CN114623731A - A low-collateral damage rain-enhancing and hail-suppressing shell - Google Patents
A low-collateral damage rain-enhancing and hail-suppressing shell Download PDFInfo
- Publication number
- CN114623731A CN114623731A CN202210283230.8A CN202210283230A CN114623731A CN 114623731 A CN114623731 A CN 114623731A CN 202210283230 A CN202210283230 A CN 202210283230A CN 114623731 A CN114623731 A CN 114623731A
- Authority
- CN
- China
- Prior art keywords
- rain
- hail
- explosive
- enhancing
- fuze
- Prior art date
- Legal status (The legal status is an assumption and is not a legal conclusion. Google has not performed a legal analysis and makes no representation as to the accuracy of the status listed.)
- Withdrawn
Links
- 239000002360 explosive Substances 0.000 claims abstract description 83
- 230000035945 sensitivity Effects 0.000 claims abstract description 38
- XAGFODPZIPBFFR-UHFFFAOYSA-N aluminium Chemical compound [Al] XAGFODPZIPBFFR-UHFFFAOYSA-N 0.000 claims abstract description 23
- 239000003054 catalyst Substances 0.000 claims abstract description 19
- 229910052782 aluminium Inorganic materials 0.000 claims abstract description 15
- 238000005474 detonation Methods 0.000 claims description 14
- 238000002161 passivation Methods 0.000 claims description 6
- XLYOFNOQVPJJNP-UHFFFAOYSA-N water Chemical compound O XLYOFNOQVPJJNP-UHFFFAOYSA-N 0.000 description 25
- 238000004880 explosion Methods 0.000 description 18
- JKFYKCYQEWQPTM-UHFFFAOYSA-N 2-azaniumyl-2-(4-fluorophenyl)acetate Chemical compound OC(=O)C(N)C1=CC=C(F)C=C1 JKFYKCYQEWQPTM-UHFFFAOYSA-N 0.000 description 13
- 229910021612 Silver iodide Inorganic materials 0.000 description 13
- 239000002245 particle Substances 0.000 description 13
- 229940045105 silver iodide Drugs 0.000 description 13
- 230000000694 effects Effects 0.000 description 10
- 238000000034 method Methods 0.000 description 8
- 238000001556 precipitation Methods 0.000 description 8
- 230000008030 elimination Effects 0.000 description 7
- 238000003379 elimination reaction Methods 0.000 description 7
- 210000002257 embryonic structure Anatomy 0.000 description 4
- 230000008901 benefit Effects 0.000 description 3
- 230000006910 ice nucleation Effects 0.000 description 3
- 230000008569 process Effects 0.000 description 3
- 230000008859 change Effects 0.000 description 2
- 238000006243 chemical reaction Methods 0.000 description 2
- 238000009841 combustion method Methods 0.000 description 2
- 238000002485 combustion reaction Methods 0.000 description 2
- 238000009833 condensation Methods 0.000 description 2
- 230000005494 condensation Effects 0.000 description 2
- 230000004048 modification Effects 0.000 description 2
- 238000012986 modification Methods 0.000 description 2
- 230000035939 shock Effects 0.000 description 2
- DYSXLQBUUOPLBB-UHFFFAOYSA-N 2,3-dinitrotoluene Chemical compound CC1=CC=CC([N+]([O-])=O)=C1[N+]([O-])=O DYSXLQBUUOPLBB-UHFFFAOYSA-N 0.000 description 1
- 230000009471 action Effects 0.000 description 1
- 239000000443 aerosol Substances 0.000 description 1
- 230000009286 beneficial effect Effects 0.000 description 1
- 230000005540 biological transmission Effects 0.000 description 1
- 230000015572 biosynthetic process Effects 0.000 description 1
- 239000003795 chemical substances by application Substances 0.000 description 1
- 230000008094 contradictory effect Effects 0.000 description 1
- 230000002596 correlated effect Effects 0.000 description 1
- 239000013078 crystal Substances 0.000 description 1
- 239000012634 fragment Substances 0.000 description 1
- 230000005764 inhibitory process Effects 0.000 description 1
- 229920002689 polyvinyl acetate Polymers 0.000 description 1
- 239000011118 polyvinyl acetate Substances 0.000 description 1
- 239000000725 suspension Substances 0.000 description 1
Images
Classifications
-
- F—MECHANICAL ENGINEERING; LIGHTING; HEATING; WEAPONS; BLASTING
- F42—AMMUNITION; BLASTING
- F42B—EXPLOSIVE CHARGES, e.g. FOR BLASTING, FIREWORKS, AMMUNITION
- F42B12/00—Projectiles, missiles or mines characterised by the warhead, the intended effect, or the material
