WO2017029366A1 - Triaryl amine thick layer doped with metal amides for use as hil for an organic light-emitting diode (oled) - Google Patents

Triaryl amine thick layer doped with metal amides for use as hil for an organic light-emitting diode (oled) Download PDF

Info

Publication number
WO2017029366A1
WO2017029366A1 PCT/EP2016/069631 EP2016069631W WO2017029366A1 WO 2017029366 A1 WO2017029366 A1 WO 2017029366A1 EP 2016069631 W EP2016069631 W EP 2016069631W WO 2017029366 A1 WO2017029366 A1 WO 2017029366A1
Authority
WO
WIPO (PCT)
Prior art keywords
formula
hole injection
injection layer
charge neutral
metal amide
Prior art date
Legal status (The legal status is an assumption and is not a legal conclusion. Google has not performed a legal analysis and makes no representation as to the accuracy of the status listed.)
Ceased
Application number
PCT/EP2016/069631
Other languages
French (fr)
Inventor
Markus Hummert
Thomas Rosenow
Current Assignee (The listed assignees may be inaccurate. Google has not performed a legal analysis and makes no representation or warranty as to the accuracy of the list.)
NovaLED GmbH
Original Assignee
NovaLED GmbH
Priority date (The priority date is an assumption and is not a legal conclusion. Google has not performed a legal analysis and makes no representation as to the accuracy of the date listed.)
Filing date
Publication date
Application filed by NovaLED GmbH filed Critical NovaLED GmbH
Priority to EP16760402.4A priority Critical patent/EP3338314B1/en
Priority to JP2018508185A priority patent/JP6807379B2/en
Priority to US15/752,695 priority patent/US10998518B2/en
Priority to KR1020187007104A priority patent/KR102658023B1/en
Priority to CN201680048156.4A priority patent/CN107925013B/en
Publication of WO2017029366A1 publication Critical patent/WO2017029366A1/en
Anticipated expiration legal-status Critical
Ceased legal-status Critical Current

Links

Classifications

    • HELECTRICITY
    • H10SEMICONDUCTOR DEVICES; ELECTRIC SOLID-STATE DEVICES NOT OTHERWISE PROVIDED FOR
    • H10KORGANIC ELECTRIC SOLID-STATE DEVICES
    • H10K50/00Organic light-emitting devices
    • H10K50/10OLEDs or polymer light-emitting diodes [PLED]
    • H10K50/17Carrier injection layers
    • HELECTRICITY
    • H10SEMICONDUCTOR DEVICES; ELECTRIC SOLID-STATE DEVICES NOT OTHERWISE PROVIDED FOR
    • H10KORGANIC ELECTRIC SOLID-STATE DEVICES
    • H10K50/00Organic light-emitting devices
    • H10K50/10OLEDs or polymer light-emitting diodes [PLED]
    • H10K50/14Carrier transporting layers
    • H10K50/15Hole transporting layers
    • H10K50/157Hole transporting layers between the light-emitting layer and the cathode
    • HELECTRICITY
    • H10SEMICONDUCTOR DEVICES; ELECTRIC SOLID-STATE DEVICES NOT OTHERWISE PROVIDED FOR
    • H10KORGANIC ELECTRIC SOLID-STATE DEVICES
    • H10K50/00Organic light-emitting devices
    • H10K50/10OLEDs or polymer light-emitting diodes [PLED]
    • H10K50/14Carrier transporting layers
    • H10K50/16Electron transporting layers
    • H10K50/167Electron transporting layers between the light-emitting layer and the anode
    • HELECTRICITY
    • H10SEMICONDUCTOR DEVICES; ELECTRIC SOLID-STATE DEVICES NOT OTHERWISE PROVIDED FOR
    • H10KORGANIC ELECTRIC SOLID-STATE DEVICES
    • H10K85/00Organic materials used in the body or electrodes of devices covered by this subclass
    • H10K85/30Coordination compounds
    • H10K85/371Metal complexes comprising a group IB metal element, e.g. comprising copper, gold or silver
    • HELECTRICITY
    • H10SEMICONDUCTOR DEVICES; ELECTRIC SOLID-STATE DEVICES NOT OTHERWISE PROVIDED FOR
    • H10KORGANIC ELECTRIC SOLID-STATE DEVICES
    • H10K85/00Organic materials used in the body or electrodes of devices covered by this subclass
    • H10K85/60Organic compounds having low molecular weight
    • HELECTRICITY
    • H10SEMICONDUCTOR DEVICES; ELECTRIC SOLID-STATE DEVICES NOT OTHERWISE PROVIDED FOR
    • H10KORGANIC ELECTRIC SOLID-STATE DEVICES
