EP2325009B1 - Verfahren zur Bestimmung von Voreinstellwerten für ein Farbwerk eines Druckwerks einer Druckmaschine - Google Patents
Verfahren zur Bestimmung von Voreinstellwerten für ein Farbwerk eines Druckwerks einer Druckmaschine Download PDFInfo
- Publication number
- EP2325009B1 EP2325009B1 EP10014596A EP10014596A EP2325009B1 EP 2325009 B1 EP2325009 B1 EP 2325009B1 EP 10014596 A EP10014596 A EP 10014596A EP 10014596 A EP10014596 A EP 10014596A EP 2325009 B1 EP2325009 B1 EP 2325009B1
- Authority
- EP
- European Patent Office
- Prior art keywords
- test
- ink
- printing
- adjusting
- Prior art date
- Legal status (The legal status is an assumption and is not a legal conclusion. Google has not performed a legal analysis and makes no representation as to the accuracy of the status listed.)
- Not-in-force
Links
- 238000000034 method Methods 0.000 title claims abstract description 23
- 238000007639 printing Methods 0.000 claims description 99
- 239000007787 solid Substances 0.000 claims description 34
- 239000000758 substrate Substances 0.000 claims description 11
- 230000001419 dependent effect Effects 0.000 claims description 10
- 239000000976 ink Substances 0.000 description 70
- 239000000463 material Substances 0.000 description 3
- 230000003287 optical effect Effects 0.000 description 3
- 238000010276 construction Methods 0.000 description 1
- 230000007423 decrease Effects 0.000 description 1
- 238000007645 offset printing Methods 0.000 description 1
- 239000003973 paint Substances 0.000 description 1
- 238000001721 transfer moulding Methods 0.000 description 1
Images
Classifications
-
- B—PERFORMING OPERATIONS; TRANSPORTING
- B41—PRINTING; LINING MACHINES; TYPEWRITERS; STAMPS
- B41F—PRINTING MACHINES OR PRESSES
- B41F33/00—Indicating, counting, warning, control or safety devices
- B41F33/0036—Devices for scanning or checking the printed matter for quality control
-
- B—PERFORMING OPERATIONS; TRANSPORTING
- B41—PRINTING; LINING MACHINES; TYPEWRITERS; STAMPS
- B41F—PRINTING MACHINES OR PRESSES
- B41F31/00—Inking arrangements or devices
- B41F31/02—Ducts, containers, supply or metering devices
- B41F31/04—Ducts, containers, supply or metering devices with duct-blades or like metering devices
- B41F31/045—Remote control of the duct keys
-
- B—PERFORMING OPERATIONS; TRANSPORTING
- B41—PRINTING; LINING MACHINES; TYPEWRITERS; STAMPS
- B41F—PRINTING MACHINES OR PRESSES
- B41F33/00—Indicating, counting, warning, control or safety devices
- B41F33/0036—Devices for scanning or checking the printed matter for quality control
- B41F33/0045—Devices for scanning or checking the printed matter for quality control for automatically regulating the ink supply
-
- B—PERFORMING OPERATIONS; TRANSPORTING
- B41—PRINTING; LINING MACHINES; TYPEWRITERS; STAMPS
- B41P—INDEXING SCHEME RELATING TO PRINTING, LINING MACHINES, TYPEWRITERS, AND TO STAMPS
- B41P2233/00—Arrangements for the operation of printing presses
- B41P2233/10—Starting-up the machine
- B41P2233/11—Pre-inking
Definitions
- the invention relates to a method for determining preset values for an inking unit of a printing unit according to the preamble of claim 1.
- a printing unit of a printing press has a forme cylinder, a transfer cylinder, an inking unit and possibly a dampening unit. At least one printing plate is positioned on the forme cylinder, it being possible with the aid of the inking unit to apply printing ink and, with the aid of the dampening unit, fountain solution to the or each printing plate positioned on the forme cylinder.
- the printing ink is transferred to a transfer cylinder, namely at least one transfer mold positioned on the transfer cylinder, wherein the transfer cylinder ultimately applies the printing ink to a printing material to be printed.
- a printing unit is also referred to as an offset printing unit.
- the forme cylinder is also referred to as a plate cylinder and the transfer cylinder as a rubber cylinder. With such a printing unit, several printed pages are printed next to one another on a printing substrate in the case of a web-fed printing press in the axial direction.
- the inking unit of a printing unit has an ink reservoir for printing ink, which is assigned to several ink zone positioning elements.
- the ink reservoir for printing ink is also called ink fountain.
- the Farbzonenstellelemente which are also referred to as a color slider or color meter, are positioned next to each other in the axial direction, with the aid of Farbzonenstellelemente for each ink zone of the inking unit ink can be applied individually to a color ink tank downstream inking roller.
- This inking roller is a ductor roller.
- the ductor roller is followed by either a film roller or a lifting roller, which decreases the ink from the ductor roller and transfers to at least one of the film roller or the vibrating roller downstream inking roller.
- a film roller or a lifting roller which decreases the ink from the ductor roller and transfers to at least one of the film roller or the vibrating roller downstream inking roller.
- About the or each of the film roll or the squeegee roller downstream inking roller finally reaches the ink on a printing plate, which is located on a forme cylinder.
- Ink units of web-fed printing presses are typically designed as film-roll inking units, whereas inking units of sheet-fed printing machines are typically designed as lift-roller inking units.
- preset values are determined for the inking units of the printing press involved in the printing.
- the practice for each participating in the printing of the new print job inking unit of the printing press proceeded so that first depending on the average area coverage value and depending on the maximum area coverage of all involved in the printing of a print job to be printed color zones of the respective inking as the first preset value of the inking a Target speed for the ductor roller of the respective inking unit is determined, and then depending on the first Voreinstellwert or the target speed for the ductor roller and depending on the individual area coverage value of each ink zone of the print job to be printed as second preset values of the inking unit for each ink zone, an open position of the ink fountain element respective color zone is determined.
- specific characteristics or basic settings of the printing machine and the consumables such as e.g. of the printing substrate and the printing ink are disregarded, so that the determined preset values are not matched
- the present invention is based on the problem to provide a method for determining more accurate default values for an inking unit of a printing unit of a printing press. This problem is solved by a method according to claim 1.
- the procedure for determining the second presetting values of the inking unit is such that in advance from a test print carried out on the printing press for at least two solid areas printed with the inking unit, a mean value of open positions of the test print of the respective solid surface, ensuring a predetermined desired density color ink actuators and a speed of the ductor roller used for the test pressure is determined, and that the second Voreinstellept the inking unit for many, in particular all, possible duct speeds and area coverage values are calculated depending on these averages of the test pressure and this speed of the ductor roller.
- test pressure is dependent on the type of printing material to be used later on the printing press and / or transfer molding type and / or printing plate type, so that the presetting values determined according to the invention are dependent on specific properties or basic settings of the printing press and the consumables and thus more accurate.
- Fig. 1 shows a schematic representation of a designed as a web press printing machine 10, wherein from the printing machine 10, a substructure 11, roll changer 12, two towers 13, 14, each with two superimposed pressure units 15, a web guide 16, a turning and folding structure 17 and a folding apparatus 18th are shown.
- Each printing unit 15 of the two printing towers 13 has four printing units 19.
- Each printing unit 19 has according to Fig. 2
- two transfer cylinders 21 of two printing units 19 positioned horizontally next to one another roll to form a printing nip for a printing material 24 to be printed on, forming a printing nip 20.
- On the forme cylinder 20 at least one printing forme and on the transfer cylinder 21 at least one transfer mold is arranged.
- the forme cylinder 20 of a printing unit 19 is also referred to as a plate cylinder and the transfer cylinder 21 is also referred to as a blanket cylinder.
- the inking unit 22 ink and with the help of dampening 23 fountain solution is applied to the or each on the forme cylinder 20 positioned printing form, wherein the forme cylinder 20 transfers the ink to the or each positioned on the transfer cylinder transfer mold, which ultimately the ink on the printing substrate 24 transmits.