- F42B12/02—Projectiles, missiles or mines characterised by the warhead, the intended effect, or the material characterised by the warhead or the intended effect
- F42B12/36—Projectiles, missiles or mines characterised by the warhead, the intended effect, or the material characterised by the warhead or the intended effect for dispensing materials; for producing chemical or physical reaction; for signalling ; for transmitting information
- F42B12/46—Projectiles, missiles or mines characterised by the warhead, the intended effect, or the material characterised by the warhead or the intended effect for dispensing materials; for producing chemical or physical reaction; for signalling ; for transmitting information for dispensing gases, vapours, powders or chemically-reactive substances
-
- A—HUMAN NECESSITIES
- A01—AGRICULTURE; FORESTRY; ANIMAL HUSBANDRY; HUNTING; TRAPPING; FISHING
- A01G—HORTICULTURE; CULTIVATION OF VEGETABLES, FLOWERS, RICE, FRUIT, VINES, HOPS OR SEAWEED; FORESTRY; WATERING
- A01G15/00—Devices or methods for influencing weather conditions
-
- C—CHEMISTRY; METALLURGY
- C06—EXPLOSIVES; MATCHES
- C06B—EXPLOSIVES OR THERMIC COMPOSITIONS; MANUFACTURE THEREOF; USE OF SINGLE SUBSTANCES AS EXPLOSIVES
- C06B33/00—Compositions containing particulate metal, alloy, boron, silicon, selenium or tellurium with at least one oxygen supplying material which is either a metal oxide or a salt, organic or inorganic, capable of yielding a metal oxide
- C06B33/08—Compositions containing particulate metal, alloy, boron, silicon, selenium or tellurium with at least one oxygen supplying material which is either a metal oxide or a salt, organic or inorganic, capable of yielding a metal oxide with a nitrated organic compound
Landscapes
- Chemical & Material Sciences (AREA)
- Engineering & Computer Science (AREA)
- Life Sciences & Earth Sciences (AREA)
- Materials Engineering (AREA)
- Metallurgy (AREA)
- Organic Chemistry (AREA)
- Atmospheric Sciences (AREA)
- Environmental Sciences (AREA)
- Combustion & Propulsion (AREA)
- General Engineering & Computer Science (AREA)
- Catalysts (AREA)
Abstract
本发明公开了一种低附带损害的增雨消雹炮弹,包括引信体、引信传爆管、增雨催化剂、炸药装药和弹体。装有引信传爆管的引信体固定在弹体的口部,增雨催化剂和炸药装药设置于弹体内,引信传爆管的底部与炸药装药的顶部之间设有一纸垫,所述炸药装药采用感度接近于特屈儿的非铝炸药。本发明通过合理替换炸药装药的种类,在保证换药后炮弹的增雨消雹性能不受影响的前提下,解决了现有增雨消雹炮弹存在发射安全性隐患、易使未爆弹在落地时意外发火引起火灾的问题,降低了炸药感度,提高了增雨消雹炮弹的安全性,杜绝了火灾隐患,从而降低了增雨消雹炮弹的附带损害。
The invention discloses a rain-enhancing and hail-eliminating artillery shell with low collateral damage, which comprises a fuze body, a fuze detonator, a rain-enhancing catalyst, an explosive charge and a projectile body. The fuze body equipped with the fuze detonator is fixed at the mouth of the projectile body, the rain-enhancing catalyst and the explosive charge are arranged in the projectile body, and a paper pad is arranged between the bottom of the fuze detonator and the top of the explosive charge. The explosive charge is a non-aluminum explosive with a sensitivity close to that of Tetra. By reasonably replacing the types of explosive charges, the present invention solves the problems of the existing rain-enhancing and hail-eliminating artillery shells, which have hidden dangers in launching safety and are easy to use unexploded shells, on the premise of ensuring that the rain-increasing and hail-eliminating performance of the shells is not affected after the drug-changing. The problem of fire caused by accidental ignition when landing reduces the sensitivity of the explosive, improves the safety of the rain-enhancing and hail-eliminating shells, and eliminates the hidden danger of fire, thereby reducing the collateral damage of the rain-enhancing and hail-eliminating shells.
Description
技术领域technical field
本发明属于人工影响天气用增雨消雹炮弹技术领域,具体涉及一种低附带损害的增雨消雹炮弹。The invention belongs to the technical field of rain-increasing and hail-eliminating artillery shells for artificial weather modification, and in particular relates to a rain-enhancing and hail-eliminating artillery shell with low collateral damage.
