JP2012123732A - 操作項目特定装置、操作項目特定方法、作業基準生成装置及び作業基準生成方法 - Google Patents

操作項目特定装置、操作項目特定方法、作業基準生成装置及び作業基準生成方法 Download PDF

Info

Publication number
JP2012123732A
JP2012123732A JP2010275894A JP2010275894A JP2012123732A JP 2012123732 A JP2012123732 A JP 2012123732A JP 2010275894 A JP2010275894 A JP 2010275894A JP 2010275894 A JP2010275894 A JP 2010275894A JP 2012123732 A JP2012123732 A JP 2012123732A
Authority
JP
Japan
Prior art keywords
specifying
equipment state
equipment
signal sequence
signal
Prior art date
Legal status (The legal status is an assumption and is not a legal conclusion. Google has not performed a legal analysis and makes no representation as to the accuracy of the status listed.)
Granted
Application number
JP2010275894A
Other languages
English (en)
Other versions
JP5733965B2 (ja
Inventor
Kiyohiko Suzuki
清彦 鈴木
Taiyo Fumiya
太陽 文屋
Satoshi Abe
諭 安部
Current Assignee (The listed assignees may be inaccurate. Google has not performed a legal analysis and makes no representation or warranty as to the accuracy of the list.)
Mitsubishi Electric Corp
Mitsubishi Electric Building Solutions Corp
Original Assignee
Mitsubishi Electric Corp
Mitsubishi Electric Building Techno Service Co Ltd
Priority date (The priority date is an assumption and is not a legal conclusion. Google has not performed a legal analysis and makes no representation as to the accuracy of the date listed.)
Filing date
Publication date
Application filed by Mitsubishi Electric Corp, Mitsubishi Electric Building Techno Service Co Ltd filed Critical Mitsubishi Electric Corp
Priority to JP2010275894A priority Critical patent/JP5733965B2/ja
Publication of JP2012123732A publication Critical patent/JP2012123732A/ja
Application granted granted Critical
Publication of JP5733965B2 publication Critical patent/JP5733965B2/ja
Expired - Fee Related legal-status Critical Current
Anticipated expiration legal-status Critical

Links

Images

Landscapes

  • Testing And Monitoring For Control Systems (AREA)

Abstract

【課題】少ない計算量で、速やかに操作項目の実施順序を特定することができるようにする。
【解決手段】保守対象設備1に対する操作に伴って変化する保守対象設備1の信号系列を取得する信号取得部11と、保守対象設備1の信号系列と設備状態の対応関係を記録している状態変換規則部12と、状態変換規則部12に記録されている対応関係を参照して、信号取得部11により取得された信号系列に対応する設備状態を特定する設備状態特定部13とを設け、ログ解析部14が設備状態特定部13により特定された設備状態の遷移を解析して、保守対象設備1に行われた作業員の操作の項目を検出し、その検出結果から操作項目の実施順序を特定する。
【選択図】図1

