JP7516632B2 - 無線通信システムで基準信号の送受信方法及び装置 - Google Patents
無線通信システムで基準信号の送受信方法及び装置 Download PDFInfo
- Publication number
- JP7516632B2 JP7516632B2 JP2023122431A JP2023122431A JP7516632B2 JP 7516632 B2 JP7516632 B2 JP 7516632B2 JP 2023122431 A JP2023122431 A JP 2023122431A JP 2023122431 A JP2023122431 A JP 2023122431A JP 7516632 B2 JP7516632 B2 JP 7516632B2
- Authority
- JP
- Japan
- Prior art keywords
- tci
- qcl
- terminal
- csi
- resource
- Prior art date
- Legal status (The legal status is an assumption and is not a legal conclusion. Google has not performed a legal analysis and makes no representation as to the accuracy of the status listed.)
- Active
Links
Images
Classifications
-
- H—ELECTRICITY
- H04—ELECTRIC COMMUNICATION TECHNIQUE
- H04L—TRANSMISSION OF DIGITAL INFORMATION, e.g. TELEGRAPHIC COMMUNICATION
- H04L5/00—Arrangements affording multiple use of the transmission path
- H04L5/003—Arrangements for allocating sub-channels of the transmission path
- H04L5/0048—Allocation of pilot signals, i.e. of signals known to the receiver
-
- H—ELECTRICITY
- H04—ELECTRIC COMMUNICATION TECHNIQUE
- H04L—TRANSMISSION OF DIGITAL INFORMATION, e.g. TELEGRAPHIC COMMUNICATION
- H04L5/00—Arrangements affording multiple use of the transmission path
- H04L5/003—Arrangements for allocating sub-channels of the transmission path
- H04L5/0048—Allocation of pilot signals, i.e. of signals known to the receiver
- H04L5/0051—Allocation of pilot signals, i.e. of signals known to the receiver of dedicated pilots, i.e. pilots destined for a single user or terminal
-
- H—ELECTRICITY
- H04—ELECTRIC COMMUNICATION TECHNIQUE
- H04J—MULTIPLEX COMMUNICATION
- H04J13/00—Code division multiplex systems
- H04J13/16—Code allocation
-
- H—ELECTRICITY
- H04—ELECTRIC COMMUNICATION TECHNIQUE
- H04L—TRANSMISSION OF DIGITAL INFORMATION, e.g. TELEGRAPHIC COMMUNICATION
- H04L5/00—Arrangements affording multiple use of the transmission path
- H04L5/0001—Arrangements for dividing the transmission path
- H04L5/0003—Two-dimensional division
- H04L5/0005—Time-frequency
- H04L5/0007—Time-frequency the frequencies being orthogonal, e.g. OFDM(A) or DMT
-
- H—ELECTRICITY
- H04—ELECTRIC COMMUNICATION TECHNIQUE
- H04L—TRANSMISSION OF DIGITAL INFORMATION, e.g. TELEGRAPHIC COMMUNICATION
- H04L5/00—Arrangements affording multiple use of the transmission path
- H04L5/003—Arrangements for allocating sub-channels of the transmission path
- H04L5/0078—Timing of allocation
- H04L5/008—Timing of allocation once only, on installation
-
- H—ELECTRICITY
- H04—ELECTRIC COMMUNICATION TECHNIQUE
- H04L—TRANSMISSION OF DIGITAL INFORMATION, e.g. TELEGRAPHIC COMMUNICATION
- H04L5/00—Arrangements affording multiple use of the transmission path
- H04L5/003—Arrangements for allocating sub-channels of the transmission path
- H04L5/0078—Timing of allocation
- H04L5/0082—Timing of allocation at predetermined intervals
-
- H—ELECTRICITY
- H04—ELECTRIC COMMUNICATION TECHNIQUE
- H04L—TRANSMISSION OF DIGITAL INFORMATION, e.g. TELEGRAPHIC COMMUNICATION
- H04L5/00—Arrangements affording multiple use of the transmission path
- H04L5/0091—Signalling for the administration of the divided path, e.g. signalling of configuration information
-
- H—ELECTRICITY
- H04—ELECTRIC COMMUNICATION TECHNIQUE
- H04L—TRANSMISSION OF DIGITAL INFORMATION, e.g. TELEGRAPHIC COMMUNICATION
- H04L5/00—Arrangements affording multiple use of the transmission path
- H04L5/0091—Signalling for the administration of the divided path, e.g. signalling of configuration information
- H04L5/0094—Indication of how sub-channels of the path are allocated
-
- H—ELECTRICITY
- H04—ELECTRIC COMMUNICATION TECHNIQUE
- H04W—WIRELESS COMMUNICATION NETWORKS
- H04W72/00—Local resource management
- H04W72/04—Wireless resource allocation
- H04W72/044—Wireless resource allocation based on the type of the allocated resource
- H04W72/0453—Resources in frequency domain, e.g. a carrier in FDMA
-
- H—ELECTRICITY
- H04—ELECTRIC COMMUNICATION TECHNIQUE
- H04W—WIRELESS COMMUNICATION NETWORKS
- H04W72/00—Local resource management
- H04W72/20—Control channels or signalling for resource management
- H04W72/21—Control channels or signalling for resource management in the uplink direction of a wireless link, i.e. towards the network
-
- H—ELECTRICITY
- H04—ELECTRIC COMMUNICATION TECHNIQUE
- H04W—WIRELESS COMMUNICATION NETWORKS
- H04W72/00—Local resource management
- H04W72/20—Control channels or signalling for resource management
- H04W72/23—Control channels or signalling for resource management in the downlink direction of a wireless link, i.e. towards a terminal
-
- H—ELECTRICITY
- H04—ELECTRIC COMMUNICATION TECHNIQUE
- H04W—WIRELESS COMMUNICATION NETWORKS
- H04W72/00—Local resource management
- H04W72/20—Control channels or signalling for resource management
- H04W72/23—Control channels or signalling for resource management in the downlink direction of a wireless link, i.e. towards a terminal
- H04W72/231—Control channels or signalling for resource management in the downlink direction of a wireless link, i.e. towards a terminal the control data signalling from the layers above the physical layer, e.g. RRC or MAC-CE signalling
-
- H—ELECTRICITY
- H04—ELECTRIC COMMUNICATION TECHNIQUE
- H04W—WIRELESS COMMUNICATION NETWORKS
- H04W72/00—Local resource management
- H04W72/20—Control channels or signalling for resource management
- H04W72/23—Control channels or signalling for resource management in the downlink direction of a wireless link, i.e. towards a terminal
- H04W72/232—Control channels or signalling for resource management in the downlink direction of a wireless link, i.e. towards a terminal the control data signalling from the physical layer, e.g. DCI signalling
-
- H—ELECTRICITY
- H04—ELECTRIC COMMUNICATION TECHNIQUE
- H04W—WIRELESS COMMUNICATION NETWORKS
- H04W72/00—Local resource management
- H04W72/50—Allocation or scheduling criteria for wireless resources
- H04W72/51—Allocation or scheduling criteria for wireless resources based on terminal or device properties
-
- H—ELECTRICITY
- H04—ELECTRIC COMMUNICATION TECHNIQUE
- H04L—TRANSMISSION OF DIGITAL INFORMATION, e.g. TELEGRAPHIC COMMUNICATION
- H04L25/00—Baseband systems
- H04L25/02—Details ; arrangements for supplying electrical power along data transmission lines
- H04L25/0202—Channel estimation
- H04L25/0224—Channel estimation using sounding signals
- H04L25/0226—Channel estimation using sounding signals sounding signals per se
-
- H—ELECTRICITY
- H04—ELECTRIC COMMUNICATION TECHNIQUE
- H04L—TRANSMISSION OF DIGITAL INFORMATION, e.g. TELEGRAPHIC COMMUNICATION
- H04L27/00—Modulated-carrier systems
- H04L27/26—Systems using multi-frequency codes
- H04L27/2601—Multicarrier modulation systems
- H04L27/2602—Signal structure
- H04L27/261—Details of reference signals
- H04L27/2613—Structure of the reference signals
-
- H—ELECTRICITY
- H04—ELECTRIC COMMUNICATION TECHNIQUE
- H04L—TRANSMISSION OF DIGITAL INFORMATION, e.g. TELEGRAPHIC COMMUNICATION
- H04L5/00—Arrangements affording multiple use of the transmission path
- H04L5/0001—Arrangements for dividing the transmission path
- H04L5/0003—Two-dimensional division
- H04L5/0005—Time-frequency
- H04L5/0007—Time-frequency the frequencies being orthogonal, e.g. OFDM(A) or DMT
- H04L5/001—Time-frequency the frequencies being orthogonal, e.g. OFDM(A) or DMT the frequencies being arranged in component carriers
-
- H—ELECTRICITY
- H04—ELECTRIC COMMUNICATION TECHNIQUE
- H04L—TRANSMISSION OF DIGITAL INFORMATION, e.g. TELEGRAPHIC COMMUNICATION
- H04L5/00—Arrangements affording multiple use of the transmission path
- H04L5/0001—Arrangements for dividing the transmission path
- H04L5/0003—Two-dimensional division
- H04L5/0005—Time-frequency
- H04L5/0007—Time-frequency the frequencies being orthogonal, e.g. OFDM(A) or DMT
- H04L5/0012—Hopping in multicarrier systems
-
- H—ELECTRICITY
- H04—ELECTRIC COMMUNICATION TECHNIQUE
- H04L—TRANSMISSION OF DIGITAL INFORMATION, e.g. TELEGRAPHIC COMMUNICATION
- H04L5/00—Arrangements affording multiple use of the transmission path
- H04L5/0001—Arrangements for dividing the transmission path
- H04L5/0014—Three-dimensional division
- H04L5/0023—Time-frequency-space
-
- H—ELECTRICITY
- H04—ELECTRIC COMMUNICATION TECHNIQUE
- H04L—TRANSMISSION OF DIGITAL INFORMATION, e.g. TELEGRAPHIC COMMUNICATION
- H04L5/00—Arrangements affording multiple use of the transmission path
- H04L5/003—Arrangements for allocating sub-channels of the transmission path
- H04L5/0032—Distributed allocation, i.e. involving a plurality of allocating devices, each making partial allocation
- H04L5/0035—Resource allocation in a cooperative multipoint environment
-
- H—ELECTRICITY
- H04—ELECTRIC COMMUNICATION TECHNIQUE
- H04W—WIRELESS COMMUNICATION NETWORKS
- H04W8/00—Network data management
- H04W8/22—Processing or transfer of terminal data, e.g. status or physical capabilities
- H04W8/24—Transfer of terminal data
Landscapes
- Engineering & Computer Science (AREA)
- Signal Processing (AREA)
- Computer Networks & Wireless Communication (AREA)
- Mobile Radio Communication Systems (AREA)
- Computer Security & Cryptography (AREA)
Description
本発明は、無線通信システムで基準信号の送受信方法及び装置に関する。
4G通信システム商用化以後の増加趨勢である無線データトラフィック需要を満たすために、改善された5G通信システム又はpre-5G通信システムを開発するための努力が行われている。
このような理由で、5G通信システム又はpre-5G通信システムは、4Gネットワーク以後(Beyond 4G Network)通信システム又はLTEシステム以後(Post LTE)システムと呼ばれている。
このような理由で、5G通信システム又はpre-5G通信システムは、4Gネットワーク以後(Beyond 4G Network)通信システム又はLTEシステム以後(Post LTE)システムと呼ばれている。
高いデータ送信率を達成するために、5G通信システムは、超高周波(mmWave)帯域(例えば、60ギガ(60GHz)帯域のような)での具現が考慮されている。
超高周波の帯域での伝播の経路損失緩和及び伝達距離を増加させるために、5G通信システムではビームフォーミング(beamforming)、massive MIMO(Multiple-Input Multiple-Output)、FD-MIMO(Full Dimensional MIMO)、アレイアンテナ(array antenna)、アナログビームフォーミング(analog beam-forming)、及び大規模アンテナ(large scale antenna)技術が論議されている。
超高周波の帯域での伝播の経路損失緩和及び伝達距離を増加させるために、5G通信システムではビームフォーミング(beamforming)、massive MIMO(Multiple-Input Multiple-Output)、FD-MIMO(Full Dimensional MIMO)、アレイアンテナ(array antenna)、アナログビームフォーミング(analog beam-forming)、及び大規模アンテナ(large scale antenna)技術が論議されている。
さらに、システムのネットワーク改善のために、5G通信システムでは進化した小型セル、改善された小型セル(advanced small cell)、クラウド無線アクセスネットワーク(cloud radio access network:cloud RAN)、超高密度ネットワーク(ultra-dense network)、D2D通信(Device-to-Device communication)、無線バックホール(wireless backhaul)、移動ネットワーク(moving network)、協力通信(cooperative communication)、CoMP(Coordinated Multi-Points)、及び受信干渉除去(interference cancellation)などの技術開発が行われている。
その他にも、5Gシステムでは進歩したコーディング変調(Advanced Coding Modulation:ACM)方式であるFQAM(Hybrid FSK and QAM Modulation)及びSWSC(Sliding Window Superposition Coding)と、進歩した接続技術であるFBMC(Filter Bank Multi Carrier)、NOMA(non orthogonal multiple access)、及びSCMA(sparse code multiple access)などが開発されている。
その他にも、5Gシステムでは進歩したコーディング変調(Advanced Coding Modulation:ACM)方式であるFQAM(Hybrid FSK and QAM Modulation)及びSWSC(Sliding Window Superposition Coding)と、進歩した接続技術であるFBMC(Filter Bank Multi Carrier)、NOMA(non orthogonal multiple access)、及びSCMA(sparse code multiple access)などが開発されている。
一方、インターネットは、人間が情報を生成して消費する人間中心の接続網から、事物などの分散された構成要素の間に情報を交換して処理するIOT(Internet of Things、モノのインターネット)網へ進化しつつある。
クラウドサーバーなどとの接続を介してビッグデータ(Big data)処理技術などがIoT技術に結合されたIoE(Internet of Everything)技術も台頭している。
IoTを具現するには、センシング技術、有無線通信及びネットワークインフラ、サービスインタフェース技術、セキュリティ技術のような技術要素が要求され、近年には物事の間の接続のためのセンサネットワーク(sensor network)、M2M(Machine to Machine)、MTC(Machine Type Communication)などの技術が研究されている。
IoT環境は、接続された事物の間に生成されるデータを収集、分析して人間の生活に新しい価値を創出する知能型IT(Internet Technology)サービスを提供することができる。
IoTは、既存のIT(information technology)技術と多様な産業の間のコンバージェンス及び複合を介してスマートホーム、スマートビルディング、スマートシティ、スマートカー又はコネクテッドカー、スマートグリド、ヘルスケア、スマート家電、先端医療サービスなどの分野に応用され得る。
クラウドサーバーなどとの接続を介してビッグデータ(Big data)処理技術などがIoT技術に結合されたIoE(Internet of Everything)技術も台頭している。
IoTを具現するには、センシング技術、有無線通信及びネットワークインフラ、サービスインタフェース技術、セキュリティ技術のような技術要素が要求され、近年には物事の間の接続のためのセンサネットワーク(sensor network)、M2M(Machine to Machine)、MTC(Machine Type Communication)などの技術が研究されている。
IoT環境は、接続された事物の間に生成されるデータを収集、分析して人間の生活に新しい価値を創出する知能型IT(Internet Technology)サービスを提供することができる。
IoTは、既存のIT(information technology)技術と多様な産業の間のコンバージェンス及び複合を介してスマートホーム、スマートビルディング、スマートシティ、スマートカー又はコネクテッドカー、スマートグリド、ヘルスケア、スマート家電、先端医療サービスなどの分野に応用され得る。
これによって、5G通信システムをIoT網に適用するための多様な試みが行われている。
例えば、センサネットワーク(sensor network)、M2M(Machine to Machine)、MTC(Machine Type Communication)などの5G通信技術がビームフォーミング、MIMO、及びアレイアンテナなどの技法によって具現され得る。
前述のビッグデータ処理技術としてクラウド無線アクセスネットワーク(cloud RAN)が応用されることも5G技術とIoT技術のコンバージェンスの例と見なすことができる
例えば、センサネットワーク(sensor network)、M2M(Machine to Machine)、MTC(Machine Type Communication)などの5G通信技術がビームフォーミング、MIMO、及びアレイアンテナなどの技法によって具現され得る。
前述のビッグデータ処理技術としてクラウド無線アクセスネットワーク(cloud RAN)が応用されることも5G技術とIoT技術のコンバージェンスの例と見なすことができる
本発明が達成しようとする技術的課題は、移動通信システムで多様なサービスのための効率的なアップリンク又はダウンリンク信号の送受信操作のための基準信号の送受信方法及び装置を提供することにある。
上記課題を解決するための本発明の一実施形態による無線通信システムの端末の行う方法は、基地局からTCI(transmission configuration information)エミュレーションに関する情報を受信したかを確認する段階と、前記基地局からダウンリンク制御情報内のTCI情報のための2つのTCI状態を指示するMAC(medium access control)制御要素を受信する段階と、前記基地局からダウンリンクデータをスケジューリングする前記ダウンリンク制御情報を受信する段階と、ここで、前記ダウンリンク制御情報は、前記2つのTCI状態に対応する前記TCI情報、及び1つ以上のDMRS(demodulation reference signal)ポートを指示するDMRS設定情報を含み、前記1つ以上のDMRSポートに対応するDMRSと前記ダウンリンクデータを受信する段階と、を有し、前記TCIエミュレーションに関する情報が受信された場合、前記1つ以上のDMRSポートに対応する前記DMRSは、前記2つのTCI状態に関連する基準信号とQCL(quasi co-location)関係であると仮定され、第1TCIエミュレーション類型が設定された場合、前記QCL関係は、前記2つのTCI状態に関連するQCLパラメーターに基づくことを特徴とする。
また、無線通信システムの基地局が行う方法は、端末にTCI(transmission configuration information)エミュレーションに関する情報を送信する段階と、前記端末にダウンリンク制御情報内のTCI情報のための2つのTCI状態を指示するMAC(medium access control )制御要素を送信する段階と、前記端末にダウンリンクデータをスケジューリングする前記ダウンリンク制御情報を送信する段階と、ここで、前記ダウンリンク制御情報は、前記2つのTCI状態に対応する前記TCI情報、及び1つ以上のDMRS(demodulation reference signal)ポートを指示するDMRS設定情報を含み、前記1つ以上のDMRSポートに対応するDMRSと前記ダウンリンクデータを送信する段階と、を有し、前記1つ以上のDMRSポートに対応する前記DMRSは、前記2つのTCI状態に関連する基準信号とQCL(quasi co-location)の関係であると仮定され、第1TCIエミュレーション類型が設定された場合、前記QCL関係は、前記2つのTCI状態に関連するQCLパラメーターに基づくことを特徴とする。
また、無線通信システムの端末は、送受信部と、制御部と、を有し、前記制御部は、基地局からTCI(transmission configuration information)エミュレーションに関する情報を受信したかを確認し、前記基地局からダウンリンク制御情報内のTCI情報のための2つのTCI状態を指示するMAC(medium access control)制御要素を受信し、前記基地局からダウンリンクデータをスケジューリングする前記ダウンリンク制御情報を受信し、ここで、前記ダウンリンク制御情報は、前記2つのTCI状態に対応する前記TCI情報、及び1つ以上のDMRS(demodulation reference signal)ポートを指示するDMRS設定情報を含み、前記1つ以上のDMRSポートに対応するDMRSと前記ダウンリンクデータを受信するように制御し、前記TCIエミュレーションに関する情報が受信された場合、前記1つ以上のDMRSポートに対応する前記DMRSは、前記2つのTCI状態に関連する基準信号とQCL(quasi co-location)関係であると仮定され、第1TCIエミュレーション類型が設定された場合、前記QCL関係は、前記2つのTCI状態に関連するQCLパラメーターに基づくことを特徴とする。
また、無線通信システムの基地局は、送受信部と、制御部と、を有し、前記制御部は、端末にTCI(transmission configuration information)エミュレーションに関する情報を送信し、前記端末にダウンリンク制御情報内のTCI情報のための2つのTCI状態を指示するMAC(medium access control)制御要素を送信し、前記端末にダウンリンクデータをスケジューリングする前記ダウンリンク制御情報を送信し、ここで、前記ダウンリンク制御情報は、前記2つのTCI状態に対応する前記TCI情報、及び1つ以上のDMRS(demodulation reference signal)ポートを指示するDMRS設定情報を含み、前記1つ以上のDMRSポートに対応するDMRSと前記ダウンリンクデータを送信するように制御し、前記1つ以上のDMRSポートに対応する前記DMRSは、前記2つのTCI状態に関連する基準信号とQCL(quasi co-location)関係であると仮定され、第1TCIエミュレーション類型が設定された場合、前記QCL関係は、前記2つのTCI状態に関連するQCLパラメーターに基づくことを特徴とする。
本発明に係る無線通信システムで基準信号の送受信方法及び装置は、移動通信システムで効率的なアップリンク又はダウンリンクの信号送受信のための基準信号の送受信方法及び装置を提供する。
以下、本発明の実施形態を添付した図面を参照して詳細に説明する。
実施形態を説明するに当り本発明が属する技術分野によく知られており、本発明と直接的に関連がない技術内容に対しては説明を省略する。
これは不必要な説明を省略することによって本発明の要旨を明瞭にしてより明確に伝達するためことである。
同一の理由で添付図面において一部構成要素は、誇張したり省略したり概略的に図示した。
また、各構成要素のサイズは、実際サイズを全的に反映するものではない。
各図面で同一又は対応する構成要素には同一の参照番号を付した。
実施形態を説明するに当り本発明が属する技術分野によく知られており、本発明と直接的に関連がない技術内容に対しては説明を省略する。
これは不必要な説明を省略することによって本発明の要旨を明瞭にしてより明確に伝達するためことである。
同一の理由で添付図面において一部構成要素は、誇張したり省略したり概略的に図示した。
また、各構成要素のサイズは、実際サイズを全的に反映するものではない。
各図面で同一又は対応する構成要素には同一の参照番号を付した。
本発明の利点及び特徴、及びそれらを達成する方法は、添付した図面と共に詳細に後述されている実施形態を参考すれば明確になるだろう。
しかし、本発明は以下で開示される実施形態に限定されるのではなく互いに異なる多様な形態で具現することができ、ただ本実施形態は本発明を完全にし、本発明が属する技術分野で通常の知識を有する者に開示の範囲を完全に知らせるために提供するものであり、本発明は請求項の範囲によって定義されるだけである。
明細書全体にかけて同一参照番号は同一構成要素を称する。
また、本発明を説明するにおいて関連する機能又は構成に対する具体的な説明が本発明の要旨を不明瞭にする可能性があると判断された場合、その詳細な説明を省略する。
そして、後述する用語は本発明での機能を考慮して定義された用語としてこれはユーザ、操作者の意図又は慣例などによって変えることができる。
したがって、その定義は、本明細書全般にわたった内容に基づいて下さればなければならないだろう。
しかし、本発明は以下で開示される実施形態に限定されるのではなく互いに異なる多様な形態で具現することができ、ただ本実施形態は本発明を完全にし、本発明が属する技術分野で通常の知識を有する者に開示の範囲を完全に知らせるために提供するものであり、本発明は請求項の範囲によって定義されるだけである。
明細書全体にかけて同一参照番号は同一構成要素を称する。
また、本発明を説明するにおいて関連する機能又は構成に対する具体的な説明が本発明の要旨を不明瞭にする可能性があると判断された場合、その詳細な説明を省略する。
そして、後述する用語は本発明での機能を考慮して定義された用語としてこれはユーザ、操作者の意図又は慣例などによって変えることができる。
したがって、その定義は、本明細書全般にわたった内容に基づいて下さればなければならないだろう。
以下、基地局は、端末のリソース割り当てを行う主体として、gNode B、eNode B、Node B、BS(Base Station)、無線接続ユニット、基地局制御機、又はネットワーク上のノードの内の少なくとも一つであれば良い。
端末は、UE(User Equipment)、MS(Mobile Station)、セルラーフォン、スマートフォン、コンピュータ、又は通信機能を行うことができるマルチメディアシステムを含み得る。
本発明でダウンリンク(Downlink;DL)は、基地局が端末に送信する信号の無線送信経路で、アップリンクは(Uplink;UL)は、端末が基地局に送信する信号の無線送信経路を意味する。
また、以下でLTE又はLTE-Aシステムを一例として説明することもできるが、類似の技術的背景又はチャンネル形態を有するそのほかの通信システムにも本発明の実施形態を適用することができる。
例えば、LTE-A以後に開発される5世代移動通信技術(5Gシステム、これはnew radio、NRと混用されてもよい)がここに含まれることができ、以下の5Gシステムは、既存LTE、LTE-A及び類似の他のサービスを含む概念であってもよい。
また、本発明は熟練された技術的知識を有する者の判断として本発明の範囲を大きく逸脱せず範囲で一部変形を介して他の通信システムにも適用することができる。
端末は、UE(User Equipment)、MS(Mobile Station)、セルラーフォン、スマートフォン、コンピュータ、又は通信機能を行うことができるマルチメディアシステムを含み得る。
本発明でダウンリンク(Downlink;DL)は、基地局が端末に送信する信号の無線送信経路で、アップリンクは(Uplink;UL)は、端末が基地局に送信する信号の無線送信経路を意味する。
また、以下でLTE又はLTE-Aシステムを一例として説明することもできるが、類似の技術的背景又はチャンネル形態を有するそのほかの通信システムにも本発明の実施形態を適用することができる。
例えば、LTE-A以後に開発される5世代移動通信技術(5Gシステム、これはnew radio、NRと混用されてもよい)がここに含まれることができ、以下の5Gシステムは、既存LTE、LTE-A及び類似の他のサービスを含む概念であってもよい。
また、本発明は熟練された技術的知識を有する者の判断として本発明の範囲を大きく逸脱せず範囲で一部変形を介して他の通信システムにも適用することができる。
このとき、処理フローチャートの各ブロックとフローチャートの図面の組み合せは、コンピュータプログラムインストラクションによって行われることができることを理解することができるだろう。
これらコンピュータプログラムインストラクションは、汎用コンピュータ、特殊用コンピュータ又はその他のプログラム可能なデータプロセッシング装置のプロセッサに搭載することができるので、コンピュータ又はその他のプログラム可能なデータプロセッシング装置のプロセッサを介して行われるそのインストラクションが、フローチャートブロックで説明された機能を行う手段を生成するようになる。
これらコンピュータプログラムインストラクションは、特定方式で機能を具現するためにコンピュータ又はその他のプログラム可能なデータプロセッシング装置を志向することができるコンピュータ利用可能、又はコンピュータ可読メモリーに記憶されることも可能であるので、そのコンピュータ利用可能又はコンピュータ可読メモリーに記憶されたインストラクションは、フローチャートブロックで説明された機能を行うインストラクション手段を内包する製造品目を生産することも可能である。
コンピュータプログラムインストラクションは、コンピュータ又はその他のプログラム可能なデータプロセッシング装置上に搭載することも可能であるので、コンピュータ又はその他のプログラム可能なデータプロセッシング装置上で一連の動作段階が行われ、コンピュータで実行されるプロセスを生成してコンピュータ又はその他のプログラム可能なデータプロセッシング装置を行うインストラクションは、フローチャートブロックで説明された機能を行うための段階を提供することも可能である。
これらコンピュータプログラムインストラクションは、汎用コンピュータ、特殊用コンピュータ又はその他のプログラム可能なデータプロセッシング装置のプロセッサに搭載することができるので、コンピュータ又はその他のプログラム可能なデータプロセッシング装置のプロセッサを介して行われるそのインストラクションが、フローチャートブロックで説明された機能を行う手段を生成するようになる。
これらコンピュータプログラムインストラクションは、特定方式で機能を具現するためにコンピュータ又はその他のプログラム可能なデータプロセッシング装置を志向することができるコンピュータ利用可能、又はコンピュータ可読メモリーに記憶されることも可能であるので、そのコンピュータ利用可能又はコンピュータ可読メモリーに記憶されたインストラクションは、フローチャートブロックで説明された機能を行うインストラクション手段を内包する製造品目を生産することも可能である。
コンピュータプログラムインストラクションは、コンピュータ又はその他のプログラム可能なデータプロセッシング装置上に搭載することも可能であるので、コンピュータ又はその他のプログラム可能なデータプロセッシング装置上で一連の動作段階が行われ、コンピュータで実行されるプロセスを生成してコンピュータ又はその他のプログラム可能なデータプロセッシング装置を行うインストラクションは、フローチャートブロックで説明された機能を行うための段階を提供することも可能である。
また、各ブロックは、特定した論理的機能を行うための1つ以上の実行可能なインストラクションを含むモジュール、セグメント、又はコードの一部を示すことができる。
また、幾つか代替実行例ではブロックで言及された機能が順序を外れて発生することも可能であることを注目しなければならない。
例えば、接して示されている2つのブロックは、実は実質的に同時に行われることも可能で、又はそのブロックが時々該当する機能によって逆順に行われることも可能である。
また、幾つか代替実行例ではブロックで言及された機能が順序を外れて発生することも可能であることを注目しなければならない。
例えば、接して示されている2つのブロックは、実は実質的に同時に行われることも可能で、又はそのブロックが時々該当する機能によって逆順に行われることも可能である。
このとき、本実施形態に用いられる‘~部’という用語は、ソフトウェア又はFPGA(Field Programmable Gate Array)又はASIC(Application Specific Integrated Circuit)のようなハードウェア構成要素を意味し、‘~部’は特定の役目を行う。
しかし、‘~部’は、ソフトウェア又はハードウェアに限定される意味ではない。
‘~部’はアドレシングすることができる記憶媒体にあるように構成することもでき、1つ又はその以上のプロセッサを再生させるように構成することもできる。
したがって、一例として‘~部’は、ソフトウェア構成要素、客体志向ソフトウェア構成要素、クラス構成要素、及びタスク構成要素のような構成要素と、プロセス、関数、属性、プロシージャ、サブルーティン、プログラムコードのセグメント、ドライバー、ファームウエア、マイクロコード、回路、データ、データベース、データ構造、テーブル、アレイ、及び変数を含む。
構成要素と‘~部’の内で提供される機能は、より小さい数の構成要素及び‘~部’に結合したり追加的な構成要素と‘~部’でさらに分離することができる。
それだけでなく、構成要素及び‘~部’は、デバイス又はセキュリティマルチメディアカード内の1つ又はその以上のCPUを再生させるように具現されることもできる。
また、実施形態で‘部’は一つ以上のプロセッサを含むことができる。
しかし、‘~部’は、ソフトウェア又はハードウェアに限定される意味ではない。
‘~部’はアドレシングすることができる記憶媒体にあるように構成することもでき、1つ又はその以上のプロセッサを再生させるように構成することもできる。
したがって、一例として‘~部’は、ソフトウェア構成要素、客体志向ソフトウェア構成要素、クラス構成要素、及びタスク構成要素のような構成要素と、プロセス、関数、属性、プロシージャ、サブルーティン、プログラムコードのセグメント、ドライバー、ファームウエア、マイクロコード、回路、データ、データベース、データ構造、テーブル、アレイ、及び変数を含む。
構成要素と‘~部’の内で提供される機能は、より小さい数の構成要素及び‘~部’に結合したり追加的な構成要素と‘~部’でさらに分離することができる。
それだけでなく、構成要素及び‘~部’は、デバイス又はセキュリティマルチメディアカード内の1つ又はその以上のCPUを再生させるように具現されることもできる。
また、実施形態で‘部’は一つ以上のプロセッサを含むことができる。
以下、本発明の実施形態を添付した図面と共に詳しく説明する。
以下、本発明の実施形態で提案する方法及び装置は、カバレッジ向上のためのサービスを一例として本発明の実施形態を説明するが、各実施形態に限って適用されず、本発明で提案する一つ以上の実施形態全体又は一部実施形態の組み合せを利用して他の追加的なサービスに該当するデータチャンネル、制御チャンネル、基準信号送受信方法に活用することも可能であろう。
したがって、本発明の実施形態は、熟練された技術的知識を有する者の判断として本発明の範囲を大きく逸脱せず範囲で一部変形を介して適用することができる。
以下、本発明の実施形態で提案する方法及び装置は、カバレッジ向上のためのサービスを一例として本発明の実施形態を説明するが、各実施形態に限って適用されず、本発明で提案する一つ以上の実施形態全体又は一部実施形態の組み合せを利用して他の追加的なサービスに該当するデータチャンネル、制御チャンネル、基準信号送受信方法に活用することも可能であろう。
したがって、本発明の実施形態は、熟練された技術的知識を有する者の判断として本発明の範囲を大きく逸脱せず範囲で一部変形を介して適用することができる。
また、本発明を説明するにおいて関連する機能又は構成に対する具体的な説明が本発明の要旨を不明瞭にする可能性があると判断された場合、その詳細な説明は省略する。
そして、後述する用語は、本発明での機能を考慮して定義された用語としてこれはユーザ、操作者の意図又は慣例などによって変わることができる。
したがって、その定義は、本明細書全般にわたった内容に基づいて下されなければならないだろう。
そして、後述する用語は、本発明での機能を考慮して定義された用語としてこれはユーザ、操作者の意図又は慣例などによって変わることができる。
したがって、その定義は、本明細書全般にわたった内容に基づいて下されなければならないだろう。
無線通信システムは、初期の音声中心のサービスを提供したものから外れて、例えば、3GPP(登録商標)のHSPA(High Speed Packet Access)、LTE(Long Term Evolution又はE-UTRA(Evolved Universal Terrestrial Radio Access))、LTE-Advanced(LTE-A)、LTE-Pro、3GPP2のHRPD(High Rate Packet Data)、UMB(Ultra Mobile Broadband)、及びIEEEの802.16eなどの通信標準のように高速、ハイクオリティのパケットデータサービスを提供する広帯域無線通信システムへ発展している。
広帯域無線通信システムの代表的な例として、LTEシステムにおいてダウンリンク(downlink、DL)ではOFDM(Orthogonal Frequency Division Multiplexing)方式を採用し、アップリンク(uplink、UL)ではSC-FDMA(Single Carrier Frequency Division Multiple Access)方式を採用している。
アップリンクは、端末(user equipment(UE)又はmobile station(MS))が基地局(eNode B(eNB)又はbase station(BS))でデータ又は制御信号を送信する無線リンクを意味し、ダウンリンクは基地局が端末でデータ又は制御信号を送信する無線リンクを意味する。
また、前述の多重接続方式は、通常各ユーザ別でデータ又は制御情報を送信する時間-周波数リソースが互いにオーバーラップされないように、すなわち、直交性(orthogonality)が成立するように、割り当て及び操作することによって各ユーザのデータ又は制御情報が区分される。
アップリンクは、端末(user equipment(UE)又はmobile station(MS))が基地局(eNode B(eNB)又はbase station(BS))でデータ又は制御信号を送信する無線リンクを意味し、ダウンリンクは基地局が端末でデータ又は制御信号を送信する無線リンクを意味する。
また、前述の多重接続方式は、通常各ユーザ別でデータ又は制御情報を送信する時間-周波数リソースが互いにオーバーラップされないように、すなわち、直交性(orthogonality)が成立するように、割り当て及び操作することによって各ユーザのデータ又は制御情報が区分される。
LTE以後の通信システムの5G通信システムは、ユーザ及びサービス提供者などの多様な要求事項を自由に反映するように多様な要求事項を同時に満足するサービスをサポートしなければならない。
5G通信システムのために考慮されるサービスとしては、向上したモバイル広帯域通信(enhanced mobile broadband:eMBB)、大規模機械型通信(massive machine type communication:mMTC)、超信頼低遅延通信(ultra reliability low latency communciation:URLLC)などがある。
5G通信システムのために考慮されるサービスとしては、向上したモバイル広帯域通信(enhanced mobile broadband:eMBB)、大規模機械型通信(massive machine type communication:mMTC)、超信頼低遅延通信(ultra reliability low latency communciation:URLLC)などがある。
eMBBは、既存のLTE、LTE-A、又はLTE-Proがサポートするデータ送信速度より向上したデータ送信速度を提供することを目標とする。
例えば、5G通信システムで、eMBBは、一つの基地局観点でダウンリンクでは20Gbpsの最大送信速度(peak data rate)、アップリンクでは10Gbpsの最大送信速度を提供しなければならない。
また、5G通信システムは、最大送信速度を提供すると同時に、増加した端末の実際体感送信速度(User perceived data rate)を提供しなければならない。
このような要求事項を満足させるため、より向上した多重アンテナ(multi input multi output、MIMO)送信技術を含んで多様な送受信技術の向上が要求され得る。
また、LTEシステムでは2GHz帯域で最大20MHz送信帯域幅を用いて信号が送信される一方で、5G通信システムは、3~6GHz又は6GHz以上の周波数帯域で20MHzより広い周波数帯域幅を用いることによって5G通信システムで要求するデータ送信速度を満足させることができる。
例えば、5G通信システムで、eMBBは、一つの基地局観点でダウンリンクでは20Gbpsの最大送信速度(peak data rate)、アップリンクでは10Gbpsの最大送信速度を提供しなければならない。
また、5G通信システムは、最大送信速度を提供すると同時に、増加した端末の実際体感送信速度(User perceived data rate)を提供しなければならない。
このような要求事項を満足させるため、より向上した多重アンテナ(multi input multi output、MIMO)送信技術を含んで多様な送受信技術の向上が要求され得る。
また、LTEシステムでは2GHz帯域で最大20MHz送信帯域幅を用いて信号が送信される一方で、5G通信システムは、3~6GHz又は6GHz以上の周波数帯域で20MHzより広い周波数帯域幅を用いることによって5G通信システムで要求するデータ送信速度を満足させることができる。
また、基地局が広帯域幅の周波数をサポートする時の全体キャリア(carrier)周波数帯域内で基地局が各端末別でサポートされることができる複数の周波数帯域に分けるBWP(bandwidth part、帯域幅部分)技術が重要に目立っている。
すなわち、基地局がBWPをサポートすれば特定端末のBWケーパビリティー(capability)が小さい場合、BWPを介して端末に小さい周波数帯域をサポートすることができ、BWPの変更を介して周波数帯域を減らしながら端末のエネルギー消費を減らすことができる。
以外にも、複数のBWPそれぞれに他のフレーム構造をサポートしながら一つの端末にBWP変更を介して多様なサービスを遅延(latency)無しにサポートすることができる効果がある。
BWP技術は、所定の端末と基地局の間に一対一に対応される制御チャンネル又はデータチャンネルに適用することができる。
また、基地局がシステム内の複数の端末に送信する共通信号、例えば、「synchronization signal、physical broadcast channel」(PBCH)、「system information」を送信するための制御チャンネル及びデータチャンネルに対してもこのような制御チャンネル及びデータチャンネルを設定したBWPだけで送信することによってBWPが基地局のエネルギー減少のために適用することができる。
すなわち、基地局がBWPをサポートすれば特定端末のBWケーパビリティー(capability)が小さい場合、BWPを介して端末に小さい周波数帯域をサポートすることができ、BWPの変更を介して周波数帯域を減らしながら端末のエネルギー消費を減らすことができる。
以外にも、複数のBWPそれぞれに他のフレーム構造をサポートしながら一つの端末にBWP変更を介して多様なサービスを遅延(latency)無しにサポートすることができる効果がある。
BWP技術は、所定の端末と基地局の間に一対一に対応される制御チャンネル又はデータチャンネルに適用することができる。
また、基地局がシステム内の複数の端末に送信する共通信号、例えば、「synchronization signal、physical broadcast channel」(PBCH)、「system information」を送信するための制御チャンネル及びデータチャンネルに対してもこのような制御チャンネル及びデータチャンネルを設定したBWPだけで送信することによってBWPが基地局のエネルギー減少のために適用することができる。
同時に、5G通信システムでモノのインターネット(Internet of Thing:IoT)のような応用サービスをサポートするためにmMTCが考慮されている。
mMTCは、効率的にモノのインターネットを提供するためにセル内で大規模端末の接続サポート、端末のカバレッジ向上、向上したバッテリー時間、端末の費用減少などを要する。
モノのインターネットは、様々なセンサー及び多様な機器に付着して通信機能を提供するため、セル内で複数の端末(例えば、1,000,000端末/km2)をサポートしなければならない。
また、mMTCをサポートする端末は、サービスの特性上の建物の地下のようにセルがカバーすることができない陰影地域に位置する可能性が高いため、5G通信システムで提供する他のサービス対比より広いカバレッジを要求する。
mMTCをサポートする端末は、低価の端末で構成されなければなく、端末のバッテリーを頻繁に交換し難いため、10~15年のように非常に長いバッテリーライフタイム(battery life time)を要する。
mMTCは、効率的にモノのインターネットを提供するためにセル内で大規模端末の接続サポート、端末のカバレッジ向上、向上したバッテリー時間、端末の費用減少などを要する。
モノのインターネットは、様々なセンサー及び多様な機器に付着して通信機能を提供するため、セル内で複数の端末(例えば、1,000,000端末/km2)をサポートしなければならない。
また、mMTCをサポートする端末は、サービスの特性上の建物の地下のようにセルがカバーすることができない陰影地域に位置する可能性が高いため、5G通信システムで提供する他のサービス対比より広いカバレッジを要求する。
mMTCをサポートする端末は、低価の端末で構成されなければなく、端末のバッテリーを頻繁に交換し難いため、10~15年のように非常に長いバッテリーライフタイム(battery life time)を要する。
最後に、URLLCの場合、特定目的(mission-critical)で用いられるセルラー基盤無線通信サービスである。