背景技术Background technique
云是一种过冷却水汽在空中的悬浮物,降水的形成不仅仅取决于云中水汽的含量,同时还决定于云中供水汽凝结的凝结核的多少。即使云中水汽含量特别大,若没有或仅有少量的凝结核,水汽是不会充分凝结的,也不能充分地下降。即使有的小水滴能够下降,也终会因太少太小,而在降落过程中中途蒸发。而产生冰雹的主要条件是:云中要有上下强烈运动的气流,并且蕴涵大量水分。只有这样,云中小的冰雹胚胎才有发展成冰雹的足够水分供应,才有充分的机会捕捉云中水分使自身不断增大。Cloud is a suspension of supercooled water vapor in the air. The formation of precipitation depends not only on the content of water vapor in the cloud, but also on the number of condensation nuclei where the water vapor condenses in the cloud. Even if the water vapor content in the cloud is particularly large, without or with only a small number of condensation nuclei, the water vapor will not condense sufficiently, nor will it descend sufficiently. Even if some small water droplets can fall, they will eventually evaporate in the middle of the landing process because they are too few and too small. The main conditions for the generation of hail are: there must be strong up and down airflow in the cloud, and a large amount of moisture is contained. Only in this way, can the small hail embryos in the cloud have enough water supply to develop into hail, and have sufficient opportunities to capture the water in the cloud to make themselves grow.
传统增雨消雹炮弹的增雨消雹作用理论上依赖于弹内装填的冷云催化剂,目前的冷云催化剂都选为了碘化银。在积雨云层中产生碘化银气溶胶的方法主要有燃烧法与爆炸法。虽然有人认为燃烧法效果好于爆炸法,但由于要炸碎弹体从而防止残余弹体从空中坠落形成危害,所以对于增雨消雹炮弹而言只能采用爆炸法,即将约1 g的碘化银装于炮弹装药内,通过爆炸驱散碘化银催化剂形成大量碘化银微粒,这些微粒会随气流运动进入云中形成大量冰核,以供云中水汽充分凝结,进而实现增雨的目的。消雹的原理与增雨的原理类似,只要增雨消雹炮弹向云中播撒量催化剂的量足够,以产生大量冰晶,迅速形成更多的水滴或冰粒,造成同雹胚竞争水分的优势,从而抑制雹块的增长,实现消雹的目的。The rain-enhancing and hail-reducing effect of traditional rain-enhancing and hail-reducing cannonballs theoretically depends on the cold cloud catalyst loaded in the projectile, and silver iodide is selected as the current cold cloud catalyst. The methods of generating silver iodide aerosol in cumulonimbus clouds mainly include combustion method and explosion method. Although some people think that the effect of the combustion method is better than that of the explosion method, because the projectile body needs to be broken to prevent the residual projectile body from falling from the air, the explosion method can only be used for the rain-enhancing and hail-eliminating artillery shells, that is, about 1 g of silver iodide. It is installed in the shell charge, and the silver iodide catalyst is dissipated by explosion to form a large number of silver iodide particles. These particles will enter the cloud with the airflow to form a large number of ice nuclei, so that the water vapor in the cloud can be fully condensed, thereby achieving the purpose of increasing rainfall. The principle of hail elimination is similar to that of rain enhancement. As long as the rain and hail elimination cannonballs scatter enough catalysts into the cloud to produce a large number of ice crystals, more water droplets or ice particles are formed quickly, resulting in the advantage of competing with hail embryos for moisture. , so as to inhibit the growth of hail and achieve the purpose of eliminating hail.
此外,增雨消雹炮弹爆炸的冲击波在传播过程中还会形成扰动气流场,强烈的气体扰动会改变云中原来的上升气流,从而破坏降水粒子与上升气流的平衡,导致粒子集中下落。该特性既可实现增雨,也能促使尚未形成冰雹的云提前降水而崩溃,实现消雹。In addition, the shock wave from the explosion of the rain-enhancing and hail-eliminating cannonballs will also form a disturbed airflow field during the propagation process. This feature can not only achieve rain increase, but also promote the precipitation of clouds that have not yet formed hail to collapse in advance, and achieve hail elimination.
