RU2129456C1 - Способ утилизации композиции мышьякорганических веществ из государственного могильника, содержащей 10-хлор-5,10-дигидрофенарсазин - Google Patents
Способ утилизации композиции мышьякорганических веществ из государственного могильника, содержащей 10-хлор-5,10-дигидрофенарсазин Download PDFInfo
- Publication number
- RU2129456C1 RU2129456C1 RU97100547A RU97100547A RU2129456C1 RU 2129456 C1 RU2129456 C1 RU 2129456C1 RU 97100547 A RU97100547 A RU 97100547A RU 97100547 A RU97100547 A RU 97100547A RU 2129456 C1 RU2129456 C1 RU 2129456C1
- Authority
- RU
- Russia
- Prior art keywords
- formic acid
- arsenic
- adamsite
- composition
- chloro
- Prior art date
Links
- 239000000126 substance Substances 0.000 title claims abstract description 9
- 238000000034 method Methods 0.000 title claims description 19
- BDAGIHXWWSANSR-UHFFFAOYSA-N methanoic acid Natural products OC=O BDAGIHXWWSANSR-UHFFFAOYSA-N 0.000 claims abstract description 56
- OSWFIVFLDKOXQC-UHFFFAOYSA-N 4-(3-methoxyphenyl)aniline Chemical compound COC1=CC=CC(C=2C=CC(N)=CC=2)=C1 OSWFIVFLDKOXQC-UHFFFAOYSA-N 0.000 claims abstract description 28
- DMBHHRLKUKUOEG-UHFFFAOYSA-N diphenylamine Chemical compound C=1C=CC=CC=1NC1=CC=CC=C1 DMBHHRLKUKUOEG-UHFFFAOYSA-N 0.000 claims abstract description 28
- 235000019253 formic acid Nutrition 0.000 claims abstract description 28
- 239000000203 mixture Substances 0.000 claims abstract description 24
- RQNWIZPPADIBDY-UHFFFAOYSA-N arsenic atom Chemical compound [As] RQNWIZPPADIBDY-UHFFFAOYSA-N 0.000 claims abstract description 18
- 239000002244 precipitate Substances 0.000 claims abstract description 6
- 239000002904 solvent Substances 0.000 claims abstract description 6
- 239000000706 filtrate Substances 0.000 claims abstract description 3
- 229910052751 metal Inorganic materials 0.000 claims abstract 2
- 239000002184 metal Substances 0.000 claims abstract 2
- PBNSPNYJYOYWTA-UHFFFAOYSA-N adamsite Chemical compound C1=CC=C2[As](Cl)C3=CC=CC=C3NC2=C1 PBNSPNYJYOYWTA-UHFFFAOYSA-N 0.000 claims description 27
- 229910052785 arsenic Inorganic materials 0.000 claims description 17
- ZMXDDKWLCZADIW-UHFFFAOYSA-N N,N-Dimethylformamide Chemical compound CN(C)C=O ZMXDDKWLCZADIW-UHFFFAOYSA-N 0.000 claims description 15
- LULLIKNODDLMDQ-UHFFFAOYSA-N arsenic(3+) Chemical compound [As+3] LULLIKNODDLMDQ-UHFFFAOYSA-N 0.000 claims description 6
- 239000003153 chemical reaction reagent Substances 0.000 claims description 6
- 230000015572 biosynthetic process Effects 0.000 claims description 2
- 230000003993 interaction Effects 0.000 claims description 2
- 238000004821 distillation Methods 0.000 claims 1
- 239000000047 product Substances 0.000 abstract description 10
- 239000002085 irritant Substances 0.000 abstract description 5
- 231100000021 irritant Toxicity 0.000 abstract description 5
- 238000002955 isolation Methods 0.000 abstract description 3
- 239000003440 toxic substance Substances 0.000 abstract description 2
- 230000000694 effects Effects 0.000 abstract 1
- 231100000614 poison Toxicity 0.000 abstract 1
- 238000006243 chemical reaction Methods 0.000 description 9
- OKTJSMMVPCPJKN-UHFFFAOYSA-N Carbon Chemical compound [C] OKTJSMMVPCPJKN-UHFFFAOYSA-N 0.000 description 4
- 230000008569 process Effects 0.000 description 4
- 238000009933 burial Methods 0.000 description 3
- 230000006378 damage Effects 0.000 description 3
- 150000001495 arsenic compounds Chemical class 0.000 description 2
- 230000007613 environmental effect Effects 0.000 description 2
