WO2017098044A1 - Dimeric contrast agents - Google Patents
Dimeric contrast agents Download PDFInfo
- Publication number
- WO2017098044A1 WO2017098044A1 PCT/EP2016/080621 EP2016080621W WO2017098044A1 WO 2017098044 A1 WO2017098044 A1 WO 2017098044A1 EP 2016080621 W EP2016080621 W EP 2016080621W WO 2017098044 A1 WO2017098044 A1 WO 2017098044A1
- Authority
- WO
- WIPO (PCT)
- Prior art keywords
- formula
- compound according
- compound
- group
- groups
- Prior art date
- Legal status (The legal status is an assumption and is not a legal conclusion. Google has not performed a legal analysis and makes no representation as to the accuracy of the status listed.)
- Ceased
Links
- 0 *N(CC(CN1CCN(CC(O)=O)CCN(CC(O)=O)CCN(CC(O)=O)CC1)O)*N(*)CC(CN1CCN(CC(O)=O)CCN(CC(O)=O)CCN(CC(O)=O)CC1)O Chemical compound *N(CC(CN1CCN(CC(O)=O)CCN(CC(O)=O)CCN(CC(O)=O)CC1)O)*N(*)CC(CN1CCN(CC(O)=O)CCN(CC(O)=O)CCN(CC(O)=O)CC1)O 0.000 description 2
- PONJXQJDZCDGLC-UHFFFAOYSA-N OCC(CO)OCC(CN(CC(CN(CCN(CC(O)=O)CCN(CC(O)=O)CC1)CCN1C(O)=O)O)CC(CN(CCN(CC(O)=O)CCN(CC1)C(O)=O)CCN1C(O)=O)O)COC(CO)CO Chemical compound OCC(CO)OCC(CN(CC(CN(CCN(CC(O)=O)CCN(CC(O)=O)CC1)CCN1C(O)=O)O)CC(CN(CCN(CC(O)=O)CCN(CC1)C(O)=O)CCN1C(O)=O)O)COC(CO)CO PONJXQJDZCDGLC-UHFFFAOYSA-N 0.000 description 1
- XQOQTWMZIBAJRX-UHFFFAOYSA-N OCCOCCOCCOCCN(CC(CN1CCN(CC(O)=O)CCN(CC(O)=O)CCN(CC(O)=O)CC1)O)CC(CN(CCN(CC(O)=O)CCN(CC(O)=O)CC1)CCN1C(O)=O)O Chemical compound OCCOCCOCCOCCN(CC(CN1CCN(CC(O)=O)CCN(CC(O)=O)CCN(CC(O)=O)CC1)O)CC(CN(CCN(CC(O)=O)CCN(CC(O)=O)CC1)CCN1C(O)=O)O XQOQTWMZIBAJRX-UHFFFAOYSA-N 0.000 description 1
Classifications
-
- C—CHEMISTRY; METALLURGY
- C07—ORGANIC CHEMISTRY
- C07D—HETEROCYCLIC COMPOUNDS
- C07D403/00—Heterocyclic compounds containing two or more hetero rings, having nitrogen atoms as the only ring hetero atoms, not provided for by group C07D401/00
- C07D403/02—Heterocyclic compounds containing two or more hetero rings, having nitrogen atoms as the only ring hetero atoms, not provided for by group C07D401/00 containing two hetero rings
- C07D403/12—Heterocyclic compounds containing two or more hetero rings, having nitrogen atoms as the only ring hetero atoms, not provided for by group C07D401/00 containing two hetero rings linked by a chain containing hetero atoms as chain links
-
- A—HUMAN NECESSITIES
- A61—MEDICAL OR VETERINARY SCIENCE; HYGIENE
- A61K—PREPARATIONS FOR MEDICAL, DENTAL OR TOILETRY PURPOSES
- A61K49/00—Preparations for testing in vivo
- A61K49/06—Nuclear magnetic resonance [NMR] contrast preparations; Magnetic resonance imaging [MRI] contrast preparations
- A61K49/08—Nuclear magnetic resonance [NMR] contrast preparations; Magnetic resonance imaging [MRI] contrast preparations characterised by the carrier
- A61K49/10—Organic compounds
- A61K49/101—Organic compounds the carrier being a complex-forming compound able to form MRI-active complexes with paramagnetic metals
- A61K49/103—Organic compounds the carrier being a complex-forming compound able to form MRI-active complexes with paramagnetic metals the complex-forming compound being acyclic, e.g. DTPA
- A61K49/105—Organic compounds the carrier being a complex-forming compound able to form MRI-active complexes with paramagnetic metals the complex-forming compound being acyclic, e.g. DTPA the metal complex being Gd-DTPA
-
- A—HUMAN NECESSITIES
- A61—MEDICAL OR VETERINARY SCIENCE; HYGIENE
- A61K—PREPARATIONS FOR MEDICAL, DENTAL OR TOILETRY PURPOSES
- A61K49/00—Preparations for testing in vivo
- A61K49/06—Nuclear magnetic resonance [NMR] contrast preparations; Magnetic resonance imaging [MRI] contrast preparations
- A61K49/08—Nuclear magnetic resonance [NMR] contrast preparations; Magnetic resonance imaging [MRI] contrast preparations characterised by the carrier
- A61K49/10—Organic compounds
- A61K49/12—Macromolecular compounds
-
- A—HUMAN NECESSITIES
- A61—MEDICAL OR VETERINARY SCIENCE; HYGIENE
- A61K—PREPARATIONS FOR MEDICAL, DENTAL OR TOILETRY PURPOSES
- A61K49/00—Preparations for testing in vivo
- A61K49/06—Nuclear magnetic resonance [NMR] contrast preparations; Magnetic resonance imaging [MRI] contrast preparations
- A61K49/08—Nuclear magnetic resonance [NMR] contrast preparations; Magnetic resonance imaging [MRI] contrast preparations characterised by the carrier
- A61K49/10—Organic compounds
- A61K49/12—Macromolecular compounds
- A61K49/122—Macromolecular compounds dimers of complexes or complex-forming compounds
-
- C—CHEMISTRY; METALLURGY
- C07—ORGANIC CHEMISTRY
- C07D—HETEROCYCLIC COMPOUNDS
- C07D257/00—Heterocyclic compounds containing rings having four nitrogen atoms as the only ring hetero atoms
- C07D257/02—Heterocyclic compounds containing rings having four nitrogen atoms as the only ring hetero atoms not condensed with other rings
-
- C—CHEMISTRY; METALLURGY
- C07—ORGANIC CHEMISTRY
- C07F—ACYCLIC, CARBOCYCLIC OR HETEROCYCLIC COMPOUNDS CONTAINING ELEMENTS OTHER THAN CARBON, HYDROGEN, HALOGEN, OXYGEN, NITROGEN, SULFUR, SELENIUM OR TELLURIUM
- C07F5/00—Compounds containing elements of Groups 3 or 13 of the Periodic Table
-
- C—CHEMISTRY; METALLURGY
- C07—ORGANIC CHEMISTRY
- C07F—ACYCLIC, CARBOCYCLIC OR HETEROCYCLIC COMPOUNDS CONTAINING ELEMENTS OTHER THAN CARBON, HYDROGEN, HALOGEN, OXYGEN, NITROGEN, SULFUR, SELENIUM OR TELLURIUM
- C07F9/00—Compounds containing elements of Groups 5 or 15 of the Periodic Table
- C07F9/02—Phosphorus compounds
- C07F9/28—Phosphorus compounds with one or more P—C bonds
- C07F9/38—Phosphonic acids [RP(=O)(OH)2]; Thiophosphonic acids ; [RP(=X1)(X2H)2(X1, X2 are each independently O, S or Se)]
-
- A—HUMAN NECESSITIES
- A61—MEDICAL OR VETERINARY SCIENCE; HYGIENE
- A61K—PREPARATIONS FOR MEDICAL, DENTAL OR TOILETRY PURPOSES
- A61K49/00—Preparations for testing in vivo
- A61K49/06—Nuclear magnetic resonance [NMR] contrast preparations; Magnetic resonance imaging [MRI] contrast preparations
- A61K49/08—Nuclear magnetic resonance [NMR] contrast preparations; Magnetic resonance imaging [MRI] contrast preparations characterised by the carrier
- A61K49/10—Organic compounds
- A61K49/101—Organic compounds the carrier being a complex-forming compound able to form MRI-active complexes with paramagnetic metals
- A61K49/106—Organic compounds the carrier being a complex-forming compound able to form MRI-active complexes with paramagnetic metals the complex-forming compound being cyclic, e.g. DOTA
- A61K49/108—Organic compounds the carrier being a complex-forming compound able to form MRI-active complexes with paramagnetic metals the complex-forming compound being cyclic, e.g. DOTA the metal complex being Gd-DOTA
Definitions
- the present invention relates to the field of diagnostic imaging and to novel contrast agents possessing improved relaxivity. More in particular, it relates to dimeric macrocycles capable of chelating paramagnetic metal ions, their chelated complexes with metal ions and the use thereof as contrast agents in Magnetic Resonance Imaging (MRI).
- MRI Magnetic Resonance Imaging
- Magnetic Resonance Imaging is a renowned diagnostic imaging technique increasingly used in clinical diagnostics for growing number of indications.
- the contrast is basically due to differences existing in the longitudinal
- Tl and the transverse T2 relaxation times of the water protons in the different body organs and tissues which allows the in-vivo acquisition of high-resolution, three-dimensional images of the distribution of water.
- the intensity of the signal recorded in MRI imaging stems, essentially, from the local value of the longitudinal relaxation rate 1/Tl, and the transverse rate, 1/T2 of water protons, and increases with increasing of the 1/Tl value (of the longitudinal relaxation rate of water protons) while decreases with the increase of 1/T2.
- Tl the higher is the intensity of the recorded signal in MRI, the better is the diagnostic image.
- MRI contrast agents that act by causing a dramatic variation of nearby water proton relaxation rates in the tissues/organs/fluids wherein they distributes, thus adding relevant physiological information to the impressive anatomical resolution commonly obtained in the uncontrasted MRI images.
- Contrast agents used in the MRI imaging technique typically include a paramagnetic metal ion which is complexed with a cyclic or acyclic chelating ligand, more typically a polyaminopolycarboxylic chelator.
- the most important class of MRI contrast agents is represented by the Gd(III) chelates which are currently used in about 1/3 of the clinical tests. Indeed, Gd(III) is highly paramagnetic with seven unpaired electrons and a long electronic relaxation time, making it an excellent candidate as a relaxation agent.
- the free metal ion [Gd(H 2 0) 8 ] 3+ is extremely toxic for living organism even at low doses (10-20 micromol/Kg).