增雨消雹炮弹的增雨和消雹性能与炸药装药的爆炸效应直接相关。炸药装药的爆压越高,爆炸时驱动碘化银催化剂的速度就越快,爆炸形成的碘化银微粒数量和覆盖范围就越大,碘化银催化剂成冰核率就越高,冰核吸收云中水汽进而产生更多的水滴或冰粒,炮弹增雨效果就越好;同时,碘化银催化剂成冰核率越高,云层中形成的水滴或冰粒就越多,同雹胚竞争水分的优势就越大,抑制雹块的增长从而实现消雹的效果就越好。此外,炸药装药的爆压越高,增雨消雹炮弹爆炸形成的扰动气流就越强,对降水粒子与上升气流平衡的破坏效果就越好,进而导致更多的降水粒子集中下落,促使尚未形成冰雹的云提前降水而崩溃,更好地实现增雨和消雹。因此,炸药装药的选用过程中,其爆压特性是需要优先保证的。而炸药装药的其他特性,如燃烧特性以及壳体破片杀伤特性,则会带来各种附带损害,应尽可能规避掉。The rain-enhancing and hail-suppressing properties of the rain-enhancing and hail-suppressing shells are directly related to the explosive effect of the explosive charge. The higher the explosion pressure of the explosive charge, the faster the speed of driving the silver iodide catalyst during the explosion, the greater the number and coverage of the silver iodide particles formed by the explosion, and the higher the ice nucleation rate of the silver iodide catalyst. The more water droplets or ice particles are produced, the better the effect of cannonball rain enhancement; at the same time, the higher the ice nucleation rate of the silver iodide catalyst, the more water droplets or ice particles formed in the cloud layer, and the greater the advantage of competing with hail embryos for water. , the better the effect of suppressing the growth of hail to achieve hail elimination. In addition, the higher the explosion pressure of the explosive charge, the stronger the disturbed airflow formed by the explosion of the rain-enhancing and hail-eliminating shells, and the better the damage effect on the balance between the precipitation particles and the updraft, which in turn causes more precipitation particles to fall in a concentrated manner, prompting the Clouds that have not yet formed hail fall in advance due to precipitation, which better achieves rain enhancement and hail elimination. Therefore, in the selection process of explosive charge, its detonation pressure characteristics need to be guaranteed first. The other characteristics of the explosive charge, such as the combustion characteristics and the killing characteristics of shell fragments, will bring various collateral damages and should be avoided as much as possible.
传统增雨消雹炮弹由国库积存的军用炮弹改制而来,原军用炮弹装有铝粉,用以实现对目标的燃烧特性。军用炮弹改制成增雨消雹炮弹,就沿用了原有钝黑铝装药。钝黑铝装药由70%~80%的钝化黑索今和20%~30%的片状铝粉混制而成,铝粉具有燃烧特性,若意外形成未爆弹而落入干旱地区植被,此时引信再发火就很可能会引起火灾,造成不必要的附带损害。而且由于钝黑铝装药的摩擦感度(68%)和冲击感度(40%)均远高于安全临界炸药特屈儿,所以还有发射安全性隐患。The traditional rain-enhancing and hail-suppressing shells are transformed from military shells accumulated in the national treasury. The original military shells are equipped with aluminum powder to achieve the burning characteristics of the target. Military artillery shells were transformed into rain-increasing and hail-reducing shells, and the original blunt black aluminum charge was used. The passivated black aluminum charge is made up of 70% to 80% of passivated black cable and 20% to 30% of flake aluminum powder. Vegetation, at which point the fuze is likely to fire again, causing unnecessary collateral damage. Moreover, since the friction sensitivity (68%) and impact sensitivity (40%) of the blunt black aluminum charge are much higher than those of the safety critical explosive Tequer, there are still potential safety hazards.
发明内容SUMMARY OF THE INVENTION
本发明的目的在于提供一种低附带损害的增雨消雹炮弹,以解决现有增雨消雹炮弹存在发射安全性隐患、易使未爆弹在落地时意外发火引起火灾的问题。The purpose of the present invention is to provide a kind of rain-increasing and hail-eliminating cannonball with low collateral damage, so as to solve the problem that the existing rain-increasing and hail-eliminating cannonball has a potential safety hazard in launching, and it is easy to cause the unexploded projectile to accidentally ignite and cause a fire when landing.
实现本发明目的的技术解决方案为:一种低附带损害的增雨消雹炮弹,包括引信体、引信传爆管、增雨催化剂、炸药装药和弹体,装有引信传爆管的引信体固定在弹体的口部,增雨催化剂和炸药装药设置于弹体内,引信传爆管的底部与炸药装药的顶部之间设有一纸垫,所述炸药装药采用感度接近但特屈儿(摩擦感度16%,冲击感度48%)的非铝炸药,如聚黑-2炸药(摩擦感度28%,冲击感度22%)或钝化黑索今炸药(摩擦感度28%,冲击感度32%)。The technical solution for realizing the purpose of the present invention is: a low collateral damage rain-increasing and hail-eliminating shell, comprising a fuze body, a fuze detonator, a rain-enhancing catalyst, an explosive charge and a projectile body, and a fuze equipped with a fuze detonator. The body is fixed at the mouth of the projectile body, the rain-enhancing catalyst and the explosive charge are arranged in the projectile body, and a paper pad is arranged between the bottom of the fuze detonator and the top of the explosive charge. Quer (friction sensitivity 16%, impact sensitivity 48%) non-aluminum explosives, such as polyhei-2 explosive (friction sensitivity 28%, impact sensitivity 22%) or passivated Hesuojin explosive (friction sensitivity 28%, impact sensitivity 32%).