Description

この発明は、対象設備(例えば、発電所設備)に行われた操作の項目を検出して、その操作項目の実施順序を特定する操作項目特定装置及び操作項目特定方法と、操作項目の実施順序から作業基準を生成する作業基準生成装置及び作業基準生成方法とに関するものである。
例えば、発電所設備などの保守作業では人的作業を必要とする。
しかし、人的作業の場合、作業漏れや抜けが起り易いため、保守作業の内容を確認する機構が必要である。
以下の非特許文献1には、人的作業に伴う機器の信号変化を設備操作ログとして記録する方法が開示されている。
この方法では、予め、実施する保守内容を信号変化で書き下すことで(電子的な作業基準を作成することで)、自動的な作業内容の確認が可能になる。
ここで、電子化された作業基準は、機器の信号変化を辿ることで、実施された操作項目を類推する技術と、個々の操作項目が実施されるべき順序関係を辿る技術との組合せにより定まるものである。
機器の信号変化を辿る技術では、単純に信号の変化を辿るのではなく、セミマルコフモデルを導入することで、機器の信号変化を辿る方法が述べられている。
即ち、人は同じ作業を実施しても、作業を行う毎に若干の作業の遅速が生じるので、この変化に対処するために、個々の操作項目のそれぞれについて、事前に取得した複数回の設備操作ログからセミマルコフモデルを作成する方法が述べられている。
しかし、保守作業では、作業順序ではなく、確認すべき項目(操作項目)の網羅性が重要であり、作業順序を一意に定めることは難しい。
1つの運用形態として、実施する保守作業の順序を運用規則によって、一意に定めることも考えられる。
ただし、全ての操作項目を網羅して、効率的な操作項目の順序を一意に特定することは困難である。即ち、複数の操作項目を効率的に行う順序は作業員毎に異なるため、操作項目の順序を運用規則で一意に決定すると、作業員の作業効率の低下を招く場合がある。
他方の運用形態として、最初に、全ての作業員が、ある1つの作業順序に従う前提で、全作業員の作業基準を生成する。その後、作業員毎に、全作業員の作業基準と当該作業員による実施順序の差異を求めて、その差異によって当該作業基準を修正することも考えられる。
しかし、この場合、差異が生じている箇所を見つけて作業基準を修正する処理を繰り返し実施する必要があるため、実用に耐える全作業員の作業基準が揃うまでには膨大な試行時間を要する。
したがって、保守作業の内容を自動的に確認する機構を導入するには、作業員毎に、個別の作業基準を作成する必要性が高い。
しかし、作業員毎に、個別の作業基準を作成する場合、作業員の違いや、対象設備の違いに応じて、作業基準を作成しなければならず煩雑である。
作成方法の一案として、作業員が対象設備において、基準の保守作業を実施し、その際の設備操作ログを解析して、作業基準を作成する(設備操作ログから作業員毎の作業基準を自動的に作成する)ことが考えられる。
ただし、作業員毎の作業基準を作成する際、設備操作ログを解析して、実際に行われた操作項目を検出し、その検出結果から操作項目の実施順序を特定する必要があるが、設備操作ログの中から、操作項目毎に信号列を切り出す単純な解析方法を用いて、操作項目の実施順序を特定する場合、ログ行数N、操作項目数Mに対して、(N×M)のオーダで劇的に計算量が増加するため、設備操作ログの効率的な解析手法を用いる必要がある。
齊藤啓太,鈴木清彦,小貫淳史,"作業手順モデルに基づいた実施作業推定手法"、第72回情報処理学会全国大会講演論文集,2J−2,no.4,pp.533−534,(Mar 2010).
従来の作業基準生成方法は以上のように構成されているので、設備操作ログの中から、操作項目毎に信号列を切り出す単純な解析方法を用いて、実際に行われた操作項目を検出している。このため、設備操作ログが多くなると、劇的に計算量が増加してしまって、速やかに操作項目の実施順序を特定することができず、効率的に作業基準を生成することができない課題があった。
この発明は上記のような課題を解決するためになされたもので、少ない計算量で、速やかに操作項目の実施順序を特定することができる操作項目特定装置及び操作項目特定方法を得ることを目的とする。
また、この発明は、少ない計算量で、速やかに操作項目の実施順序を特定して、効率的に作業基準を生成することができる作業基準生成装置及び作業基準生成方法を得ることを目的とする。
この発明に係る操作項目特定装置は、対象設備に対する操作に伴って変化する対象設備の信号系列を取得する信号系列取得手段と、対象設備の信号系列と設備状態の対応関係を記録している対応関係記録手段と、対応関係記録手段に記録されている対応関係を参照して、信号系列取得手段により取得された信号系列に対応する設備状態を特定する設備状態特定手段とを設け、実施順序特定手段が設備状態特定手段により特定された設備状態の遷移を解析して、対象設備に行われた操作の項目を検出し、その検出結果から操作項目の実施順序を特定するようにしたものである。
この発明によれば、対象設備に対する操作に伴って変化する対象設備の信号系列を取得する信号系列取得手段と、対象設備の信号系列と設備状態の対応関係を記録している対応関係記録手段と、対応関係記録手段に記録されている対応関係を参照して、信号系列取得手段により取得された信号系列に対応する設備状態を特定する設備状態特定手段とを設け、実施順序特定手段が設備状態特定手段により特定された設備状態の遷移を解析して、対象設備に行われた操作の項目を検出し、その検出結果から操作項目の実施順序を特定するように構成したので、少ない計算量で、速やかに操作項目の実施順序を特定することができる効果がある。
この発明の実施の形態1による作業基準生成装置を示す構成図である。 この発明の実施の形態1による作業基準生成装置の処理内容(作業基準生成方法)を示すフローチャートである。 作業員Aの作業順序を示す説明図である。 作業員Bの作業順序を示す説明図である。 操作項目W1が行われた場合の保守対象設備1の信号系列(信号1、信号2、信号3)の変化を示す説明図である。 操作項目W2が行われた場合の保守対象設備1の信号系列(信号1、信号2、信号3)の変化を示す説明図である。 操作項目W3が行われた場合の保守対象設備1の信号系列(信号1、信号2、信号3)の変化を示す説明図である。 保守対象設備1の信号系列と設備状態の対応関係を示す説明図である。 操作項目W1,W2,W3が行われたことによる状態遷移を示す説明図である。 AC法によるトライ木の生成結果を示す説明図である。 図10の各Nodeに対応する設備状態の系列を示す説明図である。 Failure関数とOutput関数を示す説明図である。 作業員の操作に伴って変化する保守対象設備1の信号系列(信号1、信号2、信号3)の一例を示す説明図である。 設備状態特定部13により特定された設備状態の系列(信号系列から設備状態の系列への変換結果)を示す説明図である。 AC法によるログ解析を示す説明図である。 作業基準生成部15により生成された作業基準を示す説明図である。 正規表現された状態遷移の一例を示す説明図である。 図17の正規表現による記述を示す説明図である。
実施の形態1.
図1はこの発明の実施の形態1による作業基準生成装置を示す構成図である。