    • H10K85/00Organic materials used in the body or electrodes of devices covered by this subclass
    • H10K85/60Organic compounds having low molecular weight
    • H10K85/631Amine compounds having at least two aryl rest on at least one amine-nitrogen atom, e.g. triphenylamine
    • HELECTRICITY
    • H10SEMICONDUCTOR DEVICES; ELECTRIC SOLID-STATE DEVICES NOT OTHERWISE PROVIDED FOR
    • H10KORGANIC ELECTRIC SOLID-STATE DEVICES
    • H10K85/00Organic materials used in the body or electrodes of devices covered by this subclass
    • H10K85/60Organic compounds having low molecular weight
    • H10K85/631Amine compounds having at least two aryl rest on at least one amine-nitrogen atom, e.g. triphenylamine
    • H10K85/633Amine compounds having at least two aryl rest on at least one amine-nitrogen atom, e.g. triphenylamine comprising polycyclic condensed aromatic hydrocarbons as substituents on the nitrogen atom
    • HELECTRICITY
    • H10SEMICONDUCTOR DEVICES; ELECTRIC SOLID-STATE DEVICES NOT OTHERWISE PROVIDED FOR
    • H10KORGANIC ELECTRIC SOLID-STATE DEVICES
    • H10K85/00Organic materials used in the body or electrodes of devices covered by this subclass
    • H10K85/60Organic compounds having low molecular weight
    • H10K85/649Aromatic compounds comprising a hetero atom
    • H10K85/657Polycyclic condensed heteroaromatic hydrocarbons
    • H10K85/6572Polycyclic condensed heteroaromatic hydrocarbons comprising only nitrogen in the heteroaromatic polycondensed ring system, e.g. phenanthroline or carbazole
    • HELECTRICITY
    • H10SEMICONDUCTOR DEVICES; ELECTRIC SOLID-STATE DEVICES NOT OTHERWISE PROVIDED FOR
    • H10KORGANIC ELECTRIC SOLID-STATE DEVICES
    • H10K85/00Organic materials used in the body or electrodes of devices covered by this subclass
    • H10K85/30Coordination compounds
    • H10K85/311Phthalocyanine
    • HELECTRICITY
    • H10SEMICONDUCTOR DEVICES; ELECTRIC SOLID-STATE DEVICES NOT OTHERWISE PROVIDED FOR
    • H10KORGANIC ELECTRIC SOLID-STATE DEVICES
    • H10K85/00Organic materials used in the body or electrodes of devices covered by this subclass
    • H10K85/30Coordination compounds
    • H10K85/321Metal complexes comprising a group IIIA element, e.g. Tris (8-hydroxyquinoline) gallium [Gaq3]
    • HELECTRICITY
    • H10SEMICONDUCTOR DEVICES; ELECTRIC SOLID-STATE DEVICES NOT OTHERWISE PROVIDED FOR
    • H10KORGANIC ELECTRIC SOLID-STATE DEVICES
    • H10K85/00Organic materials used in the body or electrodes of devices covered by this subclass
    • H10K85/30Coordination compounds
    • H10K85/331Metal complexes comprising an iron-series metal, e.g. Fe, Co, Ni
    • HELECTRICITY
    • H10SEMICONDUCTOR DEVICES; ELECTRIC SOLID-STATE DEVICES NOT OTHERWISE PROVIDED FOR
    • H10KORGANIC ELECTRIC SOLID-STATE DEVICES
    • H10K85/00Organic materials used in the body or electrodes of devices covered by this subclass
    • H10K85/60Organic compounds having low molecular weight
    • H10K85/615Polycyclic condensed aromatic hydrocarbons, e.g. anthracene
    • H10K85/621Aromatic anhydride or imide compounds, e.g. perylene tetra-carboxylic dianhydride or perylene tetracarboxylic di-imide
    • HELECTRICITY
    • H10SEMICONDUCTOR DEVICES; ELECTRIC SOLID-STATE DEVICES NOT OTHERWISE PROVIDED FOR
    • H10KORGANIC ELECTRIC SOLID-STATE DEVICES
    • H10K85/00Organic materials used in the body or electrodes of devices covered by this subclass
    • H10K85/60Organic compounds having low molecular weight
    • H10K85/649Aromatic compounds comprising a hetero atom
    • H10K85/657Polycyclic condensed heteroaromatic hydrocarbons

Definitions

  • the present invention relates to a triaryl amine thick layer doped with a metal amide for use as hole injection layer (HIL) for an Organic light-emitting diode (OLED), and a method of manufacturing Organic light-emitting diode (OLED) comprising the triaryl amine thick layer HIL doped with a metal amide.
