Hz, 1H), 7.26 (d, J=8.3 Hz, 1H), 7.21 (d, J=7.8 Hz, 1H), 4.55 (br. s., 1H), 4.30-4.41 (m, 4H), 3.31 (s, 3H), 1.34 (s, 9H). MS (m/z) 351.3 (M+H+). -
- To a solution of (S)-tert-butyl (7-(hydrazinecarbonyl)-5-methyl-4-oxo-2,3,4,5-tetrahydro benzo[b][1,4] xazepin-3-yl)carbamate (191.0 mg, 0.545 mmol) in N,N-Dimethylformamide (DMF) (3.0 mL) was added TEA (0.114 mL, 0.818 mmol) followed by CDI (97 mg, 0.600 mmol). The mixture was stirred at rt. The reaction mixture was diluted with EtOAc then washed with cold dilute HCl, water (2×), and brine. The organic phase was dried over Na2SO4, filtered, then concentrated in vacuo. The residue was washed with small amount of DCM then filtered and collected as a white powder then used in the next step without further purification (150.0 mg, 80%). 1H NMR (DMSO-d6) δ: 12.67 (br. s., 1H), 7.83 (d, J=2.0 Hz, 1H), 7.68 (dd, J=8.3, 2.0 Hz, 1H), 7.35 (d, J=8.3 Hz, 1H), 7.23 (d, J=7.8 Hz, 1H), 4.32-4.45 (m, 3H), 1.35 (s, 9H). MS (m/z) 377.3 (M+H+).
-
- To a solution of (S)-tert-butyl (5-methyl-4-oxo-7-(5-oxo-4,5-dihydro-1,3,4-oxadiazol-2-yl)-2,3,4,5-tetrahydrobenzo[b][1,4]oxazepin-3-yl)carbamate (40.0 mg, 0.106 mmol) in DCM (1.0 mL) was added a solution of 4M HCl in 1,4 dioxane (0.531 mL, 2.126 mmol). The mixture was stirred at rt for 1 h. The reaction mixture was concentrated in vacuo, then it was azeotroped twice with toluene to yield the desired product. MS (m/z) 277.1 (M+H+).
-
- To a solution of (S)-methyl 3-(5-benzylisoxazole-3-carboxamido)-5-methyl-4-oxo-2,3,4,5-tetrahydrobenzo[b][1,4]oxazepine-7-carboxylate (332 mg, 0.762 mmol) in THF (6 mL)/Water (2.0 mL) was added LiOH (1.144 mL, 1.144 mmol) as a solution in water. Reaction was stirred at rt for about 2 h. The reaction mixture was diluted with water then extracted with EtOAc twice. The aqueous phase was acidified to pH-3.0 then it was extracted with EtOAc. The latter organic phase was dried over Na2SO4 then filtered and concentrated in vacuo to yield the desired product as a solid. The solid was warmed in toluene then decanted to give the final solid product that was used directly in the next step. 1H NMR (DMSO-d6) δ: 13.18 (br. s., 1H), 8.87 (d, J=8.1 Hz, 1H), 7.98 (d, J=2.0 Hz, 1H), 7.85 (dd, J=8.3, 2.0 Hz, 1H), 7.25-7.38 (m, 6H), 6.55 (s, 1H), 4.87 (dt, J=11.8, 7.7 Hz, 1H), 4.64 (dd, J=11.6, 10.1 Hz, 1H), 4.46 (dd, J=9.9, 7.6 Hz, 1H), 4.22 (s, 2H). MS (m/z) 422.3 (M+H+).
-
- To a suspension of (S)-3-(5-benzylisoxazole-3-carboxamido)-5-methyl-4-oxo-2,3,4,5-tetrahydro benzo[b][1,4]oxazepine-7-carboxylic acid (178.0 mg, 0.422 mmol) in DCM (6.0 mL) was added CDI (75 mg, 0.465 mmol). The reaction mixture was stirred at rt for 1
h 30 min. The mixture was then added slowly dropwise to a solution of hydrazine (0.199 mL, 6.34 mmol) in 0.50 mL DCM. After 1 h LCMS indicated about 79% conversion to the desired product. The reaction mixture was diluted with DCM then washed with water and brine. After drying the sample over Na2SO4 and concentration, the solid product had sufficient purity to carry to next step. 1H NMR (DMSO-d6) δ: 9.86 (s, 1H), 8.90 (d, J=8.1 Hz, 1H), 7.91 (d, J=2.3 Hz, 1H), 7.73 (dd, J=8.3, 2.0 Hz, 1H), 7.27-7.38 (m, 6H), 6.55 (s, 1H), 4.85 (dt, J=11.8, 7.9 Hz, 1H), 4.62 (dd, J=11.6, 10.1 Hz, 1H), 4.54 (br. s., 2H), 4.44 (dd, J=9.9, 7.8 Hz, 1H), 4.22 (s, 2H), 3.33 (s, 3H). MS (m/z) 436.2 (M+H+). -
- To a solution of (S)-methyl 3-(5-benzyl-1H-pyrazole-3-carboxamido)-5-methyl-4-oxo-2,3,4,5-tetrahydrobenzo[b][1,4]oxazepine-7-carboxylate (191.0 mg, 0.440 mmol) in MeOH (5.0 mL) was added hydrazine monohydrate (0.058 mL, 1.199 mmol) as a solution in MeOH (1.0 mL). The reaction mixture was refluxed overnight then it was diluted with EtOAc and partitioned with water. The organic phase was dried over Na2SO4, filtered, then concentrated in vacuo. The residue was purified by FCC (MeOH-DCM: 0-7.0%]) to yield the desired the product (119.0 mg, 62.3%). 1H NMR (DMSO-d6) δ: 13.22 (s, 1H), 9.85 (s, 1H), 8.09 (d, J=8.1 Hz, 1H), 7.90 (d, J=2.0 Hz, 1H), 7.73 (dd, J=8.3, 2.0 Hz, 1H), 7.18-7.34 (m, 6H), 6.37 (d, J=1.5 Hz, 1H), 4.84 (dt, J=11.6, 7.8 Hz, 1H), 4.48-4.62 (m, 3H), 4.36-4.47 (m, 1H), 3.99 (s, 2H). MS (m/z) 435.2 (M+H+).
-
- To a suspension of (S)-3-((tert-butoxycarbonyl)amino)-5-methyl-4-oxo-2,3,4,5-tetra-hydrobenzo[b][1,4]oxazepine-7-carboxylic acid (185.0 mg, 0.550 mmol) in DCM (5.0 mL) was added 1-chloro-N,N,2-trimethylprop-1-en-1-amine (88 mg, 0.660 mmol) as a solution in DCM (0.10 ml) dropwise over 1 min. The reaction mixture was stirred at rt for 1 h and became a homogeneous solution. The reaction mixture was cooled in an ice-bath then 3-aminopropanenitrile (154 mg, 2.200 mmol) was added dropwise as a solution in DCM (0.25 mL). After 10 min, the ice-bath was removed then 10% aq citric acid solution was added and the mixture was stirred vigorously for 15 min. The organic phase was separated, washed with sat. aq sodium bicarbonate, brine then dried over Na2SO4 and concentrated in vacuo. The residue was purified by FCC [EtOAc-Hex: 45-80%] to yield the desired product (190.0 mg, 89%). MS (m/z) 389.3 (M+H+).
-
- To a solution of (S)-tert-butyl (7-((2-cyanoethyl)carbamoyl)-5-methyl-4-oxo-2,3,4,5-tetra hydro benzo[b][1,4]oxazepin-3-yl)carbamate (188.0 mg, 0.484 mmol) and pyridine (0.243 mL, 3.00 mmol) in DCM (2.0 mL) was added phosphorus pentachloride (161 mg, 0.774 mmol). The reaction mixture was heated to reflux for 3.0 h. The reaction mixture was cooled to rt then TMSN3 (0.257 mL, 1.936 mmol) was added and the reaction mixture was stirred overnight. At 20 h, 5.0 eq of TMS-N3 followed by 3.0 eq pyridine was added. The reaction mixture was warmed in an oil bath at 45 deg C. for ˜4 h. The reaction mixture was carefully quenched with a few drops of sat. aq. NaHCO3 initially, then after 5 min excess NaHCO3 was added and the mixture was stirred for 15 min. The organic phase was separated and washed with 10% aq citric acid and brine. The organic solution was dried over Na2SO4, filtered and concentrated in vacuo. The residue was purified by FCC (EtOAc-Hex: 50-70%) to yield the desired product (152.0 mg, 72%). 1H NMR (DMSO-d6) δ: 7.87 (d, J=2.0 Hz, 1H), 7.68 (dd, J=8.2, 2.1 Hz, 1H), 7.44 (d, J=8.3 Hz, 1H), 7.21 (d, J=8.6 Hz, 1H), 4.73-4.87 (m, 2H), 4.35-4.54 (m, 3H), 3.24 (t, J=6.3 Hz, 2H), 1.36 (s, 9H). MS (m/z) 414.3 (M+H+).
-
- To a solution of (S)-tert-butyl (7-(1-(2-cyanoethyl)-1H-tetrazol-5-yl)-5-methyl-4-oxo-2,3,4,5-tetrahydrobenzo[b][1,4]oxazepin-3-yl)carbamate (152 mg, 0.368 mmol) in DCM (1.0 mL) was added TFA (0.50 mL, 6.49 mmol). The mixture was stirred at rt for 1 h then the reaction mixture was concentrated in vacuo to a residue that was azeotroped with toluene to yield solid product that was used directly in the next step (149.0 mg, 95%). MS (m/z) 314.2 (M+H+).
-
- To a suspension of (S)-3-(5-benzylisoxazole-3-carboxamido)-5-methyl-4-oxo-2,3,4,5-tetrahydrobenzo[b][1,4]oxazepine-7-carboxylic acid (87.0 mg, 0.206 mmol) in DCM (2.0 mL) was added 1-chloro-N,N,2-trimethylprop-1-en-1-amine (33.1 mg, 0.248 mmol) as a solution in DCM (0.10 ml) dropwise over 1 min. The reaction mixture was stirred at rt for 1 h and became a homogeneous solution. The reaction mixture was cooled in an ice-bath then 3-aminopropanenitrile (57.9 mg, 0.826 mmol) was added dropwise as a solution in DCM (0.25 mL). The ice-bath was removed then 10% aq citric acid solution was added and the mixture was stirred vigorously for 15 min. The organic phase was separated, washed with sat. aq sodium bicarbonate and brine then dried over sodium sulfate and concentrated in vacuo. The residue was purified by FCC (EtOAc-Hex: 60-80%) to yield the desired product (67.0 mg, 68.5%). MS (m/z) 474.4 (M+H+).
-
- To a solution of (S)-3-((tert-butoxycarbonyl)amino)-5-methyl-4-oxo-2,3,4,5-tetrahydrobenzo[b][1,4] oxazepine-7-carboxylic acid (100.0 mg, 0.297 mmol DMSO (2.0 mL) was added DIEA (0.109 mL, 0.624 mmol) then HATU (113 mg, 0.297 mmol). After 5 min dimethylamine (0.156 mL, 0.312 mmol was added and the reaction mixture was stirred at rt. The reaction mixture was diluted with EtOAc then washed with sat. aq. NH4Cl, water and brine. The organic phase was dried over Na2SO4, filtered and concentrated in vacuo, The residue was purified by FCC [EtOAc-Hex: 15-50%] to yield the desired product (44.0 mg, 40.7%). 1H NMR (DMSO-d6) δ: 7.53 (d, J=1.8 Hz, 1H), 7.27-7.31 (m, 1H), 7.21-7.25 (m, 1H), 7.18 (d, J=8.1 Hz, 1H), 4.27-4.44 (m, 3H), 3.29 (s, 3H), 2.99 (br. s., 6H), 1.35 (s, 9H). MS (m/z) 364.0 (M+H+).
- The following intermediates used for the preparation of titled example compounds were synthesized using methods analogous to the ones described above.
-
- To a suspension of (S)-tert-butyl (5-methyl-7-(N,N-dimethylcarbamoyl)-4-oxo-2,3,4,5-tetrahydrobenzo[b][1,4]oxazepin-3-yl)carbamate (46.0 mg, 0.113 mmol) in DCM (1.5 mL) was added TFA (0.175 mL, 2.269 mmol). The reaction mixture was stirred for 4 h at rt and found to be complete by LC/MS. The reaction mixture was concentrated in vacuo then azeotroped with toluene twice. The residue was used without further purification and used directly in the next step. MS (m/z) 264.0 (M+H+).
- The following intermediates used for the preparation of titled example compounds were synthesized using methods analogous to the ones described above.
-
- A mixture of (S)-3-((tert-butoxycarbonyl)amino)-5-methyl-4-oxo-2,3,4,5-tetrahydro benzo[b][1,4]oxazepine-7-carboxylic acid (78.0 mg, 0.232 mmol), diphenylphosphorylazide (DPPA) (0.070 mL, 0.325 mmol), TEA (0.091 mL, 0.649 mmol), and tBuOH (0.439 mL, 4.59 mmol) in toluene were first heated to 70 deg C. for 30 min then to 100 deg C. for overnight. After 20 min some desired product was observed; the reaction mixture was left overnight and appeared to be complete. The solvent was removed in vacuo then the residue was purified by FCC [E/
H 25%]. (No work-up was needed and the sample was well purified by column.); 1H NMR (DMSO-d6) δ: 9.47 (br. s., 1H), 7.54 (d, J=1.5 Hz, 1H), 7.25 (dd, J=8.5, 1.9 Hz, 1H), 7.15 (d, J=8.8 Hz, 1H), 7.07 (d, J=8.6 Hz, 1H), 4.30-4.39 (m, 1H), 4.20-4.26 (m, 2H), 3.23 (s, 3H), 1.48 (s, 9H), 1.35 (s, 9H). MS (m/z) 408.3 (M+H+). -
- To a suspension of (S)-di-tert-butyl (5-methyl-4-oxo-2,3,4,5-tetrahydrobenzo[b][1,4]oxazepine-3,7-diyl)dicarbamate (75.0 mg, 0.184 mmol) in DCM (1.5 mL) was added HCl (0.782 mL, 3.13 mmol). The reaction mixture was stirred overnight at rt. The solvent was evaporated, then the residue was azeotroped with toluene to obtain a solid residue that was used in the next step without further purification; quantitative yield was assumed. MS (m/z) 208.1 (M+H+).
-
- A solution of 5-benzylisoxazole-3-carboxylic acid (37.4 mg, 0.184 mmol) and HATU (77 mg, 0.202 mmol) in acetonitrile (2.5 mL) (1 mL) was stirred for 1 h. This mixture was added slowly to a second mixture of mixture of (9.0 eq) N-methylmorpholine (0.182 mL, 1.656 mmol) and (S)-3,7-diamino-5-methyl-2,3-dihydrobenzo[b][1,4]oxazepin-4(5H)-one, 2 hydrochloride (51.5 mg, 0.184 mmol). LCMS showed predominantly one product 70% plus bis-coupled 23%. The reaction mixture was diluted with EtOAc then washed with water and brine. After drying over sodium sulfate, and filtering the sample was concentrated in vacuo and purified by FCC [EtOAc-Hex: 20-60%]. 1H NMR (DMSO-d6) δ: 8.78 (d, J=8.3 Hz, 1H), 7.27-7.39 (m, 5H), 6.87 (d, J=8.3 Hz, 1H), 6.58 (d, J=2.8 Hz, 1H), 6.55 (s, 1H), 6.43 (dd, J=8.6, 2.5 Hz, 1H), 5.16 (s, 2H), 4.77-4.87 (m, 1H), 4.36-4.44 (m, 1H), 4.20-4.27 (m, 3H), 3.22 (s, 3H). MS (m/z) 393.2 (M+H+).
-
- To a suspension of (S)-di-tert-butyl (5-methyl-4-oxo-2,3,4,5-tetrahydrobenzo[b][1,4]oxazepine-3,7-diyl)dicarbamate (60.0 mg, 0.147 mmol) DMF (1.0 mL) was added Cs2CO3 (48.0 mg, 0.147 mmol) then MeI (9.21 μL, 0.147 mmol). The reaction mixture was combined with a second batch reaction of 40 mg scale and both were processed together. The reaction mixture was diluted with EtOAc then washed successively with water and brine. The organic phase was dried over Na2SO4 and filtered. The concentrated residue was purified by FCC (EtOAc-Hex: 15-35%) to yield an 86.0 mg mixture of desired product with some starting material (7:3 by LC/MS) that was used in the next step. MS (m/z) 422.4 (M+H+).
-
- To a mixture of (S)-tert-butyl (3-((tert-butoxycarbonyl)amino)-5-methyl-4-oxo-2,3,4,5-tetrahydrobenzo[b][1,4]oxazepin-7-yl)(methyl)carbamate from previous step (86.0 mg, 0.204 mmol) in DCM (3.0 ml) was added HCl (1.020 mL, 4.08 mmol) as a 4 M HCl solution in 1,4 dioxane. The reaction mixture was stirred at rt overnight then additional 0.5 mL of 4M HCl in 1,4 dioxane was added and stirring was continued 1 h. The reaction mixture was concentrated in vacuo, then azeotroped with toluene to yield residual solid having the desired product that was used directly in the next step. MS (m/z) 222.1 (M+H+).
-
- To a suspension of 4,6-dichloropyrimidin-5-amine (0.402 g, 2.448 mmol) and triethylamine (0.751 mL, 5.39 mmol) in BuOH (10 mL) was added (S)-3-amino-2-((tert-butoxycarbonyl)amino)propanoic acid (0.5 g, 2.448 mmol) at rt. The reaction mixture was heated at 90° C. After heating for 1 hr, another 10 mL of BuOH and EtOH (15 mL) were added to the reaction mixture. After heating for 2 days (Note: still some starting material remained), the reaction mixture was concentrated, then diluted with water and EtOAc.
- After separation, the aqueous solution was extracted with EtOAc (×2), and then the aqueous solution was acidified with 1N HCl (pH around 3). After extraction with EtOAc (×3), the combined organic solution was washed with brine, dried over MgSO4. After filtration and evaporation in vacuo, (S)-3-((5-amino-6-chloropyrimidin-4-yl)amino)-2-((tert-butoxycarbonyl)amino)propanoic acid (430 mg, 1.296 mmol, 52.9% yield) was obtained as pale brownish solids, which was used for the next reaction without further purification. MS (m/z) 332.2 (M+H+). 1H NMR (DMSO-d6) δ: 12.67 (br. s., 1H), 7.75 (s, 1H), 7.09 (d, J=8.3 Hz, 1H), 6.85-6.91 (m, 1H), 5.05 (s, 2H), 4.24 (td, J=8.0, 5.3 Hz, 1H), 3.71-3.82 (m, 1H), 3.55-3.68 (m, 1H), 1.35-1.41 (m, 9H).
- The following intermediates used for the preparation of titled example compounds were synthesized using a method analogous to the ones described above using 4,6-dichloro-2-methylpyrimidin-5-amine and 2-chloro-5-fluoro-3-nitropyridine in DMSO as solvent at 70° C.
-
- To a solution of (S)-3-((5-amino-6-chloropyrimidin-4-yl)amino)-2-((tert-butoxycarbonyl)amino)propanoic acid (300 mg, 0.904 mmol) and HATU (378 mg, 0.995 mmol) in DMSO (4.0 mL) was added DIEA (0.237 mL, 1.356 mmol) at rt. After 5 hr at rt, another 378 mg of HATU and 0.24 mL of DIEA were added. After stirring for overnight at rt, water was added, then extracted with EtOAc (×3). The combined organic solution was washed with brine, and dried over MgSO4. After filtration and evaporation in vacuo, the crude material was purified by silica gel column chromatography (Biotage, 25 g cartridge, 10% to 60% EtOAc in hexane) to give (S)-tert-butyl (4-chloro-6-oxo-6,7,8,9-tetrahydro-5H-pyrimido[4,5-b][1,4]diazepin-7-yl)carbamate (125 mg, 0.394 mmol, 43.6% yield) as colorless solid. MS (m/z) 314.2 (M+H+). 1H NMR (DMSO-d6) δ: 9.49 (s, 1H), 8.14-8.22 (m, 1H), 8.07 (s, 1H), 6.95 (d, J=7.1 Hz, 1H), 4.23-4.34 (m, 1H), 3.41-3.51 (m, 2H), 1.39 (s, 9H).
-
- To a suspension of (S)-tert-butyl (4-chloro-6-oxo-6,7,8,9-tetrahydro-5H-pyrimido[4,5-b][1,4]diazepin-7-yl)carbamate (300 mg, 0.956 mmol) in EtOH (5 mL), EtOAc (5.00 mL), and MeOH (7.5 mL) was added Pd/C (153 mg, 0.143 mmol) at rt. The reaction mixture was stirred under H2 balloon for 3 hr. The reaction mixture was filtered and washed with EtOAc and MeOH. The combined filtrate was evaporated in vacuo and the resultant solid (S)-tert-butyl (6-oxo-6,7,8,9-tetrahydro-5H-pyrimido[4,5-b][1,4]diazepin-7-yl)carbamate (260 mg, 0.912 mmol, 95% yield) was used for the next reaction without further purification. MS (m/z) 280.2 (M+H+). 1H NMR (DMSO-d6) δ: 10.32 (s, 1H), 9.41 (br. s., 1H), 8.50 (s, 1H), 8.01 (s, 1H), 7.06 (d, J=7.1 Hz, 1H), 4.36-4.50 (m, 1H), 3.53-3.63 (m, 1H), 3.40-3.52 (m, 1H), 1.40 (s, 9H).
- The following intermediate used for the preparation of titled example compounds was synthesized from (S)-tert-butyl (4-chloro-2,5-dimethyl-6-oxo-6,7,8,9-tetrahydro-5H-pyrimido[4,5-b][1,4]diazepin-7-yl)carbamate using methods analogous to the ones described above.
-
- To a solution of (S)-tert-butyl (4-chloro-6-oxo-6,7,8,9-tetrahydro-5H-pyrimido[4,5-b][1,4]diazepin-7-yl)carbamate (0.7 g, 2.231 mmol) in DMF (10 ml) was added NaH (0.094 g, 2.343 mmol) at rt. After 30 min at rt, iodomethane (0.146 ml, 2.343 mmol) was added and stirred for 1
hr 20 min. The addition of water triggered a precipitation. The solid was filtered and washed with water and hexane. The wet solid was collected and dried at 50° C. in a vacuum oven to give (S)-tert-butyl (4-chloro-5-methyl-6-oxo-6,7,8,9-tetrahydro-5H-pyrimido[4,5-b][1,4]diazepin-7-yl)carbamate (620 mg, 1.797 mmol, 81% yield) as a colorless solid, which was used for the next reaction without further purification. MS (m/z) 328.2 (M+H+). 1H NMR (DMSO-d6) δ: 8.18 (s, 1H), 8.09 (br. d, 1H), 7.02 (d, J=7.6 Hz, 1H), 4.38-4.48 (m, 1H), 3.37-3.54 (m, 2H), 3.12 (s, 3H), 1.38 (s, 9H). - The following intermediates used for the preparation of titled example compounds were synthesized using methods analogous to the ones described above.
-
- To a mixture of (S)-3-amino-7-bromo-4,5-dihydro-1H-benzo[b]azepin-2(3H)-one (800 mg, 3.14 mmol) in DCM (20 mL) was added NEt3 (0.656 mL, 4.70 mmol) and BOC2O (0.764 mL, 3.29 mmol). The mixture was stirred at rt for 1 h, and then was diluted with H2O (20 mL). The organic layer was separated and concentrated. The resulting residue was purified by Isco Combiflash (20%-80% EtOAc/Hexane; 40 g RediSep column). Collected fractions containing the product were combined and concentrated to give the desired product as a white solid (900 mg, 81% yield). 1H NMR (CDCl3) δ ppm 9.21 (s, 1H), 7.32 (d, J=2.0 Hz, 1H), 7.24 (dd, J=8.3, 2.0 Hz, 1H), 6.83 (d, J=8.3 Hz, 4H), 5.68 (d, J=7.8 Hz, 1H), 4.17-4.31 (m, 1H), 2.76-2.95 (m, 1H), 2.52-2.68 (m, 2H), 1.94-2.01 (m, 1H), 1.39 (s, 9H); MS (m/z): 355 (M+H+).
-
- Tert-butyl (7-bromo-2-oxo-2,3,4,5-tetrahydro-1H-benzo[b]azepin-3-yl)carbamate (200 mg, 0.563 mmol), zinc cyanide (99 mg, 0.845 mmol), Pd2dba3 (258 mg, 0.282 mmol), and S-Phos (277 mg, 0.676 mmol) were mixed in a 5 ml microwave vial. The vial was flushed with
N 2 3 times, and then 2 ml of DMF was added. The reaction mixture was microwaved using an Emrys Optimizer (150 W, absorption normal, 120° C., 20 min). The mixture was then filtered and the filtrate was concentrated. The residue was purified by Isco Combiflash (20%-50% EtOAc/Hexane; 40 g RediSep column). Collected fractions containing the product were combined and concentrated to give the desired product as a brown oil. This oil was lyophilized to a pale yellow solid (146 mg, 86% yield). 1H NMR (CDCl3) δ □ppm 9.18 (s, 1H), 7.47-7.59 (m, 2H), 7.13 (d, J=8.1 Hz, 1H), 5.50 (d, J=7.8 Hz, 1H), 4.26 (dt, J=11.4, 7.7 Hz, 1H), 2.84-3.00 (m, 1H), 2.62-2.79 (m, 2H), 1.98-2.12 (m, 1H), 1.41 (s, 9H); MS (m/z): 302 (M+H+). -
- To a mixture of tert-butyl (7-cyano-2-oxo-2,3,4,5-tetrahydro-1H-benzo[b]azepin-3-yl)carbamate (70 mg, 0.234 mmol) in DCM (5 mL) was added HCl (4N in dioxane) (0.31 mL, 1.23 mmol). The reaction mixture was stirred at rt for 1 h. The mixture was then concentrated and dried. This crude material was taken to the next step without purification (47 mg, 100% yield). MS (m/z): 202 (M+H+).
-
- (S)-tert-butyl (7-cyano-2-oxo-2,3,4,5-tetrahydro-1H-benzo[b]azepin-3-yl)carbamate (100 mg, 0.332 mmol) was dissolved in DMF (2 mL), and then sodium azide (64.9 mg, 0.999 mmol) and ammonium chloride (53.8 mg, 1.006 mmol) were added. The mixture was maintained at 120° C. for 16 h. The mixture was filtered and the filtrate was then concentrated and the residue was purified by Isco Combiflash (2%-10% MeOH/CH2Cl2, 10% NEt3 in MeOH; 12 g RediSep column). Collected fractions containing the product were combined and concentrated to give the desired product as a colorless oil (114 mg, 100% yield). MS (m/z): 345 (M+H+).
-
- (S)-tert-butyl (2-oxo-7-(1H-tetrazol-5-yl)-2,3,4,5-tetrahydro-1H-benzo[b]azepin-3-yl)carbamate (114 mg, 0.332 mmol) was dissolved in DCM (2 mL), and then HCl (4 N in dioxane, 0.83 mL) was added. The mixture was maintained at rt for 2 h. The r×n mixture was concentrated to an off-white solid. MS (m/z): 245 (M+H+).
-
- To a mixture of 3-amino-7-bromo-4,5-dihydro-1H-benzo[b]azepin-2(3H)-one (1.7 g, 6.66 mmol) in DCM (50 mL) was added NEt3 (1.393 mL, 10.00 mmol) and BOC2O (1.625 mL, 7.00 mmol). The mixture was maintained at rt for 1 h. The reaction mixture was then diluted with water and the organic layer was separated, concentrated and dried under high vacuum for 16 h. This crude material was taken to the next step without further purification (2.36 g, 100% yield). MS (m/z): 355 (M+H+).
-
- To a mixture of cesium carbonate (3.04 g, 9.33 mmol) and tert-butyl (7-bromo-2-oxo-2,3,4,5-tetrahydro-1H-benzo[b]azepin-3-yl)carbamate (2.36 g, 6.66 mmol) in 1 ml DMF and THF (50 mL) mixed solution was added iodomethane (0.500 mL, 8.00 mmol). The reaction mixture was maintained at rt for 20 h. The mixture was then filtered and the filtrate was concentrated. The residue was purified by Isco Combiflash (10%-50% EtOAc/Hexane; 330 g RediSep column). Collected fractions containing the product were combined and concentrated to give the desired product as a white solid (1.6 g, 65% yield). 1H NMR (CDCl3) δ ppm 7.44 (dd, J=8.5, 2.1 Hz, 1H), 7.37 (d, J=2.3 Hz, 1H), 7.07 (d, J=8.6 Hz, 1H), 5.47 (d, J=7.6 Hz, 1H), 4.23 (dt, J=11.5, 7.5 Hz, 1H), 3.39 (s, 3H), 2.73-2.91 (m, 1H), 2.49-2.65 (m, 2H), 1.87-2.03 (m, 1H), 1.42 (s, 9H); MS (m/z): 369 (M+H+).
-
- Tert-butyl (7-bromo-1-methyl-2-oxo-2,3,4,5-tetrahydro-1H-benzo[b]azepin-3-yl)carbamate (80 mg, 0.217 mmol) was dissolved in 50 ml THF and then cooled to −78° C. N-butyllithium (2.5M in Hexane) (0.217 mL, 0.542 mmol) was added dropwise at −78° C. The reaction mixture was maintained at −78° C. for 30 min, and then was quenched by MeOD. The mixture was washed by sat. NaHCO3(aq). The organic layer was separated and purified by Isco Combiflash (20%-80% EtOAc/Hexane; 12 g RediSep column). Collected fractions containing the product were combined and concentrated to give the desired product as a white solid (64 mg, 100% yield). 1H NMR (400 MHz, CDCl3) δ ppm 1.41 (s, 9H) 1.95 (dd, J=7.45, 3.92 Hz, 1H) 2.51-2.68 (m, 2H) 2.73-2.98 (m, 1H) 3.41 (s, 3H) 4.19-4.34 (m, 1H) 5.37-5.64 (m, 1H) 7.11-7.24 (m, 2H) 7.23-7.38 (m, 1H); MS (m/z): 292 (M+H+).
-
- 1,1-dimethylethyl (1-methyl-2-oxo-2,3,4,5-tetrahydro-1H-1-benzazepin-3-yl)carbamate-dl (64 mg) was dissolved in 2 mL DCM, and then 0.54 mL HCl (4N in dioxane) was added dropwise. The reaction mixture was maintained at rt for 4 h. The mixture was then concentrated and the crude material was taken to the next step without further purification (35 mg, 84% yield). MS (m/z): 192 (M+H+).
-
- Tert-butyl (7-bromo-1-methyl-2-oxo-2,3,4,5-tetrahydro-1H-benzo[b]azepin-3-yl)carbamate (100 mg, 0.271 mmol) was dissolved in 50 ml THF and then cooled to −78° C. N-butyllithium (2.5M in Hexane, 0.271 mL, 0.677 mmol) was added dropwise at −78° C. This mixture was maintained at −78° C. for 30 min, and then
2,2,2-trifluoroacetate (0.129 mL, 1.083 mmol) was added dropwise at −78° C. The mixture turned into colorless solution after addition. This mixture was maintained at −78° C. for 1 h, and then was slowly warmed up to rt. The r×n mixture was quenched by MeOH, and then washed by sat. NH4Cl(aq). The organic layer was separated and concentrated. The residue was purified by Isco CombiFlash (20%-80% EtOAc/Hexane; 40 g RediSep column). Collected fractions containing the product were combined and concentrated to give the desired product as a yellow oil (24 mg, 23% yield). MS (m/z): 404 (M+H+).ethyl - 1,1-Dimethylethyl [1-methyl-2-oxo-7-(2,2,2-trifluoro-1,1-dihydroxyethyl)-2,3,4,5-tetrahydro-1H-1-benzazepin-3-yl]carbamate (125 mg, 0.324 mmol) was dissolved in DCM (2 mL), and then HCl (4N in dioxane) (0.809 mL, 3.24 mmol) was added. The yellow solution was maintained at room temperature for 16 hours. This solution was then concentrated to give the 3-amino-1-methyl-7-(2,2,2-trifluoro-1,1-dihydroxyethyl)-1,3,4,5-tetrahydro-2H-1-benzazepin-2-one as a yellow oil (92 mg, 100% yield). MS (m/z): 304 (M+H+).
-
- (S)-tert-butyl (7-bromo-2-oxo-2,3,4,5-tetrahydro-1H-benzo[b]azepin-3-yl)carbamate (200 mg, 0.563 mmol), bis(pinacolato)diboron (157 mg, 0.619 mmol), PdCl2(dppf)-CH2Cl2 adduct (46.0 mg, 0.056 mmol) and potassium acetate (182 mg, 1.858 mmol) were mixed in 1,4-Dioxane (2 mL). The reaction mixture was put in an Emrys Optimizer (150 W, absorption normal, 120° C., 10 min). The reaction mixture was then partitioned between H2O and DCM. The organic layer was washed by brine, dried over MgSO4 and concentrated to a brown residue. This residue was purified by Isco Combiflash (10%-80% EtOAc/Hexane; 40 g RediSep column). Collected fractions containing the product were combined and concentrated to give the desired product as a white solid (82 mg, 36% yield). MS (m/z): 402 (M+H+).
-
- (S)-tert-butyl (2-oxo-7-(4,4,5,5-tetramethyl-1,3,2-dioxaborolan-2-yl)-2,3,4,5-tetrahydro-1H-benzo[b]azepin-3-yl)carbamate (82 mg, 0.205 mmol) was dissolved in 2 mL DCM, and then HCl (4N in dioxane, 1.408 mL, 5.63 mmol) was added dropwise. The reaction solution was maintained at rt for 16 h. The solution was then concentrated to a yellow oil (62 mg, 100% yield). MS (m/z): 302 (M+H+).
-
- To a magnetically stirred solution of 5-benzyl-4H-1,2,4-triazole-3-carboxylic acid (41.7 mg, 0.205 mmol) in 5 mL DCM at rt was added 4-methylmorpholine (66.4 mg, 0.657 mmol) and HATU (94 mg, 0.246 mmol). A solution of (S)-3-amino-7-(4,4,5,5-tetramethyl-1,3,2-dioxaborolan-2-yl)-4,5-dihydro-1H-benzo[b]azepin-2(3H)-one (62 mg, 0.205 mmol) and in 2 mL DCM was add to this mixture. The reaction mixture was maintained at rt for 16 h. The crude mixture was then purified by Isco Combiflash (20%-50% EtOAc/Hexane; 40 g RediSep column). Collected fractions containing the product were combined and concentrated to give the desired product as a yellow solid (65 mg, 65% yield). MS (m/z): 488 (M+H+).
-
- (S)-tert-butyl (8-methoxy-4-oxo-2,3,4,5-tetrahydrobenzo[b][1,4]oxazepin-3-yl)carbamate (300 mg, 0.973 mmol) was dissolved in DCM (15 mL) and cooled in an ice/brine bath. Then boron tribromide (2.92 mL, 2.92 mmol) was added and reaction was stirred cooled for 10 minutes. Removed ice bath and stirred at rt for 60 minutes. Added another 2.0 mL BBr3 and stirred for 45 minutes, then added another 2 mL BBr3 and stirred for another 20 minutes. Reaction was cooled in an ice bath, quenched with 5 mL satd. NaHCO3 and stirred vigorously for 5 minutes. The pH of the aqueous was ˜7-8. The layers were separated and aqueous was extracted with 10% MeOH/DCM: both organics contained impurities and aqueous contained majority product. Concentrated aqueous to give 2.4 g crude solid (contained inorganic salts). Used as is in next step. MS (m/z) 195.0 (M+H+).
-
- (S)-3-amino-7-bromo-5-methyl-2,3-dihydrobenzo[b][1,4]oxazepin-4(5H)-one (50.5 mg, 0.186 mmol), (1H-pyrazol-3-yl)boronic acid (31.3 mg, 0.279 mmol), sodium carbonate (59.2 mg, 0.559 mmol) and Pd(PPh3)4 (21.53 mg, 0.019 mmol) were combined in DME (2 mL) and Water (0.7 mL) and reaction was heated at 85° C. in oil bath for 3 hours. After 2 hours, more Pd(PPh3)4 (15 mg) and boronic acid (15 mg) were added. After 3 hours in oil bath, reaction was put in microwave at 120° C. for 15 min. Reaction was partitioned between 10% MeOH/DCM and water. Concentrated organics and purified by Biotage (4 g silica column; 0.5-5% MeOH/DCM (plus NH4OH), 15 min.) to give 30 mg light yellow oil in 60% yield. 1H NMR (DMSO-d6) δ: 7.79 (m, 2H), 7.66 (m, 1H), 7.19 (m, 1H), 6.76 (m, 1H), 4.27 (m, 1H), 4.00 (m, 1H), 3.65 (m, 1H), 3.35 (s, 3H), 1.72 (br. s., 2H); MS (m/z) 259.1 (M+H+).
-
- (S)-3-amino-7-bromo-5-methyl-2,3-dihydrobenzo[b][1,4]oxazepin-4(5H)-one (100 mg, 0.369 mmol), 1H-pyrazole (50.2 mg, 0.738 mmol) and potassium carbonate (153 mg, 1.107 mmol) were added to 1,4-Dioxane (2.0 mL) and mixture was degassed for 10 minutes under nitrogen. Then copper(I) iodide (35.1 mg, 0.184 mmol) and N1,N2-dimethylethane-1,2-diamine (0.020 mL, 0.184 mmol) were added and mixture was heated at 100° C. for 3 days. Cooled to rt, diluted with water and 10% MeOH/DCM and separated layers. Concentrated organics and purified by Biotage (12 g silica column; 0.5-3% MeOH/DCM (plus NH4OH), 15 min.; 3-4.5%, 3 min; 4.5% 5 min.) to give 18 mg light brown solid in 19% yield. 1H NMR (DMSO-d6) δ: 8.54 (d, J=2.5 Hz, 1H), 7.85 (d, J=2.5 Hz, 1H), 7.76 (d, J=1.5 Hz, 1H), 7.69 (dd, J=8.7, 2.7 Hz, 1H), 7.27 (d, J=8.8 Hz, 1H), 6.54-6.59 (m, 1H), 4.29 (dd, J=9.9, 7.6 Hz, 1H), 4.02 (t, J=10.7 Hz, 1H), 3.68 (br. s., 1H), 3.36 (s, 3H), 1.75 (br. s., 2H); MS (m/z) 259.1 (M+H+).
-
- Polymer bound PPh3 (3 mmol/g loading, 2.5 eq, 330 mg), (S)-tert-butyl (8-hydroxy-2-oxo-2,3,4,5-tetrahydro-1H-benzo[b]azepin-3-yl)carbamate (130 mg, 0.400 mmol) and 2-(pyrrolidin-1-yl)ethanol (0.094 mL, 0.800 mmol) were combined in THF (4 mL). Next added di-tert-butyl azodicarboxylate (184 mg, 0.800 mmol) and stirred mixture at rt for 3 days. Added 0.5 eq more of the following reagents: polymer bound PPh3, di-tert-butyl azodicarboxylate and 2-(pyrrolidin-1-yl)ethanol and stirred for another 24 hours. Reaction was filtered through a small plug of Celite, rinsing with 10% MeOH/DCM. Filtrate was concentrated, partitioned between DCM and 6N NaOH and layers were separated. Crude was concentrated and purified by Biotage (4 g silica column; 1-5% MeOH/DCM (plus NH4OH), 15 min.) to give 74 mg white foam in 46% yield. 1H NMR (DMSO-d6) δ: 9.64 (s, 1H), 7.15 (d, J=8.3 Hz, 1H), 6.97 (d, J=8.3 Hz, 1H), 6.70 (dd, J=8.3, 2.5 Hz, 1H), 6.57 (d, J=2.5 Hz, 1H), 3.96-4.10 (m, 2H), 3.88 (dt, J=11.9, 8.3 Hz, 1H), 2.77 (t, J=5.9 Hz, 2H), 2.54-2.62 (m, 2H), 2.53 (m, 1H), 2.09-2.22 (m, 2H), 1.95-2.07 (m, 2H), 1.62-1.71 (m, 5H), 1.34 (s, 9H); MS (m/z) 390.3 (M+H+).
-
- To a mixture of 4-chloropicolinic acid (1 g, 6.35 mmol) and butan-1-ol (5.80 ml, 63.5 mmol) was added sulfuric acid (0.101 ml, 1.904 mmol) and heated to 80° C. for 2 days. After cooling down to rt, the reaction mixture was diluted with water and neutralized with 1N NaOH solution to pH 5-6, then extracted with EtOAc (×3). After drying over MgSO4, filtration, and evaporation in vacuo, the residue was purified by Biotage (50 g cartridge, 0% to 40% EtOAc in hexane) to give butyl 4-butoxypicolinate (765 mg, 3.04 mmol, 48.0% yield). MS (m/z) 252.1 (M+H+). 1H NMR (CDCl3) δ: 8.55 (d, J=6.1 Hz, 1H), 7.65 (d, J=2.3 Hz, 1H), 6.95 (dd, J=5.7, 2.7 Hz, 1H), 4.42 (t, J=6.8 Hz, 2H), 4.09 (t, J=6.4 Hz, 2H), 1.77-1.87 (m, 4H), 1.43-1.57 (m, 4H), 0.97-1.03 (m, 6H).
- The following intermediates used for the preparation of titled example compounds were synthesized using methods analogous to the ones described above.
-
- 2-(3-Fluorophenyl)acetohydrazide (2.90 g, 17.22 mmol) and ethyl 2-ethoxy-2-iminoacetate (2.5 g, 17.22 mmol) in ethanol (30 mL) was stirred under nitrogen at rt for overnight, the resultant suspension was filtered. The white solid was washed with EtOH and dried under vacuum to give the title compound ethyl 2-amino-2-(2-(2-(3-fluorophenyl)acetyl)hydrazono)acetate (3 g, 11.23 mmol, 65.2% yield) which was used without further purification. MS (m/z) 268 (M+H+).
- The following intermediates used for the preparation of titled example compounds were synthesized using methods analogous to the ones described above.
-
- Ethyl 2-amino-2-(2-(2-(3-fluorophenyl)acetyl)hydrazono)acetate (3 g, 11.23 mmol) in a flask was placed in a pre-heated oil bath at 200° C. for 15 minutes. The melt was allowed to cool, the resultant solid taken up into MeOH (20 mL), and then the solvent was evaporated. The resultant white solid was suspended in ether (30 mL), stirred for 10 minutes, filtered off, washed with ether (40 mL), and dried under vacuum to give the title compound ethyl 5-(3-fluorobenzyl)-4H-1,2,4-triazole-3-carboxylate (1.2 g, 4.81 mmol, 42.9% yield), which was used without further purification. MS (m/z) 250 (M+H+).
- The following intermediates used for the preparation of titled example compounds were synthesized using methods analogous to the ones described above.
-
- To a solution of ethyl 5-benzyl-4H-1,2,4-triazole-3-carboxylate (8.29 g, 35.85 mmol) in THF (100 mL) was added a solution of lithium hydroxide (2.00 g, 84 mmol) in water (20 mL). The mixture was stirred for 20 hours at room temperature. The reaction was concentrated to remove THF and conc. HCl was added until pH ˜2 at which point a solid precipitated out. The suspension was stirred for 15 minutes in an ice/water bath, filtered, rinsed with cold water and dried under vacuum to give 6.93 g (80% yield) of 5-benzyl-4H-1,2,4-triazole-3-carboxylic acid hydrochloride. MS (m/z) 204 (M+H+).
- The following intermediates used for the preparation of titled example compounds were synthesized using methods analogous to the ones described above.
-
- To a solution of ethyl 1H-imidazole-4-carboxylate (1 g, 7.14 mmol), Cs2CO3 (2.56 g, 7.85 mmol) and in N,N-Dimethylformamide (DMF) (5 mL) was 1-(bromomethyl)-3-fluorobenzene (1.349 g, 7.14 mmol). The reaction mixture was stirred at for 5 h. LCMS showed the reaction was completed with product. Added 150 ml of EtOAc and extracted with water, brine and dried over Na2SO4. Evaporated all the solvents to afford the crude product as ethyl 1-(3-fluorobenzyl)-1H-imidazole-4-carboxylate (1.7 g, 6.85 mmol, 96% yield). MS (m/z) 250 (M+H+).
- The following intermediates used for the preparation of titled example compounds were synthesized using methods analogous to the ones described above.
-
- Freshly prepared lithium hydroxide (34.2 mL, 68.5 mmol) was added to a stirring, room temperature solution of ethyl 1-(3-fluorobenzyl)-1H-imidazole-4-carboxylate (1.7 g, 6.85 mmol) in THF (25 mL) under N2. The reaction was then stirred at rt overnight and LCMS showed completed. The reaction was concentrated and then dissolved in H2O (10 mL). 2N HCl was added dropwise until the pH=3. The white solid that precipitated from the reaction was filtered off and washed with cold H2O. The solid was dried under vacuum overnight to obtain title product. 1-(3-fluorobenzyl)-1H-imidazole-4-carboxylic acid (1.2 g, 79.5%). MS (m/z) 221 (M+H+).
- The following intermediates used for the preparation of titled example compounds were synthesized using methods analogous to the ones described above.
-
- To a solution of 1-(4-fluorophenyl)propan-2-one (25 g, 164 mmol) diethyl oxalate (28.8 g, 197 mmol) in toluene (300 mL) stirred under nitrogen at 0° C. was added potassium tert-butoxide (23.97 g, 214 mmol) in toluene (300 mL). The reaction mixture was stirred at OC for 2 more hours and then at rt for over night. LCMS indicated the reaction was completed. Removed all the toluene and dissolved the residue in water and neutralized to pH=6 and extracted with EtOAc twice. The organic phase was combined and washed with brine, and dried over Na2SO4. Removed all the solvents to afford the title compound used without further purification (32 g, 77%). MS (m/z) 253 (M+H+).
- The following intermediates used for the preparation of titled example compounds were synthesized using methods analogous to the ones described above.
-
- Hydrazine (1.095 mL, 34.9 mmol) was added to a stirring room temperature solution of ethyl 5-(4-fluorophenyl)-2,4-dioxopentanoate (8 g, 31.7 mmol) in ethanol (100 mL) under N2. The reaction was then heated to reflux (95 C oil bath) until judged complete by HPLC (3 h). The reaction was concentrated and purified by silica gel chromatography (solid loading, Isco, 0-45% of EtOAc in hexane). Only pure fractions were combined and concentrated to obtain product as ethyl 5-(4-fluorobenzyl)-1H-pyrazole-3-carboxylate (4 g, 16.11 mmol, 50.8% yield). MS (m/z) 249 (M+H+).
- The following intermediates used for the preparation of titled example compounds were synthesized using methods analogous to the ones described above.
-
- Freshly prepared 2M LiOH aqueous solution (64.5 mL, 129 mmol) was added to a stirring, room temperature solution of ethyl 5-(4-fluorobenzyl)-1H-pyrazole-3-carboxylate (4 g, 16.11 mmol) in THF (65 mL) under N2. The reaction was then stirred at rt for 12 hours and LCMS showed 70% completed. Heated to 50 C for 2 h and reaction was completed. The reaction was concentrated and then dissolved in 20 mL H2O. To a stirring aqueous solution, 2N HCl was added dropwise until the pH=4. The white solid that precipitated from the reaction was filtered off and washed with cold H2O. The solid was dried under vacuum overnight (at 40° C.) to obtain title product as 5-(4-fluorobenzyl)-1H-pyrazole-3-carboxylic acid (3 g, 85%). MS (m/z) 221 (M+H+). 1H NMR (DMSO-d6) δ: 12.59-13.70 (m, 1H), 7.01-7.41 (m, 4H), 6.46 (s, 1H), 3.95 (s, 2H).
- The following intermediates used for the preparation of titled example compounds were synthesized using methods analogous to the ones described above.
-
- To a solution of ethyl 3-methyl-1H-pyrazole-5-carboxylate (607 mg, 3.94 mmol) in THF (20 mL) was added KOH (221 mg, 3.94 mmol). After stirring for 1 hr at rt, the reaction mixture turned to the suspension, then 1-(bromomethyl)-4-methylbenzene (729 mg, 3.94 mmol) was added and heated to reflux. After overnight, the reaction mixture was cooled down to rt and concentrated. The residue was subjected to Biotage (cartridge 50 g/pre-wet 5% EtOAc/Hex/eluent: 5% to 25% EtOAc, then maintained 25% EtOAc/Hex) to give ethyl 5-methyl-1-(4-methylbenzyl)-1H-pyrazole-3-carboxylate (833 mg, 3.16 mmol, 80% yield) as a desired product and the regioisomer ethyl 3-methyl-1-(4-methylbenzyl)-1H-pyrazole-5-carboxylate (58 mg, 0.220 mmol, 5.59% yield). Ethyl 5-methyl-1-(4-methylbenzyl)-1H-pyrazole-3-carboxylate: 1H NMR (CDCl3) δ: 7.13 (d, J=7.1 Hz, 2H), 7.03 (d, 2H), 6.62 (br. s., 1H), 5.36 (br. s., 2H), 4.42 (dd, J=7.1, 1.3 Hz, 2H), 2.34 (br. s., 3H), 2.19 (s, 3H), 1.35-1.50 (m, 3H); MS (m/z) 259.1 (M+H+). The regioisomer ethyl 3-methyl-1-(4-methylbenzyl)-1H-pyrazole-5-carboxylate: 1H NMR (CDCl3) d: 7.05-7.24 (m, 4H), 6.66 (br. s., 1H), 5.67 (br. s., 2H), 4.19-4.42 (m, 2H), 2.32 (d, J=3.0 Hz, 6H), 1.27-1.40 (m, 3H).
- The following intermediates used for the preparation of titled example compounds were synthesized using methods analogous to the ones described above.
-
- To a solution of ethyl 5-methyl-1-(4-methylbenzyl)-1H-pyrazole-3-carboxylate (830 mg, 3.21 mmol) in THF (3.0 mL) and water (3.0 mL) was added lithium hydroxide, H2O (539 mg, 12.85 mmol) at rt. After stirring for overnight at rt, the reaction mixture was concentrated in vacuo. The aqueous solution was diluted with water (5 mL) and acidified with 1N HCl (about 5.1 mL) to pH 3-4. The resultant white solid was collected and dried under a vacuum oven to give 5-methyl-1-(4-methylbenzyl)-1H-pyrazole-3-carboxylic acid (670 mg, 2.88 mmol, 90% yield) as white solids. MS (m/z) 231.1 (M+H+). 1H NMR (DMSO-d6) d: 12.58 (br. s., 1H), 7.16 (d, J=7.8 Hz, 2H), 7.03 (d, J=7.8 Hz, 2H), 6.51 (s, 1H), 5.32 (s, 2H), 2.27 (s, 3H), 2.22 (s, 3H).
- The following intermediates used for the preparation of titled example compounds were synthesized using methods analogous to the ones described above.
