KR20180098329A - 알칼리-팽윤가능한 에멀젼 폴리머 - Google Patents
알칼리-팽윤가능한 에멀젼 폴리머 Download PDFInfo
- Publication number
- KR20180098329A KR20180098329A KR1020187021112A KR20187021112A KR20180098329A KR 20180098329 A KR20180098329 A KR 20180098329A KR 1020187021112 A KR1020187021112 A KR 1020187021112A KR 20187021112 A KR20187021112 A KR 20187021112A KR 20180098329 A KR20180098329 A KR 20180098329A
- Authority
- KR
- South Korea
- Prior art keywords
- alkyl
- composition
- monomer
- acid
- another embodiment
- Prior art date
- Legal status (The legal status is an assumption and is not a legal conclusion. Google has not performed a legal analysis and makes no representation as to the accuracy of the status listed.)
- Withdrawn
Links
Images
Classifications
-
- C—CHEMISTRY; METALLURGY
- C08—ORGANIC MACROMOLECULAR COMPOUNDS; THEIR PREPARATION OR CHEMICAL WORKING-UP; COMPOSITIONS BASED THEREON
- C08F—MACROMOLECULAR COMPOUNDS OBTAINED BY REACTIONS ONLY INVOLVING CARBON-TO-CARBON UNSATURATED BONDS
- C08F220/00—Copolymers of compounds having one or more unsaturated aliphatic radicals, each having only one carbon-to-carbon double bond, and only one being terminated by only one carboxyl radical or a salt, anhydride ester, amide, imide or nitrile thereof
- C08F220/02—Monocarboxylic acids having less than ten carbon atoms; Derivatives thereof
- C08F220/10—Esters
- C08F220/12—Esters of monohydric alcohols or phenols
- C08F220/16—Esters of monohydric alcohols or phenols of phenols or of alcohols containing two or more carbon atoms
- C08F220/18—Esters of monohydric alcohols or phenols of phenols or of alcohols containing two or more carbon atoms with acrylic or methacrylic acids
-
- A—HUMAN NECESSITIES
- A61—MEDICAL OR VETERINARY SCIENCE; HYGIENE
- A61K—PREPARATIONS FOR MEDICAL, DENTAL OR TOILETRY PURPOSES
- A61K8/00—Cosmetics or similar toiletry preparations
- A61K8/02—Cosmetics or similar toiletry preparations characterised by special physical form
- A61K8/04—Dispersions; Emulsions
- A61K8/06—Emulsions
-
- A—HUMAN NECESSITIES
- A61—MEDICAL OR VETERINARY SCIENCE; HYGIENE
- A61K—PREPARATIONS FOR MEDICAL, DENTAL OR TOILETRY PURPOSES
- A61K8/00—Cosmetics or similar toiletry preparations
- A61K8/18—Cosmetics or similar toiletry preparations characterised by the composition
- A61K8/30—Cosmetics or similar toiletry preparations characterised by the composition containing organic compounds
- A61K8/46—Cosmetics or similar toiletry preparations characterised by the composition containing organic compounds containing sulfur
- A61K8/463—Cosmetics or similar toiletry preparations characterised by the composition containing organic compounds containing sulfur containing sulfuric acid derivatives, e.g. sodium lauryl sulfate
-
- A—HUMAN NECESSITIES
- A61—MEDICAL OR VETERINARY SCIENCE; HYGIENE
- A61K—PREPARATIONS FOR MEDICAL, DENTAL OR TOILETRY PURPOSES
- A61K8/00—Cosmetics or similar toiletry preparations
- A61K8/18—Cosmetics or similar toiletry preparations characterised by the composition
- A61K8/72—Cosmetics or similar toiletry preparations characterised by the composition containing organic macromolecular compounds
- A61K8/81—Cosmetics or similar toiletry preparations characterised by the composition containing organic macromolecular compounds obtained by reactions involving only carbon-to-carbon unsaturated bonds
- A61K8/8141—Compositions of homopolymers or copolymers of compounds having one or more unsaturated aliphatic radicals, each having only one carbon-to-carbon double bond, and at least one being terminated by only one carboxyl radical, or of salts, anhydrides, esters, amides, imides or nitriles thereof; Compositions of derivatives of such polymers
- A61K8/8152—Homopolymers or copolymers of esters, e.g. (meth)acrylic acid esters; Compositions of derivatives of such polymers
-
- A—HUMAN NECESSITIES
- A61—MEDICAL OR VETERINARY SCIENCE; HYGIENE
- A61Q—SPECIFIC USE OF COSMETICS OR SIMILAR TOILETRY PREPARATIONS
- A61Q1/00—Make-up preparations; Body powders; Preparations for removing make-up
- A61Q1/02—Preparations containing skin colorants, e.g. pigments
-
- A—HUMAN NECESSITIES
- A61—MEDICAL OR VETERINARY SCIENCE; HYGIENE
- A61Q—SPECIFIC USE OF COSMETICS OR SIMILAR TOILETRY PREPARATIONS
- A61Q13/00—Formulations or additives for perfume preparations
-
- C—CHEMISTRY; METALLURGY
- C08—ORGANIC MACROMOLECULAR COMPOUNDS; THEIR PREPARATION OR CHEMICAL WORKING-UP; COMPOSITIONS BASED THEREON
- C08F—MACROMOLECULAR COMPOUNDS OBTAINED BY REACTIONS ONLY INVOLVING CARBON-TO-CARBON UNSATURATED BONDS
- C08F2/00—Processes of polymerisation
- C08F2/001—Multistage polymerisation processes characterised by a change in reactor conditions without deactivating the intermediate polymer
-
- C—CHEMISTRY; METALLURGY
- C08—ORGANIC MACROMOLECULAR COMPOUNDS; THEIR PREPARATION OR CHEMICAL WORKING-UP; COMPOSITIONS BASED THEREON
- C08F—MACROMOLECULAR COMPOUNDS OBTAINED BY REACTIONS ONLY INVOLVING CARBON-TO-CARBON UNSATURATED BONDS
- C08F2/00—Processes of polymerisation
- C08F2/12—Polymerisation in non-solvents
- C08F2/16—Aqueous medium
- C08F2/22—Emulsion polymerisation
- C08F2/24—Emulsion polymerisation with the aid of emulsifying agents
-
- C—CHEMISTRY; METALLURGY
- C08—ORGANIC MACROMOLECULAR COMPOUNDS; THEIR PREPARATION OR CHEMICAL WORKING-UP; COMPOSITIONS BASED THEREON
- C08F—MACROMOLECULAR COMPOUNDS OBTAINED BY REACTIONS ONLY INVOLVING CARBON-TO-CARBON UNSATURATED BONDS
- C08F2/00—Processes of polymerisation
- C08F2/44—Polymerisation in the presence of compounding ingredients, e.g. plasticisers, dyestuffs, fillers
-
- C—CHEMISTRY; METALLURGY
- C08—ORGANIC MACROMOLECULAR COMPOUNDS; THEIR PREPARATION OR CHEMICAL WORKING-UP; COMPOSITIONS BASED THEREON
- C08F—MACROMOLECULAR COMPOUNDS OBTAINED BY REACTIONS ONLY INVOLVING CARBON-TO-CARBON UNSATURATED BONDS
- C08F218/00—Copolymers of compounds having one or more unsaturated aliphatic radicals, each having only one carbon-to-carbon double bond, and at least one being terminated by an acyloxy radical of a saturated carboxylic acid, of carbonic acid or of a haloformic acid
- C08F218/02—Esters of monocarboxylic acids
- C08F218/04—Vinyl esters
- C08F218/08—Vinyl acetate
-
- C—CHEMISTRY; METALLURGY
- C08—ORGANIC MACROMOLECULAR COMPOUNDS; THEIR PREPARATION OR CHEMICAL WORKING-UP; COMPOSITIONS BASED THEREON
- C08F—MACROMOLECULAR COMPOUNDS OBTAINED BY REACTIONS ONLY INVOLVING CARBON-TO-CARBON UNSATURATED BONDS
- C08F220/00—Copolymers of compounds having one or more unsaturated aliphatic radicals, each having only one carbon-to-carbon double bond, and only one being terminated by only one carboxyl radical or a salt, anhydride ester, amide, imide or nitrile thereof
- C08F220/02—Monocarboxylic acids having less than ten carbon atoms; Derivatives thereof
- C08F220/04—Acids; Metal salts or ammonium salts thereof
- C08F220/06—Acrylic acid; Methacrylic acid; Metal salts or ammonium salts thereof
-
- C—CHEMISTRY; METALLURGY
- C08—ORGANIC MACROMOLECULAR COMPOUNDS; THEIR PREPARATION OR CHEMICAL WORKING-UP; COMPOSITIONS BASED THEREON
- C08F—MACROMOLECULAR COMPOUNDS OBTAINED BY REACTIONS ONLY INVOLVING CARBON-TO-CARBON UNSATURATED BONDS
- C08F220/00—Copolymers of compounds having one or more unsaturated aliphatic radicals, each having only one carbon-to-carbon double bond, and only one being terminated by only one carboxyl radical or a salt, anhydride ester, amide, imide or nitrile thereof
- C08F220/02—Monocarboxylic acids having less than ten carbon atoms; Derivatives thereof
- C08F220/10—Esters
- C08F220/12—Esters of monohydric alcohols or phenols
- C08F220/16—Esters of monohydric alcohols or phenols of phenols or of alcohols containing two or more carbon atoms
- C08F220/18—Esters of monohydric alcohols or phenols of phenols or of alcohols containing two or more carbon atoms with acrylic or methacrylic acids
- C08F220/1802—C2-(meth)acrylate, e.g. ethyl (meth)acrylate
-
- C—CHEMISTRY; METALLURGY
- C08—ORGANIC MACROMOLECULAR COMPOUNDS; THEIR PREPARATION OR CHEMICAL WORKING-UP; COMPOSITIONS BASED THEREON
- C08F—MACROMOLECULAR COMPOUNDS OBTAINED BY REACTIONS ONLY INVOLVING CARBON-TO-CARBON UNSATURATED BONDS
- C08F220/00—Copolymers of compounds having one or more unsaturated aliphatic radicals, each having only one carbon-to-carbon double bond, and only one being terminated by only one carboxyl radical or a salt, anhydride ester, amide, imide or nitrile thereof
- C08F220/02—Monocarboxylic acids having less than ten carbon atoms; Derivatives thereof
- C08F220/10—Esters
- C08F220/12—Esters of monohydric alcohols or phenols
- C08F220/16—Esters of monohydric alcohols or phenols of phenols or of alcohols containing two or more carbon atoms
- C08F220/18—Esters of monohydric alcohols or phenols of phenols or of alcohols containing two or more carbon atoms with acrylic or methacrylic acids
- C08F220/1803—C3-(meth)acrylate, e.g. (iso)propyl (meth)acrylate
-
- C—CHEMISTRY; METALLURGY
- C08—ORGANIC MACROMOLECULAR COMPOUNDS; THEIR PREPARATION OR CHEMICAL WORKING-UP; COMPOSITIONS BASED THEREON
- C08F—MACROMOLECULAR COMPOUNDS OBTAINED BY REACTIONS ONLY INVOLVING CARBON-TO-CARBON UNSATURATED BONDS
- C08F220/00—Copolymers of compounds having one or more unsaturated aliphatic radicals, each having only one carbon-to-carbon double bond, and only one being terminated by only one carboxyl radical or a salt, anhydride ester, amide, imide or nitrile thereof
- C08F220/02—Monocarboxylic acids having less than ten carbon atoms; Derivatives thereof
- C08F220/10—Esters
- C08F220/20—Esters of polyhydric alcohols or phenols, e.g. 2-hydroxyethyl (meth)acrylate or glycerol mono-(meth)acrylate
-
- C—CHEMISTRY; METALLURGY
- C08—ORGANIC MACROMOLECULAR COMPOUNDS; THEIR PREPARATION OR CHEMICAL WORKING-UP; COMPOSITIONS BASED THEREON
- C08F—MACROMOLECULAR COMPOUNDS OBTAINED BY REACTIONS ONLY INVOLVING CARBON-TO-CARBON UNSATURATED BONDS
- C08F222/00—Copolymers of compounds having one or more unsaturated aliphatic radicals, each having only one carbon-to-carbon double bond, and at least one being terminated by a carboxyl radical and containing at least one other carboxyl radical in the molecule; Salts, anhydrides, esters, amides, imides, or nitriles thereof
- C08F222/10—Esters
- C08F222/1006—Esters of polyhydric alcohols or polyhydric phenols
- C08F222/103—Esters of polyhydric alcohols or polyhydric phenols of trialcohols, e.g. trimethylolpropane tri(meth)acrylate
-
- C—CHEMISTRY; METALLURGY
- C08—ORGANIC MACROMOLECULAR COMPOUNDS; THEIR PREPARATION OR CHEMICAL WORKING-UP; COMPOSITIONS BASED THEREON
- C08F—MACROMOLECULAR COMPOUNDS OBTAINED BY REACTIONS ONLY INVOLVING CARBON-TO-CARBON UNSATURATED BONDS
- C08F226/00—Copolymers of compounds having one or more unsaturated aliphatic radicals, each having only one carbon-to-carbon double bond, and at least one being terminated by a single or double bond to nitrogen or by a heterocyclic ring containing nitrogen
- C08F226/06—Copolymers of compounds having one or more unsaturated aliphatic radicals, each having only one carbon-to-carbon double bond, and at least one being terminated by a single or double bond to nitrogen or by a heterocyclic ring containing nitrogen by a heterocyclic ring containing nitrogen
- C08F226/10—N-Vinyl-pyrrolidone
-
- A—HUMAN NECESSITIES
- A61—MEDICAL OR VETERINARY SCIENCE; HYGIENE
- A61K—PREPARATIONS FOR MEDICAL, DENTAL OR TOILETRY PURPOSES
- A61K2800/00—Properties of cosmetic compositions or active ingredients thereof or formulation aids used therein and process related aspects
- A61K2800/20—Chemical, physico-chemical or functional or structural properties of the composition as a whole
- A61K2800/28—Rubbing or scrubbing compositions; Peeling or abrasive compositions; Containing exfoliants
-
- A—HUMAN NECESSITIES
- A61—MEDICAL OR VETERINARY SCIENCE; HYGIENE
- A61K—PREPARATIONS FOR MEDICAL, DENTAL OR TOILETRY PURPOSES
- A61K2800/00—Properties of cosmetic compositions or active ingredients thereof or formulation aids used therein and process related aspects
- A61K2800/40—Chemical, physico-chemical or functional or structural properties of particular ingredients
- A61K2800/48—Thickener, Thickening system
-
- A—HUMAN NECESSITIES
- A61—MEDICAL OR VETERINARY SCIENCE; HYGIENE
- A61K—PREPARATIONS FOR MEDICAL, DENTAL OR TOILETRY PURPOSES
- A61K2800/00—Properties of cosmetic compositions or active ingredients thereof or formulation aids used therein and process related aspects
- A61K2800/40—Chemical, physico-chemical or functional or structural properties of particular ingredients
- A61K2800/59—Mixtures
- A61K2800/596—Mixtures of surface active compounds
-
- C08F2220/1808—
-
- C08F2222/1026—
Landscapes
- Chemical & Material Sciences (AREA)
- Health & Medical Sciences (AREA)
- Life Sciences & Earth Sciences (AREA)
- Chemical Kinetics & Catalysis (AREA)
- Medicinal Chemistry (AREA)
- Polymers & Plastics (AREA)
- Organic Chemistry (AREA)
- General Health & Medical Sciences (AREA)
- Animal Behavior & Ethology (AREA)
- Public Health (AREA)
- Veterinary Medicine (AREA)
- Birds (AREA)
- Epidemiology (AREA)
- Dispersion Chemistry (AREA)
- Macromonomer-Based Addition Polymer (AREA)
- Cosmetics (AREA)
- Addition Polymer Or Copolymer, Post-Treatments, Or Chemical Modifications (AREA)
- Polymerisation Methods In General (AREA)
- Compositions Of Macromolecular Compounds (AREA)
Abstract
본 기술은 레올로지 개질제로서 유용한 알칼리-팽윤가능한 에멀젼 폴리머에 관한 것이다. 더욱 특히, 본 기술은 다중불포화 양친매성 마크로모노머의 잔기를 함유하는 알칼리-팽윤가능한 에멀젼 폴리머에 관한 것이다. 한 가지 양태에서, 개시된 폴리머는 이들이 포함되는 조성물에 탁월한 레올로지 특성, 선명도, 및 장기간에 걸쳐 불용성 및 미립자 물질을 안정하게 현탁시키는 능력뿐만 아니라 개선된 증점 효율을 제공하면서 수성 계면활성제 함유 조성물을 증점시키는데 유용하다.
Description
본 기술은 수성 시스템을 위한 레올로지 개질제(rheology modifier)로서 유용한 알칼리-팽윤가능한 에멀젼 폴리머에 관한 것이다. 더욱 특히, 본 기술은 다중불포화 양친매성 모노머의 잔기를 함유하는 알칼리-팽윤가능한 에멀젼 폴리머에 관한 것이다. 한 가지 구체예에서, 개시된 폴리머는 퍼스널 케어(personal care), 홈 케어(home care), 헬스 케어(health care) 및 페인트 및 코팅 제품을 포뮬레이션(formulation)하는데 사용되는 수성 및 계면활성제 함유 조성물을 위한 증점제로서 유용하다.
레올로지 개질제는 다양한 산업적, 소비자 및 약제학적 제품에서 증점제 및 구조화제(structurant)로서 사용된다. 이들은 제품 성능, 미학, 적용 및 활성 화학 제제의 현탁 및 전달에 영향을 미친다. 최적의 레올로지 특성을 달성하기 위해 퍼스널 케어 제품에서 레올로지 개질제를 포함하는 것은 표준 관례이다. 다양한 폴리머 유형이 퍼스널 케어 조성물의 레올로지 특징을 증가시키려는 목적으로 제안되었고, 화학적 구조 및 물리적 형태에 따라 이들이 증점되는 메카니즘에 대하여 여러 카테고리로 분류된다.
팽윤가능한 아크릴계 에멀젼 폴리머는 수성 조성물을 증점시키는 기술 분야에서 오랫동안 사용되고 있다. 두 가지 주요 부류의 팽윤가능한 아크릴계 에멀젼 폴리머 증점제가 존재한다: 알칼리-팽윤가능한 에멀젼(alkali-swellable emulsion: ASE) 및 소수성 개질된 알칼리-팽윤가능한 에멀젼(hydrophobically modified alkali-swellable emulsion: HASE). ASE 증점제는 전형적으로 산 기(예, (메트)아크릴산)를 함유하는 모노머, 비이온성 기(예, (메트)아크릴산의 비-수용성 저급 알킬 에스테르)를 함유하는 모노머 및 가교를 위한 에틸렌성 다중불포화 모노머를 포함하는 에틸렌성 중합가능한 모노머로부터 제조되는 가교된 코폴리머이다. HASE 증점제는 전형적으로 산 기(예, (메트)아크릴산)을 함유하는 모노머, 비이온성 기(예, (메트)아크릴산의 비-수용성 저급 알킬 에스테르)를 함유하는 모노머 및 소수성 기(예, (메트)아크릴산의 소수성 개질된 폴리옥시알킬렌 에스테르)를 함유하는 회합성 모노머로부터 제조된 코폴리머이다. 본 기술의 폴리머 증점제에는 회합성 모노머 성분이 없다.
ASE 폴리머는 수력학적 증점 메카니즘에 의해 수성 시스템을 증점시킨다. 공급된 대로의 폴리머에 대한 대다수의 산 기는 양성자화된 상태이다. 이러한 상태에서, 폴리머 분자는 단단히 감겨서 이들이 포함되는 수성 매질에 비교적 적은 점도 또는 현탁 특성을 부여한다. 산 기는, 무기 또는 유기 염기로 중화되는 경우에 이온화되어 이온화된 (음이온성) 카복실레이트 기의 전하 반발로 인해 폴리머가 풀리고 연장되게 한다. 이러한 수력학적 증점 메카니즘에서, 중화된 폴리머의 증점 및 현탁 효과는 "공간 충전(space filling)" 또는 "체적 배제(volume exclusion)"로서 때때로 지칭되는 팽창된 폴리머 분자(마이크로겔(microgel))의 물리적 패킹의 증가 때문이다.
ASE 폴리머 증점제와는 달리, HASE 증점제는 폴리머 골격을 따라 위치된 펜던트 소수성 기를 함유한다. 소수성 기는 폴리알킬렌 옥사이드 모이어티를 통해 폴리머 골격으로부터 이격된다. 이러한 폴리머 증점제 부류는 이중 증점 메카니즘에 의해 기능한다. 무기 또는 유기 염기로의 중화 시에, HASE 폴리머는 ASE 수력학적 증점 메카니즘에 대하여 기술된 바와 같이 팽창되고 팽윤된다. 또한, 폴리머 사슬을 따라 위치된 소수성 기는 서로 그리고 또한 폴리머가 포함되는 매질에 함유되는 외인성 소수성 성분과 상호작용하여 3-차원 분자간 및 분자내 소수성 회합 또는 네트워크를 형성시킨다. 팽창된 HASE 사슬에 의해 형성되는 수력학적 배제 메카니즘과 조합된 이러한 네트워크는 요망되는 증점 효과를 야기한다. 외인성 소수성 성분은 계면활성제, 오일, 긴 탄소 사슬 에스테르, 및 불용성 입자 등에 함유되는 소수성 기일 수 있다.
레올로지 개질제는 이것이 포함되는 조성물의 점도를 높이거나 향상시킬 수 있지만, 요망되는 항복 응력 특성을 반드시 제공하지는 않는다. 항복 응력 특성은 액체 매질에서의 특정 물리적 및 미적 특징, 예컨대, 매질내 입자, 불용성 액체 방울의 희미한 현탁, 또는 가스 버블의 안정화를 달성하는데 있어서 중요하다. 액체 매질에 분산된 입자는 매질의 항복 응력(항복 값)이 그러한 입자에 대한 중력 또는 부력의 영향을 극복하기에 충분한 경우에 현탁된 채로 존재할 것이다. 불용성 액체 방울은 상승 및 유착이 방지될 수 있고, 가스 버블은 포뮬레이팅 툴로서 항복 값을 사용하는 액체 매질에 현탁되고 균일하게 분배될 수 있다. 항복 응력 폴리머는 일반적으로 수성 조성물의 레올로지 특성을 조절하거나 개질시키는데 사용된다. 그러한 특성은, 제한 없이, 점도 개선, 유량 개선, 시간에 따른 점도 변화에 대한 안정성, 및 무기한의 시간 동안 입자를 현탁시키는 능력을 포함한다.
ASE 레올로지 개질 폴리머를, 이것이 분산되는 수성 매질에 항복 응력 특성을 부여하기 위해, 공유 가교시키는 것은 알려져 있다[Principles of Polymer Science and Technology in Cosmetics and Personal Care, Ch. 6, pp. 233-235; Marcel Dekker, Inc., 1999]. Lubrizol Advanced Materials, Inc.의 미국 특허 제6,635,702호에는 불용성 및 미립자 물질을 함유하는 생성물을 증점시키고 안정화시키기 위해 수성 계면활성제 함유 조성물에서 사용하기 위한 가교된 ASE 폴리머가 개시되어 있다. 개시된 조성물은 안정하고, 매력적인 시각적 외관을 갖는 것으로 입증된다.
ASE 폴리머를 가교시키는데 사용되는 가교제는 적어도 두 개의 에틸렌성 중합가능한 불포화 모이어티를 함유하는 통상적인 가교 모노머이다. 이들은 비교적 저분자량 분자(전형적으로 300 달톤 미만)이다. 아크릴계 기반 모노머의 에멀젼 중합에서 사용되는 예시적인 가교제는 폴리비닐 방향족 모노머 (예,디비닐벤젠, 디비닐 나프탈렌, 및 트리비닐벤젠); 다중불포화 지환족 모노머 (예, 1,2,4-트리비닐사이클로헥산; 프탈산의 이작용성 에스테르 (예, 디알릴 프탈레이트); 폴리알케닐 에테르 (예, 트리알릴 펜타에리트리톨, 디알릴 펜타에리트리톨, 디알릴 수크로스, 옥타알릴 수크로스, 및 트리메틸올프로판 디알릴 에테르); 폴리알콜 또는 폴리산의 다중불포화 에스테르 (예, 1,6-헥산디올 디(메트)아크릴레이트, 테트라메틸렌 트리(메트)아크릴레이트, 알릴 (메트)아크릴레이트, 디알릴 이타코네이트, 디알릴 푸마레이트, 디알릴 말레에이트, 트리메틸올프로판 트리(메트)아크릴레이트, 트리메틸올프로판 디(메트)아크릴레이트, 및 폴리에틸렌 글리콜 디(메트)아크릴레이트); 알킬렌 비스아크릴아미드 (예, 메틸렌 비스아크릴아미드 및 프로필렌 비스아크릴아미드); 메틸렌 비스-아크릴아미드 (예, N,N'-비스메틸올 메틸렌 비스아크릴아미드)의 하이드록시 및 카복시 유도체; 폴리에틸렌글리콜 디(메트)아크릴레이트 (예, 에틸렌글리콜 디(메트)아크릴레이트, 디에틸렌글리콜 디(메트)아크릴레이트, 및 트리에틸렌글리콜 디(메트)아크릴레이트이다.
그러나, 몇몇 ASE 폴리머는 증점 효율, 예컨대, pH의 비교적 적은 변화에 대한 바람직하지 않은 높은 민감도, 전해질 농도, 또는 요망되는 표적 점도 값을 야기하는데 필요한 폴리머의 양과 관련하여 단점을 나타냈다. 수성 매질에서 그러한 폴리머의 증점 효율은 더 낮은 폴리머 농도에서, 특히 낮은 pH에서, 예컨대, 약 7 미만의 pH에서 낮아지는 경향이 있지만, 더 높은 폴리머 농도 및/또는 더 높은 pH에서 현저히 증가되는 경향이 있다. 이러한 민감도는 pH 또는 폴리머 농도의 비교적 적은 변화와 함께 레올로지 특성의 바람직하지 않은 큰 변화, 예컨대, 점도의 매우 급격한 증가를 초래할 수 있다. 특성들의 불균형적인 큰 변화는 예상되는 사용 조건하에 요망되는 성능 프로파일을 지니고 이를 유지하는 조성물을 구성하는데 있어서 어려움을 초래할 뿐만 아니라, 그러한 조성물을 제조하고 취급하는데 어려움을 초래할 수 있다. 결과적으로, 가교된 ASE 폴리머는 증점 효율과 관련하여 단점을 나타냈고, 그에 따라서 특히 낮은 pH에서는 요망되는 증점 수준을 제공하기 위해 바람직하지 않게 다량의 폴리머를 필요로 하고, 요망되는 레올로지 특성을 제공하기에 충분한 양으로 사용되는 경우에는, 수성 조성물의 탁한, 반투명한, 또는 불투명한 시각적 외관을 부여할 수 있다. 탁한, 반투명한, 또는 불투명한 시각적 외관은, 예를 들어, 퍼스널 케어 포뮬레이션, 예컨대, 샴푸 및 바디 워시와 같이 미적 기준이 중요한 최종 용도에서 바람직하지 않을 수 있다. 게다가, 몇몇 ASE 폴리머, 예컨대, 몇몇 가교된 ASE 아크릴레이트 코폴리머는 전형적으로 더 낮은 증점 효율을 나타내고/거나 염 및 계면활성제의 존재하에 탁한, 반투명한 또는 불투명한 시각적 외관을 부여하는데, 이는 또한, 예를 들어, 퍼스널 케어 조성물과 같은 몇몇 시스템에서 그러한 폴리머의 유용성을 제한한다.
그러한 매질에서 개선된 레올로지, 미적, 및/또는 적용 성능 특성을 제공하는 액체 매질, 더욱 전형적으로, 수성 매질의 레올로지 특성을 개질시키는데 사용하기 위한 ASE 폴리머를 위한 지속적인 해결되지 않은 요구가 존재한다.
본 기술의 폴리머를 함유하는 조성물은 그러한 조성물 내에 함유하는 불용성 및 미립자 물질을 연장된 기간에 걸쳐 안정하게 현탁시키는 능력 및 항복 응력 특성을 유지하면서 개선된 증점 효율 및/또는 시각적 선명도를 나타낸다.
개시된 기술의 요약
본 기술은 알칼리 팽윤가능한 에멀젼 (ASE) 폴리머, 및 이를 함유하는 조성물에 관한 것이다. 본 기술의 ASE 폴리머는 (A) 적어도 하나의 산성 비닐 모노머; (B) 적어도 하나의 비이온성 비닐 모노머; (C) 적어도 하나의 다중불포화 양친매성 마크로모노머; 및 임의로 (D) 적어도 하나의 통상적인 가교 모노머를 포함하는 모노머 혼합물의 중합 생성물이다.
폴리머 레올로지 개질제는 하기 화학식 (I)으로 표현되는 코폴리머이다:
상기 식에서, (A)는 적어도 하나의 산성 비닐 모노머 잔기의 반복 단위이고; (B)는 적어도 하나의 비이온성 비닐 모노머 잔기의 반복 단위이고; (C)는 적어도 하나의 양친매성 다중불포화 마크로모노머 잔기의 반복 단위이고; (D)는 다중불포화 가교 모노머 잔기이고; a, b, c, 및 d는 코폴리머 내에 함유된 각각의 모노머 반복 단위의 중량 비율을 나타내고, a + b + c + d의 합은 100 중량%이다.
한 가지 양태에서, 개시된 기술의 ASE 폴리머를 제조하는데 사용되는 중합가능한 모노머 혼합물은 사슬 전달제 (E)e를 함유하고, 여기서 e는 중합가능한 모노머 혼합물에 존재하는 사슬 전달제의 중량%를 나타내고, a + b + c + d + e의 합은 모노머 혼합물의 100 중량%이다.
모노머 잔기 A, B, C, 및 D는 서로 공유적으로 링킹되고, 랜덤, 블록 및 분지 구조로 배열될 수 있다.
본 기술의 ASE 폴리머는 추가 또는 보조 레올로지 개질제를 필요로 하지 않으면서 부어질 수 있는 액체 내지 부어질 수 없는 겔 뿐만 아니라 흐르지 않지만 여전히 유동가능한 조성물 범위의 미적으로 우수한 레올로지 특성을 지니는 조성물을 제공한다. 개시된 폴리머는 또한 마모제, 안료, 미립자, 수불용성 물질, 예컨대, 캡슐화된 오일 비드, 리포솜, 캡슐, 실리콘, 및 가스 버블 등을 현탁시킬 수 있다.
유리하게는, 개시된 기술의 ASE 폴리머는, 제한 없이, 퍼스널 케어 제품, 헬스 케어 제품, 가정 케어 제품, 시설 및 산업적 케어 제품 등에서, 그리고 산업적인 화학적 공정 및 적용에서, 예를 들어, 레올로지 개질제, 필름 형성제, 증점제, 에멀젼화제, 안정화제, 가용화제, 현탁제, 및 안료 그라인딩 첨가제로서 사용될 수 있다. 개시된 ASE 폴리머는 퍼스널 케어 조성물, 피니싱(finishing), 코팅 및 프린팅 적용을 위한 텍스타일 처리 조성물, 및 산업적 및 소비자용 페인트 및 코팅에서 증점제로서 특히 유용하다.
개시된 기술의 ASE 폴리머는 개선된 증점 효율, 장기간 현탁 안정성 및 넓은 폴리머 농도 및 pH 범위에 걸친 선명도를 계면활성제 함유 조성물에 제공할 수 있다.
도 1은 계면활성제 함유 포뮬레이션에 항복 응력 특성을 제공할 수 있는 폴리머에 대한 증가하는 진동 응력 진폭(Pa)의 함수로서 탄성(G') 및 점성 계수(G")의 예시적인 플롯을 도시한 것이다. 플롯은 포뮬레이션의 항복 응력 값에 상응하는 G' 및 G"의 교차점을 보여주는 것이다.
도 2는 비교예 5 및 실시예 6의 폴리머를 함유하는 수성 분산물에 대한 선택된 pH 값에서의 점도(y-축) 대 폴리머 농도(x-축)의 플롯이다.
도 2는 비교예 5 및 실시예 6의 폴리머를 함유하는 수성 분산물에 대한 선택된 pH 값에서의 점도(y-축) 대 폴리머 농도(x-축)의 플롯이다.
예시적 구체예의 설명
개시된 기술에 따른 예시적 구체예가 기재될 것이다. 본원에 기재된 예시적 구체예의 다양한 변형, 개조 또는 변동은 그렇게 개시된 대로 당업자에게 명백해질 수 있다. 개시된 기술의 교시에 의존적이고, 그러한 교시가 기술을 진보시킨 그러한 모든 변형, 개조 또는 변동은 본원에 개시된 기술의 범위 및 사상 내에 있는 것으로 고려됨이 이해될 것이다.
개시된 기술의 조성물, 폴리머, 및 방법은 적합하게는 본원에 기재된 성분, 엘리먼트, 단계, 및 공정 묘사를 포함하거나, 이로 구성되거나, 이를 필수적으로 포함하여 구성될 수 있다. 본원에 예시적으로 개시된 기술은 적합하게는 본원에 구체적으로 개시되지 않은 임의의 엘리먼트의 부재하에 실시될 수 있다.
달리 언급되지 않는 한, 관사 단수형은 하나 이상을 의미한다.
달리 명시되지 않는 한, 본원에 표현된 모든 백분율, 부, 및 비는 개시된 시술의 전체 조성물의 중량을 기준으로 한다.
개시된 기술의 폴리머에 혼입되는 특정 모노머(들)가 언급되는 경우, 모노머(들)는 특정 모노머(들)로부터 유래된 단위(들)(예, 반복 단위 또는 모노머 잔기)로서 폴리머 골격에 혼입됨이 인식될 것이다.
본원에 사용되는 용어 "양친매성"은 구성성분 물질이 별개의 친수성 부분과 소수성 부분을 지니는 것을 의미한다. "친수성"은 전형적으로 물 및 다른 극성 분자와 분자간 상호작용하는 부분을 의미한다. "소수성"은 전형적으로 수성 매질보다는 오히려 오일, 지방 또는 다른 비-극성 분자 또는 성분과 우선적으로 상호작용하는 부분을 의미한다.
