CN112945711A - 一种薄板对焊焊缝多角度拉伸试验专用夹具 - Google Patents
一种薄板对焊焊缝多角度拉伸试验专用夹具 Download PDFInfo
- Publication number
- CN112945711A CN112945711A CN202110087968.2A CN202110087968A CN112945711A CN 112945711 A CN112945711 A CN 112945711A CN 202110087968 A CN202110087968 A CN 202110087968A CN 112945711 A CN112945711 A CN 112945711A
- Authority
- CN
- China
- Prior art keywords
- tensile
- connecting plate
- tensile test
- plate
- pin holes
- Prior art date
- Legal status (The legal status is an assumption and is not a legal conclusion. Google has not performed a legal analysis and makes no representation as to the accuracy of the status listed.)
- Granted
Links
- 238000009864 tensile test Methods 0.000 title claims abstract description 67
- 238000003466 welding Methods 0.000 title claims abstract description 15
- 238000005457 optimization Methods 0.000 claims description 2
- 238000012360 testing method Methods 0.000 description 18
- 238000010586 diagram Methods 0.000 description 7
- 239000000463 material Substances 0.000 description 5
- 238000000034 method Methods 0.000 description 4
- 238000003825 pressing Methods 0.000 description 4
- 229910000838 Al alloy Inorganic materials 0.000 description 3
- 241000282346 Meles meles Species 0.000 description 3
- 239000000956 alloy Substances 0.000 description 3
- 230000008859 change Effects 0.000 description 3
- 238000013461 design Methods 0.000 description 3
- 230000003068 static effect Effects 0.000 description 3
- 210000003464 cuspid Anatomy 0.000 description 2
- 230000010354 integration Effects 0.000 description 2
- 239000011664 nicotinic acid Substances 0.000 description 2
- 230000007704 transition Effects 0.000 description 2
- 241000282465 Canis Species 0.000 description 1
- 230000009471 action Effects 0.000 description 1
- 230000009286 beneficial effect Effects 0.000 description 1
- 230000000052 comparative effect Effects 0.000 description 1
- 238000007906 compression Methods 0.000 description 1
- 238000005260 corrosion Methods 0.000 description 1
- 230000007797 corrosion Effects 0.000 description 1
- 238000005520 cutting process Methods 0.000 description 1
- 125000004122 cyclic group Chemical group 0.000 description 1
- 230000000694 effects Effects 0.000 description 1
- 230000006872 improvement Effects 0.000 description 1
- 238000009434 installation Methods 0.000 description 1
- 238000004519 manufacturing process Methods 0.000 description 1
- 230000007246 mechanism Effects 0.000 description 1