- the inking unit 22 comprises an ink fountain 25, which forms an ink reservoir for printing ink 26, wherein the ink fountain 25 is followed by a ductor roller 27.
- the inking unit 22 has a plurality of ink zone adjusting elements 28, which are designed as a paint slide or ink knife. With the aid of the ink zone setting elements 28, a quantity of ink transferred per ink zone from the ink fountain 25 to the ink fountain roller 27 can be set. The greater a gap is formed between a ink zone actuator 28 and the ductor roller 27, the greater the amount of ink transferred from the ink fountain 25 to the ductor roller 27 for that ink zone.
- each ink zone actuator 28 is associated with an actuator 29 through which the ink zone actuators 28 can be displaced to change the gap between them and the fountain roller 27.
- the ductor roller 27 is a roller train 30 arranged downstream of a plurality of inking unit rollers, wherein in the illustrated embodiment of Fig. 2 the roller duct 27 immediately downstream roller 31 of the drum roller is designed as a film roller.
- the present invention now relates to a method by means of which, for example, for such an inking unit 22 preset values for the ink fountain roller 27 and the ink zone setting elements 28 of the inking unit can be determined in order to be able to ensure good printing results when recording a new print job.
- a target rotational speed D for the ink fountain roller 27 is determined, for example using the following table:
- the average area coverage value F MEDIUM is preferably the arithmetic mean of the area coverage values of the color zones of the inking unit 22 involved in the printing of the new print job.
- an opening position of the ink zone setting element 28 of the respective ink zone is subsequently determined as the second presetting values of the inking unit 22 for each ink zone, depending on the individual area coverage values f certainly.
- the procedure is such that a test pressure is carried out in advance on the printing press.
- the first area coverage value f TEST.1 is the lower area coverage value of a first full-tone area
- the second area coverage value f TEST, 2 is the higher area coverage value of a second full-area area.
- the area coverage value f TEST, 1 for the first solid surface may be 5% and the area coverage value f TEST , 2 for the second solid surface may be 20%.
- the printed solid areas are measured densitometrically and the ink zone adjustment elements 28 are set so that the desired density is maintained in both solid surfaces.
- the target density to be maintained depends, in particular, on whether the printing press is used for a newsprint or commercial printing or for a semi-commercial printing or another printing process.
- the target optical density according to DIN ISO 12647-3 for newsprint measured with ISO Status E must be 0.9 for both the cyan, magenta and yellow inks and 1.1 for the black ink. In commercial printing and other printing processes, other nominal densities may be specified.
- the respective solid surfaces extend in the axial direction or transversely to the transport direction of a print substrate to be printed in each case over several, namely over many, ink zones 32 and thus Farbzonenstellelemente 28, the solid surfaces of the test print seen in the transport direction of the printed substrate to be printed in the test be printed in a different width.
- the first solid areas having the first, low areal coverage values f TEST, 1 have a smaller width seen in the transport direction of the printing substrate than the second solid areas having the second, higher area coverage values f TEST, 2 .
- the speed used in the test pressure D TEST of the ductor roller 27 is determined, which is operated to the test pressure, preferably in the so-called setup speed of the printing press.
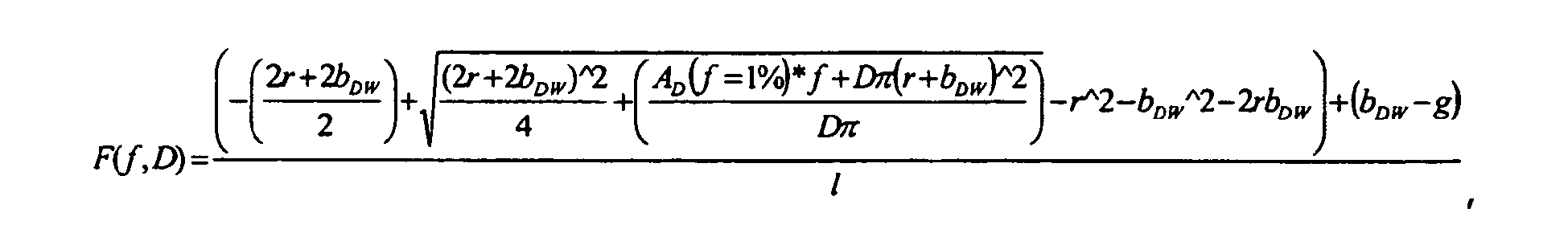
- F (f, D) is an opening position to be determined as a second preset value Farbzonenstellelements 28 of the inking unit, where f is dependent on the print job, variable area coverage value of the inking zone of the respective Farbzonenstellelements 28, where D is the set as the first preset value target speed for the ink fountain roller 27th of the inking unit, where r (see Fig. 2 ) is the constant radius of the ductor roller 27, where g (see also Fig.
- D TEST is the speed of the ductor roller 27 during the test print
- f TEST, 2 is the areal coverage of the second solid surface printed in the test print having the higher areal coverage
- a is the color gamut gap effective for ink transfer.
- I is the adjustment path of the ink zone setting elements 28 at 1% adjustment thereof at the printing machine control station
- b DW n * l + G .
- F f F f TEST . 2 - F f TEST . 1 f TEST . 2 - f TEST . 1 * f + n .
- the following table shows examples of an inking unit as second preset values F (f, D) of the inking unit 22 according to the invention determined opening positions for the ink zone setting elements 28 of the respective inking unit.
- This determination of the second presetting values F (f, D) can be carried out for each ink involved in the printing and thus for each inking unit involved in the printing, the test print being dependent on the type of printing substrate to be used later on the printing press and / or on the ink type and / or depending on the type of transfer and / or depending on the type of printing plate.
- the determined second presetting values F (f, D) are dependent on specific properties or basic settings of the printing press and the consumables and therefore more accurately than previously presettable preset values.
- the invention with reference to the Fig. 1 to 3 has been described using the example of an inking unit designed as a film roller inking unit, the invention is not limited to such inking units. Rather, the invention can also be used in other inking units, such as in squeegee inking units and in inking units, the ink fountain key elements are not designed as a color slider or as a colorimeter but as a color nozzles. In the case of a squeegee roller inking unit, the so-called lifter frequency of the siphon roller merely has to be taken into account as a further parameter for calculating the second presetting values F (f, D) of the inking unit.
Landscapes
- Engineering & Computer Science (AREA)
- Quality & Reliability (AREA)
- Inking, Control Or Cleaning Of Printing Machines (AREA)
Description
- Die Erfindung betrifft ein Verfahren zur Bestimmung von Voreinstellwerten für ein Farbwerk eines Druckwerks gemäß dem Oberbegriff des Anspruchs 1.
- Ein Druckwerk einer Druckmaschine verfügt über einen Formzylinder, einen Übertragungszylinder, ein Farbwerk sowie gegebenenfalls ein Feuchtwerk. Auf dem Formzylinder ist mindestens eine Druckform positioniert, wobei mit Hilfe des Farbwerks Druckfarbe und mit Hilfe des Feuchtwerks Feuchtmittel auf die oder jede auf dem Formzylinder positionierte Druckform aufgetragen werden kann. Ausgehend vom Formzylinder wird die Druckfarbe auf einen Übertragungszylinder, nämlich mindestens eine auf dem Übertragungszylinder positionierte Übertragungsform übertragen, wobei der Übertragungszylinder letztendlich die Druckfarbe auf einen zu bedruckenden Bedruckstoff aufträgt. Ein derartiges Druckwerk wird auch als Offsetdruckwerk bezeichnet. Der Formzylinder wird auch als Plattenzylinder und der Übertragungszylinder auch als Gummizylinder bezeichnet. Mit einem solchen Druckwerk werden bei einer Rollendruckmaschine in Axialrichtung gesehen mehrere Druckseiten nebeneinander auf einen Bedruckstoff gedruckt.
