DE69918111T2 - Mischungen von nickel-löscher mit benzophenon und verfahren zu dessen herstellung - Google Patents

Mischungen von nickel-löscher mit benzophenon und verfahren zu dessen herstellung Download PDF

Info

Publication number
DE69918111T2
DE69918111T2 DE69918111T DE69918111T DE69918111T2 DE 69918111 T2 DE69918111 T2 DE 69918111T2 DE 69918111 T DE69918111 T DE 69918111T DE 69918111 T DE69918111 T DE 69918111T DE 69918111 T2 DE69918111 T2 DE 69918111T2
Authority
DE
Germany
Prior art keywords
group
formula
nickel
tetramethylpiperidin
acid
Prior art date
Legal status (The legal status is an assumption and is not a legal conclusion. Google has not performed a legal analysis and makes no representation as to the accuracy of the status listed.)
Expired - Lifetime
Application number
DE69918111T
Other languages
English (en)
Other versions
DE69918111D1 (de
Inventor
Carlo Neri
Luciano Pallini
Giovanni Sandre
Current Assignee (The listed assignees may be inaccurate. Google has not performed a legal analysis and makes no representation or warranty as to the accuracy of the list.)
Lanxess Switzerland GmbH
Original Assignee
Great Lakes Chemical Europe GmbH
Priority date (The priority date is an assumption and is not a legal conclusion. Google has not performed a legal analysis and makes no representation as to the accuracy of the date listed.)
Filing date
Publication date
Application filed by Great Lakes Chemical Europe GmbH filed Critical Great Lakes Chemical Europe GmbH
Application granted granted Critical
Publication of DE69918111D1 publication Critical patent/DE69918111D1/de
Publication of DE69918111T2 publication Critical patent/DE69918111T2/de
Anticipated expiration legal-status Critical
Expired - Lifetime legal-status Critical Current

Links

Classifications

    • CCHEMISTRY; METALLURGY
    • C08ORGANIC MACROMOLECULAR COMPOUNDS; THEIR PREPARATION OR CHEMICAL WORKING-UP; COMPOSITIONS BASED THEREON
    • C08KUse of inorganic or non-macromolecular organic substances as compounding ingredients
    • C08K5/00Use of organic ingredients
    • C08K5/04Oxygen-containing compounds
    • C08K5/13Phenols; Phenolates
    • C08K5/132Phenols containing keto groups, e.g. benzophenones
    • CCHEMISTRY; METALLURGY
    • C08ORGANIC MACROMOLECULAR COMPOUNDS; THEIR PREPARATION OR CHEMICAL WORKING-UP; COMPOSITIONS BASED THEREON
    • C08KUse of inorganic or non-macromolecular organic substances as compounding ingredients
    • C08K5/00Use of organic ingredients
    • C08K5/0008Organic ingredients according to more than one of the "one dot" groups of C08K5/01 - C08K5/59
    • C08K5/005Stabilisers against oxidation, heat, light, ozone
    • CCHEMISTRY; METALLURGY
    • C08ORGANIC MACROMOLECULAR COMPOUNDS; THEIR PREPARATION OR CHEMICAL WORKING-UP; COMPOSITIONS BASED THEREON
    • C08KUse of inorganic or non-macromolecular organic substances as compounding ingredients
    • C08K5/00Use of organic ingredients
    • C08K5/0091Complexes with metal-heteroatom-bonds
    • YGENERAL TAGGING OF NEW TECHNOLOGICAL DEVELOPMENTS; GENERAL TAGGING OF CROSS-SECTIONAL TECHNOLOGIES SPANNING OVER SEVERAL SECTIONS OF THE IPC; TECHNICAL SUBJECTS COVERED BY FORMER USPC CROSS-REFERENCE ART COLLECTIONS [XRACs] AND DIGESTS
    • Y02TECHNOLOGIES OR APPLICATIONS FOR MITIGATION OR ADAPTATION AGAINST CLIMATE CHANGE
    • Y02ATECHNOLOGIES FOR ADAPTATION TO CLIMATE CHANGE
    • Y02A40/00Adaptation technologies in agriculture, forestry, livestock or agroalimentary production
    • Y02A40/10Adaptation technologies in agriculture, forestry, livestock or agroalimentary production in agriculture
    • Y02A40/25Greenhouse technology, e.g. cooling systems therefor

Landscapes

  • Chemical & Material Sciences (AREA)
  • Health & Medical Sciences (AREA)
  • Chemical Kinetics & Catalysis (AREA)
  • Medicinal Chemistry (AREA)
  • Polymers & Plastics (AREA)
  • Organic Chemistry (AREA)
  • Compositions Of Macromolecular Compounds (AREA)
  • Organic Low-Molecular-Weight Compounds And Preparation Thereof (AREA)