- 229910052751 metal Inorganic materials 0.000 description 1
- 239000002184 metal Substances 0.000 description 1
- 230000008569 process Effects 0.000 description 1
- 238000012545 processing Methods 0.000 description 1
- 238000011160 research Methods 0.000 description 1
- 238000010008 shearing Methods 0.000 description 1
Images
Classifications
-
- G—PHYSICS
- G01—MEASURING; TESTING
- G01N—INVESTIGATING OR ANALYSING MATERIALS BY DETERMINING THEIR CHEMICAL OR PHYSICAL PROPERTIES
- G01N3/00—Investigating strength properties of solid materials by application of mechanical stress
- G01N3/02—Details
- G01N3/04—Chucks
-
- G—PHYSICS
- G01—MEASURING; TESTING
- G01N—INVESTIGATING OR ANALYSING MATERIALS BY DETERMINING THEIR CHEMICAL OR PHYSICAL PROPERTIES
- G01N2203/00—Investigating strength properties of solid materials by application of mechanical stress
- G01N2203/0001—Type of application of the stress
- G01N2203/0003—Steady
-
- G—PHYSICS
- G01—MEASURING; TESTING
- G01N—INVESTIGATING OR ANALYSING MATERIALS BY DETERMINING THEIR CHEMICAL OR PHYSICAL PROPERTIES
- G01N2203/00—Investigating strength properties of solid materials by application of mechanical stress
- G01N2203/0014—Type of force applied
- G01N2203/0016—Tensile or compressive
- G01N2203/0017—Tensile
-
- G—PHYSICS
- G01—MEASURING; TESTING
- G01N—INVESTIGATING OR ANALYSING MATERIALS BY DETERMINING THEIR CHEMICAL OR PHYSICAL PROPERTIES
- G01N2203/00—Investigating strength properties of solid materials by application of mechanical stress
- G01N2203/02—Details not specific for a particular testing method
- G01N2203/04—Chucks, fixtures, jaws, holders or anvils
- G01N2203/0423—Chucks, fixtures, jaws, holders or anvils using screws
Landscapes
- Physics & Mathematics (AREA)
- Health & Medical Sciences (AREA)
- Life Sciences & Earth Sciences (AREA)
- Chemical & Material Sciences (AREA)
- Analytical Chemistry (AREA)
- Biochemistry (AREA)
- General Health & Medical Sciences (AREA)
- General Physics & Mathematics (AREA)
- Immunology (AREA)
- Pathology (AREA)
- Investigating Strength Of Materials By Application Of Mechanical Stress (AREA)
Abstract
本发明公开了一种薄板对焊焊缝多角度拉伸试验专用夹具,包括:第一连接板;第一固定板,其可拆卸的固定连接在第一连接板的一侧;多个第一销孔,其开设在第一连接板上;多个第一销孔分别靠近第一连接板的外轮廓线设置;第一拉伸连接件,其一端同时连接在相邻的两个第一销孔中;第二连接板,其与第一连接板形状相同,并且与第一连接板呈中心对称设置;第二固定板,其可拆卸的固定连接在第二连接板的一侧,并且与第一固定板同侧设置;多个第二销孔,其开设在第二连接板上,并且与多个第一销孔呈中心对称分布;第二拉伸连接件,其一端同时连接在相邻的两个第二销孔中,另一端连接拉伸试验机;其中,第一拉伸连接件和第二拉伸连接件对称设置。
Description
技术领域
本发明属于薄板对焊焊缝拉伸试验技术领域,特别涉及一种薄板对焊焊缝多角度拉伸试验专用夹具。