- Das Farbwerk eines Druckwerks verfügt über einen Farbvorratsbehälter für Druckfarbe, dem mehrere Farbzonenstellelemente zugeordnet sind. Der Farbvorratsbehälter für Druckfarbe wird auch als Farbkasten bezeichnet. Die Farbzonenstellelemente, die auch als Farbschieber bzw. Farbmesser bezeichnet werden, sind in Axialrichtung nebeneinander positioniert, wobei mit Hilfe der Farbzonenstellelemente für jede Farbzone des Farbwerks Druckfarbe individuell auf eine dem Farbvorratsbehälter nachgeordnete Farbwerkwalze aufgetragen werden kann. Bei dieser Farbwerkwalze handelt es sich um eine Duktorwalze.
- Der Duktorwalze ist entweder eine Filmwalze oder eine Heberwalze nachgeordnet, welche die Druckfarbe von der Duktorwalze abnimmt und auf mindestens eine der Filmwalze oder der Heberwalze nachgeordnete Farbwerkwalze überträgt. Über die oder jede der Filmwalze oder der Heberwalze nachgeordnete Farbwerkwalze gelangt die Druckfarbe letztendlich auf eine Druckform, die sich auf einem Formzylinder befindet. Farbwerke von Rollendruckmaschinen sind typischerweise als Filmwalzenfarbwerke ausgebildet, wohingegen Farbwerke von Bogendruckmaschinen typischerweise als Heberwalzenfarbwerke ausgebildet sind.
- Um unmittelbar bei Druckbeginn eines neuen Druckauftrags gute Druckergebnisse bereitzustellen, werden Voreinstellwerte für die am Druck beteiligten Farbwerke der Druckmaschine ermittelt. Dabei wird nach der Praxis für jedes am Druck des neuen Druckauftrags beteiligte Farbwerk der Druckmaschine so vorgegangen, dass zunächst abhängig von dem durchschnittlichen Flächendeckungswert und abhängig von dem maximalen Flächendeckungswert aller am Druck eines zu druckenden Druckauftrags beteiligten Farbzonen des jeweiligen Farbwerks als erster Voreinstellwert des Farbwerks eine Solldrehzahl für die Duktorwalze des jeweiligen Farbwerks bestimmt wird, und dass anschließend abhängig von dem ersten Voreinstellwert bzw. der Solldrehzahl für die Duktorwalze und abhängig von dem individuellen Flächendeckungswert jeder Farbzone des zu druckenden Druckauftrags als zweite Voreinstellwerte des Farbwerks für jede Farbzone eine Öffnungsstellung des Farbzonenstellelements der jeweiligen Farbzone bestimmt wird. Dabei bleiben jedoch nach der Praxis spezifische Eigenschaften bzw. Grundeinstellungen der Druckmaschine und der Verbrauchsmaterialen wie z.B. des Bedruckstoffs und der Druckfarbe unberücksichtigt, so dass die ermittelten Voreinstellwerte nicht auf die konkreten Druckbedingungen abgestimmt sind.
- Hiervon ausgehend liegt der vorliegenden Erfindung das Problem zugrunde, ein Verfahren zur Bestimmung von genaueren Voreinstellwerten für ein Farbwerk eines Druckwerks einer Druckmaschine bereitzustellen. Dieses Problem wird durch ein Verfahren gemäß Anspruch 1 gelöst.
- Erfindungsgemäß wird zur Bestimmung der zweiten Voreinstellwerte des Farbwerks so vorgegangen, dass vorab aus einem auf der Druckmaschine ausgeführten Testdruck für mindestens zwei mit dem Farbwerk gedruckte, unterschiedliche Flächendeckungswerte aufweisende Volltonflächen jeweils ein Mittelwert von Öffnungsstellungen der am Testdruck der jeweiligen Volltonfläche unter Gewährleistung einer vorgegebenen Solldichte der jeweiligen Volltonfläche beteiligten Farbzonenstellelemente und eine zum Testdruck verwendete Drehzahl der Duktorwalze bestimmt wird, und dass abhängig von diesen Mittelwerten des Testdrucks und dieser Drehzahl der Duktorwalze im Testdruck die zweiten Voreinstellwerte des Farbwerks für viele, insbesondere alle, möglichen Duktordrehzahlen und Flächendeckungswerte errechnet werden.
- Der Testdruck erfolgt abhängig vom später auf der Druckmaschine zu verwendenden Bedruckstofftyp und/oder Druckfarbetyp und/oder Übertragungsformtyp und/oder Druckformtyp, sodass die erfindungsgemäß ermittelten Voreinstellwerte von spezifischen Eigenschaften bzw. Grundeinstellungen der Druckmaschine und der Verbrauchsmaterialen abhängig und damit genauer sind.
- Bevorzugte Weiterbildungen der Erfindung ergeben sich aus den Unteransprüchen und der nachfolgenden Beschreibung. Ausführungsbeispiele der Erfindung werden, ohne hierauf beschränkt zu sein, an Hand der Zeichnung näher erläutert. Dabei zeigt:
- Fig. 1:
- eine schematisierte Ansicht einer als Rollendruckmaschine ausge- bildeten Druckmaschine;
- Fig. 2:
- eine schematisierte Ansicht eines Druckwerks der Druckmaschine der
Fig. 1 ; und - Fig. 3:
- eine schematisierte Darstellung eines beim erfindungsgemäßen Verfahren hergestellten Testdrucks.
-
Fig. 1 zeigt eine schematisierte Darstellung einer als Rollendruckmaschine ausgebildeten Druckmaschine 10, wobei von der Druckmaschine 10 ein Unterbau 11, Rollenwechsler 12, zwei Drucktürme 13, 14 mit jeweils zwei übereinander angeordneten Druckeinheiten 15, eine Bahnführung 16, ein Wende- und Falzaufbau 17 sowie ein Falzapparat 18 gezeigt sind. Jede Druckeinheit 15 der beiden Drucktürme 13 verfügt über vier Druckwerke 19. Jedes Druckwerk 19 verfügt gemäßFig. 2 über einen Formzylinder 20, einen Übertragungszylinder 21, ein Farbwerk 22 sowie vorzugsweise ein Feuchtwerk 23. µIm gezeigten Ausführungsbeispiel rollen zwei Übertragungszylinder 21 von zwei horizontal nebeneinander positionierten Druckwerken 19 unter Ausbildung eines Druckspalts für einen zu bedruckenden Bedruckstoff 24 aufeinander ab. Auf dem Formzylinder 20 ist mindestens eine Druckform und auf dem Übertragungszylinder 21 mindestens eine Übertragungsform angeordnet. Der Formzylinder 20 eines Druckwerks 19 wird auch als Plattenzylinder und der Übertragungszylinder 21 wird auch als Gummizylinder bezeichnet. Mit Hilfe des Farbwerks 22 wird Druckfarbe und mit Hilfe des Feuchtwerks 23 Feuchtmittel auf die oder jede auf dem Formzylinder 20 positionierte Druckform aufgetragen, wobei der Formzylinder 20 die Druckfarbe auf die oder jede auf dem Übertragungszylinder positionierte Übertragungsform überträgt, der letztendlich die Druckfarbe auf den zu bedruckenden Bedruckstoff 24 überträgt. - Gemäß
Fig. 2 umfasst das Farbwerk 22 einen Farbkasten 25, der einen Farbvorratsbehälter für Druckfarbe 26 ausbildet, wobei dem Farbkasten 25 eine Duktorwalze 27 nachgeordnet ist. Zusätzlich zum Farbvorratsbehälter bzw. Farbkasten 25 und der Duktorwalze 27 verfügt das Farbwerk 22 über mehrere Farbzonenstellelemente 28, die als Farbschieber bzw. Farbmesser ausgebildet sind. Mit Hilfe der Farbzonenstellelemente 28 kann eine je Farbzone aus dem Farbkasten 25 auf die Duktorwalze 27 übertragene Farbmenge eingestellt werden. Je größer ein Spalt zwischen einem Farbzonenstellelement 28 und der Duktorwalze 27 ausgebildet ist, desto größer ist die für diese Farbzone vom Farbkasten 25 auf die Duktorwalze 27 übertragene Farbmenge. - Zur einstellung des spalts zwischen den farbzonenstellelementen 28 und der Duktorwalze 27 ist jedem Farbzonenstellelement 28 ein Aktuator 29 zugeordnet, über welchen die Farbzonenstellelemente 28 zur Veränderung des Spalts zwischen denselben und der Duktorwalze 27 verlagert werden können. Der Duktorwalze 27 ist ein Walzenzug 30 aus mehreren Farbwerkwalzen nachgeordnet, wobei im gezeigten Ausführungsbeispiel der
Fig. 2 die der Duktorwalze 27 unmittelbar nachgeordnete Walze 31 des Walzenzugs als Filmwalze ausgeführt ist. - Die hier vorliegende Erfindung betrifft nun ein Verfahren, mit Hilfe dessen zum Beispiel für ein solches Farbwerk 22 Voreinstellwerte für die Duktorwalze 27 und die Farbzonenstellelemente 28 des Farbwerks ermittelt werden können, um bei unmittelbar bei Aufnahme eine neuen Druckauftrags gute Druckergebnisse gewährleisten zu können.