図1において、保守対象設備1は例えば保守を必要とする発電設備などが該当し、例えば、通信ケーブル、LAN、インターネットなどの通信回線を通じて、作業基準生成装置2と接続されており、操作に伴って変化する保守対象設備1の信号系列が作業基準生成装置2に伝送される。
作業基準生成装置2は作業員が保守対象設備1に行っている操作の項目を検出して、その操作項目の実施順序を特定する操作項目特定装置3を内蔵しており、操作項目特定装置3により特定された操作項目の実施順序から作業基準を生成する処理を実施する。
操作項目特定装置3の信号取得部11は通信回線に対するインタフェース機能を有するネットワーク機器(例えば、LANカード、モデム、無線機など)などから構成されており、作業員の操作に伴って変化する保守対象設備1の信号系列(例えば、発電機の回転数、出力電力などを示す信号)を取得する処理を実施する。なお、信号取得部11は信号系列取得手段を構成している。
操作項目特定装置3の状態変換規則部12は例えばハードディスクやRAMなどのデータ記録装置から構成されており、保守対象設備1の信号系列と設備状態の対応関係を記録しているテーブルを格納している。なお、状態変換規則部12は対応関係記録手段を構成している。
操作項目特定装置3の設備状態特定部13は例えばCPUを実装している半導体集積回路、あるいは、ワンチップマイコンなどから構成されており、状態変換規則部12に記録されている対応関係を参照して、信号取得部11により取得された信号系列に対応する設備状態を特定する処理を実施する。なお、設備状態特定部13は設備状態特定手段を構成している。
操作項目特定装置3のログ解析部14は例えばCPUを実装している半導体集積回路、あるいは、ワンチップマイコンなどから構成されており、設備状態特定部13により特定された設備状態の遷移を解析して、保守対象設備1に行われた作業員の操作項目を検出し、その検出結果から操作項目の実施順序を特定する処理を実施する。
即ち、ログ解析部14は各種の操作項目に対応する設備状態の遷移パターンを記憶しており、設備状態特定部13により特定された設備状態の遷移を解析して、複数の遷移パターンの中から、その設備状態の遷移を表している遷移パターンを検索し、その遷移パターンに対応する操作項目が保守対象設備1に行われた作業員の操作項目であると認定して、作業員の操作項目の実施順序を特定する処理を実施する。
なお、ログ解析部14は実施順序特定手段を構成している。
作業基準生成部15は例えばCPUを実装している半導体集積回路、あるいは、ワンチップマイコンなどから構成されており、ログ解析部14により特定された操作項目の実施順序と、作業員に実施された操作項目の内容を示す作業基準を生成する処理を実施する。なお、作業基準生成部15は作業基準生成手段を構成している。
図1の例では、作業基準生成装置の構成要素である信号取得部11、状態変換規則部12、設備状態特定部13、ログ解析部14及び作業基準生成部15のそれぞれが専用のハードウェアで構成されているものを想定しているが、作業基準生成装置がコンピュータで構成される場合、信号取得部11、状態変換規則部12、設備状態特定部13、ログ解析部14及び作業基準生成部15の処理内容を記述しているプログラムをコンピュータのメモリに格納し、当該コンピュータのCPUが当該メモリに格納されているプログラムを実行するようにしてもよい。
図2はこの発明の実施の形態1による作業基準生成装置の処理内容(作業基準生成方法)を示すフローチャートである。
この実施の形態1では、説明の便宜上、保守対象設備1に対する保守作業として、作業員が3つの操作項目W1,W2,W3を行うものとして説明する。
ただし、操作項目W1,W2,W3の実施順序は、作業員の違いや保守対象設備1の違いに応じて変化する。
例えば、作業員Aであれば、操作項目W2→W1→W3の順序で実施し(図3を参照)、作業員Bであれば、操作項目W3→W2→W1の順序で実施する(図4を参照)ことも考えられる。
したがって、作業員の違いや保守対象設備1の違いに応じた作業基準を生成するには、各作業者による操作項目の実施順序を特定する必要がある。
この実施の形態1では、作業員による操作項目W1,W2,W3の設備操作ログとして、3つの信号1、信号2、信号3が得られるものとする。
図5は操作項目W1が行われた場合の保守対象設備1の信号系列(信号1、信号2、信号3)の変化を示す説明図である。
また、図6は操作項目W2が行われた場合の保守対象設備1の信号系列(信号1、信号2、信号3)の変化を示す説明図である。
また、図7は操作項目W3が行われた場合の保守対象設備1の信号系列(信号1、信号2、信号3)の変化を示す説明図である。
この実施の形態1では、作業員による操作項目W1,W2,W3の全てが既知であり、図5〜図7に示すように、操作項目W1,W2,W3が行われた場合の保守対象設備1の信号系列(信号1、信号2、信号3)の変化も既知である。
ただし、保守対象設備1の信号系列の変化の状態は、図5〜図7に示すように、操作項目毎に異なる。
3つの信号1、信号2、信号3の値の組合せを1つの設備状態として扱うとすると、図5〜図7の例では、3つの信号1、信号2、信号3の値の組合せは5通りあるため、図8に示すように、5つの設備状態S0〜S4を定義することができる。
図8では、例えば、信号1の値“1”、信号2の値“0”、信号3の値“0”の場合は設備状態S1と対応付けており、信号1の値“0”、信号2の値“1”、信号3の値“0”の場合は設備状態S2と対応付けている。
操作項目特定装置3の状態変換規則部12では、図8に示すような対応表(保守対象設備1の信号系列と設備状態の対応関係)を記録しているテーブルを格納している。
図5〜図7及び図8では、説明の簡単化のために、信号系列の値が“0”または“1”である例を示しているが、信号系列の値が多値や連続値であってもよい。
また、保守対象設備1の信号系列が信号1、信号2、信号3の3種類であれば、2=8通りの設備状態を定義することが可能であるが、操作項目W1,W2,W3により出現する設備状態は5通りだけであるため、8通りの設備状態を定義する必要はない。
図8の対応表に記述されている5つの設備状態S0〜S4と、図5〜図7に記述されている操作項目W1,W2,W3の信号系列の変化を参照すると、操作項目W1,W2,W3が行われたことによる状態遷移は、図9のように記述することができる。
これにより、操作項目は、設備状態の系列で表現することができる。例えば、操作項目W1は、設備状態S0→S1→S2→S3のように表現することができ、操作項目W2は、設備状態S1→S2→S0のように表現することができる。
したがって、設備状態をアルファベットと見なすと(例えば、操作項目W1の場合:W1=(S0,S1,S2,S3))、操作項目W1,W2,W3の各々を文字列と見なすことができる。
このため、設備操作ログから作業項目の実施順序を特定する問題は、設備操作ログとして与えられたアルファベットの系列から、操作項目W1,W2,W3に対応する単語(設備状態の系列)を検出する問題に置き換えることが可能になる。そのため、文字列の検索問題と対応付けて解くことができる。
そこで、この実施の形態1では、ソフトウェア処理であっても、並列的に単語検索を実現できる高速な文字列検索アルゴリズムであるAho−CorasiCk(AC)法をログ解析部14に導入し、ログ解析部14がAC法を用いて、作業者の作業項目を検出して、その作業項目の実施順序を特定するものとする。