- 238000001914 filtration Methods 0.000 description 2
- 239000007789 gas Substances 0.000 description 2
- 229940093920 gynecological arsenic compound Drugs 0.000 description 2
- 229920000642 polymer Polymers 0.000 description 2
- 239000011541 reaction mixture Substances 0.000 description 2
- NINIDFKCEFEMDL-UHFFFAOYSA-N Sulfur Chemical compound [S] NINIDFKCEFEMDL-UHFFFAOYSA-N 0.000 description 1
- 239000002250 absorbent Substances 0.000 description 1
- 230000002745 absorbent Effects 0.000 description 1
- 238000010521 absorption reaction Methods 0.000 description 1
- 238000004458 analytical method Methods 0.000 description 1
- OEYOHULQRFXULB-UHFFFAOYSA-N arsenic trichloride Chemical compound Cl[As](Cl)Cl OEYOHULQRFXULB-UHFFFAOYSA-N 0.000 description 1
- 238000009835 boiling Methods 0.000 description 1
- 239000007795 chemical reaction product Substances 0.000 description 1
- 238000009841 combustion method Methods 0.000 description 1
- 150000001875 compounds Chemical class 0.000 description 1
- 238000000354 decomposition reaction Methods 0.000 description 1
- 230000007123 defense Effects 0.000 description 1
- 238000001035 drying Methods 0.000 description 1
- 238000000921 elemental analysis Methods 0.000 description 1
- 230000008030 elimination Effects 0.000 description 1
- 238000003379 elimination reaction Methods 0.000 description 1
- 230000004927 fusion Effects 0.000 description 1
- 238000009776 industrial production Methods 0.000 description 1
- 150000002484 inorganic compounds Chemical class 0.000 description 1
- 229910010272 inorganic material Inorganic materials 0.000 description 1
- 150000002605 large molecules Chemical class 0.000 description 1
- 239000000463 material Substances 0.000 description 1
- 239000003960 organic solvent Substances 0.000 description 1
- 230000003647 oxidation Effects 0.000 description 1
- 238000007254 oxidation reaction Methods 0.000 description 1
- 239000000843 powder Substances 0.000 description 1
- 238000011084 recovery Methods 0.000 description 1
- 238000011946 reduction process Methods 0.000 description 1
- 238000006722 reduction reaction Methods 0.000 description 1
- 238000005070 sampling Methods 0.000 description 1
- QAOWNCQODCNURD-UHFFFAOYSA-N sulfuric acid group Chemical class S(O)(O)(=O)=O QAOWNCQODCNURD-UHFFFAOYSA-N 0.000 description 1
- 231100000167 toxic agent Toxicity 0.000 description 1
- 238000005406 washing Methods 0.000 description 1
- 239000002699 waste material Substances 0.000 description 1
- XLYOFNOQVPJJNP-UHFFFAOYSA-N water Substances O XLYOFNOQVPJJNP-UHFFFAOYSA-N 0.000 description 1
Images
Landscapes
- Investigating Or Analyzing Non-Biological Materials By The Use Of Chemical Means (AREA)
- Inorganic Compounds Of Heavy Metals (AREA)
Abstract
Изобретение относится к уничтожению отравляющих веществ раздражающего действия (ирритантов), а именно к разработке способа утилизации композиции мышьякорганических веществ, содержащей 10-хлор-5,10-дигидрофенарсазин (адамсит), из Государственного могильника. Композицию мышьякорганических веществ, содержащую 10-хлор-5,10-дигидрофенарсазин (адамсит), восстанавливают муравьиной кислотой в металлическом герметичном контейнере при мольном соотношении 1: 6 при температуре 135 - 145oС в течение 4 ч, образующийся осадок металлического мышьяка фильтруют, промывают растворителем, из фильтрата отгоняют муравьиную кислоту и растворитель, затем дистилляцией в вакууме выделяют дифениламин. Способ позволяет получить из композиции мышьякорганических веществ полезные промышленные продукты. 1 з.п. ф-лы, 1 табл.
