RU2688373C1 - Способ выполнения биопсии предстательной железы под контролем её совмещенных изображений, полученных при магнитно-резонансной томографии и ультразвуковом исследовании - Google Patents
Способ выполнения биопсии предстательной железы под контролем её совмещенных изображений, полученных при магнитно-резонансной томографии и ультразвуковом исследовании Download PDFInfo
- Publication number
- RU2688373C1 RU2688373C1 RU2018126444A RU2018126444A RU2688373C1 RU 2688373 C1 RU2688373 C1 RU 2688373C1 RU 2018126444 A RU2018126444 A RU 2018126444A RU 2018126444 A RU2018126444 A RU 2018126444A RU 2688373 C1 RU2688373 C1 RU 2688373C1
- Authority
- RU
- Russia
- Prior art keywords
- prostate
- biopsy
- ultrasound
- prostate gland
- mri
- Prior art date
Links
- 210000002307 prostate Anatomy 0.000 title claims abstract description 48
- 238000001574 biopsy Methods 0.000 title claims abstract description 36
- 238000002595 magnetic resonance imaging Methods 0.000 title claims abstract description 33
- 238000000034 method Methods 0.000 title claims abstract description 31
- 238000002604 ultrasonography Methods 0.000 title claims abstract description 30
- 210000000664 rectum Anatomy 0.000 claims description 5
- 230000035945 sensitivity Effects 0.000 abstract description 13
- 239000003814 drug Substances 0.000 abstract description 3
- 210000003484 anatomy Anatomy 0.000 abstract description 2
- 238000003745 diagnosis Methods 0.000 abstract description 2
- 230000001575 pathological effect Effects 0.000 abstract description 2
- 230000000694 effects Effects 0.000 abstract 1
- 230000005855 radiation Effects 0.000 abstract 1
- 239000000126 substance Substances 0.000 abstract 1
- 206010060862 Prostate cancer Diseases 0.000 description 25
- 208000000236 Prostatic Neoplasms Diseases 0.000 description 25
- 201000011510 cancer Diseases 0.000 description 8
- 230000001629 suppression Effects 0.000 description 8
- 206010028980 Neoplasm Diseases 0.000 description 6
- 230000037209 prostate health Effects 0.000 description 4
- 238000012800 visualization Methods 0.000 description 4
- 206010004446 Benign prostatic hyperplasia Diseases 0.000 description 3
- 208000006336 acinar cell carcinoma Diseases 0.000 description 3
- 238000013399 early diagnosis Methods 0.000 description 3
- 230000004927 fusion Effects 0.000 description 3
- 230000006698 induction Effects 0.000 description 3
- 230000003902 lesion Effects 0.000 description 3
- 210000000056 organ Anatomy 0.000 description 3
- 102000007066 Prostate-Specific Antigen Human genes 0.000 description 2
- 108010072866 Prostate-Specific Antigen Proteins 0.000 description 2
- 238000010276 construction Methods 0.000 description 2
- 238000001990 intravenous administration Methods 0.000 description 2
- 239000000463 material Substances 0.000 description 2
- 230000002093 peripheral effect Effects 0.000 description 2
- 238000011160 research Methods 0.000 description 2
- 108091033411 PCA3 Proteins 0.000 description 1
- 230000005540 biological transmission Effects 0.000 description 1
- 238000009534 blood test Methods 0.000 description 1
- 238000004364 calculation method Methods 0.000 description 1
- 230000034994 death Effects 0.000 description 1
- 231100000517 death Toxicity 0.000 description 1
- 238000001514 detection method Methods 0.000 description 1
- 201000010099 disease Diseases 0.000 description 1
- 208000037265 diseases, disorders, signs and symptoms Diseases 0.000 description 1
- 238000005516 engineering process Methods 0.000 description 1
- 238000011156 evaluation Methods 0.000 description 1
