RU2384373C1 - Ультразвуковая колебательная система - Google Patents
Ультразвуковая колебательная система Download PDFInfo
- Publication number
- RU2384373C1 RU2384373C1 RU2008137336/28A RU2008137336A RU2384373C1 RU 2384373 C1 RU2384373 C1 RU 2384373C1 RU 2008137336/28 A RU2008137336/28 A RU 2008137336/28A RU 2008137336 A RU2008137336 A RU 2008137336A RU 2384373 C1 RU2384373 C1 RU 2384373C1
- Authority
- RU
- Russia
- Prior art keywords
- transformer
- titanium alloy
- amplitude
- cavity
- oscillation
- Prior art date
Links
- 230000010355 oscillation Effects 0.000 claims abstract description 26
- 229910001069 Ti alloy Inorganic materials 0.000 claims abstract description 21
- 239000000463 material Substances 0.000 claims abstract description 15
- 230000003534 oscillatory effect Effects 0.000 claims description 16
- 239000007788 liquid Substances 0.000 abstract description 7
- 238000000034 method Methods 0.000 abstract description 5
- 230000008569 process Effects 0.000 abstract description 5
- 230000000694 effects Effects 0.000 abstract description 2
- 238000012545 processing Methods 0.000 abstract description 2
- 239000013081 microcrystal Substances 0.000 abstract 2
- 230000003247 decreasing effect Effects 0.000 abstract 1
- 239000012530 fluid Substances 0.000 abstract 1
- 239000000126 substance Substances 0.000 abstract 1
- 229910045601 alloy Inorganic materials 0.000 description 7
- 239000000956 alloy Substances 0.000 description 7
- 238000013461 design Methods 0.000 description 5
- 230000008859 change Effects 0.000 description 3
- 230000007423 decrease Effects 0.000 description 3
- 229910000831 Steel Inorganic materials 0.000 description 2
- RTAQQCXQSZGOHL-UHFFFAOYSA-N Titanium Chemical compound [Ti] RTAQQCXQSZGOHL-UHFFFAOYSA-N 0.000 description 2
- 238000011161 development Methods 0.000 description 2
- 238000006073 displacement reaction Methods 0.000 description 2
- 238000005516 engineering process Methods 0.000 description 2
- 238000010438 heat treatment Methods 0.000 description 2
- 238000011089 mechanical engineering Methods 0.000 description 2
- 239000002609 medium Substances 0.000 description 2
- 230000005855 radiation Effects 0.000 description 2
- 239000010959 steel Substances 0.000 description 2
- 239000010936 titanium Substances 0.000 description 2
- 229910052719 titanium Inorganic materials 0.000 description 2
- 230000007704 transition Effects 0.000 description 2
- 239000012736 aqueous medium Substances 0.000 description 1
- 125000004122 cyclic group Chemical group 0.000 description 1
- 238000010586 diagram Methods 0.000 description 1
- 239000012634 fragment Substances 0.000 description 1
- 230000004927 fusion Effects 0.000 description 1
- 230000006872 improvement Effects 0.000 description 1
- 238000009434 installation Methods 0.000 description 1
- 238000005259 measurement Methods 0.000 description 1
- 229910052751 metal Inorganic materials 0.000 description 1
- 239000002184 metal Substances 0.000 description 1
- 150000002739 metals Chemical class 0.000 description 1
- 229910052759 nickel Inorganic materials 0.000 description 1
- PXHVJJICTQNCMI-UHFFFAOYSA-N nickel Substances [Ni] PXHVJJICTQNCMI-UHFFFAOYSA-N 0.000 description 1
- 230000010363 phase shift Effects 0.000 description 1
- 230000035945 sensitivity Effects 0.000 description 1
- XLYOFNOQVPJJNP-UHFFFAOYSA-N water Substances O XLYOFNOQVPJJNP-UHFFFAOYSA-N 0.000 description 1
- 238000003466 welding Methods 0.000 description 1
- 238000004804 winding Methods 0.000 description 1
Images
Landscapes
- Apparatuses For Generation Of Mechanical Vibrations (AREA)
Abstract
Изобретение относится к ультразвуковой технике, а именно к колебательным системам, и может быть использовано как при разработке акустических систем различного технологического назначения, так и в существующем ультразвуковом оборудовании, созданном на базе преобразователей разных типов. Техническим результатом изобретения является повышение КПД и удельной акустической мощности. При использовании этой системы для обработки жидких сред происходит улучшение кавитационной способности жидкости. Ультразвуковая колебательная система технологического назначения включает преобразователь, трансформатор колебаний, излучающий инструмент. При этом она содержит, по крайней мере, два трансформатора, усиливающие упругие колебания и имеющие длину, кратную λ/2, где λ - длина продольной волны в материале волновода, причем, по крайней мере, трансформатор второй ступени изготовлен из титанового сплава с субмикрокристаллической структурой и выполнен в виде ступенчатого вдоль продольной оси цилиндрического стержня с полостью, расположенной соосно стержню и уменьшающей площадь его выходного сечения, и излучающий инструмент, выполненный из титанового сплава с субмикрокристаллической структурой. 6 з.п. ф-лы, 4 ил.