AC法は、以下の非特許文献2に開示されている。
[非特許文献2]
Alfred V. Aho, Margaret J. CorasiCk ”EffiCient String MatChing: An Aid to BibliographiC SearCh”, Comm. ACM, 1975.
この実施の形態1では、AC法によるトライ(trie)木を生成するため、操作項目W1,W2,W3に対応する辞書パターンを作成する。
即ち、W1=(S0,S1,S2,S3)、W2=(S1,S2,S0)、W3=(SS2,S4)を作成する。
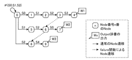
操作項目W1,W2,W3に対応する辞書パターンから、AC法によりトライ木を生成すると図10のようになる。
トライ木を用いる設備操作ログの解析動作は後述するが、図10の各Nodeに対応する設備状態の系列は図11のようになる。
図11の例では、Node番号“4”が操作項目W1に係る設備状態の系列に対応し、Node番号“7”が操作項目W2に係る設備状態の系列に対応し、Node番号“9”が操作項目W3に係る設備状態の系列に対応している。
図10に示しているAC法によるトライ木は、図12に示すようなFailure関数とOutput関数を伴っている。
Output関数は、操作項目として意味がある設備状態の系列を検出したときに、出力を伴うNode番号と、その出力内容を示すものである。
Node番号“4”は操作項目W1に対応し、Node番号“7”は操作項目W2に対応し、Node番号“9”は操作項目W3に対応しているため、各々のNodeは対応している操作項目を出力する。
また、Failure関数は、あるNodeが期待する入力を得られない場合に遷移するNode先を示すものである。
例えば、3番のNodeは、4番のNodeに遷移するために、設備状態S3の入力を期待しているが、入力された設備状態がS3以外である場合、6番のNodeに遷移する(図10において、点線を参照)。
その理由は、3番のNodeは、図11に示すように、設備状態の系列(S0,S1,,S2)に対応しており、次に設備状態S3が入力されれば、操作項目W1に対応する辞書パターンと一致するが、次に設備状態S3が入力されなくても、6番のNodeに対応する設備状態の系列(S1,S2)と同じ系列(S1,S2)を既に検出しているためである。
したがって、入力された設備状態がS3以外である場合、6番のNodeと見なして、入力された設備状態を評価する。
このFailure関数により、意味のある設備状態の系列を効率よく検出することができる。
なお、AC法がソフトウェア処理であっても、並列的に単語検索が実現できる特性は、Failure関数によるものである。
次に動作について説明する。
ただし、ここでは、作業員Cが操作を行うものとする。
まず、操作項目特定装置3の信号取得部11は、作業員Cの操作に伴って変化する保守対象設備1の信号系列(信号1、信号2、信号3)を取得する(ステップST1)。
ここでは、説明の便宜上、設備操作ログとして、図13に示すような信号系列(信号1、信号2、信号3)が取得されるものとする。
信号取得部11は、図13に示すような信号系列(信号1、信号2、信号3)の取得が完了するまで取得済みの信号系列を保持し、作業員Cの操作が完了した時点で、取得済みの信号系列(図13の信号系列)を設備状態特定部13に出力する。
設備状態特定部13は、信号取得部11から保守対象設備1の信号系列(信号1、信号2、信号3)を受けると、状態変換規則部12に記録されている対応関係(図8の対応表)を参照して、その信号系列に対応する設備状態を特定する(ステップST2)。
例えば、信号1の値“1”、信号2の値“0”、信号3の値“0”であれば、設備状態がS1であると特定し、信号1の値“0”、信号2の値“1”、信号3の値“0”であれば、設備状態がS2であると特定する。
図14は設備状態特定部13により特定された設備状態の系列(信号系列から設備状態の系列への変換結果)を示す説明図である。
図8の対応表には、操作項目W1,W2,W3により出現しない設備状態は記録されていないので、例えば、信号1の値“0”、信号2の値“1”、信号3の値“1”があるような場合には設備状態を特定することができず、変換後の設備操作ログには“N/A”が記述される。
ログ解析部14は、設備状態特定部13から変換後の設備操作ログを1行受ける毎(設備状態特定部13が設備状態を1つ特定する毎)に、AC法を用いて、その設備状態の遷移に対応する辞書パターンを探索することで、作業員Cの操作項目を検出する(ステップST3)。
図15はAC法によるログ解析を示す説明図である。
以下、図15を参照しながら、ログ解析部14の処理内容を具体的に説明する。
初期状態では、0番のNodeに滞在しているが、設備状態特定部13から行番号1,2の設備状態N/Aを受けても、期待していない入力であるため、0番のNodeから他のNodeに遷移せずに、0番のNodeの滞在を継続する。
次に、設備状態特定部13から行番号3の設備状態S0を受けると、1番のNodeに遷移する。
次に、設備状態特定部13から行番号4,5の設備状態S1,S2を受けると、2番のNodeに遷移してから、3番のNodeに遷移する。
3番Nodeでは、設備状態S3の入力を期待するが、設備状態特定部13から受ける行番号6の設備状態がS0(設備状態S3以外の設備状態)であるため、図12のFailure関数によって、遷移先が6番のNodeであることを認識し、6番のNodeに遷移する。
この時点で、探索済みの設備状態の系列は、図11にしたがって、(S0,S1,S2)から(S1,S2)になる。
6番のNodeに遷移すると、再度、設備状態特定部13から出力された行番号6の設備状態S0を評価する。
6番のNodeでは、設備状態S0の入力を期待しているので、7番のNodeに遷移する。
7番のNodeに遷移すると、図12のOutput関数によって、Output辞書に登録されている操作項目W2=(S1,S2,S0)を出力する。
これにより、操作項目W2が検出されたので、再度、0番のNodeに戻り、設備操作ログの解析を継続する。
次に、設備状態特定部13から行番号7,8の設備状態S1,S2を受けると、5番のNodeに遷移してから、6番のNodeに遷移する。
6番のNodeでは、設備状態S0の入力を期待するが、設備状態特定部13から受ける行番号9の設備状態がS4(設備状態S0以外の設備状態)であるため、図12のFailure関数によって、遷移先が8番のNodeであることを認識し、8番のNodeに遷移する。
この時点で、探索済みの設備状態の系列は、図11にしたがって、(S1,S2)から(S2)になる。
8番のNodeに遷移すると、再度、設備状態特定部13から出力された行番号9の設備状態S4を評価する。
8番のNodeでは、設備状態S4の入力を期待しているので、9番のNodeに遷移する。
9番のNodeに遷移すると、図12のOutput関数によって、Output辞書に登録されている操作項目W3=(S2,S4)を出力する。
