RU2176256C1 - Тиакраунсодержащие стириловые красители в качестве селективных сенсоров на катионы тяжелых или переходных металлов и способ их получения - Google Patents
Тиакраунсодержащие стириловые красители в качестве селективных сенсоров на катионы тяжелых или переходных металлов и способ их получения Download PDFInfo
- Publication number
- RU2176256C1 RU2176256C1 RU2000110719A RU2000110719A RU2176256C1 RU 2176256 C1 RU2176256 C1 RU 2176256C1 RU 2000110719 A RU2000110719 A RU 2000110719A RU 2000110719 A RU2000110719 A RU 2000110719A RU 2176256 C1 RU2176256 C1 RU 2176256C1
- Authority
- RU
- Russia
- Prior art keywords
- thiacrown
- group
- atom
- trans
- oar
- Prior art date
Links
Landscapes
- Heterocyclic Carbon Compounds Containing A Hetero Ring Having Nitrogen And Oxygen As The Only Ring Hetero Atoms (AREA)
- Plural Heterocyclic Compounds (AREA)
Abstract
Изобретение относится к органической химии, в частности, к новым стириловым красителям с тиакраун-эфирными фрагментами и способу их получения. Предложенные красители содержат неизвестное ранее сочетание фрагментов стирилового красителя и тиакраун-эфирных фрагментов, отличающихся по размеру полости и содержащих атомы кислорода и серы в различных сочетаниях. Благодаря своей структуре представленные соединения способны селективно связывать катионы тяжелых и переходных металлов, причем процесс комплексообразования вызывает изменения в их электронных спектрах. Эти свойства обеспечивают возможность их использования в оптических сенсорах на ртуть с целью их применения в промышленности или при мониторинге окружающей среды. Способ получения отличается простотой и дает возможность получать ранее не описанные соединения нового типа, широкого ассортимента и с хорошими выходами. 2 с.п. ф-лы.
Description
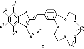
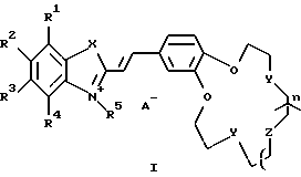
Изобретение относится к органической химии, а именно к новому типу соединений общей формулы I:
где R1 - R4 - атом водорода, низший алкил, арильная группа, R3, R4 вместе составляют C4H4-бензогруппу, алкоксильная группа, диалкиламиногруппа, ациламиногруппа, атом галогена,
R5 - низший алкил, сульфоалкильная, карбоксиалкильная, фосфонатоалкильная, тиоцианатоалкильная, цианоалкильная группы,
X - атом серы, атом селена, атом кислорода, группа C(CH3)2, группа CH= CH,
Y и Z - атом кислорода, атом серы, при условии, что в состав макроцикла входят атомы серы в различных комбинациях с атомами кислорода;
n = 0-3,
A = Cl, Br, I, ClO4, BF4, TsO
и к способу их получения.
где R1 - R4 - атом водорода, низший алкил, арильная группа, R3, R4 вместе составляют C4H4-бензогруппу, алкоксильная группа, диалкиламиногруппа, ациламиногруппа, атом галогена,
R5 - низший алкил, сульфоалкильная, карбоксиалкильная, фосфонатоалкильная, тиоцианатоалкильная, цианоалкильная группы,
X - атом серы, атом селена, атом кислорода, группа C(CH3)2, группа CH= CH,
Y и Z - атом кислорода, атом серы, при условии, что в состав макроцикла входят атомы серы в различных комбинациях с атомами кислорода;
n = 0-3,
A = Cl, Br, I, ClO4, BF4, TsO
и к способу их получения.
Указанный тип соединений, их свойства и способ получения в литературе не описаны. Заявляемый новый тип соединений имеет структуру, не относящуюся ни к одной из известных структур. Полученные соединения содержат неизвестное ранее сочетание таких типов связей, совокупность которых составляют фрагменты стирилового красителя и тиакраун-эфиров, отличающихся по размеру полости и содержащих атомы кислорода и серы в различных сочетаниях, что позволяет отнести эти соединения к новому типу красителей.
Известны катионные красители стирилового ряда [Гордон П., Грегори П., "Органическая химия красителей", М.: Мир, 1987, 344; Фикен Г.Е., Цианиновые красители. В кн. Химия синтетических красителей. Под ред. Венкатарамана К., т. 4, Л: Химия, 1975, 207; Berlin L., Reister О., "Methoden zur Herstellung von Cyaninen (Polymethinen)", In "Methoden der Organischen Chemie", Edn. Miller E, B. 5/1d, Georg Thieme Verlag, Stuttgart, 1972, 227], особенностью строения которых является наличие четвертичного гетероциклического ядра, связанного посредством двойной углерод-углеродной связи с замещенным бензольным ядром. Эти красители не способны к комплексообразованию с катионами металлов.
Известны тиакраун-соединения различного строения [C.J. Pedersen, J. Am. Chem. Soc. , 1967, 89, 2495; М.Г. Воронков, В.И. Кнутов, Журн. всесоюз. химич. общ. , 1985, 30, 535; А.Ю. Назаренко, В.В. Сухан, В.М. Тимошенко, В.Н. Калинин, Журн. неорган. химии, 1990, 35, 2971; W. Rosen, D.H. Busch, J. Am. Chem. Soc, 1969, 91, 4694; J. Buter and R.М. Kellogg, J. Org. Chem., 1981, 46, 4481; B.de Groot, G.R. Giesbrecht, S.J. Loeb and G.K.H. Shimizu, J.Inorg. Chem. , 1991, 30, 177], для которых обнаружена способность к связыванию катионов тяжелых и переходных металлов и отсутствие поглощения в видимой области спектра.
Предложены краунсодержащие стириловые красители, в макрогетероцикле которых присутствуют только атомы кислорода [Громов С.П., Федорова О.А., Фомина М.В., Алфимов М.В., Патент 2012574 РФ, Бюлл. изоб, 1994, N 9]. Для них характерна выраженная способность к селективному комплексообразованию с катионами щелочных и щелочноземельных металлов, но отсутствует способность к связыванию катионов тяжелых и переходных металлов.