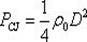
在爆压特性方面,钝黑铝炸药由70%~80%的钝化黑索今和20%~30%的片状铝粉混制成,其爆炸反应过程首先是黑索今本身发生爆炸分解反应,而后其爆炸产物与铝粉发生反应,但铝粉与爆炸产物的反应速率较慢,反应释放的能量来不及补充到冲击波波阵面,因而铝粉的加入会使黑索今的爆速降低(密度1.77 g/cm3的80:20钝黑铝炸药爆速为8089 m/s)。聚黑-2炸药由94.5%黑索今、3%二硝基甲苯、2%聚醋酸乙烯酯和0.5%其他组分构成,其爆速与主要组分黑索今(密度1.77 g/cm3的黑索今爆速为8640 m/s)相近(密度1.667 g/cm3的聚黑-2炸药爆速为8122 m/s,密度1.722g/cm3的聚黑-2炸药爆速为8425m/s)。钝化黑索今炸药由93.5%~95%的黑索今和5%~6.5%的钝感剂构成,其爆速同样与主要组分黑索今相近(密度1.64 g/cm3的钝化黑索今炸药爆速为8271 m/s,密度1.67g/cm3的钝化黑索今炸药爆速为8498m/s)。综上所述,聚黑-2炸药和钝化黑索今炸药的爆速均高于钝黑铝炸药,而根据经验公式In terms of explosion pressure characteristics, the passivated black aluminum explosive is made of 70% to 80% of passivated black aluminum powder and 20% to 30% of flake aluminum powder. Then the explosive product reacts with the aluminum powder, but the reaction rate between the aluminum powder and the explosive product is slow, and the energy released by the reaction cannot be replenished to the shock wave front. The detonation velocity of 80:20 dull black aluminum explosive with a density of 1.77 g/cm 3 is 8089 m/s). Polyhexyl-2 explosive is composed of 94.5% hexagon, 3 % dinitrotoluene, 2% polyvinyl acetate and 0.5% other components. The detonation velocity of Hesuo is 8640 m/s today) is similar (the detonation velocity of the polyhei-2 explosive with a density of 1.667 g/cm 3 is 8122 m/s, and the detonation velocity of the polyhei-2 explosive with a density of 1.722 g/cm 3 is 8425 m/s). Passivation Hexojin explosive is composed of 93.5%~95% Hexojin and 5 %~6.5% insensitive agent. The detonation velocity of the Suojin explosive is 8271 m/s, and the detonation velocity of the passivated black Suojin explosive with a density of 1.67 g/cm 3 is 8498 m/s). To sum up, the detonation velocity of polyhei-2 explosive and passivation black cable explosive is higher than that of passivation black aluminum explosive, and according to the empirical formula
炸药爆压P CJ 与炸药密度ρ 0、炸药爆速D呈正相关。据此计算,密度1.77 g/cm3的钝黑铝(80:20)炸药爆压为28.95 GPa,而密度1.722g/cm3的聚黑-2炸药爆压为30.56 GPa,密度1.67g/cm3的钝化黑索今炸药爆压为30.15 GPa。因此聚黑-2炸药和钝化黑索今炸药的爆压均高于钝黑铝(80:20)炸药,可以保证换药后炮弹的增雨消雹性能只会提高,不会降低。The explosive pressure P CJ is positively correlated with the explosive density ρ 0 and the explosive detonation velocity D. According to this calculation, the explosion pressure of the blunt black aluminum (80:20) explosive with a density of 1.77 g/cm 3 is 28.95 GPa, while the explosion pressure of the poly black-2 explosive with a density of 1.722 g/cm 3 is 30.56 GPa and the density of 1.67 g/
在燃烧特性方面,因为所述炸药装药不再包含铝粉,所以可以杜绝未爆弹药落地后的火灾隐患,降低增雨消雹炮弹的附带损害。In terms of combustion characteristics, because the explosive charge no longer contains aluminum powder, the fire hazard after the unexploded ordnance is dropped can be eliminated, and the collateral damage of the rain-enhancing and hail-suppressing cannonball can be reduced.
此外,因为聚黑-2炸药(摩擦感度28%,冲击感度22%)和钝化黑索今炸药(摩擦感度28%,冲击感度32%)感度均远低于钝黑铝(80:20)炸药(摩擦感度68%,冲击感度40%),且均接近于安全临界炸药特屈儿(摩擦感度16%,冲击感度48%),所以可以保证增雨消雹炮弹的发射安全性。In addition, because the sensitivity of poly black-2 explosive (friction sensitivity 28%, impact sensitivity 22%) and passivation black Suojin explosive (friction sensitivity 28%, impact sensitivity 32%) is much lower than that of dull black aluminum (80:20) Explosives (friction sensitivity 68%, impact sensitivity 40%), and they are all close to the safety critical explosive Tecuer (friction sensitivity 16%, impact sensitivity 48%), so it can ensure the launch safety of rain-enhancing and hail-eliminating shells.