  • HIL hole injection layer
  • OLED Organic light-emitting diode
  • EM is the electrode material that may be a transparent conductive oxide (TCO) or metal, with at least one of the EM layer(s) of the cell being a TCO, HTM is the hole transport material, SOL is a semiconducting oxide layer, "dye” is a suitable dye, and the SOL layer is vapor deposited.
  • TCO transparent conductive oxide
  • HTM is the hole transport material
  • SOL is a semiconducting oxide layer
  • "dye” is a suitable dye
  • the SOL layer is vapor deposited.
  • US 2013/0330632 Al refers to electrochemical devices comprising complexes of cobalt comprising at least one ligand with a 5- or six membered, N-containing heteroring.
  • the complex are useful as p- and n-dopants, as over of electrochemical devices, in particular in organic semiconductors.
  • the complexes are further useful as over-discharge prevention and overvoltage protection agents.
  • OLEDs Organic light-emitting diodes
  • a typical OLED includes an anode, a hole injection layer (HIL), a hole transport layer (HTL), an emission layer (EML), an electron transport layer (ETL), and a cathode, which are sequentially stacked on a substrate.
  • HIL hole injection layer
  • HTL hole transport layer
  • EML emission layer
  • ETL electron transport layer
  • cathode cathode
  • Dipyrazino[2,3 :2',3'-/z]quinoxaline-2,3,6,7,10,l 1-hexacarbonitrile (CNHAT (CAS 105598-27-4)) having the Formula A, which is typically used as hole injection layer has several drawbacks.
  • the voltage of the OLED is too high. Further, effective hole injection even into very deep HOMO HTLs, that means the HOMO is further away from vacuum level, is not sufficiently achieved.
  • Efficient hole injection into very deep HOMO levels enables the use of high efficiency emission layers, in particular phosphorescent blue and green emitters and emission which relies on TADF (thermally activated delayed fluorescence).
  • TADF thermalally activated delayed fluorescence
  • aspects of the present invention provide a method of reducing the drive voltage and improving the voltage stability over time, especially for blue emitting OLEDs , and/or the external quantum efficiency EQE, for top and/or bottom emission organic light-emitting diodes (OLED).
  • the invention relates to a hole injection layer (HIL) for use for an Organic light-emitting diode (OLED).
  • HIL hole injection layer
  • the invention relates further to an organic light-emitting diode (OLED) comprising an anode, a hole injection layer (HIL), a hole transport layer (HTL), an emission layer (EML), optional a hole blocking layer (HBL), optional an electron transport layer (ETL), optional an electron injection layer (EIL), and a cathode as well as a method of manufacturing the same.
  • OLED organic light-emitting diode
  • a hole injection layer (HIL) for an OLED comprising a triarylamine compound doped with a charge neutral metal amide compound, wherein the hole injection layer has a thickness of at least about > 20 nm to about ⁇ 1000 nm and the charge neutral metal amide com ound has the Formula la:
  • G halide O, alkoxylate or amine of Formula Ila to He:
  • n 0, 1 , 2, 3 or 4;
  • M a metal selected from the group comprising alkali metal, alkaline earth metal,
  • L charge neutral ligand which coordinates to the metal M, selected from the
  • R 6 and R 7 are independently selected from Ci to C 2 o alkyl, Ci to C 2 o heteroalkyl, C 6 to C 2 o aryl, heteroaryl with 5 to 20 ring-forming atoms, halogenated or perhalogenated Ci to C 2 o alkyl, halogenated or perhalogenated Ci to C 2 o heteroalkyl, halogenated or perhalogenated C 6 to C 2 o aryl, halogenated or perhalogenated heteroaryl with 5 to 20 ring-forming atoms, or at least one R 6 and R 7 are bridged and form a 5 to 20 member ring, or the two R 6 and/or the two R 7 are bridged and form a 5 to 40 member ring or form a 5 to 40 member ring comprising an unsubstituted or Ci to C 12 substituted phenanthroline;
  • a 1 , A 2 , A 3 and A 4 are independently selected from CO, S0 2 or POR ;
  • R electron withdrawing group selected from the group comprising halide, nitrile, halogenated or perhalogenated Ci to C 2 o alkyl, halogenated or perhalogenated C 6 to C 2 o aryl, or halogenated or perhalogenated heteroaryl with 5 to 20 ring- forming atoms;
  • n 1 , 2, 3, 4 or 5;
  • B 1 , B 2 , B 3 and B 4 are same or independently selected from substituted or unsubstituted Ci to C 2 o alkyl, substituted or unsubstituted Ci to C 2 o heteroalkyl, substituted or unsubstituted C 6 to C 2 o aryl, substituted or unsubstituted C 5 to C 2 o
  • a 1 , B1 , B2 and A 2 form a 5 to 10 member ring according to Formula Ic,
  • a 1 , B1 , B2 and A 2 form a first 5 to 10 member ring and B 1 and B2 form a second 5 to 20 member ring according to Formula Id:
  • HIL hole injection layer
  • a hole injection layer for an OLED, wherein the hole injection layer comprises one charge neutral metal amide compound.
