RU2669801C1 - Полимерный материал медицинского назначения для эмболизации - Google Patents
Полимерный материал медицинского назначения для эмболизации Download PDFInfo
- Publication number
- RU2669801C1 RU2669801C1 RU2017125271A RU2017125271A RU2669801C1 RU 2669801 C1 RU2669801 C1 RU 2669801C1 RU 2017125271 A RU2017125271 A RU 2017125271A RU 2017125271 A RU2017125271 A RU 2017125271A RU 2669801 C1 RU2669801 C1 RU 2669801C1
- Authority
- RU
- Russia
- Prior art keywords
- embolization
- blood vessels
- vinylpyridine
- polymeric material
- polymer
- Prior art date
Links
Images
Classifications
-
- A—HUMAN NECESSITIES
- A61—MEDICAL OR VETERINARY SCIENCE; HYGIENE
- A61K—PREPARATIONS FOR MEDICAL, DENTAL OR TOILETRY PURPOSES
- A61K31/00—Medicinal preparations containing organic active ingredients
- A61K31/74—Synthetic polymeric materials
- A61K31/785—Polymers containing nitrogen
- A61K31/787—Polymers containing nitrogen containing heterocyclic rings having nitrogen as a ring hetero atom
- A61K31/79—Polymers of vinyl pyrrolidone
-
- A—HUMAN NECESSITIES
- A61—MEDICAL OR VETERINARY SCIENCE; HYGIENE
- A61L—METHODS OR APPARATUS FOR STERILISING MATERIALS OR OBJECTS IN GENERAL; DISINFECTION, STERILISATION OR DEODORISATION OF AIR; CHEMICAL ASPECTS OF BANDAGES, DRESSINGS, ABSORBENT PADS OR SURGICAL ARTICLES; MATERIALS FOR BANDAGES, DRESSINGS, ABSORBENT PADS OR SURGICAL ARTICLES
- A61L31/00—Materials for other surgical articles, e.g. stents, stent-grafts, shunts, surgical drapes, guide wires, materials for adhesion prevention, occluding devices, surgical gloves, tissue fixation devices
-
- C—CHEMISTRY; METALLURGY
- C08—ORGANIC MACROMOLECULAR COMPOUNDS; THEIR PREPARATION OR CHEMICAL WORKING-UP; COMPOSITIONS BASED THEREON
- C08F—MACROMOLECULAR COMPOUNDS OBTAINED BY REACTIONS ONLY INVOLVING CARBON-TO-CARBON UNSATURATED BONDS
- C08F226/00—Copolymers of compounds having one or more unsaturated aliphatic radicals, each having only one carbon-to-carbon double bond, and at least one being terminated by a single or double bond to nitrogen or by a heterocyclic ring containing nitrogen
- C08F226/06—Copolymers of compounds having one or more unsaturated aliphatic radicals, each having only one carbon-to-carbon double bond, and at least one being terminated by a single or double bond to nitrogen or by a heterocyclic ring containing nitrogen by a heterocyclic ring containing nitrogen
- C08F226/10—N-Vinyl-pyrrolidone
-
- C—CHEMISTRY; METALLURGY
- C08—ORGANIC MACROMOLECULAR COMPOUNDS; THEIR PREPARATION OR CHEMICAL WORKING-UP; COMPOSITIONS BASED THEREON
- C08L—COMPOSITIONS OF MACROMOLECULAR COMPOUNDS
- C08L39/00—Compositions of homopolymers or copolymers of compounds having one or more unsaturated aliphatic radicals, each having only one carbon-to-carbon double bond, and at least one being terminated by a single or double bond to nitrogen or by a heterocyclic ring containing nitrogen; Compositions of derivatives of such polymers
- C08L39/04—Homopolymers or copolymers of monomers containing heterocyclic rings having nitrogen as ring member
- C08L39/06—Homopolymers or copolymers of N-vinyl-pyrrolidones
Landscapes
- Health & Medical Sciences (AREA)
- Chemical & Material Sciences (AREA)
- Medicinal Chemistry (AREA)
- General Health & Medical Sciences (AREA)
- Public Health (AREA)
- Organic Chemistry (AREA)
- Veterinary Medicine (AREA)
- Polymers & Plastics (AREA)
- Chemical Kinetics & Catalysis (AREA)
- Epidemiology (AREA)
- Life Sciences & Earth Sciences (AREA)
- Animal Behavior & Ethology (AREA)
- Vascular Medicine (AREA)
- Surgery (AREA)
- Heart & Thoracic Surgery (AREA)
- Pharmacology & Pharmacy (AREA)
- Medicinal Preparation (AREA)
- Medicines Containing Antibodies Or Antigens For Use As Internal Diagnostic Agents (AREA)