本发明的重点在于炸药装药种类的选择,对于增雨催化剂,除要求其设置于弹体内之外,在不影响增雨消雹炮弹起爆和飞行等性能的前提下,不限制其布设位置。The key point of the present invention lies in the selection of the explosive charge type. For the rain-enhancing catalyst, except that it is required to be arranged in the projectile body, under the premise of not affecting the detonation and flight performance of the rain-enhancing and hail-eliminating cannonballs, there is no restriction on its placement position.
与现有技术相比,本发明的有益效果是:Compared with the prior art, the beneficial effects of the present invention are:
本发明通过合理更换炸药装药的种类,在保证换药后炮弹的增雨消雹性能不受影响的前提下,解决了现有增雨消雹炮弹存在发射安全性隐患、易使未爆弹在落地时意外发火引起火灾的问题,降低了炸药感度,提高了增雨消雹炮弹的安全性,杜绝了火灾隐患,从而降低了增雨消雹炮弹的附带损害。By rationally changing the type of explosive charge, the present invention solves the problem of the existing rain-increasing and hail-eliminating artillery shells that have hidden dangers in launching safety and is easy to use unexploded shells on the premise of ensuring that the rain-increasing and hail-eliminating performance of the shells is not affected after the changing of the explosives. The problem of fire caused by accidental fire when landing reduces the sensitivity of the explosive, improves the safety of the rain-enhancing and hail-eliminating shells, and eliminates the hidden danger of fire, thereby reducing the collateral damage of the rain-enhancing and hail-eliminating shells.
附图说明Description of drawings
图1为本发明低附带损害的增雨消雹炮弹的实施例1结构示意图。Fig. 1 is the structural representation of
图2为图1给出的实施例1的A-A剖视图。FIG. 2 is an A-A sectional view of
具体实施方式Detailed ways
下面将结合本发明实施例中的附图,对本发明实施例中的技术方案进行清楚、完整地描述,显然,所描述的实施例仅仅是本发明的一部分实施例,而不是全部的实施例。基于本发明中的实施例,本领域普通技术人员在没有创造性劳动前提下所获得的所有其他实施例,都属于本发明保护的范围。此外,下面所描述的本发明的实施方式中所涉及的技术特征只要彼此之间未构成冲突就可以相互组合。The technical solutions in the embodiments of the present invention will be clearly and completely described below with reference to the accompanying drawings in the embodiments of the present invention. Obviously, the described embodiments are only a part of the embodiments of the present invention, but not all of the embodiments. Based on the embodiments of the present invention, all other embodiments obtained by those of ordinary skill in the art without creative efforts fall within the protection scope of the present invention. In addition, the technical features involved in the embodiments of the present invention described below can be combined with each other as long as there is no conflict with each other.
需要说明,本发明实施例中所有方向性指示(诸如上、下、左、右、前、后……)仅用于解释在某一特定姿态(如附图所示)下各部件之间的相对位置关系、运动情况等,如果改特定姿态发生改变时,则该方向性指示也相应地随之改变。It should be noted that all directional indications (such as up, down, left, right, front, back, etc.) in the embodiments of the present invention are only used to explain the relationship between various components under a certain posture (as shown in the accompanying drawings). The relative positional relationship, motion situation, etc., if the specific posture changes, the directional indication also changes accordingly.
在本发明中,除非另有明确的规定和限定,术语“连接”、“固定”等应作广义理解,例如,“固定”可以是固定连接,也可以是可拆卸连接,或成一体;“连接”可以是机械连接,也可以是电连接。对于本领域的普通技术人员而言,可以根据具体情况理解上述术语在本发明中的具体含义。In the present invention, unless otherwise expressly specified and limited, the terms "connection", "fixed" and the like should be understood in a broad sense, for example, "fixed" can be a fixed connection, a detachable connection, or an integrated; " A connection" can be a mechanical connection or an electrical connection. For those of ordinary skill in the art, the specific meanings of the above terms in the present invention can be understood according to specific situations.
另外,本发明各个实施例之间的技术方案可以相互结合,但是必须是以本领域普通技术人员能够实现为基础,当技术方案的结合出现相互矛盾或无法实现时应当认为这种技术方案的结合不存在,也不在本发明要求的保护范围指内。In addition, the technical solutions between the various embodiments of the present invention can be combined with each other, but must be based on the realization by those of ordinary skill in the art. When the combination of technical solutions is contradictory or cannot be achieved, it should be considered that the combination of technical solutions It does not exist, nor does it fall within the protection scope claimed by the present invention.
