RU2746853C1 - Замещенные 9-азабицикло[4.2.1]нона-2,4,7-триены, способ их получения и применение в качестве средств с противоопухолевой активностью - Google Patents
Замещенные 9-азабицикло[4.2.1]нона-2,4,7-триены, способ их получения и применение в качестве средств с противоопухолевой активностью Download PDFInfo
- Publication number
- RU2746853C1 RU2746853C1 RU2020121512A RU2020121512A RU2746853C1 RU 2746853 C1 RU2746853 C1 RU 2746853C1 RU 2020121512 A RU2020121512 A RU 2020121512A RU 2020121512 A RU2020121512 A RU 2020121512A RU 2746853 C1 RU2746853 C1 RU 2746853C1
- Authority
- RU
- Russia
- Prior art keywords
- nona
- azabicyclo
- trienes
- substituted
- acac
- Prior art date
Links
Classifications
-
- A—HUMAN NECESSITIES
- A61—MEDICAL OR VETERINARY SCIENCE; HYGIENE
- A61P—SPECIFIC THERAPEUTIC ACTIVITY OF CHEMICAL COMPOUNDS OR MEDICINAL PREPARATIONS
- A61P35/00—Antineoplastic agents
-
- C—CHEMISTRY; METALLURGY
- C07—ORGANIC CHEMISTRY
- C07D—HETEROCYCLIC COMPOUNDS
- C07D487/00—Heterocyclic compounds containing nitrogen atoms as the only ring hetero atoms in the condensed system, not provided for by groups C07D451/00 - C07D477/00
- C07D487/02—Heterocyclic compounds containing nitrogen atoms as the only ring hetero atoms in the condensed system, not provided for by groups C07D451/00 - C07D477/00 in which the condensed system contains two hetero rings
- C07D487/08—Bridged systems
Landscapes
- Chemical & Material Sciences (AREA)
- Organic Chemistry (AREA)
- Health & Medical Sciences (AREA)
- Chemical Kinetics & Catalysis (AREA)
- General Chemical & Material Sciences (AREA)
- Medicinal Chemistry (AREA)
- Nuclear Medicine, Radiotherapy & Molecular Imaging (AREA)
- Pharmacology & Pharmacy (AREA)
- Life Sciences & Earth Sciences (AREA)
- Animal Behavior & Ethology (AREA)
- General Health & Medical Sciences (AREA)
- Public Health (AREA)
- Veterinary Medicine (AREA)
- Pharmaceuticals Containing Other Organic And Inorganic Compounds (AREA)
Abstract
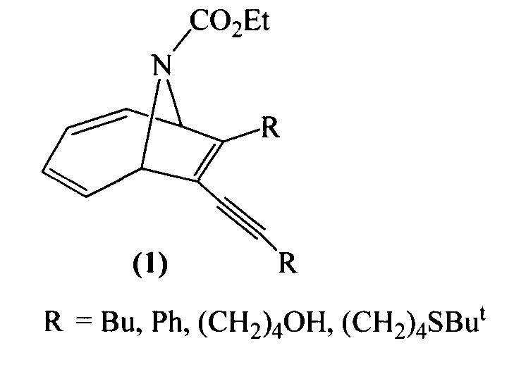
Изобретение относится к новым замещенным 9-азабицикло[4.2.1]нона-2,4,7-триенам формулы (1), к способу их получения и применению. Технический результат: получены новые9-азабицикло[4.2.1]нона-2,4,7-триены формулы (1), которые могут быть применимы в качестве средств, проявляющих противоопухолевую активность. 3 н.п. ф-лы, 2 табл., 2 пр.
Description
Предлагаемое изобретение относится к области органической химии, конкретно, к замещенным 9-азабицикло[4.2.1]нона-2,4,7-триенам формулы (1), способу их получения и применению.
Указанные соединения относятся к классу гетероциклических соединений и могут найти применение в качестве ключевых прекурсоров в синтезе ценных биологически активных соединений и современных лекарственных препаратов, проявляющих противоопухолевую, противовирусную и другие виды активности (Е. Wright, Т. Gallagher, С.G. V. Sharpies, S. Wonnacott, Bioorg. Med. Chem. Lett. 1997, 7, 2867-2870; H. Gohlke, D. Gundisch, S. Schwarz, G. Seitz, M.C. Tilotta, T. Wegge, J. Med. Chem. 2002, 45, 1064-1072; H. Gohlke, S. Schwarz, D. Gundisch, M.C. Tilotta, A. Weber, T. Wegge, G. Seitz, J. Med. Chem. 2003, 46, 2031-2048; С.V.G. Sharpies, G. Karig, G.L. Simpson, J.A. Spencer, E. Wright, N.S. Millar, S. Wonnacott, T. Gallagher, J. Med. Chem. 2002, 45, 3235-3245).