Description

  • Die vorliegende Erfindung betrifft eine granuläre Form einer Mischung aus einem Nickel-Löscher und einem Benzophenon.
  • Insbesondere betrifft die vorliegende Erfindung eine granuläre Form einer Mischung eines Nickel-Löschers und eines 2-Hydroxy-4-alkyloxybenzophenons, ein Verfahren zu deren Herstellung sowie deren Verwendung als Lichtstabilisator für Agrofilme auf der Basis von Polyolefinen oder olefinischen Copolymeren.
  • Die vorliegende Erfindung betrifft des weiteren Agrofilme auf der Basis von Polyolefinen oder olefinischen Copolymeren, die mit der vorstehend beschriebenen granulären Form stabilisiert sind, sowie Gewächshäuser, die mit diesen Filmen überzogen sind.
  • Zur Zeit werden Nickel-Löscher (nickel-quencher) in Feinpulverform vertrieben und deren Verwendung verursacht Probleme im Hinblick auf die Umweltverschmutzung, Gesundheit und Sicherheit von Benutzern während der Zufuhr- und Handhabungsphase.
  • Im allgemeinen wird bei der Stabilisierung von Agrofilmen auch ein Benzophenon eingesetzt, zusammen mit Nickel-Löschern.
  • Konventionelle Verfahren zum Erhalten einer physikalischen Form eines Nickel-Löschers mit einem geringen Pulvergehalt (z. B. Kompaktieren der Pulver unter Druck), die sowohl für den Nickel-Löscher allein als auch für Mischungen aus Nickel-Löschern und Benzophenonen untersucht wurden, erwiesen sich als unbrauchbar oder ergaben keine zufriedenstellenden Ergebnisse.
  • Der Anmelder hat nun eine granuläre Form einer Mischung eines Nickel-Löschers und eines Benzophenons gefunden, die fähig ist, die Nachteile des bekannten Standes der Technik zu überwinden.
  • Die vorliegende Erfindung betrifft folglich eine granuläre Form einer Mischung umfassend:
    • (a) einen Nickel-Löscher, der [2,2'-Thiobis(4-t-octyl-phenolat)-n-butylamin-Nickel(II)] mit der Formel (I) entspricht:
      Figure 00020001
    • (b) ein 2-Hydroxy-4-alkyloxybenzophenon, das 2-Hydroxy-4-n-octyloxybenzophenon mit der Formel (II) entspricht:
      Figure 00020002
    dadurch gekennzeichnet, dass sie zwei Diffraktionslinien bei den Winkeln 28 = 17,593 und 28 = 22,023 im Pulver-Röntgenbeugungsspektrum aufweist.
  • Das Röntgenbeugungsspektrum für Pulver wird unter Verwendung einer Cu-Kα-Strahlung durchgeführt (λ = 1,54178).
  • In der granulären Form der vorliegenden Erfindung werden der Nickel-Löscher (a) mit der Formel (I) und das Benzophenon (b) mit der Formel (II) in einem Verhältnis im Bereich von 0,4 bis 3 eingesetzt, bevorzugt in einem Verhältnis im Bereich von 1 bis 2.
  • Der Nickel-Löscher (a) mit der Formel (I) ist unter den folgenden Markennamen bekannt: Cyasorb UV 1084 von Cytec oder Chimassorb N-705 von Ciba.
  • Das Benzophenon (b) mit der Formel (II) ist unter den folgenden Markennamen bekannt: Lowilite 22 von Great Lakes, Chimassorb 81 von Ciba oder Cyasorb UV 531 von Cytec.
  • Die granuläre Form gemäß der vorliegenden Erfindung kann nach dem folgenden Verfahren erhalten werden.
  • Ein Verfahren zur Herstellung der granulären Form gemäß der vorliegenden Erfindung umfasst:
    • (1) Auflösen des Nickel-Löschers (a) mit der Formel (I) in dem Benzophenon (b) mit der Formel (II), das zuvor bei 50°C geschmolzen worden ist, unter Rühren;
    • (2) Kühlen der wie unter Punkt (1) beschrieben erhaltenen Lösung.
  • Der Schritt (1) des vorstehend angegebenen Verfahrens wird in Abhängigkeit des verwendeten Verhältnisses zwischen dem Nickel-Löscher (a) mit der Formel (I) und dem Benzophenon (b) mit der Formel (II) bei unterschiedlichen Temperaturen durchgeführt: Schritt (1) der vorliegenden Erfindung wird im allgemeinen bei einer Temperatur im Bereich von 50°C bis 150°C durchgeführt, bevorzugt zwischen 50°C und 120°C.
  • Das Kühlen gemäß dem Schritt (2) des vorstehend beschriebenen Verfahrens, das geeignet ist, eine Verfestigung der wie unter Punkt (1) beschrieben erhaltenen Lösung zu verursachen, kann nach einem beliebigen Verfahren aus dem Stand der Technik erhalten werden.
  • Die bevorzugten Verfahren bestehen aus:
    • – Gießen der Lösung auf eine kalte Metallplatte, die z. B. bei einer Temperatur von Raumtemperatur oder geringer gehalten wird: in diesem Fall muss der erhaltene Feststoff granuliert werden, um Granulate mit den gewünschten Dimensionen zu erhalten;
    • – Tröpfeln der Lösung auf eine kalte Metallplatte, die z. B. bei einer Temperatur von gleich Raumtemperatur oder weniger gehalten wird: in diesem Fall werden Tropfen erhalten, die bereits die gewünschten Dimensionen aufweisen.
  • Die Pulver von Nickel-Löscher (a) und Benzophenon (b) und die wie vorstehend beschrieben erhaltenen Granulate werden einer Röntgenbeugung unterzogen und die erhaltenen Spektren sind in den folgenden Figuren dargestellt:
  • 1: Pulver-Röntgenbeugungsspektrum von dem Nickel-Löscher (a) in Pulverform;
  • 2: Pulver-Röntgenbeugungsspektrum von Benzophenon (b) in Pulverform;
  • 3: Pulver-Röntgenbeugungsspektrum der physikalischen Mischung von Nickel-Löscher (a)- und Benzophenon (b)-Pulvern;
  • 4: Pulver-Röntgenbeugungsspektrum der wie vorstehend beschrieben erhaltenen Granulate aus der Mischung von Nickel-Löscher (a)- und Benzophenon (b)-Pulvern.
  • Es ist festzuhalten, dass die 4 zwei Diffraktionslinien bei den Winkeln 2θ = 17,593 und 2θ = 22,023 im Pulver-Röntgenbeugungsspektrum aufweist, die nicht in dem Pulver-Röntgenbeugungsspektrum des Nickel-Löschers (a) und des Benzophenons (b) jeweils alleine (1 und 2) und deren physikalischer Mischung (3) auftreten.
  • Die granuläre Form gemäß der vorliegenden Erfindung weist einen Schmelzbereich zwischen 47°C und 50°C auf, gemessen mittels einem Büchi-Instrument (Röhrchen mit einem Durchmesser von 1 mm). Da ein Additiv mit einem niedrigeren Schmelzpunkt im allgemeinen eine kürzere Homogenisierungszeit in dem Polymer, zu dem es zugegeben wird, aufweist, ist es offensichtlich, dass die granuläre Form gemäß der vorliegenden Erfindung zusätzlich zu dem Vorteil der Überwindung der vorstehend beschriebenen Nachteile aus dem Stand der Technik ferner auch eine schnellere Homogenisierung der Additive innerhalb des Polymers gewährleistet. Da das Verfahren zur Herstellung der granulären Form gemäß der vorliegenden Erfindung im Schritt (a) eine Phase umfasst, in der die beiden Verbindungen (a) und (b) in einem flüssigen Zustand vorliegen, tritt ferner auch eine perfekte homogene Verteilung der beiden Additive darin auf (z. B. führt mechanisches Vermischen, der beiden Pulver nicht zu einer Mischung mit dem gleichen Homogenitätsgrad).
  • Wie bereits vorstehend angegeben, kann die granuläre Form gemäß der vorliegenden Erfindung als Lichtstabilisator für Agrofilme auf der Basis von Polyolefinen und olefinischen Copolymeren verwendet werden.
  • Polyofefine und olefinische Copolymere, die für diesen Zweck verwendet werden können, sind:
    (1) Polymere von Monoolefinen und Diolefinen wie z. B. Polypropylen, Polyisobutylen, Poly-1-buten, Poly-4-methyl-1-penten, Polyisopren oder Polybutadien; wie auch Polymere von Cycloolefinen wie z. B. Cyclopenten oder Norbornen; Polyethylen (das gegebenenfalls quervernetzt sein kann) wie z. B. Polyethylen hoher Dichte (HDPE), Polyethylen niedriger Dichte (LDPE), lineares Polyethylen niedriger Dichte (LLDPE), verzweigtes Polyethylen niedriger Dichte (BLDPE).
  • Polyofefine als solche wie z. B. die im vorstehend Absatz angegebenen Monoolefine, bevorzugt Polyethylen und Polypropylen, können mit verschiedenen aus der Literatur bekannten Verfahren hergestellt werden, bevorzugt unter Verwendung der folgenden Verfahren:
    • (a) radikalische Polymerisation (im allgemeinen unter einem hohen Druck und hoher Temperatur durchgeführt);
    • (b) katalytische Polymerisation unter Verwendung eines Katalysators, der im allgemeinen ein oder mehrere Metalle der Gruppen IVb, Vb, VIb oder VIII des periodischen Systems der Elemente enthält. Diese Metalle besitzen im allgemeinen einen oder mehrere Liganden wie z. B. Oxide, Halogenide, Alkoholate, Ether, Amine, Alkyle, Alkenyle und/oder Aryle, die n oder σ-koordiniert sein können. Diese Metallkomplexe können in freier Form oder auf Substraten wie z. B. aktiviertem Magnesiumchlorid, Titan(III-Chlorid), Alumina oder Siliciumoxid geträgert sein. Diese Katalysatoren können in dem Polymerisationsmedium löslich oder unlöslich sein. Die Katalysatoren können allein oder in Gegenwart von weiteren Aktivierungsmitteln wie z. B. Metallalkylen, Metallhydriden, Halogeniden von Metallalkylen, Oxiden von Metallalkylen oder Metallalkyloxanen verwendet werden, wobei diese Metalle Elemente darstellen, die zu den Gruppen Ia, IIa und/oder IIIa des periodischen Systems der Elemente gehören. Diese Aktivierungsmittel können geeigneterweise mit weiteren Ester-, Ether-, Amin- oder Silylether-Gruppen modifiziert sein. Diese katalytischen Systeme werden im allgemeinen Phillips, Standard Oil Indiana, Ziegler (-Natta), TNZ (Du-Pont), Metallocen oder "Single-Site-Cataiyst" (SSC) genannt.
  • (2) Mischungen der unter Punkt (1) beschriebenen Polymere wie z. B. Mischungen von Polypropylen mit Polyisobutylen; Mischungen von Polypropylen mit Polyethylen (z. B. PP/HDPE, PP/LDPE); Mischungen von verschiedenen Arten von Polyethylen (z. B. LDPE/HDPE).
  • (3) Copolymere von Monoolefinen und Diolefinen miteinander oder mit weiteren Vinylmonomeren wie z. B. Ethylen-Propylen-Copolymere, lineares Polyethylen niedriger Dichte (LLDPE) und dessen Mischungen mit Polyethylen niedriger Dichte (LDPE), Propylen/1-Buten-Copolymere, Propylen/Isobutylen-Copolymere, Ethylen/1-Buten-Copolymere, Ethylen/Hexen-Copolymere, Ethylen/Methylpenten-Copolymere, Ethylen/Hepten-Copolymere, Ethylen/Octen-Copolymere, Propylen/Butadien-Copolymere, Isobutylen/Isopren-Copolymere, Ethylen/Alkylacrylat-Copolymere, Ethylen/Alkylmethacrylat-Copolymere, Ethylen/Vinylacetat-Copolymere und deren Copolymere mit Kohlenmonoxid oder Ethylen/Acrylsäure-Copolymere und deren Salze (Ionomere) sowie Terpofymere von Ethylen mit Polypropylen und einem Dien wie z. B. Hexadien, Dicyclopentadien oder Ethyliden-Norbornen; und Mischungen dieser Copolymere miteinander oder mit den im Absatz (1) aufgeführten Polymeren wie z. B. Polypropylen/Ethylen-Propylen-Copolymere, LDPE/Ethylen-Vinylacetat(EVA)-Copolymere, LDPE/Ethylen-Acrylsäure(EAA)-Copolymere, LLDPE/EVA, LLDPE/EAA und alternierende oder statistische Polyalkylen/Kohlenmonoxid-Copolymere und deren Mischungen mit weiteren Polymeren wie z. B. Polyamiden.