  • a hole injection layer for an OLED, wherein the hole injection layer comprises one triarylamine compound and one charge neutral metal amide compound.
  • HIL hole injection layer
  • dichloromethane vs. Fc/Fc + preferably more negative than -5.05 eV and more positive than - 5.9 eV.
  • the HOMO of spiro-MeO-TAD (CAS 207739-72-8) is -4.71 eV.
  • a hole injection layer (HIL) for an OLED comprising a triarylamine compound with an oxidation potential more positive than - 0.2 V and more negative than 1.22 V, when measured by cyclic voltammetry in dichloromethane vs. Fc/Fc + , preferably more positive than - 0.18 V and more negative than 1.12 V.
  • HIL hole injection layer
  • a hole injection layer (HIL) for an OLED comprising a triarylamine compound doped with a charge neutral metal amide compound, wherein the hole injection layer has a thickness of at least about > 20 nm to about ⁇ 1000 nm and the char e neutral metal amide compound has the Formula la:
  • G halide, O, alkoxylate or amine of Formula Ila to He:
  • R 1 to R 5 are independently selected from the group comprising H, Ci to C 2 o alkyl, Ci to
  • C 2 o heteroalkyl unsubstituted or Ci to C 12 substituted C 6 to C 20 aryl, unsubstituted or Ci to C 12 substituted heteroaryl with 5 to 20 ring- forming atoms, halogenated or perhalogenated Ci to C 20 alkyl, halogenated or perhalogenated Ci to C 20 heteroalkyl, halogenated or perhalogenated C 6 to C 20 aryl, halogenated or perhalogenated heteroaryl with 5 to 20 ring- forming atoms; or
  • At least one R 1 and R 4 and/or R 2 and R 3 and/or R 1 and R 5 are bridged and form a 5 to 20 member ring;
  • n 0, 1 , 2, 3 or 4; a metal selected from the group comprising alkali metal, alkaline earth metal, Al, Ga, In, transition metal or rare earth metal;
  • charge neutral ligand which coordinates to the metal M, selected from the group comprising H 2 0, C 2 to C40 mono- or multi-dentate ethers and C 2 to C40 thioethers, C 2 to C40 amines, C 2 to C40 phosphine, C 2 to C 20 alkyl nitrile or C 2 to C40 aryl nitrile, or a compound according to Formula (III);
  • R 6 and R 7 are independently selected from Ci to C 20 alkyl, Ci to C 20 heteroalkyl, C 6 to C 20 aryl, heteroaryl with 5 to 20 ring-forming atoms, halogenated or perhalogenated Ci to C 20 alkyl, halogenated or perhalogenated Ci to C 2 o heteroalkyl, halogenated or perhalogenated C 6 to C 20 aryl, halogenated or perhalogenated heteroaryl with 5 to 20 ring-forming atoms, or at least one R 6 and R 7 are bridged and form a 5 to 20 member ring, or the two R 6 and/or the two R 7 are bridged and form a 5 to 40 member ring or form a 5 to 40 member ring comprising an unsubstituted or Ci to C 12 substituted phenanthroline;
  • a 1 , A 2 , A 3 and A 4 are independently selected from CO, S0 2 or POR ;
  • R electron withdrawing group selected from the group comprising halide, nitrile, halogenated or perhalogenated Ci to C 20 alkyl, halogenated or perhalogenated C 6 to C 2 o aryl, or halogenated or perhalogenated heteroaryl with 5 to 20 ring- forming atoms;
  • n 1, 2, 3, 4 or 5;
  • B 3 and B 4 are same or independently selected from substituted or unsubstituted Ci to C 20 alkyl, substituted or unsubstituted Ci to C 20 heteroalkyl, substituted or unsubstituted C 6 to C 20 aryl, substituted or unsubstituted C 5 to C 20 heteroaryl;
  • B and B" are bridged, wherein: - M, N, A 1 , B1 , B2 , A 2 and N form a 7 to 10 member ring according to Formula lb;
  • a 1 , B1 , B2 and A 2 form a 5 to 10 member ring according to Formula Ic,
  • a 1 , B1 , B2 and A 2 form a first 5 to 10 member ring and B 1 and B2 form a second 5 to 20 member ring according to Formula Id:
  • a hole injection layer comprising a triarylamine compound doped with a charge neutral metal amide compound, wherein the hole injection layer has a thickness of at least about > 20 nm to about
  • Ar and Ar independently selected from substituted or unsubstituted C 6 to C 2 o arylene;
  • Ar 3 and Ar 4 independently selected from substituted or unsubstituted C 6 to C 20 aryl;
  • Ar 5 and Ar 6 independently selected from substituted or unsubstituted C 6 to C 20 aryl or C 5 to C 4 o heteroaryl;
  • R 9 a single chemical bond, a unsubstituted or substituted Ci to C 6 alkyl and unsubstituted or substituted Ci to C 5 heteroalkyl;
  • the substituents for Ar 1 to Ar 6 are independently selected from Ci to C 2 o alkyl, Ci to C 2 o heteroalkyl, or halide;
  • the substitutents for R 9 are independently selected from Ci to C 6 alkyl, Ci to C 5 heteroalkyl, C 6 to C 20 aryl and C 5 to C 20 heteroaryl;
  • G halide O, alkoxylate or amine of Formula Ila to He:
  • R 1 to R 5 are independently selected from the group comprising H, Ci to C 20 alkyl, Ci to
  • C 2 o heteroalkyl unsubstituted or Ci to C 12 substituted C 6 to C 20 aryl, unsubstituted or Ci to C 12 substituted heteroaryl with 5 to 20 ring- forming atoms, halogenated or perhalogenated Ci to C 20 alkyl, halogenated or perhalogenated Ci to C 20 heteroalkyl, halogenated or perhalogenated C 6 to C 20 aryl, halogenated or perhalogenated heteroaryl with 5 to 20 ring- forming atoms; or
  • At least one R 1 and R 4 and/or R 2 and R 3 and/or R 1 and R 5 are bridged and form a 5 to 20 member ring;
  • n 0, 1, 2, 3 or 4; a metal selected from the group comprising alkali metal, alkaline earth metal, Al, Ga, In, transition metal or rare earth metal;
  • N and the metal M are covalent bonds or N forms a non-covalent interaction to the metal M;
  • charge neutral ligand which coordinates to the metal M, selected from the group comprising H 2 0, C 2 to C40 mono- or multi-dentate ethers and C 2 to C40 thioethers, C 2 to C40 amines, C 2 to C40 phosphine, C 2 to C 20 alkyl nitrile or C 2 to C40 aryl nitrile, or a compound according to Formula (III);
  • R 6 and R 7 are independently selected from Ci to C 20 alkyl, Ci to C 20 heteroalkyl, C 6 to C 20 aryl, heteroaryl with 5 to 20 ring-forming atoms, halogenated or perhalogenated Ci to C 20 alkyl, halogenated or perhalogenated Ci to C 2 o heteroalkyl, halogenated or perhalogenated C 6 to C 20 aryl, halogenated or perhalogenated heteroaryl with 5 to 20 ring-forming atoms, or at least one R 6 and R 7 are bridged and form a 5 to 20 member ring, or the two R 6 and/or the two R 7 are bridged and form a 5 to 40 member ring or form a 5 to 40 member ring comprising an unsubstituted or Ci to C 12 substituted phenanthroline;
  • a 1 , A 2 , A 3 and A 4 are independently selected from CO, S0 2 or POR ;
  • R electron withdrawing group selected from the group comprising halide, nitrile, halogenated or perhalogenated Ci to C 20 alkyl, halogenated or perhalogenated C 6 to C 2 o aryl, or halogenated or perhalogenated heteroaryl with 5 to 20 ring- forming atoms;
  • n 1, 2, 3, 4 or 5;
  • B 1 , B 2 , B 3 and B 4 are same or independently selected from substituted or unsubstituted Ci to C 2 o alkyl, substituted or unsubstituted Ci to C 20 heteroalkyl, substituted or unsubstituted C 6 to C 20 aryl, substituted or unsubstituted C 5 to C 20 heteroaryl, or B 1 and B 2 are bridged;
  • a 1 , B1 , B2 and A 2 form a 5 to 10 member ring according to Formula Ic,
  • a 1 , B1 , B2 and A 2 form a first 5 to 10 member ring and B 1 and B2 form a second 5 to 20 member ring accordin to Formula Id:
  • a hole injection layer comprising a triarylamine compound doped with a charge neutral metal amide compound, wherein the hole injection layer has a thickness of at least about > 20 nm to about ⁇ 1000 nm;