- Materials For Medical Uses (AREA)
Abstract
Изобретение относится к области медицины и раскрывает материал медицинского и ветеринарного назначения, содержащий интерполимерный полиэлектролитный комплекс катионного полимера - полиалкилкарбоновой (полиакриловой или полиметакриловой) кислоты с анионным сополимером - N-винилпирролидона и 2-метил-5-винилпиридина или 4-винилпиридина или 2-винилпиридина. Эмболы из материала могут быть приготовлены предварительно в форме сферических и несферических частиц, вводимых в кровеносные сосуды в форме суспензии, или непосредственно внутри кровеносных сосудов (in situ) при совместном введении исходных компонентов. Дополнительно эмболы могут содержать химиотерапевтические и рентгеноконтрастные агенты. Материал характеризуется способностью к деструкции в результате воздействия электролитов и ферментативных систем организма человека и животных. Изобретение может быть использовано в качестве средства для эмболизации кровеносных сосудов с обратимым характером действия. 6 з.п. ф-лы, 2 табл., 4 пр., 1 ил.
Description
Изобретение относится к материалам медицинского и ветеринарного назначения. Более конкретно, оно обеспечивает получение эмбол из катионного полимера - полиалкилкарбоновой кислоты, а именно полиакриловой или полиметакриловой кислот, и анионного сополимера - N-винилпирролидона и 2-метил-5-винилпиридина или 4-винилпиридина или 2-винилпиридина, предоставляет способы их получения и применения в качестве материалов для эмболизации кровеносных сосудов, содержащих химиотерапевтическое средство.
В настоящее время инновации в разработке новых окклюзионных материалов позволяют расширять возможности применения метода эмболизации для лечения различных опухолевых заболеваний.
Из уровня техники известен патент RU 2587326 (опубл. 20.06.2016), в котором раскрыт способ получения биоразлагемых частиц, где их получают растворением синтетического полимера, полиосновной карбоновой кислоты и катализатора конденсации водорастворимого карбодиимида в апротонном органическом растворителе и проведением реакции химической сшивки в полученных каплях, которые применяют в качестве материала для эмболизации сосудов.
Известен патент RU 61 120 (опубл. 27.02.2007), в котором раскрыто средство для эмболизации сосудов, выполненное в форме цилиндра, отличающееся тем, что цилиндр выполнен из полимерного материала, полученного путем полимеризации раствора, включающего 2-гидрооксиэтилметакрилат (ГЭМА), этилендиметакрилат (ЭГДМА), N,N,N',N'-тетраметилэтилендиамин (ТМЭДА), персульфат аммония (ПСА) и дистиллированную воду.
В патенте RU 2445979 (опубл. 27.03.2012) описан способ применения кристаллизующихся полимеров с боковой цепью в качестве материалов для селективного блокирования сосудов или пораженных сосудистых структур.
В патенте RU 2073529 (опубл. 20.02.1997) раскрыт способ приготовления средства для эмболизации кровеносных сосудов, выполненного из полимерного материала, образованного из раствора, содержащего диметилметилвинилполисилоксан, карбонильное железо, платинохлористоводородную кислоту, олигогидридсилоксан и олигодиметилсилоксан. Приготовление материала для эмболизации осуществляют непосредственно перед вводом в русло сосуда, пораженного опухолью, органа больного. Материал представляет собой пространственно сшитые полимерные структуры, внутри которых прочно удерживаются частицы карбонильного железа. Присутствие олигодиметилсилоксана, играющего роль пластификатора, снижает вязкость, которая была у диметилметилвинилполисилоксана, в готовой композиции, при этом сохраняя ее на воздухе в течение 20-25 минут. Затем происходит быстрое увеличение вязкости композиции с образованием в течение 2-х часов эластичного полимера.