Целью изобретения является новый тип соединений - тиакраунсодержащие стириловые красители, имеющие в своем составе фрагмент краун-эфира с различной комбинацией атомов кислорода и серы, доказательство их строения, изучение их свойств и разработка способа получения целевых продуктов.
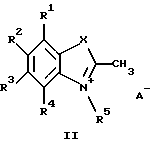
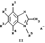
Поставленная цель достигается структурой заявляемого нового типа стириловых красителей общей формулы I и способом их получения, заключающимся в том, что четвертичные соли гетероциклических оснований общей формулы II
где R1 - R5, X и A имеют указанные значения, подвергаются взаимодействию с формильными производными бензотиакраун-эфиров общей формулы III
где n, Y и Z имеют указанные значения. Процесс проводят в среде органического растворителя, например, спирта, в присутствии оснований, таких как пиридин, пиперидин, триэтиламина (или без них) при температурах 20- 140oC.
где R1 - R5, X и A имеют указанные значения, подвергаются взаимодействию с формильными производными бензотиакраун-эфиров общей формулы III
где n, Y и Z имеют указанные значения. Процесс проводят в среде органического растворителя, например, спирта, в присутствии оснований, таких как пиридин, пиперидин, триэтиламина (или без них) при температурах 20- 140oC.
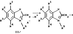
Конденсация указанных четвертичных солей гетероциклических оснований II с формильными производными бензотиакраун-эфиров III до настоящего времени не была известна. В литературе известны лишь примеры образования краунсодержащих стириловых красителей, в макрогетероцикле которых присутствуют только атомы кислорода.
Согласно предлагаемому способу синтез тиакраунсодержащих стириловых красителей I осуществляют конденсацией под действием оснований активированной в четвертичных солях гетероциклических оснований II метильной группы с карбонильной группой формильных производных бензотиакраун-эфиров III с образованием двойной углерод-углеродной связи.
Строение полученных соединений доказано с помощью ЯМР 1H и УФ-спектроскопии, а также данными элементного анализа. Чистоту полученных соединений контролировали тонкослойной хроматографией и с помощью жидкостной хроматографии высокого давления.
Синтезированные красители указанного строения I имеют глубокую и интенсивную окраску в области 420-450 нм, которая связана со способностью электронной пары атома кислорода краун-эфирного фрагмента, находящегося в пара-положении к двойной связи, участвовать в сопряжении с кватернизованным гетероциклическим ядром.
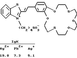
При исследовании свойств полученных соединений была обнаружена высокая чувствительность электронной структуры красителя к комплексообразованию тиакраун-эфирным фрагментом. При добавлении в раствор указанных тиакраунсодержащих красителей в органическом растворителе или в воде солей свинца, ртути, серебра, никеля, кадмия, меди наблюдается гипсохромный сдвиг длинноволновой полосы поглощения до 30 нм, а также гипсофлорный сдвиг в спектрах флуоресценции до 20 нм. Наблюдаемые изменения в электронных спектрах связаны с комплексообразованием красителя с ионом металла, проходящим по тиакраун-эфирному фрагменту молекулы. Заявляемый новый тип красителей проявляет высокую селективность к катионам тяжелых и переходных металлов. Так, добавление в раствор указанных соединений солей щелочных и щелочноземельных металлов не вызывает изменений в электронных спектрах молекул, что свидетельствует об отсутствии комплексообразования с данными катионами металлов. Измеренные с помощью методов спектрофотометрического титрования и полярографии константы устойчивости комплексов указывают на большую прочность комплексов с катионами ртути по сравнению с катионами других металлов. Например, для красителя ряда бензотиазола, содержащего бензодитиа-18-краун-6 эфирный фрагмент, получены следующие значения констант стабильности комплексов (lg К):
Обнаруженные нами свойства полученных соединений I обуславливают возможность их использования, например, при конструировании оптических сенсоров для промышленного применения и мониторинга окружающей среды.
Обнаруженные нами свойства полученных соединений I обуславливают возможность их использования, например, при конструировании оптических сенсоров для промышленного применения и мониторинга окружающей среды.
Пример 1. Бетаин 2-[2-(4,7-дитиа-2,3,5,6,8,9-гексагидро- 1,10-бензодиоксацикло-додецин-12-ил)этенил]-3-(4- сульфобутил)бензотиазолия.
В колбе с обратным холодильником смешивают 0.028 г (0.10 ммоля) бетаина 2-метил-3-(4- сульфобутил)бензотиазолия, 0.031 г (0.11 ммоля) 4'-формилбензодитиа-12-краун-4-соединения, 2 мл абс. этанола и 0.2 мл сухого пиридина. Реакционную смесь кипятят в течение 30 ч, охлаждают, осадок отфильтровывают и перекристаллизовывают из 2.5 мл метанола. Получают 0.043 г (80%) красителя, т.пл. 262-264oC.
Спектр ЯМР 1H (в ДМСО-d6, 70oC): 1.93 (м, 2H, H2); 2.14 (м, 2H, CH2); 2.68 (т, 2H, CH2SO3 -, J=6.3 Гц); 2.95 (м, 4H, 2CH2S); 3.01 (с, 4H, 2CH2S); 4.43 (м, 2H, CH2OAr); 4.59 (м, 2H, CH2OAr); 4.96 (м, 2H, CH2N); 7.09 (д, 1H, H(5'), J= 8.3 Гц); 7.54 (д, 1H, H(6'), J= 8.3 Гц); 7.76, 7.84 (2 м, 2H, H(5), H(6)); 8.01 (с, 1H, H(2')); 8.11 (д, 1H, H(а), 3Jтранс = 15.7 Гц); 8.20 (д, 1H, H(b), 3Jтранс = 15.7 Гц); 8.30, 8.36 (2 д, 2H, H(4), H(7), J= 8.8 Гц, J= 8.1 Гц).