  • Für die Anwendung bevorzugt sind Polymere von Monoolefinen, vorzugsweise α-Monoolefinen wie z. B. Polypropylen, Polyisobutylen, Poly-1-buten, Poly-4-methyl-1-penten, wie auch Polymere von Cycloolefinen, Polyethylen (das gegebenenfalls quervernetzt sein kann) wie z. B. Polyethylen hoher Dichte (HDPE), Polyethylen niedriger Dichte (LDPE), lineares Polyethylen niedriger Dichte (LLDPE), verzweigtes Polyethylen niedriger Dichte (BLDPE) und Copolymere dieser Monomeren mit Vinylacetat.
  • Noch bevorzugter sind Polyethylen, Ethylen/Propylen-Copolymer, Ethylen/Vinylacetat-Copolymer und Polypropylen, insbesondere Polyethylen, beworzugt Polyethylen niedriger Dichte (LDPE).
  • Eine weitere Aufgabe der vorliegenden Erfindung betrifft Agrofilme auf der Basis von Polyolefinen oder olefinischen Copolymeren, die eine wirksame Menge der granulären Form, die vorstehend beschrieben worden ist, enthalten.
  • Die granuläre Form gemäß der vorliegenden Erfindung kann als solche oder in Kombination mit weiteren Stabilisatoren in den vorstehend genannten Polymer-Agrofilmen eingesetzt werden.
  • Die granuläre Form gemäß der vorliegenden Erfindung wird im allgemeinen in einer Menge im Bereich von etwa 0,1% bis etwa 2%, bezogen auf das Gewicht der Filme, die stabilisiert werden sollen, eingesetzt, bevorzugt zwischen etwa 0,2% und etwa 1%.
  • Die granuläre Form gemäß der vorliegenden Erfindung, gegebenenfalls in Anwesenheit von weiteren Additiven, kann einfach in die zu stabilisierenden Polymere unter Verwendung von konventionellen Techniken eingeführt werden.
  • Die resultierenden Polymerzusammensetzungen können gemäß konventionellen Techniken zu Filmen transformiert werden.
  • Die vorstehend genannten Filme auf der Basis von Polyolefinen oder olefinischen Copolymeren können Metalloxide oder -hydroxide wie z. B. Oxide von Zink, Aluminium, Calcium oder Magnesium oder Hydroxide von Zink, Aluminium oder Calcium, vorzugsweise Zinkoxid (ZnO), Zinkhydroxid [Zn(OH)2], ortho- oder meta-Aluminiumhydroxid ([Al(OH)3], α- oder γ-Aluminiumoxid, Magnesiumoxid (MgO), enthalten. Zinkoxide oder -hydroxide sind bevorzugt, wobei Zinkoxid noch bevorzugter ist.
  • Die vorstehend genannten Metalloxide oder -hydroxide werden im allgemeinen in einer Menge im Bereich von 0,005 Gew.-% bis 3 Gew.-% bezogen auf das Gewicht der zu stabilisierenden Filme zugegeben, vorzugsweise zwischen 0,005 Gew.-% und 1 Gew.-%, noch bevorzugter zwischen 0,025 Gew.-% und 0,5 Gew.-%.
  • In vielen Fällen enthalten die vorstehend genannten Filme ein Salz einer C1-C30 Carbonsäure, bevorzugt ein Salz einer C8-C22 Carbonsäure, noch beworzugter ein Salz einer C8-C18 Carbonsäure.
  • Bevorzugte Filme sind jene, die eine oder mehrere Komponenten enthalten, gewählt aus Salzen von Erdalkalimetallen, Zinksalzen und Aluminiumsalzen einer C1-C30 Carbonsäure, Hydrotalciten und sterisch gehinderten Aminen.
  • Filme auf der Basis von Polyolefinen oder olefinischen Copolymeren, die Salze einer C1-C30 Carbonsäure enthalten, sind für die Anwendung von größtem Interesse. Bei Metallcarboxylaten, die gegebenenfalls zugegeben werden können, handelt es sich hauptsächlich um Salze von Al, Ba, Ca, Mg, Sr oder Zn. Salze von Al, Ca, Mg oder Zn, insbesondere von C12-C18 Carbonsäuren, sind bevorzugt. Calciumsalze wie z. B. Calciumstearat sind noch bevorzugter.
  • Die Metallcarboxylate werden in einer Menge im Bereich von 0,05 Gew.-% bis 2 Gew.-%, bezogen auf das Gewicht der zu stabilisierenden Filme, eingesetzt, vorzugsweise zwischen 0,1 Gew.-% und 1 Gew.-%.
  • Die sterisch gehinderten Amine werden in einer Menge im Bereich von etwa 0,01 Gew.-% bis 5 Gew.-%, bezogen auf das Gewicht der zu stabilisierenden Filme, zugegeben, bevorzugt zwischen 0,025 Gew.-% und 2 Gew.-%, noch bevorzugter zwischen 0,05 Gew.-% und 1 Gew.-%.
  • Die vorstehend beschriebenen Filme können vorzugsweise ein Hydrotalcit enthalten. Hydrotalcite, die für die Anwendung eingesetzt werden können, sind aus jenen ausgewählt, die die folgende allgemeine Formel (III) aufweisen: M2+ 1-x·M3+ x·(OH)2·(An-)x/n·pH2O (III)worin:
    • – M2+ für Mg, Ca, Sr, Ba, Zn, Pb, Sn und/oder Ni steht;
    • – M3+ für Al, B oder Bi steht;
    • – An- für ein Anion mit der Wertigkeit 1 steht;
    • – n für eine Zahl zwischen 1 und 4 steht, einschließlich der Grenzen;
    • – x für eine Zahl zwischen 0 und 0,5 steht, einschließlich der Grenzen;
    • – p für eine Zahl zwischen 0 und 2 steht, einschließlich der Grenzen;
    • – A für OH+, Cl-, Br-, I-, ClO4 -, HCO3 -, CH3COO-, C6H5COO-, CO3 2-, SO4 2-, (COO)2 2-, (CHOHCOO)2 2-, (CHOH)4CH2OHCOO-, C2H4(COO)2 2-, (CH2COO)2 2-, CH3CHOHCOO-, SiO3 2-, SiO4 4-, Fe(CN)6 3-, Fe(CN)6 4-, BO3 3-, PO3 3- oder HPO4 2- steht.
  • Bevorzugte Hydrotalcite der allgemeinen Formel (III) sind jene, worin M2+ für Ca2+, Mg2+ oder eine Mischung von Mg2+ und Zn2+ steht, An- für CO3 2-, BO3 3- oder PO3 3- steht, x für eine Zahl zwischen 0 und 0,5 steht, einschließlich der Grenzen, und p für eine Zahl zwischen 0 und 2 steht, einschließlich der Grenzen.
  • Weitere Hydrotalcite, die vorzugsweise verwendet werden können, sind jene der allgemeinen Formel (IIIa): Mx 2+Al2(OH)2x+6nz(An-)2·pH2O (IIIa)worin:
    • – M2+ für Mg oder Zn steht, vorzugsweise für Mg;
    • – An- für Anion steht, ausgewählt aus CO3 2-, (COO)2 2-, OH- und S2-, worin n für die Wertigkeit des Anions steht;
    • – p für eine positive Zahl steht, vorzugsweise zwischen 0 und 5, einschließlich der Grenzen, z. B. zwischen 0,5 und 5 einschließlich der Grenzen;
    • – x für eine positive Zahl steht, bevorzugt zwischen 2 und 6, einschließlich der Grenzen;
    • – z für eine positive Zahl von weniger als 2 steht.
  • Bevorzugte Hydrotalcite mit der allgemeinen Formel (IIIa) sind jene, die durch die folgenden Formeln (IIIb) bis (IIIh) dargestellt werden: Al2O3·6MgO·CO2·12H2O (IIIb); Mg4.5Al2(OH)13·CO3·3.5H2O (IIIc); 4MgO·Al2O3·CO2·9H2O (IIId); 4MgO·Al2O3·CO2·6H2O (IIIe); ZnO·3MgO·Al2O3·CO2·8–9H2O (IIIf); ZnO·3MgO·Al2O3·CO2·5–6H2O (IIIg); Mg4.5Al2(OH)13·CO3 (IIIH)).
  • Die Hydrotalcite können vorzugsweise in einer Menge im Bereich von 0,01 Gew.-% bis 5 Gew.-%, bezogen auf das Gewicht der zu stabilisierenden Filme, verwendet werden, vorzugsweise zwischen 0,2 Gew.-% und 3 Gew.-%.
  • Bei sterisch gehinderten Aminen, die zu den vorstehend beschriebenen Filmen zugegeben werden können, kann es sich um einzelne Verbindungen oder Mischungen von Verbindungen handeln. Im Fall von Mischungen beziehen sich die vorstehend angegebenen Mengenangaben auf die Gesamtmenge von verwendeten sterisch gehinderten Aminen.
  • Sterisch gehinderte Amine beziehen sich auf Verbindungen, die eine oder mehrere trivalente Gruppen enthalten, mit der allgemeinen Formel (IV):
    Figure 00100001
    worin G für Wasserstoff oder Methyl steht und nicht mehr als eine der drei freien Valenzen in der vorstehenden allgemeinen Formel (IV) mit einem Wasserstoff gesättigt ist und zwei oder drei der freien Valenzen für eine Bindung mit Kohlenstoffatomen oder Heteroatomen stehen.
  • Beispiele für die vorstehend genannten sterisch gehinderten Amine sind z. B. in den US Patenten 4,086,204, 4,108,829, 4,263,434, 4,23,412, 4,288,593, 4,315,859, 4,321,374, 4,331,586, 4,413,093, 4,435,555, 4,477,615, 4,335,242, 4,378,836, 4,433,145, 4,459,395, 4,477,615, 4,533,688, 4,540,728, 4,547,548 und 4,740,544; in den europäischen Patentanmeldungen EP 22,080 , EP 29,522 , EP 24, 338 , EP 42,554 , EP 44,499 , EP 70,386 , EP 72,009 , EP 75,849 , EP 82,244 , EP 94,048 , EP 107,615 , EP 402,889 und EP 357,223 ; und in der deutschen Patentanmeldung DE 3,530,666 , beschrieben; die Texte der vorstehend genannten Dokumente sollten als Bestandteil der vorliegenden Anmeldung angesehen werden.
  • In vielen Fällen sind die sterisch gehinderten Amine cyclisch, insbesondere handelt es sich um Verbindungen, ausgewählt aus Polyalkylpiperidin-Derivaten enthaltend wenigstens eine Gruppe mit der allgemeinen Formel (V):
    Figure 00110001
    worin G für Wasserstoff oder Methyl steht, und G1 und G2 für Wasserstoff oder Methyl stehen oder zusammen einen Substituenten =0 bilden, die Polyalkylpiperidin-Gruppen der allgemeinen Formel (V) sind im allgemeinen an der Position 4 mit einem oder zwei polaren Substituenten oder mit einem polaren Ring mit einer Spiro-Struktur substituiert.
  • Von besonderer Bedeutung sind cyclische sterisch gehinderte Amine enthaltend wenigstens eine Gruppe der allgemeinen Formel (V), worin G für Wasserstoff steht und G1 und G2 für Wasserstoff stehen oder zusammen den Substituenten =0 bilden.
  • Vorzugsweise werden insbesondere Derivate von 2,2,6,6-Tetramethylpiperidin eingesetzt.
  • Von besonderer Bedeutung ist die Verwendung von Verbindungen, die der Gruppe von Polyalkylpiperidin angehören, die wenigstens eine Gruppe der allgemeinen Formel (V) im Molekül tragen, ausgewählt aus den im folgenden unter den Punkten (a) bis (i) aufgelisteten.
  • (a) Verbindungen der allgemeinen Formel (VI):
    Figure 00110002
