CN111483350B - 一种动力电池组的均衡与微短路检测方法 - Google Patents
一种动力电池组的均衡与微短路检测方法 Download PDFInfo
- Publication number
- CN111483350B CN111483350B CN202010410433.XA CN202010410433A CN111483350B CN 111483350 B CN111483350 B CN 111483350B CN 202010410433 A CN202010410433 A CN 202010410433A CN 111483350 B CN111483350 B CN 111483350B
- Authority
- CN
- China
- Prior art keywords
- circuit
- battery pack
- power battery
- balance
- micro
- Prior art date
- Legal status (The legal status is an assumption and is not a legal conclusion. Google has not performed a legal analysis and makes no representation as to the accuracy of the status listed.)
- Active
Links
Images
Classifications
-
- B—PERFORMING OPERATIONS; TRANSPORTING
- B60—VEHICLES IN GENERAL
- B60L—PROPULSION OF ELECTRICALLY-PROPELLED VEHICLES; SUPPLYING ELECTRIC POWER FOR AUXILIARY EQUIPMENT OF ELECTRICALLY-PROPELLED VEHICLES; ELECTRODYNAMIC BRAKE SYSTEMS FOR VEHICLES IN GENERAL; MAGNETIC SUSPENSION OR LEVITATION FOR VEHICLES; MONITORING OPERATING VARIABLES OF ELECTRICALLY-PROPELLED VEHICLES; ELECTRIC SAFETY DEVICES FOR ELECTRICALLY-PROPELLED VEHICLES
- B60L58/00—Methods or circuit arrangements for monitoring or controlling batteries or fuel cells, specially adapted for electric vehicles
- B60L58/10—Methods or circuit arrangements for monitoring or controlling batteries or fuel cells, specially adapted for electric vehicles for monitoring or controlling batteries
- B60L58/18—Methods or circuit arrangements for monitoring or controlling batteries or fuel cells, specially adapted for electric vehicles for monitoring or controlling batteries of two or more battery modules
- B60L58/22—Balancing the charge of battery modules
-
- B—PERFORMING OPERATIONS; TRANSPORTING
- B60—VEHICLES IN GENERAL
- B60L—PROPULSION OF ELECTRICALLY-PROPELLED VEHICLES; SUPPLYING ELECTRIC POWER FOR AUXILIARY EQUIPMENT OF ELECTRICALLY-PROPELLED VEHICLES; ELECTRODYNAMIC BRAKE SYSTEMS FOR VEHICLES IN GENERAL; MAGNETIC SUSPENSION OR LEVITATION FOR VEHICLES; MONITORING OPERATING VARIABLES OF ELECTRICALLY-PROPELLED VEHICLES; ELECTRIC SAFETY DEVICES FOR ELECTRICALLY-PROPELLED VEHICLES
- B60L3/00—Electric devices on electrically-propelled vehicles for safety purposes; Monitoring operating variables, e.g. speed, deceleration or energy consumption