Description
Изобретение относится к уничтожению отравляющих веществ раздражающего действия (ирритантов), а именно к разработке способа утилизации мышьякорганических веществ, содержащих 10-хлор-5:10-дигидрофенарсазин (адамсит).
В настоящее время на полигоне военного объекта Шиханы МО РФ Российской Федерации имеется Государственный могильник мышьякорганических ирритантов. Подавляющую часть захоронения составляют запасы композиции в различной таре (барабаны, ящики, бочки), включающей 10-хлор-5: 10-дигидрофенарсазин (адамсит), 10,10'-бис(5:10-дигидрофенарсазин)-оксид, дифениламин, неорганические соединения мышьяка, с содержанием адамсита от 70 до 90% в зависимости от конкретного образца. Необходима скорейшая ликвидация захоронения ирритантов, так как они являются источником экологической опасности. С другой стороны запасы мышьяксодержащих веществ могут стать сырьевым источником мышьяка, потребности в котором возрастают.
Ранее уничтожение композиций с адамситом проводили способом сжигания /1/. Однако с точки зрения экологической безопасности данный метод в настоящее время не отвечает современным требованиям.
Известен способ утилизации адамсита сплавлением с элементарной серой с образованием полимеров /1/. Продукты реакции практически нерастворимы в воде и большинстве органических растворителей. Недостатками данного способа являются большие количества реакционной массы, подлежащей захоронению.
Описан способ утилизации адамсита путем окисления смесью азотной и серной кислот /2/. Данный способ использовался на опытной установке для уничтожения запасов адамсита в Швеции. Однако последующая утилизация образующихся продуктов составляет самостоятельную проблему.
Наиболее близким к заявленному является способ утилизации композиции мышьякорганических веществ из государственного могильника, содержащей 10-хлор-5:10-дигидрофенарсазин /1/, путем взаимодействия с реагентами и получением продуктов широкого применения в народном хозяйстве.
Однако запасы композиции существенно превышают объем, необходимый для удовлетворения спроса на треххлористый мышьяк. В связи с этим актуальна разработка способов, позволяющих получать и другие мышьяксодержащие продукты.
Реализация данного способа приводит к получению двух ценных продуктов, широко используемых в промышленном производстве: мышьяка и дифениламина.
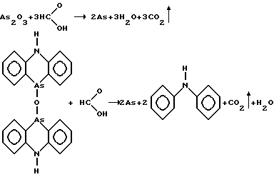
Сущность процесса заключается во взаимодействии основных компонентов композиции с муравьиной кислотой.
Предлагаемый способ утилизации композиции из могильника, содержащей адамсит, заключается в следующем: восстановление адамсита муравьиной кислотой до аморфного мышьяка происходит в автоклаве при температуре 140oC и выдержке в течение 4 часов. При этом образуется осадок металлического мышьяка с содержанием основного вещества на уровне 93% масс. и выделяется дифениламин.
Компоненты композиции при взаимодействии с муравьиной кислотой при нагревании восстанавливаются до металлического мышьяка.
В частности, реакция адамсита с муравьиной кислотой проходит с образованием металлического мышьяка и дифениламина
Проведенная оценка различных партий композиций с адамситом из могильника показала наличие в их составе следующих веществ:
10-хлор-5,10-дигидрофенарсазина;
10,10'-бис-(5,10-дигидрофенарсазин)-оксида;
дифениламина;
неорганических соединений мышьяка (включая металлический мышьяк);
полимерных соединений сложного строения.