- 238000003384 imaging method Methods 0.000 description 1
- 230000036210 malignancy Effects 0.000 description 1
- 238000012544 monitoring process Methods 0.000 description 1
- 230000000771 oncological effect Effects 0.000 description 1
- 230000007170 pathology Effects 0.000 description 1
- 210000001625 seminal vesicle Anatomy 0.000 description 1
- 238000012360 testing method Methods 0.000 description 1
- 238000012285 ultrasound imaging Methods 0.000 description 1
- 210000002700 urine Anatomy 0.000 description 1
- 201000010653 vesiculitis Diseases 0.000 description 1
Images
Classifications
-
- A—HUMAN NECESSITIES
- A61—MEDICAL OR VETERINARY SCIENCE; HYGIENE
- A61B—DIAGNOSIS; SURGERY; IDENTIFICATION
- A61B10/00—Instruments for taking body samples for diagnostic purposes; Other methods or instruments for diagnosis, e.g. for vaccination diagnosis, sex determination or ovulation-period determination; Throat striking implements
- A61B10/02—Instruments for taking cell samples or for biopsy
-
- A—HUMAN NECESSITIES
- A61—MEDICAL OR VETERINARY SCIENCE; HYGIENE
- A61B—DIAGNOSIS; SURGERY; IDENTIFICATION
- A61B5/00—Measuring for diagnostic purposes; Identification of persons
- A61B5/05—Detecting, measuring or recording for diagnosis by means of electric currents or magnetic fields; Measuring using microwaves or radio waves
- A61B5/055—Detecting, measuring or recording for diagnosis by means of electric currents or magnetic fields; Measuring using microwaves or radio waves involving electronic [EMR] or nuclear [NMR] magnetic resonance, e.g. magnetic resonance imaging
-
- A—HUMAN NECESSITIES
- A61—MEDICAL OR VETERINARY SCIENCE; HYGIENE
- A61B—DIAGNOSIS; SURGERY; IDENTIFICATION
- A61B8/00—Diagnosis using ultrasonic, sonic or infrasonic waves
- A61B8/12—Diagnosis using ultrasonic, sonic or infrasonic waves in body cavities or body tracts, e.g. by using catheters
Landscapes
- Health & Medical Sciences (AREA)
- Life Sciences & Earth Sciences (AREA)
- Biomedical Technology (AREA)
- Molecular Biology (AREA)
- Nuclear Medicine, Radiotherapy & Molecular Imaging (AREA)
- Pathology (AREA)
- Veterinary Medicine (AREA)
- Engineering & Computer Science (AREA)
- Physics & Mathematics (AREA)
- Heart & Thoracic Surgery (AREA)
- Medical Informatics (AREA)
- Public Health (AREA)
- Surgery (AREA)
- Animal Behavior & Ethology (AREA)
- General Health & Medical Sciences (AREA)
- Biophysics (AREA)
- Radiology & Medical Imaging (AREA)
- High Energy & Nuclear Physics (AREA)
- Magnetic Resonance Imaging Apparatus (AREA)
Abstract
Изобретение относится к области медицины, а именно к урологии, лучевой диагностике и патологической анатомии, и может использоваться для выполнения биопсии предстательной железы под контролем ее совмещенных изображений, полученных при магнитно-резонансной томографии (МРТ) и ультразвуковом исследовании (УЗИ). Выполняют МРТ предстательной железы в аксиальной, корональной и сагиттальной плоскостях. При этом дополнительно выполняют Т2 взвешенные изображения в косой корональной плоскости по оси сканирования ультразвукового трансректального датчика, параллельно стенкам дистального отдела прямой кишки. Далее совмещают полученные Т2 взвешенные изображения в косой корональной плоскости в режиме реального времени с данными УЗИ предстательной железы. После чего выполняют биопсию предстательной железы. Способ обеспечивает повышение точности и чувствительности биопсии предстательной железы путем ее проведения при совмещении данных УЗИ и Т2 взвешенных изображений предстательной железы в косой корональной плоскости. 15 ил., 3 пр.