Найдено, %: C 53.27; H 5.32; N 2.46. C25H29NO5S4•H2O.
Вычислено, %: C 52.70; H 5.48; N 2.46.
Пример 2. Перхлорат 2-[2-(4,7-дитиа-2,3,5,6,8,9-гексагидро-1,10- бензодиоксацикло-додецин-12-ил)этенил]-3-метилбензотиазолия.
В колбе с обратным холодильником смешивают 0.034 г (0.12 ммоля) йодида 2,3-диметилбензотиазолия, 0.036 г (0.13 ммоля) 4'-формилбензодитиа-12-краун-4-соединения, 2 мл абс. этанола и 0.2 мл сухого пиридина. Реакционную смесь кипятят в течение 30 ч, охлаждают, осадок отфильтровывают, при нагревании растворяют в 2.5 мл метанола, добавляют три капли 57%-ной хлорной кислоты. Раствор охлаждают, выпавший осадок отфильтровывают, промывают охлажденным метанолом, высушивают. Получают 0.047 г (76%) красителя, т.пл. 148-151oC.
Спектр ЯМР 1H (в CD3CN, 25oC): 2.99 (м, 4H, 2 CH2S); 3.04 (с, 4H, 2CH2S); 4.25 (с, 3H, CH3); 4.43 (м, 2H, CH2OAr); 4.48 (м, 2H, CH2OAr); 7.05 (д, 1H, H(5'), J= 8.3 Гц); 7.48 (д, 1H, H(6'), J= 8.3 Гц); 7.49 (с, 1H, H(2')); 7.56 (д, 1H, H(а), 3Jтранс = 15.7 Гц); 7.78, 7.87 (2 м, 2H, H(5), H(6)); 8.04 (д, 1H, H(b), 3Jтранс= 15.7 Гц); 8.02, 8.20 (2 д, 2H, H(4), H(7), J = 8.5 Гц, J = 8.0 Гц).
Найдено, %: N 2.42.
C22H24ClNO6S3•H2O.
Вычислено, %: N 2.56.
Пример 3. Перхлорат 2-[2-(4,10-дитиа-2,3,5,6,8,9,11,12- октагидро-1,7,13-бензотриоксациклопентадецин-15-ил)этенил]-3- метилбензотиазолия.
Получен аналогично примеру 2 из йодида 2,3-диметилбензотиазолия и 4'-формилбензодитиа-15-краун-5-соединения с выходом 71%, т. пл. 129-130oC.
Спектр ЯМР 1H (в CD3CN, 26oC): 2.95 (м, 4H, 2CH2S); 3.10 (м, 2H, CH2S); 3.13 (м, 2H, CH2S); 3.78 (м, 4H, 2CH3O); 4.24 (с, 3H, CH3); 4.35 (м, 2H, CH2OAr); 4.37 (м, 2H, CH2OAr); 7.09 (д, 1H, H(5'), J=8.8); 7.49 (м, 2H, H(6'), H(2')); 7.56 (д, 1H, H(а), 3Jтранс = 15.7); 7.78, 7.87 (2 м, 2H, H(5), H(6)); 8.02, 8.20 (2 д, 2H, H(7), H(4), J = 8.0 Гц); 8.05 (д, 1H, H(b), 3Jтранс = 15.7 Гц).
Найдено, %: C 50.24; H 4.93; N 2.64.
C24H28ClNO7S3.
Вычислено, %: C 50.21; H 4.92; N 2.44.
Пример 4. Бетаин 2-[2-(4,10-дитиа- 2,3,5,6,8,9,11,12-октагидро-1,7,13-бензотриокса-циклопентадецин-15 -ил)этенил]-3-(4-сульфобутил)бензотиазолия.
Получен аналогично примеру 1 из бетаина 2-метил-3-(4-сульфобутил)бензотиазолия и 4'-формилбензодитиа-15-краун-5-соединения с выходом 65%, т. пл. 270-272oC.
Спектр ЯМР 1H (в ДМСО-d6, 60oC): 1.91 (м, 2H, CH2); 2.11 (м, 2H, CH2); 2.67 (т, 2H, CH2SO3 -, J= 6.5 Гц); 2.90 (м, 4H, 2CH2S); 3.07 (м, 4H, 2CH2S); 3.73 (м, 4H, 2CH2O); 4.33 (м, 2H, CH2OAr); 4.45 (м, 2H, CH2OAr); 4.95 (м, 2H, CH2N); 7.12 (д, 1H, H(5'), J= 8.3 Гц); 7.56 (д, 1H, H(6'), J=8.3 Гц); 7.76, 7.84 (2 м, 2H, H(5), H(6)); 7.96 (c, 1H, H(2')); 8.11 (д, 1H, H(a), 3Jтранс = 15.6 Гц); 8.19 (д, 1H, H(b), 3Jтранс = 15.6 Гц); 8.30, 8.37 (2 д, 2H, H(4), H(7), J= 8.5 Гц, J=8.0 Гц).
Найдено, %: C 54.31; H 5.63; N 2.37.
C27H33NO6S4.
Вычислено, %: C 54.43; H 5.58; N 2.35.
Пример 5. Перхлорат 2-[2-(4,13-дитиа-2,3,5,6,8,9,11,12,14,15- декагидро-1,7,10,16-бензотетраоксациклооктадецин-18-ил)этенил] -3- метилбензотиазолия.
Получен аналогично примеру 2 из йодида 2,3-диметилбензотиазолия и 4'-формилбензодитиа-18-краун-6-соединения с выходом 65%, т. пл. 232-233oC.
Спектр ЯМР 1H (в CD3CN, 25oC): 2.95 (м, 4H, 2CH2S); 3.11 (т, 2H, CH2S, J= 6.4 Гц); 3.16 (т, 2H, CH2S, J=6.7 Гц); 3.59 (с, 4H, 2CH2О); 3.71 (м, 4H, 2CH2O); 4.25 (с, 3H, CH3); 4.31 (м, 4H, 2CH2OAr); 7.08 (д, 1H, H(5'), J=8.3 Гц); 7.47 (д, H, H(6'), J=8.3 Гц); 7.49 (с, H, H(2')); 7.56 (д, 1H, H(а), 3Jтранс = 15.7 Гц); 7.77, 7.87 (2 м, 2H, H(5), H(6)); 8.04 (д, 1H, H(b), 3Jтранс = 15.7 Гц); 8.02, 8.20 (2 д, 2H, H(4), H(7), J=8.4 Гц, J=8.0 Гц).