- Als erster Voreinstellwert für das jeweilige Farbwerk 22 wird abhängig von dem durchschnittlichen Flächendeckungswert fMITTEL und abhängig von dem maximalen Flächendeckungswert fMAX aller am Druck des neuen Druckauftrags beteiligten Farbzonen des Farbwerks 22 eine Solldrehzahl D für die Duktorwalze 27 bestimmt, und zwar zum Beispiel unter Verwendung der nachfolgenden Tabelle:
Beim durchschnittlichen Flächendeckungswert FMITTEL handelt es sich vorzugsweise um den arithmetischen Mittelwert der Flächendeckungswerte fder am Druck des neuen Druckauftrags beteiligten Farbzonen des Farbwerks 22. - Unter Verwendung der so als ersten Voreinstellwert ermittelten Solldrehzahl D für die Duktorwalze 27 des Farbwerks 22 wird nachfolgend abhängig von den individuellen Flächendeckungswerten f jeder am Druck des neuen Druckauftrags beteiligten Farbzone als zweite Voreinstellwerte des Farbwerks 22 für jede Farbzone eine Öffnungsstellung des Farbzonenstellelements 28 der jeweiligen Farbzone bestimmt.
- Hierzu wird so vorgegangen, dass vorab auf der Druckmaschine ein Testdruck ausgeführt wird. Bei dem Testdruck werden unter Beteiligung des Farbwerks 22, für welches auf Grundlage des Testdrucks die zweiten Voreinstellwerte bestimmt werden sollen, mindestens zwei Volltonflächen in der jeweiligen Druckfarbe des jeweiligen Farbwerks mit unterschiedlichen Flächendeckungswerten f=fTEST,1 und f=TEST,2 gedruckt, wobei es sich bei dem ersten Flächendeckungswert fTEST.1 um den niedrigeren Flächendeckungswert einer ersten Volltonfläche und bei dem zweiten Flächendeckungswert fTEST,2 um den höheren Flächendeckungswert einer zweiten Volltonfläche handelt.
- Als Flächendeckungswert fTEST,1 für die erste Volltonfläche kann zum Beispiel 5% und als Flächendeckungswert fTEST,2 für die zweite Volltonfläche kann zum Beispiel 20% verwendet werden.
- Es ist jedoch auch möglich, andere Flächendeckungswerte f=fTEST,1 und f=fTEST,2 für Testdruck zu wählen, so zum Beispiel 7% als Flächendeckungswert f=fTEST,1 für die erste Volltonfläche und zum Beispiel 35% als Flächendeckungswert fTEST,2 für die zweite Volltonfläche.
- Beim Testdruck werden die Farbzonenstellelemente 28 des Farbwerks 22 so eingestellt, dass beide Volltonflächen mit den unterschiedlichen Flächendeckungswerten f=fTEST,1, f=TEST,2 unter Gewährleistung einer vorgegebenen optischen Solldichte gedruckt werden. Hierzu werden die gedruckten Volltonflächen densitometrisch vermessen und die Farbzonenstellelemente 28 so eingestellt, dass die Solldichte in beiden Volltonflächen eingehalten wird.
- Die einzuhaltende Solldichte ist insbesondere davon abhängig, ob die Druckmaschine einem Zeitungsdruck oder Akzidenzdruck oder einem Semicommercialdruck oder einem anderen Druckverfahren dient.
- Beim Zeitungsdruck ist als optische Solldichte nach DIN ISO 12647-3 für Zeitungspapier gemessen mit ISO Status E für die Druckfarben Cyan, Magenta und Gelb jeweils 0,9 und für die Druckfarbe Schwarz 1,1 einzuhalten. Beim Akzidenzdruck und anderen Druckverfahren können andere Solldichten vorgegeben sein.
-
Fig. 3 zeigt exemplarisch ein unter Beteiligung von vier Farbwerken gedrucktes Testdruckexemplar 33, wobei im Testdruck für vier Farbwerke jeweils in der jeweiligen Druckfarbe Cyan, Magenta, Gelb und Schwarz zwei Volltonflächen mit unterschiedlichen Flächendeckungswert fTEST,1 und f=TEST,2 gedruckt werden, nämlich derart, dass die jeweiligen Solldichten eingehalten werden. - Gemäß
Fig. 3 erstrecken sich dabei die jeweiligen Volltonflächen in Axialrichtung bzw. quer zur Transportrichtung eines im Testdruck zu bedruckenden Bedruckstoffs gesehen jeweils über mehrere, nämlich über möglicht viele, Farbzonen 32 und damit Farbzonenstellelemente 28, wobei die Volltonflächen des Testdrucks in Transportrichtung des im Testdruck zu bedruckenden Bedruckstoffs gesehen in einer unterschiedlichen Breite gedruckt werden. Die ersten Volltonflächen mit den ersten, niedrigen Flächendeckungswerten fTEST,1 verfügen dabei in Transportrichtung des bedruckenden Bedruckstoffs gesehen über eine geringere Breite als die zweiten Volltonflächen mit den zweiten, höheren Flächendeckungswerten fTEST,2. - Für die jeweiligen im Testdruck unter Einhaltung der jeweiligen optischen Solldichte gedruckten Volltönflächen werden dann Mittelwerte F(f=fTEST,1) und F(f=fTEST,2) von Öffnungsstellungen der am Testdruck der jeweiligen Volltonfläche unter Gewährleistung der jeweiligen vorgegebenen Solldichte der jeweiligen Volltonfläche beteiligten Farbzonenstellelemente 28 ermittelt.
- Ebenso wird die im Testdruck verwendete Drehzahl DTEST der Duktorwalze 27 bestimmt, die zum Testdruck vorzugsweise in der sogenannten Einrichtgeschwindigkeit der Druckmaschine betrieben wird.