例えば、ロボット(robot)又は機械装置(machinery)に対するリモートコントロール(remote control)、産業自動化(industrial automation)、無人飛行装置(unmaned aerial vehicle)、遠隔健康ケア(remote health care)、非常状況アラート(emergency alert)などに用いられるサービスなどを考慮することができる。
したがって、URLLCが提供する通信は、非常に低い低遅延及び非常に高い信頼度を提供しなければならない。
例えば、URLLCをサポートするサービスは、0.5ミリ秒より小さい無線接続遅延時間(Air interface latency)を満足しなければならなく、同時に10-5以下のパケットエラー率(Packet Error Rate)の要求事項を満足しなければならない。
したがって、URLLCをサポートするサービスのために5Gシステムは、他のサービスより小さい送信時間区間(transmit time interval:TTI)を提供しなければならなく、同時に通信リンクの信頼性を確保するために周波数帯域で広いリソースを割り当てなければならない。
例えば、ロボット(robot)又は機械装置(machinery)に対するリモートコントロール(remote control)、産業自動化(industrial automation)、無人飛行装置(unmaned aerial vehicle)、遠隔健康ケア(remote health care)、非常状況アラート(emergency alert)などに用いられるサービスなどを考慮することができる。
したがって、URLLCが提供する通信は、非常に低い低遅延及び非常に高い信頼度を提供しなければならない。
例えば、URLLCをサポートするサービスは、0.5ミリ秒より小さい無線接続遅延時間(Air interface latency)を満足しなければならなく、同時に10-5以下のパケットエラー率(Packet Error Rate)の要求事項を満足しなければならない。
したがって、URLLCをサポートするサービスのために5Gシステムは、他のサービスより小さい送信時間区間(transmit time interval:TTI)を提供しなければならなく、同時に通信リンクの信頼性を確保するために周波数帯域で広いリソースを割り当てなければならない。
5G通信システム(以下、5Gシステムと混用可能)の3つサービス、すなわち、eMBB、URLLC、mMTCは、一つのシステムで多重化されて送信することができる。
この時、それぞれのサービスを有する相違な要求事項を満足させるために、サービスの間に互いに異なる送受信技法及び送受信パラメーターが用いられ得る。
この時、それぞれのサービスを有する相違な要求事項を満足させるために、サービスの間に互いに異なる送受信技法及び送受信パラメーターが用いられ得る。
以下、上位レイヤーシグナリングとは、無線リソース制御(radio resource control:RRC)シグナリング(RRCシグナリングにはシステム情報ブロック(system information block:SIB)、マスター情報ブロック(master information block:MIB)などが含まれることができる)、媒体接近制御(medium access control:MAC)制御要素(control element:CE)などを含むことができ、L1シグナリングとは、ダウンリンク制御情報(downlink control information)、アップリンク制御情報(uplink control information)などを含むことができる。
以下、5Gシステムのフレーム構造に対して図面を参照してより具体的に説明する。
図1は、5Gシステムの無線リソース領域である時間-周波数領域の基本構造を示す図である。
図1は、5Gシステムの無線リソース領域である時間-周波数領域の基本構造を示す図である。
図1で、横軸は時間領域を表し、縦軸は周波数領域を表す。
時間及び周波数領域でリソースの基本単位は、リソース要素(resource element:RE)101として時間軸に1個のOFDM(Orthogonal Frequency Division Multiplexing)シンボル(又はDFT-s-OFDM(discrete Fourier transform spread OFDM)シンボル)102及び周波数軸に1個のサブキャリア(subcarrier)103と定義することができる。
周波数領域で
(例えば、12)個の連続されたREは、一つのリソースブロック(resource block、RB、104)を構成することができる。
また、時間領域で
個の連続されたOFDMシンボルは、一つのサブフレーム(subframe)110を構成することができる。
時間及び周波数領域でリソースの基本単位は、リソース要素(resource element:RE)101として時間軸に1個のOFDM(Orthogonal Frequency Division Multiplexing)シンボル(又はDFT-s-OFDM(discrete Fourier transform spread OFDM)シンボル)102及び周波数軸に1個のサブキャリア(subcarrier)103と定義することができる。
周波数領域で
(例えば、12)個の連続されたREは、一つのリソースブロック(resource block、RB、104)を構成することができる。
また、時間領域で
個の連続されたOFDMシンボルは、一つのサブフレーム(subframe)110を構成することができる。
図2は、5Gシステムで考慮するスロット構造を示す図である。
図2にはフレーム(frame)200、サブフレーム201、スロット(slot)202構造の一例を図に示す。
1個のフレーム200は、10msと定義することができる。
1個のサブフレーム201は、1msと定義することができ、したがって、1個のフレーム200は、総数10個のサブフレーム201から構成される。
また、1個のスロット(202、203)は、14個のOFDMシンボルと定義することができる(すなわち、1個のスロット当りシンボル数(
)=14)。
1個のサブフレーム201は、1個又は複数個のスロット(202、203)から構成され、1個のサブフレーム201当りスロット(202、203)の個数は、サブキャリア間隔に対する設定値のμ(204、205)によって異なる。
図2にはフレーム(frame)200、サブフレーム201、スロット(slot)202構造の一例を図に示す。
1個のフレーム200は、10msと定義することができる。
1個のサブフレーム201は、1msと定義することができ、したがって、1個のフレーム200は、総数10個のサブフレーム201から構成される。
また、1個のスロット(202、203)は、14個のOFDMシンボルと定義することができる(すなわち、1個のスロット当りシンボル数(
)=14)。
1個のサブフレーム201は、1個又は複数個のスロット(202、203)から構成され、1個のサブフレーム201当りスロット(202、203)の個数は、サブキャリア間隔に対する設定値のμ(204、205)によって異なる。
図2の一例では、サブキャリア間隔設定値でμ=0(204)の場合とμ=1(205)の場合のスロット構造を示している。
μ=0(204)の場合、1個のサブフレーム201は、1個のスロット202から構成され、μ=1(205)の場合、1個のサブフレーム201は、2個のスロット203から構成される。
すなわち、サブキャリア間隔に対する設定値μによって1個のサブフレーム当りスロット数(
)を変えることができ、これによって1個のフレーム当りスロット数(
)を変えることができる。
各サブキャリア間隔設定μによる
及び
が以下の表1として定義される。
μ=0(204)の場合、1個のサブフレーム201は、1個のスロット202から構成され、μ=1(205)の場合、1個のサブフレーム201は、2個のスロット203から構成される。
すなわち、サブキャリア間隔に対する設定値μによって1個のサブフレーム当りスロット数(
)を変えることができ、これによって1個のフレーム当りスロット数(
)を変えることができる。
各サブキャリア間隔設定μによる
及び
が以下の表1として定義される。
5G無線通信システムでは初期接続のために同期化信号ブロック(synchronization signal block、SSB、SS ブロック(SS block)、SS/PBCHブロック(SS/PBCH block)などと混用されてもよい)を送信することができ、同期化信号ブロックは、PSS(primary synchronization signal)、SSS(secondary synchronization signal)、PBCH(physical broadcast channel)から構成され得る。
端末が最初でシステムに接続する初期接続(initial access)段階で、端末は、先ずセル探索(cell search)を介して同期化信号(synchronization signal)からダウンリンク時間及び周波数領域同期を取得してセルID(cell ID)を取得する。
同期化信号にはPSS及びSSSが含まれ得る。
端末が最初でシステムに接続する初期接続(initial access)段階で、端末は、先ずセル探索(cell search)を介して同期化信号(synchronization signal)からダウンリンク時間及び周波数領域同期を取得してセルID(cell ID)を取得する。
同期化信号にはPSS及びSSSが含まれ得る。
そして、端末は、基地局からマスター情報ブロック(master information block:MIB)を送信するPBCHを受信してシステム帯域幅又は関連制御情報など送受信に関連するシステム情報及び基本的なパラメーター値を獲得することができる。
この情報に基づいて端末は、PDCCH(physical downlink control channel)及びPDSCH(physical downlink shared channel)に対するデコーディングを行ってシステム情報ブロック(system information block:SIB)を取得する。
その後、端末は、ランダムアクセス(random access)段階を介して基地局とアイデンティティーを交換して登録、認証などの段階を経てネットワークに初期接続する。
この情報に基づいて端末は、PDCCH(physical downlink control channel)及びPDSCH(physical downlink shared channel)に対するデコーディングを行ってシステム情報ブロック(system information block:SIB)を取得する。
その後、端末は、ランダムアクセス(random access)段階を介して基地局とアイデンティティーを交換して登録、認証などの段階を経てネットワークに初期接続する。
同期化信号は、セル探索の基準になる信号として、周波数バンド別で位相雑音(phase noise)などのチャンネル環境に適合したサブキャリア間隔が適用されて送信される。
5G基地局は、操作しようとするアナログビームの個数に従って同期化信号ブロックを複数個送信する。
PSSとSSSは、12RBにかけてマッピングされて送信されてPBCHは、24RBにかけてマッピングされて送信される。
5G基地局は、操作しようとするアナログビームの個数に従って同期化信号ブロックを複数個送信する。
PSSとSSSは、12RBにかけてマッピングされて送信されてPBCHは、24RBにかけてマッピングされて送信される。
次に、5G通信システムで帯域幅部分(Bandwidth Part:BWP)設定に対して図面を参照して具体的に説明する。
図3は、5G通信システムで帯域幅部分に対する設定の一例を示す図面である。
図3には端末帯域幅(UE bandwidth)300が2つの帯域幅部分、すなわち、帯域幅部分#1(BWP#1)305と帯域幅部分#2(BWP#2)310と設定された一例を示す。
基地局は、端末に1個又は複数個の帯域幅部分を設定することができ、各帯域幅部分に対して以下の情報を設定することができる。
図3は、5G通信システムで帯域幅部分に対する設定の一例を示す図面である。
図3には端末帯域幅(UE bandwidth)300が2つの帯域幅部分、すなわち、帯域幅部分#1(BWP#1)305と帯域幅部分#2(BWP#2)310と設定された一例を示す。
基地局は、端末に1個又は複数個の帯域幅部分を設定することができ、各帯域幅部分に対して以下の情報を設定することができる。
もちろん、本例示に制限されることではなく、上記設定情報外にも帯域幅部分に関連する多様なパラメーターが端末に設定され得る。
上記情報は、上位階層シグナリング、例えば、RRC(Radio Resource Control)シグナリングを介して基地局が端末に伝達する。
設定された一つ又は複数個の帯域幅部分の内の少なくとも一つの帯域幅部分が活性化(Activation)される。
設定された帯域幅部分に対し活性化するかどうかは、基地局から端末にRRCシグナリングを介して準静的に伝達されるか、DCI(Downlink Control Information)を介して動的に伝達される。
上記情報は、上位階層シグナリング、例えば、RRC(Radio Resource Control)シグナリングを介して基地局が端末に伝達する。
設定された一つ又は複数個の帯域幅部分の内の少なくとも一つの帯域幅部分が活性化(Activation)される。
設定された帯域幅部分に対し活性化するかどうかは、基地局から端末にRRCシグナリングを介して準静的に伝達されるか、DCI(Downlink Control Information)を介して動的に伝達される。
一部実施形態によれば、RRC(Radio Resource Control)接続の前の端末は、初期接続のための初期帯域幅部分(Initial BWP)をMIB(Master Information Block)を介して基地局から設定される。
より具体的に説明すれば、端末は、初期接続段階でMIBを介して初期接続に必要なシステム情報(Remaining System Information:RMSI又はSystem Information Block 1:SIB1に該当することができる)受信のためのPDCCH(Physical Downlink Control Channel)が送信され得る制御領域(Control Resource Set:CORESET)と探索空間(Search Space)に対する設定情報を受信する。
MIBに設定される制御領域と探索空間は、それぞれ識別子(Identity:ID)0と見なされる。
基地局は、端末にMIBを介して制御領域#0に対する周波数割り当て情報、時間割り当て情報、ヌマララジ(Numerology)などの設定情報を通知することができる。
また、基地局は、端末にMIBを介して制御領域#0に対するモニタリング周期及び「occasion」に対する設定情報、すなわち、探索空間#0に対する設定情報を通知することができる。
端末は、MIBから取得した制御領域#0と設定された周波数領域を初期接続のための初期帯域幅部分と見なす。
この時、初期帯域幅部分の識別子(ID)は「0」と見なされる。
より具体的に説明すれば、端末は、初期接続段階でMIBを介して初期接続に必要なシステム情報(Remaining System Information:RMSI又はSystem Information Block 1:SIB1に該当することができる)受信のためのPDCCH(Physical Downlink Control Channel)が送信され得る制御領域(Control Resource Set:CORESET)と探索空間(Search Space)に対する設定情報を受信する。
MIBに設定される制御領域と探索空間は、それぞれ識別子(Identity:ID)0と見なされる。
基地局は、端末にMIBを介して制御領域#0に対する周波数割り当て情報、時間割り当て情報、ヌマララジ(Numerology)などの設定情報を通知することができる。
また、基地局は、端末にMIBを介して制御領域#0に対するモニタリング周期及び「occasion」に対する設定情報、すなわち、探索空間#0に対する設定情報を通知することができる。
端末は、MIBから取得した制御領域#0と設定された周波数領域を初期接続のための初期帯域幅部分と見なす。
この時、初期帯域幅部分の識別子(ID)は「0」と見なされる。
5Gシステムでサポートする帯域幅部分に対する設定は多様な目的として用いられる。
一部実施形態によれば、システム帯域幅より端末がサポートする帯域幅が小さい場合に帯域幅部分設定を介してこれをサポートする。
例えば、基地局は、帯域幅部分の周波数位置(設定情報2)を端末に設定することによって、システム帯域幅内の特定周波数位置で端末がデータを送受信する。
一部実施形態によれば、システム帯域幅より端末がサポートする帯域幅が小さい場合に帯域幅部分設定を介してこれをサポートする。
例えば、基地局は、帯域幅部分の周波数位置(設定情報2)を端末に設定することによって、システム帯域幅内の特定周波数位置で端末がデータを送受信する。
また、一部実施形態によれば、互いに異なるヌマララジをサポートするための目的で基地局が端末に複数個の帯域幅部分を設定することができる。
例えば、ある端末に対して15kHzのサブキャリア間隔と30kHzのサブキャリア間隔を用いたデータ送受信をいずれもサポートするため、2つの帯域幅部分をそれぞれの15kHzと30kHzのサブキャリア間隔で設定する。
互いに異なる帯域幅部分は、周波数分割多重化(Frequency Division Multiplexing)することができ、特定サブキャリア間隔でデータを送受信しようとする場合、該当サブキャリア間隔に設定されている帯域幅部分が活性化される。
例えば、ある端末に対して15kHzのサブキャリア間隔と30kHzのサブキャリア間隔を用いたデータ送受信をいずれもサポートするため、2つの帯域幅部分をそれぞれの15kHzと30kHzのサブキャリア間隔で設定する。
互いに異なる帯域幅部分は、周波数分割多重化(Frequency Division Multiplexing)することができ、特定サブキャリア間隔でデータを送受信しようとする場合、該当サブキャリア間隔に設定されている帯域幅部分が活性化される。
また、一部実施形態によれば、端末の電力消費減少のための目的に基地局が端末に互いに異なるサイズの帯域幅を持つ帯域幅部分を設定する。
例えば、端末が非常に大きい帯域幅、例えば、100MHzの帯域幅をサポートして該当帯域幅で常にデータを送受信する場合、非常に大きい電力消費が発生する可能性がある。
特に、トラフィック(Traffic)がない状況で100MHzの大きい帯域幅で不必要なダウンリンク制御チャンネルに対するモニタリングを行うことは、電力消費観点で非常に非効率的である。
端末の電力消費を減らすための目的に、基地局は、端末に相対的に小さな帯域幅の帯域幅部分、例えば、20MHzの帯域幅部分を設定する。
トラフィックがない状況で、端末は、20MHz帯域幅部分でモニタリング動作を行うことができ、データが発生した場合、基地局の指示に従って100MHzの帯域幅部分でデータを送受信することができる。
例えば、端末が非常に大きい帯域幅、例えば、100MHzの帯域幅をサポートして該当帯域幅で常にデータを送受信する場合、非常に大きい電力消費が発生する可能性がある。
特に、トラフィック(Traffic)がない状況で100MHzの大きい帯域幅で不必要なダウンリンク制御チャンネルに対するモニタリングを行うことは、電力消費観点で非常に非効率的である。
端末の電力消費を減らすための目的に、基地局は、端末に相対的に小さな帯域幅の帯域幅部分、例えば、20MHzの帯域幅部分を設定する。
トラフィックがない状況で、端末は、20MHz帯域幅部分でモニタリング動作を行うことができ、データが発生した場合、基地局の指示に従って100MHzの帯域幅部分でデータを送受信することができる。
上記帯域幅部分を設定する方法において、RRC接続(Connected)前の端末は、初期接続段階でMIB(Master Information Block)を介して初期帯域幅部分(Initial Bandwidth Part)に対する設定情報を受信する。
より具体的に説明すれば、端末は、PBCH(Physical Broadcast Channel)のMIBからSIB(System Information Block)をスケジューリングするDCI(Downlink Control Information)が送信され得るダウンリンク制御チャンネルのための制御領域(Control Resource Set、CORESET、又は制御リソースセットと混用されてもよい)が設定される。
MIBに設定された制御領域の帯域幅が初期帯域幅部分と見なされ得、設定された初期帯域幅部分を介して、端末は、SIBが送信されるPDSCH(Physical Downlink Shared Channel)を受信する。
初期帯域幅部分は、SIBを受信する用途の外にも、他のシステム情報(Other System Information:OSI)、ページング(Paging)、ランダムアクセス(Random Access)用に活用することもできる。
より具体的に説明すれば、端末は、PBCH(Physical Broadcast Channel)のMIBからSIB(System Information Block)をスケジューリングするDCI(Downlink Control Information)が送信され得るダウンリンク制御チャンネルのための制御領域(Control Resource Set、CORESET、又は制御リソースセットと混用されてもよい)が設定される。
MIBに設定された制御領域の帯域幅が初期帯域幅部分と見なされ得、設定された初期帯域幅部分を介して、端末は、SIBが送信されるPDSCH(Physical Downlink Shared Channel)を受信する。
初期帯域幅部分は、SIBを受信する用途の外にも、他のシステム情報(Other System Information:OSI)、ページング(Paging)、ランダムアクセス(Random Access)用に活用することもできる。
端末に一つ以上の帯域幅部分が設定された場合、基地局は、端末にDCI内の帯域幅部分インジケーター(Bandwidth Part Indicator)フィールドを用い、帯域幅部分に対する変更を指示する。
例えば、図3で端末の現在活性化されて帯域幅部分が帯域幅部分#1(305)の場合、基地局は、端末にDCI内の帯域幅部分インジケーターで帯域幅部分#2(310)を指示し、端末は、受信したDCI内の帯域幅部分インジケーターに指示された帯域幅部分#2(310)で帯域幅部分変更を行う。
例えば、図3で端末の現在活性化されて帯域幅部分が帯域幅部分#1(305)の場合、基地局は、端末にDCI内の帯域幅部分インジケーターで帯域幅部分#2(310)を指示し、端末は、受信したDCI内の帯域幅部分インジケーターに指示された帯域幅部分#2(310)で帯域幅部分変更を行う。
前述のようにDCI基盤帯域幅部分変更は、PDSCH又はPUSCH(Physical Uplink Shared Channel)をスケジューリングするDCIによって指示することができるため、端末は帯域幅部分変更リクエストを受信した場合、該当DCIがスケジューリングするPDSCH又はPUSCHを変更された帯域幅部分で無理無しに受信又は送信を行わなければならない。
このために、標準では帯域幅部分変更時の要求される遅延時間(TBWP)に対する要求事項を規定し、例えば、以下のように定義される。
このために、標準では帯域幅部分変更時の要求される遅延時間(TBWP)に対する要求事項を規定し、例えば、以下のように定義される。
帯域幅部分変更遅延時間に対する要求事項は、端末の能力(Capability)によってタイプ1又はタイプ2をサポートする。
端末は、基地局にサポート可能な帯域幅部分遅延時間タイプを報告する。
端末は、基地局にサポート可能な帯域幅部分遅延時間タイプを報告する。
図4は、本発明の一実施形態による帯域幅変更方法の一例を示す図である。
図4を参照すると、前述の帯域幅部分変更遅延時間に対する要求事項に従い、端末が帯域幅部分変更インジケーターを含むDCIをスロット#1(430)で受信した場合(415)、端末は帯域幅部分変更インジケーターが指す新しい帯域幅部分への変更をスロット(n+TBWP)より遅れない時点で完了し、変更された新しい帯域幅部分(410)で該当DCIがスケジューリングするデータチャンネルに対する送受信を行う。
図4を参照すると、前述の帯域幅部分変更遅延時間に対する要求事項に従い、端末が帯域幅部分変更インジケーターを含むDCIをスロット#1(430)で受信した場合(415)、端末は帯域幅部分変更インジケーターが指す新しい帯域幅部分への変更をスロット(n+TBWP)より遅れない時点で完了し、変更された新しい帯域幅部分(410)で該当DCIがスケジューリングするデータチャンネルに対する送受信を行う。
基地局は、新しい帯域幅部分でデータチャンネルをスケジューリングしようとする場合、端末の帯域幅部分変更遅延時間(TBWP)420を考慮し、データチャンネルに対する時間ドメインリソース割り当てを決定する。
すなわち、基地局は、新しい帯域幅部分でデータチャンネルをスケジューリングする時、データチャンネルに対する時間ドメインリソース割り当てを決定する方法において、帯域幅部分変更遅延時間の以後で(スロット#2、スロット#3)(435、440)該当データチャンネルをスケジューリングする。
これにより端末は、帯域幅部分変更を指示するDCIが、帯域幅部分変更遅延時間(TBWP)420より小さいスロットオフセット(K0又はK2)値を指示することを期待しないこともある。
すなわち、基地局は、新しい帯域幅部分でデータチャンネルをスケジューリングする時、データチャンネルに対する時間ドメインリソース割り当てを決定する方法において、帯域幅部分変更遅延時間の以後で(スロット#2、スロット#3)(435、440)該当データチャンネルをスケジューリングする。
これにより端末は、帯域幅部分変更を指示するDCIが、帯域幅部分変更遅延時間(TBWP)420より小さいスロットオフセット(K0又はK2)値を指示することを期待しないこともある。
もし、端末が帯域幅部分変更を指示するDCI(例えば、DCIフォーマット(1_1)又は(0_1))を受信する場合、端末は該当DCIを含むPDCCHを受信したスロットの第3のシンボルから、該当DCI内の時間ドメインリソース割り当てインジケーターフィールドに指示されたスロットオフセット(K0又はK2)値に指示されたスロットの開始地点までに該当する時間区間の間のどんな送信又は受信も行われないこともある。
例えば、端末がスロットnで帯域幅部分変更を指示するDCIを受信し、該当DCIに指示されたスロットオフセット値がKとすると、端末は、スロットnの第3のシンボルからスロット(n+K)以前シンボル(すなわち、スロット(n+K-1)の最後のシンボル)までどんな送信又は受信も行われないこともある。
例えば、端末がスロットnで帯域幅部分変更を指示するDCIを受信し、該当DCIに指示されたスロットオフセット値がKとすると、端末は、スロットnの第3のシンボルからスロット(n+K)以前シンボル(すなわち、スロット(n+K-1)の最後のシンボル)までどんな送信又は受信も行われないこともある。
次に、5Gシステムにおける帯域幅部分別で送受信関連パラメーターを設定する方法に対して説明する。
端末は、基地局から一つ又は複数個の帯域幅部分が設定することができ、設定された各帯域幅部分別で送受信に用いるパラメーター(例えば、アップリンクデータチャンネル及び制御チャンネル関連設定情報など)を追加で設定することができる。
端末は、基地局から一つ又は複数個の帯域幅部分が設定することができ、設定された各帯域幅部分別で送受信に用いるパラメーター(例えば、アップリンクデータチャンネル及び制御チャンネル関連設定情報など)を追加で設定することができる。
例えば、図3で、端末が帯域幅部分#1(305)と帯域幅部分#2(310)を設定された場合、端末は、帯域幅部分#1(305)に対して送受信パラメーター#1が設定され、帯域幅部分#2(310)に対して送受信パラメーター#2が設定される。
端末は、帯域幅部分#1(305)が活性化されている場合、送受信パラメーター#1に基づいて基地局と送受信を行い、帯域幅部分#2(310)が活性化されている場合、送受信パラメーター#2に基づいて基地局と送受信を行う。
端末は、帯域幅部分#1(305)が活性化されている場合、送受信パラメーター#1に基づいて基地局と送受信を行い、帯域幅部分#2(310)が活性化されている場合、送受信パラメーター#2に基づいて基地局と送受信を行う。
より具体的には、以下のパラメーターが基地局から端末と設定される。
先ず、アップリンク帯域幅部分に対し、以下の情報が設定される。
先ず、アップリンク帯域幅部分に対し、以下の情報が設定される。
上述の表によれば、端末は、基地局からセル-特定的(又はセル共通又は共通)送信関連パラメーター(例えば、ランダムアクセスチャンネル(Random Access Channel:RACH)、アップリンク制御チャンネル(Physical Uplink Control Channel:PUCCH)、アップリンクデータチャンネル(Physical Uplink Shared Channel)関連パラメーター)が設定される(BWP-UplinkCommonに該当)。
また、端末は、基地局から端末-特定的(又はdedicated)送信関連パラメーター(例えば、PUCCH、PUSCH、非承認-基盤アップリンク送信(Configured Grant PUSCH)、サウンディング参照信号(Sounding Reference Signal:SRS)関連パラメーター)が設定される(BWP-UplinkDedicatedに該当)。
また、端末は、基地局から端末-特定的(又はdedicated)送信関連パラメーター(例えば、PUCCH、PUSCH、非承認-基盤アップリンク送信(Configured Grant PUSCH)、サウンディング参照信号(Sounding Reference Signal:SRS)関連パラメーター)が設定される(BWP-UplinkDedicatedに該当)。
次に、ダウンリンク帯域幅部分に対し、以下の情報が設定される。
上述の表によれば、端末は、基地局からセル-特定的(又はセル共通又は共通)受信関連パラメーター(例えば、ダウンリンク制御チャンネル(Physical Downlink Control Channel:PDCCH)、ダウンリンクデータチャンネル(Physical Downlink Shared Channel)関連パラメーター)が設定される(BWP-DownlinkCommonに該当)。
また、端末は、基地局から端末-特定的(又はdedicated)受信関連パラメーター(例えば、PDCCH、PDSCH、非承認-基盤ダウンリンクデータ送信(Semi-persistent Scheduled PDSCH)、無線リンクモニタリング(Radio Link Monitoring:RLM)関連パラメーター)が設定される(BWP-UplinkDedicatedに該当)。
また、端末は、基地局から端末-特定的(又はdedicated)受信関連パラメーター(例えば、PDCCH、PDSCH、非承認-基盤ダウンリンクデータ送信(Semi-persistent Scheduled PDSCH)、無線リンクモニタリング(Radio Link Monitoring:RLM)関連パラメーター)が設定される(BWP-UplinkDedicatedに該当)。
図5は、5G無線通信システムでダウンリンク制御チャンネルが送信される制御リソースセット(Control Resource Set:CORESET)に対する一例を示す図である。
図5は、周波数軸に端末の帯域幅部分(UE bandwidth part)510、時間軸で1スロット520内に2個の制御リソースセット(制御リソースセット#1(501)、制御リソースセット#2(502))が設定されている一例を示す図である。
制御リソースセット(501、502)は、周波数軸に全体端末帯域幅部分510内で特定周波数リソース503に設定される。
時間軸としては、1個又は複数個のOFDMシンボルと設定され、これを制御リソースセット長さ(Control Resource Set Duration)504として定義することができる。
図5に示した例を参照すると、制御リソースセット#1(501)は、2シンボルの制御リソースセット長さと設定され、制御リソースセット#2(502)は、1シンボルの制御リソースセット長さと設定される。
図5は、周波数軸に端末の帯域幅部分(UE bandwidth part)510、時間軸で1スロット520内に2個の制御リソースセット(制御リソースセット#1(501)、制御リソースセット#2(502))が設定されている一例を示す図である。
制御リソースセット(501、502)は、周波数軸に全体端末帯域幅部分510内で特定周波数リソース503に設定される。
時間軸としては、1個又は複数個のOFDMシンボルと設定され、これを制御リソースセット長さ(Control Resource Set Duration)504として定義することができる。
図5に示した例を参照すると、制御リソースセット#1(501)は、2シンボルの制御リソースセット長さと設定され、制御リソースセット#2(502)は、1シンボルの制御リソースセット長さと設定される。
前述の5Gシステムでの制御リソースセットは、基地局が端末に上位階層シグナリング(例えば、システム情報(System Information)、MIB(Master Information Block)、RRC(Radio Resource Control)シグナリング)を介して設定することができる。
端末に制御リソースセットを設定するということは、制御リソースセット識別子(Identity)、制御リソースセットの周波数位置、制御リソースセットのシンボル長さなどの情報を提供することを意味する。
例えば、制御リソースセットを設定するために提供される情報は、以下の通りである。
端末に制御リソースセットを設定するということは、制御リソースセット識別子(Identity)、制御リソースセットの周波数位置、制御リソースセットのシンボル長さなどの情報を提供することを意味する。
例えば、制御リソースセットを設定するために提供される情報は、以下の通りである。
5Gシステムで制御リソースセットセットは、周波数ドメインで、NRB
CORESETRBから構成され、時間軸に、Nsymb
CORESET∈{1,2,3}シンボルから構成される。
一つのCCEは、6個のREGから構成され、REGは、1 OFDMシンボルの間の1RBと定義される。
一つの制御リソースセット内でREGは、制御リソースセットの第1OFDMシンボル、最も低いRBからREGインデックス0を始まりに時間-優先(Time-First)手順でインデックスが付けられる。
一つのCCEは、6個のREGから構成され、REGは、1 OFDMシンボルの間の1RBと定義される。
一つの制御リソースセット内でREGは、制御リソースセットの第1OFDMシンボル、最も低いRBからREGインデックス0を始まりに時間-優先(Time-First)手順でインデックスが付けられる。
5Gシステムでは、PDCCHに対する送信方法でインターリビング(Interleaved)方式と非インターリビング(non-interleaved)方式をサポートする。
基地局は、端末に各制御リソースセット別でインターリビング又は非インターリビング送信するかどうかを、上位階層シグナリングを介して設定する。
インターリビングは、REGバンドル単位に行われる。
REGバンドルとは、一つ又は複数個のREGのセットと定義される。
端末は、基地局から設定されたインターリビング又は非インターリビング送信するかどうかに基づいて、該当制御リソースセットでのCCE-to-REGマッピング方式を以下のような方式で決定する。
基地局は、端末に各制御リソースセット別でインターリビング又は非インターリビング送信するかどうかを、上位階層シグナリングを介して設定する。
インターリビングは、REGバンドル単位に行われる。
REGバンドルとは、一つ又は複数個のREGのセットと定義される。
端末は、基地局から設定されたインターリビング又は非インターリビング送信するかどうかに基づいて、該当制御リソースセットでのCCE-to-REGマッピング方式を以下のような方式で決定する。
ダウンリンク制御チャンネルの基本単位、すなわち、REGにはDCIがマッピングされるREと、これをデコーディングするためのレファレンス信号(reference signal:RS、基準信号と混用可能)である復調基準信号(demodulation reference signal:DMRS)がマッピングされる領域がいずれも含まれる。
一つのREG内には3個のDMRS REが含まれる。
PDCCHを送信するのに必要なCCEの個数は、アグリゲーションレベル(Aggregation Level:AL)によって1、2、4、8、又は16個になることができ、互いに異なるCCE個数は、ダウンリンク制御チャンネルのリンク適応(link adaptation)を具現するために用いられる。
例えば、AL=Lの場合、一つのダウンリンク制御チャンネルがL個のCCEを介して送信される。
一つのREG内には3個のDMRS REが含まれる。
PDCCHを送信するのに必要なCCEの個数は、アグリゲーションレベル(Aggregation Level:AL)によって1、2、4、8、又は16個になることができ、互いに異なるCCE個数は、ダウンリンク制御チャンネルのリンク適応(link adaptation)を具現するために用いられる。
例えば、AL=Lの場合、一つのダウンリンク制御チャンネルがL個のCCEを介して送信される。
端末は、ダウンリンク制御チャンネルに対する情報を知らない状態で信号を検出しなければならないが、ブラインドデコーディングのためにCCEのセットを示す探索空間(search space)を定義した。
探索空間は、与えられたアグリゲーションレベル上で端末がデコーディングを試みなければならないCCEからなるダウンリンク制御チャンネル候補群(Candidate)のセットであり、1、2、4、8、又は16個のCCEで一つの束ねを造る様々なアグリゲーションレベルがあるため、端末は複数個の探索空間を持つことができる。
探索空間セット(Set)は、設定されたすべてのアグリゲーションレベルでの探索空間のセットと定義される。
探索空間は、与えられたアグリゲーションレベル上で端末がデコーディングを試みなければならないCCEからなるダウンリンク制御チャンネル候補群(Candidate)のセットであり、1、2、4、8、又は16個のCCEで一つの束ねを造る様々なアグリゲーションレベルがあるため、端末は複数個の探索空間を持つことができる。
探索空間セット(Set)は、設定されたすべてのアグリゲーションレベルでの探索空間のセットと定義される。
探索空間は、共通(Common)探索空間と端末-特定(UE-specific)探索空間で分類される。
一定グループの端末又はすべての端末がシステム情報に対する動的なスケジューリングやページングメッセージのようなセル共通の制御情報を受信するためにPDCCHの共通探索空間を調査する。
例えば、端末は、セルの事業者情報などを含むSIBの送信のためのPDSCHスケジューリング割り当て情報はPDCCHの共通探索空間を調査して受信する。
共通探索空間の場合、一定グループの端末又はすべての端末がPDCCHを受信しなければならないため、既に約束されたCCEのセットとして定義される。
端末-特定的PDSCH又はPUSCHに対するスケジューリング割り当て情報は、PDCCHの端末-特定探索空間を調査することによって受信される。
端末-特定探索空間は、端末のアイデンティティー(Identity)及び多様なシステムパラメーターの関数で端末-特定的に定義される。
一定グループの端末又はすべての端末がシステム情報に対する動的なスケジューリングやページングメッセージのようなセル共通の制御情報を受信するためにPDCCHの共通探索空間を調査する。
例えば、端末は、セルの事業者情報などを含むSIBの送信のためのPDSCHスケジューリング割り当て情報はPDCCHの共通探索空間を調査して受信する。
共通探索空間の場合、一定グループの端末又はすべての端末がPDCCHを受信しなければならないため、既に約束されたCCEのセットとして定義される。
端末-特定的PDSCH又はPUSCHに対するスケジューリング割り当て情報は、PDCCHの端末-特定探索空間を調査することによって受信される。
端末-特定探索空間は、端末のアイデンティティー(Identity)及び多様なシステムパラメーターの関数で端末-特定的に定義される。
5Gシステムでは、PDCCHに対する探索空間に対するパラメーターは上位階層シグナリング(例えば、SIB、MIB、RRCシグナリング)を介して基地局から端末に設定される。
例えば、基地局は、各アグリゲーションレベルLでのPDCCH候補群数、探索空間に対するモニタリング周期、探索空間に対するスロット内のシンボル単位のモニタリングoccasion、探索空間タイプ(共通探索空間又は端末-特定探索空間)、該当探索空間でモニタリングしようとするDCIフォーマットとRNTIの組み合せ、探索空間をモニタリングしようとする制御リソースセットインデックスなどを端末に設定することができる。
例えば、PDCCHに対する探索空間に対するパラメーターは、以下の情報を含むことができる。
例えば、基地局は、各アグリゲーションレベルLでのPDCCH候補群数、探索空間に対するモニタリング周期、探索空間に対するスロット内のシンボル単位のモニタリングoccasion、探索空間タイプ(共通探索空間又は端末-特定探索空間)、該当探索空間でモニタリングしようとするDCIフォーマットとRNTIの組み合せ、探索空間をモニタリングしようとする制御リソースセットインデックスなどを端末に設定することができる。
例えば、PDCCHに対する探索空間に対するパラメーターは、以下の情報を含むことができる。
設定情報によって、基地局は、端末に一つ又は複数個の探索空間セットを設定する。
一部実施形態によれば、基地局は、端末に探索空間セット1と探索空間セット2を設定する。
探索空間セット1では端末がX-RNTIでスクランブリングされたDCIフォーマットAを共通探索空間でモニタリングするように設定され、探索空間セット2では端末がY-RNTIでスクランブリングされるDCIフォーマットBを端末-特定探索空間でモニタリングするように設定される。
一部実施形態によれば、基地局は、端末に探索空間セット1と探索空間セット2を設定する。
探索空間セット1では端末がX-RNTIでスクランブリングされたDCIフォーマットAを共通探索空間でモニタリングするように設定され、探索空間セット2では端末がY-RNTIでスクランブリングされるDCIフォーマットBを端末-特定探索空間でモニタリングするように設定される。
設定情報によれば、共通探索空間又は端末-特定探索空間に、一つ又は複数個の探索空間セットが存在し得る。
例えば、探索空間セット#1と探索空間セット#2が共通探索空間に設定され、探索空間セット#3と探索空間セット#4が端末-特定探索空間に設定され得る。
例えば、探索空間セット#1と探索空間セット#2が共通探索空間に設定され、探索空間セット#3と探索空間セット#4が端末-特定探索空間に設定され得る。
共通探索空間では、以下のDCIフォーマットとRNTIの組み合せがモニタリングされ得る。
もちろん、以下の例示に制限されない。
もちろん、以下の例示に制限されない。
・DCI format 0_0/1_0 with CRC scrambled by C-RNTI,CS-RNTI,SP-CSI-RNTI,RA-RNTI,TC-RNTI,P-RNTI,SI-RNTI
・DCI format 2_0 with CRC scrambled by SFI-RNTI
・DCI format 2_1 with CRC scrambled by INT-RNTI
・DCI format 2_2 with CRC scrambled by TPC-PUSCH-RNTI,TPC-PUCCH-RNTI
・DCI format 2_3 with CRC scrambled by TPC-SRS-RNTI
・DCI format 2_0 with CRC scrambled by SFI-RNTI
・DCI format 2_1 with CRC scrambled by INT-RNTI
・DCI format 2_2 with CRC scrambled by TPC-PUSCH-RNTI,TPC-PUCCH-RNTI
・DCI format 2_3 with CRC scrambled by TPC-SRS-RNTI
端末-特定探索空間では、以下のDCIフォーマットとRNTIの組み合せがモニタリングされ得る。
もちろん、以下の例示に制限されない。
もちろん、以下の例示に制限されない。
・DCI format 0_0/1_0 with CRC scrambled by C-RNTI,CS-RNTI,TC-RNTI
・DCI format 1_0/1_1 with CRC scrambled by C-RNTI,CS-RNTI,TC-RNTI
・DCI format 1_0/1_1 with CRC scrambled by C-RNTI,CS-RNTI,TC-RNTI
明示されているRNTIは、以下の定義及び用途による。
・C-RNTI(Cell RNTI):端末-特定PDSCHスケジューリング用途
・TC-RNTI(Temporary Cell RNTI):端末-特定PDSCHスケジューリング用途
・CS-RNTI(Configured Scheduling RNTI):準静的に設定された端末-特定PDSCHスケジューリング用途
・RA-RNTI(Random Access RNTI):ランダムエックセス段階でPDSCHスケジューリング用途
・P-RNTI(Paging RNTI):ページングが送信されるPDSCHスケジューリング用途
・SI-RNTI(System Information RNTI):システム情報が送信されるPDSCHスケジューリング用途
・INT-RNTI(Interruption RNTI):PDSCHに対するpucturingするかどうかを通知するための用途
・TPC-PUSCH-RNTI(Transmit Power Control for PUSCH RNTI):PUSCHに対する電力調節命令指示用途
・TPC-PUCCH-RNTI(Transmit Power Control for PUCCH RNTI):PUCCHに対する電力調節命令指示用途
・TPC-SRS-RNTI(Transmit Power Control for SRS RNTI):SRSに対する電力調節命令指示用途
・C-RNTI(Cell RNTI):端末-特定PDSCHスケジューリング用途
・TC-RNTI(Temporary Cell RNTI):端末-特定PDSCHスケジューリング用途
・CS-RNTI(Configured Scheduling RNTI):準静的に設定された端末-特定PDSCHスケジューリング用途
・RA-RNTI(Random Access RNTI):ランダムエックセス段階でPDSCHスケジューリング用途
・P-RNTI(Paging RNTI):ページングが送信されるPDSCHスケジューリング用途
・SI-RNTI(System Information RNTI):システム情報が送信されるPDSCHスケジューリング用途
・INT-RNTI(Interruption RNTI):PDSCHに対するpucturingするかどうかを通知するための用途
・TPC-PUSCH-RNTI(Transmit Power Control for PUSCH RNTI):PUSCHに対する電力調節命令指示用途
・TPC-PUCCH-RNTI(Transmit Power Control for PUCCH RNTI):PUCCHに対する電力調節命令指示用途
・TPC-SRS-RNTI(Transmit Power Control for SRS RNTI):SRSに対する電力調節命令指示用途
上述の明示されたDCIフォーマットは、以下の定義に従う。
5Gシステムで、制御リソースセットp、探索空間セットsで、アグリゲーションレベルLの探索空間は、以下の数式1のように表される。
・L:アグリゲーションレベル
・nCI:キャリア(Carrier)インデックス
・NCCE,p:制御リソースセットp内に存在する総CCE個数
・nμ s,f:スロットインデックス
・M(L) p,s,max:アグリゲーションレベルLのPDCCH候補群数
・msnCI=0,..., M(L) p,s,max-1:アグリゲーションレベルLのPDCCH候補群インデックス
・i=0,...,L-1
・nCI:キャリア(Carrier)インデックス
・NCCE,p:制御リソースセットp内に存在する総CCE個数
・nμ s,f:スロットインデックス
・M(L) p,s,max:アグリゲーションレベルLのPDCCH候補群数
・msnCI=0,..., M(L) p,s,max-1:アグリゲーションレベルLのPDCCH候補群インデックス
・i=0,...,L-1
・nRNTI:端末識別子
Y_(p,nμ
s,f)値は、共通探索空間の場合、0に該当する。
Y_(p,nμ s,f)値は、端末-特定探索空間の場合、端末のアイデンティティー(C-RNTI又は基地局が端末に設定したID)と時間インデックスによって変わる値に該当する。
Y_(p,nμ s,f)値は、端末-特定探索空間の場合、端末のアイデンティティー(C-RNTI又は基地局が端末に設定したID)と時間インデックスによって変わる値に該当する。
以下では、5G通信システムで、端末と基地局の間の「quasi co-location」(QCL)情報指示又は交換のための手段であるTCI(transmission configuration indication)stateを設定する方法に対して具体的に説明する。
基地局は、適切なシグナリングを介して互いに異なる2つのRS又はチャンネルの間の「TCI state」を設定及び指示して互いに異なるRS又はチャンネルの間のQCL関係を通知することが可能である。
互いに異なるRS又はチャンネルがQCLされている(QCLed)とは、QCL関係にある特定の基準RSアンテナポートA(reference RS #A)とまた他の目的RSアンテナポートB(target RS #B)を介してチャンネルを推定するにあたり、端末がアンテナポートAで推定された「large-scale」チャンネルパラメーターの内の一部又は全部をアンテナポートBからのチャンネル測定に適用することが許容されることを意味する。
QCLは、
1)「average delay」及び「delay spread」に影響を受ける「time tracking」、
2)「Doppler shift」及び「Doppler spread」に影響を受ける「frequency tracking」、
3)「average gain」に影響を受けるRRM(radio resource management)、
4)「spatial parameter」に影響を受けるBM(beam management)など状況によって互いに異なるパラメーターを関連させる必要があり得る。
これによってNRでは、以下の表10のような4つタイプのQCL関係をサポートする。
互いに異なるRS又はチャンネルがQCLされている(QCLed)とは、QCL関係にある特定の基準RSアンテナポートA(reference RS #A)とまた他の目的RSアンテナポートB(target RS #B)を介してチャンネルを推定するにあたり、端末がアンテナポートAで推定された「large-scale」チャンネルパラメーターの内の一部又は全部をアンテナポートBからのチャンネル測定に適用することが許容されることを意味する。
QCLは、
1)「average delay」及び「delay spread」に影響を受ける「time tracking」、
2)「Doppler shift」及び「Doppler spread」に影響を受ける「frequency tracking」、
3)「average gain」に影響を受けるRRM(radio resource management)、
4)「spatial parameter」に影響を受けるBM(beam management)など状況によって互いに異なるパラメーターを関連させる必要があり得る。
これによってNRでは、以下の表10のような4つタイプのQCL関係をサポートする。
「spatial RX parameter」は、「Angle of arrival」(AoA)、「Power Angular Spectrum(PAS)of AoA」、「Angle of departure(AoD)」、「PAS of AoD」、「transmit/receive channel correlation」、「transmit/receive beamforming」、「spatial channel correlation」などの多様なパラメーターの内の一部又は全部を総称することができる。
QCL関係は、以下の表11のように「RRC parameter TCI-State」及び「QCL-Info」を介して端末に設定されることが可能である。
表11を参照すると、基地局は、端末に一つ以上の「TCI state」を設定して「TCI state」のIDを参照するRS、すなわち、「target RS」に対する最大2つのQCL関係(qcl-Type1、qcl-Type2)を通知することができる。
この時、各「TCI state」が含む各QCL情報(QCL-Info)は、該当QCL情報が示す「reference RS」の「serving cell index」及び「BWP index」、及び「reference RS」の種類及びID、及び表10のようなQCL typeを含む。
表11を参照すると、基地局は、端末に一つ以上の「TCI state」を設定して「TCI state」のIDを参照するRS、すなわち、「target RS」に対する最大2つのQCL関係(qcl-Type1、qcl-Type2)を通知することができる。
この時、各「TCI state」が含む各QCL情報(QCL-Info)は、該当QCL情報が示す「reference RS」の「serving cell index」及び「BWP index」、及び「reference RS」の種類及びID、及び表10のようなQCL typeを含む。
端末のチャンネル推定性能を保障するために、基地局がTCI及びQCLのために設定することができる「target RS」と「reference RS」の種類は、特定規則に従って決定することができる。
For a periodic CSI-RS resource in a NZP-CSI-RS-ResourceSet configured with higher layer parameter trs-Info、the UE shall expect that a TCI-State indicates one of the following quasi co-location type(s):
・‘QCL-TypeC’ with an SS/PBCH block and、when applicable、‘QCL-TypeD’with the same SS/PBCH block, or
・‘QCL-TypeC’ with an SS/PBCH block and、when applicable,‘QCL-TypeD’ with a CSI-RS resource in an NZP-CSI-RS-ResourceSet configured with higher layer parameter repetition, or
・‘QCL-TypeC’ with an SS/PBCH block and、when applicable,‘QCL-TypeD’ with a CSI-RS resource in an NZP-CSI-RS-ResourceSet configured with higher layer parameter repetition, or
For an aperiodic CSI-RS resource in a NZP-CSI-RS-ResourceSet configured with higher layer parameter trs-Info、the UE shall expect that a TCI-State indicates‘QCL-TypeA’with a periodic CSI-RS resource in a NZP-CSI-RS-ResourceSet configured with higher layer parameter trs-Info and,when applicabl,‘QCL-TypeD’with the same periodic CSI-RS resource.