Hайдено, %: C 50.48; H 5.27; N 1.96.
C26H32ClNO8S3.
Вычислено, %: C 50.52; H 5.22; N 2.27.
Пример 6. Бетаин 2-[2-(4,13-дитиа-2,3,5,6,8,9,11,12,14,15-декагидро-1,7,10,16- бензотетраоксациклооктадецин-18-ил)этенил] -3-(4- сульфобутил)бензотиазолия.
Получен аналогично примеру 1 из бетаина 2-метил-3-(4-сульфобутил)бензотиазолия и 4'-формилбензодитиа-18- краун-6-соединения с выходом 74%, т. пл. 270-272oC. Спектр ЯМР 1H (в ДМСО-d6, 60oC): 1.90 (м, 2H, CH2); 2.10 (м, 2H, CH2); 2.65 (т, 2H, CH2SO3 -); 2.85 (т, 2H, CH2S, J= 5.9 Гц); 2.97 (т, 2H, CH2S, J= 6.9 Гц); 3.04 (т, 2H, CH2S, J= 5.9 Гц); 3.12 (т, 2H, CH2S); 3.55 (с, 4H, 2CH2O); 3.63 (т, 2H, CH2O, J= 6.9 Гц); 3.70 (т, 2H, CH2O, J= 5.9 Гц); 4.26 (т, 2H, CH2OAr, J= 6.7 Гц); 4.40 (т, 2H, CH2OAr); 4.95 (м, 2H, CH2N); 7.13 (д, 1H, H(5'), J= 8.5 Гц); 7.59 (д, 1H, H(6'), J= 8.5 Гц); 7.76, 7.84 (2 м, 2H, H(5), H(6)); 7.89 (c, 1H, H(2')); 8.13 (м, 2H, H(a), H(b)); 8.31, 8.37 (2 д, 2H, H(4), H(7), J=8.3 Гц, J=8.1 Гц).
Найдено, %: C 54.29; H 5.69; N 2.01.
C29H37NO7S4.
Вычислено, %: C 54.43; H 5.83; N 2.19.
Пример 7. Перхлорат 2-[2-(4,7,10,13-тетратиа-2,3,5,6,8,9,11,12,14,15-декагидро-1,16- бензодиоксациклооктадецин-18-ил)этенил] -3-метилбензотиазолия.
Получен аналогично примеру 2 из йодида 2,3-диметилбензотиазолия и 4'-формилбензотетратиа-18-краун-6-соединения с выходом 60%, т.пл. 186-188oC.
Спектр ЯМР 1H (в ДМСО-d6, 27oC): 2.88 (м, 6H, 3CH2S); 3.02 (м, 6H, 3CH2S); 3.10 (т, 2H, CH2S, J=4.7 Гц); 3.14 (т, 2H, CH2S, J=4.8 Гц); 4.35 (м, 7H, CH3, 2CH2OAr); 7.18 (д, 1H, H(5'), J= 8.5 Гц); 7.64 (д, 1H, H(6'), J= 8.5 Гц); 7.72 (с, 1H, H(2')); 7.78, 7.87 (2 м, 2H, H(5), H(6)); 7.90 (д, 1H, H(а), 3Jтранс = 15.7 Гц); 8.16 (д, 1H, H(b), 3Jтранс = 15.7 Гц); 8.22, 8.40 (2 д, 2H, H(4), H(7), J=8.4 Гц, J= 8.1 Гц).
Найдено, %: C 48.18; H 5.07; N 2.37.
C26H32ClNO6S5.
Вычислено, %: C 48.02; H 4.96; N 2.15.
Пример 8. Бетаин 2-[2-(4,7,10,13-тетратиа-2,3,5,6,8,9,11,12,14,15- декагидро-1,16-бензодиоксациклооктадецин-18-ил)этенил] -3-(4- сульфобутил)бензотиазолия.
Получен аналогично примеру 1 из бетаина 2-метил-3 -(4- сульфобутил)бензотиазолия и 4'-формилбензотетратиа-18-краун-6- соединения с выходом 36%, т. пл. 262-264oC.
Спектр ЯМР 1H (в ДМСО-d6, 70oC): 1.93 (м, 2H, CH2); 2.14 (м, 2H, CH2); 2.68 (т, 2H, CH2SO3 -, J=6.5 Гц); 2.88 (м, 6H, 3CH2S); 3.02 (м, 6H, 3CH2S); 3.10 (м, 4H, 2CH2S); 4.38 (т, 2H, CH2OAr, J= 4.9 Гц); 4.51 (т, 2H, CH2OAr, J= 4.9 Гц); 4.97 (м, 2H, CH2N); 7.13 (д, 1H, H(5'), J= 8.4 Гц); 7.56 (д, 1H, H(6'), J= 8.4 Гц); 7.76, 7.84 (2 м, 2H, H(5), H(6)); 7.98 (с, 1H, H(2')); 8.10 (д, 1H, H(а), 3Jтранс - 15.6 Гц); 8.21 (д, 1H, H(b), 3Jтранс = 15.6 Гц); 8.30, 8.36 (2 д, 1H, H(4), H(7), J=8.5 Гц, J= 8.1 Гц).
Найдено, %: C 49.72; H 5.42; N 1.77.
C29H37NO5S6•1,5H2O.
Вычислено, %: C 49.83; H 5.77; N 2.00.
Пример 9. Перхлорат 2-[2-(4,16-дитиа- 2,3,5,6,8,9,11,12,14,15,17,18-додекагидро-1,7,10,13,19- бензопентаоксациклогенэйкозин-21-ил)этенил] -3-метилбензотиазолия.