    worin n für eine Zahl zwischen 1 und 4 steht, einschließlich der Grenzen; G und G1 jeweils unabhängig voneinander für Wasserstoff oder Methyl stehen; G11 für Wasser- stoff, eine C1-C18 Alkylgruppe, eine C3-C8 Alkenylgruppe, eine C3-C8 Alkinylgruppe, eine C17-C12 Aralkylgruppe, eine C1-C8 Alkanoylgruppe, eine C3-C5 Alkenoylgruppe, eine Glycidylgruppe, eine -CH2CH(OH)-Z-Gruppe steht, worin Z für Wasserstoff, Methyl oder Phenyl steht, wobei G11 bevorzugt für Wasserstoff, eine C1-C4 Alkylgruppe, ein Allyl, ein Benzyl, ein Acetyl oder ein Acryloyl steht; G12, wenn n für 1 steht, ist Wasserstoff, eine C1-C18 Alkylgruppe, die durch ein oder mehrere Sauerstoffatome unterbrochen sein kann, eine Cyanoethylgruppe, eine Benzylgruppe, ein Glycidylgruppe, ein monovalenter Rest einer Carbonsäure, einer Carbaminsäure oder einer Phosphor-enthaltenden Säure, aliphatisch, cycloaliphatisch oder araliphatisch, ungesättigt oder aromatisch, oder ein monovalenter Silylrest, vorzugsweise ein Rest einer aliphatischen Carbonsäure mit 2 bis 18 Kohlenstoffatomen, einer cycloaliphatischen Carbonsäure mit 7 bis 15 Kohlenstoffatomen, einer α,β-ungesättigten Carbonsäure mit 3 bis 5 Kohlenstoffatomen, einer aromatischen Carbonsäure mit 7 bis 15 Kohlenstoffatomen, wobei diese Carbonsäuren gegebenenfalls in dem aliphatischen, cycloaliphatischen oder aromatischen Bestandteil mit 1 bis 3 -COOZ12-Gruppen substituiert sind, wobei Z12 für Wasserstoff, eine C1-C20 Alkylgruppe, eine C3-C12 Alkenylgruppe, eine C5-C7 Cycloalkylgruppe, ein Phenyl oder ein Benzyl steht; G12 ist, wenn n für 2 steht, eine C2-C12 Alkenylgruppe, eine C4-C12 Alkenylengruppe, eine Xylylen-Gruppe, ein divalenter Rest einer Carbonsäure, einer Dicarbaminsäure oder einer phosphorhaltigen Säure, aliphatisch, cycloaliphatisch, araliphatisch oder aromatisch, oder ein divalenter Silylrest, vorzugsweise ein Rest einer aliphatischen Dicarbonsäure mit 2 bis 36 Kohlenstoffatomen, einer cycloaliphatischen oder aromatischen Dicarbonsäure mit 8 bis 14 Kohlenstoffatomen, einer aliphatischen, cycloaliphatischen oder aromatischen Dicarbaminsäure mit 8 bis 14 Kohlenstoffatomen, wobei die Dicarbonsäuren gegebenenfalls in dem aliphatischen, cycloaliphatischen oder aromatischen Bestandteil mit ein oder zwei -COOZ12-Gruppen substituiert sein können, wobei Z12 die gleichen Bedeutungen wie vorstehend beschrieben aufweist; G12 ist, wenn n für 3 steht, ein trivalenter Rest einer aliphatischen, cycloaliphatischen oder aromatischen Tricarbonsäure, gegebenenfalls in dem aliphatischen, cycloaliphatischen oder aromatischen Bestandteil mit einer -COOZ12-Gruppen substituiert, wobei Z12 die gleichen Bedeutungen wie vorstehend angegeben aufweist, oder ein Rest einer aromatischen Tricarbaminsäure oder einer phosphorhaltigen Säure, oder es handelt sich um einen trivalenten Silylrest; G12 ist, wenn n für 4 steht, ein tetravalenter Rest einer aliphatischen, cycloaliphatischen oder aromatischen Tetracarbonsäure.
  • Die Reste von Tetracarbonsäuren umfassen auf jeden Fall Reste mit der Formel (-CO)nR, worin n die gleiche Bedeutung wie vorstehend angegeben aufweist und R einfach von den vorstehend angegebenen Definitionen abgeleitet werden kann.
  • Beispiele für C1-C12 Alkylgruppen sind: Methyl, Ethyl, n-Propyl, n-Butyl, sec-Butyl, t-Butyl, n-Hexyl, n-Octyl, 2-Ethylhexyl, n-Nonyl, n-Decyl, n-Undecyl, n-Dodecyl, etc.
  • Beispiele für G11- und G12-Substituenten sind, wenn es sich um eine C1-C18 Alkylgruppe handelt, zusätzlich zu den vorstehend angegebenen Gruppen: n-Tridecyl, n-Tetradecyl, n-Hexadecyl, n-Octadecyl, etc.
  • Beispiele für den Substituenten G11 sind, wenn es sich um eine C3-C8 Alkenylgruppe handelt: 1-Propyl, Allyl, Methallyl, 2-Butenyl, 2-Pentenyl, 2-Hexenyl, 2-Octenyl, 4-t-Butyl-2-butenyl, etc.
  • Wenn es sich bei dem Substituent G11 um eine C3-C8 Alkinylgruppe handelt, so ist es bevorzugt Propargyl.
  • Wenn der Substituent G11 für eine C7-C12 Aralkylgruppe steht, handelt es sich insbesondere um Phenethyl, vorzugsweise um Benzyl.
  • Beispiele für den Substituenten G11 sind, wenn es sich um eine C1-C8 Alkanoylgruppe handelt: Formyl, Propionyl, Butyryl, Octanoyl, vorzugsweise Acetyl und, wenn es sich um eine C3-C5 Alkenoylgruppe handelt, vorzugsweise Acryloyl.
  • Beispiele für den Substituenten G12 sind, wenn er für einen monovalenten Rest einer Carbonsäure steht: Reste der folgenden Säuren: Essigsäure, Capronsäure, Stearinsäure, Acrylsäure, Methacrylsäure, Benzoesäure, β-(3,5-di-tert-Butyl-4-hydroxyphenyl)propionsäure, etc.
  • Beispiele für den Substituenten G12 sind, wenn es sich um einen monovalenten Silylrest handelt: ein Rest der allgemeinen Formel -(CjH2j)-Si(Z')2Z'' worin j für eine ganze Zahl zwischen 2 und 5 steht, einschließlich der Grenzen, und Z' und Z" unabhängig voneinander für eine C1-C4 Alkylgruppe oder eine C1-C4 Alkoxygruppe stehen.
  • Beispiele für den Substituenten G12 sind, wenn es sich um einen divalenten Rest einer Dicarbonsäure handelt, Reste der folgenden Säuren: Malonsäure, Succinsäure, Glutarsäure, Adipinsäure, Suberinsäure, Sebacinsäure, Maleinsäure, Itaconsäure, Phthalsäure, Dibutylmalonsäure, Dibenzylmalonsäure, Butyl(3,5-di-tert-butyl-4-hydroxybenzyl)malonsäure, Bicycloheptendicarbonsäure, etc.
  • Beispiele für den Substituenten G12 sind, wenn es sich um einen trivalenten Rest einer Tricarbonsäure handelt, Reste der folgenden Säuren: Trimellinsäure, Zitronensäure, Nitrilotriessigsäure usw.
  • Beispiele für den Substituenten G12 sind, wenn es sich um einen tetravalenten Rest einer Tetracarbonsäure handelt, Reste der folgenden Säuren: Butan-1,2,3,4-tetra-carbonsäure, Pyromellitinsäure, etc.
  • Beispiele für den Substituenten G12 sind, wenn es sich um einen divalenten Rest einer Dicarbaminsäure handelt, Reste der folgenden Säuren: Hexamethylendicarbaminsäure, 2,4-Toluylendicarbaminsäure, usw.
  • Verbindungen der allgemeinen Formel (VI) sind bevorzugt, in denen G für Wasserstoff steht, G12 für Wasserstoff oder Methyl steht, n für 2 steht und G12 für einen Diacylrest einer aliphatischen Dicarbonsäure mit 4 bis 12 Kohlenstoffatomen steht.
  • Spezifische Beispiele für Polyalkylpiperidine der allgemeinen Formel (VI) sind:
    • 1) 4-Hydroxy-2,2,6,6-tetramethylpiperidin;
    • 2) 1-Allyl-4-hydroxy-2,2,6,6-tetramethylpiperidin;
    • 3) 1-Benzyl-4-hydroxy-tetramethylpiperidin;
    • 4) 1-(4-t-Butyl-2-butenyl)-4-hydroxy-2,2,6,6-tetramethylpiperidin;
    • 5) 4-Stearyloxy-2,2,6,6-tetramethylpiperidin;
    • 6) 1-Ethyl-4-salicyloyloxy-2,2,6,6-tetramethylpiperidin;
    • 7) 4-Methacryloyloxy-1,2,2,6,6-pentamethylpiperidin;
    • 8) 1,2,2,6,6-Pentamethylpiperidin-4-yl-β-(3,5-di-t-butyl-4-hydroxyphenyl)-propionate;
    • 9) Di(1-benzyl-2,2,6,6-tetramethylpiperidin-4-yl)maleat;
    • 10) Di(2,2,6,6-tetramethylpiperidin-4-yl)succinat;
    • 11) Di(2,2,6,6-tetramethylpiperidin-4-yl)glutarat;
    • 12) Di(2,2,6,6-tetramethylpiperidin-4-yl)adipat;
    • 13) Di(2,2,6,6-tetramethylpineridin-4-yl)sebacat;
    • 14) Di(1,2,2,6,6-pentamethylpiperidin-4-yl)sebacat;
    • 15) Di(1,2,3,6-tetramethyl-2,6-diethylpiperidin-4-yl)sebacat;
    • 16) Di(1-allyl-2,2,6,6-tetramethylpiperiding-4-yl)phthalat;
    • 17) (1-Acetyl-2,2,6,6-tetramethylpiperidin-4-yl)acetat;
    • 18) Ester von Tri(2,2,6,6-tetramethylpiperidin-4-yl)trimellinsäure;
    • 19) 1-Acryloyl-4-benzyloxy-2,2,6,6-tetramethylpiperidin;
    • 20) Di(2,2,6,6-tetramethylpiperidin-4-yl)diethylmalonat;
    • 21) Di(1,2,2,6,6-pentamethylpiperidin-4-yl)dibutylmalonat;
    • 22) Di(1,2,2,6,6-pentamethylpiperidin-4-yl)butyl-(3,5-di-tert-butyl-4-hydroxybenzyl)malonat;
    • 23) Hexan-1',6'-bis(4-carbamoyloxy-1-n-butyl-2,2,6,6-tetramethylpiperidin;
    • 24) Toluen-2',4'-bis(4-carbamoyloxy-1-n-propyl-2,2,6,6-tetramethylpiperidin;
    • 25) Dimethyl-bis(2,2,6,6-tetramethylpiperidin-4-oxy)silan;
    • 26) Phenyl-tris(2,2,6,6-tetramethylpiperidin-4-oxy)silan;
    • 27) Tris(1-propyl-2,2,6,6-tetramethylpiperidin-4-yl)phosphit;
    • 28) Tris(1-Propyl-2,2,6,6-tetramethylpiperidin-4-yl)phosphat;
    • 29) Bis(1,2,2,6,6-pentamethylpiperidin-4-yl)phenylphosphonat;
    • 30) 4-Hydroxy-1,2,2,6,6-pentamethylpiperidin;
    • 31) 4-Hydroxy-N-hydroxyethyl-2,2,6,6-tetramethylpiperidin;
    • 32) 4-Hydroxy-N-(2-hydroxypropyl)-2,2,6,6-tetramethylpiperidin;
    • 33) 1-Glycidyl-4-hydroxy-2,2,6,6-tetramethylpiperidin.
  • (b) Verbindungen der allgemeinen Formel (VII):
    Figure 00150001
    worin n für 1 oder 2 steht; G, G1 und G11 die gleichen Bedeutungen wie vorstehend unter Punkt (a) definiert aufweisen; G13 für Wasserstoff, eine C1-C12 Alkylgruppe, eine C2-C5 Hydroxyalkylgruppe, eine C5-C7 Cycloalkylgruppe, ein C7-C8 Aralalkylgruppe, eine C2-C18 Alkanoylgruppe, eine C3-C5 Alkenoylgruppe, eine Benzylgruppe oder Gruppe steht, die die folgende allgemeine Formel aufweist:
    Figure 00160001
    worin G, G1 und G11 die gleichen Bedeutungen wie vorstehend unter Punkt (a) definiert aufweisen; G14 steht, wenn n gleich 1 ist, für Wasserstoff, eine C1-C18 Alkylgruppe, C3-C8 Alkenylgruppe, C5-C7 Cycloalkylgruppe, eine C1-C4 Alkylgruppe, substituiert mit Hydroxylgruppe, mit einer Cyanogruppe, mit einer Alkoxycarbonylgruppe oder mit einer Carbamidgruppe, eine Glycicylgruppe, eine Gruppe mit der Formel -CH2-CH(OH)-Z oder mit der Formel -CONH-Z, worin Z für Wasserstoff, Methyl oder Phenyl steht, G14 steht, wenn n gleich 2 ist, für eine C2-C12 Alkenylgruppe, eine C6-C12 Arylengruppe, eine Xylylengruppe, eine Gruppe der Formel -CH2-CH(OH)-CH2- oder der Formel -CH2-CH(OH)-CH2-O-D-O, worin D für eine C2-C10 Alkylengruppe, eine C6-C15 Arylengruppe, eine C6-C12 Cycloalkylengruppe steht oder, unter der Bedingung, dass G13 keine Alkanoylgruppe, Alkenoylgruppe oder eine Benzoylgruppe ist, kann G14 auch für eine 1-Oxo-(C2-C12)-Alkylengruppe, einen divalenten Rest einer Dicarbonsäure oder einer Dicarbaminsäure, aliphatisch, cycloaliphatisch oder aromatisch oder auch für eine -CO-Gruppe stehen, oder, wenn n für 1 steht, können G13 und G14 zusammen einen divalenten Rest einer 1,2- oder 1,3-Dicarbonsäure bilden, aliphatisch, cycloaliphatisch oder aromatisch.