- B60L3/0023—Detecting, eliminating, remedying or compensating for drive train abnormalities, e.g. failures within the drive train
- B60L3/0046—Detecting, eliminating, remedying or compensating for drive train abnormalities, e.g. failures within the drive train relating to electric energy storage systems, e.g. batteries or capacitors
-
- B—PERFORMING OPERATIONS; TRANSPORTING
- B60—VEHICLES IN GENERAL
- B60L—PROPULSION OF ELECTRICALLY-PROPELLED VEHICLES; SUPPLYING ELECTRIC POWER FOR AUXILIARY EQUIPMENT OF ELECTRICALLY-PROPELLED VEHICLES; ELECTRODYNAMIC BRAKE SYSTEMS FOR VEHICLES IN GENERAL; MAGNETIC SUSPENSION OR LEVITATION FOR VEHICLES; MONITORING OPERATING VARIABLES OF ELECTRICALLY-PROPELLED VEHICLES; ELECTRIC SAFETY DEVICES FOR ELECTRICALLY-PROPELLED VEHICLES
- B60L58/00—Methods or circuit arrangements for monitoring or controlling batteries or fuel cells, specially adapted for electric vehicles
- B60L58/10—Methods or circuit arrangements for monitoring or controlling batteries or fuel cells, specially adapted for electric vehicles for monitoring or controlling batteries
- B60L58/24—Methods or circuit arrangements for monitoring or controlling batteries or fuel cells, specially adapted for electric vehicles for monitoring or controlling batteries for controlling the temperature of batteries
-
- H02J7/52—
-
- Y—GENERAL TAGGING OF NEW TECHNOLOGICAL DEVELOPMENTS; GENERAL TAGGING OF CROSS-SECTIONAL TECHNOLOGIES SPANNING OVER SEVERAL SECTIONS OF THE IPC; TECHNICAL SUBJECTS COVERED BY FORMER USPC CROSS-REFERENCE ART COLLECTIONS [XRACs] AND DIGESTS
- Y02—TECHNOLOGIES OR APPLICATIONS FOR MITIGATION OR ADAPTATION AGAINST CLIMATE CHANGE
- Y02T—CLIMATE CHANGE MITIGATION TECHNOLOGIES RELATED TO TRANSPORTATION
- Y02T10/00—Road transport of goods or passengers
- Y02T10/60—Other road transportation technologies with climate change mitigation effect
- Y02T10/70—Energy storage systems for electromobility, e.g. batteries
Landscapes
- Engineering & Computer Science (AREA)
- Power Engineering (AREA)
- Life Sciences & Earth Sciences (AREA)
- Sustainable Development (AREA)
- Sustainable Energy (AREA)
- Transportation (AREA)
- Mechanical Engineering (AREA)
- Secondary Cells (AREA)