Получен аналогично примеру 2 из йодида 2,3-диметилбензотиазолия и 4'-формилбензодитиа-21-краун-7-соединения с выходом 55%, т.пл. 198-201oC.
Спектр ЯМР 1H (в CD3CN, 50oC): 2.93 (м, 4H, 2 CH2S); 3.07 (м, 4H, 2CH2S); 3.62 (с, 8H, 4OCH2); 3.75 (м, 4H, 2CH2O); 4.26 (с, 3Н, CH3); 4.34 (м, 4H, 2CH2OAr); 7.12 (д, 1H, H(5'), J=8.3 Гц); 7.50 (д, 1H, H(6'), J= 8.3 Гц); 7.52 (с, 1H, H(2')); 7.56 (д, 1H, H(а), 3Jтранс = 15.7 Гц); 7.79, 7.88 (2 м, 2H, H(5), H(6)); 8.03, 8.20 (2 д, 2H, H(4), H(7), J= 8.4 Гц, J= 8.0 Гц); 8.04 (д, 1H, H(b), J= 15.7 Гц).
Найдено, %: C 50.60; H 5.67; N 2.07.
C28H36ClNO9S3.
Вычислено, %: C 50.78; H 5.48; N 2.12.
Пример 10. Бетаин 2-[2-(4,16-дитиа-2,3,5,6,8,9,11,12,14,15,17,18-додекагидро-1,7,10,13,19- бензопентаоксациклогенэйкозин-21-ил)этенил] -3-(4- сульфобутил)бензотиазолия.
Получен аналогично примеру 1 из бетаина 2-метил-3-(4-сульфобутил)бензотиазолия и 4'-формилбензодитиа-21-краун-7-соединения с выходом 62%, т. пл. 267-269oC.
Спектр ЯМР 1H (в CD3CN-D2O, 28oC): 1.97 (м, 2H, CH2); 2.09 (м, 2H, CH2); 2.89 (м, 6H, 2CH2S, CH2SO3 -); 3.01 (м, 4H, 2CH2S); 3.59 (с, 8H, 4OCH2); 3.71 (м, 4H, 2CH2O); 4.26 (т, 2H, CH2OAr, J=6.2 Гц); 4.33 (т, 2H, CH2OAr, J=6.1 Гц); 4.78 (м, 2H, CH2N); 7.06 (д, 1H, H(5'), J=8.5 Гц); 7.47 (д, 1H, H(6'), J=8.5 Гц); 7.55 (с, 1H, H(2')); 7.66 (д, 1H, H(a), 3Jтранс = 15.6 Гц); 7.72, 7.83 (2 м, 2H, H(5), H(6)); 8.01 (д, 1H, H(b), Jтранс = 15.6 Гц); 8.10, 8.14 (2 д, 2H, H(4), H(7), J= 8.5 Гц, J= 8.2 Гц).
Найдено, %: C 53.66; H 6.01; N 1.84.
C31H41NO8S4•0.5H2O.
Вычислено, %: C 53.73; H 6.11; N 2.02.
Пример 11. Перхлорат 2-[2-(7-тиа-2,3,5,6,8,9,11,12-октагидро-1,4,10,13- бензотетра-оксациклопентадецин-15-ил)этенил]-3-метилбензотиазолия.
Получен аналогично примеру 2 из йодида 2,3-диметилбензотиазолия и 4'-формилбензотиа-15-краун-5-соединения с выходом 77%, т.пл. 242-244oC.
Спектр ЯМР 1H (в CD3CN, 25oC): 2.82 (м, 4H, 2CH2S); 3.81 (м, 4H, 2CH2O); 3.89 (м, 2H, CH2O); 3.91 (м, 2H, CH2О); 4.21 (м, 2H, CH2OAr); 4.24 (м, 5H, CH3, CH2OAr); 7.08 (д, 1H, H(5'), J= 8.1 Гц); 7.48 (д, 1H, H(6')); 7.49 (с, 1H, H(2')); 7.55 (д, 1H, H(a), 3Jтранс=15.7); 7.77, 7.86 (2 м, 2H, H(5), H(6)); 8.01, 8.19 (2 д, 2H, H(4), H(7), J= 8.5 Гц, J=7.8 Гц); 8.04 (д, 1H, H(b), 3Jтранс = 15.7 Гц).
Найдено, %: C 51.93; H 5.20; N 2.52.
C24H28ClNO8S2.
Вычислено, %: C 51.65; H 5.06; N 2.51.
Пример 12. Бетаин 2-[2-(7-тиа-2,3,5,6,8,9,11,12-октагидро-1,4,10,13- бензотетраокса-циклопентадецин-15-ил)этенил]-3-(4- сульфобутил)бензотиазолия.
Получен аналогично примеру 1 из бетаина 2-метил-3-(4-сульфобутил)бензотиазолия и 4'-формилбензотиа-15- краун-5-соединения с выходом 78%, т.пл. 255-257oC.
Спектр ЯМР 1H (в ДМСО-d6, 70oC): 1.93 (м, 2H, CH2); 2.13 (м, 2H, CH2); 2.68 (т, 2H, CH2SO3 -, J=6.4 Гц); 2.79 (м, 4H, 2 CH2S); 3.78 (т, 4H, 2CH2O, J= 6.5 Гц); 3.86 (м, 4H, 2CH2O); 4.21 (м, 2H, CH2OAr); 4.36 (м, 2H, CH2OAr); 4.96 (м, 2H, CH2N); 7.10 (д, 1H, H(5'), J= 8.3 Гц); 7.54 (д, 1H, H(6'), J= 8.3 Гц); 7.76, 7.84 (2 м, 2H, H(5), H(6)); 7.98 (с, 1H, H(2')); 8.10, 8.20 (2 д, 2H, H(a), H(b), 3Jтранс = 3Jтранс = 15.6 Гц); 8.30, 8.36 (2 д, 2H, H(4), H(7), J=8.4 Гц, J=8.0 Гц).
Найдено, %: C 53.65; H 6.20; N 2.25.