В патенте RU 2588222 (опубл. 27.06.2016) раскрыт способ получения биоразрушаемого материала с улучшенной способностью к разрушению в биологической среде на основе оксикарбоновых кислот предназначенного для эмболизации сосудов. Несмотря на то, что целью изобретения являлась разработка биоразрушаемого материала с улучшенной степенью восстановления формы после деформации и улучшенной эластичностью, добиться полного устранения проблем, связанных с отсутствием стабильности физических свойств, не удалось.
В патенте RU 2578467 (опубл. 27.03.2016) раскрыт способ получения биоразлагаемых частиц для медицинского применения, которые состоят из триблок-сополимера типа А1-В-А2, где каждый из А1 и А2 означает биоразлагаемый блок-сополимер, составленный мономерами, содержащими гликолевую кислоту, молочную кислоту и 6-гидроксикапроновую кислоту, и В означает растворимый в воде блок-полимер.
Все эти материалы и средства эмболизации на их основе, представленные в уровне техники, рассматриваются авторами данного изобретения как его ближайшие аналоги. Их главным недостатком является необходимость использования органических растворителей, химических реагентов, в том числе токсичных, и кислот, способных вызывать коррозию медицинского оборудования. Кроме того, используемые в композициях полимеры и сополимеры оксокарбоновых кислот получают с использованием токсичных соединений олова, в связи с чем требуется их тщательная очистка. Такие композиции и полимеры требуют хранения при пониженной температуре, что осложняет их использование. Кроме того, в связи с низкой температурой стеклования полимеры и сополимеры молочной, гликолевой и других оксокислот, а также эмболы и композиции на их основе нельзя подвергать стерилизации при повышенной температуре.
Целью данного изобретения является расширение арсенала материалов для создания средств для эмболизации кровеносных сосудов, которые могут найти применение в медицине и ветеринарии.
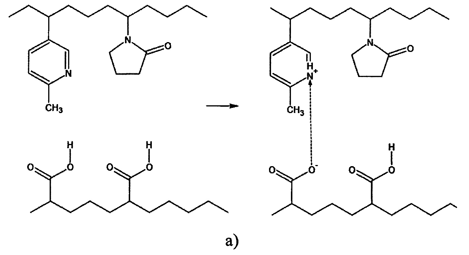
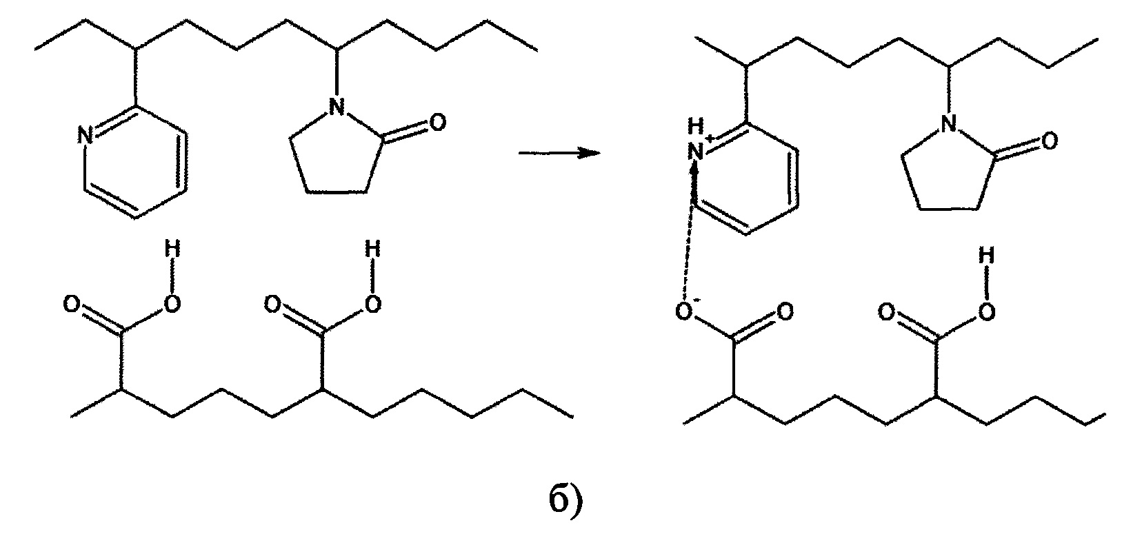
В результате проведенных исследований авторы изобретения установили, что недостатки известного уровня техники могут быть преодолены путем использования интерполимерныхполиэектролитных комплексов (ИПК) в качестве материала для изготовления основы средств эмболизации кровеносных сосудов. Образование ИПК осуществляется за счет взаимодействия карбоксильных групп полиалкилкарбоновой кислоты с пиридиновыми фрагментами сополимеров N-винилпирролидона и 2-метил-5-винилпиридина или 4-винилпиридина или 2-винилпиридина, в результате чего образуется нерастворимый в водных средах и в большинстве органических растворителей ИПК общей структуры (рис. 1).