- Charge And Discharge Circuits For Batteries Or The Like (AREA)
Abstract
本发明公开了一种动力电池组的均衡与微短路检测方法,(1)实时采集动力电池组每一节单体电池的端电压和温度;(2)判断动力电池组中单体电池的端电压是否符合均衡的判定条件,若符合均衡的判定条件,则启动均衡方法并进入下一步(3),若不符合则直接进入下一步(3);(3)判断动力电池组中单体电池的端电压和温度是否符合微短路故障的判定条件,若符合微短路故障的判定条件,则进行启动保护和微短路故障预警,若不符合则返回第一步(1)。本发明可通过单体电池的端电压判定动力电池组是否需要启动均衡,通过单体电池的端电压和温度判断动力电池组中是否有单体电池存在微短路。
Description
技术领域
本发明涉及动力电池技术领域,尤其涉及一种动力电池组的均衡与微短路检测方法。
背景技术
动力电池组是新能源汽车的动力来源,属于核心装置。最大限度地延长电池的使用寿命对于新能源汽车的性能提升和使用推广是至关重要的。单体电池充电不平衡是动力电池组中的常见问题,会导致整个动力电池组的性能下降和寿命缩短,需要采用及时有效的措施解决均衡问题。而电池的微短路故障是单体电池发生短路故障的前兆,需要及实地识别发生微短路故障的单体电池。
然而,当前针对动力电池组的均衡问题和微短路问题,虽然已经有部分方法可以实现,但是存在检测速度慢、不精确、无法定位到具体单体电池等缺点。而本发明提出的内容是为了解决动力电池组中的均衡和单体电池的微短路检测问题。
发明内容
本发明目的就是为了弥补已有技术的缺陷,提供一种动力电池组的均衡与微短路检测方法,由此解决动力电池组的均衡问题和单体电池的微短路检测问题的技术问题。
本发明是通过以下技术方案实现的:
一种动力电池组的均衡与微短路检测方法,具体步骤如下:
(1)实时采集动力电池组每一节单体电池的端电压和温度;
(2)判断动力电池组中单体电池的端电压是否符合均衡的判定条件,若符合均衡的判定条件,则启动均衡方法并进入下一步骤(3),若不符合均衡的判定条件,则直接进入下一步骤(3);
(3)判断动力电池组中单体电池的端电压和温度是否符合微短路故障的判定条件,若符合微短路故障的判定条件,则进行启动保护和微短路故障预警,若不符合微短路故障的判定条件,则返回步骤(1)。
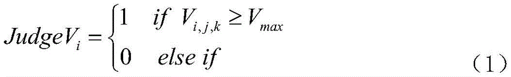
步骤(2)所述的判断动力电池组中单体电池的端电压是否符合均衡的判定条件的方法是判定均衡条件判断变量JudgeVi的值:
其中1代表单体电池i符合均衡条件,0代表单体电池i不符合均衡条件,动力电池Vi,j,k为动力电池组中单体电池i的端电压,i为单体电池的编号,i=1…N,N为动力电池组中单体电池的数量;j=1…J,J为充电的次数;k=1…K,K为充电中采样的时间点个数,Vmax为动力电池组中单体电池的最大充电电压。
步骤(3)所述的判断动力电池组中单体电池的端电压和温度是否符合微短路故障的判定条件的方法为:
首先,计算充电时单体电池i第j次充电中第k个时间点的端电压变化率Mi,j,k:
其次,计算单体电池i在第j次充电中电压变化率的均值
随后,计算单体电池i在第j次充电中温度的均值meanTi,j
其中Ti,j,k为单体电池i第j次充电中第k个时间点的温度;
最后,依据微短路故障条件判断变量JudgeMi的值做出判定:
其中1代表单体电池i符合微短路故障条件,0代表单体电池i不符合微短路故障条件。
所述的步骤(1)(2)(3)均是由动力电池组的均衡与微短路检测系统完成的;所述动力电池组的均衡与微短路检测系统包括有单片机、电源电路、复位电路、晶振电路、负载均衡电路、电压监测电路、温度监测电路和数据储存电路。
所述的单片机采用STM32F103RCT6;电源电路采用5V电源供电,经变压后产生+3.3V直流电压;负载均衡电路采用继电器,包括12个单刀双掷开关继电器,1个单刀单掷开关继电器;电压监测电路采用型号为MAX11068芯片;温度监测电路采用12个DS1820温度传感器;数据储存电路采用Micro SD卡读写模块。
步骤(2)所述的启动均衡方法是由负载均衡电路实现的。
所述的负载均衡电路实现均衡的方法为利用单刀双掷开关继电器将符合均衡判定条件的单体电池从充放电线路中断开。
步骤(3)所述的启动保护和微短路故障预警是由负载均衡电路和单片机实现的。
所述的负载均衡电路和单片机实现启动保护的方法为利用单刀单掷开关继电器将整个充放电线路断开;所述的负载均衡电路和单片机实现微短路故障预警的方法为利用单片机发送故障信息给电动汽车电池管理系统。
步骤(1)所述的采集端电压和温度的采样时间点间隔为10s。
本发明的优点是:本发明能否克服已有技术存在检测速度慢、不精确、无法定位到具体单体电池等缺点,由此解决动力电池组的均衡问题和单体电池的微短路检测问题的技术问题。
附图说明
图1是本发明实施例提供的一种动力电池组的均衡与微短路检测方法的流程示意图;
图2是本发明实施例提供的动力电池组的均衡与微短路检测系统结构图;
图3是本发明实施例提供的12节锂离子动力电池串联成电池组的示意图;
图4是本发明实施例提供的单体电池充电时端电压变化图;
图5是本发明实施例提供的单体电池充电时充电电流变化图。
具体实施方式