Известен способ [К. Chaffee, J. В. Sheridan, A. Aistars, Photoinduced [6+2] cycloadditions of alkynes to tricarbonyl(cycloheptatriene)chromium(0) // Organometallics, 1992, V. 11, P. 18-19] получения дизамещенных Cr-содержащих комплексов 9-азабицикло[4.2.1]нона-2,4,7-триенов (2) реакцией фотоиндуцированного [6π+2ϕ]-циклоприсоединения алкинов к трикарбонил(η6-N-карбоэтоксиазепин)хрому(0) по схеме:
Известным способом не могут быть получены замещенные 9-азабицикло[4.2.1]нона-2,4,7-триены (1).
Известен способ [J.Н. Rigby, Н.S. Ateeq, N.R. Choler, J.А. Henshilwood, К.М. Short, P.М. Sugathapala, Chromium(0) promoted [6π+2π] cycloaddition reactions // Tetrahedron, 1993, V. 49, P. 5495-5506] получения 9-азабицикло[4.2.1]нона-2,4-диена (3) на основе [6π+2π]-циклоприсоединения N-карбометоксиазепина к этилакрилату в присутствии каталитических количеств (η6-нафталин)трикарбонилхрома(0) (9 мол%) по схеме:
Известным способом не могут быть получены замещенные 9-азабицикло[4.2.1]нона-2,4,7-триены формулы (1).
Таким образом, в литературе отсутствуют сведения по синтезу замещенных 9-азабицикло[4.2.1]нона-2,4,7-триенов формулы (1).
Предлагается новый способ синтеза замещенных 9-азабицикло[4.2.1]нона-2,4,7-триенов формулы (1).
Сущность способа заключается во взаимодействии 1,3-диинов общей формулы (4) (где R=Bu, Ph, (СН2)4ОН, (CH2)4SBut) с N-карбоэтоксиазепином в присутствии каталитической системы Co(acac)2(dppe)/Zn/ZnI2, при мольном соотношении 1,3-диин: азепин: Co(acac)2(dppe): Zn: ZnI2=(1.2-1.8):1:(0.05-0.15):(0.15-0.45):(0.1-0.3), предпочтительно 1.2:1:0.1:0.3:0.2. Реакцию проводят в ампуле при 20-80°С. Время реакции 20-48 ч, выход целевого продукта 45-95%. В качестве растворителя необходимо использовать 2,2,2-трифторэтанол. Реакция протекает по схеме:
Целевые продукты формулы (1) образуются только лишь с участием 1,3-диинов, N-карбоэтоксиазепина и каталитической системы Co(acac)2(dppe)/Zn/ZnI2. В присутствии других комплексов переходных металлов (например, Cp2ZrCl2, Cp2TiCl2, Zr(acac)4, Pd(acac)2, Ni(acac)2, Ре(асас)3) целевые продукты (1) не образуются.
Проведение реакции в присутствии катализатора Co(acac)2(dppe) больше 0.1 ммоль на 1 ммоль N-карбоэтоксиазепина не приводит к существенному увеличению выхода целевого продукта (1). Использование в реакции катализатора Co(acac)2(dppe) менее 0.1 ммоль на 1 ммоль N-карбоэтоксиазепина снижает выход аддуктов (1), что связано с уменьшением каталитически активных центров в реакционной массе. Опыты проводили при 20-80°С. При более высокой температуре (например, 100°С) происходит уменьшение выхода содимеров, вероятно, вследствие побочных процессов разложения и полимеризации. При меньшей температуре (например, 20°С) снижается скорость реакции.
Существенные отличия предлагаемого способа:
Предлагаемый способ базируется на использовании в качестве исходных реагентов N-карбоэтоксиазепина и 1,3-диинов в присутствии каталитической системы Co(acac)2(dppe)/Zn/ZnI2. В известных способах:
1. аддукт (2) получен с использованием трикарбонил(η6-N-карбоэтоксиазепин)хрома(0) и дизамещенных алкинов в результате фотоиндуцированной реакции;
2. аддукт (3) получен при использовании в качестве исходных соединений N-карбометоксиазепина и этилакрилата под действием катализатора (η6-нафталин)трикарбонилхрома(0).