Проведенная оценка различных партий композиций с адамситом из могильника показала наличие в их составе следующих веществ:
10-хлор-5,10-дигидрофенарсазина;
10,10'-бис-(5,10-дигидрофенарсазин)-оксида;
дифениламина;
неорганических соединений мышьяка (включая металлический мышьяк);
полимерных соединений сложного строения.
При этом соотношение компонентов существенно варьирует в зависимости от места отбора образцов. Содержание адамсита колеблется от 70 до 93% (вместе с тем элементный состав образцов близок к расчетному для адамсита).
Обработка композиции из могильника муравьиной кислотой сопровождается наряду с вышеприведенной и другими реакциями
Реакция восстановления адамсита проходит в основном, при мольном соотношении адамсита и муравьиной кислоты 1:1,5, причем муравьиная кислота может быть различного процентного состава. Но так как муравьиная кислота является не только реагентом, но и растворителем, процесс восстановления проводится в избытке муравьиной кислоты, наиболее оптимальное мольное соотношение реагентов адамсит : муравьиная кислота является 1:6.
Реакция восстановления адамсита проходит в основном, при мольном соотношении адамсита и муравьиной кислоты 1:1,5, причем муравьиная кислота может быть различного процентного состава. Но так как муравьиная кислота является не только реагентом, но и растворителем, процесс восстановления проводится в избытке муравьиной кислоты, наиболее оптимальное мольное соотношение реагентов адамсит : муравьиная кислота является 1:6.
При нормальном давлении и температуре кипения муравьиной кислоты (t= 101oC) восстановление адамсита идет не до конца /3/. Для повышения температуры процесса смесь муравьиной кислоты и адамсита помещают в автоклав. Установлено, что температура 135-145oC является оптимальной для данного процесса. Выше 145oC идет неконтролируемое разложение муравьиной кислоты и, как следствие этого, резкое повышение давления.
Процесс восстановления адамсита муравьиной кислотой проводят следующим образом.
В автоклав загружают технический продукт (композицию) и техническую муравьиную кислоту. Автоклав герметизируют, помещают в масляную баню и нагревают до 135oC. При температуре бани 135 - 145oC реакционную смесь выдерживают (4 ± 0,5) час. Затем автоклав охлаждают до комнатной температуры и стравливают образовавшиеся в ходе реакции газы, пропуская их через поглотительную колонку с активированным углем для очистки от следовых количеств мышьяка.
В ходе реакции образуется черно-бурый объемный осадок, который отделяют фильтрованием. Реакционную массу переносят на фильтр, фильтруют и отмывают на фильтре диметилформамидом образовавшийся мышьяк от муравьиной кислоты и дифениламина.
После промывки и сушки получают черный, рыхлый остаток элементарного мышьяка. Содержание мышьяка составляет 93% масс., что соответствует требованиям по техническому мышьяку /4/.
Затем из фильтрата удаляют муравьиную кислоту и диметилформамид, которые повторно используются в процессе. После выделения из кубового остатка диметилформамида, муравьиной кислоты проводят дистилляцию в вакууме для выделения дифениламина. Оставшаяся масса после выделения дифениламина не содержит ирритантов и подлежит захоронению.
Данные по материальному балансу восстановления композиции с адамситом муравьиной кислотой представлены в таблице (по лучшему результату экспериментов).
Предложенный способ утилизации обладает следующими достоинствами:
образуются продукты, имеющие широкое применение в промышленности - металлический мышьяк и дифениламин;
предложенный способ отличается простотой, относительно небольшим количеством отходов, дешевизной и малым расходом реагентов: фактически единственным реагентом является муравьиная кислота.
образуются продукты, имеющие широкое применение в промышленности - металлический мышьяк и дифениламин;
предложенный способ отличается простотой, относительно небольшим количеством отходов, дешевизной и малым расходом реагентов: фактически единственным реагентом является муравьиная кислота.
Пример 1. Анализ технического продукта (композиции из могильника), содержащего дигидрофенарсазин. Технический продукт представляет собой порошок темно-зеленого цвета. Данные элементного анализа показывают, что состав смеси близок к адамситу.