-
- To a solution of ethyl 2H-tetrazole-5-carboxylate, sodium salt (800 mg, 4.85 mmol) in DMF (8 mL) was added (bromomethyl)benzene (1.151 mL, 9.69 mmol) at rt. After stirring for 48 hr at rt, Et3N (1.013 mL, 7.27 mmol) was added to the reaction mixture, then stirred for overnight. After adding water, the reaction mixture was extracted with EtOAc. The combined organic solution was washed with water and brine, dried over MgSO4. After filtration and concentration, the residue was subjected to Biotage (50 g of silica gel cartridge; eluent: 5% to 15% EtOAc, then maintained 15% EtOAc/Hex) to give ethyl 2-benzyl-2H-tetrazole-5-carboxylate (342 mg, 1.473 mmol, 30.4% yield, unoptimized) as a major product: MS (m/z) 233.1 (M+H+); 1H NMR (DMSO-d6) d: 7.36-7.46 (m, 5H), 6.05 (s, 2H), 4.40 (q, J=7.1 Hz, 2H), 1.33 (t, 3H). The regioisomer ethyl 1-benzyl-1H-tetrazole-5-carboxylate (87 mg, 0.375 mmol, 7.73% yield) was obtained as a minor product: 1H NMR (DMSO-d6) d: 7.29-7.43 (m, 5H), 5.92 (s, 2H), 4.44 (q, J=7.1 Hz, 2H), 1.33 (t, 3H) (Note: some mixture of both products was also obtained).
- The following intermediate used for the preparation of titled example compounds was synthesized using methods analogous to the ones described above.
-
- To a solution of ethyl 2-benzyl-2H-tetrazole-5-carboxylate (338 mg, 1.455 mmol) in THF (3 mL) and water (3.00 mL) was added LiOH (183 mg, 4.37 mmol). After stirring for 1 hr at rt, the reaction mixture was concentrated in vacuo and the residual aqueous solution was acidified with 1N HCl (around pH ˜2-3). A small amount of white solids was precipitated out. After collecting solids, the aqueous solution was placed in a hood and allowed to slow evaporation of water. Another white solid was obtained (followed this step two more times. Note: some product was still detected in water). The combined solid was dried in a vacuum oven at 50° C. to give 2-benzyl-2H-tetrazole-5-carboxylic acid (167.4 mg, 0.820 mmol, 56.3% yield) as white solids. MS (m/z) 205.0 (M+H+). 1H NMR (DMSO-d6) δ: 14.30 (br. s., 1H), 7.33-7.49 (m, 5H), 6.03 (s, 2H).
- The following intermediates used for the preparation of titled example compounds were synthesized using methods analogous to the ones described above.
-
- Ethyl 5-benzoylisoxazole-3-carboxylate (630 mg, 2.57 mmol) was dissolved in 2 mL of dichloroethane (DCE), and then a solution of DAST (0.944 mL, 7.71 mmol) in 2 mL of DCE was added dropwise at 0° C. The reaction mixture was maintained at 50° C. for 16 h, and then the mixture was concentrated. The resulting brown residue was purified by Isco Combiflash (10%-30% EtOAc/Hexane; 80 g Isco RediSep column). Collected fractions containing the product were combined and concentrated to give the desired product as a yellow oil (207 mg, 31% yield). 1H NMR (CDCl3) δ ppm 7.56-7.64 (m, 2H), 7.45-7.56 (m, 3H), 6.87 (s, 1H), 4.45 (q, J=7.2 Hz, 4H), 1.41 (t, J=7.1 Hz, 3H); MS (m/z): 268 (M+H+).
-
- Ethyl 5-(difluoro(phenyl)methyl)isoxazole-3-carboxylate (207 mg, 0.775 mmol) was dissolved in 2 mL of THF, and then lithium hydroxide monohydrate (48.8 mg, 1.162 mmol) was added. The reaction mixture was maintained at rt for 16 h. The r×n mixture was neutralized by adding a solution of 4N HCl/dioxane dropwise. The mixture was then filtered and the filtrate was concentrated to a yellow oil (185 mg, 100% yield). MS (m/z): 240 (M+H+).
-
- Ethyl 5-benzoylisoxazole-3-carboxylate (400 mg, 1.631 mmol) was dissolved in 5 mL MeOH, and then NaBH4 (93 mg, 2.447 mmol) was added at 0° C. The reaction mixture was maintained at rt for 16 h. The mixture was concentrated, and then partitioned between sat. NaHCO3(aq) and DCM. The organic layer was concentrated and dissolved in 1 mL THF. An aqueous solution of LiOH (1.2 mL, 50 mg/ml solution) was added to this THF solution. The mixture was maintained at rt for 16 h. A solution of HCl (0.8 mL, 4N in dioxane) was added to the mixture. The organic layer was separated and concentrated to a yellow oil (190 mg, 53% yield). 1H NMR (DMSO-d6) δ ppm 7.26-7.54 (m, 6H), 6.50 (s, 2H), 5.91 (s, 1H); MS (m/z): 220 (M+H+).
-
- A solution of the ethyl 2-chloro-2-(hydroxyimino)acetate (39.1 g, 258 mmol) was dispensed into a solution of prop-2-yn-1-ylbenzene (10 g, 86 mmol) and triethylamine (29.4 mL, 430 mmol) in CH3CN (300 mL). After standing for overnight at 80° C. the solvent was removed in vacuum. The crude was dissolved in EtOAc (200 mL) and was washed with saturated sodium bicarbonate solution (50 mL), water (50 mL) and saturated brine (50 mL). The organic phase was separated and dried over sodium sulphate and evaporated in vacuo to give ethyl 5-benzylisoxazole-3-carboxylate (6 g, 25.9 mmol, 30% yield) as a yellow solid. Used directly in the next step without further purification. MS (m/z): 232 (M+H+).
-
- A solution of the ethyl 5-benzylisoxazole-3-carboxylate (6 g, 25.9 mmol) was dispensed into a solution of the sodium hydroxide (2.1 mL, 78 mmol) in methanol (100 mL) and water (10 mL). After standing for 2 h at 20° C., the solvent was removed in vacuum. The residue was acidified with dilute HCl (20 mL) and then extracted with EtOAc (50 mL). The organic phase was washed with water (20 mL) and saturated brine (20 mL), and dried over sodium sulphate. Evaporation in vacuo gave 5-benzylisoxazole-3-carboxylic acid (3.2 g, 15.31 mmol, 59.0% yield) as a yellow solid. 1H NMR (DMSO-d6) δ ppm 14.0 (bs, 1H), 7.2-7.4 (m, 5H), 6.6 (s, 1H), 4.2 (s, 2H); MS (m/z): 204 (M+H+).
-
- To a solution of (S)-tert-butyl (5-methyl-4-oxo-2,3,4,5-tetrahydrobenzo[b][1,4]oxazepin-3-yl)carbamate (28 g, 96 mmol)) in DCM (300 mL) was added 4M HCl (71.8 mL, 287 mmol) and reaction stirred under nitrogen at room temp for 3 hr. The solvents were evaporated to dryness to yield the crude compound which was triturated with diethyl ether (200 mL), filtered and dried in vacuo to afford (S)-3-amino-5-methyl-2,3-dihydrobenzo[b][1,4]oxazepin-4(5H)-one hydrochloride (22.2 g, 97 mmol, 101% yield) as brown solid. MS (m/z): 193.20 (M+H+).
- The following intermediates used for the preparation of titled example compounds were synthesized using methods analogous to the ones described above.
-
- To a solution of 1-(4-chlorophenyl)propan-2-one (10 g, 59.3 mmol) in THF (150 mL) in an ice bath was added NaH (1.423 g, 59.3 mmol) portion wise over 30 min. Dimethyl oxalate (7.0 g, 59.3 mmol) was added at room temperature for 1 hour and the mixture was stirred at 25° C. for 2 hours. The solvent was removed in vacuo and the residue was dissolved in EtOAc which was washed with water. The aqueous phase was separated and extracted with EtOAc. The combined organic phases were dried over Na2SO4, filtered, and concentrated in vacuo to give methyl 5-(4-chlorophenyl)-2,4-dioxopentanoate (15 g, 50.1 mmol, 84% yield) as an oil which was used in next step without further purification. MS (m/z): 255/257 (M+H+).
- To a solution of methyl 5-(4-chlorophenyl)-2,4-dioxopentanoate (5 g, 19.63 mmol) in ethanol (80 mL) was added hydroxylamine hydrochloride (1.364 g, 19.63 mmol) and then the mixture was stirred at 78° C. for 2 hours monitored. The solvent was removed in vacuo and the residue was dissolved in EtOAc which was washed with water. The aqueous phase was separated and extracted with EtOAc. The combined organic phases were dried over Na2SO4, filtered, and concentrated in vacuo to give methyl 5-(4-chlorobenzyl)isoxazole-3-carboxylate (4.7 g, 16.81 mmol, 86% yield) as a solid, which was used in next step without further purification. MS (m/z): 252/254 (M+H+).
- To a solution of methyl 5-(4-chlorobenzyl)isoxazole-3-carboxylate (100 mg, 0.397 mmol) in THF (5 mL) in an ice bath was added a solution of NaOH (15.89 mg, 0.397 mmol) in water (5 mL). The mixture was stirred at room temperature for 2 hours. The solvent was removed in vacuo and the residue was dissolved in water. The aqueous solution was acidified by addition of 1N HCl to pH=2-3. The resulting solid which deposited was collected by filtration and dried in vacuo to give pure 5-(4-chlorobenzyl)isoxazole-3-carboxylic acid (90 mg, 0.360 mmol, 91% yield) as a white solid. MS (m/z): 238/240 (M+H+).
-
- To a mixture of ethyl 1-acetyl-5-methyl-1H-pyrazole-3-carboxylate (2 g, 10.19 mmol) and NBS (1.996 g, 11.21 mmol) in CCl4 (20 mL) was added benzoic peroxyanhydride (0.123 g, 0.51 mmol) at room temperature followed by reflux for 5 hours. LCMS showed product with some starting material left. Removed all the solvent and the residue was purified by flash chromatography by solid loading (eluting 0-30% of ethyl acetate in hexane) to afford the product. Combined the fractions and removed all the solvents to afford the crude product as ethyl 1-acetyl-5-(bromomethyl)-1H-pyrazole-3-carboxylate (1.6 g, 5.82 mmol, 57.1% yield) MS (m/z) 232/234 (M+H+, −Acetyl)
- To a solution of N-methylaniline (42.9 mg, 0.4 mmol) in DMF (2 mL) at 20° C. was added NaH (21.84 mg, 0.546 mmol). The reaction mixture was stirred for 5 min. Then ethyl 1-acetyl-5-(bromomethyl)-1H-pyrazole-3-carboxylate (100 mg, 0.364 mmol) was added and the mixture were stirred at room temperature for 3 more hours. LCMS indicated the reaction was completed. The reaction was quenched with drop of water and the solvents were removed to dryness. The crude ethyl 1-acetyl-5-((methyl(phenyl)amino)methyl)-1H-pyrazole-3-carboxylate (100 mg, 91%) was used for hydrolysis without further purification. MS (m/z) 260 (M+H+−Acetyl).
- To a solution of ethyl 1-acetyl-5-((methyl(phenyl)amino)methyl)-1H-pyrazole-3-carboxylate (110 mg, 0.365 mmol) in THF (2 mL) was added a solution of LiOH (1.825 mL, 3.65 mmol) in water (1.0 mL). The reaction mixture was stirred at room temperature for 16 hours and then heated to 50° C. for 4 h at which time LCMS showed hydrolysis was completed. Cooled to 0° C. and added 1N HCl until pH=2. The resulting solid was filtered and dried under vacuum. The 5-((methyl(phenyl)amino)methyl)-1H-pyrazole-3-carboxylic acid (80 mg, 95%) was used as such without further purification. MS (m/z)=231 (M+H+)
-
- Freshly prepared LiOH (11.03 mL, 22.07 mmol) was added to a stirring, room temperature solution of ethyl 5-(3-fluorobenzyl)-4H-1,2,4-triazole-3-carboxylate (1.1 g, 4.41 mmol) in THF (10 mL) under N2. The reaction was then stirred at rt for 5 h and LCMS showed the reaction was complete. The reaction was concentrated and then dissolved in 10.0 mL H2O. 2N HCl was added dropwise until the pH=4. The white solid that precipitated from the reaction was filtered off and washed with cold H2O. The solid was dried under vacuum overnight to obtain title product. 5-(3-fluorobenzyl)-4H-1,2,4-triazole-3-carboxylic acid (750 mg, 3.39 mmol, 77% yield). MS (m/z) 222 (M+H+).
-
- To a suspension of NaH (72.1 mg, 1.803 mmol) in THF (25 mL) stirred under nitrogen at room temp was added a solution of (S)-tert-butyl (2-oxo-2,3,4,5-tetrahydro-1H-benzo[b][1,4]diazepin-3-yl)carbamate (500 mg, 1.803 mmol) in THF (10 mL) dropwise during 5 min. The reaction mixture was stirred at room temperature for 1 hour and then iodomethane (0.114 mL, 1.821 mmol) was added dropwise during 2 min. The reaction mixture was stirred at room temperature for 36 hours. Reaction was quenched with water (40 mL) and extracted with EtOAc (3×75 mL). The organic layer was dried over anh. Na2SO4 and concentrated to provide the crude product (700 mg). This was purified by silica gel column using 25-50% EtOAc in Hexane to afford (S)-tert-butyl (1-methyl-2-oxo-2,3,4,5-tetrahydro-1H-benzo[b][1,4]diazepin-3-yl)carbamate (340 mg, 1.162 mmol, 64% yield) as off-white solid. MS (m/z) 192.15 ([M-BOC]+H+).
-
- To a solution of (S)-tert-butyl (2-oxo-2,3,4,5-tetrahydro-1H-benzo[b][1,4]diazepin-3-yl)carbamate (167 mg, 0.602 mmol) in DMF (2 mL) was added Cs2CO3 (785 mg, 2.409 mmol) followed by MeI (0.113 mL, 1.807 mmol). The reaction mixture was stirred at room temperature overnight. The solution was diluted with EtOAc and washed with water and brine, dried over Na2SO4 and concentrated. The crude material was purified by biotage column (10 to 60% EA/Hexane) to provide (S)-tert-butyl (1,5-dimethyl-2-oxo-2,3,4,5-tetrahydro-1H-benzo[b][1,4]diazepin-3-yl)carbamate (123 mg, 0.403 mmol, 66.9% yield).
-
- To a suspension (S)-tert-butyl (2-oxo-2,3,4,5-tetrahydro-1H-benzo[b][1,4]diazepin-3-yl)carbamate (500 mg, 1.803 mmol) and potassium carbonate (336 mg, 2.434 mmol) in acetone (10 mL) was added iodomethane (1.240 mL, 19.83 mmol). The reaction mixture was sealed and heated 80° C. using CEM Microwave operator for 40 min. After cooling, to the reaction mixture was filtered and concentrated under reduced pressure to afford the crude product (600 mg). The crude was purified by silica gel (100-200 mesh) flash chromatography using 20-40% ethyl acetate in hexane as an eluent to afford (S)-tert-butyl (1-methyl-4-oxo-2,3,4,5-tetrahydro-1H-benzo[b][1,4]diazepin-3-yl)carbamate (390 mg, 1.298 mmol, 72.0% yield). TLC: 30% EtOAc in Hexane; Rf: 0.35. MS (m/z) 290.21 (M+H+).
-
- To a suspension of 4-fluorobenzohydrazide (18 g, 117 mmol) in 1,1,1-triethoxyethane (85 ml, 467 mmol) was heated at 150° C. After refluxing for 24 hr at 150° C., the reaction solution was cooled down to room temperature, then a solid precipitated out. After flushing with nitrogen for 2-3 minutes, the resultant solid was treated with 1-2% ethyl ether in hexane. After collecting and washing solid with hexane followed by drying in vacuo at 50° C., 2-(4-fluorophenyl)-5-methyl-1,3,4-oxadiazole (17.80 g, 99 mmol, 85% yield) was obtained as light brown solid: MS (m/z) 179.0 (M+H+); 1H NMR (DMSO-d6) δ: 7.97-8.10 (m, 2H), 7.38-7.51 (m, 2H), 2.58 (s, 3H).
- To a suspension (a partial solution, close to dark red color) of 2-(4-fluorophenyl)-5-methyl-1,3,4-oxadiazole (2 g, 11.23 mmol) in concentrated (fuming) H2SO4 (8 ml) at 0° C. was added nitric acid (1.394 ml, 28.1 mmol) (the solution color was changed to orange yellow). After 30 min at 0° C., the reaction solution was poured into cold water (around 300 ml). The resultant solid was collected by filtration and washed with water. The light tan solid was dried over in a vacuum oven at 50° C. for overnight to give 2-(4-fluoro-3-nitrophenyl)-5-methyl-1,3,4-oxadiazole (2.28 g, 10.22 mmol, 91% yield); MS (m/z) 224.0 (M+H+); 1H NMR (DMSO-d6) δ: 8.61 (dd, J=7.1, 2.3 Hz, 1H), 8.38 (ddd, J=8.8, 4.3, 2.3 Hz, 1H), 7.84 (dd, J=11.1, 8.8 Hz, 1H), 2.62 (s, 3H).
- The following intermediates used for the preparation of titled example compounds were synthesized using methods analogous to the ones described above.
-
- A mixture of (S)-ethyl 3-((tert-butoxycarbonyl)amino)-5-methyl-4-oxo-2,3,4,5-tetrahydro benzo[b] [1,4] oxazepine-8-carboxylate (0.45 g, 1.235 mmol) and anhydrous hydrazine (0.465 mL, 14.82 mmol) in EtOH (5.0 mL) was heated to reflux overnight. The solvent was removed in vacuo then the resulting residue was suspended in ethyl ether, filtered and washed with ethyl ether having 5% ethanol to yield (S)-tert-butyl (8-(hydrazinecarbonyl)-5-methyl-4-oxo-2,3,4,5-tetrahydrobenzo[b][1,4]oxazepin-3-yl)carbamate (253.0 mg, 58.5%); MS (m/z): 351.3 (M+H+).
- A suspension of (S)-tert-butyl (8-(hydrazinecarbonyl)-5-methyl-4-oxo-2,3,4,5-tetrahydrobenzo[b][1,4]oxazepin-3-yl)carbamate (253.0 mg, 0.722 mmol) in 1,1,1-triethoxyethane (2896 μl, 15.89 mmol) was heated to 150° C. under nitrogen. After 2 h the reaction mixture was cooled to room temperature. On cooling, the solid product precipitated and was collected by filtration then washed with a small amount of ethyl ether to give (S)-tert-butyl (5-methyl-8-(5-methyl-1,3,4-oxadiazol-2-yl)-4-oxo-2,3,4,5-tetrahydrobenzo[b][1,4]oxazepin-3-yl)carbamate (165.0 mg, yield 61%). 1H NMR (DMSO-d6) d: 7.89 (dd, J=8.5, 1.9 Hz, 1H), 7.66-7.78 (m, 2H), 7.25 (d, J=6.6 Hz, 1H), 4.42 (br. s., 3H), 3.33 (br. s., 3H), 2.60 (s, 3H), 1.35 (s, 9H); MS (m/z): 375.3 (M+H+).
- To a solution of (S)-tert-butyl (5-methyl-8-(5-methyl-1,3,4-oxadiazol-2-yl)-4-oxo-2,3,4,5-tetrahydrobenzo[b][1,4]oxazepin-3-yl)carbamate (165.0 mg, 0.441 mmol) in DCM (3.0 mL) was added a solution of 4M HCl in 1,4 dioxane (1.653 mL, 6.61 mmol). The mixture was stirred at room temperature for 1 h. The solid product precipitated from the reaction mixture and it was collected by filtration, then washed with ethyl ether, to yield (S)-3-amino-5-methyl-8-(5-methyl-1,3,4-oxadiazol-2-yl)-2,3-dihydrobenzo[b][1,4]oxazepin-4(5H)-one, bis hydrochloride-chloride salt (150.0 mg, 89%). MS (m/z): 275.1 (M+H+).
-
- To a solution of 2-phenylacetohydrazide (20 g, 133 mmol) in ethanol (75 mL) and diethyl ether (250 mL) was added ethyl 2-ethoxy-2-iminoacetate (20 g, 138 mmol). Stirred at room temperature for 4 hours. A precipitate started to form after 10 minutes. The resulting solid was filtered off, rinsed with diethyl ether and dried to give ethyl 2-amino-2-(2-(2-phenylacetyl)hydrazono)acetate (27.85 g, yield 82%) as a white solid, which was used without further purification. MS (m/z) 250 (M+H+).
-
- Ethyl 2-amino-2-(2-(2-phenylacetyl)hydrazono)acetate (27.85 g, 109 mmol) was suspended in xylenes (300 mL) and heated at 170° C. for 24 hours with a Dean-Stark trap. Initially a very thick mixture formed which became light yellow and homogeneous as the reaction progressed. The reaction was cooled to room temperature and a solid precipitated out. Diethyl ether was added and the reaction mixture stirred for 15 minutes in an ice/water bath. The solid was filtered off, rinsing with diethyl ether and hexanes and dried to give ethyl 5-benzyl-4H-1,2,4-triazole-3-carboxylate (24.67 g, 95% yield) as a white solid, which was used without further purification. MS (m/z) 232 (M+H+).
-
- To a solution of 1,3,5-trifluoro-2-methylbenzene (6.0 g, 41.1 mmol) in sulfuric acid (46.0 ml, 862 mmol) stirred at −10° C. was added a mixture of nitric acid (1.835 ml, 41.1 mmol) in sulfuric acid (15.32 ml, 287 mmol) dropwise over 10 min. The reaction mixture was stirred at −10 to 15° C. for 1.5 hr, at which time TLC indicated starting material was consumed. The reaction mixture was poured on to ice-water (500 mL), extracted with DCM (250 mL), and the organic layer was washed with water (100 mL), dried over anh. Na2SO4 and concentrated to afford 1,3,5-trifluoro-2-methyl-4-nitrobenzene (6.9 g, 31.3 mmol, 76% yield) as yellow liquid. TLC: 20% EtOAc in hexane; Rf: 0.65. GCMS (m/z) 191 (M+).
- To a solution of 1,3,5-trifluoro-2-methyl-4-nitrobenzene (6.9 g, 36.1 mmol) and NaH (2.89 g, 72.2 mmol) in DMF (70 mL) stirred under nitrogen at 0° C. was added a solution of (S)-2-((tert-butoxycarbonyl)amino)-3-hydroxypropanoic acid (7.41 g, 36.1 mmol) in DMF (70 mL) dropwise during 5 min. The reaction mixture was stirred at 0-25° C. for 3 hr at which time TLC indicated starting material was consumed. 0.5M HCl (250 mL) was then added, and the aqueous phase extracted with EtOAc (500 mL). The organic layer was washed with water (100 mL×2), followed by brine (100 mL). The organic layer was dried over anh. Na2SO4, filtered and concentrated to yield the crude (S)-2-((tert-butoxycarbonyl)amino)-3-(3,5-difluoro-2-methyl-6-nitrophenoxy)propanoic acid and (S)-2-((tert-butoxycarbonyl)amino)-3-(3,5-difluoro-4-methyl-2-nitrophenoxy)propanoic acid (1:1 mixture) (12 g, 32 mmol, 89% yield) as yellow gum. This crude compound was carried over to next step. TLC: 10% MeOH in DCM; Rf: 0.3. MS (m/z) 375 (M−H+).
- To a solution of (S)-2-((tert-butoxycarbonyl)amino)-3-(3,5-difluoro-2-methyl-6-nitrophenoxy)propanoic acid compound and (S)-2-((tert-butoxycarbonyl)amino)-3-(3,5-difluoro-4-methyl-2-nitrophenoxy)propanoic acid (1:1) (12 g, 32 mmol) in methanol (250 mL) stirred under nitrogen at room temp was added palladium on carbon (2.55 g, 2.392 mmol) portionwise during 5 min. The contents were stirred under hydrogen at a pressure of 60 PSI at 25° C. for 3 hr, at which time TLC indicated starting material was consumed. The reaction mixture was filtered through a celite pad, washed with excess methanol (300 mL) and concentrated to provide the crude (S)-3-(2-amino-3,5-difluoro-4-methylphenoxy)-2-((tert-butoxycarbonyl)amino)propanoic acid compound and (S)-3-(2-amino-3,5-difluoro-6-methylphenoxy)-2-((tert-butoxycarbonyl)amino)propanoic acid (1:1 mixture) (9 g, 92% recovery). TLC: 10% MeOH in DCM; Rf: 0.4. This compound was used to next step without further purification.
- To a solution of (S)-3-(2-amino-3,5-difluoro-4-methylphenoxy)-2-((tert-butoxycarbonyl)amino)propanoic acid compound and (S)-3-(2-amino-3,5-difluoro-6-methylphenoxy)-2-((tert-butoxycarbonyl)amino)propanoic acid (1:1) (9 g, 26.0 mmol) and DIEA (6.81 mL, 39.0 mmol) in DMSO (90 mL) stirred under nitrogen at 20° C. was added HATU (9.88 g, 26.0 mmol) portionwise during 5 min. The reaction mixture was stirred at 25° C. for 20 h, at which time TLC indicated starting material was consumed. Reaction was quenched with water (500 mL), extracted with EtOAc (300 mL) and the organic layer was dried over anh. Na2SO4, filtered and concentrated to yield the crude product. This was purified by prep. HPLC to afford a regioisomeric mixture of (S)-tert-butyl (6,8-difluoro-7-methyl-4-oxo-2,3,4,5-tetrahydrobenzo[b][1,4]oxazepin-3-yl)carbamate and (S)-tert-butyl (6,8-difluoro-9-methyl-4-oxo-2,3,4,5-tetrahydrobenzo[b][1,4]oxazepin-3-yl)carbamate (1.98 g, 23%) as a pale brown solid. The desired regioisomer was isolated by chiral HPLC (column: Chiralpak-IC (250*30*5.0μ), mobile phase: n-hexane:IPA (80:20), flow rate: 30 ml/min) of the regioisomeric mixture (2.57 g, 7.8 mmol) to afford (S)-tert-butyl (6,8-difluoro-7-methyl-4-oxo-2,3,4,5-tetrahydrobenzo[b][1,4]oxazepin-3-yl)carbamate (710 mg, 27% recovery) as an off-white solid. 1H NMR (DMSO-d6) δ: 9.8 (s, 1H), 7.15 (m, 1H), 6.95 (m, 1H), 4.35 (m, 3H), 3.15 (s, 3H), 1.35 (s, 9H). MS (m/z) 329 (M+H+).
-
- To a solution of 6-chloro-8-fluoro-3,4-dihydronaphthalen-1 (2H)-one (3.2 g, 16.11 mmol) in ethanol (32 mL) and water (16 mL) stirred in air at room temp was added sodium acetate (2.64 g, 32.2 mmol) and hydroxylamine hydrochloride (2.239 g, 32.2 mmol) in one charge. The reaction mixture was stirred at 100° C. for 1 h. Reaction was monitored by TLC using 20% of ethyl acetate in hexane as mobile phase (twice elution). On completion of the reaction, the reaction mixture was evaporated to dryness and 25 mL of water was added. The suspension was stirred for 5 min and filtered, washed with water (10 mL), hexane (10 mL) and dried under vacuum to give 6-chloro-8-fluoro-3,4-dihydronaphthalen-1(2H)-one oxime (3.35 g, 15.68 mmol, 97% yield) as a pale brown solid, as a 1:1 mixture of syn and anti stereoisomers. MS (m/z) 214/216 (M+H+).
- To a solution of 6-chloro-8-fluoro-3,4-dihydronaphthalen-1(2H)-one oxime (3.2 g, 14.98 mmol) and TEA (6.26 mL, 44.9 mmol) in DCM (90 mL) stirred under nitrogen at 5° C. was added tosyl-chloride (8.57 g, 44.9 mmol) portionwise during 5 min. The reaction mixture was allowed to stir at rt for 18 hr. After completion of the reaction (monitored by TLC, 20% ethyl acetate in hexane), the reaction mixture was diluted with water, extracted with DCM (2×90 mL). The organic layer was separated and washed with water (2×50 mL), and the combined organic phases were washed with brine, dried over anhydrous sodium sulfate and evaporated under reduced pressure to afford the crude product. The crude product was added to a silica gel column and was eluted with Hexane/EtOAc. Collected product fractions: from 5-6% EtOAc elution were concentrated under reduced pressure to afford 6-chloro-8-fluoro-3,4-dihydronaphthalen-1 (2H)-one O-tosyl oxime (3.0 g, 6.61 mmol, 44.1% yield) as a light brown solid, as a 4:1 unassigned mixture of syn and anti stereoisomers. 1H NMR (DMSO-d6) δ: 7.95 (m, 2H), 7.35 (m, 2H), 7.0 (m, 2H), 2.85 (m, 2H), 2.65 (m, 2H), 1.8 (m, 2H); MS (m/z) 368/370 (M+H+).
- To a solution of 6-chloro-8-fluoro-3,4-dihydronaphthalen-1(2H)-one O-tosyl oxime (3 g, 8.16 mmol) in ethanol (150 mL) and water (80 mL) was added potassium acetate (17.61 g, 179 mmol) and reaction mixture was stirred at 100° C. for 16 h. After the completion of the reaction (monitored the reaction by
TLC 30% ethyl acetate in hexane), the reaction mixture was evaporated under reduced pressure to remove the ethanol, remaining aqueous layer was further diluted with water (5 mL) and cooled for 30 min at 5° C. The resulting solid precipitate formed was filtered off, washed with cold water, hexane and dried under vacuum to afford 7-chloro-9-fluoro-4,5-dihydro-1H-benzo[b]azepin-2(3H)-one (1 g, 4.16 mmol, 51.0% yield) as brown solid. 1H NMR (DMSO-d6) δ: 9.43 (s, 1H), 7.35 (d, 1H), 7.22 (s, 1H), 2.75 (m, 2H), 2.15 (m, 4H); MS (m/z) 213/215 (M+H+). -
- To a solution of 5-benzylisoxazole-3-carboxylic acid (208 mg, 0.919 mmol) in DCM (30 mL) was added N1-((ethylimino)methylene)-N3,N3-dimethylpropane-1,3-diamine hydrochloride (129 mg, 0.674 mmol) and 1H-benzo[d][1,2,3]triazol-1-ol hydrate (103 mg, 0.674 mmol), then 4-methylmorpholine (0.202 mL, 1.839 mmol). Stirred at rt for 5 min, then added (R)-3-amino-5-methyl-2,3-dihydrobenzo[b][1,4]thiazepin-4(5H)-one, hydrochloride (150 mg, 0.613 mmol). The reaction mixture was stirred at 25° C. for 5 h. LCMS showed product and the reaction was completed. Removed all the DCM and added 200 ml of EtOAc and the mixture was washed with water, 0.1N HCl aq, NaHCO3 aq and brine. The organic phase was dried over Na2SO4 and concentrated under reduced pressure to afford crude product. ISCO purification (eluting with 0-50% of EtOAc in hexane) to afford the title compound as (R)-5-benzyl-N-(5-methyl-4-oxo-2,3,4,5-tetrahydrobenzo[b][1,4]thiazepin-3-yl)isoxazole-3-carboxamide. The residue was triturated with ether and hexane. The resulting solid was filtered and rinsed with hexane and collected (200 mg, 83%). 1H NMR (400 MHz, DMSO-d6) δ=8.96 (d, J=7.8 Hz, 1H), 7.67 (d, J=7.3 Hz, 1H), 7.59 (d, J=4.0 Hz, 2H), 7.44-7.19 (m, 6H), 6.52 (s, 1H), 4.62-4.43 (m, 1H), 4.21 (s, 2H), 3.52 (dd, J=6.8, 11.4 Hz, 1H), 3.71-3.44 (m, 1H), 3.30 (s, 3H). MS (m/z) 394 (M+H+).
-
- To a solution of (R)-5-benzyl-N-(5-methyl-4-oxo-2,3,4,5-tetrahydrobenzo[b][1,4]thiazepin-3-yl)isoxazole-3-carboxamide (69 mg, 0.175 mmol) in DCM (15 mL) was added 3-chlorobenzoperoxoic acid (101 mg, 0.438 mmol) at 0° C. The reaction mixture was stirred for 1 hr at 0° C. and warmed up to rt, then stirred for 12 hr at rt. The reaction was quenched with cold 1N aq. NaOH solution. After extraction with DCM, the combined organic solution was washed with 2.5% aq. Na2S2O3 solution and brine. After drying over MgSO4, filtration, and concentration, the residue was subjected to the column chromatography (ISCO 40 g, eluent: 5% to 50% EtOAc/Hex) to provide (R)-5-benzyl-N-(5-methyl-1,1-dioxido-4-oxo-2,3,4,5-tetrahydrobenzo[b][1,4]thiazepin-3-yl)isoxazole-3-carboxamide (60 mg, 0.141 mmol, 80% yield) as gum. Trituration with DCM and hexane to afford the white solid. 1H NMR (400 MHz, DMSO-d6) δ=9.14 (d, J=7.6 Hz, 1H), 8.06-7.90 (m, 2H), 7.81 (d, J=8.1 Hz, 1H), 7.64 (t, J=7.6 Hz, 1H), 7.49-7.19 (m, 5H), 6.52 (s, 1H), 5.76 (s, 1H), 4.72 (dt, J=7.5, 11.2 Hz, 1H), 4.22 (s, 2H), 4.14-3.95 (m, 2H), 3.29 (s, 3H). MS (m/z) 426 (M+H+).
-
- To a solution of (R)-5-benzyl-N-(5-methyl-4-oxo-2,3,4,5-tetrahydrobenzo[b][1,4]thiazepin-3-yl)isoxazole-3-carboxamide (75 mg, 0.191 mmol) in DCM (15 mL) was added 3-chlorobenzoperoxoic acid (54.8 mg, 0.238 mmol) at 0° C. The reaction mixture was stirred for 1 hr at 0° C. and warmed up to rt, then stirred for 12 hr at rt. The reaction was quenched with cold 1N aq. NaOH solution. After extraction with DCM, the combined organic solution was washed with 2.5% aq. Na2S2O3 solution and brine. After drying over MgSO4, filtration, and concentration, the residue was subjected to the column chromatography (ISCO 40 g, eluent: 0% to 40%, then to 60% EtOAc/Hex) to provide 2 isomers as 5-benzyl-N-((1R,3R)-5-methyl-1-oxido-4-oxo-2,3,4,5-tetrahydrobenzo[b][1,4]thiazepin-3-yl)isoxazole-3-carboxamide (64 mg, 0.156 mmol, 82% yield)) and 5-benzyl-N-((1S,3R)-5-methyl-1-oxido-4-oxo-2,3,4,5-tetrahydrobenzo[b][1,4]thiazepin-3-yl)isoxazole-3-carboxamide (14 mg, 0.034 mmol, 17.94% yield. 5-benzyl-N-((1S,3R)-5-methyl-1-oxido-4-oxo-2,3,4,5-tetrahydrobenzo[b][1,4]thiazepin-3-yl)isoxazole-3-carboxamide. MS (m/z) 410 (M+H+). 1H NMR (400 MHz, DMSO-d6) δ=9.06 (d, J=7.8 Hz, 1H), 7.88-7.75 (m, 1H), 7.73-7.63 (m, 2H), 7.55-7.44 (m, 1H), 7.42-7.20 (m, 4H), 6.54 (s, 1H), 5.76 (s, 1H), 4.73 (dt, J=7.6, 11.1 Hz, 1H), 4.22 (s, 2H), 3.83 (dd, J=7.5, 14.5 Hz, 1H), 3.53 (dd, J=11.1, 14.4 Hz, 1H), 3.25 (s, 3H). 5-benzyl-N-((1R,3R)-5-methyl-1-oxido-4-oxo-2,3,4,5-tetrahydrobenzo[b][1,4]thiazepin-3-yl)isoxazole-3-carboxamide. MS (m/z) 410 (M+H+). 1H NMR (DMSO-d6) 8.89-9.19 (m, 1H), 7.56-7.86 (m, 4H), 7.22-7.48 (m, 5H), 6.51 (s, 1H), 4.45-4.65 (m, 2H), 4.13-4.35 (m, 3H), 3.30 (s, 3H).
-
- To a suspension of (S)-3-amino-5-methyl-2,3-dihydrobenzo[b][1,4]oxazepin-4(5H)-one, hydrochloride (100 mg, 0.437 mmol) and Et3N (0.152 ml, 1.093 mmol) in THF (4 ml) was added 4-nitrophenyl carbonochloridate (97 mg, 0.481 mmol) at 0° C. After 45 min, 3-benzylpiperidine (0.085 ml, 0.481 mmol) and Et3N (0.091 ml, 0.656 mmol) were added and warmed up to rt. After 2 hr at rt, the reaction mixture was concentrated, then diluted with MeOH-DMSO (2 mL, 1:1). After filtration through
Acrodisc CR 25 mm syringe filter with 0.2 uM PTFE membrane, the solution was purified by HPLC (Waters, column:Waters Sunfire 30×150 mm, eluent: Acetonitrile:Water TFA 50-100%, flow rate: 50 ml/min) to give 3-benzyl-N—((S)-5-methyl-4-oxo-2,3,4,5-tetrahydrobenzo[b][1,4]oxazepin-3-yl)piperidine-1-carboxamide (52.2 mg, 0.123 mmol, 28.2% yield, unoptimized) as a mixture of diastereomers. MS (m/z) 393.9 (M+H+). After separation using a chiral column (Chiralpak IA-H, eluent: Co-solvent: IPA, % Co-solvent: 30% Isocratic, Flow rate=4 mL/min), two diastereomers were obtained without assigning the absolute stereochemistry at the C-3 piperdine. Isomer A (9.9 mg): 1H NMR (CDCl3) δ: 7.14-7.36 (m, 9H), 5.50 (d, J=6.3 Hz, 1H), 4.86 (dt, J=11.1, 6.8 Hz, 1H), 4.63 (dd, J=9.7, 7.5 Hz, 1H), 4.16 (dd, J=11.2, 9.7 Hz, 1H), 3.87 (dt, J=13.1, 1.6 Hz, 1H), 3.72-3.81 (m, 1H), 3.43 (s, 3H), 2.88 (ddd, J=12.9, 11.4, 3.2 Hz, 1H), 2.52-2.69 (m, 2H), 2.45 (dd, J=13.6, 8.1 Hz, 1H), 1.65-1.81 (m, 3H), 1.36-1.46 (m, 1H), 1.06-1.18 (m, 1H). MS (m/z) 393.9 (M+H+). Isomer B (13.9 mg): 1H NMR (CDCl3) δ: 7.09-7.73 (m, 9H), 5.51 (br. s., 1H), 4.79-4.92 (m, 1H), 4.59-4.70 (m, 1H), 4.10-4.20 (m, 1H), 3.89 (m, 1H), 3.77 (m, 1H), 3.42 (s, 3H), 2.77-2.93 (m, 1H), 2.40-2.67 (m, 3H), 1.63-1.81 (m, 3H), 1.38-1.49 (m, 1H), 1.06-1.20 (m, 1H). MS (m/z) 393.9 (M+H+). -
- Polymer bound PPh3 (1.6 mmol/g loading, 2.5 eq, 268 mg), (S)-5-benzyl-N-(8-hydroxy-4-oxo-2,3,4,5-tetrahydrobenzo[b][1,4]oxazepin-3-yl)isoxazole-3-carboxamide (65 mg, 0.171 mmol) and 2-methoxyethanol (0.027 mL, 0.343 mmol) were combined in THF (3 mL). Next added di-tert-butyl azodicarboxylate (79 mg, 0.343 mmol) and stirred mixture at rt for 20 hours. TFA (0.066 mL, 0.857 mmol) was added and mixture was stirred for 1 hour. Reaction was filtered through Celite, rinsing with 10% MeOH/DCM and concentrated. Crude was partitioned between DCM and satd. NaHCO3 and layers were separated. Organics were concentrated and purified by flash chromatography, Biotage (4 g silica column; 0.5-3% MeOH/DCM (plus NH4OH), 15 min.) to give 37 mg white foam in 48% yield. 1H NMR (DMSO-d6) δ: 9.92 (s, 1H), 8.77 (d, J=8.1 Hz, 1H), 7.25-7.40 (m, 5H), 7.02 (d, J=8.8 Hz, 1H), 6.70-6.79 (m, 2H), 6.57 (s, 1H), 4.80 (dt, J=10.8, 7.4 Hz, 1H), 4.50 (t, J=10.6 Hz, 1H), 4.41 (dd, J=10.5, 6.7 Hz, 1H), 4.23 (s, 2H), 4.01-4.13 (m, 2H), 3.60-3.68 (m, 2H), 3.30 (s, 3H); MS (m/z) 438.3 (M+H+).
-
- Benzyl (2,5-dioxo-2,3,4,5-tetrahydro-1H-benzo[b]azepin-3-yl)carbamate (400 mg, 1.233 mmol) was dissolved in 10 mL of THF, and then Cs2CO3 (1.0 g, 3.08 mmol) was added, followed by methyl iodide (0.116 mL, 1.850 mmol). The reaction mixture was maintained at room temperature for 16 hours. The mixture was then filtered. The filtrate was concentrated, and then purified by Isco Combiflash (15%-80% EtOAc/Hexane; 40 g Isco RediSep column). The fractions containing the product were combined and concentrated to give benzyl (1-methyl-2,5-dioxo-2,3,4,5-tetrahydro-1H-benzo[b]azepin-3-yl) carbamate as a yellow oil (290 mg, 70% yield). 1H NMR (CDCl3) d ppm 7.53-7.72 (m, 2H), 7.26-7.44 (m, 6H), 7.21 (d, J=8.1 Hz, 1H), 6.14 (d, J=6.6 Hz, 1H), 5.02-5.18 (m, 2H), 4.95 (ddd, J=12.6, 6.6, 4.0 Hz, 1H), 3.38 (s, 3H), 3.33 (dd, 1H), 2.94 (dd, J=19.3, 12.8 Hz, 1H); MS (m/z): 339 (M+H+).
- Benzyl (1-methyl-2,5-dioxo-2,3,4,5-tetrahydro-1H-benzo[b]azepin-3-yl) carbamate (290 mg, 0.857 mmol) was dissolved in ethanol (20 mL). Palladium on Carbon (10 wt % loading, 91 mg, 0.857 mmol) was added. The reaction mixture was maintained at room temperature for 3 h under a hydrogen balloon. The reaction mixture was filtered and the filtrate was concentrated to a yellow oil, which was then turned into white solid upon standing under high vacuum for 16 h to yield 3-amino-1-methyl-3,4-dihydro-1H-benzo[b]azepine-2,5-dione (158 mg, 90% yield). 1H NMR (MeOH-d4) d ppm 7.60-7.88 (m, 2H), 7.23-7.59 (m, 2H), 4.50-4.72 (m, 1H), 3.43 (s, 3H), 3.11-3.38 (m, 1H), 2.08-2.31 (m, 1H); MS (m/z): 205 (M+H+).
- 5-Benzylisoxazole-3-carboxylic acid (29.8 mg, 0.147 mmol) was dissolved in DCM (2 mL), and then N-hydroxybenzotriazole (24.75 mg, 0.162 mmol) and EDC (31.0 mg, 0.162 mmol) were added. The mixture was maintained at room temperature for 10 min. N-methylmorpholine (0.057 mL, 0.514 mmol) and 3-amino-5-methyl-2,3-dihydro-1H-benzo[b]azepine-1,4(5H)-dione (30 mg, 0.147 mmol) were then added. The reaction mixture was maintained at room temperature for 16 h. The mixture was then concentrated and the residue was purified by Isco Combiflash (10%-50% EtOAc/Hexane; 24 g Isco RediSep column). The fractions containing the product were combined and concentrated to give 5-benzyl-N-(5-methyl-1,4-dioxo-2,3,4,5-tetrahydro-1H-benzo[b]azepin-3-yl)isoxazole-3-carboxamid as a clear oil, which turned into a white solid upon standing under high vacuum for 16 h (42 mg, 73% yield). 1H NMR (400 MHz, CDCl3) d ppm 3.00 (dd, J=19.33, 12.76 Hz, 1H) 3.39-3.48 (m, 4H) 4.13 (s, 2H) 5.26 (ddd, J=12.76, 6.44, 3.79 Hz, 1H) 6.35 (s, 1H) 7.19-7.43 (m, 7H) 7.55-7.72 (m, 2H) 7.99 (d, J=6.57 Hz, 1H); MS (m/z): 390 (M+H+).
- 5-Benzyl-N-(5-methyl-1,4-dioxo-2,3,4,5-tetrahydro-1H-benzo[b]azepin-3-yl)isoxazole-3-carboxamide (20 mg, 0.051 mmol) was dissolved in 2 mL of MeOH, and then NaBH4 (2.91 mg, 0.077 mmol) was added at rt. The mixture was maintained at rt for 16 h. The mixture was then concentrated and partitioned between sat. NaHCO3 (aq) and DCM. The organic layer was concentrated and the residue was purified by Isco Combiflash (1%-10% MeOH/CH2Cl2, 10% NEt3 in MeOH; 4 g RediSep column). Collected fractions containing the product were combined and concentrated to give 5-benzyl-N-(1-hydroxy-5-methyl-4-oxo-2,3,4,5-tetrahydro-1H-benzo[b]azepin-3-yl)isoxazole-3-carboxamide as a clear oil (14 mg, 70% yield). 1H NMR (400 MHz, CDCl3) δ ppm 2.34 (d, J=4.55 Hz, 1H) 2.44 (ddd, J=12.13, 10.86, 7.58 Hz, 1H) 2.67 (td, J=11.68, 8.21 Hz, 1H) 3.43 (s, 3H) 4.12 (s, 2H) 4.51 (dt, J=10.48, 7.89 Hz, 1H) 5.06 (t, J=3.66 Hz, 1H) 6.32 (s, 1H) 7.13-7.45 (m, 8H) 7.67 (dd, J=6.69, 2.15 Hz, 1H) 7.81 (d, J=7.07 Hz, 1H); MS (m/z): 392 (M+H+).
-
- Step 1: (S)-5-benzyl-N-(7-(1-(2-cyanoethyl)-1H-tetrazol-5-yl)-5-methyl-4-oxo-2,3,4,5-tetrahydrobenzo[b][1,4]oxazepin-3-yl)isoxazole-3-carboxamide. To a solution of (S)-3-(5-benzylisoxazole-3-carboxamido)-N-(2-cyanoethyl)-5-methyl-4-oxo-2,3,4,5-tetrahydrobenzo[b][1,4]oxazepine-7-carboxamide (69.0 mg, 0.146 mmol) and pyridine (0.071 mL, 0.874 mmol) in DCM (2.0 mL) was added phosphorus pentachloride (45.5 mg, 0.219 mmol). The reaction mixture was heated to reflux for 3.0 hr then additional 0.25 eq PCl5 was added. The reaction mixture was cooled to rt then TMSN3 (0.110 mL, 0.831 mmol) was added and the reaction mixture was stirred overnight at rt. At 20 h, additional 4.0 eq. of TMS-N3 and 3.0 eq. pyridine were added to the reaction mixture. The reaction mixture was carefully quenched with a few drops of sat. aq. NaHCO3 followed after 5 min with excess NaHCO3. The mixture was stirred for 15 min. The organic phase was separated and washed with 10% aq citric acid and brine. The organic phase was dried over Na2SO4, filtered and concentrated in vacuo. The residue was purified by FCC (EtOAc-Hex: 50-70%). MS (m/z) 499.3 (M+H+).
- Step 2: (S)-5-benzyl-N-(5-methyl-4-oxo-7-(1H-tetrazol-5-yl)-2,3,4,5-tetrahydrobenzo[b][1,4]oxazepin-3-yl)isoxazole-3-carboxamide. To a solution of (S)-5-benzyl-N-(7-(1-(2-cyanoethyl)-1H-tetrazol-5-yl)-5-methyl-4-oxo-2,3,4,5-tetrahydrobenzo[b][1,4]oxazepin-3-yl)isoxazole-3-carboxamide (42.0 mg, 0.084 mmol) in THF (2.0 mL) was added 2.0 M NaOH (0.051 mL, 0.101 mmol). The reaction mixture was stirred for 2 h then quenched with cold 1N HCl and extracted with EtOAc. The organic phase was washed with brine, dried over Na2SO4, filtered then concentrated in vacuo. The solid product obtained was used without further purification (36.0 mg, 96%). 1H NMR (DMSO-d6) δ: 8.92 (d, J=8.1 Hz, 1H), 8.12 (d, J=2.0 Hz, 1H), 7.94 (dd, J=8.3, 2.3 Hz, 1H), 7.46 (d, J=8.3 Hz, 1H), 7.25-7.39 (m, 6H), 6.55 (s, 1H), 4.87-4.96 (m, 1H), 4.67 (dd, J=11.6, 10.1 Hz, 1H), 4.49 (dd, J=9.9, 7.6 Hz, 1H), 4.22 (s, 2H), 3.39 (s, 3H). MS (m/z) 446.3 (M+H+).
-
- To a suspension of (S)-3-(5-benzylisoxazole-3-carboxamido)-5-methyl-4-oxo-2,3,4,5-tetrahydro benzo[b][1,4]oxazepine-7-carboxylic acid (60.0 mg, 0.142 mmol) in DCM (2.0 mL) was added 1-chloro-N,N,2-trimethylprop-1-en-1-amine (22.83 mg, 0.171 mmol) as a solution in DCM (0.10 ml) dropwise over 1 min. The reaction mixture was stirred at rt for 1 h and became a homogeneous solution. This mixture was added dropwise to a mixture of methanesulfonamide (54.2 mg, 0.570 mmol), TEA (0.079 mL, 0.570 mmol) and DMAP (1.044 mg, 8.54 μmol) in 1.0 mL DCM and stirring was continued over 2 h at rt. The reaction mixture was diluted with EtOAc, then washed with 10% aq citric acid, water and brine. The organic phase was dried over Na2SO4, filtered then concentrated in vacuo. The residue was purified by FCC[MeOH-DCM: 0-4.0%] to yield the desired product (26.0 mg, 36.6%). 1H NMR (DMSO-d6) δ: 8.82 (d, J=8.1 Hz, 1H), 7.95 (d, J=1.8 Hz, 1H), 7.83 (dd, J=8.3, 2.0 Hz, 1H), 7.25-7.38 (m, 6H), 7.20 (d, J=8.1 Hz, 1H), 6.56 (s, 1H), 4.84 (dt, J=11.6, 7.8 Hz, 1H), 4.59 (dd, J=11.7, 10.0 Hz, 1H), 4.42 (dd, J=9.7, 7.7 Hz, 1H), 4.22 (s, 2H), 3.32 (br. s., 3H), 2.95 (s, 3H). MS (m/z) 499.1 (M+H+).