For a CSI-RS resource in a NZP-CSI-RS-ResourceSet configured without higher layer parameter trs-Info and without the higher layer parameter repetition、the UE shall expect that a TCI-State indicates one of the following quasi co-location type(s):
・‘QCL-TypeA’with a CSI-RS resource in a NZP-CSI-RS-ResourceSet configured with higher layer parameter trs-Info and、when applicable,‘QCL-TypeD’ with the same CSI-RS resource, or
・‘QCL-TypeA’with a CSI-RS resource in a NZP-CSI-RS-ResourceSet configured with higher layer parameter trs-Info and、when applicable,‘QCL-TypeD’ with an SS/PBCH block,or
・‘QCL-TypeA’with a CSI-RS resource in a NZP-CSI-RS-ResourceSet configured with higher layer parameter trs-Info and、when applicable,‘QCL-TypeD’ with a CSI-RS resource in a NZP-CSI-RS-ResourceSet configured with higher layer parameter repetition,or
・‘QCL-TypeB’ with a CSI-RS resource in a NZP-CSI-RS-ResourceSet configured with higher layer parameter trs-Info when‘QCL-TypeD’ is not applicable.
・‘QCL-TypeA’with a CSI-RS resource in a NZP-CSI-RS-ResourceSet configured with higher layer parameter trs-Info and、when applicable,‘QCL-TypeD’ with an SS/PBCH block,or
・‘QCL-TypeA’with a CSI-RS resource in a NZP-CSI-RS-ResourceSet configured with higher layer parameter trs-Info and、when applicable,‘QCL-TypeD’ with a CSI-RS resource in a NZP-CSI-RS-ResourceSet configured with higher layer parameter repetition,or
・‘QCL-TypeB’ with a CSI-RS resource in a NZP-CSI-RS-ResourceSet configured with higher layer parameter trs-Info when‘QCL-TypeD’ is not applicable.
For a CSI-RS resource in a NZP-CSI-RS-ResourceSet configured with higher layer parameter repetition、the UE shall expect that a TCI-State indicates one of the following quasi co-location type(s):
・‘QCL-TypeA’ with a CSI-RS resource in a NZP-CSI-RS-ResourceSet configured with higher layer parameter trs-Info and、when applicable,‘QCL-TypeD’ with the same CSI-RS resource,or
・‘QCL-TypeA’with a CSI-RS resource in a NZP-CSI-RS-ResourceSet configured with higher layer parameter trs-Info and、when applicable,‘QCL-TypeD’ with a CSI-RS resource in a NZP-CSI-RS-ResourceSet configured with higher layer parameter repetition,or
・‘QCL-TypeC’ with an SS/PBCH block and、when applicable,‘QCL-TypeD’ with the same SS/PBCH block.
・‘QCL-TypeA’with a CSI-RS resource in a NZP-CSI-RS-ResourceSet configured with higher layer parameter trs-Info and、when applicable,‘QCL-TypeD’ with a CSI-RS resource in a NZP-CSI-RS-ResourceSet configured with higher layer parameter repetition,or
・‘QCL-TypeC’ with an SS/PBCH block and、when applicable,‘QCL-TypeD’ with the same SS/PBCH block.
For the DM-RS of PDCCH、the UE shall expect that a TCI-State indicates one of the following quasi co-location type(s):
・‘QCL-TypeA’with a CSI-RS resource in a NZP-CSI-RS-ResourceSet configured with higher layer parameter trs-Info and、when applicable,‘QCL-TypeD’ with the same CSI-RS resource,or
・‘QCL-TypeA’with a CSI-RS resource in a NZP-CSI-RS-ResourceSet configured with higher layer parameter trs-Info and、when applicable,‘QCL-TypeD’ with a CSI-RS resource in an NZP-CSI-RS-ResourceSet configured with higher layer parameter repetition,or
・‘QCL-TypeA’with a CSI-RS resource in a NZP-CSI-RS-ResourceSet configured without higher layer parameter trs-Info and without higher layer parameter repetition and、when applicable,‘QCL-TypeD’ with the same CSI-RS resource.
・‘QCL-TypeA’with a CSI-RS resource in a NZP-CSI-RS-ResourceSet configured with higher layer parameter trs-Info and、when applicable,‘QCL-TypeD’ with a CSI-RS resource in an NZP-CSI-RS-ResourceSet configured with higher layer parameter repetition,or
・‘QCL-TypeA’with a CSI-RS resource in a NZP-CSI-RS-ResourceSet configured without higher layer parameter trs-Info and without higher layer parameter repetition and、when applicable,‘QCL-TypeD’ with the same CSI-RS resource.
For the DM-RS of PDSCH、the UE shall expect that a TCI-State indicates one of the following quasi co-location type(s):
・‘QCL-TypeA’with a CSI-RS resource in a NZP-CSI-RS-ResourceSet configured with higher layer parameter trs-Info and、when applicable,‘QCL-TypeD’ with the same CSI-RS resource,or
・‘QCL-TypeA’with a CSI-RS resource in a NZP-CSI-RS-ResourceSet configured with higher layer parameter trs-Info and、when applicable,‘QCL-TypeD’ with a CSI-RS resource in an NZP-CSI-RS-ResourceSet configured with higher layer parameter repetition,or
・‘QCL-TypeA’with a CSI-RS resource in a NZP-CSI-RS-ResourceSet configured without higher layer parameter trs-Info and without higher layer parameter repetition and、when applicable,‘QCL-TypeD’with the same CSI-RS resource.
・‘QCL-TypeA’with a CSI-RS resource in a NZP-CSI-RS-ResourceSet configured with higher layer parameter trs-Info and、when applicable,‘QCL-TypeD’ with a CSI-RS resource in an NZP-CSI-RS-ResourceSet configured with higher layer parameter repetition,or
・‘QCL-TypeA’with a CSI-RS resource in a NZP-CSI-RS-ResourceSet configured without higher layer parameter trs-Info and without higher layer parameter repetition and、when applicable,‘QCL-TypeD’with the same CSI-RS resource.
以下では、NRでデータ送信のための時間及び周波数リソース割り当て方法を説明する。
NRでは、BWP指示(indication)を介して周波数軸リソース候補割り当てに加えて次のような詳細的な周波数軸リソース割り当て方法(frequency domain resource allocation:FD-RA)が提供される。
図6は、本発明の一実施形態による無線通信システムでPDSCH周波数軸リソース割り当て例題を示す図である。
NRでは、BWP指示(indication)を介して周波数軸リソース候補割り当てに加えて次のような詳細的な周波数軸リソース割り当て方法(frequency domain resource allocation:FD-RA)が提供される。
図6は、本発明の一実施形態による無線通信システムでPDSCH周波数軸リソース割り当て例題を示す図である。
図6は、NRで上位レイヤーを介して設定可能な「type 0」(600)、「type 1」(605)、及び動的変更(dynamic switch)610の3つ周波数軸リソース割り当て方法を示す図である。
図6を参照すると、もし、上位レイヤーシグナリングを介して端末が「resource type0」だけを用いるように設定された場合(600)、該当端末にPDSCHを割り当てる一部ダウンリンク制御情報(downlink control information:DCI)は、「N RBG」個のビットから構成されるビットマップを持つ。
このため条件は以後にさらに説明する。
この時、NRBGは、BWPインジケーター(indicator)が割り当てるBWPサイズ(size)及び上位レイヤーパラメーター(又は上位レイヤーシグナリングパラメーター)「rbg-Size」によって以下の表12のように決定されるRBG(resource block group)の数を意味し、ビットマップによって「1」で表されるRBGでデータが送信されるようになる。
図6を参照すると、もし、上位レイヤーシグナリングを介して端末が「resource type0」だけを用いるように設定された場合(600)、該当端末にPDSCHを割り当てる一部ダウンリンク制御情報(downlink control information:DCI)は、「N RBG」個のビットから構成されるビットマップを持つ。
このため条件は以後にさらに説明する。
この時、NRBGは、BWPインジケーター(indicator)が割り当てるBWPサイズ(size)及び上位レイヤーパラメーター(又は上位レイヤーシグナリングパラメーター)「rbg-Size」によって以下の表12のように決定されるRBG(resource block group)の数を意味し、ビットマップによって「1」で表されるRBGでデータが送信されるようになる。
もし、上位レイヤーシグナリングを介して端末が「resource type 1」だけを用いるように設定された場合(605)、該当端末にPDSCHを割り当てる一部DCIは
個のビットで構成される周波数軸リソース割り当て情報を有する。
個のビットで構成される周波数軸リソース割り当て情報を有する。
このため条件は以後にさらに説明される。
基地局は、これを介して「starting VRB」620とこれから連続的に割り当てられる周波数軸リソースの長さ625を設定する。
基地局は、これを介して「starting VRB」620とこれから連続的に割り当てられる周波数軸リソースの長さ625を設定する。
もし、上位レイヤーシグナリングを介して端末が「resource type0」と「resource type 1」をいずれも用いるように設定された場合(610)、該当端末にPDSCHを割り当てる一部DCIは、「resource type0」を設定するためのpayload615と、「resource type1」を設定するためのpayload(620、625)の内の大きい値635のビットで構成される周波数軸リソース割り当て情報を有する。
このため条件は以後にさらに説明される。
この時、DCI内の周波数軸リソース割り当て情報の最前方部分(MSB)に一つのビットが追加され得、該当ビットが「0」の場合、「resource type0」が用いられることを指示され、「1」の場合、「resource type1」が用いられることが指示される。
このため条件は以後にさらに説明される。
この時、DCI内の周波数軸リソース割り当て情報の最前方部分(MSB)に一つのビットが追加され得、該当ビットが「0」の場合、「resource type0」が用いられることを指示され、「1」の場合、「resource type1」が用いられることが指示される。
図7は、本発明の一実施形態による無線通信システムでPDSCH(physical downlink shared channel)時間軸リソース割り当ての例示を示す図である。
図7を参照すると、基地局は、上位レイヤーを用いて設定されるデータチャンネル(data channel)及び制御チャンネル(control channel)のサブキャリア間隔(subcarrier spacing:SCS)(μPDSCH、μPDCCH)、スケジューリングオフセット(scheduling offset)(K0)値、そしてDCIを介して動的に指示される、一つのslot710内の「OFDM symbol」開始位置700と長さ705によってPDSCHリソースの時間軸位置を指示することができる。
図7を参照すると、基地局は、上位レイヤーを用いて設定されるデータチャンネル(data channel)及び制御チャンネル(control channel)のサブキャリア間隔(subcarrier spacing:SCS)(μPDSCH、μPDCCH)、スケジューリングオフセット(scheduling offset)(K0)値、そしてDCIを介して動的に指示される、一つのslot710内の「OFDM symbol」開始位置700と長さ705によってPDSCHリソースの時間軸位置を指示することができる。
図8は、本発明の一実施形態による無線通信システムでデータチャンネル(data channel)及び制御チャンネル(control channel)のサブキャリア間隔による時間軸リソース割り当て例題を示す図である。
図8を参照すると、データチャンネル及び制御チャンネルのサブキャリア間隔が同じ場合(800、μPDSCH=μPDCCH)、データチャンネルと制御チャンネルのためのスロット番号(slot number)が同じであるため、基地局及び端末は、予め決定されたスロットオフセット(slot offset)K0に合わせて、スケジューリングオフセット(scheduling offset)を確認する。
図8を参照すると、データチャンネル及び制御チャンネルのサブキャリア間隔が同じ場合(800、μPDSCH=μPDCCH)、データチャンネルと制御チャンネルのためのスロット番号(slot number)が同じであるため、基地局及び端末は、予め決定されたスロットオフセット(slot offset)K0に合わせて、スケジューリングオフセット(scheduling offset)を確認する。
一方、データチャンネル及び制御チャンネルのサブキャリア間隔が異なる場合(805、μPDSCH≠μPDCCH)、データチャンネルと制御チャンネルのためのスロット番号(slot number)が異なるため、基地局及び端末は、PDCCHのサブキャリア間隔を基準とし、予め決定されたスロットオフセット(slot offset)K0に合わせてスケジューリングオフセット(scheduling offset)を確認する。
図8で、データチャンネルと制御チャンネルとの間のサブキャリア間隔が同じ又は異なる場合に対するオフセット解釈方法を説明したが、上記方法はここに限ることではなく、同様にCSI-RSと制御チャンネルとの間のサブキャリア間隔、又はSRSと制御チャンネルとの間のサブキャリア間隔が他の場合など他のチャンネル又は基準信号のサブキャリア間隔が同じ又は異なる場合にも適用される。
NRでは端末の効率的な制御チャンネル受信のために目的によって表9のような多様な形態の「DCI format」を提供する。
例えば、基地局は、一つのセル(cell)にPDSCHを割り当て(scheduling)するために「DCI format 0_0」又は「DCI format 0_1」を用いることができる。
「DCI format 0_1」は、C-RNTI(Cell Radio Network Temporary Identifier)又はCS-RNTI(Configured Scheduling RNTI)又はnew-RNTIによってスクランブリングされるCRC共に送信される場合、少なくとも次のような情報を含む:
例えば、基地局は、一つのセル(cell)にPDSCHを割り当て(scheduling)するために「DCI format 0_0」又は「DCI format 0_1」を用いることができる。
「DCI format 0_1」は、C-RNTI(Cell Radio Network Temporary Identifier)又はCS-RNTI(Configured Scheduling RNTI)又はnew-RNTIによってスクランブリングされるCRC共に送信される場合、少なくとも次のような情報を含む:
・「Identifier for DCI formats」(1 bits):「DCI format」インジケーターに常に「1」と設定
・「Frequency domain resource assignment」(NRBG bits又は
bits)
:周波数軸リソース割り当てを指示し、「DCI format 1_0」が「UE specific search space」でモニターされる場合、
は、「active DL BWP」のサイズであり、以外の場合、
は、「initial DL BWP」のサイズである。
NRBGは、resource block groupの数字である。
詳細方法は、上記周波数軸リソース割り当てを参照する。
bits)
:周波数軸リソース割り当てを指示し、「DCI format 1_0」が「UE specific search space」でモニターされる場合、
は、「active DL BWP」のサイズであり、以外の場合、
は、「initial DL BWP」のサイズである。
NRBGは、resource block groupの数字である。
詳細方法は、上記周波数軸リソース割り当てを参照する。
・「Time domain resource assignment」(0~4bits):前記説明によって時間軸リソース割り当てを指示する。
・「VRB-to-PRB mapping」(1bit):「0」の場合、「Non-interleaved」、「1」の場合、「interleaved VRP-to-PRB mapping」を指示する。
・「Modulation and coding scheme」(5bits):PDSCH送信に用いられる「modulation order」及び「coding rate」を指示する。
・「New data indicator」(1bit):ToggleであるかどうかによってPDSCHが初期送信又は再送信するかどうかを指示する。
・「VRB-to-PRB mapping」(1bit):「0」の場合、「Non-interleaved」、「1」の場合、「interleaved VRP-to-PRB mapping」を指示する。
・「Modulation and coding scheme」(5bits):PDSCH送信に用いられる「modulation order」及び「coding rate」を指示する。
・「New data indicator」(1bit):ToggleであるかどうかによってPDSCHが初期送信又は再送信するかどうかを指示する。
・「Redundancy version」(2bits):PDSCH送信に用いられたredundancy versionを指示する。
・「HARQ process number」(4bits):PDSCH送信に用いられた「HARQ process number」を指示する。
・「Downlink assignment index」(2bits):DAIインジケーター
・「TPC command for scheduled PUCCH」(2bits):「PUCCH power control」インジケーター
・「PUCCH resource indicator」(3bits):PUCCHリソースインジケーターで、上位レイヤーに設定された8つのリソースの内の一つを指示する。
・「PDSCH-to-HARQ_feedback timing indicator」(3bits):「HARQ feedback timing」インジケーターで、上位レイヤーに設定された8つの「feedback timing offset」の内の一つを指示する。
・「HARQ process number」(4bits):PDSCH送信に用いられた「HARQ process number」を指示する。
・「Downlink assignment index」(2bits):DAIインジケーター
・「TPC command for scheduled PUCCH」(2bits):「PUCCH power control」インジケーター
・「PUCCH resource indicator」(3bits):PUCCHリソースインジケーターで、上位レイヤーに設定された8つのリソースの内の一つを指示する。
・「PDSCH-to-HARQ_feedback timing indicator」(3bits):「HARQ feedback timing」インジケーターで、上位レイヤーに設定された8つの「feedback timing offset」の内の一つを指示する。
「DCI format 1_1」は、C-RNTI(Cell Radio Network Temporary Identifier)又はCS-RNTI(Configured Scheduling RNTI)又はnew-RNTIによってスクランブリングされたCRCと共に送信される場合、少なくとも次のような情報を含む:
・「Identifier for DCI formats」(1bit):「DCI format」インジケーターに常に「1」と設定
・「Carrier indicator」(0又は3bits):該当DCIが割り当てるPDSCHが送信されるCC(又はcell)を指示する。
・「Bandwidth part indicator」(0又は1又は2bits):該当DCIが割り当てるPDSCHが送信されるBWPを指示する。
・「Frequency domain resource assignment」(周波数軸リソース割り当てによってpayload決定):周波数軸リソース割り当てを指示し、
は、「active DL BWP」のサイズである。
詳細方法は、周波数軸リソース割り当てを参照する。
・「Carrier indicator」(0又は3bits):該当DCIが割り当てるPDSCHが送信されるCC(又はcell)を指示する。
・「Bandwidth part indicator」(0又は1又は2bits):該当DCIが割り当てるPDSCHが送信されるBWPを指示する。
・「Frequency domain resource assignment」(周波数軸リソース割り当てによってpayload決定):周波数軸リソース割り当てを指示し、
は、「active DL BWP」のサイズである。
詳細方法は、周波数軸リソース割り当てを参照する。
・「Time domain resource assignment」(0~4bits):上記説明によって時間軸リソース割り当てを指示する。
・「VRB-to-PRB mapping」(0 or 1bit):「0」の場合、「Non-interleaved」、「1」の場合、「interleaved VRP-to-PRB mapping」を指示する。
周波数軸リソース割り当てが「resource type0」と設定された場合、0bitである。
・「PRB bundling size indicator」(0 or 1bit):上位レイヤーパラメーター「prb-BundlingType」が設定されないか又は‘static’と設定された場合、0bitであり、‘dynamic’と設定された場合、1bitである。
・「Rate matching indicator」(0 or 1 or 2bits):「rate matching pattern」を指示する。
・「ZP CSI-RS trigger」(0 or 1 or 2bits):「aperiodic ZP CSI-RS」をトリガーするインジケーター。
・「VRB-to-PRB mapping」(0 or 1bit):「0」の場合、「Non-interleaved」、「1」の場合、「interleaved VRP-to-PRB mapping」を指示する。
周波数軸リソース割り当てが「resource type0」と設定された場合、0bitである。
・「PRB bundling size indicator」(0 or 1bit):上位レイヤーパラメーター「prb-BundlingType」が設定されないか又は‘static’と設定された場合、0bitであり、‘dynamic’と設定された場合、1bitである。
・「Rate matching indicator」(0 or 1 or 2bits):「rate matching pattern」を指示する。
・「ZP CSI-RS trigger」(0 or 1 or 2bits):「aperiodic ZP CSI-RS」をトリガーするインジケーター。
For transport block 1:
・「Modulation and coding scheme」(5bits):PDSCH送信に用いられる「modulation order」及び「coding rate」を指示する。
・「New data indicator」(1bit):ToggleであるかどうかによってPDSCHが初期送信又は再送信するかを指示する。
・「Redundancy version」(2bits):PDSCH送信に用いられた「redundancy version」を指示する。
・「Modulation and coding scheme」(5bits):PDSCH送信に用いられる「modulation order」及び「coding rate」を指示する。
・「New data indicator」(1bit):ToggleであるかどうかによってPDSCHが初期送信又は再送信するかを指示する。
・「Redundancy version」(2bits):PDSCH送信に用いられた「redundancy version」を指示する。
For transport block 2:
・「Modulation and coding scheme」(5bits):PDSCH送信に用いられる「modulation order」及び「coding rate」を指示する。
・「New data indicator」(1 bit):ToggleであるかどうかによってPDSCHが初期送信又は再送信するかを指示する。
・「Redundancy version」(2bits):PDSCH送信に用いられたredundancy versionを指示する。
・「HARQ process number」(4bits):PDSCH送信に用いられた「HARQ process number」を指示する。
・「Downlink assignment index」(0 or 2 or 4bis):DAI(Downlink assignment index)インジケーター
・「TPC command for scheduled PUCCH」(2bits):「PUCCH power control」インジケーター
・「PUCCH resource indicator」(3bits):PUCCH リソースインジケーターで、上位レイヤーに設定された8つのリソースの内の一つを指示する。
・「Modulation and coding scheme」(5bits):PDSCH送信に用いられる「modulation order」及び「coding rate」を指示する。
・「New data indicator」(1 bit):ToggleであるかどうかによってPDSCHが初期送信又は再送信するかを指示する。
・「Redundancy version」(2bits):PDSCH送信に用いられたredundancy versionを指示する。
・「HARQ process number」(4bits):PDSCH送信に用いられた「HARQ process number」を指示する。
・「Downlink assignment index」(0 or 2 or 4bis):DAI(Downlink assignment index)インジケーター
・「TPC command for scheduled PUCCH」(2bits):「PUCCH power control」インジケーター
・「PUCCH resource indicator」(3bits):PUCCH リソースインジケーターで、上位レイヤーに設定された8つのリソースの内の一つを指示する。
・「PDSCH-to-HARQ_feedback timing indicator」(3bits):「HARQ feedback timing」インジケーターで、上位レイヤーと設定された8つの「feedback timing offset」の内の一つを指示する。
・「Antenna port」(4 or 5 or 6bits):「DMRS port」及び「CDM group without data」を指示する。
・「Transmission configuration indication」(0 or 3bits):TCIインジケーター。
・「SRS request」(2 or 3bits):SRS送信リクエストインジケーター
・「CBG transmission information」(0 or 2 or 4 or 6 or 8bits):割り当てられたPDSCH内の「code block group」に対する送信するかどうかを通知するインジケーター。
「0」は該当CBGが送信されないことを意味し、「1」は送信されることを意味する。
・「CBG flushing out information」(0 or 1bit):以前CBGが汚染された否かを通知するインジケーターで、「0」であれば汚染されたことを意味し、「1」であれば再送信受信時の用いることができる(combinable)ことを意味する。
・「DMRS sequence initialization」(0 or 1bit):「DMRS scramblingID」選択インジケーター
・「Antenna port」(4 or 5 or 6bits):「DMRS port」及び「CDM group without data」を指示する。
・「Transmission configuration indication」(0 or 3bits):TCIインジケーター。
・「SRS request」(2 or 3bits):SRS送信リクエストインジケーター
・「CBG transmission information」(0 or 2 or 4 or 6 or 8bits):割り当てられたPDSCH内の「code block group」に対する送信するかどうかを通知するインジケーター。
「0」は該当CBGが送信されないことを意味し、「1」は送信されることを意味する。
・「CBG flushing out information」(0 or 1bit):以前CBGが汚染された否かを通知するインジケーターで、「0」であれば汚染されたことを意味し、「1」であれば再送信受信時の用いることができる(combinable)ことを意味する。
・「DMRS sequence initialization」(0 or 1bit):「DMRS scramblingID」選択インジケーター
端末が該当cellでslot当たり受信可能な互いに異なるサイズのDCI数は、最大4である。
端末が該当セルでslot当たり受信可能なC-RNTIでスクランブリングされた互いに異なるサイズのDCI数は、最大3である。
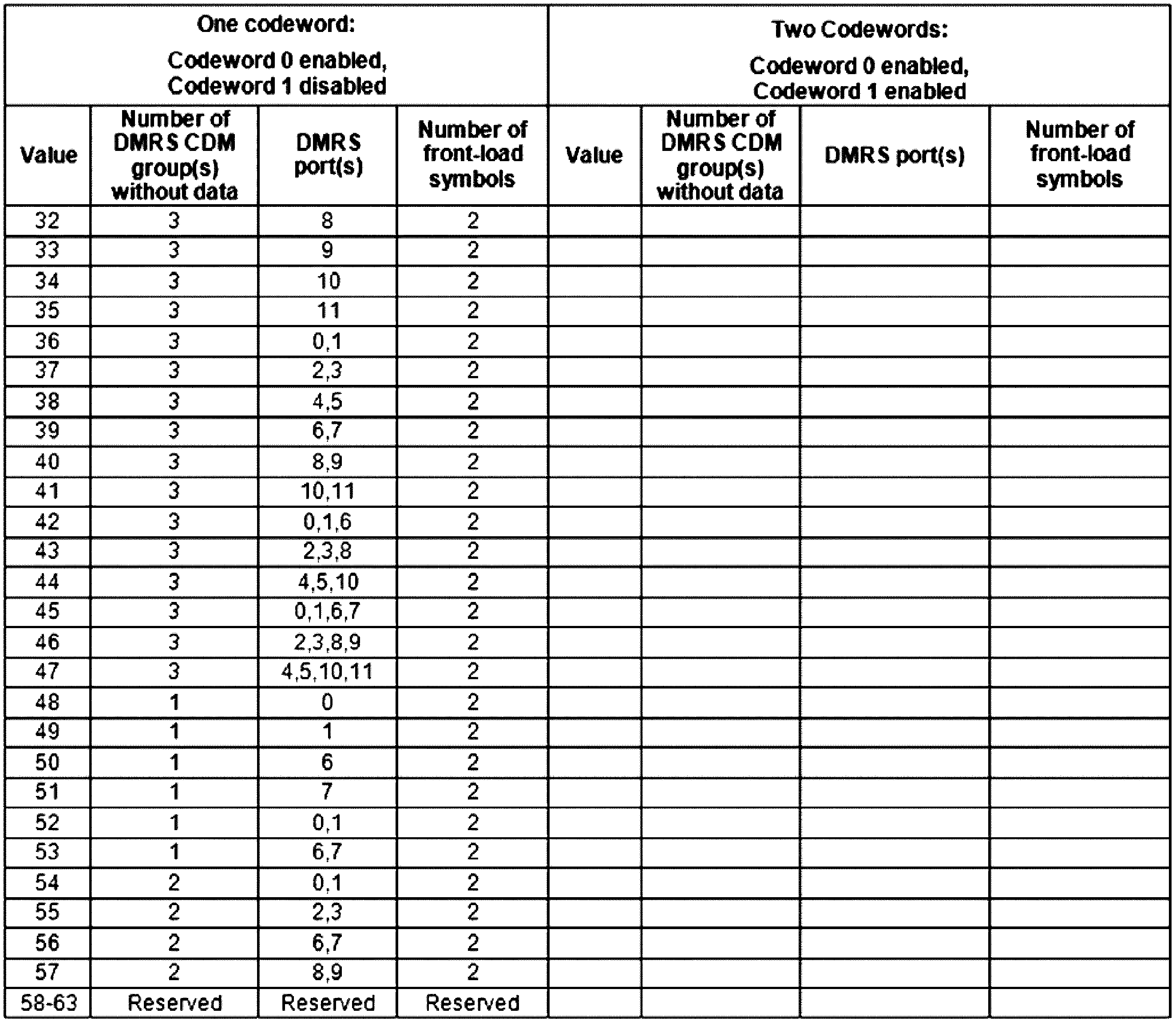
ここで「antenna port indication」を次の表13~表16を介して指示することができる。
端末が該当セルでslot当たり受信可能なC-RNTIでスクランブリングされた互いに異なるサイズのDCI数は、最大3である。
ここで「antenna port indication」を次の表13~表16を介して指示することができる。
上記の表16-1及び表16-2は、互いに接続されたものと理解されることが好ましい。
表13は、「dmrs-type」が「1」で、maxLengthが「1」に指示された場合用いる表で、表14は、「dmrs-Type=1」、「maxLength=2」に指示された場合に用いる表である。
「dmrs-type=2」、「maxLength=1」の場合は、表15を、「drms-tpye」が「2」で、maxLengthが「2」の場合には、表16-1及び表16-2に基づいて用いられるDMRSのportが指示される。
表13は、「dmrs-type」が「1」で、maxLengthが「1」に指示された場合用いる表で、表14は、「dmrs-Type=1」、「maxLength=2」に指示された場合に用いる表である。
「dmrs-type=2」、「maxLength=1」の場合は、表15を、「drms-tpye」が「2」で、maxLengthが「2」の場合には、表16-1及び表16-2に基づいて用いられるDMRSのportが指示される。
表で、「Number of DMRS CDM group(s)without data」が指示する数字1、2、3は、それぞれ、CDM group{0}、{0、1}、{0、1、2}を意味する。
「DMRS port(s)」は、用いるportのindexを順に置くことである。
「Antenna port」は、「DMRS port」+1000に指示される。
DMRSのCDM groupは、表17と表18のようにDMRSシーケンスを発生する方法と「antenna port」と接続されている。
表17は、「dmrs-type=1を用いる場合のパラメーターで、表18は、「dmrs-type=2」を常用する場合のパラメーターである。
「DMRS port(s)」は、用いるportのindexを順に置くことである。
「Antenna port」は、「DMRS port」+1000に指示される。
DMRSのCDM groupは、表17と表18のようにDMRSシーケンスを発生する方法と「antenna port」と接続されている。
表17は、「dmrs-type=1を用いる場合のパラメーターで、表18は、「dmrs-type=2」を常用する場合のパラメーターである。
図9は、本発明の一実施形態による「single cell」、「carrier aggregation」、「dual connectivity」実行時の基地局及び端末無線プロトコル構造を示す図である。
図9を参照すると、次世代移動通信システムの無線プロトコルは、端末とNR基地局でそれぞれNR SDAP(Service Data Adaptation Protocol)(925、970)、NR PDCP(Packet Data Convergence Protocol)(930、965)、NR RLC(Radio Link Control)(935、960)、NR MAC(Medium Access Control)(940、955)からなる。
図9を参照すると、次世代移動通信システムの無線プロトコルは、端末とNR基地局でそれぞれNR SDAP(Service Data Adaptation Protocol)(925、970)、NR PDCP(Packet Data Convergence Protocol)(930、965)、NR RLC(Radio Link Control)(935、960)、NR MAC(Medium Access Control)(940、955)からなる。
NR SDAP(925、970)の主要機能は、次の機能の内の一部を含むことができる。
・ユーザデータの伝達機能(transfer of user plane data)
・アップリンクとダウンリンクに対して「QoS flow」とデータベアラーのマッピング機能(mapping between a QoS flow and a DRB for both DL and UL)
・アップリンクとダウンリンクに対して「QoS flow ID」のマーキング機能(marking QoS flowIDin both DL and UL packets)
・アップリンクSDAP PDUに対して「relective QoS flow」をデータベアラーにマッピングさせる機能(reflective QoS flow to DRB mapping for the UL SDAP PDUs)。
・ユーザデータの伝達機能(transfer of user plane data)
・アップリンクとダウンリンクに対して「QoS flow」とデータベアラーのマッピング機能(mapping between a QoS flow and a DRB for both DL and UL)
・アップリンクとダウンリンクに対して「QoS flow ID」のマーキング機能(marking QoS flowIDin both DL and UL packets)
・アップリンクSDAP PDUに対して「relective QoS flow」をデータベアラーにマッピングさせる機能(reflective QoS flow to DRB mapping for the UL SDAP PDUs)。
SDAP階層装置に対して、端末は、RRCメッセージで各PDCP階層装置別又はベアラー別又はロジカルチャンネル別のSDAP階層装置のヘッダーを用いるか否か又はSDAP階層装置の機能を用いるか否かが設定される。
基地局は、SDAPヘッダーが設定された場合、SDAPヘッダーのNASQoS反映設定1ビットインジケーター(NAS reflective QoS)とAS QoS反映設定1ビットインジケーター(AS reflective QoS)で端末がアップリンクとダウンリンクの「QoS flow」とデータベアラーに対するマッピング情報を更新又は再設定することができるように指示する。
SDAPヘッダーは、QoSを示す「QoS flowID」情報を含む。
QoS情報は、円滑なサービスをサポートするためのデータ処理優先順位、スケジューリング情報などで用いられる。
基地局は、SDAPヘッダーが設定された場合、SDAPヘッダーのNASQoS反映設定1ビットインジケーター(NAS reflective QoS)とAS QoS反映設定1ビットインジケーター(AS reflective QoS)で端末がアップリンクとダウンリンクの「QoS flow」とデータベアラーに対するマッピング情報を更新又は再設定することができるように指示する。
SDAPヘッダーは、QoSを示す「QoS flowID」情報を含む。
QoS情報は、円滑なサービスをサポートするためのデータ処理優先順位、スケジューリング情報などで用いられる。
NR PDCP(930、965)の主要機能は、次の機能の内の一部を含むことができる。
・ヘッダー圧縮及び圧縮解除機能(Header compression and decompression:ROHC only)
・ユーザデータ送信機能(Transfer of user data)
・順次的伝達機能(In-sequence delivery of upper layer PDUs)
・非順次的伝達機能(Out-of-sequence delivery of upper layer PDUs)
・順序再整列機能(PDCP PDU reordering for reception)
・重複探知機能(Duplicate detection of lower layer SDUs)
・再送信機能(Retransmission of PDCP SDUs)
・暗号化及び復号化機能(Ciphering and deciphering)
・タイマー基盤SDU削除機能(Timer-based SDU discard in uplink。)
・ヘッダー圧縮及び圧縮解除機能(Header compression and decompression:ROHC only)
・ユーザデータ送信機能(Transfer of user data)
・順次的伝達機能(In-sequence delivery of upper layer PDUs)
・非順次的伝達機能(Out-of-sequence delivery of upper layer PDUs)
・順序再整列機能(PDCP PDU reordering for reception)
・重複探知機能(Duplicate detection of lower layer SDUs)
・再送信機能(Retransmission of PDCP SDUs)
・暗号化及び復号化機能(Ciphering and deciphering)
・タイマー基盤SDU削除機能(Timer-based SDU discard in uplink。)
上記でNR PDCP装置の順序再整列機能(reordering)は、下位階層で受信した「PDCP PDU」を「PDCP SN」(sequence number)に基づいて順次に再整列する機能を言い、再整列された順にデータを上位階層に伝達する機能を含むか、又は手順を考慮せず、直ちに伝達する機能を含むことができ、手順を再整列して失われた「PDCP PDU」を記録する機能を含むことができ、失われた「PDCP PDU」に対する状態報告を送信側にする機能を含むことができ、失われた「PDCP PDU」に対する再送信をリクエストする機能を含むことができる。
NR RLC(935、960)の主要機能は、次の機能の内の一部を含むことができる。
・データ送信機能(Transfer of upper layer PDUs)
・順次的伝達機能(In-sequence delivery of upper layer PDUs)
・非順次的伝達機能(Out-of-sequence delivery of upper layer PDUs)
・ARQ機能(Error Correction through ARQ)
・接合、分割、再組立て機能(Concatenation、segmentation and reassembly of RLC SDUs)
・再分割機能(Re-segmentation of RLC data PDUs)
・順序再整列機能(Reordering of RLC data PDUs)
・重複探知機能(Duplicate detection)
・エラー探知機能(Protocol error detection)
・RLC SDU削除機能(RLC SDU discard)
・RLC再確立機能(RLC re-establishment)
・データ送信機能(Transfer of upper layer PDUs)
・順次的伝達機能(In-sequence delivery of upper layer PDUs)
・非順次的伝達機能(Out-of-sequence delivery of upper layer PDUs)
・ARQ機能(Error Correction through ARQ)
・接合、分割、再組立て機能(Concatenation、segmentation and reassembly of RLC SDUs)
・再分割機能(Re-segmentation of RLC data PDUs)
・順序再整列機能(Reordering of RLC data PDUs)
・重複探知機能(Duplicate detection)
・エラー探知機能(Protocol error detection)
・RLC SDU削除機能(RLC SDU discard)
・RLC再確立機能(RLC re-establishment)
上記で、NR RLC装置の順次的伝達機能(In-sequence delivery)は、下位階層から受信した「RLC SDU」を順次に上位階層に伝達する機能を言い、元々一つの「RLC SDU」が複数の「RLC SDU」に分割されて受信された場合、これを再組立てて伝達する機能を含むことができ、受信した「RLC PDU」を「RLC SN」(sequence number)又は「PDCP SN」(sequence number)を基準に再整列する機能を含むことができ、手順を再整列して失われた「RLC PDU」を記録する機能を含むことができ、失われた「RLC PDU」に対する状態を送信側に報告する機能を含むことができ、失われた「RLC PDU」に対する再送信をリクエストする機能を含むことができ、失われた「RLC SDU」がある場合、失われた「RLC SDU」以前までの「RLC SDU」のみを順に上位階層に伝達する機能を含むことができ、若しくは失われた「RLC SDU」があっても所定のタイマーが満了されると、タイマーが開始される前に受信されたすべての「RLC SDU」を順に上位階層に伝達する機能を含むことができ、若しくは失われた「RLC SDU」があっても所定のタイマーが満了されると、現在まで受信されたすべての「RLC SDU」を順に上位階層に伝達する機能を含むことができる。
また、上記で「RLC PDU」を受信する順に(シーケンス番号(Sequence number)の手順に関係なく、到着する順に)処理してPDCP装置で手順に関係なく(Out-of sequence delivery)伝達することもでき、segmentの場合には、バッファーに記憶されているか追後に受信されるsegmentを受信して完全な一つの「RLC PDU」で再構成した後、処理してPDCP装置で伝達することができる。
NR RLC階層は、接合(Concatenation)機能を含まないこともあり、上記機能をNR MAC階層で行うかNR MAC階層の多重化(multiplexing)機能で取り替えることができる。
NR RLC階層は、接合(Concatenation)機能を含まないこともあり、上記機能をNR MAC階層で行うかNR MAC階層の多重化(multiplexing)機能で取り替えることができる。
上記で、NR RLC装置の非順次的伝達機能(Out-of-sequence delivery)は、下位階層から受信した「RLC SDU」を手順と関係なく直ちに上位階層で伝達する機能を言い、元々一つの「RLC SDU」が複数の「RLC SDU」で分割されて受信された場合、これを再組立てて伝達する機能を含むことができ、受信した「RLC PDU」の「RLC SN」又は「PDCP SN」を記憶して手順を整列して失われた「RLC PDU」を記録する機能を含むことができる。
NR MAC(940、955)は、一つの端末に構成された複数のNR RLC階層装置と接続されることができ、NR MACの主要機能は、次の機能の内の一部を含むことができる。
・マッピング機能(Mapping between logical channels and transport channels)
・多重化及び逆多重化機能(Multiplexing/demultiplexing of MAC SDUs)
・スケジューリング情報報告機能 Scheduling information reporting)
・HARQ機能(Error correction through HARQ)
・ロジカルチャンネルの間の優先順位調節機能 (Priority handling between logical channels of one UE)
・端末の間の優先順位調節機能 (Priority handling between UEs by means of dynamic scheduling)
・MBMSサービス確認機能(MBMS service identification)
・送信フォーマット選択機能(Transport format selection)
・パディング機能(Padding)
・マッピング機能(Mapping between logical channels and transport channels)
・多重化及び逆多重化機能(Multiplexing/demultiplexing of MAC SDUs)
・スケジューリング情報報告機能 Scheduling information reporting)
・HARQ機能(Error correction through HARQ)
・ロジカルチャンネルの間の優先順位調節機能 (Priority handling between logical channels of one UE)
・端末の間の優先順位調節機能 (Priority handling between UEs by means of dynamic scheduling)
・MBMSサービス確認機能(MBMS service identification)
・送信フォーマット選択機能(Transport format selection)
・パディング機能(Padding)
NR PHY階層(945、950)は、上位階層データをチャンネルコーディング及び変調し、OFDMシンボルで造って無線チャンネルに送信するか、無線チャンネルを介して受信したOFDMシンボルを復調してチャンネルデコーディングして上位階層に伝達する動作を行う。
無線プロトコル構造は、キャリア(又はセル)操作方式に従って詳細構造を多様に変更することができる。
例えば、基地局が単一キャリア(又はセル)に基づいて端末にデータを送信する場合、基地局及び端末は、900のように各階層別に単一構造を有するプロトコル構造を用いる。
一方、基地局が単一TRPで多重キャリアを用いるCA(carrier aggregation)に基づいて端末にデータを送信する場合、基地局及び端末は、910のようにRLCまでは単一構造を有するが、「MAC layer」を介して「PHY layer」をmultiplexingするプロトコル構造を用いる。
また他の例示で基地局が多重TRPで多重キャリアを用いるDC(dual connectivity)に基づいて端末にデータを送信する場合、基地局及び端末は、920のようにRLCまでは単一構造を有するが、「MAC layer」を介して「PHY layer」をmultiplexingするプロトコル構造を用いる。
例えば、基地局が単一キャリア(又はセル)に基づいて端末にデータを送信する場合、基地局及び端末は、900のように各階層別に単一構造を有するプロトコル構造を用いる。
一方、基地局が単一TRPで多重キャリアを用いるCA(carrier aggregation)に基づいて端末にデータを送信する場合、基地局及び端末は、910のようにRLCまでは単一構造を有するが、「MAC layer」を介して「PHY layer」をmultiplexingするプロトコル構造を用いる。
また他の例示で基地局が多重TRPで多重キャリアを用いるDC(dual connectivity)に基づいて端末にデータを送信する場合、基地局及び端末は、920のようにRLCまでは単一構造を有するが、「MAC layer」を介して「PHY layer」をmultiplexingするプロトコル構造を用いる。
LTE及びNRで、端末は、サービング基地局に接続した状態で該当基地局に端末がサポートするcapabilityを報告する手順を有する。
以下の説明でこれを「UE capability」(報告)と指称する。
基地局は、接続状態の端末にcapability報告をリクエストする「UE capability enquiry」メッセージを伝達する。
メッセージには基地局の「RAT type」別の端末capabilityリクエストを含む。
「RAT type」別のリクエストには端末のcapabilityをリクエストする周波数バンド情報が含まれる。
また、「UE capability enquiry」メッセージは、一つのRRCメッセージcontainerで複数の「RAT type」をリクエストすることができ、又は基地局は、「UE capability enquiry」メッセージを各「RAT type」別のリクエストに含ませて複数回端末に伝達することができる。
すなわち、「UE capability Enquiry」が複数回繰り返されて端末は、ここに該当する「UE capability information」メッセージを構成して複数回報告する。
次世代移動通信システムでは、NR、LTE、EN-DCを含めたMR-DCに対する端末capabilityリクエストが行われる。
参考までに、「UE capability Enquiry」メッセージは、一般的に端末が接続を確立した以後、初期に送信することが一般的であるが、基地局が必要な時にどんな条件でもリクエストすることができる。
以下の説明でこれを「UE capability」(報告)と指称する。
基地局は、接続状態の端末にcapability報告をリクエストする「UE capability enquiry」メッセージを伝達する。
メッセージには基地局の「RAT type」別の端末capabilityリクエストを含む。
「RAT type」別のリクエストには端末のcapabilityをリクエストする周波数バンド情報が含まれる。
また、「UE capability enquiry」メッセージは、一つのRRCメッセージcontainerで複数の「RAT type」をリクエストすることができ、又は基地局は、「UE capability enquiry」メッセージを各「RAT type」別のリクエストに含ませて複数回端末に伝達することができる。
すなわち、「UE capability Enquiry」が複数回繰り返されて端末は、ここに該当する「UE capability information」メッセージを構成して複数回報告する。
次世代移動通信システムでは、NR、LTE、EN-DCを含めたMR-DCに対する端末capabilityリクエストが行われる。
参考までに、「UE capability Enquiry」メッセージは、一般的に端末が接続を確立した以後、初期に送信することが一般的であるが、基地局が必要な時にどんな条件でもリクエストすることができる。
上記段階で、基地局で「UE capability」報告リクエストを受けた端末は、基地局からリクエストされた「RAT type」及びバンド情報によって端末capabilityを構成する。
以下に、NRシステムで端末が「UE capability」を構成する方法を整理した。
以下に、NRシステムで端末が「UE capability」を構成する方法を整理した。
1.もし、端末が基地局から「UE capability」リクエストでLTE及び/又はNRバンドに対するリストが提供されると、端末は、「EN-DC」と「NR stand alone」(SA)に対する「band combination」(BC)を構成する。
すなわち、基地局に、「FreqBandList」でリクエストしたバンドに基づいて「EN-DC」と「NR SA」に対するBCの候補リストを構成する。
また、バンドの優先順位は、「FreqBandList」に記載した順に優先順位を有する。
すなわち、基地局に、「FreqBandList」でリクエストしたバンドに基づいて「EN-DC」と「NR SA」に対するBCの候補リストを構成する。
また、バンドの優先順位は、「FreqBandList」に記載した順に優先順位を有する。
2.もし、基地局が“eutra-nr-only”flag又は“eutra”flagをセッティングして「UE capability」報告をリクエストした場合、端末は、上記の構成されたBCの候補リストの内の「NR SA BC」に対することは完全に除去する。
このような動作は、LTE基地局(eNB)が“eutra” capabilityをリクエストする場合にだけ起きる。
このような動作は、LTE基地局(eNB)が“eutra” capabilityをリクエストする場合にだけ起きる。
3.以後の端末は、上記段階で構成されたBCの候補リストで「fallback BC」を除去する。
ここで、「fallback BC」は、特定の「super set BC」で最小一つのSCellに該当するバンドを除去した場合に該当し、「super set BC」が既に「fallback BC」をカバーすることができるため省略が可能である。
この段階は、MR-DC(multi-RAT dual connectivity)でも適用され、すなわち、LTEバンドも適用される。
この段階以後に残っているBCは、最終“候補BCリスト”である。
ここで、「fallback BC」は、特定の「super set BC」で最小一つのSCellに該当するバンドを除去した場合に該当し、「super set BC」が既に「fallback BC」をカバーすることができるため省略が可能である。
この段階は、MR-DC(multi-RAT dual connectivity)でも適用され、すなわち、LTEバンドも適用される。
この段階以後に残っているBCは、最終“候補BCリスト”である。
4.端末は、上記の最終“候補BCリスト”でリクエストされた「RAT type」に当たるBCを選択して報告するBCを選択する。
本段階では、定められた順序に端末が「supportedBandCombinationList」を構成する。
すなわち、端末は、予め設定された「rat-Type」の手順に合わせて報告するBC及び「UE capability」を構成する。(nr->eutra-nr->eutra)。
また、構成された「supportedBandCombinationList」に対する「featureSetCombination」を構成し、「fallback BC」(同一又は低い段階のcapabilityを含んでいる)に対するリストが除去された候補BCリストで“候補feature set combination”のリストを構成する。
上記の“候補feature set combination”は、NR及び「EUTRA-NR BC」に対する「feature set combination」をいずれも含み、「UE-NR-Capabilities」と「UE-MRDC-Capabilities」コンテナの「feature set combination」から得ることができる。
本段階では、定められた順序に端末が「supportedBandCombinationList」を構成する。
すなわち、端末は、予め設定された「rat-Type」の手順に合わせて報告するBC及び「UE capability」を構成する。(nr->eutra-nr->eutra)。
また、構成された「supportedBandCombinationList」に対する「featureSetCombination」を構成し、「fallback BC」(同一又は低い段階のcapabilityを含んでいる)に対するリストが除去された候補BCリストで“候補feature set combination”のリストを構成する。
上記の“候補feature set combination”は、NR及び「EUTRA-NR BC」に対する「feature set combination」をいずれも含み、「UE-NR-Capabilities」と「UE-MRDC-Capabilities」コンテナの「feature set combination」から得ることができる。
5.また、もしリクエストされた「rat Type」が「eutra-nr」であり、影響を与える場合、「featureSetCombinations」は、「UE-MRDC-Capabilities」と「UE-NR-Capabilities」の2つのコンテナに全部含まれる。