これにより、操作項目W3が検出されたので、再度、0番のNodeに戻り、設備操作ログの解析を継続する。
次に、設備状態特定部13から行番号10の設備状態S0を受けると、1番のNodeに遷移する。
次に、設備状態特定部13から行番号11,12の設備状態S1,S2を受けると、2番のNodeに遷移してから、3番のNodeに遷移する。
3番Nodeでは、設備状態S3の入力を期待しており、設備状態特定部13から受ける行番号13の設備状態がS3であるため、4番のNodeに遷移する。
4番のNodeに遷移すると、図12のOutput関数によって、Output辞書に登録されている操作項目W1=(S0,S1,S2,S3)を出力する。これにより、操作項目W1が検出される。
ログ解析部14は、操作項目をW2→W3→W1の順序で検出すると、その検出結果から操作項目W1,W2,W3の実施順序が、W2→W3→W1であることを特定する(ステップST4)。
作業基準生成部15は、ログ解析部14が操作項目W1,W2,W3の実施順序(W2→W3→W1)を特定すると、その操作項目の実施順序(W2→W3→W1)と、作業員Cに実施された操作項目W1,W2,W3の内容を示す作業基準を生成する(ステップST5)。
図16は作業基準生成部15により生成された作業基準を示す説明図である。
図16の例では、作業員Cにより実施された操作項目がW1,W2,W3であり、その実施順序がW2→W3→W1であることを表している。
以上で明らかなように、この実施の形態1によれば、保守対象設備1に対する作業員の操作に伴って変化する保守対象設備1の信号系列を取得する信号取得部11と、保守対象設備1の信号系列と設備状態の対応関係を記録している状態変換規則部12と、状態変換規則部12に記録されている対応関係を参照して、信号取得部11により取得された信号系列に対応する設備状態を特定する設備状態特定部13とを設け、ログ解析部14が設備状態特定部13により特定された設備状態の遷移を解析して、保守対象設備1に行われた作業員の操作の項目を検出し、その検出結果から操作項目の実施順序を特定するように構成したので、少ない計算量で、速やかに操作項目の実施順序を特定することができる効果を奏する。
即ち、この実施の形態1によれば、設備操作ログから操作項目の実施順序を特定する問題を、文字列検索処理に対応付けて処理するようにしているので、設備操作ログの中から操作項目毎に信号系列を切り出すための計算量が、ログ解析部14に導入されているAC法によって、ログ行数Nに対して、O(N)のオーダであり、極めて効率的に設備操作ログが解析されている。このため、少ない計算量で、速やかに操作項目の実施順序を特定することができる
なお、近年、熟練作業員の定年退職に伴う暗黙知の喪失が様々な分野で問題となっており、設備保守作業の現場では、作業員が有する暗黙知が保守作業の効率化や品質確保に寄与する場合が多い。
本来は明文化されて作業員の間で共有されるべき情報であるが、忙しい作業の合間に自発的に明文化することは難しく、明文化されないまま熟練の作業者が有する暗黙知が定年退職などに伴って、現場から失われることは保守会社にとって大きな損失である。
しかし、この実施の形態1では、設備操作ログから作業員による操作項目の実施順序を自動的に特定するものであるため、熟練の作業員による最適な実施順序(経験的に得られた実施順序)を明文化することに寄与する。
この実施の形態1では、ログ解析部14がACを用いて、設備状態の遷移に対応する辞書パターンを探索するものを示したが、AC法以外の方法で、設備状態の遷移に対応する辞書パターンを探索するようにしてもよい。
AC法以外の方法としては、例えば、Boyer−Moore(BM)法などを用いることができる。
実施の形態2.
上記実施の形態1では、ログ解析部14がACを用いて、設備状態の遷移に対応する辞書パターンを探索するものを示したが、ログ解析部14が、AC法が決定性有限オートマトン(Deterministic Finite Automaton:DFA)化されているAC−DFA法を用いて、設備状態の遷移に対応する辞書パターンを探索するようにしてもよい。
AC−DFA法は、入力に対してNodeの遷移先が一意に定まるようにNode設計されたAC法である。
個々のNodeについて、想定される全ての入力に対してNodeの遷移先が定義されるため、ソフトウェア実装では、AC法よりもメモリ容量を必要とし、ハードウェア実装では、大きな回路規模を必要とする。
しかし、n行の入力に対してn回のNode遷移で解析結果が得られるため、AC法よりも更に高速である。
実施の形態3.
保守作業によっては、図9のように一意な状態遷移ができず、図17に示すような遷移を辿る場合も考えられる。
図17に対応する辞書パターンは、図18に示すように、正規表現でしか記述することができず、非決定性有限オートマトン(Nondeterministic Finite Automaton:NFA)になる。
AC法あるいはAC−DFA法では、辞書パターンがDFAで記述される必要があるため、NFA記述された辞書パターンは単純に扱うことができない。
そこで、この実施の形態3では、NFAをDFAに展開することは可能であるため、NFAで記述されている辞書パターンを扱う場合、前処理として、NFAで記述されている辞書パターンをDFA記述に変換する処理を実施してから、上記実施の形態1と同様の処理を実施するようにする。
実施の形態4.
上記実施の形態1〜3では、操作項目W1,W2,W3に対応する設備状態の遷移が異なるものを示したが、複数の操作項目に対応する設備状態の遷移が等しい場合がある。
例えば、操作項目W2に対応する設備状態の遷移と、操作項目W4に対応する設備状態の遷移が等しい場合において、操作項目W2と操作項目W4の間に、出現順序に関する関係(例えば、「操作項目W4は、操作項目W2より先に出現することはない」という関係)があれば、その出現順序に関する関係を考慮して、どの操作項目が行われたかを検出するようにする。
即ち、ログ解析部14は、操作項目W2,W4に対応する設備状態の遷移が得られた場合、未だ操作項目W2を検出していなければ、今回の操作項目はW2であると判断する。
一方、既に操作項目W2を検出していれば、今回の操作項目はW4であると判断する。
これにより、複数の操作項目に対応する設備状態の遷移が等しい場合でも、操作項目を特定することができる。
実施の形態5.
上記実施の形態1〜4では、信号取得部11が、作業員の操作が完了するまで取得済みの信号系列を保持し、作業員の操作が完了した時点で、取得済みの信号系列を設備状態特定部13に出力するものを示したが、保守対象設備1の信号系列が変化する毎に、信号取得部11が、保守対象設備1の信号系列を取得して、その信号系列を設備状態特定部13に出力するようにしてもよい。
なお、本願発明はその発明の範囲内において、各実施の形態の自由な組み合わせ、あるいは各実施の形態の任意の構成要素の変形、もしくは各実施の形態において任意の構成要素の省略が可能である。
1 保守対象設備、2 作業基準生成装置、3 操作項目特定装置、11 信号取得部(信号系列取得手段)、12 状態変換規則部(対応関係記録手段)、13 設備状態特定部(設備状態特定手段)、14 ログ解析部(実施順序特定手段)、15 作業基準生成部(作業基準生成手段)。