접두사 "(메트)아크릴"은 "아크릴"뿐만 아니라 "메타크릴"을 포함한다. 예를 들어, 용어 (메트)아크릴계는 아크릴계와 메타크릴계 둘 모두를 포함하고, 용어 (메트)아크릴레이트는 아크릴레이트 뿐만 아니라 메타크릴레이트를 포함한다. 추가의 예로서, 용어 "(메트)아크릴아미드"는 아크릴아미드와 메타크릴아미드 둘 모두를 포함한다.
명세서 및 청구범위의 어느 곳에서 뿐만 아니라 본원에서는 개별적인 수치 (탄소 원자 수치 포함), 또는 한계치는 조합되어 추가의 비-개시된 및/또는 비-명시된 범위를 형성할 수 있다.
개시된 기술의 폴리머, 조성물 및 포뮬레이션에 함유되는 다양한 화합물, 성분 및 구성요소에 대해 중첩되는 중량 범위가 기술의 선택된 구체예 및 양태에 대해 표현되었으나, 개시된 폴리머, 조성물 및 포뮬레이션 중 각각의 성분의 구체적인 양은 각각의 성분의 양을 조정하여 폴리머, 조성물 또는 포뮬레이션 중 모든 성분들의 합이 총 100 중량%가 되도록, 이의 개시된 범위로부터 선택될 것임이 용이하게 자명해야 한다. 이용되는 양은 요망되는 제품의 목적 및 특성에 따라 달라질 것이고 당업자에 의해 용이하게 결정될 수 있다.
본원에 제공된 제목은 예시를 제공하는 것이며, 어떤 방법 또는 방식으로 개시된 기술을 제한하는 것이 아니다.
산성 비닐 모노머 (A)
본 발명에서 사용하기에 적합한 산성 비닐 모노머는 산성 또는 음이온성 작용 자리를 제공하기 위해 적어도 하나의 카복실산 기, 설폰산 기, 또는 포스폰산 기를 함유하는 산성의 중합가능한 에틸렌성 불포화 모노머이다. 이러한 산 기는 일산 또는 이산, 디카복실산의 무수물, 이산의 모노에스테르, 및 이의 염으로부터 유도될 수 있다.
적합한 산성 비닐 카복실산 모노머는 아크릴산, 메타크릴산, 이타콘산, 시트라콘산, 말레산, 푸마르산, 크로톤산, 아코니트산, 및 이의 염을 포함하지만, 이로 제한되지 않는다. 예를 들어, 메틸 하이드로젠 말레에이트, 모노이소프로필 말레에이트, 부틸 하이드로젠 푸마레이트와 같은 말레산, 푸마르산, 이타콘산, 아코니트산, 및 이의 염의 알킬 (C1-C18) 모노에스테르가 산성 비닐 모노머로서 사용될 수 있다. 디카복실산의 무수물, 예컨대, 말레산 무수물, 이타콘산 무수물, 시트라콘산 무수물, 및 이의 염이 또한 산성 비닐 모노머로서 사용될 수 있다. 그러한 무수물은 일반적으로 물에 장기간 노출 시에, 또는 상승된 pH에서 상응하는 이산으로 가수분해된다.
적합한 설폰산 기 함유 모노머는 비닐 설폰산, 2-설포에틸 메타크릴레이트, 스티렌 설폰산, 2-아크릴아미도 2-메틸프로판 설폰산 (AMPS™ 모노머), 및 알릴옥시벤젠 설폰산 등을 포함하지만, 이로 제한되지 않는다.
적합한 포스폰산 기 함유 모노머의 비 제한적 예는 비닐 포스폰산, 알릴 포스폰산, 및 3-아크릴아미도프로필 포스폰산 등을 포함한다.
산성 비닐 모노머의 적합한 염은, 제한 없이, 알칼리 금속 염, 예컨대, 나트륨, 칼륨 및 리튬 염; 알칼리 토금속 염, 예컨대, 칼슘 및 마그네슘 염; 암모늄 염; 및 알킬 치환된 암모늄 염, 예컨대, 2-아미노-2-메틸-1-프로판올(AMP)의 염, 에탄올아민, 디에탄올아민, 트리에탄올아민, 및 트리에틸아민 등을 포함한다.
산성 비닐 모노머 및/또는 이의 염은 개시된 폴리머를 제조하기 위해 모노머 혼합물에서 개별적으로 또는 둘 이상의 혼합물로 사용될 수 있다. 산성 비닐 모노머는 한 가지 양태에서 전체 모노머 혼합물의 약 5 내지 약 75 중량%, 또 다른 양태에서 약 10 내지 약 65 중량%, 추가의 양태에서 약 25 내지 약 60 중량%, 또 다른 추가의 양태에서 총 모노머 중량을 기준으로 약 30 내지 약 45로 포함된다.
비이온성
비닐 모노머 (B)
개시된 기술에서 사용하기에 적합한 비이온성 비닐 모노머는 공중합가능한 비이온성의 에틸렌성 불포화 모노머이다. 비이온성은 모노머(또는 모노머 반복 단위)가 양 또는 음 전하를 함유하지 않으며, 산성 또는 알칼리성 pH에 노출되는 경우에 수용액에서 이온화되지 않는다는 것을 의미한다. 비이온성 비닐 모노머는 수용성이거나 수불용성일 수 있다. 개시된 기술의 한 가지 양태에서, 비이온성 비닐 모노머는 화학식 (I)으로부터 선택된 적어도 하나의 화합물, 화학식 (II)로부터 선택된 적어도 하나의 화합물, 및 화학식 (I) 및 화학식 (II)로부터 선택된 화합물들의 혼합물이다:
여기서, 각각의 화학식 (I) 및 (II)에서, X는 H 또는 메틸이고; Z는 -C(O)OR1, -C(O)NH2, -C(O)NHR1, -C(O)N(R1)2, -C6H4R1, -C6H4OR1, -C6H4Cl, -CN, -NHC(O)CH3, -NHC(O)H, N-(2-피롤리도닐), N-카프로락탐일, -C(O)NHC(CH3)3, -C(O)NHCH2CH2-N-에틸렌우레아, -SiR3, -C(O)O(CH2)xSiR3, -C(O)NH(CH2)xSiR3, 또는 -(CH2)xSiR3이고; x는 약 1 내지 약 6 범위의 정수이고; 각각의 R은 독립적으로 선형 및 분지형 C1-C18 알킬이고; 각각의 R1은 독립적으로 선형 및 분지형 C1-C30 알킬, 하이드록시 치환된 선형 및 분지형 C2-C30 알킬, 또는 할로겐 치환된 선형 및 분지형 C1-C30 알킬이다.
적합한 수불용성의 비이온성 비닐 모노머의 비-제한적 예는 C1-C30 알킬 (메트)아크릴레이트, 예컨대, 메틸 (메트)아크릴레이트, 에틸 (메트)아크릴레이트, 프로필 (메트)아크릴레이트, 2차-부틸 (메트)아크릴레이트, 이소-부틸 (메트)아크릴레이트, 3차-부틸 (메트)아크릴레이트), 헥실 (메트)아크릴레이트, 헵틸 (메트)아크릴레이트, 옥틸 (메트)아크릴레이트, 2-에틸헥실 (메트)아크릴레이트, 데실 (메트)아크릴레이트, 이소데실 (메트)아크릴레이트, 라우릴 (메트)아크릴레이트, 테트라데실 (메트)아크릴레이트, 헥사데실 (메트)아크릴레이트, 스테아릴 (메트)아크릴레이트, 베헤닐 (메트)아크릴레이트, 및 이들의 혼합물; C1-C30 알킬 (메트)아크릴아미드; 스티렌; 치환된 스티렌, 예컨대, 비닐 톨루엔 (예, 2-메틸 스티렌), 부틸 스티렌, 이소프로필 스티렌, 및 p-클로로 스티렌 등; 비닐 에스테르, 예컨대, 비닐 아세테이트, 비닐 부티레이트, 비닐 카프롤레이트, 비닐 피발레이트, 및 비닐 네오데카노에이트 등; 불포화 니트릴, 예컨대, 메타크릴로니트릴, 및 아크릴로니트릴 등; 및 불포화 실란, 예컨대, 트리메틸비닐실란, 디메틸에틸비닐실란, 알릴디메틸페닐실란, 알리트리메틸실란, 3-아크릴아미도프로필트리메틸실란, 3-트리메틸실릴프로필 메타크릴레이트, 및 이들의 혼합물을 포함한다.
적합한 수용성 비이온성 비닐 모노머의 비-제한적 예는 C2-C6 하이드록시알킬 (메트)아크릴레이트 (예, 2-하이드록시에틸(메트)아크릴레이트, 3-하이드록시프로필(메트)아크릴레이트, 및 4-하이드록시부틸(메트)아크릴레이트); 글리세롤 모노(메트)아크릴레이트; 트리스(하이드록시메틸)에탄 모노(메트)아크릴레이트; 펜타에리트리톨 모노(메트)아크릴레이트; N-하이드록시메틸 (메트)아크릴아미드; 2-하이드록시에틸 (메트)아크릴아미드; 3-하이드록시프로필 (메트)아크릴아미드; (메트)아크릴아미드; N-비닐 카프로락탐; N-비닐 피롤리돈; 메타크릴아미도에틸-N-에틸렌우레아 (예, CH2=C(CH3)C(O)NHCH2CH2-N-에틸렌우레아), C1-C4 알콕시 치환된 (메트)아크릴레이트 및 (메트)아크릴아미드, 예컨대, 메톡시에틸 (메트)아크릴레이트, 2-(2-에톡시에톡시)에틸 (메트)아크릴레이트, 및 이들의 혼합물이다.
비이온성 비닐 모노머는 한 가지 양태에서 전체 모노머 혼합물의 약 10 내지 약 90 중량%, 또 다른 양태에서 약 25 내지 약 75 중량%, 추가의 양태에서 총 모노머 중량 기준을 기초로 약 30 내지 약 60 중량%로 포함된다.
양친매성
다중불포화
마크로모노머
(C)
양친매성 다중불포화 마크로모노머는 소수성 모이어티 및 친수성 모이어티를 함유한다. 소수성 모이어티는 오일 중에 가용성을 제공하고, 친수성 모이어티는 수용성을 제공한다. 마크로모노머의 양친매성 성질은 이것이 포함되는 폴리머에 계면활성제-유사 특성을 준다.
양친매성 다중불포화 마크로모노머는 한 가지 양태에서 적어도 500 달톤, 또 다른 양태에서 500 내지 60,000 달톤, 추가의 또 다른 양태에서 1,000 내지 50,000 달톤, 추가의 양태에서 1500 내지 30,000 달톤, 또 다른 추가의 양태에서 2,000 내지 25,000 달톤의 분자량을 갖는다.
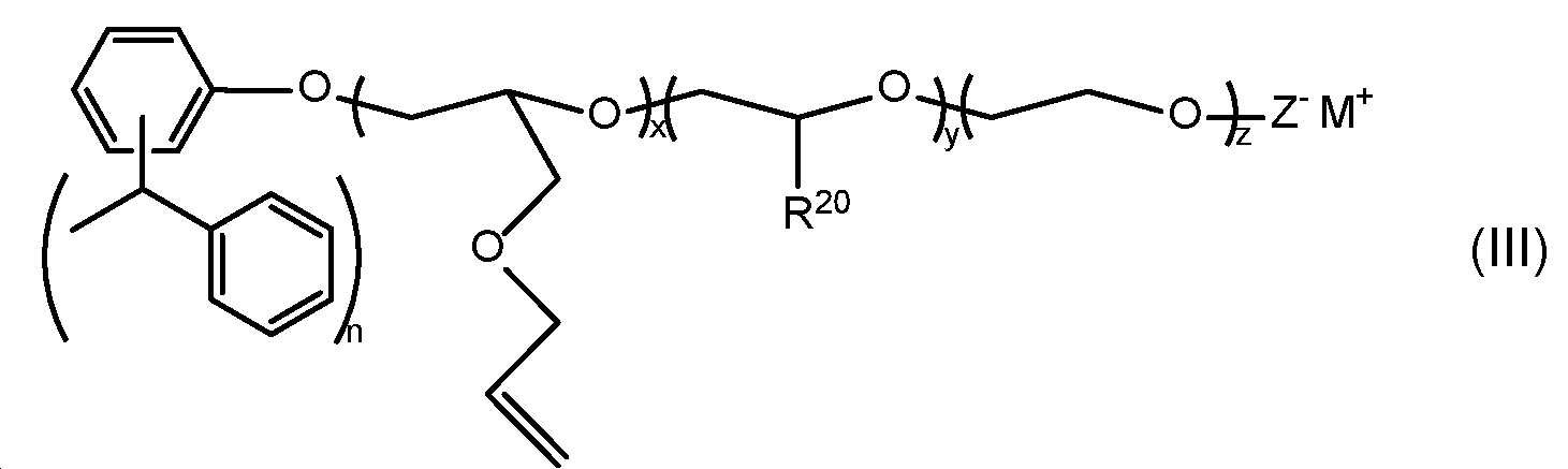
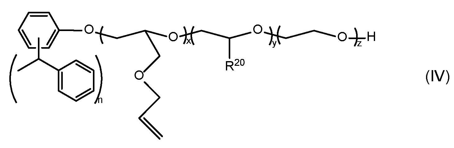
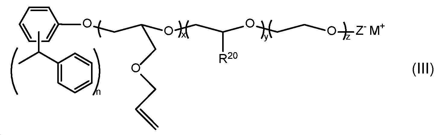
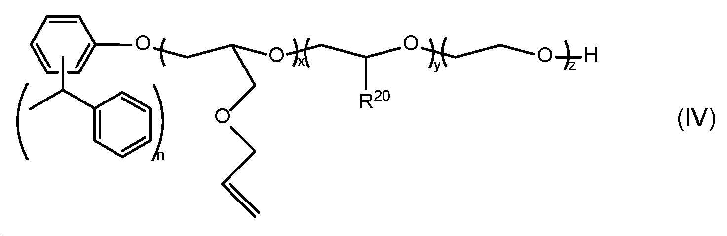
한 가지 양태에서, 본 기술과 사용하기에 적합한 예시적인 양친매성 다중불포화 마크로모노머는 하기 화학식들로 표현되는 US 2013/0047892호(Palmer, Jr. 등의 2013년 2월 28일자 공개됨)에 개시된 것들과 같은 화합물을 포함할 수 있지만, 이로 제한되지 않는다:
상기 화학식 (III)에서, R20은 CH3, CH2CH3, C6H5, 또는 C14H29이고; n은 1, 2, 또는 3이고; x는 2-10이고, y는 0-200이고, z는 4-200, 더욱 바람직하게는 약 5 내지 60, 가장 바람직하게는 약 5 내지 40이고; Z는 SO3 - 또는 PO3 2-일 수 있고, M+는 Na+, K+, NH4 +, 또는 알칸올아민, 예컨대, 모노에탄올아민, 디에탄올아민, 및 트리에탄올아민이고;
상기 화학식 (IV)에서, R20은 CH3, CH2CH3, C6H5, 또는 C14H29이고; n은 1, 2, 3이고; x는 2-10이고, y는 0-200이고, z는 한 가지 양태에서 4-200, 또 다른 양태에서 약 5 내지 60, 추가의 양태에서 약 5 내지 40이고;
상기 화학식 (V)에서, R21은 한 가지 양태에서 C8-C30 알킬, 알크아릴, 알케닐, 또는 사이클로알킬 기, 및 또 다른 양태에서 C10-C24 알킬, 아릴, 알킬아릴, 및 아르알킬아릴 기이고; R22는 CH3, CH2CH3, C6H5, 또는 C14H29이고; x는 한 가지 양태에서 2-100, 및 또 다른 양태에서 2-10이고, y는 한 가지 양태에서 0-200, 및 또 다른 양태에서 0 또는 1-50이고, z는 한 가지 양태에서 4-200, 또 다른 양태에서 약 5 내지 60, 및 추가의 양태에서 약 5-40이고; R23은 H 또는 Z- M+이고, 여기서 Z는 SO3 - 또는 PO3 2-일 수 있고, M+는 Na+, K+, NH4 +, 또는 알칸올아민, 예컨대, 모노에탄올아민, 디에탄올아민, 및 트리에탄올아민이다.
한 가지 양태에서, 다중불포화 마크로모노머는 화학식 (V), (VI) 또는 (VII)로 표현되는 화합물들로부터 선택된다:
상기 화학식 (VI)에서, n은 1 또는 2이고; z는 한 가지 양태에서 4-40, 또 다른 양태에서 5-38, 추가의 양태에서 10-20이고; R23은 H, SO3 -M+ 또는 PO3 -M+이고, M은 Na, K, 및 NH4로부터 선택된다.
한 가지 구체예에서, 양친매성 다중불포화 마크로모노머는 개시된 기술의 ASE 폴리머를 제조하기 위해 사용되는 단일불포화 모노머의 총 중량을 기준으로 한 가지 양태에서 약 0.01 내지 약 20 중량%, 또 다른 양태에서 약 0.5 내지 약 10 중량%, 추가의 또 다른 양태에서 약 0.75 내지 약 7 중량%, 추가의 양태에서 약 1 내지 약 5 중량%, 또 다른 추가의 양태에서 약 1.5 내지 약 3 중량% 범위의 양으로 사용될 수 있다. 또 다른 방식으로 명시하자면, 양친매성 마크로모노머의 양은 개시된 기술의 ASE 폴리머를 제조하기 위해 사용되는 전체 단일불포화 모노머의 100중량부 당(100% 활성 물질) 중량부 기준으로(100% 활성 물질) 계산될 수 있다.
한 가지 구체예에서, 양친매성 다중불포화 마크로모노머는 분자 내 평균적으로 약 1.5 내지 약 2개의 불포화 모이어티를 함유한다.
가교 모노머 (D)
한 가지 구체예에서, 개시된 기술의 실시에 유용한 폴리머는 임의로 양친매성 마크로모노머 (D)에 더하여 통상적인 가교 모노머로부터 제조된다. 가교 모노머(들)는 폴리머 골격으로 공유 가교를 중합시키는데 사용된다. 가교제는 적어도 2개의 에틸렌성 중합가능한 불포화 모이어티를 함유하는 통상적인 가교 모노머이다. 이들은 비교적 낮은 분자량 화합물(300 달톤 미만)이다. 한 가지 양태에서, 가교 모노머는 적어도 2개의 불포화 모이어티를 함유하는 다중불포화 화합물이다. 또 다른 양태에서, 가교 모노머는 적어도 3개의 불포화 모이어티를 함유한다. 예시적인 다중불포화 화합물은 디(메트)아크릴레이트 화합물, 예컨대, 에틸렌 글리콜 디(메트)아크릴레이트, 폴리에틸렌 글리콜 디(메트)아크릴레이트, 트리에틸렌 글리콜 디(메트)아크릴레이트, 1,3-부틸렌 글리콜 디(메트)아크릴레이트, 1,6-부틸렌 글리콜 디(메트)아크릴레이트, 1,6-헥산디올 디(메트)아크릴레이트, 네오펜틸 글리콜 디(메트)아크릴레이트, 1,9-노난디올 디(메트)아크릴레이트, 2,2'-비스(4-(아크릴옥시-프로필옥시페닐)프로판, 및 2,2'-비스(4-(아크릴옥시디에톡시-페닐)프로판; 트리(메트)아크릴레이트 화합물, 예컨대, 트리메틸올프로판 트리(메트)아크릴레이트, 트리메틸올에탄 트리(메트)아크릴레이트, 및 테트라메틸올메탄 트리(메트)아크릴레이트; 테트라(메트)아크릴레이트 화합물, 예컨대, 디트리메틸올프로판 테트라(메트)아크릴레이트, 테트라메틸올메탄 테트라(메트)아크릴레이트, 및 펜타에리트리톨 테트라(메트)아크릴레이트; 헥사(메트)아크릴레이트 화합물, 예컨대, 디펜타에리트리톨 헥사(메트)아크릴레이트; 알릴 화합물, 예컨대, 알릴 (메트)아크릴레이트, 디알릴프탈레이트, 디알릴 이타코네이트, 디알릴 푸마레이트, 및 디알릴 말레에이트; 분자당 2 내지 8개의 알릴 기를 갖는 수크로스의 폴리알릴 에테르, 펜타에리트리톨의 폴리알릴 에테르, 예컨대, 펜타에리트리톨 디알릴 에테르, 펜타에리트리톨 트리알릴 에테르, 및 펜타에리트리톨 테트라알릴 에테르, 및 이들의 조합물; 트리메틸올프로판의 폴리알릴 에테르, 예컨대, 트리메틸올프로판 디알릴 에테르, 트리메틸올프로판 트리알릴 에테르, 및 이들의 조합물을 포함한다. 다른 적합한 다중불포화 화합물은 디비닐 글리콜, 디비닐 벤젠, 및 메틸렌비스아크릴아미드를 포함한다.
또 다른 양태에서, 적합한 다중불포화 모노머는 에틸렌 옥사이드 또는 프로필렌 옥사이드 또는 이들의 조합물로부터 제조된 폴리올과 말레산 무수물, 시트라콘산 무수물, 이타콘산 무수물과 같은 불포화 무수물의 에스테르화 반응, 또는 3-이소프로페닐-α-α-디메틸벤젠 이소시아네이트와 같은 불포화 이소시아네이트의 첨가 반응을 통해 합성될 수 있다.
또한, 상기 다중불포화 화합물들 중 둘 이상의 혼합물이 개시된 기술의 ASE 폴리머를 가교하는데 사용될 수 있다.
개시된 기술의 한 가지 구체예에서, 가교 모노머의 양은 한 가지 양태에서 0 내지 약 1 중량%, 또 다른 양태에서 약 0.01 내지 약 0.75 중량%, 추가의 또 다른 양태에서 약 0.1 내지 약 0.5, 및 또 다른 추가의 양태에서 약 0.15 내지 약 0.3 중량%의 범위이고, 모든 중량 비율은 개시된 기술의 ASE 폴리머를 제조하는데 사용되는 단일불포화 모노머의 총 중량을 기준으로 한다. 또 다른 방식으로 명시하면, 하기 논의된 통상적인 가교 모노머의 양은 개시된 기술의 폴리머를 제조하는데 사용되는 전체 단일불포화 모노머의 100중량부(100% 활성 물질) 당 중량부(100% 활성 물질)의 기준으로 계산될 수 있다.
한 가지 구체예에서, 본 기술의 ASE 폴리머는 본원에 기재된 양친매성 마크로모노머 이외의 어떠한 다중불포화 모노머(예, 통상적인 가교제)가 없는 모노머 혼합물로부터 제조된다.
ASE
폴리머
합성
개시된 기술의 선형 및 ASE 폴리머는 통상적인 자유-라디칼 에멀젼 중합 기술을 이용하여 제조될 수 있다. 중합 공정은 질소와 같은 불활성 분위기하에 산소의 부재에서 수행된다. 중합은 물과 같은 적합한 용매 시스템에서 수행될 수 있다. 소량의 탄화수소 용매, 유기 용매, 뿐만 아니라 이들의 혼합물이 사용될 수 있다. 중합 반응은 적합한 자유-라디칼의 생성을 야기하는 어떠한 수단에 의해 개시된다. 라디칼 종이 퍼옥사이드, 하이드로퍼옥사이드, 퍼설페이트, 퍼카보네이트, 퍼옥시에스테르, 과산화수소 및 아조 화합물의 열적 균형 해리(thermal, homolytic dissociation)로부터 생성되는, 열적으로 유도된 라디칼이 사용될 수 있다. 개시제는 중합 반응에 사용되는 용매 시스템에 좌우하여 수용성 또는 수불용성일 수 있다.
개시제 화합물은 건조 폴리머의 총 중량을 기준으로 한 가지 양태에서 30 중량% 이하, 또 다른 양태에서 0.01 내지 10 중량%, 및 추가의 양태에서 0.2 내지 3 중량%의 양으로 사용될 수 있다.
예시적인 자유 라디칼 수용성 개시제는 무기 퍼설페이트 화합물, 예컨대, 암모늄 퍼설페이트, 포타슘 퍼설페이트, 및 소듐 퍼설페이트; 퍼옥사이드, 예컨대, 과산화수소, 벤조일 퍼옥사이드, 아세틸 퍼옥사이드, 및 라우릴 퍼옥사이드; 유기 하이드로퍼옥사이드, 예컨대, 쿠멘 하이드로퍼옥사이드 및 t-부틸 하이드로퍼옥사이드; 유기 과산, 예컨대, 퍼아세트산, 및 수용성 아조 화합물, 예컨대, 알킬 기 상에 수용성 치환체를 갖는 2,2'-아조비스(3차-알킬) 화합물을 포함하지만, 이로 제한되지 않는다. 예시적인 자유 라디칼 유용성 화합물은 2,2'-아조비스이소부티로니트릴 등을 포함하지만, 이로 제한되지 않는다. 퍼옥사이드 및 과산은 임의로 환원제, 예컨대, 소듐 바이설파이트, 소듐 포름알데하이드, 또는 아스코르브산, 전이 금속, 및 하이드라진 등으로 활성화될 수 있다.
한 가지 양태에서, 아조 중합 촉매는 DuPont로부터 입수 가능한 Vazo®자유-라디칼 중합 개시제, 예컨대, Vazo®44 (2,2'-아조비스(2-(4,5-디하이드로이미다졸릴)프로판), Vazo®56 (2,2'-아조비스(2-메틸프로피온아미딘) 디하이드로클로라이드), Vazo®67 (2,2'-아조비스(2-메틸부티로니트릴)), 및 Vazo®68 (4,4'-아조비스(4-시아노발레르산)), 및 Wako Chemicals로부터의 VA-086 (2,2'-아조비스[2-메틸-N-(2-하이드록시에틸)프로핀아미드])를 포함한다.
에멀젼 중합 공정에서, 표면 활성 보조제에 의해 모노머/폴리머 액적 또는 입자를 안정화시키는 것이 유리할 수 있다. 전형적으로, 이는 에멀젼화제 또는 보호 콜로이드이다. 사용된 에멀젼화제는 음이온성, 비이온성, 양이온성 또는 양쪽성일 수 있다. 음이온성 에멀젼화제의 예는 알킬벤젠설폰산, 설폰화된 지방산, 설포석시네이트, 지방 알콜 설페이트, 알킬페놀 설페이트 및 지방 알콜 에테르 설페이트이다. 이용할 수 있는 비이온성 에멀젼화제의 예는 알킬페놀 에톡실레이트, 일차 알콜 에톡실레이트, 지방산 에톡실레이트, 알칸올아미드 에톡실레이트, 지방 아민 에톡실레이트, EO/PO 블록 코폴리머 및 알킬폴리글루코사이드이다. 사용된 양이온성 및 양쪽성 에멀젼화제의 예는 사차화된 아민 알콕실레이트, 알킬베타인, 알킬아미도베타인 및 설포베타인이다.
통상적인 보호 콜로이드의 예에는 셀룰로스 유도체, 폴리에틸렌 글리콜, 폴리프로필렌 글리콜, 에틸렌 글리콜과 프로필렌 글리콜의 코폴리머, 폴리비닐 아세테이트, 폴리(비닐 알콜), 부분 가수분해된 폴리(비닐 알콜), 폴리비닐 에테르, 전분 및 전분 유도체, 덱스트란, 폴리비닐피롤리돈, 폴리비닐피리딘, 폴리에틸렌이민, 폴리비닐이미다졸, 폴리비닐석신이미드, 폴리비닐-2-메틸석신이미드, 폴리비닐-1,3-옥사졸리드-2-온, 폴리비닐-2-메틸이미다졸린 및 말레산 또는 무수물 코폴리머가 있다. 에멀젼화제 또는 보호 콜로이드는 통상적으로 총 모노머들의 중량을 기준으로 0.05 내지 20 중량%의 농도로 사용된다.
임의로, 중합 개시제로서의 공지된 레독스 개시제 시스템의 사용이 이용될 수 있다. 이러한 레독스 개시제 시스템은 산화제(개시제) 및 환원제를 포함한다. 적합한 산화제는, 예를 들어, 과산화수소, 소듐 퍼옥사이드, 포타슘 퍼옥사이드, t-부틸 하이드로퍼옥사이드, t-아밀 하이드로퍼옥사이드, 쿠멘 하이드로퍼옥사이드, 소듐 퍼보레이트, 과인산 및 이의 염, 포타슘 퍼망가네이트, 및 퍼옥시디황산의 암모늄 또는 알칼리 금속 염을 포함하며, 이는 건조 폴리머 중량을 기준으로 통상적으로 0.01 중량% 내지 3.0 중량%의 수준으로 사용된다. 적합한 환원제는, 예를 들어, 황-함유 산의 알칼리 금속 및 암모늄 염, 예컨대, 소듐 설파이트, 바이설파이트, 티오설페이트, 하이드로설파이트, 설파이드, 하이드로설파이드 또는 디티오나이트, 포르마딘설핀산, 하이드록시메탄설폰산, 아세톤 바이설파이트, 아민, 예컨대, 에탄올아민, 글리콜산, 글리옥실산 수화물, 아스코르브산, 이소아스코르브산, 락트산, 글리세르산, 말산, 2-하이드록시-2-설피네이토아세트산, 타르타르산 및 상술된 산들의 염을 포함하며, 이는 통상적으로 건조 폴리머 중량을 기준으로 0.01 중량% 내지 3.0 중량%의 수준으로 사용된다. 한 가지 양태에서, 퍼옥소디설페이트와 알칼리 금속 또는 암모늄 바이설파이트의 조합물, 예를 들어, 암모늄 퍼옥소디설페이트와 암모늄 바이설파이트의 조합물이 사용될 수 있다. 또 다른 양태에서, 산화제로서 과산화수소 함유 화합물 (t-부틸 하이드로퍼옥사이드)과 환원제로서 아스코르브산 또는 에리토르브산의 조합물이 사용될 수 있다. 퍼옥사이드-함유 화합물 대 환원제의 비는 30:1 내지 0.05:1 범위 내이다.
중합 반응은 한 가지 양태에서 20 내지 200℃, 또 다른 양태에서 50 내지 150℃, 및 추가 양태에서 60 내지 100℃ 범위의 온도에서 수행될 수 있다.
중합은 사슬 전달제 (G)의 존재하에 수행될 수 있다. 적합한 사슬전달제는 티오- 및 디설파이드 함유 화합물, 예컨대, C1-C18 알킬 머캅탄, 예컨대, 3차-부틸 머캅탄, n-옥틸 머캅탄, n-도데실 머캅탄, 3차-도데실 머캅탄 헥사데실 머캅탄, 옥타데실 머캅탄; 머캅토알콜, 예컨대, 2-머캅토에탄올, 2-머캅토프로판올; 머캅토카복실산, 예컨대, 머캅토아세트산 및 3-머캅토프로피온산; 머캅토카복실산 에스테르, 예컨대, 부틸 티오글리콜레이트, 이소옥틸 티오글리콜레이트, 도데실 티오글리콜레이트, 이소옥틸 3-머캅토프로피오네이트, 및 부틸 3-머캅토프로피오네이트; 티오에스테르; C1-C18 알킬 디설파이드; 아릴디설파이드; 다작용성 티올, 예컨대, 트리메틸올프로판-트리스-(3-머캅토프로피오네이트), 펜타에리트리톨-테트라-(3-머캅토프로피오네이트), 펜타에리트리톨-테트라-(티오글리콜레이트), 펜타에리트리톨-테트라-(티오락테이트), 및 디펜타에리트리톨-헥사-(티오글리콜레이트) 등; 포스파이트 및 하이포포스파이트; C1-C4 알데하이드, 예컨대, 포름알데하이드, 아세트알데하이드, 프로피온알데하이드; 할로알킬 화합물, 예컨대, 카본 테트라클로라이드, 및 브로모트리클로로메탄 등; 하이드록실암모늄 염, 예컨대, 하이드록실암모늄 설페이트; 포름산; 소듐 바이설파이트; 이소프로판올; 및, 예를 들어, 코발트 착물(예를 들어, 코발트(II) 킬레이트)과 같은 촉매 사슬 전달제를 포함하지만, 이로 제한되지 않는다.
사슬 전달제는 일반적으로 중합 매질에 존재하는 모노머의 총 중량을 기준으로 한 가지 양태에서 약 0.05 내지 약 10 중량%, 또 다른 양태에서 약 0.1 내지 약 5 중량%, 추가의 양태에서 약 0.5 내지 약 1 중량% 범위의 양으로 사용된다.
에멀젼
공정
개시된 기술의 한 가지 예시적인 양태에서, 개시된 기술의 ASE 폴리머는 에멀젼 공정을 통해 중합된다. 에멀젼 공정은 당해 분야에 널리 공지된 바와 같이 단일 반응기 또는 다중 반응기들에서 수행될 수 있다. 모노머들은 배치 혼합물(batch mixture)로서 첨가될 수 있거나, 각 모노머는 단계별 공정에서 반응기로 계량될 수 있다. 에멀젼 중합에서 통상적인 혼합물은 물, 모노머(들), 개시제(대개 수용성) 및 에멀젼화제를 포함한다. 모노머들은 에멀젼 중합 분야에서 널리 공지된 방법에 따라 1-단계, 2-단계 또는 다단계 중합 공정에서 에멀젼 중합될 수 있다. 2-단계 중합 공정에서, 제 1 단계 모노머들이 먼저 수성 매질에 첨가되고 중합된 후에, 제 2 단계 모노머가 첨가되고 중합된다. 수성 매질은 임의로 유기 용매를 함유할 수 있다. 유기 용매는, 사용되는 경우에, 수성 매질의 약 5 중량% 미만이다. 수혼화성 유기 용매의 적합한 예는, 제한 없이, 에스테르, 알킬렌 글리콜 에테르, 알킬렌 글리콜 에테르 에스테르, 및 저분자량 지방족 알콜 등을 포함한다.