  • Der Ausdruck Aryl bezieht sich auf einen aromatischen Kohlenwasserstoff wie z. B. Phenyl oder Naphthyl. Der Ausdruck Aralkyl bezieht sich auf ein Alkyl, substituiert mit einem aromatischen Kohlenwasserstoff, z. B. einem Kohlenwasserstoff mit 6 bis 10 Kohlenstoffatomen, Beispiele für Aralkyle sind Benzyl, α-Methylbenzyl usw.
  • C1-C12 Alkyl oder C1-C18 Alkylgruppen wurden bereits vorstehend unter Punkt (a) definiert.
  • Bei C5-C7 Cycloalkylgruppen handelt es sich bevorzugt um Cyclohexyl.
  • Wenn G13 für eine C7-C8 Aralkylgruppe steht, handelt es sich um Phenylethyl, vorzugsweise um Benzyl.
  • Wenn G13 für eine C2-C5 Hydroxyalkylgruppe steht, handelt es sich um 2-Hydroxyethyl, Hydroxypropyl, usw.
  • Beispiele für G13 sind, wenn es sich um eine C2-C18 Alkanoylgruppe handelt: Propionyl, Butyryl, Oktanoyl, Dodecanoyl, Hexadecanoyl, Octadecanoyl, usw., vorzugsweise Acetyl und, wenn es sich um eine C3-C5 Alkenoylgruppe handelt, bevorzugt Acryloyl.
  • Beispiele für G14 sind, wenn es sich um eine C2-C8 Alkenylgruppe handelt: Allyl, Methallyl, 2-Butenyl, 2-Pentenyl, 2-Hexenyl, 2-Octenyl, usw.
  • Beispiele für G14 sind, wenn es sich um eine C1-C4 Alkylgruppe handelt, substituiert mit einer Hydroxylgruppe, einer Cyanogruppe, einer Alkoxycarbonylgruppe oder einer Carbamidgruppe: 2-Hydraxyethyl, 2-Hydroxypropyl, 2-Cyanoethyl, Methoxycarbonylmethyl, 2-Ethoxycarbonylethyl, 2-Aminocarbonylpropyl, 2-(Dimethylaminocarbonyl)ethyl, usw.
  • Beispiele für C2-C12 Alkylengruppen sind: Ethylen, Propylen, 2,2-Dimethylpropylen, Tetramethylen, Hexamethylen, Octamethylen, Decamethylen, Dodecamethylen, usw.
  • Beispiele für C6-C15 Arylengruppen sind: o-, m-, oder p-Phenylen, 1,4-Naphthylen, 4,4'-Diphenylen, usw.
  • Beispiele für C6-C12 Cycloalkylengruppen sind vorzugsweise Cyclohexylen.
  • Bevorzugte Verbindungen der allgemeinen Formel (VIII) sind jene, worin n für 1 oder 2 steht, G für Wasserstoff steht, G11 für Wasserstoff oder Methyl steht, G13 für Wasserstoff, eine C1-C12 Alkylgruppe oder eine Gruppe mit der folgenden Formel steht:
    Figure 00170001
    und G14 steht, wenn n gleich 1 ist, für Wasserstoff oder eine C1-C12 Alkylgruppe und, wenn n gleich 2 ist, für eine C2-C8 Alkylengruppe oder eine 1-Oxo-C2-C8-Alkylengruppe.
  • Spezifische Beispiele für Polyalkylpiperidine mit der allgemeinen Formel (VII) sind:
    • 1) N,N'-Bis(2,2,6,6-tetramethylpiperidin-4-yl)hexamethylen-1,6-diamin;
    • 2) N,N'-Bis(2,2,6,6-tetramethylpiperidin-4-yl)hexamethylen-1,6-diacetamid;
    • 3) Bis(2,2,6,6-tetramethylpiperidin-4-yl)amin;
    • 4) 4-Benzoylamino-2,2,6,6-tetramethylpiperidin;
    • 5) N,N'-Bis(2,2,6,6-tetramethylpiperidin-4-yl)-N,N'-dibutyladipamid;
    • 6) N,N'-Bis(2,2,6,b-tetramethylpiperidin-4-yl)-N,N'-dicyclohexyl-2-hydroxypropylen-1,3-diamin;
    • 7) N,N'-Bis(2,2,6,6-tetramethylpiperidin-4-yl)-p-xylylendiamin;
    • 8) N,N'-Bis(2,2,6,6-tetramethylpiperidin-4-yl)-succindiamid;
    • 9) N,N'-Bis(2,2,6,6-tetramethylpiperidin-4-yl)-N-(2,2,6,b-tetramethylpiperidin-4-yl)-β-aminodipropionat;
    • 10) Verbindungen der Formel:
      Figure 00180001
    • 11) 4-[Bis(2-hydroxyethyl)amino]1,2,2,6,6-pentamethylpiperidin;
    • 12) 4-(3-Methyl-4-hydroxy-5-tert-butylbenzamido)-2,2,6,6-tetramethylpiperidin;
    • 13) 4-Methacrylamido-1,2,2,6,6-pentamethylpiperidin.
  • (c) Verbindungen der allgemeinen Formel (VIII):
    Figure 00190001
    worin n für 1 oder 2 steht, G, G1 und G11 die gleichen Bedeutungen wie vorstehend unter Punkt (a) beschrieben aufweisen; G15, wenn n für 1 steht, eine C2-C8 Alkylen- oder Hydroxyalkylengruppe oder eine C4-C22 Acyloxyalkylengruppe ist, und wenn n für 2 steht, eine (-CH2)2C(CH2-)2-Gruppe darstellt.
  • Beispiele für G15 sind, wenn es für eine C2-C8 Alkylengruppe oder Hydroxyalkylengruppe steht: Ethylen, 1-Methylethylen, Propylen, 2-Ethylpropylen, 2-Ethyl-2-hydroxymethylpropylen, usw.
  • Ein Beispiel für G15 ist, wenn es sich um eine C4-C22 Acyloxyalkylengruppe handelt, 2-Ethyl-2-acetoxymethylpropylen.
  • Spezifische Beispiele für Polyalkylpiperidine der allgemeinen Formel (VIII) sind:
    • 1) 9-Aza-8,8,10,10-tetramethyl-1,5-dioxaspiro[5.5]undecan;
    • 2) 9-Aza-8,8,10,10-tetramethyl-3-ethyl-1,5-dioxaspiro[5.5]undecan;
    • 3) 8-Aza-2,7,7,8,9,9-hexamethyl-1,4-dioxaspiro[4.5)decan;
    • 4) 9-Aza-3-hydroxymethyl-3-ethyl-8,8,9,10,10-pentamethyl-1,5-dioxaspiro[5.5]undecan;
    • 5) 9-Aza-3-ethyl-acetoxymethyl-9-acetyl-8,8,10,10-tetramethyl-1,5-dioxaspiro[5.5]undecan;
    • 6) 2,2,6,6-Tetramethylpiperidin-4-spiro-2'-(1'-3'-dioxan)-5'-spiro-5''-(1'',3''-dioxan)-2''-spiro-4'''-(2''',2''',6''',6'''-tetramethylpiperidin).
  • (d) Verbindungen der allgemeinen Formeln (IXA), (IXB) und (IXC), wobei die Verbindungen der allgemeinen Formel (IXC) bevorzugt sind:
    Figure 00200001
    worin n für 1 oder 2 steht, G, G1 und G11 die vorstehend unter Punkt (a) angegebenen Bedeutungen aufweisen; G16 für Wasserstoff, eine C1-C12 Alkylgruppe, eine Allylgruppe, eine Benzylgruppe, eine Glycicylgruppe oder eine C2-C6 Alkoxyalkylgruppe steht, G17 ist, wenn n für 1 steht, Wasserstoff, eine C1-C12 Alkylgruppe, eine C3-C5 Alkenylgruppe, eine C7-C9 Aralalkylgruppe, eine C5-C7 Cycloalkylgruppe, C2-C4 Hydroxyalkylgruppe, eine C2-C6 Alkoxyalkylgruppe, eine C6-C10 Arylgruppe, eine Glycidylgruppe oder eine Gruppe der Formel -(CH2)p-COO-Q oder -(CH2)p-O-CO-Q, worin p für 1 oder 2 steht und Q für eine C1-C4 Alkylgruppe oder ein Phenyl steht; G17 ist, wenn für 2 steht, eine C2-C12 Alkylengruppe, eine C4-C12 Alkylengruppe, eine C6-C12 Arylengruppe, eine Gruppe mit der Formel -CH2-CH(OH)-CH2-O-D-O-CH2-CH(OH)-CH2-, worin D für eine C2-C10 Alkylengruppe, eine C6-C15 Arylengruppe, eine C6-C12 Cycloalkylengruppe oder eine Gruppe der Formel -CH2CH(OZ')CH2-(OCH2-CH(OZ')CH2)2 steht, worin Z' für Wasserstoff, eine C1-C18 Alkylgruppe, ein Allyl, ein Benzyl, eine C2-C12 Alkanoylgruppe oder ein Benzoyl steht; T1 und T2 sind jeweils unabhängig voneinander eine C1-C18 Alkylgruppe, eine C6-C10 Arylgruppe. eine C7-C9 Aralalkylgruppe, wobei diese Gruppen gegebenenfalls mit ei- nem Halogenatom oder mit einer C1-C4 Alkylgruppe substituiert sein können, oder T1 und T2 bilden zusammen mit dem Kohlenstoffatom, an das sie gebunden sind, einen C5-C14 Cycloalkanring.
  • Beispiele für C1-C12 Alkylgruppen sind: Methyl, Ethyl, n-Propyl, n-Butyl, sec-Butyl, tert-Butyl, n-Hexyl, n-Octyl, 2-Ethylhexyl, n-Nonyl, n-Decyl, n-Undecyl, n-Dodecyl, usw.
  • Beispiele für C1-C18 Alkylgruppen sind zusätzlich zu den vorstehend genannten: n-Tridecyl, n-Tetradecyl, n-Hexadecyl, n-Octadecyl, usw.
  • Beispiele für C2-C6 Alkoxyalkylgruppen sind: Methoxymethyl, Ethoxymethyl, Propoxymethyl, t-Butoxymethyl, Ethoxyethyl, Ethoxypropyl, n-Butoxyethyl, t-Butoxyethyl, Isopropoxyethyl, Propoxypropyl, usw.
  • Beispiele für G17 sind, wenn es sich um eine C3-C5 alkenylische Gruppe handelt: 1-Propenyl, Allyl, Methallyl, 2-Butenyl, 2-Pentenyl, usw.
  • Beispiele für G17, T1 und T7 sind, wenn sie eine C7-C9 Aralkylgruppe darstellen: Phenethyl, bevorzugt Benzyl.
  • Beispiele für Cycloalkanringe, die durch T1 und T2 gebildet werden, sind bei Betrachtung dieser Substituenten zusammen mit dem Kohlenstoffatom, an das sie gebunden sind: Cyclopentan, Cyclohexan, Cyclooctan, Cyclododecan usw.
  • Beispiele für G17 sind, wenn es sich um eine C2-C4 Hydroxyalkylgruppe handelt: 2-Hydroxyethyl, 2-Hydroxypropyl, 2-Hydroxybutyl, 4-Hydroxybutyl, usw.
  • Beispiele für G17, T1 und T2 sind, wenn es sich um eine C6-C10 Arylgruppe handelt: α- oder β-Naphthyl, gegebenenfalls mit einem Halogenatom oder einer C1-C4 Alkylgruppe substituiert, usw.
  • Beispiele für G17 sind, wenn es sich um eine C2-C12 Alkylengruppe handelt: Ethylen, Propylen, 2,2-Dimethylpropylen, Tetramethylen, Hexamethylen, Octamethylen, Decamethylen, Dodecamethylen, usw.
  • Beispiele für G17 sind, wenn es sich um eine C4-C12 Alkenylengruppe handelt: 2-Butenylen, 2-Pentenylen, 3-Hexenylen, usw.
  • Beispiele für G17 sind, wenn es sich um eine C6-C12 Arylengruppe handelt, o-, m- oder p-Phenylen, 1,4-Naphthylen, 4,4'-Diphenylen, usw.
  • Beispiele für Z' sind, wenn es sich um eine C2-C12 Alkanoylgruppe handelt: Propionyl, Butyryl, Octanoyl, Dodecanoyl, vorzugsweise Acetyl.
  • Beispiele für D sind, wenn es sich um eine C2-C10 Alkylengruppe, eine C6-C15 Arylengruppe oder eine C6-C12 Cycloalkylengruppe handelt, wie vorstehend unter Punkt (b) definiert.
  • Spezifische Beispiele für Polyalkylpiperidine mit der allgemeinen Formel (IX) sind:
    • 1) 3-Benzyl-1,3,8-triaza-7,7,9,9-tetramethylspiro[4.5]decan-2,4-dion;
    • 2) 3-n-Octyl-1,3,8-triaza-7,7,9,9-tetramethylspiro[4.5]decan-2,4-dion;
    • 3) 3-Allyl-1,3,8-triaza-1,7,7,9,9-pentamethylspiro[4.5]decan-2,4-dion;
    • 4) 3-Glycidyl-1,3,8-triaza-7,7,8,9,9-pentamethylspiro[4.5]decan-2,4-dion;
    • 5) 1,3,7,7,8,9,9-Heptamethyl-1,3,8-triazaspiro[4.5]decan-2,4-dion;
    • 6) 2-Isopropyl-7,7,9,9-tetramethyl-1-oxa-3,8-diaza-4-oxospiro[4.5]decan;
    • 7) 2,2-Dibutyl-7,7,9,9-tetramethyl-1-oxa-3,8-diaza-4-oxospiro[4.5]decan;
    • 8) 2,2,4,4-Tetramethyl-7-oxa-3,20-diaza-21-oxodispiro[4.1.11.2]heneicosan;
    • 9) 2-Butyl-7,7,9,9-tetramethyl-1-oxa-4,8-diaza-3-oxospiro[4.5]decan; und, bevorzugt
    • 10) 8-Acetyl-3-dodecyl-1,3,8-triaza-7,7,9,9-tetramethylspiro[4.5]decan-2,4-dion; oder eine Verbindung mit den folgenden Formeln:
      Figure 00220001
      Figure 00230001
  • e) Verbindungen mit der allgemeinen Formel (X):
    Figure 00230002
    worin n für 1 oder 2 steht, und G18 für eine Gruppe mit einer der folgenden Formeln steht:
    Figure 00240001