C27H33NO7S3•1,5H2O.
Вычислено, %: С 53.44; H 5.98; N 2.31.
Пример 13. Перхлорат 2-[2-(7-тиа-2,3,5,6,8,9,11,12-октагидро-1,4,10,13-бензотетраокса- циклопентадецин-16-ил)этенил] -3-(4-карбоксибутил)бензотиазолия.
Получен аналогично примеру 2 из бромида 3-(4- карбоксибутил)-2-метилбензотиазолия и 4'-формилбензотиа-15-краун- 5-соединения с выходом 57%, т. пл. 214-216oC.
Спектр ЯМР 1H (в ДМСО-d6, 25oC): 1.68 (м, 2H, CH2); 1.88 (м, 2H, CH2); 2.41 (т, 2H, CH2CO, J=7.3 Гц); 2.78 (м, 4H, 2CH2S); 3.76 (м, 4H, 2CH2O); 3.85 (м, 4H, 2CH2O); 4.20 (м, 4H, 2CH2OAr); 4.95 (м, 2H, CH2N); 7.16 (д, 1H, H(5'), J= 8.9 Гц); 7.67 (м, 2H, H(2'), H(6')); 7.78, 7.86 (2 м, 2H, H(5), H(6)); 7.83 (д, 1H, H(а), 3Jтранс= 15.6 Гц); 8.18 (д, 1H, H(b), 3Jтранс = 15.6 Гц); 8.27, 8.41 (2 д, 2H, H(4), H(7), J=8.5 Гц, J=8.0 Гц).
Найдено, %: N 2.54.
C28H34ClNO10S2.
Вычислено, %: N 2.17.
Пример 14. Полугидробромид 2-[2-(4,13-дитиа-2,3,5,6,8,9,11,12,14,15-декагидро-1,7,10,16- бензотетраоксациклооктадецин-18-ил)этенил] -3-(4- фосфонобутил)бензотиазолия.
Получен аналогично примеру 2 из бромида 3-(4-фосфонобутил)-2-метилбензотиазолия и 4'-формилбензодитиа-18-краун-6-соединения с выходом 29%, т.пл. 220-224oC (с разложением).
Спектр ЯМР 1H (в ДМСО-d6): 1.60 (м, 2H, CH2); 1.77 (м, 2H, CH2); 2.02 (м, 2H, CH2P); 2.85 (т, 2H, CH2S, J= 6.1 Гц); 2.94 (т, 2H, CH2S, J=6.8 Гц); 3.07 (м, 4H, 2CH2S); 3.54 (с, 4H, 2CH2O); 3.62 (т, 2H, CH2O, J=6.8 Гц); 3.68 (т, 2H, CH2O, J= 6.1 Гц); 4.19 (м, 2H, CH2OAr); 4.36 (м, 2H, CH2OAr); 4.92 (м, 2H, CH2N); 7.06 (д, 1H, H(5'), J=8.2 Гц); 7.58 (д, 1H, H(6'), J= 8.2 Гц); 7.75, 7.83 (2 м, 2H, H(5), H(6)), 7.86 (с, 1H, H(2')); 8.08, 8.17 (2 д, 2H, H(а), H(b), 3Jтранс = 3Jтранс = 15.7 Гц); 8.26, 8.36 (2 д, 2H, H(4), H(7), J= 8.4 Гц).
Найдено, %: C 51.08; H 5.72.
C29H38NO7PS3•0,5HBr.
Вычислено, %: C 51.20; H 5.70.
Пример 15. Перхлорат 2-[2-(4,10-дитиа-2,3,5,6,8,9,11,12-октагидро-1,7,13- бензотриоксациклопентадецин-15-ил)этенил] -3-(4- тиоцианатобутил)бензотиазолия.
Получен аналогично примеру 2 из тиоцианата 3-(4-тиоцианатобутил)-2-метилбензотиазолия и 4'-формилбензодитиа-15-краун-5-соединения с выходом 26%, т. пл. 180-185oC (с разложением).
Спектр ЯМР 1H (в ДМСО-d6): 1.98 (м, 4H, 2CH2); 2.90 (м, 4H, 2CH2S); 3.08 (м, 4H, 2CH2S); 3.19 (т, 2H, CH2NCS, J= 6.9 Гц); 4.34 (т, 4H, 2CH2OAr, J=4.8 Гц); 5.00 (м, 2H, CH2N), 7.18 (д, 1H, H(5'), J=8.7 Гц); 7.68 (м, 2H, H(2'), H(6')); 7.79, 7.88 (2 м, 2H, H(5), H(6)); 7.85 (д, 1H, H(а), 3Jтранс = 15.6 Гц); 8.19 (д, 1H, H(b), 3Jтранс = 15.6 Гц); 8.30, 8.42 (2 д, 2H, H(4), H(7), J=8.4 Гц, J= 8.1 Гц).
Найдено, %: C 49.99; H 5.13; N 4.37.
C28H33ClN2O7S4.
Вычислено, %: C 49.95; H 4.94; N 4.16.
Claims (2)
1. Тиакраунсодержащие стириловые красители общей формулы I
в которой R1 - R4 - атом водорода, низший алкил, арильная группа, R3 и R4 вместе составляют С4Н4-бензогруппу, алкоксильная группа, диалкиламиногруппа, ациламиногруппа, атом галогена;
R5 - низший алкил, сульфоалкильная, карбоксиалкильная, фосфонатоалкильная, тиоцианатоалкильная, цианоалкильная группы;
Х - атом серы, атом селена, атом кислорода, группа С(СН3)2, группа СН= СН;
Y и Z - атом кислорода, атом серы, при условии, что в состав макроцикла входят атомы серы в различных комбинациях с атомами кислорода;
n = 0 - 3;
А = Cl, Br, I, ClO4, BF4, TsO.