- a Gd(III) complex shall display a high thermodynamic (and possibly kinetic) stability in order to prevent the release of toxic metal ion.
- Preferred MRI contrast agent should furthermore display optimal relaxivity.
- Relaxivity (rip, r2 P ), expressed in mM _1 s 1 and usually measured at 298K and 20 MHz (approx. 0.5 T), is the intrinsic property of a paramagnetic complex which characterizes its capability to increase the nuclear magnetic relaxation rate, longitudinal (1/Ti) and transverse (1/T 2 ) respectively, of vicinal water protons and, thus, its efficacy as MRI contrast enhancing agent.
- the higher the relaxivity of an MRI contrast agent the greater its contrast enhancing capability and the stronger the contrast provided in recorded MRI images.
- MRI contrast agents examples include the complex compound of the Gd 3+ ion with the DTPA ligand, marketed as MAGNEVIST ® ; the Gd 3+ complex of the DTPA-BMA ligand, marketed as OMNISCAN ® ; the Gd 3+ complex of BOPTA, known as gadobenate Dimeglumine and marketed as MultiHanceTM; the Gd 3+ complex of the DOTA ligand, marketed as DOTAREM ® ; the Gd 3+ complex of the hydroxylated tetraaza macrocyclic ligand known as HPD03A, long time marketed as ProHance ® and that of the corresponding butyl-triol derivative, known as Gadobutrol and marketed ad Gadavist ® . All the above contrast agents comprise a single chelating unit, and are Non-Specific Agents (NSA), designed for a general use.
- NSA Non-Specific Agents
- compounds with improved relaxivity could reduce the required dose of the paramagnetic contrast agent and possibly shorten the acquisition time of the imaging process.
- the present invention generally relates to novel macrocyclic chelating ligands useful for the preparation of paramagnetic complexes having particularly favorable characteristics, among others in terms of improved relaxivity.
- an aspect of the present invention relates to novel dimeric ligands comprising two tetraaza macrocycles with a hydroxylated residue on a nitrogen atom of the chelating cage linked to one another through amine group(s).
- the invention further relates to respective chelated complexes of said chelating ligands with a paramagnetic metal ion and, especially, with Gd 3+ , or of a physiologically acceptable salt thereof.
- a further aspect of the invention relates to the use of such chelated complexes as contrast agents, in particular for the diagnostic imaging of a human or animal body organ or tissue by use of the MRI technique.
- the invention relates to a manufacturing process for the preparation of the provided ligands, their complex compounds with a paramagnetic metal ion, and the pharmaceutical acceptable salt thereof and their use in the preparation of a diagnostic agent.
- the invention relates to a pharmaceutically acceptable composition
- a pharmaceutically acceptable composition comprising at least one paramagnetic complex compound of the invention, or a pharmaceutical salt thereof, in admixture with one or more physiologically acceptable carriers or excipients.
- Said compositions are useful in particular as MRI contrast media, to provide diagnostically useful images of human or animal body organs or tissues.
- the present invention refers to a method for the diagnostic imaging of a body organ, tissue or region by use of MRI technique that comprises the use of an effective dose of a compound of the invention.
- An object of the present invention are chelating ligands of formula (I)
- R is -CHCR -COOH, where:
- Ri is H or a Ci-C 3 alkyl chain that is optionally substituted by a Ci-C 3 alkoxy or Ci-C 3 hydroxyalkoxy group;
- n 1 or 2;
- R 2 is selected from the group consisting of: an aryl ring; a cycloalkyl ring; a Ci- C 5 alkyl substituted by one ore more Ci-C 8 hydroxyalkoxy groups, or by a cycloalkyl ring; a group of formula -(CH 2 ) S CH(R 3 )-G; and a C5-C 12 hydroxyalkyl comprising at least 2 hydroxyl groups;
- s 0, 1 or 2;
- G is a group selected from -PO(OR 4 ) 2 , -PO(R 5 )(OR4) and -COOH;
- R 3 is H, or an arylalkylene or cycloalkyl-alkylene having from 1 up to 3 carbon atoms in the alkylene chain;
- R 4 independently of one another is H or Ci-C 5 alkyl
- R 5 is an aryl or cycloalkyl ring, or Ci-C 5 alkyl which is optionally substituted by an aryl or cycloalkyl ring;
- L is a Ci-C 6 alkylene, optionally interrupted by one or more -N(R' 2 )- groups, and optionally substituted by one or more substituent groups selected from hydroxyl, Ci-C 3 alkoxy and Ci-C 3 hydroxyalkoxy, where
- R' 2 is, independently, as defined for R 2 .
- Ri is H .
- alkyl comprises within its meaning any linear or branched hydrocarbon chain, preferably comprising up to 12 carbon atoms.
- “Ci-Ci 2 alkyl” comprises within its meaning a linear or branched chain comprising from 1 to 12 carbon atoms such as: methyl, ethyl, propyl, iso-propyl, butyl, iso-butyl, tert-butyl, pentyl, iso-pentyl, tert-pentyl, hexyl, iso- hexyl, heptyl, iso-heptyl, octyl, and the like.
- Ci-C 3 alkyl comprises within its meaning a linear or branched chain comprising from 1 to 3 carbon atoms such as, for instance, methyl, ethyl, propyl and iso-propyl
- Ci-C 6 alkyl comprises within its meaning a linear or branched chain comprising from 1 to 6 carbon atoms such as: methyl, ethyl, propyl, iso-propyl, butyl, iso-butyl, tert-butyl, pentyl, hexyl and the like
- C 5 -C 7 alkyl comprises within its meaning any linear or branched chain comprising from 5 to 7 carbon atoms such as pentyl, iso-pentyl, tert-pentyl, hexyl, iso-hexyl, tert- hexyl, heptyl, iso-heptyl and tert-h
- alkylene comprises within its meaning a bivalent linear or branched chain derived by any of the above hydrocarbon chains by removal of two hydrogen atoms from different carbon atoms, e.g. including Ci-C 6 alkylene such as for instance a methylene, ethylene, (iso)propylene and so on.
- hydroxyalkyl comprises within its meaning any of the corresponding alkyl chain wherein one or more hydrogen atoms are replaced by hydroxyl groups. Suitable examples include Ci-C 3 hydroxyalkyl such as hydroxymethyl (-CH 2 OH), hydroxyethyl (-CH 2 CH 2 OH), hydroxypropyl (-CH 2 CH 2 CH 2 OH), dihydroxypropyl, (-CH 2 CH 2 OHCH 2 OH and -CH(CH 2 OH) 2 ) and the like, and polyhydroxyalkyls or "polyols", as used herein interchangeably, in which at least two and, preferably, three or more hydrogen atoms of the hydrocarbon chain are replaced by hydroxyl groups.
- C 5 -Ci 2 polyol (or “C 5 -Ci 2 polyhydroxyalkyl”) comprises within its meaning any of the corresponding C5-C12 alkyl moiety in which 2 or more, e.g. from 2 to 11 hydrogen atoms have been replaced by hydroxyl groups. Among them, C 5 -Ci 0 polyols are preferred, and C 5 -C 7 polyols are particularly preferred.
- C 5 -C 7 polyols examples include pentyl-polyols (or polyhydroxypentyls) such as pentyl-diols, pentyl-triols, pentyl-tetraols and pentyl-pentaol, respectively comprising from 2, 3, 4 and 5 hydroxyl groups on a C 5 alkyl chain; hexyl- polyols (or polyhydroxyhexyls) analogously comprising from 2 to 6 hydroxyl groups on a C 6 alkyl chain; and heptyl-polyols (or polyhydroxyheptyls) comprising from 2 to 7 hydroxyl groups on a C 7 alkyl chain.
- pentyl-polyols or polyhydroxypentyls
- pentyl-polyols such as pentyl-diols, pentyl-triols, pentyl-tetraols and pentyl
- alkoxy comprises within its meaning an alkyl chain as above defined further comprising one or more oxygen atoms; examples include, for instance, alkyl-oxy (or -Oalkyl) groups such as methoxy, ethoxy, n-propoxy, isopropoxy and the like, and alkyl-oxy (or -Oalkyl) groups such as methoxy, ethoxy, n-propoxy, isopropoxy and the like, and alkyl-
- hydroxyalkoxy comprises within its meaning any of the above alkyloxy residues further comprising one or more hydroxyl (-OH) in the alkyl chain such as, for example, -OCH 2 OH, -OCH 2 CH 2 OH, -OCH 2 CH 2 CH 2 OH, -OCH 2 OCH 2 OH, -OCH 2 CH 2 OCH 2 CH 2 OH, -OCH 2 CH(OH)CH 2 -OCH 2 CH 2 OH, and the like.
- hydroxyalkoxyalkylene (or “hydroxyalkoxy-alkylene”) comprises within its meaning any of the above hydroxyalkoxy where the linking group of the residue is an alkylene chain -(CH 2 ) r -, including C 2 -Ci 0 hydroxyalkoxy-alkylenes e.g. of formula -(CH 2 ) r - [(0-(CH 2 ) r ] r (CH 2 ) s OH, where each r is independently 1 or 2, and s is 0, 1 or 2.
- carboxyl comprises within its meaning a residue of formula -COOH, or comprising said -COOH residue, such as the groups of formula -(CH 2 ) s -COOH or -[(0(CH 2 )n] s -COOH, where s and n are as above defined.
- aryl refers to an aromatic hydrocarbon and, preferably, a phenyl ring.
- substituent groups for instance selected from hydroxyl (OH), halogen, C1-C3 alkyl, C1-C3 alkoxy, C1-C3 hydroxyalkyl, carboxy, carbamoyl, nitro, -NH 2 , or C1-C3 alkyl- or dialkylamino, preferably from hydroxyl, halogen, C1-C3 alkyl or alkoxy, or carboxy and, more preferably, from C1-C3 alkyl or alkoxy, -CH 2 COOH, and -COOH .
- cycloalkyl ring (or “cycloalkyl”) as used herein comprises within its meaning a saturated (i.e. cycloaliphatic), either carbocyclic or heterocyclic ring. Suitable examples include a C 5 -C 7 carbocyclic ring e.g. a cyclohexyl ring.
- carbocyclic rings according to the invention can be either unsubstituted or substituted with one or more, equal or different, substituent groups for instance selected from hydroxyl halogen, C1-C3 alkyl, C1-C3 alkoxy, C1-C3 hydroxyalkyl, carboxyl, carbamoyl, nitro, -NH 2 , or C1-C3 alkyl- or dialkylamino, preferably from hydroxyl, halogen, C1-C3 alkyl or alkoxy or carboxy and, more preferably, from Q-C3 alkyl or alkoxy, - CH 2 COOH, and -COOH.