Найдено, %: С 51.04; H 3.27; N 5.70; As 25.08; Cl 12.0
Вычислено, %: С 51.99; H 3.27; N 5.06; As 27.05; Cl 12.63
Исследование качественного состава технического адамсита дало следующие результаты: 10-хлор-5:10-дигидрофенарсазин - 70... 93 %, дифениламин - 1... 5 %, неорганические соединения мышьяка (включая металлический мышьяк) до 6%, неидентифицируемые высокомолекулярные соединения 1... 3 %.
Вычислено, %: С 51.99; H 3.27; N 5.06; As 27.05; Cl 12.63
Исследование качественного состава технического адамсита дало следующие результаты: 10-хлор-5:10-дигидрофенарсазин - 70... 93 %, дифениламин - 1... 5 %, неорганические соединения мышьяка (включая металлический мышьяк) до 6%, неидентифицируемые высокомолекулярные соединения 1... 3 %.
Пример 2. В автоклав загружают 70 г адамсита и 90 мл 85% муравьиной кислоты. Автоклав герметизируют и нагревают до 135oC. При температуре 135 - 140oC реакционную смесь выдерживают (4 ± 0,5) час. Затем автоклав охлаждают до комнатной температуры и стравливают образовавшиеся газы, пропуская их через поглотительную колонну с активированным углем для очистки от следовых количеств мышьяка. В ходе реакции образуется черно-бурый объемный осадок, который отделяют фильтрованием. Реакционную массу переносят на фильтр и отмывают образовавшийся мышьяк от муравьиной кислоты и дифениламина. Выход мышьяка составляет 17,6 г (93,6% от теорет.). Контроль реакционной массы (ТСХ) показывает отсутствие исходного продукта.
Источники информации.
1. Гормай В. В. и др. Проблема уничтожения и утилизации адамсита. ЖРХО им. Д.И.Менделеева, N 2, 1994, С.39-42
2. Andersson J.O., Bylund J., Jonsson Н., Granbon P.O.: Destruction of phenarsazinechloride (adamsite) by oxidation with nitric acid/sulfuric acid. Pilot plant. (Foersvarets, Forskning sants.,Stockholm, Swed.)// Report 1984, FOA-C-40192-C2; Order NO. PB84-197102, 38pp (Swed.) Avail N TIS From Gov. Rep. Announce. Index (US) 1984, 84(17), 154
3. Разуваев Г.А. Мерихиноидные производные дигидрофенарсазина//Ж.P.Ф.- X.О., ч.химическая.-1930.-N 61. -С.13-28.
2. Andersson J.O., Bylund J., Jonsson Н., Granbon P.O.: Destruction of phenarsazinechloride (adamsite) by oxidation with nitric acid/sulfuric acid. Pilot plant. (Foersvarets, Forskning sants.,Stockholm, Swed.)// Report 1984, FOA-C-40192-C2; Order NO. PB84-197102, 38pp (Swed.) Avail N TIS From Gov. Rep. Announce. Index (US) 1984, 84(17), 154
3. Разуваев Г.А. Мерихиноидные производные дигидрофенарсазина//Ж.P.Ф.- X.О., ч.химическая.-1930.-N 61. -С.13-28.
4. Мышьяк металлический ТУ 113-12-112-89.
Claims (2)
1. Способ утилизации композиции мышьякорганических веществ из Государственного могильника, содержащей 10-хлор-5,10-дигидрофенарсазин, путем взаимодействия композиции с реагентом, отличающийся тем, что в качестве реагента используют муравьиную кислоту, взаимодействие осуществляют путем восстановления исходной композиции муравьиной кислотой в автоклаве при мольном соотношении адамсит : муравьиная кислота 1 : 6 и температуре 135 - 145oС в течение 4 ч с образованием осадка металлического мышьяка и дифениламина, затем образующийся осадок металлического мышьяка фильтруют, промывают растворителем, из фильтрата отгоняют муравьиную кислоту и растворитель, затем дистилляцией в вакууме выделяют дифениламин.
