CN112746292A - Chip copper interconnection electroplating additive, preparation method and application thereof - Google Patents
Chip copper interconnection electroplating additive, preparation method and application thereof Download PDFInfo
- Publication number
- CN112746292A CN112746292A CN202011542548.0A CN202011542548A CN112746292A CN 112746292 A CN112746292 A CN 112746292A CN 202011542548 A CN202011542548 A CN 202011542548A CN 112746292 A CN112746292 A CN 112746292A
- Authority
- CN
- China
- Prior art keywords
- copper
- acid
- sulfonic acid
- metal plating
- plating composition
- Prior art date
- Legal status (The legal status is an assumption and is not a legal conclusion. Google has not performed a legal analysis and makes no representation as to the accuracy of the status listed.)
- Granted
Links
Classifications
-
- C—CHEMISTRY; METALLURGY
- C25—ELECTROLYTIC OR ELECTROPHORETIC PROCESSES; APPARATUS THEREFOR
- C25D—PROCESSES FOR THE ELECTROLYTIC OR ELECTROPHORETIC PRODUCTION OF COATINGS; ELECTROFORMING; APPARATUS THEREFOR
- C25D3/00—Electroplating: Baths therefor
- C25D3/02—Electroplating: Baths therefor from solutions
- C25D3/38—Electroplating: Baths therefor from solutions of copper
-
- H—ELECTRICITY
- H01—ELECTRIC ELEMENTS
- H01L—SEMICONDUCTOR DEVICES NOT COVERED BY CLASS H10
- H01L21/00—Processes or apparatus adapted for the manufacture or treatment of semiconductor or solid state devices or of parts thereof
- H01L21/70—Manufacture or treatment of devices consisting of a plurality of solid state components formed in or on a common substrate or of parts thereof; Manufacture of integrated circuit devices or of parts thereof
- H01L21/71—Manufacture of specific parts of devices defined in group H01L21/70
- H01L21/768—Applying interconnections to be used for carrying current between separate components within a device comprising conductors and dielectrics
- H01L21/76838—Applying interconnections to be used for carrying current between separate components within a device comprising conductors and dielectrics characterised by the formation and the after-treatment of the conductors
- H01L21/76877—Filling of holes, grooves or trenches, e.g. vias, with conductive material
- H01L21/76879—Filling of holes, grooves or trenches, e.g. vias, with conductive material by selective deposition of conductive material in the vias, e.g. selective C.V.D. on semiconductor material, plating
-
- H—ELECTRICITY
- H05—ELECTRIC TECHNIQUES NOT OTHERWISE PROVIDED FOR
- H05K—PRINTED CIRCUITS; CASINGS OR CONSTRUCTIONAL DETAILS OF ELECTRIC APPARATUS; MANUFACTURE OF ASSEMBLAGES OF ELECTRICAL COMPONENTS
- H05K3/00—Apparatus or processes for manufacturing printed circuits
- H05K3/10—Apparatus or processes for manufacturing printed circuits in which conductive material is applied to the insulating support in such a manner as to form the desired conductive pattern
- H05K3/18—Apparatus or processes for manufacturing printed circuits in which conductive material is applied to the insulating support in such a manner as to form the desired conductive pattern using precipitation techniques to apply the conductive material
- H05K3/181—Apparatus or processes for manufacturing printed circuits in which conductive material is applied to the insulating support in such a manner as to form the desired conductive pattern using precipitation techniques to apply the conductive material by electroless plating
Landscapes
- Engineering & Computer Science (AREA)
- Manufacturing & Machinery (AREA)
- Chemical & Material Sciences (AREA)
- Microelectronics & Electronic Packaging (AREA)
- General Physics & Mathematics (AREA)
- Computer Hardware Design (AREA)
- Physics & Mathematics (AREA)
- Power Engineering (AREA)
- Condensed Matter Physics & Semiconductors (AREA)
- Chemical Kinetics & Catalysis (AREA)
- Electrochemistry (AREA)
- Materials Engineering (AREA)
- Metallurgy (AREA)
- Organic Chemistry (AREA)
- Electroplating And Plating Baths Therefor (AREA)
Abstract
The invention discloses a chip copper interconnection electroplating additive, a preparation method and application thereof. The compound shown in the formula I is used as the chip copper interconnection electroplating additive, and after the prepared metal electroplating composition is electroplated, the formed plating layer has at least one of the following advantages: no void and defect, low impurity of plating layer, good uniform plating property, compact structure and small surface roughness.