    worin G und G11 die gleichen Bedeutungen wie vorstehend unter Punkt (a) beschrieben aufweisen; G1 und G2 stehen für Wasserstoff, Methyl oder zusammen für einen Substituenten =0; E steht für -O oder -NG13-; A steht für eine C2-C6 Alkylengruppe oder eine (CH2)3-O-Gruppe; x steht für 0 oder 1; G13 steht für Wasserstoff, eine C1-C12 Alkylgruppe, eine C2-C5 Hydroxyalkylgruppe, eine C5-C7 Cycloalkylgruppe; G19 hat die gleichen Bedeutungen wie G18 oder ist eine der folgenden Gruppen: -NG21G22, -OG23, -NHCH2OG23 oder -N(CH2OG23)2; G20 hat die gleichen Bedeutungen wie G18 oder G19, wenn n für 1 steht, und wenn n für 2 steht, steht es für eine -E-B-E-Gruppe, worin B für eine C2-C8 Alkylengruppe steht, die gegebenenfalls durch 1 oder 2 -N(G21)-Gruppen unterbrochen ist; G21 steht für eine C1-C12 Alkylgruppe, eine Cyclohexylgruppe, ein Benzyl, eine C1-C4 Hydroxyalkylgruppe oder eine Gruppe mit der folgenden Formel:
    Figure 00240002
  • G22 steht für eine C1-C12 Alkylgruppe, eine Cyclohexylgruppe, ein Benzyl, eine C1-C4 Hydroxyalkylgruppe; G23 steht für Wasserstoff, eine C1-C12 Alkylgruppe, ein Phenyl, oder G21 und G22 bilden zusammen eine C4-C5 Alkylengruppe oder Oxyalkylengruppe, z. B.
    Figure 00240003
    oder eine Gruppe mit der Formel
    Figure 00250001
  • G21 ist eine Gruppe mit der allgemeinen Formel:
    Figure 00250002
  • Beispiele für C1-C12 Alkylgruppen sind: Methyl, Ethyl, n-Propyl, n-Butyl, sec-Butyl, t-Butyl, n-Hexyl, n-Octyl, 2-Ethylhexyl, n-Nonyl, n-Decyl, n-Undecyl, n-Dodecyl, usw. Beispiele für C1-C4 Hydroxyalkylgruppen sind: 2-Hydroxyethyl, 2-Hydroxypropyl, 3-Hydroxypropyl, 2-Hydroxybutyl, 4-Hydroxybutyl, usw.
  • Beispiele für A sind, wenn es sich um eine C2-C6 Alkylengruppe handelt: Ethylen, Propylen, 2,2-Dimethylpropylen, Tetramethylen, Hexamethylen, usw.
  • Beispiele für G21 und G22 sind, wenn sie zusammen eine C4-C5 Alkylen- oder Oxyalkylengruppe bilden: Tetramethylen, Pentamethylen, 3-Oxapentamethylen, usw.
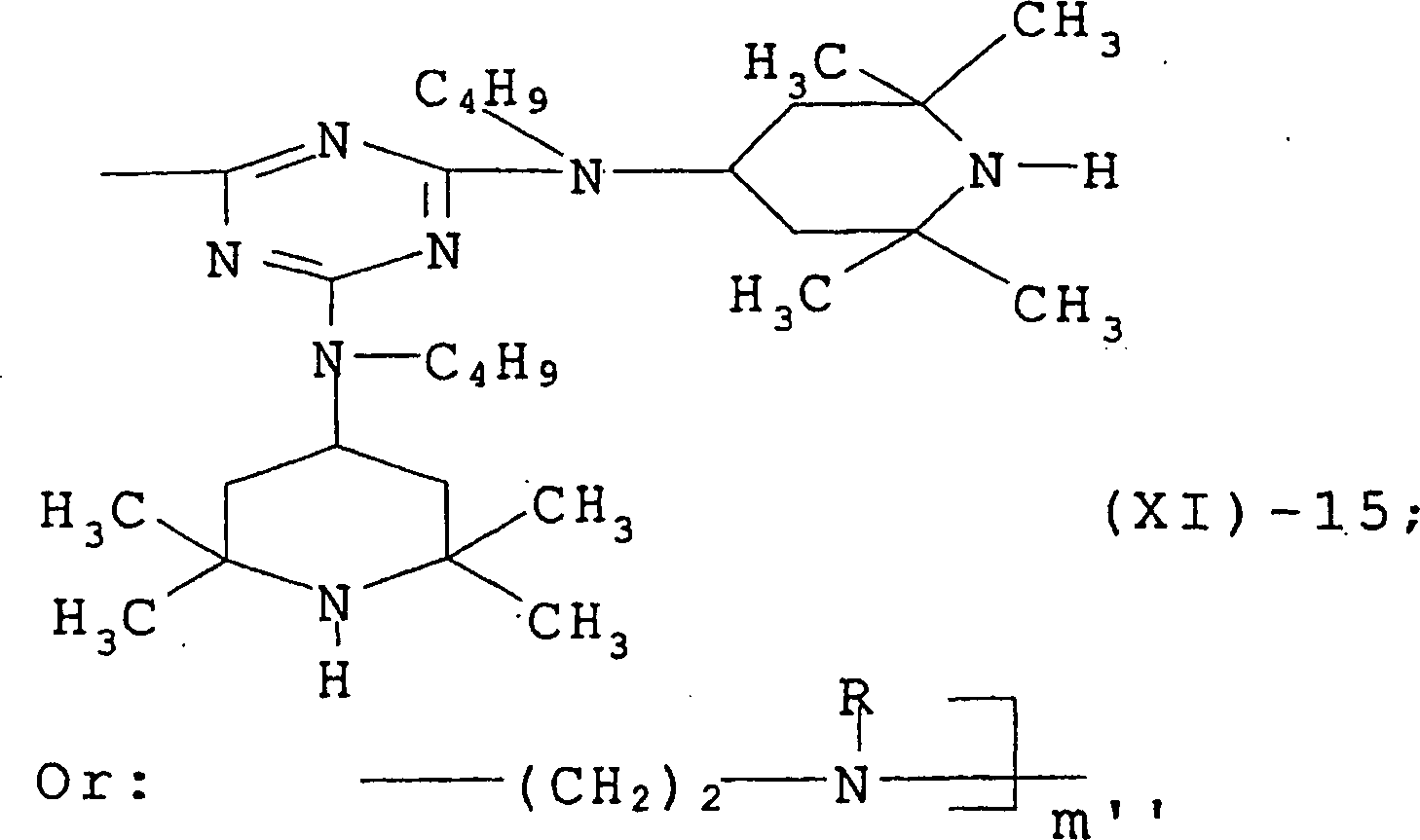
  • Spezifische Beispiele für Polyalkylpiperidine mit der allgemeinen Formel (X) sind:
    Figure 00260001
    Figure 00270001
    Figure 00280001
    worin R darstellt:
    Figure 00280002
    worin R darstellt:
    Figure 00280003
    Figure 00290001
    worin R darstellt:
    Figure 00290002
    Figure 00300001
  • (f) Oligomere oder polymere Verbindungen, deren wiederkehrende Struktureinheit einen 2,2,6,6-Tetramethylpiperidin-Rest der allgemeinen Formel (V) enthält, insbesondere Polyester, Polyether, Polyamide, Polyamine, Polyurethane, Polyharnstoffe, Polyaminotriazine, Poly(meth)acrylate, Poly(meth)acrylamide und deren Copolymere, die diesen Rest enthalten.
  • Spezifische Beispiele für die vorstehend genannten 2,2,6,6-Polyalkylpiperidine werden durch die folgenden Formeln dargestellt, worin m für eine Zahl zwischen 2 und 200 Steht:
    Figure 00310001
    Figure 00320001
    Figure 00330001
    Figure 00340001
    Figure 00350001
    worin R steht für:
    Figure 00350002
    worin m' und m'' für eine ganze Zahl zwischen 0 und 200 stehen, einschließlich der Grenzen, unter der Bedingung, dass m' + m'' gleich m ist.
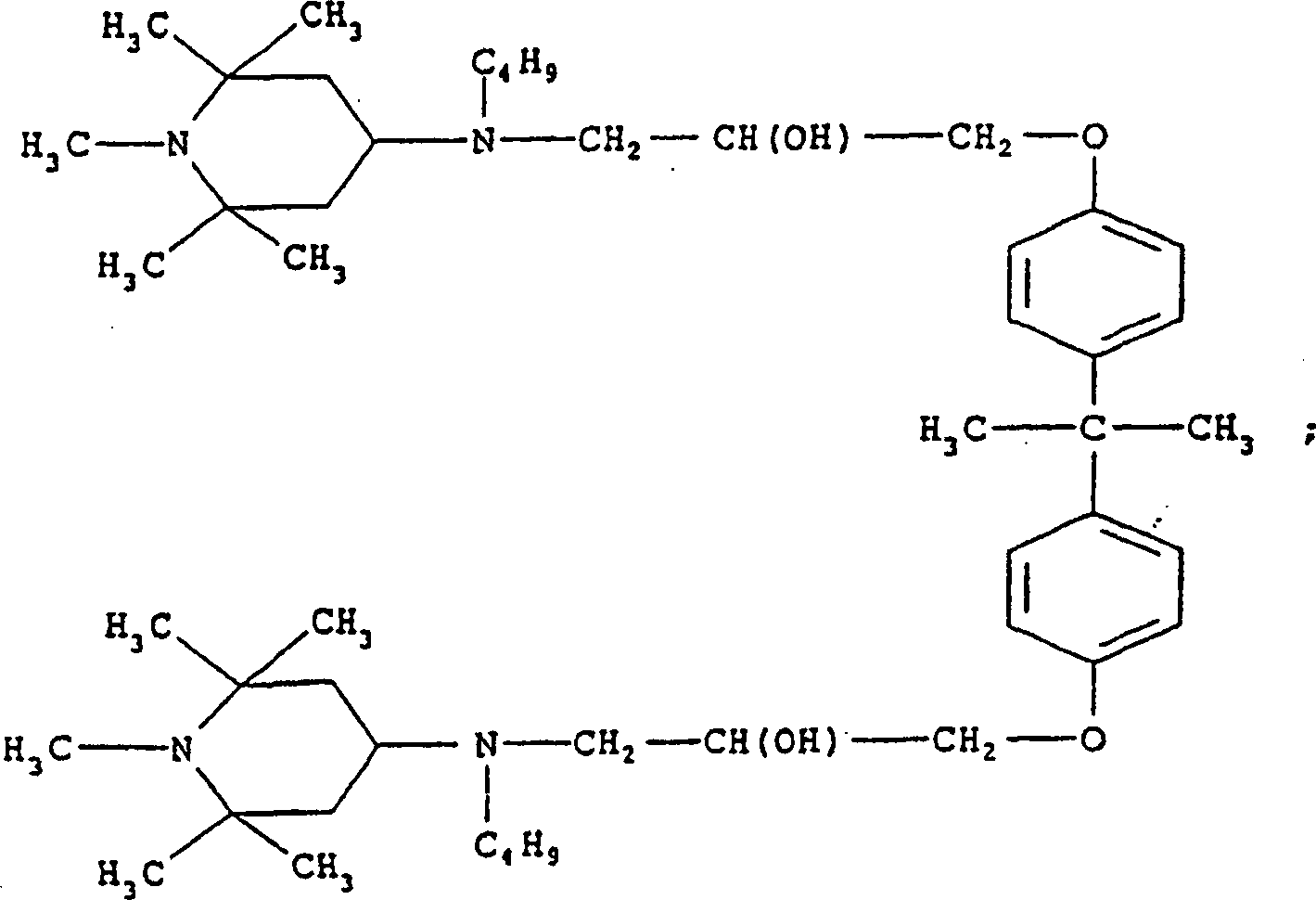
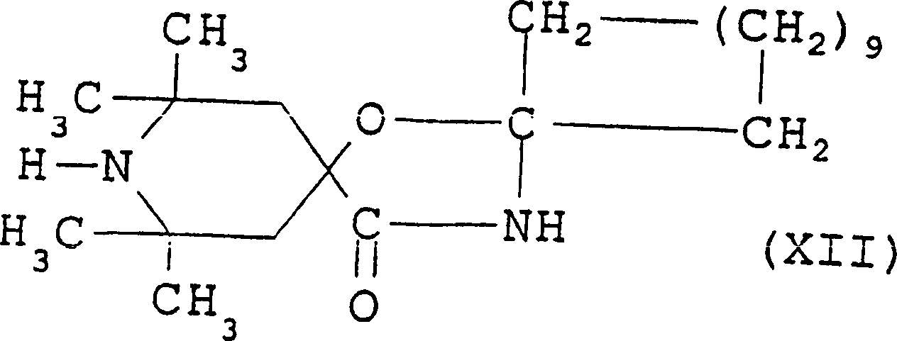
  • Weitere Beispiele von Lichtstabilisatoren, die für diese Anwendung eingesetzt werden können, umfassen:
    • – die Reaktionsprodukte zwischen Verbindungen der Formel (XII):
      Figure 00360001
      und Epichlorhydrin;
    • – Polyester, erhalten durch Reaktion von Butan-1,2,3,4-tetracarbonsäure mit einem bifunktionellen Alkohol der Formel (XIII):
      Figure 00360002
      deren Carbonsäureterminus, erzeugt durch die Tetracarbonsäure, mit einer 2,2,6,6-Tetramethyl-4-hydroxypiperidingruppe verestert worden ist;
    • – Verbindungen mit der allgemeinen Formel (XIV):
      Figure 00360003
      worin etwa ein Drittel der R-Reste eine -C2H5-Gruppe darstellen und die übrigen für eine Gruppe mit der folgenden Formel stehen:
      Figure 00360004
      und m für eine Zahl zwischen 2 und 200 steht, einschließlich der Grenzen;
    • – Copolymere, deren Wiederholungseinheit aus zwei Einheiten der Formel:
      Figure 00370001
      einer Einheit der Formel:
      Figure 00370002
      und einer Einheit der Formel:
      Figure 00370003
      besteht.
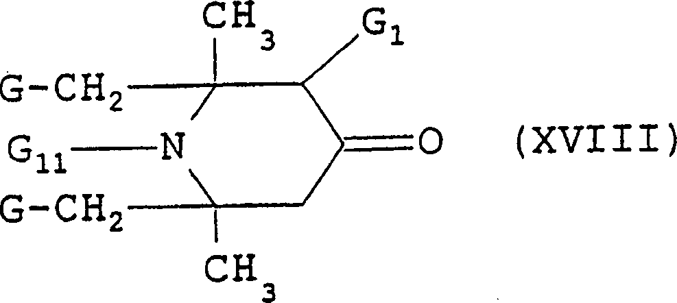
  • (g) Verbindungen der allgemeinen Formel (XVIII):
    Figure 00370004
    worin G, G1 und G11 die gleichen Bedeutungen wie vorstehend unter Punkt (a) angegeben aufweisen. Verbindungen der allgemeinen Formel (XVIII), worin G für Was- serstoff steht und G11 für Wasserstoff oder Methyl steht, werden bevorzugt eingesetzt.
  • Spezifische Beispiele für Verbindungen der allgemeinen Formel (XVIII) sind:
    • – 2,2,6,6-Tetramethyl-4-piperidon(triacetonamin);
    • – 1,2,2,6,6-Pentamethyl-4-piperidon;
    • – 2,3,6-Trimethyl-2,6-diethyl-4-piperidon.
  • (h) Verbindungen mit der allgemeinen Formel (XIX):
    Figure 00380001
    worin G11 die gleichen Bedeutungen wie vorstehend unter Punkt (a) angegeben aufweist und G25 für eine direkte Bindung, ein Methylen oder bevorzugt ein Carbonyl steht, wie in der deutschen Patentanmeldung DE 3,530,666 beschrieben.
  • (i) Verbindungen mit der allgemeinen Formel (XX):
    Figure 00380002
    worin R1 für eine C1-C10 Alkylgruppe, eine C5-C12 Cycloalkylgruppe, gegebenenfalls mit einer C1-C4 Alkylgruppe substituiert, ein Phenyl, gegebenenfalls mit einer C1-C10 Alkylgruppe substituiert, steht; R2 für eine C3-C10 Alkylengruppe steht; R3 für ein Wasserstoff, eine C1-C8 Alkylgruppe, 0, eine -CH2CN-Gruppe, eine C3-C6 Alkenylgruppe, eine C7-C9 Phenylalkylgruppe, gegebenenfalls am Phenylrest mit einer C1-C4 Alkylgruppe substituiert, eine C1-C8 Acylgruppe steht; und n1 für eine Zahl zwischen 1 und 15 steht, einschließlich der Grenzen.
  • Spezifische Beispiele für Verbindungen der allgemeinen Formel (XX) sind:
    • (1) Polymethylpropyl-3-oxy-[4-(2,2,6,6-tetramethyl)-piperidinyl]siloxan, bekannt unter dem Markennamen UVASIL 299 von Great Lakes;
    • (2) Polymethylpropyl-3-oxy[4-(1,2,2,6,6-pentamethyl)-piperidinyl]siloxan.
  • Die granuläre Form gemäß der vorliegenden Erfindung kann wie vorstehend angegeben mit weiteren konventionellen Additiven oder deren Mischungen kombiniert werden. Diese Additive werden in einer Menge im Bereich von etwa 0,1 Gew.-% bis 5 Gew.-%, bezogen auf das Gewicht der Filme auf der Basis von Polyolefinen oder olefinischen Copolymeren, die stabilisiert werden sollen, vorzugsweise zwischen 0,5 Gew.-% und etwa 3 Gew.-% dazugegeben.
  • Beispiele für weitere konventionelle Additive, die verwendet werden können, umfassen: Antioxidationsmittel (wie z. B. alkylierte Monophenole, Alkylthiomethylphenole, Hydrochinone und alkylierte Hydrochinone, Tocopherole, hydroxylierte Thiophenylether, Alkyliden-Bisphenole, Benzylverbindungen, die 0, N oder S enthalten, hydroxybenzylierte Malonate, aromatische Hydroxybenzylverbindungen, Triazinverbindungen, Benzylphosphonate, Acylaminophenole, Ester von β-(3,5-Di-t-butyl-4-hydroxyphenyl)propionsäure mit einwertigen oder mehrwertigen Alkoholen, Ester von β-(5-t-Butyl-4-hydroxyphenyl)propionsäure mit einwertigen oder mehrwertigen Alkoholen, Ester von β-(3,5-Dicylcohexyl-4-hydroxyphenyl)propionsäure mit einwertigen oder mehrwertigen Alkoholen, Ester von (3,5-Di-t-butyl-4-hydroxyphenyl)essigsäure mit einwertigen oder mehrwertigen Alkoholen, Amiden von β-(3,5-Di-t-butyl-4-hydroxyphenyl)propionsäure; weitere UV- und Licht-Stabilisatoren (wie z. B. Derivate von 2-(2'-Hydroxyphenyl)benzotriazolen, Ester von Benzoesäuren, Acrylate, Oxamide, 2-(2-Hydroxyphenyl)-1,3,5-triazin); "Metall-Deaktivierungsmittel"; Phosphite und Phosphonite; Mittel, die fähig sind, Peroxide zu zerstören; Basen-Costabilisatoren, keimbildende Mittel, Füllstoffe und Verstärkungsmaterialien; weitere Additive (wie z. B. Weichmacher, Emulgiermittel, Pigmente, optische Aufheller, flammhemmende Mittel, antistatische Mittel, Treibmittel, thiosynergetische Mittel); Benzofuranone und Indolinone.
  • Die vorliegende Erfindung betrifft ferner ein Verfahren zur Stabilisierung von Agrofilmen (agricultural films) auf der Basis von Polyolefinen oder olefinischen Copolymeren, die insbesondere für Gewächshäuser geeignet sind, umfassend den Einbau der granulären Form gemäß der vorliegenden Erfindung in die Polyolefine oder olefinischen Copolymere, die anschließend in die vorstehend beschriebenen Filme transformiert werden. Gewächshäuser, die mit den vorstehend beschriebenen Agrofilmen überzogen sind, stellen einen weiteren Gegenstand der vorliegenden Erfindung dar.
  • Im folgenden werden einige anschauliche, aber nicht beschränkende Beispiele für ein besseres Verständnis der vorliegenden Erfindung und deren Ausführungsform bereitgestellt.
  • BEISPIEL 1
  • 50 g der Verbindung (b), die 2-Hydroxy-4-n-octoxybenzophenon entspricht, werden in einen 250 ml Kolben gegeben, der mit einem Magnetrührer versehen ist und extern mit einem Ölbad beheizt wird. Die Verbindung wird geschmolzen (bei 50°C) und anschließend auf etwa 100°C erhitzt; 100 g der Verbindung (a), die [2,2'-Thiobis(4-t-butyloctylphenolat)-n-butylamin-Nickel(II)] entspricht, werden anschließend schrittweise dazugegeben.
  • Die Verbindung (a) löst sich in der Verbindung (b) und beim Erhitzen auf 120°C wird eine flüssige Masse erhalten, die auf eine auf etwa 0°C abgekühlte Aluminiumplatte gegossen wird.
  • Nach etwa 1 Stunde wird das verfestige Produkt mittels Vermahlen granuliert, wobei Granulate der gewünschten Dimensionen erhalten werden.
  • BEISPIEL 2
  • 50 g der Verbindung (b), die 2-Hydroxy-4-n-octoxybenzophenon entspricht, werden in einen 250 ml Kolben gegeben, der mit einem Magnetrührer versehen ist und extern mit einem Ölbad beheizt wird. Die Verbindung wird geschmolzen (bei 50°C) und anschließend auf etwa 70°C erhitzt; 100 g der Verbindung (a), die [2,2'-Thiobis(4-t-butyloctylphenolat)-n-butylamin-Nickel(II)] entspricht, werden anschließend schrittweise dazugegeben.
  • Die Verbindung (a) löst sich in der Verbindung (b) und unter Beibehaltung einer Temperatur von 70°C wird eine flüssige Masse erhalten, die auf eine auf etwa 0°C gekühlte Aluminiumplatte getröpfelt wird. Nach 10 bis 15 Minuten verfestigen sich die Tropfen und Granulate der gewünschten Dimensionen werden erhalten.