背景技术
铝合金材料以其轻量化、耐磨耐腐蚀、抗冲击性能好等优异性能,广泛应用于汽车、船舶及航空航天等领域。随着铝合金材料的广泛应用以及相关加工技术要求的不断提高,铝合金材料的焊接逐渐成为研究重点。传统的拉伸试验只针对于试件沿竖直方向的抗拉强度,在实际生产生活中,往往处于复杂加载条件下,因此需要探索多角度承载下焊缝的失效力学性能。
发明内容
本发明的目的之一是提供一种薄板对焊焊缝多角度拉伸试验专用夹具,其能够在仅对试件进行一次装夹的情况下,实现多角度的焊缝拉伸试验,提高试验效率。
本发明的目的之二是通过合理设计第一连接板和第二连接板的轮廓形状,能够提高连接板的强度,延长夹具的使用寿命。
本发明提供的技术方案为:
一种薄板对焊焊缝多角度拉伸试验专用夹具,包括:
第一连接板;
第一固定板,其可拆卸的固定连接在所述第一连接板的一侧;
多个第一销孔,其开设在所述第一连接板上;所述多个第一销孔靠近第一连接板的外轮廓线设置,并且沿所述第一连接板的外轮廓线的延伸方向间隔布置;
第一拉伸连接件,其一端同时连接在相邻的两个所述第一销孔中,另一端连接拉伸试验机;
第二连接板,其与所述第一连接板形状相同,并且与所述第一连接板呈中心对称设置;
第二固定板,其可拆卸的固定连接在所述第二连接板的一侧,并且与所述第一固定板同侧设置;
多个第二销孔,其开设在所述第二连接板上,并且与所述多个第一销孔呈中心对称分布;
第二拉伸连接件,其一端同时连接在相邻的两个所述第二销孔中,另一端连接拉伸试验机;
其中,所述第一拉伸连接件和所述第二拉伸连接件对称设置;
进行拉伸试验时,所述拉伸试件的一端固定夹持在所述第一固定板和所述第一连接板之间,另一端固定夹持在所述第二固定板和所述第二连接板之间。
优选的是,所述第一固定板和所述第二固定板的一侧分别开设有凹槽,所述凹槽与所述拉伸试件的端部形状相匹配。
优选的是,所述凹槽中设置有碟形弹簧,所述碟形弹簧的一端抵靠在所述拉伸试件上,另一端抵靠在所述凹槽的底部。
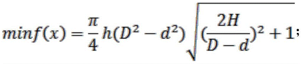
优选的是,以碟形弹簧的体积最小作为优化目标,确定碟形弹簧内锥高度和厚度;
其中,优化的目标函数为:
式中,h为碟形弹簧的厚度,D为碟形弹簧的外径,d为碟形弹簧的内径,H为碟形弹簧的内锥高度。
优选的是,所述夹具的拉伸轴线与拉伸试件的轴线之间的夹角依次为0°、22.5°、45°、67.5°、90°;
其中,所述拉伸轴线为相邻的两个所述第一销孔的中心分别与拉伸试件的焊缝中点连线形成的夹角的角平分线。
优选的是,所述第一拉伸连接件包括:
拉伸部,其一端连接拉伸试验设备;
两个连接部,其一端分别对称连接在所述拉伸部的另一端,所述连接部上开设有两个连接孔,所述两个连接孔与相邻的两个所述第一销孔一一对应设置;
其中,所述两个连接部间隔设置,所述第一连接板通过相邻的两个所述第一销孔连接在所述两个连接部之间。
优选的是,所述第一连接板的外轮廓由第一轮廓线和第二轮廓线连接形成;
所述第一轮廓线的曲线方程为:
y=0.1041x3-0.9198x2+5.1317x+0.5026;
其中,所述多个第一销孔靠近第一轮廓线设置,并且沿所述第一轮廓线的延伸方向间隔布置。
优选的是,所述第二轮廓线的曲线方程为:
y=0.0174x3-0.3921x2+3.6039x+1.5836。
优选的是,所述第一连接板和所述第一固定板之间通过螺栓连接,并且通过两个定位销进行定位;
其中,所述两个定位销分别在所述拉伸试件的两侧对称设置。
本发明的有益效果是:
(1)本发明提供的薄板对焊焊缝多角度拉伸试验专用夹具,尺寸小,集成度高,操作方便。
(2)本发明提供的专业夹具实现了薄板对焊焊缝多角度拉伸试验,仅对试件进行一次装夹的情况下对试验对象进行多方向的拉伸,试验效率高。
(3)本发明使用的碟形弹簧采用内锥高度、厚度经过优化的碟形弹簧,能在保证压紧力的前提下缩小体积。
(4)本发明采用獾上犬齿不同段的仿生曲线设计连接板的外轮廓,提高了夹具的强度,使其能适应更广范围载荷的拉伸,适用于更多种材料,同时具有更高的疲劳强度。
附图说明
图1为本发明所述的薄板对焊焊缝多角度拉伸试验专用夹具总体结构示意图。
图2为本发明所述的拉伸试件的结构示意图。
图3为本发明所述的第一连接板与第一固定板的连接结构示意图。
图4为本发明所述的第二连接板与第二固定板的连接结构示意图。
图5为本发明所述的第一固定板的结构示意图。
图6为本发明所述的第二固定板的结构示意图。
图7为本发明所述的第一拉伸连接件的结构示意图。
具体实施方式
下面结合附图对本发明做进一步的详细说明,以令本领域技术人员参照说明书文字能够据以实施。
如图1-7所示,本发明提供了一种薄板对焊焊缝多角度拉伸试验专用夹具,其主要包括第一连接板110、第一固定板120、第一拉伸连接件130、第二连接板210、第二固定板220及第二拉伸连接件230。
第一连接板110和第二连接板210处于同一平面呈中心对称分布,第一连接板110和第二连接板210的形状和尺寸均相同。第一固定板120和第二固定板220分别可拆卸的固定连接在第一连接板110和第二连接板210上,第一固定板120和第二固定板220处于同一平面并且对称设置。
其中,第一固定板120的两端对称开设有螺栓连接孔121和122,第一连接板110上设有与螺栓连接孔121和122一一对应的连接孔,通过螺栓121a和122a分别穿过螺栓连接孔121和122及其对应的连接孔(设置在第一连接板110上的连接孔)将第一连接板110和第一固定板120固定连接。同时,第一固定板120上还开设有两个连接销孔123和124,两个连接销孔123和124对称设置在螺栓连接孔121和122之间。第一连接板110上设有与连接销孔123和124一一对应的连接销孔;连接销123a和124a分别穿过连接销孔123和124及其对应的连接销孔(设置在第一连接板110上的连接销孔),实现对第一固定板120的第一连接板110的定位连接,以及对拉伸试件300端部的固定。