为了使本发明的目的、技术方案及优点更加清楚明白,以下结合附图及实施例,对本发明进行进一步详细说明。应当理解,此处所描述的具体实施例仅仅用以解释本发明,并不用于限定本发明。此外,下面所描述的本发明各个实施方式中所涉及到的技术特征只要彼此之间未构成冲突就可以相互组合。
在本发明实例中,“第一”、“第二”、“第三”等是用于区别不同的对象,而不必用于描述特定的顺序或先后次序。
如图1所示是本发明实施例提供的图1是本发明实施例提供的一种动力电池组的均衡与微短路检测方法的流程示意图;
包括以下步骤:
S1:动力电池组的均衡与微短路检测系统实时采集动力电池组每一节单体电池9的端电压和温度;
S2:动力电池组的均衡与微短路检测系统判断动力电池组中单体电池9的端电压是否符合均衡的判定条件,若符合均衡的判定条件,则启动均衡方法并进入下一步S3,若不符合则直接进入下一步S3;
S3:动力电池组的均衡与微短路检测系统判断动力电池组中单体电池9的端电压和温度是否符合微短路故障的判定条件,若符合微短路故障的判定条件,则进行启动保护和微短路故障预警,若不符合则返回第一步S1。
如图2所示,均衡与微短路检测系统由单片机1、电源电路2、复位电路3、晶振电路4、负载均衡电路5、电压监测电路6、温度监测电路7和数据储存电路8组成。
单片机1型号采用STM32F103RCT6,是32位微处理器,速度是72MHz。
电源电路2采用5V电源供电,经变压后产生+3.3V直流电压。
负载均衡电路5采用继电器,包括12个单刀双掷开关,1个单刀单掷开关。单刀双掷开关用于控制充电电路中单体动力电池所在支路的通断,单刀单掷开关用于控制动力电池组充电电路干路的通断。
电压监测电路6采用型号为MAX11068,为一款可编程、高集成度、高压、12通道、电池监测智能化数据采集接口,用于一次对12节动力电池的电压进行采样。
温度监测电路7采用12路DS1820温度传感器,可一次对12节动力电池的温度进行采样。
动力电池组的均衡与微短路检测系统端电压和温度的采样间隔时间为10ms。
数据储存电路8采用Micro SD卡读写模块,用于储存充电电池的电压和温度数据。
判断动力电池组中单体电池9的端电压是否符合均衡的判定条件的方法是判定均衡条件判断变量JudgeVi的值:
其中1代表单体电池i符合均衡条件,0代表单体电池i不符合均衡条件,动力电池Vi,j,k为动力电池组中单体电池i的端电压,i为单体电池的编号,i=1…N,N为动力电池组中单体电池的数量;j=1…J,J为充电的次数;k=1…K,K为充电中采样的时间点个数,Vmax为动力电池组中单体电池的最大充电电压。启动均衡方法由均衡电路实现。均衡电路实现均衡的方法为利用继电器将符合均衡的判定条件的单体电池从充电回路中断开。
判断动力电池组中单体电池9的端电压和温度是否符合微短路故障的判定条件的方法为:
首先,计算充电时单体电池i第j次充电中第k个时间点的端电压变化率Mi,j,k:
其次,计算单体电池i在第j次充电中电压变化率的均值
随后,计算单体电池i在第j次充电中温度的均值meanTi,j
其中Ti,j,k为单体电池i第j次充电中第k个时间点的温度。
最后,依据微短路故障条件判断变量JudgeMi的值做出判定:
其中1代表单体电池i符合微短路故障条件,0代表单体电池i不符合微短路故障条件。
所述的负载均衡电路实现均衡的方法为利用单刀双掷开关继电器将符合均衡判定条件的单体电池9从充放电线路中断开;启动保护和微短路故障预警由均衡电路和单片机实现。均衡电路和单片机实现启动保护和微短路故障预警方法为利用单刀单掷开关继电器将整个充电回路断开,实现微短路故障预警方法为利用单片机通知电动汽车电池管理系统。
以下以一个动力电池组的均衡和微短路故障检测实例对本发明的方法进行说明。
12节锂离子动力电池-力神18650串联成电池组,串联示意图如图3所示。首先开展均衡测试,对动力电池组以1200mA进行充电,对每一节单体电池9开展端电压的监测,设定动力电池组中单体电池9的最大充电电压为4.2V,单体电池9首先达到4.2V,并在动力电池组的均衡与微短路检测系统的控制下实现断电,达到均衡的目的,其端电压和充电电流变化分别如图4和图5所示,图中每个时间点间隔为10s,在单体电池9端电压达到4.2V时电流为0mA。
随后开展微故障检测测试,现将单体电池9极和负极之间直接串联25欧姆的电阻,用于模拟单体电池9发生微短路故障。单体电池9在当前充电时端电压变化率的均值为1.0976e-04,单体电池9在前一次充电时端电压变化率的均值为1.2074e-04,单体电池9在当前充电时温度均值为21.9,单体电池9在当前充电时的温度均值为24.1。根据数据,动力电池组的均衡与微短路检测系统正确诊断出单体电池9发生微短路故障,利用单刀单掷开关继电器将整个充电线路断开,并利用系统中的单片机发送故障信息给电动汽车电池管理系统。
本领域的技术人员容易理解,以上所述仅为本发明的较佳实施例而已,并不用以限制本发明,凡在本发明的精神和原则之内所作的任何修改、等同替换和改进等,均应包含在本发明的保护范围之内。
Claims (8)
1.一种动力电池组的均衡与微短路检测方法,其特征在于:具体步骤如下:
(1)实时采集动力电池组每一节单体电池的端电压和温度;
(2)判断动力电池组中单体电池的端电压是否符合均衡的判定条件,若符合均衡的判定条件,则启动均衡方法并进入下一步骤(3),若不符合均衡的判定条件,则直接进入下一步骤(3);