しかし、NRの「feature set」は、「UE-NR-Capabilities」だけに含まれる。
しかし、NRの「feature set」は、「UE-NR-Capabilities」だけに含まれる。
端末capabilityが構成されてから以後、端末は、「UE capability」が含まれた「UE capability information」メッセージを基地局に伝達する。
基地局は、端末から受信した「UE capability」に基づいて以後の該当端末に適当なスケジューリング及び送受信管理を行う。
基地局は、端末から受信した「UE capability」に基づいて以後の該当端末に適当なスケジューリング及び送受信管理を行う。
NRでは、端末のチャンネル状態報告のための基準信号で、CSI-RS(channel state information reference signal)をサポートし、上位レイヤーによって設定される各「CSI-RS resource configuration」は、少なくとも次の詳細設定情報を含むことができる。
ただ、以下の例示に制限されることではない。
ただ、以下の例示に制限されることではない。
*NZP-CSI-RS-Resource ConfigID:該当CSI-RS resource configurationのID
*NrofPorts:該当CSI-RS resourceが含むCSI-RSポート(port)数
*CSI-RS-timeConfig:該当CSI-RS resourceの送信周期及びスロットオフセット(slot offset)
*CSI-RS-ResourceMapping:該当CSI-RS resourceのslot内のOFDMシンボル(symbol)位置及びPRB内のサブキャリア(subcarrier)位置
*CSI-RS-Density:該当CSI-RSの周波数密度(frequency density)
*CDMType:該当CSI-RSのCDM 長さ(length)及びCDM RE パターン(pattern)
*CSI-RS-FreqBand:該当CSI-RSの送信帯域幅(bandwidth)及び開始位置
*Pc:PDSCH(physical downlink shared channel)EPRE(Energy Per RE)とNZP CSI-RS EPREの間の割合
*Pc-SS:SS/PBCH block EPREとNZP CSI-RS EPRE の間の割合
*CSI-RS-ResourceRep:一つの「resource set」内に属する「NZP CSI-RS resource」間の連動
*NrofPorts:該当CSI-RS resourceが含むCSI-RSポート(port)数
*CSI-RS-timeConfig:該当CSI-RS resourceの送信周期及びスロットオフセット(slot offset)
*CSI-RS-ResourceMapping:該当CSI-RS resourceのslot内のOFDMシンボル(symbol)位置及びPRB内のサブキャリア(subcarrier)位置
*CSI-RS-Density:該当CSI-RSの周波数密度(frequency density)
*CDMType:該当CSI-RSのCDM 長さ(length)及びCDM RE パターン(pattern)
*CSI-RS-FreqBand:該当CSI-RSの送信帯域幅(bandwidth)及び開始位置
*Pc:PDSCH(physical downlink shared channel)EPRE(Energy Per RE)とNZP CSI-RS EPREの間の割合
*Pc-SS:SS/PBCH block EPREとNZP CSI-RS EPRE の間の割合
*CSI-RS-ResourceRep:一つの「resource set」内に属する「NZP CSI-RS resource」間の連動
もし、「CSI-RS-ResourceRep」が‘ON’の場合、端末は、「resource set」内に属する「NZP CSI-RS resource」にいずれも同じ空間ドメイン送信フィルター(spatial domain transmission filter)が適用されて(すなわち、端末は基地局が同じ送信ビームを用いたと仮定することができる。
以下、送信ビーム(beam)は、方向性を有する送信信号を意味することができ、これは空間ドメイン送信フィルターの適用と混用されてもよい)、各「NZP CSI-RS resource」が同じ「CSI-RS」ポート数及び周期(periodicity)を持つことが分かる。
もし、「CSI-RS-ResourceRep」が‘OFF’の場合、端末は、「resource set」内に属する「NZP CSI-RS resource」にいずれも同じ空間ドメイン送信フィルター(spatial domain transmission filter)が適用されると仮定することができなく(すなわち、端末は基地局が同じ送信ビームを用いたと仮定することができない)、各「NZP CSI-RS resource」が同じ「CSI-RS」ポート数及び周期(periodicity)を有すると仮定することができない。
以下、送信ビーム(beam)は、方向性を有する送信信号を意味することができ、これは空間ドメイン送信フィルターの適用と混用されてもよい)、各「NZP CSI-RS resource」が同じ「CSI-RS」ポート数及び周期(periodicity)を持つことが分かる。
もし、「CSI-RS-ResourceRep」が‘OFF’の場合、端末は、「resource set」内に属する「NZP CSI-RS resource」にいずれも同じ空間ドメイン送信フィルター(spatial domain transmission filter)が適用されると仮定することができなく(すなわち、端末は基地局が同じ送信ビームを用いたと仮定することができない)、各「NZP CSI-RS resource」が同じ「CSI-RS」ポート数及び周期(periodicity)を有すると仮定することができない。
一部実施形態によれば、NRでは、一つの「CSI-RS resource」に{1、2、4、8、12、16、24、32}の内の一つの「CSI-RS」ポート数が設定され、「CSI-RS resource」に設定される「CSI-RS」ポート数によって互いに異なる設定自由度をサポートする。
表19は、「NR CSI-RS」ポート数(X)によって設定可能な「CSI-RS density」、「CDM length及びtype」、「CSI-RS component RE pattern」の周波数軸、及び時間軸開示位置(
)、「CSI-RS component RE pattern」の周波数軸RE個数(k’)及び時間軸RE個数(l’)、を示す。
表19は、「NR CSI-RS」ポート数(X)によって設定可能な「CSI-RS density」、「CDM length及びtype」、「CSI-RS component RE pattern」の周波数軸、及び時間軸開示位置(
)、「CSI-RS component RE pattern」の周波数軸RE個数(k’)及び時間軸RE個数(l’)、を示す。
一部実施形態によれば、「CSI-RS component RE pattern」は、「CSI-RS resource」を構成する基本単位として周波数軸で隣接した(Y=1+max(k’))個のREと、時間軸で隣接した(Z=1+max(l’))個のREで、総数YZ個のREから構成される。
表19を参照すると、NRでは、「CSI-RS resource」に設定される「CSI-RS」ポート数によって互いに異なる周波数軸設定自由度をサポートする。
表19を参照すると、NRでは、「CSI-RS resource」に設定される「CSI-RS」ポート数によって互いに異なる周波数軸設定自由度をサポートする。
図10は、一部実施形態による「CSI-RS」リソースマッピングによる「CSI-RS」リソースエレメントの指定を示す。
図10を参照すると、図10は、上位レイヤーによって設定される「CSI-RS-ResourceMapping」による「CSI-RS RE」指定例示を示す図である。
「CSI-RS」が1ポートの場合、「CSI-RS」がPRB内のサブキャリア制限無しに設定されることが可能であり、端末は、12ビットのビットマップによって「CSI-RS RE」位置が指定される(1000)。
{2、4、8、12、16、24、32}portで、Y=2の場合、「CSI-RS」がPRB内の2つサブキャリアごとに設定されることが可能であり、端末は、6ビットのビットマップによって「CSI-RS RE」位置が指定される(1005)。
4portで、Y=4の場合、「CSI-RS」がPRB内の4つサブキャリアごとに設定されることが可能であり、端末は、3ビットのビットマップによって「CSI-RS RE」位置が指定される(1010)。
これと同様に、時間軸R位置の場合、端末が「CSI-RS」を総数14ビットのビットマップによって指定されることが可能である。
この時、表19(CSI-RS locations within a slot)のZ値によって周波数位置指定のようにビットマップの長さが変わることが可能であるが、原理は前述の説明と同様であるため、詳しく説明は省略する。
図10を参照すると、図10は、上位レイヤーによって設定される「CSI-RS-ResourceMapping」による「CSI-RS RE」指定例示を示す図である。
「CSI-RS」が1ポートの場合、「CSI-RS」がPRB内のサブキャリア制限無しに設定されることが可能であり、端末は、12ビットのビットマップによって「CSI-RS RE」位置が指定される(1000)。
{2、4、8、12、16、24、32}portで、Y=2の場合、「CSI-RS」がPRB内の2つサブキャリアごとに設定されることが可能であり、端末は、6ビットのビットマップによって「CSI-RS RE」位置が指定される(1005)。
4portで、Y=4の場合、「CSI-RS」がPRB内の4つサブキャリアごとに設定されることが可能であり、端末は、3ビットのビットマップによって「CSI-RS RE」位置が指定される(1010)。
これと同様に、時間軸R位置の場合、端末が「CSI-RS」を総数14ビットのビットマップによって指定されることが可能である。
この時、表19(CSI-RS locations within a slot)のZ値によって周波数位置指定のようにビットマップの長さが変わることが可能であるが、原理は前述の説明と同様であるため、詳しく説明は省略する。
例えば、X=2ポートと設定された場合、基地局は、(1005)によって周波数軸RE位置を指定するようになり、もし、基地局が(1005)の「2」によって周波数軸サブキャリア位置を指定して(1015)の「9」によって時間軸「OFDM symbol」位置を指定するようになれば、これに基づいて端末は、該当PRB(1020)内の(1025)のRE位置で「CSI-RS」が送信されることが分かる。
上記説明のように、NRで、基地局は、CSI測定以外の「rate matching」又は「time/frequency tracking」など他の機能を提供するために端末に「CSI-RS」を設定する。
一方、「CSI-RS」測定以外他の機能のために設定される「CSI-RS」に「reporting setting」を設定する場合、不必要なCSI生成のために端末パワーを消費するようになるか、不必要なCSI報告のためにアップリンクリソースを浪費するようになる副作用があり得る。
一方、「CSI-RS」測定以外他の機能のために設定される「CSI-RS」に「reporting setting」を設定する場合、不必要なCSI生成のために端末パワーを消費するようになるか、不必要なCSI報告のためにアップリンクリソースを浪費するようになる副作用があり得る。
以下では、5G通信システムでのチャンネル状態測定及びチャンネル状態を報告する方法に対して具体的に記述する。
チャンネル状態情報(channel state information:CSI)には、チャンネル品質インジケーター(channel quality information:CQI)、プリコーディング行列インデックス(precoding matric indicator:PMI)、CSI-RSリソースインジケーター(CSI-RS resource indicator:CRI),SS/PBCHブロックリソースインジケーター(SS/PBCH block resource indicator:SSBRI)、レイヤインジケーター(layer indicator:LI)、ランクインジケーター(rank indicator:RI)、及び/又は「L1-RSRP」(Reference Signal Received Power)などが含まれ得る。
基地局は、端末の前述のCSI測定及び報告のための時間及び周波数リソースを制御する。
基地局は、端末の前述のCSI測定及び報告のための時間及び周波数リソースを制御する。
前述のCSI測定及び報告のために、端末は、N(≧1)個のCSI報告のためのセッティング(Setting)情報(CSI-ReportConfig)、M(≧1)個のRS送信リソースに対するセッティング情報(CSI-ResourceConfig)、1つ又は2つのトリガー(Trigger)状態(「CSI-AperiodicTriggerStateList」、「CSI-SemiPersistentOnPUSCH-TriggerStateList」)リスト(List)情報を、上位階層シグナリングを介して設定する。
前述のCSI測定及び報告のための設定情報は、より具体的には、表20~表26に記載した以下の通りである。
・「CSI-ReportConfig」
The IE CSI-ReportConfig is used to configure a periodic or semi-persistent report sent on PUCCH on the cell in which the CSI-ReportConfig is included,or to configure a semi-persistent or aperiodic report sent on PUSCH triggered by DCI received on the cell in which the CSI-ReportConfig is included(in this case,the cell on which the report is sent is determined by the received DCI). See TS 38.214 [19],clause 5.2.1.
The IE CSI-ReportConfig is used to configure a periodic or semi-persistent report sent on PUCCH on the cell in which the CSI-ReportConfig is included,or to configure a semi-persistent or aperiodic report sent on PUSCH triggered by DCI received on the cell in which the CSI-ReportConfig is included(in this case,the cell on which the report is sent is determined by the received DCI). See TS 38.214 [19],clause 5.2.1.
CSI-ReportConfig field descriptions
・「carrier」:Indicates in which serving cell the CSI-ResourceConfig indicated below are to be found. If the field is absent,the resources are on the same serving cell as this report configuration.
・「codebookConfig」:Codebook configuration for Type-1 or Type-II including codebook subset restriction.
・「cqi-FormatIndicator」:Indicates whether the UE shall report a single(wideband)or multiple(subband)CQI. (see TS 38.214 [19],clause 5.2.1.4).
・「cqi-Table」:Which CQI table to use for CQI calculation(see TS 38.214 [19],clause 5.2.2.1).
・「csi-IM-ResourcesForInterference」:CSI IM resources for interference measurement. csi-ResourceConfigId of a CSI-ResourceConfig included in the configuration of the serving cell indicated with the field “carrier” above.The CSI-ResourceConfig indicated here contains only CSI-IM resources.The bwp-Id in that CSI-ResourceConfig is the same value as the bwp-Id in the CSI-ResourceConfig indicated by resourcesForChannelMeasurement.
・「carrier」:Indicates in which serving cell the CSI-ResourceConfig indicated below are to be found. If the field is absent,the resources are on the same serving cell as this report configuration.
・「codebookConfig」:Codebook configuration for Type-1 or Type-II including codebook subset restriction.
・「cqi-FormatIndicator」:Indicates whether the UE shall report a single(wideband)or multiple(subband)CQI. (see TS 38.214 [19],clause 5.2.1.4).
・「cqi-Table」:Which CQI table to use for CQI calculation(see TS 38.214 [19],clause 5.2.2.1).
・「csi-IM-ResourcesForInterference」:CSI IM resources for interference measurement. csi-ResourceConfigId of a CSI-ResourceConfig included in the configuration of the serving cell indicated with the field “carrier” above.The CSI-ResourceConfig indicated here contains only CSI-IM resources.The bwp-Id in that CSI-ResourceConfig is the same value as the bwp-Id in the CSI-ResourceConfig indicated by resourcesForChannelMeasurement.
・「csi-ReportingBand」:Indicates a contiguous or non-contiguous subset of subbands in the bandwidth part which CSI shall be reported for.Each bit in the bit-string represents one subband.The right-most bit in the bit string represents the lowest subband in the BWP.The choice determines the number of subbands(subbands3 for 3 subbands、subbands4 for 4 subbands、and so on)(see TS 38.214 [19],clause 5.2.1.4).This field is absent if there are less than 24 PRBs(no sub band)and present otherwise、the number of sub bands can be from 324 PRBs、sub band size 8)to 18(72 PRBs、sub band size 4).
・「dummy」:This field is not used in the specification. If received it shall be ignored by the UE.
・「groupBasedBeamReporting」:Turning on/off group beam based reporting(see TS 38.214 [19],clause 5.2.1.4)
・「non-PMI-PortIndication」:Port indication for RI/CQI calculation. For each CSI-RS resource in the linked ResourceConfig for channel measurement,a port indication for each rank R、indicating which R ports to use.Applicable only for non-PMI feedback(see TS 38.214 [19],clause 5.2.1.4.2.
・「dummy」:This field is not used in the specification. If received it shall be ignored by the UE.
・「groupBasedBeamReporting」:Turning on/off group beam based reporting(see TS 38.214 [19],clause 5.2.1.4)
・「non-PMI-PortIndication」:Port indication for RI/CQI calculation. For each CSI-RS resource in the linked ResourceConfig for channel measurement,a port indication for each rank R、indicating which R ports to use.Applicable only for non-PMI feedback(see TS 38.214 [19],clause 5.2.1.4.2.
The first entry in non-PMI-PortIndication corresponds to the NZP-CSI-RS-Resource indicated by the first entry in nzp-CSI-RS-Resources in the NZP-CSI-RS-ResourceSet indicated in the first entry of nzp-CSI-RS-ResourceSetList of the CSI-ResourceConfig whose CSI-ResourceConfigId is indicated in a CSI-MeasId together with the above CSI-ReportConfigId;the second entry in non-PMI-PortIndication corresponds to the NZP-CSI-RS-Resource indicated by the second entry in nzp-CSI-RS-Resources in the NZP-CSI-RS-ResourceSet indicated in the first entry of nzp-CSI-RS-ResourceSetList of the same CSI-ResourceConfig、and so on until the NZP-CSI-RS-Resource indicated by the last entry in nzp-CSI-RS-Resources in the in the NZP-CSI-RS-ResourceSet indicated in the first entry of nzp-CSI-RS-ResourceSetList of the same CSI-ResourceConfig.Then the next entry corresponds to the NZP-CSI-RS-Resource indicated by the first entry in nzp-CSI-RS-Resources in the NZP-CSI-RS-ResourceSet indicated in the second entry of nzp-CSI-RS-ResourceSetList of the same CSI-ResourceConfig and so on.
・「nrofReportedRS」:The number(N)of measured RS resources to be reported per report setting in a non-group-based report.N <=N_max、where N_max is either 2 or 4 depending on UE capability.
(see TS 38.214 [19],clause 5.2.1.4)When the field is absent the UE applies the value 1
・「nzp-CSI-RS-ResourcesForInterference」:NZP CSI RS resources for interference measurement. csi-ResourceConfigId of a CSI-ResourceConfig included in the configuration of the serving cell indicated with the field “carrier” above.The CSI-ResourceConfig indicated here contains only NZP-CSI-RS resources.The bwp-Id in that CSI-ResourceConfig is the same value as the bwp-Id in the CSI-ResourceConfig indicated by resourcesForChannelMeasurement.
(see TS 38.214 [19],clause 5.2.1.4)When the field is absent the UE applies the value 1
・「nzp-CSI-RS-ResourcesForInterference」:NZP CSI RS resources for interference measurement. csi-ResourceConfigId of a CSI-ResourceConfig included in the configuration of the serving cell indicated with the field “carrier” above.The CSI-ResourceConfig indicated here contains only NZP-CSI-RS resources.The bwp-Id in that CSI-ResourceConfig is the same value as the bwp-Id in the CSI-ResourceConfig indicated by resourcesForChannelMeasurement.
・「p0alpha」:Index of the p0-alpha set determining the power control for this CSI report transmission(see TS 38.214 [19],clause 6.2.1.2).
・「pdsch-BundleSizeForCSI」:PRB bundling size to assume for CQI calculation when reportQuantity is CRI/RI/i1/CQI. If the field is absent、the UE assumes that no PRB bundling is applied(see TS 38.214 [19],clause 5.2.1.4.2).
・「pmi-FormatIndicator」:Indicates whether the UE shall report a single(wideband)or multiple(subband)PMI. (see TS 38.214 [19],clause 5.2.1.4).
・「pucch-CSI-ResourceList」:Indicates which PUCCH resource to use for reporting on PUCCH.
・「pdsch-BundleSizeForCSI」:PRB bundling size to assume for CQI calculation when reportQuantity is CRI/RI/i1/CQI. If the field is absent、the UE assumes that no PRB bundling is applied(see TS 38.214 [19],clause 5.2.1.4.2).
・「pmi-FormatIndicator」:Indicates whether the UE shall report a single(wideband)or multiple(subband)PMI. (see TS 38.214 [19],clause 5.2.1.4).
・「pucch-CSI-ResourceList」:Indicates which PUCCH resource to use for reporting on PUCCH.
・「reportConfigType」:Time domain behavior of reporting configuration.
・reportFreqConfiguration:Reporting configuration in the frequency domain.(see TS 38.214 [19],clause 5.2.1.4).
・「reportQuantity」:The CSI related quantities to report.Corresponds to L1 parameter‘eportQuantity’(see TS 38.214 [19],clause 5.2.1).
・「reportSlotConfig」:Periodicity and slot offset(see TS 38.214 [19],clause 5.2.1.4).
・reportFreqConfiguration:Reporting configuration in the frequency domain.(see TS 38.214 [19],clause 5.2.1.4).
・「reportQuantity」:The CSI related quantities to report.Corresponds to L1 parameter‘eportQuantity’(see TS 38.214 [19],clause 5.2.1).
・「reportSlotConfig」:Periodicity and slot offset(see TS 38.214 [19],clause 5.2.1.4).
・「reportSlotConfig-v1530」:Extended value range for reportSlotConfig for semi-persistent CSI on PUSCH. If the field is present、the UE shall ignore the value provided in the legacy field(semiPersistentOnPUSCH.reportSlotConfig).
・「reportSlotOffsetList」:Timing offset Y for semi persistent reporting using PUSCH.This field lists the allowed offset values.This list must have the same number of entries as the pusch-TimeDomainAllocationList in PUSCH-Config. A particular value is indicated in DCI.The network indicates in the DCI field of the UL grant、which of the configured report slot offsets the UE shall apply.The DCI value 0 corresponds to the first report slot offset in this list、the DCI value 1 corresponds to the second report slot offset in this list、and so on.The first report is transmitted in slot n+Y、second report in n+Y+P,where P is the configured periodicity.
・「reportSlotOffsetList」:Timing offset Y for semi persistent reporting using PUSCH.This field lists the allowed offset values.This list must have the same number of entries as the pusch-TimeDomainAllocationList in PUSCH-Config. A particular value is indicated in DCI.The network indicates in the DCI field of the UL grant、which of the configured report slot offsets the UE shall apply.The DCI value 0 corresponds to the first report slot offset in this list、the DCI value 1 corresponds to the second report slot offset in this list、and so on.The first report is transmitted in slot n+Y、second report in n+Y+P,where P is the configured periodicity.
Timing offset Y for aperiodic reporting using PUSCH. This field lists the allowed offset values.This list must have the same number of entries as the pusch-TimeDomainAllocationList in PUSCH-Config.A particular value is indicated in DCI.The network indicates in the DCI field of the UL grant、which of the configured report slot offsets the UE shall apply.The DCI value 0 corresponds to the first report slot offset in this list、the DCI value 1 corresponds to the second report slot offset in this list、and so on(see TS 38.214 [19],clause 5.2.3).
・「resourcesForChannelMeasurement」:Resources for channel measurement. csi-ResourceConfigId of a CSI-ResourceConfig included in the configuration of the serving cell indicated with the field “carrier” above. The CSI-ResourceConfig indicated here contains only NZP-CSI-RS resources and/or SSB resources.This CSI-ReportConfig is associated with the DL BWP indicated by bwp-Id in that CSI-ResourceConfig.
・「subbandSize」:Indicates one out of two possible BWP-dependent values for the subband size as indicated in TS 38.214 [19],table 5.2.1.4-2. If csi-ReportingBand is absent、the UE shall ignore this field.
・「timeRestrictionForChannelMeasurements」:Time domain measurement restriction for the channel(signal)measurements(see TS 38.214 [19],clause 5.2.1.1).
・「timeRestrictionForInterferenceMeasurements」:Time domain measurement restriction for interference measurements(see TS 38.214 [19],clause 5.2.1.1).
・「subbandSize」:Indicates one out of two possible BWP-dependent values for the subband size as indicated in TS 38.214 [19],table 5.2.1.4-2. If csi-ReportingBand is absent、the UE shall ignore this field.
・「timeRestrictionForChannelMeasurements」:Time domain measurement restriction for the channel(signal)measurements(see TS 38.214 [19],clause 5.2.1.1).
・「timeRestrictionForInterferenceMeasurements」:Time domain measurement restriction for interference measurements(see TS 38.214 [19],clause 5.2.1.1).
CSI-ResourceConfig
The IE CSI-ResourceConfig defines a group of one or more NZP-CSI-RS-ResourceSet,CSI-IM-ResourceSet and/or CSI-SSB-ResourceSet.
CSI-ResourceConfig information element
The IE CSI-ResourceConfig defines a group of one or more NZP-CSI-RS-ResourceSet,CSI-IM-ResourceSet and/or CSI-SSB-ResourceSet.
CSI-ResourceConfig information element
CSI-ResourceConfig field descriptions
・「bwp-Id」:The DL BWP which the CSI-RS associated with this CSI-ResourceConfig are located in(see TS 38.214 [19],clause 5.2.1.2 [374].
・「csi-ResourceConfigId」:Used in CSI-ReportConfig to refer to an instance of CSI-ResourceConfig.
・「csi-RS-ResourceSetList」:Contains up to maxNrofNZP-CSI-RS-ResourceSetsPerConfig resource sets if ResourceConfigType is ‘aperiodic’ and 1 otherwise(see TS 38.214 [19],clause 5.2.1.2).
・「csi-SSB-ResourceSetList」:List of SSB resources used for beam measurement and reporting in a resource set(see TS 38.214 [19],section FFS_Section).
・「resourceType」:Time domain behavior of resource configuration(see TS 38.214 [19],clause 5.2.1.2). It does not apply to resources provided in the csi-SSB-ResourceSetList.
・「csi-ResourceConfigId」:Used in CSI-ReportConfig to refer to an instance of CSI-ResourceConfig.
・「csi-RS-ResourceSetList」:Contains up to maxNrofNZP-CSI-RS-ResourceSetsPerConfig resource sets if ResourceConfigType is ‘aperiodic’ and 1 otherwise(see TS 38.214 [19],clause 5.2.1.2).
・「csi-SSB-ResourceSetList」:List of SSB resources used for beam measurement and reporting in a resource set(see TS 38.214 [19],section FFS_Section).
・「resourceType」:Time domain behavior of resource configuration(see TS 38.214 [19],clause 5.2.1.2). It does not apply to resources provided in the csi-SSB-ResourceSetList.
NZP-CSI-RS-ResourceSet
The IE NZP-CSI-RS-ResourceSet is a set of Non-Zero-Power(NZP)CSI-RS resources(their IDs)and set-specific parameters.
NZP-CSI-RS-ResourceSet information element
The IE NZP-CSI-RS-ResourceSet is a set of Non-Zero-Power(NZP)CSI-RS resources(their IDs)and set-specific parameters.
NZP-CSI-RS-ResourceSet information element
NZP-CSI-RS-ResourceSet field descriptions
・「aperiodicTriggeringOffset」:Offset X between the slot containing the DCI that triggers a set of aperiodic NZP CSI-RS resources and the slot in which the CSI-RS resource set is transmitted. The value 0 corresponds to 0 slots、value 1 corresponds to 1 slot,value 2 corresponds to 2 slots、value 3 corresponds to 3 slots,value 4 corresponds to 4 slots,value 5 corresponds to 16 slots、value 6 corresponds to 24 slots.When the field is absent the UE applies the value 0.
・「nzp-CSI-RS-Resources」:NZP-CSI-RS-Resources associated with this NZP-CSI-RS resource set(see TS 38.214 [19],clause 5.2). For CSI,there are at most 8 NZP CSI RS resources per resource set.
・「repetition」:Indicates whether repetition is on/off.If the field is set to ‘OFF’or if the field is absent,the UE may not assume that the NZP-CSI-RS resources within the resource set are transmitted with the same downlink spatial domain transmission filter and with same NrofPorts in every symbol(see TS 38.214 [19],clauses 5.2.2.3.1 and 5.1.6.1.2). Can only be configured for CSI-RS resource sets which are associated with CSI-ReportConfig with report of L1 RSRP or “no report”
・「trs-Info」:Indicates that the antenna port for all NZP-CSI-RS resources in the CSI-RS resource set is same.If the field is absent or released the UE applies the value “false”(see TS 38.214 [19],clause 5.2.2.3.1).
・「nzp-CSI-RS-Resources」:NZP-CSI-RS-Resources associated with this NZP-CSI-RS resource set(see TS 38.214 [19],clause 5.2). For CSI,there are at most 8 NZP CSI RS resources per resource set.
・「repetition」:Indicates whether repetition is on/off.If the field is set to ‘OFF’or if the field is absent,the UE may not assume that the NZP-CSI-RS resources within the resource set are transmitted with the same downlink spatial domain transmission filter and with same NrofPorts in every symbol(see TS 38.214 [19],clauses 5.2.2.3.1 and 5.1.6.1.2). Can only be configured for CSI-RS resource sets which are associated with CSI-ReportConfig with report of L1 RSRP or “no report”
・「trs-Info」:Indicates that the antenna port for all NZP-CSI-RS resources in the CSI-RS resource set is same.If the field is absent or released the UE applies the value “false”(see TS 38.214 [19],clause 5.2.2.3.1).
CSI-SSB-ResourceSet
The IE CSI-SSB-ResourceSet is used to configure one SS/PBCH block resource set which refers to SS/PBCH as indicated in ServingCellConfigCommon.
CSI-SSB-ResourceSet information element
The IE CSI-SSB-ResourceSet is used to configure one SS/PBCH block resource set which refers to SS/PBCH as indicated in ServingCellConfigCommon.
CSI-SSB-ResourceSet information element
CSI-IM-ResourceSet
The IE CSI-IM-ResourceSet is used to configure a set of one or more CSI Interference Management(IM)resources(their IDs)and set-specific parameters.
CSI-IM-ResourceSet information element
The IE CSI-IM-ResourceSet is used to configure a set of one or more CSI Interference Management(IM)resources(their IDs)and set-specific parameters.
CSI-IM-ResourceSet information element
CSI-AperiodicTriggerStateList
The CSI-AperiodicTriggerStateList IE is used to configure the UE with a list of aperiodic trigger states. Each codepoint of the DCI field “CSI request” is associated with one trigger state.Upon reception of the value associated with a trigger state,the UE will perform measurement of CSI-RS(reference signals)and aperiodic reporting on L1 according to all entries in the associatedReportConfigInfoList for that trigger state.
CSI-AperiodicTriggerStateList information element
The CSI-AperiodicTriggerStateList IE is used to configure the UE with a list of aperiodic trigger states. Each codepoint of the DCI field “CSI request” is associated with one trigger state.Upon reception of the value associated with a trigger state,the UE will perform measurement of CSI-RS(reference signals)and aperiodic reporting on L1 according to all entries in the associatedReportConfigInfoList for that trigger state.
CSI-AperiodicTriggerStateList information element
CSI-AssociatedReportConfigInfo field descriptions
・「csi-IM-ResourcesForInterference」:CSI-IM-ResourceSet for interference measurement. Entry number in csi-IM-ResourceSetList in the CSI-ResourceConfig indicated by csi-IM-ResourcesForInterference in the CSI-ReportConfig indicated by reportConfigId above(1 corresponds to the first entry、2 to the second entry、and so on).The indicated CSI-IM-ResourceSet should have exactly the same number of resources like the NZP-CSI-RS-ResourceSet indicated in nzp-CSI-RS-ResourcesforChannel.
・「csi-SSB-ResourceSet」:CSI-SSB-ResourceSet for channel measurements. Entry number in csi-SSB-ResourceSetList in the CSI-ResourceConfig indicated by resourcesForChannelMeasurement in the CSI-ReportConfig indicated by reportConfigId above(1 corresponds to the first entry,2 to the second entry,and so on).
・「nzp-CSI-RS-ResourcesForInterference」:NZP-CSI-RS-ResourceSet for interference measurement.Entry number in nzp-CSI-RS-ResourceSetList in the CSI-ResourceConfig indicated by nzp-CSI-RS-ResourcesForInterference in the CSI-ReportConfig indicated by reportConfigId above(1 corresponds to the first entry,2 to the second entry、and so on).
・「csi-SSB-ResourceSet」:CSI-SSB-ResourceSet for channel measurements. Entry number in csi-SSB-ResourceSetList in the CSI-ResourceConfig indicated by resourcesForChannelMeasurement in the CSI-ReportConfig indicated by reportConfigId above(1 corresponds to the first entry,2 to the second entry,and so on).
・「nzp-CSI-RS-ResourcesForInterference」:NZP-CSI-RS-ResourceSet for interference measurement.Entry number in nzp-CSI-RS-ResourceSetList in the CSI-ResourceConfig indicated by nzp-CSI-RS-ResourcesForInterference in the CSI-ReportConfig indicated by reportConfigId above(1 corresponds to the first entry,2 to the second entry、and so on).
・「qcl-info」:List of references to TCI-States for providing the QCL source and QCL type for each NZP-CSI-RS-Resource listed in nzp-CSI-RS-Resources of the NZP-CSI-RS-ResourceSet indicated by nzp-CSI-RS-ResourcesforChannel.Each TCI-StateId refers to the TCI-State which has this value for tci-StateId and is defined in tci-StatesToAddModList in the PDSCH-Config included in the BWP-Downlink corresponding to the serving cell and to the DL BWP to which the resourcesForChannelMeasurement(in the CSI-ReportConfig indicated by reportConfigId above)belong to.First entry in qcl-info-forChannel corresponds to first entry in nzp-CSI-RS-Resources of that NZP-CSI-RS-ResourceSet、second entry in qcl-info-forChannel corresponds to second entry in nzp-CSI-RS-Resources,
and so on(see TS 38.214 [19],clause 5.2.1.5.1)
・「reportConfigId」:The reportConfigId of one of the CSI-ReportConfigToAddMod configured in CSI-MeasConfig.
・「resourceSet」:NZP-CSI-RS-ResourceSet for channel measurements.Entry number in nzp-CSI-RS-ResourceSetList in the CSI-ResourceConfig indicated by resourcesForChannelMeasurement in the CSI-ReportConfig indicated by reportConfigId above(1 corresponds to the first entry, 2 to thesecond entry、and so on).
and so on(see TS 38.214 [19],clause 5.2.1.5.1)
・「reportConfigId」:The reportConfigId of one of the CSI-ReportConfigToAddMod configured in CSI-MeasConfig.
・「resourceSet」:NZP-CSI-RS-ResourceSet for channel measurements.Entry number in nzp-CSI-RS-ResourceSetList in the CSI-ResourceConfig indicated by resourcesForChannelMeasurement in the CSI-ReportConfig indicated by reportConfigId above(1 corresponds to the first entry, 2 to thesecond entry、and so on).
CSI-SemiPersistentOnPUSCH-TriggerStateList
The CSI-SemiPersistentOnPUSCH-TriggerStateList IE is used to configure the UE with list of trigger states for semi-persistent reporting of channel state information on L1.See also TS 38.214 [19],clause 5.2.
CSI-SemiPersistentOnPUSCH-TriggerStateList information element
The CSI-SemiPersistentOnPUSCH-TriggerStateList IE is used to configure the UE with list of trigger states for semi-persistent reporting of channel state information on L1.See also TS 38.214 [19],clause 5.2.