第二连接板210和第二固定板220上对应设置有与第一连接板110和第一固定板120相同的固定结构,且第二连接板210和第二固定板220的固定方式与第一连接板210和第一固定板220固定方式相同。
相对应的,第二连接板210和第二固定板220之间通过两个螺栓221a和222a,以及两个连接销223a和224a实现连接和定位。
拉伸试件300的一端固定夹持在第一连接板110和第一固定板120之间,另一端固定夹持在第二连接板210和第二固定板220之间,试件300的一端两侧的过渡半径位于两个连接销123a、124a之间,另一端两侧的过渡半径位于设置在第二固定板220上的两个连接销223a和224a之间。
试验所使用的拉伸试件300在其两侧的过度半径上受到连接销123a和124a及223a和224a所施加的集中力,试件的尺寸在符合GBT2282002拉伸试样国家标准的要求同时,为使连接销123a、124a及223a、224a在拉伸过程中与试件拉伸试件300有良好的接触条件,不至于产生过大变形,试件的过度半径不宜过大,需满足过度半径大于等于20mm,小于等于30mm。
如图5-6所示,第一固定板120和第二固定板220均为半圆形结构,为限制试验时拉伸试件300的自由度,保证结果准确,第一固定板120和第二固定板120内侧表面(朝向第一连接板110的一侧)分别沿其中心对称轴设有凹槽120a和凹槽220a,其中,凹槽120a和凹槽220a的尺寸与拉伸试件300的形状相匹配。其中,两个连接销123a、124a的一部分开设在凹槽120a内,以保证能够更好的对拉伸试件300上端进行定位。在凹槽120a和凹槽220a的底部对称固定连接有的碟形弹簧120b和碟形弹簧220b,作为压紧机构,碟形弹簧120b和碟形弹簧220b能够使拉伸试件300被压紧在固定板和连接板之间,从获得到更好的试件固定效果。
由于拉伸试件300上端与下端的固定方式完全相同,且第一连接板110和第二连接板210、第一固定板120和第二固定板220结构相同。下面仅以拉伸试件200上端的固定方式为例作进一步说明。
拉伸试件300沿轴向插入第一固定板210内侧表面的凹槽120a。连接销123a和连接销124a分别穿过连接销孔123和连接销孔124及第一连接板110上的对应销孔,将拉伸试件300的自由度进行限制。拧紧螺栓121a和122a的螺母,由于碟形弹簧120b的作用,拉伸试件300被夹紧,其上端的装夹完成。
第一连接板110上沿第一连接板110的轮廓线设置有多个第一销孔111,第二连接板210上沿第二连接板210的轮廓线设置有多个第二销孔211。第一拉伸连接件130通过第一销孔111与第一连接板110连接;第二拉伸连接件230通过第二销孔211与第二连接板210连接。
第一拉伸连接件130和第二拉伸连接件230的结构相同,并且第一拉伸连接件130和第二拉伸连接件230与第一连接板110和第二连接板210的连接方式相同。下面仅以第一拉伸连接件130的结构和连接方式为例作进一步说明。
如图7所示,第一拉伸连接件130包括:拉伸部131和两个连接部132、133;拉伸部131一端连接拉伸试验设备;连接部132和连接部133的一端分别对称连接在拉伸部131的另一端,并且两个连接部132、133和拉伸部131平行设置。连接部132上开设有两个连接孔132a,连接部133上开设有两个连接孔133a;两个连接孔132a和两个连接孔133a一一对应设置;并且两个连接孔132a相邻的两个第一销孔111的位置一一对应设置;第一连接板110设置在连接部132和连接部133之间,第一拉伸连接件130通过连接销同时连接在相邻的两个第一销孔111中。
第一销孔111的数量为6个,拉伸试件300装夹完成时,相邻的两个销孔111中心与拉伸试件300的焊缝中点连线形成的夹角的角平分线与拉伸试件300的轴线依次成0°、22.5°、45°、67.5°、90°夹角,即第一拉伸连接件130的中心轴线与拉伸试件300的轴线依次成0°、22.5°、45°、67.5°、90°夹角,从而能够实现仅对试件300进行一次装夹,对拉伸试件300多方向(角度)加载的功能要求。
连接板的结构外形对其自身的抗拉强度和疲劳强度有直接影响,考虑到夹具在拉伸试验过程中需频繁装夹,且需适应多种材料的拉伸,避免因夹具结构对可进行试验的材料产生限制,本发明中的第一连接板110和第二连接板210的外轮廓线分为两部分。以第一连接板110为例,第一连接板110的外轮廓由第一轮廓线和第二轮廓线连接形成;多个第一销孔110分别靠近所述第一轮廓线设置,并且沿所述第一轮廓线的延伸方向间隔布置;将第一连接板110的第一轮廓线(带有第一销孔侧的曲边外轮廓)采用獾上犬齿刺入段曲线:
y=0.1041x3-0.9198x2+5.1317x+0.5026;
将第一连接板110的第二轮廓线(无孔曲边外轮廓)采用獾上犬齿滑动段曲线:
y=0.0174x3-0.3921x2+3.6039x+1.5836;
该曲线广泛应用于金属锯切圆锯片的设计中,切削时锯片会受到工件沿锯片切向循环变化的拉应力,经相关试验证明经该曲线设计的仿生锯片在相同条件下可承受更大的拉力,同时齿根的疲劳强度有显著的提高。本发明中所述的第一连接板110和第二连接板120外轮廓近似于圆锯片的一个齿,且同样受到外界的拉力作用。
采用本发明中提供连接板(第一连接板、第二连接板),与圆形外轮廓的连接板进行对比试验,连接板的厚度均为6mm。试验结果证明,相对于圆形外轮廓的连接板在静剪切工况下,本发明中提供连接板(第一连接板、第二连接板)可承受的最大拉应力提高7%,疲劳强度提高13%。故将此种结构应用到本发明中可提高夹具的使用寿命同时,使夹具能适应更广范围载荷的拉伸,适用于更多种材料的试验。