Предлагаемый способ обладает следующими преимуществами:
1. Способ позволяет получать с высокими выходами замещенные 9-азабицикло[4.2.1]нона-2,4,7-триены (1), синтез которых в литературе не описан.
Способ поясняется следующими примерами:
ПРИМЕР 1. В стеклянную ампулу в атмосфере сухого аргона загружали 0.066 г (0.1 ммоль) Со(асас)2((Ippe), и 0.020 г (0.3 ммоль) цинкового порошка в 1.5 мл 2,2,2-трифторэтанола. Смесь перемешивали при комнатной температуре 2 минуты. Затем добавляли 0.165 г (1 ммоль) N-карбоэтоксиазепина, 0.195 г (1.2 ммоль) додека-5,7-диина, 1.5 мл 2,2,2-трифторэтанола и 0.064 г (0.2 ммоль) ZnI2. После нагревания при 60°С в течение 20 ч, ампулу вскрывали, содержимое отфильтровывали, легкие растворители удаляли под вакуумом, остаток хроматографировали на колонке SiO2 элюент (петролейный эфир → петролейный эфир / этилацетат 15:1 → 10:1 → 5:1). Получали этил 7-бутил-8-(гекс-1-ин-1-ил)-9-азабицикло[4.2.1]нона-2,4,7-триен-9-карбоксилат (1) с выходом 92%.
Спектральные характеристики этил 7-бутил-8-(гекс-1-ин-1-ил)-9-азабицикло[4.2.1]нона-2,4,7-триен-9-карбоксилата (1):
Существует в виде двух N-(CO)OEt ротамеров. 1Н ЯМР (500 MHz, CDCl3, δ, м.д.): 6.18-6.42 (м, 4Н), 5.84-5.94 (м, 4Н), 4.94 (д, J=4.7 Гц, 1Н), 4.86 (д, J=2.9 Гц, 2Н), 4.81 (д, J=4.4 Гц, 1Н), 4.00-4.14 (м, 4Н), 2.33 (т, J=6.9 Гц, 4Н), 2.23-2.30 (м, 4Н), 1.24-1.56 (м, 16Н), 1.19 (т, J=6.7 Гц, 6Н), 0.90 (кв, J=7.1 Гц, 12Н). 13С ЯМР (125 MHz, CDCl3, δ, м.д.): 153.4, 153.38, 142.3, 142.2, 139.1, 138.9, 138.1, 138.0, 124.9, 124.8, 124.1 (2С), 113.9, 113.6, 95.1, 94.9, 72.8 (2С), 62.8, 62.6, 61.9 (2С), 61.0 (2С), 30.9, 30.8, 30.7 (2С), 25.9, 25.7, 22.4, 22.35, 21.9 (2С), 19.2 (2С), 14.6 (2С), 13.7 (2С), 13.5 (2С).
Другие примеры, подтверждающие способ, приведены в таблице 1.
ПРИМЕР 2. Оценка противоопухолевой активности заявленных соединений общей формулы (1) осуществлена методом проточной цитофлуориметрии, по отношению к четырем клеточным линиям: Jurkat, К562, U937 и HL60.
Установлено, что цитотоксическая активность имеет выраженный дозозависимый характер, индивидуально для каждого исследуемого соединения. В целом, значения ингибирующей концентрации IC50, полученные в результате экспозиции исследуемых соединений (1) на упомянутых выше клеточных линиях с последующим окрашиванием клеток красителем 7AAD варьируются в зависимости от клеточной культуры в интервале 0.013±0.001 - 1.964±0.167 μМ. Наибольшую цитотоксическую активность проявил этил 7-фенил-8-(фенилэтинил)-9-азабицикло[4.2.1]нона-2,4,7-триен-9-карбоксилат (IC50=0.013±0.001 - 0.037±0.003 μМ).
При этом введение дополнительной функциональной группы в структуру азабициклов оказывает заметное влияние на значение ингибирующей концентрации. Так, цитотоксическая активность этил 7-(4-гидроксибутил)-8-(6-гидроксигекс-1-ин-1-ил)-9-азабицикло[4.2.1]нона-2,4,7-триен-9-карбоксилата, содержащего бутанольный заместитель (IC50=0.051±0.005 - 0.311±0.028 μМ) выше по сравнению с этил 1-(4-(трет-бутилтио)бутил)-8-(6-(трет-бутилтио)гекс-1-ин-1-ил)-9-азабицикло[4.2.1]нона-2,4,7-триен-9-карбоксилатом, содержащим в структуре трет-бутилсульфидную группу (IC50=1.068±0.092 - 1.964±0.167 μМ). В целом этил 7-(4-(трет-бутилтио)бутил)-8-(6-(трет- бутилтио)гекс-1-ин-1-ил)-9-азабицикло[4.2.1]нона-2,4,7-триен-9-карбоксилат показал наименьшую противоопухолевую активность в исследуемой серии азабициклов.