Claims (9)

  1. Eine granuläre Form einer Mischung umfassend: (a) einen Nickel-Löscher, der [2,2'-Thiobis(4-t-octyl-phenolat)-n-butylamin- Nickel(II)] mit der Formel (I) entspricht:
    Figure 00420001
    (b) ein 2-Hydroxy-4-alkyloxybenzophenon, das 2-Hydroxy-4-n-octyloxybenzophenon mit der Formel (II) entspricht:
    Figure 00420002
    dadurch gekennzeichnet, dass sie zwei Diffraktionslinien bei den Winkeln 2θ = 17,593 und 2θ = 22,023 im Pulver-Röntgenbeugungsspektrum aufweist.
  2. Die granuläre Form gemäß Anspruch 1, worin der Nickel-Löscher (a) mit der Formel (I) und das Benzophenon (b) mit der Formel (II) in einem Verhältnis von 0,4 bis 3 eingesetzt werden.
  3. Die granuläre Form gemäß Anspruch 2, worin der Nickel-Löscher (a) mit der Formel (I) und das Benzophenon (b) mit der Formel (II) in einem Verhältnis von 1 bis 2 eingesetzt werden.
  4. Ein Verfahren zur Herstellung der granulären Form gemäß einem der vorhergehenden Ansprüche, umfassend: (1) Auflösen des Nickel-Löschers (a) mit der Formel (I) in dem Benzophenon (b) mit der Formel (II), das zuvor bei 50°C geschmolzen worden ist, unter Rühren; (2) Kühlen der wie unter Punkt (1) beschrieben erhaltenen Lösung.
  5. Das Verfahren gemäß Anspruch 4, worin der Schritt (1) bei einer Temperatur durchgeführt wird, die im Bereich von 50°C bis 150°C liegt.
  6. Agrofilme auf der Basis von Polyolefinen oder olefinischen Copolymeren, enthaltend eine wirksame Menge der granulären Form gemäß einem der vorhergehenden Ansprüche.
  7. Die Agrofilme gemäß Anspruch 6, worin Metalloxide oder -hydroxide, Erdalkalimetallsalze, Zinksalze und Aluminiumsalze einer C1-C30 Carbonsäure, Hydrotalcite und sterisch gehinderte Amine vorliegen.
  8. Ein Verfahren zur Stabilisierung von Agrofilmen auf der Basis von Polyolefinen oder olefinischen Copolymeren, umfassend den Einbau der granulären Form gemäß einem der Ansprüche 1 bis 5 in die Polyolefine oder polyolefinischen Copolymere, die anschließend in die vorstehenden Filme überführt werden.
  9. Gewächshäuser, überzogen mit den Agrofilmen gemäß einem der Ansprüche 6 bis 8.
DE69918111T 1998-04-09 1999-03-31 Mischungen von nickel-löscher mit benzophenon und verfahren zu dessen herstellung Expired - Lifetime DE69918111T2 (de)