- substituent groups for instance selected from hydroxyl halogen, C1-C3 alkyl, C1-C3 alkoxy, C1-C3 hydroxyalkyl, carboxyl, carbamoyl, nitro, -NH 2 , or C1-C3 alkyl- or dialkylamino, preferably from hydroxyl
- “Cycloalkyl ring” further include a saturated heterocyclic ring (or heterocycle) e.g., preferably, a 5-6 membered saturated ring comprising a nitrogen atom in the cyclic chain and, optionally, another, equal or different, heteroatom selected from N, O and S.
- Suitable examples include heterocycles such as pyrrolidine, piperazine, morpholine and piperidine, wherein this last is particularly preferred.
- Nitrogen-containing heterocycles according to the invention preferably comprise one or more substituents groups linked to the carbon atom(s) of the cycle, e.g.
- hydroxyl selected from hydroxyl, C1-C3 hydroxyalkyl, C1-C3 alkoxy, C1-C3 hydroxy alkoxy, C1-C3 hydroxyalkoxy-alkyl, and a carboxyl such as -(CH 2 ) s -COOH or -[(0(CH 2 ) n ] s -COOH, as above defined.
- any composite-name such as alkyl-aryl, aryl-alkylene, cycloalkyl-alkylene and the like should be clear to a skilled person.
- protecting group designates a protective group adapted for preserving the function of the group to which it is bound.
- protective groups are used to preserve amino, hydroxyl or carboxyl functions.
- Appropriate carboxyl protective groups may thus include, for example, benzyl, alkyl e.g. tert-butyl or benzyl esters, or other substituents commonly used for the protection of such functions, which are all well known to those skilled in the art [see, for a general reference, T. W. Green and P. G. M. Wuts; Protective Groups in Organic Synthesis, Wiley, N.Y. 1999, third edition] .
- moiety or “moieties”, “residue” or “residues” are herewith intended to define the residual portion of a given molecule once properly attached or conjugated, either directly or through any suitable linker, to the rest of the molecule.
- the compounds of the above formula (I) may have one or more asymmetric carbon atom, otherwise referred to as a chiral carbon atom, and may thus give rise to diastereomers and optical isomers. Unless otherwise provided, the present invention further includes all such possible diastereomers as well as their racemic mixtures, their substantially pure resolved enantiomers, all possible geometric isomers, and pharmaceutical acceptable salts thereof.
- each of the acidic groups may be in the form of a pharmaceutically acceptable salt, or of a derivative in which the acidic group is suitably protected with an appropriate protecting group (Pg) as above defined, e.g., preferably, of a C 1 -C5 alkyl ester and, more preferably, of a tert-butyl ester, finding for instance application as such, or as suitable precursor or intermediate compound in the preparation of a desided compound of formula (I) or of a suitable paramagnetic complex or salt thereof.
- Pg protecting group
- the invention relates to dimeric compounds of formula (I) in which L is a Ci-C 6 alkylene chain.
- Suitable examples include dimers of formula (II)
- n 1 or 2;
- n 1, 2, 3, 4, 5 or 6;
- R 2 is as defined for compounds of formula (I).
- R 2 is an aryl or a cycloalkyl ring, e.g., preferably, a phenyl or a cyclohexyl ring.
- the invention relates to compounds of formula (II) in which R 2 is a C 5 -Ci 2 hydroxyalkyl comprising at least two hydroxyl groups.
- Suitable examples include compounds in which in the formula (II) R 2 is a C 5 -Ci 2 polyhydroxyalkyl (or C 5 -Ci 2 polyol) having from 2 to 11 and, preferably, from 3 to 10 hydroxyl groups on the C 5 -Ci 2 alkyl chain.
- R 2 is the residue of a C 5 -C 7 polyol e.g. selected from pentyl-polyols (or polyhydroxypentyls) comprising at least 2, and preferably from 2 to 4 hydroxyl groups on the C 5 alkyl chain; hexyl-polyols comprising at least 2, and preferably from 2 to 5 hydroxyl groups on the C 6 alkyl chain; and heptyl-polyols comprising at least 2 and, and preferably from 3 to 6 hydroxyl groups on the C 7 alkyl chain.
- pentyl-polyols or polyhydroxypentyls
- hexyl-polyols comprising at least 2, and preferably from 2 to 5 hydroxyl groups on the C 6 alkyl chain
- heptyl-polyols comprising at least 2 and, and preferably from 3 to 6 hydroxyl groups on the C 7 alkyl chain.
- the invention relates to compounds of formula (II A)
- P is a C 5 -C 7 polyol selected from a pentyl-tetraol of formula
- n and m independently to one another, are 1 or 2. More preferably are both 1.
- the invention relates to a dimeric compound according to the above formula (II A), having the formula
- the invention relates to compounds according to the formula (II) in which R 2 is a group of formula -(CH 2 ) S CH(R 3 )-G where s, R 3 and G are as above defined for compounds of formula (I).
- R 3 is H or an arylalkylene or cycloalkyl-alkylene selected from benzyl, phenyl-ethyl, cyclohexyl-methyl and cyclohexyl-ethyl; and G is a group of formula -PO(OR 4 ) 2 , -PO(R 5 )(OR 4 ) and -COOH, in which R 4 is H or a tert-butyl, and R 5 is selected from an optionally substituted phenyl or cyclohexyl ring and a C 1 -C5 alkyl chain, e.g., preferably, a methyl, ethyl or propyl group, which is substituted or not by an aryl or cycloalkyi ring such as a benzyl, phenyl-ethyl, cyclohexyl-methyl or cyclohexyl-ethyl group.
- R 3 is H.
- the invention relates to compounds of formula (II B)
- s is 0 or an integer from 1 to 2;
- G is a group selected from -PO(OR 4 ) 2 , -PO(R 5 )(OR 4 ) and -COOH, where R 4 is as is H or a tert-butyl and, preferably, is H ; R 5 is an optionally substituted phenyl or cyclohexyl ring, or a Ci-C 3 alkyl substituted or not by an aryl or cycloalkyi ring such as benzyl, phenyl-ethyl, cyclohexyl-methyl or cyclohexyl-ethyl; and m and n are as said for the compounds of formula (II).
- the invention relates to compounds formula (II B) in which G is selected from -PO(OH) 2 and -COOH ; s is 0 or 1 ; n and m, independently to one another, are 1 or 2 and, preferably, are both 1.
- the invention relates to compounds of formula (II) in which R 2 is a Ci-C 5 alkyl which is substituted by one or two Ci-C 8 hydroxyalkoxy groups, or by a cycloalkyi ring.
- R 2 is a Ci-C 5 alkyl substituted by a Ci-C 8 hydroxyalkoxy group.
- Suitable examples include dimers of formula (II) in which R 2 is a C 2 -Ci 0 hydroxyalkoxy-alkylene e.g. selected from the groups of formula -CH 2 (OCH 2 CH 2 ) s OCH 2 OH, -CH 2 (CH 2 OCH 2 ) r CH 2 OH and -(CH 2 ) r -0(CH 2 ) r OH, where r and s are as said.
- each n, m and r, independently the one another, is an integer from 1 to 2.
- Particularly preferred are compounds of formula (II C) in which n and m are both 1.
- R 2 is a Ci-C 5 alkyl substituted by two Ci-C 8 hydroxyalkoxy groups.
- Suitable examples include compounds of formula (II) in which R 2 is a branched Ci-C 5 alkyl, e.g. isopentyl or isobutyl, which is substituted by two Ci-C 8 , and, preferably, Ci-C 5 hydroxyalkoxy groups.
- R 2 is a isopropylen or, more preferably, a isobutylen bearing two terminal polyhydroxyalkoxy groups selected from -OCH 2 (CH 2 OH) 2 and -OCH 2 (CH 2 CH 2 OH) 2 .
- the invention relates to compounds of formula (II) in which R 2 is a Ci-C 5 alkyl substituted by a cycloalkyl ring.
- Suitable examples include compounds in which R 2 is a Ci-C 5 alkyl substituted by a saturated C 5 -C 7 carbocyclic ring such as a cyclohexyl ring, e.g., preferably, a cyclohexyl- alkylene having 1, 2 or 3 carbon atoms in the alkylene chain.
- R 2 is a Ci-C 5 alkyl substituted by a saturated C 5 -C 7 heterocycle, e.g. a piperidine or a piperidine derivative having one or more e.g. from 1 to 8 substituents groups linked to the carbon atom(s) of the heterocycle.
- a saturated C 5 -C 7 heterocycle e.g. a piperidine or a piperidine derivative having one or more e.g. from 1 to 8 substituents groups linked to the carbon atom(s) of the heterocycle.
- the invention relates to dimers of formula (II D)
- n and m are, each independently, 1 or 2 and, preferably, are both 1 ;
- p is an integer from 1 to 3;
- q is and integer from 1 to 8
- S is a substituent group linked to a carbon atom of the piperidine ring, e.g. selected from the group consisting of: hydroxyl, C1-C3 hydroxyalkyl, C1-C3 alkoxy, C1-C3 hydroxyalkoxy, C1-C3 hydroxyalkoxy-alkylene, and carboxyl such as -(CH 2 ) s -COOH and -OCH2-COOH where s is as above said.
- q is 1, and S is a group selected from hydroxyl, C1-C3 hydroxyalkyl, C1-C3 hydroxyalkoxy and carboxyl such as -(CH 2 )s-COOH or -OCH 2 -COOH and, more preferably, from hydroxyl, -CH 2 OH, and -COOH that is linked to the C3 carbon atom of the ring.
- q is an integer from 2 to 8
- the compounds comprise a piperidine ring having from 2 to 8, preferably from 2 to 6 and, more preferably, from 3 to 5 e.g. 3, 4, or 5 substituent groups S linked to one or more carbon atom(s) of the ring, that are each independently selected from hydroxyl, C1-C3 hydroxyalkyl, C1-C3 alkoxy, C1-C3 hydroxyalkoxy, C1-C3 hydroxyalkoxy-alkylene, and carboxyl such as -(CH 2 ) s -COOH or -(OCH 2 ) s -COOH.
- the invention relates to compounds according to the formula (I) in which L is a Ci-C 6 alkylene chain interrupted by one or two -N(R' 2 )- groups.
- Suitable examples include dimeric compounds of formula (III)
- each n, r and d is, independently, 1 or 2;
- R 2 and R' 2 are as defined for the compounds of formula (I).
- d is 1, and the invention relates to dimers comprising two macrocyclic residues having a hydroxylated pendant arm bound to a nitrogen atom of the chelating cage linked to one another by means of a diamine group of formula -N(R 2 )-(CH 2 ) r -N(R' 2 )-
- R 2 and R 2 ' are each independently selected from R 2 meanings.
- R 2 ' is the same as R 2 .