CSI-SemiPersistentOnPUSCH-TriggerStateList information element
前述のCSI報告セッティング(CSI-ReportConfig)に対し、各報告セッティング「CSI-ReportConfig」は、該当報告セッティングと関連(Association)したCSIリソースセッティング、「CSI-ResourceConfig」で与えられる上位階層パラメーター帯域幅部分識別子(bwp-id)で識別される一つのダウンリンク(downlink:DL)帯域幅部分と関連される。
各報告セッティング「CSI-ReportConfig」に対する時間ドメイン報告動作で、‘非周期的(Aperiodic)’、‘半永久的(Semi-Persistent)’、‘周期的(Periodic)’方式がサポートされ、これは上位階層から設定された「reportConfigType」パラメーターによって基地局から端末に設定される。
半永久的CSI報告方法は、‘PUCCH基盤半永久的(semi-PersistentOnPUCCH)’、‘PUSCH基盤半永久的(semi-PersistentOnPUSCH)’をサポートする。
周期的又は半永久的CSI報告方法の場合、端末は、CSIを送信するPUCCH又はPUSCHリソースを基地局から上位階層シグナリングを介して設定される。
CSIを送信するPUCCH又はPUSCHリソースの周期とスロットオフセットは、CSI報告が送信されるように設定されたアップリンク(uplink:UL)帯域幅部分のヌマララジ(Numerology)に基づいて与えられる。
非周期的CSI報告方法の場合、端末は、CSIを送信するPUSCHリソースを基地局からL1シグナリング(DCI、例えば、前述のDCIフォーマット0_1)を介してスケジューリングされる。
半永久的CSI報告方法は、‘PUCCH基盤半永久的(semi-PersistentOnPUCCH)’、‘PUSCH基盤半永久的(semi-PersistentOnPUSCH)’をサポートする。
周期的又は半永久的CSI報告方法の場合、端末は、CSIを送信するPUCCH又はPUSCHリソースを基地局から上位階層シグナリングを介して設定される。
CSIを送信するPUCCH又はPUSCHリソースの周期とスロットオフセットは、CSI報告が送信されるように設定されたアップリンク(uplink:UL)帯域幅部分のヌマララジ(Numerology)に基づいて与えられる。
非周期的CSI報告方法の場合、端末は、CSIを送信するPUSCHリソースを基地局からL1シグナリング(DCI、例えば、前述のDCIフォーマット0_1)を介してスケジューリングされる。
前述のCSIリソースセッティング(CSI-ResourceConfig)に対し、各CSIリソースセッティング「CSI-ReportConfig」は、S(≧1)個のCSIリソースセット(上位階層パラメーター「csi-RS-ResourceSetList」に設定される)を含む。
CSIリソースセットリストは、ノン-ゼロパワー(non-zero power:NZP)「CSI-RS」リソースセットと「SS/PBCH」ブロックセットから構成されるか、又はCSI干渉測定(CSI-interference measurement:CSI-IM)リソースセットから構成される。
各CSIリソースセッティングは、上位階層パラメーター「bwp-id」で識別されるダウンリンク(downlink:DL)帯域幅部分に位置し、CSIリソースセッティングは、同じダウンリンク帯域幅部分のCSI報告セッティングと接続される。
CSIリソースセッティング内の「CSI-RS」リソースの時間ドメイン動作は、上位階層パラメーターresourceTypeから‘非周期的’、‘周期的’又は‘半永久的’の内の一つに設定される。
周期的又は半永久的CSIリソースセッティングに対し、「CSI-RS」リソースセットの数は、S=1で制限され、設定された周期とスロットオフセットは、「bwp-id」に識別されるダウンリンク帯域幅部分のヌマララジジに基づいて与えられる。
端末は、基地局から上位階層シグナリングを介してチャンネル又は干渉測定のための一つ又は一つ以上のCSIリソースセッティングが設定され、例えば、以下のCSIリソースを含むことができる。
CSIリソースセットリストは、ノン-ゼロパワー(non-zero power:NZP)「CSI-RS」リソースセットと「SS/PBCH」ブロックセットから構成されるか、又はCSI干渉測定(CSI-interference measurement:CSI-IM)リソースセットから構成される。
各CSIリソースセッティングは、上位階層パラメーター「bwp-id」で識別されるダウンリンク(downlink:DL)帯域幅部分に位置し、CSIリソースセッティングは、同じダウンリンク帯域幅部分のCSI報告セッティングと接続される。
CSIリソースセッティング内の「CSI-RS」リソースの時間ドメイン動作は、上位階層パラメーターresourceTypeから‘非周期的’、‘周期的’又は‘半永久的’の内の一つに設定される。
周期的又は半永久的CSIリソースセッティングに対し、「CSI-RS」リソースセットの数は、S=1で制限され、設定された周期とスロットオフセットは、「bwp-id」に識別されるダウンリンク帯域幅部分のヌマララジジに基づいて与えられる。
端末は、基地局から上位階層シグナリングを介してチャンネル又は干渉測定のための一つ又は一つ以上のCSIリソースセッティングが設定され、例えば、以下のCSIリソースを含むことができる。
・干渉測定のための「CSI-IM」リソース
・干渉測定のための「NZPCSI-RS」リソース
・チャンネル測定のための「NZP CSI-RS」リソース
・干渉測定のための「NZPCSI-RS」リソース
・チャンネル測定のための「NZP CSI-RS」リソース
上位階層パラメーター「resourceType」が、‘非周期’、‘周期’、又は‘半永久的’と設定されたリソースセッティングと関連しているCSI-RSリソースセットに対し、「reportType」が‘非周期’と設定されているCSI報告セッティングに対するトリガー(Trigger)状態(State)と一つ又は複数個のコンポネントセル(Component Cell:CC)に対するチャンネル又は干渉測定に対するリソースセッティングが上位階層パラメーター「CSI-AperiodicTriggerStateList」と設定される。
端末の非周期的CSI報告は、PUSCHを利用して行われ、周期的CSI報告は、PUCCHを利用して行われ、半永久的CSI報告は、DCIでトリガリング(triggering)又は活性化(Activated)された場合、PUSCH、MAC制御要素(MAC control element:MAC CE)で活性化(Activated)された以後にはPUCCHを利用して行われる。
前述したようにCSIリソースセッティングも非周期的、周期的、半永久的と設定され得る。
CSI報告セッティングとCSIリソース設定間の組み合せは、以下の表27に基づいてサポートされる。
前述したようにCSIリソースセッティングも非周期的、周期的、半永久的と設定され得る。
CSI報告セッティングとCSIリソース設定間の組み合せは、以下の表27に基づいてサポートされる。
非周期的CSI報告は、PUSCHに対するスケジューリングDCIに該当する前述のDCIフォーマット(0_1)の“CSIリクエスト(request)”フィールドでトリガーされる。
端末は、PDCCHをモニタリングでき、DCIフォーマット(0_1)を取得し、PUSCHに対するスケジューリング情報及びCSIリクエストインジケーターを取得する。
CSIリクエストインジケーターは、NTS(=0、1、2、3、4、5、又は6)ビットと設定され、CSIリクエストインジケーターのビット数は、上位階層シグナリング(reportTriggerSize)によって決定される。
上位階層シグナリング(CSI-AperiodicTriggerStateList)と設定され得る一つ又は複数個の非周期的CSI報告トリガー状態の内の一つのトリガー状態がCSIリクエストインジケーターによってトリガーされる。
端末は、PDCCHをモニタリングでき、DCIフォーマット(0_1)を取得し、PUSCHに対するスケジューリング情報及びCSIリクエストインジケーターを取得する。
CSIリクエストインジケーターは、NTS(=0、1、2、3、4、5、又は6)ビットと設定され、CSIリクエストインジケーターのビット数は、上位階層シグナリング(reportTriggerSize)によって決定される。
上位階層シグナリング(CSI-AperiodicTriggerStateList)と設定され得る一つ又は複数個の非周期的CSI報告トリガー状態の内の一つのトリガー状態がCSIリクエストインジケーターによってトリガーされる。
・CSIリクエストフィールドのすべてのビットが「0」の場合、これはCSI報告をリクエストしないことを意味する。
・もし、設定された「CSI-AperiodicTriggerStateLite」内のCSIトリガー状態の数(M)が、2NTs-1より大きい場合、先ず定義されているマッピング関係によって、M個のCSIトリガー状態が2NTs-1でマッピングされ、2NTs-1のトリガー状態の内の一つのトリガー状態がCSIリクエストフィールドに指示される。
・もし、設定された「CSI-AperiodicTriggerStateLite」内のCSIトリガー状態の数(M)が、2NTs-1と小さい又は同一の場合、M個のCSIトリガー状態の内の一つがCSIリクエストフィールドで指示される。
・もし、設定された「CSI-AperiodicTriggerStateLite」内のCSIトリガー状態の数(M)が、2NTs-1より大きい場合、先ず定義されているマッピング関係によって、M個のCSIトリガー状態が2NTs-1でマッピングされ、2NTs-1のトリガー状態の内の一つのトリガー状態がCSIリクエストフィールドに指示される。
・もし、設定された「CSI-AperiodicTriggerStateLite」内のCSIトリガー状態の数(M)が、2NTs-1と小さい又は同一の場合、M個のCSIトリガー状態の内の一つがCSIリクエストフィールドで指示される。
以下の表28は、CSIリクエストインジケーターと該当インジケーターに指示され得るCSIトリガー状態の間の関係に対する一例を示す。
CSIリクエストフィールドにトリガーされたCSIトリガー状態内のCSIリソースに対して、端末は、測定を行い、これからCSI(前述のCQI、PMI、CRI、SSBRI、LI、RI、又は「L1-RSRP」などの内の少なくとも一つ以上を含み)を生成する。
端末は、取得したCSIを該当DCIフォーマット(0_1)がスケジューリングするPUSCHを用いて送信する。
DCIフォーマット(0_1)内のアップリンクデータインジケーター(UL-SCH indicator)に該当する1ビットが“1”を指示する場合、DCIフォーマット(0_1)がスケジューリングしたPUSCHリソースにアップリンクデータ(UL-SCH)と取得したCSIを多重化(Multiplexing)して送信する。
DCIフォーマット(0_1)内のアップリンクデータインジケーター(UL-SCH indicator)に該当する1ビットが“0”を指示する場合、DCIフォーマット(0_1)がスケジューリングしたPUSCHリソースにアップリンクデータ(UL-SCH)無しにCSIのみをマッピングして送信する。
端末は、取得したCSIを該当DCIフォーマット(0_1)がスケジューリングするPUSCHを用いて送信する。
DCIフォーマット(0_1)内のアップリンクデータインジケーター(UL-SCH indicator)に該当する1ビットが“1”を指示する場合、DCIフォーマット(0_1)がスケジューリングしたPUSCHリソースにアップリンクデータ(UL-SCH)と取得したCSIを多重化(Multiplexing)して送信する。
DCIフォーマット(0_1)内のアップリンクデータインジケーター(UL-SCH indicator)に該当する1ビットが“0”を指示する場合、DCIフォーマット(0_1)がスケジューリングしたPUSCHリソースにアップリンクデータ(UL-SCH)無しにCSIのみをマッピングして送信する。
図11は、非周期的CSI報告方法の一例を示す図である。
図11の一例で、端末は、PDCCH1101をモニタリングしてDCIフォーマット(0_1)を取得し、これからPUSCH1105に対するスケジューリング情報及びCSIリクエスト情報を取得する。
端末は、受信したCSIリクエストインジケーターから測定する「CSI-RS」1102に対するリソース情報を取得する。
端末は、DCIフォーマット(0_1)を受信した時点とCSIリソースセット設定(例えば、「NZP CSI-RS」リソースセット設定(「NZP-CSI-RS-ResourceSet」)内のオフセットに対するパラメーター(前述の「aperiodicTriggeringOffset」)に基づいて、どの時点で送信される「CSI-RS」(1102)リソースに対する測定を行わなければならないか判断する。
より具体的に説明すれば、端末は、基地局から上位階層シグナリングで「NZP-CSI-RS」リソースセット設定内のパラメーター「aperiodicTriggeringOffset」のオフセット値Xが設定され、設定されたオフセット値Xは、非周期的CSI報告をトリガーするDCIを受信したスロットと「CSI-RS」リソースが送信されるスロットの間のオフセットを意味する。
例えば、「aperiodicTriggeringOffset」パラメーター値とオフセット値Xは、以下の表29に記載したマッピング関係を持つ。
図11の一例で、端末は、PDCCH1101をモニタリングしてDCIフォーマット(0_1)を取得し、これからPUSCH1105に対するスケジューリング情報及びCSIリクエスト情報を取得する。
端末は、受信したCSIリクエストインジケーターから測定する「CSI-RS」1102に対するリソース情報を取得する。
端末は、DCIフォーマット(0_1)を受信した時点とCSIリソースセット設定(例えば、「NZP CSI-RS」リソースセット設定(「NZP-CSI-RS-ResourceSet」)内のオフセットに対するパラメーター(前述の「aperiodicTriggeringOffset」)に基づいて、どの時点で送信される「CSI-RS」(1102)リソースに対する測定を行わなければならないか判断する。
より具体的に説明すれば、端末は、基地局から上位階層シグナリングで「NZP-CSI-RS」リソースセット設定内のパラメーター「aperiodicTriggeringOffset」のオフセット値Xが設定され、設定されたオフセット値Xは、非周期的CSI報告をトリガーするDCIを受信したスロットと「CSI-RS」リソースが送信されるスロットの間のオフセットを意味する。
例えば、「aperiodicTriggeringOffset」パラメーター値とオフセット値Xは、以下の表29に記載したマッピング関係を持つ。
図11の一例では、前述のオフセット値がX=0と設定された一例を示している。
この場合、端末は、非周期的CSI報告をトリガーするDCIフォーマット(0_1)を受信したスロット(図11のスロット0に該当)で「CSI-RS」1102を受信し、受信した「CSI-RS」で測定したCSI情報を、PUSCH1105を介して基地局で報告する。
端末は、DCIフォーマット(0_1)からCSI報告のためのPUSCH1105に対するスケジューリング情報(前述のDCIフォーマット(0_1)の各フィールドに該当する情報)を取得する。
例えば、端末は、DCIフォーマット(0_1)は、PUSCH1105に対する前述の時間ドメインリソース割り当て情報からPUSCH1105を送信するスロットに対する情報を取得する。
図11の一例で、端末は、「PDCCH-to-PUSCH」対するスロットオフセット値に該当するK2値を「3」で取得し、これによってPUSCH1105がPDCCH1101を受信した時点、スロット0(1106)で3スロット離れたスロット3(1109)で送信される。
この場合、端末は、非周期的CSI報告をトリガーするDCIフォーマット(0_1)を受信したスロット(図11のスロット0に該当)で「CSI-RS」1102を受信し、受信した「CSI-RS」で測定したCSI情報を、PUSCH1105を介して基地局で報告する。
端末は、DCIフォーマット(0_1)からCSI報告のためのPUSCH1105に対するスケジューリング情報(前述のDCIフォーマット(0_1)の各フィールドに該当する情報)を取得する。
例えば、端末は、DCIフォーマット(0_1)は、PUSCH1105に対する前述の時間ドメインリソース割り当て情報からPUSCH1105を送信するスロットに対する情報を取得する。
図11の一例で、端末は、「PDCCH-to-PUSCH」対するスロットオフセット値に該当するK2値を「3」で取得し、これによってPUSCH1105がPDCCH1101を受信した時点、スロット0(1106)で3スロット離れたスロット3(1109)で送信される。
図11のまた他の例で、端末は、PDCCH1111をモニタリングしてDCIフォーマット(0_1)を取得し、これからPUSCH1115に対するスケジューリング情報及びCSIリクエスト情報を取得する。
端末は、受信したCSIリクエストインジケーターから測定する「CSI-RS」1112に対するリソース情報を取得する。
図11の一例では、前述の「CSI-RS」に対するオフセット値がX=1と設定された一例を示している。
この場合、端末は、非周期的CSI報告をトリガーするDCIフォーマット(0_1)を受信したスロット(図11のスロット0(1116)に該当)で、「CSI-RS」1112を受信し、受信した「CSI-RS」で測定したCSI情報をスロット3(1119)のPUSCH1115を介して基地局に報告する。
端末は、受信したCSIリクエストインジケーターから測定する「CSI-RS」1112に対するリソース情報を取得する。
図11の一例では、前述の「CSI-RS」に対するオフセット値がX=1と設定された一例を示している。
この場合、端末は、非周期的CSI報告をトリガーするDCIフォーマット(0_1)を受信したスロット(図11のスロット0(1116)に該当)で、「CSI-RS」1112を受信し、受信した「CSI-RS」で測定したCSI情報をスロット3(1119)のPUSCH1115を介して基地局に報告する。
図12は、SRSの多様な運営シナリオに対する例示を示す図である。
図12を参照すると、NRシステムで少なくとも次の3つSRS操作シナリオを考慮することが可能である。
図12を参照すると、NRシステムで少なくとも次の3つSRS操作シナリオを考慮することが可能である。
1)基地局1205が端末1200に一方向のビームを設定して(本明細書で一方向のビーム/プリコーディングを設定することは、ビーム/プリコーディングを適用しないか「wide beam」(cell-coverage or sector coverage)を適用することを含み)、端末1200は、「periodic SRS」又は「semi-persistent SRS」の場合、SRSの送信周期及びオフセットに合わせて、「aperiodic SRS」の場合、基地局の「SRS request」に合わせて(「SRS request」以後の定められた時間で)SRSを送信する。
この時、SRSには、ビーム/プリコーディングのための追加情報を必要としない。
この時、SRSには、ビーム/プリコーディングのための追加情報を必要としない。
2)基地局(1215、1220)は、端末1210に、一つ以上の方向にビームを設定し、端末1210は、一つ以上の方向にビームフォーミングされた複数のSRSを送信する。
例えば、図12の例のように「SRS resource」(又はport)#0は、基地局1215でビームフォーミングされて「SRS resource」(又はport)#1は、基地局1220でビームフォーミングされるように設定することが可能である。
この場合、基地局(1215、1220)は、上記1)番の方法とは異なるように「SRS request」だけでなくSRSビーム/プリコーディング情報を共に通知しなければならない必要がある。
例えば、図12の例のように「SRS resource」(又はport)#0は、基地局1215でビームフォーミングされて「SRS resource」(又はport)#1は、基地局1220でビームフォーミングされるように設定することが可能である。
この場合、基地局(1215、1220)は、上記1)番の方法とは異なるように「SRS request」だけでなくSRSビーム/プリコーディング情報を共に通知しなければならない必要がある。
3)基地局1230は、端末1225に一つ以上の方向にビームを設定し、端末1225は、一つ以上の方向にビームフォーミングされた複数のSRSを送信する。
例えば、図12の例のように基地局は、端末が「SRS resource」(又はport)#0、「SRS resource」(又はport)#1、「SRS resource」(又はport)#2にそれぞれ他のビーム/プリコーディングを適用してSRSを送信するように設定する。
これを介して端末の移動性が高い場合でもビーム/プリーコーダーダイバーシティーを介して安定的な通信を行う。
例えば、端末1225は、「time A」の時点ではSRS#2で基地局1230にチャンネル状態情報を提供し、「time A+alpha」の時点ではSRS#0で基地局1230にチャンネル状態情報を提供する。
この場合、基地局1230は、上記1)番の方法とは異なるように「SRS request」だけでなくSRSビーム/プリコーディング情報を共に通知しなければならない必要がある。
例えば、図12の例のように基地局は、端末が「SRS resource」(又はport)#0、「SRS resource」(又はport)#1、「SRS resource」(又はport)#2にそれぞれ他のビーム/プリコーディングを適用してSRSを送信するように設定する。
これを介して端末の移動性が高い場合でもビーム/プリーコーダーダイバーシティーを介して安定的な通信を行う。
例えば、端末1225は、「time A」の時点ではSRS#2で基地局1230にチャンネル状態情報を提供し、「time A+alpha」の時点ではSRS#0で基地局1230にチャンネル状態情報を提供する。
この場合、基地局1230は、上記1)番の方法とは異なるように「SRS request」だけでなくSRSビーム/プリコーディング情報を共に通知しなければならない必要がある。
上記説明は、SRS送信を基づいたがこれと同様にPRACH、PUSCH、PUCCHなど他の「UL channel」又は/及びRS送信にも拡張することが可能で、本発明の要旨を不明瞭にしないためにすべての場合に対する詳しく説明は省略する。
図13は、5G又はNRシステムのアップリンク送信構造を示す図である。
図13を参照すると、5G又はNRシステムの送信基本単位は、スロット1300で、一般的なCP(Cyclic Prefix)長さを仮定する時、各スロットは、14個のシンボル1305から構成され、一つのシンボルは、一つの「UL waveform」(「CP-OFDM」又は「DFT-S-OFDM」)シンボルに対応する。
図13を参照すると、5G又はNRシステムの送信基本単位は、スロット1300で、一般的なCP(Cyclic Prefix)長さを仮定する時、各スロットは、14個のシンボル1305から構成され、一つのシンボルは、一つの「UL waveform」(「CP-OFDM」又は「DFT-S-OFDM」)シンボルに対応する。
リソースブロック(Resource Block:RB)1310は、時間領域を基準として一つのスロットに該当するリソース割り当て単位であり、周波数領域を基準として12個のサブキャリアから構成される。
アップリンク構造は、大きくデータ領域と制御領域に区分される。
LTEシステムと異なり、5G又はNRシステムでは制御領域がアップリンクの任意の位置に設定されて送信される。
ここで、データ領域は、各端末に送信される音声、パケットなどのデータを含む一連の通信リソースを含み、サブフレーム内で制御領域を除いた残りリソースに該当する。
制御領域は、各端末からのダウンリンクチャンネル品質報告、ダウンリンク信号に対する受信ACK/NACK、アップリンクスケジューリングリクエストなどのための一連の通信リソースを含む。
LTEシステムと異なり、5G又はNRシステムでは制御領域がアップリンクの任意の位置に設定されて送信される。
ここで、データ領域は、各端末に送信される音声、パケットなどのデータを含む一連の通信リソースを含み、サブフレーム内で制御領域を除いた残りリソースに該当する。
制御領域は、各端末からのダウンリンクチャンネル品質報告、ダウンリンク信号に対する受信ACK/NACK、アップリンクスケジューリングリクエストなどのための一連の通信リソースを含む。
端末は、データ領域と制御領域で自分のデータ及び制御情報を同時に送信する。
一つのスロット内で、端末が周期的にSRSを送信することができるシンボルは、最後の6個のシンボル区間1315であればよく、周波数領域を基準で「UL BWP」内で予め設定されたSRS送信帯域を介して送信される。
ただ、これは一例であり、SRSを送信することができるシンボルは、他の時間区間に拡張されるか、又は周波数帯域を介して送信される。
SRSを送信することができるRBは、周波数領域で送信される時、4RBの倍数で送信されて最大272RBで送信される。
一つのスロット内で、端末が周期的にSRSを送信することができるシンボルは、最後の6個のシンボル区間1315であればよく、周波数領域を基準で「UL BWP」内で予め設定されたSRS送信帯域を介して送信される。
ただ、これは一例であり、SRSを送信することができるシンボルは、他の時間区間に拡張されるか、又は周波数帯域を介して送信される。
SRSを送信することができるRBは、周波数領域で送信される時、4RBの倍数で送信されて最大272RBで送信される。
また、5G又はNRシステムで、SRSのシンボル数Nは、1、2、又は4と設定され、連続したシンボルに送信される。
また、5G又はNRシステムではSRSシンボルの繰り返し送信を許容する。
具体的に、SRSシンボルの繰り返し送信因子(repetition factor、r)は、r∈{1,2,4}で、ここでr≦Nのように設定される。
例えば、一つのSRSアンテナが一つのシンボルにマッピングされて送信される場合、最大4シンボルまで繰り返されて送信される。
これと異なり、互いに異なる4個のアンテナポートが互いに異なる4個のシンボルに送信される。
この時は、各アンテナポートが一つのシンボルにマッピングされた場合であるため、SRSシンボルの繰り返し送信が許容されない。
また、5G又はNRシステムではSRSシンボルの繰り返し送信を許容する。
具体的に、SRSシンボルの繰り返し送信因子(repetition factor、r)は、r∈{1,2,4}で、ここでr≦Nのように設定される。
例えば、一つのSRSアンテナが一つのシンボルにマッピングされて送信される場合、最大4シンボルまで繰り返されて送信される。
これと異なり、互いに異なる4個のアンテナポートが互いに異なる4個のシンボルに送信される。
この時は、各アンテナポートが一つのシンボルにマッピングされた場合であるため、SRSシンボルの繰り返し送信が許容されない。
LTE及びNRの場合、SRSは、次のような上位レイヤーシグナリング情報(又はこれらの部分セット)に基づいて設定される。
「BandwidthConfig」:「SRS bandwidth」情報を設定する。
アップリンクシステムBW値によって各コードポイントが意味する正確な値は変わる。
「SubframeConfig」(又はConfigIndex):SRS送信周期及び送信オフセット値を設定する。
FDDであるかTDDであるかどうかによって、各コードポイントが意味する正確な値は変わる。
「ackNackSRS-SimultaneousTransmission」:「ACK/NACK-SRS」同時送信するかどうかを通知する。
「MaxUpPts」:UpPTSでSRS送信の周波数位置初期化であるかどうかを通知する。
「Hopping」:2ビット情報で「SRS frequency hopping」であるかどうか及びhopping位置及び方法を通知する。
「Frequency domain position」:SRS送信の周波数ドメイン位置を通知する。
「Duration」:「Periodic SRS」の送信するかどうかを通知する。
「Transmission comb」:SRS送信時「comb offset」値を通知する。
「Cyclic shift」:SRS送信時「cyclic shift」値を通知する。
「Antenna port」:SRS送信時用いられるSRSアンテナポート数を通知する。
LTEの場合、1、2、又は4ポートをサポート可能である。
アップリンクシステムBW値によって各コードポイントが意味する正確な値は変わる。
「SubframeConfig」(又はConfigIndex):SRS送信周期及び送信オフセット値を設定する。
FDDであるかTDDであるかどうかによって、各コードポイントが意味する正確な値は変わる。
「ackNackSRS-SimultaneousTransmission」:「ACK/NACK-SRS」同時送信するかどうかを通知する。
「MaxUpPts」:UpPTSでSRS送信の周波数位置初期化であるかどうかを通知する。
「Hopping」:2ビット情報で「SRS frequency hopping」であるかどうか及びhopping位置及び方法を通知する。
「Frequency domain position」:SRS送信の周波数ドメイン位置を通知する。
「Duration」:「Periodic SRS」の送信するかどうかを通知する。
「Transmission comb」:SRS送信時「comb offset」値を通知する。
「Cyclic shift」:SRS送信時「cyclic shift」値を通知する。
「Antenna port」:SRS送信時用いられるSRSアンテナポート数を通知する。
LTEの場合、1、2、又は4ポートをサポート可能である。
LTE-Aシステムの場合、上述の設定情報に基づいてperiodic及びaperiodic SRS送信をサポートする。
NRシステムの場合、前述の設定情報以外のSRSリソースに対する「activation/deactivation」シグナリングなど追加情報を利用することが可能で、periodic、semi-persistent、及びaperiodic SRS送信をサポートする。
SRSの送信形態によって、例えば、periodic、semi-persistent、又はaperiodic SRS送信であるか否かによって設定情報の内の一部は省略され得る。
NRシステムの場合、前述の設定情報以外のSRSリソースに対する「activation/deactivation」シグナリングなど追加情報を利用することが可能で、periodic、semi-persistent、及びaperiodic SRS送信をサポートする。
SRSの送信形態によって、例えば、periodic、semi-persistent、又はaperiodic SRS送信であるか否かによって設定情報の内の一部は省略され得る。
SRSは、CAZAC(Constant Amplitude Zero Auto Correlation)シーケンスで構成される。
そして、複数の端末から送信されたそれぞれのSRSを構成するCAZACシーケンスは、互いに異なる循環遷移(Cyclic Shift)値を有する。
また、一つのCAZACシーケンスで循環遷移(Cyclic Shift)を介して発生したCAZACシーケンスは、各々自分と異なる循環遷移値を有するシーケンスと零の相関値を有する特性がある。
このような特性を利用して同時に同じ周波数領域に割り当てられたSRSは、基地局でSRS別で設定したCAZACシーケンス循環遷移値によって区分することができる。
そして、複数の端末から送信されたそれぞれのSRSを構成するCAZACシーケンスは、互いに異なる循環遷移(Cyclic Shift)値を有する。
また、一つのCAZACシーケンスで循環遷移(Cyclic Shift)を介して発生したCAZACシーケンスは、各々自分と異なる循環遷移値を有するシーケンスと零の相関値を有する特性がある。
このような特性を利用して同時に同じ周波数領域に割り当てられたSRSは、基地局でSRS別で設定したCAZACシーケンス循環遷移値によって区分することができる。
複数の端末のSRSは、循環遷移値だけではなく、周波数位置によって区分される。
周波数位置は、SRSサブバンド単位割り当て又はCombに区分される。
5G又はNRシステムではComb2及びComb4をサポートする。
Comb2の場合、一つのSRSは、SRSサブバンド内で偶数番目又は奇数番目のサブキャリアにだけ割り当てられる。
この時、この偶数番目のサブキャリア及び奇数番目のサブキャリアそれぞれが一つのCombを構成する。
周波数位置は、SRSサブバンド単位割り当て又はCombに区分される。
5G又はNRシステムではComb2及びComb4をサポートする。
Comb2の場合、一つのSRSは、SRSサブバンド内で偶数番目又は奇数番目のサブキャリアにだけ割り当てられる。
この時、この偶数番目のサブキャリア及び奇数番目のサブキャリアそれぞれが一つのCombを構成する。
各端末は、ツリー構造に基づいてSRSサブバンドが割り当てられる。
そして、端末は、SRS送信時点ごとに各サブバンドに割り当てられたSRSにホッピングを行う。
これによって端末のすべての送信アンテナがアップリンクデータ送信帯域幅全体を利用してSRSを送信する。
そして、端末は、SRS送信時点ごとに各サブバンドに割り当てられたSRSにホッピングを行う。
これによって端末のすべての送信アンテナがアップリンクデータ送信帯域幅全体を利用してSRSを送信する。
図14は、サブバンド別でSRSが割り当てられた構造を示す図である。
図14を参照すると、周波数上に40RBに該当するデータ送信帯域を持つ時、基地局が設定したツリー構造によってSRSが各端末に割り当てられた例を示す。
図14を参照すると、周波数上に40RBに該当するデータ送信帯域を持つ時、基地局が設定したツリー構造によってSRSが各端末に割り当てられた例を示す。
図14で、ツリー構造のレベルインデックスを「b」とする時、ツリー構造の第1上位レベル(b=0)は、40RB帯域幅のSRSサブバンド一つから構成される。
第2レベル(b=1)では、b=0、レベルのSRSサブバンドから20RB帯域幅のSRSサブバンド2つが発生する。
したがって、第2レベル(b=1)の全体データ送信帯域に2個のSRSサブバンドが存在する。
第3レベル(b=2)では真上のレベル(b=1)の「20RB SRS」サブバンド一つから「4 RB SRS」サブバンド5個が発生され、一つのレベル内に10個の「4RB SRS」サブバンドが存在する構造を有する。
第2レベル(b=1)では、b=0、レベルのSRSサブバンドから20RB帯域幅のSRSサブバンド2つが発生する。
したがって、第2レベル(b=1)の全体データ送信帯域に2個のSRSサブバンドが存在する。
第3レベル(b=2)では真上のレベル(b=1)の「20RB SRS」サブバンド一つから「4 RB SRS」サブバンド5個が発生され、一つのレベル内に10個の「4RB SRS」サブバンドが存在する構造を有する。
このようなツリー構造の構成は、基地局の設定によって多様なレベル数、SRSサブバンドサイズ及び一レベル当たりSRSサブバンド数を有する。
ここで、上位レベルのSRSサブバンド一つから発生されるレベルbでのSRSサブバンド個数をNb、及びこのNb個のSRSサブバンドに対するインデックスをnb={0,...,Nb-1}と定義する。
このようにレベル当りサブバンドが変わることによって、図14に示したようにレベルごとに各サブバンドに端末が割り当てられる。
例えば、端末1(14-00)がb=1レベルで「20 RB」帯域幅を有する2つのSRSサブバンドの内の第1SRSサブバンド(n1=0)に割り当てられ、端末2(14-01)と端末3(14-02)はそれぞれ第2の「20 RB SRS」サブバンド下の第1SRSサブバンド(n2=0)と第3SRSサブバンド(n2=2)位置に割り当てられる。
このような過程を介して端末は、複数のCC(Component Carrier)を介してSRS同時送信が可能であり、一CC内で同時に複数のSRSサブバンドでSRSを送信することができる。
ここで、上位レベルのSRSサブバンド一つから発生されるレベルbでのSRSサブバンド個数をNb、及びこのNb個のSRSサブバンドに対するインデックスをnb={0,...,Nb-1}と定義する。
このようにレベル当りサブバンドが変わることによって、図14に示したようにレベルごとに各サブバンドに端末が割り当てられる。
例えば、端末1(14-00)がb=1レベルで「20 RB」帯域幅を有する2つのSRSサブバンドの内の第1SRSサブバンド(n1=0)に割り当てられ、端末2(14-01)と端末3(14-02)はそれぞれ第2の「20 RB SRS」サブバンド下の第1SRSサブバンド(n2=0)と第3SRSサブバンド(n2=2)位置に割り当てられる。
このような過程を介して端末は、複数のCC(Component Carrier)を介してSRS同時送信が可能であり、一CC内で同時に複数のSRSサブバンドでSRSを送信することができる。
具体的に前述のSRSサブバンド設定のためにNRでは以下の表30のような「SRS bandwidth configuration」をサポートする。
またNRでは、表30の値に基づいて「SRS frequency hopping」をサポートして詳しい手順は、以下の表31による。
前述のように5G又はNR端末は、SU-MIMO(Single User)技法をサポートして最大4個の送信アンテナを有する。
また、NR端末は、SRSを複数のCC、又はCC内の複数のSRSサブバンドで同時に送信することができる。
5G又はNRシステムの場合、LTEシステムと異なる多様なnumerologyがサポートされ、SRS送信シンボルが複数個で多様に設定することができ、繰り返し送信因子(repetition factor)を介してSRS送信に対する繰り返し送信も許容される。
また、NR端末は、SRSを複数のCC、又はCC内の複数のSRSサブバンドで同時に送信することができる。
5G又はNRシステムの場合、LTEシステムと異なる多様なnumerologyがサポートされ、SRS送信シンボルが複数個で多様に設定することができ、繰り返し送信因子(repetition factor)を介してSRS送信に対する繰り返し送信も許容される。
したがって、これを考慮したSRS送信をカウンティング(counting)する必要がある。
SRS送信をカウンティングすることは、多様に活用することができる。
例えば、SRS送信をカウンティングすることは、SRS送信によるアンテナスイッチングをサポートすることに活用することができる。
具体的に、どんなSRS送信時点にどんなアンテナに該当するSRSをどんな帯域で送信するかは、SRS送信カウンティングによって決定することができる。
SRS送信をカウンティングすることは、多様に活用することができる。
例えば、SRS送信をカウンティングすることは、SRS送信によるアンテナスイッチングをサポートすることに活用することができる。
具体的に、どんなSRS送信時点にどんなアンテナに該当するSRSをどんな帯域で送信するかは、SRS送信カウンティングによって決定することができる。
以下では、レートマッチング(Rate Matching)動作及びパンクチャリング(Puncturing)動作に対して具体的に記述する。
任意のシンボルシーケンスAを送信しようとする時間及び周波数リソースAが任意の時間及び周波数リソースBとオーバーラップされた場合、リソースAとリソースBがオーバーラップされた領域リソースCを考慮したチャンネルAの送受信動作でレートマッチング又はパンクチャリング動作が考慮されることができる。
具体的な動作は、以下の内容による。
具体的な動作は、以下の内容による。
レートマッチング(Rate Matching)動作に対して記述する。
基地局は、端末でシンボルシーケンスAを送信しようとする全体リソースAの内のリソースBとオーバーラップされた領域に該当するリソースCを除いた残りリソース領域に対してだけチャンネルAをマッピングして送信する。
例えば、シンボルシーケンスAが{シンボル#1、シンボル#2、シンボル#3、シンボル4}から構成され、リソースAが{リソース#1、リソース#2、リソース#3、リソース#4}で、リソースBが{リソース#3、リソース#5}の場合、基地局は、リソースAの内のリソースCに該当する{リソース#3}を除いた残りリソースである{リソース#1、リソース#2、リソース#4}にシンボルシーケンスAを順次にマッピングして送信する。
結果的に基地局は、シンボルシーケンス{シンボル#1、シンボル#2、シンボル#3}をそれぞれ{リソース#1、リソース#2、リソース#4}にマッピングして送信する。
基地局は、端末でシンボルシーケンスAを送信しようとする全体リソースAの内のリソースBとオーバーラップされた領域に該当するリソースCを除いた残りリソース領域に対してだけチャンネルAをマッピングして送信する。
例えば、シンボルシーケンスAが{シンボル#1、シンボル#2、シンボル#3、シンボル4}から構成され、リソースAが{リソース#1、リソース#2、リソース#3、リソース#4}で、リソースBが{リソース#3、リソース#5}の場合、基地局は、リソースAの内のリソースCに該当する{リソース#3}を除いた残りリソースである{リソース#1、リソース#2、リソース#4}にシンボルシーケンスAを順次にマッピングして送信する。
結果的に基地局は、シンボルシーケンス{シンボル#1、シンボル#2、シンボル#3}をそれぞれ{リソース#1、リソース#2、リソース#4}にマッピングして送信する。
端末は、基地局からシンボルシーケンスAに対するスケジューリング情報からリソースA及びリソースBを判断することができ、これを介してリソースAとリソースBがオーバーラップした領域であるリソースCを判断することができる。
端末は、シンボルシーケンスAが全体リソースAの内のリソースCを除いた残り領域でマッピングされて送信されたと仮定してシンボルシーケンスAを受信する。
例えば、シンボルシーケンスAが{シンボル#1、シンボル#2、シンボル#3、シンボル4}から構成され、リソースAが{リソース#1、リソース#2、リソース#3、リソース#4}で、リソースBが{リソース#3、リソース#5}の場合、端末は、リソースAの内のリソースCに該当する{リソース#3}を除いた残りリソースである{リソース#1、リソース#2、リソース#4}にシンボルシーケンスAが順次にマッピングされたと仮定して受信する。
結果的に端末は、シンボルシーケンス{シンボル#1、シンボル#2、シンボル#3}がそれぞれ{リソース#1、リソース#2、リソース#4}にマッピングされて送信されたと仮定して以後の一連の受信動作を行う。
端末は、シンボルシーケンスAが全体リソースAの内のリソースCを除いた残り領域でマッピングされて送信されたと仮定してシンボルシーケンスAを受信する。
例えば、シンボルシーケンスAが{シンボル#1、シンボル#2、シンボル#3、シンボル4}から構成され、リソースAが{リソース#1、リソース#2、リソース#3、リソース#4}で、リソースBが{リソース#3、リソース#5}の場合、端末は、リソースAの内のリソースCに該当する{リソース#3}を除いた残りリソースである{リソース#1、リソース#2、リソース#4}にシンボルシーケンスAが順次にマッピングされたと仮定して受信する。
結果的に端末は、シンボルシーケンス{シンボル#1、シンボル#2、シンボル#3}がそれぞれ{リソース#1、リソース#2、リソース#4}にマッピングされて送信されたと仮定して以後の一連の受信動作を行う。
次に、パンクチャリング(Puncturing)動作に対して記述する。
基地局は、端末でシンボルシーケンスAを送信しようとする全体リソースAの内のリソースBとオーバーラップされた領域に該当するリソースCが存在する場合、シンボルシーケンスAをリソースA全体にマッピングするが、リソースCに該当するリソース領域では送信を行わず、リソースAの内のリソースCを除いた残りリソース領域に対してだけ送信を行う。
例えば、シンボルシーケンスAが{シンボル#1、シンボル#2、シンボル#3、シンボル4}から構成され、リソースAが{リソース#1、リソース#2、リソース#3、リソース#4}で、リソースBが{リソース#3、リソース#5}の場合、基地局は、シンボルシーケンスA{シンボル#1、シンボル#2、シンボル#3、シンボル#4}をリソースA{リソース#1、リソース#2、リソース#3、リソース#4}にそれぞれマッピングし、リソースAの内のリソースCに該当する{リソース#3}を除いた残りリソースである{リソース#1、リソース#2、リソース#4}に該当するシンボルシーケンス{シンボル#1、シンボル#2、シンボル#4}だけ送信し、リソースCに該当する{リソース#3}にマッピングされた{シンボル#3}は送信しないこともある。
結果的に基地局は、シンボルシーケンス{シンボル#1、シンボル#2、シンボル#4}をそれぞれ{リソース#1、リソース#2、リソース#4}にマッピングして送信する。
基地局は、端末でシンボルシーケンスAを送信しようとする全体リソースAの内のリソースBとオーバーラップされた領域に該当するリソースCが存在する場合、シンボルシーケンスAをリソースA全体にマッピングするが、リソースCに該当するリソース領域では送信を行わず、リソースAの内のリソースCを除いた残りリソース領域に対してだけ送信を行う。
例えば、シンボルシーケンスAが{シンボル#1、シンボル#2、シンボル#3、シンボル4}から構成され、リソースAが{リソース#1、リソース#2、リソース#3、リソース#4}で、リソースBが{リソース#3、リソース#5}の場合、基地局は、シンボルシーケンスA{シンボル#1、シンボル#2、シンボル#3、シンボル#4}をリソースA{リソース#1、リソース#2、リソース#3、リソース#4}にそれぞれマッピングし、リソースAの内のリソースCに該当する{リソース#3}を除いた残りリソースである{リソース#1、リソース#2、リソース#4}に該当するシンボルシーケンス{シンボル#1、シンボル#2、シンボル#4}だけ送信し、リソースCに該当する{リソース#3}にマッピングされた{シンボル#3}は送信しないこともある。
結果的に基地局は、シンボルシーケンス{シンボル#1、シンボル#2、シンボル#4}をそれぞれ{リソース#1、リソース#2、リソース#4}にマッピングして送信する。
端末は、基地局からシンボルシーケンスAに対するスケジューリング情報からリソースA及びリソースBを判断することができ、これを介してリソースAとリソースBがオーバーラップされた領域であるリソースCを判断する。
端末は、シンボルシーケンスAが全体リソースAにマッピングされるがリソース領域Aの内のリソースCを除いた残り領域にだけ送信されたと仮定してシンボルシーケンスAを受信する。
例えば、シンボルシーケンスAが{シンボル#1、シンボル#2、シンボル#3、シンボル4}から構成され、リソースAが{リソース#1、リソース#2、リソース#3、リソース#4}で、リソースBが{リソース#3、リソース#5}の場合、端末は、シンボルシーケンスA{シンボル#1、シンボル#2、シンボル#3、シンボル#4}がリソースA{リソース#1、リソース#2、リソース#3、リソース#4}にそれぞれマッピングされるが、リソースCに該当する{リソース#3}にマッピングされた{シンボル#3}は送信されないと仮定することができ、リソースAの内のリソースCに該当する{リソース#3}を除いた残りリソースである{リソース#1、リソース#2、リソース#4}に該当するシンボルシーケンス{シンボル#1、シンボル#2、シンボル#4}がマッピングされて送信されたと仮定して受信する。
結果的に、端末は、シンボルシーケンス{シンボル#1、シンボル#2、シンボル#4}がそれぞれ{リソース#1、リソース#2、リソース#4}にマッピングされて送信されたと仮定して以後の一連の受信動作を行う。
端末は、シンボルシーケンスAが全体リソースAにマッピングされるがリソース領域Aの内のリソースCを除いた残り領域にだけ送信されたと仮定してシンボルシーケンスAを受信する。
例えば、シンボルシーケンスAが{シンボル#1、シンボル#2、シンボル#3、シンボル4}から構成され、リソースAが{リソース#1、リソース#2、リソース#3、リソース#4}で、リソースBが{リソース#3、リソース#5}の場合、端末は、シンボルシーケンスA{シンボル#1、シンボル#2、シンボル#3、シンボル#4}がリソースA{リソース#1、リソース#2、リソース#3、リソース#4}にそれぞれマッピングされるが、リソースCに該当する{リソース#3}にマッピングされた{シンボル#3}は送信されないと仮定することができ、リソースAの内のリソースCに該当する{リソース#3}を除いた残りリソースである{リソース#1、リソース#2、リソース#4}に該当するシンボルシーケンス{シンボル#1、シンボル#2、シンボル#4}がマッピングされて送信されたと仮定して受信する。
結果的に、端末は、シンボルシーケンス{シンボル#1、シンボル#2、シンボル#4}がそれぞれ{リソース#1、リソース#2、リソース#4}にマッピングされて送信されたと仮定して以後の一連の受信動作を行う。
次に、レートマッチングリソース(rate matching resource)に対して記述する。
図15は、基地局及び端末がダウンリンクデータチャンネル及びレートマッチングリソースを考慮してデータを送受信する方法を説明するための図である。
図15は、基地局及び端末がダウンリンクデータチャンネル及びレートマッチングリソースを考慮してデータを送受信する方法を説明するための図である。
図15にはダウンリンクデータチャンネル(PDSCH、1501)とレートマッチングリソース1502を図に示している。
基地局は、端末に上位階層シグナリング(例えば、RRCシグナリング)を介して一つ又は複数個のレートマッチングリソース502を設定する。
レートマッチングリソース1502設定情報には時間軸リソース割り当て情報1503、周波数軸リソース割り当て情報1504、周期情報1505が含まれる。
以下では周波数軸リソース割り当て情報1504に該当するビットマップを“第1ビットマップ”、時間軸リソース割り当て情1503に該当するビットマップを“第2ビットマップ”、周期情報1505に該当するビットマップを“第3ビットマップ”で名付ける。
スケジューリングされたデータチャンネル1501の時間及び周波数リソースの全体又は、一部が設定されたレートマッチングリソース1502とオーバーラップする場合、基地局は、レートマッチングリソース1502部分でデータチャンネル1501をレートマッチングして送信し、端末は、レートマッチングリソース1502部分でデータチャンネル1501がレートマッチングされたと仮定した後に受信及びデコーディングを行う。
基地局は、端末に上位階層シグナリング(例えば、RRCシグナリング)を介して一つ又は複数個のレートマッチングリソース502を設定する。
レートマッチングリソース1502設定情報には時間軸リソース割り当て情報1503、周波数軸リソース割り当て情報1504、周期情報1505が含まれる。
以下では周波数軸リソース割り当て情報1504に該当するビットマップを“第1ビットマップ”、時間軸リソース割り当て情1503に該当するビットマップを“第2ビットマップ”、周期情報1505に該当するビットマップを“第3ビットマップ”で名付ける。
スケジューリングされたデータチャンネル1501の時間及び周波数リソースの全体又は、一部が設定されたレートマッチングリソース1502とオーバーラップする場合、基地局は、レートマッチングリソース1502部分でデータチャンネル1501をレートマッチングして送信し、端末は、レートマッチングリソース1502部分でデータチャンネル1501がレートマッチングされたと仮定した後に受信及びデコーディングを行う。
基地局は、追加的な設定を介して設定されたレートマッチングリソース部分でデータチャンネルをレートマッチングするかどうかを、DCIを介して動的(Dynamic)で端末に通知する(前述のDCIフォーマット内の“レートマッチングインジケーター”に相当する)。
具体的に、基地局は、設定されたレートマッチングリソースの内の一部を選択してレートマッチングリソースグループにグループ化し、各レートマッチングリソースグループに対するデータチャンネルがレートマッチングするかどうかを、ビットマップ方式を利用してDCIで端末に指示する。