Description
Technical Field
The invention relates to a chip copper interconnection electroplating additive, a preparation method and application thereof.
Background
With the development of Very Large Scale Integrated (VLSI) and Ultra Large Scale Integrated (ULSI) circuits, the integration level is continuously increased, the circuit elements are more and more dense, and chip interconnection becomes a key factor affecting the performance of chips. The reliability of these interconnect structures plays a very important role in the success of VLSI and ULSI and in the increase of circuit density. However, due to the size limitations of circuitry, the shrinking dimensions of interconnect lines in VLSI and ULSI technologies place additional demands on process capability. Such requirements include the precision machining of multi-level, high aspect ratio features, and the like.
As circuit density increases, interconnect line widths, contact via sizes, and other feature sizes decrease, while dielectric layer thicknesses do not scale down, resulting in increased feature aspect ratios. Second, copper has gradually replaced aluminum as the mainstream interconnect technology in VLSI interconnects in integrated circuit back-end-of-line processes. In current chip fabrication, almost all of the wiring and interconnections of the chip are copper plated. Today logic chip technology nodes have been developed to the technology level of 28nm and below, and the products on the market for copper interconnect plating additives of this technology level are the phoenix unicorn, and the way of localization of such products is unusually hard.
However, as the technology nodes of integrated circuits are continuously advanced, the filling requirements for the nano-scale holes are more and more strict. Research and development personnel in various countries strive for an electroplating method, an electroplating solution and an additive which have no holes and defects, low plating impurities, good uniform plating property, compact structure and small surface roughness.
In general, levelers for copper plating provide better leveling of the deposit across the substrate surface, but tend to compromise the throwing power of the plating bath. Throwing power is defined as the ratio of the thickness of the copper deposit in the center of the hole to the thickness at its surface.
Disclosure of Invention
The invention aims to solve the technical problem of overcoming one or more defects of generation of cavities and defects, high impurity content of a plating layer, poor plating uniformity, sparse structure, surface roughness and the like in the electroplating of a metal electroplating composition in the prior art, and provides a chip copper interconnection electroplating additive, a metal electroplating composition containing the same, a preparation method and application thereof. The chip copper interconnection electroplating additive has at least one of the following advantages: no void and defect, low impurity of plating layer, good uniform plating property, compact structure and small surface roughness.
The invention provides an application of a compound shown as a formula I as a chip copper interconnection electroplating additive:
wherein R is1、R2、R3Independently is H or halogen;
R4is C1~C4An alkyl group;
n is an integer of 3 to 10.
In some embodiments of the invention, when R1、R2、R3When halogen, the halogen may be F, Cl, Br or I, for example Cl or Br.
In some embodiments of the invention, R4Is methyl, ethyl, propyl or butyl, for example methyl or ethyl.
In some embodiments of the invention, n is 4.
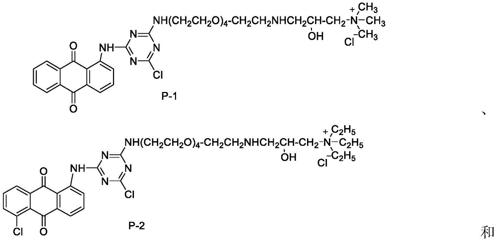
In some embodiments of the invention, the compound of formula I may be:
The compounds of formula I can be prepared according to the methods disclosed in chinese patent application CN 201610853873.6.