Claims (9)

  1. 対象設備に対する操作に伴って変化する上記対象設備の信号系列を取得する信号系列取得手段と、上記対象設備の信号系列と設備状態の対応関係を記録している対応関係記録手段と、上記対応関係記録手段に記録されている対応関係を参照して、上記信号系列取得手段により取得された信号系列に対応する設備状態を特定する設備状態特定手段と、上記設備状態特定手段により特定された設備状態の遷移を解析して、上記対象設備に行われた操作の項目を検出し、その検出結果から操作項目の実施順序を特定する実施順序特定手段とを備えた操作項目特定装置。
  2. 対象設備に対する操作に伴って変化する上記対象設備の信号系列を取得する信号系列取得手段と、上記対象設備の信号系列と設備状態の対応関係を記録している対応関係記録手段と、上記対応関係記録手段に記録されている対応関係を参照して、上記信号系列取得手段により取得された信号系列に対応する設備状態を特定する設備状態特定手段と、上記設備状態特定手段により特定された設備状態の遷移を解析して、上記対象設備に行われた操作の項目を検出し、その検出結果から操作項目の実施順序を特定する実施順序特定手段と、上記実施順序特定手段により特定された操作項目の実施順序と上記操作項目の内容を示す作業基準を生成する作業基準生成手段とを備えた作業基準生成装置。
  3. 実施順序特定手段は、予め、各種の操作項目に対応する設備状態の遷移パターンが規定されている場合、設備状態特定手段により特定された設備状態の遷移を解析して、複数の遷移パターンの中から、上記設備状態の遷移を表している遷移パターンを検索し、上記遷移パターンに対応する操作項目が上記対象設備に行われた操作項目であると認定することを特徴とする請求項2記載の作業基準生成装置。
  4. 実施順序特定手段は、Aho−Corasick法を用いて、設備状態の遷移を表している遷移パターンを検索する場合、予め規定されている遷移パターンが非決定性有限オートマトンの形式で記述されていれば、上記遷移パターンを決定性有限オートマトンの形式に変換することを特徴とする請求項3記載の作業基準生成装置。
  5. 実施順序特定手段は、複数の操作項目に対応する設備状態の遷移が等しい場合、複数の操作項目の間にある出現順序に関する関係を考慮して、どの操作項目が行われたかを検出することを特徴とする請求項2から請求項4のうちのいずれか1項記載の作業基準生成装置。
  6. 信号系列取得手段は、対象設備に対する操作が完了するまで取得済みの信号系列を保持し、上記操作が完了した時点で、取得済みの信号系列を設備状態特定手段に出力することを特徴とする請求項2から請求項5のうちのいずれか1項記載の作業基準生成装置。
  7. 信号系列取得手段は、対象設備の信号系列が変化する毎に、上記対象設備の信号系列を取得して、上記信号系列を設備状態特定手段に出力することを特徴とする請求項2から請求項5のうちのいずれか1項記載の作業基準生成装置。
  8. 信号系列取得手段が、対象設備に対する操作に伴って変化する上記対象設備の信号系列を取得する信号系列取得処理ステップと、設備状態特定手段が、上記対象設備の信号系列と設備状態の対応関係を記録しているテーブルを参照して、上記信号系列取得処理ステップで取得された信号系列に対応する設備状態を特定する設備状態特定処理ステップと、実施順序特定手段が、上記設備状態特定処理ステップで特定された設備状態の遷移を解析して、上記対象設備に行われた操作の項目を検出し、その検出結果から操作項目の実施順序を特定する実施順序特定処理ステップとを備えた操作項目特定方法。
  9. 信号系列取得手段が、対象設備に対する操作に伴って変化する上記対象設備の信号系列を取得する信号系列取得処理ステップと、設備状態特定手段が、上記対象設備の信号系列と設備状態の対応関係を記録しているテーブルを参照して、上記信号系列取得処理ステップで取得された信号系列に対応する設備状態を特定する設備状態特定処理ステップと、実施順序特定手段が、上記設備状態特定処理ステップで特定された設備状態の遷移を解析して、上記対象設備に行われた操作の項目を検出し、その検出結果から操作項目の実施順序を特定する実施順序特定処理ステップと、作業基準生成手段が、上記実施順序特定処理ステップで特定された操作項目の実施順序と上記操作項目の内容を示す作業基準を生成する作業基準生成処理ステップとを備えた作業基準生成方法。
JP2010275894A 2010-12-10 2010-12-10 操作項目特定装置、操作項目特定方法、作業基準生成装置及び作業基準生成方法 Expired - Fee Related JP5733965B2 (ja)