例えば、4個のレートマッチングリソース、RMR#1、RMR#2、RMR#3、RMR#4が設定されている場合、基地局は、レートマッチンググループでRMG#1={RMR#1、RMR#2}、RMG#2={RMR#3、RMR#4}を設定することができ、基地局は、DCIフィールド内の2ビットを用い、それぞれRMG#1とRMG#2がレートマッチングするかどうかをビットマップで端末に指示する。
例えば、基地局は、レートマッチングをしなければならない場合には各ビットを“1”でレートマッチングをしなくなければならない場合には“0”と設定する。
具体的に、基地局は、設定されたレートマッチングリソースの内の一部を選択してレートマッチングリソースグループにグループ化し、各レートマッチングリソースグループに対するデータチャンネルがレートマッチングするかどうかを、ビットマップ方式を利用してDCIで端末に指示する。
例えば、4個のレートマッチングリソース、RMR#1、RMR#2、RMR#3、RMR#4が設定されている場合、基地局は、レートマッチンググループでRMG#1={RMR#1、RMR#2}、RMG#2={RMR#3、RMR#4}を設定することができ、基地局は、DCIフィールド内の2ビットを用い、それぞれRMG#1とRMG#2がレートマッチングするかどうかをビットマップで端末に指示する。
例えば、基地局は、レートマッチングをしなければならない場合には各ビットを“1”でレートマッチングをしなくなければならない場合には“0”と設定する。
5Gシステムでは前述のレートマッチングリソースを端末に設定する方法で“RBシンボルレベル”及び“REレベル”のgranularityをサポートする。
より具体的には以下の設定方法によることができる。
より具体的には以下の設定方法によることができる。
以下、RBシンボルレベルの設定方法を記述する。
端末は、帯域幅部分別で最大4個の「RateMatchPattern」を上位階層シグナリングで設定され、一つの「RateMatchPattern」は、以下の内容を含むことができる。
端末は、帯域幅部分別で最大4個の「RateMatchPattern」を上位階層シグナリングで設定され、一つの「RateMatchPattern」は、以下の内容を含むことができる。
・帯域幅部分内の予備リソース(Reserved Resource)として、周波数軸にRBレベルのビットマップとシンボルレベルのビットマップで組み合せで該当予備リソースの時間及び周波数リソース領域が設定されたリソースが含まれる。
予備リソースは、一つ又は2つのスロットにかけてspanされる。
各RBレベル及びシンボルレベルビットマップpairから構成された時間及び周波数領域が繰り返される時間ドメインパターン(periodicityAndPattern)が追加に設定される。
予備リソースは、一つ又は2つのスロットにかけてspanされる。
各RBレベル及びシンボルレベルビットマップpairから構成された時間及び周波数領域が繰り返される時間ドメインパターン(periodicityAndPattern)が追加に設定される。
・帯域幅部分内の制御リソースセットに設定された時間及び周波数ドメインリソース領域と該当リソース領域が繰り返される探索空間設定に設定された時間ドメインパターンに該当するリソース領域が含まれる。
次に、REレベルの設定方法を記述する。
端末は、以下の内容を、上位階層シグナリングを介して設定する。
端末は、以下の内容を、上位階層シグナリングを介して設定する。
・「LTE CRS」(「Cell-specific Reference Signal」又は「Common Reference Signal」)パターンに該当するREに対する設定情報(lte-CRS-ToMatchAround)として「LTE CRS」のポート数(nrofCRS-Ports)及び「LTE-CRS-vshift(s)」値(v-shift)、基準になる周波数地点(例えば、「reference point A」)からLTEキャリアのセンターサブキャリア(Subcarrier)位置情報(carrierFreqDL)、LTEキャリアの帯域幅サイズ(carrierBandwidthDL)情報、MBSFN(Multicast-broadcast single-frequency network)に該当するサブフレーム設定情報(mbsfn-SubframConfigList)などを含む。
端末は、前述の情報に基づいてLTEサブフレームに該当するNRスロット内でのCRSの位置を判断する。
端末は、前述の情報に基づいてLTEサブフレームに該当するNRスロット内でのCRSの位置を判断する。
・帯域幅部分内の一つ又は複数個の「ZP(Zero Power)CSI-RS」に該当するリソースセットに対する設定情報を含む。
図16は、5G通信システムで考慮されるアップリンク-ダウンリンク設定を一例に示す図である。
5G通信システムで、シンボル/スロットのアップリンク-ダウンリンク設定は、3段階で構成される。
第1に、半静的(semi-static)で、シンボル単位でシステム情報を介してセル特定設定情報1610を介してシンボル/スロットのアップリンク-ダウンリンクが設定される。
具体的には、システム情報を介してセル特定アップリンク-ダウンリンク設定情報にはアップリンク-ダウンリンクパターン情報と基準となるサブキャリア情報が含まれる。
アップリンク-ダウンリンクパターン情報を介してパターン周期1603と各パターンの開始点から連続的なダウンリンクスロット個数1611とその次のスロットのシンボル個数1612、及びパターンの端から連続的なアップリンクスロット個数1613とその次のスロットのシンボル個数1614が指示される。
この時、端末は、アップリンクとダウンリンクに指示されないスロットとシンボルをフレキシブル(flexible)スロット/シンボルとして判断する。
5G通信システムで、シンボル/スロットのアップリンク-ダウンリンク設定は、3段階で構成される。
第1に、半静的(semi-static)で、シンボル単位でシステム情報を介してセル特定設定情報1610を介してシンボル/スロットのアップリンク-ダウンリンクが設定される。
具体的には、システム情報を介してセル特定アップリンク-ダウンリンク設定情報にはアップリンク-ダウンリンクパターン情報と基準となるサブキャリア情報が含まれる。
アップリンク-ダウンリンクパターン情報を介してパターン周期1603と各パターンの開始点から連続的なダウンリンクスロット個数1611とその次のスロットのシンボル個数1612、及びパターンの端から連続的なアップリンクスロット個数1613とその次のスロットのシンボル個数1614が指示される。
この時、端末は、アップリンクとダウンリンクに指示されないスロットとシンボルをフレキシブル(flexible)スロット/シンボルとして判断する。
第2で、専用上位階層シグナリングを介し、ユーザー特定構成情報1620を介してフレキシブル(flexible)スロット又はフレキシブル(flexible)シンボルを含んでいるスロット(1621、1622)をそれぞれスロットの開始シンボルから連続的なダウンリンクシンボル個数(1623、1625)とスロットの端から連続的なアップリンクシンボル個数(1624、1626)を指示するか、又はスロット全体ダウンリンク又はスロット全体アップリンクで指示する。
最後に、さらに、ダウンリンク信号送信とアップリンク信号送信区間を動的に変更するため、DCIフォーマット(2_0)を介して端末グループにUL/DL設定を指示する(1330)。
基地局は、それぞれのスロットでフレキシブル(flexible)シンボルに指示されたシンボル(すなわち、ダウンリンク及びアップリンクに指示されないシンボル)をそれぞれがダウンリンクシンボル、又はアップリンクシンボル又はフレキシブル(flexible)シンボルであるかをダウンリンク制御チャンネルに含まれたスロットフォーマットインジケーター(Slot Format Indicator:SFI)(1631、1632)を介して指示する。
スロットフォーマットインジケーターは、以下の表32のように一つのスロット内の14個シンボルのアップリンク-ダウンリンク構成が予め設定された表で一つのインデックスとして選択される。
基地局は、それぞれのスロットでフレキシブル(flexible)シンボルに指示されたシンボル(すなわち、ダウンリンク及びアップリンクに指示されないシンボル)をそれぞれがダウンリンクシンボル、又はアップリンクシンボル又はフレキシブル(flexible)シンボルであるかをダウンリンク制御チャンネルに含まれたスロットフォーマットインジケーター(Slot Format Indicator:SFI)(1631、1632)を介して指示する。
スロットフォーマットインジケーターは、以下の表32のように一つのスロット内の14個シンボルのアップリンク-ダウンリンク構成が予め設定された表で一つのインデックスとして選択される。
NRシステムでは基地局の「fine time/frequency tracking」のために「tracking RS」(すなわち、TRS)を設定する。
TRSは、規格で「CSI-RS for tracking」など他の用語と指称されるが本明細書では説明の便宜のためにTRSと指称する。
TRSは、10ms、20msなど特定周期を持って、1つ(X=1)又は2つ(X=2)の連続されたslotで送信され、これを「TRS burst」と名付ける。
TRSは、規格で「CSI-RS for tracking」など他の用語と指称されるが本明細書では説明の便宜のためにTRSと指称する。
TRSは、10ms、20msなど特定周期を持って、1つ(X=1)又は2つ(X=2)の連続されたslotで送信され、これを「TRS burst」と名付ける。
図17は、一部実施形態によるTRSのREパターンを示す。
図17を参照すると、一つのslot内で可能なTRSパターン例示を示している。
図17に示したように、TRSは、3RE/RB/portの「frequency RE density」を持って4個サブキャリアごとに「TRS RE」が繰り返される(すなわち、一つの「TRS port」は、図17の「TRS OFDM symbol RE」に表記した、0、1、2、3 REの内の一つREで送信される)。
また、一部実施形態によれば、TRSは、「frequency range 1」(FR1)と指称される6GHz以下の周波数帯域では[{5番目、9番目}、{6番目、10番目}、{7番目、11番目}]の3つの「OFDM symbol pair」の内の一つで送信され、「frequency range 2」(FR2)に指称される6GHz以上の周波数帯域で[{1番目、5番目}、{2番目、6番目}、{3番目、7番目}、{4番目、8番目}、{5番目、9番目}、{6番目、10番目}、{7番目、11番目}、{8番目、12番目}、{9番目、13番目}、{10番目、14番目}]の10つの「OFDM symbol pair」の内の一つで送信される。
図17で、「OFDM symbol」位置は、TRS設定の例示で実際送信位置は、基地局送信によって変更することができることに留意しなければならない。
図17を参照すると、一つのslot内で可能なTRSパターン例示を示している。
図17に示したように、TRSは、3RE/RB/portの「frequency RE density」を持って4個サブキャリアごとに「TRS RE」が繰り返される(すなわち、一つの「TRS port」は、図17の「TRS OFDM symbol RE」に表記した、0、1、2、3 REの内の一つREで送信される)。
また、一部実施形態によれば、TRSは、「frequency range 1」(FR1)と指称される6GHz以下の周波数帯域では[{5番目、9番目}、{6番目、10番目}、{7番目、11番目}]の3つの「OFDM symbol pair」の内の一つで送信され、「frequency range 2」(FR2)に指称される6GHz以上の周波数帯域で[{1番目、5番目}、{2番目、6番目}、{3番目、7番目}、{4番目、8番目}、{5番目、9番目}、{6番目、10番目}、{7番目、11番目}、{8番目、12番目}、{9番目、13番目}、{10番目、14番目}]の10つの「OFDM symbol pair」の内の一つで送信される。
図17で、「OFDM symbol」位置は、TRS設定の例示で実際送信位置は、基地局送信によって変更することができることに留意しなければならない。
図18Aは、一部実施形態による「1-Port CSI-RS」設定を示す図である。
図18Aを参照すると、図17の「TRS RE pattern」をカバーするための「1-port CSI-RS」設定の一例示を図に示した。
表20によれば、基地局は、一つの「resource setting」に一つの「resource set」を設定し、その中に最大4つの「CSI-RS resource」(1800、1810、1820、1830)を設定する。
この時、「CSI-RS」の「frequency density」は、「3RE/RB/port」と設定される。
もし、X=1 「TRS burst」を用いる場合、基地局は、「CSI-RS resource」#0と#1を設定する。
図18Aを参照すると、図17の「TRS RE pattern」をカバーするための「1-port CSI-RS」設定の一例示を図に示した。
表20によれば、基地局は、一つの「resource setting」に一つの「resource set」を設定し、その中に最大4つの「CSI-RS resource」(1800、1810、1820、1830)を設定する。
この時、「CSI-RS」の「frequency density」は、「3RE/RB/port」と設定される。
もし、X=1 「TRS burst」を用いる場合、基地局は、「CSI-RS resource」#0と#1を設定する。
図18Bは、一部実施形態によるまた一つの「1-Port CSI-RS」設定を示す図である。
X=2 「TRS burst」の場合、基地局は、「CSI-RS resource」#0、#1、#2、#3(1800、1810、1820、1830)をいずれも設定する。
X=1又はX=2 「TRS burst」の場合、一つの「resource set」内に設定される「CSI-RS resource」に対して端末は、同じポートインデックスを持つ同じアンテナポートを仮定することができ、これに基づいて連続的な「time/frequency tracking」を行うようにする。
また、基地局は、「CSI-RS resource」がTRSと設定される場合、対応する報告セッティング(CSI-ReportConfig)を設定しないか(すなわち、該当「CSI-RS resource」を参照する報告セッティングがないか)、報告セッティングの設定値が‘none’になるようにして端末が該当「CSI-RS resource」を「time/frequency tracking」用途で用いて「CSI report」生成をしなくてもよいことを保障する。
X=2 「TRS burst」の場合、基地局は、「CSI-RS resource」#0、#1、#2、#3(1800、1810、1820、1830)をいずれも設定する。
X=1又はX=2 「TRS burst」の場合、一つの「resource set」内に設定される「CSI-RS resource」に対して端末は、同じポートインデックスを持つ同じアンテナポートを仮定することができ、これに基づいて連続的な「time/frequency tracking」を行うようにする。
また、基地局は、「CSI-RS resource」がTRSと設定される場合、対応する報告セッティング(CSI-ReportConfig)を設定しないか(すなわち、該当「CSI-RS resource」を参照する報告セッティングがないか)、報告セッティングの設定値が‘none’になるようにして端末が該当「CSI-RS resource」を「time/frequency tracking」用途で用いて「CSI report」生成をしなくてもよいことを保障する。
図18A及び図18Bで、「1-port CSI-RS resource」のサブキャリア位置及び「OFDM symbol」位置は、図17のTRSサブキャリア位置によって適当に変更することができる。
TRSは、periodic、semi-persistent、aperiodicなどの多様な形態で送信されることが可能である。
「periodic TRS(P-TRS)」の場合、RRC設定される周期及び「slot offset」値によって「RRC reconfiguration」前まで周期的に送信され、「semi-persistent TRS(SP-TRS)」の場合、RRC設定される周期及び「slot offset」に基づいて「MAC CE」又はDCIによってactivationされた以後のdeactivationされる前まで送信され、「aperiodic TRS(A-TRS)」の場合、周期又は「slot offset」値設定無しに「MAC CE」又はDCIによってtriggerされて送信される。
この時、「A-TRS triggering」及び「A-TRS」送信タイミングは上位レイヤーと設定されたoffsetを有するか、又は予め約束された値(例えば、「A-TRS triggering」のようなslotに「A-TRS」が送信されるように)によることが可能である。
「periodic TRS(P-TRS)」の場合、RRC設定される周期及び「slot offset」値によって「RRC reconfiguration」前まで周期的に送信され、「semi-persistent TRS(SP-TRS)」の場合、RRC設定される周期及び「slot offset」に基づいて「MAC CE」又はDCIによってactivationされた以後のdeactivationされる前まで送信され、「aperiodic TRS(A-TRS)」の場合、周期又は「slot offset」値設定無しに「MAC CE」又はDCIによってtriggerされて送信される。
この時、「A-TRS triggering」及び「A-TRS」送信タイミングは上位レイヤーと設定されたoffsetを有するか、又は予め約束された値(例えば、「A-TRS triggering」のようなslotに「A-TRS」が送信されるように)によることが可能である。
「Aperiodic TRS(A-TRS)」の場合、時間軸RE数が不足でチャンネルの統計的特性を測定し難い場合があるため、「periodic TRS」又は「semi-persistent TRS」と接続(association)される。
「A-TRSとSP-TRS」又は「P-TRS」の間接続は、「quasi co-location(QCL)」などの多様な方法を介してサポートされることが可能である。
例えば、基地局は、「A-TRS」に少なくとも一つの「SP-TRS」又は「P-TRS」を「QCL reference RS」と設定して「delay spread」、「average delay」、「Doppler spread」、「Doppler shift」などのチャンネル統計値を抽出することができるか(「QCL type A」)、又は「TX beam」、「RX beam」などの「spatial parameter」を抽出すること(「QCL type D」)ができる。
「A-TRSとSP-TRS」又は「P-TRS」の間接続は、「quasi co-location(QCL)」などの多様な方法を介してサポートされることが可能である。
例えば、基地局は、「A-TRS」に少なくとも一つの「SP-TRS」又は「P-TRS」を「QCL reference RS」と設定して「delay spread」、「average delay」、「Doppler spread」、「Doppler shift」などのチャンネル統計値を抽出することができるか(「QCL type A」)、又は「TX beam」、「RX beam」などの「spatial parameter」を抽出すること(「QCL type D」)ができる。
また、TRSは、上位レイヤーパラメーター「freqBand」によって帯域幅情報を割り当てられ、該当TRSが送信されるBWPの帯域幅が52RBより小さい場合、TRSの帯域幅はBWPの帯域幅と同じで、該当TRSが送信されるBWPの帯域幅が52RBより大きい又は同じの場合、TRSの帯域幅は52RBと設定される。
図19は、本発明の一実施形態による端末の信号処理装置構造を示す図である。
信号処理装置の構造は、端末のアンテナポート、アンテナパネル、ベースバンドプロセッサの内の少なくとも一つを含む。
信号処理装置の構造は、端末のアンテナポート、アンテナパネル、ベースバンドプロセッサの内の少なくとも一つを含む。
図19を参照すると、端末1900は、複数のアンテナポート又はパネル(1905、1910、1915)から構成される。
図19で、端末が3個のアンテナポート又はパネル構造を有するものとして図に示しているが、これは実際適用時のこのような一例に制限される必要はなく、より多い又はより小さい数のアンテナポート又はパネル構造が用いられることが可能である。
図19で、端末が3個のアンテナポート又はパネル構造を有するものとして図に示しているが、これは実際適用時のこのような一例に制限される必要はなく、より多い又はより小さい数のアンテナポート又はパネル構造が用いられることが可能である。
複数のアンテナポート又はパネルは、端末の製造コスト、目標性能、FR1又はFR2などの動作周波数帯域などの多様な環境及び条件によってアンテナポート/パネル選択部(antenna selection module、1920)と接続されるか、又はアンテナポート/パネル利得結合部(antenna combining module/MIMO module)1925などを介して信号処理部(baseband processing module)1930で接続される。
説明の便宜のために今後の説明でアンテナポート/パネル選択部(antenna selection module)1920、アンテナポート/パネル利得結合部(antenna combining module/MIMO module)1925などのモジュールを“アンテナ信号処理部”と通称する。
信号処理部(baseband processing module)1930は、アンテナ信号処理部を通過したRF信号又はデジタル信号を受信して前述の手順によって基準信号を測定してTCI/QCL手順を行うか、データシンボルを測定してデータを復調する。
現状の大部分の端末は、消費電力節減や複雑度/費用減少を目的としてアンテナポート/パネル選択部(antenna selection module)1920を用いるか、又は無線通信カバレッジ拡大や又は容量増大を目的としてアンテナポート/パネル利得結合部(antenna combining module/MIMO module)1925を用いるなど1920又は1925の内の一つを選んで使用している。
説明の便宜のために今後の説明でアンテナポート/パネル選択部(antenna selection module)1920、アンテナポート/パネル利得結合部(antenna combining module/MIMO module)1925などのモジュールを“アンテナ信号処理部”と通称する。
信号処理部(baseband processing module)1930は、アンテナ信号処理部を通過したRF信号又はデジタル信号を受信して前述の手順によって基準信号を測定してTCI/QCL手順を行うか、データシンボルを測定してデータを復調する。
現状の大部分の端末は、消費電力節減や複雑度/費用減少を目的としてアンテナポート/パネル選択部(antenna selection module)1920を用いるか、又は無線通信カバレッジ拡大や又は容量増大を目的としてアンテナポート/パネル利得結合部(antenna combining module/MIMO module)1925を用いるなど1920又は1925の内の一つを選んで使用している。
一方、将来の端末の場合、アンテナ選択、結合又は/及び組み合せによる多様な利得を状況によって適切に取得するために複数のアンテナ信号処理部を同時具現するか、又は多様な機能を行うことができる複合アンテナ信号処理部を導入することが可能である。
このような傾向は、無線通信の周波数動作帯域が増加することによって(例えば、6GHz以上のFR2帯域又は52.6GHz以上のFR4帯域など)アンテナポート/パネルのモジュールサイズ及び各モジュールの間の最小要求間隔は周波数に反比例して(波長に比例して)短くなることによって、一つの端末が有するアンテナポート/パネルの数が次第に増加するようになるため、段々加速化されるだろう。
このような傾向は、無線通信の周波数動作帯域が増加することによって(例えば、6GHz以上のFR2帯域又は52.6GHz以上のFR4帯域など)アンテナポート/パネルのモジュールサイズ及び各モジュールの間の最小要求間隔は周波数に反比例して(波長に比例して)短くなることによって、一つの端末が有するアンテナポート/パネルの数が次第に増加するようになるため、段々加速化されるだろう。
前述のように複数のアンテナポート/パネルを操作する端末が複数の機能を有するアンテナ信号処理部を有している場合、理論的に優れた環境適応力を介して高い性能を得ることが可能であるが、優れた適応力を実体化してこれをカバレッジ利得又は通信容量の利得に換算するためには各場合に対する個別的な基準信号送信及び測定が伴わなければならなく、端末のTCI及びQCL測定及び適用も各場合別で個別に処理される必要がある。
これはフレキシブルのアンテナ信号処理を介して無線通信性能利得を得るために、単一アンテナ信号処理方法を仮定した従来システムに対比して、多くの量の基準信号送信及び測定負担、端末のTCI及びQCL測定及び適用能力向上のような追加的なコストが必要となるということを意味する。
これはフレキシブルのアンテナ信号処理を介して無線通信性能利得を得るために、単一アンテナ信号処理方法を仮定した従来システムに対比して、多くの量の基準信号送信及び測定負担、端末のTCI及びQCL測定及び適用能力向上のような追加的なコストが必要となるということを意味する。
本発明では端末の多様なアンテナポート及びパネル構造を考慮した「TCI emulation」方法を提供して基準信号送信負担を減らすことによって無線通信効率を高める。
以下、具体的な実施形態を介して本発明の主要要旨を説明する。
以下、具体的な実施形態を介して本発明の主要要旨を説明する。
<第1実施形態>
第1実施形態では、「TCI又は/及びQCL(以下、TCI/QCL)emulation」を介して基準信号送信負担を軽減させる方法を提供する。
本実施形態によれば、「TCI/QCL emulation」は、
1)互いに異なる2つ以上の「TCI state」又は互いに異なる2つ以上の「QCL assumption」を適切に合成して一つの「TCI state」又は一つの「QCL assumption」で造る方法、
2)一つの「TCI state」又は一つの「QCL assumption」を適切に分割して互いに異なる2つ以上の「TCI state」又は互いに異なる2つ以上の「QCL assumption」で造る方法などの一つ以上の組み合せで、多様な詳細的な方法が存在する。
第1実施形態では、「TCI又は/及びQCL(以下、TCI/QCL)emulation」を介して基準信号送信負担を軽減させる方法を提供する。
本実施形態によれば、「TCI/QCL emulation」は、
1)互いに異なる2つ以上の「TCI state」又は互いに異なる2つ以上の「QCL assumption」を適切に合成して一つの「TCI state」又は一つの「QCL assumption」で造る方法、
2)一つの「TCI state」又は一つの「QCL assumption」を適切に分割して互いに異なる2つ以上の「TCI state」又は互いに異なる2つ以上の「QCL assumption」で造る方法などの一つ以上の組み合せで、多様な詳細的な方法が存在する。
図20は、本発明の一実施形態による「TCI emulation」の一例を示す図である。
図20は、2つの「TCI emulation」方法の内の第1方法である互いに異なる2つ以上の「TCI state」又は互いに異なる2つ以上のQCL仮定を適切に合成して一つの「TCI state」又は一つのQCL仮定で造る方法の具体的な例示を示す図である。
図20は、2つの「TCI emulation」方法の内の第1方法である互いに異なる2つ以上の「TCI state」又は互いに異なる2つ以上のQCL仮定を適切に合成して一つの「TCI state」又は一つのQCL仮定で造る方法の具体的な例示を示す図である。
図20を参照すると、端末2002は、一つ以上の送信地点(transmission and reception point:TRP)又はパネル(panel)又はアンテナポート(2001、2011)とアップ又はダウン無線通信リンクを形成する。
この時、SFN(single-frequency network)、NC-JT(non-coherent joint transmission)などの多様な「multi-TRP」操作方法を考慮すれば、送信地点、パネル、及び/又はアンテナポートは、その一部又は全部が同じ基地局から送信される(又は含まれる)ことが可能である。
送信地点、パネル、及び/又はアンテナポートは、説明の便宜のためにこれから“送信地点”と通称する。
すなわち、図20の場合、説明の便宜上送信地点(2001、2011)の物理的位置が異なるものとして表したが実際適用時のここに限る必要はなく、一部送信地点はその物理的位置が同じになることが可能である(例えば、端末は各2つのパネルで構成される2つの互いに異なる送信地点を介して信号を送受信することができ、この時、総数4つのパネルの内の一部は、互いに同じ水平又は垂直物理位置を共有しても良い。)。
この時、SFN(single-frequency network)、NC-JT(non-coherent joint transmission)などの多様な「multi-TRP」操作方法を考慮すれば、送信地点、パネル、及び/又はアンテナポートは、その一部又は全部が同じ基地局から送信される(又は含まれる)ことが可能である。
送信地点、パネル、及び/又はアンテナポートは、説明の便宜のためにこれから“送信地点”と通称する。
すなわち、図20の場合、説明の便宜上送信地点(2001、2011)の物理的位置が異なるものとして表したが実際適用時のここに限る必要はなく、一部送信地点はその物理的位置が同じになることが可能である(例えば、端末は各2つのパネルで構成される2つの互いに異なる送信地点を介して信号を送受信することができ、この時、総数4つのパネルの内の一部は、互いに同じ水平又は垂直物理位置を共有しても良い。)。
本明細書内で、QCL仮定を生成するか、又はQCL/TCIプロセスを開始又は行うと言うことは、端末が基地局からQCL設定情報を受信して該当設定情報内の「QCL reference RS」に設定された基準信号又はチャンネルを受信して表10の「QCL type」によるチャンネルの統計的情報の内の全部又は一部を生成して該当QCL設定情報内の設定された「QCL target RS」の受信を介してチャンネル推定に用いることを意味する。
本明細書内で、ある基準信号チャンネルを送信する送信地点が異なるということは、端末2002が受信する互いに異なる2つの基準信号が互いに異なるQCL仮定を有するか又は互いに異なる「TCI state」を有するように一つ以上の上位レイヤーシグナリングを介して設定されるか、又は一つ以上の上位レイヤーシグナリング又はL1シグナリングを介して活性化されるか又はL1シグナリングを介して指示される場合を意味する。
これと同様に、ある基準信号又はチャンネルを受信する送信地点が異なるということは、端末2002が送信する互いに異なる2つの基準信号が互いに異なるQCL仮定(「UL QCL」又は「DL-UL joint QCL」又は「spatial relation information」などを含むことができる)を有するか又は互いに異なる「UL-TCI state」を有するように一つ以上の上位レイヤーシグナリングを介して設定されるか、又は一つ以上の上位レイヤーシグナリング又はL1シグナリングを介して活性化されるか、又はL1シグナリングを介して指示される場合を意味する。
また、実際適用時の送信地点が異なるということを端末が容易に判断するのを助けるための目的で、独立的上位レイヤーパラメーターが定義され、これを明示的に公知することが可能である。
前述のようにダウンリンクを記述する場合とアップリンクを記述する場合、必要な用語に差があり得るが、説明の要旨を不明瞭にしないために今後の説明ではダウンリンクを主として言及する。
しかし、上記のような発明の全般的内容は、アップリンクにも同様の方法で適用することができることに留意しなければならない。
これと同様に、ある基準信号又はチャンネルを受信する送信地点が異なるということは、端末2002が送信する互いに異なる2つの基準信号が互いに異なるQCL仮定(「UL QCL」又は「DL-UL joint QCL」又は「spatial relation information」などを含むことができる)を有するか又は互いに異なる「UL-TCI state」を有するように一つ以上の上位レイヤーシグナリングを介して設定されるか、又は一つ以上の上位レイヤーシグナリング又はL1シグナリングを介して活性化されるか、又はL1シグナリングを介して指示される場合を意味する。
また、実際適用時の送信地点が異なるということを端末が容易に判断するのを助けるための目的で、独立的上位レイヤーパラメーターが定義され、これを明示的に公知することが可能である。
前述のようにダウンリンクを記述する場合とアップリンクを記述する場合、必要な用語に差があり得るが、説明の要旨を不明瞭にしないために今後の説明ではダウンリンクを主として言及する。
しかし、上記のような発明の全般的内容は、アップリンクにも同様の方法で適用することができることに留意しなければならない。
どの基準信号又はチャンネルを送信する送信地点が異なるということを基地局が端末に公知する方法(すなわち、互いに異なる2つの基準信号が互いに異なるQCL仮定又は互いに異なる「TCI state」を有するように一つ以上の上位レイヤーシグナリングを介して設定されるか、又は一つ以上の上位レイヤーシグナリング又はL1シグナリングを介して活性化されるか又はL1シグナリングを介して指示されるなどの方法)に対する一例として、基地局は、各CORESET設定に追加的インジケーター、例えば、「CORESET pool index」、を設定して追加的インジケーターの値が同じCORESETで送信されるDCIによって割り当てられる、又はDCIと連携される制御チャンネル(PDCCH、PUCCH)、データチャンネル(PDSCH、PUSCHなど)又はRS(DMRS、CSI-RS、SRSなど)が同じ送信地点で送信されたことと仮定するように約束する。
例えば、端末は、「CORESET pool index」が設定されないCORESET又は「CORSET pool index」の値が「0」と設定されたCORESETで送信されるPDCCH及び該当PDCCHの含むDCIが割り当てるPDSCHは、第1送信地点で送信され、「CORSET pool index」の値が「1」と設定されたCORESETで送信されるPDCCH及び該当PDCCHの含むDCIが割り当てるPDSCHは、第2送信地点で送信されることと仮定することができる。
例えば、端末は、「CORESET pool index」が設定されないCORESET又は「CORSET pool index」の値が「0」と設定されたCORESETで送信されるPDCCH及び該当PDCCHの含むDCIが割り当てるPDSCHは、第1送信地点で送信され、「CORSET pool index」の値が「1」と設定されたCORESETで送信されるPDCCH及び該当PDCCHの含むDCIが割り当てるPDSCHは、第2送信地点で送信されることと仮定することができる。
送信地点区分に対する例示は、CORESET内のインジケーターに従うことに集中したが、これは説明の便宜のためのことで実際適用時にここに限らずPUCCH、「PUCCH group」、cell、「cell group」、BWP、「BWP group」などの多様な設定内部に追加的なインジケーターを導入して同様に拡張することが可能である。
端末は、上記方法を利用して「QCL reference RS」と「target RS」が同じ送信地点と関連されたこと、又は一つの「QCL reference RS」が複数の「target RS」に関連されたこと、又は一つの「target RS」が複数の「QCL reference RS」に関連されたことであるか、などの多様な状況を判断する。
以下の記述で発明の要旨を不明瞭にしないためにQCL又は「TCI state」が設定されるということは、前述した“基地局が端末に特定QCL又は「TCI state」を、上位レイヤーシグナリングを介して設定するか”又は“上位レイヤーシグナリング又はL1シグナリングを介して特定QCL又は「TCI state」が活性化されるか”又は“L1シグナリングを介して特定QCL又は「TCI state」が指示される場合”を通称して用いる場合があることに留意しなければならない。
以下の説明で2つの送信地点を仮定するがこれは説明の便宜のためのことで同様の方法で3つ以上の送信地点が存在する場合もサポートすることが可能である。
図20を参照すると、端末2002は、第1送信地点2001からどんな特定時点又は特定時間/周波数リソース2000で「QCL reference RS」が(例えば 「SS/PBCH block」、TRS、「CSI-RS for BM」(「CSI-RS」の内の「repetition parameter」がon又はoffに設定された「CSI-RS」2003)などが設定され、これを受信してQCL仮定を生成するか又はTCIプロセスを開始する。
また、端末2002は、第2送信地点2011からまた他の特定時点又は特定時間/周波数リソース2010で「QCL reference RS」が(例えば「SS/PBCH block」、TRS、「CSI-RS for BM」(「CSI-RS」の内の「repetition parameter」がon又はoffに設定された「CSI-RS」2013)などが設定され、これを受信してQCL仮定を生成するか又はTCIプロセスを開始する。
また、端末2002は、第2送信地点2011からまた他の特定時点又は特定時間/周波数リソース2010で「QCL reference RS」が(例えば「SS/PBCH block」、TRS、「CSI-RS for BM」(「CSI-RS」の内の「repetition parameter」がon又はoffに設定された「CSI-RS」2013)などが設定され、これを受信してQCL仮定を生成するか又はTCIプロセスを開始する。
一方、端末2002と第1及び第2送信地点(2001、2011)のいずれもからまた他の特定時点又は特定時間/周波数リソース2020で送信される「QCL target RS」が(例えば、「PDCCH DMRS」、「PDSCH DMRS」、「CSI-RS」2024、2025)などが設定され、これを受信する場合、最適の受信性能のために「QCL reference RS」は、「QCL target RS」のような方法で送信されなければならない。
すなわち、「QCL target RS」(2024、2025)の最適受信性能のためには「QCL reference RS」も第1及び第2送信地点(2001、2011)のいずれもから同時に受信されることが必要である。
しかし、これは、第1及び第2送信地点の個別送信シナリオのための「QCL reference RS」(2002、2013)とはまた他の「QCL reference RS」を送信することを要求するため、多くの量の(場合によって50%以上の追加的な)基準信号送信負担を追加で要求するようになる。
また、多い場合、セル共通又はグループ共通で用いられる「QCL reference RS」に対する同時送信が要求される問題が発生するようになる。
すなわち、「QCL target RS」(2024、2025)の最適受信性能のためには「QCL reference RS」も第1及び第2送信地点(2001、2011)のいずれもから同時に受信されることが必要である。
しかし、これは、第1及び第2送信地点の個別送信シナリオのための「QCL reference RS」(2002、2013)とはまた他の「QCL reference RS」を送信することを要求するため、多くの量の(場合によって50%以上の追加的な)基準信号送信負担を追加で要求するようになる。
また、多い場合、セル共通又はグループ共通で用いられる「QCL reference RS」に対する同時送信が要求される問題が発生するようになる。
このような問題を解決するために以下のような方法の内の一つ又はそれらの組み合せによって「TCI emulation」(QCL合成又はTCI合成、「TCI emulation mode」#1)が行われることが可能である。
図20で示したように2つの互いに異なる「reference RS」で測定されたQCL情報を一つの「target RS」に適用させるために基地局は、「reference RS」と「target RS」の間の多対一の関係(N:1 association)を端末に適切に通知しなければならない。
基地局及び端末は、これを介して多くの場合、セル共通又はグループ共通で用いられる「QCL reference RS」に対する同時送受信を行わなくでも協力送信される「QCL target RS」に対するQCL又は/及びTCI情報を適切に交換する。
図20で示したように2つの互いに異なる「reference RS」で測定されたQCL情報を一つの「target RS」に適用させるために基地局は、「reference RS」と「target RS」の間の多対一の関係(N:1 association)を端末に適切に通知しなければならない。
基地局及び端末は、これを介して多くの場合、セル共通又はグループ共通で用いられる「QCL reference RS」に対する同時送受信を行わなくでも協力送信される「QCL target RS」に対するQCL又は/及びTCI情報を適切に交換する。
現在のNRシステムでは、「multi-TRP」送信をサポートするために「MAC CE」など上位レイヤーシグナリングを利用してDCI内の一つの「TCI field code point」に複数の「TCI state」を接続(活性化)する機能をサポートする。
しかし、このような機能は、該当DCIの「DMRS port indication field」が指示するDMRSポートを「DMRS CDM group」を基準に分けて「DMRS CDM group」別の互いに異なる「TCI state」を適用するためのことで(すなわち、従来の場合、相変らず一つの「DMRS port」には一つの独立的QCL仮定だけが適用される)、一つの「DMRS port」(すなわち、一つの「QCL target RS」ポート)に互いに異なる「TCI state」又は互いに異なるQCL仮定を統合(複数の「QCL reference RS」を統合適用)してサポートしようとする本発明の趣旨及び機能とは区別されるべきである。
しかし、このような機能は、該当DCIの「DMRS port indication field」が指示するDMRSポートを「DMRS CDM group」を基準に分けて「DMRS CDM group」別の互いに異なる「TCI state」を適用するためのことで(すなわち、従来の場合、相変らず一つの「DMRS port」には一つの独立的QCL仮定だけが適用される)、一つの「DMRS port」(すなわち、一つの「QCL target RS」ポート)に互いに異なる「TCI state」又は互いに異なるQCL仮定を統合(複数の「QCL reference RS」を統合適用)してサポートしようとする本発明の趣旨及び機能とは区別されるべきである。
本発明の意図に従い、一つの「QCL target RS」ポートに互いに異なる「TCI state」又は互いに異なるQCL仮定を統合(複数の「QCL reference RS」を統合)適用するために、以下の3つ方法の内の一つを適用することが可能である。
・方法1:第1方法は、「Rel-16 PDSCH DMRS TCI activation MAC CE」又はその拡張に基づいて、DCIが指示する「DMRS port」に同時に適用する複数の「TCI state」又はQCL仮定が接続されることである。
この時、別途の上位レイヤーパラメーターが定義され、端末は、上位レイヤーパラメーターに基づいて接続が「Rel-16 multi-TRP」動作によって解釈されるか(すなわち、第1「TCI state」は、第1「DMRS CDM group」に属するDMRSに適用し、第2「TCI state」は、第2「DMRS CDM group」に属するDMRSに適用)、それとも本発明の内容によって「TCI emulation」を行うか(すなわち、第1「TCI state」と第2「TCI state」を合成して新規「TCI state」を導出してこれを指示されたすべての「DMRS port」に適用)を決定する。
別途の上位レイヤーパラメーターは、独立的RRCパラメーターと定義されるか、又は「Rel-16 multi-TRP」のための上位レイヤーパラメーターが前述された内容の指示のために活用されることも可能である。
方法1によれば、表11の「TCI state」及びQCL設定を再使用することが可能であるため最小限の規格変更で「TCI emulation」サポートが可能であるが、「Rel-16 multi-TRP」動作と「TCI emulation」動作を同時に行うことができない欠点がある。
この時、別途の上位レイヤーパラメーターが定義され、端末は、上位レイヤーパラメーターに基づいて接続が「Rel-16 multi-TRP」動作によって解釈されるか(すなわち、第1「TCI state」は、第1「DMRS CDM group」に属するDMRSに適用し、第2「TCI state」は、第2「DMRS CDM group」に属するDMRSに適用)、それとも本発明の内容によって「TCI emulation」を行うか(すなわち、第1「TCI state」と第2「TCI state」を合成して新規「TCI state」を導出してこれを指示されたすべての「DMRS port」に適用)を決定する。
別途の上位レイヤーパラメーターは、独立的RRCパラメーターと定義されるか、又は「Rel-16 multi-TRP」のための上位レイヤーパラメーターが前述された内容の指示のために活用されることも可能である。
方法1によれば、表11の「TCI state」及びQCL設定を再使用することが可能であるため最小限の規格変更で「TCI emulation」サポートが可能であるが、「Rel-16 multi-TRP」動作と「TCI emulation」動作を同時に行うことができない欠点がある。
・方法2:第2方法は、表11の「TCI state」設定を以下の表33のように修正して一つの「TCI state」内に総数4個の「QCL type」を設定するように許容する方法である。
これを介して該当「TCI state」を参照する「QCL target RS」が互いに異なる2つの送信地点で送信される互いに異なる2つの「QCL reference RS」を参照することができる。
この時、「qcl-Type1」が示すQCLパラメーターは、「qcl-Type1-r17」が示すQCLパラメーターと合成されて新しい第1QCL情報が生成され、「qcl-Type2」が示すQCLパラメーターは、「qcl-Type1-r17」が示すQCLパラメーターと合成されて新しい第2QCL情報が生成される。
表33は、2個の「QCL reference RS」が参照される一例に対するものであるが、3以上の「QCL reference RS」に対して同じ方法で拡張することができるだろう。
方法2の場合にも独立的な上位レイヤーシグナリングパラメーターが定義されてパラメーターが以下の新規パラメーター「qcl-Type1-r17」及び「qcl-Type2-r17」を使用するかどうかを通知するか、又は{qcl-Type1、qcl-Type2}と{qcl-Type1-r17、qcl-Type2-r17}の内のどんなパラメーター対を用いるか又は2つの対を合成して生成される新しいパラメーター対を用いるかなどを直接的に指示することが可能である。
これを介して該当「TCI state」を参照する「QCL target RS」が互いに異なる2つの送信地点で送信される互いに異なる2つの「QCL reference RS」を参照することができる。
この時、「qcl-Type1」が示すQCLパラメーターは、「qcl-Type1-r17」が示すQCLパラメーターと合成されて新しい第1QCL情報が生成され、「qcl-Type2」が示すQCLパラメーターは、「qcl-Type1-r17」が示すQCLパラメーターと合成されて新しい第2QCL情報が生成される。
表33は、2個の「QCL reference RS」が参照される一例に対するものであるが、3以上の「QCL reference RS」に対して同じ方法で拡張することができるだろう。
方法2の場合にも独立的な上位レイヤーシグナリングパラメーターが定義されてパラメーターが以下の新規パラメーター「qcl-Type1-r17」及び「qcl-Type2-r17」を使用するかどうかを通知するか、又は{qcl-Type1、qcl-Type2}と{qcl-Type1-r17、qcl-Type2-r17}の内のどんなパラメーター対を用いるか又は2つの対を合成して生成される新しいパラメーター対を用いるかなどを直接的に指示することが可能である。
・方法3:第3方法は、表11のQCL設定を以下の表34のように修正して一つのQCL設定内に総数2個の「QCL reference RS」が含まれるように許容する方法である。
これを介して端末が該当「TCI state」を参照する「QCL target RS」基盤チャンネル推定の時に互いに異なる2つの送信地点で送信される互いに異なる2つの「QCL reference RS」のチャンネルパラメーターを参照する。
この時、端末は、該当QCL設定内の「QCL reference RS」の測定値を直接合成するか、又は該当QCL設定内の「QCL reference RS」から独立的に測定されたQCLパラメーター値を合成して新しいQCL情報を生成する。
表34は、2個の「QCL reference RS」が参照される一例に対するものであるが、3以上の「QCL reference RS」に対しても同じ方法で拡張することができるだろう。
方法3の場合にも新しく定義された独立的な上位レイヤーシグナリングパラメーターが以下の新規パラメーター「referenceSignal-r17」及び「qcl-Type-r17」を使用するかどうかを通知することが可能である。
この時、「qcl-Type-r17」は、従来「QCL type A、B、C、D」以外新しいタイプを追加で指示することができ、例えば、「type E」が追加されて従来「QCL type」の内の一つに加えて「average gain」などの新規チャンネル統計特性を「TCI emulation」に用いるようにサポートすることができる。
「Average gain」などチャンネル統計特性に基づいた「TCI emulation」の詳細方法は、以下に別に詳しく提供される。
これを介して端末が該当「TCI state」を参照する「QCL target RS」基盤チャンネル推定の時に互いに異なる2つの送信地点で送信される互いに異なる2つの「QCL reference RS」のチャンネルパラメーターを参照する。
この時、端末は、該当QCL設定内の「QCL reference RS」の測定値を直接合成するか、又は該当QCL設定内の「QCL reference RS」から独立的に測定されたQCLパラメーター値を合成して新しいQCL情報を生成する。
表34は、2個の「QCL reference RS」が参照される一例に対するものであるが、3以上の「QCL reference RS」に対しても同じ方法で拡張することができるだろう。
方法3の場合にも新しく定義された独立的な上位レイヤーシグナリングパラメーターが以下の新規パラメーター「referenceSignal-r17」及び「qcl-Type-r17」を使用するかどうかを通知することが可能である。