Description
Изобретение относится к ультразвуковой технике, а именно к колебательным системам, и может быть использовано как при разработке акустических систем различного технологического назначения, так и в существующем ультразвуковом оборудовании, созданном на базе преобразователей разных типов.
Известный ультразвуковой преобразователь (RU 41648, В06В 1/00, опубл. 2004.11.10)[1] содержит волновод в виде цилиндра длиной, равной λ/2, который соединен с трансформатором продольных колебаний; трансформатор поперечных колебаний; в виде четырехугольной призмы, на основаниях которой установлен рабочий орган, две боковые поверхности соединены с волноводом, а через центры двух других боковых поверхностей выполнено отверстие, ось которого перпендикулярна оси волновода и находится на расстоянии λ/8 от торца волновода, при этом длина призмы равна λ/7, λ - длина волны в материале волновода.
Недостатком известного ультразвукового преобразователя является недостаточно высокая удельная акустическая мощность. Также к недостаткам известного ультразвукового преобразователя можно отнести невысокую амплитуду колебаний рабочего органа и недостаточный ресурс работы.
Наиболее близким аналогом является устройство для ультразвуковых технологических комплектов (RU 41649, В06В 3/00, опубл. 10.11.2004) [2], который содержит ступенчатый концентратор продольных колебаний, выполненный из титанового сплава, соединенный с ним активный элемент в виде набора О-образных пластин из магнитострикционного сплава, имеет на торце стяжки из титанового сплава, кроме того, ступенчатый концентратор продольных колебаний соединен с активным элементом посредством сварки оплавления.
Это известное устройство для ультразвуковых технологических комплектов также обладает невысокой удельной акустической мощностью. Недостатками известного устройства для ультразвуковых технологических комплектов также являются невысокая амплитуда колебаний ступенчатого концентратора продольных колебаний, недостаточный ресурс работы.
Задачей предлагаемого изобретения является разработка ультразвуковой колебательной системы технологического назначения с повышенным КПД и высокой удельной акустической мощностью. При использовании этой системы для обработки жидких сред происходит улучшение кавитационной способности жидкости.
Указанный технический результат достигается тем, что ультразвуковая колебательная система технологического назначения включает преобразователь, трансформатор колебаний и излучающий инструмент.
Новым является то, что она содержит, по крайней мере, два трансформатора, усиливающие упругие колебания и имеющие длину, кратную λ/2, где λ - длина продольной волны в материале волновода, причем, по крайней мере, трансформатор второй ступени изготовлен из титанового сплава с субмикрокристаллической структурой и выполнен в виде ступенчатого вдоль продольной оси цилиндрического стержня с полостью, расположенной соосно стержню и уменьшающей площадь его выходного сечения, и излучающий инструмент, выполненный из титанового сплава с субмикрокристаллической структурой.
Колебательная система содержит преобразователь либо магнитострикционный, либо пьезокерамический.
В колебательной системе трансформаторы колебаний и излучающий инструмент соединены между собой посредством шпильки, выполненной из титанового сплава с субмикрокристаллической структурой.