모노머 혼합물의 에멀젼화를 촉진시키기 위해, 에멀젼 중합은 적어도 하나의 계면활성제의 존재하에 수행된다. 한 가지 구체예에서, 에멀젼 중합은 총 모노머 중량을 기준으로 한 가지 양태에서 약 0.2 중량% 내지 약 5 중량%, 또 다른 양태에서 약 0.5 중량% 내지 약 3 중량%, 및 추가의 양태에서 약 1 중량% 내지 약 2 중량% 양의 범위의 계면활성제(활성물 중량 기준)의 존재하에 수행된다. 에멀젼 중합 반응 혼합물은 또한 총 모노머 중량을 기준으로 약 0.01 중량% 내지 약 3 중량% 범위의 양으로 존재하는 하나 이상의 자유 라디칼 개시제를 포함한다. 중합은 수성 또는 수성 알콜 매질에서 수행될 수 있다. 에멀젼 중합을 촉진시키기 위한 계면활성제는 음이온성, 비이온성, 양쪽성, 및 양이온성 계면활성제, 뿐만 아니라 이들의 혼합물을 포함한다. 가장 흔하게는, 음이온성 및 비이온성 계면활성제, 뿐만 아니라 이들의 혼합물이 사용될 수 있다.
에멀젼 중합을 촉진시키기에 적합한 음이온성 계면활성제는 당해 분야에 널리 공지되어 있고, (C6-C18) 알킬 설페이트, (C6-C18) 알킬 에테르 설페이트(예를 들어, 소듐 라우릴 설페이트 및 소듐 라우레쓰 설페이트), 도데실벤젠설폰산의 아미노 및 알칼리 금속염, 예컨대, 소듐 도데실 벤젠 설포네이트 및 디메틸에탄올아민 도데실벤젠설포네이트, 소듐 (C6-C16) 알킬 페녹시 벤젠 설포네이트, 디소듐 (C6-C16) 알킬 페녹시 벤젠 설포네이트, 디소듐 (C6-C16) 디-알킬 페녹시 벤젠 설포네이트, 디소듐 라우레쓰-3 설포석시네이트, 소듐 디옥틸 설포석시네이트, 소듐 디-2차-부틸 나프탈렌 설포네이트, 디소듐 도데실 디페닐 에테르 설포네이트, 디소듐 n-옥타데실 설포석시네이트, 및 분지형 알콜 에톡실레이트의 포스페이트 에스테르 등을 포함하지만, 이로 제한되지 않는다.
에멀젼 중합을 촉진시키기에 적합한 비이온성 계면활성제는 폴리머 분야에 널리 공지되어 있고, 제한 없이, 선형 또는 분지형 C8-C30 지방 알콜 에톡실레이트, 예컨대, 카프릴 알콜 에톡실레이트, 라우릴 알콜 에톡실레이트, 미리스틸 알콜 에톡실레이트, 세틸 알콜 에톡실레이트, 스테아릴 알콜 에톡실레이트, 세테아릴 알콜 에톡실레이트, 스테롤 에톡실레이트, 올레일 알콜 에톡실레이트, 및 베헤닐 알콜 에톡실레이트; 알킬페놀 알콕실레이트, 예컨대, 옥틸페놀 에톡실레이트; 및 폴리옥시에틸렌 폴리옥시프로필렌 블록 코폴리머 등을 포함한다. 비이온성 계면활성제로서 적합한 추가적인 지방 알콜 에톡실레이트는 하기에 기술되어 있다. 다른 유용한 비이온성 계면활성제는 폴리옥시에틸렌 글리콜의 C8-C22 지방산 에스테르, 에톡실화된 모노- 및 디글리세라이드, 소르비탄 에스테르 및 에톡실화된 소르비탄 에스테르, C8-C22 지방산 글리콜 에스테르, 에틸렌 옥사이드 및 프로필렌 옥사이드의 블록 코폴리머, 및 이들의 조합물을 포함한다. 상기 에톡실레이트 각각에서 에틸렌 옥사이드 단위의 수는 한 가지 양태에서 2 이상, 및 또 다른 양태에서 2 내지 약 150의 범위일 수 있다.
임의로, 에멀젼 중합 분야에서 널리 공지된 다른 에멀젼 중합 첨가제 및 가공 보조제, 예컨대, 보조 에멀젼화제, 보호 콜로이드, 용매, 완충제, 킬레이팅제, 무기 전해질, 폴리머 안정화제, 살생물제, 및 pH 조절제가 중합 시스템에 포함될 수 있다.
개시된 기술의 한 가지 구체예에서, 보호 콜로이드 또는 보조 에멀젼화제는 한 가지 양태에서 약 80 내지 95%, 및 또 다른 양태에서 약 85 내지 90% 범위의 가수분해도를 갖는 폴리(비닐 알콜)(PVA)로부터 선택된다. 상업적으로 입수 가능한 PVA는 Sekisui Specialty Chemicals에 의해 판매되는 Selvol™ 502 및 203이다.
통상적인 2 단계 에멀젼 중합에서, 모노머들의 혼합물은 제 1 반응기에서 불활성 대기 하에서 수중 에멀젼화 계면활성제(예를 들어, 음이온성 계면활성제)의 용액에 첨가된다. 임의의 가공 보조제는 요망에 따라 첨가될 수 있다(예를 들어, 보호 콜로이드, 보조 에멀젼화제(들)). 반응기의 내용물들은 모노머 에멀젼을 제조하기 위해 교반된다. 교반기, 불활성 가스 유입구, 및 공급 펌프가 장착된 제 2 반응기에, 불활성 대기 하에서 요망되는 양의 물 및 추가적인 음이온성 계면활성제 및 선택적인 가공 보조제가 첨가된다. 제 2 반응기의 내용물들은 혼합 교반과 함께 가열된다. 제 2 반응기의 내용물이 약 55 내지 98℃ 범위의 온도에 도달한 후에, 자유 라디칼 개시제는 제 2 반응기에서 이에 따라 형성된 계면활성제 수용액에 주입되며, 제 1 반응기로부터의 모노머 에멀젼은 제 2 반응기에 통상적으로 약 30분 내지 약 4시간 범위의 기간에 걸쳐 점진적으로 계량된다. 반응 온도는 약 45 내지 약 95℃ 범위로 조절된다. 모노머 첨가를 완료한 후에, 추가적인 양의 자유 라디칼 개시제는 임의로 제 2 반응기에 첨가될 수 있으며, 얻어진 반응 혼합물은 폴리머 에멀젼을 수득하기 위하여, 통상적으로 약 45 내지 95℃의 온도에서 중합 반응을 완료하기에 충분한 기간 동안 정치된다.
폴리머 에멀젼 생성물은 에멀젼의 중량을 기준으로 한 가지 양태에서 약 1% 내지 약 60%의 전체 활성 폴리머 고형물 (TS), 또 다른 양태에서 약 10% 내지 약 50%의 전체 폴리머 고형물, 추가의 또 다른 양태에서 약 15% 내지 약 45% 전체 폴리머 고형물, 추가의 양태에서 약 25% 내지 약 35%, 및 약 30 내지 32%를 함유하도록 제조될 수 있다.
한 가지 양태에서, 폴리머 제품은 랜덤 코폴리머이고, 폴리(메틸 메타크릴레이트) (PMMA)로 보정된 겔 투과 크로마토그래피(gel permeation chromatography: GPC)에 의해 측정하는 경우, 한 가지 양태에서 약 500,000 초과 내지 적어도 약 10억 달톤 또는 그 초과의 범위, 또 다른 양태에서 약 600,000 내지 약 45억 달톤, 추가의 양태에서 약 1,000,000 내지 약 3,000,000 달톤, 및 또 다른 추가의 양태에서 약 1,500,000 내지 약 2,000,000 달톤 범위의 수 평균 분자량을 갖는다(본원에 참조로 포함되는 문헌[TDS-222, October 15, 2007, Lubrizol Advanced Materials, Inc.]을 참조하라).
임의의 중화 전에, 폴리머 에멀젼은, 생성된 대로, 전형적으로 약 2 내지 약 5.5 이하 범위의 pH, 및 주위 실온에서 약 100 밀리 파스칼 초(mPaㆍs) 이하의 브룩필드 점도(Brookfield viscosity)(스핀들 No. 2, 20 rpm)를 갖는다.
임의로, 생성된 폴리머 에멀젼은 추가로, 알칼리성 pH가 요망되는 경우, 알칼리성 물질, 바람직하게는 알칼리 금속 하이드록사이드, 및 유기 염기 등으로 pH를 약 3 내지 약 7.5 이상 범위의 값으로 조절함으로써 가공될 수 있다. 폴리머 에멀젼은 전형적으로 약 100 mPaㆍs 초과의 점도로 팽윤되고, 중성 내지 알칼리성 pH에서 점성 용액 또는 겔을 형성시키고, 폴리머는 일반적으로 그러한 pH 값에서, 심지어 약 12 초과의 pH 값에서 실질적으로 안정하다. 폴리머 에멀젼은 물 또는 용매로 희석되거나, 물을 일부 증발시킴으로써 농축될 수 있다. 대안적으로, 얻어진 폴리머 에멀젼은 당해 기술 분야에 널리 공지된 장비, 예컨대, 분무 건조기, 드럼 건조기, 또는 동결 건조기를 사용함으로써 분말 또는 결정질 형태로 실질적으로 건조될 수 있다.
ASE 폴리머는 폴리머의 성능 또는 특성을 변경시키거나 불리하게 영향을 미치지 않으면서 최종 조성물의 사용을 위한 의도된 형태를 달성하기 위해 다양한 공지된 첨가제 및 통상적인 애주번트(adjuvant) 및 용매를 필요에 따라 에멀젼 생성물에 혼입함으로써 사용될 수 있다. 대안적으로, 폴리머는 통상적인 혼합 장비를 사용하여 바람직하게는 액체 형태로 포뮬레이션으로 구성성분으로서 혼입될 수 있다.
개시된 기술의 ASE 폴리머는 필름 형성제로서 사용될 수 있다. 선택된 ASE 폴리머 필름 형성제의 유리 전이 온도(Tg)가 주위 실온보다 실질적으로 높은 경우, ASE 필름 형성제의 Tg는 포뮬레이션에서 첨가제, 예컨대, 유착제(coalescing agent), 가소제 및 이들의 혼합물을 포함함으로써 요망되는 Tg를 달성하도록 조절될 수 있다. 그러한 첨가제는 주위 실온 또는 요망되는 온도로 ASE 폴리머의 Tg를 감소시킴으로써 필름 형성을 보조할 수 있다.
개시된 기술의 ASE 폴리머는 퍼스널 케어 제품, 국소용 헬스 케어 제품, 가정 케어 제품, 시설 및 산업적 (I&I) 제품 및 산업적 공정을 위해 포뮬레이션된 조성물에서, 예를 들어, 이로 제한되지 않으면서, 레올로지 개질제, 현탁제, 필름 형성제, 증점제, 안정화제, 에멀젼화제, 및 가용화제로서 사용될 수 있다. 상기 제품들은 전형적으로, 이로 제한되지 않으면서, 산성화 또는 알칼리화 pH 조절제 및 완충제; 고정제(fixative) 및 보조 필름 형성제, 예컨대, 검, 수지, 합성 또는 천연 유래 폴리머 등; 보조 레올로지 개질제, 예컨대, 점도 증가 폴리머 증점제 또는 겔화제, 첨가제, 예컨대, 에멀젼화제, 에멀젼 안정화제, 왁스, 분산제 등, 및 점도 제어제, 예컨대, 용매, 전해질 등; 모발 및 피부 컨디셔닝제, 예컨대, 정전기 방지제, 합성 오일, 식물성 또는 동물성 오일, 실리콘 오일, 모노머 또는 폴리머 사차화된 암모늄 염, 진정제(emollient), 보습제(humectant), 윤활제, 선스크린제 등; 화학적 모발 웨이브 또는 스트레이트제; 모발 착색제, 예컨대, 일시적, 반영구적, 또는 영구적 모발 염색을 위한 안료 및 염료; 계면활성제, 예컨대, 음이온성, 양이온성, 비이온성, 양쪽성 및 쯔비터이온성 계면활성제; 폴리머 필름 개질제, 예컨대, 가소화제, 습윤제, 점착제, 탈착제, 습윤제(wetting agent) 등, 제품 피니싱제, 예컨대, 킬레이트제, 유백제(opacifier), 진주광택제(pearlescing agent), 보존제, 향료, 가용화제, 착색제, 예컨대, 안료 및 염료, UV 흡수제 등; 추진제(수혼화성 또는 수비혼화성), 예컨대, 불화 탄화수소, 액체 휘발성 탄화수소, 압축 가스 등; 및 이들의 혼합물을 포함하여 당해 기술 분야에 널리 공지된 바와 같은 다양한 첨가제 및 통상적인 애주번트를 포함할 수 있다.
한 가지 구체예에서, 개시된 기술의 ASE 폴리머는 미립자 물질 및 불용성 액적을 수성 조성물 중에 현탁시키는데 사용될 수 있다. 그러한 유체는 오일 및 가스, 퍼스널 케어, 홈케어, 페인트, 코팅 및 잉크 및 접착제/결합제 조성물에서 유용하다.
안정한 조성물은 45℃에서 연장된 기간, 예컨대, 적어도 1개월에 걸쳐 점도의 상당한 증가 또는 감소 없이, 상 분리, 예를 들어, 침강 또는 크리밍 아웃(creaming out)(표면으로 상승) 또는 선명도의 손실 없이, 우수한 전단 담화 특성과 함께 매끈하고 허용가능한 레올로지를 유지한다.
코팅, 잉크, 및 접착제/결합제 산업에서, 개시된 기술의 ASE 폴리머는 a) 연속 매질(흔히 물 기반)보다 더 짙거나 덜 짙은 고체 입자, 분산된 액체, 포집된 기체, 및 미립자(현탁 보조)의 침강 또는 크리밍을 제어하거나 최소화시키고; b) 기재에 대해 코팅, 잉크, 또는 접착제의 연속 또는 불연속 층의 적용 점도를 제어하고; c) 코팅, 잉크, 또는 접착제가 연속적인 겔화 폴리머를 형성시킬 때까지 적용 직전에 또는 적용 후의 시기에 코팅, 잉크, 또는 접착제의 이동 또는 흐름을 최소화시키고; e) 일부 적용 공정에서 스플래터(splatter) 및 미스팅(misting)을 감소시키고; f) 그러한 적용에서의 최적의 저장, 적용 용이성, 및 최종 표면 피니시를 용이하기 하기 위한 등등으로 액체 조성물의 점도를 조절하는데 유용하다. 코팅, 잉크 및 접착제는 미립자 또는 섬유질 충전제, 안료, 염료, 그 밖의 폴리머, 계면활성제 및/또는 분산제, 유착 보조제, 가소제, 살생물제 및 코팅, 잉크, 및 접착제에 사용되는 그 밖의 통상적인 첨가제를 포함할 수 있다. 코팅은 금속, 플라스틱, 목재, 석조부분(masonry), 텍스타일, 페이퍼 등에 사용될 수 있다. 잉크는 어떠한 잉크 기재, 예컨대, 페이퍼, 폴리머, 직물, 부직포, 필름 등에 사용될 수 있다. ASE 폴리머는 코팅, 잉크, 또는 접착제의 점도 제어와 광학적 선명도(안료화된 조성물의 색 강도를 돕기 위해) 둘 모두에 기여할 수 있다.
퍼스널 케어, 국소용 퍼스널 케어, 및 홈케어 산업에서, 개시된 기술의 ASE 폴리머는 수성 및 계면활성제 함유 조성물을 증점시키기 위해서 뿐만 아니라 계면활성제 함유 조성물, 모발 및 피부 케어 조성물, 및 화장품의 항복 응력(불용성 미립자 물질의 안정한 현탁) 특성을 개선시키기 위해 레올로지 개질제로서 사용될 수 있다. ASE 폴리머는 불용성 실리콘, 유백제, 및 진주광택제(예, 운모, 코팅 운모), 안료, 각질제거제, 비듬방지제, 클레이, 팽윤성 클레이, 라포나이트(laponite), 가스 버블(미적 기포), 리포솜, 마이크로스폰지, 화장용 비드, 향료 마이크로캡슐, 향료 입자, 마이크로캡슐 및 입자를 함유하는 유익한 제제, 화장용 마이크로캡슐, 및 플레이크를 현탁시키기 위해 사용될 수 있다. 개시된 기술의 ASE 폴리머는 한 가지 양태에서 23℃에서 적어도 1개월, 또 다른 양태에서 적어도 6개월, 및 추가의 양태에서 적어도 1년 동안 현탁에 이러한 물질을 안정화시킬 수 있다.
퍼스널 케어 및 국소용 헬스 케어를 위한 조성물은 화장품 및 약제학적 문헌으로부터 공지된 레올로지 개질 또는 증점을 필요로 하는 어떠한 화장품, 세면용품, 및 국소용 약제학적 포뮬레이션을 포함할 수 있다. 레올로지 개질제로서 ASE 폴리머를 포함할 수 있는 전형적인 퍼스널 케어 포뮬레이션은, 이로 제한되지 않으면서, 샴푸, 화학적 및 비-화학적 헤어 컬링 및 헤어 스트레이트 제품, 헤어 스타일 유지 제품, 손톱, 손, 발, 안면, 두피, 및 신체용 에멀젼 로션 및 크림, 염모제, 페이스 및 바디 메이크업, 네일 케어 제품, 수렴제, 데오드란트, 발한억제제, 제모제, 피부 보호 크림 및 로션, 예컨대, 선스크린, 스킨 및 바디 클렌저, 스킨 컨디셔너, 스킨 토너, 피부 탄력 조성물(skin firming composition), 액체 소프, 소프 바, 바쓰 제품, 및 쉐이빙 제품 등을 포함한다. 클렌징 또는 수딩을 위한 피부 및 점막에 도포되는 국소용 헬스 케어를 위한 포뮬레이션된 조성물은 국소적으로 활성인 약제의 존재에 의해 주로 구성성분의 순도 등급이 상이한 동일한 제품 형태의 퍼스널 케어 제품을 위해 사용되는 다수의 동일한 생리적으로 허용가능한 화장품 구성성분 및 화학적으로 불활성인 구성성분과 컴파운딩(compounding)된다. 예를 들어, 국소용 헬스 케어 제품은 의약품 또는 카운터 제품으로 분류될 수 있는 경구 위생 제품, 예컨대, 치약, 경구 현탁액, 및 구강 케어 제품을 포함하고, 식물의약품 또는 영양의약품 구성성분을 함유하는 약용화장품을 포함한다.
퍼스널 케어 및 국소용 헬스 케어를 위한 조성물은, 이로 제한되지 않으면서, 피부 및 모발에 도포되고, 물로 헹구거나 샴푸 또는 소프로 세척하여 제거될 때까지 이와 접촉된 채로 남아 있는 액체, 예컨대, 린스, 겔, 스프레이, 에멀젼, 예컨대, 로션 및 크림, 샴푸, 포마드, 포움, 연고, 정제, 스틱, 예컨대, 립 케어 제품, 메이크업, 및 좌약, 및 유사 제품의 형태일 수 있다. 겔은 부드럽거나 뻣뻣하거나 짜질 수 있다. 에멀젼은 수중유, 유중수, 또는 다상일 수 있다. 스프레이는 수동으로 펌핑된 손가락 작동식 분무기로부터 전달되는 비 가압 에어로졸일 수 있거나, 가압 에어로졸일 수 있다. ASE 폴리머는 에어로졸 조성물, 예컨대, 스프레이, 무스, 또는 포움 형성 포뮬레이션으로 포뮬레이션될 수 있고, 여기서 화학적 또는 기체 추진제가 필요하다. 생리학적으로 및 환경적으로 허용가능한 추진제, 예컨대, 압축 가스, 불화 탄화수소 및 액체 휘발성 탄화수소, 및 사용될 양 및 적합한 조합은 화장품 및 약제학적 기술 및 문헌에 널리 공지되어 있다.
퍼스널 케어 및 화장품 구성성분의 추가 목록 및 이들의 기능은, 예를 들어, INCI 사전, 일반적으로, 특히, 본원에 참조로 포함되는 문헌[Vol. 2, Section 4 of the Seventh Edition]에 나타나 있다. 퍼스널 케어 및 헬스 케어 제품을 포뮬레이션하는 당업자들은 일부 구성성분이 다작용성이고, 그에 따라서 포뮬레이션에 하나 초과의 용도를 제공할 수 있음을 인식한다. 따라서, 퍼스널 케어 또는 헬스 케어 제품 성분으로서 사용되는 ASE 폴리머의 양은 포뮬레이션된 조성물의 목적 및 특성이 이의 의도된 기능으로 수행되는 한 제한되지 않는다.
레올로지 개질제로서 개시된 기술의 ASE 폴리머를 함유하는 전형적인 가정 케어, 및 I&I 케어 제품은, 이로 제한되지 않으면서, 이에 사용되고 위치되는 가전을 포함하는 주방 및 욕실 카운터 탑, 타일 표면 및 유틸리티용 표면 클렌저, 변기 림 겔을 포함한 욕실 클렌저, 바닥 클렌저, 벽 클렌저, 광택제(polish), 방향제 겔(air freshener gel), 세제, 식기 및 세탁물용 처리제 및 클렌저, 예컨대, 섬유 유연제, 얼룩 감소제, 및 섬유 처리제 등을 포함한다.
본 발명에 따른 ASE 폴리머 및 폴리머 조성물은 pH-반응성이다. 에멀젼 중합이 일어나는 더 낮은 pH 수준, 즉, 5 이하의 pH 수준에서, 조성물은 비교적 묽거나 비-점성이다. 폴리머 분산물의 pH가 알칼리성 물질(염기)의 첨가에 의해 한 가지 양태에서 약 5.5 이상, 및 또 다른 양태에서 약 6.5 내지 약 11의 pH로 중화되거나 조절되는 경우, 조성물은 실질적으로 걸쭉해진다. 점도는 폴리머가 조성물의 수성 상에서 부분적으로 또는 완전히 용해됨에 따라서 증가된다. 중화는 에멀젼 폴리머가 염기와 배합되고 수성 상에 첨가되는 때에 동일 반응계로 일어날 수 있다. 또는, 주어진 적용을 위해 요망되는 경우, 중화는 수성 제품과 배합되는 때에 수행될 수 있다.
다수 유형의 알칼리성 중화제는 무기 및 유기 염기, 및 이들의 조합물을 포함하는 폴리머를 중화시키는데 사용될 수 있다. 무기 염기의 예는 알칼리 금속 수산화물(특히, 나트륨, 칼륨, 및 암모늄), 및 무기 산의 알칼리 금속 염, 예컨대, 소듐 보레이트 (붕사), 소듐 포스페이트, 및 소듐 파이로포스페이트 등; 및 이들의 혼합물을 포함하지만, 이로 제한되지 않는다. 유기 염기의 예는 트리에탄올아민 (TEA), 디이소프로판올아민, 트리이소프로판올아민, 아미노메틸 프로판올, 도데실아민, 코카민, 올레아민, 모르폴린, 트리아밀아민, 트리에틸아민, 테트라키스(하이드록시프로필)에틸렌디아민, L-아르기닌, 아미노메틸 프로판올, 트로메타민 (2-아미노 2-하이드록시메틸-1,3-프로판디올), 및 PEG-15 코카민을 포함하지만, 이로 제한되지 않는다. 대안적으로, 그 밖의 알칼리성 물질은 단독으로 또는 상기 언급된 무기 및 유기 염기와 조합되어 사용될 수 있다. 그러한 물질은 계면활성제, 계면활성제 혼합물, 사전-중화된 계면활성제 또는 본 발명의 폴리머를 함유하는 조성물에 조합되는 경우에 폴리머 골격 상에 카복실 기를 중화시키거나 부분적으로 중화시킬 수 있는 물질을 포함한다. 조성물의 pH를 증가시킬 수 있는 어떠한 물질이 적합하다.
개시된 기술의 ASE 폴리머를 포함하는 조성물은 한 가지 양태에서 약 4 내지 약 12, 또 다른 양태에서 약 6 내지 약 7.5, 및 추가의 양태에서 약 6.5 내지 약 7의 요망되는 pH 범위를 갖는다.
상기 조성물에 사용될 수 있는 ASE 폴리머의 양은 포뮬레이션 기술 분야의 당업자에 의해 결정될 수 있다. 따라서, 요망되는 제품의 물리화학적 및 기능 특성이 달성되는 한, 전체 조성물 중량 기준으로 폴리머의 유용한 양은 전형적으로 한 가지 양태에서 약 0.01 내지 약 25 중량%, 또 다른 양태에서 약 0.1 내지 약 15 중량%, 추가의 양태에서 약 0.5 내지 약 10 중량%, 및 또 다른 추가의 양태에서 약 0.75 내지 약 8 wt.%, 및 전체 조성물의 중량을 기준으로(100%의 활성 폴리머 고형물 기준으로 모든 폴리머 중량) 추가의 양태에서 약 1 내지 약 5 중량%의 범위로 다양할 수 있다.
한 가지 구체예에서, 개시된 기술은 물, 하나 이상의 계면활성제 및 개시된 기술에 따른 ASE 폴리머를 포함하는 퍼스널 케어 조성물에 관한 것이다. 본 기술의 한 가지 양태에서, 개시된 ASE 폴리머는 증점된 계면활성제 함유 조성물을 제공하도록 계면활성제와 포뮬레이션될 수 있다. 계면활성제는 적어도 하나의 음이온성 계면활성제, 적어도 하나의 양이온성 계면활성제, 적어도 하나의 양쪽성 또는 쯔비터이온성 계면활성제, 적어도 하나의 비이온성 계면활성제, 및 이들의 혼합물로부터 선택될 수 있다.
한 가지 구체예에서, 개시된 기술은 물, 하나 이상의 계면활성제 및 적어도 하나의 개시된 기술에 따른 ASE 폴리머를 포함하는 퍼스널 케어 조성물에 관한 것이고, 여기서 하나 이상의 계면활성제는 한 가지 양태에서 약 3 내지 약 25 wt.%, 또 다른 양태에서 약 5 내지 약 20 wt.%, 및 추가의 양태에서 약 8 내지 약 16 wt.% 범위의 넓은 농도에 걸쳐 존재하고(전체 조성물의 중량을 기준으로 100% 활성 물질), 적어도 하나의 ASE 폴리머는 한 가지 양태에서 약 1 내지 약 5 wt.%, 또 다른 양태에서 약 1.5 내지 약 4 wt.%, 및 추가의 양태에서 약 1.75 내지 약 3 wt.%로 존재하고(조성물의 총 중량을 기준으로 100% 활성 물질), 그러한 조성물은 한 가지 양태에서 약 1,000 내지 약 35,000 mPaㆍs, 또 다른 양태에서 약 3,000 내지 약 25,000 mPaㆍs, 추가의 또 다른 양태에서 약 5,000 내지 약 20,000 mPaㆍs, 및 추가의 양태에서 약 8,000 내지 약 15,000 mPaㆍs 범위의 이상적인 점도를 갖고(브룩필드 회전 스핀들 점도계, 모델 RVT에 의해서 약 20 rpm으로 20 내지 25℃ 범위의 주위 실온에서 측정하는 경우), 그러한 조성물은 한 가지 양태에서 0 Pa 초과, 또 다른 양태에서 약 1 내지 약 9 Pa, 추가의 또 다른 양태에서 약 10 내지 약 20 Pa, 및 추가의 양태에서 약 21 내지 약 30 Pa의 범위, 또 다른 추가의 양태에서 약 30 Pa 초과의 항복 응력을 갖고, 그러한 조성물은 45℃ 이상의 상승된 온도에서 한 가지 양태에서 적어도 약 1주일, 또 다른 양태에서 적어도 약 1개월, 추가의 양태에서 적어도 약 3개월의 장기간 동안 불용성 및/또는 미립자 물질을 현탁시킬 수 있다.
한 가지 구체예에서, 개시된 기술은 물, 하나 이상의 설페이트-비함유 계면활성제 및 개시된 기술에 따른 ASE 폴리머를 포함하는 퍼스널 케어 조성물에 관한 것이다. 일반적으로 말하면, 증점 조성물이 설페이트-비함유 계면활성제 시스템을 함유하는 경우에 높은 선명도 및 우수한 비드 현탁(항복 응력)을 얻는 것이 어렵다. 개시된 기술의 폴리머는 우수한 선명도 및 그러한 포뮬레이션 내에서 불용성 및 미립자 물질의 안정한 현탁을 제공하면서 설페이트-비함유 계면활성제를 함유하는 포뮬레이션을 증점시킬 수 있다.
음이온성 계면활성제의 비-제한적인 예는 문헌[McCutcheon's Detergents and Emulsifiers, North American Edition, 1998(Allured Publishing Corporation에 의해 공개됨); 및 McCutcheon's, Functional Materials, North American Edition (1992); 이러한 문헌 둘 모두는 이의 전문이 본원에 참조문헌으로 포함됨]에 개시되어 있다. 음이온성 계면활성제는 합성 계면활성제(신데트(syndet)) 및 지방산 소프를 포함하여 수성 계면활성제 조성물의 기술 분야에서 공지되거나 이전에 사용된 음이온성 계면활성제들 중 임의의 것일 수 있다.
적합한 음이온성 신데트 계면활성제는 알킬 설페이트, 알킬 에테르 설페이트, 알킬 설포네이트, 알킬아릴 설포네이트, 알케닐 및 하이드록시알킬 알파-올레핀 설포네이트, 및 이들의 혼합물, 알킬아미드 설포네이트, 알크아릴폴리에테르 설페이트, 알킬아미도에테르 설페이트, 알킬 및 알케닐 모노글리세릴 에테르 설페이트, 알킬 및 알케닐 모노글리세라이드 설페이트, 알킬 및 알케닐 모노글리세라이드 설포네이트, 알킬 설포아세테이트, 알킬 및 알케닐 석시네이트, 알킬 및 알케닐 설포석시네이트, 알킬 및 알케닐 설포석신아메이트, 알킬 및 알케닐 에테르 설포석시네이트, 알킬 및 알케닐 아미도설포석시네이트; 알킬 및 알케닐 설포아세테이트, 알킬 및 알케닐 포스페이트, 알킬 및 알케닐 에테르 포스페이트, 알킬 및 알케닐 카복실레이트, 알킬 및 알케닐 에테르 카복실레이트, 알킬 및 알케닐 아미도에테르카복실레이트, N-알킬아미노산, N-아실 아미노산, 알킬 펩티드, N-아실 타우레이트, 아실 이세티오네이트, 카복실레이트 염(여기서, 아실 기는 지방산으로부터 유도됨); 및 이들의 알칼리 금속, 알칼리 토금속, 암모늄, 아민, 및 트리에탄올아민 염을 포함하지만, 이로 제한되지 않는다.
한 가지 양태에서, 상기 염의 양이온 모이어티는 나트륨, 칼륨, 마그네슘, 암모늄, 모노-, 디- 및 트리에탄올아민 염, 및 모노-, 디- 및 트리-이소프로필아민 염으로부터 선택된다. 상기 계면활성제의 알킬 및 아실 기는 한 가지 양태에서 약 6 내지 약 24개의 탄소 원자, 또 다른 양태에서 8 내지 22개의 탄소 원자, 및 추가의 양태에서 약 12 내지 18개의 탄소 원자를 함유하고, 포화되거나 불포화될 수 있다. 계면활성제에서 아릴 기는 페닐 또는 벤질로부터 선택된다. 상술된 에테르 함유 계면활성제는 한 가지 양태에서 계면활성제 1분자 당 1 내지 10개의 에틸렌 옥사이드 및/또는 프로필렌 옥사이드 단위, 및 또 다른 양태에서 계면활성제 1분자 당 1 내지 3개의 에틸렌 옥사이드 단위를 함유할 수 있다.
적합한 음이온성 계면활성제의 예는 나트륨, 칼륨, 리튬, 마그네슘, 암모늄, 및 트리에탄올아민 라우릴 설페이트, 코코 설페이트, 트리데실 설페이트, 미르스틸 설페이트, 세틸 설페이트, 세테아릴 설페이트, 스테아릴 설페이트, 올레일 설페이트, 및 탈로우 설페이트; 1, 2, 3, 4, 또는 5 mol의 에틸렌 옥사이드로 에톡실화된, 라우레쓰 설페이트, 트리데세스 설페이트, 미레스 설페이트, C12-C13 파레스 설페이트, C12-C14 파레스 설페이트, 및 C12-C15 파레스 설페이트의 나트륨, 칼륨, 리튬, 마그네슘 및 암모늄 염; 디소듐 라우릴 설포석시네이트, 디소듐 라우레쓰 설포석시네이트, 소듐 코코일 이세티오네이트, 소듐 C12-C14 올레핀 설포네이트, 소듐 라우레쓰-6 카복실레이트, 소듐 메틸 코코일 타우레이트, 소듐 도데실벤젠 설포네이트, 소듐 코코일 사르코시네이트, 트리에탄올아민 모노라우릴 포스페이트, 소듐 라우릴 설포아세테이트, 및 약 8 내지 약 22개의 탄소 원자를 함유한 포화 및 불포화 지방산의 나트륨, 칼륨, 암모늄 및 트리에탄올아민 염을 포함하는 지방산 소프를 포함하지만, 이로 제한되지 않는다.
음이온성 지방산 소프는 약 8 내지 약 22개의 탄소 원자를 함유하는 지방산의 염, 및 이들의 혼합물이다. 또 다른 양태에서, 지방산 소프는 약 10 내지 약 18개의 탄소 원자, 및 이들의 혼합물을 함유한다. 추가의 양태에서, 지방산 소프는 약 12 내지 약 16개의 탄소 원자, 및 이들의 혼합물을 함유한다. 소프에서 사용되는 지방산은 포화 및 불포화일 수 있고, 합성 공급원뿐만 아니라 지방 및 천연 오일의 가수분해로부터 유도될 수 있다.
예시적인 포화 지방산은 옥탄산, 데칸산, 라우르산, 미리스트산, 펜타데칸산, 팔미트산, 마르가르산, 스테아르산, 이소스테아르산, 노나데칸산, 아라키드산, 베헨산 등, 및 이들의 혼합물을 포함하지만, 이로 제한되지 않는다. 예시적인 불포화 지방산은 미리스트올레산, 팔미트올레산, 올레산, 리놀레산, 및 리놀렌산 등, 및 이들의 혼합물을 포함하지만, 이로 제한되지 않는다. 지방산은 동물성 지방, 예컨대, 탈로우(tallow), 라드, 가금류 지방으로부터, 또는 식물성 공급원, 예컨대, 코코넛 오일, 레드 오일(red oil), 팜핵 오일, 팜 오일, 목화씨 오일, 아마씨유, 해바라기씨유, 올리브 오일, 콩기름, 땅콩 오일, 옥수수 오일, 홍화유, 참기름, 유채씨유, 카놀라유, 및 이들의 혼합물로부터 유도될 수 있다.