实施例1Example 1
结合图1,本发明所述的一种低附带损害的增雨消雹炮弹,包括引信体1、引信传爆管2、增雨催化剂3、炸药装药4和弹体5,装有引信传爆管2的引信体1固定在弹体5的口部,增雨催化剂3和炸药装药4自上向下依次设置于弹体5内,引信传爆管2的底部与炸药装药4的顶部之间设有一纸垫,所述炸药装药4采用感度接近于特屈儿(摩擦感度16%,冲击感度48%)的非铝炸药,如聚黑-2炸药(摩擦感度28%,冲击感度22%)或钝化黑索今炸药(摩擦感度28%,冲击感度32%)。In conjunction with Fig. 1, a kind of rain-increasing and hail-reducing cannonball with low collateral damage of the present invention comprises a
结合图2,在炸药装药4顶面中心向下开有盲孔,所述增雨催化剂3采用药柱或药包,布设于炸药装药4顶面中心的盲孔内。所述增雨催化剂3的顶面与炸药装药4的顶面平齐。Referring to FIG. 2 , a blind hole is opened downward at the center of the top surface of the
本发明引信在正常发射并解除保险后,经延时控制,在预定时刻传爆管2爆炸,起爆炸药装药4。增雨消雹炮弹发火起爆后,炸药装药4爆炸炸碎弹体5,碘化银在爆炸威力作用下被驱散形成冰核。因为聚黑-2炸药和钝化黑索今炸药的爆压均高于钝黑铝(80:20)炸药,所以炸药装药4更换为聚黑-2炸药或钝化黑索今炸药并不会造成其爆压降低。而增雨消雹炮弹的增雨和消雹性能与炸药装药的爆炸效应直接相关。炸药装药4的爆压越高,爆炸时驱动碘化银催化剂的速度就越快,爆炸形成的碘化银微粒数量和覆盖范围就越大,碘化银催化剂成冰核率就越高,冰核吸收云中水汽进而产生更多的水滴或冰粒,炮弹增雨效果就越好;同时,云层中形成的水滴或冰粒就越多,同雹胚竞争水分的优势就越大,抑制雹块的增长从而实现消雹的效果就越好。此外,炸药装药的爆压越高,增雨消雹炮弹爆炸形成的扰动气流就越强,对降水粒子与上升气流平衡的破坏效果就越好,进而导致更多的降水粒子集中下落,促使尚未形成冰雹的云提前降水而崩溃,更好地实现增雨和消雹。因此,换药后炮弹的增雨消雹性能只会提高,不会降低。After the fuze of the present invention is normally launched and the insurance is released, the
若增雨消雹炮弹未能在预定时机作用,导致其意外落地发火,因为炸药装药4中不再包含铝粉,所以可以消除意外未爆弹落地发火引起火灾的隐患,降低增雨消雹炮弹的附带损害。If the rain-enhancing and hail-eliminating projectiles fail to function at the predetermined timing, causing them to accidentally fall and catch fire, because the
此外,因为聚黑-2炸药(摩擦感度28%,冲击感度22%)和钝化黑索今炸药(摩擦感度28%,冲击感度32%)感度均远低于钝黑铝(80:20)炸药(摩擦感度68%,冲击感度40%),且均接近于安全临界炸药特屈儿(摩擦感度16%,冲击感度48%),所以可以保证增雨消雹炮弹的发射安全性。In addition, because the sensitivity of poly black-2 explosive (friction sensitivity 28%, impact sensitivity 22%) and passivation black Suojin explosive (friction sensitivity 28%, impact sensitivity 32%) is much lower than that of dull black aluminum (80:20) Explosives (friction sensitivity 68%, impact sensitivity 40%), and they are all close to the safety critical explosive Tecuer (friction sensitivity 16%, impact sensitivity 48%), so it can ensure the launch safety of rain-enhancing and hail-eliminating shells.
本领域的技术人员容易理解,以上所述仅为本发明的较佳实施例而已,并非用以限制本发明,凡在本发明的精神和原则之内所做的任何修改、等同替换和改进等,均应包含在本发明的保护范围之内。Those skilled in the art can easily understand that the above descriptions are only preferred embodiments of the present invention and are not intended to limit the present invention. Any modifications, equivalent replacements and improvements made within the spirit and principles of the present invention, etc. , should be included within the protection scope of the present invention.