拉伸试件300的夹紧程度会对试验结果的准确性造成影响,又由于本发明集成度较高,因此需在满足力学性能要求的基础上,尽可能的对夹具部件的体积和重量进行限制,实现体积小、重量轻的目标。其中,根据实际的安装要求,碟形弹簧120b、220b的外径D和内径d的取值已经确定,因此,在保证碟形弹簧的压紧力的前提下,取碟簧体积最小为优化设计目标,目标函数为:
其中,h为厚度,D为碟形弹簧的外径,d为内径,H为内锥高度。
第一连接板110、第二连接板210、第一固定板120、第二固定板220、Y第一拉伸连接件130和第二拉伸连接件230所用材料均选用Q235。
在拉伸工况下,夹具装配与试件装夹如图1所示,可分别将连接销411和连接销412装入第一连接板110上不同位置的相邻的两个销孔111中,以改变第一拉伸连接件130位置,并且分别将连接销413和连接销414装入第一连接板120上不同位置的相邻的两个销孔121中,以改变第一拉伸连接件130和第二拉伸连接件230位置从而改变载荷方向。
当连接销411、连接销412与连接销413、连接销414分别装入相邻两个第一销孔111与相邻两个第二销孔211(选择的两个第一销孔111和两个第二销孔211位置对称),当相邻两个第一销孔111中心与拉伸试件300焊缝中心连线所成角的角平分线与所述焊缝的中心轴线成90°,且相邻两个第二销孔211中心与拉伸试件300焊缝中心连线所成角的角平分线与所述焊缝的中心轴线成90°时,为静态拉伸工况;当相邻两个第一销孔111中心与拉伸试件300焊缝中心连线所成角的角平分线与所述焊缝的中心轴线成0°,且相邻两个第二销孔211中心与拉伸试件300焊缝中心连线所成角的角平分线与所述焊缝的中心轴线成0°时,为静态剪切工况;其余三种不同工况为上述两种工况的叠加。
在疲劳工况下,夹具装配与试件装夹如图1所示,试验步骤同理于拉伸工况,通过改变第一拉伸连接件130和第二拉伸连接件230的连接位置来改变疲劳载荷的方向。同时将第一拉伸连接件130和第二拉伸连接件230固连于试验机即可进行试验。
当连接销411、连接销412与连接销413、连接销414分别装入相邻两个第一销孔111与相邻两个第二销孔211,当相邻两个第一销孔111中心与拉伸试件300焊缝中心连线所成角的角平分线与所述焊缝的中心轴线成90°,且相邻两个第二销孔211中心与拉伸试件300焊缝中心连线所成角的角平分线与所述焊缝的中心轴线成90°时,为拉压疲劳工况;当连接销411、连接销412与连接销413、连接销414分别装入相邻两个第一销孔111与相邻两个第二销孔211,当相邻两个第一销孔111中心与拉伸试件300焊缝中心连线所成角的角平分线与所述焊缝的中心轴线成0°,且相邻两个第二销孔211中心与拉伸试件300焊缝中心连线所成角的角平分线与所述焊缝的中心轴线成0°时,为剪切疲劳工况;其余三种不同工况为上述两种工况的叠加。
尽管本发明的实施方案已公开如上,但其并不仅仅限于说明书和实施方式中所列运用,它完全可以被适用于各种适合本发明的领域,对于熟悉本领域的人员而言,可容易地实现另外的修改,因此在不背离权利要求及等同范围所限定的一般概念下,本发明并不限于特定的细节和这里示出与描述的图例。
Claims (9)
1.一种薄板对焊焊缝多角度拉伸试验专用夹具,其特征在于,包括:
第一连接板;
第一固定板,其可拆卸的固定连接在所述第一连接板的一侧;
多个第一销孔,其开设在所述第一连接板上;所述多个第一销孔靠近第一连接板的外轮廓线设置,并且沿所述第一连接板的外轮廓线的延伸方向间隔布置;
第一拉伸连接件,其一端同时连接在相邻的两个所述第一销孔中,另一端连接拉伸试验机;
第二连接板,其与所述第一连接板形状相同,并且与所述第一连接板呈中心对称设置;
第二固定板,其可拆卸的固定连接在所述第二连接板的一侧,并且与所述第一固定板同侧设置;
多个第二销孔,其开设在所述第二连接板上,并且与所述多个第一销孔呈中心对称分布;
第二拉伸连接件,其一端同时连接在相邻的两个所述第二销孔中,另一端连接拉伸试验机;
其中,所述第一拉伸连接件和所述第二拉伸连接件对称设置;
进行拉伸试验时,所述拉伸试件的一端固定夹持在所述第一固定板和所述第一连接板之间,另一端固定夹持在所述第二固定板和所述第二连接板之间。
2.根据权利要求1所述的薄板对焊焊缝多角度拉伸试验专用夹具,其特征在于,所述第一固定板和所述第二固定板的一侧分别开设有凹槽,所述凹槽与所述拉伸试件的端部形状相匹配。
3.根据权利要求2所述的薄板对焊焊缝多角度拉伸试验专用夹具,其特征在于,所述凹槽中设置有碟形弹簧,所述碟形弹簧的一端抵靠在所述拉伸试件上,另一端抵靠在所述凹槽的底部。
5.根据权利要求3或4所述的薄板对焊焊缝多角度拉伸试验专用夹具,其特征在于,所述夹具的拉伸轴线与拉伸试件的轴线之间的夹角依次为0°、22.5°、45°、67.5°、90°;
其中,所述拉伸轴线为相邻的两个所述第一销孔的中心分别与拉伸试件的焊缝中点连线形成的夹角的角平分线。
6.根据权利要求5所述的薄板对焊焊缝多角度拉伸试验专用夹具,其特征在于,所述第一拉伸连接件包括:
拉伸部,其一端连接拉伸试验设备;
两个连接部,其一端分别对称连接在所述拉伸部的另一端,所述连接部上开设有两个连接孔,所述两个连接孔与相邻的两个所述第一销孔一一对应设置;
其中,所述两个连接部间隔设置,所述第一连接板通过相邻的两个所述第一销孔连接在所述两个连接部之间。
7.根据权利要求6所述的薄板对焊焊缝多角度拉伸试验专用夹具,其特征在于,所述第一连接板的外轮廓由第一轮廓线和第二轮廓线连接形成;
所述第一轮廓线的曲线方程为:
y=0.1041x3-0.9198x2+5.1317x+0.5026;