Description
Изобретение относится к области медицины, а именно рентгенодиагностике и урологии и может использоваться для проведения магнитно-резонансной томографии (МРТ) предстательной железы как подготовительного этапа для выполнения биопсии предстательной железы под контролем ее совмещенных изображений, полученных при магнитно-резонансной томографии (МРТ) и ультразвуковом исследовании (УЗИ).
Рак предстательной железы (РПЖ) - наиболее часто встречающаяся злокачественная опухоль у мужчин. Ежегодно, в мире регистрируется 1100000 новых случаев возникновения РПЖ и около 300000 случаев смерти от данной патологии [Siegel R.L., Miller K.D., Jemal A. Cancer statistics, 2015. C.A. Cancer J 2015].
В структуре онкологической заболеваемости мужчин в России по состоянию на 2014 г. РПЖ занимает 2-е место (37186 новых случаев). Средний годовой прирост заболеваемости составляет 7,11%, при этом, за период с 2004 по 2014 г. - 116,68%, что выводит данную опухоль на 1-е место по темпам прироста среди всех злокачественных новообразований у мужчин [Данные итогов Совещания экспертов по лечению кастрационно-резистентного РПЖ - Москва 2016]. При этом показатели активного выявления злокачественных новообразований предстательной железы в России неадекватны современным возможностям медицинской помощи.
Единого теста, обладающего высокой чувствительностью и специфичностью, для постановки диагноза РПЖ на сегодняшний день нет. Алгоритм исследований при подозрении на данное заболевание включает следующие основные манипуляции:
1) пальцевое ректальное исследование (ПРИ);
2) исследование крови на общий, свободный простатспецифичный антиген (PSA); -2 proPSA с последующим расчетом индекса здоровья простаты (PHI);
3) оценка экспрессии PCA3 в моче;
4) трансректальное ультразвуковое исследование;
5) мультифокальная биопсия простаты под контролем УЗИ.
Мультифокальная биопсия предстательной железы - основной метод верификации рака простаты. Рандомизированная биопсия позволяет не только выявить факт наличия злокачественной опухоли, но и установить степень злокачественности онкологического процесса. Данная методика является стандартом при обследовании пациентов с подозрением на РПЖ, однако ее недостатком является невозможность взятия прицельных биоптатов, вследствие недостаточной степени визуализации подозрительных зон в предстательной железе для более точного забора гистологического материала. Вышеуказанные ограничения являются причиной низкой чувствительности и точности рандомизированной биопсии.
Низкая чувствительность и точность мультифокальной биопсии простаты под контролем УЗИ обусловливает неудовлетворительные результаты ранней диагностики РПЖ, что делает актуальным поиск новых путей решения данной проблемы.
Однако появление ультразвуковой методики объемной навигации позволяет проводить биопсию предстательной железы под контролем ее совмещенных изображений, полученных при магнитно-резонансной томографиии и ультразвуковом исследовании, что обеспечивает получение качественной визуализации патологического очага в предстательной железе. Данная технология дает лучшее понимание анатомии ультразвукового сканирования, обеспечивает сравнение изображений разных модальностей, таргетное наведение иглы и более точный контроль за ходом биопсии.
Данный способ выбран нами в качестве прототипа.
[Cash H., Maxeiner A., Stephan C. et al. The detection of significant prostate cancer is correlated with the Prostate Imaging Reporting and Data System (PI-RADS) in MRI/transrectal ultrasound fusion biopsy. World J Urol 2016; 34(4): 525-32. DOI: 10.1007/s00345-015-1671-8.PMID: 26293117].
Способ заключается в выполнении мультипараметрической магнитно-резонансной томографии (МРТ) предстательной железы в аксиальной, корональной и сагиттальной плоскостях, с последующим совмещением в режиме реального времени с данными УЗИ предстательной железы, и выполнением прицельной биопсии предстательной железы.