ИПК в качестве катионного полимера содержит полиакриловую или полиметакриловую кислоты, а в качестве анионного полимера - сополимер N-винилпирролидона и винилпиридина, где винилпиридин выбран из группы: 2-метил-5-винилпиридина или 4-винилпиридина или 2-винилпиридина.
Молекулы катионного и анионного полимеров могут быть введены в ИПК при их различном соотношении, процесс может быть осуществлен в водной среде, органических растворителях и их смесях. Катионный и анионный полимеры могут иметь различные молекулярно-массовые характеристики. Анионный полимер может иметь различное соотношение винилпиридиновых и N-винилпирролидоновых звеньев. Образование и стабилизация ИПК осуществляется за счет образования ионных и водородных связей.
Соотношение катионного и анионного полимеров и их строение влияет на некоторые функциональные свойства материала и эмбол изготовленных из него, включая скорость их разложения.
Образование интерполимерных комплексов полиалкилкарбоновой кислоты с сополимерами: а) N-винилпирролидона и 2-метил-5-винилпиридина; б) N-винилпирролидона и 2-винилпиридина в) N-винилпирролидона и 4-винилпиридина:
Для проведения эмболизации кровеносных сосудов из данного материала изготавливают эмболы, которые затем вводят через иглу в кровеносные сосуды, которые хотят подвергнуть закупориванию.
Получение эмбол сферической и несферической формы осуществляется за счет формирования оболочки из ИПК на поверхности частиц химиотерапевтического и/или рентгеноконтрастного агентов или капель раствора их содержащих.
В некоторых случаях для эмболизации сосудов могут быть использованы эмболы из данного материала сформированные в кровеносных сосудах in situ в результате совместного или последовательного введения исходных катионного и анионного полимеров, в том числе совместно с химиотерапевтическими и рентгеноконтрастными агентами.
Введение в состав эмбол химиотерапевтических и рентгеноконтрастных агентов позволяет оказывать медикаментозное воздействие на изолированные ткани или позволяют визуализировать области, подвергнутые эмболизации.
ИПК, исходные полимеры и средства эмболизации на его основе изготавливаются и упаковываются в асептических условиях или стерилизуется в упаковке. Стерильная упаковка может иметь различные формы.
Описание не ограничивает объем притязаний по заявленному изобретению, а описывает и поясняет с помощью примеров его осуществление.
Нижеперечисленные примеры предназначены для иллюстрации изобретения, но они не ограничивают его объем.
Пример 1. Приготовление полимерного материала и эмбол из него, формируемых in situ.
Отдельно готовят 1,0% раствор катионного полимера и 5,0% раствор анионного полимера, используя количества, обеспечивающие состав материала в соответствие с таблицей 1. Растворы подвергают термической стерилизации паром под давлением 120 кПа при температуре 105°С.
Готовят 1,0% раствор катионного полимера (раствор 1). Для этого катионный полимер помещают в очищенную воду, выдерживают при постоянном перемешивании 3-4 часа. Затем готовят 5,0% раствор анионного полимера (раствор 2). Для этого анионный полимер помещают в очищенную воду и выдерживают в течение 20 минут при температуре 4-10°С и перемешивании до полного растворения полимера. Полученные растворы подвергают термической стерилизации паром под давлением 120 кПа при температуре 105°С.