Priority Applications (1)

Application Number Priority Date Filing Date Title
JP2010275894A JP5733965B2 (ja) 2010-12-10 2010-12-10 操作項目特定装置、操作項目特定方法、作業基準生成装置及び作業基準生成方法

Applications Claiming Priority (1)

Application Number Priority Date Filing Date Title
JP2010275894A JP5733965B2 (ja) 2010-12-10 2010-12-10 操作項目特定装置、操作項目特定方法、作業基準生成装置及び作業基準生成方法

Publications (2)

Publication Number Publication Date
JP2012123732A true JP2012123732A (ja) 2012-06-28
JP5733965B2 JP5733965B2 (ja) 2015-06-10

Family

ID=46505080

Family Applications (1)

Application Number Title Priority Date Filing Date
JP2010275894A Expired - Fee Related JP5733965B2 (ja) 2010-12-10 2010-12-10 操作項目特定装置、操作項目特定方法、作業基準生成装置及び作業基準生成方法

Country Status (1)

Country Link
JP (1) JP5733965B2 (ja)

Cited By (2)

* Cited by examiner, † Cited by third party
Publication number Priority date Publication date Assignee Title
JP2022003493A (ja) * 2020-06-23 2022-01-11 株式会社日立製作所 解析装置、解析方法及びコンピュータプログラム
JPWO2023112168A1 (ja) * 2021-12-14 2023-06-22