Мультипараметрическую магнитно-резонансную томографию органов малого таза у мужчин проводят на высокопольном MP-томографе с индукцией магнитного поля 1,5 или 3,0 Тесла с использованием радиочастотной усиливающей катушки для тела. Положение пациента - лежа на спине. В стандартный протокол МРТ исследования входит получение T1, Т2 взвешенных изображений с жироподавлением и без жироподавления в трех взаимоперпендикулярных проекциях, диффузно-взвешенных изображений в аксиальной проекции с последующим построением ADC карт, проведение внутривенного динамического болюсного контрастирования с получением аксиальных Т1 взвешенных изображений с жироподавлением, с количеством повторений до 21, с интервалом 15 с, с последующим получением постконтрастных Т1 3D взвешенных изображений с жироподавлением.
Недостатками способа, выбранного нами в качестве прототипа, являются:
• несоответствие плоскостей выполняемого стандартного МРТ исследования плоскости сканирования трансректальным ультразвуковым датчиком во время выполнения совмещенной МРТ/УЗИ fusion биопсии предстательной железы;
• несоответствие истинного расположения патоморфологического очага, относящегося к области интереса проводимой биопсии при совмещении УЗИ и МРТ, что снижает чувствительность и точность выполнения биопсии предстательной железы.
По данным Н. Cash и соавт., были обследованы 408 пациентов в период с 2012 г. по 2015 г. Частота обнаружения РПЖ составила 56% (227/408). Распределение гистологического материала согласно классификации Глисона: индекс Глисона 6 - 34% (78/227), индекс Глисона 7а (3+4) - 23% (52/227), индекс Глисона 7b (4+3) -13% (29/227) и индекс Глисона >8 - 30% (68/227).
КБ - количество всех биопсий - 408;
ИП - истинноположительные результаты РПЖ (индекс Глисона ≥7) - 149;
ЛП - ложноположительные результаты РПЖ (индекс Глисона 6) - 78;
ИО - истинноотрицательные результаты РПЖ не выявлен -181.
Чувствительность способа прототипа рассчитана нами по формуле:
ЧС - чувствительность способа;
КБ - количество всех биопсий - 408;
ИП - истинноположительные результаты РПЖ (индекс Глисона≥7) - 149;
ЛП - ложноположительные результаты РПЖ (индекс Глисона 6) - 78.
Точность способа прототипа рассчитана нами по формуле:
ТС - точность способа;
ИП - истинноположительные результаты;
ИО - истинноотрицательные результаты;
ЛП - ложноположительные результаты.
Технический результат, достигаемый с помощью изобретения, - повышение точности и чувствительности выполнения биопсии предстательной железы под контролем ее совмещенных изображений, полученных при магнитно-резонансной томографиии и ультразвуковом исследовании, что улучшит результаты ранней диагностики рака предстательной железы.
Технический результат изобретения достигается тем, что выполняют МРТ предстательной железы в аксиальной, корональной и сагиттальной плоскостях, а также выполняют Т2 взвешенные изображения в косой корональной плоскости, по оси сканирования ультразвукового трансректального датчика, параллельно стенкам дистального отдела прямой кишки. Затем совмещают полученное изображение в режиме реального времени с данными УЗИ предстательной железы, после чего выполняют биопсию предстательной железы.
Способ осуществляется следующим образом:
Первоначально пациенту выполняют МРТ предстательной железы в аксиальной, корональной и сагиттальной плоскостях. МРТ органов малого таза у мужчин проводят на высокопольном MP-томографе с индукцией магнитного поля 1,5 или 3,0 Тесла с использованием радиочастотной усиливающей катушки для тела. Положение пациента - лежа на спине. В стандартный протокол МРТ исследования входит получение T1, Т2 взвешенных изображений с жироподавлением и без жироподавления в трех взаимоперпендикулярных проекциях, диффузно-взвешенных изображений в аксиальной проекции с последующим построением ADC карт, проведение внутривенного динамического болюсного контрастирования с получением аксиальных Т1 взвешенных изображений с жироподавлением, с количеством повторений до 21, с интервалом 15 с, с последующим получением постконтрастных Т1 3D взвешенных изображений с жироподавлением.