-
- To a solution of 5-benzylisoxazole-3-carboxylic acid (79 mg, 0.390 mmol) and DIEA (0.186 mL, 1.064 mmol) in DMSO (1 mL) was added HATU (135 mg, 0.355 mmol) in one portion. After stirring at rt for 5 min, a solution of (S)-3-amino-7-fluoro-2,3-dihydrobenzo[b][1,4]oxazepin-4(5H)-one, trifluoroacetic acid salt (110.0 mg, 0.355 mmol) in DMSO (1 mL) was added dropwise to the mixture. The reaction was allowed to stir at rt for 2 h. LCMS analysis indicated starting material still remained. An additional amount of DIEA (0.20 mL) and HATU (0.11 g) were added and the reaction allowed to stir for 2 h. The reaction mixture was diluted with EtOAc then washed with water (3×), NH4Cl and brine. After drying the solution over Na2SO4 and concentrating in vacuo, the residue was purified by FCC [EtOAc/Hex: 25-60%] to yield the desired product (50 mg, 37%). 1H NMR (DMSO-d6) δ: 10.21 (s, 1H), 8.88 (d, J=8.1 Hz, 1H), 7.25-7.40 (m, 5H), 7.17 (dd, J=8.6, 5.6 Hz, 1H), 6.92-7.00 (m, 2H), 6.55-6.59 (m, 1H), 4.83 (dt, J=10.5, 7.5 Hz, 1H), 4.38-4.53 (m, 2H), 4.23 (s, 2H). MS (m/z) 382.9 (M+H+).
-
- To a solution of (S)—N-(7-amino-5-methyl-4-oxo-2,3,4,5-tetrahydrobenzo[b][1,4]oxazepin-3-yl)-5-benzylisoxazole-3-carboxamide (50.0 mg, 0.112 mmol) in DMF (0.50 mL) at 0° C. was added 2-isocyanatopropane (0.023 mL, 0.235 mmol). After 2 d, additional 2-isocyanatopropane (0.023 mL, 0.235 mmol) was added and the reaction was continued. The reaction mixture was diluted with EtOAc then it was washed in succession with sat. NH4Cl, water, and brine. The organic phase was dried over Na2SO4, filtered then concentrated in vacuo. The residue was purified by FCC [EtOAc/Hex-45-80%]. 1H NMR (DMSO-d6) δ: 8.83 (d, J=8.3 Hz, 1H), 8.44 (s, 1H), 7.57 (d, J=2.5 Hz, 1H), 7.25-7.38 (m, 5H), 7.12-7.16 (m, 1H), 7.05-7.09 (m, 1H), 6.55 (s, 1H), 6.06 (d, J=7.6 Hz, 1H), 4.83 (dt, J=11.4, 8.1 Hz, 1H), 4.46-4.53 (m, 1H), 4.33 (dd, J=9.9, 7.8 Hz, 1H), 4.22 (s, 2H), 3.71-3.81 (m, 1H), 3.26 (s, 3H), 1.11 (s, 3H), 1.09 (s, 3H). MS (m/z) 478.2 (M+H+).
-
- A mixture of (S)-3-amino-5-methyl-2,3-dihydrobenzo[b][1,4]oxazepin-4(5H)-one, hydrochloride (4.00 g, 16.97 mmol), 5-benzyl-4H-1,2,4-triazole-3-carboxylic acid, hydrochloride (4.97 g, 18.66 mmol) and DIEA (10.37 mL, 59.4 mmol) in isopropanol (150 mL) was stirred vigorously for 10 minutes and then 2,4,6-tripropyl-1,3,5,2,4,6-
2,4,6-trioxide (T3P) (50% by wt. in EtOAc) (15.15 mL, 25.5 mmol) was added. The mixture was stirred at rt for 10 minutes and then quenched with water and concentrated to remove isopropanol. The resulting crude material is dissolved in EtOAc and washed with 1M HCl, satd. NaHCO3 and brine. Organics were concentrated and purified by column chromatography (220 g silica column; 20-90% EtOAc/hexanes, 15 min.; 90%, 15 min.) to give the title compound as a light orange foam (5.37 g, 83%). 1H NMR (MeOH-d4) δ: 7.40-7.45 (m, 1H), 7.21-7.35 (m, 8H), 5.01 (dd, J=11.6, 7.6 Hz, 1H), 4.60 (dd, J=9.9, 7.6 Hz, 1H), 4.41 (dd, J=11.4, 9.9 Hz, 1H), 4.17 (s, 2H), 3.41 (s, 3H); MS (m/z) 378.3 (M+H+).trioxatriphosphinane - Alternative Preparation:
- To a solution of (S)-3-amino-5-methyl-2,3-dihydrobenzo[b][1,4]oxazepin-4(5H)-one hydrochloride (100 g, 437 mmol), 5-benzyl-4H-1,2,4-triazole-3-carboxylic acid hydrochloride (110 g, 459 mmol) in DCM (2.5 L) was added DIPEA (0.267 L, 1531 mmol) at 15° C. The reaction mixture was stirred for 10 min. and 2,4,6-tripropyl-1,3,5,2,4,6-
2,4,6-trioxide ≥50 wt. % in ethyl acetate (0.390 L, 656 mmol) was slowly added at 15° C. After stirring for 60 mins at RT the LCMS showed the reaction was complete, upon which time it was quenched with water, partitioned between DCM and washed with 0.5N HCl aq (2 L), saturated aqueous NaHCO3 (2 L), brine (2 L) and water (2 L). The organic phase was separated and activated charcoal (100 g) and sodium sulfate (200 g) were added. The dark solution was shaken for 1 h before filtering. The filtrate was then concentrated under reduced pressure to afford the product as a tan foam (120 g). The product was dried under a high vacuum at 50° C. for 16 h. 1H NMR showed 4-5% wt of ethyl acetate present. The sample was dissolved in EtOH (650 ml) and stirred for 30 mins, after which the solvent was removed using a rotavapor (water-bath T=45° C.). The product was dried under high vacuum for 16 h at RT (118 g, 72% yield). The product was further dried under high vacuum at 50° C. for 5 h. 1H NMR showed <1% of EtOH and no ethyl acetate. 1H NMR (400 MHz, DMSO-d6) δ ppm 4.12 (s, 2H), 4.31-4.51 (m, 1H), 4.60 (t, J=10.36 Hz, 1H), 4.83 (dt, J=11.31, 7.86 Hz, 1H), 7.12-7.42 (m, 8H), 7.42-7.65 (m, 1H), 8.45 (br. s., 1H), 14.41 (br. s., 1H). MS (m/z) 378 (M+H+).trioxatriphosphinane - Crystallization:
- (S)-5-Benzyl-N-(5-methyl-4-oxo-2,3,4,5-tetrahydrobenzo[b][1,4]oxazepin-3-yl)-4H-1,2,4-triazole-3-carboxamide (100 mg) was dissolved in 0.9 mL of toluene and 0.1 mL of methylcyclohexane at 60° C., then stirred briskly at room temperature (20° C.) for 4 days. After 4 days, an off-white solid was recovered (76 mg, 76% recovery). The powder X-ray diffraction (PXRD) pattern of this material is shown in
FIG. 7 and the corresponding diffraction data is provided in Table 1. - The PXRD analysis was conducted using a PANanalytical X'Pert Pro diffractometer equipped with a copper anode X-ray tube, programmable slits, and X'Celerator detector fitted with a nickel filter. Generator tension and current were set to 45 kV and 40 mA respectively to generate the copper Ku radiation powder diffraction pattern over the range of 2-40°2θ. The test specimen was lightly triturated using an agate mortar and pestle and the resulting fine powder was mounted onto a silicon zero background plate.
-
TABLE 1 Diffraction Angle (°2θ) 5.70 8.46 11.46 16.36 17.10 19.82 21.63 22.03 23.11 23.75 24.35 24.94 -
- (S)-5-benzyl-N-(7-bromo-2-oxo-2,3,4,5-tetrahydro-1H-benzo[b]azepin-3-yl)-4H-1,2,4-triazole-3-carboxamide (60 mg, 0.136 mmol), tert-butyl 3-(4,4,5,5-tetramethyl-1,3,2-dioxaborolan-2-yl)-TH-pyrazole-1-carboxylate (40.1 mg, 0.136 mmol), Pd(PPh3)4 (29.8 mg, 0.026 mmol) and K2CO3 (107 mg, 0.775 mmol) were mixed in 1,4-dioxane (2 mL) and water (1 mL). The reaction mixture was put in an Emrys Optimizer (150 W, absorption normal) and microwaved at 130° C., for 20 min. The reaction mixture was filtered and the filtrate was concentrated. The residue was purified by reverse phase HPLC (
Waters Sunfire 30×150 mm, 26-60% CH3CN:H2O (0.1% TFA), 50 mg/mL). Collected fractions containing the product were combined, neutralized by NaHCO3, and then concentrated to give the desired product as a white solid (6 mg, 11% yield). 1H NMR (DMSO-d6) δ ppm 10.05 (s, 1H), 8.31 (br. s., 1H), 7.77 (s, 1H), 7.65-7.75 (m, 2H), 7.19-7.42 (m, 5H), 7.07 (d, J=8.0 Hz, 1H), 6.71 (d, J=1.5 Hz, 1H), 4.38 (dt, J=11.2, 7.9 Hz, 1H), 4.12 (s, 2H), 2.66-2.90 (m, 2H), 2.42-2.51 (m, 1H), 2.28 (br. s., 1H); MS (m/z): 428 (M+H+). -
- To a solution of (S)-methyl 3-(5-benzylisoxazole-3-carboxamido)-5-methyl-4-oxo-2,3,4,5-tetrahydrobenzo[b][1,4]oxazepine-7-carboxylate (332 mg, 0.762 mmol) in THF (6 mL)/Water (2.0 mL) was added LiOH (1.144 mL, 1.144 mmol) as a solution in water. Reaction was stirred at rt for about 2 h. The reaction mixture was diluted with water then extracted with EtOAc twice. The aqueous phase was acidified to pH-3.0 then it was extracted with EtOAc. The latter organic phase was dried over Na2SO4 then filtered and concentrated in vacuo to yield the desired product as a solid. The solid was warmed in toluene then decanted to give the final solid product that was used directly in the next step. 1H NMR (DMSO-d6) δ: 13.18 (br. s., 1H), 8.87 (d, J=8.1 Hz, 1H), 7.98 (d, J=2.0 Hz, 1H), 7.85 (dd, J=8.3, 2.0 Hz, 1H), 7.25-7.38 (m, 6H), 6.55 (s, 1H), 4.87 (dt, J=11.8, 7.7 Hz, 1H), 4.64 (dd, J=11.6, 10.1 Hz, 1H), 4.46 (dd, J=9.9, 7.6 Hz, 1H), 4.22 (s, 2H). MS (m/z) 422.3 (M+H+).
-
- (S)—N-(7-acetamido-5-methyl-4-oxo-2,3,4,5-tetrahydrobenzo[b][1,4]oxazepin-3-yl)-5-benzylisoxazole-3-carboxamide. To a solution of (S)—N-(7-amino-5-methyl-4-oxo-2,3,4,5-tetrahydrobenzo[b][1,4]oxazepin-3-yl)-5-benzylisoxazole-3-carboxamide (60.0 mg, 0.153 mmol) in THF (2.0 mL) at 0° C. was added DIEA (0.061 mL, 0.352 mmol) then AcCl (10.87 μL, 0.153 mmol). The reaction mixture was monitored by LCMS. Reaction showed desired mass after 10 min with all sm consumed. The reaction mixture was concentrated to a solid residue. The solid was suspended in small amount of DCM and 1 mL of 25% EtOAc/Hex. The suspension was lightly warmed then cooled and filtered to collect the solid product. The solid was washed with ethyl ether. yield=56 mg solid powder; NMR shows much impurity, so the sample was subjected to FCC [MeOH-DCM:0-3.0%]. yield=18 mg. 1H NMR (DMSO-d6) δ: 10.11 (s, 1H), 8.86 (d, J=8.1 Hz, 1H), 7.71 (d, J=2.3 Hz, 1H), 7.25-7.42 (m, 6H), 7.15 (d, J=8.6 Hz, 1H), 6.55 (s, 1H), 4.84 (dt, J=11.6, 8.0 Hz, 1H), 4.49-4.56 (m, 1H), 4.35 (dd, J=9.9, 7.8 Hz, 1H), 4.22 (s, 2H), 3.27 (s, 3H), 2.06 (s, 3H). MS (m/z) 435.3 (M+H+).
-
- (S)-5-benzyl-N-(2-oxo-7-(4,4,5,5-tetramethyl-1,3,2-dioxaborolan-2-yl)-2,3,4,5-tetrahydro-1H-benzo[b]azepin-3-yl)-4H-1,2,4-triazole-3-carboxamide (65 mg, 0.133 mmol) was dissolved in 2 mL THF, and then sodium periodate (28.5 mg, 0.133 mmol) was added, followed by HCl (1N in H2O, 0.041 mL, 1.334 mmol). The mixture was maintained at rt for 2 h. The mixture was then concentrated and the residue was purified by Isco Combiflash (2%-10% MeOH/CH2Cl2, 10% NEt3 in MeOH; 40 g RediSep column). Collected fractions containing the product were combined and concentrated to give the desired product as a colorless oil, which was then lyophilized to a white solid (36 mg, 67% yield). 1H NMR (400 MHz, MeOD-d4) δ ppm 2.11-2.32 (m, 1H) 2.57-2.74 (m, 1H) 2.74-2.89 (m, 1H) 2.97 (td, J=13.33, 7.96 Hz, 1H) 4.12-4.22 (m, 2H) 4.49-4.65 (m, 1H) 6.98-7.17 (m, 1H) 7.19-7.43 (m, 5H) 7.51-7.66 (m, 1H) 7.71 (br. s., 1H); MS (m/z): 406 (M+H+).
-
- To a mixture of (S)-3-amino-8-bromo-4,5-dihydro-1H-benzo[b]azepin-2(3H)-one (1.0 g, 3.92 mmol) in DCM (30 mL) was added TEA (0.820 mL, 5.88 mmol) and BOC2O (0.956 mL, 4.12 mmol). Mixture was stirred at room temperature for 1.5 hours and a solid precipitated out. Water was added and the mixture was stirred for 5 minutes and solid was filtered and dried to give 869 mg of (S)-tert-butyl (8-bromo-2-oxo-2,3,4,5-tetrahydro-1H-benzo[b]azepin-3-yl)carbamate as a pale yellow solid. Layers of the filtrate were separated and organics were concentrated to a solid. Solid was triturated in diethyl ether, filtered and dried to give 390 mg pale yellow solid. Yield=87%. 1H NMR (DMSO-d6) δ: 9.81 (s, 1H), 7.29-7.33 (m, 1H), 7.24 (d, J=8.1 Hz, 1H), 7.18 (d, J=1.8 Hz, 1H), 7.05 (d, J=8.3 Hz, 1H), 3.86 (dt, J=12.0, 8.1 Hz, 1H), 2.56-2.72 (m, 2H), 2.19 (m, 1H), 2.06 (td, J=12.3, 7.3 Hz, 1H), 1.34 (s, 9H); MS (m/z) 355/357 (bromine splitting pattern) (M+H+).
- Nitrogen was bubbled through a mixture of (S)-tert-butyl (8-bromo-2-oxo-2,3,4,5-tetrahydro-1H-benzo[b]azepin-3-yl)carbamate (385 mg, 1.084 mmol), potassium acetate (532 mg, 5.42 mmol) and bis(pinacolato)diboron (330 mg, 1.301 mmol) in 1,4-Dioxane (10 mL) for 5 min. Then PdCl2(dppf)-CH2Cl2 adduct (89 mg, 0.108 mmol) was added and mixture was heated at 95° C. for 2 hours. Reaction was cooled to room temperature, diluted with water and ethyl acetate and filtered through a Celite plug. Layers of filtrate were separated. Organics were concentrated and purified by Biotage (10 g silica column, 10-50% E/H, 10 min.; 70%, 5 min.) to give 344 mg of (S)-tert-butyl (2-oxo-8-(4,4,5,5-tetramethyl-1,3,2-dioxaborolan-2-yl)-2,3,4,5-tetrahydro-1H-benzo[b]azepin-3-yl)carbamate as a tan solid in 77% yield. 1H NMR (DMSO-d6) δ: 9.70 (s, 1H), 7.41 (d, J=7.3 Hz, 1H), 7.28-7.33 (m, 2H), 7.00 (d, J=8.3 Hz, 1H), 3.83 (dt, J=11.9, 8.3 Hz, 1H), 2.68 (m, 2H), 2.18 (m, 1H), 2.08 (m, 1H), 1.34 (s, 9H), 1.30 (s, 12H); MS (m/z) 403.4 (M+H+).
- To a mixture of (S)-tert-butyl (2-oxo-8-(4,4,5,5-tetramethyl-1,3,2-dioxaborolan-2-yl)-2,3,4,5-tetrahydro-1H-benzo[b]azepin-3-yl)carbamate (70 mg, 0.174 mmol) in DCM (3 mL) was added 4.0 M HCl in dioxane (218 μl, 0.870 mmol). Mixture was stirred at room temperature for 2 days, concentrated to remove solvents to yield (S)-3-benzyl-N-(2-oxo-8-(4,4,5,5-tetramethyl-1,3,2-dioxaborolan-2-yl)-2,3,4,5-tetrahydro-1H-benzo[b]azepin-3-yl)-1H-pyrazole-5-carboxamide which was used as-is in the next step. MS (m/z) 303.3 (M+H+).
- A solution of 3-benzyl-1H-pyrazole-5-carboxylic acid (38.7 mg, 0.191 mmol) and HATU (79 mg, 0.209 mmol) in CH3CN (1 mL) and DMSO (0.3 mL) was stirred for 40 minutes. Then it was added to a mixture of N-methylmorpholine (0.067 mL, 0.609 mmol) and (S)-3-amino-8-(4,4,5,5-tetramethyl-1,3,2-dioxaborolan-2-yl)-4,5-dihydro-1H-benzo[b]azepin-2(3H)-one (from the prior step) in CH3CN (1 mL). The mixture was stirred at room temperature for 40 minutes. Water (5 mL) was slowly added while stirring vigorously. A solid precipitated out and it was stirred for 5 minutes, filtered and dried to give 60 mg light brown solid in 70% yield. 1H NMR (MeOH-d4) δ: 7.58 (d, J=7.3 Hz, 1H), 7.46 (s, 1H), 7.27-7.37 (m, 4H), 7.19-7.26 (m, 4H), 6.49 (br. s., 1H), 4.54 (dd, J=11.6, 8.1 Hz, 1H), 4.02 (s, 2H), 2.98 (td, J=13.2, 8.0 Hz, 1H), 2.75-2.83 (m, 1H), 2.61 (m, 1H), 2.16-2.28 (m, 1H), 1.36 (s, 12H); MS (m/z) 487.5 (M+H+).
- To a solution of (S)-3-benzyl-N-(2-oxo-8-(4,4,5,5-tetramethyl-1,3,2-dioxaborolan-2-yl)-2,3,4,5-tetrahydro-1H-benzo[b]azepin-3-yl)-1H-pyrazole-5-carboxamide (45 mg, 0.093 mmol) in THF (2 mL) was added benzeneboronic acid, polymer bound [5 eq, 0.46 mmol, 170 mg (assuming 2.6 mmol/g loading), 2.6-3.2 mmol/g loading] and conc. HCl (0.039 mL, 0.463 mmol). Mixture was stirred at room temperature for 3 days. Reaction was not quite complete, so more benzeneboronic acid, polymer bound (50 mg) was added and mixture was stirred for another 4 hours, then filtered to remove resin and concentrated. Water (3 mL) was added and a solid formed. Solid was filtered and purified by column chromatography (4 g silica column; 50-100% ethyl acetate/hexanes, then 10% methanol/ethyl acetate) to give 9 mg of (S)-(3-(3-benzyl-1H-pyrazole-5-carboxamido)-2-oxo-2,3,4,5-tetrahydro-1H-benzo[b]azepin-8-yl)boronic acid as an off-white solid in 33% yield. 1H NMR (MeOH-d4) δ: 7.46 (d, J=7.3 Hz, 1H), 7.28-7.36 (m, 4H), 7.21-7.26 (m, 3H), 6.48 (br. s., 1H), 4.56 (dd, J=11.2, 8.0 Hz, 1H), 4.03 (s, 2H), 2.92-3.03 (m, 1H), 2.73-2.81 (m, 1H), 2.63 (br. s., 1H), 2.20 (m, 1H); MS (m/z) 405.4 (M+H+).
- The following compounds were prepared via coupling of the appropriate amine and acid using the method indicated.
-
MS Meth- Ex Name Structure 1H NMR (M + H)+ od 18 (S)-5-benzyl-N-(7- bromo-5-methyl-4- oxo-2,3,4,5- tetrahydrobenzo[b] [1,4]oxazepin-3- yl)isoxazole-3- carboxamide 1H NMR (DMSO-d6) δ: 8.88 (d, J = 8.1 Hz, 1H), 7.78 (d, J = 2.3 Hz, 1H), 7.46 (dd, J = 8.6, 2.3 Hz, 1H), 7.24-7.40 (m, 5H), 7.19 (d, J = 8.6 Hz, 1H), 6.55 (s, 1H), 4.85 (dt, J = 11.7, 7.9 Hz, 1H), 4.54- 4.64 (m, 1H), 4.41 (dd, J = 9.9, 7.8 Hz, 1H), 4.22 (s, 2H), 3.30 (s, 3H) 456/458 F 19 (S)-N-(7-bromo-5- methyl-4-oxo- 2,3,4,5- tetrahydrobenzo[b] [1,4]oxazepin-3-yl)- 3-(4-methylbenzyl)- 1H-pyrazole-5- carboxamide 1H NMR (DMSO-d6) δ: 13.18 (s, 1H), 8.09 (d, J = 8.1 Hz, 1H), 7.76 (d, J = 2.3 Hz, 1H), 7.46 (dd, J = 8.6, 2.5 Hz, 1H), 7.19 (d, J = 8.6 Hz, 1H), 7.11 (s, 4H), 6.32- 6.36 (m, 1H), 4.79-4.89 (m, 1H), 4.50-4.59 (m, 1H), 4.39 (dd, J = 9.7, 7.7 Hz, 1H), 3.93 (s, 2H), 3.30 (s, 3H) 469/471 F 20 (S)-3-benzyl-N-(7- bromo-5-methyl-4- oxo-2,3,4,5- tetrahydrobenzo[b] [1,4]oxazepin-3-yl)- 1H-pyrazole-5- carboxamide 1H NMR (CDCl3) δ: 8.25 (br. s., 1H), 7.24-7.42 (m, 6H), 7.17-7.23 (m, 2H), 7.08 (d, J = 8.6 Hz, 1H), 6.55 (s, 1H), 5.14 (dt, J = 11.6, 7.6 Hz, 1H), 4.61 (dd, J = 9.7, 7.5 Hz, 1H), 4.31 (dd, J = 11.6, 9.9 Hz, 1H), 4.03 (s, 2H), 3.39 (s, 3H) 455/457 F 21 (S)-5-benzyl-N-(8- hydroxy-4-oxo- 2,3,4,5- tetrahydrobenzo[b] [1,4]oxazepin-3- yl)isoxazole-3- carboxamide 1H NMR (DMSO-d6) δ: 9.79 (s, 1H), 9.56 (s, 1H), 8.73 (d, J = 8.1 Hz, 1H), 7.23-7.41 (m, 5H), 6.91 (d, J = 8.3 Hz, 1H), 6.50-6.61 (m, 3H), 4.79 (dt, J = 11.1, 7.3 Hz, 1H), 4.47 (t, J = 10.6 Hz, 1H), 4.38 (dd, J = 10.4, 7.1 Hz, 1H), 4.22 (s, 2H) 380 F 22 (S)-5-benzyl-N-(5- methyl-4-oxo-7-(1H- pyrazol-3-yl)-2,3,4,5- tetrahydrobenzo[b] [1,4]oxazepin-3- yl)isoxazole-3- carboxamide 1H NMR (DMSO-d6) δ: 12.94 (s, 1H), 8.87 (d, J = 8.3 Hz, 1H), 7.88 (d, J = 2.0 Hz, 1H), 7.81 (d, J = 2.0 Hz, 1H), 7.73 (dd, J = 8.2, 1.9 Hz, 1H), 7.20-7.39 (m, 7H), 6.81 (br. m., 1H), 6.55 (s, 1H), 4.84-4.96 (m, 1H), 4.54-4.66 (m, 1H), 4.36- 4.47 (m, 1H), 4.22 (s, 2H), 3.36 (s, 3H) 444 F 23 (S)-5-benzyl-N-(5- methyl-4-oxo-7-(1H- pyrazol-1-yl)-2,3,4,5- tetrahydrobenzo[b] [1,4]oxazepin-3- yl)isoxazole-3- carboxamide 1H NMR (DMSO-d6) δ: 8.90 (d, J = 8.3 Hz, 1H), 8.58 (d, J = 2.0 Hz, 1H), 7.94 (d, J = 2.5 Hz, 1H), 7.73-7.80 (m, 2H), 7.24- 7.39 (m, 6H), 6.56-6.60 (m, 1H), 6.55 (s, 1H), 4.91 (dt, J = 11.6, 8.0 Hz, 1H), 4.61 (dd, J = 11.6, 10.1 Hz, 1H), 4.44 (dd, J = 9.9, 7.8 Hz, 1H), 4.22 (s, 2H), 3.38 (s, 3H) 444 F 24 (S)-5-benzyl-N-(8- bromo-2-oxo-2,3,4,5- tetrahydro-1H- benzo[b]azepin-3- yl)isoxazole-3- carboxamide 1H NMR (DMSO-d6) δ: 10.03 (s, 1H), 8.72 (d, J = 7.8 Hz, 1H), 7.25-7.40 (m, 7H), 7.21 (d, J = 2.0 Hz, 1H), 6.54 (s, 1H), 4.28- 4.40 (m, 1H), 4.21 (s, 2H), 2.61-2.78 (m, 2H), 2.25- 2.38 (m, 2H) 440/442 F 25 (S)-N-(8-bromo-2- oxo-2,3,4,5- tetrahydro-1H- benzo[b]azepin-3-yl)- 3-(4-methylbenzyl)- 1H-pyrazole-5- carboxamide 1H NMR (MeOH-d4) δ: 7.36 (dd, J = 8.0, 1.9 Hz, 1H), 7.23-7.31 (m, 2H), 7.06-7.16 (m, 4H), 6.45 (s, 1H), 4.55 (dd, J = 11.6, 8.1 Hz, 1H), 3.98 (s, 2H), 2.84- 2.96 (m, 1H), 2.74-2.83 (m, 1H), 2.57-2.70 (m, 1H), 2.31 (s, 3H), 2.20 (m, 1H) 453/455 F 26 (S)-3-benzyl-N-(8- bromo-2-oxo-2,3,4,5- tetrahydro-1H- benzo[b]azepin-3-yl)- 1H-pyrazole-5- carboxamide 1H NMR (DMSO-d6) δ: 13.15 (s, 1H), 10.06 (s, 1H), 7.93 (d, J = 7.6 Hz, 1H), 7.16-7.39 (m, 8H), 6.36 (s, 1H), 4.28-4.39 (m, 1H), 3.98 (s, 2H), 2.70 (m, 2H), 2.33-2.46 (m, 1H), 2.09- 2.31 (m, 1H) 439/441 F 27 (S)-3-(2- fluorobenzyl)-N-(2- oxo-2,3,4,5- tetrahydro-1H- benzo[b]azepin-3-yl)- 1H-pyrazole-5- carboxamide 1H NMR (MeOH-d4) δ: 7.18-7.36 (m, 6H), 7.04- 7.16 (m, 3H), 6.45 (s, 1H), 4.56 (dd, J = 11.6, 8.1 Hz, 1H), 4.07 (s, 2H), 2.91- 3.03 (m, 1H), 2.73-2.81 (m, 1H), 2.58-2.67 (m, 1H), 2.13-2.25 (m, 1H) 379 F 28 (S)-3-(3- fluorobenzyl)-N-(2- oxo-2,3,4,5- tetrahydro-1H- benzo[b]azepin-3-yl)- 1H-pyrazole-5- carboxamide 1H NMR (MeOH-d4) δ: 7.28-7.38 (m, 3H), 7.17- 7.25 (m, 1H), 7.03-7.14 (m, 2H), 6.98 (d, J = 9.6 Hz, 2H), 6.50 (s, 1H), 4.57 (dd, J = 11.5, 8.0 Hz, 1H), 4.06 (s, 2H), 2.90-3.03 (m, 1H), 2.73-2.81 (m, 1H), 2.60- 2.71 (m, 1H), 2.15-2.25 (m, 1H) 379 F 29 (S)-1-benzyl-N-(2- oxo-2,3,4,5- tetrahydro-1H- benzo[b]azepin-3-yl)- 1H-1,2,3-triazole-4- carboxamide 1H NMR (DMSO-d6) δ: 9.97 (s, 1H), 8.66 (s, 1H), 8.35 (d, J = 7.8 Hz, 1H), 7.23-7.45 (m, 7H), 7.11- 7.21 (m, 1H), 7.04 (d, J = 7.8 Hz, 1H), 5.65 (s, 2H), 4.37 (dt, J = 11.6, 8.0 Hz, 1H), 2.65-2.85 (m, 2H), 2.34-2.46 (m, 1H), 2.18- 2.32 (m, 1H) 362 F 30 (S)-5-benzyl-N-(2- oxo-2,3,4,5- tetrahydro-1H- benzo[b]azepin-3- yl)thiophene-2- carboxamide 1H NMR (DMSO-d6) δ: 9.83 (s, 1H), 8.47 (d, J = 8.1 Hz, 1H), 7.72 (d, J = 3.8 Hz, 1H), 7.19-7.36 (m, 7H), 7.10-7.18 (m, 1H), 7.03 (d, J = 7.6 Hz, 1H), 6.92 (d, J = 3.5 Hz, 1H), 4.34 (m, 1H), 4.14 (s, 2H), 2.72 (m, 2H), 2.28 (m, 2H) 377 F 31 (S)-5-benzyl-N-(2- oxo-8-(2-(pyrrolidin- 1-yl)ethoxy)-2,3,4,5- tetrahydro-1H- benzo[b]azepin-3- yl)isoxazole-3- carboxamide 1H NMR (DMSO-d6) δ: 9.87 (s, 1H), 8.64 (d, J = 7.8 Hz, 1H), 7.26-7.40 (m, 5H), 7.19 (d, J = 8.3 Hz, 1H), 6.73 (dd, J = 8.3, 2.8 Hz, 1H), 6.59 (d, J = 2.5 Hz, 1H), 6.54 (s, 1H), 4.29- 4.41 (m, 1H), 4.21 (s, 2H), 3.96-4.12 (m, 2H), 2.78 (t, J = 5.7 Hz, 2H), 2.60-2.71 (m, 2H), 2.52 (m, 4H), 2.21- 2.35 (m, 2H), 1.69 (dt, J = 6.7, 3.2 Hz, 4H) 475 F 32 5-benzyl-N-((3S)-2- oxo-8- ((tetrahydrofuran-2- yl)methoxy)-2,3,4,5- tetrahydro-1H- benzo[b]azepin-3- yl)isoxazole-3- carboxamide 1H NMR (DMSO-d6) δ: 9.87 (s, 1H), 8.64 (d, J = 7.8 Hz, 1H), 7.25-7.40 (m, 5H), 7.19 (d, J = 8.3 Hz, 1H), 6.73 (dd, J = 8.3, 2.5 Hz, 1H), 6.60 (d, J = 2.5 Hz, 1H), 6.54 (s, 1H), 4.35 (dt, J = 11.2, 8.3 Hz, 1H), 4.21 (s, 2H), 4.10-4.18 (m, 1H), 3.83-4.00 (m, 2H), 3.74- 3.83 (m, 1H), 3.63-3.72 (m, 1H), 2.65 (dd, J = 9.5, 5.7 Hz, 2H), 2.19-2.36 (m, 2H), 1.94-2.05 (m, 1H), 1.77-1.93 (m, 2H), 1.57- 1.73 (m, 1H) 462 F 33 (S)-1-(4- methylbenzyl)-N-(2- oxo-2,3,4,5- tetrahydro-1H- benzo[b]azepin-3-yl)- 1H-1,2,3-triazole-4- carboxamide 1H NMR (MeOH-d4) δ: 8.41 (d, J = 7.1 Hz, 1H), 8.30 (s, 1H), 7.15-7.39 (m, 8H), 7.09 (d, J = 7.8 Hz, 1H), 5.55-5.64 (m, 2H), 4.53-4.64 (m, 1H), 2.96 (dd, J = 13.4, 8.1 Hz, 1H), 2.73-2.84 (m, 1H), 2.57- 2.71 (m, 1H), 2.33 (s, 3H), 2.19-2.29 (m, 1H) 376 F 34 (S)-1-(4- fluorobenzyl)-N-(2- oxo-2,3,4,5- tetrahydro-1H- benzo[b]azepin-3-yl)- 1H-1,2,3-triazole-4- carboxamide 1H NMR (MeOH-d4) δ: 8.40-8.46 (m, 1H), 8.36 (s, 1H), 7.38-7.45 (m, 2H), 7.28-7.36 (m, 2H), 7.19- 7.24 (m, 1H), 7.07-7.17 (m, 3H), 5.64 (s, 2H), 4.53- 4.62 (m, 1H), 2.91-3.04 (m, 1H), 2.75-2.82 (m, 1H), 2.65 (m, 1H), 2.24 (m, 1H) 380 F 35 (S)-3-benzyl-N-(8- chloro-2-oxo-2,3,4,5- tetrahydro-1H- benzo[b]azepin-3-yl)- 1H-pyrazole-5- carboxamide 1H NMR (MeOH-d4) δ: 7.27-7.36 (m, 4H), 7.17- 7.27 (m, 4H), 7.13 (d, J = 2.0 Hz, 1H), 6.47 (s, 1H), 4.55 (dd, J = 11.5, 8.0 Hz, 1H), 4.03 (s, 2H), 2.91 (dd, J = 13.8, 8.0 Hz, 1H), 2.73- 2.85 (m, 1H), 2.59-2.70 (m, 1H), 2.21 (m, 1H) 395/397 F 36 (S)-1-benzyl-N-(8- chloro-2-oxo-2,3,4,5- tetrahydro-1H- benzo[b]azepin-3-yl)- 1H-1,2,3-triazole-4- carboxamide 1H NMR (CDCl3) δ: 7.95 (s, 2H), 7.55 (s, 1H), 7.36- 7.46 (m, 3H), 7.26-7.33 (m, 2H), 7.14-7.26 (m, 2H), 7.06 (d, J = 1.8 Hz, 1H), 5.56 (s, 2H), 4.71 (dt, J = 11.2, 7.7 Hz, 1H), 2.91- 3.03 (m, 1H), 2.66-2.85 (m, 2H), 2.14 (td, J = 11.8, 7.5 Hz, 1H) 396/398 F 37 (S)-1-benzyl-N-(8- chloro-2-oxo-2,3,4,5- tetrahydro-1H- benzo[b]azepin-3-yl)- 1H-imidazole-4- carboxamide 1H NMR (CDCl3) δ: 7.92 (d, J = 7.3 Hz, 1H), 7.66 (s, 1H), 7.50-7.60 (m, 2H), 7.32-7.46 (m, 3H), 7.19 (m, 4H), 7.05 (s, 1H), 5.14 (s, 2H), 4.70 (dt, J = 11.1, 7.7 Hz, 1H), 2.89-3.04 (m, 1H), 2.59-2.86 (m, 2H), 2.01-2.20 (m, 1H) 395/397 F 38 (S)-3-benzyl-N-(8- fluoro-2-oxo-2,3,4,5- tetrahydro-1H- benzo[b]azepin-3-yl)- 1H-pyrazole-5- carboxamide 1H NMR (MeOH-d4) δ: 7.29-7.40 (m, 3H), 7.18- 7.27 (m, 3H), 6.95 (td, J = 8.5, 2.7 Hz, 1H), 6.86 (dd, J = 9.5, 2.7 Hz, 1H), 6.49 (br. s., 1H), 4.56 (dd, J = 11.6, 8.1 Hz, 1H), 4.03 (s, 2H), 2.90 (td, J = 13.5, 8.0 Hz, 1H), 2.78 (dd, J = 13.6, 7.1 Hz, 1H), 2.62 (br. s., 1H), 2.12-2.27 (m, 1H) 379 F 39 (S)-1-benzyl-N-(8- fluoro-2-oxo-2,3,4,5- tetrahydro-1H- benzo[b]azepin-3-yl)- 1H-imidazole-4- carboxamide 1H NMR (MeOH-d4) δ: 7.78 (d, J = 1.3 Hz, 1H), 7.65 (d, J = 1.3 Hz, 1H), 7.26-7.42 (m, 6H), 6.95 (td, J = 8.5, 2.5 Hz, 1H), 6.86 (dd, J = 9.6, 2.5 Hz, 1H), 5.26 (s, 2H), 4.55 (dd, J = 11.6, 8.1 Hz, 1H), 2.86- 2.97 (m, 1H), 2.75-2.83 (m, 1H), 2.57-2.69 (m, 1H), 2.18 (td, J = 12.0, 7.3 Hz, 1H) 379 F 40 (S)-5-benzyl-N-(2- oxo-2,3,4,5- tetrahydro-1H- benzo[b]azepin-3-yl)- 4H-1,2,4-triazole-3- carboxamide 1H NMR (MeOH-d4) δ: 7.18-7.48 (m, 8H), 7.10 (d, J = 7.6 Hz, 1H), 4.58 (m, 1H), 4.17 (s, 2H), 2.97 (m 1H), 2.77 (m, 1H), 2.67 (m, 1H), 2.23 (m, 1H) 362 F 41 (S)-5-benzyl-N-(8- fluoro-2-oxo-2,3,4,5- tetrahydro-1H- benzo[b]azepin-3-yl)- 4H-1,2,4-triazole-3- carboxamide 1H NMR (MeOH-d4) δ: 7.22-7.40 (m, 6H), 6.96 (td, J = 8.5, 2.7 Hz, 1H), 6.87 (dd, J = 9.6, 2.5 Hz, 1H), 4.58 (dd, J = 11.5, 8.0 Hz, 1H), 4.18 (s, 2H), 2.86- 2.98 (m, 1H), 2.75-2.85 (m, 1H), 2.57-2.72 (m, 1H), 2.14-2.27 (m, 1H) 380 F 42 (S)-2-benzyl-N-(2- oxo-2,3,4,5- tetrahydro-1H- benzo[b]azepin-3-yl)- 2H-tetrazole-5- carboxamide 1H NMR (MeOH-d4) δ: 7.36-7.54 (m, 5H), 7.28- 7.36 (m, 2H), 7.17-7.27 (m, 1H), 7.10 (d, J = 7.6 Hz, 1H), 5.95 (s, 2H), 4.60 (dd, J = 11.6, 8.1 Hz, 1H), 2.98 (td, J = 13.4, 8.1 Hz, 1H), 2.79 (dd, J = 13.3, 6.9 Hz, 1H), 2.57-2.72 (m, 1H), 2.24-2.37 (m, 1H) 363 F 43 (S)-2-benzyl-N-(8- fluoro-2-oxo-2,3,4,5- tetrahydro-1H- benzo[b]azepin-3-yl)- 2H-tetrazole-5- carboxamide 1H NMR (MeOH-d4) δ: 7.38-7.47 (m, 5H), 7.34 (dd, J = 8.3, 6.3 Hz, 1H), 6.96 (td, J = 8.5, 2.8 Hz, 1H), 6.87 (dd, J = 9.5, 2.7 Hz, 1H), 5.95 (s, 2H), 4.61 (dd, J = 11.6, 8.1 Hz, 1H), 2.88-2.99 (m, 1H), 2.76- 2.85 (m, 1H), 2.56-2.68 (m, 1H), 2.23-2.36 (m, 1H) 381 F 44 (S)-1-benzyl-N-(1- methyl-2-oxo- 2,3,4,5-tetrahydro- 1H-benzo[b]azepin- 3-yl)-1H-imidazole- 4-carboxamide 1H NMR (MeOH-d4) δ: 7.77 (d, J = 1.3 Hz, 1H), 7.63 (d, J = 1.3 Hz, 1H), 7.23-7.44 (m, 9H), 5.25 (s, 2H), 4.51 (dd, J = 11.4, 7.8 Hz, 1H), 3.41 (s, 3H), 2.89 (td, J = 13.4, 7.8 Hz, 1H), 2.73 (dd, J = 13.5, 6.7 Hz, 1H), 2.54 (tt, J = 13.1, 7.3 Hz, 1H), 2.09-2.20 (m, 1H) 375 F 45 (S)-1-benzyl-N-(5- methyl-4-oxo- 2,3,4,5- tetrahydrobenzo[b] [1,4]oxazepin-3-yl)- 1H-1,2,4-triazole-3- carboxamide 1H NMR (MeOH-d4) δ: 8.58 (s, 1H), 7.42-7.48 (m, 1H), 7.28-7.42 (m, 7H), 7.20-7.27 (m, 1H), 5.49 (s, 2H), 5.02 (dd, J = 11.4, 7.6 Hz, 1H), 4.61 (dd, J = 9.9, 7.6 Hz, 1H), 4.43 (dd, J = 11.4, 9.9 Hz, 1H), 3.42 (s, 3H) 378 H 46 (S)-5-benzyl-N-(2- oxo-2,3,4,5- tetrahydro-1H- benzo[b]azepin-3-yl)- 1,3,4-oxadiazole-2- carboxamide 1H NMR (MeOH-d4) δ: 7.27-7.41 (m, 7H), 7.16- 7.24 (m, 1H), 7.10 (d, J = 7.8 Hz, 1H), 4.53 (dd, J = 11.7, 8.2 Hz, 1H), 4.34 (s, 2H), 2.91-3.05 (m, 1H), 2.80 (dt, J = 14.0, 7.1 Hz, 1H), 2.52-2.66 (m, 1H), 2.25-2.38 (m, 1H) 363 H 47 (S)-5-benzyl-N-(8- fluoro-2-oxo-2,3,4,5- tetrahydro-1H- benzo[b]azepin-3-yl)- 1,3,4-oxadiazole-2- carboxamide 1H NMR (MeOH-d4) δ: 7.27-7.40 (m, 6H), 6.96 (td, J = 8.5, 2.7 Hz, 1H), 6.87 (dd, J = 9.6, 2.5 Hz, 1H), 4.54 (dd, J = 11.9, 8.1 Hz, 1H), 4.34 (s, 2H), 2.90 (dd, J = 13.4, 7.8 Hz, 1H), 2.76-2.83 (m, 1H), 2.52- 2.64 (m, 1H), 2.26-2.37 (m, 1H) 381 H 48 (S)-1-benzyl-N-(8- fluoro-2-oxo-2,3,4,5- tetrahydro-1H- benzo[b]azepin-3-yl)- 1H-1,2,3-triazole-4- carboxamide 1H NMR (DMSO-d6) δ: 10.07 (s, 1H), 8.67 (s, 1H), 8.39 (d, J = 7.8 Hz, 1H), 7.29-7.42 (m, 6H), 7.00 (td, J = 8.5, 2.7 Hz, 1H), 6.86 (dd, J = 9.9, 2.5 Hz, 1H), 5.65 (s, 2H), 4.38 (dt, J = 11.6, 8.0 Hz, 1H), 2.63- 2.80 (m, 2H), 2.21-2.47 (m, 2H) 380 H 49 (S)-5-benzyl-N-(1- methyl-2-oxo- 2,3,4,5-tetrahydro- 1H-benzo[b]azepin- 3-yl)-4H-1,2,4- triazole-3- carboxamide 1H NMR (MeOH-d4) δ: 7.22-7.45 (m, 10H), 4.54 (dd, J = 11.6, 7.8 Hz, 1H), 4.14-4.20 (m, 2H), 3.42 (s, 3H), 2.84-2.96 (m, 1H), 2.70-2.78 (m, 1H), 2.50- 2.63 (m, 1H), 2.12-2.24 (m, 1H) 376 H 50 (S)-1-benzyl-N-(8- fluoro-1-methyl-2- oxo-2,3,4,5- tetrahydro-1H- benzo[b]azepin-3-yl)- 1H-imidazole-4- carboxamide 1H NMR (MeOH-d4) δ: 7.78 (s, 1H), 7.64 (s, 1H), 7.25-7.44 (m, 6H), 7.19 (dd, J = 9.9, 2.5 Hz, 1H), 6.96-7.08 (m, 1H), 5.25 (s, 2H), 4.51 (dd, J = 11.4, 7.8 Hz, 1H), 3.40 (s, 3H), 2.72- 2.91 (m, 2H), 2.45-2.59 (m, 1H), 2.07-2.21 (m, 1H) 393 A 51 (S)-1-benzyl-N-(8- fluoro-1-methyl-2- oxo-2,3,4,5- tetrahydro-1H- benzo[b]azepin-3-yl)- 1H-1,2,4-triazole-3- carboxamide 1H NMR (MeOH-d4) δ: 8.57 (s, 1H), 7.31-7.42 (m, 6H), 7.20 (dd, J = 9.9, 2.8 Hz, 1H), 7.03 (td, J = 8.4, 2.7 Hz, 1H), 5.48 (s, 2H), 4.54 (dd, J = 11.5, 8.0 Hz, 1H), 3.41 (s, 3H), 2.71- 2.89 (m, 2H), 2.49-2.62 (m, 1H), 2.13-2.24 (m, 1H) 394 A 52 (S)-5-benzyl-N-(8- fluoro-1-methyl-2- oxo-2,3,4,5- tetrahydro-1H- benzo[b]azepin-3-yl)- 4H-1,2,4-triazole-3- carboxamide 1H NMR (MeOH-d4) δ: 7.25-7.39 (m, 6H), 7.20 (dd, J = 9.9, 2.5 Hz, 1H), 7.03 (td, J = 8.4, 2.7 Hz, 1H), 4.54 (dd, J = 11.4,7.8 Hz, 1H), 4.17 (s, 2H), 3.41 (s, 3H), 2.71-2.91 (m, 2H), 2.48-2.62 (m, 1H), 2.12- 2.24 (m, 1H) 394 A 53 (S)-1-benzyl-N-(1- methyl-2-oxo- 2,3,4,5-tetrahydro- 1H-benzo[b]azepin- 3-yl)-1H-1,2,4- triazole-3- carboxamide 1H NMR (MeOH-d4) δ: 8.57 (s, 1H), 7.32-7.44 (m, 8H), 7.24-7.31 (m, 1H), 5.48 (s, 2H), 4.54 (dd, J = 11.4, 7.8 Hz, 1H), 3.42 (s, 3H), 2.83-2.93 (m, 1H), 2.68-2.79 (m, 1H), 2.49- 2.63 (m, 1H), 2.12-2.25 (m, 1H) 376 A 54 (S)-5-benzyl-N-(8- chloro-2-oxo-2,3,4,5- tetrahydro-1H- benzo[b]azepin-3-yl)- 4H-1,2,4-triazole-3- carboxamide 1H NMR (MeOH-d4) δ: 7.24-7.37 (m, 7H), 7.22 (dd, J = 8.1, 2.0 Hz, 1H), 7.13 (d, J = 2.0 Hz, 1H), 4.57 (dd, J = 11.6, 8.1 Hz, 1H), 4.17 (s, 2H), 2.87- 3.00 (m, 1H), 2.75-2.84 (m, 1H), 2.59-2.70 (m, 1H), 2.16-2.29 (m, 1H) 396/398 H 55 (S)-N-(8-chloro-2- oxo-2,3,4,5- tetrahydro-1H- benzo[b]azepin-3-yl)- 5-(4-fluorobenzyl)- 4H-1,2,4-triazole-3- carboxamide 1H NMR (MeOH-d4) δ: 7.26-7.40 (m, 4H), 7.19- 7.26 (m, 1H), 7.13 (s, 1H), 7.01-7.11 (m, 2H), 4.57 (dd, J = 11.4, 8.1 Hz, 1H), 4.16 (s, 2H), 2.86-3.01 (m, 1H), 2.75-2.85 (m, 1H), 2.58-2.73 (m, 1H), 2.14- 2.30 (m, 1H) 414/416 H 56 (S)-N-(8-chloro-2- oxo-2,3,4,5- tetrahydro-1H- benzo[b]azepin-3-yl)- 5-(3-fluorobenzyl)- 4H-1,2,4-triazole-3- carboxamide 1H NMR (MeOH-d4) δ: 7.31-7.39 (m, 2H), 7.22 (dd, J = 8.1, 2.3 Hz, 1H), 6.96-7.16 (m, 4H), 4.57 (dd, J = 11.6, 8.1 Hz, 1H), 4.19 (s, 2H), 2.93 (td, J = 13.3, 8.0 Hz, 1H), 2.80 (dd, J = 13.9, 6.8 Hz, 1H), 2.58- 2.71 (m, 1H), 2.19-2.29 (m, 1H) 414/416 H 57 (S)-N-(8-chloro-2- oxo-2,3,4,5- tetrahydro-1H- benzo[b]azepin-3-yl)- 5-(4-methylbenzyl)- 4H-1,2,4-triazole-3- carboxamide 1H NMR (MeOH-d4) δ: 7.33 (d, J = 8.1 Hz, 1H), 7.22 (dd, J = 8.1, 2.0 Hz, 1H), 7.12-7.19 (m, 5H), 4.57 (dd, J = 11.6, 8.1 Hz, 1H), 4.12 (s, 2H), 2.87- 2.99 (m, 1H), 2.76-2.84 (m, 1H), 2.57-2.71 (m, 1H), 2.32 (s, 3H), 2.17-2.28 (m, 1H) 410/412 H 58 (S)-N-(8-fluoro-2- oxo-2,3,4,5- tetrahydro-1H- benzo[b]azepin-3-yl)- 5-(4-fluorobenzyl)- 4H-1,2,4-triazole-3- carboxamide 1H NMR (MeOH-d4) δ: 7.27-7.44 (m, 3H), 7.02- 7.15 (m, 2H), 6.96 (td, J = 8.4, 2.4 Hz, 1H), 6.82-6.90 (m, 1H), 4.58 (dd, J = 11.6, 8.1 Hz, 1H), 4.16 (s, 2H), 2.86-2.99 (m, 1H), 2.79 (dd, J = 13.6, 7.1 Hz, 1H), 2.59-2.73 (m, 1H), 2.13- 2.27 (m, 1H) 398 H 59 (S)-N-(8-fluoro-2- oxo-2,3,4,5- tetrahydro-1H- benzo[b]azepin-3-yl)- 5-(4-methylbenzyl)- 4H-1,2,4-triazole-3- carboxamide 1H NMR (MeOH-d4) δ: 7.34 (dd, J = 8.3, 6.3 Hz, 1H), 7.10-7.23 (m, 6H), 6.96 (td, J = 8.5, 2.7 Hz, 1H), 6.87 (dd, J = 9.5, 2.7 Hz, 1H), 4.58 (dd, J = 11.6, 8.1 Hz, 1H), 4.12 (s, 2H), 2.92 (td, J = 13.5, 7.8 Hz, 1H), 2.79 (dd, J = 13.9, 6.8 Hz, 1H), 2.58-2.70 (m, 1H), 2.32 (s, 3H), 2.14-2.26 (m, 1H) 394 H 60 (S)-N-(8-fluoro-2- oxo-2,3,4,5- tetrahydro-1H- benzo[b]azepin-3-yl)- 5-(3-fluorobenzyl)- 4H-1,2,4-triazole-3- carboxamide 1H NMR (MeOH-d4) δ: 7.28-7.41 (m, 2H), 6.93- 7.18 (m, 4H), 6.81-6.92 (m, 1H), 4.58 (dd, J = 11.4, 8.1 Hz, 1H), 4.19 (s, 2H), 2.90 (dd, J = 13.3, 7.7 Hz, 1H), 2.73-2.85 (m, 1H), 2.58-2.72 (m, 1H), 2.15- 2.29 (m, 1H) 398 H 61 (S)-5-benzyl-N-(4- oxo-7- (trifluoromethyl)- 2,3,4,5- tetrahydrobenzo[b] [1,4]oxazepin-3- yl)isoxazole-3- carboxamide N22077-36-A1: 1H NMR (DMSO-d6) δ: 10.36 (s, 1H), 8.92 (d, J = 7.8 Hz, 1H), 7.49 (d, J = 2.0 Hz, 1H), 7.44 (dd, J = 8.3, 1.8 Hz, 1H), 7.25-7.38 (m, 6H), 6.59 (s, 1H), 4.86 (ddd, J = 9.5, 8.0, 5.6 Hz, 1H), 4.44- 4.57 (m, 2H), 4.23 (s, 2H). 431.9 F 62 S)-5-benzyl-N-(7,9- difluoro-2-oxo- 2,3,4,5-tetrahydro- 1H-benzo[b]azepin- 3-yl)-4H-1,2,4- triazole-3- carboxamide 1H NMR (DMSO-d6) δ ppm 13.75-15.37 (m, 1H), 9.97 (s, 1H), 8.06-8.97 (m, 1H), 6.93-7.69 (m, 6H), 4.24-4.59 (m, 1H), 4.14 (br. s., 2H), 2.68-2.95 (m, 2H), 2.32-2.46 (m, 1H), 2.25 (br. s., 1H) 398 H 63 (S)-5-benzyl-N-(8- methyl-4-oxo- 2,3,4,5- tetrahydrobenzo[b] [1,4]oxazepin-3- yl)isoxazole-3- carboxamide 1H NMR (DMSO-d6) δ: 10.01 (s, 1H), 8.79 (d, J = 8.1 Hz, 1H), 7.26-7.39 (m, 5H), 6.94-7.02 (m, 3H), 6.57 (s, 1H), 4.75-4.83 (m, 1H), 4.45-4.52 (m, 1H), 4.36-4.42 (m, 1H), 4.23 (s, 2H), 2.27 (s, 3H). 377.9 F 64 (S)-N-(1-methyl-2- oxo-2,3,4,5- tetrahydro-1H- benzo[b][1,4]diaze- pin-3-yl)-5-(4- methylbenzyl)-1H- pyrazole-3- carboxamide 1H NMR (DMSO-d6, 400MHz): δ = 13.16 (s, 1 H), 7.91 (d, J = 7.6 Hz, 1 H), 7.29 (d, J = 7.6 Hz, 1 H), 6.88-7.20 (m, 8 H), 6.34 (s, 1H), 5.39 (d, J = 5.3 Hz, 1 H), 4.46-4.87 (m, 1 H), 3.93 (s, 2 H), 3.37-3.49 (m, 1 H), 2.66-2.76 (m, 3 H), 2.26 ppm (s, 3 H) 390 F 65 (S)-5-benzyl-N-(6- methyl-4-oxo- 2,3,4,5- tetrahydrobenzo[b] [1,4]oxazepin-3- yl)isoxazole-3- carboxamide 1H NMR (DMSO-d6) δ: 9.70 (s, 1H), 8.73 (d, J = 8.1 Hz, 1H), 7.24-7.39 (m, 5H), 7.01-7.15 (m, 3H), 6.56 (s, 1H), 4.78 (dt, J = 11.4, 8.1 Hz, 1H), 4.54 (t, J = 10.7 Hz, 1H), 4.40 (dd, J = 10.1, 8.1 Hz, 1H), 4.22 (s, 2H), 2.27 (s, 3H). 377.9 F 66 (S)-5-benzyl-N-(9- methyl-4-oxo- 2,3,4,5- tetrahydrobenzo[b] [1,4]oxazepin-3- yl)isoxazole-3- carboxamide 1H NMR (DMSO-d6) δ: 10.02 (s, 1H), 8.84 (d, 1H), 7.25-7.39 (m, 5H), 7.02- 7.08 (m, 2H), 6.91-6.96 (m, 1H), 6.56 (s, 1H), 4.78 (dt, J = 11.1, 7.9 Hz, 1H), 4.44-4.58 (m, 2H), 4.23 (s, 2H), 2.25 (s, 3H). 378.2 F 67 (S)-3-(5- benzylisoxazole-3- carboxamido)-5- methyl-N-(2- (methylsulfonyl) ethyl)-4-oxo-2,3,4,5- tetrahydrobenzo[b] [1,4]oxazepine-7- carboxamide 1H NMR (DMSO-d6) δ: 8.89 (d, J = 8.1 Hz, 1H), 8.84 (t, J = 5.6 Hz. 1H), 7.92 (d, J = 2.0 Hz, 1H), 7.75 (dd. J = 8.3, 2.0 Hz, 1H), 7.26-7.38 (m, 6H), 6.54 (s, 1H), 4.85 (dt, J = 11.9, 7.8 Hz, 1H), 4.60- 4.68 (m, 1H), 4.44 (dd, J = 9.7, 7.7 Hz, 1H), 4.22 (s, 2H), 3.65-3.73 (m, 2H), 3.39 (t, J = 6.7 Hz, 2H), 3.34 (s, 3H), 3.05 (s, 3H). 526.9 F 68 (S)-3-(5- benzylisoxazole-3- carboxamido)-5- methyl-4-oxo-N-(2- (pyrrolidin-1- yl)ethyl)-2,3,4,5- tetrahydrobenzo[b] [1,4]oxazepine-7- carboxamide 1H NMR (DMSO-d6) δ: 8.88 (d, 1H), 8.52-8.59 (m, 1H), 7.91-7.95 (m, 1H), 7.75 (dd, J = 8.3, 2.0 Hz, 1H), 7.25-7.40 (m, 6H), 6.55 (s, 1H), 4.85 (dt, J = 11.6, 7.8 Hz, 1H), 4.58- 4.67 (m, 1H), 4.43 (dd, J = 9.9, 7.6 Hz, 1H), 4.22 (s, 2H), 3.37-3.46 (m, 2H), 2.56-2.64 (m, 2H), 1.69 (t, J = 3.3 Hz, 4H) 518.0 F 69 (S)-5-benzyl-N-(7- methyl-2-oxo- 1,2,3,4- tetrahydropyrido [2,3-b][1,4] oxazepin-3- yl)isoxazole-3- carboxamide 1H NMR (DMSO-d6) δ: 10.18 (s, 1H), 8.89 (d, J = 6.8 Hz, 1H), 7.45 (dd, J = 7.7, 1.4 Hz, 1H), 7.26-7.39 (m, 5H), 7.01-7.07 (m, 1H), 6.59 (s, 1H), 4.77- 4.86 (m, 1H), 4.43-4.52 (m, 2H), 4.24 (s, 2H), 2.35 (s, 3H). 379.2 F 70 5-(hydroxy(phenyl) methyl)-N-((S)-4- oxo-2,3,4,5- tetrahydrobenzo[b] [1,4]oxazepin-3- yl)thiophene-2- carboxamide 1H NMR (600 MHz, DMSO-d6) δ: 10.06 (s, 1 H), 8.62 (d, J = 8.69 Hz, 1 H), 7.31-7.37 (m, 2H), 7.23-7.29 (m, 1 H), 7.08- 7.18 (m, 4 H), 6.87-6.95 (m, 1 H), 6.40 (br. s., 1 H), 5.92 (br. s., 1H), 4.81 (dt, J = 10.39, 8.03 Hz, 1 H), 4.45 (td, J = 10.67, 4.72 Hz, 1 H), 4.35-4.42 (m, 1 H). 395.1 F 71 (S)-5-benzyl-N-(7- methoxy-4-oxo- 2,3,4,5- tetrahydrobenzo[b] [1,4]oxazepin-3- yl)isoxazole-3- carboxamide H NMR (DMSO-d6) δ: 10.06 (s, 1H), 8.85 (d, J = 8.1 Hz, 1H), 7.26-7.39 (m, 5H), 7.08 (d, J = 8.8 Hz, 1H), 6.71 (dd, J = 8.8, 3.0 Hz, 1H), 6.67 (d, J = 2.8 Hz, 1H), 6.57 (s, 1H), 4.81 (dt, J = 11.2, 7.7 Hz, 1H), 4.35- 4.50 (m, 2H), 4.23 (s, 2H), 3.73 (s, 3H). 394.2 F 72 (S)-5-benzyl-N-(5- methyl-7- (methylsulfonyl)-4- oxo-2,3,4,5- tetrahydrobenzo[b] [1,4]oxazepin-3- yl)isoxazole-3- carboxamide 1H NMR (DMSO-d6) δ: 8.94 (d, J = 8.1 Hz, 1H), 8.04 (d, J = 2.0 Hz, 1H), 7.83 (dd, J = 8.3, 2.3 Hz, 1H), 7.48 (d, J = 8.3 Hz, 1H), 7.26-7.38 (m, 5H), 6.55 (s, 1H), 4.89 (dt, J = 11.6, 7.8 Hz, 1H), 4.66- 4.72 (m, 1H), 4.50 (dd, J = 9.9, 7.6 Hz, 1H), 4.22 (s, 2H), 3.37 (s, 3H), 3.31 (s, 3H). [456.1]. 456.1 F 73 (S)-5-benzyl-N-(5- methyl-7- (morpholine-4- carbonyl)-4-oxo- 2,3,4,5- tetrahydrobenzo[b] [1,4]oxazepin-3- yl)isoxazole-3- carboxamide 1H NMR (CDCl3) δ: 7.75 (d, J = 7.1 Hz, 1H), 7.31-7.39 (m, 6H), 7.22-7.25 (m, 2H), 6.32 (s, 1H), 5.06 (dt, J = 11.2, 7.2 Hz, 1H), 4.75 (dd, J = 9.7, 7.2 Hz, 1H), 4.31 (dd, J = 11.1, 10.1 Hz, 1H), 4.13 (s, 2H), 3.75 (br. s., 8H), 3.46 (s, 3H). 491.2 F 74 (S)-5-benzyl-N-(4- oxo-2,3,4,5- tetrahydropyrido[4,3- b][1,4]oxazepin-3- yl)isoxazole-3- carboxamide 1H NMR (DMSO-d6) δ: 10.42 (s, 1H), 8.88 (d, J = 7.6 Hz, 1H), 8.35 (s, 1H), 8.12 (d, J = 5.3 Hz, 1H), 7.24-7.40 (m, 5H), 7.02 (d, J = 5.6 Hz, 1H), 6.61 (s, 1H), 4.82 (td, J = 8.0, 3.3 Hz, 1H), 4.40-4.52 (m, 2H), 4.24 (s, 2H). 365.2 F 75 (S)-5-benzyl-N-(5,6- dimethyl-4-oxo- 2,3,4,5- tetrahydrobenzo[b] [1,4]oxazepin-3- yl)isoxazole-3- carboxamide 1H NMR (DMSO-d6) δ: 8.77 (d, J = 7.8 Hz, 1H), 7.19-7.38 (m, 7H), 7.08 (d, J = 7.6 Hz, 1H), 6.55 (s, 1H), 4.74-4.82 (m, 1H), 4.47 (dd, J = 11.1, 10.1 Hz, 1H), 4.27 (dd, J = 10.0, 8.0 Hz, 1H), 4.22 (s, 2H), 3.13 (s, 3H), 2.32 (s, 3H) 392.1 F 76 (S)-3-(5- benzylisoxazole-3- carboxamido)-N,N,5- trimethyl-4-oxo- 2,3,4,5- tetrahydrobenzo[b] [1,4]oxazepine-7- carboxamide 1H NMR (DMSO-d6) δ: 8.86 (d, J = 8.1 Hz, 1H), 7.56 (d, J = 2.0 Hz, 1H), 7.24-7.39 (m, 7H), 6.55 (s, 1H), 4.88 (dt, J = 11.4, 7.9 Hz, 1H), 4.57-4.65 (m, 1H), 4.44 (dd, J = 10.0, 7.7 Hz, 1H), 4.22 (s, 2H), 3.32 (s, 3H), 2.98 (d, J = 13.6 Hz, 6H). 449.2 F 77 (S)-5-benzyl-N-(5- methyl-4-oxo- 2,3,4,5- tetrahydrobenzo[b] [1,4]oxazepin-3- yl)isoxazole-3- carboxamide 1H NMR (DMSO-d6) δ: 8.85 (d, J = 8.1 Hz, 1H), 7.51 (dd, J = 7.8, 1.8 Hz, 1H), 7.25-7.38 (m, 7H), 7.20-7.25 (m, 1H), 6.54 (s, 1H), 4.83 (dt, J = 11.6, 8.0 Hz, 1H), 4.58 (dd, J = 11.6, 9.9 Hz, 1H), 4.39 (dd, J = 9.9, 7.8 Hz, 1H), 4.22 (s, 2H), 3.30 (s, 3H) 378.3 F 78 (S)-methyl 3-(5- benzylisoxazole-3- carboxamido)-5- methyl-4-oxo- 2,3,4,5- tetrahydrobenzo[b] [1,4]oxazepine-7- carboxylate 1H NMR (DMSO-d6) δ: 8.90 (d, J = 7.8 Hz, 1H), 8.01 (d, J = 2.0 Hz, 1H), 7.87 (dd, J = 8.3, 2.0 Hz, 1H), 7.27-7.39 (m, 6H), 6.55 (s, 1H), 4.87 (dt, J = 11.7, 7.8 Hz, 1H), 4.66 (dd, J = 11.6, 9.9 Hz, 1H), 4.47 (dd, J = 9.9, 7.6 Hz, 1H), 4.22 (s, 2H), 3.88 (s, 3H). 436.4 F 79 S)-5- (cyclopentylmethyl)- N-(5-methyl-7-(5- methyl-1,3,4- oxadiazol-2-yl)-4- oxo-2,3,4,5- tetrahydrobenzo[b] [1,4]oxazepin-3-yl)- 4H-1,2,4-triazole-3- carboxamide 1H NMR (DMSO-d6, 400MHz): δ = 8.66 (d, J = 7.8 Hz, 1 H), 7.22-7.44 (m, 6 H), 7.07-7.17 (m, 1 H), 6.96-7.06 (m, 2 H), 6.55 (s, 1 H), 5.32 (d, J = 4.5 Hz, 1H), 4.65 (dt, J = 11.7, 7.0 Hz, 1 H), 4.22 (s, 2 H), 3.47-3.69 (m, 2H), 3.33 ppm (s, 3 H) 452 H 80 (S)-5-benzyl-N-(5- methyl-4-oxo-7-(5- oxo-4,5-dihydro- 1,3,4-oxadiazol-2- yl)-2,3,4,5- tetrahydrobenzo[b] [1,4]oxazepin-3- yl)isoxazole-3- carboxamide 1H NMR (DMSO-d6) δ 8.33- 8.57 (m, 1H), 8.04 (d, J = 2.0 Hz, 1H), 7.89 (dd, J = 8.3, 2.0 Hz, 1H), 7.45 (d, J = 8.3 Hz, 1H), 4.91 (dt, J = 11.6, 7.6 Hz, 1H), 4.69 (s, 1H), 4.51 (dd, J = 9.7, 7.5 Hz, 1H), 3.39 (s, 3H), 2.72 (d, J = 7.3 Hz, 2H), 2.61 (s, 3H), 2.18-2.31 (m, 1H), 1.40-1.80 (m, 5H), 1.07- 1.31 (m, 3H) 462.2 F 81 (S)-5-benzyl-N-(7- fluoro-5-methyl-4- oxo-2,3,4,5- tetrahydrobenzo[b] [1,4]oxazepin-3-yl)- 1H-pyrazole-3- carboxamide 1H NMR (DMSO-d6) δ: 13.22 (br. s., 1H), 8.11 (br. s., 1H), 7.47 (dd, J = 9.9, 2.8 Hz, 1H), 7.19-7.34 (m, 6H), 7.09-7.16 (m, 1H), 6.37 (br. s., 1H), 4.84 (dt, J = 11.5, 8.0 Hz, 1H), 4.47- 4.56 (m, 1H), 4.35-4.42 (m, 1H), 3.98 (br. s., 2H), 3.30 (s, 3H). 395.2 F 82 (S)-N-(7-fluoro-5- methyl-4-oxo- 2,3,4,5- tetrahydrobenzo[b] [1,4]oxazepin-3-yl)- 5-(4-methylbenzyl)- 1H-pyrazole-3- carboxamide 1H NMR (DMSO-d6) δ: 13.18 (br. s., 1H), 8.09 (d, J = 7.8 Hz, 1H), 7.47 (dd, J = 9.9, 3.0 Hz, 1H), 7.27 (dd, J = 9.0, 5.7 Hz, 1H), 7.09- 7.15 (m, 5H), 6.34 (br. s., 1H), 4.84 (dt, J = 11.4, 8.1 Hz, 1H), 4.46-4.56 (m, 1H), 4.35-4.42 (m, 1H), 3.93 (br. s., 2H), 3.30 (s, 3H), 2.26 (s, 3H). 409.3 F 83 (S)-1-benzyl-N-(7- fluoro-5-methyl-4- oxo-2,3,4,5- tetrahydrobenzo[b] [1,4]oxazepin-3-yl)- 1H-1,2,3-triazole-4- carboxamide 1H NMR (DMSO-d6) δ: 8.69 (s, 1H), 8.61 (d, J = 8.3 Hz, 1H), 7.48 (dd, J = 9.9, 3.0 Hz, 1H), 7.32-7.41 (m, 5H), 7.27 (dd, J = 9.0, 5.7 Hz, 1H), 7.13 (td, J = 8.5, 3.0 Hz, 1H), 5.66 (s, 2H), 4.88 (dt, J = 11.6, 7.9 Hz, 1H), 4.60 (dd, J = 11.5, 10.0 Hz, 1H), 4.40 (dd, J = 9.9, 7.8 Hz, 1H), 3.31 (s, 3H). 396.2 F 84 (S)-1-benzyl-N-(7- fluoro-5-methyl-4- oxo-2,3,4,5- tetrahydrobenzo[b] [1,4]oxazepin-3-yl)- 1H-imidazole-4- carboxamide 1H NMR (DMSO-d6) δ: 8.01 (d, J = 7.8 Hz, 1H), 7.90 (d, J = 1.3 Hz, 1H), 7.75 (d, J = 1.3 Hz, 1H), 7.46 (dd, J = 9.7, 2.9 Hz, 1H), 7.25-7.39 (m, 6H), 7.13 (td, J = 8.5, 2.9 Hz, 1H), 5.23 (s, 2H), 4.83 (dt, J = 11.3, 7.9 Hz, 1H), 4.37- 4.50 (m, 2H), 3.31 (s, 3H). 395.3 F 85 (S)-5-benzyl-N-(7-(1- (2-cyanoethyl)-1H- tetrazol-5-yl)-5- methyl-4-oxo- 2,3,4,5- tetrahydrobenzo[b] [1,4]oxazepin-3-yl)- 1H-pyrazole-3- carboxamide 1H NMR (DMSO-d6) δ: 13.23 (br. s., 1H), 8.11 (d, J = 7.6 Hz, 1H), 7.89 (d, J = 1.0 Hz, 1H), 7.70 (dd, J = 8.2, 2.1 Hz, 1H), 7.48 (d, J = 8.3 Hz, 1H), 7.28-7.34 (m, 2H), 7.19-7.26 (m, 3H), 6.38 (s, 1H), 4.95 (dt, J = 11.6, 7.6 Hz, 1H), 4.74- 4.88 (m, 2H), 4.59-4.67 (m, 1H), 4.48-4.54 (m, 1H), 3.99 (s, 2H), 3.37 (s, 3H), 3.24 (t, J = 6.3 Hz, 2H). 498.4 F 86 (S)-1-benzyl-N-(5- methyl-4-oxo-7-(5- oxo-4,5-dihydro- 1,3,4-oxadiazol-2- yl)-2,3,4,5- tetrahydrobenzo[b] [1,4]oxazepin-3-yl)- 1H-imidazole-4- carboxamide 1H NMR (DMSO-d6) δ: 12.66 (br. s, 1H), 8.02 (d, J = 7.8 Hz, 1H), 7.90 (d, J = 1.3 Hz, 1H), 7.84 (d, J = 2.0 Hz, 1H), 7.76 (d, J = 1.3 Hz, 1H), 7.70 (dd, J = 8.5, 2.1 Hz, 1H), 7.28-7.41 (m, 6H), 5.23 (s, 2H), 4.86 (dt, J = 11.6, 7.7 Hz, 1H), 4.53- 4.60 (m, 1H), 4.43-4.49 (m, 1H), 3.36 (s, 3H). 377.3 A 87 (S)-5-benzyl-N-(7- fluoro-5-methyl-4- oxo-2,3,4,5- tetrahydrobenzo[b] [1,4]oxazepin-3-yl)- 4H-1,2,4-triazole-3- carboxamide 1H NMR (DMSO-d6) δ: 14.38 (br. s., 1H), 8.45 (br. s., 1H), 7.48 (dd, J = 9.9, 3.0 Hz, 1H), 7.22-7.36 (m, 6H), 7.14 (td, J = 8.5, 2.9 Hz, 1H), 5.76 (s, 1H), 4.81- 4.90 (m, 1H), 4.60 (t, J = 10.5 Hz, 1H), 4.40 (dd, J = 9.7, 7.7 Hz, 1H), 4.13 (br. s., 2H), 3.31 (s, 3H). 396.2 A 88 (S)-5-benzyl-N-(6- fluoro-5-methyl-4- oxo-2,3,4,5- tetrahydrobenzo[b] [1,4]oxazepin-3- yl)isoxazole-3- carboxamide 1H NMR (DMSO-d6) δ: 8.91 (d, J = 7.8 Hz, 1H), 7.26-7.43 (m, 7H), 7.13 (d, J = 8.1 Hz, 1H), 6.55 (s, 1H), 4.88 (dt, J = 11.6, 7.9 Hz, 1H), 4.61 (dd, J = 11.4, 10.1 Hz, 1H), 4.41 (dd, J = 10.0, 7.7 Hz, 1H), 4.22 (s, 2H), 3.22 (d, 2H). 396.3 F 89 (S)-1-benzyl-N-(6- fluoro-5-methyl-4- oxo-2,3,4,5- tetrahydrobenzo[b] [1,4]oxazepin-3-yl)- 1H-imidazole-4- carboxamide 1H NMR (DMSO-d6) δ: 8.02 (d, J = 8.1 Hz, 1H), 7.90 (d, J = 1.3 Hz, 1H), 7.76 (d, J = 1.3 Hz, 1H), 7.24-7.43 (m, 7H), 7.14 (d, J = 8.3 Hz, 1H), 5.24 (s, 2H), 4.87 (dt, J = 11.4, 7.8 Hz, 1H), 4.49-4.57 (m, 1H), 4.40 (dd, J = 10.0, 7.7 Hz, 1H), 3.23 (d, 3H). 395.3 F 90 (S)-5-benzyl-N-(6- fluoro-4-oxo-2,3,4,5- tetrahydrobenzo[b] [1,4]oxazepin-3- yl)isoxazole-3- carboxamide 1H NMR (DMSO-d6) δ: 10.08 (s, 1H), 8.84 (d, J = 8.1 Hz, 1H), 7.12-7.39 (m, 7H), 7.06 (d, 1H), 6.57 (s, 1H), 4.87 (dt, J = 11.3, 7.7 Hz, 1H), 4.62 (t, J = 10.7 Hz, 1H), 4.48 (dd, J = 10.2, 7.5 Hz, 1H), 4.21-4.26 (m, 2H). 382.3 F 91 (S)-5-benzyl-N-(6- fluoro-5-methyl-4- oxo-2,3,4,5- tetrahydrobenzo[b] [1,4]oxazepin-3-yl)- 4H-1,2,4-triazole-3- carboxamide 1H NMR (DMSO-d6) δ: 14.48 (br. s., 1H), 8.52 (br. s., 1H), 7.21-7.45 (m, 7H), 7.14 (d, J = 8.1 Hz, 1H), 4.89 (dt, J = 11.5, 7.8 Hz, 1H), 4.58-4.70 (m, 1H), 4.41 (dd, J = 9.9, 7.8 Hz, 1H), 4.12 (s, 2H), 3.23 (d, J = 2.3 Hz, 3H). 396.3 H 92 (S)-N-(7-fluoro-5- methyl-4-oxo- 2,3,4,5- tetrahydrobenzo[b] [1,4]oxazepin-3-yl)- 5-(4-methylbenzyl)- 4H-1,2,4-triazole-3- carboxamide 1H NMR (DMSO-d6) δ: 14.31 (s, 1H), 8.41 (d, J = 7.3 Hz, 1H), 7.48 (dd, J = 9.9, 3.0 Hz, 1H), 7.28 (dd, J = 9.0, 5.7 Hz, 1H), 7.07- 7.20 (m, 5H), 4.85 (dt, J = 11.3, 7.9 Hz, 1H), 4.54- 4.70 (m, 1H), 4.40 (dd, J = 9.9, 7.8 Hz, 1H), 4.09 (s, 2H), 3.31 (s, 3H). 410.2 H 93 (S)-N-(6-fluoro-5- methyl-4-oxo- 2,3,4,5- tetrahydrobenzo[b] [1,4]oxazepin-3-yl)- 5-(3-fluorobenzyl)- 4H-1,2,4-triazole-3- carboxamide 1H NMR (DMSO-d6) δ: 8.50 (br. s, 1H), 7.25-7.44 (m, 3H), 7.06-7.17 (m, 4H), 4.89 (dt, J = 11.6, 7.8 Hz, 1H), 4.64 (t, J = 10.7 Hz, 1H), 4.42 (dd, J = 9.9, 7.8 Hz, 1H), 4.16 (s, 2H), 3.23 (d, 3H). 414.2 H 94 (S)-5-benzyl-N-(4- oxo-2,3,4,5- tetrahydrobenzo[b] [1,4]oxazepin-3- yl)furan-2- carboxamide 1H NMR (DMSO-d6) δ: 10.10 (s, 1H), 8.39 (d, J = 8.3 Hz, 1H), 7.30-7.38 (m, 2H), 7.22-7.30 (m, 3H), 7.09-7.18 (m, 5H), 6.30 (d, J = 3.3 Hz, 1H), 4.76-4.86 (m, 1H), 4.44-4.53 (m, 1H), 4.35-4.42 (m, 1H), 4.06 (s, 2H) 363 F 95 (S)-3- (methyl(phenyl) amino)-N-(4-oxo- 2,3,4,5- tetrahydrobenzo[b] [1,4]oxazepin-3- yl)benzamide 1H NMR (DMSO-d6) δ: 10.07 (s, 1H), 8.64 (d, J = 8.5 Hz, 1H), 7.27-7.49 (m, 5H), 7.09-7.21 (m, 5H), 6.97-7.08 (m, 3H), 4.88 (dt, J = 10.7, 7.7 Hz, 1H), 4.47-4.56 (m, 1H), 4.37- 4.45 (m, 1H), 3.30 (s, 3H) 388 F 96 (S)-1-(4- fluorobenzyl)-N-(4- oxo-2,3,4,5- tetrahydrobenzo[b] [1,4]oxazepin-3-yl)- 1H-1,2,3-triazole-4- carboxamide 1H NMR (DMSO-d6) δ: 10.15 (s, 1H), 8.73 (s, 1H), 8.60 (d, J = 7.8 Hz, 1H), 7.43 (dd, J = 8.4, 5.6 Hz, 2H), 7.23 (t, J = 8.9 Hz, 2H), 7.14 (s, 4H), 5.66 (s, 2H), 4.84 (dt, J = 10.5, 7.3 Hz, 1H), 4.49-4.58 (m, 1H), 4.39-4.47 (m, 1H) 382 F 97 (S)-N-(5-methyl-4- oxo-2,3,4,5- tetrahydrobenzo[b] [1,4]oxazepin-3-yl)-4- phenoxypicolinamide 1H NMR (CDCl3) δ: 8.89 (d, J = 7.3 Hz, 1H), 8.43 (d, J = 5.6 Hz, 1H), 7.60 (d, J = 2.3 Hz, 1H), 7.34-7.44 (m, 2H), 7.12-7.26 (m, 5H), 7.01-7.10 (m, 2H), 6.93 (dd, J = 5.7, 2.7 Hz, 1H), 5.05 (dt, J = 11.3, 7.4 Hz, 1H), 4.72 (dd, J = 9.7, 7.5 Hz, 1H), 4.29 (dd, J = 11.1, 9.9 Hz, 1H), 3.42 (s, 3H) 390 A 98 (S)-N-(5-methyl-4- oxo-2,3,4,5- tetrahydrobenzo[b] [1,4]oxazep′′′in-3- yl)-3-phenoxy benzamide 1H NMR (DMSO-d6) δ: 8.75 (d, J = 8.3 Hz, 1H), 7.66 (d, J = 7.8 Hz, 1H), 7.46-7.56 (m, 3H), 7.38- 7.46 (m, 2H), 7.13-7.37 (m, 5H), 7.04 (d, J = 8.0 Hz, 2H), 4.91 (dt, J = 11.7, 8.2 Hz, 1H), 4.51-4.60 (m, 1H), 4.40 (dd, J = 9.8, 7.8 Hz, 1H), 3.31 (s, 3H) 389 F 99 3-benzyl-N-((S)-4- oxo-2,3,4,5- tetrahydrobenzo[b] [1,4]oxazepin-3- yl)piperidine-1- carboxamide 1H NMR (DMSO-d6) δ: 9.93 (br. s., 1H), 7.02-7.34 (m, 9H), 6.56 (d, J = 8.3 Hz, 1H), 4.54 (dt, J = 10.8, 7.9 Hz, 1H), 4.23-4.44 (m, 2H), 3.69-3.93 (m, 2H), 2.64-2.85 (m, 1H), 2.53- 2.60 (m, 1H), 2.34-2.48 (m, 2H), 1.51-1.72 (m, 3H), 1.17-1.40 (m, 1H), 0.99-1.17 (m, 1H) 380 D 100 (S)-5-(4- chlorobenzyl)-N-(5- methyl-4-oxo- 2,3,4,5- tetrahydrobenzo[b] [1,4]oxazepin-3- yl)isoxazole-3- carboxamide 1H NMR (DMSO-d6) δ: 8.88 (d, J = 8.3 Hz, 1H), 7.51 (dd, J = 7.7, 1.6 Hz, 1H), 7.38-7.45 (m, 2H), 7.19-7.38 (m, 5H), 6.56 (s, 1H), 4.84 (dt, J = 11.5, 8.0 Hz, 1H), 4.53-4.63 (m, 1H), 4.40 (dd, J = 9.8, 7.8 Hz, 1H), 4.24 (s, 2H), 3.31 (s, 3H) 412 F 101 (S)-1-benzyl-5- methyl-N-(5-methyl- 4-oxo-2,3,4,5- tetrahydrobenzo[b] [1,4]oxazepin-3-yl)- 1H-pyrazole-3- carboxamide 1H NMR (DMSO-d6) δ: 8.07 (d, J = 8.0 Hz, 1H), 7.50 (dd, J = 7.7, 1.9 Hz, 1H), 7.26-7.40 (m, 5H), 7.21-7.26 (m, 1H), 7.13 (d, J = 7.0 Hz, 2H), 6.49 (s, 1H), 5.41 (s, 2H), 4.84 (dt, J = 11.5, 7.8 Hz, 1H), 4.50- 4.60 (m, 1H), 4.41 (dd, J = 9.7, 7.7 Hz, 1H), 3.32 (s, 3H), 2.22 (s, 3H) 391 F 102 (S)-5- (cyclopentylmethyl)- N-(6-fluoro-8- methyl-4-oxo- 2,3,4,5- tetrahydrobenzo[b] [1,4]oxazepin-3-yl)- 4H-1,2,4-triazole-3- carboxamide 1H NMR (DMSO-d6) δ: 14.17 (br. s., 1H), 10.03 (s, 1H), 8.34 (d, J = 7.5 Hz, 1H), 7.00 (d, J = 10.8 Hz, 1H), 6.90 (s, 1H), 4.86 (dt, J = 11.0, 7.6 Hz, 1H), 4.60 (t, J = 10.7 Hz, 1H), 4.47 (dd, J = 9.9, 7.4 Hz, 1H), 2.74 (d, J = 7.3 Hz, 2H), 2.31 (s, 3H), 2.20-2.30 (m, 1H), 1.46- 1.76 (m, 6H), 1.14-1.28 (m, 2H) 388.3 F 103 3-benzyl-N-((S)-5- methyl-4-oxo- 2,3,4,5- tetrahydrobenzo[b] [1,4]oxazepin-3- yl)pyrrolidine-1- carboxamide 1H NMR (CDCl3) δ: 7.27- 7.34 (m, 4H), 7.15-7.26 (m, 5H), 5.24 (d, J = 6.6 Hz, 1H), 4.88 (dt, J = 11.2, 7.0 Hz, 1H), 4.63 (dd, J = 9.7, 7.5 Hz, 1H), 4.16 (dd, J = 11.2, 9.7 Hz, 1H), 3.44- 3.55 (m, 2H), 3.42 (s, 3H), 3.27-3.36 (m, 1H), 3.01- 3.09 (m, 1H), 2.71 (d, J = 7.6 Hz, 2H), 2.44-2.54 (m, 1H), 1.96-2.06 (m, 1H), 1.61-1.71 (m, 1H) 380 D 104 3-benzyl-N-((S)-5- methyl-4-oxo- 2,3,4,5- tetrahydrobenzo[b] [1,4]oxazepin-3- yl)pyrrolidine-1- carboxamide 1H NMR (CDCl3) δ: 7.27- 7.34 (m, 4H), 7.15-7.26 (m, 5H), 5.27 (d, J = 6.6 Hz, 1H), 4.87 (dt, J = 11.2, 7.0 Hz, 1H), 4.64 (dd, J = 9.7, 7.5 Hz, 1H), 4.17 (dd, J = 11.2, 9.7 Hz, 1H), 3.46-3.57 (m, 2H), 3.42 (s, 3H), 3.30 (td, J = 9.1, 7.3 Hz, 1H), 3.04 (dd, J = 9.6, 7.8 Hz, 1H), 2.67- 2.74 (m, 2H), 2.43-2.56 (m, 1H), 1.94-2.06 (m, 1H), 1.60-1.72 (m, 1H) 380 D 105 N-((S)-5-methyl-4- oxo-2,3,4,5- tetrahydrobenzo[b] [1,4]oxazepin-3-yl)- 3-phenoxy pyrrolidine-1- carboxamide 1H NMR (DMSO-d6) δ: 7.44-7.50 (m, 1H), 7.18-7.33 (m, 5H), 6.90-6.99 (m, 3H), 6.38 (t, J = 8.8 Hz, 1H), 5.03 (br. s., 1H), 4.54-4.66 (m, 1H), 4.36-4.45 (m, 1H), 4.30-4.22 (m, 1H), 3.37- 3.62 (m, 4H), 3.30-3.28 (two s, 3H), 2.03-2.19 (m, 2H) 382 D 106 (S)-1-((1H-pyrazol-1- yl)methyl)-5-methyl- N-(5-methyl-4-oxo- 2,3,4,5- tetrahydrobenzo[b] [1,4]oxazepin-3-yl)- 1H-pyrazole-3- carboxamide 1H NMR (DMSO-d6) δ: 8.08 (d, J = 8.0 Hz, 1H), 7.98 (d, J = 2.0 Hz, 1H), 7.54 (d, J = 1.3 Hz, 1H), 7.50 (dd, J = 7.5, 1.8 Hz, 1H), 7.26-7.36 (m, J = 14.7, 7.4, 7.4, 1.9 Hz, 2H), 7.22-7.26 (m, 1H), 6.41-6.47 (m, 3H), 6.30- 6.35 (m, 1H), 4.83 (dt, J = 11.4, 8.0 Hz, 1H), 4.48-4.57 (m, 1H), 4.41 (dd, J = 9.9, 7.7 Hz, 1H), 3.32 (s, 3H), 2.46 (s, 3H) 381 F 107 (S)-1-benzyl-5- methyl-N-(2-oxo- 2,3,4,5-tetrahydro- 1H-benzo[b]azepin- 3-yl)-1H-pyrazole-3- carboxamide 1H NMR (DMSO-d6) δ: 10.00 (s, 1H), 7.88 (d, J = 7.8 Hz, 1H), 7.25-7.41 (m, 5H), 7.09-7.22 (m, 3H), 7.04 (d, J = 7.5 Hz, 1H), 6.47 (s, 1H), 5.40 (s, 2H), 4.34 (dt, J = 11.5, 7.8 Hz, 1H), 2.64-2.85 (m, 2H), 2.37-2.49 (m, 1H), 2.13-2.30 (m, 4H) 375 F 108 (S)-3-benzyl-N-(5- methyl-4-oxo- 2,3,4,5- tetrahydrobenzo[b] [1,4]oxazepin-3-yl)- 1H-pyrazole-5- carboxamide 1H NMR (DMSO-d6) δ: 13.22 (br. s., 1H), 8.11 (br. s, 1H), 7.50 (d, J = 7.5 Hz, 1H), 7.18-7.36 (m, 8H), 6.41 (br. s., 1H), 4.83 (dt, J = 11.4, 7.8 Hz, 1H), 4.51 (t, J = 10.7 Hz, 1H), 4.35-4.42 (m, 1H), 3.98 (s, 2H), 3.31 (s, 3H) 377 F 109 (S)-5-methyl-N-(5- methyl-4-oxo- 2,3,4,5- tetrahydrobenzo[b] [1,4]oxazepin-3-yl)- 1-((2-oxopyridin- 1(2H)-yl)methyl)- 1H-pyrazole-3- carboxamide 1H NMR (DMSO-d6) δ: 8.07 (d, J = 8.0 Hz, 1H), 7.87 (dd, J = 6.9, 1.6 Hz, 1H), 7.44- 7.53 (m, 2H), 7.21-7.36 (m, 3H), 6.40-6.47 (m, 2H), 6.33 (td, J = 6.8, 1.3 Hz, 1H), 6.14 (s, 2H), 4.83 (dt, J = 11.4, 8.0 Hz, 1H), 4.46-4.56 (m, 1H), 4.41 (dd, J = 9.8, 7.8 Hz, 1H), 3.32 (s, 3H), 2.47 (s, 3H) 408 F 110 (S)-5-methyl-N-(5- methyl-4-oxo- 2,3,4,5- tetrahydrobenzo[b] [1,4]oxazepin-3-yl)- 1-(4-methylbenzyl)- 1H-pyrazole-3- carboxamide 1H NMR (DMSO-d6) δ: 8.06 (d, J = 8.0 Hz, 1H), 7.50 (dd, J = 7.7, 1.6 Hz, 1H), 7.21- 7.37 (m, 3H), 7.17 (d, J = 8.0 Hz, 2H), 7.03 (d, J = 8.0 Hz, 2H), 6.47 (s, 1H), 5.35 (s, 2H), 4.84 (dt, J = 11.5, 7.9 Hz, 1H), 4.55 (dd, J = 11.4, 9.9 Hz, 1H), 4.41 (dd, J = 9.8, 7.8 Hz, 1H), 3.32 (s, 3H), 2.28 (s, 3H), 2.21 (s, 3H) 405 F 111 (S)-1-((3,5-dimethyl- 1H-pyrazol-1- yl)methyl)-5-methyl- N-(5-methyl-4-oxo- 2,3,4,5- tetrahydrobenzo[b] [1,4]oxazepin-3-yl)- 1H-pyrazole-3- carboxamide 1H NMR (DMSO-d6) δ: 8.01 (d, J = 7.8 Hz, 1H), 7.50 (dd, J = 7.7, 1.9 Hz, 1H), 7.22- 7.36 (m, 3H), 6.43 (s, 1H), 6.24 (s, 2H), 5.86 (s, 1H), 4.81 (dt, J = 11.3, 7.8 Hz, 1H), 4.37-4.55 (m, 2H), 3.33 (s, 3H), 2.48 (s, 6H), 2.07 (s, 3H) 409 F 112 (S)-3-(4- methylbenzyl)-N-(4- oxo-2,3,4,5- tetrahydrobenzo[b] [1,4]oxazepin-3-yl)- 1H-pyrazole-5- carboxamide 1H NMR (DMSO-d6) δ: 13.18 (br. s., 1H), 10.13 (s, 1H). 