소프는 다양한 널리 공지된 수단에 의해, 예컨대, 지방산 또는 이들의 혼합물의 직접 염기 중화에 의해 또는 적합한 염기로의 적합한 지방 및 식물성 오일 또는 이들의 혼합물의 비누화(saponification)에 의해 제조될 수 있다. 예시적 염기는 포타슘 하이드록사이드, 포타슘 카보네이트, 소듐 하이드록사이드 및 알칸올 아민, 예컨대 트리에탄올아민을 포함한다. 일반적으로, 지방 또는 오일은 액화될 때까지 가열되고, 요망되는 염기의 용액이 여기에 첨가된다. 개시된 기술에서 사용되는 조성물에 포함되는 소프는, 예를 들어, 고전적인 케틀 공정 또는 현대식 연속 제조 공정에 의해 제조될 수 있고, 여기서 천연 지방 및 오일, 예컨대, 탈로우 또는 코코넛유 또는 이들의 등가물은 당업자에게 널리 공지된 절차를 이용하여 알칼리 금속 하이드록사이드로 비누화된다. 대안적으로, 소프는 유리 지방산, 예컨대 라우르산 (C12), 미리스트산 (C14), 팔미트산 (C16), 스테아르산 (C18), 이소스테아르산 (C18), 및 이들의 혼합물을 알칼리 금속 하이드록사이드 또는 카보네이트로 직접 중화시킴에 의해 제조될 수 있다.
본 기술의 실시에 적합한 아미노산 기반 계면활성제는 하기 화학식으로 표현된 계면활성제를 포함한다:
상기 식에서, R30은 10 내지 22개의 탄소 원자를 갖는 포화 또는 불포화 탄화수소 기 또는 9 내지 22개의 탄소 원자를 갖는 포화 또는 불포화 탄화수소 기를 함유하는 아실 기를 나타내고, Y는 수소 또는 메틸이고, Z는 수소, -CH3, -CH(CH3)2, -CH2CH(CH3)2, -CH(CH3)CH2CH3, -CH2C6H5, -CH2C6H4OH, -CH2OH, -CH(OH)CH3, -(CH2)4NH2, -(CH2)3NHC(NH)NH2, -CH2C(O)O-M+, -(CH2)2C(O)O-M+로부터 선택된다. M은 염 형성 양이온이다. 한 가지 양태에서, R30은 선형 또는 분지형 C10 내지 C22 알킬 기, 선형 또는 분지형 C10 내지 C22 알케닐 기, R31C(O)-로 표현된 아실기(여기서, R31은 선형 또는 분지형 C9 내지 C22 알킬 기, 선형 또는 분지형 C9 내지 C22 알케닐 기로부터 선택됨)로부터 선택되는 라디칼을 나타낸다. 한 가지 양태에서, M+은 나트륨, 칼륨, 암모늄, 및 모노-, 디- 및 트리에탄올아민(TEA)의 암모늄 염으로부터 선택되는 양이온이다.
아미노산 계면활성제는 α-아미노산, 예를 들어, 알라닌, 아르기닌, 아스파르트산, 글루탐산, 글리신, 이소류신, 류신, 리신, 페닐알라닌, 세린, 티로신, 및 발린의 알킬화 및 아실화로부터 유도될 수 있다. 대표적 N-아실 아미노산 계면활성제는 N-아실화된 글루탐산의 모노- 및 디-카복실레이트 염(예를 들어, 나트륨, 칼륨, 암모늄 및 TEA), 예를 들어, 소듐 코코일 글루타메이트, 소듐 라우로일 글루타메이트, 소듐 미리스토일 글루타메이트, 소듐 팔미토일 글루타메이트, 소듐 스테아로일 글루타메이트, 디소듐 코코일 글루타메이트, 디소듐 스테아로일 글루타메이트, 포타슘 코코일 글루타메이트, 포타슘 라우로일 글루타메이트, 및 포타슘 미리스토일 글루타메이트; N-아실화 알라닌의 카복실레이트 염(예를 들어, 나트륨, 칼륨, 암모늄 및 TEA), 예를 들어, 소듐 코코일 알라니네이트, 및 TEA 라우로일 알라니네이트; N-아실화 글리신의 카복실레이트 염(예를 들어, 나트륨, 칼륨, 암모늄 및 TEA), 예를 들어, 소듐 코코일 글리시네이트, 및 포타슘 코코일 글리시네이트; N-아실화 사르코신의 카복실레이트 염(예를 들어, 나트륨, 칼륨, 암모늄 및 TEA), 예를 들어, 소듐 라우로일 사르코시네이트, 소듐 코코일 사르코시네이트, 소듐 미리스토일 사르코시네이트, 소듐 올레오일 사르코시네이트, 및 암모늄 라우로일 사르코시네이트; 및 상기 계면활성제의 혼합물이지만, 이로 제한되지 않는다.
조성물 중의 음이온성 계면활성제 성분은 요망되는 클렌징 및 거품 성분을 제공하기에 충분해야 하고, 일반적으로 한 가지 양태에서 약 2 내지 약 50 중량%의 활성 물질, 또 다른 양태에서 약 8 내지 약 30 중량%, 추가의 또 다른 양태에서 약 10 내지 약 25 중량%, 및 추가의 양태에서 약 12 내지 약 22 중량%의 범위이고, 모든 중량 비율은 전체 조성물의 중량을 기준으로 한다.
양이온성 계면활성제는 수성 계면활성제 조성물의 기술 분야에서 공지되거나 종래에 사용된 양이온성 계면활성제들 중 임의의 것일 수 있다. 유용한 양이온성 계면활성제는, 예를 들어, 문헌[McCutcheon's Detergents and Emulsifiers, North American Edition, 1998, supra, and Kirk-Othmer, Encyclopedia of Chemical Technology, 4th Ed., Vol. 23, pp. 478-541]에 기재된 것들 중 하나 이상일 수 있으며, 이러한 문헌의 내용은 본원에 참조로 포함된다. 적합한 부류의 양이온성 계면활성제는 알킬 아민, 알킬 이미다졸린, 에톡실화된 아민, 사차 화합물, 및 사차화된 에스테르를 포함하지만, 이로 제한되지 않는다. 또한, 알킬 아민 옥사이드는 낮은 pH에서 양이온성 계면활성제로서 기능할 수 있다.
알킬아민 계면활성제는 치환되거나 비치환된, 1차, 2차 및 3차 지방 C12-C22 알킬아민의 염, 및 때때로 "아미도아민"으로서 지칭되는 물질들일 수 있다. 알킬아민 및 이의 염의 비-제한적인 예는 디메틸 코카민, 디메틸 팔미타민, 디옥틸아민, 디메틸 스테아라민, 디메틸 소이아민, 소이아민, 미리스틸 아민, 트리데실 아민, 에틸 스테아릴아민, N-탈로우프로판 디아민, 에톡실화된 스테아릴아민, 디하이드록시 에틸 스테아릴아민, 아라키딜베헤닐아민, 디메틸 라우라민, 스테아릴아민 하이드로클로라이드, 소이아민 클로라이드, 스테아릴아민 포르메이트, N-탈로우프로판 디아민 디클로라이드, 및 아모디메티콘을 포함한다.
아미도아민 및 이의 염의 비-제한적인 예는 스테아라미도 프로필 디메틸 아민, 스테아라미도프로필 디메틸아민 시트레이트, 팔미트아미도프로필 디에틸아민, 및 코카미도프로필 디메틸아민 락테이트를 포함한다.
알킬 이미다졸린 계면활성제의 비-제한적인 예는 알킬 하이드록시에틸 이미다졸린, 예컨대, 스테아릴 하이드록시에틸 이미다졸린, 코코 하이드록시에틸 이미다졸린, 및 에틸 하이드록시메틸 올레일 옥사졸린 등을 포함한다.
에톡실화된 아민의 비-제한적인 예는 PEG-코코폴리아민, PEG-15 탈로우 아민, 및 쿼터늄-52 등을 포함한다.
양이온성 계면활성제로서 유용한 사차 암모늄 화합물들 중에서, 일부는 일반식 (R33R34R35R36N+) E-에 대응하며, 상기 식에서, R33, R34, R35, 및 R36은 1 내지 약 22개의 탄소 원자를 갖는 지방족 기, 또는 알킬 사슬에서 1 내지 약 22개의 탄소 원자를 갖는 방향족, 알콕시, 폴리옥시알킬렌, 알킬아미도, 하이드록시알킬, 아릴 또는 알킬아릴 기로부터 독립적으로 선택되며, E-는 염-형성 음이온, 예컨대, 할로겐(예를 들어, 클로라이드, 브로마이드), 아세테이트, 시트레이트, 락테이트, 글리콜레이트, 포스페이트, 니트레이트, 설페이트, 및 알킬설페이트로부터 선택된 것이다. 지방족 기는 탄소 및 수소 원자 이외에, 에테르 연결, 에스테르 연결, 및 다른 기, 예컨대, 아미노 기를 함유할 수 있다. 보다 장쇄의 지방족 기, 예를 들어, 약 12개 이상의 탄소의 지방족 기는 포화되거나 불포화될 수 있다. 한 가지 양태에서, 아릴 기는 페닐 및 벤질로부터 선택된다.
예시적인 사차 암모늄 계면활성제는 세틸 트리메틸암모늄 클로라이드, 세틸피리디늄 클로라이드, 디세틸 디메틸 암모늄 클로라이드, 디헥사데실 디메틸 암모늄 클로라이드, 스테아릴 디메틸 벤질 암모늄 클로라이드, 디옥타데실 디메틸 암모늄 클로라이드, 디에이코실 디메틸 암모늄 클로라이드, 디도코실 디메틸 암모늄 클로라이드, 디헥사데실 디메틸 암모늄 클로라이드, 디헥사데실 디메틸 암모늄 아세테이트, 베헤닐 트리메틸 암모늄 클로라이드, 벤즈알코늄 클로라이드, 벤즈에토늄 클로라이드, 및 디(코코넛알킬) 디메틸 암모늄 클로라이드, 디탈로우디메틸 암모늄 클로라이드, 디(수소화된 탈로우) 디메틸 암모늄 클로라이드, 디(수소화된 탈로우) 디메틸 암모늄 아세테이트, 디탈로우디메틸 암모늄 메틸 설페이트, 디탈로우 디프로필 암모늄 포스페이트, 및 디탈로우 디메틸 암모늄 니트레이트를 포함하지만, 이로 제한되지 않는다.
낮은 pH에서, 아민 옥사이드는 양성자화될 수 있고, N-알킬 아민과 유사하게 거동할 수 있다. 예는 디메틸-도데실아민 옥사이드, 올레일디(2-하이드록시에틸) 아민 옥사이드, 디메틸테트라데실아민 옥사이드, 디(2-하이드록시에틸)-테트라데실아민 옥사이드, 디메틸헥사데실아민 옥사이드, 베헨아민 옥사이드, 코카민 옥사이드, 데실테트라데실아민 옥사이드, 디하이드록시에틸 C12-C15 알콕시프로필아민 옥사이드, 디하이드록시에틸 코카민 옥사이드, 디하이드록시에틸 라우라민 옥사이드, 디하이드록시에틸 스테아라민 옥사이드, 디하이드록시에틸 탈로우아민 옥사이드, 수소화된 팜 커넬 아민 옥사이드, 수소화된 탈로우아민 옥사이드, 하이드록시에틸 하이드록시프로필 C12-C15 알콕시프로필아민 옥사이드, 라우라민 옥사이드, 미리스트아민 옥사이드, 세틸아민 옥사이드, 올레아미도프로필아민 옥사이드, 올레아민 옥사이드, 팔미타민 옥사이드, PEG-3 라우라민 옥사이드, 디메틸 라우라민 옥사이드, 칼륨 트리스포스포노메틸아민 옥사이드, 소이아미도프로필아민 옥사이드, 코카미도프로필아민 옥사이드, 스테아라민 옥사이드, 탈로우아민 옥사이드, 및 이들의 혼합물을 포함하지만, 이로 제한되지 않는다.
양이온성 계면활성제 활성 물질의 양은 일반적으로 조성물의 총 중량을 기준으로 한 가지 양태에서 약 0.01 내지 약 10 중량%, 또 다른 양태에서 약 0.05 내지 약 7.5 중량%, 및 추가의 양태에서 약 0.1 내지 약 5 중량%의 범위일 것이다.
본원에서 사용되는 용어 "양쪽성 계면활성제"는 또한 쯔비터이온성(zwitterionic) 계면활성제를 포함하는 것으로 의도되며, 이러한 계면활성제는 양쪽성 계면활성제의 서브세트(subset)로서 당해 분야에 숙련된 포뮬레이터에게 널리 공지되어 있다. 양쪽성 계면활성제의 비-제한적인 예는 문헌[McCutcheon's Detergents and Emulsifiers, North American Edition, supra, 및 McCutcheon's, Functional Materials, North American Edition, supra]에 기술되어 있으며, 두 문헌 모두는 이의 전문이 본원에 참조로 포함된다. 적합한 예는 베타인, 설타인, 및 알킬 암포카복실레이트를 포함하지만, 이로 제한되지 않는다. 적합한 쯔비터이온성 또는 양쪽성 계면활성제의 그 밖의 비-제한적 예는 미국 특허 제5,104,646호 및 제5,106,609호에 기재되어 있다.
본 기술에 유용한 베타인 및 설타인은 알킬 베타인, 알킬아미노 베타인, 및 알킬아미도 베타인, 뿐만 아니라 하기 화학식으로 표현되는 상응하는 설포베타인(설타인)으로부터 선택된다:
상기 식에서, R40은 C7-C22 알킬 또는 알케닐 기이고, 각각의 R41은 독립적으로 C1-C4 알킬기이고, R42는 C1-C5 알킬렌 기 또는 하이드록시 치환된 C1-C5 알킬렌 기이고, n은 2 내지 6의 정수이고, A는 카복실레이트 또는 설포네이트기이고, M은 염 형성 양이온이다. 한 가지 양태에서, R40은 C11-C18 알킬기 또는 C11-C18 알케닐 기이다. 한 가지 양태에서, R41은 메틸이다. 한 가지 양태에서, R42는 메틸렌, 에틸렌 또는 하이드록시 프로필렌이다. 한 가지 양태에서, n은 3이다. 추가 양태에서, M은 나트륨, 칼륨, 마그네슘, 암모늄, 및 모노-, 디- 및 트리에탄올아민 양이온으로부터 선택된다.
적합한 베타인의 예는 라우릴 베타인, 코코 베타인, 올레일 베타인, 코코 헥사데실 디메틸베타인, 코코 디메틸 카복시메틸 베타인, 라우릴 디메틸 카복시메틸 베타인, 세틸 디메틸 카복시메틸 베타인, 라우릴 아미도프로필 베타인, 코코아미도프로필 베타인 (CAPB), 코코 디메틸 설포프로필 베타인, 스테아릴 디메틸 설포프로필 베타인, 라우릴 디메틸 설포에틸 베타인, 및 코카미도프로필 하이드록시설타인을 포함하지만, 이로 제한되지 않는다.
알킬암포카복실레이트, 예컨대, 알킬암포아세테이트 및 알킬암포프로피오네이트(일치환된 및 이치환된 카복실레이트)는 하기 화학식으로 표현될 수 있다:
상기 식에서, R43은 C7-C22 알킬 또는 알케닐기이고, R44는 -CH2C(O)O-M+, -CH2CH2C(O)O-M+, 또는 -CH2CH(OH)CH2SO3 -M+이고, R45는 수소 또는 -CH2C(O)O-M+이고, M은 나트륨, 칼륨, 마그네슘, 암모늄, 및 모노-, 디- 및 트리에탄올아민의 암모늄 염으로부터 선택된 양이온이다.
예시적 알킬암포카복실레이트는 소듐 코코암포아세테이트, 소듐 라우로암포아세테이트, 소듐 카프릴로암포아세테이트, 디소듐 코코암포디아세테이트, 디소듐 라우로암포디아세테이트, 디소듐 카프릴암포디아세테이트, 디소듐 카프릴로암포디아세테이트, 디소듐 코코암포디프로피오네이트, 디소듐 라우로암포디프로피오네이트, 디소듐 카프릴암포디프로피오네이트, 및 디소듐 카프릴로암포디프로피오네이트를 포함하지만, 이로 제한되지 않는다.
그러한 양쪽성 또는 쯔비터이온성 세척용 계면활성제의 양은 전체 조성물의 중량을 기준으로 한 가지 양태에서 약 0.5 중량% 내지 약 20 중량%, 및 또 다른 양태에서 약 1 중량% 내지 약 10 중량%의 범위이다.
비이온성 계면활성제의 비-제한적인 예는 문헌[McCutcheon's Detergents and Emulsifiers, North American Edition, 1998, supra; 및 McCutcheon's, Functional Materials, North American, supra]에 기술되어 있으며, 이러한 두 문헌 모두는 이의 전문이 본원에 참조로 포함된다. 비이온성 계면활성제의 추가적인 예는 미국 특허 제4,285,841호(Barrat 등) 및 미국 특허 제4,284,532호(Leikhim 등)에 기술되어 있으며, 두 문헌 모두는 이의 전문이 본원에 참조로 포함된다. 비이온성 계면활성제는 통상적으로 소수성 부분, 예컨대, 장쇄 알킬기 또는 알킬화된 아릴기, 및 다양한 에톡실화도 및/또는 프로폭실화도 (예를 들어, 1 내지 약 50)의 에톡시 및/또는 프로폭시 모이어티를 함유한 친수성 부분을 갖는다. 사용될 수 있는 일부 부류의 비이온성 계면활성제의 예는 에톡실화된 알킬페놀, 에톡실화된 및 프로폭실화된 지방 알콜, 메틸 글루코스의 폴리에틸렌 글리콜 에테르, 소르비톨의 폴리에틸렌 글리콜 에테르, 에틸렌 옥사이드-프로필렌 옥사이드 블록 코폴리머, 지방산의 에톡실화된 에스테르, 에틸렌 옥사이드와 장쇄 아민 또는 아미드의 축합 생성물, 에틸렌 옥사이드와 알콜의 축합 생성물, 및 이들의 혼합물을 포함하지만, 이로 제한되지 않는다.
적합한 비이온성 계면활성제는, 예를 들어, 알킬 다당류, 알콜 에톡실레이트, 블록 코폴리머, 피마자유(castor oil) 에톡실레이트, 세토/올레일 알콜 에톡실레이트, 세테아릴 알콜 에톡실레이트, 데실 알콜 에톡실레이트, 디노닐 페놀 에톡실레이트, 도데실 페놀 에톡실레이트, 말단-캡핑된 에톡실레이트, 에테르 아민 유도체, 에톡실화된 알칸올아미드, 에틸렌 글리콜 에스테르, 지방산 알칸올아미드, 지방 알콜 알콕실레이트, 라우릴 알콜 에톡실레이트, 모노-분지형 알콜 에톡실레이트, 노닐 페놀 에톡실레이트, 옥틸 페놀 에톡실레이트, 올레일 아민 에톡실레이트, 랜덤 코폴리머 알콕실레이트, 소르비탄 에스테르 에톡실레이트, 스테아르산 에톡실레이트, 스테아릴 아민 에톡실레이트, 탈로우 오일 지방산 에톡실레이트, 탈로우 아민 에톡실레이트, 트리데칸올 에톡실레이트, 아세틸렌 디올, 폴리옥시에틸렌 소르비톨, 및 이들의 혼합물을 포함한다. 적합한 비이온성 계면활성제의 다양한 특정 예는 코카미드 MEA, 코카미드 MIPA, 메틸 글루세스-10, PEG-20 메틸 글루코스 디스테아레이트, PEG-20 메틸 글루코스 세스퀴스테아레이트, 세테스-8, 세테스-12, 도독시놀-12, 라우레쓰-15, PEG-20 피마자유, 폴리소르베이트 20, 스테아레쓰-20, 폴리옥시에틸렌-10 세틸 에테르, 폴리옥시에틸렌-10 스테아릴 에테르, 폴리옥시에틸렌-20 세틸 에테르, 폴리옥시에틸렌-10 올레일 에테르, 폴리옥시에틸렌-20 올레일 에테르, 에톡실화된 노닐페놀, 에톡실화된 옥틸페놀, 에톡실화된 도데실페놀, 또는 에톡실화된 지방 (C6-C22) 알콜 (3 내지 20개의 에틸렌 옥사이드 모이어티를 포함), 폴리옥시에틸렌-20 이소헥사데실 에테르, 폴리옥시에틸렌-23 글리세롤 라우레이트, 폴리옥시에틸렌-20 글리세릴 스테아레이트, PPG-10 메틸 글루코스 에테르, PPG-20 메틸 글루코스 에테르, 폴리옥시에틸렌-20 소르비탄 모노에스테르, 폴리옥시에틸렌-80 피마자유, 폴리옥시에틸렌-15 트리데실 에테르, 폴리옥시에틸렌-6 트리데실 에테르, 라우레쓰-2, 라우레쓰-3, 라우레쓰-4, PEG-3 피마자유, PEG 600 디올레에이트, PEG 400 디올레에이트, 폴록사머, 예컨대, 폴록사머 188, 폴리소르베이트 21, 폴리소르베이트 40, 폴리소르베이트 60, 폴리소르베이트 61, 폴리소르베이트 65, 폴리소르베이트 80, 폴리소르베이트 81, 폴리소르베이트 85, 소르비탄 카프릴레이트, 소르비탄 코코에이트, 소르비탄 디이소스테아레이트, 소르비탄 디올레에이트, 소르비탄 디스테아레이트, 소르비탄 지방산 에스테르, 소르비탄 이소스테아레이트, 소르비탄 라우레이트, 소르비탄 올레에이트, 소르비탄 팔미테이트, 소르비탄 세스퀴이소스테아레이트, 소르비탄 세스퀴올레에이트, 소르비탄 세스퀴스테아레이트, 소르비탄 스테아레이트, 소르비탄 트리이소스테아레이트, 소르비탄 트리올레에이트, 소르비탄 트리스테아레이트, 소르비탄 운데실레네이트, 또는 이들의 혼합물을 포함하지만, 이로 제한되지 않는다.
알킬 글리코사이드 비이온성 계면활성제가 또한 사용될 수 있고, 일반적으로 다당류, 또는 단당류를 산 매질 중에서 알콜, 예컨대, 지방 알콜과 반응시킴으로써 제조된다. 예를 들어, 미국 특허 제5,527,892호 및 제5,770,543호에는 알킬 글리코사이드 및/또는 이의 제조 방법이 기재되어 있다. 적합한 예는 Glucopon™ 220, 225, 425, 600 및 625, PLANTACARE® 및 PLANTAPON®의 상표명으로 상업적으로 입수 가능하며, 이들 모두는 Cognis Corporation으로부터 입수 가능하다.
또 다른 양태에서, 비이온성 계면활성제는 알콕실화 메틸 글루코사이드, 예를 들어, 상표명 Glucam®E10, Glucam®E20, Glucam®P10, 및 Glucam®P20으로 각각 Lubrizol Advanced Materials, Inc.로부터 이용가능한 메틸 글루세스-10(gluceth-10), 메틸 글루세스-20, PPG-10 메틸 글루코스 에테르, 및 PPG-20 메틸 글루코스 에테르를 포함하지만, 이로 제한되지 않고, 소수성으로 변형된 알콕실화 메틸 글루코사이드, 예컨대, 상표명 Glucamate®DOE-120, Glucamate™ LT, 및 Glucamate™SSE-20으로 각각 Lubrizol Advanced Materials, Inc.로부터 이용가능한 PEG 120 메틸 글루코스 디올레에이트, PEG-120 메틸 글루코스 트리올레에이트, 및 PEG-20 메틸 글루코스 세스퀴스테아레이트가 또한 적합하다. 다른 예시적 소수성으로 변형된 알콕실화 메틸 글루코사이드는 관련 개시 내용이 본원에 참조로 포함되는 미국 특허 제6,573,375호 및 제6,727,357호에 개시되어 있다.
다른 유용한 비이온성 계면활성제는 수용성 실리콘, 예컨대, PEG-10 디메티콘, PEG-12 디메티콘, PEG-14 디메티콘, PEG-17 디메티콘, PPG-12 디메티콘, PPG-17 디메티콘 및 이들의 유도체화된/작용성화된 형태, 예컨대, 비스-PEG/PPG-20/20 디메티콘 비스-PEG/PPG-16/16 PEG/PPG-16/16 디메티콘, PEG/PPG-14/4 디메티콘, PEG/PPG-20/20 디메티콘, PEG/PPG-20/23 디메티콘, 및 퍼플루오로노닐에틸 카복시데실 PEG-10 디메티콘을 포함한다.
한 가지 구체예에서, 비이온성 계면활성제의 양은 한 가지 양태에서 약 1 중량% 내지 약 40 중량%, 또 다른 양태에서 약 2.5 중량% 내지 약 35 중량%, 추가의 양태에서 약 5 중량% 내지 약 30 중량%, 또 다른 추가의 양태에서 약 10 중량% 내지 약 25 중량%, 및 추가의 양태에서 약 15 중량% 내지 약 22.5 중량%의 범위이다. 여기서, 뿐만 아니라 달리 명세서 및 청구범위에서, 개별적인 수치, 또는 제한치는 조합되어 비-개시된 및/또는 비-명시된 범위를 형성시킬 수 있다. 또 다른 구체예에서, 둘 이상의 상이한 계면활성제 및/또는 상이한 유형의 계면활성제가 사용되는 경우, 어떠한 둘 이상의 계면활성제의 비율 및/또는 계면활성제의 유형은 전형적으로 홈 케어, 퍼스널 케어, 헬스 케어, 홈 케어, 및/또는 I&I에서 당업자들에게 공지된 바와 같이 사용되는 어떠한 비율일 수 있다.
개시된 기술의 한 가지 구체예에서, 적어도 하나의 음이온성 계면활성제는 양쪽성 또는 쯔비터이온성 계면활성제와 함께 이용된다. 한 가지 양태에서, 음이온성 계면활성제 (비-에톡실화된 및/또는 에톡실화된) 대 양쪽성 계면활성제의 중량 비(활성 물질 기준)는 한 가지 양태에서 약 10:1 내지 약 2:1 범위일 수 있고, 다른 양태에서, 약 9:1, 약 8:1, 약 7:1, 약 6:1, 약 5:1, 약 4.5:1, 약 4:1, 또는 약 3:1일 수 있다. 비-에톡실화된 음이온성 계면활성제 및 양쪽성 또는 쯔비터이온성 계면활성제와 함께 에톡실화된 음이온성 계면활성제를 사용할 때, 에톡실화된 음이온성 계면활성제 대 비-에톡실화된 음이온성 계면활성제 대 양쪽성 계면활성제의 중량 비(활성 물질 기준)는 한 가지 양태에서 약 3.5:3.5:1 내지 또 다른 양태에서 약 1:1:1 범위일 수 있다.
한 가지 양태에서, 음이온성 계면활성제는 소듐 라우릴 설페이트, 암모늄 라우릴 설페이트, 소듐 코코-설페이트, 및 이들의 혼합물을 포함하는 알킬 설페이트로부터 선택된다.
한 가지 양태에서, 음이온성 계면활성제는 소듐 라우레쓰 설페이트, 암모늄 라우레쓰 설페이트, 소듐 트리데세쓰 설페이트, 및 이들의 혼합물을 포함하는 에톡실화된 알킬 설페이트로부터 선택된다.
한 가지 양태에서, 음이온성 계면활성제는 아미노산 기반 계면활성제, 이세티오네이트 기반 계면활성제, 설포석시네이트 기반 계면활성제, 및 알킬 설포아세테이트로부터 선택된다.
한 가지 양태에서, 임의의 양쪽성 계면활성제는 라우릴 베타인, 코카미도프로필 베타인, 코카미도프로필 하이드록시설타인, 및 이들의 혼합물을 포함하는 알킬 베타인, 아미도알킬 베타인 및 아미도알킬 설타인으로부터 선택된다.
본 기술에서 사용하기에 적합한 설페이트-비함유 계면활성제는 상기 언급된 임의의 설페이트-비함유 음이온성, 양이온성, 아미노산, 양쪽성 및 비이온성 계면활성제이다. 예시적인 음이온성 설페이트-비함유 계면활성제는 디소듐 라우레쓰 설포석시네이트, 소듐 라우로일 메틸 이세티오네이트, 소듐 코코일 이소티오네이트, 소듐 C14-C16 알파-올레핀 설포네이트, 소듐 라우릴 설포아세테이트, 소듐 메틸 코코일 타우레이트, 소듐 라우로일 사르코시네이트로부터 선택된다. 예시적인 설페이트-비함유 아미노산 계면활성제는 소듐 코코일 알라니네이트, 소듐 코코일 글리시네이트, 및 디소듐 코코일 글루타메이트를 포함한다. 예시적인 설페이트-비함유 양쪽성 계면활성제는 코카미도프로필 베타인 및 소듐 코코암포아세테이트이다. 예시적인 설페이트-비함유 비이온성 계면활성제는 코코-글루코사이드이다. 상기 설페이트-비함유 계면활성제 중 하나 이상의 혼합물은 또한 개시된 기술의 ASE 폴리머와 조합되어 고려된다.
수성 담체
본 기술의 조성물은 전형적으로 부을 수 있는 액체의 형태이다(주위 조건하에). 따라서, 조성물은 전형적으로 총 조성물의 중량을 기준으로 한 가지 양태에서 약 20 중량% 내지 약 95 중량%, 및 또 다른 양태에서 약 60 중량% 내지 약 85 중량%의 수준으로 존재하는 수성 담체를 포함할 것이다. 수성 담체는 물, 또는 물과 유기 용매의 혼화성 혼합물을 포함할 수 있으나, 다른 필수 또는 임의의 구성요소의 미량 성분으로서 조성물에 달리 부수적으로 혼입되는 것을 제외하고는, 바람직하게는 물을 최소 또는 현저하지 않은 농도의 유기 용매와 함께 포함한다.
E. 임의의 성분
본 기술의 조성물은 임의의 성분이 본원에 기재된 필수 성분과 물리적 및 화학적으로 상용가능하거나, 달리 제품 안정성, 미학 또는 성능을 과도하게 손상시키지 않는다면, 헤어 케어 또는 퍼스널 케어 제품에서의 사용을 위해 공지된 하나 이상의 임의의 성분을 추가로 포함할 수 있다. 달리 명시되지 않는 경우 그러한 임의의 성분의 개별 농도는 총 조성물의 중량을 기준으로 약 0.001 wt.% 내지 약 20 wt.%의 범위일 수 있다.
조성물에 사용하기 위한 임의의 성분의 비-제한적인 예는 불용성 또는 미립자 물질, 컨디셔닝제(실리콘, 탄화수소 오일, 지방 에스테르), 보조 점도 개질제, 보습제, 센세이트(sensate), 보태니컬(botanical), 아미노산, 비타민, 킬레이팅제, 완충제, pH 조절제, 보존제, 퍼퓸 및 향료, 전해질, 염료 및 안료, 비휘발성 용매 또는 희석제(수용성 및 수불용성), 거품 촉진제, 선스크린 및 UV 흡수제를 포함한다.
불용성 및 미립자 물질
본 기술의 조성물에서, 개시된 기술의 ASE 폴리머는 모발, 두피 및 피부에 대한 클렌징 조성물의 발포 특성을 향상시키고, 부드러움 및 레올로지 특성을 개선시키기 위해 이용될 수 있고, 불용성 실리콘, 유백제, 및 진주광택제(예를 들어, 운모, 코팅된 운모, 에틸렌 글리콜 모노스테아레이트(EGMS), 에틸렌 글리콜 디스테아레이트(EGDS), 폴리에틸렌 글리콜 모노스테아레이트(PGMS) 또는 폴리에틸렌글리콜 디스테아레이트(PGDS)), 안료, 각질제거제, 보조 비듬방지제, 클레이, 팽윤성 클레이, 라포나이트(laponite), 가스 버블, 리포솜, 마이크로스폰지, 화장용 비드, 화장용 마이크로캡슐, 및 플레이크의 안정한 현탁을 위해 사용될 수 있으며, 하기에 보다 자세하게 논의된다.
예시적 화장용 비드 성분들은 아가 비드, 알기네이트 비드, 호호바 비드, 젤라틴 비드, Styrofoam™ 비드, 폴리아크릴레이트, 폴리메틸메타크릴레이트(PMMA), 폴리에틸렌 비드, Unispheres™ 및 Unipearls™ 화장용 비드(Induchem USA, Inc., New York, NY), Lipocapsule™ Liposphere™ 및 Lipopearl™ 마이크로캡슐(Lipo Technologies Inc.(Vandalia, OH)), 및 Confetti II™ 피부 전달 플레이크(United-Guardian, Inc.(Hauppauge, NY))를 포함하지만, 이로 제한되지 않는다. 비드는 심미적 물질로서 사용될 수 있거나 유익한 제제들을 환경의 악영향으로부터 보호하거나 최종 제품에서 최적의 전달, 방출 및 성능을 위해 유익한 제제들을 캡슐화시키기 위해 사용될 수 있다.
한 가지 양태에서, 화장용 비드는 약 0.5 내지 약 1.5 mm의 크기 범위이다. 또 다른 양태에서, 비드와 물의 비중 차이는 한 가지 양태에서 약 +/- 0.01 내지 0.5, 및 또 다른 양태에서 약 +/- 0.2 내지 0.3 g/ml이다.
한 가지 양태에서, 마이크로캡슐은 약 0.5 내지 약 300 ㎛의 크기 범위이다. 또 다른 양태에서, 마이크로캡슐과 물의 비중 차이는 약 +/- 0.01 내지 0.5이다. 마이크로캡슐 비드의 비-제한적인 예는 미국 특허 제7,786,027호에 개시되어 있으며, 이의 개시 내용은 본원에 참조로 포함된다.