- Abhängig von den so im Testdruck ermittelten Parametern F(f=fTEST,1), F(f=fTEST,2) und DTEST werden dann als zweite Voreinstellwerte des Farbwerks 22 für jede Farbzone eine Öffnungsstellung des Farbzonenstellelements 28 der jeweiligen Farbzone unter Verwendung der folgenden Formel ermittelt:
wobei F(f, D) eine als zweiter Voreinstellwert zu bestimmende Öffnungsstellung eines Farbzonenstellelements 28 des Farbwerks ist, wobei f der vom Druckauftrag abhängige, variable Flächendeckungswert der Farbzone des jeweiligen Farbzonenstellelements 28 ist, wobei D die als erster Voreinstellwert bestimmte Solldrehzahl für die Duktorwalze 27 des Farbwerks ist, wobei r (sieheFig. 2 ) der konstante Radius der Duktorwalze 27 ist, wobei g (siehe ebenfallsFig. 2 ) die konstante Grundeinstellung des Farbzonenspalts zwischen Duktorwalze 27 und Farbvorratsbehälter 25 ist, wobei I ein konstanter Verstellweg der Farbzonenstellelemente 28 bei 1% Verstellung derselben am Druckmaschinenleitstand ist, und wobei bDW eine druckwerksspezifische Kenngröße ist, die den mechanischen Abstand der Duktorwalze zur Filmwalze repräsentiert. - Die Größe AD(f=1%) für die obige Formel wird wie folgt errechnet:
wobei DTEST die Drehzahl der Duktorwalze 27 während des Testdrucks ist, wobei fTEST,2 der Flächendeckungswert der im Testdruck gedruckten, zweiten Volltonfläche mit dem höheren Flächendeckungswert ist, und wobei a der für die Farbübertragung wirksame Spalt der Farbzonenöffnung ist. -
-
-
- Die Größe a(f=fTEST,2) bzw. die Größe a(f=fTEST,1) wird wie folgt errechnet:
bzw.
wobei I der Verstellweg der Farbzonenstellelemente 28 bei 1 % Verstellung derselben am Druckmaschinenleitstand ist, wobei F(f=fTEST,1) der beim Testdruck ermittelte Mittelwert von Öffnungsstellungen der am Testdruck der ersten Volltonfläche unter Gewährleistung der vorgegebenen Solldichte der ersten Volltonfläche beteiligten Farbzonenstellelemente 28 ist, und wobei F(f=fTEST,2) der beim Testdruck ermittelte Mittelwert von Öffnungsstellungen der am Testdruck der zweiten Volltonfläche unter Gewährleistung der vorgegebenen Solldichte der zweiten Volltonfläche beteiligten Farbzonenstellelemente 28 ist. -
-
-
- Diese Ermittlung der zweiten Voreinstellwerte F(f, D) kann für jede am Druck beteiligte Druckfarbe und damit für jedes am Druck beteiligte Farbwerk durchgeführt werden, wobei der Testdruck abhängig vom später auf der Druckmaschine zu verwendenden Bedruckstofftyp und/oder abhängig vom Druckfarbetyp und/oder abhängig vom Übertragungsformtyp und/oder abhängig vom Druckformtyp ausgeführt wird.
- Die ermittelten zweiten Voreinstellwerte F(f, D) sind abhängig von spezifischen Eigenschaften bzw. Grundeinstellungen der Druckmaschine und der Verbrauchsmaterialen und damit genauer als bislang ermittelbare Voreinstellwerte.
- Obwohl die Erfindung unter Bezugnahme auf die
Fig. 1 bis 3 am Beispiel eines als Filmwalzenfarbwerk ausgebildeten Farbwerks beschreiben wurde, ist die Erfindung nicht auf solche Farbwerke beschränkt. Vielmehr kann die Erfindung auch bei anderen Farbwerken zum Einsatz kommen, so zum Beispiel bei Heberwalzenfarbwerken und bei Farbwerken, deren Farbzonenstellelemente nicht als Farbschieber oder als Farbmesser sondern als Farbdüsen ausgebildet sind. Bei einem Heberwalzenfarbwerk muss lediglich als weitere Kenngröße zur Berechnung der zweiten Voreinstellwerte F(f, D) des Farbwerks die sogenannte Heberfrequenz der Heberwalze berücksichtigt werden. -
- 10
- Druckmaschine
- 11
- Unterbau
- 12
- Rollenwechsler
- 13
- Druckturm
- 14
- Druckturm
- 15
- Druckeinheit
- 16
- Bahnführung
- 17
- Wende- und Falzaufbau
- 18
- Falzapparat
- 19
- Druckwerk
- 20
- Formzylinder
- 21
- Übertragungszylinder
- 22
- Farbwerk
- 23
- Feuchtwerk
- 24
- Bedruckstoff
- 25
- Farbkasten
- 26
- Druckfarbe
- 27
- Duktorwalze
- 28
- Farbzonenstellelement
- 29
- Aktuator
- 30
- Walzenzug
- 31
- Filmwalze
- 32
- Farbzone
- 33
- Testdruckexemplar
Claims (9)
- Verfahren zur Bestimmung von Voreinstellwerten für ein Farbwerk eines Druckwerks einer Druckmaschine, wobei das Farbwerk einen Farbvorratsbehälter aufweist, in dem Druckfarbe bereitgehalten wird, wobei das Farbwerk eine Duktorwalze aufweist, wobei das Farbwerk insbesondere als Farbschieber oder als Farbmesser ausgebildete Farbzonenstellelemente aufweist, über die eine je Farbzone aus dem Farbvorratsbehälter auf die Duktorwalze zu übertragende Farbmenge eingestellt wird, und wobei das Farbwerk der Duktorwalze nachgeordnete Farbwerkwalzen aufweist, welche die Druckfarbe durch das Farbwerk transportieren, wobei zur Bestimmung der Voreinstellwerte für das Farbwerk so vorgegangen wird, dass zunächst abhängig von dem durchschnittlichen Flächendeckungswert und abhängig von dem maximalen Flächendeckungswert aller am Druck eines zu druckenden Druckauftrags beteiligten Farbzonen des Farbwerks als erster Voreinstellwert des Farbwerks eine Solldrehzahl für die Duktorwalze bestimmt wird, und dass anschließend abhängig von dem ersten Voreinstellwert bzw. der Solldrehzahl für die Duktorwalze und abhängig von dem individuellen Flächendeckungswert jeder Farbzone als zweite Voreinstellwerte des Farbwerks für jede Farbzone eine Öffnungsstellung des Farbzonenstellelements der jeweiligen Farbzone bestimmt wird, dadurch gekennzeichnet, dass zur Bestimmung der zweiten Voreinstellwerte des Farbwerks so vorgegangen wird, dass vorab aus einem auf der Druckmaschine ausgeführten Testdruck für mindestens zwei mit dem Farbwerk gedruckte, unterschiedliche Flächendeckungswerte aufweisende Volltonflächen jeweils ein Mittelwert von Öffnungsstellungen der am Testdruck der jeweiligen Volltonfläche unter Gewährleistung einer vorgegebenen Solldichte der jeweiligen Volltonfläche beteiligten Farbzonenstellelemente und eine zum Testdruck verwendete Drehzahl der Duktorwalze bestimmt wird, und dass abhängig von diesen Mittelwerten und dieser Drehzahl der Duktorwalze im Testdruck die zweiten Voreinstellwerte des Farbwerks errechnet werden.
- Verfahren nach Anspruch 1, dadurch gekennzeichnet, dass die Volltonflächen des Testdrucks in Axialrichtung bzw. quer zur Transportrichtung eines im Testdruck zu bedruckenden Bedruckstoffs jeweils über mehrere Farbzonen gedruckt werden.
- Verfahren nach Anspruch 1 oder 2, dadurch gekennzeichnet, dass die Volltonflächen des Testdrucks in Transportrichtung eines im Testdruck zu bedruckenden Bedruckstoffs in einer unterschiedlichen Breite gedruckt werden.