- the invention relates to dimeric compounds of formula (IV) in which each n and r is, independently, 1 or 2, and R 2 is as said for compounds of formula (II), including encompassed formulae from (II A) to (II D).
- Suitable examples include compounds of formula (IV) in which R 2 is selected from the groups of formula -CH 2 (OCH 2 CH 2 ) s OCH 2 OH, -CH 2 (CH 2 OCH 2 ) r CH 2 OH and -(CH 2 ) r -0(CH 2 ) r OH, in which r and s are as said .
- R 2 is -CH 2 (CH 2 OCH 2 ) r CH 2 OH, where r is 1 or 2.
- R 2 is a g roup of formula -(CH 2 ) S CH(R 3 )-G where s, R 3 and G are as defined for compounds of formula (I).
- R 3 is H or an arylalkylene or cycloalkyl-alkylene e.g . selected from benzyl, phenyl-ethyl, cyclohexyl-methyl and cyclohexyl-ethyl ;
- G is a group of formula -PO(OR 4 ) 2 , -PO(R 5 )(OR 4 ) and -COOH in which R 4 is H or a tert-butyl and, preferably, is H, and R 5 is an optionally substituted phenyl or cyclohexyl ring, or a Ci-C 3 alkyl such as methyl, ethyl or propyl substituted or not by an aryl or cycloalkyl ring .
- the invention relates to dimers of formula (IV A)
- n is an integer from 1 to 2 and, preferably is 1 ;
- r is 1 or 2;
- s is 0 or an integer from 1 to 2, and preferably is 0 or 1 ;
- G a group selected from -PO(OR 4 ) 2 and -COOH where R 4 is H or a tert-butyl and, preferably, is H .
- n is 1, r is 2, and s is 0.
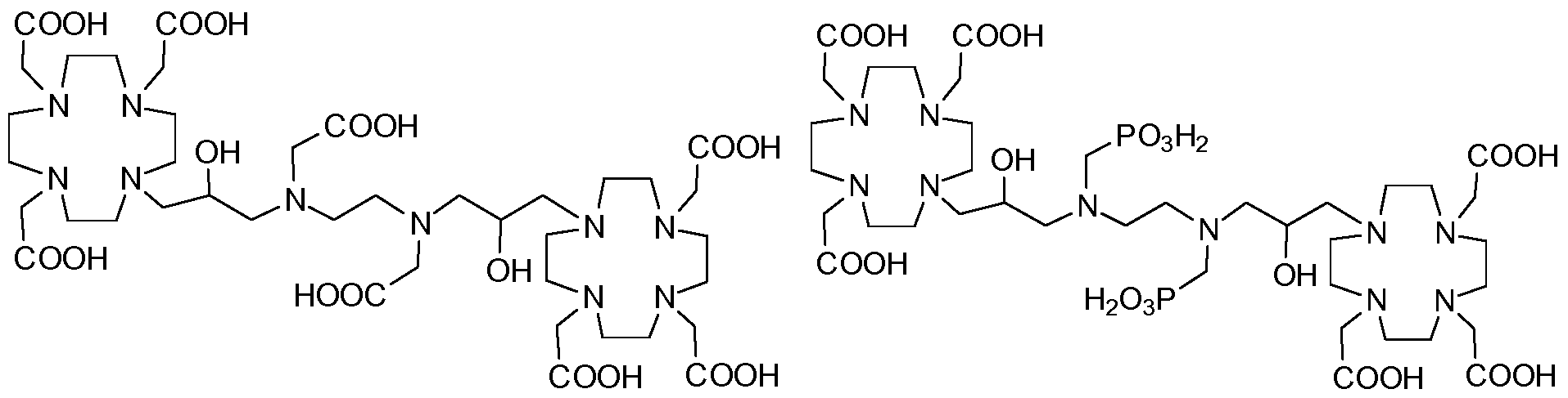
- Particularly preferred compounds are those compounds of formula (I), or salts thereof, selected from the group consisting of:
- the invention relates to chelated complexes of the compounds of formula (I), hence encompassing those of formulae from (II) to (V), with two paramagnetic metal ions, or radionuclides, or of a suitable salt thereof.
- the paramagnetic metal ions are are equal to each other, and are selected in the group consisting of Fe 2+ , Fe 3+ , Cu 2+ , Cr 3+ , Gd 3+ , Eu 3+ , Dy 3+ , La 3+ , Yb 3+ or Mn 2+ . More preferably, both the cheated paramagnetic metal ions are Gd 3+ ions.
- Preferred radionuclides according to the invention providing complexes for use in radiotherapy or radiodiagnostics include 105 Rh, 117m Sn, 99m Tc, 94m Tc, 203 Pb, 67 Ga, 68 Ga, 4 4 Sc, 72 As, 110 In, m In, 113 In, 90 Y, 97 Ru, 60 Cu, 62 Cu, 64 Cu, 52 Fe, 51 Mn, 140 La, 175 Yb, 153 Sm, 166 Ho, 1 49 Pm, 177 Lu, 186/188 Re, 165 Dy, 166 Dy, 142 Pr, 159 Gd, 211 Bi, 212 Bi, 213 Bi, 214 Bi, 149 Pm, 67 Cu, 198 Au, 1 99 Au, 161 Tb, 167 Tm, and 51 Cr.
- both the compounds of formula (I) of the invention and the paramagnetic chelates thereof can also be in the form of a pharmaceutically acceptable salt, particularly as an addition salt with a physiologically compatible base or acid.
- pharmaceutically acceptable salt refers to derivatives of the compounds of the invention wherein the parent compound is suitably modified by converting any of the free acid or basic groups, if present, into the corresponding addition salt with any base or acid conventionally intended as being pharmaceutically acceptable.
- Preferred cations of inorganic bases which can be suitably used to prepare a salt of the complexes or the ligands of the invention comprise, for instance, ions of alkali or alkaline- earth metals such as potassium, sodium, calcium or magnesium.
- Preferred cations of organic bases comprise, for instance, those of primary, secondary and tertiary amines such as, for instance, ethanolamine, diethanolamine, morpholine, glucamine, N-methylglucamine, N,N-dimethylglucamine.
- Preferred anions of inorganic acids which can be suitably used to prepare salts of the complexes of the invention comprise the ions of halo acids, for instance chlorides, bromides or iodides, as well as of other suitable ions such as sulfate.
- Preferred anions of organic acids comprise those routinely used in pharmaceutical techniques for the salification preparation of salts of basic substances such as, for instance, acetate, succinate, citrate, fumarate, maleate or oxalate.
- Preferred cations and anions of amino acids comprise, for instance, those of taurine, glycine, lysine, arginine, ornithine or of aspartic and glutamic acids.
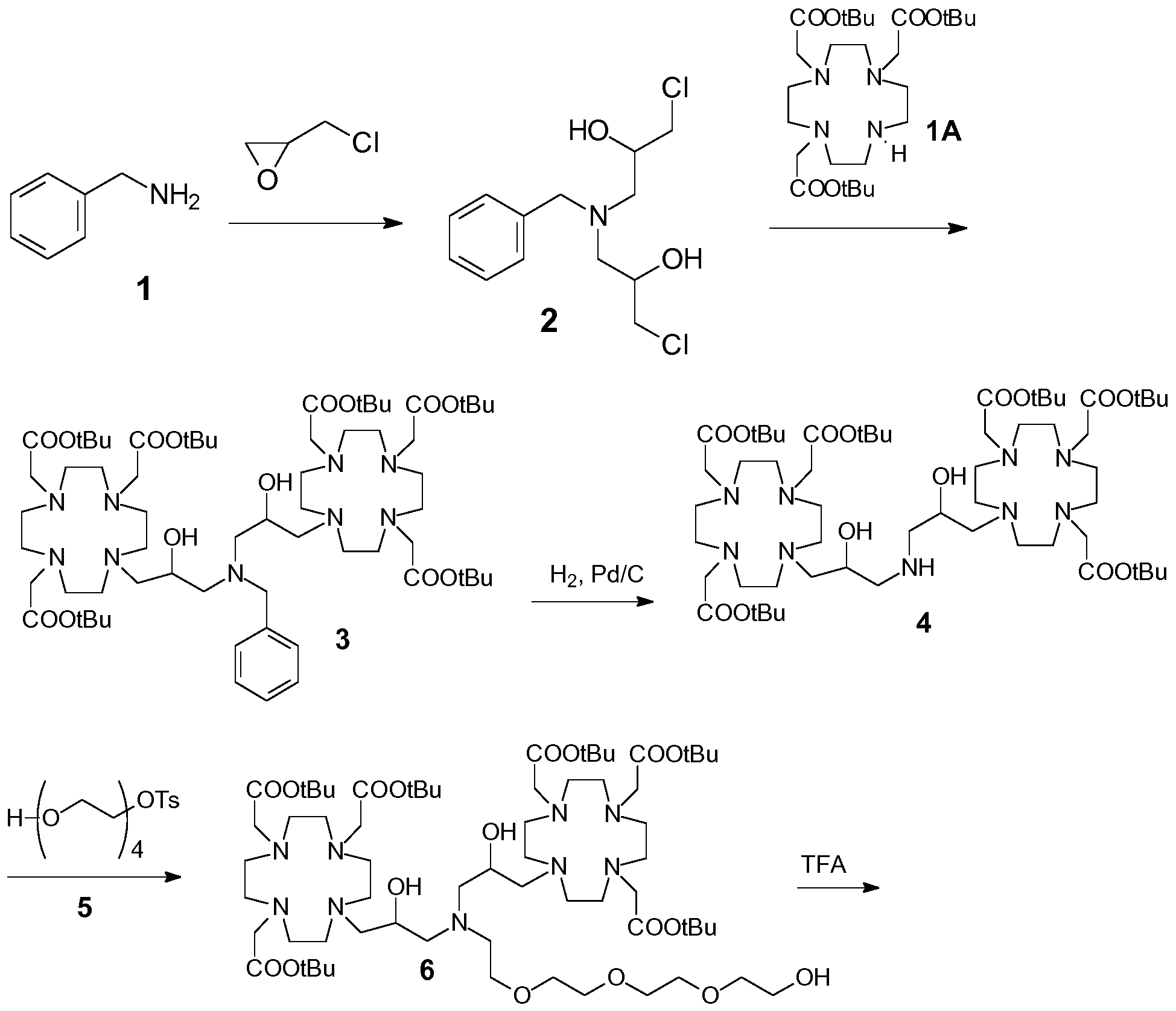
- a) Obtaining a macrocyclic substrate 1 in a suitable protected form, e.g. in which the carboxylic groups of the substrate are protected as tert-butyl esters; b) Obtaining a bridging molecule 2, in which any optional functional group(s) not involved with the coupling reaction with the substrate 1 is, optionally, suitably protected;
- the term “intermediate” refers to a molecule that requires one (or more) further reactions, e.g. deprotection/alkylation reaction(s) converting any optional protected nitrogen atom(s) of the bridging molecule 2 in the corresponding alkylated derivative(s), to give the desired product, i.e. in the specific case of the above general scheme, in a suitably protected dimeric compound of formula (I) according to step d).