В колебательной системе в качестве титанового сплава с субмикрокристаллической структурой используют титан марки ПТ-3В.
В колебательной системе длина второй ступени и длина полости трансформатора должны быть одинаковыми и кратными λ/4.
В колебательной системе радиус полости трансформатора не превышает значения 0.7 от величины радиуса выходного сечения трансформатора.
В колебательной системе полость трансформатора имеет с внутреннего конца сферическую форму с чистотой обработки поверхности полости Ra не более 1.25 мкм.
Для обоснования предполагаемых технических результатов по повышению КПД и высокой удельной мощности рассмотрим основные акустические параметры ультразвуковой колебательной системы технологического назначения, которые обеспечивают заданные характеристики технологического процесса - это частота, амплитуда колебаний (удельная акустическая мощность), площадь рабочей поверхности излучающего инструмента.
Для процессов, связанных с кавитационной активностью жидкости, и для интенсификации технологических процессов в жидких средах известно оптимальное значение удельной акустической мощности, например для водных сред составляет ωa=1,5…2,0 Вт/см2. Этому значению удельной акустической мощности соответствует амплитуда колебательной скорости на поверхности излучателя 0,2 м/с [4].
Условия работы при излучении в среду характеризуются заданной площадью излучения и удельной акустической мощностью, которая определяется для заданного технологического процесса. Заданному значению удельной акустической мощности соответствует определенная амплитуда колебательных смещений.
Сопротивлением нагрузки называют отношение мгновенных значений силы и скорости. При гармонических колебаниях с учетом сдвига фаз это отношение имеет активную и реактивную компоненты:
Реактивная составляющая Хн приводит к изменению частоты резонанса, активная составляющая RH связана со снижением амплитуды колебательной скорости. В линейном приближении, т.е. в случае, когда сила F(t) и скорость v(t) изменятся по гармоническому закону и амплитуда силы пропорциональна амплитуде колебательной скорости, акустическая мощность, излучаемая в нагрузку, пропорциональна произведению активной составляющей сопротивления нагрузки на квадрат амплитуды колебательной скорости:
где vm - амплитуда колебательной скорости.
Как известно, при малой амплитуде колебаний реактивная составляющая при излучении в воду представляет собой присоединенную массу. С увеличением амплитуды до 1-3 мкм реактивная составляющая уменьшается до нуля. Установлено, что акустическая мощность, излучаемая в жидкость, растет с увеличением амплитуды колебательной скорости. Полная акустическая мощность
где S - площадь излучающей поверхности;
ωa(ξmн) - удельная акустическая мощность, излучаемая в жидкую технологическую среду.
Амплитуда колебаний при заданной величине напряжения на входе преобразователя:
где A - значение определяется выбором конструкции преобразователя;
g=l-1 для пьезокерамического преобразователя;
g=(2πfNS2)2 для магнитострикционного преобразователя,
где f - частота; N - количество витков обмотки возбуждения; S2 - площадь поперечного сечения магнитопровода; Um - напряжение на входе преобразователя; RМ.П - сопротивление механических потерь преобразователя; RH - сопротивление нагрузки; l - толщина пьезоэлемента.
При малых уровнях амплитуды входного напряжения чувствительность преобразователя можно считать величиной постоянной, что соответствует линейной зависимости амплитуды колебаний от амплитуды напряжения на входе. Однако существует предел увеличения амплитуды колебаний для данной конструкции ультразвукового преобразователя. Предельная амплитуда ξmax является основным параметром, характеризующим работу преобразователя при больших уровнях входной мощности. В зависимости от типа преобразователя, выбранного материала и характера нагрузки ограничивающими факторами могут быть: усталостная прочность, нелинейность магнитных и магнитострикционных характеристик, степень допустимого нагрева преобразователя.
Для магнитострикционных преобразователей технологического назначения предельная амплитуда, наряду с усталостной прочностью элементов конструкции (волноводы и инструмент), ограничивается магнитным насыщением.