(3)判断动力电池组中单体电池的端电压和温度是否符合微短路故障的判定条件,若符合微短路故障的判定条件,则进行启动保护和微短路故障预警,若不符合微短路故障的判定条件,则返回步骤(1);
步骤(2)所述的判断动力电池组中单体电池的端电压是否符合均衡的判定条件的方法是判定均衡条件判断变量JudgeVi的值:
其中1代表单体电池i符合均衡条件,0代表单体电池i不符合均衡条件,动力电池Vi,j,k为动力电池组中单体电池i的端电压,i为单体电池的编号,i=1…N,N为动力电池组中单体电池的数量;j=1…J,J为充电的次数;k=1…K,K为充电中采样的时间点个数,Vmax为动力电池组中单体电池的最大充电电压;
步骤(3)所述的判断动力电池组中单体电池的端电压和温度是否符合微短路故障的判定条件的方法为:
首先,计算充电时单体电池i第j次充电中第k个时间点的端电压变化率Mi,j,k:
其次,计算单体电池i在第j次充电中电压变化率的均值
随后,计算单体电池i在第j次充电中温度的均值meanTi,j
其中Ti,j,k为单体电池i第j次充电中第k个时间点的温度;
最后,依据微短路故障条件判断变量JudgeMi的值做出判定:
其中1代表单体电池i符合微短路故障条件,0代表单体电池i不符合微短路故障条件。
2.根据权利要求1所述的一种动力电池组的均衡与微短路检测方法,其特征在于:所述的步骤(1)(2)(3)均是由动力电池组的均衡与微短路检测系统完成的;所述动力电池组的均衡与微短路检测系统包括有单片机、电源电路、复位电路、晶振电路、负载均衡电路、电压监测电路、温度监测电路和数据储存电路。
3.根据权利要求2所述的一种动力电池组的均衡与微短路检测方法,其特征在于:所述的单片机采用STM32F103RCT6;电源电路采用5V电源供电,经变压后产生+3.3V直流电压;负载均衡电路采用继电器,包括12个单刀双掷开关继电器和1个单刀单掷开关继电器;电压监测电路采用型号为MAX11068芯片;温度监测电路采用12个DS1820温度传感器;数据储存电路采用Micro SD卡读写模块。
4.根据权利要求3所述的一种动力电池组的均衡与微短路检测方法,其特征在于:步骤(2)所述的启动均衡方法是由负载均衡电路实现的。
5.根据权利要求4所述的一种动力电池组的均衡与微短路检测方法,其特征在于:所述的负载均衡电路实现均衡的方法为利用单刀双掷开关继电器将符合均衡判定条件的单体电池从充放电线路中断开。
6.根据权利要求3所述的一种动力电池组的均衡与微短路检测方法,其特征在于:步骤(3)所述的启动保护和微短路故障预警是由负载均衡电路和单片机实现的。
7.根据权利要求6所述的一种动力电池组的均衡与微短路检测方法,其特征在于:所述的负载均衡电路和单片机实现启动保护的方法为利用单刀单掷开关继电器将整个充放电线路断开;所述的负载均衡电路和单片机实现微短路故障预警的方法为利用单片机发送故障信息给电动汽车电池管理系统。
8.根据权利要求1所述的一种动力电池组的均衡与微短路检测方法,其特征在于:步骤(1)采集端电压和温度的采样时间点间隔为10s。
Priority Applications (1)
| Application Number | Priority Date | Filing Date | Title |
|---|---|---|---|
| CN202010410433.XA CN111483350B (zh) | 2020-05-15 | 2020-05-15 | 一种动力电池组的均衡与微短路检测方法 |
Applications Claiming Priority (1)
| Application Number | Priority Date | Filing Date | Title |
|---|---|---|---|
| CN202010410433.XA CN111483350B (zh) | 2020-05-15 | 2020-05-15 | 一种动力电池组的均衡与微短路检测方法 |
Publications (2)
| Publication Number | Publication Date |
|---|---|
| CN111483350A CN111483350A (zh) | 2020-08-04 |
| CN111483350B true CN111483350B (zh) | 2022-11-08 |
Family
ID=71811341
Family Applications (1)
| Application Number | Title | Priority Date | Filing Date |
|---|---|---|---|
| CN202010410433.XA Active CN111483350B (zh) | 2020-05-15 | 2020-05-15 | 一种动力电池组的均衡与微短路检测方法 |
Country Status (1)
| Country | Link |
|---|---|
| CN (1) | CN111483350B (zh) |
Families Citing this family (5)