Claims (4)
1. Замещенные 9-азабицикло[4.2.1]нона-2,4,7-триены общей формулы (1):
2. Способ каталитического получения замещенных 9-азабицикло[4.2.1]нона-2,4,7-триенов общей формулы (1), отличающийся тем, что реакцию проводят взаимодействием N-карбоэтоксиазепина с 1,3-диинами общей формулы (где R=Bu, Ph, (СН2)4ОН, (CH2)4SBut), в присутствии катализатора Co(acac)2(dppe)/Zn/ZnI2 при мольном соотношении 1,3-диин: азепин: Co(acac)2(dppe): Zn: ZnI2=(1.2-1.8):1:(0.05-0.15):(0.15-0.45):(0.1-0.3) в ампуле при 20-80°С в 2,2,2-трифторэтаноле в течение 20-48 ч.
3. Применение замещенных 9-азабицикло[4.2.1]нона-2,4,7-триенов формулы (1) в качестве средств с противоопухолевой активностью.
Priority Applications (1)
| Application Number | Priority Date | Filing Date | Title |
|---|---|---|---|
| RU2020121512A RU2746853C1 (ru) | 2020-06-25 | 2020-06-25 | Замещенные 9-азабицикло[4.2.1]нона-2,4,7-триены, способ их получения и применение в качестве средств с противоопухолевой активностью |
Applications Claiming Priority (1)
| Application Number | Priority Date | Filing Date | Title |
|---|---|---|---|
| RU2020121512A RU2746853C1 (ru) | 2020-06-25 | 2020-06-25 | Замещенные 9-азабицикло[4.2.1]нона-2,4,7-триены, способ их получения и применение в качестве средств с противоопухолевой активностью |
Publications (1)
| Publication Number | Publication Date |
|---|---|
| RU2746853C1 true RU2746853C1 (ru) | 2021-04-21 |
Family
ID=75584822
Family Applications (1)
| Application Number | Title | Priority Date | Filing Date |
|---|---|---|---|
| RU2020121512A RU2746853C1 (ru) | 2020-06-25 | 2020-06-25 | Замещенные 9-азабицикло[4.2.1]нона-2,4,7-триены, способ их получения и применение в качестве средств с противоопухолевой активностью |
Country Status (1)
| Country | Link |
|---|---|
| RU (1) | RU2746853C1 (ru) |
Citations (1)
| Publication number | Priority date | Publication date | Assignee | Title |
|---|---|---|---|---|
| RU2654054C1 (ru) * | 2016-11-29 | 2018-05-16 | Федеральное Государственное Бюджетное Научное Учреждение Уфимский Федеральный Исследовательский Центр Российской Академии Наук (Уфиц Ран) | Способ получения 3-алкил-3-азабицикло[3.3.1]нона-1(9),5,7-триен-9-олов или 3-алкил-3,4-дигидро-2н-1,3-бензоксазинов |
-
2020
- 2020-06-25 RU RU2020121512A patent/RU2746853C1/ru active
Patent Citations (1)
| Publication number | Priority date | Publication date | Assignee | Title |
|---|---|---|---|---|
| RU2654054C1 (ru) * | 2016-11-29 | 2018-05-16 | Федеральное Государственное Бюджетное Научное Учреждение Уфимский Федеральный Исследовательский Центр Российской Академии Наук (Уфиц Ран) | Способ получения 3-алкил-3-азабицикло[3.3.1]нона-1(9),5,7-триен-9-олов или 3-алкил-3,4-дигидро-2н-1,3-бензоксазинов |
Non-Patent Citations (1)
| Title |
|---|
| J.Н. Rigby, Н.S. Ateeq, N.R. Choler, J.А. Henshilwood, К.М. Short, P.М. Sugathapala, Chromium(0) promoted [6p+2p] cycloaddition reactions, Tetrahedron, 1993, V. 49, стр.: 5495-5506. * |
Similar Documents
| Publication | Publication Date | Title |
|---|---|---|
| Wasserman et al. | Molecular hydrogen complexes of the transition metals. 2. Preparation, structure, and reactivity of W (CO) 3 (PCy3) 2 and W (CO) 3 (P-iso-Pr3) 2,. eta. 2-H2 complex precursors exhibiting metal. cntdot.. cntdot.. cntdot. hydrogen-carbon interaction | |
| Burlakov et al. | The First Titanacyclic Five‐Membered Cumulene. Synthesis, Structure, and Reactivity | |
| EP2694469B1 (fr) | Procede de preparation de composes formamides | |