In some embodiments of the invention, the chip copper interconnect electroplating additive is applied to a metal electroplating composition.
In some embodiments of the invention, the metal plating composition can be as described below.
The invention also provides a metal plating composition, wherein the raw materials of the metal plating composition comprise a metal copper plating solution and the chip copper interconnection plating additive.
In some embodiments of the present invention, the metal electrocoppering bath comprises a copper salt, an acidic electrolyte, a halide ion source, and water.
In some embodiments of the present invention, the copper salt may be: one or more of copper sulfate, copper halide, copper acetate, copper nitrate, copper fluoroborate, copper alkylsulfonate, copper arylsulfonate, copper sulfamate, and copper gluconate; the copper alkyl sulfonate is preferably selected from one or more of copper methane sulfonate, copper ethane sulfonate and copper propane sulfonate; the copper arylsulfonate is preferably selected from one or more of copper phenylsulfonate, copper phenolsulfonate and copper p-toluenesulfonate. The molar concentration of copper ions in the copper salt is 0.15-2.85 mol/L.
In some embodiments of the invention, the acidic electrolyte may be one or more of sulfuric acid, phosphoric acid, acetic acid, fluoroboric acid, sulfamic acid, alkylsulfonic acid, arylsulfonic acid, and hydrochloric acid. The alkyl sulphonic acid is preferably selected from one or more of methane sulphonic acid, ethane sulphonic acid, propane sulphonic acid and trifluoromethane sulphonic acid; the aryl sulphonic acid is preferably selected from one or more of phenyl sulphonic acid, phenol sulphonic acid and toluene sulphonic acid. The mass of the acid electrolyte is preferably 1-300g per liter of the metal plating composition.
In some embodiments of the invention, the halide ion source may be a chloride ion source, preferably selected from one or more of copper chloride, tin chloride and hydrochloric acid. The concentration of the halide ion source is preferably 0 to 100ppm, more preferably 50 to 100 ppm.
In some embodiments of the present invention, the electrolytic copper plating solution is preferably made by SYSD2110 from the manufacturer of the electro-coppering solution, Shanghai Xinyang semiconductor materials, Inc. SYSD2110 can be prepared by referring to the method disclosed in Chinese patent CN 100529194C.
In some embodiments of the present invention, the starting material of the metal plating composition further comprises an accelerator. The accelerator may be one conventional in the art, for example, product types UPD3115A (available from Shanghai Xinyang semiconductor Co., Ltd.), N-dimethyl-dithiocarbamic acid- (3-sulfopropyl) ester, 3-mercapto-propyl sulfonic acid- (3-sulfopropyl) ester, 3-mercapto-propyl sodium sulfonate, dithio-o-ethyl ester-s-carbonate with 3-mercapto-1-propane sulfonic acid potassium salt, bis-sulfopropyl disulfide, 3- (benzothiazyl-s-thio) propyl sulfonic acid sodium salt, pyridinium propyl sulfobetaine, 1-sodium-3-mercaptopropane-1-sulfonic acid ester, N-dimethyl-dithiocarbamic acid- (3-sulfoethyl) ester, N-dimethyl-dithiocarbamic acid, 3-mercapto-ethylpropylsulfonic acid- (3-sulfoethyl) ester, 3-mercaptoethylsulfonic acid sodium salt, carbonic acid-dithio-o-ethyl ester-s-ester with one or more of 3-mercapto-1-ethanesulfonic acid potassium salt, disulfoethyl disulfide, 3- (benzothiazolyl-s-thio) ethylsulfonic acid sodium salt, pyridinium ethylsulfobetaine and 1-sodium-3-mercaptoethane-1-sulfonate, as well as for example UPD3115A, N, one or more of N-dimethyl-dithiocarbamic acid- (3-sulfopropyl) ester, 1-sodium-3-mercaptopropane-1-sulfonate, and 3- (benzothiazolyl-s-thio) propyl sulfonic acid sodium salt.