컨디셔닝제
컨디셔닝제는 모발, 두피 및/또는 피부에 특정 컨디셔닝 효과를 제공하는데 사용되는 임의의 물질을 포함한다. 모발 처리 조성물에서, 적합한 컨디셔닝제는 윤기, 부드러움, 상용성, 정전기방지 특성, 습식-처리, 손상, 관리용이성, 신체, 및 기름기와 관련하여 하나 이상의 효과를 전달하는 것들이다. 본 기술의 조성물에 유용한 컨디셔닝제는 전형적으로 에멀젼화된 액체 입자를 형성하는 수불용성, 수분산성, 비휘발성 액체를 포함한다. 조성물에서의 사용에 적합한 컨디셔닝제는 일반적으로 실리콘(예를 들어, 실리콘 오일, 양이온성 실리콘, 실리콘 검, 높은 굴절률 실리콘, 및 실리콘 수지), 유기 컨디셔닝 오일(예를 들어, 탄화수소 오일, 폴리올레핀, 및 지방 에스테르) 또는 이의 조합물로서 특징화된 컨디셔닝제, 또는 본원에서 수성 계면활성제 매트릭스에 달리 액체, 분산된 입자를 형성하는 컨디셔닝제이다. 상기 컨디셔닝제는 조성물의 필수 성분과 물리적으로 및 화학적으로 상용성이어야 하고, 달리 제품 안정성, 미학 또는 성능을 과도하게 손상시켜선 안된다.
실리콘
실리콘 컨디셔닝제는 휘발성 실리콘, 비휘발성 실리콘, 및 이들의 혼합물을 포함할 수 있다. 휘발성 실리콘이 존재하는 경우, 이들은 오일 및 검 및 수지와 같이 비휘발성 실리콘 유체 컨디셔닝제의 상업적으로 입수 가능한 형태에 대해 전형적으로 용매 또는 담체로서 이용된다. 휘발성 실리콘 유체는 종종 실리콘 유체 침적 효능을 개선시키거나 모발의 윤기, 윤 또는 광택을 향상시키기 위해 컨디셔닝 패키지에 포함된다. 휘발성 실리콘 물질은 모발, 두피 및 피부의 감각 속성(예컨대, 감촉)을 향상시키기 위해 포뮬레이션에 종종 포함된다.
한 가지 양태에서, 실리콘 컨디셔닝제는 비휘발성이고, 실리콘 오일, 검, 수지 및 이들의 혼합물을 포함한다. 비휘발성이라 함은 실리콘이 주위 온도 조건에서 매우 낮은 증기압(예를 들어, 20℃에서 2 mm Hg 미만)을 지님을 의미한다. 비휘발성 실리콘 컨디셔닝제는 한 가지 양태에서 약 250℃초과, 또 다른 양태에서 약 260℃초과, 및 추가 양태에서 약 275℃ 초과의 비점을 갖는다. 실리콘 오일, 검, 및 수지를 논의한 섹션을 포함하는 실리콘에 대한 배경 정보, 뿐만 아니라 이들의 제조는 문헌[Encyclopedia of polymer Science and Engineering, vol. 15, 2d ed., pp 204-308, John Wiley & Sons, Inc. (1989)]에서 찾아볼 수 있다.
실리콘 오일
한 가지 양태에서, 실리콘 컨디셔닝제는 폴리오가노실록산 물질로부터 선택되는 실리콘 오일이다. 한 가지 양태에서, 폴리오가노실록산 물질은 폴리알킬실록산, 폴리아릴실록산, 폴리알킬아릴실록산, 하이드록실 종결된 폴리알킬실록산, 폴리아릴알킬실록산, 아미노 작용성 폴리알킬실록산, 사차 작용성 폴리알킬실록산, 및 이들의 혼합물로부터 선택될 수 있다.
한 가지 양태에서, 실리콘 오일 컨디셔닝제는 하기 화학식으로 표현되는 폴리오가노실록산을 포함한다:
상기 식에서, B는 독립적으로 하이드록시, 메틸, 메톡시, 에톡시, 프로폭시, 및 페녹시를 나타내고; R46은 독립적으로 메틸, 에틸, 프로필, 페닐, 메틸페닐, 페닐메틸, 1차, 2차 또는 3차 아민, 하기로부터 선택된 기로부터 선택되는 사차 기를 나타낸다:
상기 식에서, R47은 2 내지 10개의 탄소 원자를 함유하는 선형 또는 분지형, 하이드록실 치환되거나 비치환된 알킬렌 또는 알킬렌 에테르 모이어티이고; R48는 수소, C1-C20 알킬(예를 들어, 메틸), 페닐 또는 벤질이고; q는 약 2 내지 약 8 범위의 정수이고; CA-는 염소, 브롬, 요오드 및 불소로부터 선택되는 할라이드 이온이고; x는 한 가지 양태에서 약 7 내지 약 8000, 또 다른 양태에서 약 50 내지 약 5000, 추가의 또 다른 양태에서 약 100 내지 약 3000, 및 추가 양태에서 약 200 내지 약 1000 범위의 정수이다.
한 가지 양태에서, 아미노 작용성 폴리알킬실록산은 하기 화학식으로 표현될 수 있다:
상기 식에서, B는 독립적으로 하이드록시, 메틸, 메톡시, 에톡시, 프로폭시, 및 페녹시를 나타내고; R40은 하기로부터 선택된다:
상기 식에서, R47은 2 내지 10개의 탄소 원자를 함유하는 선형 또는 분지형, 하이드록실 치환되거나 비치환된 알킬렌 또는 알킬렌 에테르 모이어티이고; R48은 수소, C1-C20 알킬(예를 들어, 메틸), 페닐 또는 벤질이고; CA-는 염소, 브롬, 요오드 및 불소로부터 선택되는 할라이드 이온이고; m+n의 합은 한 가지 양태에서 약 7 내지 약 1000, 또 다른 양태에서 약 50 내지 약 250, 및 또 다른 양태에서 약 100 내지 약 200의 범위이고, 단, m 또는 n은 0이 아니다. 한 가지 양태에서, B는 하이드록시이고, R46은 -(CH2)3NH(CH2)3NH2이다. 또 다른 양태에서, B는 메틸이고, R46은 -(CH2)3NH(CH2)3NH2이다. 추가의 또 다른 양태에서, B는 메틸이고, R46은 -(CH2)3OCH2CH(OH)CH2N+(R48)3CA-로 표현되는 사차 암모늄 모이어티이고; R48 및 CA-는 앞서 정의된 바와 같다.
실리콘 오일 컨디셔닝제는 25℃에서 한 가지 양태에서 약 25 초과 내지 약 1,000,000 mPa·s, 또 다른 양태에서 약 100 내지 약 600,000 mPa·s, 및 추가의 또 다른 양태에서 약 1000 내지 약 100,000 mPa·s, 추가의 또 다른 양태에서 약 2,000 내지 약 50,000 mPa·s, 및 추가 양태에서 약 4,000 내지 약 40,000 mPa·s 범위의 점도를 지닐 수 있다. 점도는 1970년 7월 20일자 Dow Corning Corporate Test Method CTM004에 의해 기재된 바와 같은 유리 모세관 점도계에 의해 측정된다. 한 가지 양태에서, 실리콘 오일은 약 200,000 달톤 미만의 평균 분자량을 갖는다. 평균 분자량은 전형적으로 한 가지 양태에서 약 400 내지 약 199,000 달톤, 또 다른 양태에서 약 500 내지 약 150,000 달톤, 추가의 또 다른 양태에서 약 1,000 내지 약 100,000 달톤, 추가 양태에서 약 5,000 내지 약 65,000 달톤의 범위일 수 있다.
예시적 실리콘 오일 컨디셔닝제는 폴리디메틸실록산(디메티콘), 폴리디에틸실록산, 말단 하이드록실기를 갖는 폴리디메틸 실록산(디메티코놀), 폴리메틸페닐실록산, 페닐메틸실록산, 아미노 작용성 폴리디메틸실록산(아모디메티콘), 및 이들의 혼합물을 포함하지만, 이로 제한되지 않는다.
실리콘 검
개시된 기술에 유용한 또 다른 실리콘 컨디셔닝제는 실리콘 검이다. 실리콘 검은 상기 개시된 실리콘 오일과 동일한 일반 구조의 폴리오가노실록산 물질이고, 여기서 B는 독립적으로 하이드록시, 메틸, 메톡시, 에톡시, 프로폭시, 및 페녹시를 나타내고; R46은 독립적으로 메틸, 에틸, 프로필, 페닐, 메틸페닐, 페닐메틸, 및 비닐을 나타낸다. 실리콘 검은 1,000,000 mPa·s 초과의 25℃에서 측정된 점도를 갖는다. 점도는 실리콘 오일에 대해 상기 기재된 바와 같은 유리 모세관 점도계에 의해 측정될 수 있다. 한 가지 양태에서, 실리콘 검은 약 200,000 달톤 및 그 초과의 평균 분자량을 갖는다. 분자량은 전형적으로 약 200,000 내지 약 1,000,000 달톤의 범위일 수 있다. 본원에 개시된 실리콘 검은 또한 이전에 개시된 실리콘 오일과 일부 중복될 수 있는 것이 인지된다. 이 중복은 이러한 임의의 물질로 제한하려는 것이 아니다.
개시된 기술의 조성물의 실리콘 성분에 사용하기 적합한 실리콘 검은 하이드록실(디메티코놀)과 같은 종결 말단기를 임의로 갖는, 폴리디메틸실록산(디메티콘), 폴리메틸비닐실록산, 폴리디페닐실록산, 및 이들의 혼합물이다.
실리콘 수지
실리콘 수지는 개시된 기술의 조성물에 사용하기 적합한 실리콘 컨디셔닝제로서 포함될 수 있다. 이러한 수지는 가교된 폴리실록산이다. 가교는 실리콘 수지의 제조 동안 1작용성 및/또는 2작용성 실란에 의한 3작용성 및 4작용성 실란의 혼입을 통해 도입된다. 당 분야에 널리 이해되는 바와 같이, 실리콘 수지를 생성하는데 필요한 가교도는 실리콘 수지에 혼입된 특이적 실란 단위에 따라 다양할 것이다. 일반적으로, 충분한 수준의 3작용성 및 4작용성 실록산 모노머 단위(및 이에 따라, 충분한 수준의 가교)를 지녀서 이들로 하여금 강성 또는 경질 필름을 형성하게 하는 실리콘 물질은 실리콘 수지로 간주된다. 산소 원자 대 규소 원자의 비는 특히 실리콘 물질을 가교시키는 수준을 나타낸다. 규소 원자 당 적어도 약 1.1개의 산소 원자를 갖는 실리콘 물질은 본원에서 일반적으로 실리콘 수지일 것이다. 한 가지 양태에서, 산소:규소 원자의 비는 적어도 약 1.2:1.0이다. 실리콘 수지의 제조에 이용되는 실란은 모노메틸-, 디메틸-, 트리메틸-, 모노페닐-, 디페닐-, 메틸페닐-, 모노비닐-, 및 메틸비닐-클로로실란, 및 테라클로로실란(메틸 치환된 실란이 가장 흔하게 이용됨)을 포함한다.
실리콘 물질 및 실리콘 수지는 "MDTQ" 명칭으로서 당분야 숙련자에게 공지된 약식 명칭 시스템에 따라 식별될 수 있다. 이 명명 시스템 하에서, 실리콘은 실리콘을 구성하는 다양한 실록산 모노머 단위의 존재에 따라 기재된다. "MDTQ" 명칭 시스템은 "Silicons: Preparation, Properties and Performance"라는 명칭의 간행물(Dow Corning Corporation, 2005), 및 U.S. 특허 제6,200,554호에 기재되어 있다.
개시된 기술의 조성물에 사용하기 위한 예시적 실리콘 수지는 MQ, MT, MTQ, MDT 및 MDTQ 수지를 포함하지만, 이로 제한되지 않는다. 한 가지 양태에서, 메틸은 실리콘 수지 치환기이다. 또 다른 양태에서, 실리콘 수지는 MQ 수지로부터 선택되고, M:Q 비는 약 0.5:1.0 내지 약 1.5:1.0이고, 실리콘 수지의 평균 분자량은 약 1000 내지 약 10,000 달톤이다.
휘발성 실리콘
상기 언급된 임의의 휘발성 실리콘은 선형 폴리디메틸실록산 및 사이클릭 폴리디메틸실록산(사이클로메티콘), 및 이들의 혼합물을 포함한다. 휘발성 선형 폴리디메틸실록산(디메티콘)은 전형적으로, 선형 배열에서 산소 원자와 번갈아 약 2 내지 약 9개의 규소 원자를 함유한다. 각 규소 원자는 또한 2개의 알킬기(말단 규소 원자는 3개의 알킬기로 치환됨), 예컨대, 메틸기로 치환된다. 사이클로메티콘은 전형적으로 사이클릭 고리 구조에서 산소 원자와 번갈아, 한 가지 양태에서 약 3 내지 약 7개의 디메틸 치환된 규소 원자, 및 또 다른 양태에서 약 3 내지 약 5개의 디메틸 치환된 규소 원자를 함유한다. 용어 "휘발성"은 실리콘이 측정가능한 증기압, 또는 20℃에서 적어도 2 mm Hg의 증기압을 지님을 의미한다. 휘발성 실리콘은 25℃에서 한 가지 양태에서 25 mPa·s 또는 그 미만, 또 다른 양태에서 약 0.65 내지 약 10 mPa·s, 추가의 또 다른 양태에서 약 1 내지 약 5 mPa·s, 및 추가 양태에서 약 1.5 내지 약 3.5 mPa·s의 점도를 갖는다. 선형 및 사이클릭 휘발성 실리콘의 설명은 문헌[Todd and Byers, "Volatile Silicon Fluids for Cosmetics", Cosmetics and Toiletries, Vol. 91(1), pp. 27-32 (1976)], 및 문헌[Kasprzak, "Volatile Silicons", Soap/Cosmetics/Chemical Specialities, pp. 40-43 (December 1986)]에서 찾아볼 수 있다.
예시적 휘발성 선형 디메티콘은 헥사메틸디실록산, 옥타메틸트리실록산, 데카메틸테트라실록산, 도데카메틸펜타실록산 및 이들의 배합물을 포함하지만, 이로 제한되지 않는다. 휘발성 선형 디메티콘 및 디메티콘 배합물은 Dow Corning Corporation으로부터 Dow Corning 200®Fluid(예를 들어, 제품 명칭 0.65 CST, 1 CST, 1.5 CST, 및 2 CST) 및 Dow Corning®2-1184 Fluid로서 상업적으로 입수 가능하다.
예시적 휘발성 사이클로메티콘은 D4 사이클로메티콘(옥타메틸사이클로테트라실록산), D5 사이클로메티콘(데카메틸사이클로펜타실록산), D6 사이클로메티콘, 및 이들의 배합물(예컨대, D4/D5 및 D5/D6)이다. 휘발성 사이클로메티콘 및 사이클로메티콘 배합물은 Momentive Performance Materials Inc.로부터 SF1173, SF1202, SF1256, 및 SF1258 실리콘 유체로서, 및 Dow Corning Corporation으로부터 Dow Corning®244, 245, 246, 345, 및 1401 실리콘 유체로서 상업적으로 입수 가능하다. 휘발성 사이클로메티콘 및 휘발성 선형 디메티콘의 배합물이 또한 이용될 수 있다.
본 기술의 조성물 중 실리콘 컨디셔너(들)의 양은 모발에 요망되는 컨디셔닝 성능을 제공하기에 충분해야 하며, 일반적으로 조성물의 총 중량을 기준으로 한 가지 양태에서 약 0.01 내지 약 20 wt. %, 또 다른 양태에서 약 0.05 내지 약 15 wt. %, 추가의 또 다른 양태에서 약 0.1% 내지 약 10 wt. %, 및 추가 양태에서 약 1 내지 약 5 wt. %의 범위이다.
탄화수소 오일
개시된 기술의 조성물의 컨디셔닝 성분은 또한 탄화수소 오일 컨디셔너를 함유할 수 있다.
개시된 기술의 조성물에서 컨디셔닝제로서 사용하기 적합한 컨디셔닝 오일은 사이클릭 탄화수소, 직쇄 지방족 탄화수소(포화 또는 불포화), 및 분지쇄 지방족 탄화수소(포화 또는 불포화), 예컨대, 이들의 폴리머 및 혼합물과 같은 적어도 약 10개의 탄소 원자를 갖는 탄화수소 오일을 포함하지만, 이로 제한되지 않는다. 직쇄 탄화수소 오일은 전형적으로 약 12 내지 19개의 탄소 원자를 함유한다. 탄화수소 폴리머를 포함하는 분지쇄 탄화수소 오일은 전형적으로 19개 초과의 탄소 원자를 함유할 것이다.
이러한 탄화수소 오일의 특수한 비제한적인 예는 파라핀유, 광유, 포화 및 불포화 도데칸, 포화 및 불포화된 트리데칸, 포화 및 불포화 테트라데칸, 포화 및 불포화 펜타데칸, 포화 및 불포화 헥사데칸, 폴리부텐, 폴리데센, 및 이들의 혼합물을 포함한다. 이러한 화합물의 분지쇄 이성질체, 뿐만 아니라 더 고급 사슬 길이의 탄화수소도 이용될 수 있으며, 그 예는 고도로 분지된, 포화 또는 불포화 알칸, 예컨대, 퍼메틸-치환된 이성질체, 예를 들어, 헥사데칸 및 에이코산의 퍼메틸-치환된 이성질체, 예컨대, Permethyl Corporation으로부터 이용가능한 2,2,4,4,6,6,8,8-디메틸-10-메틸운데칸 및 2,2,4,4,6,6-디메틸-8-메틸노난을 포함한다. 폴리부텐 및 폴리데센과 같은 탄화수소 폴리머. 바람직한 탄화수소 폴리머는 이소부틸렌과 부텐의 코폴리머와 같은 폴리부텐이다. 상업적으로 입수 가능한 이러한 유형의 물질은 BP Chemical Company로부터의 L-14 폴리부텐이다.
액체 폴리올레핀 컨디셔닝 오일이 본 기술의 모발을 펴는 조성물에 이용될 수 있다. 액체 폴리올레핀 컨디셔닝제는 전형적으로 수소화된 폴리-α-올레핀이다. 본원에 사용되는 폴리올레핀은 C4 내지 약 C14 올레핀계 모노머의 중합에 의해 제조될 수 있다. 본원에서 폴리올레핀 액체를 제조하는데 사용되는 올레핀계 모노머의 비제한적인 예는 에틸렌, 프로필렌, 1-부텐, 1-펜텐, 1-헥센, 1-옥텐, 1-데센, 1-도데센, 1-테트라데센, 분지쇄 이성질체, 예컨대, 4-메틸-1-펜텐, 및 이들의 혼합물을 포함한다. 개시된 기술의 한 가지 양태에서, 수소화된 α-올레핀 모노머는 1-헥센 내지 1-헥사데센, 1-옥텐 내지 1-테트라데센, 및 이들의 혼합물을 포함하지만, 이로 제한되지 않는다.
불화 또는 과불화 오일이 또한 본 기술의 범위 내에서 고려된다. 불화 오일은 유럽 특허 0 486 135호에 기재된 퍼플루오르폴리에테르 및 WO 93/11103호에 기재된 플루오로탄화수소 화합물을 포함한다. 불소첨가 오일은 또한 플루오로카본, 예컨대 플루오르아민, 예를 들어, 퍼플루오로트리부틸아민, 불소첨가 탄화수소, 예컨대 퍼플루오로데카하이드로나프탈렌, 플루오로에스테르, 및 플루오로에테르일 수 있다.
천연 오일
천연 오일 컨디셔너도 개시된 기술의 실행에 유용하고 땅콩, 참깨, 아보카도, 코코넛, 코코아 버터, 아몬드, 홍화, 옥수수, 목화씨, 참깨 종자, 호두 기름, 피마자, 올리브, 호호바, 팜, 팜 핵, 콩, 밀 배아, 아마씨, 해바라기씨; 유칼립투스, 라벤더, 베티버(vetiver), 릿시(litsea), 쿠베바(cubeba), 레몬, 샌달우드, 로즈마리, 카모마일, 세이보리(savory), 육두구, 계피, 우슬초, 캐러웨이, 오렌지, 제라늄, 케이드(cade), 및 베르가못 오일, 어유, 글리세롤 트리카프로카프릴레이트; 및 이들의 혼합물을 포함하지만, 이로 제한되지 않는다.
에스테르 오일
에스테르 오일 컨디셔너는 적어도 10개의 탄소 원자를 갖는 지방 에스테르를 포함하지만, 이로 제한되지 않는다. 이러한 지방 에스테르는 지방산 또는 알콜로부터 유래된 에스테르를 포함한다(예를 들어, 모노-에스테르, 다가 알콜 에스테르, 및 디- 및 트리-카복실산 에스테르). 본원의 지방 에스테르는 여기에 공유적으로 결합된 다른 상용가능한 작용기, 예컨대, 아미드 및 알콕시 모이어티(예를 들어, 에톡시 또는 에테르 연결 등)를 포함하거나 지닐 수 있다.
예시적 지방 에스테르는 이소프로필 이소스테아레이트, 헥실 라우레이트, 이소헥실 라우레이트, 이소헥실 팔미테이트, 이소프로필 팔미테이트, 데실 올레에이트, 이소데실 올레에이트, 헥사데실 스테아레이트, 데실 스테아레이트, 이소프로필 이소스테아레이트, 디헥실데실 아디페이트, 라우릴 락테이트, 미리스틸 락테이트, 세틸 락테이트, 올레일 스테아레이트, 올레일 올레에이트, 올레일 미리스테이트, 라우릴 아세테이트, 세틸 프로피오네이트, 및 올레일 아디페이트를 포함하지만, 이로 제한되지 않는다.
개시된 기술의 조성물에 사용하기 적합한 다른 지방 에스테르는 일반식 R60C(O)OR61의 모노-카복실산 에스테르이고, 여기서 R60 및 R61은 알킬 또는 알케닐 라디칼이고, R60 및 R61에서 탄소 원자의 합은 개시된 기술의 한 가지 양태에서 적어도 10개, 및 또 다른 양태에서 적어도 22개이다.
또한 개시된 기술의 조성물에 사용하기 적합한 다른 지방 에스테르는 카복실산의 디- 및 트리-알킬 및 알케닐 에스테르, 예컨대, C4 내지 C8 디카복실산의 에스테르이다(예를 들어, 석신산, 글루타르산, 아디프산의 C1 내지 C22 에스테르, 바람직하게는 C1 내지 C6). 카복실산의 디- 및 트리-알킬 및 알케닐 에스테르의 특수한 비제한적인 예는 이소세틸 스테아리올 스테아레이트, 디이소프로필 아디페이트, 및 트리스테아릴 시트레이트를 포함한다.
개시된 기술의 조성물에 사용하기 적합한 다른 지방 에스테르는 다가 알콜 에스테르로서 공지된 지방 에스테르이다. 그러한 다가 알콜 에스테르는 알킬렌 글리콜 에스테르, 예컨대, 에틸렌 글리콜 모노 및 디-지방산 에스테르, 디에틸렌 글리콜 모노- 및 디-지방산 에스테르, 폴리에틸렌 글리콜 모노- 및 디-지방산 에스테르, 프로필렌 글리콜 모노- 및 디-지방산 에스테르, 폴리프로필렌 글리콜 모노올레에이트, 폴리프로필렌 글리콜 2000 모노스테아레이트, 에톡실화 프로필렌 글리콜 모노스테아레이트, 글리세릴 모노- 및 디-지방산 에스테르, 폴리글리세롤 폴리-지방산 에스테르, 에톡실화 글리세릴 모노스테아레이트, 1,3-부틸렌 글리콜 모노스테아레이트, 1,3-부틸렌 글리콜 디스테아레이트, 폴리옥시에틸렌 폴리올 지방산 에스테르, 소르비탄 지방산 에스테르, 및 폴리옥시에틸렌 소르비탄 지방산 에스테르를 포함한다.
적합한 합성 지방 에스테르의 특수한 비제한적인 예는 P-43(트리메틸올프로판의 C8 내지 C10 트리에스테르), MCP-684(3,3 디에탄올-1,5 펜타디올의 테트라에스테르), MCP 121(아디프산의 C8 내지 C10 디에스테르)(이들 모두는 ExxonMobil Chemical Company로부터 이용가능함)을 포함한다.
탄화수소 및 천연 컨디셔닝 오일 및 에스테르 오일 컨디셔닝제의 양은 조성물의 총 중량을 기준으로 한 가지 양태에서 약 0.05 내지 약 10 중량%, 또 다른 양태에서 약 0.5 내지 약 5 중량%, 및 추가 양태에서 약 1 내지 약 3 중량%의 범위일 수 있다.
양이온성 화합물 및 폴리머
양이온성 화합물은 적어도 하나의 양이온성 모이어티 또는 이온화되어 양이온성 모이어티를 형성할 수 있는 적어도 하나의 모이어티를 함유하는 비폴리머 및 폴리머 화합물을 지칭한다. 전형적으로 이러한 양이온성 모이어티는 사차 암모늄 또는 양자화 아미노기와 같은 질소 함유 기이다. 양이온성 양자화 아민은 1차, 2차, 또는 3차 아민일 수 있다. 한 가지 양태에서, 양이온성 컨디셔닝 화합물은 모발 컨디셔닝을 위해 당 분야에 널리 알려진 사차 질소 함유 비폴리머 및 폴리머 물질을 포함한다. 양이온성 컨디셔닝 화합물은 하나의 사차 암모늄 염 모이어티를 함유하는 비폴리머 화합물 및 적어도 하나의 사차 암모늄 염 모이어티를 함유하는 폴리머 화합물(폴리머)을 포함한다.
한 가지 양태에서, 사차 암모늄 염 모이어티는 일반식 (R70)(R71)(R72)(R73)N+) E-에 해당하며, 여기서 각각의 R70, R71, R74, 및 R75는 독립적으로 1 내지 약 22개의 탄소 원자를 갖는 지방족 기(예를 들어, 알킬, 알케닐); 방향족(예를 들어, 페닐 벤질); 알콕시; 폴리옥시알킬렌(예컨대, 폴리에틸렌, 폴리프로필렌, 및 이들의 조합물); 아세트아미도; 알킬아미도; 알킬아미도알킬; 하이드록시알킬; 아릴; 아라알킬; 또는 알킬 사슬 내에 1 내지 약 22개의 탄소 원자를 갖는 알킬아릴기로부터 선택되고; E-는 염-형성 음이온, 예컨대, 할로겐, (예를 들어, 클로라이드, 브로마이드), 아세테이트, 시트레이트, 락테이트, 글리콜레이트, 포스페이트, 니트레이트, 설페이트, 및 알킬설페이트(예를 들어, 메토설페이트, 에토설페이트)로부터 선택되는 염-형성 음이온이다. 지방족 기는 탄소 및 수소 원자에 더하여 에테르 연결, 에스테르 연결, 및 다른 기, 예컨대, 아미노기를 함유할 수 있다. 더 긴 사슬 지방족 기, 예를 들어, 약 12개의 탄소의 지방족 기 또는 더 고급의 지방족 기는 포화되거나 불포화될 수 있다. R70, R71, R74, 및 R75 중 임의의 2개는 이들이 부착된 질소 원자와 함께 취해져 5 내지 6개의 탄소 원자를 함유하는 고리 구조를 형성할 수 있고, 상기 탄소 원자 중 하나는 임의로 질소, 산소 또는 황으로부터 선택되는 헤테로원자로 대체될 수 있다.
한 가지 양태에서, 사차 암모늄 모이어티는 적어도 3개의 알킬 및/또는 아릴 치환기에 공유적으로 연결된 적어도 하나의 질소 원자를 함유하고, 질소 원자는 주위의 pH와 무관하게 양으로 하전된 채로 유지된다.
한 가지 양태에서, 사차 암모늄 모이어티는 하나의 질소 원자 및 적어도 하나의 C12 내지 C22 알킬기를 함유한다. 한 가지 양태에서, 사차 암모늄 모이어티는 하나의 C12 내지 C22 알킬기 및 적어도 2개의 C1 내지 C5 알킬기(예를 들어, 메틸, 에틸, 프로필, 부틸 및 펜틸, 및 이들의 조합물)를 함유한다. 한 가지 양태에서, 사차 암모늄 모이어티는 하나의 C12 내지 C22 알킬기, 및 3개의 C1 내지 C5 알킬기(예를 들어, 메틸, 에틸, 프로필, 부틸 및 펜틸, 및 이들의 조합물)를 포함한다. 한 가지 양태에서, 사차 암모늄 모이어티는 하나의 C12 내지 C22 알킬기, 및 2개의 C1 내지 C5 알킬기(예를 들어, 메틸, 에틸, 프로필, 부틸 및 펜틸, 및 이들의 조합물), 및 알콕시; 폴리옥시알킬렌(예를 들어, 폴리에틸렌, 폴리프로필렌, 및 이들의 조합물), 이 때 폴리옥시알킬렌 모이어티는 3 내지 100개 반복 단위를 함유함; 아세트아미드; 알킬아미도; 알킬아미도알킬; 하이드록시알킬; 아릴; 아라알킬; 또는 알킬 사슬 내에 1 내지 약 22개의 탄소 원자를 갖고, 아릴 모이어티 내에 6 내지 약 14개의 탄소 원자를 갖는 알킬아릴기를 함유하는 하나의 모이어티를 함유한다.
다수의 사차 질소-함유 화합물 및 폴리머, 이들의 제조업체 및 이들의 화학 특성의 일반적 설명은 CTFA 사전 및 Cosmetic Toiletry and Fragrance Association, Inc.(CTFA)에 의해 발행된 국제 미용 성분 사전 (Vol. 1 and 2, 5th Ed.)(1993)에서 찾아볼 수 있으며, 이의 관련 개시 내용은 본원에 참조로 포함된다. CTFA 또는 제조업체에 의해 성분에 할당된 명칭이 편의상 사용된다.
본 기술에서 양이온성 컨디셔너로서 유용한 단량체성 사차 암모늄 화합물의 비제한적인 예는 아세트아미도프로필 트리모늄 클로라이드, 베헨아미도프로필 에틸디모늄 에토설페이트, 베헨트리모늄 클로라이드, 베헨트리모늄 메토설페이트, 세테틸 모르폴리늄 에토설페이트, 세트리모늄 클로라이드, 코코아미도프로필 에틸디모늄 에토설페이트, 디세틸디모늄 클로라이드, 하이드록시에틸 베헨아미도프로필 디모늄 클로라이드, 쿼터늄-26, 쿼터늄-27, 쿼터늄-53, 쿼터늄-63, 쿼터늄-70, 쿼터늄-72, 쿼터늄-76 PPG-9 디에틸모늄 클로라이드, PPG-25 디에틸모늄 클로라이드, PPG-40 스테아르알코늄 클로라이드, 이소스테아르아미도프로필 에틸디모늄 에토설페이트, 및 이들의 혼합물을 포함한다.
양이온성 폴리머도 단독으로 또는 본원에 기재된 다른 컨디셔닝제와 함께 컨디셔닝제로서 유용하다. 적합한 양이온성 폴리머는 합성으로 유도될 수 있거나 천연 폴리머가 양이온성 모이어티를 함유하도록 합성으로 변형될 수 있다. 폴리머 사차 암모늄 모이어티 염 함유 폴리머는, 알킬기가 한 가지 양태에서 1 내지 약 22개의 탄소 원자를 함유하고 또 다른 양태에서 메틸 또는 에틸인 디알킬디알릴암모늄 염 또는 이의 코폴리머와 같은 디알릴아민의 중합에 의해 제조될 수 있다. 디알킬디알릴암모늄 염으로부터 유도된 사차 모이어티 및 아크릴산 및 메타크릴산의 음이온성 모노머로부터 유도된 음이온성 성분을 함유하는 코폴리머가 적합한 컨디셔닝제이다. 디알릴아민, 예컨대, 디메틸디알릴암모늄 염의 유도체로부터 제조된 양이온성 성분, 아크릴산 또는 2-아크릴아미도-2-메틸프로판 설폰산의 음이온성 모노머로부터 유도된 음이온성 성분 및 아크릴아미드의 비이온성 모노머로부터 유도된 비이온성 성분을 갖는 양쪽성고분자전해질(polyampholyte) 터폴리머가 또한 적합하다. 그러한 사차 암모늄 염 모이어티 함유 폴리머의 제조는, 예를 들어, 미국 특허 제3,288,770호; 제3,412,019호; 제4,772,462호 및 제5,275,809호에서 찾아볼 수 있고, 이의 관련 개시 내용은 본원에 참조로 포함된다.
한 가지 양태에서, 적합한 양이온성 폴리머는 알킬기가 메틸 또는 에틸인 상기 사차화된 호모폴리머 및 코폴리머의 클로라이드 염을 포함하고, 이는 Lubrizol Advanced Materials, Inc.로부터 Merquat®시리즈의 상표로서 상업적으로 입수 가능하다.
CTFA 명칭 폴리쿼터늄-6을 갖는 디알릴 디메틸 암모늄 클로라이드(DADMAC)로부터 제조된 호모폴리머는 Merquat 100 및 Merquat 106 상표하에 입수 가능하다. CTFA 명칭 폴리쿼터늄-7을 갖는 DADMAC 및 아크릴아미드로부터 제조된 코폴리머는 Merquat 550 상표하에 입수 가능하다. CTFA 명칭 폴리쿼터늄-22를 갖는 DADMAC 및 아크릴산으로부터 제조된 또 다른 코폴리머는 Merquat 280 상표하에 입수 가능하다. 폴리쿼터늄-22 및 이의 관련 폴리머의 제조는 미국 특허 제4,772,462호에 기재되어 있고, 이의 관련 개시 내용은 본원에 참조로 포함된다.
아크릴아미드 또는 메틸 아크릴레이트로부터 유도된 비이온성 성분, DADMAC 또는 메타크릴아미도프로필 트리메틸 암모늄 클로라이드(MAPTAC)로부터 유도된 양이온성 성분, 및 아크릴산 또는 2-아크릴아미도-2-메틸프로판 설폰산 또는 아크릴산과 2-아크릴아미도-2-메틸프로판 설폰산의 조합물로부터 유도된 음이온성 성분으로부터 제조된 양쪽성 터폴리머가 또한 유용하다. CTFA 명칭 폴리쿼터늄-39를 갖는 아크릴산, DADMAC 및 아크릴아미드로부터 제조된 양쪽성 터폴리머는 Merquat Plus 3330 상표 하에 이용가능하다. CTFA 명칭 폴리쿼터늄-47을 갖는 아크릴산, 메타크릴아미도프로필 트리메틸 암모늄 클로라이드(MAPTAC) 및 메틸 아크릴레이트로부터 제조된 또 다른 양쪽성 터폴리머는 Merquat 2001 상표하에 입수 가능하다. CTFA 명칭 폴리쿼터늄-53을 갖는 아크릴산, MAPTAC 및 아크릴아미드로부터 제조된 추가의 또 다른 양쪽성 터폴리머는 Merquat 2003PR 상표하에 입수 가능하다. 그러한 터폴리머의 제조는 관련 개시 내용이 본원에 참조로 포함되는 미국 특허 제5,275,809호에 기재되어 있다.