Используют следующий перечень программ стандартного МРТ исследования органов малого таза у мужчин, выполненных на высокопольном MP-томографе с индукцией магнитного поля 3 Тесла фирмы General Electric:
1. Locolizer
2. Т2 sag fse
3. T1 sag fse
4. T2 cor fse fs
5. DWIax,b-0, b-1000
6. T2 ax fse
7. LAVA ax dyn
8. LAVA ax POST
Для построения косой корональной плоскости ориентиром служит прямая кишка в дистальном отделе, срезы выставляют по полученному сагиттальному Т2 взвешенному изображению, по оси сканирования ультразвукового трансректального датчика, параллельно стенкам дистального отдела прямой кишки. Толщина срезов не более 3 мм, количество срезов должно быть достаточно для того, чтобы предстательная железа и семенные пузырьки полностью попали в область визуализации. Затем МРТ срезы совмещают в режиме реального времени с данными УЗИ предстательной железы пациента, после чего выполняют биопсию предстательной железы.
Существенным отличительным признаком заявляемого способа является:
При проведении МРТ предстательной железы в способе биопсии предстательной железы под контролем ее совмещенных изображений, полученных при МРТ и УЗИ, дополнительно выполняют Т2 взвешенные изображения в косой корональной плоскости, по оси сканирования ультразвукового трансректального датчика, параллельно стенкам дистального отдела прямой кишки.
Дополнительное выполнение Т2 взвешенных изображений в косой корональной плоскости позволяет визуализировать предстательную железу в единой плоскости сканирования с ультразвуковым трансректальным датчиком, что исключает искажение изображения при совмещении МРТ и УЗИ, в отличие от способа прототипа, и повышает чувствительность и точность выполнения совмещенной МРТ/УЗИ fusion биопсии предстательной железы.
Для пояснения сущности заявляемого способа приводим примеры из клинической практики:
Пример 1. Пациент 62 года.
Анамнез:
• РПЖ в семье не выявлялся;
• ТРУЗИ-биопсия 2013 и 2015 годы (гистологическое заключение - железисто-стромальная гиперплазия предстательной железы);
• в 2016 году индекс здоровья простаты PHI в высокой группе риска - 50,8;
• ПРИ - отрицательное;
• В 2016 году выполнено мпМРТ предстательной железы - в периферической зоне справа, в средней трети, выявлен очаг размерами 14×8 мм, Pirads 4.
Стандартные срезы: аксиальная (Фиг. 1) корональная (Фиг. 2) и сагиттальная (Фиг. 3) плоскости. Дополнительный срез в косой корональной плоскости (Фиг. 4), биопсия предстательной железы под контролем ее совмещенных изображений, полученных при МРТ (дополнительный срез в косой корональной плоскости) и УЗИ (Фиг. 5).
Гистологическое заключение: ацинарная аденокарцинома (Gleason 7а (3+4), Grade 2, протяженность весь столбик - 100%).
Пример 2. Пациент 69 лет.
Анамнез:
• РПЖ в семье не выявлялся;
• ТРУЗИ-биопсия в 2016 году (гистологическое заключение - железисто-стромальная гиперплазия предстательной железы);
• в 2016 году индекс здоровья простаты PHI в высокой группе риска - 49;
• ПРИ - отрицательное;
• В 2016 году выполнено мпМРТ предстательной железы - в периферической зоне слева, в средней трети, выявлен очаг размерами 8×7 мм, Pirads 4.
Стандартные срезы: аксиальная (Фиг. 6) корональная (Фиг. 7) и сагиттальная (Фиг. 8) плоскости. Дополнительный срез в косой корональной плоскости (Фиг. 9), (Фиг. 10).