| Publication number | Priority date | Publication date | Assignee | Title |
|---|---|---|---|---|
| CN112109589B (zh) * | 2020-09-22 | 2021-12-28 | 一汽解放汽车有限公司 | 一种电池故障处理方法、装置、车辆及存储介质 |
| CN112162201A (zh) * | 2020-09-22 | 2021-01-01 | 中国第一汽车股份有限公司 | 一种电池模组的检测系统及方法 |
| CN114649792B (zh) * | 2020-12-17 | 2023-12-01 | 深圳市格瑞普电池有限公司 | 一种应急启动电源短路保护方法和系统 |
| CN115902656A (zh) * | 2022-11-14 | 2023-04-04 | 上海玫克生储能科技有限公司 | 2/3/4轮的电动车电池检测方法、系统、存储介质及充电桩 |
| CN116165557A (zh) * | 2023-04-18 | 2023-05-26 | 深圳市思远半导体有限公司 | 电池检测方法及装置、电子设备与可读存储介质 |
Citations (7)
| Publication number | Priority date | Publication date | Assignee | Title |
|---|---|---|---|---|
| JP2001116811A (ja) * | 1999-08-10 | 2001-04-27 | Matsushita Electric Ind Co Ltd | 微小短絡セル検出方法及びセルショート検出方法 |
| CN101026307A (zh) * | 2006-12-25 | 2007-08-29 | 苏州市三环技贸有限公司 | 串联动力锂电池组充放电自动均衡方法 |
| KR20090006919A (ko) * | 2007-07-13 | 2009-01-16 | 현대자동차주식회사 | 하이브리드 차량용 리튬이온 고전압 배터리의 미세 쇼트검출 시스템 및 방법 |
| CN101536285A (zh) * | 2006-11-02 | 2009-09-16 | 松下电器产业株式会社 | 蓄电元件的异常检测装置、方法、程序以及记录该程序的可由计算机读取的记录介质 |
| JP2012052857A (ja) * | 2010-08-31 | 2012-03-15 | Panasonic Corp | 二次電池の異常検出回路、及び電池電源装置 |
| CN105429226A (zh) * | 2015-12-16 | 2016-03-23 | 重庆西南集成电路设计有限责任公司 | 大容量充放电电池管理系统 |
| CN108521155A (zh) * | 2018-05-09 | 2018-09-11 | 清华大学 | 一种电动汽车充电预警方法及系统 |
Family Cites Families (2)
| Publication number | Priority date | Publication date | Assignee | Title |
|---|---|---|---|---|
| GB0312303D0 (en) * | 2003-05-29 | 2003-07-02 | Yuasa Battery Uk Ltd | Battery life monitor and battery state of charge monitor |
| US10850725B2 (en) * | 2017-12-08 | 2020-12-01 | Ford Global Technologies, Llc | Vehicles with modular parallel high voltage batteries |
-
2020
- 2020-05-15 CN CN202010410433.XA patent/CN111483350B/zh active Active
Patent Citations (7)
| Publication number | Priority date | Publication date | Assignee | Title |
|---|---|---|---|---|
| JP2001116811A (ja) * | 1999-08-10 | 2001-04-27 | Matsushita Electric Ind Co Ltd | 微小短絡セル検出方法及びセルショート検出方法 |
| CN101536285A (zh) * | 2006-11-02 | 2009-09-16 | 松下电器产业株式会社 | 蓄电元件的异常检测装置、方法、程序以及记录该程序的可由计算机读取的记录介质 |
| CN101026307A (zh) * | 2006-12-25 | 2007-08-29 | 苏州市三环技贸有限公司 | 串联动力锂电池组充放电自动均衡方法 |
| KR20090006919A (ko) * | 2007-07-13 | 2009-01-16 | 현대자동차주식회사 | 하이브리드 차량용 리튬이온 고전압 배터리의 미세 쇼트검출 시스템 및 방법 |