- Verfahren nach einem der Ansprüche 1 bis 3, dadurch gekennzeichnet, dass die zweiten Voreinstellwerte des Farbwerks mit Hilfe folgender Formeln errechnet werden:
wobei F (f, D) als zweite Voreinstellwerte zu bestimmende Öffnungsstellungen sind, wobei f der vom Druckauftrag abhängige Flächendeckungswert der Farbzone des Farbzonenstellelements ist, wobei D die als erster Voreinstellwert bestimmte Solldrehzahl für die Duktorwalze ist, wobei r der konstante Radius der Duktorwalze ist, wobei g die konstante Grundeinstellung des Farbzonenspalts ist, wobei I ein konstanter Verstellweg der Farbzonenstellelemente bei 1% Verstellung derselben ist, wobei DTEST die zum Testdruck verwendete Drehzahl für die Duktorwalze ist, wobei fTEST,2 der Flächendeckungswert der im Testdruck gedruckten, zweiten Volltonfläche mit dem höheren Flächendeckungswert ist, und wobei F(f=fTEST,2) der beim Testdruck ermittelte Mittelwerte von Öffnungsstellungen der am Testdruck der zweiten Volltonfläche beteiligten Farbzonenstellelemente 28 ist. - Verfahren nach einem der Ansprüche 1 bis 3, dadurch gekennzeichnet, dass die zweiten Voreinstellwerte des Farbwerks mit Hilfe folgender Formeln errechnet werden:
wobei F (f, D) als zweite Voreinstellwerte zu bestimmende Öffnungsstellungen sind, wobei f der vom Druckauftrag abhängige Flächendeckungswert der Farbzone des Farbzonenstellelements ist, wobei D die als erster Voreinstellwert bestimmte Solldrehzahl für die Duktorwalze ist, wobei r der konstante Radius der Duktorwalze ist, wobei g die konstante Grundeinstellung des Farbzonenspalts ist, wobei I ein konstanter Verstellweg der Farbzonenstellelemente bei 1 % Verstellung derselben ist, wobei DTEST die zum Testdruck verwendete Drehzahl für die Duktorwalze ist, wobei fTEST,1 der Flächendeckungswert der im Testdruck gedruckten, ersten Volltonfläche mit dem niedrigeren Flächendeckungswert ist, und wobei F(f=fTEST,1) der beim Testdruck ermittelte Mittelwert von Öffnungsstellungen der am Testdruck der ersten Volltonfläche beteiligten Farbzonenstellelemente 28 ist. - Verfahren nach Anspruch 4 oder 5, dadurch gekennzeichnet, dass bDW eine druckwerksspezifische Kenngröße ist, die den mechanischen Abstand der Duktorwalze zur Filmwalze repräsentiert.
- Verfahren nach Anspruch 4, 5 oder 6, dadurch gekennzeichnet, dass a der für die Farbübertragung wirksame Spalt der Farbzonenöffnung ist.
- Verfahren nach einem der Ansprüche 1 bis 7, dadurch gekennzeichnet, dass die im Testdruck für die Volltonflächen einzuhaltende, vorgegebene Solldichte abhängig davon bestimmt wird, ob die Druckmaschine einem Zeitungsdruck oder Akzidenzdruck oder einem Semicommercialdruck oder einem anderen Druckverfahren dient.
- Verfahren nach einem der Ansprüche 1 bis 8, dadurch gekennzeichnet, dass der Testdruck auf der Druckmaschine abhängig vom später auf der Druckmaschine zu verwendenden Bedruckstofftyp und/oder Druckfarbetyp und/oder Übertragungsformtyp und/oder Druckformtyp ausgeführt wird.
Applications Claiming Priority (1)
| Application Number | Priority Date | Filing Date | Title |
|---|---|---|---|
| DE102009046772A DE102009046772A1 (de) | 2009-11-17 | 2009-11-17 | Verfahren zur Bestimmung von Voreinstellwerten für ein Farbwerk eines Druckwerks einer Druckmaschine |
Publications (2)
| Publication Number | Publication Date |
|---|---|
| EP2325009A1 EP2325009A1 (de) | 2011-05-25 |
| EP2325009B1 true EP2325009B1 (de) | 2011-12-28 |
Family
ID=43807015
Family Applications (1)
| Application Number | Title | Priority Date | Filing Date |
|---|---|---|---|
| EP10014596A Not-in-force EP2325009B1 (de) | 2009-11-17 | 2010-11-13 | Verfahren zur Bestimmung von Voreinstellwerten für ein Farbwerk eines Druckwerks einer Druckmaschine |
Country Status (3)
| Country | Link |
|---|---|
| EP (1) | EP2325009B1 (de) |
| AT (1) | ATE538930T1 (de) |
| DE (1) | DE102009046772A1 (de) |
Family Cites Families (5)
| Publication number | Priority date | Publication date | Assignee | Title |
|---|---|---|---|---|
| DE10050564B4 (de) * | 2000-05-17 | 2006-05-24 | Shinano Kenshi K.K. | Verfahren zum Zuführen von Tinte |
| DE10152470B4 (de) * | 2000-11-23 | 2014-08-14 | Heidelberger Druckmaschinen Ag | Verfahren zur Farbvoreinstellung beim Mehrfarbendruck |
| DE10307345A1 (de) * | 2003-02-21 | 2004-09-09 | Man Roland Druckmaschinen Ag | Verfahren und Vorrichtung zur Farbwerksteuerung |
| DE102006006909A1 (de) * | 2005-03-18 | 2006-09-21 | Heidelberger Druckmaschinen Ag | Verfahren zur Ansteuerung von Farbzonen mittels hinterlegter Verreibungsprofile |
| JP2007261092A (ja) * | 2006-03-28 | 2007-10-11 | Mitsubishi Heavy Ind Ltd | インキ制御装置並びに印刷機及び印刷方法 |
-
2009
- 2009-11-17 DE DE102009046772A patent/DE102009046772A1/de not_active Withdrawn
-
2010
- 2010-11-13 EP EP10014596A patent/EP2325009B1/de not_active Not-in-force
- 2010-11-13 AT AT10014596T patent/ATE538930T1/de active
Also Published As
| Publication number | Publication date |
|---|---|
| ATE538930T1 (de) | 2012-01-15 |
| DE102009046772A1 (de) | 2011-05-19 |
| EP2325009A1 (de) | 2011-05-25 |
Similar Documents
| Publication | Publication Date | Title |
|---|---|---|
| DE19822662C2 (de) | Verfahren zur Farbreproduktion auf einer Bilddaten orientierten Druckmaschine | |
| DE102007008392B4 (de) | Integrierte Qualitätsregelung | |
| DE10245702A1 (de) | Anpassung der Farbsteuerung an die physikalischen Eigenschaften von Farbe und Bedruckstoff | |
| EP2879878B1 (de) | Verfahren zum einstellen der drucklänge eines druckbildes in einer mehrfarbenrotationsdruckmaschine | |
| DE10152470B4 (de) | Verfahren zur Farbvoreinstellung beim Mehrfarbendruck | |
| DE102011012289A1 (de) | Farbvoreinstellung Folgeauftrag | |
| DE102009000877B4 (de) | Verfahren zur Einstellung einer Flächendeckung und ein entsprechendes Verfahren zur Durchführung in einer mehrere Druckwerke aufweisenden Druckmaschine | |
| DE4413735C2 (de) | Verfahren zum Steuern oder Regeln des Druckprozesses einer autotypisch arbeitenden Druckmaschine beim Drucken unter Druckpressung auf einen Bedruckstoff | |
| EP3921164A1 (de) | Verfahren zur einstellung eines farbprofils in einer bogenoffsetdruckmaschine mittels vorbedruckter makulaturbogen | |
| DE102009045559A1 (de) | Verfahren zum Betreiben eines Farbwerks einer Druckmaschine | |
| DE3040455A1 (de) | Einrichtung zur farbdosierung in einer druckmaschine, insbesondere einer offset-bogenmaschine | |
| DE10159698A1 (de) | Verfahren und Vorrichtung zum Einstellen einer Farbmenge, die einem Druckzylinder einer Druckmaschine zugeführt wird | |
| DE10028317A1 (de) | Verfahren zur Steuerung der Zufuhr von Druckfarbe in einer Druckmaschine und Druckmaschine zur Durchführung des Verfahrens | |
| DE102009001302A1 (de) | Verfahren zum Betreiben einer Druckmaschine | |