- the single steps of the above general process comprehensive of any variant thereof, particularly when referring to the steps of protection/deprotection and activation of known functional groups, may be carried out according to conventional methods known in the art.
- bridging molecules 2 for the use of the invention are commercially available, or may easily be prepared according to procedures known to those skilled in the relevant art. Suitable examples may for instance comprises an amine of formula -NH 2 R 2 or diamine of formula -NH(R 2 )-(CH 2 ) r -NH(R' 2 )- (in which r, R 2 , R' 2 are as defined for compounds of formula (I)), or suitable functional derivative thereof that are commercially available or may be easily be obtained according to synthetic procedure known to those skilled in the relevant art.
- the complexation of the compounds of formula (I) e.g. obtained from step f) of former general preparation scheme with a paramagnetic ion and, particularly, with gadolinium may be performed, for instance, by stoichiometric addition of a suitable Gd(III) derivative, particularly a Gd(III) salt or oxide, to a solution of the ligand, e.g. by working according to well-known experimental methods, for instance as reported in EP 230893.
- a suitable Gd(III) derivative particularly a Gd(III) salt or oxide
- optional salification of the compounds of the invention may be carried out by properly converting any of the free acidic groups (e.g. carboxylic, phosphonic or phosphinic) or free amino groups into the corresponding pharmaceutically acceptable salts.
- the operative conditions being employed for the optional salification of the compounds of the invention are all within the ordinary knowledge of the skilled person.
- dimeric compounds according to the invention may conveniently be prepared by using the synthetic procedure schematized in the following general Scheme 1
- Dimers of formula (I) according to the present invention include two tetraaza macrocycles each having a hydroxylated residue on a nitrogen atom of the macrocyclic cage linked to one another by means of a bridging moiety comprising one or more amine -NR 2 - group(s).
- Dimeric paramagnetic complexes according to the invention having these peculiar structural components have interestingly proved to display a high relaxivity.
- Relaxivity r lp values measured for some representative complex compounds of formula (I) are provided in Table A of the experimental section, by comparison with r lp values measured, at the same conditions, for some known MRI contrast agents currently used in the diagnostic daily practice, e.g . including Gd-DOTA, marketed as DOTAREM®, and Gd-H PD03A marketed as ProHance®.
- relaxivity data hence includ ing those of the table A, are expressed in terms of gadolinium concentration (mM).
- relaxivity r lp values measured for the dimeric complex compounds of the invention are at least to 2 times higher than that recorded for commercial contrast agent of the marker (at the same gadolinium concentration).
- the paramagnetic complex compounds of the formula (I) of the invention display a relaxivity r lp value measured in human plasma, at 37°C and approx. 1.4 T which is of at least about 6, preferably higher than 7, and more preferably, higher than 8 mM V 1 .
- paramagnetic complex compounds of the invention have proven to display a low if not negligible protein binding with human plasma proteins, including, for instance, the HSA.
- the Applicant has observed that the presence of a hydroxylated pendant arm on each macrocyclic cage constituting the dimeric compounds of the invention, beside leading to complex compounds having favorable relaxivity and solubility, may also contribute to obtain aqueous solutions of corresponding complex paramagnetic endowed with optimized viscosity.
- the high relaxivity displayed by the agents of the invention may allow to reduce their diagnostically effective dose, as compared to current contrast agents.
- Paramagnetic complexes and, especially, gadolinium complexes of the compounds of formula (I), or the pharmaceutical acceptable salt thereof thus find advantageous use in the preparation of pharmaceutical formulations intended for a general use in the diagnostic imaging of a human or animal body organ, tissue or region either in vivo or in vitro, ex vivo.
- the invention relates to the use of the compounds of formula (I) in the form complexes with a paramagnetic metal ion and, especially, gadolinium, or of a pharmaceutical acceptable salt thereof, for the preparation of a pharmaceutical formulation for use in the diagnostic imaging, either in vivo or in vitro, ex vivo, of a human or animal body organ, tissue or region or of a biological sample, including cells, biological fluids and biological tissues originating from a live mammal patient, and preferably, human patient, by use of the MRI technique.
- a further aspect of the invention concerns a pharmaceutical composition for diagnostic use comprising a compound of formula (I) in the form of paramagnetic metal complex or of a pharmaceutical salt thereof, in admixture with one or more physiologically acceptable excipients, diluents or solvents.
- the pharmaceutical composition is a contrast- producing composition and, more preferably, a MRI contrast producing composition comprising at least one Gd-complex according to the invention.
- the invention relates to a MRI contrast medium comprising an effective amount of at least one chelated compound according to the invention and, especially, of a gadolinium complex of the formula (I), or of a pharmaceutical acceptable salt thereof, in combination with one or more pharmaceutically acceptable excipients, diluents or solvents.
- an effective dose refers to any amount of a paramagnetic chelated complex of the formula (I) according to the invention or pharmaceutical composition thereof, that is sufficient to fulfil its intended diagnostic purpose(s) : i.e., for example, to ex vivo visualize a biological element including cells, biological fluids and biological tissues or the in vivo diagnostic imaging of body organs, tissues or regions of a patient.
- suitable dosage of the paramagnetic complexes according to the invention i.e. allowing to obtain a diagnostically effective visualization of the body organ, tissue or region at least comparable to that obtained in the daily practice with the MRI contrast agents of the market, may include an amount of the paramagnetic complex lower than that currently used with Non-Specific contrast agents of the market.
- satisfactory diagnostic MRI images may be obtained with doses of the gadolinium complex compounds identified by the present invention of about 90%, more preferably 80%, and up to 60% of the dose of MRI contrast agent used in the daily practice, which for adult patients commonly is of about 0.1 mmol/kg of patient body weight.
- paramagnetic complex compounds of formula (I) identified by the present invention have a wide range of applications as they can be used for intravasal, (for instance intravenous, intraarterial, intracoronaric, intraventricular administration and the like), intrathecal, intraperitoneal, intralymphatic and intracavital administrations. Furthermore, they are suitable for the oral or parenteral administration and, therefore, specifically for the imaging of the gastrointestinal tract.
- parenteral administration can be preferably formulated as sterile aqueous solutions or suspensions, whose pH can range from 6.0 to 8.5.
- formulations can be lyophilized and supplied as they are, to be reconstituted before use.
- these agents can be formulated as a solution or suspension optionally containing suitable excipients in order, for example, to control viscosity.
- the oral administration they can be formulated according to preparation methods routinely used in the pharmaceutical technique or as coated formulations to gain additional protection against the stomach acidic pH thus preventing, in case of chelated metal ions, their release which may take place particularly at the typical pH values of gastric fluids.
- excipients for example including sweeteners and/or flavouring agents, can also be added, according to known techniques of pharmaceutical formulations.
- solutions or suspensions of the compounds of this invention can also be formulated as aerosol to be used in aerosol-bronchography and instillation.
- liposomes can be also encapsulated into liposomes or even constitute the liposomes themselves, as set forth above, and thus can be used as uni- or multi-lamellar vesicles.
- compositions according to the invention are properly formulated in isotonic sterile aqueous, optionally buffered, solutions for parenteral administration, and most preferably for intravenous or intra-arterial administration.
- the said diagnostic composition has a concentration of the paramagnetic complex of the formula (I) of from 0.002 and 1.0 M and is supplied, for instance as a bolus, or as two or more doses separated in time, or as a constant or non- linear flow infusion.
- the invention relates to the use of a pharmaceutical composition including a paramagnetic chelated complex of the formula (I) or pharmaceutical acceptable salt thereof for the diagnostic imaging, both in vitro (ex vivo) and in vivo, of pathological systems, including cells, biological fluids and biological tissues originating from a live mammal patient, and preferably, human patient, as well as of human body organ, regions or tissues, including tumors or cancerous tissues, inflammations, as well as for monitoring the progress and results of therapeutic treatment of the said pathologies.
- a pharmaceutical composition including a paramagnetic chelated complex of the formula (I) or pharmaceutical acceptable salt thereof for the diagnostic imaging, both in vitro (ex vivo) and in vivo, of pathological systems, including cells, biological fluids and biological tissues originating from a live mammal patient, and preferably, human patient, as well as of human body organ, regions or tissues, including tumors or cancerous tissues, inflammations, as well as for monitoring the progress and results of therapeutic treatment of the said pathologies.
- the present invention concerns a method for the in vivo imaging of a body organ, tissue or region by use of the MRI technique, said method comprises enhancing the signal generated by the water protons by use of a paramagnetic chelated complex of the formula (I) according to the invention, or a physiological acceptable salt thereof.
- said method comprises administering to a human or animal patient to be imaged a diagnostically effective amount of a composition of the invention comprising a compound of formula (I) in the form of complex with a paramagnetic metal ion, and, preferably, with the Gd 3+ metal ion and then subjecting the administered patient to the diagnostic imaging by use of the MRI technique.
- the above MRI method is instead performed on human or animal bodies suitably pre-administered with a diagnostically effective amount of a composition of the invention as above defined.
- the present invention refers to a method for the in vivo imaging a human or animal body organ or tissue by use of the MRI technique that comprises the steps of:
- composition of the invention comprising a compound of formula (I) in the form of a paramagnetic complex, or of a pharmaceutically acceptable salt thereof, and positioned in a MRI imaging system, to a radiation frequency selected to excite the non-zero proton spin nuclei of the active paramagnetic substrate;
- the invention provides a method for the in vitro (ex vivo) imaging of biological samples, including cells, biological fluids and biological tissues originating from a live mammal patient, and preferably, human patient, by use of the MRI technique, that comprises contacting an effective amount of a paramagnetic complex compound of formula (I), or of a physiologically acceptable salt thereof, with the biological sample of interest and then obtaining MRI signals from said samples by use of the MRI technique.
- This dimeric compound was prepared using the procedure of the following general
- Benzyl chloroformate (95%; 18.85 g; 105 mmol) was added in 1 h to a mixture of diallylamine (commercially available) (9.7 g; 100 mmol), K 2 C0 3 (34.5 g; 250 mmol), water (150 mL) and EtOAc (150 mL) at 0°C. After stirring for 6 h, the organic phase was separated and extracted with 1 N HCI (2x100 mL), water (100 mL) and brine (100 mL). The organic phase was dried (Na 2 S0 4 ) and evaporated to give 1 (22 g). Yield 95%.