개시된 기술의 모발을 펴는 조성물에서 컨디셔너로서 적합한 다른 양이온성 폴리머 및 코폴리머는 CTFA 명칭 폴리쿼터늄-4, 폴리쿼터늄-11, 폴리쿼터늄-16, 폴리쿼터늄-28, 폴리쿼터늄-29, 폴리쿼터늄-32, 폴리쿼터늄-33, 폴리쿼터늄-35, 폴리쿼터늄-37, 폴리쿼터늄-44, 폴리쿼터늄-46, 폴리쿼터늄-47, 폴리쿼터늄-52, 폴리쿼터늄-53, 폴리쿼터늄-55, 폴리쿼터늄-59, 폴리쿼터늄-61, 폴리쿼터늄-64, 폴리쿼터늄-65, 폴리쿼터늄-67, 폴리쿼터늄-69, 폴리쿼터늄-70, 폴리쿼터늄-71, 폴리쿼터늄-72, 폴리쿼터늄-73, 폴리쿼터늄-74, 폴리쿼터늄-76, 폴리쿼터늄-77, 폴리쿼터늄-78, 폴리쿼터늄-79, 폴리쿼터늄-80, 폴리쿼터늄-81, 폴리쿼터늄-82, 폴리쿼터늄-84, 폴리쿼터늄-85, 폴리쿼터늄-87, 및 PEG-2-코코모늄 클로라이드를 갖는다.
모발을 펴는 조성물에 사용하기 적합한 예시적 양이온성 변형된 천연 폴리머는 다당류 폴리머, 예컨대, 양이온성 변형된 셀룰로스 및 사차 암모늄 할라이드 모이어티로 변형된 양이온성 변형된 전분 유도체를 포함한다. 예시적 양이온성 변형된 셀룰로스 폴리머는 트리메틸 암모늄 치환된 에폭사이드와 반응한 하이드록시에틸 셀룰로스의 염이다(CTFA, 폴리쿼터늄-10). 다른 적합한 유형의 양이온성 변형된 셀룰로스는 라우릴 디메틸 암모늄 치환된 에폭사이드와 반응한 하이드록시에틸 셀룰로스의 폴리머 사차 암모늄 염을 포함한다(CTFA, 폴리쿼터늄-24). CTFA 명칭 전분 하이드록시프로필트리모늄 클로라이드를 갖는 양이온성 변형된 감자 전분은 Lubrizol Advanced Materials, Inc.로부터 Sensomer™CI-50 상표하에 입수 가능하다.
다른 적합한 양이온성 변형된 천연 폴리머는 양이온성 폴리갈락토만난 유도체, 예컨대, 구아 검 유도체 및 카시아 검 유도체, 예를 들어, CTFA: 구아 하이드록시프로필트리모늄 클로라이드, 하이드록시프로필 구아 하이드록시프로필트리모늄 클로라이드, 및 카시아 하이드록시프로필트리모늄 클로라이드를 포함한다. 구아 하이드록시프로필트리모늄 클로라이드는 Rhodia Inc.로부터 Jaguar™ 상표명 시리즈 및 Ashland Inc.로부터 N-Hance 상표명 시리즈하에 상업적으로 입수 가능하다. 카시아 하이드록시프로필트리모늄 클로라이드는 Lubrizol Advanced Materials, Inc.로부터 Sensomer™ CT-250 및 Sensomer™ CT-400 상표하에 상업적으로 입수 가능하다.
비폴리머 및 폴리머 양이온성 화합물은 한 가지 양태에서 약 0.05 내지 약 5 중량%, 또 다른 양태에서 약 0.1 내지 약 3 중량%, 및 추가 양태에서 약 0.5 내지 약 2.0 중량%로 존재할 수 있다(조성물의 총 중량을 기준으로 함).
보조 점도 개질제
개시된 기술의 조성물은 0.1 내지 1 S-1(reciprocal second)의 전단 속도에서 0.5 미만의 전단 담화 지수, 및 적어도 10%의 광 전송으로 용이하게 부을 수 있어야 한다. 개시된 기술의 현탁제는 임의로 증점된 액체의 항복 값을 향상시키기 위해 보조 레올로지 개질제(증점제)와 함께 이용될 수 있다. 한 가지 양태에서, 개시된 기술의 에멀젼 폴리머인 비이온성의 양친매성 에멀젼은 비이온성 레올로지 개질제와 조합되어 이것이 포함되어 있는 조성물의 항복 응력 값을 향상시킬 수 있다. 임의의 레올로지 개질제는 물에 용해성이고, 안정하며 이온성 또는 이온화가능한 기를 함유하지 않는 한 적합하다. 적합한 레올로지 개질제는 천연 검(예를 들어, 호로파(fenugreek), 카시아(cassia), 로우커스트 콩(locust bean), 타라(tara) 및 구아(guar)로부터 선택되는 폴리갈락토만난 검), 개질된 셀룰로스(예를 들어, 에틸헥실에틸셀룰로스(EHEC), 하이드록시부틸메틸셀룰로스(HBMC), 하이드록시에틸메틸셀룰로스(HEMC), 하이드록시프로필메틸셀룰로스(HPMC), 메틸 셀룰로스(MC), 하이드록시에틸셀룰로스(HEC), 하이드록시프로필셀룰로스(HPC) 및 세틸 하이드록시에틸셀룰로스); 및 이들의 혼합물들, 메틸셀룰로스, 폴리에틸렌 글리콜(예를 들어, PEG 4000, PEG 6000, PEG 8000, PEG 10000, PEG 20000), 폴리비닐 알콜, 폴리아크릴아미드(호모폴리머 및 코폴리머), 및 소수성으로 개질된 에톡실화된 우레탄(HEUR)을 포함하지만, 이로 제한되지 않는다. 레올로지 개질제는 조성물의 총 중량을 기준으로 한 가지 양태에서 약 0.5 내지 약 25 중량%, 또 다른 양태에서 약 1 내지 약 15 중량%, 및 추가 양태에서 약 2 내지 약 10 중량% 범위의 양으로 사용될 수 있다.
보습제
보습제는 환경의 상대 습도에 따라, 수증기를 흡수하거나 방출하는 물질로서 정의된다[Harry's Cosmeticology, Chemical Publishing Company Inc., 1982 p. 266]. 적합한 보습제는 알란토인; 피롤리돈카복실산 및 이의 염; 히알루론산 및 이의 염; 소르브산 및 이의 염; 우레아, 리신, 시스틴, 및 아미노산; 폴리하이드록시 알콜, 예컨대, 글리세린, 프로필렌 글리콜, 헥실렌 글리콜, 헥산트리올, 에톡시디글리콜, 디메티콘 코폴리올, 및 소르비톨, 및 이의 에스테르; 폴리에틸렌 글리콜; 글리콜산 및 글리콜레이트 염(예를 들어, 암모늄 및 사차 알킬 암모늄); 키토산; 알로에-베라 추출물; 조류 추출물; 꿀 및 이의 유도체; 이노시톨; 락트산 및 락테이트 염(예를 들어, 암모늄 및 사차 알킬 암모늄); 당 및 전분(예를 들어, 말토스, 글루코스, 프럭토스); 당 및 전분 유도체(예를 들어, 글루코스 알콕실화 글루코스, 만니톨, 자일리욜(xyliyol)); DL-판테놀; 마그네슘 아스코르빌 포스페이트, 알부틴(arbutin), 코지산(kojic acid), 락트아미드 모노에탄올아민; 아세트아미드 모노에탄올아민 등, 및 이들의 혼합물을 포함하지만, 이로 제한되지 않는다. 보습제는 또한 C3 내지 C6 디올 및 트리올, 예컨대, 글리세린, 프로필렌 글리콜, 부탄-1,2,3-트리올, 헥실렌 글리콜, 헥산트리올 등, 및 이들의 혼합물을 포함하지만, 이로 제한되지 않는다. INCI 명칭 라우릴 메틸 글루세스-10 하이드록시프로필디모늄 클로라이드, 메틸 글루세스-10 및 메틸 글루세스-20 하에 이용가능한 것들과 같은, 평균 5 내지 30몰의 에톡실화를 함유하는 에톡실화 메틸 글루코스 에테르가 적합하다.
이러한 보습제는 조성물의 0.01-20 wt. %, 예컨대, 적어도 0.1 wt. %, 또는 적어도 1 wt. %, 예를 들어, 8 wt. % 이하, 또는 5 wt. % 이하로 존재할 수 있다.
센세이트
피부 센세이트는 사용자에 의한 그 도포의 적절성, 활성 및 균일성의 감각적 확인을 제공하는데 도움이 된다. 피부 센세이트의 일부 비제한적인 예는 각각 전체가 본원에 참조로 포함되는 미국 특허 제4,230,688호, 제4,136,163호, 제6,183,766호 및 제7,001,594호에 기재되어 있다. 적합한 센세이트의 비제한적인 예는 부탄디오산 모노멘틸 에스테르, 캄퍼(camphor), 카르본(carvone), 시네올(cineole), 클로브유(clove oil), 에틸 카복사미드, 에틸 멘탄 카복사이드, 유칼립투스유, 유콜리톨(eucolytol), 생강유, l-이소풀레골, 멘톨, 멘톤 글리세린 아세탈, 멘톡시-1,2-프로판디올, 멘틸 락테이트, 메틸 디이소프로필프로피온아미드, 메틸 살리실레이트, 페퍼민트유, 로즈마리유, 트리메틸 부탄아미드, 바닐릴 부틸 에테르 또는 이의 조합물을 포함한다. 센세이트는 조성물의 총 중량을 기준으로 한 가지 양태에서 약 0.01 wt.% 내지 약 2 wt.%, 및 또 다른 양태에서 약 0.05 wt.% 내지 약 1 wt.% 범위의 양으로 조성물에 포함될 수 있다.
보태니컬
개시된 기술의 헤어 케어 조성물은 하나 이상의 보태니컬 작용제를 함유할 수 있다. 적합한 보태니컬 작용제는, 예를 들어, 에키나시아(Echinacea)(예를 들어, 종 앙구스티폴리아 ( angustifolia ), 푸르푸레아 ( purpurea ), 팔리다( pallida )), 유카 글라우카(yucca glauca), 버드나무 풀잎, 바질 잎, 터키쉬 오레가노(Turkish oregano), 당근 뿌리, 그레이프프루트, 회향풀 종자, 로즈마리, 울금, 타임, 블루베리, 벨 페퍼(bell pepper), 블랙베리, 스피룰리나(spirulina), 검은 건포도 과일, 차 잎, 예를 들어, 중국차, 홍차(예를 들어, 변종 플로어리 오렌지 페코에(Flowery Orange Pekoe), 골든 플로어리 오렌지 페코에(Golden Flowery Orange Pekoe), 파인 티피 골든 플로어리 오렌지 페코에(Fine Tippy Golden Flowery Orange Pekoe)), 녹차(예를 들어, 변종 재패니즈(Japanese), 그린 다즐링(Green Darjeeling)), 우롱차, 커피 종자, 민들레 뿌리, 대추 야자 과일, 은행나무 잎, 녹차, 호돈 베리(hawthorn berry), 감초, 살구씨, 세이지, 딸기, 스위트피, 토마토, 해바라기씨 추출물, 샌달우드 추출물, 포도씨, 알로에 잎, 바닐라 과일, 캄프리(comfrey), 아르니카(arnica), 센텔라 아시아티카(centella asiatica), 수레국화(cornflower), 호스 체슈넛(horse chestnut), 담쟁이덩굴, 마카다미아(Macadamia ternifolia)씨, 목련, 귀리, 팬지, 골무꽃, 시벅스톤(seabuckthorn), 화이트 네틀(white nettle), 및 위치 하젤(witch hazel)로부터의 추출물을 포함할 수 있다. 보태니컬 추출물은 또한, 예를 들어, 클로로겐산, 글루타치온, 글리시리진, 네오헤스페리딘(neohesperidin), 케르세틴(quercetin), 루틴(rutin), 모린(morin), 미리세틴(myricetin), 압생트(absinthe), 및 카모마일(chamomile)을 포함할 수 있다.
한 가지 양태에서, 헤어 케어 조성물은 조성물의 총 중량을 기준으로 약 0.01 wt. % 내지 약 10 wt. %, 또 다른 양태에서 약 0.05 wt. % 내지 약 5 wt. %, 추가의 또 다른 양태에서 약 0.1 wt. % 내지 약 3 wt. %, 및 추가 양태에서 약 0.5 wt. % 내지 약 1 wt. %의 상기 개시된 하나 이상의 보태니컬 추출물을 함유할 수 있다.
아미노산
본원에 제공된 헤어 케어 조성물은 하나 이상의 비-구아니딘 모이어티 함유 아미노산을 함유할 수 있다. 이용될 수 있는 아미노산의 예는, 제한 없이, 카프릴 케라틴 아미노산, 카프릴 실크 아미노산, 호호바 아미노산, 케라틴 아미노산, 팔미토일 케라틴 아미노산, 팔미토일 실크 아미노산, 소듐 코코일 아미노산, 소듐 코코일 실크 아미노산, 및 스윗 아몬드 아미노산을 포함한다.
모발을 펴는 조성물은 적절한 양의 아미노산(들)을 포함할 수 있다. 아미노산의 양은 조성물의 총 중량을 기준으로 한 가지 양태에서 약 0.001 wt.% 내지 약 5 wt.%, 또 다른 양태에서 약 0.01 wt.% 내지 약 3 wt.%, 추가의 또 다른 양태에서 약 0.1 wt.% 내지 약 2 wt.%, 및 추가 양태에서 약 0.5 wt.% 내지 약 1 wt.%의 범위이다.
비타민
헤어 케어 조성물은 하나 이상의 비타민을 함유할 수 있다. 이용될 수 있는 비타민의 예는, 제한 없이, 니아신아미드, 소듐 전분 옥테닐석시네이트, 칼슘 판토테네이트, 말토덱스트린, 소듐 아스코르빌 포스페이트, 토코페릴 아세테이트, 피리독신 HCl, 실리카, 판테놀(예를 들어, 프로 비타민 B5), 피탄트리올, 칼슘 판토테네이트(예를 들어, 비타민 B5), 비타민 E, 및 비타민 E 에스테르(예를 들어, 토코페릴 아세테이트, 토코페릴 노코티네이트, 토코페릴 팔미테이트, 또는 토코페릴 레티노에이트)를 포함한다.
본원에 제공된 헤어 케어 조성물은 임의의 양의 비타민(들)을 포함할 수 있다. 비타민(들)의 양은 조성물의 총 중량을 기준으로 한 가지 양태에서 약 0.05 wt.% 내지 약 10 wt.%, 또 다른 양태에서 약 0.1 wt.% 내지 약 5 wt.%, 추가의 또 다른 양태에서 약 0.5 wt.% 내지 약 3 wt.%, 및 추가 양태에서 약 0.75 wt.% 내지 약 1 wt.%의 범위일 수 있다.
킬레이팅제
킬레이팅제는 금속 이온의 유해한 효과에 대해 조성물을 안정화시키기 위해 이용될 수 있다. 이용되는 경우, 적합한 킬레이팅제는 EDTA(에틸렌 디아민 테트라아세트산) 및 이의 염, 예컨대, 디소듐 EDTA, 시트르산 및 이의 염, 사이클로덱스트린 등, 및 이들의 혼합물을 포함한다.
이러한 적합한 킬레이팅제는 모발을 펴는 조성물의 총 중량의 0.001 wt.% 내지 3 wt.%, 예컨대, 0.01 wt.% 내지 2 wt.%, 또는 0.01 wt.% 내지 1 wt.%로 포함될 수 있다.
완충제
완충제가 예시적 조성물에서 사용될 수 있다. 적합한 완충제는 알칼리 또는 알칼리토금속 카보네이트, 포스페이트, 바이카보네이트, 시트레이트, 보레이트, 아세테이트, 산 무수물, 석시네이트 등, 예컨대, 소듐 포스페이트, 소듐 시트레이트, 소듐 아세테이트, 소듐 바이카보네이트, 및 소듐 카보네이트를 포함한다.
pH 조절제
조성물의 pH는 한 가지 양태에서 1.5 내지 9.5, 제2 양태에서 적어도 4.5, 제3 양태에서 적어도 5.5, 제4 양태에서 적어도 6.5, 제5 양태에서 적어도 7.0, 제6 양태에서 적어도 7.5, 제7 양태에서 적어도 8.0, 제8 양태에서 적어도 8.5, 제9 양태에서 적어도 9.0, 제10 양태에서 적어도 9.5의 범위일 수 있다.
이차 아연 염과 함께 피리티온의 다가 금속염이 개시된 기술의 비듬방지 헤어 케어 조성물에 이용되며, 조성물의 pH는 적어도 약 6.5의 값으로 조절된다. pH는 한 가지 양태에서 약 6.5 내지 약 12, 또 다른 양태에서 약 6.8 내지 약 9.5, 및 추가의 또 다른 양태에서 약 6.8 내지 약 8.5의 범위일 수 있다. 요망되는 pH를 제공하기 위해, 조성물은 유기 및 무기산 및 염기로부터 선택되는 하나 이상의 pH 변형제에 의해 조절될 수 있다.
조성물의 pH는 당 분야에 공지된 산성 및/또는 염기성 pH 조절제의 임의의 조합으로 조절될 수 있다. 산성 물질은 유기산 및 무기산, 특히, 모노카복실산, 디카복실산, 및 트리카복실산, 예를 들어, 아세트산, 시트르산, 타르타르산, 알파-하이드록시산, 베타-하이드록시산, 살리실산, 락트산, 말산, 글리콜산, 아미노산, 및 천연 과일산, 또는 무기산, 예를 들어, 염산, 질산, 황산, 설팜산, 인산, 및 이들의 조합물을 포함한다.
염기성 물질은 무기 및 유기 염기, 및 이들의 조합물을 포함한다. 무기 염기의 예는 알칼리 금속 하이드록사이드(예를 들어, 포타슘 하이드록사이드, 소듐 하이드록사이드) 및 알칼리 금속 카보네이트(예를 들어, 포타슘 카보네이트, 소듐 카보네이트), 및 알칼리 금속 염, 예컨대, 소듐 보레이트(붕사), 소듐 포스페이트, 소듐 피로포스페이트 등, 및 이들의 혼합물을 포함하지만, 이로 제한되지 않는다. 유기 염기의 예는 암모늄 하이드록사이드, 트리에탄올아민(TEA), 디이소프로판올아민, 트리이소프로판올아민, 아미노메틸 프로판올, 도데실아민, 코카민, 올레아민, 모르폴린, 트리아밀아민, 트리에틸아민, 테트라키스(하이드록시프로필)에틸렌디아민, L-아르기닌, 아미노메틸 프로판올, 트로메타민 (2-아미노 2-하이드록시메틸-1,3-프로판디올), 및 PEG-15 코카민을 포함한다.
pH 조절제(들) 및/또는 완충제는 조성물에서 요망되는 pH 값을 수득하고/하거나 유지하는데 필요한 임의의 양으로 이용된다.
보존제
한 가지 양태에서, 퍼스널 케어에서 사용하기에 적합한 임의의 보존제가 모발을 펴기 위한 조성물에서 사용될 수 있다. 적합한 보존제는 폴리메톡시 바이사이클릭 옥사졸리딘, 메틸 파라벤, 프로필 파라벤, 에틸 파라벤, 부틸 파라벤, 벤질트리아졸, DMDM 히단토인(1,3-디메틸-5,5-디메틸 히단토인으로도 공지됨), 이미다졸리디닐 우레아, 페녹시에탄올, 페녹시에틸파라벤, 메틸이소티아졸리논, 메틸클로로이소티아졸리논, 벤조이소티아졸리논, 트리클로산, 및 상기 개시된 바와 같은 적합한 폴리쿼터늄 화합물(예를 들어, 폴리쿼터늄-1)을 포함한다.
또 다른 양태에서, 산 기반 보존제가 예시적 조성물에서 유용하다. 산 기반 보존제의 사용은 낮은 pH 범위에서 생성물의 포뮬레이션을 촉진한다. 포뮬레이션의 pH를 낮추는 것은 본질적으로 폄 과정에 적합한 것에 더하여 미생물 성장에 대해 불친절한 환경을 제공한다. 또한, 낮은 pH에서의 포뮬레이션은 산 기반 보존제의 효능을 향상시키고, 피부에서 산성 pH 균형을 유지시키는 퍼스널 케어 제품을 생성시킨다. 퍼스널 케어 제품에서 유용한 임의의 산 기반 보존제가 예시적 조성물에서 사용될 수 있다. 한 가지 양태에서, 산 보존제는 화학식 R80C(O)OH로 표현되는 카복실산 화합물이고, 여기서 R80은 수소, 1 내지 8개의 탄소 원자를 함유하는 포화 및 불포화 하이드로카르빌기 또는 C6 내지 C10 아릴을 나타낸다. 또 다른 양태에서, R80은 수소, C1 내지 C8 알킬기, C2 내지 C8 알케닐기, 또는 페닐로부터 선택된다. 예시적 산은 포름산, 아세트산, 프로피온산, 소르브산, 카프릴산, 및 벤조산, 및 이들의 혼합물이지만, 이로 제한되지 않는다.
또 다른 양태에서, 적합한 산은 옥살산, 석신산, 글루타르산, 아디프산, 아젤라산, 말레산, 푸마르산, 락트산, 글리세르산, 타르트론산, 말산, 타르타르산, 글루콘산, 시트르산, 아스코르브산, 살리실산, 프탈산, 만델산, 벤질산, 및 이들의 혼합물을 포함하지만, 이로 제한되지는 않는다.
상기 산의 염은 또한 이들이 낮은 pH 값에서 효능을 보유하는 한 유용하다. 적합한 염은 상기 열거된 산의 알칼리 금속(예를 들어, 소듐, 포타슘, 칼슘) 및 암모늄 염을 포함한다.
산 기반 보존제 및/또는 이들의 염은 단독으로 또는 퍼스널 케어, 홈 케어, 헬스 케어, 및 시설 및 산업 관리 생성물에서 통상적으로 사용되는 비-산성 보존제와 조합하여 사용될 수 있다.
보존제는 한 가지 양태에서 헤어 케어 조성물의 총 중량의 0.01 wt.% 내지 3.0 wt.%, 또는 약 0.1 wt.% 내지 약 1 wt.%, 또는 약 0.3 wt.% 내지 약 1 wt.%로 포함될 수 있다.
퍼퓸 및 향료
모발을 펴는 조성물의 임의의 다양한 구성요소의 향을 차폐하거나 조성물에 심미적으로 만족스런 향기를 제공하기 위해 예시적 조성물에 향료 및 퍼퓸 성분이 이용될 수 있다. 한 가지 양태에서, 적합한 향료 및 퍼퓸은 자연 및 합성 향료, 퍼퓸, 센트(scent), 및 에센스 및 방향을 방출하는 임의의 다른 물질을 포함한다. 천연 향료로서, 식물 기원의 향료, 예컨대, 꽃(예를 들어, 백합, 라벤더, 장미, 자스민, 네롤리, 일랑-일랑), 줄기 및 잎(제라늄, 파출리, 페티그레인(petitgrain), 박하), 과일(아니스열매, 고수풀, 회향풀, 메이스(mace), 노간주나무), 과일 껍질(베르가모트, 레몬, 오렌지), 뿌리(안젤리카, 셀러리, 카다몸(cardamom), 코스투스(costus), 아이리스, 창포), 나무(소나무, 백단향, 구아이아쿰 나무(guaiacum wood), 삼목, 자단, 계피), 약초 및 목초(사철쑥류, 레몬그라스, 세이지, 타임), 침엽수 및 트윅스(twigs)(가문비나무, 소나무, 유럽산 적송, 스톤 파인(stone pine)), 및 수지 및 발삼(갤버넘(galbanum), 엘레미(elemi), 벤조인, 몰약, 유향, 오포파낙스)으로부터의 오일 추출물, 및 동물 기원의 천연 향료, 예컨대, 사향, 사향고양이, 카스토레움(castoreum), 용연향 등, 및 이들의 혼합물이 있다.
합성 향료 및 퍼퓸의 예는 방향족 에스테르, 에테르, 알데하이드, 케톤, 알콜, 및 탄화수소, 예를 들어, 벤질 아세테이트, 페녹시에틸 이소부틸레이트, p-3차-부틸사이클로헥실 아세테이트, 리날릴 아세테이트, 디메틸벤질카비닐 아세테이트, 페닐에틸 아세테이트, 리날릴 벤조에이트, 벤질 포르메이트, 에틸메틸페닐 글리시네이트, 알릴사이클로헥실 프로피오네이트, 스티르알릴 프로피오네이트, 및 벤질 살리실레이트; 벤질에틸 에테르; 8 내지 18개의 탄소 원자를 갖는 직쇄 알카날, 시트랄, 시트로넬랄, 시트로넬릴옥시알데하이드, 사이클라멘 알데하이드, 하이드록시시트로넬랄, 릴리알(lilial), 및 부지오날(bougeonal); 이오논 화합물, α-이소메틸 이오논, 및 메틸 세드릴 케톤; 아네톨, 시트로넬롤, 유게놀, 이소유게놀, 제라니올, 라반둘롤(lavandulol), 네롤리돌(nerolidol), 리날룰(linalool), 페닐에틸 알콜, 및 테르피네올(terpineol), 알파-피넨, 테르펜(예를 들어, 리모넨), 및 발삼, 및 이들의 혼합물이다.
이용되는 향료 또는 퍼퓸의 양은 특정 향을 요망되는 차폐하거나 심미적으로 만족스런 아로마, 방향 또는 향기를 부여하기에 적합한 임의의 양일 수 있다. 한 가지 양태에서, 향료의 양은 조성물의 총 중량을 기준으로 약 0.05 wt.% 내지 약 10 wt.%, 또 다른 양태에서 약 0.1 wt.% 내지 약 5 wt.%, 추가의 또 다른 양태에서 약 0.5 wt.% 내지 약 3.5 wt.%, 및 추가 양태에서 약 1 wt.% 내지 약 2.5 wt.%의 범위일 수 있다.
전해질
임의로, 개시된 기술의 클렌징 및 컨디셔닝 조성물은 전해질을 함유할 수 있다. 적합한 전해질은 공지된 화합물이고 다가 음이온의 염, 예컨대, 포타슘 피로포스페이트, 포타슘 트리폴리포스페이트, 및 소듐 또는 포타슘 시트레이트, 칼슘 클로라이드 및 칼슘 브로마이드와 같은 알칼리 토금속 염을 포함하는 다가 양이온의 염, 뿐만 아니라 아연 할라이드, 바륨 클로라이드, 마그네슘 설페이트 및 칼슘 니트레이트, 일가 양이온과 다가 음이온의 염, 예를 들어, 알칼리 금속 또는 암모늄 할라이드, 예컨대, 포타슘 클로라이드, 소듐 클로라이드, 포타슘 아이오다이드, 소듐 브로마이드, 및 암모늄 브로마이드, 알칼리 금속 또는 암모늄 니트레이트, 및 이들의 배합물을 포함한다. 사용된 전해질의 양은 일반적으로 혼입된 양친매성 에멀젼 폴리머의 양에 좌우될 것이나, 총 조성물의 중량을 기준으로 한 가지 양태에서 약 0.1 내지 약 4 wt.% 및 또 다른 양태에서 약 0.2 내지 약 2 wt.%의 농도 수준으로 이용될 수 있다.
염료 및 안료
본 기술의 헤어 케어 조성물은 또한 안료 물질, 예컨대, 무기, 니트로소, 모노아조, 디사조, 카로티노이드, 트리페닐 메탄, 트리아릴 메탄, 크산텐, 퀴놀린, 옥사진, 아진, 안트라퀴논, 인디고이드(indigoid), 티오닌디고이드(thionindigoid), 퀴나크리돈(quinacridone), 프탈로시아닌(phthalocianine), 보태니컬, 천연 컬러, 예를 들어 C. I. 및 FD&C 명칭을 지닌 것들과 같은 수용성 성분을 함유할 수 있다.
예시적 안료는 금속 화합물 또는 반금속 화합물이고, 이온성, 비이온성 또는 산화된 형태로 이용될 수 있다. 안료는 개별적으로 또는 혼합물로 또는 개별적인 혼합된 옥사이드 또는 이들의 혼합물, 예를 들어, 혼합된 옥사이드 및 순수한 옥사이드의 혼합물로서 이러한 형태일 수 있다. 예는 티타늄 옥사이드(예, TiO2), 아연 옥사이드(예, ZnO), 알루미늄 옥사이드(예를 들어, Al2O3), 아이언 옥사이드(예를 들어, Fe2O3), 망가니즈 옥사이드(예, MnO), 실리콘 옥사이드(예, SiO2), 실리케이트, 세륨 옥사이드, 지르코늄 옥사이드(예, ZrO2), 바륨 설페이트(BaSO4), 나일론-12, 및 이들의 혼합물이다.
안료의 다른 예는 온도에 따라 색이 변하는 써모크로믹(thermochromic) 염료, 칼슘 카보네이트, 알루미늄 하이드록사이드, 칼슘 설페이트, 카올린, 제2철 암모늄 페로시아나이드, 마그네슘 카보네이트, 카민(carmine), 바륨 설페이트, 운모, 비스무트 옥시클로라이드, 아연 스테아레이트, 망간 바이올렛(manganese violet), 크로뮴 옥사이드, 티타늄 디옥사이드 나노입자, 바륨 옥사이드, 울트라마린 블루(ultramarine blue), 비스무트 시트레이트, 하이드록시아파타이트, 지르코늄 실리케이트, 카본 블랙 입자 등을 포함한다.
고정제
적합한 헤어 고정 폴리머는 천연 및 합성 폴리머, 예컨대, 폴리아크릴레이트, 폴리비닐, 폴리에스테르, 폴리우레탄, 폴리아미드, 개질된 셀룰로스, 전분, 및 이들의 혼합물을 포함한다. 이러한 폴리머는 비이온성, 음이온성, 양이온성 및 양쪽성 성질일 수 있으며, 폴리옥시에틸렌화된 비닐 아세테이트/크로톤산 코폴리머, 비닐 아세테이트 크로톤산 코폴리머, 비닐 메타크릴레이트 코폴리머, 폴리(메틸 비닐 에테르 (PVM)/말레산 무수물 (MA))의 모노알킬 에스테르, 예컨대, PVM/MA의 에틸, 부틸 및 이소프로필 에스테르 코폴리머 아크릴산/에틸 아크릴레이트/N-3차-부틸-아크릴아미드 터폴리머, 및 폴리(메타크릴산/아크릴아미도메틸 프로판 설폰산), 아크릴레이트 코폴리머, 옥틸아크릴아미드/아크릴레이트/부틸아미노에틸 메타크릴레이트 코폴리머, 아크릴레이트/옥틸아크릴아미드 코폴리머, 비닐 아세테이트 (VA)/크로토네이트/비닐 네오데카노에이트 코폴리머, 폴리(N-비닐 아세트아미드), 폴리(N-비닐 포름아미드), 개질된 옥수수 전분, 소듐 폴리스티렌 설포네이트, 폴리쿼터늄, 폴리쿼터늄-4, 폴리쿼터늄-5, 폴리쿼터늄-6, 폴리쿼터늄-7, 폴리쿼터늄-10, 폴리쿼터늄-11, 폴리쿼터늄-22, 폴리쿼터늄-24, 폴리쿼터늄-28, 폴리쿼터늄-29, 폴리쿼터늄-32, 폴리쿼터늄-34, 폴리쿼터늄-37, 폴리쿼터늄-39, 폴리쿼터늄-44, 폴리쿼터늄-46, 폴리쿼터늄-47, 폴리쿼터늄-52, 폴리쿼터늄-53, 폴리쿼터늄-55, 폴리쿼터늄-68, 폴리쿼터늄-69, 폴리쿼터늄-87, 라우레쓰-16, 폴리에테르-1, VA/아크릴레이트/라우릴 메타크릴레이트 코폴리머, 아디프산/디메틸아미노하이드록시프로필 디에틸렌 AMP/아크릴레이트 코폴리머, 메타크릴올 에틸 베타인/아크릴레이트 코폴리머, 아크릴아미드/소듐 아크릴오일디메틸타우레이트/아크릴산, 폴리비닐피롤리돈 (PVP), 비닐 피롤리돈 (VP)/디메틸아미노에틸메타크릴레이트 코폴리머, 아크릴산/VP 크로스폴리머, VP/메타크릴아미드/비닐 이미다졸 코폴리머, VP/디메틸아미노프로필아민 (DMAPA) 아크릴레이트 코폴리머, VP/비닐카프로락탐/DMAPA 아크릴레이트 코폴리머, 비닐 카프로락탐/VP/디메틸아미노에틸 메타크릴레이트 코폴리머, VA/부틸 말레에이트/이소보닐 아크릴레이트 코폴리머, VA/크로토네이트 코폴리머, 아크릴레이트/아크릴아미드 코폴리머, VA/크로토네이트/비닐 프로피오네이트 코폴리머, VP/비닐 아세테이트/비닐 프로피오네이트 터폴리머, VP/비닐 아세테이트 코폴리머, VP/아크릴레이트 코폴리머, VA/크로톤산/비닐 프로피오네이트, 아크릴레이트/아크릴아미드, 아크릴레이트/옥틸아크릴아미드, 아크릴레이트/하이드록시아크릴레이트 코폴리머, 아크릴레이트/하이드록시에스테르아크릴레이트 코폴리머, 아크릴레이트/스테레쓰-20 메타크릴레이트 코폴리머, 3차-부틸 아크릴레이트/아크릴산 코폴리머, 디글리콜/사이클로헥산디메탄올/이소프탈레이트/설포이소프탈레이트 코폴리머, VA/알킬말레에이트 하프 에스테르/N-치환된 아크릴아미드 터폴리머, 비닐 카프로락탐/VP/메타크릴로아미도프로필 트리메틸암모늄 클로라이드 터폴리머, 메타크릴레이트/아크릴레이트 코폴리머/아민 염, 폴리비닐카프로락탐, 하이드록시프로필 구아, 폴리 (메타크릴산/아크릴아미도메틸 프로판 설폰산 (AMPSA), 에틸렌카복사미드 (EC)/AMPSA/메타크릴산 (MAA), 폴리우레탄/아크릴레이트 코폴리머 및 하이드록시프로필 트리모늄 클로라이드 구아, 아크릴레이트 크로스폴리머, 아크릴레이트 크로스폴리머-3, AMP-아크릴레이트/알릴 메타크릴레이트 코폴리머, 폴리아크릴레이트-14, 폴리아크릴레이트-2 크로스폴리머, 아크릴레이트/라우릴 아크릴레이트/스테아릴 아크릴레이트/에틸아민 옥사이드 메타크릴레이트 코폴리머, 메타크릴로일 에틸 베타인/메타크릴레이트 코폴리머, 폴리우레탄/아크릴레이트 코폴리머, 키토산의 피롤리돈 카복실산 염, 키토산 글리콜레이트, 양이온성 폴리갈락토만난, 예컨대, 구아의 사차화된 유도체, 예컨대, 구아 하이드록시프로필 트리모늄 클로라이드, 카시아 하이드록시프로필 트리모늄 클로라이드 및 하이드록시프로필 구아 하이드록시프로필 트리모늄 클로라이드 중 하나 이상이 제한 없이 포함된다. 다수의 상기 폴리머들은, 개시 내용이 본원에 참조로 통합되는, 국제화장품협회(Cosmetic, Toiletry, and Fragrance Association; Washington D.C)에 의해 공개된 국제화장품원료사전(International Cosmetic Ingredient Dictionary)에 기재된 이들의 INCI 명명법에 의해 지칭된다. 그 밖의 적합한 보조 고정 폴리머는, 개시 내용이 본원에 참조로 통합되는, 미국 특허 제7,205,271호에 개시되어 있다.