In some embodiments of the present invention, the starting material of the metal plating composition further comprises an inhibitor. The inhibitor may be one or more of those conventional in the art, such as product model number UPD3115S (available from Shanghai Xinyang semiconductor), polypropylene glycol copolymers, polyethylene glycol copolymers, ethylene oxide-propylene oxide (EO/PO) copolymers, and butoxyethylene oxide-propylene oxide yard copolymers, and further such as one or more of UPD3115S and butoxyethylene oxide-propylene oxide.
In the present invention, when the inhibitor is butanol-ethylene oxide-propylene oxide, the weight average molecular weight of the inhibitor may be 500 to 20000, for example 1000, 3000 or 10000.
In the present invention, the amount of the accelerator may be an amount conventionally used in the art, such as 5 to 500ppm, and further such as 10ppm, 50ppm or 100 ppm.
In the present invention, the inhibitor may be used in an amount conventionally used in the art, for example, 50 to 5000ppm, and further, for example, 100ppm, 500ppm or 1000 ppm.
In the invention, the dosage of the chip copper interconnection electroplating additive can be the conventional dosage in the field, such as 0.5-50 ppm, and further such as 1ppm, 5ppm or 10 ppm.
The invention also provides a metal electroplating composition which consists of the metal copper electroplating solution, the chip copper interconnection electroplating additive, the accelerator and the inhibitor, wherein the metal copper electroplating solution, the chip copper interconnection electroplating additive, the accelerator and the inhibitor are defined as above.
The invention provides a preparation method of a metal electroplating composition, which comprises the following step of uniformly mixing raw material components.
The invention provides an application of the metal electroplating composition in electroplating of a printed circuit board and electroplating of copper interconnection of an integrated circuit, and the application preferably comprises the following steps:
(1) contacting the substrate to be plated with the aforementioned metal plating composition:
(2) and applying current to carry out electroplating.
In step (1), the substrate may be any substrate conventionally used in the art, preferably a wafer or chip of a printed circuit board or an integrated circuit.
In step (2), the current density of the electroplating may be conventional in the art, and is preferably 0.1-10ASD, more preferably 0.3-5ASD, and still more preferably 0.5-1.5 ASD;
in the step (2), the electroplating time can be conventional in the art, and is preferably 53-110s, and is preferably 80-110 s;
in step (2), the temperature of the electroplating may be conventional in the art, and is preferably 10 to 65 ℃, more preferably 10 to 35 ℃, and still more preferably 20 to 30 ℃.
In a preferred embodiment of the present invention, the application is preferably performed in three steps:
the current density of the first step is 0.3-0.8ASD, more preferably 0.65ASD, the plating time is 3-20s, more preferably 5s, the plating temperature is 10-65 ℃, more preferably 10-35 ℃, further more preferably 20-30 ℃, for example 25 ℃;
the current density of the second step is 0.5-1.5ASD, more preferably 1.0ASD, the plating time is 30-50s, more preferably 45s, the plating temperature is 10-65 ℃, more preferably 10-35 ℃, further more preferably 20-30 ℃, for example 25 ℃;
the current density of the third step is 1-10ASD, preferably 6ASD, the plating time is 30-50s, preferably 38s, and the plating temperature is 10-65 deg.C, preferably 10-35 deg.C, further preferably 20-30 deg.C, for example 25 deg.C.
The compound with the structure of the formula I is used as the chip copper interconnection electroplating additive, so that one or more effects of no void and defect, low plating impurity, good uniform plating property, compact structure and small surface roughness can be realized. In addition, the copper electroplating solution composition has good thermal reliability and uniform plating capacity, can solve the problem of orifice sealing, and has good industrial application value.
In the present invention, the following abbreviations shall have the following meaning, unless the context clearly indicates otherwise; a/dm2Ampere per square decimeter ASD; DEG C is centigrade; ppm to parts per million. All amounts are mass percentages unless otherwise indicated. All numerical ranges are inclusive and combinable in any order, but such numerical ranges are limited to 100% total.