Гистологическое заключение: ацинарная аденокарцинома (Gleason 7а (3+4), Grade 2, протяженность 9 мм. - 80%).
Пример 3. Пациент 58 лет.
Анамнез:
• РПЖ в семье не выявлялся;
• ТРУЗИ-биопсия в 2016 году (гистологическое заключение - железисто-стромальная гиперплазия предстательной железы);
• в 2016 году индекс здоровья простаты РШ в высокой группе риска - 62,5;
• ПРИ - отрицательное;
• В 2017 году выполнено мпМРТ предстательной железы - в передних отделах, в базальной и средней трети, выявлен очаг размерами 16×10 мм, Pirads 5.
Стандартные срезы: аксиальная (Фиг. 11) корональная (Фиг. 12) и сагиттальная (Фиг. 13) плоскости. Дополнительный срез в косой корональной плоскости (Фиг. 14), биопсия предстательной железы под контролем ее совмещенных изображений, полученных при МРТ и УЗИ (Фиг. 15). Гистологическое заключение: ацинарная аденокарцинома (Gleason 7а (3+4), Grade 2, протяженность 11 мм. - 52%).
Биопсия предстательной железы по заявляемому способу выполнена 56 пациентам. Рак предстательной железы был выявлен у 52 пациентов (индекс Глисона 6 - 14% (8/56), индекс Глисона 7а - 38% (21/56), индекс Глисона 76 - 32% (18/56), индекс Глисона ≥8-9% (5/56)). Из них, у 44 пациентов определен клинически значимый РПЖ (индекс Глисона ≥7) и у 8 пациентов - клинически незначимый РПЖ (индекс Глисона 6).
КБ - количество всех биопсий - 56;
ИП - истинноположительные результаты РПЖ (индекс Глисона ≥7) - 44;
ЛП - ложноположительные результаты РПЖ (индекс Глисона 6) - 8;
ИО - истинноотрицательные результаты РПЖ не выявлен - 4.
Чувствительность заявляемого способа рассчитана нами по формуле:
ЧС - чувствительность способа; КБ - количество всех биопсий - 56;
ИП - истинноположительные результаты РПЖ (индекс Глисона ≥7) - 44;
ЛП - ложноположительные результаты РПЖ (индекс Глисона 6) - 8.
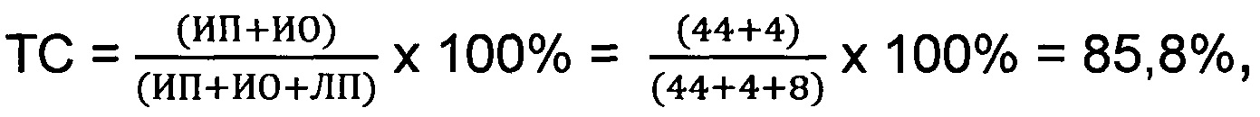
Точность заявляемого способа рассчитана нами по формуле:
ТС - точность способа;
ИП - истинноположительные результаты;
ИО - истинноотрицательные результаты;
ЛП - ложноположительные результаты.
Чувствительность заявляемого способа - 92,9%, способа прототипа - 55,7%. Точность заявляемого способа - 85,8%, способа прототипа - 80,9%.
Таким образом, заявляемый способ, по сравнению со способом прототипом, повышает точность биопсии предстательной железы под контролем ее совмещенных изображений, полученных при магнитно-резонансной томографиии и ультразвуковом исследовании на 4,9%, чувствительность - на 37,2%, что, в свою очередь, улучшает результаты ранней диагностики рака предстательной железы.