| EP2325009B1 (de) | Verfahren zur Bestimmung von Voreinstellwerten für ein Farbwerk eines Druckwerks einer Druckmaschine | |
| DE102008045661A1 (de) | Farbregelung mit einheitlicher Regelgröße | |
| EP1671789B1 (de) | Verfahren zur Regelung der Farbgebung in einer Offsetdruckmaschine | |
| DE102013100916A1 (de) | Verfahren zur Regelung eines Parameters eines Farbwerks | |
| DE102006041881A1 (de) | Farbdosiereinrichutng eines Druckwerks und Verfahren zur Steuerung der Farbdosiereinrichtung | |
| EP2331330B1 (de) | Verfahren zum betreiben einer druckmaschine | |
| DE10325185B4 (de) | Verfahren zum Betrieb eines Druckwerks einer Druckmaschine in Abhängigkeit von der Farbtemperatur sowie nach dem Verfahren arbeitende Druckmaschinensteuerung | |
| DE102007044758A1 (de) | Verfahren zur Farbmessung bei Druckmaschinen | |
| EP1839854A1 (de) | Verfahren und Vorrichtung zur optimalen Einstellung der Beistellung in einer mehrere Druckwerke aufweisende Rotations-Flexodruckmaschine | |
| EP1995067B1 (de) | Verfahren zum Betreiben einer Druckmaschine | |
| DE102015104469A1 (de) | Verfahren zum Betreiben einer Druckmaschine |
Legal Events
| Date | Code | Title | Description |
|---|---|---|---|
| PUAI | Public reference made under article 153(3) epc to a published international application that has entered the european phase |
Free format text: ORIGINAL CODE: 0009012 |
|
| AK | Designated contracting states |
Kind code of ref document: A1 Designated state(s): AL AT BE BG CH CY CZ DE DK EE ES FI FR GB GR HR HU IE IS IT LI LT LU LV MC MK MT NL NO PL PT RO RS SE SI SK SM TR |
|
| AX | Request for extension of the european patent |
Extension state: BA ME |
|
| 17P | Request for examination filed |
Effective date: 20110526 |
|
| GRAP | Despatch of communication of intention to grant a patent |
Free format text: ORIGINAL CODE: EPIDOSNIGR1 |
|
| RIC1 | Information provided on ipc code assigned before grant |
Ipc: B41F 33/00 20060101ALI20110624BHEP Ipc: B41F 31/04 20060101AFI20110624BHEP |
|
| GRAS | Grant fee paid |
Free format text: ORIGINAL CODE: EPIDOSNIGR3 |
|
| GRAA | (expected) grant |
Free format text: ORIGINAL CODE: 0009210 |
|
| AK | Designated contracting states |
Kind code of ref document: B1 Designated state(s): AL AT BE BG CH CY CZ DE DK EE ES FI FR GB GR HR HU IE IS IT LI LT LU LV MC MK MT NL NO PL PT RO RS SE SI SK SM TR |
|
| REG | Reference to a national code |
Ref country code: GB Ref legal event code: FG4D Free format text: NOT ENGLISH |
|
| REG | Reference to a national code |
Ref country code: CH Ref legal event code: EP Ref country code: CH Ref legal event code: NV Representative=s name: E. BLUM & CO. AG PATENT- UND MARKENANWAELTE VSP |
|
| REG | Reference to a national code |
Ref country code: AT Ref legal event code: REF Ref document number: 538930 Country of ref document: AT Kind code of ref document: T Effective date: 20120115 |
|
| REG | Reference to a national code |
Ref country code: IE Ref legal event code: FG4D |
|
| REG | Reference to a national code |
Ref country code: DE Ref legal event code: R096 Ref document number: 502010000298 Country of ref document: DE Effective date: 20120223 |
|
| REG | Reference to a national code |
Ref country code: NL Ref legal event code: VDEP Effective date: 20111228 |
|
| PG25 | Lapsed in a contracting state [announced via postgrant information from national office to epo] |
Ref country code: NO Free format text: LAPSE BECAUSE OF FAILURE TO SUBMIT A TRANSLATION OF THE DESCRIPTION OR TO PAY THE FEE WITHIN THE PRESCRIBED TIME-LIMIT Effective date: 20120328 Ref country code: LT Free format text: LAPSE BECAUSE OF FAILURE TO SUBMIT A TRANSLATION OF THE DESCRIPTION OR TO PAY THE FEE WITHIN THE PRESCRIBED TIME-LIMIT Effective date: 20111228 |
|
| LTIE | Lt: invalidation of european patent or patent extension |
Effective date: 20111228 |
|
| PG25 | Lapsed in a contracting state [announced via postgrant information from national office to epo] |
Ref country code: SE Free format text: LAPSE BECAUSE OF FAILURE TO SUBMIT A TRANSLATION OF THE DESCRIPTION OR TO PAY THE FEE WITHIN THE PRESCRIBED TIME-LIMIT Effective date: 20111228 Ref country code: LV Free format text: LAPSE BECAUSE OF FAILURE TO SUBMIT A TRANSLATION OF THE DESCRIPTION OR TO PAY THE FEE WITHIN THE PRESCRIBED TIME-LIMIT Effective date: 20111228 Ref country code: GR Free format text: LAPSE BECAUSE OF FAILURE TO SUBMIT A TRANSLATION OF THE DESCRIPTION OR TO PAY THE FEE WITHIN THE PRESCRIBED TIME-LIMIT Effective date: 20120329 Ref country code: SI Free format text: LAPSE BECAUSE OF FAILURE TO SUBMIT A TRANSLATION OF THE DESCRIPTION OR TO PAY THE FEE WITHIN THE PRESCRIBED TIME-LIMIT Effective date: 20111228 Ref country code: HR Free format text: LAPSE BECAUSE OF FAILURE TO SUBMIT A TRANSLATION OF THE DESCRIPTION OR TO PAY THE FEE WITHIN THE PRESCRIBED TIME-LIMIT Effective date: 20111228 |
|
| PG25 | Lapsed in a contracting state [announced via postgrant information from national office to epo] |
Ref country code: RS Free format text: LAPSE BECAUSE OF FAILURE TO SUBMIT A TRANSLATION OF THE DESCRIPTION OR TO PAY THE FEE WITHIN THE PRESCRIBED TIME-LIMIT Effective date: 20111228 Ref country code: CY Free format text: LAPSE BECAUSE OF FAILURE TO SUBMIT A TRANSLATION OF THE DESCRIPTION OR TO PAY THE FEE WITHIN THE PRESCRIBED TIME-LIMIT Effective date: 20111228 |
|
| REG | Reference to a national code |
Ref country code: IE Ref legal event code: FD4D |
|
| PG25 | Lapsed in a contracting state [announced via postgrant information from national office to epo] |
Ref country code: BG Free format text: LAPSE BECAUSE OF FAILURE TO SUBMIT A TRANSLATION OF THE DESCRIPTION OR TO PAY THE FEE WITHIN THE PRESCRIBED TIME-LIMIT Effective date: 20120328 Ref country code: SK Free format text: LAPSE BECAUSE OF FAILURE TO SUBMIT A TRANSLATION OF THE DESCRIPTION OR TO PAY THE FEE WITHIN THE PRESCRIBED TIME-LIMIT Effective date: 20111228 Ref country code: EE Free format text: LAPSE BECAUSE OF FAILURE TO SUBMIT A TRANSLATION OF THE DESCRIPTION OR TO PAY THE FEE WITHIN THE PRESCRIBED TIME-LIMIT Effective date: 20111228 Ref country code: NL Free format text: LAPSE BECAUSE OF FAILURE TO SUBMIT A TRANSLATION OF THE DESCRIPTION OR TO PAY THE FEE WITHIN THE PRESCRIBED TIME-LIMIT Effective date: 20111228 Ref country code: IS Free format text: LAPSE BECAUSE OF FAILURE TO SUBMIT A TRANSLATION OF THE DESCRIPTION OR TO PAY THE FEE WITHIN THE PRESCRIBED TIME-LIMIT Effective date: 20120428 Ref country code: CZ Free format text: LAPSE BECAUSE OF FAILURE TO SUBMIT A TRANSLATION OF THE DESCRIPTION OR TO PAY THE FEE WITHIN THE PRESCRIBED TIME-LIMIT Effective date: 20111228 Ref country code: IE Free format text: LAPSE BECAUSE OF FAILURE TO SUBMIT A TRANSLATION OF THE DESCRIPTION OR TO PAY THE FEE WITHIN THE PRESCRIBED TIME-LIMIT Effective date: 20111228 |