In the present invention, "feature" refers to a geometric structure on a substrate. "Aperture" refers to a recessed feature that includes a through hole and a blind via.
In the present invention, "weight average molecular weight" means a statistical average molecular weight averaged with the weight of molecules of different molecular weights in a polymer.
The above preferred conditions can be arbitrarily combined to obtain preferred embodiments of the present invention without departing from the common general knowledge in the art.
The reagents and starting materials used in the present invention are commercially available.
Detailed Description
The invention is further illustrated by the following examples, which are not intended to limit the scope of the invention. The experimental methods without specifying specific conditions in the following examples were selected according to the conventional methods and conditions, or according to the commercial instructions.
Preparation of example Metal plating compositions 1-7 and preparation of comparative Metal plating compositions 1-6
The components and amounts of the metal plating compositions 1-7 and comparative metal plating compositions 1-6 are shown in Table 1, and the copper plating bath, leveler, accelerator and suppressor were mixed. The metal ion source and the electrolyte are made of SYSD2110 of the above list was supplied from Shanghai Xinyang semiconductor materials, Inc. An accelerator under the designation UPD3115A, available from Shanghai Xinyang semiconductor materials, Inc. Inhibitor, under the designation UPD3115S, available from Shanghai Xinyang semiconductor materials, Inc.
Compound P-15
Compound P-16
TABLE 1
Application examples 1 to 7 and comparative application examples 1 to 6
In the present invention, application examples 1 to 7 and comparative application examples 1 to 6 were carried out using metal plating compositions 1 to 7 and comparative metal plating compositions 1 to 6, respectively.
The plating parameters are shown in table 2.
TABLE 2
The plating test procedure is shown in table 3.
TABLE 3
Effect of application the impurity content of the coating is shown in table 4.
TABLE 4
The filling rate, the cavity condition, the structural compactness and the surface roughness are observed by adopting an SEM electron microscope, and the experimental results are shown in Table 5.
Claims (10)
1. A metal plating composition, wherein the raw materials of the metal plating composition comprise chip copper interconnection plating additives and metal copper plating solution; the chip copper interconnection electroplating additive is a compound shown in formula I:
wherein R is1、R2、R3Independently is H or halogen;
R4is C1~C4An alkyl group;
n is an integer of 3 to 10.
2. The metal plating composition of claim 1, wherein when R is1、R2、R3When halogen, the halogen is F, Cl, Br or I, such as Cl or Br;
and/or, R4Is methyl, ethyl, propyl or butyl, for example methyl or ethyl;
and/or n is 4.
4. The metal plating composition according to any one of claims 1 to 3, wherein the metal plating copper solution comprises a copper salt, an acidic electrolyte, a halide ion source and water.
5. The metal plating composition of claim 4, wherein the copper salt is: one or more of copper sulfate, copper halide, copper acetate, copper nitrate, copper fluoroborate, copper alkylsulfonate, copper arylsulfonate, copper sulfamate, and copper gluconate;
and/or the molar concentration of copper ions in the copper salt is 0.15-2.85 mol/L;
and/or the acidic electrolyte is one or more of sulfuric acid, phosphoric acid, acetic acid, fluoroboric acid, sulfamic acid, alkyl sulfonic acid, aryl sulfonic acid and hydrochloric acid;
and/or the acid electrolyte has a mass of 1-300g per liter of the metal plating composition;
and/or, the halide ion source is a chloride ion source;
and/or the concentration of halide ions of the halide ion source is 0-100 ppm;
and/or the metal electroplating solution is provided by an electroplating copper solution with the mark of SYSD 2110;
and/or, the raw material of the metal plating composition also comprises an accelerator;
and/or, the raw material of the metal plating composition further comprises an inhibitor.