Claims (2)
Priority Applications (1)
| Application Number | Priority Date | Filing Date | Title |
|---|---|---|---|
| CN202210283230.8A CN114623731A (en) | 2022-03-22 | 2022-03-22 | A low-collateral damage rain-enhancing and hail-suppressing shell |
Applications Claiming Priority (1)
| Application Number | Priority Date | Filing Date | Title |
|---|---|---|---|
| CN202210283230.8A CN114623731A (en) | 2022-03-22 | 2022-03-22 | A low-collateral damage rain-enhancing and hail-suppressing shell |
Publications (1)
| Publication Number | Publication Date |
|---|---|
| CN114623731A true CN114623731A (en) | 2022-06-14 |
Family
ID=81904024
Family Applications (1)
| Application Number | Title | Priority Date | Filing Date |
|---|---|---|---|
| CN202210283230.8A Withdrawn CN114623731A (en) | 2022-03-22 | 2022-03-22 | A low-collateral damage rain-enhancing and hail-suppressing shell |
Country Status (1)
| Country | Link |
|---|---|
| CN (1) | CN114623731A (en) |
Cited By (1)
| Publication number | Priority date | Publication date | Assignee | Title |
|---|---|---|---|---|
| CN116854550A (en) * | 2023-07-07 | 2023-10-10 | 南京理工大学 | A silver iodide-containing mixed explosive for anti-hail and rain-increasing artillery shells |
Citations (1)
| Publication number | Priority date | Publication date | Assignee | Title |
|---|---|---|---|---|
| CN111288855A (en) * | 2018-12-07 | 2020-06-16 | 南京理工大学 | Artificial hail-suppression and rain-enhancement cannonball with rain enhancement catalyst arranged far away from fuze output end |
-
2022
- 2022-03-22 CN CN202210283230.8A patent/CN114623731A/en not_active Withdrawn
Patent Citations (1)
| Publication number | Priority date | Publication date | Assignee | Title |
|---|---|---|---|---|
| CN111288855A (en) * | 2018-12-07 | 2020-06-16 | 南京理工大学 | Artificial hail-suppression and rain-enhancement cannonball with rain enhancement catalyst arranged far away from fuze output end |
Non-Patent Citations (1)
| Title |
|---|
| 周国威: "某人工防雹增雨炮弹减阻及其引信机构动态特性研究" * |
Cited By (1)
| Publication number | Priority date | Publication date | Assignee | Title |
|---|---|---|---|---|
| CN116854550A (en) * | 2023-07-07 | 2023-10-10 | 南京理工大学 | A silver iodide-containing mixed explosive for anti-hail and rain-increasing artillery shells |
Similar Documents
| Publication | Publication Date | Title |
|---|---|---|
| US4970960A (en) | Anti-material projectile | |
| CN106338224B (en) | Hail mitigation increases rain bullet time ignition fuse | |
| CN202722169U (en) | Double-fuze ack-ack artificial hail suppression rainfall bomb | |
| CN109405676B (en) | Time Detonation Fuze for Anti-Hail and Rain-Enhancing Bomb for Anti-aircraft Artillery with Centrifugal Self-Destruction Function | |
| EP0051375B1 (en) | Anti-materiel projectile | |
| RU2522342C1 (en) | Stealth projectile | |
| US2476973A (en) | Incendiary bomb | |
| CN111207628B (en) | Towed secondary detonation cloud detonation bomb detonation war coordination accurate control method | |
| CN114623731A (en) | A low-collateral damage rain-enhancing and hail-suppressing shell | |
| RU2400698C1 (en) | "vybryn" tank cassette round with fragmenting elements | |
| JP2001262118A (en) | Rain inducer, rain inducer and rain rocket | |
| CN111288855B (en) | Artificial hail-suppression and rain-enhancement cannonball with rain enhancement catalyst arranged far away from fuze output end | |
| CN201497435U (en) | Rocket type ice slush blasting missile and launching device and system thereof | |
| CN109855481A (en) | A kind of Artificial Hail Suppression increasing rain shell without catalyst | |
| CN2167516Y (en) | Scattering artificial rainfall rail-proof bomb | |
| CN102466435A (en) | Grenade fuse | |
| CN206670471U (en) | A kind of hail-proof rain-increasing rocket based on warm cloud catalyst | |
| CN2784872Y (en) | Two-way fire-transferring fuse of precipitation stimulation bomb | |
| CN116854550A (en) | A silver iodide-containing mixed explosive for anti-hail and rain-increasing artillery shells | |
| RU2816644C1 (en) | Method of hitting target with fragmentation cluster munitions | |
| US4444116A (en) | Missile such as hand grenade, notably for antitank fighting | |
| RU83325U1 (en) | SHARDBAR AND BEAM STEM MINE "OSUGA" | |
| RU2197705C1 (en) | Shell of fragmentation-demolition type | |
| RU2363920C1 (en) | "vertyazin" splinter-in-beam projectile | |
| KR100302948B1 (en) | Range Extended Tracer Self-destruct Projeotile with Incendiary Impact Fuze |
Legal Events
| Date | Code | Title | Description |
|---|---|---|---|
| PB01 | Publication | ||
| PB01 | Publication | ||
| SE01 | Entry into force of request for substantive examination | ||
| SE01 | Entry into force of request for substantive examination | ||
| WW01 | Invention patent application withdrawn after publication | ||
| WW01 | Invention patent application withdrawn after publication |
Application publication date: 20220614 |