| Pahar et al. | Pyridylpyrrolido ligand in Ge (II) and Sn (II) chemistry: synthesis, reactivity and catalytic application | |
| Hayashi et al. | Reductive coupling reaction induced by remote-site oxidation in titanocene bis (metallocenylacetylide), where metallocenyl= ferrocenyl or ruthenocenyl: a novel route to Cn (n= 4, 6, and 8) wire with the metallocenyl groups at both terminals | |
| Savka et al. | Pentiptycene-based concave NHC–metal complexes | |
| Cai et al. | Reactions of the stable bis (amino) silylene Si [{N (CH2 t Bu)} 2C6H4-1, 2] with group 3 or lanthanide metal organic compounds. Crystal structures of [Ln (η5-C5H5) 3Si {[N (CH2 t Bu)] 2C6H4-1, 2}]⊙ C7H8 (Ln= Y or Yb) | |
| Chisholm et al. | Reaction between benzophenone and ditungsten hexaalkoxides. Molecular structure and reactivity of W (OCH2-tert-Bu) 4 (py)(. eta. 2-OCPh2) | |
| RU2746853C1 (ru) | Замещенные 9-азабицикло[4.2.1]нона-2,4,7-триены, способ их получения и применение в качестве средств с противоопухолевой активностью | |
| Schäfer et al. | Aminosilylgermylenes:(E)‐Digermene versus Germylene Crystallization [1] | |
| RU2751352C1 (ru) | Замещенные (е)-9-азабицикло[4.2.1]нона-2,4-диены, способ их получения и применение в качестве средств с противоопухолевой активностью | |
| Rakowski et al. | Low valent cobalt triisopropyl phosphite complexes. Characterization of a catalyst for the hydrogenation of. alpha.,. beta.-unsaturated ketones | |
| RU2742772C1 (ru) | 16-азатрицикло[9.4.1.02,10]гексадека-2,12,14-триены, способ их получения и применение в качестве средств с противоопухолевой активностью | |
| RU2751350C1 (ru) | Замещенные 9-азабицикло [4.2.1]нона-2,4,7-триены, способ их получения и применение в качестве средств с противоопухолевой активностью | |
| Zhao et al. | A novel case of atom-efficient CC bond formation of small molecules catalyzed by the facile organoaluminum compound | |
| US9586981B2 (en) | Z-selective metathesis catalysts | |
| Reger et al. | New CpFeCO [P (OPh) 3](. eta. 1-alkenyl) and CpFeCO [P (OPh) 3](. eta. 1-alkenylacyl) complexes. Crystal and molecular structure of CpFeCO [P (OPh) 3][. eta. 1-(E)-COC (CH2OMe): C (Me) Ph] and an NMR method to assign alkenyl ligand structure | |
| Taylor et al. | Spontaneous dehydrocoupling in peri-substituted phosphine–borane adducts | |
| Wong et al. | Oxidizing Cerium (IV) Alkoxide Complexes Supported by the Kläui Ligand [Co (η5-C5H5){P (O)(OEt) 2} 3]−: Synthesis, Structure, and Redox Reactivity | |
| Sonnenschein et al. | Dehydrogenation of 3-unsubstituted indolizines on platinum on carbon. A facile synthesis of biindolizines | |
| Stenstroem et al. | Photoinduced ring expansion of cyclobutyliron. sigma.-complexes: an example of rearrangement of an aryl group from saturated carbon to a transition metal to give a carbene complex | |
| RU2735663C1 (ru) | Способ совместного получения 1-метил-замещенных бицикло[4.2.1]нона-2,4,7-триенов, проявляющих противоопухолевую активность | |
| RU2735661C1 (ru) | Способ совместного получения 1-гидроксиметил-замещенных бицикло[4.2.1]нона-2,4,7-триенов, проявляющих противоопухолевую активность | |
| Korostylev et al. | New palladium (II) complexes of (N, N-dimethylamino) alkoxy-1, 3, 2-oxazaphospholidine ligands | |
| Weber et al. | On the contrasting reactivity of the phosphaalkene [(η5-C5Me5)(CO) 2FeP C (NMe2) 2] and the arsaalkene [(η5-C5Me5)(CO) 2FeAs C (NMe2) 2] towards [(η5-C5H5) Rh (CO) 2] |