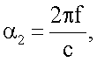
Пример расчета [4] максимальной амплитуды колебательных смещений магнитострикционного преобразователя, набранного из пластин ПП-40 сплава 49КФ. Частота f=22 кГц; l1=13 мм; q=1,54; γH=0,1; Q=140 (см. табл.2).
По формуле
найдем α1=2,129 и, подставляя значения параметров в формулу (5), получаем
Таким образом, расчет показывает, что на магнитострикционном пакете можно получить, в зависимости от его конструкции и применяемого материала, максимальную амплитуду не выше 3-5 мкм. Измерения магнитострикционных пакетов на частоту 22 кГц с набором пластин 24×24; 35×35; 35×60 подтверждают расчетную величину амплитуды. Поэтому для повышения амплитуды инструмента, его удельной акустической мощности необходимо применять трансформаторы упругих колебаний, например, в виде ступенчатых волноводов.
Одним из основных факторов, ограничивающих допустимую амплитуду колебаний или допустимую мощность волноводов, является усталостная прочность материала. Допустимая амплитуда колебаний определяется надежностью ультразвуковых преобразователей и волноводов, которая характеризуется длительностью непрерывной работы преобразователя в заданном режиме до момента его усталостного разрушения. Известно, что одновременно с ростом амплитуды колебаний пропорционально увеличивается амплитуда напряжений в пучности деформаций. Введенный Эйснером фактор формы φ позволил связать амплитуду колебательной скорости на конце волновода vm с амплитудой напряжений в пучности деформаций σm через волновое сопротивление материала ρc:
где ρ - плотность материала волновода, с - скорость звука в материале волновода.
Величина φ, называемая фактором формы, является безразмерным параметром, зависящим только от соотношения определенных размеров. Поскольку максимальное значение σm не может быть больше значения усталостной прочности для данного материала, то, подставляя в уравнение (6) вместо σm величину усталостной прочности σmax, для данной конструкции преобразователя получим
где Е - модуль Юнга; с - скорость звука.
Изобретение иллюстрируется фиг.1-4.
На фиг.1 приведена зависимость удельной акустической мощности от амплитуды ξmн колебаний излучающего инструмента под нагрузкой [4].
На фиг.2 приведена усталостная кривая, полученная для различных материалов [5] на частоте f=20 кГц, где
1 - титановый сплав ОТ4-1; 2 - сталь 45; 3 - сплав Д16Т; 4 - пермендюр 49КФ; 5 - никель Н-2. Штриховой линией изображена усталостная прочность стали 45 на частоте f=16 Гц. Найденная зависимость справедлива при постоянной температуре; при нагреве образца циклическая прочность снижается.
Как видно из фиг.2, располагая данными по усталости материалов, можно определить допустимую амплитуду ультразвуковых напряжений при заданной длительности или определить длительность при заданной амплитуде ультразвуковых напряжений.
Титановые сплавы с субмикрокристаллической структурой, в частности, марки ПТ-3В имеют повышенную усталостную прочность. Характерный размер элементов (зерен, субзерен, фрагментов) титана с УМЗ структурой не должен превышать 1.0 мкм.
На фиг.3 изображена схема ультразвуковой колебательной системы, где
1 - магнитострикционный преобразователь; 2 - трансформатор упругих колебаний (первая ступень); 3 - трансформатор упругих колебаний (вторая ступень); 4 - излучающий инструмент, выполненный из титанового сплава с субмикрокристаллической структурой (соединительные шпильки не изображены).
На фиг.4 схематично изображен трансформатор упругих колебаний 3 (вторая ступень), выполненный из титанового сплава с субмикрокристаллической структурой в виде ступенчатого вдоль продольной оси цилиндрического стержня с полостью (5), расположенной соосно стержню, где L - расстояние между плоскостью перехода одной ступени трасформатора в другую и плоскостью внутреннего конца полости.