其中,所述多个第一销孔靠近第一轮廓线设置,并且沿所述第一轮廓线的延伸方向间隔布置。
8.根据权利要求7所述的薄板对焊焊缝多角度拉伸试验专用夹具,其特征在于,所述第二轮廓线的曲线方程为:
y=0.0174x3-0.3921x2+3.6039x+1.5836。
9.根据权利要求8所述的薄板对焊焊缝多角度拉伸试验专用夹具,其特征在于,所述第一连接板和所述第一固定板之间通过螺栓连接,并且通过两个定位销进行定位;
其中,所述两个定位销分别在所述拉伸试件的两侧对称设置。
Priority Applications (1)
| Application Number | Priority Date | Filing Date | Title |
|---|---|---|---|
| CN202110087968.2A CN112945711B (zh) | 2021-01-22 | 2021-01-22 | 一种薄板对焊焊缝多角度拉伸试验专用夹具 |
Applications Claiming Priority (1)
| Application Number | Priority Date | Filing Date | Title |
|---|---|---|---|
| CN202110087968.2A CN112945711B (zh) | 2021-01-22 | 2021-01-22 | 一种薄板对焊焊缝多角度拉伸试验专用夹具 |
Publications (2)
| Publication Number | Publication Date |
|---|---|
| CN112945711A true CN112945711A (zh) | 2021-06-11 |
| CN112945711B CN112945711B (zh) | 2023-03-28 |
Family
ID=76235902
Family Applications (1)
| Application Number | Title | Priority Date | Filing Date |
|---|---|---|---|
| CN202110087968.2A Expired - Fee Related CN112945711B (zh) | 2021-01-22 | 2021-01-22 | 一种薄板对焊焊缝多角度拉伸试验专用夹具 |
Country Status (1)
| Country | Link |
|---|---|
| CN (1) | CN112945711B (zh) |
Cited By (2)
| Publication number | Priority date | Publication date | Assignee | Title |
|---|---|---|---|---|
| CN113758803A (zh) * | 2021-10-09 | 2021-12-07 | 甘肃蓝科石化高新装备股份有限公司 | 一种薄板端接焊缝拉伸试验用试样工装 |
| CN118050251A (zh) * | 2024-02-29 | 2024-05-17 | 沈阳工业大学 | 一种板材连接件用多角度拉压疲劳试验固定夹具 |
Citations (19)
| Publication number | Priority date | Publication date | Assignee | Title |
|---|---|---|---|---|
| DE29805269U1 (de) * | 1998-03-24 | 1998-06-04 | Laskowski, Ralf, 08304 Schönheide | Lehre zur Nachbildung von Konturen |
| US20120047989A1 (en) * | 2010-09-01 | 2012-03-01 | Orbital Sciences Corporation | Shock simulation method and apparatus |
| CN102635667A (zh) * | 2012-04-14 | 2012-08-15 | 吉林大学 | 一种无级变速用滚销链 |
| CN102680331A (zh) * | 2012-05-14 | 2012-09-19 | 湖北航天技术研究院总体设计所 | 适用于直线型缝焊缝的焊接接头剪切强度检验方法 |
| CN103293057A (zh) * | 2013-06-04 | 2013-09-11 | 南京航空航天大学 | 基于仿生学原理的用于人工颈椎间盘假体疲劳试验的专用夹具 |
| CN104400838A (zh) * | 2014-11-21 | 2015-03-11 | 吉林大学 | 一种仿生圆盘锯 |
| CN105702438A (zh) * | 2016-04-26 | 2016-06-22 | 广西南宝特电气制造有限公司 | 有载调容式非晶合金变压器的器身定位装置 |
| CN205483797U (zh) * | 2016-01-18 | 2016-08-17 | 清华大学苏州汽车研究院(相城) | 一种应用于网状织物材料的高速拉伸试验夹具及试验装置 |
| CN205879681U (zh) * | 2016-07-11 | 2017-01-11 | 辽宁忠旺集团有限公司 | 搭接焊缝力学性能试验夹具 |
| CN106885728A (zh) * | 2017-02-14 | 2017-06-23 | 山东省医疗器械产品质量检验中心 | 用于接骨板弯曲强度和等效弯曲刚度测定的夹具及方法 |
| CN107643215A (zh) * | 2017-10-17 | 2018-01-30 | 河钢股份有限公司 | 一种用于薄板带焊缝检测的拉伸试验机 |