6. The metal plating composition of claim 5, wherein the copper alkyl sulfonate is one or more of copper methane sulfonate, copper ethane sulfonate, and copper propane sulfonate;
and/or the aryl copper sulfonate is one or more of copper phenyl sulfonate, copper phenol sulfonate and copper p-toluene sulfonate;
and/or the alkyl sulfonic acid is one or more of methane sulfonic acid, ethane sulfonic acid, propane sulfonic acid and trifluoromethane sulfonic acid;
and/or the aryl sulfonic acid is one or more of phenyl sulfonic acid, phenol sulfonic acid and toluene sulfonic acid;
and/or the source of chloride ions is one or more of copper chloride, tin chloride and hydrochloric acid;
and/or the concentration of halide ions of the halide ion source is 50-100 ppm;
and/or the accelerator is a compound of the formula UPD3115A, N-dimethyl-dithiocarbamic acid- (3-sulfopropyl) ester, 3-mercapto-propyl sulfonic acid- (3-sulfopropyl) ester, 3-mercapto-propyl sodium sulfonate, dithio-o-ethyl ester-s-carbonate with 3-mercapto-1-propane sulfonic acid potassium salt, bis-sulfopropyl disulfide, 3- (benzothiazolyl-s-thio) propyl sulfonic acid sodium salt, pyridinium propyl sulfobetaine, 1-sodium-3-mercaptopropane-1-sulfonate, N-dimethyl-dithiocarbamic acid- (3-sulfoethyl) ester, 3-mercapto-ethyl propyl sulfonic acid- (3-sulfoethyl) ester, N-dimethyl-dithiocarbamic acid- (3-sulfoethyl) ester, 3-mercaptoethylsulfonic acid sodium salt, dithio-o-ethyl-carbonate-s-ester with one or more of 3-mercapto-1-ethanesulfonic acid potassium salt, disulfoethyl disulfide, 3- (benzothiazolyl-s-thio) ethylsulfonic acid sodium salt, pyridinium ethylsulfobetaine, and 1-sodium-3-mercaptoethane-1-sulfonate;
and/or the inhibitor is one or more of UPD3115S, polypropylene glycol copolymer, polyethylene glycol copolymer, ethylene oxide-propylene oxide copolymer and butanol ethylene oxide-propylene oxide copolymer;
and/or when the inhibitor is butanol-ethylene oxide-propylene oxide, the weight average molecular weight of the inhibitor is 500-20000;
and/or the dosage of the accelerator is 5-500 ppm;
and/or the dosage of the inhibitor is 50-5000 ppm;
and/or the dosage of the chip copper interconnection electroplating additive is 0.5-50 ppm.
7. The metal plating composition of claim 6, wherein the accelerator is one or more of UPD3115A, N-dimethyl-dithiocarbamic acid- (3-sulfopropyl) ester, 1-sodium-3-mercaptopropane-1-sulfonic acid ester, and 3- (benzothiazolyl-s-thio) propyl sulfonic acid sodium salt;
and/or, the inhibitor is one or more of UPD3115S and butanol-ethylene oxide-propylene oxide;
and/or, when the inhibitor is butanol-ethylene oxide-propylene oxide, the weight average molecular weight of the inhibitor is 500 to 20000, such as 1000, 3000 or 10000;
and/or the amount of said accelerator is 10ppm, 50ppm or 100 ppm;
and/or the inhibitor is used in an amount of 100ppm, 500ppm or 1000 ppm;
and/or the amount of the chip copper interconnection electroplating additive is 1ppm, 5ppm or 10 ppm.
8. The metal plating composition of claim 1, wherein the metal plating composition is comprised of a metal copper plating bath, a chip copper interconnect additive, an accelerator and a suppressor, wherein the metal copper plating bath, the chip copper interconnect additive are as defined in any one of claims 1 to 7, and the accelerator and the suppressor are as defined in claim 6 or 7.