보조 고정 폴리머는 전형적으로 헤어 스타일링 조성물의 총 중량의 한 가지 양태에서 약 0.01 wt. % 내지 약 8 wt. %, 또 다른 양태에서 약 0.1 wt. % 내지 약 5 wt. %, 및 추가의 양태에서 약 0.2 wt. % 내지 약 3 wt. %로 포함된다.
세척용 조성물
바디 워시
한 가지 양태에서, 본 발명의 폴리머가 유용한 퍼스널 케어 조성물은 바디 워시이다. 폴리머 증점제 및 물 이외에 바디 워시의 전형적인 성분은 적어도 하나의 계면활성제; 한 가지 양태에서 약 3.5 내지 약 7.5, 또 다른 양태에서 약 4.0 내지 약 6.5, 및 추가의 양태에서 약 5.0 내지 약 6.0의 pH를 달성하기에 충분한 pH 조절제(염기 및/또는 산); 및 실리콘, 진주광택제, 비타민, 오일, 향료, 염료, 산포함 보존제, 보태니컬, 각질 제거제, 불용성 기포, 리포좀, 마이크로스폰지, 화장용 비드 및 플레이크로부터 선택되는 유익제를 포함하는, 상기 논의된 애주번트, 첨가제 및 유익제, 및 이들의 혼합물로부터 선택되는 임의의 구성성분이다. 한 가지 양태에서, 계면활성제는 음이온성 계면활성제이다. 또 다른 양태에서, 계면활성제는 비-이온성 계면활성제와 임의로 조합된 음이온성 계면활성제와 양쪽성 계면활성제의 혼합물이다. 또 다른 양태에서, 계면활성제는 양이온성 및/또는 비-이온성 계면활성제와 임의로 조합된 음이온성 계면활성제와 양쪽성 계면활성제의 혼합물이다. 한 가지 양태에서, 음이온성 계면활성제는 바디 워시 조성물의 총 중량을 기준으로 약 5중량% 내지 약 40중량%, 또 다른 양태에서 약 6중량% 내지 약 30중량%, 및 추가의 양태에서 8중량% 내지 약 25중량% 범위의 양으로 존재할 수 있다. 음이온성 및 양쪽성 계면활성제의 혼합물이 사용되는 경우에, 음이온성 계면활성제:양쪽성 계면활성제의 비율은 한 가지 양태에서 약 1:1 내지 약 15:1, 또 다른 양태에서 약 1.5:1 내지 약 10:1, 추가의 양태에서 약 2.25:1 내지 약 9:1, 및 또 다른 추가의 양태에서 약 4.5:1 내지 약 7:1의 범위일 수 있다. 아크릴계 폴리머 배합물(들)의 양은 바디 워시 조성물의 총 중량을 기준으로 한 가지 양태에서 약 0.5중량% 내지 약 5중량%, 또 다른 양태에서 약 1중량% 내지 약 3중량%, 및 추가의 양태에서 약 1.5중량% 내지 약 2.5중량%의 범위일 수 있다.
본 발명의 바디 워시 구체예는 보습용 바디워시, 항균성 바디 워시, 이중 용도 바디 워시 및 샴푸, 바쓰 겔, 샤워 겔, 액체 핸드 솝, 바디 스크럽; 버블 바쓰, 페이셜 스크럽, 및 풋 스크럽 등으로 포뮬레이션될 수 있다.
샴푸
한 가지 양태에서, 본 기술의 폴리머가 유용한 퍼스널 케어 조성물은 샴푸이다. 폴리머 증점제 및 물 이외에 샴푸의 전형적인 성분은 적어도 하나의 계면활성제; 한 가지 양태에서 약 3.0 내지 약 7.5, 또 다른 양태에서 약 3.5 내지 약 6.0, 및 추가의 양태에서 약 4.0 내지 약 5.5의 pH를 달성하기에 충분한 pH 조절제(염기 및/또는 산); 및 컨디셔닝제(예, 실리콘 및/또는 양이온성 컨디셔닝제; 소 및/또는 대입자 크기 실리콘), 진주광택제, 비타민, 오일, 향료, 염료, 산 포함 보존제, 보태니컬, 및 불용성 가스 버블, 리포좀, 및 화장용 비드 및 플레이크, 및 비듬방지제, 및 이들의 혼합물로부터 선택되는 유익제를 포함하는, 상기 논의된 애주번트, 첨가제 및 유익제, 및 이들의 혼합물로부터 선택되는 임의의 구성성분이다. 한 가지 양태에서, 계면활성제는 음이온성 계면활성제이다. 또 다른 양태에서, 계면활성제는 양이온성 및/또는 비-이온성 계면활성제와 임의로 조합된 음이온성 계면활성제 및 양쪽성 계면활성제의 혼합물이다. 한 가지 양태에서, 음이온성 계면활성제는 샴푸 조성물의 총 중량을 기준으로 약 5중량% 내지 약 40중량%, 또 다른 양태에서 약 6중량% 내지 약 30중량%, 및 추가의 양태에서 8중량% 내지 약 25중량% 범위의 양으로 존재할 수 있다. 음이온성 및 양쪽성 계면활성제의 혼합물이 사용되는 경우, 음이온성 계면활성제 및 양쪽성 계면활성제의 비율은 한 가지 양태에서 약 1:1 내지 약 10:1, 또 다른 양태에서 약 2.25:1 내지 약 9:1, 및 추가의 양태에서 약 4.5:1 내지 약 7:1의 범위일 수 있다. 폴리머의 양은 샴푸 조성물의 총 중량을 기준으로 한 가지 양태에서 약 0.5중량% 내지 약 5중량%, 또 다른 양태에서 약 1중량% 내지 약 3중량%, 및 추가의 양태에서 약 1.5중량% 내지 약 2.5중량%의 범위일 수 있다.
개시된 기술의 샴푸 구체예는 투인원(2-in-1) 샴푸, 베이비 샴푸, 컨디셔닝 샴푸, 바디파잉(bodifying) 샴푸, 보습 샴푸, 일시적 모발색 샴푸, 쓰리인원(3-in-1) 샴푸, 비듬방지 샴푸, 모발색 유지 샴푸, 산(중화) 샴푸, 약용 샴푸(medicated shampoo), 및 살리실산 샴푸 등으로 포뮬레이션될 수 있다.
지방산 액체 소프 기반 클렌저
한 가지 양태에서, 본 발명의 폴리머가 유용한 퍼스널 케어 조성물은 지방산 소프 기반 클렌저이다. 폴리머 증점제 이외에, 지방산 기반 소프 클렌저의 전형적인 성분은 적어도 하나의 지방산 염; 임의의 계면활성제 또는 계면활성제의 혼합물; 한 가지 양태 에서 7 초과, 또 다른 양태에서 약 7.5 내지 약 14, 추가의 또 다른 양태에서 약 8 내지 약 12, 및 추가의 또 다른 양태에서 약 8.5 내지 약 10의 pH를 달성하기 위한 충분한 pH 조절제(염기 및/또는 산); 및 실리콘, 보습제, 진주광택제, 비타민, 오일, 향료, 염료, 보존제, 보태니컬, 비듬방지제, 각질 제거제, 불용성 가스 버블, 리포좀, 마이크로스폰지, 화장용 비드 및 플레이크로부터 선택되는 유익제를 포함하는, 상기 논의된 애주번트, 첨가제 및 유익제, 및 이들의 혼합물로부터 선택되는 임의의 구성성분이다.
한 가지 양태에서, 지방산 소프는 약 8 내지 약 22개의 탄소 원자를 함유한 적어도 하나의 지방산 염(예를 들어, 나트륨, 칼륨, 암모늄)으로부터 선택된다. 본 발명의 또 다른 양태에서, 액체 소프 조성물은, 약 12 내지 약 18개의 탄소 원자를 함유한 적어도 하나의 지방산 염을 함유한다. 소프에서 사용되는 지방산은 포화 및 불포화일 수 있고, 합성 공급원으로부터 뿐만 아니라, 적합한 염기(예를 들어, 소듐, 포타슘 및 암모늄 하이드록시드) 의한 지방 및 천연 오일의 소프화로부터 유도될 수 있다. 예시적인 포화 지방산은 옥탄산, 데칸산, 라우르산, 미리스트산, 펜타데칸산, 팔미트산, 마르가르산, 스테아르산, 이소스테아르산, 노나데칸산, 아라키드산, 베헨산 등, 및 이들의 혼합물을 포함하지만, 이로 제한되지 않는다. 예시적인 불포화 지방산은 미리스트올레산, 팔미트올레산, 올레산, 리놀레산, 리놀렌산 등의 염(예를 들어, 나트륨, 칼륨, 암모늄), 및 이들의 혼합물을 포함하지만, 이로 제한되지 않는다. 지방산은 탈로우와 같은 동물성 지방 또는 코코넛 오일, 레드(red) 오일, 팜핵 오일, 팜 오일, 목화씨 오일, 올리브 오일, 대두 오일, 땅콩 오일, 옥수수 오일, 및 이들의 혼합물과 같은 식물성 오일로부터 유도될 수 있다. 이러한 구체예의 액체 클렌징 조성물에서 사용될 수 있는 지방산 소프의 양은, 총 조성물의 중량을 기준으로 한 가지 양태에서 약 1 중량% 내지 약 50중량%, 또 다른 양태에서 약 10 중량% 내지 약 35중량%, 및 추가의 양태에서 약 12 중량% 내지 25중량%의 범위이다.
임의의 음이온성 계면활성제는 소프 조성물의 총 중량의 중량을 기준으로 한 가지 양태에서 약 1중량% 내지 약 25중량%, 또 다른 양태에서 약 5 중량% 내지 약 20중량%, 및 추가의 양태에서 8 중량% 내지 약 15중량% 범위의 양으로 소프 조성물에 존재할 수 있다. 음이온성 및 양쪽성 계면활성제의 혼합물이 사용될 수 있다. 음이온성 계면활성제 대 양쪽성 계면활성제의 비율은 한 가지 양태에서 약 1:1 내지 약 10:1, 또 다른 양태에서 2.25:1 내지 약 9:1, 및 추가의 양태에서 약 4.5:1 내지 약 7:1의 범위일 수 있다.
본 기술의 상기 소프 구체예에서, 폴리머의 양은 소프 조성물의 총 중량을 기준으로 한 가지 양태에서 약 0.5 중량% 내지 약 5중량%, 또 다른 양태에서 약 1 중량% 내지 약 3중량%, 및 추가의 양태에서 약 1.5 중량% 내지 약 2.5중량%의 범위일 수 있다.
본 발명의 액체 지방산 소프 기반 클렌저 구체예는 바디워시, 바쓰 겔, 샤워 겔, 액체 핸드 소프, 바디 스크럽; 버블 바쓰, 페이셜 스크럽, 및 풋 스크럽, 투인원 샴푸, 베이비 샴푸, 컨디셔닝 샴푸, 바디파잉 샴푸, 보습 샴푸, 일시적 모발색 샴푸, 쓰리인원 샴푸, 비듬방지 샴푸, 모발색 유지 샴푸, 산(중화) 샴푸, 비듬방지 샴푸, 약용 샴푸, 및 살리실산 샴푸 등으로 포뮬레이션될 수 있다.
코스메슈티컬
하나의 코스메슈티컬 양태에서, 본 기술의 폴리머는 노화 방지제, 셀룰라이트 방지제, 및 여드름 방지제를 활성 성분으로서 함유하는 활성 피부 트리트먼트 로션 및 크림용 증점제로서 사용될 수 있다. 예시적인 활성 성분은 알파-하이드록시산(AHA), 베타-하이드록시산(BHA), 알파-아미노산, 알파-케토산(AKA), 및 이들의 혼합물을 포함한다. 한 가지 양태에서, AHA는 락트산, 글리콜산, 말산, 시트르산, 타르타르산과 같은 과일산, 사과 추출물, 살구 추출물 등과 같은 AHA 함유 천연 화합물의 추출물, 꿀 추출물, 2-하이드록시옥탄산, 글리세르산(디하이드록시프로피온산), 타르트론산(하이드록시프로판이산), 글루콘산, 만델산, 벤질산, 아젤라산, 알파-리포산, 살리실산, 아르기닌 글리콜레이트, 암모늄 글리콜레이트, 소듐 글리콜레이트, 아르기닌 락테이트, 암모늄 락테이트, 소듐 락테이트와 같은 AHA 염 및 유도체, 알파-하이드록시부티르산, 알파-하이드록시이소부티르산, 알파-하이드록시이소카프로산, 알파-하이드록시이소발레르산, 아트로락트산 등을 포함할 수 있지만, 이로 제한되지 않는다. BHA는 3-하이드록시 프로판산, 베타-하이드록시부티르산, 베타-페닐 락트산, 베타-페닐피루브산 등을 포함할 수 있지만, 이로 제한되지 않는다. 알파-아미노산은 이로 제한되지 않으면서 때때로 과일산과 함께 사용되는, 아스파르트산, 글루탐산, 및 이들의 혼합물과 같은 알파-아미노 디카복실산을 포함한다. AKA는 피루브산을 포함한다. 일부 노화 방지 조성물에서, 산성 활성제는 레티노산, 트리클로로아세트산과 같은 할로카복실산, 아스코르브산(비타민 C)과 같은 산성 항산화제, 미네랄산, 피트산, 리소포스파티드산 등일 수 있다. 일부의 산성 여드름 방지 활성제는, 예를 들어, 살리실산, 5-옥타노일살리실산과 같은 살리실산의 유도체, 레티노산 및 이의 유도체, 및 벤조산을 포함할 수 있다.
활성 피부 트리트먼트 조성물의 사용 및 포뮬레이션의 논의가, 문헌 [COSMETICS & TOILETRIES, C&T Ingredient Resource Series, "AHAs & Cellulite Products How They Work"(1995년 발표) 및 "Cosmeceuticals"(1998년 발표)]에 있고, 상기 문헌들 둘 모두는 Allured Publishing Corporation으로부터 이용 가능하며, 본원에 참조로 포함된다. 아스코르브산으로 산성화된 알파-아미노산을 함유한 조성물이 미국 특허 제6,197,317 B1호에 기재되어 있고, 노화 방지, 피부 케어 양생(regimen)에서 이들 산을 이용한 상업상의 코스메슈티컬 제조물이 exCel Cosmeceuticals (Bloomfield Hills, MI)에 의해 상표 AFA하에 판매된다. 공급업체의 상업상 문헌에 기재된 용어 "AFA"는 아미노 과일산으로서 및 "아미노산 필라그린 기재 항산화제(Amino acid Filaggrin based Antioxidant)"에 대한 두문자로서의 아미노산/비타민 C 조합을 설명하기 위하여 개발자에 의해 만들어졌다.
헬스 케어
본 폴리머가 포함될 수 있는 헬스 케어 구체예는, 국소 및 비-국소 제약, 및 장치와 같은 의료 제품이다. 제약의 포뮬레이션에서, 본 발명의 폴리머 구체예는, 이로 제한되지 않으면서, 시럽, 크림, 포마드, 젤, 페이스트, 연고, 정제, 젤 캡슐, 하제 유액 (관장제, 구토제, 결장 세척제(colonics) 등), 좌약, 항진균 포움, 안구 제품 (점안액, 인공 눈물, 녹내장 약물 전달 드롭(drop), 콘택트 렌즈 클리너 등과 같은 안과 제품), 귀 제품 (왁스 유연제, 왁스 제거제, 이염 약물 전달 드롭 등), 코 제품 (드롭, 연고, 스프레이 등), 및 상처 케어 (액상 붕대, 상처 드레싱, 항생제 크림, 연고 등)와 같은 제품에서 증점제 및/또는 윤활제로서 사용될 수 있다.
다른 헬스 케어 구체예는 각질 용해제, 티눈 및 굳은 살 제거제, 족욕제(foot soak)와 같은 풋 케어 제품, 항진균성 무좀 연고, 젤, 스프레이 등뿐만 아니라, 항진균성, 항효모성, 및 항균성 크림, 젤, 스프레이, 및 연고와 같은 약용 풋 제품에 관한 것이다.
다른 헬스 케어 구체예는 각질 용해제, 티눈 및 굳은 살 제거제, 족욕제(foot soak)와 같은 풋 케어 제품, 항진균성 무좀 연고, 젤, 스프레이 등뿐만 아니라, 항진균성, 항효모성, 및 항균성 크림, 젤, 스프레이, 및 연고와 같은 약용 풋 제품에 관한 것이다.
본 기술의 헤어 케어 조성물은 상업적 제품 보관 및 운송에서 일반적으로 발견되는 온도에서 무기한 안정하다. 조성물은 약 20℃내지 약 25℃의 온도에서 조성물 구성성분의 상 분리 또는 침강에 본질적으로 무기한 저항한다. 조성물은 또한 1년 이상의 기간 동안 영향을 받지 않은 채로 유지되도록 상업적 제품 보관 및 운송에서 일반적으로 발견되는 온도에서 성분의 상 분리 및 침강에 충분한 안정성을 나타내어야 한다.
개시된 기술의 ASE 폴리머를 사용하는 클렌징 조성물은 이들이 함유되는 조성물에 향상된 현탁 안정성을 제공할 뿐만 아니라, 이들은 또한 포움 품질, 및 자극 완화와 같은 다른 예상되지 않은 요망되는 특성을 제공한다.
본 기술은 하기 실시예에 의해서 예시되며, 이러한 실시예는 단지 예시를 목적으로 하며 본 기술의 범위 또는 발명이 실시될 수 있는 방식을 제한하는 것으로 여겨지지 않아야 한다. 달리 구체적으로 나타나지 않는 한, 부 및 백분율은 중량으로 주어진다.
시험 방법
항복 응력
이러한 폴리머의 항복 응력 값을 25℃에서 40mm 또는 60mm 스테인리스 강판 콘-플레이트 2도 기하학을 이용하여 제어식 응력 레오미터(TA Instruments AR1000N 레오미터(New Castle, DE))에서의 진동 및 정상상태 전단 측정에 의해 결정하였다. 진동 측정은 1rad/sec의 고정 주파수에서 수행하였다. 탄성 및 점도 계수(각각 G' 및 G")는 증가하는 응력 진폭의 함수로서 수득되었다. 팽윤된 폴리머 입자가 네트워크를 생성하는 경우에, G'는 낮은 응력 진폭에서 G"보다 크지만, 더 높은 진폭에서는 네트워크의 파열로 인해 G"를 가로질러 감소한다. G' 및 G"의 교차에 상응하는 진동 응력은 항복 응력으로 주지된다(도 1은 대표적인 항복 응력 플롯을 도시한 것이다).
점도(브룩필드)
브룩필드 회전 스핀들 방법(Brookfield rotating spindle method)(본원에 보고된 모든 점도 측정은 달리 명시되지 않는 한 브룩필드 방법에 의해 수행됨): 약 20 내지 25℃의 주위 실온에서, 약 20회 분당 회전수(rpm)에서 브룩필드 회전 스핀들 점도계, Model RVT(Brookfield Engineering Laboratories, Inc.)를 이용하여 점도 측정을 mPa·s로 계산하였다(이하에서 점도로 지칭됨). 스핀들 크기는 제조업체로부터 표준 작동 권장에 따라 선택되었다. 일반적으로, 스핀들 크기는 하기와 같이 선택된다:
스핀들 크기 권장은 단지 예시적 목적을 위한 것이다. 당업자는 측정하려는 시스템에 적절한 스핀들 크기를 선택할 것이다. 달리 명시되지 않는 한, 점도는 샘플을 포뮬레이션한 지 8시간 후에 측정하였다.
점도 (AR=G2 레오미터)
AR-G2 레오미터(TA Instruments)에서의 점도 특성에 대하여 평가된 샘플을 1000 μm의 갭으로 표준 40 mm 스틸 평행판 기하학을 이용하여 1분 동안 25℃의 온도로 3.5 s-1의 전단 속도에 주어지게 하였다. 각각의 측정 전에, 샘플 조성물을 로딩시키고, 5분 동안 공회전시켜 샘플 조성물이 평형에 도달하게 하였다.
선명도
조성물의 선명도(탁도)를 약 20 내지 25℃의 주위 실온에서 네펠로법 탁도계(nephelometric turbidity meter)(Mircro 100 Turbidimeter, HF Scientific, Inc.)를 이용하여 네펠로법 탁도 단위 (Nephelometric Turbidity Unit, NTU)로 결정하였다. 증류수(NTU=0)를 표준으로 사용하였다. 식스 드램 스크류 캡 바이알(six dram screw cap vial) (70 mm × 25 mm)을 거의 맨 위까지 시험 샘플로 채우고, 모든 거품이 제거될 때까지 100 rpm으로 원심 분리시켰다. 원심 분리시, 각각의 샘플 바이알을 탁도계에 놓기 전에, 임의의 얼룩을 제거하기 위하여, 티슈 페이퍼로 와이핑하였다. 샘플을 탁도계에 넣고, 판독하였다. 판독이 안정화되면, NTU 값을 기록하였다. 바이알을 4분의 1의 턴으로 주어지게 하고, 또 다른 판독을 수행하고, 기록하였다. 4회의 판독이 수행될 때까지 이를 반복하였다. 4회의 판독 중 가장 낮은 값을 탁도 값으로 보고하였다.
투과율
보고 시, 폴리머-함유 조성물의 투과율을 조성물이 제조된 지 적어도 약 24 시간 후에 Brinkmann PC 920 열량계에 의해 % T (투과율)로 측정하였다. 선명도 측정을 탈이온수에 대해 수행하였다(100%의 선명도 등급). 약 60% 이상의 선명도를 갖는 조성물은 실질적으로 투명하고, 약 45% 내지 59% 범위의 선명도를 갖는 조성물은 실질적으로 반투명한 것으로 판단하였다.
현탁
안정성
본 기술의 ASE 레올로지 폴리머를 사용하여 제조된 다양한 조성물은 안정하다. 특정 조성물에 대한 안정성 요건은 이의 최종 시장 용도 뿐만 아니라 이것이 구입되고 판매되는 지역에 따라 달라질 것이다. 허용되는 "유통 기한"은 이후 각 조성물에 대해 결정된다. 이는 조성물이 생산된 시간과 이것이 마침내 소비자 용으로 판매되는 시간 사이에 측정되는, 조성물이 이의 정상적인 보관 및 취급 조건 동안 안정해야 하는 시간의 양을 지칭한다. 일반적으로, 퍼스널 케어 조성물은 1 내지 3년의 유통 기한을 필요로 한다.
1년 넘게 안정성 연구를 수행할 필요가 없도록, 포뮬레이터는 응력 조건에서 안정성 시험을 수행하여 조성물의 유통 기한을 예측할 것이다. 전형적으로, 가속화된 시험은 상승된 정적 온도, 일반적으로 45-50℃에서 수행된다. 조성물은 약 45℃의 온도에서 한 가지 양태에서 적어도 1주일, 또 다른 양태에서 적어도 1개월, 또 다른 추가의 양태에서 적어도 3개월, 및 추가의 양태에서 적어도 6개월 동안 안정해야 한다.
활성 및/또는 심미적으로 보기 좋은 불용성 오일성, 가스상 및 미립자 물질을 현탁시키는 폴리머 시스템의 능력은 생성물 효능 및 어필(appeal)의 관점에서 중요하다. 시험 비드를 안정하게 현탁시키는 시험 포뮬레이션의 능력은 불용성 또는 미립자 물질을 현탁시키는 이의 능력의 지표이다. 6 드램(dram) 바이알(대략 70 mm 높이 x 25 mm 직경)을 시험 포뮬레이션으로 50 mm 지점까지 채웠다. 각 샘플 바이알을 원심분리하여 포뮬레이션에 함유된 어떠한 포집된 공기 버블들을 제거하였다. 약 10개의 시험 비드를 각각의 시험 포뮬레이션에 넣고, 이들이 샘플 전체에 걸쳐 균일하게 분산될 때까지 목재 스틱으로 약하게 교반하였다. 바이알의 외부 유리 표면 상에 검정색 마커 펜으로 비드 둘레에 원을 그림으로써 각 샘플 바이알 내에 비드들의 대략 4개의 위치를 메모하고, 포뮬레이션 내에 비드의 초기 위치를 확립하기 위해 사진을 찍었다. 바이알을 1 내지 12주 기간 동안 에이징시키기 위해 45℃ 오븐에 배치시켰다. 각 샘플의 비드 현탁 특성을 시험 기간의 종료 시에 시각적으로 평가하였다. 모든 4개의 원형 비드의 초기 위치가 시험 기간의 종료 이후 변경되지 않는 경우에(이의 초기 위치의 3 mm 위 또는 아래), 샘플은 통과한 것이다. 4개의 원형 비드 중 하나 이상의 초기 위치가 시험 기간의 종료 이후 변경된 경우에(이의 초기 위치의 3 mm 위 또는 아래), 샘플은 실패한 것이다.
3가지 유형의 비드를 현탁 안정성 시험으로 평가하였다:
유형 1. 큰 크기의 현탁시키기 어려운 비드: Lipo Chemicals, Inc.에 의해 공급되는 LipoPearl™ LTI-0293 (색-백색), 약 1,000-2,800 마이크론의 평균 입도, 비타민 E, 미네랄 오일, 운모, 티타늄 디옥사이드 및 젤라틴 함유.
유형 2. 중간 크기 비드: Impact Colors, Inc.로부터의 Vision Beads™ GVBGSO/TA, 약 1000 마이크론의 입도, 포도씨유, 락토오스 단수화물, 미정질 셀룰로스 및 하이프로멜로스 함유.
유형 3. 작은 크기의 비드: Induchem AG에 의해 공급되는 Unispheres® UEA-509, 약 500 내지 900 마이크론의 입도, 비타민 E, 레티닐 팔미테이트, 락토오스, 셀룰로스 및 하이드록시프로필 메틸셀룰로스 함유.
동결-해동 안정성
동결-해동 안정성을 3회의 동결-해동 사이클로 시험하였다. 각각의 사이클에서, 샘플을 -20℃에서 24시간 동안 동결시킨 후, 실온(20-25℃)에서 24시간 동안 해동시켰다. 샘플 점도 및 선명도를 각각의 동결-해동 사이클 후에 시험하였다. 동결-해동 안정성 시험을 통과하기 위해서, 샘플은 실온에서 24시간 동안 저장된 동일한 샘플에 비해 외관의 불변, 동등하거나 더 높은 선명도(탁도로 측정), 및 3회의 동결-해동 사이클 후 25% 이하의 점도 변화를 가져야 한다.
본 기술에 따라 제조된 생성물 또는 조성물은 이들이 하기 표준 중 하나 이상을 충족하는 경우 안정한 것으로 여겨진다:
1. 조성물에 임의의 물질의 상 분리, 침강, 또는 크리밍이 없다. 조성물은 이의 벌크를 통틀어 완전히 균질하게 유지되어야 한다. 분리는, 불용성 물질, 가용성 물질, 지성 물질 등을 포함하지만, 이로 제한되지 않는 포뮬레이션 중 임의의 성분의 2개 이상의 별개의 층 또는 상의 가시적인 실재로서 본원에서 정의된다.
2. 조성물의 점도는 시간에 따라 현저하게 증가하거나 감소하지 않으며, 일반적으로 50% 미만, 바람직하게는 35% 미만, 및 가장 바람직하게는 20% 미만이다.
3. 조성물의 pH는 두 pH 단위보다 더 크게 증가하거나 감소하지 않으며, 바람직하게는 1 단위 이하, 및 가장 바람직하게는 1/2 단위 이하이다.
4. 조성물의 레올로지 및 질감은 시간에 따라 허용되지 않을 정도로 현저하게 변화하지 않는다.
본 기술에 따라 제조된 생성물 또는 조성물은 이들이 상기 열거된 기준 중 하나 이상을 충족하지 못하는 경우 불안정한 것으로 여겨진다. 안정성 시험 요건에 대한 추가 정보는 문헌["The Fundamentals of Stability Testing; IFSCC Monograph Number 2", published on behalf of the International Federation of Societies of Cosmetic Chemists by Micelle Press, Weymouth, Dorset, England, and Cranford, New Jersey, U.S.A.]에서 찾아볼 수 있고 이는 본원에 참조로 포함된다.
하기 약어 및 상표명이 실시예에서 사용된다.
약어 및 상표명
실시예 1 (비교)
모노머 조성 = EA/MAA (65.5/34.5) (wt.% 총 모노머)
선형 에멀젼 폴리머를 다음과 같이 제조하였다. 200 그램의 탈이온수 (DI), 7.17 그램의 SLS, 172.5 그램의 MAA, 327.5 그램의 EA를 혼합함으로써 모노머 예비 혼합물을 제조하였다. 10 그램의 DI 수에 0.32 그램의 암모늄 퍼설페이트 (APS)를 용해시킴으로써 개시제 A를 제조하였다. 75 그램의 DI 수 및 4.17 그램의 SLS에 0.3 그램의 APS를 용해시킴으로써 개시제 B를 제조하였다. 3-리터 반응기에 750 그램의 DI 수, 6.67 그램의 SLS를 충전시켰다. 그 후에, 반응기 내용물을 약한 교반과 함께 질소 블랭킷 하에서 85℃로 가열하였다. 반응기 내용물이 85℃에 이르는 때에, 개시제 A를 이후 반응기에 첨가하였다. 약 2 내지 3분 후에, 모노머 예비 혼합물을 120분의 기간에 걸쳐 반응 용기로 계량하였다. 이와 동시에, 개시제 B를 120분의 기간에 걸쳐 반응기로 계량하였다. 반응기 내용물의 온도를 85℃에서 유지하였다. 개시제 B의 공급이 완료된 후, 반응 용기 내용물의 온도를 추가 60분 동안 85℃에서 유지하였다. 반응기 내용물을 이후 49℃로 냉각시켰다. 15 그램의 DI 수 중의 0.61 그램의 70% TBHP 및 0.38 그램의 SLS의 용액을 반응기에 첨가하였다. 5분 후, 15 그램의 DI 수 중의 0.59 그램의 에리소르브산의 용액을 반응기에 첨가하였다. 반응기 내용물을 49℃에서 유지하였다. 30분 후, 15 그램의 DI 수 중의 0.64 그램의 70% TBHP 및 0.29 그램의 SLS의 용액을 반응기에 첨가하였다. 5분 후, 15 그램의 DI 수 중의 0.59 그램의 에리소르브산의 용액을 반응기에 첨가하였다. 반응기 내용물을 49℃에서 약 30분 동안 유지하였다. 반응기 내용물을 이후 실온(23℃)으로 냉각시키고, 100 마이크론 천을 통해 여과하였다. 생성된 에멀젼의 pH는 2.7이었다. 에멀젼은 31.4 wt.%의 폴리머 고형물 함량, 36 cps의 점도, 및 45 nm의 입도를 가졌다.
실시예 2 (비교)
모노머 조성 = EA/MAA (65.5/34.5) (wt.% 총 모노머)
16.67 그램의 Stepan 으로부터의 Polystep TSP-16S 비-반응성 계면활성제를 모노머 예비 혼합물에 첨가한 점을 제외하고, 선형 에멀젼 폴리머를 실시예 1에서와 같이 제조하였다. 에멀젼 생성물은 31.5 wt.%의 폴리머 고형물 함량, 17 cps의 점도, 및 50 nm의 입도를 가졌다.