в которой R1 - R4 - атом водорода, низший алкил, арильная группа, R3 и R4 вместе составляют С4Н4-бензогруппу, алкоксильная группа, диалкиламиногруппа, ациламиногруппа, атом галогена;
R5 - низший алкил, сульфоалкильная, карбоксиалкильная, фосфонатоалкильная, тиоцианатоалкильная, цианоалкильная группы;
Х - атом серы, атом селена, атом кислорода, группа С(СН3)2, группа СН= СН;
Y и Z - атом кислорода, атом серы, при условии, что в состав макроцикла входят атомы серы в различных комбинациях с атомами кислорода;
n = 0 - 3;
А = Cl, Br, I, ClO4, BF4, TsO.
2. Способ получения тиакраунсодержащих стириловых красителей формулы I по п.1, отличающийся тем, что он включает взаимодействие четвертичных солей гетероциклических оснований общей формулы II
в которой R1 - R5, X и А имеют указанные значения с формильными производными бензотиакраун-эфиров общей формулы III
где n, Y и Z имеют указанные значения.
в которой R1 - R5, X и А имеют указанные значения с формильными производными бензотиакраун-эфиров общей формулы III
где n, Y и Z имеют указанные значения.
Priority Applications (1)
| Application Number | Priority Date | Filing Date | Title |
|---|---|---|---|
| RU2000110719A RU2176256C1 (ru) | 2000-04-28 | 2000-04-28 | Тиакраунсодержащие стириловые красители в качестве селективных сенсоров на катионы тяжелых или переходных металлов и способ их получения |
Applications Claiming Priority (1)
| Application Number | Priority Date | Filing Date | Title |
|---|---|---|---|
| RU2000110719A RU2176256C1 (ru) | 2000-04-28 | 2000-04-28 | Тиакраунсодержащие стириловые красители в качестве селективных сенсоров на катионы тяжелых или переходных металлов и способ их получения |
Publications (1)
| Publication Number | Publication Date |
|---|---|
| RU2176256C1 true RU2176256C1 (ru) | 2001-11-27 |
Family
ID=20233979
Family Applications (1)
| Application Number | Title | Priority Date | Filing Date |
|---|---|---|---|
| RU2000110719A RU2176256C1 (ru) | 2000-04-28 | 2000-04-28 | Тиакраунсодержащие стириловые красители в качестве селективных сенсоров на катионы тяжелых или переходных металлов и способ их получения |
Country Status (1)
| Country | Link |
|---|---|
| RU (1) | RU2176256C1 (ru) |
Cited By (7)
| Publication number | Priority date | Publication date | Assignee | Title |
|---|---|---|---|---|
| RU2278134C1 (ru) * | 2005-03-10 | 2006-06-20 | Сергей Пантелеймонович Громов | Краунсодержащие стириловые красители с аммонийной группой в n-заместителе гетероциклического остатка в качестве фото- и термочувствительных соединений и способы их получения |
| RU2292368C1 (ru) * | 2005-12-27 | 2007-01-27 | Сергей Пантелеймонович Громов | Оптические сенсорные материалы на катионы тяжелых и переходных металлов на основе дитиакраунсодержащих бутадиенильных красителей и способы их получения |
| RU2383571C1 (ru) * | 2008-06-04 | 2010-03-10 | Сергей Пантелеймонович Громов | Стириловые красители с аммонийной группой в n-заместителе гетероциклического остатка в качестве фоточувствительных соединений и способы их получения |
| RU2389745C2 (ru) * | 2008-07-30 | 2010-05-20 | Сергей Пантелеймонович Громов | Хемосенсорные оптоматериалы для определения катионов металлов большого ионного радиуса и ионов диаммония на основе краунсодержащих бисстириловых красителей, иммобилизованных в полимерные пленки, и способы их получения |
| RU2398800C2 (ru) * | 2008-10-23 | 2010-09-10 | Сергей Пантелеймонович Громов | N-алкилазакраунсодержащие стириловые красители в качестве оптических молекулярных сенсоров для определения катионов щелочных и щелочноземельных металлов и способ их получения |
| RU2515195C1 (ru) * | 2012-12-27 | 2014-05-10 | Федеральное государственное бюджетное учреждение науки Институт элементоорганических соединений им. А.Н. Несмеянова Российской академии наук (ИНЭОС РАН) | 4-замещенные n-арил-1,8-нафталимиды, проявляющие свойства флуоресцентных сенсоров на катионы металлов, и способы их получения |
| RU2516656C1 (ru) * | 2012-10-31 | 2014-05-20 | Федеральное государственное бюджетное учреждение науки Институт элементоорганических соединений им. А.Н. Несмеянова Российской академии наук (ИНЭОС РАН) | Цинковые димерные комплексы краунсодержащих стирилфенантролинов в качестве оптических сенсоров на катионы щелочноземельных и тяжелых металлов и способ их получения |
Citations (1)
| Publication number | Priority date | Publication date | Assignee | Title |
|---|---|---|---|---|
| RU2012574C1 (ru) * | 1991-02-11 | 1994-05-15 | Громов Сергей Пантелеймонович | 18(15)-краун-6(5)-содержащие стириловые красители в качестве селективных реагентов на катионы аммония, щелочных или щелочноземельных металлов и способ их получения |
-
2000
- 2000-04-28 RU RU2000110719A patent/RU2176256C1/ru not_active IP Right Cessation
Patent Citations (1)
| Publication number | Priority date | Publication date | Assignee | Title |
|---|---|---|---|---|
| RU2012574C1 (ru) * | 1991-02-11 | 1994-05-15 | Громов Сергей Пантелеймонович | 18(15)-краун-6(5)-содержащие стириловые красители в качестве селективных реагентов на катионы аммония, щелочных или щелочноземельных металлов и способ их получения |
Non-Patent Citations (1)
| Title |
|---|
| B.de GROОT and at al. J.Inorg. Chem. 1999, v.30, p.177. А.Ю.НАЗАРЕНКО и др. Журнал неорганической химии. - 1990, т. 35, с. 2971. * |