Claims (1)
- Способ выполнения биопсии предстательной железы под контролем ее совмещенных изображений, полученных при магнитно-резонансной томографии (МРТ) и ультразвуковом исследовании (УЗИ), заключающийся в выполнении МРТ предстательной железы в аксиальной, корональной и сагиттальной плоскостях с последующим совмещением в режиме реального времени с данными УЗИ предстательной железы, после чего выполняют биопсию предстательной железы, отличающийся тем, что при проведении МРТ дополнительно выполняют Т2 взвешенные изображения в косой корональной плоскости по оси сканирования ультразвукового трансректального датчика, параллельно стенкам дистального отдела прямой кишки.
Priority Applications (1)
| Application Number | Priority Date | Filing Date | Title |
|---|---|---|---|
| RU2018126444A RU2688373C1 (ru) | 2018-07-17 | 2018-07-17 | Способ выполнения биопсии предстательной железы под контролем её совмещенных изображений, полученных при магнитно-резонансной томографии и ультразвуковом исследовании |
Applications Claiming Priority (1)
| Application Number | Priority Date | Filing Date | Title |
|---|---|---|---|
| RU2018126444A RU2688373C1 (ru) | 2018-07-17 | 2018-07-17 | Способ выполнения биопсии предстательной железы под контролем её совмещенных изображений, полученных при магнитно-резонансной томографии и ультразвуковом исследовании |
Publications (1)
| Publication Number | Publication Date |
|---|---|
| RU2688373C1 true RU2688373C1 (ru) | 2019-05-21 |
Family
ID=66636582
Family Applications (1)
| Application Number | Title | Priority Date | Filing Date |
|---|---|---|---|
| RU2018126444A RU2688373C1 (ru) | 2018-07-17 | 2018-07-17 | Способ выполнения биопсии предстательной железы под контролем её совмещенных изображений, полученных при магнитно-резонансной томографии и ультразвуковом исследовании |
Country Status (1)
| Country | Link |
|---|---|
| RU (1) | RU2688373C1 (ru) |
Cited By (1)
| Publication number | Priority date | Publication date | Assignee | Title |
|---|---|---|---|---|
| RU2776980C1 (ru) * | 2021-07-21 | 2022-07-29 | Дарья Юрьевна Чернышева | Способ интраоперационной координации во время проведения промежностной биопсии предстательной железы и комплект для его осуществления |
-
2018
- 2018-07-17 RU RU2018126444A patent/RU2688373C1/ru not_active IP Right Cessation
Non-Patent Citations (4)
| Title |
|---|
| Cash H. et al. The detection of significant prostate cancer is correlated with the Prostate Imaging Reporting and Data System (PI-RADS) in MRI/transrectal ultrasound fusion biopsy. // World J Urol 2016; 34 (4): 525-32. * |
| Shoji S. Transperineal targeted biopsy with real-time fusion image of multiparametric magnetic resonance image and transrectal ultrasound image for the diagnosis of prostate cancer. // Chapetr 4. Prostate Cancer - Leading-edge Diagnostic Procedures and Treatments. Intech. 2016. P.35-43. * |
| Коссов Ф.А. и др. Применение МРТ/УЗИ fusion-биопсии в диагностике клинически значимого рака предстательной железы. // Онкоурология. 2017 13 (3): 61-70. Prostate MRI. найдено [28.02.2019] из Интернет https://mrimaster.com/PLAN%20PROSTATE.html, дата размещ. 06.03.2017 подтв. по адресу https://web.archive.org/web/20170306135638/https://mrimaster.com/PLAN%20PROSTATE.html. * |
| Коссов Ф.А. и др. Применение МРТ/УЗИ fusion-биопсии в диагностике клинически значимого рака предстательной железы. // Онкоурология. 2017 13 (3): 61-70. Prostate MRI. найдено [28.02.2019] из Интернет https://mrimaster.com/PLAN%20PROSTATE.html, дата размещ. 06.03.2017 подтв. по адресу https://web.archive.org/web/20170306135638/https://mrimaster.com/PLAN%20PROSTATE.html. Shoji S. Transperineal targeted biopsy with real-time fusion image of multiparametric magnetic resonance image and transrectal ultrasound image for the diagnosis of prostate cancer. // Chapetr 4. Prostate Cancer - Leading-edge Diagnostic Procedures and Treatments. Intech. 2016. P.35-43. * |