| CN109352677A (zh) * | 2018-12-11 | 2019-02-19 | 大连蒂艾斯科技发展股份有限公司 | 一种仿生机器人可拆卸的肘关节 |
| CN110044692A (zh) * | 2019-05-22 | 2019-07-23 | 中国民航大学 | 一种用于脆性材料平板试件的高温拉伸试验夹具 |
| CN209994797U (zh) * | 2019-06-04 | 2020-01-31 | 吉林大学 | 一种具有减阻仿生表面的仿生深松铲 |
| CN210775007U (zh) * | 2019-10-17 | 2020-06-16 | 攀枝花学院 | 热模拟试验机板材拉伸试验用夹具 |
| CN210803120U (zh) * | 2019-09-18 | 2020-06-19 | 长沙仲腾金属材料科技有限公司 | 一种铆接接头拉伸试验工装 |
| CN111458222A (zh) * | 2020-04-12 | 2020-07-28 | 北京工业大学 | 一种网络弹性结构水凝胶渗透压调节拉伸装置与测试方法 |
| US20200332588A1 (en) * | 2017-11-10 | 2020-10-22 | Nippon Sheet Glass Company, Limited | Glass panel |
| CN112033798A (zh) * | 2020-08-26 | 2020-12-04 | 北京理工大学 | 一种包辛格效应试验夹具 |
-
2021
- 2021-01-22 CN CN202110087968.2A patent/CN112945711B/zh not_active Expired - Fee Related
Patent Citations (19)
| Publication number | Priority date | Publication date | Assignee | Title |
|---|---|---|---|---|
| DE29805269U1 (de) * | 1998-03-24 | 1998-06-04 | Laskowski, Ralf, 08304 Schönheide | Lehre zur Nachbildung von Konturen |
| US20120047989A1 (en) * | 2010-09-01 | 2012-03-01 | Orbital Sciences Corporation | Shock simulation method and apparatus |
| CN102635667A (zh) * | 2012-04-14 | 2012-08-15 | 吉林大学 | 一种无级变速用滚销链 |
| CN102680331A (zh) * | 2012-05-14 | 2012-09-19 | 湖北航天技术研究院总体设计所 | 适用于直线型缝焊缝的焊接接头剪切强度检验方法 |
| CN103293057A (zh) * | 2013-06-04 | 2013-09-11 | 南京航空航天大学 | 基于仿生学原理的用于人工颈椎间盘假体疲劳试验的专用夹具 |
| CN104400838A (zh) * | 2014-11-21 | 2015-03-11 | 吉林大学 | 一种仿生圆盘锯 |
| CN205483797U (zh) * | 2016-01-18 | 2016-08-17 | 清华大学苏州汽车研究院(相城) | 一种应用于网状织物材料的高速拉伸试验夹具及试验装置 |
| CN105702438A (zh) * | 2016-04-26 | 2016-06-22 | 广西南宝特电气制造有限公司 | 有载调容式非晶合金变压器的器身定位装置 |
| CN205879681U (zh) * | 2016-07-11 | 2017-01-11 | 辽宁忠旺集团有限公司 | 搭接焊缝力学性能试验夹具 |
| CN106885728A (zh) * | 2017-02-14 | 2017-06-23 | 山东省医疗器械产品质量检验中心 | 用于接骨板弯曲强度和等效弯曲刚度测定的夹具及方法 |
| CN107643215A (zh) * | 2017-10-17 | 2018-01-30 | 河钢股份有限公司 | 一种用于薄板带焊缝检测的拉伸试验机 |
| US20200332588A1 (en) * | 2017-11-10 | 2020-10-22 | Nippon Sheet Glass Company, Limited | Glass panel |
| CN109352677A (zh) * | 2018-12-11 | 2019-02-19 | 大连蒂艾斯科技发展股份有限公司 | 一种仿生机器人可拆卸的肘关节 |
| CN110044692A (zh) * | 2019-05-22 | 2019-07-23 | 中国民航大学 | 一种用于脆性材料平板试件的高温拉伸试验夹具 |
| CN209994797U (zh) * | 2019-06-04 | 2020-01-31 | 吉林大学 | 一种具有减阻仿生表面的仿生深松铲 |
| CN210803120U (zh) * | 2019-09-18 | 2020-06-19 | 长沙仲腾金属材料科技有限公司 | 一种铆接接头拉伸试验工装 |
| CN210775007U (zh) * | 2019-10-17 | 2020-06-16 | 攀枝花学院 | 热模拟试验机板材拉伸试验用夹具 |
| CN111458222A (zh) * | 2020-04-12 | 2020-07-28 | 北京工业大学 | 一种网络弹性结构水凝胶渗透压调节拉伸装置与测试方法 |