- Trifluoroacetic acid (19 mL) was added to a solution of intermediate 6 (15.3 g; 12 mmol) in dichloromethane (70 mL) at 0°C. The mixture was stirred for 6 h then evaporated; the residue was dissolved in TFA (80 mL) and triisopropylsilane (0.5 mL) was added. The mixture was stirred at room temperature for 16 h, then evaporated. The solid was purified by chromatography on Amberchrome CG161M column (eluent: gradient of water/MeCN) obtaining the chelating ligand 6 as a solid (8.76 g). Yield 83%.
- Gadolinium chloride hexahydrate (3.38 g, 9.1 mmol) was added to a solution of chelating ligand 7 (8 g; 9.1 mmol) in water ( 100 mL) and the pH of the mixture was slowly increased to pH 6.5-7 with 1 N NaOH .
- the obtained solution was stirred at room temperature for 5 h then filtered on Millipore HA 0.45 ⁇ , concentrated and purified by chromatography on Amberchrome CG161M column (eluent: gradient of water/MeCN) obtaining 10.1 g of the corresponding gadolinium complex. Yield 92%.
- Trifluoroacetic acid (1.1 mL) was added to a solution of 3 (2.1 g; 1.6 mmol) in dichloromethane (30 mL). The mixture stirred for 30 min then was evaporated. The residue was dissolved in TFA (3.7 mL) and triisopropylsilane (0.1 mL) was added. The obtained mixture was stirred for 24 h at room temperature then evaporated and the residue purified by chromatography on Amberlite XE 750 column (eluent: gradient of water/MeCN) obtaining the desired ligand 4 (1.5 g). Yield 95%.
- Ligand 4 (1.5 g; 1.5 mmol) was dissolved in water (20 ml_), gadolinium chloride hexahydrate (1.13 g; 3 mmol) was added then 1M NaOH was added to achieve pH 7. The mixture was stirred at 50°C for 6 h. The solution was then filtered on Millipore HA 0.25 ⁇ filters and evaporated under reduced pressure. The crude product was purified on Amberchrome CG161M column (eluent: gradient of water/acetonitrile). The fractions containing the pure product were pooled and evaporated. The solid product was dried under vacuum to obtain the gadolinium complex as a white powder (1.4 g). Yield 72%.
- Substrate 1A (Org. Synth. 2008, 85, 10 ) (15 g; 29 mmol) was added to a solution of compound 2 (4.2; 8.9 mmol) and Et 3 N (3.6 g; 36 mmol) in MeCN (60 mL). The mixture was stirred at 50°C for 48 h then at 70°C for 20 h. The mixture was evaporated, the residue treated with EtOAc (100 mL) and filtered. The organic phase was washed with water (2x100 mL), brine (2xl00mL) then evaporated.
- Trifluoroacetic acid (6 mL; 48 mmol) and triisopropylsilane (0.1 mL) were added to compound 3 (4.5 g, 3 mmol). The solution was stirred at room temperature for 24 h. The solvent was evaporated and the residue purified by chromatography on Amberlite XE 750 column (eluent: gradient of water/MeCN) obtaining the desired ligand 4 (3 g). Yield 96%.
- Ligand 4 (3 g; 3 mmol) was suspended in water (60 mL) and gadolinium chloride hexahydrate (2.27 g; 6.1 mmol) was added. 1M NaOH was added to achieve pH 7 and the homogeneous solution was stirred at 50°C for 2 h. The solution was then filtered on Millipore HA 0.25 ⁇ filters and evaporated under reduced pressure. The crude product was purified on resin Amberchrome CG161M column (eluent: water/acetonitrile). The fractions containing the pure product were pooled and evaporated. The solid product was dried under vacuum to obtain the gadolinium complex as a white powder (2 g). Yield 49%.
- Trifluoroacetic acid (5 mL) was added to a solution of intermediate 6 (8 g; 6.3 mmol) in dichloromethane (50 mL). The mixture stirred for 30 min then was evaporated. The residue was dissolved in TFA (20 mL) and triisopropylsilane (0.1 mL) was added. The obtained mixture was stirred for 24 h at room temperature then evaporated and the residue purified by chromatography on Amberlite XE 750 column (eluent: gradient of water/MeCN) obtaining the desired ligand 7 (5.3 g). Yield 84%.
- Ligand 7 (4.5 g ; 4.5 mmol) was dissolved in water ( 100 ml_), gadolinium chloride hexahydrate ( 1.7 g ; 4.6 mmol) was added then 1 M NaOH was added to achieve pH 7. The mixture was stirred at 50°C for 18 h . The solution was then filtered on M illipore HA 0.25 ⁇ filters and evaporated under reduced pressure. The crude product was purified on Amberchrome CG161 M column (eluent: gradient of water/acetonitrile). The fractions containing the pure prod uct were pooled and evaporated . The solid prod uct was dried under vacuum to obtain the gadolinium complex as a white powder (4.4 g). Yield 75%.
- the relaxometric properties of some representative complex compounds according to the invention have been determined at different magnetic field strengths, e.g . including 0.47 and 1.41 T, at 37°C and in different media (physiologic solution and human plasma) and compared with relaxivity values measured, at the same conditions, for some Gd- Complex of the market having an analogous cyclic coordination cage.
- test articles were used as supplied and diluted in the selected medium (physiologic solution or human plasma) by weighting the required amount of paramagnetic chelated complex to get a 5 or 10 mM starting solution.
- Relaxivity measurements were performed at 0.47 T and 1.41 T at a preset temperature sample of 37°C, kept constant by means of a thermostatic bath connected to the sample holder of the spectrometer. The five sample solutions have been preliminary pre-heated at 37°C in an external thermostatic bath and then left 10 minutes inside the internal bath to assure the stabilization of the temperature.
- Longitudinal relaxation time Ti was measured by means of a standard inversion recovery sequence, where the inversion time (TI) was varied from 10 ms to at least 5 times Ti in 15 steps.
- Statistical analysis mono-exponential fitting for Ti measurement, linear fitting for the evaluation of longitudinal relaxivity was performed by Mathematica® (Wolfram, USA). Errors on the estimated parameters were evaluated by the fitting procedure.
- relaxivity data and hence including those of the table below, are expressed in terms of gadolinium concentration.
- the relaxivity of the investigated contrast agents ranges between 3.5 (for Prohance®) and 9.0 (for the Chelate Complex 2) mM _1 s 1 at 0.47 T in physiologic solution, and from 4.9 to 12.0 mM _1 s 1 in plasma, same magnetic field, same mM Gd 3+ concentration .
Landscapes
- Chemical & Material Sciences (AREA)
- Organic Chemistry (AREA)
- Health & Medical Sciences (AREA)
- Life Sciences & Earth Sciences (AREA)
- General Health & Medical Sciences (AREA)
- Nuclear Medicine, Radiotherapy & Molecular Imaging (AREA)
- Public Health (AREA)
- Medicinal Chemistry (AREA)
- Radiology & Medical Imaging (AREA)
- Epidemiology (AREA)
- Animal Behavior & Ethology (AREA)
- Veterinary Medicine (AREA)
- Biochemistry (AREA)
- Molecular Biology (AREA)
- Medicines Containing Antibodies Or Antigens For Use As Internal Diagnostic Agents (AREA)
- Magnetic Resonance Imaging Apparatus (AREA)
- Organic Low-Molecular-Weight Compounds And Preparation Thereof (AREA)
- Hydrogenated Pyridines (AREA)
- Acyclic And Carbocyclic Compounds In Medicinal Compositions (AREA)
Abstract
Description
Claims
Priority Applications (35)
| Application Number | Priority Date | Filing Date | Title |
|---|---|---|---|
| MX2018007043A MX395695B (en) | 2015-12-10 | 2016-12-12 | DIMERIC CONTRAST AGENTS. |
| NZ741900A NZ741900B2 (en) | 2015-12-10 | 2016-12-12 | Dimeric contrast agents |
| BR112018010815-4A BR112018010815B1 (en) | 2015-12-10 | 2016-12-12 | Dimeric compounds, chelating complex and pharmaceutical composition comprising said chelating complex |
| KR1020187016958A KR102703336B1 (en) | 2015-12-10 | 2016-12-12 | Dimer contrast agent |
| EP20187182.9A EP3753929B1 (en) | 2015-12-10 | 2016-12-12 | Dimeric contrast agents |
| HRP20210061TT HRP20210061T1 (en) | 2015-12-10 | 2016-12-12 | Dimeric contrast agents |
| JP2018530018A JP6896733B2 (en) | 2015-12-10 | 2016-12-12 | Dimer contrast agent |
| CA3002897A CA3002897C (en) | 2015-12-10 | 2016-12-12 | Dimeric contrast agents |
| AU2016368545A AU2016368545C1 (en) | 2015-12-10 | 2016-12-12 | Dimeric contrast agents |
| RU2018123572A RU2739834C2 (en) | 2015-12-10 | 2016-12-12 | Dimeric contrast agents |
| PL16810346T PL3386954T3 (en) | 2015-12-10 | 2016-12-12 | Dimeric contrast agents |
| CN201680071558.6A CN108368067B (en) | 2015-12-10 | 2016-12-12 | Dimeric contrast agent |
| EP16810346.3A EP3386954B1 (en) | 2015-12-10 | 2016-12-12 | Dimeric contrast agents |
| SI201631038T SI3386954T1 (en) | 2015-12-10 | 2016-12-12 | Dimeric contrast agents |
| US16/060,754 US10407412B2 (en) | 2015-12-10 | 2016-12-12 | Dimeric contrast agents |
| ES16810346T ES2843998T3 (en) | 2015-12-10 | 2016-12-12 | Dimeric contrast agents |
| DK16810346.3T DK3386954T3 (en) | 2015-12-10 | 2016-12-12 | DIMERE CONTRAST MEASURES |