Исследования, выполненные авторами изобретения, показали, что волноводы из титанового сплава ПТ-3В с субмикрокристаллической структурой имеют существенные преимущества по основным характеристикам перед волноводами из крупнокристаллического сплава, в частности по ресурсу работы - на два порядка, по максимальной амплитуде - в несколько раз и по допустимой подводимой мощности - в 1,5-2,0 раза. Такое существенное улучшение характеристик волноводов даже при увеличении стоимости заготовок субмикрокристаллического сплава ПТ-3В в 2 раза по сравнению с крупнокристаллическим сплавом обеспечит высокую конкурентоспособность разрабатываемых волноводов.
Заявляемая ультразвуковая колебательная система технологического назначения, включающая преобразователь, который может быть либо магнитострикционным, либо пьезокерамическим; по крайней мере, два трансформатора скоростей и излучающий инструмент, имеет важную отличительную особенность в том, что трансформатор, по крайней мере, второй ступени с большим коэффициентом усиления изготовлен из титанового сплава с субмикрокристаллической структурой, в частности из титанового сплава ПТ-3В, превышающего механические характеристики известных высокопрочных металлов и сплавов с макроструктурой.
Выполнение трансформатора второй ступени в виде ступенчатого вдоль продольной оси цилиндрического стержня с полостью, расположенной соосно стержню и уменьшающей площадь его выходного сечения, что дополнительно увеличивает коэффициент усиления колебаний.
Соединение трансформаторов между собой и с излучающим инструментом осуществляется посредством шпилек, выполненных из титанового сплава с субмикрокристаллической структурой. Это позволяет при соединении трансформаторов и инструмента применить высокое усилие закручивания и тем самым обеспечить плотный акустический контакт с очень малыми потерями энергии на нагрев, кроме того, увеличивается ресурс работы шпилечного соединения. Трансформатор упругих колебаний первой ступени выполнен из обычного материала длиной, кратной λ/2, а излучающий инструмент выполняется из титанового сплава с субмикрокристаллической структурой, что повышает КПД, удельную мощность системы и при этом повышается ее ресурс работы.
В трансформаторе второй ступени расстояние между плоскостью перехода одной ступени в другую и плоскостью внутреннего конца полости должно быть кратным λ/2 и составлять не менее 1/3 длины полости трансформатора. Эти конструктивные особенности необходимы для усиления амплитуды колебаний и сохранения прочностных характеристик трансформатора
В трансформаторе второй ступени радиус полости не превышает значения 0.7 от величины радиуса выходного сечения трансформатора. Это тот допустимый предел, который позволяет оптимизировать оптимальное сочетание уменьшения площади выходного сечения трансформатора и прочности его конструкции.
В колебательной системе полость трансформатора второй ступени имеет с внутреннего конца сферическую форму с чистотой обработки поверхности полости Ra не более 1.25 мкм. Это позволяет уменьшить концентрацию механических напряжений, возникающих на неровностях поверхности.
Ультразвуковая колебательная система работает следующим образом.
В преобразователе 1 (активном элементе колебательной системы) создается знакопеременная механическая сила. Трансформаторы упругих колебаний 2, 3 осуществляют согласование механического сопротивления внешней нагрузки и внутреннего сопротивления активного элемента, а также обеспечивают нужную амплитуду колебаний. Излучатель создает ультразвуковое поле в обрабатываемом объекте или непосредственно воздействует на него. Получение при этом амплитуды колебаний не менее 100 мкм обеспечивает высокую удельную мощность системы.
Источники информации
1. Патент РФ №41648, В06В 1/00, опубл. 2004.11.10.
2. Патент РФ №41649, В06В 3/00, опубл. 10.11.2004.
3. Китайгородский Ю.И., Яхимович Д.Ф. Инженерный расчет ультразвуковых колебательных систем. - М.: Машиностроение, 1982, 56 с.
4. Казанцев В.Ф. Расчет ультразвуковых преобразователей для технологических установок. - М.: Машиностроение, 1980, 44 с.
5. Усталостная прочность материалов и элементов конструкций при звуковых и ультразвуковых частотах нагружения. Киев, Наукова думка, 1977, 250 с.