この時、「qcl-Type-r17」は、従来「QCL type A、B、C、D」以外新しいタイプを追加で指示することができ、例えば、「type E」が追加されて従来「QCL type」の内の一つに加えて「average gain」などの新規チャンネル統計特性を「TCI emulation」に用いるようにサポートすることができる。
「Average gain」などチャンネル統計特性に基づいた「TCI emulation」の詳細方法は、以下に別に詳しく提供される。
表33及び表34は、一つの「target RS」と複数の「reference RS」間の接続関係(association)を提供するための例題であり、実際適用時、多様な応用が可能で「reference RS」の個数など詳細事項も適切に変更が可能である。
端末は、前述の方法の内の一つによって「QCL target RS」ポートと複数の「TCI state」又は互いに異なるQCL仮定間の接続関係情報を基地局から受信してこれによって以下のTCI/QCL合成方法の内の一つを行うことができる。
・方法1:複数の「QCL reference RS」で測定又は抽出した「QCL parameter」値(個別QCL仮定)を合成して新しい「QCL parameter」値(合成されたQCL仮定)を生成する第1方法は、個別QCL仮定の加重値の合計(weighted sum)を合成されたQCL仮定として用いる方法である。
加重値の合計で個別QCL仮定に掛けられる係数の例示で同じ値の整数があり得る。
端末は、個別QCL仮定を独立確率変数で仮定していずれも同じ値の整数(例えば、「1」)を掛けて加えることで合成されたQCL仮定を生成することが可能である。
本例示によれば、どんな「target RS」が「average delay=A」の値を有する第1「reference RS」と接続されてこれと同時に「average delay=B」の値を有する第2「reference RS」と接続される場合、合成された「average delay」値は、「A+B」と仮定される。
加重値の合計で個別QCL仮定に掛けられる係数の例示で同じ値の整数があり得る。
端末は、個別QCL仮定を独立確率変数で仮定していずれも同じ値の整数(例えば、「1」)を掛けて加えることで合成されたQCL仮定を生成することが可能である。
本例示によれば、どんな「target RS」が「average delay=A」の値を有する第1「reference RS」と接続されてこれと同時に「average delay=B」の値を有する第2「reference RS」と接続される場合、合成された「average delay」値は、「A+B」と仮定される。
また他の例示で、「delay spread」又は「Doppler spread」のようにチャンネルの2次統計的特性値が継続増加する方向に合成されることを調節するために、全ての同じ値の実数(例えば、N個の個別QCL仮定が存在する場合、1/N)を掛けて加えることで合成されたQCL仮定を生成することが可能である。
本例示によれば、どんな「target RS」が「average delay=A」の値を有する第1「reference RS」と接続されて、これと同時に「average delay=B」の値を有する第2「reference RS」と接続される場合、合成された「average delay」値は「(A+B)/2」と仮定される。
本例示によれば、どんな「target RS」が「average delay=A」の値を有する第1「reference RS」と接続されて、これと同時に「average delay=B」の値を有する第2「reference RS」と接続される場合、合成された「average delay」値は「(A+B)/2」と仮定される。
本方法によれば、「average delay」、「delay spread」、「Doppler shift」、「Doppler spread」、「spatial RX parameter」など基地局から設定された「QCL parameter」全体に前述した例示の内の一つ方法が一括適用されることも可能であるが、これに基づいた応用でQCL仮定内の「QCL parameter」種類によって互いに異なる方法が適用されるように約束されることも可能である。
例えば、「average delay」又は「Doppler shift」又は「spatial RX parameter」のようなチャンネルの1次特性(平均又は与えられた測定区間を基準にする瞬時値)に該当する変数は、第1例示によっていずれも同じ値の整数(例えば、「1」)を係数に用いる加重値の合計によって決定され、「delay spread」又は「Doppler spread」のようなチャンネルの2次特性(与えられた測定区間を基準にする分散値)に該当する変数は、第2例示によっていずれも同じ値のエラー(例えば、1/N)を係数に用いる加重値の合計によって決定されるように約束するか、又はこれを設定する独立的な上位レイヤーシグナリングパラメーターを導入することができる。
上位レイヤーシグナリングパラメーターは、各QCLパラメーターに適用される係数(又は上記例示の内の一つの方法)を指示するか又は予め設定された特定一つ以上のQCLパラメーターのセットに上記例示の内の一つの方法が適用されるのを指示するものであれば良い。
例えば、「average delay」又は「Doppler shift」又は「spatial RX parameter」のようなチャンネルの1次特性(平均又は与えられた測定区間を基準にする瞬時値)に該当する変数は、第1例示によっていずれも同じ値の整数(例えば、「1」)を係数に用いる加重値の合計によって決定され、「delay spread」又は「Doppler spread」のようなチャンネルの2次特性(与えられた測定区間を基準にする分散値)に該当する変数は、第2例示によっていずれも同じ値のエラー(例えば、1/N)を係数に用いる加重値の合計によって決定されるように約束するか、又はこれを設定する独立的な上位レイヤーシグナリングパラメーターを導入することができる。
上位レイヤーシグナリングパラメーターは、各QCLパラメーターに適用される係数(又は上記例示の内の一つの方法)を指示するか又は予め設定された特定一つ以上のQCLパラメーターのセットに上記例示の内の一つの方法が適用されるのを指示するものであれば良い。
・方法2:複数の「QCL reference RS」で測定又は抽出した「QCL parameter」値(個別QCL仮定)を合成して新しい「QCL parameter」値(合成されたQCL仮定)を生成する第2方法は、個別QCL仮定のQCL設定以外の独立的な値を係数として用いてQCL加重値の合計(weighted sum)を合成されたQCL仮定で用いる方法である。
加重値の合計で、個別QCL仮定に掛けられる係数の例示で「average gain」があり得る。
個別QCL仮定が合成されたQCL仮定に及ぶ寄与度は、該当個別QCL仮定を推定する「reference RS」の受信強度に比例するようになることを反映して端末は独立的な値で各「reference RS」の「average gain」を用いることが可能である。
本例示によれば、どんな「target RS」が「average delay=A」、及び「average gain=C」の値を有する第1「reference RS」と接続されて、これと同時に「average delay=B」、及び「average gain=D」の値を有する第2「reference RS」と接続される場合、合成された「average delay」値は「(C×A+D×B)」と仮定される。
加重値の合計で、個別QCL仮定に掛けられる係数の例示で「average gain」があり得る。
個別QCL仮定が合成されたQCL仮定に及ぶ寄与度は、該当個別QCL仮定を推定する「reference RS」の受信強度に比例するようになることを反映して端末は独立的な値で各「reference RS」の「average gain」を用いることが可能である。
本例示によれば、どんな「target RS」が「average delay=A」、及び「average gain=C」の値を有する第1「reference RS」と接続されて、これと同時に「average delay=B」、及び「average gain=D」の値を有する第2「reference RS」と接続される場合、合成された「average delay」値は「(C×A+D×B)」と仮定される。
また他の例示で、「delay spread」又は「Doppler spread」のようにチャンネルの2次統計的特性値が継続増加する方向に合成されることを調節するために「reference RS」間の「average gain」の相対的サイズを掛けて加えることで合成されたQCL仮定を生成することが可能である。
本例示によれば、どんな「target RS」が「average delay=A」、及び「average gain=C」の値を有する第1「reference RS」と接続され、これと同時に「average delay=B」、及び「average gain=D」の値を有する第2「reference RS」と接続される場合、合成された「average delay」値は「(C×A+D×B)/(C+D)」と仮定される。
本例示によれば、どんな「target RS」が「average delay=A」、及び「average gain=C」の値を有する第1「reference RS」と接続され、これと同時に「average delay=B」、及び「average gain=D」の値を有する第2「reference RS」と接続される場合、合成された「average delay」値は「(C×A+D×B)/(C+D)」と仮定される。
本方法によれば、「average delay」、「delay spread」、「Doppler shift」、「Doppler spread」、「spatial RX parameter」など基地局から設定された「QCL parameter」全体に一つ方法が一括適用されることも可能であるが、これに基づいた応用でQCL仮定内の「QCL parameter」種類によって互いに異なる方法が適用されるように約束することが可能である。
例えば、「average delay」又は「Doppler shift」又は「spatial RX parameter」のようなチャンネルの1次特性(平均又は与えられた測定区間を基準にする瞬時値)に該当する変数は、方法1の第1例示によって全て同じ値の整数(例えば、「1」)を係数に用いる加重値の合計によって決定され、「delay spread」又は「Doppler spread」のようなチャンネルの2次特性(与えられた測定区間を基準にする分散値)に該当する変数は、方法2の第2例示によって「reference RS」間の「average gain」の相対的サイズを係数に用いる加重値の合計によって決まるように約束するか、又はこれを設定する独立的上位レイヤーシグナリングパラメーターを導入することができる。
上位レイヤーシグナリングパラメーターは、特定QCLパラメーターの合成のための方法を直接指示するか、又は予め設定された特定一つ以上のQCLパラメーターのセットに上記例示の内の一つの方法が適用されることを指示するものであれば良い。
例えば、「average delay」又は「Doppler shift」又は「spatial RX parameter」のようなチャンネルの1次特性(平均又は与えられた測定区間を基準にする瞬時値)に該当する変数は、方法1の第1例示によって全て同じ値の整数(例えば、「1」)を係数に用いる加重値の合計によって決定され、「delay spread」又は「Doppler spread」のようなチャンネルの2次特性(与えられた測定区間を基準にする分散値)に該当する変数は、方法2の第2例示によって「reference RS」間の「average gain」の相対的サイズを係数に用いる加重値の合計によって決まるように約束するか、又はこれを設定する独立的上位レイヤーシグナリングパラメーターを導入することができる。
上位レイヤーシグナリングパラメーターは、特定QCLパラメーターの合成のための方法を直接指示するか、又は予め設定された特定一つ以上のQCLパラメーターのセットに上記例示の内の一つの方法が適用されることを指示するものであれば良い。
・方法3:複数の「QCL reference RS」で測定又は抽出した「QCL parameter」値(個別QCL仮定)を合成して新しい「QCL parameter」値(合成されたQCL仮定)を生成する第3方法は、個別QCL仮定の「QCL parameter」値を比べてその中の支配的な値を選択して合成されたQCL仮定で用いる方法である。
例えば、「delay spread」又は「Doppler spread」のようにチャンネルの2次統計的特性値は、合成されたパラメーター値が個別値の内の大きい値に多い影響を受けるようになるため、端末の具現複雑度を考慮して正確な合成値を生成せず個別「QCL parameter」測定値の内の最大の値を選択するか、又は個別「QCL parameter」測定値の内の上位N個だけが選択されて合成されるように限定することが可能である。
本例示によれば、どんな「target RS」が「average delay=A」の値を有する第1「reference RS」と接続されて、これと同時に「average delay=B」の値を有する第2「reference RS」と接続されて「A>B」の条件を満足する場合、合成された「average delay」値は、「A」と仮定される。
例えば、「delay spread」又は「Doppler spread」のようにチャンネルの2次統計的特性値は、合成されたパラメーター値が個別値の内の大きい値に多い影響を受けるようになるため、端末の具現複雑度を考慮して正確な合成値を生成せず個別「QCL parameter」測定値の内の最大の値を選択するか、又は個別「QCL parameter」測定値の内の上位N個だけが選択されて合成されるように限定することが可能である。
本例示によれば、どんな「target RS」が「average delay=A」の値を有する第1「reference RS」と接続されて、これと同時に「average delay=B」の値を有する第2「reference RS」と接続されて「A>B」の条件を満足する場合、合成された「average delay」値は、「A」と仮定される。
上記支配的な値を選択して合成されたQCL仮定を生成するまた他の例示で、基地局の直接指示に従って決定する方法がある。
例えば、基地局は、表33又は表34に加えて、複数の「reference RS」の内のどんなRSで測定した「QCL parameter」を合成されたQCL仮定に用いるかどうかに対する情報を上位レイヤーシグナリング又はL1シグナリングを介して端末に指示することが可能である。
上記支配的な値を選択して合成されたQCL仮定を生成するまた他の例示で、独立的パラメーター値によってどんな「reference RS」で測定されたQCLパラメーターを合成に用いるか決定する方法がある。
例えば、独立的パラメーターを各「reference RS」で測定した「average gain」で約束することが可能である。
本例示によれば、どんな「target RS」が「average delay=A」、及び「average gain=C」の値を有する第1「reference RS」と接続され、これと同時に「average delay=B」、及び「average gain=D」の値を有する第2「reference RS」と接続され、「C>D」の場合、合成された「average delay」値は、「A」と仮定される。
例えば、基地局は、表33又は表34に加えて、複数の「reference RS」の内のどんなRSで測定した「QCL parameter」を合成されたQCL仮定に用いるかどうかに対する情報を上位レイヤーシグナリング又はL1シグナリングを介して端末に指示することが可能である。
上記支配的な値を選択して合成されたQCL仮定を生成するまた他の例示で、独立的パラメーター値によってどんな「reference RS」で測定されたQCLパラメーターを合成に用いるか決定する方法がある。
例えば、独立的パラメーターを各「reference RS」で測定した「average gain」で約束することが可能である。
本例示によれば、どんな「target RS」が「average delay=A」、及び「average gain=C」の値を有する第1「reference RS」と接続され、これと同時に「average delay=B」、及び「average gain=D」の値を有する第2「reference RS」と接続され、「C>D」の場合、合成された「average delay」値は、「A」と仮定される。
本方法によれば、「average delay」、「delay spread」、「Doppler shift」、「Doppler spread、spatial RX parameter」など基地局から設定された「QCL parameter」全体に一つ方法が一括適用されることも可能であるが、これに基づいた応用でQCL仮定内の「QCL parameter」種類によって互いに異なる方法が適用されるように約束することが可能である。
例えば、「average delay」又は「Doppler shift」又は「spatial RX parameter」のようなチャンネルの1次特性(平均又は与えられた測定区間を基準にする瞬時値)に該当する変数に対しては、方法3の第2例示によって「average gain」値による選択による値を用い、「delay spread」又は「Doppler spread」のようなチャンネルの2次特性(与えられた測定区間を基準にする分散値)に該当する変数に対しては、方法3の第1例示によって個別「reference RS」の「QCL parameter」値サイズによって合成されたQCL仮定が用いられるように約束するか、又はこれを設定する独立的な上位レイヤーシグナリングパラメーターが導入することができる。
上位レイヤーシグナリングパラメーターは、特定QCLパラメーターの合成のための方法を直接指示するか、又は予め設定された特定一つ以上のQCLパラメーターのセットに上記例示の内の一つの方法が適用されることを指示するものであれば良い。
例えば、「average delay」又は「Doppler shift」又は「spatial RX parameter」のようなチャンネルの1次特性(平均又は与えられた測定区間を基準にする瞬時値)に該当する変数に対しては、方法3の第2例示によって「average gain」値による選択による値を用い、「delay spread」又は「Doppler spread」のようなチャンネルの2次特性(与えられた測定区間を基準にする分散値)に該当する変数に対しては、方法3の第1例示によって個別「reference RS」の「QCL parameter」値サイズによって合成されたQCL仮定が用いられるように約束するか、又はこれを設定する独立的な上位レイヤーシグナリングパラメーターが導入することができる。
上位レイヤーシグナリングパラメーターは、特定QCLパラメーターの合成のための方法を直接指示するか、又は予め設定された特定一つ以上のQCLパラメーターのセットに上記例示の内の一つの方法が適用されることを指示するものであれば良い。
・方法4:上記方法1、2、3に対する説明で一部方法及び例示間の組み合せに対して言及したが、実際適用時、上記例示に制限される必要はなく、これと同様の多様な組み合せを考慮することができることは自明である。
図21は、本発明の一実施形態による「TCI emulation」のまた他の例示を示す図である。
図21は、上記2つの「TCI emulation」方法の内の第2方法の一つの「TCI state」又は一つの「QCL assumption」を適切に分割して互いに異なる2つ以上の「TCI state」又は互いに異なる2つ以上の「QCL assumption」で造る方法の具体的な一例を示す図である。
図21は、上記2つの「TCI emulation」方法の内の第2方法の一つの「TCI state」又は一つの「QCL assumption」を適切に分割して互いに異なる2つ以上の「TCI state」又は互いに異なる2つ以上の「QCL assumption」で造る方法の具体的な一例を示す図である。
図21を参照すると、端末2103は、一つ以上の送信地点(transmission and reception point:TRP)又はパネル(panel)又はアンテナポート(2101、2102)とアップ又はダウン無線通信リンクを形成する。
この時、SFN(single-frequency network)、「NC-JT」(non-coherent joint transmission)などの多様な「multi-TRP」操作方法を考慮すれば、送信地点、パネル、又はアンテナポートは、その一部又は全部が同じ基地局から送信される(又は含まれる)ことが可能である。
送信地点、パネル、又はアンテナポートは、説明の便宜のために今後“送信地点”と通称する。
すなわち、図21の場合、説明の便宜上、送信地点(2101、2102)の物理的位置が異なるものとして表示したが実際適用時、これに限る必要はなく、一部送信地点は、その物理的位置が同じであることも可能である(例えば、端末は各2つのパネルで構成される2つの互いに異なる送信地点を介して信号を送受信することができ、この時、総数4つのパネルの内の一部は、互いに同じ水平又は垂直物理位置を共有しても良い。)。
この時、SFN(single-frequency network)、「NC-JT」(non-coherent joint transmission)などの多様な「multi-TRP」操作方法を考慮すれば、送信地点、パネル、又はアンテナポートは、その一部又は全部が同じ基地局から送信される(又は含まれる)ことが可能である。
送信地点、パネル、又はアンテナポートは、説明の便宜のために今後“送信地点”と通称する。
すなわち、図21の場合、説明の便宜上、送信地点(2101、2102)の物理的位置が異なるものとして表示したが実際適用時、これに限る必要はなく、一部送信地点は、その物理的位置が同じであることも可能である(例えば、端末は各2つのパネルで構成される2つの互いに異なる送信地点を介して信号を送受信することができ、この時、総数4つのパネルの内の一部は、互いに同じ水平又は垂直物理位置を共有しても良い。)。
本明細書内で、QCL仮定を生成するか、又はQCL/TCIプロセスを開始又は行うということは、端末が基地局からQCL設定情報を受信して該当設定情報内の「QCL reference RS」と設定された基準信号又はチャンネルを受信して表10の「QCL type」によるチャンネルの統計的情報の内の全部又は一部を生成して該当QCL設定情報内の設定された「QCL target RS」の受信を介してチャンネル推定に利用することを意味する。
本明細書内で、ある基準信号又はチャンネルを送信する送信地点が異なるということは、端末2103が受信する互いに異なる2つの基準信号が互いに異なるQCL仮定を有するか、又は互いに異なる「TCI state」を有するように一つ以上の上位レイヤーシグナリングを介して設定されるか、又は一つ以上の上位レイヤーシグナリング又はL1シグナリングを介して活性化されるか、又はL1シグナリングを介して指示される場合を意味する。
これと同様に、ある基準信号又はチャンネルを受信する送信地点が異なるということは、端末2103が送信する互いに異なる2つの基準信号が互いに異なるQCL仮定(「UL QCL」又は「DL-UL joint QCL」又は「spatial relation information」などを含むことができる)を有するか、又は互いに異なる「UL-TCI state」を有するように一つ以上の上位レイヤーシグナリングを介して設定されるか、又は一つ以上の上位レイヤーシグナリング又はL1シグナリングを介して活性化されるか、又はL1シグナリングを介して指示される場合を意味する。
また、実際適用時、送信地点が異なると言うことを端末が容易に判断するように助けるための目的に独立的上位レイヤーパラメーターが定義され、これを明示的に公知するようにすることが可能である。
前述のようにダウンリンクを記述する場合とアップリンクを記述する場合、必要な用語に差があり得るが、説明の要旨を不明瞭にしないために今後の説明ではダウンリンクを主として言及する。
しかし、前記のような発明の全般的な内容は、アップリンクにも同様の方法を適用することができることに留意しなければならない。
これと同様に、ある基準信号又はチャンネルを受信する送信地点が異なるということは、端末2103が送信する互いに異なる2つの基準信号が互いに異なるQCL仮定(「UL QCL」又は「DL-UL joint QCL」又は「spatial relation information」などを含むことができる)を有するか、又は互いに異なる「UL-TCI state」を有するように一つ以上の上位レイヤーシグナリングを介して設定されるか、又は一つ以上の上位レイヤーシグナリング又はL1シグナリングを介して活性化されるか、又はL1シグナリングを介して指示される場合を意味する。
また、実際適用時、送信地点が異なると言うことを端末が容易に判断するように助けるための目的に独立的上位レイヤーパラメーターが定義され、これを明示的に公知するようにすることが可能である。
前述のようにダウンリンクを記述する場合とアップリンクを記述する場合、必要な用語に差があり得るが、説明の要旨を不明瞭にしないために今後の説明ではダウンリンクを主として言及する。
しかし、前記のような発明の全般的な内容は、アップリンクにも同様の方法を適用することができることに留意しなければならない。
以下の記述で、発明の要旨を不明瞭にしないために、QCL又は「TCI state」が設定されるということは、前述した“基地局が端末に特定QCL又は「TCI state」を、上位レイヤーシグナリングを介して設定するか”又は“上位レイヤーシグナリング又はL1シグナリングを介して特定QCL又はTCI stateが活性化されるか”又は“L1シグナリングを介して特定QCL又はTCI stateが指示される場合”を通称して用いる場合があることに留意しなければならない。
以下の説明で2つの送信地点を仮定するがこれは説明の便宜のためのもので同様の方法で3つ以上の送信地点が存在する場合もサポートすることが可能である。
図21を参照すると、端末2103は、第1送信地点2101と第2送信地点2102からどんな特定時点又は特定時間/周波数リソース2100で同時に送信される「QCL reference RS」が(例えば、「SS/PBCH block」、TRS、「CSI-RS for BM」(「CSI-RS」の内の「repetition parameter」がon又はoffに設定された「CSI-RS」)など(2104、2105)設定され、これを受信してQCL仮定を生成するか又はTCIプロセスを開始する。
この時、端末は、図21に示したように3つの場合の「target RS」受信シナリオを考慮する。
第1シナリオは、端末2103が第1及び第2送信地点(2101、2102)のいずれもから特定時点又は特定時間/周波数リソース2110で送信される「QCL target RS」が(例えば、「PDCCH DMRS」、「PDSCH DMRS」、「CSI-RS」など(2114、2115))設定され、これを受信する場合で、この時の端末は、特定時点又は特定時間/周波数リソース2100で「QCL reference RS」から測定したQCL仮定をそのまま適用して「target RS」を受信する。
第2シナリオは、端末2103が第1送信地点2101から特定時点又は特定時間/周波数リソース2120で送信される「QCL target RS」が(例えば、「PDCCH DMRS」、「PDSCH DMRS」、「CSI-RS」など、2121)設定され、これを受信する場合で、この時の端末は、最適の受信性能のために特定時点又は特定時間/周波数リソース2100で「QCL reference RS」から測定したQCL仮定を変更して適用する必要がある。
第3シナリオは、第2シナリオと同様に端末2103が第2送信地点2102から特定時点又は特定時間/周波数リソース2130で送信される「QCL target RS」が(例えば、「PDCCH DMRS」、「PDSCH DMRS」、「CSI-RS」など、2131)設定され、これを受信する場合で、この時の端末は、最適の受信性能のために特定時点又は特定時間/周波数リソース2100で「QCL reference RS」から測定したQCL仮定を変更して適用する必要がある。
この時、端末は、図21に示したように3つの場合の「target RS」受信シナリオを考慮する。
第1シナリオは、端末2103が第1及び第2送信地点(2101、2102)のいずれもから特定時点又は特定時間/周波数リソース2110で送信される「QCL target RS」が(例えば、「PDCCH DMRS」、「PDSCH DMRS」、「CSI-RS」など(2114、2115))設定され、これを受信する場合で、この時の端末は、特定時点又は特定時間/周波数リソース2100で「QCL reference RS」から測定したQCL仮定をそのまま適用して「target RS」を受信する。
第2シナリオは、端末2103が第1送信地点2101から特定時点又は特定時間/周波数リソース2120で送信される「QCL target RS」が(例えば、「PDCCH DMRS」、「PDSCH DMRS」、「CSI-RS」など、2121)設定され、これを受信する場合で、この時の端末は、最適の受信性能のために特定時点又は特定時間/周波数リソース2100で「QCL reference RS」から測定したQCL仮定を変更して適用する必要がある。
第3シナリオは、第2シナリオと同様に端末2103が第2送信地点2102から特定時点又は特定時間/周波数リソース2130で送信される「QCL target RS」が(例えば、「PDCCH DMRS」、「PDSCH DMRS」、「CSI-RS」など、2131)設定され、これを受信する場合で、この時の端末は、最適の受信性能のために特定時点又は特定時間/周波数リソース2100で「QCL reference RS」から測定したQCL仮定を変更して適用する必要がある。
しかし、これは第1又は第2送信地点の同時送信シナリオのための「QCL reference RS」(2104、2105)は、また他の「QCL reference RS」を送信することを要求するため、多くの量の(場合によって50%以上の追加的な)基準信号送信負担を追加で要求するようになる。
また、多くの場合、セル共通又はグループ共通で用いられる「QCL reference RS」に対する同時送信が要求される問題が発生する。
また、多くの場合、セル共通又はグループ共通で用いられる「QCL reference RS」に対する同時送信が要求される問題が発生する。
このような問題を解決するために以下のような方法の内の一つ又はその組み合せによって「TCI emulation」(QCL分割又はTC分割、「TCI emulation mode#2」)が行われることが可能である。
図21で示したように、一つの「reference RS」で測定されたQCL情報を複数の「target RS」に分けて適用させるために、基地局は、「reference RS」と「target RS」間の一対多の関係(1:N association)を端末に適切に通知しなければならない。
基地局及び端末は、これを介して多くの場合、セル共通又はグループ共通で用いられる「QCL reference RS」に対する同時送受信を行わなくても協力送信される「QCL target RS」に対する「QCL/TCI」情報を適切に交換することができる。
図21で示したように、一つの「reference RS」で測定されたQCL情報を複数の「target RS」に分けて適用させるために、基地局は、「reference RS」と「target RS」間の一対多の関係(1:N association)を端末に適切に通知しなければならない。
基地局及び端末は、これを介して多くの場合、セル共通又はグループ共通で用いられる「QCL reference RS」に対する同時送受信を行わなくても協力送信される「QCL target RS」に対する「QCL/TCI」情報を適切に交換することができる。
端末は、基地局の指示に従って一つの「QCL reference RS」で2対以上の「QCL parameter」値(例えば、「average delay」、「delay spread」、「Doppler shift」、「Doppler spread」、「spatial RX parameter」、「average gain」、など)を一度(同時)に測定することが可能である。
例えば、測定結果、「average delay」値で(「average delay 1」、「average delay 2」)の2つの値が測定され、2個以上の値が測定されることも可能である。
この時、基地局は、端末の「QCL parameter」測定複雑度を減らすための目的として、端末にこれに関連する特定情報(例えば、複数の対のパラメーターが同時に測定されるか、又は複数の送信地点が同時に信号を送信するかなど)を通知する。
特定情報は、RRC又は「MAC CE」など、及び上位レイヤーシグナリングによって基づくか、又はL1シグナリングに基づいて端末に伝達することが可能である。
図21によれば、例えば、一つの「QCL reference RS」は、特定時点又は特定時間/周波数リソース2100の第1送信地点2101から送信されるRS2104及び第2送信地点2102から送信されるRS2105を含むことで、端末は、2対のQCLパラメーター値(RS2104に基づく特定QCLパラメーター値、RS2105に基づく特定QCLパラメーター値)で測定する。
例えば、測定結果、「average delay」値で(「average delay 1」、「average delay 2」)の2つの値が測定され、2個以上の値が測定されることも可能である。
この時、基地局は、端末の「QCL parameter」測定複雑度を減らすための目的として、端末にこれに関連する特定情報(例えば、複数の対のパラメーターが同時に測定されるか、又は複数の送信地点が同時に信号を送信するかなど)を通知する。
特定情報は、RRC又は「MAC CE」など、及び上位レイヤーシグナリングによって基づくか、又はL1シグナリングに基づいて端末に伝達することが可能である。
図21によれば、例えば、一つの「QCL reference RS」は、特定時点又は特定時間/周波数リソース2100の第1送信地点2101から送信されるRS2104及び第2送信地点2102から送信されるRS2105を含むことで、端末は、2対のQCLパラメーター値(RS2104に基づく特定QCLパラメーター値、RS2105に基づく特定QCLパラメーター値)で測定する。
また他の例示で、端末は、明示的シグナリング以外の特定条件によって暗示的に「TCI emulation」(QCL分割又はTCI分割、「TCI emulation mode#2」)実行するかどうかを判断することが可能である。
例えば、端末は、端末速度、TRS送信周期、測定された「Doppler shift」のmaximum又はmiminum値などの多様な条件の内の一つ又は条件の組み合せが定められたthresholdを越すかどうかなどによって「TCI emulation」実行するかどうかを判断するように設定される。
例えば、端末は、端末速度、TRS送信周期、測定された「Doppler shift」のmaximum又はmiminum値などの多様な条件の内の一つ又は条件の組み合せが定められたthresholdを越すかどうかなどによって「TCI emulation」実行するかどうかを判断するように設定される。
基地局は、端末が上記「TCI emulation」を行うにあたり、以下の動作の内の一つを選択的に適用するように指示することが可能である。
・emulation mode#動作#1:端末は、「target RS」受信時の一つの「QCL reference RS」で同時測定されたQCLパラメーターカップルをいずれも適用する。
これは「target RS」が「reference RS」と同様に複数の送信地点で同時送信された状況を仮定する動作である。
これは、端末が本動作を行うように指示される場合、一つのQCLパラメーターに同時測定された複数のQCLパラメーター値が存在すると仮定せず、各QCLパラメーター別で一つのQCLパラメーター値が存在すると仮定してQCL仮定を生成するか、又はQCL/TCIプロセスを開始又は行うということを意味する。
図21を参考すると、「target RS」が特定時点又は特定時間/周波数リソース2110のRS2114及びRS2115のような場合、端末は、「QCL reference」RS2104及びRS2105から測定された一つのQCLパラメーター値を用いる。
これは「target RS」が「reference RS」と同様に複数の送信地点で同時送信された状況を仮定する動作である。
これは、端末が本動作を行うように指示される場合、一つのQCLパラメーターに同時測定された複数のQCLパラメーター値が存在すると仮定せず、各QCLパラメーター別で一つのQCLパラメーター値が存在すると仮定してQCL仮定を生成するか、又はQCL/TCIプロセスを開始又は行うということを意味する。
図21を参考すると、「target RS」が特定時点又は特定時間/周波数リソース2110のRS2114及びRS2115のような場合、端末は、「QCL reference」RS2104及びRS2105から測定された一つのQCLパラメーター値を用いる。
・emulation mode#動作#2:端末は、「target RS」受信時の同時測定されたQCLパラメーター対の内の第1グループを適用する。
これは「target RS」が「reference RS」を送信した送信地点の内の一部だけ(第1送信地点だけ)送信された状況を仮定する動作である。
図21を参考すると、「target RS」が第1送信地点2101で送信された上記符号2121の場合、端末は、RS2104に基づいて測定されたQCLパラメーターを適用してQCL仮定を生成するか又はQCL/TCIプロセスを開始又は行う。
これは「target RS」が「reference RS」を送信した送信地点の内の一部だけ(第1送信地点だけ)送信された状況を仮定する動作である。
図21を参考すると、「target RS」が第1送信地点2101で送信された上記符号2121の場合、端末は、RS2104に基づいて測定されたQCLパラメーターを適用してQCL仮定を生成するか又はQCL/TCIプロセスを開始又は行う。
・emulation mode#動作#3:端末は、「target RS」受信時の同時測定されたQCLパラメーター対の内の第2グループを適用する。
これは「target RS」が「reference RS」を送信したた送信地点の内の一部だけ(第2送信地点だけ)送信された状況を仮定する動作である。
図21を参考すると、「target RS」が第2送信地点2102で送信される上記符号2131の場合、端末は、RS2105に基づいて測定されたQCLパラメーターを適用してQCL仮定を生成するか又はQCL/TCIプロセスを開始又は行うことができる。
これは「target RS」が「reference RS」を送信したた送信地点の内の一部だけ(第2送信地点だけ)送信された状況を仮定する動作である。
図21を参考すると、「target RS」が第2送信地点2102で送信される上記符号2131の場合、端末は、RS2105に基づいて測定されたQCLパラメーターを適用してQCL仮定を生成するか又はQCL/TCIプロセスを開始又は行うことができる。
<第2実施形態>
第2実施形態では、「TCI/QCL emulation」を介して基準信号送信負担を軽減させる方法を提供する。
本実施形態によれば、「TCI/QCL emulation」は、
1)同じ設定の「target RS」に対する測定区間(monitoring occasion)を時間軸で定義される複数の区間によって多くのグループに分けて各グループ別で互いに異なるQCL仮定を適用するようにする方法、
2)時間リソースを複数のpoolに分けて各poolに対して互いに異なる「TCI indication」又は「TCI configuration」を許容する方法などの一つ以上の組み合せで、多様な詳細的な方法が存在し得る。
第2実施形態では、「TCI/QCL emulation」を介して基準信号送信負担を軽減させる方法を提供する。
本実施形態によれば、「TCI/QCL emulation」は、
1)同じ設定の「target RS」に対する測定区間(monitoring occasion)を時間軸で定義される複数の区間によって多くのグループに分けて各グループ別で互いに異なるQCL仮定を適用するようにする方法、
2)時間リソースを複数のpoolに分けて各poolに対して互いに異なる「TCI indication」又は「TCI configuration」を許容する方法などの一つ以上の組み合せで、多様な詳細的な方法が存在し得る。
図22は、本発明の一実施形態による「measurement restriction」を介して「TCI emulation」の一例を示す図である。
図22を参照すると、端末2203は、2つ以上の送信地点、パネル、又はアンテナポート(2201、2202)とアップ又はダウン無線通信リンクを形成する。
この時、SFN(single-frequency network)、「NC-JT」(non-coherent joint transmission)などの多様な「multi-TRP」操作方法を考慮すれば、送信地点、パネル、又はアンテナポートは、その一部又は全部が同じ基地局から送信される(又は含まれる)ことが可能である。
送信地点、パネル、又はアンテナポートは、説明の便宜のためにこれから“送信地点”と通称する。
すなわち、図22の場合、説明の便宜上、送信地点(2201、2202)の物理的位置が異なるものとして表示したが、実際適用時、これに限る必要はなく、一部送信地点は、その物理的位置が同一のことも可能である(例えば、端末は各2つのパネルで構成される2つの互いに異なる送信地点を介して信号を送受信することができ、この時、総数4つのパネルの内の一部は、互いに同じ水平又は垂直物理位置を共有しても良い。)。
図22を参照すると、端末2203は、2つ以上の送信地点、パネル、又はアンテナポート(2201、2202)とアップ又はダウン無線通信リンクを形成する。
この時、SFN(single-frequency network)、「NC-JT」(non-coherent joint transmission)などの多様な「multi-TRP」操作方法を考慮すれば、送信地点、パネル、又はアンテナポートは、その一部又は全部が同じ基地局から送信される(又は含まれる)ことが可能である。
送信地点、パネル、又はアンテナポートは、説明の便宜のためにこれから“送信地点”と通称する。
すなわち、図22の場合、説明の便宜上、送信地点(2201、2202)の物理的位置が異なるものとして表示したが、実際適用時、これに限る必要はなく、一部送信地点は、その物理的位置が同一のことも可能である(例えば、端末は各2つのパネルで構成される2つの互いに異なる送信地点を介して信号を送受信することができ、この時、総数4つのパネルの内の一部は、互いに同じ水平又は垂直物理位置を共有しても良い。)。
本明細書内で、QCL仮定を生成したり、又はQCL/TCIプロセスを開始又は行うということは、端末が基地局からQCL設定情報を受信して該当設定情報内の「QCL reference RS」に設定された基準信号又はチャンネルを受信して表10の「QCL type」によるチャンネルの統計的情報の内の全部又は一部を生成して該当QCL設定情報内の設定された「QCL target RS」の受信を介してチャンネル推定に利用することを意味する。
本明細書内で、ある基準信号又はチャンネルを送信する送信地点が異なるということは、端末2203が受信する互いに異なる2つの基準信号が互いに異なるQCL仮定を有するか、又は互いに異なる「TCI state」を有するように一つ以上の上位レイヤーシグナリングを介して設定されるか、又は一つ以上の上位レイヤーシグナリング又はL1シグナリングを介して活性化されるか、又はL1シグナリングを介して指示される場合を意味する。
これと同様に、ある基準信号又はチャンネルを受信する送信地点が異なるということは、端末2203が送信する互いに異なる2つの基準信号が互いに異なるQCL仮定(「UL QCL」又は「DL-UL joint QCL」又は「spatial relation information」などを含むことができる)を有するか、又は互いに異なる「UL-TCI state」を有するように一つ以上の上位レイヤーシグナリングを介して設定されるか、又は一つ以上の上位レイヤーシグナリング又はL1シグナリングを介して活性化されるか、又はL1シグナリングを介して指示される場合を意味する。
また、実際適用時、送信地点が異なるということを端末が容易に判断するように助けるための目的で、独立的な上位レイヤーパラメーターが定義され、これを明示的に公知するようにすることが可能である。
前述のようにダウンリンクを記述する場合とアップリンクを記述する場合、必要な用語に差があり得るが、説明の要旨を不明瞭にしないために今後の説明ではダウンリンクを主として言及する。
しかし、本発明の全般的な内容は、アップリンクにも同様の方法を適用することができることに留意しなければならない。
これと同様に、ある基準信号又はチャンネルを受信する送信地点が異なるということは、端末2203が送信する互いに異なる2つの基準信号が互いに異なるQCL仮定(「UL QCL」又は「DL-UL joint QCL」又は「spatial relation information」などを含むことができる)を有するか、又は互いに異なる「UL-TCI state」を有するように一つ以上の上位レイヤーシグナリングを介して設定されるか、又は一つ以上の上位レイヤーシグナリング又はL1シグナリングを介して活性化されるか、又はL1シグナリングを介して指示される場合を意味する。
また、実際適用時、送信地点が異なるということを端末が容易に判断するように助けるための目的で、独立的な上位レイヤーパラメーターが定義され、これを明示的に公知するようにすることが可能である。
前述のようにダウンリンクを記述する場合とアップリンクを記述する場合、必要な用語に差があり得るが、説明の要旨を不明瞭にしないために今後の説明ではダウンリンクを主として言及する。
しかし、本発明の全般的な内容は、アップリンクにも同様の方法を適用することができることに留意しなければならない。
以下の記述で、発明の要旨を不明瞭にしないために、QCL又は「TCI state」が設定されると言うことは、前述した“基地局が端末に特定QCL又は「TCI state」を、上位レイヤーシグナリングを介して設定するか”又は“上位レイヤーシグナリング又はL1シグナリングを介して特定QCL又は「TCI state」が活性化されるか”又は“L1シグナリングを介して特定QCL又は「TCI state」が指示される場合”を通称して用いる場合があることに留意しなければならない。
以下の説明で、2つの送信地点を仮定するがこれは説明の便宜のためのもので同様の方法で3つ以上の送信地点が存在する場合もサポートすることが可能である。
図22を参照すれば、基地局は、端末2203が特定の時間周波数リソースで基準信号を測定するように設定したり、指示する。
この時、基準信号測定のための時間リソースは、スロット又はサブフレーム単位で周期とオフセットを示す情報とスロット内の基準信号が送信される「OFDM symbol」の位置情報などから構成することが可能である。
もし、端末が多様な場合のQCL仮定を用いる必要がある場合、(例えば、
1)端末2203が第1送信地点2201から送信される「reference RS」2204を受信してQCL仮定を生成する場合(2200)、
2)端末2203が第2送信地点2202から送信される「reference RS」2211を受信してQCL仮定を生成する場合(2210)、
3)端末2203)が第1及び第2送信地点(2201、2202)で送信される「reference RS」(2221、2222)を同時受信してQCL仮定を生成する場合(2220など)、
基地局は、前述の一つの基準信号設定によって定義される基準信号測定のための時間リソースを複数の時間区間に分けて、端末が各時間区間別の互いに異なるQCL仮定を生成するように指示することが可能であり、これを説明の便宜のために“time domain measurement restriction基盤QCL仮定方法”と名付ける。
この時、基準信号測定のための時間リソースは、スロット又はサブフレーム単位で周期とオフセットを示す情報とスロット内の基準信号が送信される「OFDM symbol」の位置情報などから構成することが可能である。
もし、端末が多様な場合のQCL仮定を用いる必要がある場合、(例えば、
1)端末2203が第1送信地点2201から送信される「reference RS」2204を受信してQCL仮定を生成する場合(2200)、
2)端末2203が第2送信地点2202から送信される「reference RS」2211を受信してQCL仮定を生成する場合(2210)、
3)端末2203)が第1及び第2送信地点(2201、2202)で送信される「reference RS」(2221、2222)を同時受信してQCL仮定を生成する場合(2220など)、
基地局は、前述の一つの基準信号設定によって定義される基準信号測定のための時間リソースを複数の時間区間に分けて、端末が各時間区間別の互いに異なるQCL仮定を生成するように指示することが可能であり、これを説明の便宜のために“time domain measurement restriction基盤QCL仮定方法”と名付ける。
上記“一つの基準信号設定によって定義される基準信号測定のための時間リソース”は、例えば、periodic又は「semi-persistent CSI-RS resource configuration」内の設定されるperiodicity及びoffsetによる時間リソースであるか(又は一つのperiodic又は「semi-persistent CSI-RS resource」内に複数の時間リソースを指示する情報が含まれ、それぞれの情報によって指示される時間リソースが各時間区間に該当することも可能)又は「aperiodic CSI-RS」の「triggering DCI」の送信タイミング及び送信offsetによる時間リソースであるか(又は一つの「aperiodic CSI-RS resource」内に複数の送信offsetが設定されることも可能であり、それぞれのoffsetによる時間リソースが各時間区間に該当することも可能)又は基準信号設定と関係なくsubframe又はframe内のslot別に、若しくは「OFDM symbol」別で定義される時間リソースを意味するなどの多様な応用が可能である。
図22では、説明の便宜のために上記“一つの基準信号設定によって定義される基準信号測定のための時間リソース”が総数6個の区間(2230、2231、2232、2233、2234、2235)に分けられる場合を仮定した。
上記区間は“基準信号測定のための時間リソース内の毎N番目リソース”のように予め決定された規則によって分けられるか、又はビットマップ、リソースインデックスなどの明示的シグナリングによって区分されることも可能である。
図22では、説明の便宜のために上記“一つの基準信号設定によって定義される基準信号測定のための時間リソース”が総数6個の区間(2230、2231、2232、2233、2234、2235)に分けられる場合を仮定した。
上記区間は“基準信号測定のための時間リソース内の毎N番目リソース”のように予め決定された規則によって分けられるか、又はビットマップ、リソースインデックスなどの明示的シグナリングによって区分されることも可能である。
図22の場合、3つQCL仮定算出方法(2200、2210、2220)のために6個の区間が2個ずつ各QCL仮定算出方法にマッピング(association)される場合を仮定した。
例えば、端末2203は、一つの基準信号設定によってQCL仮定を生成する場合、基地局の指示に従って、一つの基準信号設定による基準信号測定区間を3つのサブグループに分け、第1サブグループ(2230、2233)で第1QCL仮定2200を生成し、第2サブグループ(2231、2234)で第2QCL仮定2210を生成し、第3サブグループ(2232、2235)で第3QCL仮定2220を生成する。