Cited By (1)
| Publication number | Priority date | Publication date | Assignee | Title |
|---|---|---|---|---|
| RU2776980C1 (ru) * | 2021-07-21 | 2022-07-29 | Дарья Юрьевна Чернышева | Способ интраоперационной координации во время проведения промежностной биопсии предстательной железы и комплект для его осуществления |
Similar Documents
| Publication | Publication Date | Title |
|---|---|---|
| Ahmad et al. | Transrectal quantitative shear wave elastography in the detection and characterisation of prostate cancer | |
| Cowan et al. | Detection of clinically significant cancer in the anterior prostate by transperineal biopsy | |
| Dianat et al. | Performance of multiparametric magnetic resonance imaging in the evaluation and management of clinically low-risk prostate cancer | |
| JP2012507346A (ja) | 癌を識別するために磁気共鳴画像法を用いる方法及び装置 | |
| JP5212951B2 (ja) | 磁気共鳴イメージング装置及びその作動方法、画像診断システム並びに診断方法 | |
| Pedler et al. | The current status of MRI in prostate cancer | |
| Singh et al. | Patient selection determines the prostate cancer yield of dynamic contrast‐enhanced magnetic resonance imaging‐guided transrectal biopsies in a closed 3‐Tesla scanner | |
| D'Agostino et al. | Comparison between" In-bore" MRI guided prostate biopsy and standard ultrasound guided biopsy in the patient with suspicious prostate cancer: Preliminary results. | |
| US20040254445A1 (en) | Use of MRI to screen individuals for prostate cancer | |
| RU2688373C1 (ru) | Способ выполнения биопсии предстательной железы под контролем её совмещенных изображений, полученных при магнитно-резонансной томографии и ультразвуковом исследовании | |
| Kierans et al. | Implementation of multi-parametric prostate MRI in clinical practice | |
| Roh et al. | The diagnostic accuracy and postoperative outcomes of cervical cancer patients for MR-invisible or MR-visible diagnosis of combined T2-and diffusion-weighted 3T MRI using the external phased-array receiver | |
| Cerci et al. | PET/CT-guided biopsy of liver lesions | |
| Stancioi et al. | Implementing a System for Diagnosing Lung Cancer based on Active Contour Algorithms | |
| RU2822984C1 (ru) | Способ дифференциальной диагностики очагового стеатоза печени и солидных новообразований печени у пациентов с отягощённым онкоанамнезом | |
| RU2826345C1 (ru) | Способ диагностики хронического псевдотуморозного панкреатита | |
| RU2766394C1 (ru) | Способ диагностики заболеваний молочной железы | |
| Compton | Fundamentals of Cancer Diagnosis and Assessment | |
| Bakhtiyorovna et al. | MEDICINE AND PHARMACY | |
| TWM630582U (zh) | 優化攝護腺癌影像判讀系統 | |
| Stephens et al. | Investigations that may be useful in detecting cancer | |
| Gomez-Iturriaga et al. | Transperineal biopsies of MRI-detected aggressive index lesions in low-and intermediate-risk prostate cancer patients: Implications for treatment decision | |
| Loft et al. | Intra-and Interobserver Variability of Shear Wave Elastography in Rectal Cancer. Cancers 2022, 14, 2633 | |
| CN119014954A (zh) | 一种前列腺穿刺活检的方法、设备及程序产品 | |
| Li et al. | The analysis of contrast-enhanced ultrasound features of the liver in male patients with liver cancer and unhealthy life habits under 50 years-of-age |
Legal Events
| Date | Code | Title | Description |
|---|---|---|---|
| MM4A | The patent is invalid due to non-payment of fees |
Effective date: 20200718 |