| JP2012052857A (ja) * | 2010-08-31 | 2012-03-15 | Panasonic Corp | 二次電池の異常検出回路、及び電池電源装置 |
| CN105429226A (zh) * | 2015-12-16 | 2016-03-23 | 重庆西南集成电路设计有限责任公司 | 大容量充放电电池管理系统 |
| CN108521155A (zh) * | 2018-05-09 | 2018-09-11 | 清华大学 | 一种电动汽车充电预警方法及系统 |
Also Published As
| Publication number | Publication date |
|---|---|
| CN111483350A (zh) | 2020-08-04 |
Similar Documents
| Publication | Publication Date | Title |
|---|---|---|
| CN111483350B (zh) | 一种动力电池组的均衡与微短路检测方法 | |
| CN104101838B (zh) | 动力电池系统及其荷电状态、最大充放电功率估算方法 | |
| CN102088118B (zh) | 一种电池管理系统、电动车及荷电状态的估算方法 | |
| CN101976867B (zh) | 一种纯电动车用动力电池管理系统及其实现方法 | |
| CN202696179U (zh) | 一种电池管理系统 | |
| CN101692502B (zh) | 电池管理系统 | |
| CN203839477U (zh) | 一种汽车动力电池低温充电加热装置及系统 | |
| CN204012834U (zh) | 一种磷酸铁锂动力电池管理系统 | |
| CN102315492B (zh) | 动力电池组维护装置及其工作方法 | |
| CN104104137A (zh) | 一种磷酸铁锂动力电池管理系统及管理方法 | |
| CN104201749A (zh) | 主动均衡电池管理系统及方法 | |
| CN111308356A (zh) | 一种带加权的安时积分的soc估算方法 | |
| CN105406559A (zh) | 低速电动车电池管理系统 | |
| CN105759221A (zh) | 一种带有内阻监测功能的动力电池组管理系统 | |
| CN103683428A (zh) | 一种用于电动汽车的电池管理系统以及电动汽车 | |
| CN116250160B (zh) | 充电的方法和功率转换设备 | |
| CN208452826U (zh) | 电池管理系统 | |
| CN103171451B (zh) | 基于协处理器和固态继电器的电池管理系统 | |
| CN106532871A (zh) | 一种梯次锂电池在通信基站中的充放电控制方法 | |
| CN201397383Y (zh) | 电动汽车磷酸铁锂动力电池检测装置 | |
| CN108819752A (zh) | 电池管理系统 | |
| CN115009027A (zh) | 一种纯电动汽车低电量上下电控制方法 | |
| CN106655301A (zh) | 一种适用于电动叉车的电源管理系统及方法 | |
| CN201910474U (zh) | 一种电池管理系统、电动车 | |
| CN205589009U (zh) | 电动汽车电池管理装置 |
Legal Events
| Date | Code | Title | Description |
|---|---|---|---|
| PB01 | Publication | ||
| PB01 | Publication | ||
| SE01 | Entry into force of request for substantive examination | ||
| SE01 | Entry into force of request for substantive examination | ||
| TA01 | Transfer of patent application right | ||
| TA01 | Transfer of patent application right |
Effective date of registration: 20220923 Address after: No. 99 Jiangning Road, Nanjing District hirokage 211169 cities in Jiangsu Province Applicant after: JINLING INSTITUTE OF TECHNOLOGY Address before: 246133 No. 1318 Jixian North Road, Anqing City, Anhui Province Applicant before: ANQING NORMAL University |
|
| GR01 | Patent grant | ||
| GR01 | Patent grant |