8.10 (br. s., 1H), 7.02- 7.27 (m, 8H), 6.37 (br. s., 1H), 4.72-4.87 (m, 1H), 4.34-4.53 (m, 2H), 3.93 (br. s., 2H), 2.27 (s, 3H) 377 F 113 (S)-1-benzyl-5- methyl-N-(4-oxo- 2,3,4,5- tetrahydrobenzo[b] [1,4]oxazepin-3-yl)- 1H-pyrazole-3- carboxamide 1H NMR (DMSO-d6) δ: 10.15 (s, 1H), 8.09 (d, J = 7.8 Hz, 1H), 7.27-7.42 (m, 3H), 7.09-7.19 (m, 6H), 6.52 (s, 1H), 5.41 (s, 2H), 4.81 (dt, J = 10.4, 7.2 Hz, 1H), 4.40- 4.53 (m, 2H), 2.23 (s, 3H) 377 F 114 (S)-5-methyl-N-(5- methyl-4-oxo- 2,3,4,5- tetrahydrobenzo[b] [1,4]oxazepin-3-yl)- 1-(2-methylbenzyl)- 1H-pyrazole-3- carboxamide 1H NMR (DMSO-d6) δ: 8.02 (d, J = 8.0 Hz, 1H), 7.49 (dd, J = 7.7, 1.6 Hz, 1H), 7.07- 7.38 (m, 6H), 6.53 (s, 1H), 6.40 (d, J = 7.5 Hz, 1H), 5.39 (s, 2H), 4.83 (dt, J = 11.5, 7.8 Hz, 1H), 4.46-4.57 (m, 1H), 4.41 (dd, J = 9.9, 7.7 Hz, 1H), 3.31 (s, 3H), 2.35 (s, 3H), 2.19 (s, 3H) 405 F 115 (S)-1-(2,5- difluorobenzyl)-5- methyl-N-(5-methyl- 4-oxo-2,3,4,5- tetrahydrobenzo[b] [1,4]oxazepin-3-yl)- 1H-pyrazole-3- carboxamide 1H NMR (DMSO-d6) δ: 8.05 (d, J = 8.0 Hz, 1H), 7.50 (dd, J = 7.7, 1.9 Hz, 1H), 7.21- 7.38 (m, 5H), 6.76 (ddd, J = 8.8, 5.6, 3.1 Hz, 1H), 6.50 (s, 1H), 5.43 (s, 2H), 4.83 (dt, J = 11.4, 8.0 Hz, 1H), 4.48- 4.57 (m, 1H), 4.40 (dd, J = 9.8, 7.8 Hz, 1H), 3.31 (s, 3H), 2.28 (s, 3H) 427 F 116 (S)-1-benzyl-5- methyl-N-(1-methyl- 2-oxo-2,3,4,5- tetrahydro-1H- benzo[b]azepin-3-yl)- 1H-pyrazole-3- carboxamide 1H NMR (DMSO-d6) δ: 7.89 (d, J = 7.8 Hz, 1H), 7.23- 7.42 (m, 7H), 7.12 (d, J = 7.0 Hz, 2H), 6.46 (s, 1H), 5.39 (s, 2H), 4.34 (dt, J = 11.5, 7.8 Hz, 1H), 3.31 (s, 3H), 2.63- 2.80 (m, 2H), 2.35 (tt, J = 12.8, 7.4 Hz, 1H), 2.21 (s, 3H), 2.06-2.20 (m, 1H) 389 F 117 (S)-5-methyl-N-(5- methyl-4-oxo- 2,3,4,5- tetrahydrobenzo[b] [1,4]oxazepin-3-yl)- 1-((6-methylpyridin- 3-yl)methyl)-1H- pyrazole-3- carboxamide 1H NMR (DMSO-d6) δ: 8.47 (d, J = 1.8 Hz, 1H), 8.07 (d, J = 8.3 Hz, 1H), 7.68 (dd, J = 8.3, 2.0 Hz, 1H), 7.44-7.53 (m, 2H), 7.21-7.36 (m, 3H), 6.49 (s, 1H), 5.45 (s, 2H), 4.84 (dt, J = 11.4, 7.8 Hz, 1H), 4.53 (dd, J = 11.5, 10.0 Hz, 1H), 4.40 (dd, J = 9.8, 7.8 Hz, 1H), 3.31 (s, 3H), 2.54 (s, 3H), 2.28 (s, 3H) 406 F 118 (S)-5-methyl-N-(5- methyl-4-oxo- 2,3,4,5- tetrahydrobenzo[b] [1,4]oxazepin-3-yl)- 1-phenethyl-1H- pyrazole-3- carboxamide 1H NMR (DMSO-d6) δ: 8.04 (d, J = 8.0 Hz, 1H), 7.51 (dd, J = 7.7, 1.6 Hz, 1H), 7.20- 7.37 (m, 6H), 7.13 (d, J = 7.0 Hz, 2H), 6.34 (s, 1H), 4.85 (dt, J = 11.4, 8.0 Hz, 1H), 4.51-4.60 (m, 1H), 4.43 (dd, J = 9.7, 7.7 Hz, 1H), 4.29 (t, J = 7.2 Hz, 2H), 3.33 (s, 3H), 3.08 (t, J = 7.2 Hz, 2H), 1.97 (s, 3H) 405 F 119 5-methyl-N-((S)-5- methyl-4-oxo- 2,3,4,5- tetrahydrobenzo[b] [1,4]oxazepin-3-yl)- 1-(1-phenylethyl)- 1H-pyrazole-3- carboxamide 1H NMR (DMSO-d6) δ: 8.07 (dd, J = 7.9, 2.4 Hz, 1H), 7.48-7.54 (m, 1H), 7.23- 7.39 (m, 6H), 7.17 (d, J = 8.0 Hz, 2H), 6.46 (s, 1H), 5.68 (q, J = 7.0 Hz, 1H), 4.81- 4.91 (m, 1H), 4.57 (ddd, J = 11.4, 9.9, 4.3 Hz, 1H), 4.45 (dd, J = 9.8, 7.8 Hz, 1H), 3.33 (s, 3H), 2.17 (s, 3H), 1.85 (dd, J = 6.8, 3.8 Hz, 3H, actually two doublets from diasteromers) 405 F 120 (S)-5-methyl-N-(5- methyl-4-oxo- 2,3,4,5- tetrahydrobenzo[b] [1,4]oxazepin-3-yl)- 1-((2- methylpyrimidin-5- yl)methyl)-1H- pyrazole-3- carboxamide 1H NMR (DMSO-d6) δ: 8.60 (s, 2H), 8.08 (d, J = 8.0 Hz, 1H), 7.50 (dd, J = 7.7, 1.9 Hz, 1H), 7.20-7.36 (m, 3H), 6.47 (s, 1H), 5.41 (s, 2H), 4.83 (dt, J = 11.5, 7.9 Hz, 1H), 4.54 (dd, J = 11.4, 9.9 Hz, 1H), 4.40 (dd, J = 9.8, 7.8 Hz, 1H), 3.31 (s, 3H), 2.62 (s, 3H), 2.32 (s, 3H) 407 F 121 (S)-1-(3,5- difluorobenzyl)-5- methyl-N-(5-methyl- 4-oxo-2,3,4,5- tetrahydrobenzo[b] [1,4]oxazepin-3-yl)- 1H-pyrazole-3- carboxamide 1H NMR (DMSO-d6) δ: 8.11 (d, J = 8.0 Hz, 1H), 7.50 (dd, J = 7.8, 1.8 Hz, 1H), 7.17- 7.37 (m, 4H), 6.78-6.88 (m, 2H), 6.51 (s, 1H), 5.44 (s, 2H), 4.84 (dt, J = 11.5, 7.9 Hz, 1H), 4.55 (dd, J = 11.4, 9.9 Hz, 1H), 4.41 (dd, J = 9.8, 7.8 Hz, 1H), 3.32 (s, 3H), 2.24 (s, 3H) 427 v 122 (S)-1-(2- fluorobenzyl)-5- methyl-N-(5-methyl- 4-oxo-2,3,4,5- tetrahydrobenzo[b] [1,4]oxazepin-3-yl)- 1H-pyrazole-3- carboxamide 1H NMR (DMSO-d6) δ: 8.03 (d, J = 8.0 Hz, 1H), 7.50 (dd, J = 7.7, 1.9 Hz, 1H), 7.15- 7.44 (m, 6H), 6.93 (td, J = 7.7, 1.5 Hz, 1H), 6.50 (s, 1H), 5.44 (s, 2H), 4.83 (dt, J = 11.5, 7.8 Hz, 1H), 4.48- 4.58 (m, 1H), 4.40 (dd, J = 9.8, 7.8 Hz, 1H), 3.31 (s, 3H), 2.26 (s, 3H) 409 F 123 (S)-1-(3,4- difluorobenzyl)-5- methyl-N-(5-methyl- 4-oxo-2,3,4,5- tetrahydrobenzo[b] [1,4]oxazepin-3-yl)- 1H-pyrazole-3- carboxamide 1H NMR (DMSO-d6) δ: 8.09 (d, J = 8.0 Hz, 1H), 7.39- 7.52 (m, 2H), 7.20-7.37 (m, 4H), 6.96 (ddd, J = 6.1, 4.0, 2.0 Hz, 1H), 6.49 (s, 1H), 5.40 (s, 2H), 4.84 (dt, J = 11.5, 7.9 Hz, 1H), 4.50-4.59 (m, 1H), 4.41 (dd, J = 9.8, 7.8 Hz, 1H), 3.32 (s, 3H), 2.24 (s, 3H) 427 F 124 (S)-1-benzyl-N-(1- methyl-2-oxo- 2,3,4,5-tetrahydro- 1H-benzo[b]azepin- 3-yl)-1H-pyrazole-4- carboxamide 1H NMR (DMSO-d6) δ: 8.28 (s, 1H), 8.25 (d, J = 8.3 Hz, 1H), 7.90 (s, 1H), 7.20-7.43 (m, 9H), 5.35 (s, 2H), 4.37 (dt, J = 11.2, 8.4 Hz, 1H), 3.29 (s, 3H), 2.66-2.74 (m, 2H), 2.12-2.23 (m, 2H) 375 F 125 (S)-3-(4- fluorobenzyl)-N-(5- methyl-4-oxo- 2,3,4,5- tetrahydrobenzo[b] [1,4]oxazepin-3-yl)- 1H-pyrazole-5- carboxamide 1H NMR (DMSO-d6) δ: 13.23 (br. s., 1H), 8.09 (br. s., 1H), 7.50 (dd, J = 7.5, 1.8 Hz, 1H), 7.20-7.37 (m, 5H), 7.10-7.18 (m, 2H), 6.37 (br. s., 1H), 4.83 (dt, J = 11.3, 8.0 Hz, 1H), 4.50 (t, J = 11.0 Hz, 1H), 4.39 (dd, J = 9.7, 7.9 Hz, 1H), 3.98 (br. s., 2H), 3.31 (s, 3H) 395 F 126 (S)-1-(2,4- difluorobenzyl)-5- methyl-N-(5-methyl- 4-oxo-2,3,4,5- tetrahydrobenzo[b] [1,4]oxazepin-3-yl)- 1H-pyrazole-3- carboxamide 1H NMR (DMSO-d6) δ: 8.02 (d, J = 8.0 Hz, 1H), 7.50 (dd, J = 7.7, 1.6 Hz, 1H), 7.20- 7.37 (m, 4H), 7.00-7.15 (m, 2H), 6.49 (s, 1H), 5.40 (s, 2H), 4.83 (dt, J = 11.5, 7.8 Hz, 1H), 4.48-4.56 (m, 1H), 4.40 (dd, J = 9.8, 7.8 Hz, 1H), 3.31 (s, 3H), 2.27 (s, 3H) 427 F 127 (S)-1-(2- fluorobenzyl)-5- methyl-N-(2-oxo- 2,3,4,5-tetrahydro- 1H-benzo[b]azepin- 3-yl)-1H-pyrazole-3- carboxamide 1H NMR (DMSO-d6) δ: 9.99 (br. s., 1H), 7.78-7.94 (m, 1H), 7.11-7.48 (m, 6H), 6.88-7.10 (m, 2H), 6.50 (br. s., 1H), 5.43 (br. s., 2H), 4.25-4.42 (m, 1H), 2.64-2.85 (m, 2H), 2.38-2.61 (m, 4H), 2.05-2.22 (m, 1H) 393 F 128 (S)-3-(2,4- difluorobenzyl)-N-(5- methyl-4-oxo- 2,3,4,5- tetrahydrobenzo[b] [1,4]oxazepin-3-yl)- 1H-pyrazole-5- carboxamide 1H NMR (DMSO-d6) δ: 8.22 (br. s., 1H), 7.50 (dd, J = 7.7, 1.6 Hz, 1H), 7.19-7.40 (m, 5H), 7.06 (td, J = 8.5, 1.8 Hz, 1H), 6.41 (br. s., 1H), 4.83 (dt, J = 11.5, 8.0 Hz, 1H), 4.51 (t, J = 10.8 Hz, 1H), 4.38 (dd, J = 9.8, 7.8 Hz, 1H), 3.98 (s, 2H), 3.31 (s, 3H) 413 F 129 (S)-l-(2- fluorobenzyl)-N-(5- methyl-4-oxo- 2,3,4,5- tetrahydrobenzo[b] [1,4]oxazepin-3-yl)- 1H-pyrazole-4- carboxamide 1H NMR (DMSO-d6) δ: 8.37 (d, 1H), 8.30 (s, 1H), 7.91 (s, 1H), 7.52 (dd, J = 7.8, 1.8 Hz, 1H), 7.37-7.45 (m, 1H), 7.18-7.36 (m, 6H), 5.42 (s, 2H), 4.89 (dt, J = 11.7, 8.2 Hz, 1H), 4.30-4.48 (m, 2H), 3.30 (s, 3H) 395 F 130 (S)-3-benzyl-N-(4- oxo-2,3,4,5- tetrahydrobenzo[b] [1,4]oxazepin-3-yl)- 1H-pyrazole-5- carboxamide 1H NMR (DMSO-d6) δ: 10.13 (s, 1H), 8.19 (br. s., 1H), 7.10-7.36 (m, 10H), 6.44 (br. s., 1H), 4.80 (dt, J = 10.2, 7.4 Hz, 1H), 4.37-4.51 (m, 2H), 3.99 (s, 2H) 363 F 131 (S)-N-(5-methyl-4- oxo-2,3,4,5- tetrahydrobenzo[b] [1,4]oxazepin-3-yl)- 1-(4-methylbenzyl)- 1H-pyrazole-4- carboxamide 1H NMR (DMSO-d6) δ: 8.33 (d, J = 8.8 Hz, 1H), 8.26 (s, 1H), 7.90 (s, 1H), 7.51 (d, J = 7.8 Hz, 1H), 7.10-7.37 (m, 7H), 5.30 (s, 2H), 4.83-4.94 (m, 1H), 4.30-4.49 (m, 2H), 3.30 (s, 3H), 2.29 (s, 3H) 391 F 132 (S)-1-benzyl-N-(5- methyl-4-oxo- 2,3,4,5- tetrahydrobenzo[b] [1,4]oxazepin-3-yl)- 1H-pyrrole-3- carboxamide 1H NMR (DMSO-d6) δ: 7.91-7.98 (m, 1H), 7.48-7.53 (m, 1H), 7.42 (t, J = 1.9 Hz, 1H), 7.19-7.39 (m, 8H), 6.86 (t, J = 2.5 Hz, 1H), 6.51 (dd, J = 2.8, 1.8 Hz, 1H), 5.13 (s, 2H), 4.88 (dt, J = 11.9, 8.2 Hz, 1H), 4.46 (dd, J = 11.8, 9.8 Hz, 1H), 4.31 (dd, J = 9.8, 7.8 Hz, 1H), 3.30 (s, 3H) 773 (2M + Na) F 133 (S)-1-(2,5- difluorobenzyl)-5- methyl-N-(2-oxo- 2,3,4,5-tetrahydro- 1H-benzo[b]azepin- 3-yl)-1H-pyrazole-3- carboxamide 1H NMR (DMSO-d6) δ: 9.99 (s, 1H), 7.87 (d, J = 7.5 Hz, 1H), 7.21-7.40 (m, 4H), 7.13-7.20 (m, 1H), 7.03 (d, J = 7.8 Hz, 1H), 6.77 (ddd, J = 8.7, 5.6, 3.3 Hz, 1H), 6.49 (s, 1H), 5.42 (s, 2H), 4.33 (dt, J = 11.5, 7.9 Hz, 1H), 2.64- 2.82 (m, 2H), 2.37-2.48 (m, 1H), 2.28 (s, 3H), 2.17 (td, J = 12.0, 7.7 Hz, 1H) 411 F 134 (S)-1-benzyl-N-(2- oxo-2,3,4,5- tetrahydro-1H- benzo[b]azepin-3-yl)- 1H-pyrrole-3- carboxamide 1H NMR (DMSO-d6) δ: 9.80 (s, 1H), 7.81 (d, J = 8.3 Hz, 1H), 7.20-7.44 (m, 8H), 7.11-7.17 (m, 1H), 7.03 (d, J = 7.5 Hz, 1H), 6.84 (t, J = 2.5 Hz, 1H), 6.48-6.54 (m, 1H), 5.12 (s, 2H), 4.32-4.46 (m, 1H), 2.64-2.80 (m, 2H), 2.24 (td, J = 9.6, 5.6 Hz, 2H) 360 F 135 (S)-3-(4- fluorobenzyl)-N-(4- oxo-2,3,4,5- tetrahydrobenzo[b] [1,4]oxazepin-3-yl)- 1H-pyrazole-5- carboxamide 1H NMR (DMSO-d6) δ: 13.21 (br. s., 1H), 10.13 (br. s., 1H), 8.11 (d, J = 6.3 Hz, 1H), 7.06-7.36 (m, 8H), 6.40 (br. s, 1H), 4.80 (d, J = 8.3 Hz, 1H), 4.35-4.53 (m, 2H), 3.99 (br. s., 2H) 381 F 136 (S)-2-(2,5- difluorobenzyl)-N-(5- methyl-4-oxo- 2,3,4,5- tetrahydrobenzo[b] [1,4]oxazepin-3-yl)- 2H-tetrazole-5- carboxamide 1H NMR (DMSO-d6) δ: 9.15 (d, J = 8.0 Hz, 1H), 7.43- 7.56 (m, 2H), 7.22-7.41 (m, 5H), 6.09 (s, 2H), 4.88 (dt, J = 11.5, 7.9 Hz, 1H), 4.66 (t, J = 10.7 Hz, 1H), 4.43 (dd, J = 9.5, 8.0 Hz, 1H), 3.32 (s, 3H) 415 F 137 (S)-4-butoxy-N-(5- methyl-4-oxo- 2,3,4,5- tetrahydrobenzo[b] [1,4]oxazepin-3-yl) picolinamide 1H NMR (DMSO-d6) δ: 8.88 (d, J = 8.0 Hz, 1H), 8.49 (d, J = 5.5 Hz, 1H), 7.51 (dd, J = 7.5, 1.8 Hz, 1H), 7.45 (d, J = 2.5 Hz, 1H), 7.24-7.38 (m, 3H), 7.20 (dd, J = 5.8, 2.8 Hz, 1H), 4.86 (dt, J = 11.2, 7.8 Hz, 1H), 4.44-4.60 (m, 2H), 4.12 (t, J = 6.5 Hz, 2H), 3.34 (s, 3H), 1.66-1.78 (m, 2H), 1.43 (sxt, J = 7.4 Hz, 2H), 0.93 (t, J = 7.4 Hz, 3H) 370 F 138 (S)-4- (cyclopentyloxy)-N- (5-methyl-4-oxo- 2,3,4,5- tetrahydrobenzo[b] [1,4]oxazepin-3-yl) picolinamide 1H NMR (DMSO-d6) δ: 8.88 (d, J = 8.0 Hz, 1H), 8.48 (d, J = 5.8 Hz, 1H), 7.47-7.56 (m, 1H), 7.42 (d, J = 2.5 Hz, 1H), 7.22-7.39 (m, 3H), 7.16 (dd, J = 5.5, 2.5 Hz, 1H), 5.00 (t, J = 5.6 Hz, 1H), 4.86 (dt, J = 11.1, 8.0 Hz, 1H), 4.39-4.61 (m, 2H), 3.34 (br. s., 3H), 1.86-2.03 (m, 2H), 1.51-1.77 (m, 6H) 382 F 139 (S)-2-benzyl-N-(5- methyl-4-oxo- 2,3,4,5- tetrahydrobenzo[b] [1,4]oxazepin-3-yl)- 2H-tetrazole-5- carboxamide 1H NMR (DMSO-d6) δ: 9.14 (d, J = 8.0 Hz, 1H), 7.52 (d, J = 7.5 Hz, 1H), 7.19-7.45 (m, 8H), 6.03 (s, 2H), 4.87 (dt, J = 11.5, 7.9 Hz, 1H), 4.65 (t, J = 10.8 Hz, 1H), 4.42 (dd, J = 9.8, 8.0 Hz, 1H), 3.31 (s, 3H) 379 F 140 (S)-1-benzyl-N-(4- oxo-2,3,4,5- tetrahydrobenzo[b] [1,4]oxazepin-3-yl)- 1H-imidazole-4- carboxamide 1H NMR (DMSO-d6) δ: 10.17 (s, 1H), 8.06 (d, J = 7.8 Hz, 1H), 7.95 (s, 1H), 7.80 (s, 1H), 7.25-7.45 (m, 5H), 7.03-7.24 (m, 4H), 5.25 (s, 2H), 4.71-4.84 (m, 1H), 4.38-4.48 (m, 2H) 363 F 141 (S)-1-benzyl-N-(2- oxo-2,3,4,5- tetrahydro-1H- benzo[b]azepin-3-yl)- 1H-imidazole-4- carboxamide 1H NMR (DMSO-d6) δ: 10.01 (s, 1H), 7.83-7.92 (m, 2H), 7.72 (s, 1H), 7.24-7.43 (m, 7H), 7.12-7.20 (m, 1H), 7.03 (d, J = 7.8 Hz, 1H), 5.23 (s, 2H), 4.32 (dt, J = 11.4, 7.9 Hz, 1H), 2.65-2.84 (m, 2H), 2.40-2.50 (m, 1H), 2.10 (td, 1H) 361 F 142 (S)-N-(5-methyl-4- oxo-2,3,4,5- tetrahydrobenzo[b] [1,4]oxazepin-3-yl)- 1-(4-methylbenzyl)- 1H-1,2,3-triazole-4- carboxamide 1H NMR (DMSO-d6) δ: 8.66 (s, 1H), 8.57 (d, J = 8.0 Hz, 1H), 7.48-7.54 (m, 2H), 7.17-7.36 (m, 6H), 5.60 (s, 2H), 4.86 (dt, J = 11.5, 7.9 Hz, 1H), 4.60 (t, J = 10.8 Hz, 1H), 4.40 (dd, J = 9.7, 7.9 Hz, 1H), 3.31 (s, 3H), 2.28 (s, 3H) 392 F 143 (S)-1-(4- fluorobenzyl)-N-(5- methyl-4-oxo- 2,3,4,5- tetrahydrobenzo[b] [1,4]oxazepin-3-yl)- 1H-1,2,3-triazole-4- carboxamide 1H NMR (DMSO-d6) δ: 8.70 (s, 1H), 8.59 (d, J = 8.3 Hz, 1H), 7.51 (dd, J = 7.7, 1.4 Hz, 1H), 7.43 (dd, J = 8.4, 5.6 Hz, 2H), 7.18-7.37 (m, 5H), 5.65 (s, 2H), 4.86 (dt, J = 11.5, 8.0 Hz, 1H), 4.61 (t, J = 10.7 Hz, 1H), 4.40 (dd, J = 9.7, 7.9 Hz, 1H), 3.32 (s, 3H) 396 F 144 (S)-2-(2,5- difluorobenzyl)-N-(4- oxo-2,3,4,5- tetrahydrobenzo[b] [1,4]oxazepin-3-yl)- 2H-tetrazole-5- carboxamide 1H NMR (DMSO-d6) δ: 10.17 (s, 1H), 9.15 (d, J = 8.0 Hz, 1H), 7.43-7.51 (m, 1H), 7.33-7.41 (m, 2H), 7.09- 7.19 (m, 4H), 6.10 (s, 2H), 4.80-4.90 (m, 1H), 4.57 (t, J = 10.7 Hz, 1H), 4.45 (dd, 1H) 401 F 145 (S)-2-benzyl-N-(4- oxo-2,3,4,5- tetrahydrobenzo[b] [1,4]oxazepin-3-yl)- 2H-tetrazole-5- carboxamide 1H NMR (DMSO-d6) δ: 10.17 (s, 1H), 9.14 (d, J = 8.0 Hz, 1H), 7.36-7.46 (m, 5H), 7.10-7.18 (m, 4H), 6.05 (s, 2H), 4.86 (dt, J = 10.5, 7.3 Hz, 1H), 4.57 (t, J = 10.7 Hz, 1H), 4.45 (dd, 1H) 365 F 146 (S)-5-benzyl-N-(5- methyl-4-oxo- 2,3,4,5- tetrahydrobenzo[b] [1,4]oxazepin-3-yl)- 1,3,4-oxadiazole-2- carboxamide 1H NMR (DMSO-d6) δ: 9.43 (br. s., 1H), 7.52 (dd, J = 7.7, 1.6 Hz, 1H), 7.21-7.41 (m, 8H), 4.80 (br. s.. 1H), 4.65 (dd, J = 11.6. 9.9 Hz, 1H), 4.35-4.45 (m, 3H), 3.31 (s, 3H) 379 F 147 (S)-5-benzyl-N-(4- oxo-2,3,4,5- tetrahydrobenzo[b] [1,4]oxazepin-3-yl)- 1,3,4-oxadiazole-2- carboxamide 1H NMR (DMSO-d6) δ: 10.17 (s, 1H), 9.43 (d, J = 8.0 Hz, 1H), 7.28-7.42 (m, 5H), 7.11-7.17 (m, 4H), 4.79 (dt, J = 10.5, 7.3 Hz, 1H), 4.56 (t, J = 10.5 Hz, 1H), 4.44 (dd, J = 10.5, 6.5 Hz, 1H), 4.39 (s, 2H) 365 F 148 (S)-3-benzyl-N-(4- chloro-5-methyl-6- oxo-6,7,8,9- tetrahydro-5H- pyrimido[4,5-b] [1,4]diazepin-7-yl)- 1H-pyrazole-5- carboxamide 1H NMR (DMSO-d6) δ: 13.23 (br. s., 1H), 8.22-8.31 (m, 1H), 8.20 (s, 1H), 8.02 (br. s., 1H), 7.29-7.34 (m, 2H), 7.21-7.27 (m, 3H), 6.41 (br. s., 1H), 4.80-4.92 (m, 1H), 3.99 (br. s., 2H), 3.64 (br. s., 1H), 3.39-3.50 (m, 1H), 3.17 (s, 3H) 412 F 149 (S)-3-benzyl-N-(4- chloro-6-oxo-6,7,8,9- tetrahydro-5H- pyrimido[4,5-b] [1,4]diazepin-7-yl)- 1H-pyrazole-5- carboxamide 1H NMR (DMSO-d6) δ: 13.24 (s, 1H), 9.75 (s, 1H), 8.35 (d, J = 7.0 Hz, 1H), 8.10 (s, 1H), 8.05 (d, J = 6.0 Hz, 1H), 7.19-7.37 (m, 5H), 6.43 (s, 1H), 4.73 (t, J = 7.5 Hz, 1H), 4.01 (s, 2H), 3.59- 3.69 (m, 1H), 3.42-3.53 (m, 1H) 398 F 150 (S)-1-(3- fluorobenzyl)-N-(4- oxo-2,3,4,5- tetrahydrobenzo[b] [1,4]oxazepin-3-yl)- 1H-1,2,3-triazole-4- carboxamide 1H NMR (DMSO-d6) δ: 10.14 (s, 1H), 8.76 (s, 1H), 8.60 (d, J = 8.0 Hz, 1H), 7.44 (q, J = 7.1 Hz, 1H), 7.06- 7.28 (m, 7H), 5.70 (s, 2H), 4.77-4.92 (m, 1H), 4.48- 4.61 (m, 1H), 4.39-4.48 (m, 1H) 382 F 151 (S)-5-benzyl-N-(5- methyl-4-oxo- 2,3,4,5- tetrahydrobenzo[b] [1,4]oxazepin-3-yl)- 1,2,4-oxadiazole-3- carboxamide 1H NMR (DMSO-d6) δ: 9.10 (d, J = 7.8 Hz, 1H), 7.52 (dd, J = 7.8, 1.8 Hz, 1H), 7.21- 7.41 (m, 8H), 4.84 (dt, J = 11.4, 7.9 Hz, 1H), 4.62 (dd, J = 11.5, 10.0 Hz, 1H), 4.46 (s, 2H), 4.42 (dd, J = 9.9, 7.6 Hz, 1H), 3.31 (s, 3H) 379 F 152 (S)-3-benzyl-N-(6- oxo-6,7,8,9- tetrahydro-5H- pyrimido[4,5-b] [1,4]diazepin-7-yl)- 1H-pyrazole-5- carboxamide 1H NMR (DMSO-d6) δ: 13.22 (br. s., 1H), 10.25 (s, 1H), 8.20 (s, 1H), 8.09 (br. s.. 1H), 7.95-8.04 (m, 2H), 7.29-7.35 (m, 2H), 7.20- 7.28 (m, 3H), 6.43 (s, 1H), 4.55-4.65 (m, 1H), 4.01 (s, 2H), 3.54-3.63 (m, 1H), 3.38-3.48 (m, 1H) 364 F 153 (S)-3-benzyl-N-(5- methyl-6-oxo- 6,7,8,9-tetrahydro- 5H-pyrimido[4,5-b] [1,4]diazepin-7-yl)- 1H-pyrazole-5- carboxamide 1H NMR (DMSO-d6) δ: 9.08 (br. s., 1H), 8.52 (s, 1H), 8.43 (s, 1H), 8.17 (br. s., 1H), 7.19- 7.36 (m, 6H), 6.44 (s, 1H), 4.78-4.89 (m, 1H), 4.00 (s, 2H), 3.55-3.70 (m, 2H), 3.33 (s, 3H) 378 F 154 (S)-1-benzyl-N-(5- methyl-6-oxo- 6,7,8,9-tetrahydro- 5H-pyrimido[4,5-b] [1,4]diazepin-7-yl)- 1H-1,2,4-triazole-3- carboxamide 1H NMR (DMSO-d6) δ: 9.10 (br. s., 1H), 8.87 (s, 1H), 8.52 (s, 1H), 8.42-8.49 (m, 2H), 7.30-7.43 (m, 5H), 5.51 (s, 2H), 4.82-4.89 (m, 1H), 3.58-3.71 (m, 2H), 3.34 (s, 3H) 379 F 155 (S)-5-benzyl-N-(4- oxo-2,3,4,5- tetrahydrobenzo[b] [1,4]oxazepin-3-yl)- 1,2,4-oxadiazole-3- carboxamide 1H NMR (DMSO-d6) δ: 10.17 (s, 1H), 9.07 (d, J = 8.0 Hz, 1H), 7.08-7.46 (m, 9H), 4.76-4.89 (m, 1H), 4.37- 4.61 (m, 4H) 365 F 156 (S)-5- (difluoro(phenyl) methyl)-N-(4-oxo- 2,3,4,5- tetrahydrobenzo[b] [1,4]oxazepin-3- yl)isoxazole-3- carboxamide 1H NMR (400 MHz, CDCl3) δ ppm 4.34 (t, 1 H) 4.79 (dd, J = 10.36, 6.57 Hz, 1 H) 5.09 (dt, J = 10.55, 6.60 Hz, 1 H) 6.87 (s, 1 H) 7.05-7.10 (m, 1 H) 7.13-7.23 (m, 3 H) 7.45-7.68 (m, 5 H) 7.83 (d, J = 6.82 Hz, 1 H) 8.26 (s, 1 H) 400 A 157 (S)-5- (difluoro(phenyl) methyl)-N-(5-methyl- 4-oxo-2,3,4,5- tetrahydrobenzo[b] [1,4]oxazepin-3- yl)isoxazole-3- carboxamide 1H NMR (400 MHz, CDCl3) δ ppm 3.46 (s, 3 H) 4.28 (dd, J = 11.12, 9.85 Hz, 1 H) 4.76 (dd, J = 9.85, 7.33 Hz, 1 H) 5.04 (dt, J = 11.12, 7.07 Hz, 1 H) 6.83 (s, 1H) 7.18-7.32 (m, 5 H) 7.45-7.56 (m, 3 H) 7.56-7.64 (m, 2 H) 7.83 (d, J = 6.82 Hz, 1 H) 414 A 158 (S)-5-(3- bromobenzyl)-N-(5- methyl-4-oxo- 2,3,4,5- tetrahydrobenzo[b] [1,4]oxazepin-3-yl)- 1H-pyrazole-3- carboxamide 1H NMR (400 MHz, CDCl3) δ ppm 3.34 (s, 3 H) 3.91 (s, 2 H) 4.21 (dd, J = 11.37, 9.85 Hz, 1 H) 4.59 (dd, J = 9.85, 7.58 Hz, 1H) 5.06 (dt, J = 11.49, 7.64 Hz, 1H) 6.43 (s, 1 H) 7.00-7.21 (m, 6 H) 7.21-7.32 (m, 2 H) 8.07 (d, J = 7.58 Hz, 1 H) 12.45 (br. s., 1 H) 455 A 159 (S)-5-(4- bromobenzyl)-N-(5- methyl-4-oxo- 2,3,4,5- tetrahydrobenzo[b] [1,4]oxazepin-3-yl)- 1H-pyrazole-3- carboxamide 1H NMR (400 MHz, DMSO- d6) δ ppm 3.31 (s, 3 H) 3.97 (s, 2 H) 4.39 (dd, J = 9.60, 7.83 Hz, 1 H) 4.52 (t, J = 10.74 Hz, 1H) 4.83 (d, J = 11.62 Hz, 1 H) 6.38 (s, 1 H) 7.09-7.40 (m, 5 H) 7.43- 7.62 (m, 3 H) 8.08 (d, J = 8.08 Hz, 1 H) 13.22 (s, 1 H) 455 A 160 5-benzyl-N-(7- bromo-2-oxo-2,3,4,5- tetrahydro-1H- benzo[b]azepin-3- yl)isoxazole-3- carboxamide 1H NMR (400 MHz, CDCl3) δ ppm 2.02-2.75 (m, 2 H) 2.77-3.09 (m, 2 H) 4.12 (s, 2 H) 4.66 (dt, J = 11.18, 7.67 Hz, 1 H) 6.34 (s, 1 H) 6.91 (d, J = 8.34 Hz, 1 H) 7.23- 7.39 (m, 5 H) 7.39-7.49 (m, 3 H) 7.68 (d, J = 6.82 Hz, 1 H) 442 F -
- Preparation 1: The title compound was prepared via coupling of the appropriate amine and acid using Method H.
- Preparation 2: To a solution of (S)-3-amino-4,5-dihydro-1H-benzo[b]azepin-2(3H)-one (50 g, 284 mmol), 5-benzyl-4H-1,2,4-triazole-3-carboxylic acid (72.1 g, 355 mmol) in dichloromethane (1500 ml) was added DIPEA (173 ml, 993 mmol) at 15° C. The reaction mixture was stirred for 20 minutes and 2,4,6-tripropyl-1,3,5,2,4,6-
2,4,6-trioxide (236 ml, 397 mmol) was slowly added at 15° C. The reaction was stirred for over night. The resulting solid was filtered and the solid was washed with DCM. The solid was dried under vacuum at 50° C. for over night. For the filtration, it was concentrated under rotary-evaporator and to the sticky residue added plenty of cold water and stirring, the slowly precipitated white solid was collected and washed the solid with water and ethyl ether. The solid was dried under vacuum at 50° C. for 3 days to afford the product (S)-5-benzyl-N-(2-oxo-2,3,4,5-tetrahydro-1H-benzo[b]azepin-3-yl)-4H-1,2,4-triazole-3-carboxamide (Total recovery: 102 g, 282 mmol, 99% yield). 1H NMR (MeOH-d4) δ: 7.18-7.48 (m, 8H), 7.10 (d, J=7.6 Hz, 1H), 4.58 (m, 1H), 4.17 (s, 2H), 2.97 (m 1H), 2.77 (m, 1H), 2.67 (m, 1H), 2.23 (m, 1H). MS (m/z) 362 (M+H+).trioxatriphosphinane - To a solution of (S)-5-benzyl-N-(2-oxo-2,3,4,5-tetrahydro-1H-benzo[b]azepin-3-yl)-4H-1,2,4-triazole-3-carboxamide (35 g, 97 mmol) in DMA (700 ml) was added NCS (14.87 g, 111 mmol) at 0° C. After 30 mins, the reaction mixture was warmed up to RT and continued stirring for 5 hrs. A second portion of NCS (3.88 g, 29.1 mmol) was added to the reaction mixture and stirring continued for an additional 24 hrs. A third portion of NCS (1.293 g, 9.68 mmol) was then added and the solution was stirred at RT for 16 h further. The reaction was then quenched with cold water. The white solid was collected by filtration and washed with
water 3 times to provide (S)-5-benzyl-N-(7-chloro-2-oxo-2,3,4,5-tetrahydro-1H-benzo[b]azepin-3-yl)-4H-1,2,4-triazole-3-carboxamide (36 g, 91 mmol, 94% yield). The product was air dried overnight. Additional purification was achieved by suspending (S)-5-benzyl-N-(7-chloro-2-oxo-2,3,4,5-tetrahydro-1H-benzo[b]azepin-3-yl)-4H-1,2,4-triazole-3-carboxamide (10 g, 25.3 mmol) in hot methanol (500 mL) for 1 h. The solution was then cooled to RT, filtered and the solid was washed withmethanol 2 times (75 mL) to give the product (7 g, 70% yield). 1H NMR (DMSO-d6) δ: 10.06 (s, 1H), 8.31 (br. s., 1H), 7.44 (d, J=2.5 Hz, 1H), 7.18-7.40 (m, 7H), 7.05 (d, J=8.6 Hz, 1H), 4.32 (dt, J=11.5, 7.9 Hz, 1H), 4.11 (s, 2H), 2.63-2.80 (m, 2H), 2.37-2.49 (m, 1H), 2.25 (br. s., 1H). MS (m/z) 396/398 (M+H+). - The following compounds were prepared via coupling of the appropriate amine and acid using the method indicated.
-
162 (S)-5-benzyl-N-(7- bromo-2-oxo-2,3,4,5- tetrahydro-1H- benzo[b]azepin-3-yl)- 1H-pyrazole-3- carboxamide 1H NMR (400 MHz, MeOD- d4) δ ppm 2.17 (m, 1 H) 2.65 (m, 1 H) 2.72-2.81 (m, 1 H) 2.86-3.00 (m, 1 H) 4.03 (s, 2 H) 4.55 (dd, J = 11.62, 8.08 Hz, 1 H) 6.47 (s, 1 H) 7.01 (d, J = 8.34 Hz, 1 H) 7.23 (d, J = 7.58 Hz, 3 H) 7.30 (d, J = 6.82 Hz, 2 H) 7.46 (dd, J = 8.46, 2.15 Hz, 1 H) 7.53 (d, J = 2.27 Hz, 1 H) 440 F 163 (S)-5-benzyl-N-(7- bromo-2-oxo-2,3,4,5- tetrahydro-1H- benzo[b]azepin-3-yl)- 4H-1,2,4-triazole-3- carboxamide 1H NMR (400 MHz, DMSO- d6) δ ppm 2.66-2.80 (m, 2 H) 3.39 (m, 2 H) 4.12 (br. s., 2 H) 4.24-4.42 (m, 1 H) 6.99 (d, J = 8.34 Hz, 1 H) 7.16-7.41 (m, 5 H) 7.47 (dd, J = 8.34, 2.27 Hz, 1 H) 7.57 (d, J = 2.27 Hz, 1 H) 10.06 (s, 1H) 442 H 164 (S)-5-benzyl-N-(6- fluoro-8-methyl-4- oxo-2,3,4,5- tetrahydrobenzo[b] [1,4]oxazepin-3-yl)- 4H-1,2,4-triazole- 3-carboxamide 1H NMR (DMSO-d6) δ: 14.38 (br. s., 1H), 10.02 (s, 1H), 8.42 (br. s., 1H), 7.21- 7.38 (m, 5H), 7.00 (d, J = 10.8 Hz, 1H), 6.90 (s, 1H), 4.85 (dt, J = 11.1, 7.6 Hz, 1H), 4.57-4.68 (m, 1H), 4.45 (dd, J = 9.9, 7.4 Hz, 1H), 4.13 (br. s., 2H), 2.30 (s, 3H) 396.2 F 165 (S)-5-benzyl-N-(7- cyano-2-oxo-2,3,4,5- tetrahydro-1H- benzo[b]azepin-3-yl)- 4H-1,2,4-triazole-3- carboxamide 1H NMR (400 MHz, DMSO- d6) δ ppm 2.34 (m, 2 H) 2.62- 2.87 (m, 2 H) 4.12 (br. s., 2 H) 4.23-4.48 (m, 1 H) 7.19 (d, J = 8.34 Hz, 1 H) 7.21- 7.39 (m, 5 H) 7.75 (dd, J = 8.21, 1.89 Hz, 1 H) 7.83 (d, J = 1.77 Hz, 1 H) 8.30 (br. s., 1 H) 10.38 (s, 1 H) 387 F 166 (S)-5-benzyl-N-(2- oxo-7-(1H-tetrazol-5- yl)-2,3,4,5- tetrahydro-1H- benzo[b]azepin-3-yl)- 4H-1,2,4-triazole-3- caiboxamide 1H NMR (400 MHz, DMSO- d6) δ ppm 2.20-2.39 (m, 1 H) 2.44 (m, 1 H) 2.75-2.85 (m, 2 H) 4.11 (s, 2 H) 4.39 (dt, J = 11.37, 7.83 Hz, 1 H) 7.12 (d, J = 8.34 Hz, 1 H) 7.20- 7.38 (m, 5 H) 7.91 (dd, J = 8.21, 1.89 Hz, 1 H) 7.97 (d, J = 1.52 Hz, 1 H) 8.32 (br. s., 1 H) 10.12 (s, 1 H) 430 F1 167 (S)-5-benzyl-N-(2- oxo-7-(1H-pyrazol-4- yl)-2,3,4,5- tetrahydro-1H- benzo[b]azepin-3-yl)- 4H-1,2,4-triazole-3- carboxamide 1H NMR (400 MHz, DMSO- d6) δ ppm 1.42 (d, J = 7.83 Hz, 1 H) 1.80-1.96 (m, 1 H) 1.97-2.11 (m, 1H) 2.11- 2.27 (m, 1 H) 3.35 (s, 2 H) 3.82 (dd, J = 11.49, 7.96 Hz, 1 H) 6.29 (d, J = 8.08 Hz, 1 H) 6.38-6.59 (m, 5 H) 6.65- 6.82 (m, 2 H) 7.19 (br. s., 2 H) 428 F 168 5-benzyl-N-(1- methyl-2-oxo-7- (2,2,2-trifluoro-1,1- dihydroxyethyl)- 2,3,4,5-tetrahydro- 1H-benzo[b]azepin- 3-yl)-1H-pyrazole-3- carboxamide 1H NMR (400 MHz, CDCl3) δ ppm 2.11 (m, 2 H) 2.51- 2.70 (m, 2 H) 3.44 (s, 3 H) 4.00 (s, 2 H) 4.68 (dt, J = 11.56, 7.86 Hz, 1 H) 6.50 (s, 1 H) 7.14-7.32 (m, 6 H) 7.37 (d, J = 8.34 Hz, 1 H) 7.96 (s, 1 H) 8.05 (d, J = 8.34 Hz, 1 H) 8.22 (d, J = 7.83 Hz, 1 H) 489 F 169 (S)-5-benzyl-N-(5- methyl-7-(5-methyl- 1,3,4-oxadiazol-2- yl)-4-oxo-2,3,4,5- tetrahydrobenzo[b][1, 4]oxazepin-3-yl)-4H- 1,2,4-triazole-3- carboxamide 1H NMR (DMSO-d6) δ: 14.38 (br. s., 1H), 8.45 (br. s., 1H), 8.04 (d, J = 1.5 Hz, 1H), 7.88 (dd, J = 8.3, 1.8 H, 1H), 7.45 (d, J = 8.5 Hz, 1H), 7.23-7.37 (m, 5H), 4.91 (dt, J = 11.5, 7.8 Hz, 1H), 4.62- 4.81 (m, 1H), 4.49 (dd, J = 9.4, 7.9 Hz, 1H), 4.14 (br. s., 2H), 3.39 (s, 3H), 2.61 (s, 3H) 460.2 F 170 (S)-1-benzyl-N-(7- bromo-2-oxo-2,3,4,5- tetrahydro-1H- benzo[b]azepin-3-yl)- 1H-1,2,4-triazole-3- carboxamide 1H NMR (400 MHz, DMSO- d6) δ ppm 2.22 (t, J = 11.62 Hz, 1 H) 2.37-2.48 (m, 1 H) 2.63-2.79 (m, 2H) 4.32 (dt, J = 11.43, 7.80 Hz, 1 H) 5.48 (s, 2 H) 6.99 (d, J = 8.34 Hz, 1 H) 7.27-7.42 (m, 5 H) 7.47 (dd, J = 8.46, 2.40 Hz, 1 H) 7.57 (d, J = 2.27 Hz, 1 H) 8.29 (d, J = 7.58 Hz, 1 H) 8.82 (s, 1 H) 10.07 (s, 1 H) 442 F 171 N-[(3S)-7-deuterio- 1-methyl-2-oxo- 2,3,4,5-tetrahydro- 1H-1-benzazepin-3- yl]-5-(phenylmethyl)- 1H-pyrazole-3- carboxamide 1H NMR (400 MHz, MeOD- d4) δ ppm 2.10-2.21 (m, 1 H) 2.54 (br. s., 1 H) 2.68- 2.81 (m, 1 H) 2.86 (dd, J = 13.26, 7.96 Hz, 1 H) 3.41 (s, 3 H) 4.02 (s, 2 H) 4.52 (dd, J = 11.62, 7.83 Hz, 1 H) 6.45 (br. s., 1 H) 7.23 (d, J = 7.33 Hz, 3 H) 7.26-7.35 (m, 4 H) 7.35-7.44 (m, 2 H) 376 A 172 (R)-5-benzyl-N-(4- oxo-2,3,4,5- tetrahydrobenzo[b] [1,4]thiazepin-3- yl)isoxazole-3- carboxamide 1H NMR (CDCl3) δ: 7.80 (br. s., 1H), 7.70 (dd, J = 7.7, 1.4 Hz, 1H), 7.49-7.60 (m, 1H), 7.18-7.48 (1H, 5H), 7.14 (dd, J = 7.8, 1.3 Hz, 1H), 6.33 (s. 1H), 4.86 (dt, J = 11.7, 7.0 Hz, 1H), 4.13 (s, 2H), 3.98 (dd, J = 11.1, 6.6 Hz, 1H), 3.04 (t, J = 11.4 Hz, 1H) 380 A 173 (S)-3-butoxy-N-(4- oxo-2,3,4,5- tetrahydrobenzo[b] [1,4]oxazepin-3- yl)benzamide 1H NMR (DMSO-d6) δ: 10.08 (br. s., 1H), 8.67 (d, J = 8.0 Hz, 1H), 7.42 (d, J = 4.5 Hz, 4H), 7.16 (br. s., 6H), 4.90 (d, J = 8.0 Hz, 1H), 4.33-4.67 (m, 2H), 4.02 (br. s., 2H), 1.72 (d, J = 5.0 Hz, 2H), 1.30-1.56 (m, 2H), 0.77- 1.06 (m, 3H) 355 F 174 (S)-5-(4- methoxybenzyl)-N- (4-oxo-2,3,4,5- tetrahydrobenzo[b] [1,4]oxazepin-3- yl)thiophene-2- carboxamide 1H NMR (DMSO-d6) δ: 10.07 (s, 1H), 8.52-8.69 (m, 1H), 7.69 (d, J = 3.8 Hz, 1H), 7.05-7.28 (m, 6H), 6.78- 7.01 (m, 3H), 4.67-4.94 (m, 1H), 4.46 (s, 2H), 4.08 (s, 2H), 3.72 (s, 3H) 409 F 175 (R)-N-(5-methyl-4- oxo-2,3,4,5- tetrahydrobenzo[b][1, 4]thiazepin-3-yl)-3- phenoxybenzamide 1H NMR (DMSO-d6) δ: 8.91 (d, J = 7.8 Hz, 1H), 7.56- 7.75 (m, 4H), 6.92-7.55 (m, 8H), 4.58 (dt, J = 12.1, 7.4 Hz, 1H), 3.52 (dd, J = 11.4, 7.1 Hz, 2H), 3.29 (s, 3H) 405 A 176 (S)-N-(5-methyl-4- oxo-2,3,4,5- tetrahydrobenzo[b] [1,4]oxazepin-3-yl)- 5-(4-methylbenzyl)- 1H-pyrazole-3- carboxamide 1H NMR (DMSO-d6) δ: 13.18 (br. s., 1H), 8.40-8.72 (m, 1H), 8.05 (d, J = 7.8 Hz, 1H), 7.50 (dd, J = 7.6, 1.8 Hz, 1H), 7.01-7.40 (m, 6H), 6.34 (br. s., 1H), 5.76 (s, 1H), 4.72-5.01 (m, 1H), 4.25- 4.68 (m, 2H), 3.93 (br. s., 3H), 2.26 (s, 3H) 391 A 177 (S)-N-(5-methyl-4- o.xo-2,3,4,5- tetrahydrobenzo[b] [1,4]oxazepin-3-yl)- 5-pentyl-1H- pyrazole-3- carboxamide 1H NMR (DMSO-d6) 13.04 (s, 1H), 8.06 (d, J = 8.0 Hz, 1H), 7.50 (dd, J = 7.7, 1.6 Hz, 1H), 7.08-7.41 (m, 3H), 6.38 (d, J = 1.5 Hz, 1H), 4.71-4.97 (m, 1H), 4.28-4.64 (m, 2H), 2.49-2.56 (m, 3H), 1.46-1.80 (m, 2H), 1.12- 1.43 (m, 6H), 0.86 (t, J = 6.9 Hz, 3H) 357 F 178 (S)-1-(2-iodobenzyl)- N-(5-methyl-4-oxo- 2,3,4,5- tetrahydrobenzo[b] [1,4]oxazepin-3-yl)- 1H-pyrazole-3- carboxamide 1H NMR (DMSO-d6) 8.15 (d, J = 8.0 Hz, 1H), 7.82-8.01 (m, 2H), 7.51 (dd, J = 7.7, 1.6 Hz, 1H), 7.19-7.45 (m, 4H), 7.11 (td, J = 7.7, 1.5 Hz, 1H), 6.65-6.83 (m, 2H), 5.45 (s, 2H), 4.85 (dt, J = 11.5, 7.9 Hz, 1H), 4.55 (dd, J = 11.5, 10.0 Hz, 1H), 4.40 (dd, J = 9.8, 7.8 Hz, 1H), 3.16-3.40 (m, 3H) 503 F 179 (S)-3-(4- methoxyphenethyl)- N-(5-methyl-4-oxo- 2,3,4,5- tetrahydrobenzo[b] [1,4]oxazepin-3- yl)isoxazole-5- carboxamide 1H NMR (DMSO-d6) δ: 9.14 (d, J = 8.0 Hz, 1H), 7.53 (dd, J = 7.8, 1.8 Hz, 1H), 6.96- 7.41 (m, 5H), 6.75-6.97 (m, 3H), 4.83 (dt, J = 11.5, 8.0 Hz, 1H), 4.31-4.68 (m, 2H), 3.64-3.78 (m, 3H), 3.31 (s. 3H), 2.83-3.07 (m, 4H) 422 F 180 (S)-5-isobutyl-N-(5- methyl-4-oxo- 2,3,4,5- tetrahydrobenzo[b] [1,4]oxazepin-3- yl)isoxazole-3- carboxamide 1H NMR (DMSO-d6) δ: 8.86 (d, J = 8.1 Hz, 1H), 7.52 (dd, J = 7.7, 1.6 Hz, 1H), 7.10- 7.44 (m, 3H), 6.58 (s, 1H), 4.85 (dt, J = 11.6, 8.0 Hz, 1H), 4.61 (dd, J = 11.6, 9.9 Hz, 1H), 4.41 (dd, J = 9.7, 7.7 Hz, 1H), 3.31 (s. 3H), 2.71 (d, J = 7.1 Hz, 2H), 2.00 (dt, J = 13.5, 6.8 Hz, 1H), 0.91 (d, 6H) 344 F 181 (S)-5-isobutyl-N-(5- methyl-4-oxo- 2,3,4,5- tetrahydrobenzo[b] [1,4]oxazepin-3-yl)- 1H-pyrazole-3- carboxamide 1H NMR (DMSO-d6) 13.04 (br. s., 1H), 8.09 (br. s., 1H), 7.51 (dd, J = 7.7, 1.9 Hz, 1H), 7.09-7.43 (m, 3H), 6.39 (br. s., 1H), 4.84 (dt, J = 11.5, 7.9 Hz, 1H), 4.27-4.65 (m, 2H), 2.48 (d, J = 7.0 Hz, 3H), 1.88 (dt, J = 13.6, 6.8 Hz, 2H), 1.09-1.41 (m, 1H), 0.67-1.06 (m, 6H) 343 F 182 (S)-N-(5-methyl-4- oxo-2,3,4.5- tetrahydrobenzo[b] [1,4]oxazepin-3-yl)- 5-propyl-1H- pyrazole-3- carboxamide 1H NMR (DMSO-d6) 8.11 (d. J = 8.0 Hz, 1H), 7.51 (dd, J = 7.7, 1.9 Hz, 1H), 7.16-7.44 (m, 3H), 6.42 (s, 1H), 4.84 (dt, J = 11.5, 7.9 Hz, 1H), 4.25-4.67 (m, 2H), 3.32 (s, 3H), 2.58 (t, J = 7.4 Hz, 2H), 1.51-1.69 (m, 2H), 1.20- 1.30 (m, 0H), 0.88 (t, J = 7.3 Hz, 3H) 329 F 183 (S)-1-benzyl-N-(5- methyl-4-oxo- 2,3,4,5- tetrahydrobenzo[b] [1,4]oxazepin-3-yl)- 1H-pyrazole-4- carboxamide 1H NMR (DMSO-d6) 8.17- 8.45 (m, 2H), 7.92 (s, 1H), 7.52 (dd, J = 7.8, 1.8 Hz, 1H), 7.14-7.43 (m, 9H), 5.28-5.47 (m, 2H), 4.89 (dt, J = 11.7, 8.3 Hz, 1H), 4.24- 4.57 (m, 2H), 3.40 (br. s., 3H) 377 F 184 (S)-3-(allyloxy)-N- (5-methyl-4-oxo- 2,3,4,5- tetrahydrobenzo[b] [1,4]oxazepin-3- yl)benzamide 1H NMR (DMSO-d6) 8.66 (d, J = 8.3 Hz, 1H), 6.94- 7.65 (m, 8H), 5.93-6.21 (m, J = 17.3, 10.5, 5.2, 5.2 Hz, 1H), 5.42 (dd, J = 17.2, 1.6 Hz, 1H), 5.28 (dd, J = 10.5, 1.5 Hz, 1H), 4.93 (dt, J = 11.7, 8.1 Hz, 1H), 4.51-4.73 (m, 3H), 4.41 (dd, J = 9.8, 7.8 Hz, 1H), 3.32 (s, 3H) 353 F 185 (S)-3-butoxy-N-(5- methyl-4-oxo- 2,3,4,5- tetrahydrobenzo[b] [1,4]oxazepin-3- yl)benzamide 1H NMR (DMSO-d6) 8.65 (d, J = 8.5 Hz, 1H), 7.53 (dd, J = 7.8, 1.8 Hz, 1H), 7.19-7.47 (m, 5H), 7.05-7.17 (m, 1H), 6.97 (s, 1H), 4.93 (dt, J = 11.8, 8.2 Hz, 1H), 4.58 (dd, J = 11.8, 10.0 Hz, 1H), 4.41 (dd, J = 9.9, 7.9 Hz, 1H), 4.02 (t, J = 6.4 Hz, 2H), 3.32 (s, 3H), 1.61-1.82 (m, 2H), 1.34-1.60 (m, 2H), 0.95 (t, J = 7.4 Hz, 3H) 367 F 186 (S)-N-(5-methyl-4- oxo-2,3,4,5- tetrahydrobenzo[b] [1,4]oxazepin-3-yl)- 6-phenoxy picolinamide 1H NMR (DMSO-d6) 8.42 (d, J = 7.6 Hz, 1H), 7.94- 8.11 (m, 1H), 7.73 (d, J = 6.8 Hz, 1H), 7.42-7.61 (m, 3H), 7.20-7.39 (m, 5H), 7.13 (d, J = 8.1 Hz, 1H), 4.81 (dt, J = 11.4, 7.6 Hz, 1H), 4.49 (dd, J = 9.9, 7.6 Hz, 1H), 4.37 (dd, J = 11.4, 10.1 Hz, 1H), 3.33- 3.39 (m, 3H) 390 F 187 (S)-N-(5-methyl-4- oxo-2,3,4,5- tetrahydrobenzo[b] [1,4]oxazepin-3-yl)- 3-phenethyl-1H- pyrazole-5- carboxamide 1H NMR (DMSO-d6) 13.09 (br. s., 1H), 8.06 (br. s., 1H), 7.50 (dd, J = 7.7, 1.6 Hz, 1H), 7.07-7.39 (m, 8H), 6.38 (br. s., 1H), 4.83 (dt, J = 11.2, 7.9 Hz, 1H), 4.25-4.62 (m, 2H), 3.35 (s, 3H), 2.92 (s, 4H) 391 A 188 (S)-N-(2-oxo-2,3,4,5- tetrahydro-1H- benzo[b]azepin-3-yl)- 3-phenethyl-1H- pyrazole-5- carboxamide 1H NMR (DMSO-d6) 13.09 (br. s., 1H), 8.06 (br. s., 1H), 7.50 (dd, J = 7.7, 1.6 Hz, 1H), 7.07-7.39 (m, 8H), 6.38 (br. s., 1H), 4.83 (dt, J = 11.2, 7.9 Hz, 1H), 4.25-4.62 (m, 2H), 2.92 (s, 4H), 2.81- 2.91 (m, 2H) 375 A 189 (S)-1-methyl-N-(5- methyl-4-oxo- 2,3,4,5- tetrahydrobenzo[b] [1,4]oxazepin-3-yl)- 5-(phenoxymethyl)- 1H-pyrazole-3- carboxamide 1H NMR (DMSO-d6) 8.11 (d, J = 8.1 Hz, 1H), 6.89-7.61 (m, 9H), 6.76 (s, 1H), 5.21 (s, 2H), 4.84 (dt, J = 11.6, 7.9 Hz, 1H), 4.32-4.66 (m, 2H), 3.93 (s, 3H), 3.32 (d, J = 4.0 Hz, 2H) 407 F 190 (S)-5-benzyl-N-(1- methyl-2-oxo- 2,3,4,5-tetrahydro- 1H-benzo[b] [1,4]diazepin-3-yl)- 1H-pyrazole-3- carboxamide 1H NMR (DMSO-d6) 13.19 (s, 1H), 7.91 (d, J = 7.3 Hz, 1H), 6.91-7.46 (m, 9H), 6.37 (s, 1H), 5.38 (d, J = 5.6 Hz, 1H), 4.64 (d, J = 6.6 Hz, 1H), 3.85-4.20 (m, 3H), 3.65 (d, J = 1.0 Hz, 1H), 3.36- 3.56 (m, 1H), 3.33 (s, 3H) 376 F 191 (S)-5-(2- fluorobenzyl)-N-(1- methyl-2-oxo- 2,3,4,5-tetrahydro- 1H-benzo[b]azepin- 3-yl)-1H-pyrazole-3- carboxamide 1H NMR (DMSO-d6) 13.19 (br. s., 1H), 7.91 (br. s., 1H), 6.83-7.68 (m, 7H), 6.29 (br. s., 1H), 4.22-4.47 (m, 1H), 3.86-4.20 (m, 2H), 3.33 (s, 3H), 2.57-2.87 (m, 2H), 2.14 (br. s., 2H) 393 A 192 (S)-5-(2- fluorobenzyl)-N-(5- methyl-4-oxo- 2,3,4,5- tetrahydrobenzo[b] [1,4]oxazepin-3-yl)- 1H-pyrazole-3- carboxamide 1H NMR (DMSO-d6) 13.27 (br. s., 1H), 8.43-8.79 (m, 1H), 8.09 (br. s., 1H), 7.49 (d, J = 7.3 Hz, 1H), 7.01- 7.41 (m, 6H), 6.32 (br. s., 1H), 4.75-4.97 (m, 1H), 4.25-4.66 (m, 2H), 4.01 (br. s., 2H), 3.34 (s, 3H) 395 A 193 (S)-5-benzyl-N-(5- oxo-3,4,5,6- tetrahydro-2H- benzo[b] [1,4]oxazocin-4- yl)isoxazole-3- carboxamide 1H NMR (CDCl3) 7.90 (d, J = 6.8 Hz, 1H), 7.79 (s, 1H), 7.07-7.47 (m, 7H), 6.32 (s, 1H), 5.32 (s, 1H), 4.56-4.88 (m, 2H), 3.93-4.25 (m, 3H), 2.26-2.48 (m, 1H), 1.98- 2.20 (m, 1H) 378 A 194 (S)-5- ((methyl(phenyl) amino)methyl)-N-(5- methyl-4-oxo- 2,3,4,5- tetrahydrobenzo[b] [1,4]oxazepin-3-yl)- 1H-pyrazole-3- carboxamide 1H NMR (DMSO-d6) 13.27 (br. s., 1H), 7.85-8.22 (m, 1H), 6.42-7.68 (m, 9H), 6.36 (br. s., 1H), 4.83 (br. s., 1H), 4.28-4.74 (m, 4H), 3.17-3.42 (m, 3H), 2.69 (s, 3H) 406 A 195 (S)-1-benzyl-N-(5- methyl-4-oxo- 2,3,4,5- tetrahydrobenzo[b] [1,4]oxazepin-3-yl)- 1H-1,2,3-triazole-4- carboxamide 1H NMR (DMSO-d6) δ: 8.69 (s, 1H), 8.57 (d, J = 8.1 Hz, 1H), 7.51 (dd, J = 7.7, 1.6 Hz, 1H), 7.17-7.43 (m, 8H), 5.66 (s, 2H), 4.86 (d, J = 11.6 Hz, 1H), 4.60 (dd, J = 11.6, 10.1 Hz, 1H), 4.40 (dd, J = 9.9, 7.6 Hz, 1H), 3.22-3.40 (m, 3H) 378 A 196 (S)-N-(5-methyl-4- oxo-2,3,4,5- tetrahydrobenzo[b] [1,4]oxazepin-3-yl)- 5-(thiophen-2- ylmethyl)-4H- 1,2,4-triazole-3- carboxamide 1H NMR (DMSO-d6) δ: 14.42 (br. s., 1H), 8.42 (d, J = 7.8 Hz, 1H), 7.51 (d, J = 7.8 Hz, 1H), 7.22-7.45 (m, 4H), 6.93-7.02 (m, 2H), 4.78- 4.88 (m, 1H), 4.59 (t, J = 10.5 Hz, 1H), 4.24-4.47 (m, 3H), 3.32 (s, 3H) 384.1 F 197 (S)-5-(2- fluorobenzyl)-N-(4- oxo-2,3,4,5- tetrahydrobenzo[b] [1,4]oxazepin-3-yl)- 1H-pyrazole-3- carboxamide 1H NMR (DMSO-d6) 13.26 (br. s.. 1H), 10.12 (br. s., 1H), 8.11 (br. s., 1H), 6.96- 7.48 (m, 9H), 6.34 (br. s., 1H), 4.78 (br. s., 1H), 4.29- 4.63 (m, 2H), 4.02 (br. s., 2H) 381 A 198 (S)-2-benzyl-N-(5- methyl-4-oxo- 2,3,4,5- tetrahydrobenzo[b] [1,4]oxazepin-3- yl)oxazole-4- carboxamide 1H NMR (DMSO-d6) 8.56 (s, 1H), 8.24 (d, J = 8.1 Hz, 1H), 7.50 (dd, J = 7.7, 1.9 Hz, 1H), 7.12-7.43 (m, 8H), 4.83 (dt, J = 11.6, 7.9 Hz, 1H), 4.57 (dd, J = 11.5, 10.0 Hz, 1H), 4.40 (dd, J = 9.9, 7.8 Hz, 1H), 4.22 (s, 2H), 3.20-3.38 (m, 3H) 378 A 199 5-methyl-N-((S)-5- methyl-4-oxo- 2,3,4,5- tetrahydrobenzo[b] [1,4]oxazepin-3-yl)- 1-((telrahydrofuran- 2-yl)methyl)-1H- pyrazole-3- carboxamide 1H NMR (CDCl3) 8.58 (d, J = 8.1 Hz, 1H), 7.77 (d, J = 7.1 Hz, 1H), 6.98-7.39 (m, 3H), 6.47 (d, J = 8.1 Hz, 1H), 4.97- 5.40 (m, 1H), 4.51-4.85 (m, 1H), 3.94-4.47 (m, 3H), 3.64-3.94 (m, 1H), 3.44 (d, J = 1.3 Hz, 3H), 2.21-2.42 (m, 3H), 2.05 (s, 2H), 1.63- 1.95 (m, 2H), 1.18-1.41 (m, 2H) 385 A 200 (S)-1-benzyl-N-(5- methyl-4-oxo- 2,3,4,5- tetrahydrobenzo[b] [1,4]oxazepin-3-yl)- 1H-imidazole-4- carboxamide 1H NMR (DMSO-d6) δ: 7.98 (d, J = 8.1 Hz, 1H), 7.89 (d, J = 1.3 Hz, 1H), 7.75 (d, J = 1.0 Hz, 1H), 7.49 (dd, J = 7.6, 1.8 Hz, 1H), 7.16-7.42 (m, 7H), 5.23 (s. 2H), 4.81 (dt, J = 11.2, 7.9 Hz, 1H), 4.27- 4.60 (m, 2H), 3.22-3.43 (m, 3H) 377 A 201 (S)-5-(3- fluorobenzyl)-N-(5- methyl-4-oxo- 2,3,4,5- tetrahydrobenzo[b] [1,4]oxazepin-3-yl)- 1H-pyrazole-3- carboxamide 1H NMR (DMSO-d6) 13.23 (br. s., 1H), 8.08 (d, J = 7.8 Hz, 1H), 7.50 (d, J = 7.6 Hz, 1H), 7.16-7.43 (m, 4H), 6.91-7.16 (m, 3H), 6.41 (s, 1H), 4.72-4.97 (m, 1H), 4.27-4.63 (m, 2H), 4.01 (s, 2H), 3.15-3.43 (m, 3H) 395 A 202 (S)-5-(3- fluorobenzyl)-N-(4- oxo-2,3,4,5- tetrahydrobenzo[b] [1,4]oxazepin-3-yl)- 1H-pyrazole-3- carboxamide 1H NMR (DMSO-d6) 13.22 (s, 1H), 10.13 (s, 1H), 8.10 (d, J = 7.6 Hz, 1H), 7.24- 7.58 (m, 2H), 6.94-7.22 (m, 6H), 6.43 (s, 1H), 4.71-4.94 (m, 1H), 4.37-4.54 (m, 2H), 4.02 (s, 2H) 381 A 203 (S)-5-benzyl-N-(5- methyl-4-oxo- 2,3,4,5- tetrahydrobenzo[b] [1,4]oxazepin-3- yl)thiophene-2- carboxamide 1H NMR (DMSO-d6) δ: 8.60 (d, J = 8.3 Hz, 1H), 7.71 (d, J = 3.8 Hz, 1H), 7.50 (dd, J = 7.7, 1.6 Hz, 1H), 7.15-7.38 (m, 8H), 6.95 (d, J = 3.8 Hz, 1H), 4.84 (dt, J = 11.7, 8.1 Hz, 1H), 4.50 (dd, J = 11.7, 10.0 Hz, 1H), 4.37 (dd, J = 9.9, 7.8 Hz, 1H), 4.15 (s, 2H), 3.30 (s, 3H) 393 A 204 (S)-1-(3- fluorobenzyl)-N-(5- methyl-4-oxo- 2,3,4,5- tetrahydrobenzo[b] [1,4]oxazepin-3-yl)- 1H-imidazole-4- caiboxamide 1H NMR (400 MHz, DMSO- d6) δ 9.37 (none, 1H), 7.99 (d, J = 7.83 Hz, 1H), 7.91 (d, J = 1.26 Hz, 1H), 7.79 (d, J = 1.01 Hz, 1H), 7.00-7.59 (m, 8H), 5.25 (s, 2H), 4.81 (dt, J = 8.02, 11.24 Hz, 1H), 4.32- 4.57 (m, 2H), 3.32 (d, J = 4.29 Hz, 3H) 395 A 205 (S)-1-(3- fluorobenzyl)-N-(2- oxo-2,3,4,5- tetrahydro-1H- benzo[b]azepin-3-yl)- 1H-imidazole-4- carboxamide 1H NMR (DMSO-d6) 9.83 (s, 1H), 8.44 (d, J = 8.3 Hz, 1H), 7.89-8.13 (m, 1H), 7.77 (s, 1H), 6.69-7.57 (m, 7H), 5.76 (s, 1H), 5.50 (s, 2H), 4.23-4.50 (m, 1H),2.61- 2.84 (m, 2H), 2.13-2.37 (m, 2H) 379 A 206 (S)-N-(5-methyl-4- oxo-2,3,4,5- tetrahydrobenzo[b] [1,4]oxazepin-3-yl)- 1-(4-methylbenzyl)- 1H-imidazole-4- carboxamide 1H NMR (DMSO-d6) 7.97 (d, J = 7.8 Hz, 1H), 7.87 (d, J = 1.0 Hz, 1H), 7.72 (d, J = 1.3 Hz, 1H), 7.49 (dd, J = 7.6, 1.8 Hz, 1H), 6.97-7.41 (m, 6H), 5.76 (s, 1H), 5.17 (s, 2H), 4.81 (dt, J = 11.2, 7.9 Hz, 1H), 4.21-4.59 (m, 2H), 3.34 (s, 3H), 2.27 (s, 3H) 391 A 207 (S)-5-(4- methylbenzyl)-N-(4- Oxo-2,3,4.5- tetrahydrobenzo[b] [1,4]oxazepin-3-yl)- 4H-1,2,4-triazole-3- carboxamide 1H NMR (DMSO-d6) 13.95- 14.91 (m, 1H), 10.16 (s, 1H), 8.51 (br. s., 1H), 7.08-7.52 (m, 7H), 4.80 (dt, J = 10.5, 7.1 Hz, 1H), 4.35-4.64 (m, 2H), 4.12 (s, 2H), 2.51 (s, 3H) 364 A 208 (S)-N-(5-methyl-4- Oxo-2,3,4,5- tetrahydrobenzo[b] [1,4]oxazepin-3-yl)- 5-(4-methylbenzyl)- 4H-1,2,4-triazole-3- carboxamide 1H NMR (DMSO-d6) 14.13- 14.72 (m, 1H), 8.31-8.77 (m, 1H), 6.82-7.66 (m, 8H), 4.83 (dt, J = 11.6, 7.9 Hz. 1H), 4.29-4.72 (m, 2H), 4.06 (s, 2H), 3.10-3.45 (m, 3H), 2.27 (s, 3H) 392 A 209 (S)-5-(4- fluorobenzyl)-N-(5- methyl-4-oxo- 2,3,4,5- tetrahydrobenzo[b] [1,4]oxazepin-3-yl)- 4H-1,2,4-triazole-3- carboxamide 1H NMR (DMSO-d6) 14.08- 14.88 (m, 1H), 8.48 (br. s., 1H), 6.84-7.75 (m, 8H), 4.83 (dt, J = 11.6, 7.9 Hz, 1H), 4.60 (t, J = 10.7 Hz, 1H), 4.41 (dd, J = 9.9, 7.8 Hz, 1H), 4.12 (s, 2H), 3.00-3.47 (m, 3H) 396 A 210 (S)-5-(3- fluorobenzyl)-N-(5- methyl-4-oxo- 2,3,4,5- tetrahydrobenzo[b] [1,4]oxazepin-3-yl)- 4H-1,2,4-triazole-3- carboxamide 1H NMR (DMSO-d6) 14.09- 14.89 (m, 1H), 8.50 (br. s., 1H), 6.75-7.62 (m, 8H), 4.83 (dt, J = 11.4, 7.8 Hz, 1H), 4.60 (t, J = 10.6 Hz, 1H), 4.41 (dd, J = 9.7, 7.7 Hz, 1H), 4.16 (s, 2H), 3.32 (s, 3H) 396 A 211 (S)-1-(3- fluorobenzyl)-N-(5- methyl-4-oxo- 2,3,4,5- tetrahydrobenzo[b] [1,4]oxazepin-3-yl)- 1H-1,2,3-triazole-4- carboxamide 1H NMR (DMSO-d6) 8.72 (s, 1H), 8.58 (d, J = 8.1 Hz, 1H), 7.07-7.65 (m, 8H), 5.68 (s, 2H), 4.87 (d, J = 11.6 Hz, 1H), 4.60 (dd, J = 11.6, 9.9 Hz, 1H), 4.40 (dd, J = 9.9, 7.8 Hz, 1H), 3.21-3.41 (m, 3H) 396 A 212 (S)-5-benzyl-N-(7- chloro-5-methyl-4- oxo-2,3,4,5- tetrahydrobenzo[b] [1,4]oxazepin-3-yl)- 4H-1,2,4-triazole-3- carboxamide 1H NMR (400 MHz, DMSO- d6) δ 13.93-15.01 (m, 1H), 8.22-8.73 (m, 1H), 7.66 (d, J = 2.53 Hz, 1H), 7.06-7.45 (m, 6H), 4.74-5.11 (m, 1H), 4.54-4.70 (m, 1H), 4.42 (dd, J = 7.58, 9.85 Hz, 1H), 3.14- 3.46 (m, 3H) 412 A 213 (S)-1-benzyl-N-(7- chloro-5-methyl-4- oxo-2,3,4,5- tetrahydrobenzo[b] [1,4]oxazepin-3-yl)- 1H-imidazole-4- carboxamide 1H NMR (DMSO-d6) 8.00 (d, J = 8.1 Hz, 1H), 7.90 (d, J = 1.3 Hz, 1H), 7.76 (d, J = 1.3 Hz, 1H), 7.64 (d, J = 2.5 Hz, 1H), 7.14-7.51 (m, 7H), 5.23 (s, 2H), 4.83 (dt, J = 11.4, 7.8 Hz, 1H), 4.28-4.64 (m, 2H), 3.26-3.39 (m, 3H) 411 A 214 (S)-1-benzyl-N-(7- chloro-5-methyl-4- oxo-2,3,4,5- tetrahydrobenzo[b] [1,4]oxazepin-3-yl)- 1H-1,2,3-triazole-4- carboxamide 1H NMR (DMSO-d6) 8.70 (s, 1H), 8.60 (d, J = 8.1 Hz, 1H), 7.66 (d, J = 2.3 Hz, 1H), 7.10- 7.52 (m, 6H), 5.66 (s, 2H), 4.88 (dt, J = 11.6, 8.0 Hz, 1H), 4.62 (dd, J = 11.5, 10.0 Hz, 1H), 4.41 (dd, J = 9.7, 7.7 Hz, 1H), 3.22-3.40 (m, 3H) 412 A 215 (S)-5-benzyl-N-(7- chloro-5-methyl-4- oxo-2,3,4,5- tetrahydrobenzo[b] [1,4]oxazepin-3-yl)- 1-pyrazole-3- carboxamide 1H NMR (DMSO-d6) 13.21 (s, 1H), 8.10 (d, J = 8.1 Hz, 1H), 7.65 (d, J = 2.5 Hz, 1H), 7.06-7.51 (m, 5H), 6.37 (d, J = 1.8 Hz, 2H), 4.84 (dt, J = 11.6, 7.9 Hz, 1H), 4.31-4.67 (m, 2H), 3.99 (s, 2H), 3.18- 3.41 (m, 3H) 411 A 216 (S)-N-(4-oxo-2,3,4,5- tetrahydrobenzo[b] [1,4]oxazepin-3-yl)- 3-phenoxy benzamide 1H NMR (DMSO-d6) δ: 10.06 (s, 1H), 8.75 (d, J = 8.3 Hz, 1H), 7.65-7.70 (m, 1H), 7.48-7.55 (m, 2H), 7.38- 7.45 (m, 2H), 7.09-7.24 (m, 6H), 7.01-7.06 (m, 2H), 4.81-4.93 (m, 1H), 4.50 (dd, J = 11.5, 10.6 Hz, 1H), 4.41 (dd, J = 10.6, 7.0 Hz, 1H) 375 A 217 (S)-N-(4-oxo-2,3,4,5- tetrahydrobenzo[b] [1,4]oxazepin-3-yl)- 5-pentyl-1H- pyrazole-3- carboxamide 1H NMR (DMSO-d6) δ: 13.01 (br s, 1H), 10.13 (s, 1H), 8.06 (d, J = 7.8 Hz, 1H), 7.10-7.18 (m, 4H), 6.39 (d, J = 1.8 Hz, 1H), 4.76-4.83 (nt, 1H), 4.39-4.49 (m, 2H), 2.60 (t, J = 7.6 Hz, 2H), 1.59 (quin, J = 7.5 Hz, 2H), 1.19- 1.36 (m, 4H), 0.86 (t, J = 6.9 Hz, 3H) 343 A 218 (S)-N-(4-oxo-2,3,4,5- tetrahydrobenzo[b] [1,4]oxazepin-3-yl)- 3-(phenylamino) benzamide 1H NMR (400 MHz, DMSO- d6) δ 10.06 (s, 1H), 8.57 (d, J = 8.34 Hz, 1H), 8.35 (s, 1H), 7.54 (s, 1H), 7.33 (d, J = 5.05 Hz, 2H), 7.20-7.29 (m, 3H), 7.11-7.19 (m, 4H), 7.09 (d, J = 7.58 Hz, 2H), 6.86 (t, J = 7.20 Hz, 1H), 4.84-4.93 (m, 1H), 4.47-4.57 (m, 1H), 4.38-4.46 (m, 1H) 374 A 219 (S)-N-(5-methyl-4- oxo-2,3,4,5- tetrahydrobenzo[b] [1,4]oxazepin-3-yl)- 5-phenoxyfuran-2- carboxamide 1H NMR (400 MHz, DMSO- d6) δ 8.44 (d, 1H), 7.51 (dd, J = 1.77, 7.83 Hz, 1H), 7.46 (t, J = 8.08 Hz, 2H), 7.23-7.36 (m, 3H), 7.22 (d, J = 3.54 Hz, 1H), 7.15-7.20 (m, 1H), 5.88 (d, J = 3.54 Hz, 1H), 4.84 (dt, J = 8.08, 11.62 Hz, 1H), 4.54 (dd, J = 9.85, 11.62 Hz, 1H), 4.36 (dd, J = 7.71, 9.98 Hz, 1H), 3.33 (s, 3H) 379 A 220 (S)-N-(5-methyl-4- oxo-2,3,4,5- tetrahydrobenzo[b] [1,4]oxazepin-3-yl)- 3-(pyridin-2- yloxy)benzamide 1H NMR (400 MHz, DMSO- d6) δ 8.73 (d, J = 8.34 Hz, 1H), 8.16 (dd, J = 1.26, 4.80 Hz, 1H), 7.85-7.93 (m, 1H), 7.73 (d, J = 8.08 Hz, 1H), 7.63 (t, J = 1.89 Hz, 1H), 7.50-7.57 (m, 2H), 7.34 (dd, 2H), 7.26-7.32 (m, 1H), 7.21-7.26 (m, 1H), 7.13- 7.18 (m, 1H), 7.10 (d, J = 8.34 Hz, 1H), 4.92 (dt, J = 8.12, 11.81 Hz, 1H), 4.56 (dd, J = 9.98, 11.75 Hz, 1H), 4.40 (dd, J = 7.71, 9.98 Hz, 1H), 3.31 (s, 3H) 390 A 221 (S)-N-(5-methyl-4- oxo-2,3,4,5- tetrahydrobenzo[b] [1,4]oxazepin-3-yl)- 3-(morpholino methyl)benzamide 1H NMR (400 MHz, DMSO- d6) δ 8.77 (d, J = 8.53 Hz, 1H), 7.96 (br. s., 2H), 7.56- 7.72 (m, 2H), 7.54 (dd, J = 1.76, 7.78 Hz, 1H), 7.22- 7.39 (m, 3H), 4.94 (dt, J = 8.22, 11.67 Hz, 1H), 4.58 (dd, J = 9.91, 11.67 Hz, 1H), 4.43 (dd, J = 7.91, 9.91 Hz, 1H), 4.36 (br. s., 1H), 3.79- 4.04 (m, 2H), 3.59-3.77 (m, 3H), 3.32 (br. s, 5H) 396 A 222 (S)-N-(5-methyl-4- oxo-2,3,4,5- tetrahydrobenzo[b] [1,4]oxazepin-3-yl)- 3-(3-(trifluoromethyl) phenoxy)benzamide 1H NMR (400 MHz, DMSO- d6) δ 8.78 (d, J = 8.28 Hz, 1H), 7.73 (d, 8.03 Hz, 1H), 7.61-7.69 (m, 1H), 7.56-7.60 (m, 1H), 7.55 (d, J = 5.52 Hz, 1H), 7.53 (d, J = 1.51 Hz, 1H), 7.51 (d, J = 1.76 Hz, 1H), 7.37 (s, 1H), 7.26-7.36 (m, 2H), 7.21- 7.26 (m, 1H), 4.91 (dt, J = 8.16, 11.80 Hz, 1H), 4.56 (dd, J = 10.04, 11.80 Hz, 1H), 4.40 (dd, J = 7.78, 9.79 Hz, 1H), 3.31 (s, 3H) 457 A 223 (S)-3- (cyclopentyloxy)-N- (5-methyl-4-oxo- 2.3,4,5- tetrahydrobenzo[b] [1,4]oxazepin-3- yl)benzamide 1H NMR (400 MHz, DMSO- d6) δ 8.64 (d, J = 8.53 Hz, 1H), 7.52 (dd, J = 1.76, 7.78 Hz, 1H), 7.33-7.43 (m, 3H), 7.32 (t, J = 2.51 Hz, 1H), 7.26-7.31 (m, 1H), 7.21- 7.26 (m, 1H), 7.10 (dt, J = 1.98. 7.59 Hz, 1H), 4.90- 4.98 (m, 1H), 4.84-4.90 (m, 1H), 4.58 (dd, J = 9.91, 11.67 Hz, 1H), 4.40 (dd, J = 7.78, 9.79 Hz, 1H), 3.31 (s, 3H), 1.84-1.99 (m, 1H), 1.65- 1.77 (m, 3H), 1.53-1.65 (m, 2H) 381 A 224 (S)-N-(5-methyl-4- oxo-2,3,4,5- tetrahydrobenzo[b] [1,4]oxazepin-3-yl)- 2-phenoxy isonicotinamide 1H NMR (400 MHz, DMSO- d6) δ 9.03 (d, J = 8.34 Hz, 1H), 8.30 (d, J = 5.05 Hz, 1H), 7.47-7.55 (m, 2H), 7.41-7.47 (m, 2H), 7.39 (s, 1H), 7.27-7.37 (m, 2H), 7.21-7.27 (m, 2H), 7.13- 7.19 (m, 2H), 4.91 (dt, J = 7.99, 11.81 Hz, 1H), 4.56 (dd, J = 10.11, 11.62 Hz, 1H), 4.44 (dd, J = 7.83, 9.85 Hz, 1H), 3.32 (s, 3H) 390 A 225 (S)-5-(4- bromophenoxy)-N- (5-methyl-4-oxo- 2,3,4,5- tetrahydrobenzo[b] [1,4]oxazepin-3- yl)furan-2- carboxamide 1H NMR (400 MHz, DMSO- d6) δ 8.47 (d, J = 8.28 Hz, 1H), 7.60-7.66 (m, 1H), 7.52 (dd, J = 1.76, 7.78 Hz, 1H), 7.26-7.35 (m, 2H), 7.23 (q, J = 2.76 Hz, 1H), 7.13-7.19 (m, 1H), 5.96 (d, J = 3.76 Hz, 1H), 4.84 (dt, J = 8.16, 11.80 Hz, 1H), 4.54 (dd, J = 10.04, 11.54 Hz, 1H), 4.36 (dd, J = 7.78, 9.79 Hz, 1H), 3.31 (s, 3H), 2.08 (s, 1H) 459 A 226 (S)-5-((4-methyl-1H- pyrazol-1-yl)methyl)- N-(5-methyl-4-oxo- 2,3,4,5- tetrahydrobenzo[b] [1,4]oxazepin-3- yl)furan-2- carboxamide 1H NMR (400 MHz, DMSO- d6) δ 8.48 (d, 1H), 7.54 (s, 1H), 7.52 (dd, J = 1.89, 7.71 Hz, 1H), 7.28-7.36 (m, 2H), 7.21-7.28 (m, 2H), 7.15 (d, J = 3.54 Hz, 1H), 6.51 (d, J = 3.54 Hz, 1H), 5.33 (s, 2H), 4.84 (dt, J = 8.27, 11.75 Hz, 1H), 4.54 (dd, J = 9.85, 11.62 Hz, 1H), 4.37 (dd, J = 7.71, 9.73 Hz, 1H), 3.31 (s, 2H), 2.00 (s, 2H) 381 A 227 (S)-5-((3,5- dimethylisoxazol-4- yl)methyl)-N-(5- methyl-4-oxo- 2,3,4.5- tetrahydrobenzo[b] [1,4]oxazepin-3- yl)thiophene-2- carboxamide 1H NMR (400 MHz, DMSO- d6) δ 8.59 (d, J = 8.28 Hz, 1H), 8.21 (s, 1H), 7.52 (dd, J = 1.76, 7.78 Hz, 1H), 7.20- 7.42 (m, 7H), 5.74 (s, 2H), 4.87 (dt, J = 8.03, 11.54 Hz, 1H), 4.59 (dd, J = 10.04, 11.54 Hz, 1H), 4.40 (dd, J = 7.91, 9.91 Hz, 1H), 3.31 (s, 3H), 1.21 (d, J = 6.27 Hz, 1H) 412 A 228 (S)-2-benzyl-N-(5- methyl-4-oxo- 2,3,4,5- tetrahydrobenzo[b] [1,4]oxazepin-3- yl)thiazole-4- carboxamide 1H NMR (400 MHz, DMSO- d6) δ 8.41 (d, J = 7.78 Hz, 1H), 8.16 (s, 1H), 7.51 (dd, J = 1.88, 7.65 Hz, 1H), 7.38 (d, J = 4.52 Hz, 3H), 7.29-7.37 (m, 4H), 7.27 (td, J = 1.88, 7.84 Hz, 1H), 4.86 (dt, J = 7.87, 11.36 Hz, 1H), 4.54- 4.64 (m, 1H), 4.45 (dd, J = 7.78, 9.79 Hz, 1H), 4.42 (s, 2H), 2.08 (s, 1H) 394 A 229 (S)-2-(4- bromobenzyl)-N-(5- methyl-4-oxo- 2,3,4,5- tetrahydrobenzo[b] [1,4]oxazepin-3- yl)thiazole-4- carboxamide 1H NMR (400 MHz, DMSO- d6) δ 8.10 (d, 1H), 7.51 (dd, J = 1.76, 7.78 Hz, 1H), 7.20- 7.36 (m, 3H), 6.41 (s, 1H), 4.84 (dt, J = 7.91, 11.54 Hz, 1H), 4.47-4.56 (m, 1H), 4.41 (dd, J = 7.91, 9.91 Hz, 1H), 2.60 (t, J = 7.65 Hz, 2H), 1.57 (dt, J = 7.59, 14.93 Hz, 2H), 1.29 (dq, J = 7.34, 14.87 Hz, 2H), 0.89 (t, J = 7.40 Hz, 3H) 472 474 A 230 (S)-N-(5-methyl-4- oxo-2,3,4,5- tetrahydrobenzo[b] [1,4]oxazepin-3-yl)- 3-(p-tolyloxy) benzamide 1H NMR (400 MHz, DMSO- d6) δ 8.72 (d, J = 8.53 Hz, 1H), 7.62 (d, J = 8.03 Hz, 1H), 7.44-7.53 (m, 2H), 7.41-7.45 (m, 1H), 7.26-7.36 (m, 2H), 7.20-7.25 (m, 3H), 7.17 (dd, J = 1.63, 8.16 Hz, 1H), 6.95 (d, J = 8.53 Hz, 2H), 4.90 (dt, J = 8.06, 11.73 Hz, 1H), 4.56 (dd, J = 10.04, 11.80 Hz, 1H), 4.39 (dd, J = 7.91, 9.91 Hz, 1H), 3.31 (s, 3H), 2.30 (s, 3H) 403 A 231 ((S)-5- (cyclohexylmethyl)- N-(5-methyl-7-(5- methyl-1,3,4- oxadiazol-2-yl)-4- oxo-2,3,4,5- tetrahydrobenzo[b] [1,4]oxazepin-3-yl)- 4H-1,2,4-triazole-3- carboxamide 1H NMR (DMSO-d6) δ: 14.17 (s, 1H), 8.42 (d, J = 7.8 Hz, 1H), 8.04 (d, J = 2.0 Hz, 1H), 7.89 (dd, J = 8.3, 2.0 Hz, 1H), 7.45 (d, J = 8.3 Hz, 1H), 4.91 (dt, J = 11.6, 7.7 Hz, 1H), 4.65- 4.73 (m, 1H), 4.50 (dd, J = 9.9, 7.3 Hz, 1H), 3.39 (s, 3H), 2.61-2.68 (m, 2H), 2.61 (s, 3H), 0.90- 1.76 (m, 11H) 466.3 F 232 (S)-5-benzyl-N-(2- oxo-2,3,4,5- tetrahydro-1H- benzo[b][1,4] diazepin-3- yl)isoxazole-3- carboxamide 1H NMR (DMSO-d6, 400 MHz): δ = 8.72 (d, J = 7.8 Hz, I H), 7.21-7.48 (m, 6 H), 7.07-7.17 (m, 1 H), 6.96- 7.06 (m, 2 H), 6.55 (s, 1 H), 5.30 (d, J = 4.5 Hz, 1 H), 4.59 (dt, J = 11.7, 7.2 Hz, 1 H), 4.22 (s, 2 H), 3.47-3.69 (m, 2 H), 3.14 (t, J = 7.2 Hz, 1 H). 363 F 233 (S)-5-benzyl-N-(1- methyl-4-oxo- 2,3,4,5-tetrahydro- 1H-benzo[b][1,4] diazepin-3- yl)isoxazole-3- carboxamide 1H NMR (DMSO-d6, 400 MHz): δ = 9.90 (s, 1 H), 8.71 (d, J = 7.8 Hz, 1 H), 6.92- 7.45 (m, 9 H), 6.56 (s, 1 H), 4.51 (dt, J = 12.1, 7.3 Hz, 1 H), 4.22 (s, 2 H), 3.65 (dd, J = 11.9, 10.1 Hz, 1 H), 3.17- 3.31 (m, 1 H), 2.74 ppm (s, 3 H) 377 F 234 (S)-N-(1,5-dimethyl- 2-oxo-2,3,4,5- tetrahydro-1H- benzo[b][1,4] diazepin-3-yl)-5-(4- methylbenzyl)-1H- pyrazole-3- carboxamide 1H NMR (DMSO-d6, 400 MHz): δ = 13.17 (br. s.. 1 H), 7.93 (d, J = 7.6 Hz, 1 H), 6.89-7.56 (m, 8 H), 6.33 (s, 1 H), 4.35-4.67 (m, 1 H), 3.92 (s, 2 H), 3.49 (t, 1 H), 3.34 (s, 3 H), 2.71 (s, 3 H), 2.69 (s, 1 H), 2.26 ppm (s, 3 H) 404 F 235 (S)-5-benzyl-N-(1- methyl-2-oxo- 2,3,4,5-tetrahydro- 1H-benzo[b] [1,4]diazepin-3- yl)isoxazole-3- carboxamide 1H NMR (DMSO-d6, 400 MHz): δ = 8.66 (d, J = 7.8 Hz, 1 H), 7.22-7.44 (m, 6 H), 7.07-7.17 (m, 1 H), 6.96- 7.06 (m, 2 H), 6.55 (s, 1 H), 5.32 (d, J = 4.5 Hz, 1 H), 4.65 (dt, J = 11.7, 7.0 Hz, 1 H), 4.22 (s, 2 H), 3.47-3.69 (m, 2 H), 3.33 ppm (s. 3 H) 377 F 236 (S)-5-benzyl-N-(2- oxo-2,3,4,5- tetrahydro-1H- benzo[b]azepin-3- yl)isoxazole-3- carboxamide 1H NMR (DMSO-d6) δ: 9.93 (s, 1H), 8.65 (d, J = 7.6 Hz, 1H), 7.23-7.40 (m, 7H), 7.11-7.19 (m, 1H), 7.04 (d, J = 7.6 Hz, 1H), 6.54 (s, 1H), 4.27-4.48 (m, 1H), 4.21 (s, 2H), 2.63-2.83 (m, 2H), 2.17-2.39 (m, 2H) 362.0 F 237 (S)-N-(6-fluoro-8- methyl-4-oxo- 2,3,4,5- tetrahydrobenzo[b] [1,4]oxazepin-3-yl)- 5-((5-methyl thiophen-2- yl)methyl)-4H-1,2,4- triazole-3- carboxamide 1H NMR (DMSO-d6) δ: 14.53 (br. s., 1H), 10.02 (s, 1H), 8.49 (br. s., 1H), 6.97- 7.03 (m, 1H), 6.90 (s, 1H), 6.73 (d, J = 3.3 Hz, 1H) 6.61- 6.65 (m, 1H), 4.85 (dt, J = 11.4, 7.6 Hz, 1H), 4.63 (t, J = 10.7 Hz, 1H), 4.46 (dd, J = 10.1, 7.3 Hz, 1H), 4.23 (s, 2H), 2.38 (s, 3H), 2.30 (s, 3H) 416.2 F 238 (S)-5-benzyl-N-(8- methoxy-1-methyl-2- oxo-2,3,4,5- tetrahydro-1H- benzo[b]azepin-3-yl)- 4H-1,2,4-triazole-3- carboxamide 1H NMR (400 MHz, DMSO- d6) δ ppm 14.35 (br. S., 1 H), 8.19 (br. s., 1H) 7.23-7.33 (m, 6 H) 6.99 (d, J = 8.5 Hz, 1 H), 6.85 (dd, J = 8.28, 2.26 Hz, 1 H) 4.31-4.44 (m, 1 H) 4.12 (br. s., 2 H) 3.79 (s, 3 H) 3.31 (s, 3 H) 2.56- 2.68 (m, 2 H) 2.25-2.40 (m, 1 H) 2.14 (s, 1 H) 406.2 H 239 (S)-5-(3- fluorobenzyl)-N-(8- methoxy-1-methyl- oxo-2,3,4,5- tetrahydro-1H- benzo[b]azepin-3-yl)- 4H-1,2,4-triazole-3- carboxamide 1H NMR (400 MHz, DMSO- d6) δ ppm 14.31 (br. S., 1 H), 8.21 (br. s., 1H) 7.37 (q, J = 7.4 Hz, 1 H) 7.25 (d, J = 8.5 Hz, 1H) 7.03-7.19 (m, 3 H) 6.93-7.03 (m, 1 H) 6.84 (dd, J = 8.28, 2.26 Hz, 1 H) 4.27- 4.43 (m, 1 H) 4.15 (br. s., 2 H) 3.79 (s, 3 H) 3.31 (s, 3 H) 2.59-2.71 (m, 2 H) 2.32 (d, J = 8.03 Hz, 1 H) 2.08 (s, 1 H) 424.2 H 240 (S)-5-benzyl-N-(6,8- difluoro-4-oxo- 2,3,4,5- tetrahydrobenzo[b] [1,4]oxazepin-3-yl)- 4H-1,2,4-triazole-3- carboxamide 1H NMR (DMSO-d6) δ: 14.45 (br. s., 1H), 10.09 (s, 1H), 8.46 (br. s., 1H), 7.20- 7.37 (m, 6H), 7.04 (dt, J = 9.3, 2.3 Hz, 1H), 4.90 (dt, J = 11.2, 7.5 Hz, 1H), 4.67 (t, J = 10.7 Hz, 1H), 4.51 (dd, J = 10.1, 7.1 Hz, 1H), 4.13 (s, 2H). 400.2 H 241 (S)-5-isopentyl-N-(5- methyl-7-(5-methyl- 1,3,4-oxadiazol-2- yl)-4-oxo-2,3,4,5- tetrahydrobenzo[b] [1,4]oxazepin-3-yl)- 4H-1,2,4-triazole-3 carboxamide 1H NMR (DMSO-d6) δ: 14.16 (br. s., 1H), 8.33-8.45 (m, 1H), 8.04 (d, J = 1.8 Hz, 1H), 7.89 (dd, J = 8.5, 1.9 Hz, 1H), 7.45 (d, J = 8.3 Hz, 1H), 4.91 (dt, J = 11.5, 7.8 Hz, 1H), 4.69 (t, J = 11.7 Hz, 1H), 4.51 (dd, J = 9.6, 7.6 Hz, 1H), 3.39 (s, 3H), 2.73 (d, J = 7.6 Hz, 2H), 2.61 (s, 3H), 1.50- 1.63 (m, 3H), 0.91 (d, J = 6.3 Hz, 6H); MS (m/z): 440.2 H 242 (S)-5-benzyl-N-(5- methyl-8-(5-methyl- 1,3,4-oxadiazol-2- yI)-4-oxo-2,3,4,5- tetrahydrobenzo[b] [1,4]oxazepin-3-yl)- 4H-1,2,4-triazole-3- carboxamide 1H NMR (DMSO-d6) δ: 14.41 (br. s., 1H), 8.53 (br. s., 1H), 7.91 (dd, J = 8.3, 2.0 Hz, 1H), 7.78 (d, J = 2.0 Hz, 1H), 7.71 (d, J = 8.3 Hz, 1H), 7.22-7.36 (m, 5H), 4.89 (dt, J = 11.6, 7.9 Hz, 1H), 4.71 (t, J = 10.7 Hz, 1H), 4.52 (dd, J = 9.7, 7.7 Hz, 1H), 4.13 (s, 2H), 3.36 (s, 3H), 2.60 (s, 3H); 460.2 F
The following compounds were prepared via the oxidation method indicated. -
243 5-benzyl-N-((3R)-1- oxido-4-oxo-2,3,4,5- tetrahydrobenzo[b] [1,4]thiazepin-3- yl)isoxazole-3- carboxamide 1H NMR (400 MHz, DMSO-d6) δ = 10.34 (br. s., 1 H), 9.24-8.70 (m, 1 H), 7.87-7.52 (m, 2 H), 7.48-7.12 (m, 6 H), 6.53 (s, 1 H), 4.88-4.55 (m, 1 H), 4.22 (s, 3 H), 4.03 (dd, J = 7.6, 14.4 Hz, 1 H), 3.56 (dd, J = 11.0, 14.5 Hz, 1 H) 396 C 244 (R)-5-benzyl-N-(1,1- dioxido-4-oxo- 2,3,4,5- tetrahydrobenzo[b] [1,4]thiazepin-3- yl)isoxazole-3- carboxamide 1H NMR (MeOH-d4) 8.06 (dd, J = 7.8, 1.3 Hz, 1H), 7.81 (d, J = 1.5 Hz, 1H), 7.48-7.68 (m, 1H), 7.15- 7.45 (m, 8H), 6.41 (s, 1H), 4.97 (dd, J = 11.6, 7.3 Hz, 1H), 4.10-4.31 (m, 2H), 3.89-4.07 (m, 2H) 412 B - The following compounds were prepared via acylation or isocyante addition of the appropriate amine using the method indicated.
-
245 (S)-methyl (3-(5- benzylisoxazole-3- carboxamido)-5- methyl-4-oxo- 2,3,4,5- tetrahydrobenzo[b] [1,4]oxazepin-7- yl)carbamate 1H NMR (DMSO-d6) δ: 9.80 (s, 1H), 8.85 (d, J = 8.1 Hz, 1H), 7.55 (d, J = 2.3 Hz, 1H), 7.25-7.38 (m, 6H), 7.15 (d, J = 8.8 Hz, 1H), 6.55 (s, 1H), 4.83 (dt, J = 11.5, 8.0 Hz, 1H), 4.49-4.56 (m, 1H), 4.35 (dd, J = 9.9, 7.8 Hz, 1H), 4.22 (s, 2H), 3.68 (s, 3H), 3.26 (s, 3H). 451.2 J 246 (S)-5-benzyl-N-(5- methyl-7-(1-methyl- 1H-pyrazole-4- carboxamido)-4- oxo-2,3,4,5- tetrahydrobenzo[b] [1,4]oxazepin-3- yl)isoxazole-3- carboxamide 1H NMR (DMSO-d6) δ: 9.96 (s, 1H), 8.86 (d, J = 8.3 Hz, 1H), 8.31 (s, 1H), 8.02 (s, 1H), 7.83 (d, J = 2.3 Hz, 1H), 7.58 (dd, J = 8.8, 2.5 Hz, 1H), 7.26- 7.38 (m, 5H), 7.19 (d, J = 8.8 Hz, 1H), 6.55 (s, 1H), 4.87 (dt, J = 11.6, 8.0 Hz, 1H), 4.51-4.58 (m, 1H), 4.38 (dd, J = 9.9, 7.8 Hz, 1H), 4.22 (s, 2H), 3.91 (s, 3H), 3.30 (s, 3H). 501.4 J 247 (S)-5-benzyl-N-(5- methyl-7-(N- methylacetamido)- 4-oxo-2,3,4,5- tetrahydrobenzo[b] [1,4]oxzepin-3- yl)isoxazole-3- carboxamide 1H NMR (DMSO-d6) δ: 8.87 (d, 1H), 7.56-7.61 (m, 1H), 7.24-7.38 (m, 7H), 6.54 (s, 1H), 4.88 (dt, J = 11.5, 8.0 Hz, 1H), 4.60 (t, J = 10.7 Hz, 1H), 4.41- 4.47 (m, 1H), 4.22 (s, 2H), 3.31 (s, 3H), 3.18 (br. s., 3H), 1.83 (br. s., 3H) 449.2 J 248 (S)-5-benzyl-N-(7- (3-methoxy propanamido)-5- methyl-4-oxo- 2,3,4,5- tetrahydrobenzo[b] [1,4]oxazepin-3- yl)isoxazole-3- carboxamide 1H NMR (DMSO-d6) δ: 10.12 (s, 1H), 8.85 (d, J = 8.1 Hz, 1H), 7.75 (d, J = 2.5 Hz, 1H), 7.26-7.43 (m, 6H), 7.16 (d, J = 8.6 Hz, 1H), 6.55 (s, 1H), 4.84 (dt, J = 11.6, 8.1 Hz, 1H), 4.49-4.57 (m, 1H), 4.33- 4.39 (m, 1H), 4.22 (s, 2H), 3.62 (t, J = 6.2 Hz, 2H), 3.27 (s, 3H), 3.25 (s, 3H), 2.55 (t, 2H). 479.2 J 249 (S)-5-benzyl-N- (7-(3-ethylureido)- 5-methyl-4-oxo- 2,3,4,5- tetrahydrobenzo[b] [1,4]oxazepin-3- yl)isoxazole-3- carboxamide 1H NMR (DMSO-d6) δ: 8.85 (d, J = 8.1 Hz, 1H), 8.58 (s, 1H), 7.57 (d, J = 2.5 Hz, 1H), 7.26-7.38 (m, 5H), 7.15-7.20 (m, 1H), 7.04-7.09 (m, 1H), 6.55 (s, 1H), 6.17 (t, J = 5.6 Hz, 1H), 4.79-4.87 (m, 1H), 4.46-4.53 (m, 1H), 4.33 (dd, J = 9.9, 7.8 Hz, 1H), 4.22 (s, 2H), 3.26 (s, 3H), 3.07-3.15 (m, 2H), 1.05 (t, 3H). 464.3 G 250 (S)-5-benzyl-N- (7-(3-(2- methoxyethyl) ureido)-5-methyl- 4-oxo-2,3,4,5- tetrahydrobenzo[b] [1,4]oxazepin-3- yl)isoxazole-3- carboxamide 1H NMR (DMSO-d6) δ: 8.83 (d, J = 8.3 Hz, 1H), 8.69 (s, 1H), 7.56 (d, J = 2.3 Hz, 1H), 7.25-7.39 (m, 5H), 7.14-7.17 (m, 1H), 7.06-7.10 (m, 1H), 6.55 (s, 1H), 6.26 (t, J = 5.6 Hz, 1H), 4.84 (dt, J = 11.4, 8.1 Hz, 1H), 4.46- 4.53 (m, 1H), 4.33 (dd, J = 9.9, 7.8 Hz, 1H), 4.22 (s, 2H), 3.37-3.40 (m, 2H), 3.24-3.29 (m, 8H). 494.4 G - The following compounds were prepared via Suzuki coupling using the method indicated.
-
251 (S)-5-benzyl-N-(7- (1-methyl-1H- pyrazol-3-yl)-2-oxo- 2,3,4,5-tetrahydro- 1H-benzo[b]azepin- 3-yl)-4H-1,2,4- triazole-3- carboxamide 1H NMR (400 MHz, DMSO-d6) δ ppm 2.12- 2.42 (m, 2 H) 2.78 (m, 2 H) 3.88 (s, 3 H) 4.11 (br. s., 2 H) 4.37 (dt, J = 11.43, 7.93 Hz, 1 H) 6.68 (d, J = 2.27 Hz, 1 H) 7.05 (d, J = 8.08 Hz, 1 H) 7.18- 7.39 (m, 5 H) 7.68 (dd, J = 8.21, 1.89 Hz, 1 H) 7.74 (dd, J = 8.84, 2.02 Hz, 2 H) 8.22 (br. s., 1 H) 10.03 (s, 1 H) 442 I - The following compounds were prepared via coupling of the appropriate amine and acid using the method indicated.