Claims (7)
1. Ультразвуковая колебательная система технологического назначения, включающая преобразователь, трансформатор колебаний, излучающий инструмент, отличающаяся тем, что она содержит, по крайней мере, два трансформатора, усиливающие упругие колебания и имеющие длину, кратную λ/2, где λ - длина продольной волны в материале волновода, причем, по крайней мере, трансформатор второй ступени изготовлен из титанового сплава с субмикрокристаллической структурой и выполнен в виде ступенчатого вдоль продольной оси цилиндрического стержня с полостью, расположенной соосно со стержнем и уменьшающей площадь его выходного сечения, и излучающий инструмент, выполненный из титанового сплава с субмикрокристаллической структурой.
2. Колебательная система по п.1, отличающаяся тем, что преобразователь может быть магнитострикционный или пьезокерамический.
3. Колебательная система по п.1, отличающаяся тем, что трансформаторы колебаний и излучающий инструмент соединены между собой посредством шпильки, выполненной из титанового сплава с субмикрокристаллической структурой.
4. Колебательная система по п.1 или 3, отличающаяся тем, что в качестве титанового сплава с субмикрокристаллической структурой используют титан марки ПТ-3В.
5. Колебательная система по п.1, отличающаяся тем, что длина второй ступени и длина полости трансформатора должны быть одинаковыми и кратными λ/4.
6. Колебательная система по п.1, отличающаяся тем, что радиус полости трансформатора не превышает значения 0,7 величины радиуса выходного сечения трансформатора.
7. Колебательная система по любому из пп.1, или 5, или 6, отличающаяся тем, что полость трансформатора имеет с внутреннего конца сферическую форму с чистотой обработки поверхности полости Ra не более 1,25 мкм.
Priority Applications (1)
| Application Number | Priority Date | Filing Date | Title |
|---|---|---|---|
| RU2008137336/28A RU2384373C1 (ru) | 2008-09-17 | 2008-09-17 | Ультразвуковая колебательная система |
Applications Claiming Priority (1)
| Application Number | Priority Date | Filing Date | Title |
|---|---|---|---|
| RU2008137336/28A RU2384373C1 (ru) | 2008-09-17 | 2008-09-17 | Ультразвуковая колебательная система |
Publications (1)
| Publication Number | Publication Date |
|---|---|
| RU2384373C1 true RU2384373C1 (ru) | 2010-03-20 |
Family
ID=42137308
Family Applications (1)
| Application Number | Title | Priority Date | Filing Date |
|---|---|---|---|
| RU2008137336/28A RU2384373C1 (ru) | 2008-09-17 | 2008-09-17 | Ультразвуковая колебательная система |
Country Status (1)
| Country | Link |
|---|---|
| RU (1) | RU2384373C1 (ru) |
Cited By (2)
| Publication number | Priority date | Publication date | Assignee | Title |
|---|---|---|---|---|
| RU2473400C2 (ru) * | 2011-08-10 | 2013-01-27 | Общество с ограниченной ответственностью "Центр ультразвуковых технологий" | Ультразвуковая колебательная система |
| RU2759639C1 (ru) * | 2020-11-27 | 2021-11-16 | федеральное государственное бюджетное образовательное учреждение высшего образования "Самарский государственный технический университет" | Устройство для монтажа контактных штырей на печатные платы |
Citations (4)
| Publication number | Priority date | Publication date | Assignee | Title |
|---|---|---|---|---|
| SU633615A1 (ru) * | 1977-02-14 | 1978-11-25 | Московский Ордена Ленина Авиационный Имени Имени Серго Орджоникидзе | Ультразвукова колебательна система |
| SU817809A1 (ru) * | 1978-06-26 | 1981-03-30 | Специальное Проектно-Конструкторскоеи Технологическое Бюро Малых Элект-Рических Машин Производственногообъединения "Эльфа" | Стержнева ультразвукова колеба-ТЕльНА СиСТЕМА |
| US5820011A (en) * | 1995-04-19 | 1998-10-13 | Ngk Spark Plug Co., Ltd. | Ultrasonic tool horn |