2. Способ по п.1, отличающийся тем, что в качестве растворителя используют диметилформамид.
Priority Applications (1)
| Application Number | Priority Date | Filing Date | Title |
|---|---|---|---|
| RU97100547A RU2129456C1 (ru) | 1997-01-10 | 1997-01-10 | Способ утилизации композиции мышьякорганических веществ из государственного могильника, содержащей 10-хлор-5,10-дигидрофенарсазин |
Applications Claiming Priority (1)
| Application Number | Priority Date | Filing Date | Title |
|---|---|---|---|
| RU97100547A RU2129456C1 (ru) | 1997-01-10 | 1997-01-10 | Способ утилизации композиции мышьякорганических веществ из государственного могильника, содержащей 10-хлор-5,10-дигидрофенарсазин |
Publications (2)
| Publication Number | Publication Date |
|---|---|
| RU97100547A RU97100547A (ru) | 1999-03-20 |
| RU2129456C1 true RU2129456C1 (ru) | 1999-04-27 |
Family
ID=20189069
Family Applications (1)
| Application Number | Title | Priority Date | Filing Date |
|---|---|---|---|
| RU97100547A RU2129456C1 (ru) | 1997-01-10 | 1997-01-10 | Способ утилизации композиции мышьякорганических веществ из государственного могильника, содержащей 10-хлор-5,10-дигидрофенарсазин |
Country Status (1)
| Country | Link |
|---|---|
| RU (1) | RU2129456C1 (ru) |
Cited By (2)
| Publication number | Priority date | Publication date | Assignee | Title |
|---|---|---|---|---|
| RU2371391C1 (ru) * | 2008-05-15 | 2009-10-27 | Федеральное государственное унитарное предприятие "Государственный научно-исследовательский институт органической химии и технологии (ФГУП "ГосНИИОХТ") | Способ получения элементного мышьяка из водных и водно-органических растворов мышьяксодержащих соединений |
| RU2567313C1 (ru) * | 2014-10-14 | 2015-11-10 | Федеральное государственное бюджетное учреждение "33 Центральный научно-исследовательский испытательный институт" Министерства обороны Российской Федерации" | Способ утилизации композиции мышьякорганических веществ, содержащей 10-хлор-5,10-дигидрофенарсазин |
Citations (4)
| Publication number | Priority date | Publication date | Assignee | Title |
|---|---|---|---|---|
| DE2154156B2 (ru) * | 1971-10-26 | 1975-04-10 | Mannesmann Ag, 4000 Duesseldorf | |
| DE3505293A1 (de) * | 1984-02-17 | 1985-09-05 | Bror Olof Haeger | Bindung von arsensaeure im boden |
| DE3607424A1 (de) * | 1986-03-06 | 1987-09-10 | Kern & Grosskinsky | Vorrichtung zum erzeugen einer entgiftungsemulsion fuer abc-kampfstoffe |
| DE3941813A1 (de) * | 1989-12-19 | 1991-06-20 | Fraunhofer Ges Forschung | Verfahren zum elektrochemischen abbau von chlorierten organischen verbindungen |
-
1997
- 1997-01-10 RU RU97100547A patent/RU2129456C1/ru active
Patent Citations (4)
| Publication number | Priority date | Publication date | Assignee | Title |
|---|---|---|---|---|
| DE2154156B2 (ru) * | 1971-10-26 | 1975-04-10 | Mannesmann Ag, 4000 Duesseldorf | |
| DE3505293A1 (de) * | 1984-02-17 | 1985-09-05 | Bror Olof Haeger | Bindung von arsensaeure im boden |
| DE3607424A1 (de) * | 1986-03-06 | 1987-09-10 | Kern & Grosskinsky | Vorrichtung zum erzeugen einer entgiftungsemulsion fuer abc-kampfstoffe |
| DE3941813A1 (de) * | 1989-12-19 | 1991-06-20 | Fraunhofer Ges Forschung | Verfahren zum elektrochemischen abbau von chlorierten organischen verbindungen |
Non-Patent Citations (1)
| Title |
|---|
| Гормай В.В. и др. Проблема уничтожения и утилизации адамсита. ЖРХО им.Д.И.Менделеева, N 2, 1994, с.39-42. * |