Затем растворы охлаждают и помещают раствор 1 в шприц 1 и раствор 2 в шприц 2, маркируют и укупоривают. Для получения материала в форме эмбол, приготовленные растворы вводят совместно в кровеносный сосуд, используя трехходовую разветвленную инфузионную систему (рис. 1).
Пример 2. Приготовление полимерного материала и эмбол из него, формируемых in situ, содержащих химиотерапевтические и рентгеноконтрастные агенты.
Отдельно готовят 1,0% раствор полиакриловой кислоты (Acrypol 974Р) и 5,0% раствор сополимера 2М5 ВП и N-ВП с ММсв=40 кДА и содержанием пиридиновых звеньев 35%. Растворы подвергают термической стерилизации паром под давлением 120 кПа при температуре 105°С.
Готовят 1,0% раствор полиакриловой кислоты (Acrypol 974Р) содержащий химиотерапевтический агент (Раствор 1). Для этого при перемешивании растворяют в воде очищенной химиотерапевтический агент (Таб. 1). К полученному раствору добавляют полиакриловую кислоту и выдерживают смесь при постоянном перемешивании 3-4 часа.
Затем готовят 5,0% раствор анионного полимера содержащий рентгеноконтрастный агент (раствор 2). Для этого анионный полимер помещают в очищенную воду и выдерживают в течение 20 минут при температуре 4-10°С и перемешивании до полного растворения полимера. В полученный раствор добавляют рентгеноконтрастное вещество и перемешивают 20 минут.
Полученные растворы подвергают термической стерилизации паром под давлением 120 кПа при температуре 105°С.
Затем растворы охлаждают и помещают Раствор 1 в шприц 1 и Раствор 2 в шприц 2, маркируют и укупоривают.
Пример 3. Приготовление полимерного материала для эмболизации кровеносных сосудов в форме частиц.
В асептических условиях 50 мл раствора, содержащего 10% катионный полимер и 1% Pluronic F 68, в качестве стабилизатора, прикапывают в течение 5 минут к 100 мл 50% раствора анионного полимера в хлористом метилене при диспергировании высокоскоростным гомогенизатором при 15000 об/мин. Затем полученную эмульсию приливают в 150 мл 1% раствора поливинилового спирта (ММ 40 кДа), при диспергировании и оставляют полученную дисперсию при постоянном перемешивании на 12 часов для полного удаления органического растворителя и отвердевания частиц. Частицы отделяют фильтрованием, промывают водой, лиофильно высушивают, помещают в стерильные стеклянные флаконы, укупоривают и маркируют.
Пример 4. Полимерный материал для эмболизации кровеносных сосудов в форме имплантата in situ исследовали in vivo на 10 беспородных крысах-самках массой тела 80-150 г. Для проведения эмболизации, предварительно приготовленные растворы катионного и анионного полимеров (Пример 2, вариант 25), вводили в бедренную артерию крыс, с помощью, трехходовой системы. Визуальная оценка тканей в зоне кровоснабжения и регионарной артерии сразу и через 7-9 дней после введения показала отсутствие патологических изменений. Контрастирующий агент показал эффективную эмболизацию сосудистого русла.
Claims (7)
1. Полимерный материал медицинского назначения для эмболизации, содержащий интерполимерный полиэлектролитный комплекс катионного полимера - полиалкилкарбоновой кислоты с анионным полимером - сополимер N-винилпирролидона и винилпиридина, характеризующийся тем, что соотношение полимеров находится в диапазоне от 0,01:1 до 1:0,01.
2. Полимерный материал медицинского назначения для эмболизации по п. 1, отличающийся тем, что интерполимерный полиэлектролитный комплекс содержит катионный полимер, выбранный из ряда полиакриловая кислота с молекулярной массой от 10-100 кДа и полиметакриловая кислота с молекулярной массой от 50-200 кДа.
3. Полимерный материал медицинского назначения для эмболизации по пп. 1 и 2, отличающийся тем, что интерполимерный полиэлектролитный комплекс содержит в качестве анионного полимера сополимер N-винилпирролидона и винилпиридина с молекулярной массой от 15 до 45 кДа, где винилпиридин выбран из группы 2-метил-5-винилпиридин (25-40 мольн. %) или 4-винилпиридин (25-35 мольн. %) или 2-винилпиридин (25-35 мольн. %).