| SG11201804412SA SG11201804412SA (en) | 2015-12-10 | 2016-12-12 | Dimeric contrast agents |
| LTEP16810346.3T LT3386954T (en) | 2015-12-10 | 2016-12-12 | DIMERATIVE CONTRAST AGENTS |
| HUE17832049A HUE056114T2 (en) | 2016-12-12 | 2017-12-11 | Dimeric contrast agents |
| JP2019531191A JP7145156B2 (en) | 2016-12-12 | 2017-12-11 | dimer contrast agent |
| CA3037803A CA3037803A1 (en) | 2016-12-12 | 2017-12-11 | Dimeric contrast agents |
| ES17832049T ES2899033T3 (en) | 2016-12-12 | 2017-12-11 | Dimeric contrast agents |
| EP17832049.5A EP3551614B1 (en) | 2016-12-12 | 2017-12-11 | Dimeric contrast agents |
| PCT/EP2017/082153 WO2018108780A1 (en) | 2016-12-12 | 2017-12-11 | Dimeric contrast agents |
| BR112019011123-9A BR112019011123B1 (en) | 2016-12-12 | 2017-12-11 | DIMERIC CONTRAST AGENTS |
| US16/468,035 US10793533B2 (en) | 2016-12-12 | 2017-12-11 | Dimeric contrast agents |
| CN201780070505.7A CN109963838B (en) | 2016-12-12 | 2017-12-11 | Dimeric contrast agents |
| KR1020197011036A KR102724256B1 (en) | 2016-12-12 | 2017-12-11 | Dimer contrast agent |
| AU2017375728A AU2017375728B2 (en) | 2016-12-12 | 2017-12-11 | Dimeric contrast agents |
| ZA2018/02846A ZA201802846B (en) | 2015-12-10 | 2018-04-30 | Dimeric contrast agents |
| IL259836A IL259836B (en) | 2015-12-10 | 2018-06-05 | Dimeric macrocycle chelators, complexes containing same and uses thereof as contrast agents |
| IL265680A IL265680B (en) | 2016-12-12 | 2019-03-27 | Dimeric contrast agents |
| US16/522,076 US10882849B2 (en) | 2015-12-10 | 2019-07-25 | Dimeric contrast agents |
| US17/060,396 US11401262B2 (en) | 2015-12-10 | 2020-10-01 | Dimeric contrast agents |
Applications Claiming Priority (2)
| Application Number | Priority Date | Filing Date | Title |
|---|---|---|---|
| EP15199220.3 | 2015-12-10 | ||
| EP15199220 | 2015-12-10 |
Related Child Applications (2)
| Application Number | Title | Priority Date | Filing Date |
|---|---|---|---|
| US16/060,754 A-371-Of-International US10407412B2 (en) | 2015-12-10 | 2016-12-12 | Dimeric contrast agents |
| US16/522,076 Continuation US10882849B2 (en) | 2015-12-10 | 2019-07-25 | Dimeric contrast agents |
Publications (1)
| Publication Number | Publication Date |
|---|---|
| WO2017098044A1 true WO2017098044A1 (en) | 2017-06-15 |
Family
ID=55027251
Family Applications (1)
| Application Number | Title | Priority Date | Filing Date |
|---|---|---|---|
| PCT/EP2016/080621 Ceased WO2017098044A1 (en) | 2015-12-10 | 2016-12-12 | Dimeric contrast agents |
Country Status (23)
| Country | Link |
|---|---|
| US (3) | US10407412B2 (en) |
| EP (2) | EP3753929B1 (en) |
| JP (1) | JP6896733B2 (en) |
| KR (1) | KR102703336B1 (en) |
| CN (1) | CN108368067B (en) |
| AU (1) | AU2016368545C1 (en) |
| BR (1) | BR112018010815B1 (en) |
| CA (1) | CA3002897C (en) |
| DK (2) | DK3386954T3 (en) |
| ES (2) | ES2932302T3 (en) |
| FI (1) | FI3753929T3 (en) |
| HR (2) | HRP20221451T1 (en) |
| HU (2) | HUE060536T2 (en) |
| IL (1) | IL259836B (en) |
| LT (1) | LT3386954T (en) |
| MX (1) | MX395695B (en) |
| PL (2) | PL3753929T3 (en) |
| PT (1) | PT3386954T (en) |
| RU (1) | RU2739834C2 (en) |
| SG (1) | SG11201804412SA (en) |
| SI (2) | SI3753929T1 (en) |
| WO (1) | WO2017098044A1 (en) |
| ZA (1) | ZA201802846B (en) |
Cited By (11)
| Publication number | Priority date | Publication date | Assignee | Title |
|---|---|---|---|---|
| WO2018108780A1 (en) * | 2016-12-12 | 2018-06-21 | Bracco Imaging Spa | Dimeric contrast agents |
| US10722601B2 (en) | 2015-06-04 | 2020-07-28 | Bayer Pharma Aktiengesellschaft | Gadolinium chelate compounds for use in magnetic resonance imaging |
| US10975060B2 (en) | 2016-11-28 | 2021-04-13 | Bayer Pharma Aktiengesellschaft | High relaxivity gadolinium chelate compounds for use in magnetic resonance imaging |
| WO2021116165A1 (en) | 2019-12-13 | 2021-06-17 | Bracco Imaging Spa | Manufacturing of protected do3a |
| WO2022023240A1 (en) | 2020-07-27 | 2022-02-03 | Bracco Imaging Spa | Manufacturing of dimeric contrast agents |
| WO2023006721A1 (en) | 2021-07-27 | 2023-02-02 | Bracco Imaging Spa | Manufacturing of dimeric contrast agents |
| WO2023006722A1 (en) | 2021-07-27 | 2023-02-02 | Bracco Imaging Spa | Process for the manufacturing of a gadolinium complex solution |
| WO2023110867A1 (en) | 2021-12-14 | 2023-06-22 | Bracco Imaging Spa | Manufacturing of dimeric contrast agent |
| WO2023110863A1 (en) | 2021-12-14 | 2023-06-22 | Bracco Imaging Spa | Process for manufacturing a mixture comprising a dimeric macrocycle intermediate of a gadolinium complex |
| US11944690B2 (en) | 2018-11-23 | 2024-04-02 | Bayer Aktiengesellschaft | Formulation of contrast media and process of preparation thereof |
| WO2024074648A1 (en) | 2022-10-07 | 2024-04-11 | Bracco Imaging Spa | Precipitation and isolation of gadolinium complex |
Families Citing this family (4)
| Publication number | Priority date | Publication date | Assignee | Title |
|---|---|---|---|---|
| DK3386954T3 (en) * | 2015-12-10 | 2021-02-15 | Bracco Imaging Spa | DIMERE CONTRAST MEASURES |
| IT202000000922A1 (en) * | 2020-01-20 | 2021-07-20 | Cage Chemicals S R L | Iron complexes and related salts as MRI contrast agents |
| WO2021154671A1 (en) | 2020-01-29 | 2021-08-05 | University Of Cincinnati | Contrast enhancement method for the objects with intrinsic partial volume effect |
| KR20230116805A (en) * | 2020-12-04 | 2023-08-04 | 브라코 이미징 에스.피.에이. | Manufacturing method for preparing gadoteridol |
Citations (2)
| Publication number | Priority date | Publication date | Assignee | Title |
|---|---|---|---|---|
| DE19849465A1 (en) * | 1998-10-21 | 2000-04-27 | Schering Ag | New dimeric ion pairs containing cationic and anionic metal complexes; useful as low viscosity contrast agents for X-ray, magnetic resonance and radiodiagnostic techniques, and as radiotherapy agents |
| DE10117242C1 (en) * | 2001-04-06 | 2002-05-16 | Schering Ag | New dimeric tetraazacyclododecane derivatives and their metal complexes useful as components of diagnostic agents, especially X-ray contrast agents, and radiotherapeutics |
Family Cites Families (28)
| Publication number | Priority date | Publication date | Assignee | Title |
|---|---|---|---|---|
| US4647447A (en) | 1981-07-24 | 1987-03-03 | Schering Aktiengesellschaft | Diagnostic media |
| US4885363A (en) | 1987-04-24 | 1989-12-05 | E. R. Squibb & Sons, Inc. | 1-substituted-1,4,7-triscarboxymethyl-1,4,7,10-tetraazacyclododecane and analogs |
| IT1213029B (en) | 1986-01-30 | 1989-12-07 | Bracco Ind Chimica Spa | PARAMAGNETIC METAL ION CHELATES. |
| DE3625417C2 (en) * | 1986-07-28 | 1998-10-08 | Schering Ag | Tetraazacyclododecane derivatives |
| US5132409A (en) | 1987-01-12 | 1992-07-21 | Bracco Industria Chimica S.P.A. | Macrocyclic chelating agents and chelates thereof |
| GB9320277D0 (en) * | 1993-10-01 | 1993-11-17 | Nycomed Salutar Inc | Chelants |
| DE4009119A1 (en) | 1990-03-19 | 1991-09-26 | Schering Ag | 1,4,7,10-TETRAAZACYCLODODECANE-BUTYLTRIOLS, METHOD FOR THE PRODUCTION THEREOF AND PHARMACEUTICAL AGENTS CONTAINING THEM |
| DE4035760A1 (en) | 1990-11-08 | 1992-05-14 | Schering Ag | MONO-N-SUBSTITUTED 1,4,7,10-TETRAAZACYCLODODECAN DERIVATIVES, METHOD FOR THE PRODUCTION THEREOF AND PHARMACEUTICAL AGENTS CONTAINING THEM |
| DE4115789A1 (en) | 1991-05-10 | 1992-11-12 | Schering Ag | MACROCYCLIC POLYMER COMPLEX IMAGERS, THEIR COMPLEXES, METHOD FOR THEIR PRODUCTION AND THE PHARMACEUTICAL AGENTS CONTAINING THEM |
| DE4318369C1 (en) * | 1993-05-28 | 1995-02-09 | Schering Ag | Use of macrocyclic metal complexes as temperature probes |
| GB9318550D0 (en) * | 1993-09-07 | 1993-10-20 | Nycomed Salutar Inc | Chelants |
| IT1291624B1 (en) | 1997-04-18 | 1999-01-11 | Bracco Spa | COMPLEX CHELATES OF PARAMAGNETIC METALS WITH LOW TOXICITY |
| DE19719033C1 (en) | 1997-04-29 | 1999-01-28 | Schering Ag | Ion pairs, processes for their preparation and their use as contrast agents |
| IT1292128B1 (en) | 1997-06-11 | 1999-01-25 | Bracco Spa | PROCESS FOR THE PREPARATION OF MACROCYCLIC CHELANTS AND THEIR CHELATES WITH PARAMAGNETIC METALLIC IONS |
| CA2309749A1 (en) * | 1997-11-17 | 1999-05-27 | Research Corporation Technologies, Inc. | Magnetic resonance imaging agents for the detection of physiological agents |
| US6852854B1 (en) * | 2002-10-01 | 2005-02-08 | Psiloquest Inc. | Preformed carboxylated active ester for labeling biomolecules |
| US7208140B2 (en) | 2003-02-19 | 2007-04-24 | Schering Aktiengesellschaft | Trimeric macrocyclic substituted benzene derivatives |
| US7988950B2 (en) * | 2004-07-02 | 2011-08-02 | Bracco Imaging S.P.A. | Contrast agents endowed with high relaxivity for use in magnetic resonance imaging (MRI) which contain a chelating moiety with polyhydroxylated substituents |