9. The metal plating composition according to any of claims 1 to 8, wherein the metal plating composition is prepared by a method comprising the steps of: the raw material components are uniformly mixed.
10. Use of a metal plating composition according to any one of claims 1 to 9 in a process for electroplating printed circuit boards and electroplating copper interconnects of integrated circuits.
Priority Applications (1)
| Application Number | Priority Date | Filing Date | Title |
|---|---|---|---|
| CN202011542548.0A CN112746292B (en) | 2020-12-21 | 2020-12-21 | Chip copper interconnection electroplating additive, preparation method and application thereof |
Applications Claiming Priority (1)
| Application Number | Priority Date | Filing Date | Title |
|---|---|---|---|
| CN202011542548.0A CN112746292B (en) | 2020-12-21 | 2020-12-21 | Chip copper interconnection electroplating additive, preparation method and application thereof |
Publications (2)
| Publication Number | Publication Date |
|---|---|
| CN112746292A true CN112746292A (en) | 2021-05-04 |
| CN112746292B CN112746292B (en) | 2023-04-28 |
Family
ID=75647360
Family Applications (1)
| Application Number | Title | Priority Date | Filing Date |
|---|---|---|---|
| CN202011542548.0A Active CN112746292B (en) | 2020-12-21 | 2020-12-21 | Chip copper interconnection electroplating additive, preparation method and application thereof |
Country Status (1)
| Country | Link |
|---|---|
| CN (1) | CN112746292B (en) |
Cited By (1)
| Publication number | Priority date | Publication date | Assignee | Title |
|---|---|---|---|---|
| WO2024131535A1 (en) * | 2022-12-22 | 2024-06-27 | 宁波安集微电子科技有限公司 | Metal plating composition and use method therefor |
Citations (8)
| Publication number | Priority date | Publication date | Assignee | Title |
|---|---|---|---|---|
| GB1181534A (en) * | 1966-03-08 | 1970-02-18 | Schering Ag | An Acidic Copper Electrolyte |
| JP2004107738A (en) * | 2002-09-19 | 2004-04-08 | Ebara Udylite Kk | Additive for acidic copper plating bath, acidic copper plating bath containing the additive, and plating method using the plating bath |
| CN104630837A (en) * | 2013-11-08 | 2015-05-20 | 无锡市雪江环境工程设备有限公司 | Electroplating liquid and electroplating method of anthraquinone dye system acid copper plating |
| CN105040044A (en) * | 2015-07-21 | 2015-11-11 | 安徽江威精密制造有限公司 | Electroplating solution for copper plating and preparation method thereof |
| CN105694529A (en) * | 2015-11-30 | 2016-06-22 | 南京工业大学 | Cationic reactive dye containing polyether amine chain segment and preparation method thereof |
| CN106637311A (en) * | 2017-02-09 | 2017-05-10 | 济南德锡科技有限公司 | Preparation method of plating solution for gravure platemaking hard copper electroplating |
| CN107217283A (en) * | 2017-07-25 | 2017-09-29 | 上海新阳半导体材料股份有限公司 | Leveling agent, the metal plating compositions containing it, preparation method and application |
| CN107604391A (en) * | 2017-09-07 | 2018-01-19 | 电子科技大学 | A kind of plating agent for electro-coppering and its related plating metal copper combination agent |
-
2020
- 2020-12-21 CN CN202011542548.0A patent/CN112746292B/en active Active
Patent Citations (8)
| Publication number | Priority date | Publication date | Assignee | Title |
|---|---|---|---|---|
| GB1181534A (en) * | 1966-03-08 | 1970-02-18 | Schering Ag | An Acidic Copper Electrolyte |
| JP2004107738A (en) * | 2002-09-19 | 2004-04-08 | Ebara Udylite Kk | Additive for acidic copper plating bath, acidic copper plating bath containing the additive, and plating method using the plating bath |
| CN104630837A (en) * | 2013-11-08 | 2015-05-20 | 无锡市雪江环境工程设备有限公司 | Electroplating liquid and electroplating method of anthraquinone dye system acid copper plating |
| CN105040044A (en) * | 2015-07-21 | 2015-11-11 | 安徽江威精密制造有限公司 | Electroplating solution for copper plating and preparation method thereof |