4. Полимерный материал медицинского назначения для эмболизации по пп. 1-3, отличающийся тем, что он дополнительно содержит, по крайней мере, одно химиотерапевтическое средство.
5. Полимерный материал медицинского назначения для эмболизации по пп. 1-4, отличающийся тем, что он является основой средства для эмболизации кровеносных сосудов в форме сферических и несферических частиц.
6. Полимерный материал медицинского назначения для эмболизации по пп. 1-4, отличающийся тем, что он является основой средства для эмболизации кровеносных сосудов в форме эмбол формируемых in situ в результате совместного или последовательного введения в кровяное русло катионного и анионного полимеров.
7. Полимерный материал медицинского назначения для эмболизации по пп. 1-6, отличающийся тем, что он дополнительно содержит рентгеноконтрастное вещество.
Priority Applications (1)
| Application Number | Priority Date | Filing Date | Title |
|---|---|---|---|
| RU2017125271A RU2669801C1 (ru) | 2017-07-14 | 2017-07-14 | Полимерный материал медицинского назначения для эмболизации |
Applications Claiming Priority (1)
| Application Number | Priority Date | Filing Date | Title |
|---|---|---|---|
| RU2017125271A RU2669801C1 (ru) | 2017-07-14 | 2017-07-14 | Полимерный материал медицинского назначения для эмболизации |
Publications (1)
| Publication Number | Publication Date |
|---|---|
| RU2669801C1 true RU2669801C1 (ru) | 2018-10-16 |
Family
ID=63862549
Family Applications (1)
| Application Number | Title | Priority Date | Filing Date |
|---|---|---|---|
| RU2017125271A RU2669801C1 (ru) | 2017-07-14 | 2017-07-14 | Полимерный материал медицинского назначения для эмболизации |
Country Status (1)
| Country | Link |
|---|---|
| RU (1) | RU2669801C1 (ru) |
Citations (4)
| Publication number | Priority date | Publication date | Assignee | Title |
|---|---|---|---|---|
| RU2015993C1 (ru) * | 1992-07-16 | 1994-07-15 | Фармацевтическая фирма "Ковидон" | Сополимер 2-метил-5-винилпиридина и n-винилпирролидона, обладающий противоопухолевой активностью |
| RU2430933C1 (ru) * | 2010-10-29 | 2011-10-10 | Станислав Анатольевич Кедик | Сополимеры 2-метил-5-винилпиридина и n-винилпирролидона, обладающие свойствами активаторов фагоцитоза |
| RU2430932C1 (ru) * | 2010-10-29 | 2011-10-10 | Станислав Анатольевич Кедик | Сополимеры 2-метил-5-винилпиридина и n-винилпирролидона, активирующие продуцирование интерлейкина-1, и их применение в качестве противораковых агентов |
| RU2471491C1 (ru) * | 2011-10-19 | 2013-01-10 | Станислав Анатольевич Кедик | Применение сополимера на основе n-винилпирролидона в качестве средства, потенцирующего анальгетический эффект морфина гидрохлорида |
-
2017
- 2017-07-14 RU RU2017125271A patent/RU2669801C1/ru active
Patent Citations (4)
| Publication number | Priority date | Publication date | Assignee | Title |
|---|---|---|---|---|
| RU2015993C1 (ru) * | 1992-07-16 | 1994-07-15 | Фармацевтическая фирма "Ковидон" | Сополимер 2-метил-5-винилпиридина и n-винилпирролидона, обладающий противоопухолевой активностью |
| RU2430933C1 (ru) * | 2010-10-29 | 2011-10-10 | Станислав Анатольевич Кедик | Сополимеры 2-метил-5-винилпиридина и n-винилпирролидона, обладающие свойствами активаторов фагоцитоза |