Applications Claiming Priority (3)

Application Number Priority Date Filing Date Title
ITMI980752 1998-04-09
IT98MI000752A IT1299050B1 (it) 1998-04-09 1998-04-09 Forma granulare di una miscela di un nichel-quencher e di un benzo- fenone e procedimento per la sua preparazione
PCT/EP1999/002366 WO1999052977A1 (en) 1998-04-09 1999-03-31 Granular form of a mixture of a nickel-quencher and a benzophenone and process for its preparation

Publications (2)

Publication Number Publication Date
DE69918111D1 DE69918111D1 (de) 2004-07-22
DE69918111T2 true DE69918111T2 (de) 2005-07-07

Family

ID=11379709

Family Applications (1)

Application Number Title Priority Date Filing Date
DE69918111T Expired - Lifetime DE69918111T2 (de) 1998-04-09 1999-03-31 Mischungen von nickel-löscher mit benzophenon und verfahren zu dessen herstellung

Country Status (9)

Country Link
US (1) US6403679B1 (de)
EP (1) EP1084183B1 (de)
AR (1) AR019038A1 (de)
AU (1) AU3706699A (de)
DE (1) DE69918111T2 (de)
IL (1) IL135721A (de)
IT (1) IT1299050B1 (de)
TN (1) TNSN99057A1 (de)
WO (1) WO1999052977A1 (de)

Families Citing this family (1)

* Cited by examiner, † Cited by third party
Publication number Priority date Publication date Assignee Title
IT1300058B1 (it) * 1998-04-23 2000-04-05 Great Lakes Chemical Italia Modificazione cristallina di miscele di un nichel-quencher e di un benzofenone e procedimento per la sua preparazione

Family Cites Families (3)

* Cited by examiner, † Cited by third party
Publication number Priority date Publication date Assignee Title
US4623480A (en) * 1984-01-05 1986-11-18 Ciba-Geigy Corporation Synergistic mixtures of nickel-containing 2,2'-thiobis(alkylphenols) and pyrazolates
EP0214507B1 (de) * 1985-09-10 1992-01-15 American Cyanamid Company Gegen chemischen Angriff stabilisierte Folien für den Ausseneinsatz
IT1258271B (it) * 1992-04-06 1996-02-22 Enichem Sintesi Processo per l'ottenimento di forme granulari di addittivi per polimeri organici.

Also Published As

Publication number Publication date
ITMI980752A1 (it) 1999-10-11
WO1999052977A1 (en) 1999-10-21
AR019038A1 (es) 2001-12-26
IL135721A (en) 2004-07-25
IT1299050B1 (it) 2000-02-07
IL135721A0 (en) 2001-05-20
EP1084183A1 (de) 2001-03-21
US6403679B1 (en) 2002-06-11
TNSN99057A1 (fr) 2001-12-31
DE69918111D1 (de) 2004-07-22
AU3706699A (en) 1999-11-01
EP1084183B1 (de) 2004-06-16

Similar Documents

Publication Publication Date Title
DE69532484T2 (de) Polyolefin- oder Olefincopolymerfilme mit verbesserter Lichtstabilität und Pestizidbeständigkeit
EP0909280B1 (de) Abbau von polymeren durch nor-hals-verbindungen
DD297831A5 (de) Verfahren zur herstellung von thermisch und oxidativ stabilen olefinpolymeren
EP0290391B1 (de) Gegen Lichtschädigung stabilisierte Polyolefine
EP0905180A2 (de) Staubfreie epoxidhaltige Stabilisatorgranulate und Verfahren zur Herstellung
EP0710677A2 (de) Verfahren zur Herstellung von stabilisierten Olefinpolymeren
DE69918111T2 (de) Mischungen von nickel-löscher mit benzophenon und verfahren zu dessen herstellung
EP0592363B1 (de) Erhöhung der Lagerstabilität von organischen Phosphiten und Phosphoniten
JP3755110B2 (ja) 有機ホスフィットおよびホスホナイトの貯蔵安定性の改良
EP1084175B1 (de) Kristalline modifikation von mischungen von einem nickel-löscher und einem benzophenon und ihr herstellungsverfahren
DE3888158T2 (de) Verfahren zur Herstellung von vorgeschäumten Teilchen eines Polyolefins.
DE602005001397T2 (de) Polyolefinzusammensetzungen mit hydratisierten anorganischen oder organischen verbindungen zur verhinderung von verfärbung
KR100449438B1 (ko) 안정화된폴리올레핀조성물및폴리올레핀성형물의안정화방법
HK1005693B (en) Use of sterically hindered amines in combination with a metal oxide or hydroxide to improve the light stabilitiy and pesticide resistance of polyolefin or olefin copolymer films
CH688878GA3 (de) Handelsformen von sterisch gehindertem Amin und deren Verwendung.
DE3503136A1 (de) Verfahren zur erhoehung des weissgrades bei optisch aufgehellten polyolefinen und polystyrol

Legal Events

Date Code Title Description
8364 No opposition during term of opposition