Cited By (7)
| Publication number | Priority date | Publication date | Assignee | Title |
|---|---|---|---|---|
| RU2278134C1 (ru) * | 2005-03-10 | 2006-06-20 | Сергей Пантелеймонович Громов | Краунсодержащие стириловые красители с аммонийной группой в n-заместителе гетероциклического остатка в качестве фото- и термочувствительных соединений и способы их получения |
| RU2292368C1 (ru) * | 2005-12-27 | 2007-01-27 | Сергей Пантелеймонович Громов | Оптические сенсорные материалы на катионы тяжелых и переходных металлов на основе дитиакраунсодержащих бутадиенильных красителей и способы их получения |
| RU2383571C1 (ru) * | 2008-06-04 | 2010-03-10 | Сергей Пантелеймонович Громов | Стириловые красители с аммонийной группой в n-заместителе гетероциклического остатка в качестве фоточувствительных соединений и способы их получения |
| RU2389745C2 (ru) * | 2008-07-30 | 2010-05-20 | Сергей Пантелеймонович Громов | Хемосенсорные оптоматериалы для определения катионов металлов большого ионного радиуса и ионов диаммония на основе краунсодержащих бисстириловых красителей, иммобилизованных в полимерные пленки, и способы их получения |
| RU2398800C2 (ru) * | 2008-10-23 | 2010-09-10 | Сергей Пантелеймонович Громов | N-алкилазакраунсодержащие стириловые красители в качестве оптических молекулярных сенсоров для определения катионов щелочных и щелочноземельных металлов и способ их получения |
| RU2516656C1 (ru) * | 2012-10-31 | 2014-05-20 | Федеральное государственное бюджетное учреждение науки Институт элементоорганических соединений им. А.Н. Несмеянова Российской академии наук (ИНЭОС РАН) | Цинковые димерные комплексы краунсодержащих стирилфенантролинов в качестве оптических сенсоров на катионы щелочноземельных и тяжелых металлов и способ их получения |
| RU2515195C1 (ru) * | 2012-12-27 | 2014-05-10 | Федеральное государственное бюджетное учреждение науки Институт элементоорганических соединений им. А.Н. Несмеянова Российской академии наук (ИНЭОС РАН) | 4-замещенные n-арил-1,8-нафталимиды, проявляющие свойства флуоресцентных сенсоров на катионы металлов, и способы их получения |
Similar Documents
| Publication | Publication Date | Title |
|---|---|---|
| CN103342699B (zh) | 一种香豆素-硫杂杯[4]芳烃荧光试剂及其制备方法和应用 | |
| Patra et al. | A highly selective benzildihydrazone based Schiff base chromogenic chemosensor for rapid detection of Cu2+ in aqueous solution | |
| Zhang et al. | Targetable N-annulated perylene-based colorimetric and ratiometric near-infrared fluorescent probes for the selective detection of hydrogen sulfide in mitochondria, lysosomes, and serum | |
| Shandura et al. | 3, 5-Bis (acetaldehyde) substituted BODIPY | |
| Gogoi et al. | NIR sensing of Zn (II) and subsequent dihydrogen phosphate detection by a benzothiazole functionalized ninhydrin based receptor | |
| Asthana et al. | Recent advances in AIEgen-based chemosensors for small molecule detection, with a focus on ion sensing | |
| RU2176256C1 (ru) | Тиакраунсодержащие стириловые красители в качестве селективных сенсоров на катионы тяжелых или переходных металлов и способ их получения | |
| Ghosh et al. | Dehydroabietylamine-decorated imino-phenols: supramolecular gelation and gel phase selective detection of Fe 3+, Cu 2+ and Hg 2+ ions under different experimental conditions | |
| CN112194614B (zh) | 一种特异性识别Fe3+的三联吡啶荧光探针及其合成方法和应用 | |
| Wang et al. | Dimethyl yellow-based colorimetric chemosensors for “naked eye” detection of Cr3+ in aqueous media via test papers | |
| Mishra et al. | Effect of n-alkyl substitution on Cu (II)-selective chemosensing of rhodamine B derivatives | |
| JP2006219453A (ja) | キノリン環を母核とする金属識別型二波長性蛍光分子 | |
| CN107118206A (zh) | 一类喹啉‑二吡啶衍生物Zn2+荧光探针及其应用 | |
| RU2012574C1 (ru) | 18(15)-краун-6(5)-содержащие стириловые красители в качестве селективных реагентов на катионы аммония, щелочных или щелочноземельных металлов и способ их получения | |
| Xu et al. | Highly selective and sensitive optical probe for Fe 3+ based on a water-soluble squarylium dye | |
| CN115073443B (zh) | 一种可视化的荧光增强型铜离子荧光检测探针及制备方法 | |
| CN107831165B (zh) | 一种双通道铜离子检测试纸及其制备方法 | |
| JP2012154693A (ja) | カリウム蛍光プローブ | |
| Baul et al. | An organomercury enzyme activator as a versatile template for new organomercury (II) compounds encompassing homobimetallic (RHg/Hg) and heterobimetallic (RHg/Cd) compositions: Syntheses, photoluminescence and structures | |
| RU2292368C1 (ru) | Оптические сенсорные материалы на катионы тяжелых и переходных металлов на основе дитиакраунсодержащих бутадиенильных красителей и способы их получения | |
| US7858383B2 (en) | Chromoionophore and method of determining sodium ions | |
| Kaur et al. | Multi-signalling cation sensing behaviour of a bis (pyridin-2-yl methyl) aniline based hetarylazo dye | |
| KR101092332B1 (ko) | 트위저 형태의 형광 음이온 수용체 : 양이온성의 피리디니움 골격에 파이렌 아마이드 유닛의 도입 | |
| RU2389745C2 (ru) | Хемосенсорные оптоматериалы для определения катионов металлов большого ионного радиуса и ионов диаммония на основе краунсодержащих бисстириловых красителей, иммобилизованных в полимерные пленки, и способы их получения | |
| JP2005201773A (ja) | 第二銅イオン測定用プローブ及びそれを用いた第二銅イオンの測定方法 |
Legal Events
| Date | Code | Title | Description |
|---|---|---|---|
| MM4A | The patent is invalid due to non-payment of fees |
Effective date: 20100429 |