| RU2430932C1 (ru) * | 2010-10-29 | 2011-10-10 | Станислав Анатольевич Кедик | Сополимеры 2-метил-5-винилпиридина и n-винилпирролидона, активирующие продуцирование интерлейкина-1, и их применение в качестве противораковых агентов |
| RU2471491C1 (ru) * | 2011-10-19 | 2013-01-10 | Станислав Анатольевич Кедик | Применение сополимера на основе n-винилпирролидона в качестве средства, потенцирующего анальгетический эффект морфина гидрохлорида |
Non-Patent Citations (4)
| Title |
|---|
| КАЛИСТРАТОВ В.Г. и др. Противолучевые и другие биологические свойства сополимера 2-метил-5-винилпиридина и N-винилпирролидона / Медицинская радиология. 1993. Т.38. N 10. с.21-25. * |
| КАЛИСТРАТОВ В.Г. и др. Противолучевые и другие биологические свойства сополимера 2-метил-5-винилпиридина и N-винилпирролидона / Медицинская радиология. 1993. Т.38. N 10. с.21-25. НИКИФОРОВА А.Н. Безопасность и иммуногенность тривалентной инактивированной гриппозной вакцины с новым адъювантом. Диссертация на соискание ученой степени кандидата биологических наук. г. Санкт-Петербург. 2015. См. с.6, 37-41. ПАНОВ А.В. и др. Модификация противоопухолевого действия цитостатических препаратов сополимером N-винилпирролидона и 2-метил-5-винилпиридина. Том 51, N7, 2017. * |
| НИКИФОРОВА А.Н. Безопасность и иммуногенность тривалентной инактивированной гриппозной вакцины с новым адъювантом. Диссертация на соискание ученой степени кандидата биологических наук. г. Санкт-Петербург. 2015. См. с.6, 37-41. * |
| ПАНОВ А.В. и др. Модификация противоопухолевого действия цитостатических препаратов сополимером N-винилпирролидона и 2-метил-5-винилпиридина. Том 51, N7, 2017. * |
Similar Documents
| Publication | Publication Date | Title |
|---|---|---|
| JP5616251B2 (ja) | 固形腫瘍の化学的塞栓療法用組成物 | |
| Khanlari et al. | Bioadhesives: a review | |
| US9844597B2 (en) | Biocompatible in situ hydrogel | |
| CN103703079B (zh) | 核-壳微球 | |
| JP2004512389A (ja) | 多重刺激可逆性ハイドロゲル | |
| C Patel et al. | Recent patents on stimuli responsive hydrogel drug delivery system | |
| US7976859B2 (en) | Implant filling material and method | |
| JP2005530815A (ja) | プレポリマーを含む新規高粘性閉塞組成物 | |
| CN115942965A (zh) | 抗粘着组合物 | |
| KR101531091B1 (ko) | 소수성 생체적합성 고분자 및 친수성 생체적합성 고분자를 중합시킨 중합체를 포함하는 조직 수복용 주사 주입제 | |
| CN103656625A (zh) | 明胶粒子及其用途、和给用生理活性物质的装置 | |
| US9687552B2 (en) | Association of poly(N-acryloylglycinamide) with at least one active principle | |
| JP6437087B2 (ja) | 熱感応性癒着防止用組成物及びその用途 | |
| JP2014058465A (ja) | 膨潤ゼラチン粒子および生理活性物質徐放用ゼラチン粒子、ならびに生理活性物質投与用デバイス | |
| JP2022546512A (ja) | 温度感応型組織癒着防止用ハイドロゲル組成物及びその製造方法 | |
| CN114533937B (zh) | 一种可生物降解温度敏感型栓塞凝胶及其制备方法和应用 | |
| Hamidi et al. | An overview on current trends and future outlook of hydrogels in drug delivery. | |
| RU2669801C1 (ru) | Полимерный материал медицинского назначения для эмболизации | |
| JP2025525005A (ja) | 関節障害の治療における使用のためのヒドロゲル組成物 | |
| CN108017798A (zh) | 一种聚乳酸-羟基乙酸共聚微球的表面改性方法 | |
| US8084513B2 (en) | Implant filling material and method | |
| US20150087725A1 (en) | Injectable Gelling Material | |
| RU2810584C1 (ru) | Термоуправляемая композиция для временной остановки кровотечений | |
| Hill | Formulation and Characterization of Thermosensitive Chitosan Hydrogels for Injectable Drug Delivery | |
| Pérez-Luna | The Effect of Glutathione Incorporated as Chain Transfer Agent in Thermosensitive Hydrogels for Controlled Release of Therapeutic Proteins |