|
| REG | Reference to a national code |
Ref country code: DE Ref legal event code: R081 Ref document number: 502010000298 Country of ref document: DE Owner name: MANROLAND WEB SYSTEMS GMBH, DE Free format text: FORMER OWNER: MANROLAND AG, 63075 OFFENBACH, DE Effective date: 20120626 |
|
| PG25 | Lapsed in a contracting state [announced via postgrant information from national office to epo] |
Ref country code: PL Free format text: LAPSE BECAUSE OF FAILURE TO SUBMIT A TRANSLATION OF THE DESCRIPTION OR TO PAY THE FEE WITHIN THE PRESCRIBED TIME-LIMIT Effective date: 20111228 Ref country code: RO Free format text: LAPSE BECAUSE OF FAILURE TO SUBMIT A TRANSLATION OF THE DESCRIPTION OR TO PAY THE FEE WITHIN THE PRESCRIBED TIME-LIMIT Effective date: 20111228 Ref country code: PT Free format text: LAPSE BECAUSE OF FAILURE TO SUBMIT A TRANSLATION OF THE DESCRIPTION OR TO PAY THE FEE WITHIN THE PRESCRIBED TIME-LIMIT Effective date: 20120430 |
|
| PG25 | Lapsed in a contracting state [announced via postgrant information from national office to epo] |
Ref country code: DK Free format text: LAPSE BECAUSE OF FAILURE TO SUBMIT A TRANSLATION OF THE DESCRIPTION OR TO PAY THE FEE WITHIN THE PRESCRIBED TIME-LIMIT Effective date: 20111228 |
|
| PLBE | No opposition filed within time limit |
Free format text: ORIGINAL CODE: 0009261 |
|
| STAA | Information on the status of an ep patent application or granted ep patent |
Free format text: STATUS: NO OPPOSITION FILED WITHIN TIME LIMIT |
|
| PG25 | Lapsed in a contracting state [announced via postgrant information from national office to epo] |
Ref country code: IT Free format text: LAPSE BECAUSE OF FAILURE TO SUBMIT A TRANSLATION OF THE DESCRIPTION OR TO PAY THE FEE WITHIN THE PRESCRIBED TIME-LIMIT Effective date: 20111228 |
|
| 26N | No opposition filed |
Effective date: 20121001 |
|
| REG | Reference to a national code |
Ref country code: DE Ref legal event code: R097 Ref document number: 502010000298 Country of ref document: DE Effective date: 20121001 |
|
| PG25 | Lapsed in a contracting state [announced via postgrant information from national office to epo] |
Ref country code: ES Free format text: LAPSE BECAUSE OF FAILURE TO SUBMIT A TRANSLATION OF THE DESCRIPTION OR TO PAY THE FEE WITHIN THE PRESCRIBED TIME-LIMIT Effective date: 20120408 |
|
| BERE | Be: lapsed |
Owner name: MANROLAND A.G. Effective date: 20121130 |
|
| PG25 | Lapsed in a contracting state [announced via postgrant information from national office to epo] |
Ref country code: FI Free format text: LAPSE BECAUSE OF FAILURE TO SUBMIT A TRANSLATION OF THE DESCRIPTION OR TO PAY THE FEE WITHIN THE PRESCRIBED TIME-LIMIT Effective date: 20111228 |
|
| PG25 | Lapsed in a contracting state [announced via postgrant information from national office to epo] |
Ref country code: BE Free format text: LAPSE BECAUSE OF NON-PAYMENT OF DUE FEES Effective date: 20121130 |
|
| PG25 | Lapsed in a contracting state [announced via postgrant information from national office to epo] |
Ref country code: MT Free format text: LAPSE BECAUSE OF FAILURE TO SUBMIT A TRANSLATION OF THE DESCRIPTION OR TO PAY THE FEE WITHIN THE PRESCRIBED TIME-LIMIT Effective date: 20111228 Ref country code: AL Free format text: LAPSE BECAUSE OF FAILURE TO SUBMIT A TRANSLATION OF THE DESCRIPTION OR TO PAY THE FEE WITHIN THE PRESCRIBED TIME-LIMIT Effective date: 20111228 |
|
| PGFP | Annual fee paid to national office [announced via postgrant information from national office to epo] |
Ref country code: DE Payment date: 20131121 Year of fee payment: 4 Ref country code: FR Payment date: 20131120 Year of fee payment: 4 |
|
| PG25 | Lapsed in a contracting state [announced via postgrant information from national office to epo] |
Ref country code: TR Free format text: LAPSE BECAUSE OF FAILURE TO SUBMIT A TRANSLATION OF THE DESCRIPTION OR TO PAY THE FEE WITHIN THE PRESCRIBED TIME-LIMIT Effective date: 20111228 Ref country code: MC Free format text: LAPSE BECAUSE OF NON-PAYMENT OF DUE FEES Effective date: 20121130 |
|
| PG25 | Lapsed in a contracting state [announced via postgrant information from national office to epo] |
Ref country code: LU Free format text: LAPSE BECAUSE OF NON-PAYMENT OF DUE FEES Effective date: 20121113 Ref country code: SM Free format text: LAPSE BECAUSE OF FAILURE TO SUBMIT A TRANSLATION OF THE DESCRIPTION OR TO PAY THE FEE WITHIN THE PRESCRIBED TIME-LIMIT Effective date: 20111228 |
|
| PG25 | Lapsed in a contracting state [announced via postgrant information from national office to epo] |
Ref country code: HU Free format text: LAPSE BECAUSE OF FAILURE TO SUBMIT A TRANSLATION OF THE DESCRIPTION OR TO PAY THE FEE WITHIN THE PRESCRIBED TIME-LIMIT Effective date: 20101113 |
|
| REG | Reference to a national code |
Ref country code: DE Ref legal event code: R119 Ref document number: 502010000298 Country of ref document: DE |
|
| REG | Reference to a national code |
Ref country code: CH Ref legal event code: PL |
|
| GBPC | Gb: european patent ceased through non-payment of renewal fee |
Effective date: 20141113 |
|
| PG25 | Lapsed in a contracting state [announced via postgrant information from national office to epo] |
Ref country code: CH Free format text: LAPSE BECAUSE OF NON-PAYMENT OF DUE FEES Effective date: 20141130 Ref country code: LI Free format text: LAPSE BECAUSE OF NON-PAYMENT OF DUE FEES Effective date: 20141130 Ref country code: MK Free format text: LAPSE BECAUSE OF FAILURE TO SUBMIT A TRANSLATION OF THE DESCRIPTION OR TO PAY THE FEE WITHIN THE PRESCRIBED TIME-LIMIT Effective date: 20111228 |
|
| REG | Reference to a national code |
Ref country code: FR Ref legal event code: ST Effective date: 20150731 |
|
| PG25 | Lapsed in a contracting state [announced via postgrant information from national office to epo] |
Ref country code: DE Free format text: LAPSE BECAUSE OF NON-PAYMENT OF DUE FEES Effective date: 20150602 Ref country code: GB Free format text: LAPSE BECAUSE OF NON-PAYMENT OF DUE FEES Effective date: 20141113 |
|
| PG25 | Lapsed in a contracting state [announced via postgrant information from national office to epo] |
Ref country code: FR Free format text: LAPSE BECAUSE OF NON-PAYMENT OF DUE FEES Effective date: 20141201 |
|
| REG | Reference to a national code |
Ref country code: AT Ref legal event code: MM01 Ref document number: 538930 Country of ref document: AT Kind code of ref document: T Effective date: 20151113 |
|
| PG25 | Lapsed in a contracting state [announced via postgrant information from national office to epo] |
Ref country code: AT Free format text: LAPSE BECAUSE OF NON-PAYMENT OF DUE FEES Effective date: 20151113 |