  • Ar and Ar independently selected from substituted or unsubstituted C 6 to C 2 o arylene;
  • Ar 3 and Ar 4 independently selected from substituted or unsubstituted C 6 to C 20 aryl;
  • Ar 5 and Ar 6 independently selected from substituted or unsubstituted C 6 to C 20 aryl or C 5 to C 4 o heteroaryl;
  • R 9 a single chemical bond, a unsubstituted or substituted Ci to C 6 alkyl and unsubstituted or substituted Ci to C 5 heteroalkyl;
  • the substituents for Ar 1 to Ar 6 are independently selected from Ci to C 2 o alkyl, Ci to C 2 o heteroalkyl, or halide;
  • the substitutents for R 9 are independently selected from Ci to C 6 alkyl, Ci to C 5 heteroalkyl, C 6 to C 20 aryl and C 5 to C 20 heteroaryl;
  • G halide O, alkoxylate or amine of Formula Ila to He:
  • R 1 to R 5 are independently selected from the group comprising H, Ci to C 20 alkyl, Ci to
  • C 2 o heteroalkyl unsubstituted or Ci to C 12 substituted C 6 to C 20 aryl, unsubstituted or Ci to C 12 substituted heteroaryl with 5 to 20 ring- forming atoms, halogenated or perhalogenated Ci to C 20 alkyl, halogenated or perhalogenated Ci to C 20 heteroalkyl, halogenated or perhalogenated C 6 to C 20 aryl, halogenated or perhalogenated heteroaryl with 5 to 20 ring- forming atoms; or
  • At least one R 1 and R 4 and/or R 2 and R 3 and/or R 1 and R 5 are bridged and form a 5 to 20 member ring;
  • n 0, 1, 2, 3 or 4; a metal selected from the group comprising alkali metal, alkaline earth metal, Al, Ga, In, transition metal or rare earth metal;
  • N and the metal M are covalent bonds or N forms a non-covalent interaction to the metal M;
  • charge neutral ligand which coordinates to the metal M, selected from the group comprising H 2 0, C 2 to C40 mono- or multi-dentate ethers and C 2 to C40 thioethers, C 2 to C40 amines, C 2 to C40 phosphine, C 2 to C 20 alkyl nitrile or C 2 to C40 aryl nitrile, or a compound according to Formula (III);
  • R 6 and R 7 are independently selected from Ci to C 20 alkyl, Ci to C 20 heteroalkyl, C 6 to C 20 aryl, heteroaryl with 5 to 20 ring-forming atoms, halogenated or perhalogenated Ci to C 20 alkyl, halogenated or perhalogenated Ci to C 2 o heteroalkyl, halogenated or perhalogenated C 6 to C 20 aryl, halogenated or perhalogenated heteroaryl with 5 to 20 ring-forming atoms, or at least one R 6 and R 7 are bridged and form a 5 to 20 member ring, or the two R 6 and/or the two R 7 are bridged and form a 5 to 40 member ring or form a 5 to 40 member ring comprising an unsubstituted or Ci to C 12 substituted phenanthroline;
  • a 1 , A 2 , A 3 and A 4 are independently selected from CO, S0 2 or POR ;
  • R electron withdrawing group selected from the group comprising halide, nitrile, halogenated or perhalogenated Ci to C 20 alkyl, halogenated or perhalogenated C 6 to C 2 o aryl, or halogenated or perhalogenated heteroaryl with 5 to 20 ring- forming atoms;
  • n 1, 2, 3, 4 or 5;
  • B 1 , B 2 , B 3 and B 4 are same or independently selected from substituted or unsubstituted Ci to C 2 o alkyl, substituted or unsubstituted Ci to C 20 heteroalkyl, substituted or unsubstituted C 6 to C 20 aryl, substituted or unsubstituted C 5 to C 20 heteroaryl, or B 1 and B 2 are bridged;
  • a 1 , B1 , B2 and A 2 form a 5 to 10 member ring according to Formula Ic,
  • a 1 , B1 , B2 and A 2 form a first 5 to 10 member ring and B 1 and B2 form a second 5 to 20 member ring accordin to Formula Id:
  • the wt.-% of the triarylamine compound according to Formula Vila is higher than the wt.-% of the charge neutral metal amide compound according to Formula la; wherein the weight-% of the components are based on the total weight of the hole injection layer.