Non-Patent Citations (1)

* Cited by examiner, † Cited by third party
Title
JPN6014031979; 齊藤 啓太 , 鈴木 清彦 , 小貫 淳史: '作業手順モデルに基づいた実施作業推定手法' 全国大会講演論文集 第72回平成22年(4) , 20100308, 一般社団法人情報処理学会 *

Cited By (4)

* Cited by examiner, † Cited by third party
Publication number Priority date Publication date Assignee Title
JP2022003493A (ja) * 2020-06-23 2022-01-11 株式会社日立製作所 解析装置、解析方法及びコンピュータプログラム
JP7502096B2 (ja) 2020-06-23 2024-06-18 株式会社日立製作所 解析装置、解析方法及びコンピュータプログラム
JPWO2023112168A1 (ja) * 2021-12-14 2023-06-22
JP7687445B2 (ja) 2021-12-14 2025-06-03 日本電信電話株式会社 抽出装置、抽出方法および抽出プログラム

Also Published As

Publication number Publication date
JP5733965B2 (ja) 2015-06-10

Similar Documents

Publication Publication Date Title
CN112733156B (zh) 基于代码属性图的软件脆弱性智能检测方法、系统及介质
KR101617696B1 (ko) 데이터 정규표현식의 마이닝 방법 및 장치
CN108829607A (zh) 一种基于卷积神经网络的软件缺陷预测方法
CN104407872B (zh) 代码克隆的检测方法
JP2009099124A (ja) データ構築方法とシステム
CN111898134A (zh) 基于LSTM和BiLSTM的智能合约漏洞检测方法和装置
CN115828180A (zh) 一种基于解析优化和时序卷积网络的日志异常检测方法
JP7031627B2 (ja) 解析装置、解析方法、及び解析プログラム
CN110007906B (zh) 脚本文件的处理方法、装置和服务器
CN114039758A (zh) 一种基于事件检测模式的网络安全威胁识别方法
CN105117771B (zh) 一种基于关联规则有向无环图的农机故障识别方法
CN107679402A (zh) 恶意代码行为特征提取方法
CN117574383A (zh) 一种基于特征融合和代码可视化技术的软件漏洞检测模型的方法
CN107704235A (zh) 图形化建模中数据流程图的解析方法、系统及存储介质
CN117792882A (zh) 基于大语言模型辅助的通信网络故障日志分析方法
JP2018132965A (ja) 障害解析プログラム、障害解析装置及び障害解析方法
CN113535594B (zh) 业务场景测试用例的生成方法、装置、设备和存储介质
CN118296612A (zh) 一种基于序列和图双通道模型的源代码漏洞检测方法
CN109240903A (zh) 一种自动评估的方法和装置
JP5733965B2 (ja) 操作項目特定装置、操作項目特定方法、作業基準生成装置及び作業基準生成方法
CN114461521A (zh) 一种基于状态机的plc软件测试用例生成方法和系统
CN116663019B (zh) 一种源代码漏洞检测方法、装置和系统
CN118333381A (zh) 一种基于大数据的智慧工地施工数据分析方法及系统
CN113407495A (zh) 一种基于simhash的文件相似度判定方法及系统
JP3139459B2 (ja) 並列分散システムのデバッグ装置及びデバッグ方法

Legal Events

Date Code Title Description
A621 Written request for application examination

Free format text: JAPANESE INTERMEDIATE CODE: A621

Effective date: 20131008

A977 Report on retrieval

Free format text: JAPANESE INTERMEDIATE CODE: A971007

Effective date: 20140723

A131 Notification of reasons for refusal

Free format text: JAPANESE INTERMEDIATE CODE: A131

Effective date: 20140805

A521 Request for written amendment filed

Free format text: JAPANESE INTERMEDIATE CODE: A523

Effective date: 20141001

TRDD Decision of grant or rejection written
A01 Written decision to grant a patent or to grant a registration (utility model)

Free format text: JAPANESE INTERMEDIATE CODE: A01

Effective date: 20150317

A61 First payment of annual fees (during grant procedure)

Free format text: JAPANESE INTERMEDIATE CODE: A61

Effective date: 20150414

R150 Certificate of patent or registration of utility model

Ref document number: 5733965

Country of ref document: JP

Free format text: JAPANESE INTERMEDIATE CODE: R150

R250 Receipt of annual fees

Free format text: JAPANESE INTERMEDIATE CODE: R250

R250 Receipt of annual fees

Free format text: JAPANESE INTERMEDIATE CODE: R250

R250 Receipt of annual fees

Free format text: JAPANESE INTERMEDIATE CODE: R250

R250 Receipt of annual fees

Free format text: JAPANESE INTERMEDIATE CODE: R250

R250 Receipt of annual fees

Free format text: JAPANESE INTERMEDIATE CODE: R250

S533 Written request for registration of change of name

Free format text: JAPANESE INTERMEDIATE CODE: R313533

R350 Written notification of registration of transfer

Free format text: JAPANESE INTERMEDIATE CODE: R350

R250 Receipt of annual fees

Free format text: JAPANESE INTERMEDIATE CODE: R250

R250 Receipt of annual fees

Free format text: JAPANESE INTERMEDIATE CODE: R250

LAPS Cancellation because of no payment of annual fees