| FR2891830B1 (en) * | 2005-10-07 | 2011-06-24 | Guerbet Sa | SHORT AMINOALCOHOL COMPOUNDS AND METAL COMPLEXES FOR MEDICAL IMAGING |
| RU2425831C2 (en) * | 2005-12-02 | 2011-08-10 | Джи-И Хелткер АС | Multimeric magnetic resonance contrast agents |
| CL2008001002A1 (en) | 2007-04-11 | 2008-10-17 | Actelion Pharmaceuticals Ltd | COMPOUNDS DERIVED FROM OXAZOLIDINONA; PHARMACEUTICAL COMPOSITION THAT INCLUDES SUCH COMPOUNDS; AND ITS USE TO PREPARE A MEDICINAL PRODUCT TO TREAT A BACTERIAL INFECTION. |
| EP2149567A1 (en) | 2008-07-18 | 2010-02-03 | Bayer Schering Pharma Aktiengesellschaft | Cyclic polyamines for binding phosphatidylserine |
| EP2457594A1 (en) * | 2010-11-05 | 2012-05-30 | Bracco Imaging S.p.A | Cest systems exhibiting a concentration independent responsiveness |
| US9315524B2 (en) | 2012-05-07 | 2016-04-19 | Kumar Ranjan Bhushan | Magnetic resonance imaging agents for calcification |
| CN102727911B (en) | 2012-07-09 | 2013-07-24 | 中国科学院长春应用化学研究所 | Diamino polyethylene glycol modified paramagnetic metal complex magnetic resonance imaging contrast agent |
| US9155804B2 (en) | 2012-09-26 | 2015-10-13 | General Electric Company | Contrast enhancement agents and method of use thereof |
| US10786497B2 (en) | 2013-08-16 | 2020-09-29 | Equip, Llc | Discrete PEG constructs |
| DK3386954T3 (en) * | 2015-12-10 | 2021-02-15 | Bracco Imaging Spa | DIMERE CONTRAST MEASURES |
-
2016
- 2016-12-12 DK DK16810346.3T patent/DK3386954T3/en active
- 2016-12-12 PL PL20187182.9T patent/PL3753929T3/en unknown
- 2016-12-12 JP JP2018530018A patent/JP6896733B2/en active Active
- 2016-12-12 EP EP20187182.9A patent/EP3753929B1/en active Active
- 2016-12-12 ES ES20187182T patent/ES2932302T3/en active Active
- 2016-12-12 ES ES16810346T patent/ES2843998T3/en active Active
- 2016-12-12 CA CA3002897A patent/CA3002897C/en active Active
- 2016-12-12 HU HUE20187182A patent/HUE060536T2/en unknown
- 2016-12-12 FI FIEP20187182.9T patent/FI3753929T3/en not_active Application Discontinuation
- 2016-12-12 PT PT168103463T patent/PT3386954T/en unknown
- 2016-12-12 KR KR1020187016958A patent/KR102703336B1/en active Active
- 2016-12-12 DK DK20187182.9T patent/DK3753929T3/en active
- 2016-12-12 CN CN201680071558.6A patent/CN108368067B/en active Active
- 2016-12-12 HR HRP20221451TT patent/HRP20221451T1/en unknown
- 2016-12-12 SI SI201631639T patent/SI3753929T1/en unknown
- 2016-12-12 MX MX2018007043A patent/MX395695B/en unknown
- 2016-12-12 HU HUE16810346A patent/HUE052680T2/en unknown
- 2016-12-12 BR BR112018010815-4A patent/BR112018010815B1/en active IP Right Grant
- 2016-12-12 SG SG11201804412SA patent/SG11201804412SA/en unknown
- 2016-12-12 US US16/060,754 patent/US10407412B2/en active Active
- 2016-12-12 RU RU2018123572A patent/RU2739834C2/en active
- 2016-12-12 HR HRP20210061TT patent/HRP20210061T1/en unknown
- 2016-12-12 SI SI201631038T patent/SI3386954T1/en unknown
- 2016-12-12 EP EP16810346.3A patent/EP3386954B1/en active Active
- 2016-12-12 LT LTEP16810346.3T patent/LT3386954T/en unknown
- 2016-12-12 PL PL16810346T patent/PL3386954T3/en unknown
- 2016-12-12 AU AU2016368545A patent/AU2016368545C1/en active Active
- 2016-12-12 WO PCT/EP2016/080621 patent/WO2017098044A1/en not_active Ceased
-
2018
- 2018-04-30 ZA ZA2018/02846A patent/ZA201802846B/en unknown
- 2018-06-05 IL IL259836A patent/IL259836B/en unknown
-
2019
- 2019-07-25 US US16/522,076 patent/US10882849B2/en active Active
-
2020
- 2020-10-01 US US17/060,396 patent/US11401262B2/en active Active
Patent Citations (2)
| Publication number | Priority date | Publication date | Assignee | Title |
|---|---|---|---|---|
| DE19849465A1 (en) * | 1998-10-21 | 2000-04-27 | Schering Ag | New dimeric ion pairs containing cationic and anionic metal complexes; useful as low viscosity contrast agents for X-ray, magnetic resonance and radiodiagnostic techniques, and as radiotherapy agents |
| DE10117242C1 (en) * | 2001-04-06 | 2002-05-16 | Schering Ag | New dimeric tetraazacyclododecane derivatives and their metal complexes useful as components of diagnostic agents, especially X-ray contrast agents, and radiotherapeutics |
Cited By (19)
| Publication number | Priority date | Publication date | Assignee | Title |
|---|---|---|---|---|
| US10722601B2 (en) | 2015-06-04 | 2020-07-28 | Bayer Pharma Aktiengesellschaft | Gadolinium chelate compounds for use in magnetic resonance imaging |
| US12478696B2 (en) | 2015-06-04 | 2025-11-25 | Bayer Pharma Aktiengesellschaft | Gadolinium chelate compounds for use in magnetic resonance imaging |
| US11491245B2 (en) | 2015-06-04 | 2022-11-08 | Bayer Pharma Aktiengesellschaft | Gadolinium chelate compounds for use in magnetic resonance imaging |
| US11814369B2 (en) | 2016-11-28 | 2023-11-14 | Bayer Pharma Aktiengesellschaft | High relaxivity gadolinium chelate compounds for use in magnetic resonance imaging |
| US10975060B2 (en) | 2016-11-28 | 2021-04-13 | Bayer Pharma Aktiengesellschaft | High relaxivity gadolinium chelate compounds for use in magnetic resonance imaging |
| US10793533B2 (en) | 2016-12-12 | 2020-10-06 | Bracco Imaging S.P.A. | Dimeric contrast agents |
| WO2018108780A1 (en) * | 2016-12-12 | 2018-06-21 | Bracco Imaging Spa | Dimeric contrast agents |
| US12303573B2 (en) | 2018-11-23 | 2025-05-20 | Bayer Aktiengesellschaft | Formulation of contrast media and process of preparation thereof |
| US11944690B2 (en) | 2018-11-23 | 2024-04-02 | Bayer Aktiengesellschaft | Formulation of contrast media and process of preparation thereof |
| WO2021116165A1 (en) | 2019-12-13 | 2021-06-17 | Bracco Imaging Spa | Manufacturing of protected do3a |
| US12297180B2 (en) | 2019-12-13 | 2025-05-13 | Bracco Imaging S.P.A. | Manufacturing of protected DO3A |
| WO2022023240A1 (en) | 2020-07-27 | 2022-02-03 | Bracco Imaging Spa | Manufacturing of dimeric contrast agents |
| WO2023006722A1 (en) | 2021-07-27 | 2023-02-02 | Bracco Imaging Spa | Process for the manufacturing of a gadolinium complex solution |
| US12290576B2 (en) | 2021-07-27 | 2025-05-06 | Bracco Imaging S.P.A. | Manufacturing of dimeric contrast agents |
| WO2023006721A1 (en) | 2021-07-27 | 2023-02-02 | Bracco Imaging Spa | Manufacturing of dimeric contrast agents |
| WO2023110863A1 (en) | 2021-12-14 | 2023-06-22 | Bracco Imaging Spa | Process for manufacturing a mixture comprising a dimeric macrocycle intermediate of a gadolinium complex |
| WO2023110867A1 (en) | 2021-12-14 | 2023-06-22 | Bracco Imaging Spa | Manufacturing of dimeric contrast agent |
| US12384802B2 (en) | 2021-12-14 | 2025-08-12 | Bracco Imaging S.P.A. | Manufacturing of dimeric contrast agent |
| WO2024074648A1 (en) | 2022-10-07 | 2024-04-11 | Bracco Imaging Spa | Precipitation and isolation of gadolinium complex |
Also Published As
Similar Documents
| Publication | Publication Date | Title |
|---|---|---|
| US11401262B2 (en) | Dimeric contrast agents | |
| RU2743167C2 (en) | Contrast agents | |
| EP3442949B1 (en) | Contrast agents | |
| EP3551614B1 (en) | Dimeric contrast agents | |
| EP3386953B1 (en) | Contrast agents | |
| HK1257515A1 (en) | Dimeric contrast agents | |
| HK1257515B (en) | Dimeric contrast agents | |
| NZ741900B2 (en) | Dimeric contrast agents |
Legal Events
| Date | Code | Title | Description |
|---|---|---|---|
| 121 | Ep: the epo has been informed by wipo that ep was designated in this application |
Ref document number: 16810346 Country of ref document: EP Kind code of ref document: A1 |
|
| ENP | Entry into the national phase |
Ref document number: 3002897 Country of ref document: CA |
|
| ENP | Entry into the national phase |
Ref document number: 2016368545 Country of ref document: AU Date of ref document: 20161212 Kind code of ref document: A |
|
| WWE | Wipo information: entry into national phase |
Ref document number: 11201804412S Country of ref document: SG |
|
| REG | Reference to national code |
Ref country code: BR Ref legal event code: B01A Ref document number: 112018010815 Country of ref document: BR |
|
| WWE | Wipo information: entry into national phase |
Ref document number: 259836 Country of ref document: IL |
|
| WWE | Wipo information: entry into national phase |
Ref document number: MX/A/2018/007043 Country of ref document: MX Ref document number: 2018530018 Country of ref document: JP |
|
| NENP | Non-entry into the national phase |
Ref country code: DE |
|
| ENP | Entry into the national phase |
Ref document number: 20187016958 Country of ref document: KR Kind code of ref document: A |
|
| WWE | Wipo information: entry into national phase |
Ref document number: 2018123572 Country of ref document: RU |
|
| ENP | Entry into the national phase |
Ref document number: 112018010815 Country of ref document: BR Kind code of ref document: A2 Effective date: 20180528 |
















