  • HIL thick hole injection layer
  • triarylamine compound doped with a metal amide improves performance of OLEDs compared to a thick hole injection layer (HIL) of CNHAT (Dipyrazino[2,3- 2',3'-/z]quinoxaline- 2,3,6,7,10,11-hexacarbonitrile (CAS 105598-27-4)).
  • CNHAT is a standard hole injection layer.
  • a hole injection layer (HIL) of a triarylamine compound doped with a metal amide of at least 20 nm are required to achieve good voltage stability.
  • the thickness of the triarylamine hole injection layer (HIL) doped with an metal amide can be selected very thick, for example up to 450 nm, without a dramatic increase in voltage.
  • the thick hole injection layer (HIL) of a triarylamine compound doped with a metal amide according to the invention may be beneficially used for large area lighting panels, where the ITO is not sufficiently conductive, for example a copper grid.
  • the thick hole injection layer material according to the invention may provide an effective smoothing layer and thereby provides a pinhole-free basis for deposition of subsequent layers. Thereby, defect-free OLEDs can be obtained even if the substrate is non-uniform.
  • the invention may provide an uniform hole injection layer on top of an anode layer which comprises metal oxides, for example indium-tin oxide (ITO), or a metal grid.
  • metal oxides for example indium-tin oxide (ITO), or a metal grid.
  • the thick hole injection layer (HIL) of a triarylamine compound doped with a metal amide inserted between the anode and the hole transport layer effectively promotes hole injection into the hole transport layer.
  • HIL thick hole injection layer
  • the performance of metal amides is superior to CNHAT, in particular the voltage.
  • effective hole injection even into very deep HOMO HTLs can be achieved. This cannot be achieved with prior art materials, such as CNHAT, which is typically used as a HIL material.
  • Efficient hole injection into very deep HOMO levels enables the use of high efficiency emission layers, in particular phosphorescent blue and green emitters and emission which relies on TADF (thermally activated delayed fluorescence).
  • a very deep HOMO in the sense of the present invention is a HOMO which is more negative than -5 eV, preferably more negative than -5.2 eV when measured by cyclic voltammetry in dichloromethane vs. Fc/Fc + .
  • a hole injection layer comprising a triarylamine compound doped with a charge neutral metal amide compound, wherein the hole injection layer has a thickness of at least about > 20 nm to about ⁇ 1000 nm;
  • Ar and Ar independently selected from substituted or unsubstituted C 6 to C 2 o arylene;
  • Ar 3 and Ar 4 independently selected from substituted or unsubstituted C 6 to C 2 o aryl;
  • Ar 5 and Ar 6 independently selected from substituted or unsubstituted C 6 to C 20 aryl or C 5 to C40 heteroaryl;
  • the substituents for Ar 1 to Ar 6 are independently selected from Ci to C 20 alkyl or halide;
  • R 9 the substitutents for R 9 are independently selected from Ci to C 6 alkyl, C 6 to C 20 aryl and C 5 to C 20 heteroaryl;
  • G halide O, alkoxylate or amine of Formula Ila to He:
  • R 1 to R 5 are independently selected from the group comprising H, Ci to C 20 alkyl, Ci to
  • C 2 o heteroalkyl unsubstituted or Ci to C 12 substituted C 6 to C 20 aryl, unsubstituted or Ci to C 12 substituted heteroaryl with 5 to 20 ring- forming atoms, halogenated or perhalogenated Ci to C 20 alkyl, halogenated or perhalogenated Ci to C 20 heteroalkyl, halogenated or perhalogenated C 6 to C 20 aryl, halogenated or perhalogenated heteroaryl with 5 to 20 ring- forming atoms; or
  • M a metal selected from the group comprising alkali metal, alkaline earth metal,
  • N and the metal M are covalent bonds or N forms a non-covalent interaction to the metal M;
  • L charge neutral ligand which coordinates to the metal M, selected from the
  • R 6 and R 7 are independently selected from Ci to C 2 o alkyl, Ci to C 2 o heteroalkyl, C 6 to C 2 o aryl, heteroaryl with 5 to 20 ring-forming atoms, halogenated or perhalogenated Ci to C 2 o alkyl, halogenated or perhalogenated Ci to C 2 o heteroalkyl, halogenated or perhalogenated C 6 to C 2 o aryl, halogenated or perhalogenated heteroaryl with 5 to 20 ring-forming atoms, or at least one R 6 and R 7 are bridged and form a 5 to 20 member ring, or the two R 6 and/or the two R 7 are bridged and form a 5 to 40 member ring or form a 5 to 40 member ring comprising an unsubstituted or Ci to C 12 substituted phenanthroline;
  • a 1 , A 2 , A 3 and A 4 are independently selected from CO, S0 2 or POR ;
  • R electron withdrawing group selected from the group comprising halide, nitrile, halogenated or perhalogenated Ci to C 2 o alkyl, halogenated or perhalogenated C 6 to C 2 o aryl, or halogenated or perhalogenated heteroaryl with 5 to 20 ring- forming atoms;
  • n 1 , 2, 3, 4 or 5;
  • B 1 , B 2 , B 3 and B 4 are same or independently selected from substituted or unsubstituted Ci to C 2 o alkyl, substituted or unsubstituted Ci to C 2 o heteroalkyl, substituted or unsubstituted C 6 to C 2 o aryl, substituted or unsubstituted C 5 to C 2 o
  • a 1 , B1 , B2 and A 2 form a 5 to 10 member ring according to Formula Ic,
  • a 1 , B1 , B2 and A 2 form a first 5 to 10 member ring and B 1 and B2 form a second 5 to 20 member ring accordin to Formula Id:
  • the organic light-emitting diode can be a bottom emission OLED or a top emission OLED.