Cited By (2)
| Publication number | Priority date | Publication date | Assignee | Title |
|---|---|---|---|---|
| RU2371391C1 (ru) * | 2008-05-15 | 2009-10-27 | Федеральное государственное унитарное предприятие "Государственный научно-исследовательский институт органической химии и технологии (ФГУП "ГосНИИОХТ") | Способ получения элементного мышьяка из водных и водно-органических растворов мышьяксодержащих соединений |
| RU2567313C1 (ru) * | 2014-10-14 | 2015-11-10 | Федеральное государственное бюджетное учреждение "33 Центральный научно-исследовательский испытательный институт" Министерства обороны Российской Федерации" | Способ утилизации композиции мышьякорганических веществ, содержащей 10-хлор-5,10-дигидрофенарсазин |
Similar Documents
| Publication | Publication Date | Title |
|---|---|---|
| DE2519388C3 (de) | Verfahren zur Herstellung von N-Phosphonmethylglycin | |
| Reddy et al. | Biosorption of Pb (II) from aqueous solutions using chemically modified Moringa oleifera tree leaves | |
| DE3878098T2 (de) | Chemisches verfahren zur vernichtung von halogenierten organischen produkten. | |
| DE3781574T2 (de) | Calixaren-derivate und die verwendung dieser verbindungen zur sequestrierung von metallen. | |
| DE3885913T2 (de) | Aufbereitung von Alkoxysilanen. | |
| RU2129456C1 (ru) | Способ утилизации композиции мышьякорганических веществ из государственного могильника, содержащей 10-хлор-5,10-дигидрофенарсазин | |
| Kato et al. | Oxidation of mercaptans with diethyl azodicarboxylate and trivalent phosphorus compounds | |
| RU2172195C2 (ru) | Способ утилизации композиции мышьякорганических веществ из государственного могильника, содержащей 10-хлор-5,10-дигидрофенарсазин | |
| US3844905A (en) | Testing a toxic agent alarm with a nontoxic simulant | |
| DE3942516C1 (ru) | ||
| RU2117507C1 (ru) | Способ деструкции адамсита | |
| US5430234A (en) | Process for removing phosphorus and heavy metals from phosphorus trichloride still bottoms residue | |
| Prieto et al. | A reliable one-pot synthesis of aryl azides from aryl amines using organotin azides as effective and recoverable reagents | |
| RU2129455C1 (ru) | Способ утилизации композиции мышьякорганических веществ из государственного могильника, содержащей 10-хлор-5,10-дигидрофенарсазин | |
| FI65218C (fi) | Foerfarande foer att tillvarataga cr2o3 ur en kromhaltig loesning | |
| McGarvey et al. | Characterization of Solid Reaction Products from the Reaction of VX with Li3N+ H2O for the Tactical Disablement Project | |
| Soltani et al. | Selective liquid-liquid extraction of lead ions using newly synthesized extractant 2-(dibutylcarbamoyl) benzoic acid | |
| DE10218603B4 (de) | Verfahren zur Herstellung von hochreinem kristallinem Trichloracetamid aus Hexachloraceton | |
| EP0506153A1 (de) | Verfahren zur Zersetzung von polyhalogenierten Organoverbindungen | |
| RU2025145C1 (ru) | Способ детоксикации хлорарсинсодержащих органических отравляющих веществ | |
| Agolini et al. | Studies in the Pyrroline Series: II. Oxygen Transfer from Cyclic Nitrones to Triphenylphosphine | |
| EP0347609B1 (de) | Verfahren zur Rückgewinnung von Quecksilber aus Feststoffen | |
| US2353959A (en) | Method for refining sulphur | |
| RU2191768C2 (ru) | Способ утилизации отравляющих хлорсодержащих продуктов | |
| DE2628705A1 (de) | Verfahren zur herstellung teilweise halogenierter alkohole |