この時、端末は、各サブグループが複数の送信地点に基づいたQCL仮定を生成するのに用いられるかに対する明確な情報は知らないことがあるが、端末具現による基準信号受信結果を処理(例えば、ノイズ除去のためのaverageなど)実行時の互いに異なるサブグループに属する基準信号受信結果を交ぜて使用しないように制限することができる。
例えば、端末2203は、一つの基準信号設定によってQCL仮定を生成する場合、基地局の指示に従って、一つの基準信号設定による基準信号測定区間を3つのサブグループに分け、第1サブグループ(2230、2233)で第1QCL仮定2200を生成し、第2サブグループ(2231、2234)で第2QCL仮定2210を生成し、第3サブグループ(2232、2235)で第3QCL仮定2220を生成する。
この時、端末は、各サブグループが複数の送信地点に基づいたQCL仮定を生成するのに用いられるかに対する明確な情報は知らないことがあるが、端末具現による基準信号受信結果を処理(例えば、ノイズ除去のためのaverageなど)実行時の互いに異なるサブグループに属する基準信号受信結果を交ぜて使用しないように制限することができる。
図23は、本発明の一実施形態による「resource pool」を介して「TCI emulation」の一例を示す図である。
図23を参照すると、端末は、全体時間/周波数リソースの内のQCL仮定を生成するための基準信号を測定可能な部分(例えば、F(flexible)やU(uplink)で設定又は指示されないD(downlink)slotに含まれる時間周波数リソース、これは時間リソースを設定する上位レイヤーシグナリングに基づいて判断されることができる)を例えば、複数の区間(2300、2305、2310、2315、2320、2325)に分けることができ、これをQCL仮定のための「resource pool」として名付けることができる。
基地局は、この時の一部「resource pool」で従来の一対一「reference RS-target RS」関係を仮定してQCL仮定を生成するか、又は「TCI process」を行うように設定することができるが(例えば、区間(2300、2310、2320)ではTCI#1に対する「TCI process」が行われる)、以外の「resource pool」(例えば、区間(2305、2315、2325)では本発明で提案する多対一又は一対多の「reference RS-target RS」関係を仮定してQCL仮定を生成するか、又は「TCI process」を行うように設定することが可能である。
「resource pool」設定情報は、上位階層シグナリングに送信され、この場合、周期及びオフセットを指示する情報、ビットマップ、一つ以上のリソースインデックスなどの明示的パラメーターによって設定され得、又は暗黙的に「resource pool」を設定することも可能である。
図23を参照すると、端末は、全体時間/周波数リソースの内のQCL仮定を生成するための基準信号を測定可能な部分(例えば、F(flexible)やU(uplink)で設定又は指示されないD(downlink)slotに含まれる時間周波数リソース、これは時間リソースを設定する上位レイヤーシグナリングに基づいて判断されることができる)を例えば、複数の区間(2300、2305、2310、2315、2320、2325)に分けることができ、これをQCL仮定のための「resource pool」として名付けることができる。
基地局は、この時の一部「resource pool」で従来の一対一「reference RS-target RS」関係を仮定してQCL仮定を生成するか、又は「TCI process」を行うように設定することができるが(例えば、区間(2300、2310、2320)ではTCI#1に対する「TCI process」が行われる)、以外の「resource pool」(例えば、区間(2305、2315、2325)では本発明で提案する多対一又は一対多の「reference RS-target RS」関係を仮定してQCL仮定を生成するか、又は「TCI process」を行うように設定することが可能である。
「resource pool」設定情報は、上位階層シグナリングに送信され、この場合、周期及びオフセットを指示する情報、ビットマップ、一つ以上のリソースインデックスなどの明示的パラメーターによって設定され得、又は暗黙的に「resource pool」を設定することも可能である。
この時、端末は、「resource pool」(2305、2315、2325)で「TCI emulation」を行うように指示されたこととして理解することができる。
上記過程は、端末が図22の例のように端末が“従来のQCL又は「TCI framework」のための測定を(又はその後、TCIプロセスの内の一部又は全部を含み)行う「resource pool」(2300、2310、2320)”と“「TCI emulation」のための測定を(又はその後のTCIプロセスの内の一部又は全部を含み)行う「resource pool」(2305、2315、2325)”間のQCL仮定が互いに異なることを認知すること対し行われる。
すなわち、この場合、端末は、「resource pool」(2300、2310、2320)間の測定結果は、互いに同じ統計的特性を有するものとして判断して「joint processing」することが可能であるが、以外の「resource pool」(2305、2315、2325)の場合、互いに異なる統計的特性を有するということを認知するため「resource pool」間の「joint processing」を行うことができない。
又は、端末は、基地局から「resource pool」(2305、2315、2325)の例のように各「resource pool」でどんなQCL仮定又は「TCI state」が合成されるべきかを直接的な上位レイヤーシグナリング又は/及びL1シグナリングを介して指示されることも可能である。
このような場合、上位レイヤーシグナリング又は/及びL1シグナリングは、前述した上位レイヤーシグナリングパラメーター又はダウンリンク制御情報フィールドを含む。
上記過程は、端末が図22の例のように端末が“従来のQCL又は「TCI framework」のための測定を(又はその後、TCIプロセスの内の一部又は全部を含み)行う「resource pool」(2300、2310、2320)”と“「TCI emulation」のための測定を(又はその後のTCIプロセスの内の一部又は全部を含み)行う「resource pool」(2305、2315、2325)”間のQCL仮定が互いに異なることを認知すること対し行われる。
すなわち、この場合、端末は、「resource pool」(2300、2310、2320)間の測定結果は、互いに同じ統計的特性を有するものとして判断して「joint processing」することが可能であるが、以外の「resource pool」(2305、2315、2325)の場合、互いに異なる統計的特性を有するということを認知するため「resource pool」間の「joint processing」を行うことができない。
又は、端末は、基地局から「resource pool」(2305、2315、2325)の例のように各「resource pool」でどんなQCL仮定又は「TCI state」が合成されるべきかを直接的な上位レイヤーシグナリング又は/及びL1シグナリングを介して指示されることも可能である。
このような場合、上位レイヤーシグナリング又は/及びL1シグナリングは、前述した上位レイヤーシグナリングパラメーター又はダウンリンク制御情報フィールドを含む。
<第3実施形態>
第3実施形態では本発明による基地局及び端末動作手順を提供する。
図24は、本発明の一実施形態による基地局及び端末動作手順を説明するためのフローチャートである。
第3実施形態では本発明による基地局及び端末動作手順を提供する。
図24は、本発明の一実施形態による基地局及び端末動作手順を説明するためのフローチャートである。
図24を参照すると、端末は、基地局に前述の「TCI emulation」方法の内の全部又は一部に対するサポートするかどうかを通知する端末能力報告を行う(2400)。
基地局は、端末能力報告を受信する。
以後、基地局は、端末能力報告に基づいて端末がサポートする「TCI emulation」方法の内の一部に対するTCI設定又はQCL設定を上位レイヤーシグナリングを介して行い、必要な場合、この中の一部に対する活性化を「MAC CE」又はL1シグナリングを介して行う(2405)。
端末は、上位レイヤーシグナリングを受信し、基地局が送信した場合、「MAC CE」又はL1シグナリングを介して活性化情報を受信する。
以後、端末は、上記情報と前述の「TCI emulation」動作条件の内の一部によって「TCI emulation」を実行するかどうか、及び「TCI emulation」動作方法(又はモード)を判断する(2410)。
基地局は、端末能力報告を受信する。
以後、基地局は、端末能力報告に基づいて端末がサポートする「TCI emulation」方法の内の一部に対するTCI設定又はQCL設定を上位レイヤーシグナリングを介して行い、必要な場合、この中の一部に対する活性化を「MAC CE」又はL1シグナリングを介して行う(2405)。
端末は、上位レイヤーシグナリングを受信し、基地局が送信した場合、「MAC CE」又はL1シグナリングを介して活性化情報を受信する。
以後、端末は、上記情報と前述の「TCI emulation」動作条件の内の一部によって「TCI emulation」を実行するかどうか、及び「TCI emulation」動作方法(又はモード)を判断する(2410)。
端末は、もし、「TCI emulation」を実行しないように設定されるか、どんな「TCI emulation」実行条件も満足されない場合、「target RS」と「reference RS」間の1:1関係を仮定してTCI/QCLプロセスを行う(すなわち、「NR Rel-15」又は「Rel-16」動作を行う(2415)。
一方、端末は、もし、「TCI emulation」を行うように設定され、実施形態1の「TCI emulation mode#1」の実行条件が満足される場合、「target RS」と「reference RS」間の1:N関係を仮定して、前述した方法によってTCI/QCLプロセスを行う(2420)。
一方、端末は、もし、「TCI emulation」を行うように設定され、実施形態1の「TCI emulation mode#2」の実行条件が満足される場合、「target RS」と「reference RS」間のN:1関係を仮定して、前述した方法によってTCI/QCLプロセスを行う(2425)。
一方、端末は、もし、「TCI emulation」を行うように設定され、実施形態2の「TCI emulation mode #3又は#4」の実行条件が満足される場合、端末は、前述した方法によって「measurement restriction」又は「resource pool」による「QCL parameter」測定を仮定してTCI/QCLプロセスを行う(2430)。
一方、端末は、もし、「TCI emulation」を行うように設定され、実施形態1の「TCI emulation mode#1」の実行条件が満足される場合、「target RS」と「reference RS」間の1:N関係を仮定して、前述した方法によってTCI/QCLプロセスを行う(2420)。
一方、端末は、もし、「TCI emulation」を行うように設定され、実施形態1の「TCI emulation mode#2」の実行条件が満足される場合、「target RS」と「reference RS」間のN:1関係を仮定して、前述した方法によってTCI/QCLプロセスを行う(2425)。
一方、端末は、もし、「TCI emulation」を行うように設定され、実施形態2の「TCI emulation mode #3又は#4」の実行条件が満足される場合、端末は、前述した方法によって「measurement restriction」又は「resource pool」による「QCL parameter」測定を仮定してTCI/QCLプロセスを行う(2430)。
前述の実施形態及び方法は、排他的なものではなく、状況によって互いに組み合せて操作することができる。
例えば、端末は、FR1では第1実施形態の「TCI emulation mode #1又は#2」を用い、FR2では第2実施形態の「TCI emulation mode#3又は#4」を適用するように設定され得る。
以外の多様な応用が可能であるが、本発明の要旨を不明瞭にしないためにすべての可能な場合の数を並べない。
例えば、端末は、FR1では第1実施形態の「TCI emulation mode #1又は#2」を用い、FR2では第2実施形態の「TCI emulation mode#3又は#4」を適用するように設定され得る。
以外の多様な応用が可能であるが、本発明の要旨を不明瞭にしないためにすべての可能な場合の数を並べない。
図25は、本発明の一実施形態による端末の概略構成を示すブロック図である。
図25を参照すると、
端末2500は、送受信部2510、制御部2520、及び記憶部2530を含む。
前述の実施形態に該当する5G通信システムで効率的なチャンネル及び信号送受信方法によって、端末2500の送受信部2510、制御部2520、及び記憶部2530が動作する。
ただ、一実施形態による端末2500の構成要素が前述の例に限定されることではない。
他の実施形態によって、端末2500は、前述の構成要素より多い構成要素を含むか、より少ない構成要素を含むこともできる。
それだけでなく、特定の場合、送受信部2510、制御部2520、及び記憶部2530が一つのチップ(chip)形態で具現することもできる。
図25を参照すると、
端末2500は、送受信部2510、制御部2520、及び記憶部2530を含む。
前述の実施形態に該当する5G通信システムで効率的なチャンネル及び信号送受信方法によって、端末2500の送受信部2510、制御部2520、及び記憶部2530が動作する。
ただ、一実施形態による端末2500の構成要素が前述の例に限定されることではない。
他の実施形態によって、端末2500は、前述の構成要素より多い構成要素を含むか、より少ない構成要素を含むこともできる。
それだけでなく、特定の場合、送受信部2510、制御部2520、及び記憶部2530が一つのチップ(chip)形態で具現することもできる。
送受信部2510は、他の実施形態によって、送信部及び受信部から構成することもできる。
送受信部2510は、基地局と信号を送受信する。
信号は、制御情報と、データと、を含み得る。
このために、送受信部2510は、送信する信号の周波数を上昇変換及び増幅するRF送信機と、受信する信号を低雑音増幅して周波数を下降変換するRF受信機などから構成され得る。
また、送受信部2510は、無線チャンネルを介して信号を受信してこれを制御部2520に出力し、制御部2520から出力された信号を、無線チャンネルを介して送信する。
送受信部2510は、基地局と信号を送受信する。
信号は、制御情報と、データと、を含み得る。
このために、送受信部2510は、送信する信号の周波数を上昇変換及び増幅するRF送信機と、受信する信号を低雑音増幅して周波数を下降変換するRF受信機などから構成され得る。
また、送受信部2510は、無線チャンネルを介して信号を受信してこれを制御部2520に出力し、制御部2520から出力された信号を、無線チャンネルを介して送信する。
制御部2520は、上述した本発明の実施形態によって端末2500が動作することができる一連の過程を制御する。
例えば、制御部2520は、本開示の実施形態による「TCI emulation」実行方法の内の少なくとも一つを行う。
記憶部2530は、端末2500で取得される信号に含まれたTCI又はQCL設定情報などの制御情報又はデータを記憶し、制御部2520の制御に必要なデータ及び制御部2520で制御時に発生されるデータなどを記憶するための領域を持つ。
例えば、制御部2520は、本開示の実施形態による「TCI emulation」実行方法の内の少なくとも一つを行う。
記憶部2530は、端末2500で取得される信号に含まれたTCI又はQCL設定情報などの制御情報又はデータを記憶し、制御部2520の制御に必要なデータ及び制御部2520で制御時に発生されるデータなどを記憶するための領域を持つ。
図26は、本発明の一実施形態による基地局の概略構成を示すブロック図である。
図26を参照すると、基地局2600は、送受信部2610、制御部2620、及び記憶部2630を含む。
図26を参照すると、基地局2600は、送受信部2610、制御部2620、及び記憶部2630を含む。
前述の実施形態に該当する5G通信システムで効率的チャンネル及び信号送受信方法によって、基地局2600の送受信部2610、制御部2620、及び記憶部2630が動作する。
ただ、一実施形態による基地局2600の構成要素が前述の例に限定されるものではない。
他の実施形態によって、基地局2600は、前述の構成要素より多い構成要素を含むか、より少ない構成要素を含むこともできる。
それだけでなく、特定の場合、送受信部2610、制御部2620、及び記憶部2630を一つのチップ(chip)形態で具現することもできる。
送受信部2610は、他の実施形態によって、送信部及び受信部から構成することもできる。
送受信部2610は、端末と信号を送受信する。
信号は、制御情報と、データと、を含み得る。
このために、送受信部2610は、送信する信号の周波数を上昇変換及び増幅するRF送信機と、受信する信号を低雑音増幅して周波数を下降変換するRF受信機などから構成することができる。
また、送受信部2610は、無線チャンネルを介して信号を受信してこれを制御部2620に出力し、制御部2620から出力された信号を、無線チャンネルを介して送信する。
ただ、一実施形態による基地局2600の構成要素が前述の例に限定されるものではない。
他の実施形態によって、基地局2600は、前述の構成要素より多い構成要素を含むか、より少ない構成要素を含むこともできる。
それだけでなく、特定の場合、送受信部2610、制御部2620、及び記憶部2630を一つのチップ(chip)形態で具現することもできる。
送受信部2610は、他の実施形態によって、送信部及び受信部から構成することもできる。
送受信部2610は、端末と信号を送受信する。
信号は、制御情報と、データと、を含み得る。
このために、送受信部2610は、送信する信号の周波数を上昇変換及び増幅するRF送信機と、受信する信号を低雑音増幅して周波数を下降変換するRF受信機などから構成することができる。
また、送受信部2610は、無線チャンネルを介して信号を受信してこれを制御部2620に出力し、制御部2620から出力された信号を、無線チャンネルを介して送信する。
制御部2620は、上述した本発明の実施形態によって基地局2600が動作するように一連の過程を制御する。
例えば、制御部2620は、本発明の実施形態による「TCI emulation」方法の内の少なくとも一つを行う。
例えば、制御部2620は、本発明の実施形態による「TCI emulation」方法の内の少なくとも一つを行う。
記憶部2630は、基地局2600で決定されたTCI又はQCL設定情報などの制御情報、データ又は端末から受信した制御情報、データを記憶し、制御部2620の制御に必要なデータ及び制御部2620で制御時に発生されるデータなどを記憶するための領域を持つ。
一方、本明細書及び図面に開示された実施形態は本発明の記述内容を容易に説明して本発明の理解を助けるために特定例を提示したことで、本発明の範囲を限定しようとするものではない。
すなわち、本発明の技術的思想に基づいた他の変形例が実施可能であるということは本発明が属する技術分野で通常の知識を有する者に自明なことである。
また、上記それぞれの実施形態は、必要によって互いに組み合せて操作することができる。
すなわち、本発明の技術的思想に基づいた他の変形例が実施可能であるということは本発明が属する技術分野で通常の知識を有する者に自明なことである。
また、上記それぞれの実施形態は、必要によって互いに組み合せて操作することができる。
1900,2002、2103、2203 端末
1910、1915 アンテナポート又はパネル
1920 アンテナポート/パネル選択部
1925 アンテナポート/パネル利得結合部
1930 信号処理部
2500、2510 (端末)送受信部(受信部及び送信部)
2505 (端末)制御部
2600、2610 (基地局)送受信部(受信部及び送信部)
2605 (基地局)制御部
1910、1915 アンテナポート又はパネル
1920 アンテナポート/パネル選択部
1925 アンテナポート/パネル利得結合部
1930 信号処理部
2500、2510 (端末)送受信部(受信部及び送信部)
2505 (端末)制御部
2600、2610 (基地局)送受信部(受信部及び送信部)
2605 (基地局)制御部
Claims (20)
- 無線通信システムの端末が行う方法であって、
基地局からTCI(transmission configuration information)エミュレーションに関する情報を受信したかを確認する段階と、
前記基地局からダウンリンク制御情報内のTCI情報のための2つのTCI状態を指示するMAC(medium access control)制御要素を受信する段階と、
前記基地局からダウンリンクデータをスケジューリングする前記ダウンリンク制御情報を受信する段階と、
ここで、前記ダウンリンク制御情報は、前記2つのTCI状態に対応する前記TCI情報、及び1つ以上のDMRS(demodulation reference signal)ポートを指示するDMRS設定情報を含み、
前記1つ以上のDMRSポートに対応するDMRSと前記ダウンリンクデータを受信する段階と、を有し、
前記TCIエミュレーションに関する情報が受信された場合、前記1つ以上のDMRSポートに対応する前記DMRSは、前記2つのTCI状態に関連する基準信号とQCL(quasi co-location)関係であると仮定され、
第1TCIエミュレーション類型が設定された場合、前記QCL関係は、前記2つのTCI状態に関連するQCLパラメーターに基づくことを特徴とする無線通信システムの端末が行う方法。 - 第2TCIエミュレーション類型が設定された場合、前記QCLパラメーターの内の一部のQCLパラメーターに対し、前記QCL関係は、1つのTCI状態に関連するQCLパラメーターのみに基づくことを特徴とする請求項1に記載の無線通信システムの端末が行う方法。
- 前記QCLパラメーターは、「Doppler shift」、「Doppler spread」、「average delay」、及び「delay spread」を含むことを特徴とする請求項1に記載の無線通信システムの端末が行う方法。
- 前記TCIエミュレーションに関する情報を受信していない場合、マルチ-TRP(transmission and reception point)動作を行う段階をさらに有することを特徴とする請求項1に記載の無線通信システムの端末が行う方法。
- 前記基地局に前記TCIエミュレーションがサポートされるか否かを指示する能力情報(capability information)を送信する段階をさらに有することを特徴とする請求項1に記載の無線通信システムの端末が行う方法。
- 無線通信システムの基地局が行う方法であって、
端末にTCI(transmission configuration information)エミュレーションに関する情報を送信する段階と、
前記端末にダウンリンク制御情報内のTCI情報のための2つのTCI状態を指示するMAC(medium access control )制御要素を送信する段階と、
前記端末にダウンリンクデータをスケジューリングする前記ダウンリンク制御情報を送信する段階と、
ここで、前記ダウンリンク制御情報は、前記2つのTCI状態に対応する前記TCI情報、及び1つ以上のDMRS(demodulation reference signal)ポートを指示するDMRS設定情報を含み、
前記1つ以上のDMRSポートに対応するDMRSと前記ダウンリンクデータを送信する段階と、を有し、
前記1つ以上のDMRSポートに対応する前記DMRSは、前記2つのTCI状態に関連する基準信号とQCL(quasi co-location)の関係であると仮定され、
第1TCIエミュレーション類型が設定された場合、前記QCL関係は、前記2つのTCI状態に関連するQCLパラメーターに基づくことを特徴とする無線通信システムの基地局が行う方法。 - 第2TCIエミュレーション類型が設定された場合、前記QCLパラメーターの内の一部のQCLパラメーターに対し、前記QCL関係は、1つのTCI状態に関連するQCLパラメーターのみに基づくことを特徴とする請求項6に記載の無線通信システムの基地局が行う方法。
- 前記QCLパラメーターは、「Doppler shift」、「Doppler spread」、「average delay」、及び「delay spread」を含むことを特徴とする請求項6に記載の無線通信システムの基地局が行う方法。
- 前記TCIエミュレーションに関する情報が送信されていない場合、マルチ-TRP(transmission and reception point)動作を行う段階をさらに有することを特徴とする請求項6に記載の無線通信システムの基地局が行う方法。
- 前記端末から前記TCIエミュレーションがサポートされるか否かを指示する能力情報(capability information)を受信する段階をさらに有することを特徴とする請求項1に記載の無線通信システムの基地局が行う方法。
- 無線通信システムの端末であって、
送受信部と、
制御部と、を有し、
前記制御部は、
基地局からTCI(transmission configuration information)エミュレーションに関する情報を受信したかを確認し、
前記基地局からダウンリンク制御情報内のTCI情報のための2つのTCI状態を指示するMAC(medium access control)制御要素を受信し、
前記基地局からダウンリンクデータをスケジューリングする前記ダウンリンク制御情報を受信し、
ここで、前記ダウンリンク制御情報は、前記2つのTCI状態に対応する前記TCI情報、及び1つ以上のDMRS(demodulation reference signal)ポートを指示するDMRS設定情報を含み、
前記1つ以上のDMRSポートに対応するDMRSと前記ダウンリンクデータを受信するように制御し、
前記TCIエミュレーションに関する情報が受信された場合、前記1つ以上のDMRSポートに対応する前記DMRSは、前記2つのTCI状態に関連する基準信号とQCL(quasi co-location)関係であると仮定され、
第1TCIエミュレーション類型が設定された場合、前記QCL関係は、前記2つのTCI状態に関連するQCLパラメーターに基づくことを特徴とする無線通信システムの端末。 - 第2TCIエミュレーション類型が設定された場合、前記QCLパラメーターの内の一部のQCLパラメーターに対し、前記QCL関係は、1つのTCI状態に関連するQCLパラメーターのみに基づくことを特徴とする請求項11に記載の無線通信システムの端末。
- 前記QCLパラメーターは、「Doppler shift」、「Doppler spread」、「average delay」、及び「delay spread」を含むことを特徴とする請求項11に記載の無線通信システムの端末。
- 前記制御部は、前記TCIエミュレーションに関する情報が受信していない場合、マルチ-TRP(transmission and reception point)動作を行うように制御すること特徴とする請求項11に記載の無線通信システムの端末。
- 前記制御部は、前記基地局から前記TCIエミュレーションがサポートされるか否かを指示する能力情報(capability information)を送信するようにさらに制御することを特徴とする請求項11に記載の無線通信システムの端末。
- 無線通信システムの基地局であって、
送受信部と、
制御部と、を有し、
前記制御部は、
端末にTCI(transmission configuration information)エミュレーションに関する情報を送信し、
前記端末にダウンリンク制御情報内のTCI情報のための2つのTCI状態を指示するMAC(medium access control)制御要素を送信し、
前記端末にダウンリンクデータをスケジューリングする前記ダウンリンク制御情報を送信し、
ここで、前記ダウンリンク制御情報は、前記2つのTCI状態に対応する前記TCI情報、及び1つ以上のDMRS(demodulation reference signal)ポートを指示するDMRS設定情報を含み、
前記1つ以上のDMRSポートに対応するDMRSと前記ダウンリンクデータを送信するように制御し、
前記1つ以上のDMRSポートに対応する前記DMRSは、前記2つのTCI状態に関連する基準信号とQCL(quasi co-location)関係であると仮定され、
第1TCIエミュレーション類型が設定された場合、前記QCL関係は、前記2つのTCI状態に関連するQCLパラメーターに基づくことを特徴とする無線通信システムの基地局。 - 第2TCIエミュレーション類型が設定された場合、前記QCLパラメーターのうちの一部のQCLパラメーターに対し、前記QCL関係は、1つのTCI状態に関連するQCLパラメーターのみに基づくことを特徴とする請求項16に記載の無線通信システムの基地局。
- 前記QCLパラメーターは、「Doppler shift」、「Doppler spread」、「average delay」、及び「delay spread」を含むことを特徴とする請求項16に記載の無線通信システムの基地局。
- 前記制御部は、前記TCIエミュレーションに関する情報が送信されていない場合、マルチ-TRP(transmission and reception point)動作を行うようにさらに制御することを特徴とする請求項16に記載の無線通信システムの基地局。
- 前記制御部は、前記端末から前記TCIエミュレーションがサポートされるか否かを指示する能力情報(capability information)を受信するように制御することを特徴とする請求項16に記載の無線通信システムの基地局。
Applications Claiming Priority (4)
| Application Number | Priority Date | Filing Date | Title |
|---|---|---|---|
| KR1020200038511A KR20210121579A (ko) | 2020-03-30 | 2020-03-30 | 무선 통신 시스템에서 기준 신호 송수신 방법 및 장치 |
| KR10-2020-0038511 | 2020-03-30 | ||
| JP2022559958A JP7323721B2 (ja) | 2020-03-30 | 2021-03-30 | 無線通信システムで基準信号の送受信方法及び装置 |
| PCT/KR2021/003902 WO2021201554A1 (ko) | 2020-03-30 | 2021-03-30 | 무선 통신 시스템에서 기준 신호 송수신 방법 및 장치 |
Related Parent Applications (1)
| Application Number | Title | Priority Date | Filing Date |
|---|---|---|---|
| JP2022559958A Division JP7323721B2 (ja) | 2020-03-30 | 2021-03-30 | 無線通信システムで基準信号の送受信方法及び装置 |
Publications (2)
| Publication Number | Publication Date |
|---|---|
| JP2023159100A JP2023159100A (ja) | 2023-10-31 |
| JP7516632B2 true JP7516632B2 (ja) | 2024-07-16 |
Family
ID=77928689
Family Applications (2)
| Application Number | Title | Priority Date | Filing Date |
|---|---|---|---|
| JP2022559958A Active JP7323721B2 (ja) | 2020-03-30 | 2021-03-30 | 無線通信システムで基準信号の送受信方法及び装置 |
| JP2023122431A Active JP7516632B2 (ja) | 2020-03-30 | 2023-07-27 | 無線通信システムで基準信号の送受信方法及び装置 |
Family Applications Before (1)
| Application Number | Title | Priority Date | Filing Date |
|---|---|---|---|
| JP2022559958A Active JP7323721B2 (ja) | 2020-03-30 | 2021-03-30 | 無線通信システムで基準信号の送受信方法及び装置 |
Country Status (6)
| Country | Link |
|---|---|
| US (2) | US12309096B2 (ja) |
| EP (1) | EP4113881A4 (ja) |
| JP (2) | JP7323721B2 (ja) |
| KR (1) | KR20210121579A (ja) |
| CN (2) | CN115362651B (ja) |
| WO (1) | WO2021201554A1 (ja) |
Families Citing this family (8)
| Publication number | Priority date | Publication date | Assignee | Title |
|---|---|---|---|---|
| US11038557B2 (en) * | 2016-03-31 | 2021-06-15 | Samsung Electronics Co., Ltd. | Method and apparatus for transmitting and receiving reference signals in wireless communication |
| CN111901086B (zh) * | 2020-04-29 | 2024-11-29 | 中兴通讯股份有限公司 | 信息指示、确定、载频信息确定方法、通信节点及介质 |
| US12452008B2 (en) | 2020-05-15 | 2025-10-21 | Samsung Electronics Co., Ltd. | Method and apparatus transmitting signal for high speed mobile terminal in wireless communication system |
| WO2022027636A1 (zh) * | 2020-08-07 | 2022-02-10 | Oppo广东移动通信有限公司 | Ssb确定方法、装置、设备及存储介质 |
| WO2022115012A1 (en) * | 2020-11-27 | 2022-06-02 | Telefonaktiebolaget Lm Ericsson (Publ) | Method and network node for signalling tci states to user equipment |
| US12279271B2 (en) * | 2021-05-11 | 2025-04-15 | Qualcomm Incorporated | Indication of scheduling delays for a shared channel with BWP switching in higher frequency bands |
| US12445175B2 (en) * | 2022-11-10 | 2025-10-14 | Qualcomm Incorporated | Quasi co-location parameter weighting for coherent joint transmissions |
| WO2025091253A1 (en) * | 2023-10-31 | 2025-05-08 | Zte Corporation | Wireless power control techniques |
Citations (4)
| Publication number | Priority date | Publication date | Assignee | Title |
|---|---|---|---|---|
| WO2019233334A1 (zh) | 2018-06-07 | 2019-12-12 | 展讯通信(上海)有限公司 | 传输配置指示的发送、接收方法及装置、存储介质、基站、终端 |
| US20200007194A1 (en) | 2018-07-02 | 2020-01-02 | Qualcomm Incorporated | Method and apparatus for expanding quasi-colocation (qcl) signaling to cover varied scenarios |
| US20200374931A1 (en) | 2018-02-14 | 2020-11-26 | Guangdong Oppo Mobile Telecommunications Corp., Ltd. | Signal transmission method and device |
| US20210136773A1 (en) | 2018-07-13 | 2021-05-06 | Vivo Mobile Communication Co.,Ltd. | Method for determining search space parameter, and terminal device |
Family Cites Families (12)
| Publication number | Priority date | Publication date | Assignee | Title |
|---|---|---|---|---|
| CN109587793B (zh) * | 2017-09-29 | 2021-08-31 | 维沃移动通信有限公司 | Tci状态更新方法、基站及终端 |
| US11323892B2 (en) | 2017-09-29 | 2022-05-03 | Lg Electronics Inc. | Method for transmitting and receiving data on basis of QCL in wireless communication system, and device therefor |
| WO2019097478A1 (en) | 2017-11-16 | 2019-05-23 | Telefonaktiebolaget Lm Ericsson (Publ) | Configuring spatial qcl reference in a tci state |
| KR102439425B1 (ko) | 2017-12-21 | 2022-09-05 | 삼성전자 주식회사 | 무선 셀룰라 통신 시스템에서 안테나 빔 추적 방법 및 장치 |
| US11343037B2 (en) * | 2018-02-16 | 2022-05-24 | Qualcomm Incorporated | Transmission configuration indication states with quasi-collocation groups |
| US11502735B2 (en) | 2018-08-10 | 2022-11-15 | Lg Electronics Inc. | Method for transmitting and receiving downlink signal and device for same |
| JP2020072371A (ja) * | 2018-10-31 | 2020-05-07 | シャープ株式会社 | 端末装置および通信方法 |
| US12238025B2 (en) * | 2019-01-08 | 2025-02-25 | Apple Inc. | Systems and methods for mapping transmission configuration indication (TCI) state and demodulation reference signal (DMRS) ports groups |
| WO2020166033A1 (ja) * | 2019-02-14 | 2020-08-20 | 株式会社Nttドコモ | ユーザ端末及び無線通信方法 |
| JP7354302B2 (ja) * | 2019-07-25 | 2023-10-02 | オッポ広東移動通信有限公司 | データを伝送するための方法及び端末装置 |
| US11627601B2 (en) * | 2020-01-29 | 2023-04-11 | Qualcomm Incorporated | Non-transparent single frequency network scheme |
| CN115152174B (zh) * | 2020-02-21 | 2024-07-16 | 华为技术有限公司 | 一种通信方法及装置 |
-
2020
- 2020-03-30 KR KR1020200038511A patent/KR20210121579A/ko active Pending
-
2021
- 2021-03-30 CN CN202180025655.2A patent/CN115362651B/zh active Active
- 2021-03-30 JP JP2022559958A patent/JP7323721B2/ja active Active
- 2021-03-30 CN CN202510727696.6A patent/CN120602060A/zh active Pending
- 2021-03-30 US US17/915,331 patent/US12309096B2/en active Active
- 2021-03-30 WO PCT/KR2021/003902 patent/WO2021201554A1/ko not_active Ceased
- 2021-03-30 EP EP21780498.8A patent/EP4113881A4/en active Pending
-
2023
- 2023-07-27 JP JP2023122431A patent/JP7516632B2/ja active Active
-
2025
- 2025-04-23 US US19/187,234 patent/US20250254004A1/en active Pending
Patent Citations (5)
| Publication number | Priority date | Publication date | Assignee | Title |
|---|---|---|---|---|
| US20200374931A1 (en) | 2018-02-14 | 2020-11-26 | Guangdong Oppo Mobile Telecommunications Corp., Ltd. | Signal transmission method and device |
| WO2019233334A1 (zh) | 2018-06-07 | 2019-12-12 | 展讯通信(上海)有限公司 | 传输配置指示的发送、接收方法及装置、存储介质、基站、终端 |
| US20210235452A1 (en) | 2018-06-07 | 2021-07-29 | Spreadtrum Communications (Shanghai) Co., Ltd. | Method and Apparatus for Sending Transmission Configuration Indicator, Method and Apparatus for Receiving Transmission Configuration Indicator, Storage Medium, Base Station, and Terminal |
| US20200007194A1 (en) | 2018-07-02 | 2020-01-02 | Qualcomm Incorporated | Method and apparatus for expanding quasi-colocation (qcl) signaling to cover varied scenarios |
| US20210136773A1 (en) | 2018-07-13 | 2021-05-06 | Vivo Mobile Communication Co.,Ltd. | Method for determining search space parameter, and terminal device |
Non-Patent Citations (2)
| Title |
|---|
| 3GPP TS 38.214 V16.0.0,2020年01月14日,P.1-5,34 5.1.5,[検索日 2024.05.30] |
| 3GPP TS 38.331 V15.8.0,2020年01月08日,P.1,216-219,276,[検索日 2024.05.30] |
Also Published As
| Publication number | Publication date |
|---|---|
| JP2023159100A (ja) | 2023-10-31 |
| EP4113881A1 (en) | 2023-01-04 |
| WO2021201554A1 (ko) | 2021-10-07 |
| KR20210121579A (ko) | 2021-10-08 |
| EP4113881A4 (en) | 2023-09-06 |
| CN115362651A (zh) | 2022-11-18 |
| CN120602060A (zh) | 2025-09-05 |
| US20230239103A1 (en) | 2023-07-27 |
| JP7323721B2 (ja) | 2023-08-08 |
| US12309096B2 (en) | 2025-05-20 |
| CN115362651B (zh) | 2025-06-20 |
| US20250254004A1 (en) | 2025-08-07 |
| JP2023520470A (ja) | 2023-05-17 |
Similar Documents
| Publication | Publication Date | Title |
|---|---|---|
| EP4072057B1 (en) | Method and apparatus for transmitting or receiving reference signal in wireless communication system | |
| US12519590B2 (en) | Method and apparatus for transmitting or receiving reference signal in wireless communication system | |
| EP4145724B1 (en) | Method and device for controlling measuring and reporting of adjacent channel interference in wireless communication system | |
| US12231362B2 (en) | Method and apparatus for signal transmission to high speed mobile UE in a wireless communication system | |
| US12058718B2 (en) | Method and apparatus for reporting channel state information for network cooperative communication | |
| JP7516632B2 (ja) | 無線通信システムで基準信号の送受信方法及び装置 | |
| CN116018865A (zh) | 无线通信系统中用于分配频率资源的方法和装置 | |
| CN115516801B (zh) | 无线通信系统中的探测方法及装置 | |
| CN118511633A (zh) | 用于无线通信系统中下行链路数据信道发送或接收方案之间的动态切换的方法和设备 | |
| CN119678624A (zh) | 无线通信系统中用于支持多个面板的预编码指示的方法和装置 | |
| KR20220167157A (ko) | 무선 통신 시스템에서 하향링크 제어 정보 및 데이터를 전송 및 수신하기 위한 방법 및 장치 | |
| CN118176687A (zh) | 用于在无线通信系统中进行harq-ack传输的方法和设备 | |
| KR102952990B1 (ko) | 무선 통신 시스템에서 인접 채널 간섭의 측정 및 보고를 제어하는 방법 및 장치 | |
| KR20210043378A (ko) | 무선 통신 시스템에서 상향링크 위상 추정 기준 신호 전송 방법 및 장치 | |
| EP4270844A1 (en) | Method and apparatus for uplink transmission in wireless communication system | |
| KR20250142069A (ko) | 무선 통신 시스템에서 측정 갭 내 데이터 정보 송수신 방법 및 장치 | |
| KR20250037171A (ko) | 위성 통신 시스템에서 멀티캐스트 및 브로드캐스트 송수신 방법 및 장치 | |
| KR20250142707A (ko) | 위성 통신 시스템에서 데이터 정보 송수신 방법 및 장치 | |
| KR20250011468A (ko) | 무선 통신 시스템에서 단말 능력에 따른 harq 코드북 설계 방법 및 장치 | |
| CN118525474A (zh) | 无线通信系统中用于多pdsch调度和pdsch重复的harq-ack传输方法和设备 |
Legal Events
| Date | Code | Title | Description |
|---|---|---|---|
| A621 | Written request for application examination |
Free format text: JAPANESE INTERMEDIATE CODE: A621 Effective date: 20230727 |
|
| TRDD | Decision of grant or rejection written | ||
| A01 | Written decision to grant a patent or to grant a registration (utility model) |
Free format text: JAPANESE INTERMEDIATE CODE: A01 Effective date: 20240604 |
|
| A61 | First payment of annual fees (during grant procedure) |
Free format text: JAPANESE INTERMEDIATE CODE: A61 Effective date: 20240703 |
|
| R150 | Certificate of patent or registration of utility model |
Ref document number: 7516632 Country of ref document: JP Free format text: JAPANESE INTERMEDIATE CODE: R150 |






















