실시예 3
모노머 조성 = EA/MAA/AM* (65.5/34.5/1*) (wt.% 총 모노머) (*AM = 총 단일불포화 모노머 wt. 기준으로 1 wt.%)
에멀젼 폴리머를 다음과 같이 제조하였다. 200 그램의 DI 수, 5 그램의 양친매성 마크로머, 7.17 그램의 SLS, 172.5 그램의 MAA, 및 327.5 그램의 EA를 혼합함으로써 모노머 예비 혼합물을 제조하였다. 10 그램의 DI 수에 0.32 그램의 APS를 용해시킴으로써 개시제 A를 제조하였다. 75 그램의 DI 수에 0.3 그램의 APS를 4.17 그램의 SLS와 함께 용해시킴으로써 개시제 B를 제조하였다. 550 그램의 DI 수, 6.67 그램의 SLS를 3-리터 반응기에 충전시킨 후, 내용물을 약한 교반과 함께 질소 블랭킷 하에 85℃로 가열하였다. 반응기의 내용물이 85℃에 이르는 때에, 개시제 A를 반응기에 첨가하였다. 약 2-3분 후에, 모노머 예비 혼합물을 120분 기간에 걸쳐 반응 용기로 계량하였다. 이와 동시에, 개시제 B를 120분의 기간에 걸쳐 반응기로 계량하였다. 반응 온도를 85℃에서 유지하였다. 개시제 B 공급의 완료 후에, 반응 내용물의 온도를 85℃에서 추가 60분 동안 유지하였다. 반응기 내용물을 이후 49℃로 냉각시켰다. 15 그램의 DI 수 중의 0.61 그램의 70% TBHP 및 0.38 그램의 SLS의 용액을 반응기에 첨가하였다. 5분 후, 15 그램의 DI 수 중의 0.59 그램의 에리소르브산의 용액을 반응기에 첨가하였다. 반응기 내용물을 49℃에서 유지하였다. 30분 후, 15 그램의 DI 수 중의 0.64 그램의 70% TBHP 및 0.29 그램의 SLS의 용액을 반응기에 첨가하였다. 5분 후, 15 그램의 DI 수 중의 0.59 그램의 에리소르브산의 용액을 반응기에 첨가하였다. 반응기 내용물을 49℃에서 약 30분 동안 유지하였다. 반응기 내용물을 이후 실온(23℃)로 냉각시키고, 100 마이크론 천을 통해 여과하였다. 생성된 에멀젼의 pH는 2.6이었다. 에멀젼은 35.5 wt.%의 폴리머 고형물 함량, 56 cps의 점도, 및 65 nm의 입도를 가졌다.
실시예 4
모노머 조성 = EA/MAA/AM*/TMPTA* (65.5/34.5/1*/0.3*) (wt.% 총 모노머) (*AM = 총 단일불포화 모노머 wt. 기준으로 1 wt.%; *TMPTA 총 단일불포화 모노머 wt. 기준으로 0.3 wt.%)
5 그램의 양친매성 마크로모노머 및 1.5 그램의 TMPTA를 모노머 예비 혼합물에 첨가한 점을 제외하고, 에멀젼 폴리머를 실시예 1에서와 동일하게 제조하였다. 에멀젼 생성물은 31.15 wt.%의 폴리머 고형물 함량, 17 cps의 점도, 및 61 nm의 입도를 가졌다.
실시예 A
2.5 그램 (100% 활성 폴리머 고형물)의 실시예 1 내지 4의 폴리머를 14 wt.%의 SLES, 3 wt.%의 CAPB (100%의 활성 물질 기준), 및 DI 수 (100 wt.%까지 충분히)를 함유하는 계면활성제 섀시로 포뮬레이션하였다. 각각의 폴리머 포뮬레이션의 pH를 18 wt.% (w/w)의 NaOH 수용액으로 조절하여 하기 표 1에 나타나 있는 바와 같이 폴리머를 중화시켰다. 염기 중화 후, 각각의 pH 조절된 포뮬레이션을 상기 시험 방법에 기재된 프로토콜에 따라 레올로지 및 선명도 특성에 대하여 평가하였다. 결과는 하기 표1에 보고되어 있다.
표 1
비교예 1 및 2의 선형(비-가교된) 폴리머를 함유하는 예상된 계면활성제 조성물은 항복 응력 특성을 나타내지 않았다. 통상적인 가교제가 없지만 다중불포화 양친매성 마크로모노머 분산제의 존재하에 제조된 개시된 기술의 폴리머를 함유하는 계면활성제 조성물은 항복 응력 특성을 나타냈다.
실시예 5 (비교)
EA/MAA/TMPTA* (65.5/34.5/0.3*) (wt.% 총 모노머) (*TMPTA 총 단일불포화 모노머 wt. 기준으로 0.3 wt.%)
통상적인 가교된 ASE 폴리머 레올로지 개질제를 다음과 같이 제조하였다. 83.6 그램의 DI 수, 7.33 그램의 SLS, 75 그램의 MAA, 144.1 그램의 EA 및 0.66 그램의 TMPTA를 혼합함으로써 모노머 예비 혼합물을 제조하였다. 4.4 그램의 DI 수에 0.14 그램의 APS를 용해시킴으로써 개시제 A를 제조하였다. 387.2 그램의 DI 수, 0.7 그램의 SLS를 1-리터 반응기에 충전시켰다. 내용물을 이후 약한 교반과 함께 질소 블랭킷하에서 87℃로 가열하였다. 반응기 내용물이 87℃에 이르는 때에, 반응기에 개시제 A를 첨가하였다. 2 내지 3분 후, 모노머 예비 혼합물을 75분의 기간에 걸쳐 반응 용기로 계량하였다. 반응 온도를 87℃에서 유지하였다. 모노머 예비 혼합물 공급의 완료 후, 8.47 그램의 DI 수 중의 0.05 그램의 APS의 용액을 반응기에 첨가하고, 반응기 내용물의 온도를 90℃로 상승시키고, 150분 동안 유지하였다. 반응기 내용물을 이후 49℃로 냉각시켰다. 3.3 그램의 DI 수 중의 0.27 그램의 70% TBHP 및 0.17 그램의 SLS의 용액을 반응기에 첨가하였다. 5분 후, 13.2 그램의 DI 수 중의 0.26 그램의 에리소르브산의 용액을 반응기에 첨가하였다. 반응기 내용물을 49℃에서 약 30분 동안 유지하였다. 그 후에, 반응기를 실온(23℃)으로 냉각시키고, 100 마이크론 천을 통해 여과하였다. 에멀젼은 29.7% wt.%의 고형물, 9 cps의 점도, 및 83 nm의 입도를 가졌다.
실시예 6
모노머 조성 = EA/MAA/AM* (65.5/34.5/1*) (wt.% 총 모노머) (*AM = 총 단일불포화 모노머 wt. 기준으로 1 wt.%)
1중량부의 본 기술의 양친매성 마크로모노머를 표 2에 기재된 바와 같은 0.5 중량부의 SLS 및 0.3 중량부의 TMPTA(중합가능한 모노머 혼합물 중의 단일불포화 모노머의 100중량부 기준)로 대체한 점을 제외하고, 에멀젼 폴리머를 비교예 5에서와 동일한 방식 및 절차에 따라 제조하였다.
표 2
실시예 B
2.5 그램 (100% 활성 폴리머 고형물)의 실시예 5 및 6의 폴리머를 14 wt.%의 SLES, 3 wt.%의 CAPB (100%의 활성 물질 기준), 및 DI 수 (100 wt.%까지 충분히)를 함유하는 계면활성제 섀시로 포뮬레이션하였다. 각각의 폴리머 포뮬레이션의 pH를 18 wt.%(w/w)의 NaOH 수용액으로 조절하여 하기 표 3에 나타나 있는 바와 같은 폴리머를 중화시켰다. 염기 중화 후에, 각각의 pH 조절된 포뮬레이션을 상기 시험 방법에 기재된 프로토콜에 따라 레올로지 및 선명도 특성에 대하여 평가하였다. 결과는 표 3에 보고되어 있다.
표 3
도 3에서의 데이터는 개시된 기술의 양친매성 마크로모노머로 제조된 ASE 폴리머가 동일한 사용 수준에서 보다 우수한 항복 응력 특성 및 증점 효율을 제공하면서 탁도 값, 투과율 특성 및 현탁 안정성 면에서 통상적인 가교된 ASE 폴리머에 비해 계면활성제 함유 조성물에서 유리한 것으로 비교된다는 것을 입증한다.
실시예 7
실시예 6 및 비교예 5에서 제조된 폴리머 에멀젼을 표에 나타나 있는 대략적인 표적 중량에서 활성 폴리머 고형물의 수성 분산물의 마스터 배치를 얻기 위해 표 4에 나타나 있는 양으로 DI 수에서 균일하게 분산시켰다. 각각의 마스터 배치를 이후 4개의 동일한 분취량(부피 기준)으로 세분하였다. 각각의 분취량에 28% 암모늄 하이드록사이드를 첨가하여 표에 나타나 있는 표적 pH 값으로 폴리머를 중화시켰다. pH 조절 후, 수성 폴리머 용액을 실온(23℃)에서 밤새(대략 8시간) 정치시킨 후, 원심분리에 의해 탈기시켰다. 점도를 스핀들 No. 5로 RVT 점도계에 의해 측정하였다. 점도가 범위에서 벗어난 경우, 스핀들 No. 4를 더 낮은 점도에 대하여 사용하고, 스핀들 No. 6을 더 높은 점도에 대하여 사용하였다. 점도 결과는 표 4에 보고되어 있다.
표 4
표 4에 나타나 있는 바와 같이, 양친매성 마크로모노머로부터 제조된 실시예 6의 ASE 폴리머의 수성 분산물은 양친매성 마크로모노머 없이 제조된 통상적으로 가교된 ASE 폴리머를 함유하는 수성 분산물에 비해서 넓은 pH 범위에 걸쳐 1 wt.%의 활성 폴리머 고형물의 폴리머 농도의 수용액 중에서 더 우수한 점도 값을 나타낸다. 표 4에서의 점도 대 폴리머 농도 데이터는 도 2에 플롯팅되어 있다.
각각의 표적 pH 값에서의 각각의 폴리머 농도에 대한 점도 비율(실시예 6의 점도/실시예 5의 점도)를 표 4에 들어 있는 점도 데이터를 이용하여 계산하였다. pH 8에서 1.5 wt.% 의 폴리머 농도에 대한 점도 비율의 예시적인 계산은 다음과 같다: 6600 (1.5 wt.% 및 pH 8에서 실시예 6의 조성물의 점도)/4380 (1.5 wt.% 및 pH 8에서 비교예 5의 조성물의 점도) x 100 = 150.7%. 이러한 비율은 실시예 6의 폴리머로 증점된 조성물의 점도가 비교예 5의 폴리머로 증점된 조성물의 점도보다 50.7% 더 높다는 것을 나타낸다. 각각의 표적 pH 값에서 각각의 폴리머 농도에 대한 점도 비율은 표 5에 기재되어 있다.
표 5
모든 표적 pH 값에 대한 1 wt.% 이상의 모든 폴리머 농도에서, 개시된 기술의 양친매성 마크로모노머로부터 제조된 ASE 폴리머는 통상적인 가교제로 제조된 ASE 폴리머에 비해 개선된 증점 효율을 제공한다.
Claims (35)
- 중합가능한 모노머 조성물로부터 제조된 ASE 폴리머로서,
(A) 한 가지 양태에서 약 10 wt.% 내지 약 75 wt.%, 또 다른 양태에서 약 25 wt.% 내지 약 65 wt.%, 및 약 30 wt.% 내지 약 60 wt.%의 적어도 하나의 산성 비닐 모노머, 이의 염, 및 이들의 혼합물;
(B) 한 가지 양태에서 약 10 wt.% 내지 약 90 wt.%, 또 다른 양태에서 약 25 wt.% 내지 약 75 wt.%, 및 약 30 wt.% 내지 약 60 wt.%의 하기 화학식으로 표현되는 적어도 하나의 비이온성 비닐 모노머:
(상기 화학식(I) 또는 (II)에서, X는 H 또는 메틸이고; Z는 -C(O)OR1, -C(O)NH2, -C(O)NHR1, -C(O)N(R1)2, -C6H4R1, -C6H4OR1, -C6H4Cl, -CN, -NHC(O)CH3, -NHC(O)H, N-(2-피롤리도닐), N-카프로락탐일, -C(O)NHC(CH3)3, -C(O)NHCH2CH2-N-에틸렌우레아, -SiR3, -C(O)O(CH2)xSiR3, -C(O)NH(CH2)xSiR3, 또는 -(CH2)xSiR3이고; x는 약 1 내지 약 6 범위의 정수이고; 각각의 R은 독립적으로 C1-C18 알킬이고; 각각의 R1은 독립적으로 C1-C30 알킬, 하이드록시 치환된 C2-C30 알킬, 또는 할로겐 치환된 C1-C30 알킬임);
(C) 한 가지 양태에서 약 0.01 내지 약 20 wt.%, 또 다른 양태에서 약 0.5 내지 약 10 wt.%, 추가의 또 다른 양태에서 약 0.75 내지 약 7 wt.%, 추가의 양태에서 약 1 내지 약 5 wt.%, 및 또 다른 추가의 양태에서 약 1.5 내지 3 wt.%(총 단일불포화 모노머의 wt.를 기준으로)의 다중불포화 양친매성 마크로모노머; 및
(D) 한 가지 양태에서 약 0 또는 0.1 wt.% 내지 약 3 wt.%, 또 다른 양태에서 약 0.25 wt.% 내지 약 2.5 wt.%, 및 약 0.5 wt.% 내지 약 1 wt.%(총 단일불포화 모노머의 wt.를 기준으로)의 적어도 하나의 다중불포화 가교 모노머를 포함하고,
모노머 성분 (A)-(D)의 합이 총 100 wt.%인, ASE 폴리머. - 제1항에 있어서, 상기 양친매성 마크로모노머 (C)가 적어도 두 개의 중합가능한 불포화 기를 함유하는, ASE 폴리머.
- 제1항에 있어서, 상기 양친매성 마크로모노머 (C)가 적어도 두 개의 아릴 기를 함유하는, ASE 폴리머.
- 제1항에 있어서, 상기 양친매성 모노머 (C)가 하기 화학식으로 표현되는, ASE 폴리머:
상기 식에서, R21은 한 가지 양태에서 C8-C30 알킬, 알크아릴, 알케닐, 또는 사이클로알킬 기, 및 또 다른 양태에서 C10-C24 알킬, 아릴, 알킬아릴, 및 아르알킬아릴 기이고; R22는 CH3, CH2CH3, C6H5, 또는 C14H29이고; x는 한 가지 양태에서 2-100, 및 또 다른 양태에서 2-10이고, y는 한 가지 양태에서 0-200, 및 또 다른 양태에서 0 또는 1-50이고, z는 한 가지 양태에서 4-200, 또 다른 양태에서 약 5 내지 60, 및 추가의 양태에서 약 5-40이고; R23은 H 또는 Z-M+이고, 여기서 Z는 SO3 - 또는 PO3 2-일 수 있고, M+는 염 형성 양이온이다. - 제6항에 있어서, 상기 염 형성 양이온 M+가 Na, K, 및 NH4, 또는 알칸올아민으로부터 선택되는, ASE 폴리머.
- 제1항 내지 제8항 중 어느 한 항에 있어서, 상기 모노머 조성물이 추가로 적어도 하나의 다중불포화 가교 모노머 (D)를 포함하는, ASE 폴리머.
- 제8항에 있어서, 상기 가교 모노머 (D)가 적어도 두 개의 아크릴레이트 에스테르 기를 갖는 폴리올의 아크릴레이트 에스테르, 적어도 두 개의 메타크릴레이트 에스테르 기를 갖는 폴리올의 메타크릴레이트 에스테르, 및 이들의 혼합물인, ASE 폴리머.
- 제1항 내지 제10항 중 어느 한 항에 있어서, 상기 산성 비닐 모노머 (A)가 아크릴산, 메타크릴산, 스티렌설폰산, 2-아크릴아미도-2-메틸프로판 설폰산; 및 이들의 염; 및 이들의 혼합물로부터 선택되는, ASE 폴리머.
- 제11항에 있어서, 상기 염이 알칼리 금속 염, 알칼리 토금속 염, 암모늄 염, 알킬-치환된 암모늄 염, 및 이들의 혼합물로부터 선택되는, ASE 폴리머.
- 제1항 내지 제12항 중 어느 한 항에 있어서, 상기 비이온성 비닐 모노머 (B)가 (메트)아크릴산의 C1-C8 알킬 에스테르, (메트)아크릴산의 하이드록시-치환된 C1-C8 알킬 에스테르, 비닐 C2-C10 알카노에이트, N-비닐 피롤리돈, 및 이들의 혼합물로부터 선택되는, ASE 폴리머.
- 제1항 내지 제13항 중 어느 한 항에 있어서, 상기 비이온성 비닐 모노머 (B)가 에틸 아크릴레이트, 부틸 아크릴레이트, 하이드록시에틸 메타크릴레이트, 비닐 아세테이트, 비닐 네오데카노에이트, N-비닐 피롤리돈, 및 이들의 혼합물로부터 선택되는, ASE 폴리머.
- 제1항 내지 제14항 중 어느 한 항에 있어서, 상기 모노머 조성물이 추가로 상기 모노머 조성물의 중량을 기준으로 한 가지 양태에서 약 0.05 wt.% 내지 약 10 wt.%, 또 다른 양태에서 약 0.1 wt.% 내지 약 5 wt.%, 및 추가의 양태에서 약 0.5 wt.% 내지 약 1 wt.%의 적어도 하나의 사슬 전달제 (E)를 포함하고, 모노머 성분 (A) 내지 (D) 및 사슬 전달제(E)의 합이 모노머 조성물의 총 100 wt.%인, ASE 폴리머.
- 제1항 내지 제15항 중 어느 한 항에 있어서, 상기 중합가능한 모노머 조성물이
(A) 약 30 wt.% 내지 약 60 wt.%의 아크릴산, 메타크릴산, 2-아크릴아미도 2-메틸프로판 설폰산으로부터 선택된 적어도 하나의 산성 비닐 모노머 또는 이의 염;
(B) 약 30 wt.% 내지 약 60 wt.%의 에틸 아크릴레이트, 부틸 아크릴레이트, 하이드록시에틸 메타크릴레이트, 비닐 아세테이트, 비닐 네오데카노에이트, N-비닐 피롤리돈, 및 이들의 혼합물로부터 선택된 적어도 하나의 비이온성 비닐 모노머;
(C) 0.5 wt.% 내지 약 10 wt.%의 하기 화학식으로 표현되는 적어도 하나의 양친매성 마크로모노머:
(상기 식에서, R21은 한 가지 양태에서 C8-C30 알킬, 알크아릴, 알케닐, 또는 사이클로알킬 기, 및 또 다른 양태에서 C10-C24 알킬, 아릴, 알킬아릴, 및 아르알킬아릴 기이고; R22는 CH3, CH2CH3, C6H5, 또는 C14H29이고; x는 한 가지 양태에서 2-100, 및 또 다른 양태에서 2-10이고, y는 한 가지 양태에서 0-200, 및 또 다른 양태에서 0 또는 1-50이고, z는 한 가지 양태에서 4-200, 또 다른 양태에서 약 5 내지 60, 및 추가의 양태에서 약 5-40이고; R23은 H 또는 Z-M+이고, 여기서 Z는 SO3 - 또는 PO3 2-일 수 있고, M+는 염 형성 양이온임);
(D) 약 0 또는 0.1 wt.% 내지 약 3 wt.%의 적어도 하나의 다중불포화 가교 모노머를 포함하는, ASE 폴리머. - 제16항 또는 제17항에 있어서, 상기 염 형성 양이온 M+가 Na, K, 및 NH4, 또는 알칸올아민인, ASE 폴리머.
- 제16항 내지 제18항 중 어느 한 항에 있어서, 상기 중합가능한 모노머 조성물이
(A) 메타크릴산;
(B) 에틸 아크릴레이트, 부틸 아크릴레이트, 하이드록시에틸 메타크릴레이트, 비닐 아세테이트, 비닐 네오데카노에이트, N-비닐 피롤리돈, 및 이들의 혼합물로부터 선택된 적어도 하나의 비이온성 모노머;
(C) 화학식 (IV) - (VII)로 표현되는 적어도 하나의 양친매성 마크로모노머; 및 임의로
(D) 적어도 하나의 다중불포화 가교 모노머를 포함하는, ASE 폴리머. - 제16항 내지 제19항 중 어느 한 항에 있어서, 상기 중합가능한 모노머 조성물이
(A) 메타크릴산;
(B) 에틸 아크릴레이트, 부틸 아크릴레이트, 비닐 네오데카노에이트, 및 이들의 혼합물로부터 선택된 비이온성 모노머;
(C) 화학식 (IV) - (VII)로 표현되는 마크로모노머로부터 선택된 적어도 하나의 양친매성 마크로모노머; 및 임의로
(D) 적어도 하나의 다중불포화 가교 모노머를 포함하는, ASE 폴리머. - 제1항 내지 제20항 중 어느 한 항에 있어서, 상기 모노머 조성물에 통상적인 다중불포화 가교 모노머가 없는, ASE 폴리머.
- 수성 계면활성제 함유 조성물로서,
(i) 적어도 하나의 음이온성 계면활성제, 적어도 하나의 양쪽성 계면활성제, 적어도 하나의 비이온성 계면활성제, 적어도 하나의 양이온성 계면활성제, 및 이들의 혼합물로부터 선택된 계면활성제;
(ii) 전체 조성물의 중량을 기준으로(모든 폴리머 중량은 100% 활성 폴리머 고형물 기준임) 한 가지 양태에서 약 0.01 내지 약 25 중량%, 또 다른 양태에서 약 0.1 내지 약 15 중량%, 추가의 양태에서 약 0.5 내지 약 10 중량%, 또 다른 추가의 양태에서 약 0.75 내지 약 8 wt.%, 및 또 다른 양태에서 약 1 내지 약 5 중량%의 제1항 내지 제23항 중 어느 한 항으로부터 선택된 적어도 하나의 에멀젼 폴리머; 및
(iii) 물을 포함하는, 수성 계면활성제 함유 조성물. - 제22항에 있어서, (iv) 중화제를 추가로 포함하는, 수성 계면활성제 함유 조성물.
- 제22항 또는 제23항 중 어느 한 항에 있어서,
A) 한 가지 양태에서 약 5 wt.% 내지 약 30 wt.%, 또 다른 양태에서 약 6 wt.% 내지 약 25 wt.%, 및 추가의 양태에서 약 8 wt.% 내지 약 15 wt.%의 계면활성제 성분 (i); 및
B) 한 가지 양태에서 약 0.5 wt.% 내지 약 5 wt.%, 또 다른 양태에서 약 0.75 내지 약 3 wt.%, 및 추가의 양태에서 약 1 wt.% 내지 약 2 wt.%의 상기 에멀젼 폴리머 성분 (ii) (전체 활성 폴리머 기준)을 포함하는, 수성 계면활성제 함유 조성물. - 제22항 내지 제24항 중 어느 한 항에 있어서, 상기 음이온성 계면활성제가 알킬 설페이트, 알킬 에테르 설페이트, 알킬 모노글리세릴 에테르 설페이트, 알킬 모노글리세라이드 설페이트, 알킬 모노글리세라이드 설포네이트, 알킬 설포네이트, 알킬알킬 설포네이트, 알킬 포스페이트, 알킬 설포아세테이트, 알킬 설포석시네이트, 알킬 에테르 설포석시네이트, 알킬 아미도설포석시네이트, 알킬 석시네이트, 알킬 카복실레이트, 알킬 아미도에테르 카복실레이트, C14-C16 올레핀 설포네이트, 아실 사르코시네이트, 아실 이세티오네이트, 아실 메틸 이세티오네이트, 아실 N-메틸 타우레이트, 아실 글루타메이트, 아실 락틸레이트, 아실 글리시네이트, 아실 알라니네이트, 및 이들의 혼합물의 알칼리 금속 및 암모늄 염으로부터 선택되는, 수성 계면활성제 함유 조성물.
- 제22항 내지 제25항 중 어느 한 항에 있어서, 상기 음이온성 계면활성제가 약 8 내지 약 22개의 탄소 원자를 함유하는 포화 및 불포화 지방산의 알칼리 금속 또는 암모늄 염, 및 이들의 혼합물로부터 선택되는, 수성 계면활성제 함유 조성물.
- 제22항 내지 제26항 중 어느 한 항에 있어서, 상기 양쪽성 계면활성제가 (모노- 또는 디-) 알킬암포아세테이트, 알킬 베타인, 아미도알킬 베타인, 아미도알킬 설타인, 및 이들의 혼합물로부터 선택되는, 수성 계면활성제 함유 조성물.
- 제22항 내지 제27항 중 어느 한 항에 있어서, 상기 비이온성 계면활성제가 C8-C18 알킬 글루코사이드 및 폴리글루코사이드, 수크로스, 글루코스, 소르비톨, 소르비탄 및 C10-C18 지방산의 폴리글리세롤 에스테르로부터 선택되는, 수성 계면활성제 함유 조성물.
- 제22항 내지 제28항 중 어느 한 항에 있어서, 상기 음이온성 계면활성제가 알킬 설페이트 염, 알킬 에테르 설페이트 염, C12 내지 C22 지방산의 염, 및 이들의 혼합물로부터 선택되는, 수성 계면활성제 함유 조성물.
- 제22항 내지 제29항 중 어느 한 항에 있어서, 상기 계면활성제가 소듐 및 암모늄 라우릴 설페이트, 소듐 및 암모늄 라우릴 에테르 설페이트, 소듐 C14-C16 알파 올레핀 설포네이트, 및 이들의 혼합물로부터 선택되는, 수성 계면활성제 함유 조성물.
- 제30항에 있어서, 라우릴 베타인, 코카미도프로필 베타인, 코카미도프로필 하이드록시설타인, 및 이들의 혼합물로부터 선택되는 양쪽성 계면활성제를 추가로 포함하는, 수성 계면활성제 조성물.
- 제30항에 있어서, 상기 소듐 및 암모늄 라우릴 에테르 설페이트 염이 1 내지 3몰의 에틸렌 옥사이드 단위를 함유하는, 수성 계면활성제 함유 조성물.
- 제22항 내지 제32항 중 어느 한 항에 있어서, 불용성 물질, 미립자 물질, 또는 이들의 조합물을 추가로 포함하는, 수성 계면활성제 함유 조성물.
- 제33항에 있어서, 상기 미립자 물질이 운모, 코팅 운모, 안료, 각질제거제, 비듬방지제, 클레이, 팽윤성 클레이, 라포나이트(laponite), 마이크로스폰지, 화장용 비드, 화장용 마이크로캡슐, 플레이크, 향료 마이크로캡슐, 향료 입자, 및 이들의 혼합물로부터 선택되는, 수성 계면활성제 함유 조성물.
- 제33항에 있어서, 퍼퓸, 향료, 향료 오일, 및 이들의 혼합물을 추가로 포함하는, 수성 계면활성제 함유 조성물.
Applications Claiming Priority (3)
| Application Number | Priority Date | Filing Date | Title |
|---|---|---|---|
| US201562387371P | 2015-12-23 | 2015-12-23 | |
| US62/387,371 | 2015-12-23 | ||
| PCT/US2016/067504 WO2017112584A2 (en) | 2015-12-23 | 2016-12-19 | Alkali-swellable emulsion polymers |
Publications (1)
| Publication Number | Publication Date |
|---|---|
| KR20180098329A true KR20180098329A (ko) | 2018-09-03 |
Family
ID=57822033
Family Applications (1)
| Application Number | Title | Priority Date | Filing Date |
|---|---|---|---|
| KR1020187021112A Withdrawn KR20180098329A (ko) | 2015-12-23 | 2016-12-19 | 알칼리-팽윤가능한 에멀젼 폴리머 |
Country Status (8)
| Country | Link |
|---|---|
| US (1) | US20200283555A1 (ko) |
| EP (1) | EP3394124A2 (ko) |
| JP (1) | JP2019502800A (ko) |
| KR (1) | KR20180098329A (ko) |
| CN (1) | CN109071727A (ko) |
| AR (1) | AR107181A1 (ko) |
| BR (1) | BR112018012759A2 (ko) |
| WO (1) | WO2017112584A2 (ko) |
Families Citing this family (13)
| Publication number | Priority date | Publication date | Assignee | Title |
|---|---|---|---|---|
| MX2018006918A (es) * | 2015-12-08 | 2018-11-09 | Kemira Oyj | Composiciones polimericas liquidas. |
| US11267758B2 (en) | 2017-08-22 | 2022-03-08 | 3M Innovative Properties Company | Wall compounds and methods of use |
| EP3598967B1 (en) | 2018-07-26 | 2023-03-15 | The Procter & Gamble Company | Personal cleansing compositions, methods and uses |
| CN113853425A (zh) | 2019-06-21 | 2021-12-28 | 埃科莱布美国股份有限公司 | 固化非离子表面活性剂 |
| EP3997155A1 (en) | 2019-07-03 | 2022-05-18 | Rohm and Haas Company | Silicone-based barrier compositions |
| US12441910B2 (en) | 2019-07-03 | 2025-10-14 | Dow Global Technologies Llc | Silicone-based barrier compositions |
| CN110624472B (zh) * | 2019-09-28 | 2023-06-20 | 重庆威能钻井助剂有限公司 | 一种乳化剂及其制备方法和应用 |
| CN114402005B (zh) * | 2019-10-16 | 2024-12-20 | 罗门哈斯公司 | 包含碱溶胀性共聚物的组合物 |
| US20230101248A1 (en) * | 2020-02-03 | 2023-03-30 | Kyung Tae YOON | Contact lens and manufacturing method therefor |
| CN116134110A (zh) | 2020-07-28 | 2023-05-16 | Cmc材料股份有限公司 | 包含阴离子型及阳离子型抑制剂的化学机械抛光组合物 |
| JP2022124930A (ja) * | 2021-02-16 | 2022-08-26 | 株式会社ファンケル | 皮膚外用剤、シワ改善剤、およびコラーゲン産生促進剤 |
| CN115813844B (zh) * | 2022-03-03 | 2024-09-06 | 广州真极和美生物科技有限公司 | 一种凝脂油珠精华组合物及其制备方法 |
| CN118078729B (zh) * | 2024-04-23 | 2024-07-16 | 醇度国际生物科技(北京)有限公司 | 一种同时具有保湿和护肤作用的卸妆清洁霜及其制备方法 |
Family Cites Families (13)
| Publication number | Priority date | Publication date | Assignee | Title |
|---|---|---|---|---|
| US5104646A (en) | 1989-08-07 | 1992-04-14 | The Procter & Gamble Company | Vehicle systems for use in cosmetic compositions |
| US5106609A (en) | 1990-05-01 | 1992-04-21 | The Procter & Gamble Company | Vehicle systems for use in cosmetic compositions |
| CA2050212C (en) | 1990-09-03 | 1997-09-30 | Andrew M. Murray | Hair treatment composition |
| FR2684668B1 (fr) | 1991-12-04 | 1995-03-24 | Oreal | Composes hydro-fluoro-carbones, leur utilisation dans des compositions cosmetiques, leur procede de preparation et les compositions cosmetiques en comportant. |
| IT1272109B (it) | 1993-03-19 | 1997-06-11 | Eniricerche Spa | Processo per la preparazione di apg |
| US5770543A (en) | 1996-09-06 | 1998-06-23 | Henkel Corporation | Agricultural compositions comprising alkyl polyglycosides and fatty acids |
| US6200554B1 (en) | 1996-10-16 | 2001-03-13 | The Procter & Gamble Company | Conditioning shampoo compositions having improved silicone deposition |
| US6197317B1 (en) | 1997-08-11 | 2001-03-06 | Marvin E. Klein | Composition and method for the treatment of skin |
| US6635702B1 (en) | 2000-04-11 | 2003-10-21 | Noveon Ip Holdings Corp. | Stable aqueous surfactant compositions |
| US7288616B2 (en) * | 2002-01-18 | 2007-10-30 | Lubrizol Advanced Materials, Inc. | Multi-purpose polymers, methods and compositions |
| CA2847280C (en) | 2011-08-29 | 2019-09-24 | Ethox Chemicals, Llc | New reactive surfactants for emulsion polymerization, pigment dispersion, and uv coatings |
| BR112016013854B1 (pt) * | 2013-12-17 | 2021-01-26 | Lubrizol Advanced Materials, Inc. | composições de polímero modificador de reologia anfifílico não iônico reticulado e fluida de tensão de deformação, e, fluidos de perfuração e de fratura hidráulico |
| EP2933280B1 (en) * | 2014-04-18 | 2016-10-12 | Rhodia Opérations | Rheology modifier polymer |
-
2016
- 2016-12-19 US US16/065,141 patent/US20200283555A1/en not_active Abandoned
- 2016-12-19 KR KR1020187021112A patent/KR20180098329A/ko not_active Withdrawn
- 2016-12-19 EP EP16826802.7A patent/EP3394124A2/en not_active Withdrawn
- 2016-12-19 CN CN201680082340.0A patent/CN109071727A/zh active Pending
- 2016-12-19 JP JP2018532679A patent/JP2019502800A/ja active Pending
- 2016-12-19 WO PCT/US2016/067504 patent/WO2017112584A2/en not_active Ceased
- 2016-12-19 BR BR112018012759A patent/BR112018012759A2/pt not_active IP Right Cessation
- 2016-12-22 AR ARP160104003A patent/AR107181A1/es unknown
Also Published As
| Publication number | Publication date |
|---|---|
| BR112018012759A2 (pt) | 2018-12-04 |
| JP2019502800A (ja) | 2019-01-31 |
| EP3394124A2 (en) | 2018-10-31 |
| US20200283555A1 (en) | 2020-09-10 |
| WO2017112584A3 (en) | 2017-08-03 |
| CN109071727A (zh) | 2018-12-21 |
| AR107181A1 (es) | 2018-03-28 |
| WO2017112584A2 (en) | 2017-06-29 |
Similar Documents
| Publication | Publication Date | Title |
|---|---|---|
| KR20180098330A (ko) | 소수성 개질된 알칼리-팽윤성 에멀젼 폴리머 | |
| KR20180098329A (ko) | 알칼리-팽윤가능한 에멀젼 폴리머 | |
| CN103068856B (zh) | 丙烯酸类共聚物增稠剂的共混物 | |
| CN103200926B (zh) | 丙烯酸酯共聚物增稠剂 | |
| KR101984800B1 (ko) | 구조화된 아크릴레이트 코폴리머 증점제 | |
| JP5921528B2 (ja) | 増粘化アミノ酸界面活性剤組成物およびその方法 | |
| JP2019094358A (ja) | フケ防止用ヘアケア組成物のための懸濁安定剤 | |
| US20170367963A1 (en) | Amphiphilic suspension and stability agent for antidandruff hair care compositions | |
| MX2013003421A (es) | Copolimero de acrilato estructurado para uso en sistemas de multi-fase. | |
| JP2024537200A (ja) | 安定化されたレオロジー調整剤エマルジョン |
Legal Events
| Date | Code | Title | Description |
|---|---|---|---|
| PA0105 | International application |
Patent event date: 20180720 Patent event code: PA01051R01D Comment text: International Patent Application |
|
| PG1501 | Laying open of application | ||
| PC1203 | Withdrawal of no request for examination |


