| CN112033798A (zh) * | 2020-08-26 | 2020-12-04 | 北京理工大学 | 一种包辛格效应试验夹具 |
Non-Patent Citations (3)
| Title |
|---|
| GUO JING 等: "Analysis for microstructure of MEMS bionic vector hydrophone", 《HIGH POWER LASER AND PARTICLE BEAMS》 * |
| 袁良帅: "井下减振器用碟形弹簧的优化设置", 《机械工程与自动化》 * |
| 郭志军 等: "触土曲面形式对推土板减阻性能影响的正交试验", 《农业机械学报》 * |
Cited By (3)
| Publication number | Priority date | Publication date | Assignee | Title |
|---|---|---|---|---|
| CN113758803A (zh) * | 2021-10-09 | 2021-12-07 | 甘肃蓝科石化高新装备股份有限公司 | 一种薄板端接焊缝拉伸试验用试样工装 |
| CN113758803B (zh) * | 2021-10-09 | 2024-06-14 | 甘肃蓝科石化高新装备股份有限公司 | 一种薄板端接焊缝拉伸试验用试样工装 |
| CN118050251A (zh) * | 2024-02-29 | 2024-05-17 | 沈阳工业大学 | 一种板材连接件用多角度拉压疲劳试验固定夹具 |
Also Published As
| Publication number | Publication date |
|---|---|
| CN112945711B (zh) | 2023-03-28 |
Similar Documents
| Publication | Publication Date | Title |
|---|---|---|
| CN112945711A (zh) | 一种薄板对焊焊缝多角度拉伸试验专用夹具 | |
| WO2015135329A1 (zh) | 脉动疲劳试验机用疲劳试验装置及脉动疲劳试验机 | |
| CN206531724U (zh) | 一种钛合金耳片疲劳试验夹具 | |
| CN107121258B (zh) | 一种应力分布优化的天平阻力元件结构 | |
| CN101811263B (zh) | 冲击式水轮机转轮数控加工夹具装置 | |
| CN209342361U (zh) | 一种高频疲劳试验机的疲劳试验夹具 | |
| CN209681517U (zh) | 一种纯拉伸焊接接头试样制作的卡具 | |
| CN206132507U (zh) | 一种十字型墩粗压铆接头拉伸试验夹具 | |
| CN112693561A (zh) | 一种组合型链条配重块 | |
| CN216594099U (zh) | 一种适用于扭转叶片小尺寸试样高温持久试验夹具 | |
| CN109356759B (zh) | 一种发动机燃油泵保护固定装置 | |
| CN107030509A (zh) | 一种车削发动机连杆的车床夹具 | |
| CN214223930U (zh) | 一种用于检测排污泵叶轮叶片进口的检具 | |
| CN105840602B (zh) | 一种连接装置及连接方法 | |
| CN214212753U (zh) | 悬挂框架部件组焊工装 | |
| CN222635944U (zh) | 一种用于板件拉伸疲劳试验的试样夹具 | |
| CN217586626U (zh) | 一种焊接接头的疲劳试验工装 | |
| CN205056916U (zh) | 一种阻尼销电液锺大砧底座 | |
| CN222671399U (zh) | 一种螺栓连接对均匀加载试验装置 | |
| CN220270999U (zh) | 一种复合材料非标修理样件压缩力学性能测试专用夹具 | |
| CN217453731U (zh) | 一种汽车方向盘拆卸用组合工具 | |
| CN223536788U (zh) | 环冷机台车轴连接结构 | |
| CN222756122U (zh) | 一种连接工具 | |
| CN216669515U (zh) | 超高强钢圆棒用拉伸试样拉伸夹具装置 | |
| CN222913313U (zh) | 一种用于球铁深孔的压力测试工装 |
Legal Events
| Date | Code | Title | Description |
|---|---|---|---|
| PB01 | Publication | ||
| PB01 | Publication | ||
| SE01 | Entry into force of request for substantive examination | ||
| SE01 | Entry into force of request for substantive examination | ||
| GR01 | Patent grant | ||
| GR01 | Patent grant | ||
| CF01 | Termination of patent right due to non-payment of annual fee |
Granted publication date: 20230328 |
|
| CF01 | Termination of patent right due to non-payment of annual fee |