-
252 (S)-5-benzyl- N-(2,5- dimethyl-6-oxo- 6,7,8,9-tetrahydro- 5H-pyrimido[4,5- b][1,4]diazepin-7- yl)-4H-1,2,4- triazole- 3-carboxamide 1H NMR (DMSO-d6) δ: 14.45 (br. s., 1H), 8.37 (br. s., 1H), 8.24 (s, 1H), 7.84 (d, J = 7.3 Hz, 1H), 7.15- 7.40 (m, 5H), 4.68 (t, J = 7.5 Hz, 1H), 4.13 (br. s., 2H), 3.57-3.67 (m, 1H), 3.41-3.50 (m, 1H), 3.31 (s, 3H), 2.38 (s, 3H) 393 F 253 (S)-5-benzyl- N-(8-fluoro- 1-methyl-2- oxo-2,3,4,5- tetrahydro-1H- pyrido[2,3-b][1,4] diazepin-3-yl)- 4H-1,2,4-triazole- 3-carboxamide 1H NMR (DMSO-d6) δ: 14.40 (br. s., 1H), 8.37 (br. s., 1H), 8.02 (d, J = 2.5 Hz, 1H), 7.74 (dd, J = 9.6, 2.8 Hz, 1H), 7.22-7.38 (m, 5H), 6.44 (d, J = 6.6 Hz, 1H), 4.72 (ddd, J = 11.5, 6.9, 4.5 Hz, 1H), 4.12 (s, 2H), 3.74 (ddd, J = 11.0, 6.7, 4.5 Hz, 1H), 3.44- 3.55 (m 1H), 3.29 (s, 3H) 396 F 254 (S)-5-benzyl- N-(7-bromo-5- methyl-4- oxo-2,3,4,5- tetrahydrobenzo [b][1,4]oxazepin- 3-yl)-4H-1,2,4- triazole- 3-carboxamide 1H NMR (DMSO-d6) δ: 8.38-8.66 (m, 1H), 7.77 (d, J = 2.5 Hz, 1H), 7.02- 7.60 (m, 7H), 4.85 (dt, J = 11.6, 7.8 Hz, 1H), 4.62 (t, J = 10.7 Hz, 1H), 4.41 (dd, J = 9.9, 7.6 Hz, 1H), 4.12 (s, 2H), 3.18-3.43 (m, 3H) 456/458 H 255 5-benzyl-N-(7- (1H-pyrazol-4- yl)-5-methyl-4- oxo-2,3,4,5- tetrahydrobenzo [b][1,4]oxazepin-3- yl)-4H-1,2,4- triazole-3- carboxamide 1H NMR (CDCl3) δ: 8.10 (d, J = 7.3 Hz, 1H), 7.85 (s, 2H), 7.12-7.47 (m, 8H), 5.12 (br. s., 1H), 4.63- 4.82 (m, 1H), 4.32 (t, J = 10.5 Hz, 1H), 4.21 (s, 2H), 3.48 (s, 3H) 444 I 256 ((S)-N-(6-fluoro- 8-methyl-4-oxo- 2,3,4,5- tetrahydrobenzo [b][1,4] oxazepin-3-yl)-5- (2-fluorobenzyl)- 4H-1,2,4-triazole- 3-carboxamide 1H NMR (DMSO-d6) δ: 14.49 (none, 1H), 10.00 (s, 1H), 8.28-8.68 (m, 1H), 6.73-7.53 (m, 6H), 4.84 (dt, J = 11.1, 7.6 Hz, 1H), 4.61 (t, J = 10.6 Hz, 1H), 4.45 (dd, J = 10.1, 7.3 Hz, 1H), 4.15 (s, 2H), 2.30 (s, 3H) 414 H 257 (S)-5-benzyl-N- (8-(difluoro- methoxy)- 5-methyl-4-oxo- 2,3,4,5-tetra- hydrobenzo[b] [1,4]oxazepin-3- yl)-4H-1,2,4- triazole-3- carboxamide 1H NMR (DMSO-d6) δ: 14.37 (br. s., 1H), 8.42 (d, J = 8.1 Hz, 1H), 7.57 (d, J = 8.8 Hz, 1H), 7.09-7.38 (m, 8H), 4.85 (dt, J = 11.6, 7.8 Hz, 1H), 4.62 (t, J = 10.9 Hz, 1H), 4.44 (dd, J = 9.9, 7.6 Hz, 1H), 4.15 (s, 2H), 3.30 (s, 3H) 444 F 258 (S)-N-(5- methyl-7-(5- methyl-1,3,4- oxadiazol-2-yl)- 4-oxo-2,3,4,5- tetrahydrobenzo [b][1,4]oxazepin- 3-yl)-5-(thiophen- 2-ylmethyl)- 4H-1,2,4-triazole- 3-carboxamide NA 466 F 259 (S)-1-benzyl-N-(5- methyl-7-(5- methyl-1,3,4- oxadiazol-2- yl)-4-oxo-2,3,4,5- tetrahydrobenzo [b][1,4]oxazepin- 3-yl)-1H-1,2,4- triazole-3- carboxamide Very broad signals observed in 1H NMR run in DMSO-d6 460 F 260 (S)-5-benzyl-N-(8- cyclopropyl-5- methyl-4-oxo- 2,3,4,5- tetrahydrobenzo [b][1,4]oxazepin-3- yl)-4H-1,2,4- triazole-3- carboxamide 1H NMR (DMSO-d6) δ: 14.34 (br. s., 1H), 8.33 (d, J = 7.6 Hz, 1H), 7.22- 7.61 (m, 7H), 6.84-7.03 (m, 1H), 4.08-5.08 (m, 3H), 4.01 (s, 2H), 3.27 (s, 3H), 0.58-1.46 (m, 5H) 418 H 261 (S)-N-(7-cyano- 5,8-dimethyl- 4-oxo-2,3,4,5- tetrahydrobenzo [b][1,4] oxazepin-3-yl)-5- (4-methylbenzyl)- 4H-1,2,4-triazole- 3-carboxamide 1H NMR (DMSO-d6) δ: 14.31 (br. s., 1H), 8.39 (d, J = 7.1 Hz, 1H), 8.02 (s, 1H), 7.34 (s, 1H), 7.14 (m, 4H), 4.86 (m, 1H), 4.68 (m, 1H), 4.45 (m, 1H), 4.09 (s, 2H), 3.33 (s, 3H), 3.31 (s, 3H), 2.27 (s, 3H) 431 H 262 (S)-N-(6-fluoro-8- methyl-4-oxo- 2,3,4,5- tetrahydrobenzo [b][1,4] oxazepin-3-yl)- 5-(thiophen-2- ylmethyl)-4H- 1,2,4-triazole-3- carboxamide 1H NMR (DMSO-d6) δ: 14.56 (br. s., 1H), 10.02 (s, 1H), 8.53 (br. s., 1H), 7.37- 7.43 (m, 1H), 6.87-7.03 (m, 3H), 6.48-6.59 (m, 1H), 4.85 (dt, J = 11.4, 7.6 Hz, 1H), 4.63 (t, J = 10.7 Hz, 1H), 4.46 (dd, J = 10.1, 7.3 Hz, 1H), 4.33 (s, 2H), 2.30 (s, 3H) 402 F 263 (S)-5-benzyl-N- (6-chloro-4- oxo-2,3,4,5- tetrahydrobenzo [b][1,4]oxazepin- 3-yl)-4H-1,2,4- triazole-3- carboxamide 1H NMR (DMSO-d6) δ: 10.01 (br. s., 1H), 8.51 (br. s., 1H), 7.17-7.48 (m, 9H), 4.81 (dt, J = 11.3, 7.9 Hz, 1H), 4.66 (t, J = 10.7 Hz, 1H), 4.47 (dd, J = 9.9, 7.8 Hz, 1H), 4.12 (s, 2H) 399 H 264 (S)-N-(5-methyl-4- oxo-2,3,4,5- tetrahydrobenzo [b][1,4]oxazepin- 3-yl)-5- phenethyl-4H- 1,2,4-triazole-3- carboxamide 1H NMR (DMSO-d6) δ: 14.18 (br. s., 1H), 8.37 (br. s., 1H), 7.52 (d, J = 7.5 Hz, 1H), 7.11-7.40 (m, 8H), 4.79-4.90 (m, 1H), 4.54- 4.63 (m, 1H), 4.39-4.48 (m, 1H), 3.33 (s, 3H), 3.05 (br. s., 4H) 392 F 265 (S)-5-benzyl-N- (7-(difluoro- methoxy)-5- methyl-4-oxo- 2,3,4,5- tetrahydrobenzo [b][1,4]oxazepin- 3-yl)-4H-1,2,4- triazole-3- carboxamide 1H NMR (DMSO-d6) δ: 14.35 (br. s., 1H), 8.43 (br. s., 1H), 7.06-7.49 (m, 9H), 4.86 (dt, J = 11.3, 8.0 Hz, 1H), 4.55-4.68 (m, 1H), 4.35-4.47 (m, 1H), 4.13 (br. s., 2H), 3.32 (s, 3H) 444 F 266 (S)-5-(2- cyclopentylethyl)- N-(6-fluoro- 8-methyl-4- oxo-2,3,4,5- tetrahydrobenzo [b][1,4]oxazepin- 3-yl)-4H-1,2,4- triazole-3- carboxamide 1H NMR (DMSO-d6) δ: 14.24 (br. s., 1H), 10.01 (br. s., 1H), 8.38 (br. s., 1H), 6.99 (dd, J = 10.7, 1.1 Hz, 1H), 6.90 (s, 1H), 4.85 (dt, J = 11.1, 7.6 Hz, 1H), 4.61 (t, J = 10.6 Hz, 1H), 4.46 (dd, J = 10.1, 7.3 Hz, 1H), 2.74 (t, J = 7.3 Hz, 2H), 2.31 (s, 3H), 1.66- 1.79 (m, 6H), 1.44-1.62 (m, 5H) 402 F 267 (S)-N-(7-chloro-2- oxo-2,3,4,5- tetrahydro-1H- benzo[b]azepin- 3-yl)-5- (cyclopentyl methyl)-4H-1,2,4- triazole-3- carboxamide 1H NMR (DMSO-d6) δ: 10.09 (s, 1H), 8.25 (br. s., 1H), 7.45 (d, J = 2.3 Hz, 1H), 7.35 (dd, J = 8.3, 2.5 Hz, 1H), 7.05 (d, J = 8.3 Hz, 1H), 4.33 (dt, J = 11.6, 7.8 Hz, 1H), 3.09-3.56 (m, 2H), 2.24 (dt, J = 15.1, 7.5 Hz, 2H), 1.37-1.86 (m, 5H), 1.01-1.34 (m, 3H) 388 H 268 (S)-5-benzyl-N- (5,8-dimethyl- 7-(5- methyl-1,3,4- oxadiazol-2-yl)- 4-oxo-2,3,4,5- tetrahydrobenzo [b][1,4]oxazepin- 3-yl)-4H-1,2,4- triazole-3- carboxamide 1H NMR (DMSO-d6) δ: 8.29-8.63 (m, 1H), 7.91 (s, 1H), 7.09-7.52 (m, 7H), 4.90 (dt, J = 11.6, 7.7 Hz, 1H), 4.67 (br. s., 1H), 4.46 (dd, J = 9.9, 7.3 Hz, 1H), 4.12 (br. s., 2H), 3.32 (s, 3H), 2.54-2.68 (m, 6H) 474 F 269 N-((S)-6-fluoro- 8-methyl-4-oxo- 2,3,4,5- tetrahydrobenzo [b][1,4]oxazepin- 3-yl)-5- ((tetrahydro- 2H-pyran-3- yl)methyl)-4H- 1,2,4-triazole-3- carboxamide Complex 1H NMR due to diastereoisomer mixture 404 F 270 (S)-5-(cyclopentyl methyl)-N-(5,8- dimethyl-7-(5- methyl-1,3,4- oxadiazol-2-yl)-4- oxo-2,3,4,5- tetrahydrobenzo [b][1,4]oxazepin- 3-yl)-4H-1,2,4- triazole-3- carboxamide 1H NMR (DMSO-d6) δ: 8.26-8.44 (m, 1H), 7.91 (s, 1H), 7.34 (s, 1H), 4.90 (dt, J = 11.6, 7.6 Hz, 1H), 4.66 (br. s., 1H), 4.48 (dd, J = 9.7, 7.5 Hz, 1H), 3.36 (s, 3H), 2.72 (d, J = 7.3 Hz, 2H), 2.58-2.65 (m, 6H), 2.19-2.30 (m, 1H), 1.43- 1.80 (m, 8H) 466 A 271 (S)-5-benzyl-N- (9-fluoro-7- methyl-2-oxo- 2,3,4,5- tetrahydro-1H- benzo[b][1,4] diazepin-3-yl)-4H- 1,2,4-triazole-3- carboxamide 1H NMR (DMSO-d6) δ: 14.38 (br. s., 1H), 9.69 (s, 1H), 8.29 (br. s., 1H), 7.20- 7.40 (m, 5H), 6.41-6.55 (m, 2H), 6.12 (br. s., 1H), 4.62 (ddd, J = 10.4, 6.5, 4.1 Hz, 1H), 4.13 (s, 2H), 3.65-3.71 (m, 2H), 2.19 (s, 3H) 395 F 272 (S)-5- (cyclopentyl- methyl)-N-(7,9- difluoro-2- oxo-2,3,4,5- tetrahydro-1H- benzo[b]azepin- 3-yl)-4H-1,2,4- triazole-3- carboxamide 1H NMR (DMSO-d6) δ: 14.10 (br. s., 1H), 9.97 (s, 1H), 8.25 (br. s., 1H), 7.23- 7.37 (m, 1H), 7.16 (d, J = 8.8 Hz, 1H), 4.36 (dt, J = 11.2, 7.9 Hz, 1H), 2.76- 2.85 (m, 2H), 2.72 (d, J = 7.3 Hz, 2H), 2.40-2.49 (m, 1H), 2.20-2.34 (m, 2H), 1.49-1.75 (m, 6H), 1.15-1.27 (m, 2H) 390 F 273 (S)-5- (cyclopentyl methyl)-N-(9- fluoro-7-methyl- 2-oxo-2,3,4,5- tetrahydro-1H- benzo[b][1,4] diazepin-3-yl)- 4H-1,2,4- triazole-3- carboxamide 1H NMR (DMSO-d6) δ: 13.94 (br. s., 1H), 9.71 (s, 1H), 8.26 (d, J = 5.8 Hz, 1H), 6.51 (s, 1H), 6.46 (d, J = 10.8 Hz, 1H), 6.15 (br. s., 1H), 4.64 (ddd, J = 10.5, 6.5, 4.0 Hz, 1H), 3.71 (dd, J = 11.0, 3.8 Hz, 1H), 3.42- 3.50 (m, 1H), 2.75 (d, J = 7.5 Hz, 2H), 2.23-2.36 (m, 1H), 2.21 (s, 3H), 1.48- 1.77 (m, 6H), 1.16-1.30 (m, 2H) 387 F 274 (S)-5-(2,6- difluorobenzyl)- N-(6-fluoro-8- methyl-4- oxo-2,3,4,5- tetrahydrobenzo [b][1,4]oxazepin- 3-yl)-4H-1,2,4- triazole-3- carboxamide 1H NMR (DMSO-d6) δ: 14.46 (br. s., 1H), 10.01 (s, 1H), 8.39 (br. s., 1H), 7.41 (quin, J = 7.5 Hz, 1H), 7.07- 7.18 (m, 2H), 6.99 (d, J = 10.5 Hz, 1H), 6.89 (s, 1H), 4.84 (dt, J = 11.2, 7.6 Hz, 1H), 4.57-4.68 (m, 1H), 4.44 (dd, J = 10.0, 7.3 Hz, 1H), 4.15 (br. s., 2H), 2.30 (s, 3H) 432 F 275 (S)-5-benzyl- N-(5- methyl-7-(5- methyl-1,2,4- oxadiazol-3-yl)- 4-oxo-2,3,4,5- tetrahydrobenzo [b][1,4]oxazepin- 3-yl)-4H-1,2,4- triazole-3- carboxamide 1H NMR (DMSO-d6) δ: 14.45 (br. s., 1H), 8.50 (br. s., 1H), 8.02 (d, J = 2.0 Hz, 1H), 7.90 (dd, J = 8.3, 2.0 Hz, 1H), 7.42 (d, J = 8.3 Hz, 1H), 7.30-7.36 (m, 2H), 7.22-7.29 (m, 3H), 4.90 (dt, J = 11.6, 7.7 Hz, 1H), 4.68 (t, J = 10.7 Hz, 1H), 4.49 (dd, J = 10.0, 7.5 Hz, 1H), 4.12 (s, 2H), 3.38 (s, 3H), 2.69 (s, 3H) 460 F 276 (S)-5-(2,3- difluorobenzyl)- N-(6-fluoro-8- methyl-4- oxo-2,3,4,5- tetrahydrobenzo [b][1,4]oxazepin- 3-yl)-4H-1,2,4- triazole-3- carboxamide 1H NMR (DMSO-d6) δ: 14.40 (br. s., 1H), 10.00 (s, 1H), 8.34 (br. s., 1H), 7.13- 7.33 (m, 3H), 6.99 (d, J = 10.8 Hz, 1H), 6.89 (s, 1H), 4.85 (dt, J = 11.3, 7.5 Hz, 1H), 4.55-4.69 (m, 1H), 4.45 (dd, J = 10.0, 7.3 Hz, 1H), 4.18 (br. s., 2H), 2.30 (s, 3H) 432 F 277 (S)-5-benzyl-N- (9-fluoro-8- methyl-2- oxo-2,3,4,5- tetrahydro-1H- benzo[b]azepin- 3-yl)-4H-1,2,4- triazole-3- carboxamide 1H NMR (DMSO-d6) δ: 9.95 (s, 1H), 6.96-7.41 (m, 8H), 4.26-4.50 (m, 1H), 4.10 (s, 2H), 2.67-2.98 (m, 3H), 2.15-2.35 (m, 4H) 394 H 278 (S)-5- (cyclopentyl- methyl)-N-(5- methyl-7-(5- methyl-1,2,4- oxadiazol-3-yl)- 4-oxo-2,3,4,5- tetrahydrobenzo [b][1,4]oxazepin- 3-yl)-4H-1,2,4- triazole-3- carboxamide 1H NMR (DMSO-d6) δ: 14.20 (br. s., 1H), 8.42 (br. s., 1H), 8.02 (d, J = 2.0 Hz, 1H), 7.91 (dd, J = 8.3, 2.0 Hz, 1H), 7.43 (d, J = 8.3 Hz, 1H), 4.91 (dt, J = 11.6, 7.6 Hz, 1H), 4.67 (t, J = 10.7 Hz, 1H), 4.51 (dd, J = 9.9, 7.6 Hz, 1H), 3.38 (s, 3H), 2.72 (d, J = 7.6 Hz, 2H), 2.69 (s, 3H), 2.26 (dt, J = 15.0, 7.6 Hz, 1H), 1.47- 1.75 (m, 6H), 1.14-1.29 (m, 2H) 452 H 279 (S)-N-(5- methyl-7- (5-methyl-1,2,4- oxadiazol-3-yl)-4- oxo-2,3,4,5- tetrahydrobenzo [b][1,4]oxazepin- 3-yl)-4- phenoxy picolinamide 1H NMR (DMSO-d6) δ: 8.67 (m, 1H), 8.45 (m, 1H), 7.29-7.07 (m, 10H), 5.04 (m, 1H), 4.29-4.49 (m, 2H), 2.62-2.93 (m, 3H), 2.25 (s, 3H) 472 H 280 (S)-5-benzyl- N-(8-methoxy- 5-methyl-7- (5-methyl-1,3,4- oxadiazol-2- yl)-4-oxo- 2,3,4,5- tetrahydrobenzo [b][1,4]oxazepin- 3-yl)-4H-1,2,4- triazole-3- carboxamide 1H NMR (DMSO-d6) δ: 7.88 (s, 1H), 7.12-7.43 (m, 6H), 4.91 (s, 1H), 4.61- 4.73 (m, 1H), 4.46-4.57 (m, 1H), 4.13 (s, 2H), 3.92 (s, 3H), 3.31 (s, 3H), 2.58 (s, 3H) 490 A 281 (S)-5-benzyl-N- (5-methyl-7-(3- methyl-1,2,4- oxadiazol-5-yl)- 4-oxo-2,3,4,5- tetrahydrobenzo [b][1,4]oxazepin- 3-yl)-4H-1,2,4- triazole-3- carboxamide 1H NMR (DMSO-d6) δ: 8.53 (d, J = 7.3 Hz, 1H), 8.16 (d, J = 2.0 Hz, 1H), 8.00 (dd, J = 8.3, 2.0 Hz, 1H), 7.47 (d, J = 8.5 Hz, 1H), 7.21-7.36 (m, 6H), 4.91 (dt, J = 11.6, 7.7 Hz, 1H), 4.68-4.75 (m, 1H), 4.51 (dd, J = 9.8, 7.3 Hz, 1H), 4.12 (s, 2H), 3.39 (s, 3H), 2.44 (s, 3H) 460 F 282 ((S)-5- (cyclopentyl methyl)-N-(5- methyl-7-(3- methyl-1,2,4- oxadiazol-5-yl)- 4-oxo-2,3,4,5- tetrahydrobenzo [b][1,4]oxazepin- 3-yl)-4H-1,2,4- triazole-3- carboxamide 1H NMR (DMSO-d6) δ: 8.46 (d, J = 7.8 Hz, 1H), 8.16 (d, J = 2.0 Hz, 1H), 8.01 (dd, J = 8.3, 2.0 Hz, 1H), 7.48 (d, J = 8.3 Hz, 1H), 4.92 (dt, J = 11.5, 7.7 Hz, 1H), 4.67-4.76 (m, 1H), 4.52 (dd, J = 9.8, 7.5 Hz, 1H), 3.40 (s, 3H), 2.72 (d, J = 7.5 Hz, 2H), 2.44 (s, 3H), 2.24 (dt, J = 15.2, 7.6 Hz, 1H), 1.45-1.73 (m, 6H), 1.14-1.25 (m, 2H) 452 F 283 (S)-5-benzyl- N-(5- methyl-4-oxo-7- (pyridin-2-yl)- 2,3,4,5- tetrahydrobenzo [b][1,4]oxazepin- 3-yl)-4H-1,2,4- triazole-3- carboxamide 1H NMR (DMSO-d6) δ: 14.43 (br. s., 1H), 8.67- 8.71 (m, 1H), 8.49 (br. s., 1H), 8.17 (d, J = 2.3 Hz, 1H), 8.00-8.09 (m, 2H), 7.92 (td, J = 7.7, 1.8 Hz, 1H), 7.21-7.41 (m, 7H), 4.91 (dt, J = 11.6, 7.7 Hz, 1H), 4.60-4.69 (m, 1H), 4.46 (dd, J = 9.9, 7.6 Hz, 1H), 4.12 (s, 2H), 3.40 (s, 3H) 455 F 284 (S)-5-benzyl-N- (6,8-difluoro-7- methyl-4-oxo- 2,3,4,5- tetrahydro- benzo[b][1,4] oxazepin-3-yl)- 4H-1,2,4- triazole-3- carboxamide 1H NMR (DMSO-d6) δ: 10.09 (br. s., 1H), 8.49 (d, J = 7.0 Hz, 1H), 7.19-7.38 (m, 5H), 7.02 (dd, J = 9.8, 1.5 Hz, 1H), 4.87 (dt, J = 11.3, 7.5 Hz, 1H), 4.64 (t, J = 10.7 Hz, 1H), 4.48 (dd, J = 10.0, 7.3 Hz, 1H), 4.12 (s, 2H), 2.15 (s, 3H) 414 F 285 (S)-N-(7- chloro-9- fluoro-2-oxo- 2,3,4,5- tetrahydro- 1H-benzo[b] azepin-3-yl)-5- (cyclopentyl methyl)-4H- 1,2,4-triazole-3- carboxamide 1H NMR (DMSO-d6) δ: 14.14 (s, 1H), 10.08 (s, 1H), 8.22 (d, J = 7.5 Hz, 1H), 7.43-7.54 (m, 1H), 7.35 (s, 1H), 4.36 (dt, J = 11.3, 7.9 Hz, 1H), 2.62- 2.88 (m, 4H), 2.34-2.48 (m, 1H), 2.19-2.32 (m, 2H), 1.44-1.78 (m, 6H), 1.10-1.29 (m, 2H) 406/408 F -
- Using the procedure described in Example 12, (S)-3-amino-5-methyl-2,3-dihydrobenzo[b][1,4]oxazepin-4(5H)-one hydrochloride (220 mg, 0.96 mmol) was reacted with 5-(1-phenylethyl)-4H-1,2,4-triazole-3-carboxylic acid hydrochloride (256 mg, 1.0 mmol) to yield N—((S)-5-methyl-4-oxo-2,3,4,5-tetrahydrobenzo[b][1,4]oxazepin-3-yl)-5-(1-phenylethyl)-4H-1,2,4-triazole-3-carboxamide (330 mg, 89% yield) as a mixture of 2 diastereoisomers. Separation of the 2 diastereoisomers was achieved using a Gilson LC eluting with 20:80 EtOAc/Hexane with 0.1% DEA. The 2 diastereoisomers were each isolated with a diastereomeric excess >99% and a yield of 138 mg of each.
- N—((S)-5-methyl-4-oxo-2,3,4,5-tetrahydrobenzo[b][1,4]oxazepin-3-yl)-5-((S)-1-phenylethyl)-4H-1,2,4-triazole-3-carboxamide: 1H NMR (DMSO-d6) δ: 8.46 (br. s., 1H), 7.51 (dd, J=7.7, 1.6 Hz, 1H), 7.08-7.45 (m, 8H), 4.84 (dd, J=11.2, 8.0 Hz, 1H), 4.52-4.72 (m, 1H), 4.25-4.49 (m, 2H), 3.32 (s, 3H), 1.63 (d, J=7.3 Hz, 3H). MS (m/z) 392 (M+H+).
- N—((S)-5-methyl-4-oxo-2,3,4,5-tetrahydrobenzo[b][1,4]oxazepin-3-yl)-5-((R)-1-phenylethyl)-4H-1,2,4-triazole-3-carboxamide: 1H NMR (DMSO-d6) δ: 8.45 (br. s., 1H), 7.51 (dd, J=7.7, 1.9 Hz, 1H), 7.12-7.42 (m, 9H), 4.76-4.94 (m, 1H), 4.53-4.70 (m, 1H), 4.28-4.49 (m, 2H), 3.26-3.42 (m, 3H), 1.63 (d, J=7.3 Hz, 3H). MS (m/z) 392 (M+H+).
- Tablets are prepared using conventional methods and are formulated as follows:
-
Ingredient Amount per tablet Compound 5 mg Microcrystalline cellulose 100 mg Lactose 100 mg Sodium starch glycollate 30 mg Magnesium stearate 2 mg Total 237 mg - Capsules are prepared using conventional methods and are formulated as follows:
-
Ingredient Amount per tablet Compound 15 mg Dried starch 178 mg Magnesium stearate 2 mg Total 195 mg - Biological Assays:
- Biological In Vitro Assay
- A fluorescent polarization based binding assay was developed to quantitate interaction of novel test compounds at the ATP binding pocket of RIP1, by competition with a fluorescently labeled ATP competitive ligand. GST-RipK1(1-375) was purified from a Baculovirus expression system and was used at a final assay concentration of 10 nM. A fluorescent labeled ligand (14-(2-{[3-({2-{[4-(cyanomethyl)phenyl]amino}-6-[(5-cyclopropyl-1H-pyrazol-3-yl)amino]-4-pyrimidinyl}amino)propyl]amino}-2-oxoethyl)-16,16,18,18-tetramethyl-6,7,7a,8a,9,10,16,18-octahydrobenzo[2″,3″]indolizino[8″,7″: 5′,6′]pyrano[3′,2′: 3,4]pyrido[1,2-a]indol-5-ium-2-sulfonate (prepared as described below) was used at a final assay concentration of 5 nM. Both the enzyme and ligand were prepared in solutions in 50 mM HEPES pH7.5, 10 mM NaCl, 50 mM MgCl2, 0.5 mM DTT, and 0.02% CHAPS. Test compounds were prepared in neat DMSO and 100 nL was dispensed to individual wells of a multiwell plate. Next, 5 ul GST-RipK1(1-375) was added to the test compounds at twice the final assay concentration, and incubated at room temperature for 10 minutes. Following the incubation, 5 ul of the fluorescent labeled ligand solution, was added to each reaction, at twice the final assay concentration, and incubated at room temperature for at least 15 minutes. Finally, samples were read on an instrument capable of measuring fluorescent polarization. Test compound inhibition was expressed as percent (%) inhibition of internal assay controls. For concentration response experiments, normalized data were fit and pIC50s determined using conventional techniques. The pIC50s are averaged to determine a mean value, for a minimum of 2 experiments.
- As determined using the above method, the compounds of Examples 1-286 exhibited a pIC50 between approximately 5.0 and 9.0. For instance, the compounds of Examples 12, 91, 102, 161, 163 and 169 inhibited RIP1 kinase in the above method with a mean pIC50 of approximately 7.6, 7.6, 7.8, 7.9, 7.9 and 7.2 respectively. Continued testing resulted in a slight change in the reported average pIC50 for these compounds (Example 161 (7.7) and Example 169 (7.3)).
-
- A solution of 2,4,6-trichloropyrimidine (Alfa, 12.25 g, 66.8 mmol), 3-amino-5-cyclopropyl-1H-pyrazole (Fluorochem 8.23 g, 66.8 mmol) and triethylamine (11.2 mL, 80.4 mmol) in ethanol (100 mL) was stirred at room temperature for 16 hours under Ar (balloon). The solvent was removed in vacuo and the crude material was dissolved in ethyl acetate. The solution was washed with water and dried (Na2SO4), filtered and evaporated to give a beige solid. Pure product was obtained as a white crystalline solid after recrystallisation from acetonitrile. It was possible to obtain a second crop. From two runs performed under the same conditions, 29.0 g (88%) of 2,6-dichloro-N-(5-cyclopropyl-1H-pyrazol-3-yl)pyrimidin-4-amine. The product contained ˜10% acetonitrile but was carried through to the next step regardless.
- A suspension of (5-cyclopropyl-1H-pyrazol-3-yl)-(2,6-dichloro-pyrimidin-4-yl)-amine (25.8 g, 0.1 mol) and 4-aminophenylacetonitrile (Alfa, 13.91 g, 0.11 mol) in diisopropylethylamine (Alfa, 342 mL) was stirred at 110° C. for 16 hours under Ar (balloon). The resultant gummy suspension was dissolved in DCM, washed with water and dried (Na2SO4), filtered and concentrated. When the DCM was reduced to a small volume the material was left to stand and the product dropped out of solution. After filtration and washing with DCM, formation of 2-(4-((4-chloro-6-((5-cyclopropyl-1H-pyrazol-3-yl)amino)pyrimidin-2-yl)amino)phenyl)acetonitrile was obtained as a beige powder (10.6 g, 30.3%).
- A mixture of {4-[4-chloro-6-(5-cyclopropyl-1H-pyrazol-3-ylamino)-pyrimidin-2-ylamino]-phenyl}-acetonitrile (1.54 g, 4.2 mmol) and tert-butyl N-(2-aminopropyl)carbamate (Aldrich, 2.20 g, 12.6 mmol, 3.0 eq) were heated at 115° C. for 16 hours under Ar (balloon). The resultant glassy solid was purified by column chromatography (at least 25 cm depth of silica, eluent=DCM→5% MeOH in DCM). Recovered starting material is the first yellow band to elute from the column (eluent ˜2% MeOH in DCM) and the product elutes when the second yellow band has moved through the column (eluent ˜4% MeOH in DCM). A purple band elutes once almost all the product has eluted. A good eluent for TLC analysis of the fractions is 1:1 EtOAc/Pet. Ether. The initial fractions of the product are contaminated with a trace of higher Rf material whereas the final fractions of product contain traces of a lower Rf material. Therefore only the middle product fractions were combined. tert-Butyl (3-((2-((4-(cyanomethyl)phenyl)amino)-6-((5-cyclopropyl-1H-pyrazol-3-yl)amino)pyrimidin-4-yl)amino)propyl)carbamate was obtained as a yellow foam (0.7 g, 33.0%).
- tert-Butyl (3-((2-((4-(cyanomethyl)phenyl)amino)-6-((5-cyclopropyl-1H-pyrazol-3-yl)amino)pyrimidin-4-yl)amino)propyl)carbamate (20 mg, 0.040 mmol) was dissolved in an ice-cold solution of water (0.1 mL) in trifluoroacetic acid (TFA) (1.9 mL). The reaction mixture was allowed to warm to room temperature and left for a total of 2 hours. Excess acid was removed under reduced pressure and the oily residue triturated with several portions of dry ether. The residual solid was dried under reduced pressure. MS (m/z) 403 (M+H+). Analytical C18 HPLC showed only one major component. Yield of 2-(4-((4-((3-aminopropyl)amino)-6-((5-cyclopropyl-1H-pyrazol-3-yl)amino)pyrimidin-2-yl)amino)phenyl)acetonitrile estimated at approximately 98%. 2-(4-((4-((3-Aminopropyl)amino)-6-((5-cyclopropyl-1H-pyrazol-3-yl)amino)pyrimidin-2-yl)amino)phenyl)acetonitrile trifluoroacetic acid salt (3.2 mg, 6.18 mol) and 14-{2-[(2,5-dioxo-1-pyrrolidinyl)oxy]-2-oxoethyl}-16,16,18,18-tetramethyl-6,7,7a,8a,9,10,16,18-octahydrobenzo[2″,3″]indolizino[8″,7″: 5′,6′]pyrano[3′,2′:3,4]pyrido[1,2-a]indol-5-ium-2-sulfonate trifluoroacetic acid salt (2.6 mg, 3.37 μmol) were placed in a 2 ml Eppendorf tube and DMF (200 μl) added. The mixture was stirred till all solid had dissolved and then the mixture was basified by the addition of DIPEA (2 μl, 0.011 mmol). The reaction was stirred overnight at room temperature. The reaction mixture was evaporated to dryness and redissolved in DMSO/MeOH (<1 ml), filtered (0.2 m) and applied to a Phenomenex Jupiter C18 preparative column and eluted with the following gradient (A=0.1% trifluoroacetic acid in water, B=0.1% TFA/90% acetonitrile/10% water): Flow rate=10 ml/min., AU=20/10 (214 nm). The target component was eluted in two fractions. Both fractions were combined and evaporated to dryness to yield 1.4 mg of 14-(2-{[3-({2-{[4-(cyanomethyl)phenyl]amino}-6-[(5-cyclopropyl-1H-pyrazol-3-yl)amino]-4-pyrimidinyl}amino)propyl]amino}-2-oxoethyl)-16,16,18,18-tetramethyl-6,7,7a,8a,9,10,16,18-octahydrobenzo[2″,3″]indolizino[8″,7″: 5′,6′]pyrano[3′,2′:3,4]pyrido[1,2-a]indol-5-ium-2-sulfonate.
- The RIPK1 gene [receptor (TNFRSF)-interacting serine-threonine kinase 1] was cloned from human adrenal gland cDNA. Primers were designed from the reference sequence NM_003804.3 with an added CACC Kozak directional tag for cloning into pENTR/TEV/D-TOPO. Gateway® LR cloning was used to site-specifically recombine RIPK1 downstream to an N-terminal HisGST contained within the destination vector pDEST8-His.GST according to the protocol described by Invitrogen. A stop codon was inserted after amino acid 375 using Quikchange Stratagene mutagenesis kit according to manufacturer's protocol and resulted in pDEST8.His.GST.TEV.human RIPK1 1-375. His.GST.Tev.human RIPK1 1-375 baculovirus was generated using the bac to bac system (Invitrogen) according to manufacturer's specifications. Transfection of Spodoptera frugiperda(Sf9) insect cells was performed using Fugene 6 (Roche), according to the manufacturer's protocol. His.GST.TEV.human RIPK1 1-375 baculovirus infected insect cells (BIICs) were prepared during the baculovirus generation according to David Wasilko and S Edward Lee, TIPS: Titerless Infected Cells Preservation and Scale up, BioProcessing Journal Fall 2006 p 29-32. 20 L Sf9 cells were grown in serum free Hyclone, SFX media (HyClone Laboratories, 925 West 1800 South Logan, Utah 84321) at 27° C. in wave bags seeded at a density of. 8λ10̂6 cell/ml with a rock rate of 25 rpm, airflow of 0.18 to 0.22. in wave reactor (WAVE Bioreactor,
System 20/50EH). Cells were grown ON at 27 C. His.GST.TEV.human RIPK1 1-375 baculovirus infected insect cells (BIICs) were used to infect Sf9s at a cell density of 1.7 to 2.4 λ10̂6. 2 ml of BIIC (1 λ10̂7 cells/mL) were added to 20 L cells. Rock rate is increased to 25 rom at infection. Harvest 72 hrs post infection using the Viafuge. Weigh pellets, seal wave bags and freeze at −80. - A 50 g cell pellet was re-suspended in 250 ml lysis buffer (50 mM Tris pH 7.5, 250 mM NaCl, 1 mM DTT and Complete Protease Inhibitor tablets ( 1/50 ml, from Roche Diagnostics). The cells were lysed by sonication on ice, 3×30″ at
power level 4 using the large probe on a Branson Sonicator. The suspension was then clarified by centrifugation at 15,000 g for 30 minutes, at 4° C. The lysate was decanted from the insoluble pellet and batch bound to 10 ml of Glutathione Agarose (Pierce) for 2 h at 4 C with gentle end over end rotation. The beads were then packed into a column and washed to baseline with lysis buffer (no protease inhibitors) and then eluted with 20 mM reduced glutathione in 50 mM Tris, pH8. - Fractions identified by SDS-PAGE as containing protein of interest were pooled (10 ml total volume), concentrated to about 5 ml and loaded onto a 300 ml SDX200 SEC column (GE Healthcare) which had been equilibrated in 50 mM Tris, pH7.5, 150 mM NaCl, 1 mM DTT and 10% Glycerol. The Rip1 protein eluted as a dimer off the SEC column.
- The protein concentration was determined by Bradford assay using BSA as a standard. The yield was 12.5 mg at 0.63 mg/ml. The purity was >95% as determined by scanning a Coomassie stained SDS-PAGE gel.
- LCMS analysis showed that the major species had lost the N-terminal methionine, was acetylated and had one phosphorylated site. The protein was aliquoted and frozen at −80° C. for use as needed.
- Biological In Vivo Assay
- The efficacy of RIP1 inhibitors can be tested in mice in vivo using a TNF-driven systemic inflammatory response syndrome model (Duprez, L., et al. 2011. Immunity 35(6):908-918). The model can be run in a long modality (using TNF alone i.v.) which results in the termination of the study in ˜7 hrs (under IACUC guidelines for temperature loss) or a short modality (using TNF plus the caspase inhibitor zVAD i.v.) which needs to be terminated at ˜3 hrs (under IACUC guidelines for temperature loss). TNF (or TNF/zVAD) induced manifestations include temperature loss, the production of numerous cytokines (including IL-6, IL-1b, MIP1β and MIP2) in the periphery, liver and intestinal inflammation and an increase of markers of cellular (LDH and CK) and liver damage (AST and ALT) in the serum. Inhibition of these TNF (or TNF/zVAD) induced manifestations can be shown by orally or IP pre-dosing with selected compounds of this invention.
- Each test compound is run through the TNF/zVAD and TNF (alone) versions of the model. For example, mice (7 mice per group) were orally pre-dosed with vehicle or test compound at 50 mg/
kg 15 minutes before i.v. administration of mouse TNF (30 g/mouse) and zVAD (0.4 mg/mouse) simultaneously. Temperature loss in the mice was measured by rectal probe. The study was terminated when the control group lost 7 degrees, per our IACUC protocol. Representative data expressed over time or at the 2.5 hour time point is provided inFIGS. 1A, 1B, 4A and 4B , respectively. All data are shown as means±standard error of the mean. Data for compounds tested in this model are provided in Table 2. -
TABLE 2 Example No. Dose (mg/kg) % Inhibition 12 30 93 20 30 52 45 10 91 64 30 62 125 30 25 108 30 56 161 50 85 163 10 73 176 30 34 190 30 85 97 30 70 235 30 58 236 30 23 - In addition to the TNF/zVAD model, each compound is also tested in a TNF alone model. For the TNF (alone) version of the model, mice (7 mice per group) were orally pre-dosed with vehicle or test compound at 50 mg/
kg 15 minutes before i.v. administration of mouse TNF (30 g/mouse). An example of the TNF (alone) model over time and at the 6 hour time point can be seen inFIGS. 2A, 2B, 5A and 5B , respectively. All data are shown as means±standard error of the mean. Data for compounds tested in this model are provided in Table 3. -
TABLE 3 Example No. Dose (mg/kg) % Inhibition 12 50 87 20 50 51 161 50 82 190 50 56 235 50 73 - The efficacy of RIP1 inhibitors can be tested in mice in vitro using a human monocytic leukemia U937 or mouse L929 fibrosarcoma cells in a necroptosis assay (He, S. et al. 2009. Cell 137(6):1100-1111). Cells were maintained in RPMI supplemented with 10% fetal bovine serum 100 U/ml penicillin, 100 ug/ml streptomycin. For the assay, cells were suspended at 5e5 cells/ml in phenol red free RPMI supplemented with 1% fetal bovine serum, 100 U/ml penicillin, 100 ug/ml streptomycin. Thirty-five (35) ul of the cell suspension was aliquotted into a white, half area assay plate. Five (5) ul each of QVD (final concentration 50 uM) or compound was added to the cells and incubated at 37° C. for 30 min to 1 h. Following the incubation, 5 ul TNFα (
final concentration 100 ng/ml) was added to the cells and the samples were incubated overnight. The next day, cellular levels of ATP was determined using the Cell Titer-Glo Luminescent Cell Viability kit (available from Promega Corporation, Madison, Wis., USA). For example, L929 (FIG. 3A ) or U937 (FIG. 3B ) cells were treated with vehicle or 10 μM of Example 77. For example, L929 (FIG. 6A ) or U937 (FIG. 6B ) cells were treated with vehicle or indicated concentrations of the compound of Example 161. Viability was measured by quantitating cellular levels of ATP using the Cell Titer-Glo kit. All data are shown as means±standard deviation of the mean.
Claims (34)
1. A compound according to Formula (I):
wherein:
X is NH or N(CH3);
Y is CH2 or CH2CH2;
Z1 is N, CH or CR1;
Z2 is CH or CR2;
Z3 is N, CH or CR3;
Z4 is CH or CR4;
R1 is fluoro or methyl;
one of R2 and R3 is halogen, cyano, (C1-C6)alkyl, halo(C1-C4)alkyl, (C1-C6)alkoxy, halo(C1-C4)alkoxy, hydroxyl, B(OH)2, —COOH, halo(C1-C4)alkylC(OH)2—, (C1-C4)alkoxy(C1-C4)alkoxy, (C1-C4)alkylSO2—, (C1-C4)alkylSO2NHC(O)—, (C1-C4)alkylC(O)NH—, ((C1-C4)alkyl)((C1-C4)alkyl)NC(O)—, (C1-C4)alkylOC(O)—, (C1-C4)alkylC(O)N(C1-C4)alkyl)-, (C1-C4)alkylNHC(O)—, (C1-C4)alkoxy(C2-C4)alkylNHC(O)—, (C1-C4)alkoxy(C2-C4)alkylC(O)NH—, (C1-C4)alkoxy(C2-C4)alkylNHC(O)NH—, (C1-C4)alkylSO2(C2-C4)alkylNHC(O)—, (C1-C4)alkylNHC(O)NH—, (C1-C4)alkylOC(O)NH—, hydroxy(C1-C4)alkylOC(O)NH—, 5-6 membered heterocycloalkyl-C(O)—, 5-6 membered heterocycloalkyl-(C1-C4)alkyl-NHC(O)—, 5-6 membered heterocycloalkyl-(C1-C4)alkoxy-, 3-6 membered cycloalkyl, 5-6 membered heteroaryl, or 5-6 membered heteroaryl-C(O)NH,
wherein said 3-6 membered cycloalkyl, 5-6 membered heterocycloalkyl and 5-6 membered heteroaryl are optionally substituted by 1 or 2 substituents each independently selected from the group consisting of (C1-C4)alkyl and —(C1-C4)alkyl-CN;
and the other of R2 and R3 is halogen, cyano or (C1-C6)alkyl;
R4 is fluoro, chloro, methyl or trifluoromethyl;
R5 is H or methyl;
A is phenyl, 5-6 membered heteroaryl, or 5-6 membered heterocycloalkyl, wherein the carbonyl moiety and L are substituted 1,3 on ring A;
m is 0 or m is 1 and RA is (C1-C4)alkyl; and
L is O, S, NH, N(CH3), CH2, CH2CH2, CH(CH3), CHF, CF2, CH2O, CH2N(CH3), CH2NH, or CH(OH);
B is an optionally substituted (C3-C6)cycloalkyl, phenyl, 5-6 membered heteroaryl, or 5-6 membered heterocycloalkyl;
wherein said (C3-C6)cycloalkyl, phenyl, 5-6 membered heteroaryl, or 5-6 membered heterocycloalkyl is unsubstituted or is substituted by one or two substituents each independently selected from halogen, (C1-C4)alkyl, halo(C1-C4)alkyl, (C1-C4)alkoxy, halo(C1-C4)alkoxy, nitro, and (C1-C4)alkylC(O)—;
or the moiety -L-B is (C3-C6)alkyl, (C3-C6)alkoxy, halo(C3-C6)alkoxy, (C3-C6)alkenyl, or (C3-C6)alkenyloxy;
or a pharmaceutically acceptable salt thereof
2. The compound according to claim 1 , or pharmaceutically acceptable salt thereof, wherein:
X is O, S, SO, SO2, NH, CO, CH2, CF2, CH(CH3), CH(OH), or N(CH3);
Y is CH2 or CH2CH2;
Z1 is N, CH or CR1;
Z2 is CH or CR2;
Z3 is N, CH or CR3;
Z4 is CH or CR4;
R1 is fluoro or methyl;
one of R2 and R3 is halogen, cyano, (C1-C6)alkyl, halo(C1-C4)alkyl, (C1-C6)alkoxy, halo(C1-C4)alkoxy, hydroxyl, B(OH)2, —COOH, halo(C1-C4)alkylC(OH)2—, (C1-C4)alkoxy(C1-C4)alkoxy, (C1-C4)alkylSO2—, (C1-C4)alkylSO2NHC(O)—, (C1-C4)alkylC(O)NH—, ((C1-C4)alkyl)((C1-C4)alkyl)NC(O)—, (C1-C4)alkylOC(O)—, (C1-C4)alkylC(O)N(C1-C4)alkyl)-, (C1-C4)alkylNHC(O)—, (C1-C4)alkoxy(C2-C4)alkylNHC(O)—, (C1-C4)alkoxy(C2-C4)alkylC(O)NH—, (C1-C4)alkoxy(C2-C4)alkylNHC(O)NH—, (C1-C4)alkylSO2(C2-C4)alkylNHC(O)—, (C1-C4)alkylNHC(O)NH—, (C1-C4)alkylOC(O)NH—, hydroxy(C1-C4)alkylOC(O)NH—, 5-6 membered heterocycloalkyl-C(O)—, 5-6 membered heterocycloalkyl-(C1-C4)alkyl-NHC(O)—, 5-6 membered heterocycloalkyl-(C1-C4)alkoxy-, 3-6 membered cycloalkyl, 5-6 membered heteroaryl, or 5-6 membered heteroaryl-C(O)NH,
wherein said 3-6 membered cycloalkyl, 5-6 membered heterocycloalkyl and 5-6 membered heteroaryl are optionally substituted by 1 or 2 substituents each independently selected from the group consisting of (C1-C4)alkyl and —(C1-C4)alkyl-CN;
and the other of R2 and R3 is halogen or (C1-C6)alkyl;
R4 is fluoro, chloro, or methyl;
R5 is H or methyl;
A is phenyl, 5-6 membered heteroaryl, or 5-6 membered heterocycloalkyl, wherein the carbonyl moiety and L are substituted 1,3 on ring A;
m is 0 or m is 1 and RA is (C1-C4)alkyl; and
L is O, S, NH, N(CH3), CH2, CH2CH2, CH(CH3), CHF, CF2, CH2O, CH2N(CH3), CH2NH, or CH(OH);
B is an optionally substituted (C3-C6)cycloalkyl, phenyl, 5-6 membered heteroaryl, or 5-6 membered heterocycloalkyl;
wherein said (C3-C6)cycloalkyl, phenyl, 5-6 membered heteroaryl, or 5-6 membered heterocycloalkyl is unsubstituted or is substituted by one or two substituents each independently selected from halogen, (C1-C4)alkyl, halo(C1-C4)alkyl, (C1-C4)alkoxy, halo(C1-C4)alkoxy, nitro, and (C1-C4)alkylC(O)—;
or the moiety -L-B is (C3-C6)alkyl, (C3-C6)alkoxy, halo(C3-C6)alkoxy, (C3-C6)alkenyl, or (C3-C6)alkenyloxy.
3. The compound according to claim 1 , or pharmaceutically acceptable salt thereof, wherein:
X is NH or N(CH3);
Y is CH2 or CH2CH2;
Z1 is N, CH or CR1;
Z2 is CH or CR2;
Z3 is N, CH or CR3;
Z4 is CH or CR4;
R1 is fluoro or methyl;
one of R2 and R3 is halogen, cyano, (C1-C6)alkyl, halo(C1-C4)alkyl, (C1-C6)alkoxy, hydroxyl, B(OH)2, —COOH, halo(C1-C4)alkylC(OH)2—, (C1-C4)alkoxy(C1-C4)alkoxy, (C1-C4)alkylSO2—, (C1-C4)alkylSO2NHC(O)—, (C1-C4)alkylC(O)NH—, ((C1-C4)alkyl)((C1-C4)alkyl)NC(O)—, (C1-C4)alkylOC(O)—, (C1-C4)alkylC(O)N(C1-C4)alkyl)-, (C1-C4)alkylNHC(O)—, (C1-C4)alkoxy(C2-C4)alkylNHC(O)—, (C1-C4)alkoxy(C2-C4)alkylC(O)NH—, (C1-C4)alkoxy(C2-C4)alkylNHC(O)NH—, (C1-C4)alkylSO2(C2-C4)alkylNHC(O)—, (C1-C4)alkylNHC(O)NH—, (C1-C4)alkylOC(O)NH—, hydroxy(C1-C4)alkylOC(O)NH—, 5-6 membered heterocycloalkyl-C(O)—, 5-6 membered heterocycloalkyl-(C1-C4)alkyl-NHC(O)—, 5-6 membered heterocycloalkyl-(C1-C4)alkoxy-, 5-6 membered heteroaryl, or 5-6 membered heteroaryl-C(O)NH,
wherein said 5-6 membered heterocycloalkyl and 5-6 membered heteroaryl are optionally substituted by 1 or 2 substituents each independently selected from the group consisting of (C1-C4)alkyl and —(C1-C4)alkyl-CN;
and the other of R2 and R3 is halogen or (C1-C6)alkyl;
R4 is fluoro, chloro, or methyl;
R5 is H or methyl;
A is phenyl, 5-6 membered heteroaryl, or 5-6 membered heterocycloalkyl, wherein the carbonyl moiety and L are substituted 1,3 on ring A;
m is 0 or m is 1 and RA is (C1-C4)alkyl; and
L is O, S, NH, N(CH3), CH2, CH2CH2, CH(CH3), CHF, CF2, CH2O, CH2N(CH3), CH2NH, or CH(OH);
B is an optionally substituted (C3-C6)cycloalkyl, phenyl, 5-6 membered heteroaryl, or 5-6 membered heterocycloalkyl;
wherein said (C3-C6)cycloalkyl, phenyl, 5-6 membered heteroaryl, or 5-6 membered heterocycloalkyl is unsubstituted or is substituted by one or two substituents each independently selected from halogen, (C1-C4)alkyl, halo(C1-C4)alkyl, (C1-C4)alkoxy, halo(C1-C4)alkoxy, nitro, and (C1-C4)alkylC(O)—;
or the moiety -L-B is (C3-C6)alkyl, (C3-C6)alkoxy, halo(C3-C6)alkoxy, (C3-C6)alkenyl, or (C3-C6)alkenyloxy.
4. The compound according to claim 1 , or pharmaceutically acceptable salt thereof, wherein:
X is NH or N(CH3);
Y is CH2 or CH2CH2;
Z1, Z2, Z3, and Z4 are each CH; or
Z1 is CR1 and Z2, Z3 and Z4 are each CH; or
Z1, Z2, and Z4 are each CH and Z3 is CR3; or
Z1, Z3, and Z4 are each CH and Z2 is CR2; or
Z1, Z2, and Z3 are each CH and Z4 is CR4; or
Z1 and Z3 are CH, Z2 is CR2, and Z4 is CR4;
or Z1 and Z3 are both N, Z2 is CH and Z4 is CH or CR4; or
Z1 is N, Z2 is CR2 and Z3 and Z4 are CH; or
Z3 is N, and Z2, Z3 and Z4 are CH;
R1 is methyl,
R2 is chloro, bromo, —CN, —CH3, —OH, B(OH)2, CF3C(OH)2—, CH3OCH2CH2O—, 5H-tetrazol-5-yl, pyrazol-3-yl, or 5-methyl-1,3,4-oxadiazol-2-yl;
R3 is fluoro, chloro, bromo, —OCH3, B(OH)2, —COOH, CH3SO2—, CH3SO2NHC(O)—, CH3C(O)NH—, (CH3)2NC(O)—, CH3OC(O)—, (CH3)C(O)N(CH3)—, HOCH2CH2C(O)NH—, CH3OCH2CH2NHC(O)NH—, CH3SO2CH2CH2NHC(O)—, CH3CH2NHC(O)NH—, CH3OC(O)NH—, morpholin-4-yl-CO—, pyrrolidin-1-yl-CH2CH2NHC(O)—, tetrahydrofuran-2-yl-CH2O—, pyrrolidin-1-yl-CH2CH2O—, tetrazol-5-yl, 1-(2-cyanoethyl)-tetrazol-5-yl, pyrazol-1-yl, pyrazol-3-yl, 1-methyl-pyrazol-3-yl, 1-methyl-pyrrol-4-yl-C(O)NH—, or 5-oxo-4,5-dihydro-1,3,4-oxadiazol-2-yl;
R4 is fluoro or methyl;
A is furyl, thienyl, oxazolyl, isoxazolyl, thiazolyl, 1,2,4-oxadiazolyl, 1,3,4-oxadiazolyl, pyrrolyl, pyrazolyl, imidazolyl, 1,2,3-triazolyl, 1,2,4-triazolyl, tetrazolyl, piperidinyl, pyrrolidinyl, phenyl or pyridyl;
m is 0 or m is 1 and RA is methyl;
L is O, S, N(CH3), CH2, CH2CH2, CH(CH3), CF2, CH2O, CH2N(CH3), or CH(OH); and
B is thien-2-yl, pyrazol-1-yl, 3,5-dimethylpyrazol-1-yl, 4-methylpyrazol-1-yl, 3,5-dimethylisoxazol-4-yl, tetrahydrofuran-2-yl, morpholin-4-yl, pyridin-2-yl, 2-oxo-pyridin-1-yl, 6-methylpyridin-3-yl, 2-methylpyrimidin-5-yl, cyclopentyl, cyclohexyl, phenyl, 2-methylphenyl, 4-methylphenyl, 2-trifluoromethylphenyl, 2-fluorophenyl, 3-fluorophenyl, 4-fluorophenyl, 2-iodophenyl, 3-bromophenyl, 4-bromophenyl, 4-chlorophenyl, 2,5-difluorophenyl, 2,4-difluorophenyl, 3,4-difluorophenyl, 3,5-difluorophenyl, or 4-methoxyphenyl;
or -L-B is —OCH2CH═CH2, —CH2CH2CH2CH2CH3, —OCH2CH2CH2CH3, —CH2CH2CH3, or —CH2CH(CH3)2.
5. The compound according to claim 1 , or pharmaceutically acceptable salt thereof, wherein X is NH.
6. The compound according to claim 5 , or pharmaceutically acceptable salt thereof, wherein Y is CH2.
7. The compound according to claim 6 , or pharmaceutically acceptable salt thereof, wherein Z1, Z2, Z3, and Z4 are each CH.