| RU2311971C1 (ru) * | 2006-07-26 | 2007-12-10 | Никольский Константин Николаевич | Акустический трансформатор |
-
2008
- 2008-09-17 RU RU2008137336/28A patent/RU2384373C1/ru not_active IP Right Cessation
Patent Citations (4)
| Publication number | Priority date | Publication date | Assignee | Title |
|---|---|---|---|---|
| SU633615A1 (ru) * | 1977-02-14 | 1978-11-25 | Московский Ордена Ленина Авиационный Имени Имени Серго Орджоникидзе | Ультразвукова колебательна система |
| SU817809A1 (ru) * | 1978-06-26 | 1981-03-30 | Специальное Проектно-Конструкторскоеи Технологическое Бюро Малых Элект-Рических Машин Производственногообъединения "Эльфа" | Стержнева ультразвукова колеба-ТЕльНА СиСТЕМА |
| US5820011A (en) * | 1995-04-19 | 1998-10-13 | Ngk Spark Plug Co., Ltd. | Ultrasonic tool horn |
| RU2311971C1 (ru) * | 2006-07-26 | 2007-12-10 | Никольский Константин Николаевич | Акустический трансформатор |
Cited By (2)
| Publication number | Priority date | Publication date | Assignee | Title |
|---|---|---|---|---|
| RU2473400C2 (ru) * | 2011-08-10 | 2013-01-27 | Общество с ограниченной ответственностью "Центр ультразвуковых технологий" | Ультразвуковая колебательная система |
| RU2759639C1 (ru) * | 2020-11-27 | 2021-11-16 | федеральное государственное бюджетное образовательное учреждение высшего образования "Самарский государственный технический университет" | Устройство для монтажа контактных штырей на печатные платы |
Similar Documents
| Publication | Publication Date | Title |
|---|---|---|
| US3368085A (en) | Sonic transducer | |
| Peshkovsky et al. | Matching a transducer to water at cavitation: Acoustic horn design principles | |
| Stanzl-Tschegg et al. | High frequency method for torsion fatigue testing | |
| Khmelev et al. | Summation of high-frequency Langevin transducers vibrations for increasing of ultrasonic radiator power | |
| Pérez-Sánchez et al. | Numerical design and analysis of a langevin power ultrasonic transducer for acoustic cavitation generation | |
| Neppiras | Very high energy ultrasonics | |
| Khmelev et al. | Ultrasonic transducer with increased exposure power and frequency up to 100 kHz | |
| Baraya et al. | Design of an electromechanical system for measuring and monitoring micro-ultrasonic amplitude of Langevin transducer | |
| WO2021208283A1 (zh) | 一种用于大型零件加工的超声振动平台及其操作工艺 | |
| RU2384373C1 (ru) | Ультразвуковая колебательная система | |
| RU2332266C1 (ru) | Ультразвуковая колебательная система | |
| Shu et al. | On the design and analysis of acoustic horns for ultrasonic welding | |
| Kudryavtsev et al. | Increasing fatigue strength of welded joints by ultrasonic impact treatment | |
| RU2141386C1 (ru) | Ультразвуковая колебательная система | |
| RU2672530C1 (ru) | Ультразвуковая колебательная система (варианты) | |
| RU94488U1 (ru) | Ультразвуковая колебательная система | |
| RU2548344C2 (ru) | Устройство для ультразвуковой обработки | |
| Khmelev et al. | Increasing of efficiency of ultrasonic vibration system work for cavitation treating of liquid | |
| RU2284228C1 (ru) | Ультразвуковая колебательная система | |
| RU2345505C2 (ru) | Ультразвуковой магнитострикционный преобразователь | |
| RU2230615C1 (ru) | Акустический стержневой преобразователь | |
| Mahdavinejad | Finite element dimensional design and modeling of an ultrasonic transducer | |
| RU2116144C1 (ru) | Магнитострикционная установка | |
| RU2248850C1 (ru) | Ультразвуковое устройство | |
| Ieiri et al. | Resonant excitation of a thin waveguide with an elliptical reflector for high-power ultrasound (ELIPS) |
Legal Events
| Date | Code | Title | Description |
|---|---|---|---|
| MM4A | The patent is invalid due to non-payment of fees |
Effective date: 20180918 |