| CN105694529A (en) * | 2015-11-30 | 2016-06-22 | 南京工业大学 | Cationic reactive dye containing polyether amine chain segment and preparation method thereof |
| CN106637311A (en) * | 2017-02-09 | 2017-05-10 | 济南德锡科技有限公司 | Preparation method of plating solution for gravure platemaking hard copper electroplating |
| CN107217283A (en) * | 2017-07-25 | 2017-09-29 | 上海新阳半导体材料股份有限公司 | Leveling agent, the metal plating compositions containing it, preparation method and application |
| CN107604391A (en) * | 2017-09-07 | 2018-01-19 | 电子科技大学 | A kind of plating agent for electro-coppering and its related plating metal copper combination agent |
Cited By (1)
| Publication number | Priority date | Publication date | Assignee | Title |
|---|---|---|---|---|
| WO2024131535A1 (en) * | 2022-12-22 | 2024-06-27 | 宁波安集微电子科技有限公司 | Metal plating composition and use method therefor |
Also Published As
| Publication number | Publication date |
|---|---|
| CN112746292B (en) | 2023-04-28 |
Similar Documents
| Publication | Publication Date | Title |
|---|---|---|
| CN107217283B (en) | Leveling agent, the metal plating compositions containing it, preparation method and application | |
| CN107313082B (en) | Leveling agent, the metal plating compositions containing it, preparation method and application | |
| CN1908240B (en) | Plating method | |
| JP6054595B2 (en) | Plating bath and method | |
| JP6240764B2 (en) | Polymer containing benzimidazole moiety as leveler | |
| CN112760683B (en) | Chip copper interconnection electroplating additive, preparation method and application thereof | |
| CN114150351A (en) | High-speed copper electroplating solution and ceramic substrate pattern electroplating method thereof | |
| TW202426705A (en) | Metal plating composition and method of using the same | |
| KR20040073974A (en) | Electroplating composition | |
| CN112746292B (en) | Chip copper interconnection electroplating additive, preparation method and application thereof | |
| US20120175744A1 (en) | Copper electroplating composition | |
| CN112725850B (en) | Chip copper interconnection electroplating additive, preparation method and application thereof | |
| CN112795960B (en) | Chip copper interconnection electroplating additive, preparation method and application thereof | |
| WO2024046450A1 (en) | Metal plating composition and use method therefor | |
| CN112725851B (en) | Chip copper interconnection electroplating additive, preparation method and application thereof | |
| TW202426706A (en) | Metal plating composition and method of using the same | |
| CN107326407B (en) | Leveling agent, the metal plating compositions containing it and preparation method, application | |
| CN107236976B (en) | Leveling agent, the metal plating compositions containing it and preparation method, application | |
| CN107326404A (en) | Leveling agent, the metal plating compositions containing it, preparation method and application | |
| TW202411476A (en) | Metal plating composition for electrolytic copper coatings and method of using the same | |
| CN121344697A (en) | A metal electroplating composition and its application method | |
| CN120272998A (en) | Metal electroplating composition and application method thereof | |
| WO2017059563A1 (en) | Copper electroplating baths containing compounds of reaction products of amines and quinones | |
| CN120272997A (en) | Metal electroplating composition and application method thereof | |
| US20250215598A1 (en) | Leveling agent, composition, and application thereof |
Legal Events
| Date | Code | Title | Description |
|---|---|---|---|
| PB01 | Publication | ||
| PB01 | Publication | ||
| SE01 | Entry into force of request for substantive examination | ||
| SE01 | Entry into force of request for substantive examination | ||
| GR01 | Patent grant | ||
| GR01 | Patent grant |