8. The compound according to claim 7 , or pharmaceutically acceptable salt thereof, wherein R5 is methyl.
9. The compound according to claim 8 , or pharmaceutically acceptable salt thereof, wherein B is unsubstituted phenyl or B is phenyl, substituted by 1 or 2 substituents independently selected from fluoro, chloro, bromo, and methyl.
10. The compound according to claim 9 , or pharmaceutically acceptable salt thereof, wherein B is phenyl, substituted by 1 or 2 fluoro substituents.
11. The compound according to claim 9 , or pharmaceutically acceptable salt thereof, wherein L is CH2.
12. The compound according to claim 9 , or pharmaceutically acceptable salt thereof, wherein L is N(CH3), CH(CH3), or CH(OH).
18. A pharmaceutical composition comprising the compound according to claim 1 , or pharmaceutically acceptable salt thereof, and one or more pharmaceutically acceptable excipients.
19. A pharmaceutical composition comprising the compound according to claim 4 , or pharmaceutically acceptable salt thereof, and one or more pharmaceutically acceptable excipients.
20. A pharmaceutical composition comprising the compound according to claim 9 , or pharmaceutically acceptable salt thereof, and one or more pharmaceutically acceptable excipients.
21. A method of treating ulcerative colitis comprising administering a therapeutically effective amount of the compound according to claim 1 , or pharmaceutically acceptable salt thereof, to a human in need thereof.
22. A method of treating Crohn's disease comprising administering a therapeutically effective amount of the compound according to claim 1 , or pharmaceutically acceptable salt thereof, to a human in need thereof.
23. A method of treating psoriasis comprising administering a therapeutically effective amount of the compound according to claim 1 , or pharmaceutically acceptable salt thereof, to a human in need thereof.
24. A method of treating rheumatoid arthritis comprising administering a therapeutically effective amount of the compound according to claim 1 , or pharmaceutically acceptable salt thereof, to a human in need thereof.
25. A method of treating spondyloarthritis comprising administering a therapeutically effective amount of the compound according to claim 1 , or pharmaceutically acceptable salt thereof, to a human in need thereof.
26. A method of treating systemic onset juvenile idiopathic arthritis comprising administering a therapeutically effective amount of the compound according to claim 1 , or pharmaceutically acceptable salt thereof, to a human in need thereof.
27. A method of treating psoriatic arthritis comprising administering a therapeutically effective amount of the compound according to claim 1 , or pharmaceutically acceptable salt thereof, to a human in need thereof.
28. A method of treating osteoarthritis comprising administering a therapeutically effective amount of the compound according to claim 1 , or pharmaceutically acceptable salt thereof, to a human in need thereof.
29. A method of treating ischemia reperfusion injury of solid organs comprising administering a therapeutically effective amount of the compound according to claim 1 , or pharmaceutically acceptable salt thereof, to a human in need thereof.
30. A method of treating multiple sclerosis comprising administering a therapeutically effective amount of the compound according to claim 1 , or pharmaceutically acceptable salt thereof, to a human in need thereof.
31. A method of treating sepsis comprising administering a therapeutically effective amount of the compound according to claim 1 , or pharmaceutically acceptable salt thereof, to a human in need thereof.
32. A method of treating systemic inflammatory response syndrome comprising administering a therapeutically effective amount of the compound according to claim 1 , or pharmaceutically acceptable salt thereof, to a human in need thereof.
33. A method of treating a hematological malignancy comprising administering a therapeutically effective amount of the compound according to claim 1 , or pharmaceutically acceptable salt thereof, to a human in need thereof.
34. A method of treating a solid organ malignancy comprising administering a therapeutically effective amount of the compound according to claim 1 , or pharmaceutically acceptable salt thereof, to a human in need thereof.
Priority Applications (3)
| Application Number | Priority Date | Filing Date | Title |
|---|---|---|---|
| US15/835,747 US20180098998A1 (en) | 2013-02-15 | 2017-12-08 | Heterocyclic amides as kinase inhibitors |
| US16/299,254 US10933070B2 (en) | 2013-02-15 | 2019-03-12 | Heterocyclic amides as kinase inhibitors |
| US16/408,718 US10940154B2 (en) | 2013-02-15 | 2019-05-10 | Heterocyclic amides as kinase inhibitors |
Applications Claiming Priority (7)
| Application Number | Priority Date | Filing Date | Title |
|---|---|---|---|
| US201361765664P | 2013-02-15 | 2013-02-15 | |
| US201361790044P | 2013-03-15 | 2013-03-15 | |
| PCT/IB2014/059004 WO2014125444A1 (en) | 2013-02-15 | 2014-02-14 | Heterocyclic amides as kinase inhibitors |
| US201514763183A | 2015-07-24 | 2015-07-24 | |
| US15/271,581 US9624202B2 (en) | 2013-02-15 | 2016-09-21 | Heterocyclic amides as kinase inhibitors |
| US15/459,141 US10292987B2 (en) | 2013-02-15 | 2017-03-15 | Heterocyclic amides as kinase inhibitors |
| US15/835,747 US20180098998A1 (en) | 2013-02-15 | 2017-12-08 | Heterocyclic amides as kinase inhibitors |
Related Parent Applications (1)
| Application Number | Title | Priority Date | Filing Date |
|---|---|---|---|
| US15/459,141 Continuation US10292987B2 (en) | 2013-02-15 | 2017-03-15 | Heterocyclic amides as kinase inhibitors |
Related Child Applications (1)
| Application Number | Title | Priority Date | Filing Date |
|---|---|---|---|
| US16/299,254 Continuation US10933070B2 (en) | 2013-02-15 | 2019-03-12 | Heterocyclic amides as kinase inhibitors |
Publications (1)
| Publication Number | Publication Date |
|---|---|
| US20180098998A1 true US20180098998A1 (en) | 2018-04-12 |
Family
ID=50151350
Family Applications (6)
| Application Number | Title | Priority Date | Filing Date |
|---|---|---|---|
| US14/763,183 Active US9556152B2 (en) | 2013-02-15 | 2014-02-14 | Heterocyclic amides as kinase inhibitors |
| US15/271,581 Active US9624202B2 (en) | 2013-02-15 | 2016-09-21 | Heterocyclic amides as kinase inhibitors |
| US15/459,141 Active US10292987B2 (en) | 2013-02-15 | 2017-03-15 | Heterocyclic amides as kinase inhibitors |
| US15/835,747 Abandoned US20180098998A1 (en) | 2013-02-15 | 2017-12-08 | Heterocyclic amides as kinase inhibitors |
| US16/299,254 Active US10933070B2 (en) | 2013-02-15 | 2019-03-12 | Heterocyclic amides as kinase inhibitors |
| US16/408,718 Active US10940154B2 (en) | 2013-02-15 | 2019-05-10 | Heterocyclic amides as kinase inhibitors |
Family Applications Before (3)
| Application Number | Title | Priority Date | Filing Date |
|---|---|---|---|
| US14/763,183 Active US9556152B2 (en) | 2013-02-15 | 2014-02-14 | Heterocyclic amides as kinase inhibitors |
| US15/271,581 Active US9624202B2 (en) | 2013-02-15 | 2016-09-21 | Heterocyclic amides as kinase inhibitors |
| US15/459,141 Active US10292987B2 (en) | 2013-02-15 | 2017-03-15 | Heterocyclic amides as kinase inhibitors |
Family Applications After (2)
| Application Number | Title | Priority Date | Filing Date |
|---|---|---|---|
| US16/299,254 Active US10933070B2 (en) | 2013-02-15 | 2019-03-12 | Heterocyclic amides as kinase inhibitors |
| US16/408,718 Active US10940154B2 (en) | 2013-02-15 | 2019-05-10 | Heterocyclic amides as kinase inhibitors |
Country Status (37)
| Country | Link |
|---|---|
| US (6) | US9556152B2 (en) |
| EP (4) | EP3508484B1 (en) |
| JP (3) | JP6321045B2 (en) |
| KR (2) | KR102267977B1 (en) |
| CN (3) | CN105121432B (en) |
| AU (1) | AU2014217453B2 (en) |
| BR (4) | BR122017002946A2 (en) |
| CA (1) | CA2900695C (en) |
| CL (1) | CL2015002279A1 (en) |
| CR (3) | CR20190511A (en) |
| CY (2) | CY1120320T1 (en) |
| DK (2) | DK2956452T3 (en) |
| DO (3) | DOP2015000196A (en) |
| EA (2) | EA028991B1 (en) |
| ES (3) | ES2814556T3 (en) |
| HR (2) | HRP20180900T1 (en) |
| HU (2) | HUE053215T2 (en) |
| IL (3) | IL240280B (en) |
| LT (2) | LT3342771T (en) |
| MA (1) | MA44820B1 (en) |
| MX (3) | MX373866B (en) |
| MY (2) | MY178552A (en) |
| NZ (1) | NZ628447A (en) |
| PE (1) | PE20151752A1 (en) |
| PH (4) | PH12015501675A1 (en) |
| PL (2) | PL3342771T3 (en) |
| PT (2) | PT3342771T (en) |
| RS (2) | RS61439B1 (en) |
| SG (1) | SG11201505796TA (en) |
| SI (2) | SI3342771T1 (en) |
| SM (2) | SMT202100083T1 (en) |
| TR (1) | TR201808112T4 (en) |
| TW (4) | TWI648273B (en) |
| UA (1) | UA118259C2 (en) |
| UY (1) | UY35330A (en) |
| WO (1) | WO2014125444A1 (en) |
| ZA (1) | ZA201505267B (en) |
Families Citing this family (111)
| Publication number | Priority date | Publication date | Assignee | Title |
|---|---|---|---|---|
| TWI648273B (en) * | 2013-02-15 | 2019-01-21 | 英商葛蘭素史克智慧財產發展有限公司 | Heterocyclic amides as kinase inhibitors (III) |
| CN106573006A (en) * | 2014-08-21 | 2017-04-19 | 葛兰素史密斯克莱知识产权发展有限公司 | RIP1 Kinase Inhibitor Heterocyclic Amides as Drugs |
| JP6590927B2 (en) * | 2014-11-14 | 2019-10-16 | ベーリンガー インゲルハイム インターナショナル ゲゼルシャフト ミット ベシュレンクテル ハフツング | Aryl and heteroaryl fused tetrahydro-1,4-oxazepinamides as somatostatin receptor subtype 4 (SSTR4) agonists |
| US9944628B2 (en) | 2014-12-11 | 2018-04-17 | President And Fellows Of Harvard College | Inhibitors of cellular necrosis and related methods |
| CA2976172A1 (en) * | 2015-02-13 | 2016-08-18 | Glaxosmithkline Intellectual Property Development Limited | Crystalline forms of (s)-5-benzyl-n-(5-methyl-4-oxo-2,3,4,5-tetrahydrobenzo[b][1,4]oxazepin-3-yl)-4h-1,2,4-triazole-3-carboxamide |
| BR112017018643B1 (en) | 2015-03-02 | 2024-02-27 | Evotec Se | Useful bicyclic tetrahydrothiazepine derivatives, pharmaceutical composition comprising the same, their use, and in vitro or ex vivo method for producing activated immune cells |
| TWI730959B (en) * | 2015-05-19 | 2021-06-21 | 英商葛蘭素史克智慧財產發展有限公司 | Heterocyclic amides as kinase inhibitors |
| EP3323809A4 (en) * | 2015-06-22 | 2019-01-02 | Sumitomo Dainippon Pharma Co., Ltd. | Bicyclic heterocyclic amide derivative |
| PE20221048A1 (en) * | 2015-07-02 | 2022-06-30 | Hoffmann La Roche | BICYCLIC LACTAMS AS RIP1 KINASE INHIBITORS |
| NZ739226A (en) | 2015-07-22 | 2022-11-25 | Enanta Pharm Inc | Benzodiazepine derivatives as rsv inhibitors |
| WO2017069279A1 (en) * | 2015-10-23 | 2017-04-27 | 武田薬品工業株式会社 | Heterocyclic compound |
| US10709692B2 (en) * | 2015-12-04 | 2020-07-14 | Denali Therapeutics Inc. | Isoxazolidine derived inhibitors of receptor interacting protein kinase 1 (RIPK1) |
| WO2017109724A1 (en) | 2015-12-21 | 2017-06-29 | Glaxosmithkline Intellectual Property Development Limited | Heterocyclic amides as kinase inhibitors |
| EP3402799B1 (en) | 2016-01-15 | 2022-05-04 | Enanta Pharmaceuticals, Inc. | Heterocyclic compounds as rsv inhibitors |
| KR102808827B1 (en) | 2016-02-05 | 2025-05-19 | 데날리 테라퓨틱스 인크. | Inhibitor of receptor-interacting protein kinase 1 |
| US10898469B2 (en) | 2016-02-26 | 2021-01-26 | Sumitomo Dainippon Pharma Co., Ltd. | Imidazolylamide derivative |
| WO2018007973A2 (en) | 2016-07-06 | 2018-01-11 | Glaxosmithkline Intellectual Property Development Limited | Process and intermediates for preparing benzoxazepines |
| CN109843886B (en) * | 2016-10-17 | 2022-04-19 | 豪夫迈·罗氏有限公司 | Bicyclic pyridone lactams and methods of use thereof |
| TW201822637A (en) | 2016-11-07 | 2018-07-01 | 德商拜耳廠股份有限公司 | Substituted sulfonamides for controlling animal pests |
| TW201831464A (en) | 2016-11-18 | 2018-09-01 | 英商葛蘭素史克智慧財產發展有限公司 | Heterocyclic amides as kinase inhibitors |
| WO2018100070A1 (en) | 2016-12-02 | 2018-06-07 | F. Hoffmann-La Roche Ag | Bicyclic amide compounds and methods of use thereof |
| EP3552017B1 (en) | 2016-12-09 | 2022-02-23 | Denali Therapeutics Inc. | Compounds useful as ripk1 inhibitors |
| US11072607B2 (en) | 2016-12-16 | 2021-07-27 | Genentech, Inc. | Inhibitors of RIP1 kinase and methods of use thereof |
| JPWO2018117196A1 (en) | 2016-12-20 | 2019-10-31 | 大日本住友製薬株式会社 | Drugs targeting cancer stem cells |
| WO2018129287A1 (en) | 2017-01-06 | 2018-07-12 | Enanta Pharmaceuticals, Inc. | Heteroaryldiazepine derivatives as rsv inhibitors |
| CN110809472B (en) | 2017-02-16 | 2023-05-23 | 英安塔制药有限公司 | Process for the preparation of benzodiazepine derivatives |
| EP3585782A1 (en) | 2017-02-27 | 2020-01-01 | GlaxoSmithKline Intellectual Property Development Limited | Heterocyclic amides as kinase inhibitors |
| JOP20190233A1 (en) * | 2017-04-14 | 2019-10-02 | Biogen Ma Inc | Benzoazepine analogs as inhibiting agents for bruton's tyrosine kinase |
| CN110769853B (en) * | 2017-04-17 | 2022-06-03 | 北京生命科学研究所 | Treatment of male aging |
| PE20241932A1 (en) | 2017-05-17 | 2024-09-24 | Denali Therapeutics Inc | KINASE INHIBITORS AND THEIR USES |
| US10752598B2 (en) | 2017-06-07 | 2020-08-25 | Enanta Pharmaceuticals, Inc. | Aryldiazepine derivatives as RSV inhibitors |
| US10851115B2 (en) | 2017-06-30 | 2020-12-01 | Enanta Pharmaceuticals, Inc. | Heterocyclic compounds as RSV inhibitors |
| WO2019006295A1 (en) | 2017-06-30 | 2019-01-03 | Enanta Pharmaceuticals, Inc. | Heterocyclic compounds as rsv inhibitors |
| CN119613408A (en) * | 2017-07-14 | 2025-03-14 | 豪夫迈·罗氏有限公司 | Bicyclic ketone compounds and methods of use thereof |
| TWI811236B (en) | 2017-08-28 | 2023-08-11 | 美商因那塔製藥公司 | Hepatitis b antiviral agents |
| US10881666B2 (en) | 2017-09-29 | 2021-01-05 | Enanta Pharmaceuticals, Inc. | Combination pharmaceutical agents as RSV inhibitors |
| MA50356A (en) | 2017-10-11 | 2021-04-21 | Hoffmann La Roche | BICYCLIC COMPOUNDS INTENDED FOR USE AS KINASE RIP1 INHIBITORS |
| US11072617B2 (en) | 2017-10-31 | 2021-07-27 | Genentech, Inc. | Bicyclic sulfones and sulfoxides and methods of use thereof |
| US10647711B2 (en) | 2017-11-13 | 2020-05-12 | Enanta Pharmaceuticals, Inc. | Azepin-2-one derivatives as RSV inhibitors |
| CN111343990B (en) | 2017-11-13 | 2023-08-04 | 英安塔制药有限公司 | Resolution method of benzodiazepin-2-one and benzazepin-2-one derivative |
| WO2019123219A1 (en) | 2017-12-20 | 2019-06-27 | Glaxosmithkline Intellectual Property Development Limited | Crystalline salt form of (s)-5-benzyl-n-(5-methyl-4-oxo-2,3,4,5-tetrahydrobenzo[b][1,4]oxazepin-3-yl)-4h-1,2,4-triazole-3-carboxamide |
| BR112020013247A2 (en) | 2017-12-29 | 2020-12-01 | Glaxosmithkline Intellectual Property Development Limited | heterocyclic amides as kinase inhibitors |
| US10975094B2 (en) | 2018-04-11 | 2021-04-13 | Enanta Pharmaceuticals, Inc. | Heterocyclic compounds as RSV inhibitors |
| EP3781571B1 (en) | 2018-04-20 | 2024-01-17 | F. Hoffmann-La Roche AG | N-[4-oxo-2,3-dihydro-pyrido[3,2-b][1,4]oxazepin-3-yl]-5,6-dihydro-4h-pyrrolo[1,2-b]pyrazole-2-carboxamide derivatives and related compounds as rip1 kinase inhibitors for treating e.g. irritable bowel syndrome (ibs) |
| CN110407770B (en) * | 2018-04-27 | 2022-12-30 | 复旦大学 | 3-substituted-1, 5-benzazepine compound and pharmaceutical use thereof |
| LT3788045T (en) | 2018-05-03 | 2023-06-26 | Rigel Pharmaceuticals, Inc. | Rip1 inhibitory compounds and methods for making and using the same |
| BR112020022420A2 (en) * | 2018-05-03 | 2021-03-02 | Rigel Pharmaceuticals, Inc. | compound, pharmaceutical composition, method, method for treating a disease in an individual and method for producing the compound |
| WO2019224773A1 (en) | 2018-05-23 | 2019-11-28 | Glaxosmithkline Intellectual Property Development Limited | Heterocyclic amides as rip1 kinase inhibitors |
| WO2019224774A1 (en) | 2018-05-23 | 2019-11-28 | Glaxosmithkline Intellectual Property Development Limited | Heterocyclic amides as rip1 kinase inhibitors |
| CN110642874B (en) * | 2018-06-26 | 2023-03-28 | 中国科学院上海有机化学研究所 | Cell necrosis inhibitor and preparation method and application thereof |
| AU2019296091A1 (en) * | 2018-06-26 | 2021-01-21 | Shanghai Institute Of Organic Chemistry, Chinese Academy Of Sciences | Cell necrosis inhibitor, preparation method therefor and use thereof |
| ES2815899T3 (en) * | 2018-07-09 | 2021-03-31 | Fis Fabbrica Italiana Sintetici Spa | 2-Fluoro-3-crystalline nitrotoluene and procedure for its preparation |
| WO2020044206A1 (en) | 2018-08-29 | 2020-03-05 | Glaxosmithkline Intellectual Property Development Limited | Heterocyclic amides as kinase inhibitors for use in the treatment cancer |
| CN109134448B (en) * | 2018-10-16 | 2020-11-27 | 中南大学湘雅医院 | Heterocyclic compound and salt thereof, preparation method, use and medicine |
| JP7045526B2 (en) | 2018-11-02 | 2022-03-31 | 中国科学院上海薬物研究所 | Complex cyclic amides that inhibit RIP1 kinase and their use |
| CN111138448B (en) | 2018-11-02 | 2022-08-02 | 中国科学院上海药物研究所 | Heterocyclic amides inhibiting RIP1 kinase and uses thereof |
| US11198693B2 (en) | 2018-11-21 | 2021-12-14 | Enanta Pharmaceuticals, Inc. | Functionalized heterocycles as antiviral agents |
| EP3908586B1 (en) | 2019-01-11 | 2022-12-21 | F. Hoffmann-La Roche AG | Bicyclic pyrrolotriazolr ketone compounds and methods of use thereof |
| SG11202108064XA (en) | 2019-01-25 | 2021-08-30 | Beijing Scitech Mq Pharmaceuticals Ltd | Acylamino bridged heterocyclic compound, and composition and application thereof |
| KR20210138684A (en) | 2019-03-18 | 2021-11-19 | 이난타 파마슈티칼스, 인코포레이티드 | Benzodiazepine derivatives as RSV inhibitors |
| US11179400B2 (en) | 2019-04-09 | 2021-11-23 | Enanta Pharmaceuticals, Inc. | Heterocyclic compounds as RSV inhibitors |
| EP3968966A1 (en) | 2019-05-17 | 2022-03-23 | GlaxoSmithKline Intellectual Property Development Ltd | Matrix composition comprising (s)-5-benzyl-n-(5-methyl-4-oxo-2,3,4,5-tetrahydrobenzo[b][1,4]oxazepin-3-yl)-4h-1,2,4-triazole-3-carboxamide |
| US12351587B2 (en) | 2019-05-31 | 2025-07-08 | Medshine Discovery Inc. | Bicyclic compound as RIP-1 kinase inhibitor and application thereof |
| US12365695B2 (en) * | 2019-08-09 | 2025-07-22 | Bisichem Co., Ltd. | Fused ring heteroaryl compounds as RIPK1 inhibitors |
| WO2021043966A1 (en) * | 2019-09-06 | 2021-03-11 | Inflazome Limited | Nlrp3 inhibitors |
| KR102824407B1 (en) * | 2019-09-06 | 2025-06-25 | 리겔 파마슈티칼스, 인크. | RIP1 inhibitory compounds and methods for making and using them |
| TW202122397A (en) | 2019-09-06 | 2021-06-16 | 美商雷傑製藥公司 | Rip1 inhibitory compounds and methods for making and using the same |
| US11718612B2 (en) | 2019-09-06 | 2023-08-08 | Board Of Regents, The University Of Texas System | Inhibitors of receptor interacting protein kinase I for the treatment of disease |
| IL291665B2 (en) | 2019-09-27 | 2025-07-01 | Univ Texas | Inhibitors of receptor interaction with protein kinase I for the treatment of disease |
| EP4037688A4 (en) | 2019-10-04 | 2023-09-06 | Enanta Pharmaceuticals, Inc. | Antiviral heterocyclic compounds |
| US11505558B1 (en) | 2019-10-04 | 2022-11-22 | Enanta Pharmaceuticals, Inc. | Antiviral heterocyclic compounds |
| IL292536A (en) * | 2019-11-07 | 2022-06-01 | Rigel Pharmaceuticals Inc | Heterocyclic rip1 inhibitory compounds |
| AU2020391425A1 (en) | 2019-11-26 | 2022-06-16 | Board Of Regents, The University Of Texas System | Inhibitors of Receptor Interacting Protein Kinase 1 for the treatment of disease |
| UY39032A (en) | 2020-01-24 | 2021-07-30 | Enanta Pharm Inc | HETEROCYCLIC COMPOUNDS AS ANTIVIRAL AGENTS |
| EP4110765A4 (en) * | 2020-02-28 | 2024-03-06 | Board of Regents, The University of Texas System | INHIBITORS OF RECEPTOR INTERACTING PROTEIN KINASE I FOR THE TREATMENT OF DISEASES |
| AR121717A1 (en) | 2020-04-02 | 2022-06-29 | Rigel Pharmaceuticals Inc | RIP1K INHIBITORS |
| TW202214617A (en) | 2020-06-02 | 2022-04-16 | 法商賽諾菲公司 | Isoxazolidines as ripk1 inhibitors and use thereof |
| TWI824259B (en) * | 2020-07-01 | 2023-12-01 | 美商雷傑製藥公司 | Rip1k inhibitors |
| US11534439B2 (en) | 2020-07-07 | 2022-12-27 | Enanta Pharmaceuticals, Inc. | Dihydroquinoxaline and dihydropyridopyrazine derivatives as RSV inhibitors |
| MX2023001979A (en) * | 2020-08-18 | 2023-02-27 | Hutchison Medipharma Ltd | Pyrimidinone compounds and uses thereof. |
| US11945824B2 (en) | 2020-10-19 | 2024-04-02 | Enanta Pharmaceuticals, Inc. | Heterocyclic compounds as anti-viral agents |
| CN114716427B (en) * | 2021-01-07 | 2024-04-26 | 成都贝诺科成生物科技有限公司 | Compound serving as RIP inhibitor and preparation method and application thereof |
| WO2022171110A1 (en) * | 2021-02-10 | 2022-08-18 | Zai Lab (Us) Llc | Fused tricyclic compounds as rip1-kinase inhibitors and uses thereof |
| WO2022171111A1 (en) * | 2021-02-10 | 2022-08-18 | Zai Lab (Us) Llc | Heteroaryl-fused bicyclic compound as rip1-kinase inhibitors and uses thereof |
| AR125587A1 (en) * | 2021-03-11 | 2023-08-02 | Rigel Pharmaceuticals Inc | HETEROCYCLIC INHIBITORS OF RIP1 KINASE |
| CN113045560B (en) * | 2021-03-30 | 2022-09-06 | 港科鹏禾生物(苏州)有限公司 | Amide derivative and preparation method and application thereof |
| JP2024513394A (en) | 2021-04-02 | 2024-03-25 | ジェネンテック, インコーポレイテッド | Method for making bicyclic ketone compounds |
| WO2022231928A1 (en) * | 2021-04-27 | 2022-11-03 | Merck Sharp & Dohme Llc | Ripk1 inhibitors and methods of use |
| CN115246796A (en) * | 2021-04-27 | 2022-10-28 | 中国科学院上海有机化学研究所 | Compound for inhibiting programmed cell death and preparation method thereof |
| WO2023018643A1 (en) | 2021-08-10 | 2023-02-16 | Abbvie Inc. | Nicotinamide ripk1 inhibitors |
| CN119528915A (en) * | 2021-09-14 | 2025-02-28 | 中国科学院上海有机化学研究所 | Compound for inhibiting programmed cell death and preparation method thereof |
| JP2024545552A (en) * | 2021-09-17 | 2024-12-10 | ビシケム カンパニー リミテッド | Fused heterocycles as RIPK1 inhibitors |
| JP2024539213A (en) * | 2021-10-22 | 2024-10-28 | ボロノイ インコーポレイテッド | Aryl or heteroaryl derivatives and pharmaceutical compositions containing the same as active ingredients for preventing or treating kinase-related diseases |
| CN113876778B (en) * | 2021-11-05 | 2023-04-14 | 中日友好医院(中日友好临床医学研究所) | Application of KW2449 in the preparation of drugs for improving rheumatoid arthritis |
| JP2024544533A (en) | 2021-11-11 | 2024-12-03 | ジェンザイム・コーポレーション | Isoxazolidines as RIPK1 inhibitors and their uses |
| WO2023119210A1 (en) * | 2021-12-24 | 2023-06-29 | 제일약품주식회사 | Novel compound as ripk1 inhibitor and pharmaceutical composition comprising same |
| JP2025503642A (en) | 2022-01-12 | 2025-02-04 | デナリ セラピューティクス インコーポレイテッド | Crystalline form of (S)-5-benzyl-N-(5-methyl-4-oxo-2,3,4,5-tetrahydropyrido[3,2-B][1,4]oxazepin-3-yl)-4H-1,2,4-triazole-3-carboxamide |
| TW202345852A (en) | 2022-03-16 | 2023-12-01 | 大陸商江蘇恆瑞醫藥股份有限公司 | Fused heterocyclic compounds, their preparation method and medical use |
| AR129003A1 (en) | 2022-04-07 | 2024-07-03 | Enanta Pharm Inc | HETEROCYCLIC ANTIVIRAL COMPOUNDS |
| WO2023211997A1 (en) | 2022-04-27 | 2023-11-02 | Enanta Pharmaceuticals, Inc. | Antiviral compounds |
| WO2023240379A1 (en) * | 2022-06-13 | 2023-12-21 | 南京医工医药技术有限公司 | Imidazolinone derivative and use thereof |
| CN114736197B (en) * | 2022-06-13 | 2022-09-13 | 南京医工医药技术有限公司 | Imidazolidinone derivatives and their use |
| CN117447460A (en) * | 2022-07-13 | 2024-01-26 | 南京天印健华医药科技有限公司 | Heterocyclic compounds as RIPK1 inhibitors |
| WO2024040155A1 (en) | 2022-08-19 | 2024-02-22 | Genzyme Corporation | Isoxazolidines as ripk1 inhibitors and use thereof |
| TW202423921A (en) * | 2022-08-22 | 2024-06-16 | 美商安塔製藥公司 | Fused heterobicyclic antiviral agents |
| CN117645579A (en) * | 2022-09-02 | 2024-03-05 | 科辉智药生物科技(深圳)有限公司 | Aza-fused ring compounds as RIPK1 inhibitors and uses thereof |
| TW202444357A (en) * | 2023-01-23 | 2024-11-16 | 美商健臻公司 | Drug formulations of 4-(3,3-difluoro-2,2-dimethyl-propanoyl) -3,5-dihydro-2h-pyrido[3,4-f][1,4]oxazepine-9-carbonitrile |
| WO2024233554A1 (en) | 2023-05-10 | 2024-11-14 | Genzyme Corporation | Isoxazolidines as ripk1 inhibitors and use thereof |
| WO2024233547A1 (en) | 2023-05-10 | 2024-11-14 | Genzyme Corporation | Isoxazolidines as ripk1 inhibitors and use thereof |
| CN121127467A (en) | 2023-05-10 | 2025-12-12 | 建新公司 | Isoxazolidines as RIPK1 inhibitors and uses thereof |
| US20250000872A1 (en) * | 2023-06-26 | 2025-01-02 | Eli Lilly And Company | Formulations and dosing regimens for rip1 kinase inhibitors for treating autoimmune and inflammatory diseases |
Family Cites Families (60)
| Publication number | Priority date | Publication date | Assignee | Title |
|---|---|---|---|---|
| JPS5239065B2 (en) | 1971-11-17 | 1977-10-03 | ||
| EP0166357A3 (en) * | 1984-06-26 | 1988-10-26 | Merck & Co. Inc. | Benzofused lactams and pharmaceutical compositions containing them |
| US4692522A (en) | 1985-04-01 | 1987-09-08 | Merck & Co., Inc. | Benzofused lactams useful as cholecystokinin antagonists |
| US5206234A (en) | 1990-10-22 | 1993-04-27 | Merck & Co., Inc. | Benzolactam analogs as antagonists of cck |
| JP3358069B2 (en) | 1991-12-24 | 2002-12-16 | 武田薬品工業株式会社 | Tricyclic heterocycles, their production method and agents |
| CA2222491A1 (en) | 1995-06-07 | 1996-12-19 | Merck & Co., Inc. | Novel n-(2,4-dioxo-2,3,4,5-tetrahydro-1h-1,5-benzodiazepin-3yl)-3-amides |
| WO1998041510A1 (en) | 1997-03-14 | 1998-09-24 | Shionogi & Co., Ltd. | Novel benzolactam derivatives and medicinal compositions comprising the same |
| US6228854B1 (en) | 1997-08-11 | 2001-05-08 | Cor Therapeutics, Inc. | Selective factor Xa inhibitors |
| FR2781483A1 (en) * | 1998-07-21 | 2000-01-28 | Hoechst Marion Roussel Inc | Thioazepinone derivatives having Src domain SH2 inhibiting and osteoclast-mediated calcium resorption from bone inhibiting activity, for treatment of osteoporosis |
| WO2001002358A2 (en) | 1999-07-06 | 2001-01-11 | Vertex Pharmaceuticals Incorporated | Cyclized amide derivatives for treating or preventing neuronal damage |
| WO2001035964A1 (en) | 1999-11-18 | 2001-05-25 | Antexpharma, Inc. | Substituted 1-benzazepines and derivatives thereof |
| JP2003535046A (en) | 2000-04-03 | 2003-11-25 | デュポン ファーマシューティカルズ カンパニー | Cyclic lactams as inhibitors of Aβ protein production |
| BR0110051A (en) | 2000-04-03 | 2004-12-07 | Bristol Myers Squibb Pharma Co | Compound, Compound Use, Pharmaceutical Composition and Method of Treatment of Alzheimer's Disease |
| AU783857B2 (en) | 2000-06-01 | 2005-12-15 | Bristol-Myers Squibb Pharma Company | Lactams substituted by cyclic succinates as inhibitors of a beta protein production |
| DE10054279A1 (en) | 2000-11-02 | 2002-05-16 | Apotech Res & Dev Ltd | Use of ligands from death receptors or RIP to trigger caspase-independent cell death and compounds to inhibit caspase-independent cell death |
| JP2004536079A (en) | 2001-05-16 | 2004-12-02 | アンテックスファーマ・インコーポレーテッド | Substituted 1-benzazepine and derivatives thereof |
| US7057046B2 (en) * | 2002-05-20 | 2006-06-06 | Bristol-Myers Squibb Company | Lactam glycogen phosphorylase inhibitors and method of use |
| WO2004092410A2 (en) | 2003-04-15 | 2004-10-28 | Thiesen Hans-Juergen | Method for diagnosing rheumatoid arthritis or osteoarthritis |
| DE602004016992D1 (en) * | 2003-05-02 | 2008-11-20 | Elan Pharm Inc | 4-BROMO-5- (2-CHLORO-BENZOYLAMINO) -1H-PYRAZOLE-3-CARBOXYLAMIDE DERIVATIVES AND RELATED COMPOUNDS AS BRADYKININ B1 RECEPTOR ANTAGONISTS FOR THE TREATMENT OF INFLAMMATORY DISEASES |
| US20080019909A1 (en) | 2003-09-17 | 2008-01-24 | Francis Ka-Ming Chan | Modulation of Programmed Necrosis |
| EP1640012A1 (en) | 2004-09-24 | 2006-03-29 | Salama, Zoser B. nat.rer.Dr. | Pharmaceuticals agents comprising blood components 10 kDa and their use for prophylaxis and treatment of defects of the immune system |
| US20060067942A1 (en) | 2004-09-24 | 2006-03-30 | Salama Zoser B | Pharmaceutical agent comprising amino acids, peptides, proteins and/or fractions and fragments thereof and the use of same in the prophylaxis and treatment of immune system deficiency in humans and animals |
| FR2894968B1 (en) | 2005-12-20 | 2008-02-22 | Trophos Sa | NOVEL CHOLEST-4-EN-3-ONE OXIME DERIVATIVES, PHARMACEUTICAL COMPOSITIONS COMPRISING THEM, AND PROCESS FOR PREPARING THE SAME |
| US8324262B2 (en) * | 2005-12-20 | 2012-12-04 | The Brigham And Women's Hospital, Inc. | Tricyclic necrostatin compounds |
| FR2899108B1 (en) | 2006-03-31 | 2012-02-03 | Trophos | USE OF CHOLEST-4-EN-3-ONE DERIVATIVES FOR THE PRODUCTION OF A CYTOPROTECTIVE MEDICINE |
| US8007790B2 (en) | 2006-04-03 | 2011-08-30 | Stowers Institute For Medical Research | Methods for treating polycystic kidney disease (PKD) or other cyst forming diseases |
| FR2907783A1 (en) | 2006-10-30 | 2008-05-02 | Trophos Sa | New 4-azacholest-4-ene N-oxide useful to treat or prevent e.g. necrosis, pathological apoptosis and/or necroptosis, diseases of bones, joints, connective tissue and/or cartilage, muscle disease, skin diseases and cardiovascular disease |
| WO2008086043A2 (en) | 2007-01-10 | 2008-07-17 | Wyeth | Methods and compositions for assessment and treatment of asthma |
| WO2008106077A1 (en) | 2007-02-28 | 2008-09-04 | Merck & Co., Inc. | Substituted benzodiazepinones, benzoxazepinones and benzothiazepinones as sodium channel blockers |
| JP5239065B2 (en) | 2007-04-20 | 2013-07-17 | 株式会社大一商会 | Game machine |
| CA2696349A1 (en) | 2007-08-15 | 2009-02-19 | President And Fellows Of Harvard College | Heterocyclic inhibitors of necroptosis |
| FR2934596B1 (en) | 2008-07-30 | 2015-04-10 | Trophos | NOVEL CHOLEST-4-EN-3-ONE OXIME DERIVATIVES, PHARMACEUTICAL COMPOSITIONS COMPRISING THEM, AND PROCESS FOR PREPARING THE SAME |
| US8257921B1 (en) | 2008-12-22 | 2012-09-04 | Schering Corporation | NRIP1 regulation of apolipoprotein A1 |
| WO2010075290A1 (en) | 2008-12-22 | 2010-07-01 | President And Fellows Of Harvard College | Unsaturated heterocyclic inhibitors of necroptosis |
| EP2381775A4 (en) | 2008-12-23 | 2012-08-15 | Harvard College | SMALL MOLECULAR NEKTROPTOSIS HEMMER |
| FR2940650B1 (en) | 2008-12-29 | 2017-01-27 | Trophos | NOVEL OXIME DERIVATIVES OF 3,5-SECO-4-NOR-CHOLESTANE, PHARMACEUTICAL COMPOSITIONS COMPRISING THE SAME, AND PROCESS FOR PREPARING THE SAME |
| US7622106B1 (en) | 2009-03-06 | 2009-11-24 | Board Of Regents, The University Of Texas System | Necrosis assay |
| KR101155506B1 (en) | 2009-07-08 | 2012-06-15 | 고려대학교 산학협력단 | Screening method of therapeutic and diagnostic agents for tnf-alpha-induced diseases using reactive oxygen species modulator 1 |
| WO2011080314A2 (en) | 2009-12-31 | 2011-07-07 | Deutsches Krebsforschungszentrum | Novel modulators of trail signalling |
| WO2011112588A2 (en) | 2010-03-08 | 2011-09-15 | Case Western Reserve University | Compositions and methods for treating inflammatory disorders |
| WO2011133964A2 (en) | 2010-04-23 | 2011-10-27 | Massachusetts Eye And Ear Infirmary | Methods and compositions for preserving photoreceptor and retinal pigment epithelial cells |
| CN103097340B (en) | 2010-07-16 | 2018-03-16 | 安吉奥斯医药品有限公司 | Therapeutically active compositions and methods of use thereof |
| US20120022116A1 (en) | 2010-07-20 | 2012-01-26 | Huayun Deng | Compositions and methods for the treatment of pathological condition(s) related to gpr35 and/or gpr35-herg complex |
| US20140024598A1 (en) | 2010-11-01 | 2014-01-23 | Demetrios Vavvas | Methods and compositions for preserving retinal ganglion cells |
| US9643977B2 (en) | 2011-03-11 | 2017-05-09 | President And Fellows Of Harvard College | Necroptosis inhibitors and methods of use therefor |
| WO2013013826A1 (en) | 2011-07-27 | 2013-01-31 | Friedrich-Alexander-Universität Erlangen-Nürnberg | Necroptosis inhibitors for the treatment of inflammatory diseases of the gastrointestinal tract |
| EP2758780A4 (en) | 2011-09-22 | 2015-09-16 | Marv Entpr Llc | Method for the treatment of multiple sclerosis |
| CN102343102A (en) | 2011-10-19 | 2012-02-08 | 柳忠辉 | Application of activin receptor-interacting protein 2 (ARIP2) gene to preparation of medicament |
| EP2773341A2 (en) | 2011-10-21 | 2014-09-10 | Massachusetts Eye & Ear Infirmary | Compositions comprising necrosis inhibitors, such as necrostatins, alone or in combination, for promoting axon regeneration and nerve function, thereby treating cns disorders |
| KR101410332B1 (en) | 2012-02-29 | 2014-06-24 | 코아스템(주) | Anti-Oxidant Compositions for Culturing Mesenchymal Stromal Cells and Uses Thereof |
| ES2446494B1 (en) | 2012-03-28 | 2015-03-16 | Consejo Superior De Investigaciones Científicas (Csic) | Therapeutic application of necrostatin-1 in steatohepatitis |
| WO2014022102A1 (en) | 2012-08-01 | 2014-02-06 | Amgen Inc. | Methods of using anti-apoptotic compounds to modulate one or more properties of a cell culture |
| WO2014024183A1 (en) | 2012-08-06 | 2014-02-13 | Brainstorm Cell Therapeutics Ltd. | Methods of generating mesenchymal stem cells which secrete neurotrophic factors |
| AU2013368945B2 (en) | 2012-12-26 | 2020-01-23 | Innosign B.V. | Assessment of cellular signaling pathway activity using linear combination(s) of target gene expressions |
| WO2014126127A1 (en) | 2013-02-13 | 2014-08-21 | 国立大学法人北海道大学 | Medicinal composition for treating necroptosis-related disease and method for screening active ingredient thereof |
| TWI648273B (en) | 2013-02-15 | 2019-01-21 | 英商葛蘭素史克智慧財產發展有限公司 | Heterocyclic amides as kinase inhibitors (III) |
| CN105593373A (en) | 2013-02-27 | 2016-05-18 | 博德研究所 | T cell balance gene expression, compositions of matters and methods of use thereof |
| EP2968276A4 (en) | 2013-03-15 | 2017-02-15 | President and Fellows of Harvard College | Hybrid necroptosis inhibitors |
| CN106573006A (en) | 2014-08-21 | 2017-04-19 | 葛兰素史密斯克莱知识产权发展有限公司 | RIP1 Kinase Inhibitor Heterocyclic Amides as Drugs |
| KR102808827B1 (en) | 2016-02-05 | 2025-05-19 | 데날리 테라퓨틱스 인크. | Inhibitor of receptor-interacting protein kinase 1 |
-
2014
- 2014-02-13 TW TW107104619A patent/TWI648273B/en active
- 2014-02-13 TW TW107104621A patent/TWI648274B/en active
- 2014-02-13 TW TW103104666A patent/TWI637951B/en active
- 2014-02-13 TW TW107104622A patent/TWI638815B/en active
- 2014-02-14 MY MYPI2015702652A patent/MY178552A/en unknown
- 2014-02-14 US US14/763,183 patent/US9556152B2/en active Active
- 2014-02-14 MY MYPI2020000331A patent/MY195183A/en unknown
- 2014-02-14 MA MA44820A patent/MA44820B1/en unknown
- 2014-02-14 SI SI201431772T patent/SI3342771T1/en unknown
- 2014-02-14 SG SG11201505796TA patent/SG11201505796TA/en unknown
- 2014-02-14 ES ES18152185T patent/ES2814556T3/en active Active
- 2014-02-14 HR HRP20180900TT patent/HRP20180900T1/en unknown
- 2014-02-14 EA EA201591506A patent/EA028991B1/en not_active IP Right Cessation
- 2014-02-14 SM SM20210083T patent/SMT202100083T1/en unknown
- 2014-02-14 CA CA2900695A patent/CA2900695C/en active Active
- 2014-02-14 SM SM20180289T patent/SMT201800289T1/en unknown
- 2014-02-14 BR BR122017002946A patent/BR122017002946A2/en not_active Application Discontinuation
- 2014-02-14 HU HUE18155836A patent/HUE053215T2/en unknown
- 2014-02-14 KR KR1020197004425A patent/KR102267977B1/en active Active
- 2014-02-14 JP JP2015557554A patent/JP6321045B2/en active Active
- 2014-02-14 EA EA201792039A patent/EA031971B1/en not_active IP Right Cessation
- 2014-02-14 CR CR20190511A patent/CR20190511A/en unknown
- 2014-02-14 WO PCT/IB2014/059004 patent/WO2014125444A1/en not_active Ceased
- 2014-02-14 BR BR122017002951A patent/BR122017002951A2/en not_active Application Discontinuation
- 2014-02-14 UY UY0001035330A patent/UY35330A/en not_active Application Discontinuation
- 2014-02-14 RS RS20210156A patent/RS61439B1/en unknown
- 2014-02-14 PL PL18155836T patent/PL3342771T3/en unknown
- 2014-02-14 PT PT181558362T patent/PT3342771T/en unknown
- 2014-02-14 ES ES14705891.1T patent/ES2672530T3/en active Active
- 2014-02-14 NZ NZ628447A patent/NZ628447A/en unknown
- 2014-02-14 MX MX2018008311A patent/MX373866B/en unknown
- 2014-02-14 CN CN201480021120.8A patent/CN105121432B/en active Active
- 2014-02-14 RS RS20180698A patent/RS57332B1/en unknown
- 2014-02-14 PE PE2015001727A patent/PE20151752A1/en not_active Application Discontinuation
- 2014-02-14 AU AU2014217453A patent/AU2014217453B2/en active Active
- 2014-02-14 EP EP19154374.3A patent/EP3508484B1/en active Active
- 2014-02-14 SI SI201430738T patent/SI2956452T1/en unknown
- 2014-02-14 EP EP14705891.1A patent/EP2956452B1/en active Active
- 2014-02-14 DK DK14705891.1T patent/DK2956452T3/en active
- 2014-02-14 CR CR20190512A patent/CR20190512A/en unknown
- 2014-02-14 CN CN201810758606.XA patent/CN108774214B/en active Active
- 2014-02-14 HU HUE14705891A patent/HUE037763T2/en unknown
- 2014-02-14 MX MX2015010572A patent/MX360715B/en active IP Right Grant
- 2014-02-14 PT PT147058911T patent/PT2956452T/en unknown
- 2014-02-14 LT LTEP18155836.2T patent/LT3342771T/en unknown
- 2014-02-14 TR TR2018/08112T patent/TR201808112T4/en unknown
- 2014-02-14 DK DK18155836.2T patent/DK3342771T3/en active
- 2014-02-14 KR KR1020157024819A patent/KR102228764B1/en not_active Expired - Fee Related
- 2014-02-14 EP EP18155836.2A patent/EP3342771B1/en active Active
- 2014-02-14 BR BR122017002949A patent/BR122017002949A2/en not_active Application Discontinuation
- 2014-02-14 MX MX2018008312A patent/MX373867B/en unknown
- 2014-02-14 BR BR112015019627-6A patent/BR112015019627B1/en active IP Right Grant
- 2014-02-14 UA UAA201508769A patent/UA118259C2/en unknown
- 2014-02-14 CN CN201710029656.XA patent/CN106928203B/en active Active
- 2014-02-14 LT LTEP14705891.1T patent/LT2956452T/en unknown
- 2014-02-14 ES ES18155836T patent/ES2855135T3/en active Active
- 2014-02-14 PL PL14705891T patent/PL2956452T3/en unknown
- 2014-02-14 EP EP18152185.7A patent/EP3375780B1/en active Active
-
2015
- 2015-07-21 ZA ZA2015/05267A patent/ZA201505267B/en unknown
- 2015-07-28 PH PH12015501675A patent/PH12015501675A1/en unknown
- 2015-07-30 IL IL240280A patent/IL240280B/en active IP Right Grant
- 2015-08-14 CR CR20150420A patent/CR20150420A/en unknown
- 2015-08-14 CL CL2015002279A patent/CL2015002279A1/en unknown
- 2015-08-14 DO DO2015000196A patent/DOP2015000196A/en unknown
-
2016
- 2016-09-21 US US15/271,581 patent/US9624202B2/en active Active
-
2017
- 2017-03-15 US US15/459,141 patent/US10292987B2/en active Active
- 2017-12-08 US US15/835,747 patent/US20180098998A1/en not_active Abandoned
- 2017-12-22 IL IL256500A patent/IL256500B/en active IP Right Grant
- 2017-12-22 IL IL256502A patent/IL256502B/en active IP Right Grant
-
2018
- 2018-02-15 PH PH12018500341A patent/PH12018500341A1/en unknown
- 2018-02-15 PH PH12018500343A patent/PH12018500343A1/en unknown
- 2018-02-15 PH PH12018500342A patent/PH12018500342A1/en unknown
- 2018-03-12 JP JP2018044611A patent/JP6352571B1/en active Active
- 2018-04-04 DO DO2018000088A patent/DOP2018000088A/en unknown
- 2018-04-04 DO DO2018000089A patent/DOP2018000089A/en unknown
- 2018-06-04 JP JP2018107215A patent/JP2018150372A/en active Pending
- 2018-06-08 CY CY20181100604T patent/CY1120320T1/en unknown
-
2019
- 2019-03-12 US US16/299,254 patent/US10933070B2/en active Active
- 2019-05-10 US US16/408,718 patent/US10940154B2/en active Active
-
2021
- 2021-02-12 HR HRP20210252TT patent/HRP20210252T1/en unknown
- 2021-02-12 CY CY20211100121T patent/CY1123915T1/en unknown
Also Published As
Similar Documents
| Publication | Publication Date | Title |
|---|---|---|
| US10940154B2 (en) | Heterocyclic amides as kinase inhibitors | |
| HK1253099B (en) | Heterocyclic amides as kinase inhibitors | |
| HK1249100B (en) | Heterocyclic amides as kinase inhibitors | |
| HK40009552A (en) | Heterocyclic amides as kinase inhibitors | |
| HK1213545B (en) | Heterocyclic amides as kinase inhibitors |
Legal Events
| Date | Code | Title | Description |
|---|---|---|---|
| AS | Assignment |
Owner name: GLAXOSMITHKLINE INTELLECTUAL PROPERTY DEVELOPMENT Free format text: ASSIGNMENT OF ASSIGNORS INTEREST;ASSIGNORS:BANDYOPADHYAY, DEEPAK;EIDAM, PATRICK M.;GOUGH, PETER J.;AND OTHERS;SIGNING DATES FROM 20140131 TO 20140206;REEL/FRAME:044337/0980 |
|
| STCB | Information on status: application discontinuation |
Free format text: ABANDONED -- FAILURE TO PAY ISSUE FEE |












































































































































































































































































































































































































































