  • N and the metal M can be a covalent bond or N forms a non-covalent interaction to the metal M.
  • this kind of compounds may form a covalent bond between N and M or N forms a non-covalent interaction to the metal M, as can be seen from the example below:
  • Non-covalent interaction differs from a covalent bond in that it does not involve the sharing of electrons, but rather involves more dispersed variations of electromagnetic interactions between molecules or within a molecule.
  • Non-covalent interactions can be generally classified into four categories, electrostatic, ⁇ -effects, van der Waals forces, and hydrophobic effects.
  • the voltage also named U, is measured in Volt (V) at 10 milliAmpere per square centimeter (mA/cm 2 ) in bottom emission devices and at 15 niA/cm 2 in top emission devices.
  • the voltage stability over time U(50 h)-U(0 h) is measured in Volt (V) at 15 mA/cm 2 .
  • V Volt
  • U(50 h) the voltage at the start of the stability test
  • the external quantum efficiency also named EQE, is measured in percent (%).
  • the color space is described by coordinates CIE-x and CIE-y (International Commission on Illumination 1931).
  • CIE-x International Commission on Illumination 1931
  • CIE-y International Commission on Illumination 1931
  • a smaller CIE-y denotes a deeper blue color.
  • the highest occupied molecular orbital, also named HOMO, and lowest unoccupied molecular orbital, also named LUMO, are measured in electron volt (eV).
  • OLED organic light-emitting diode
  • transition metal means and includes any element in the d-block of the periodic table, which includes groups 3 to 12 elements on the periodic table.
  • alkyl refers to straight-chain or branched alkyl groups.
  • 1 to 20 carbon atoms refers to straight-chain or branched alkyl groups having 1 to 20 carbon atoms.
  • the alkyl groups can be selected from the group comprising methyl, ethyl and the isomers of propyl, butyl or pentyl, such as isopropyl, isobutyl, tert.-butyl, sec. -butyl and/or isopentyl.
  • aryl refers to aromatic groups for example phenyl or naphthyl.
  • first element when a first element is referred to as being formed or disposed "on" a second element, the first element can be disposed directly on the second element or one or more other elements may be disposed there between.
  • first element when referred to as being formed or disposed "directly on” a second element, no other elements are disposed there between.
  • a hole injection layer comprising a triarylamine compound doped with a charge neutral metal amide compound, wherein the hole injection layer has a thickness of at least about > 20 nm to about ⁇ 1000 nm:
  • Ar and Ar independently selected from substituted or unsubstituted C 6 to C 2 o arylene;
  • Ar 3 and Ar 4 independently selected from substituted or unsubstituted C 6 to C 20 aryl;
  • Ar 5 and Ar 6 independently selected from substituted or unsubstituted C 6 to C 20 aryl or C 5 to C 4 o heteroaryl;
  • R 9 a single chemical bond, a unsubstituted or substituted Ci to C 6 alkyl and unsubstituted or substituted Ci to C 5 heteroalkyl;
  • the substituents for Ar 1 to Ar 6 are independently selected from Ci to C 20 alkyl, Ci to C 2 o heteroalkyl, or halide;
  • the substitutents for R 9 are independently selected from Ci to C 6 alkyl, Ci to C 5 heteroalkyl, C 6 to C 20 aryl and C 5 to C 20 heteroaryl;
  • G halide O, alkoxylate or amine of Formula Ila to He:
  • At least one R 1 and R 4 and/or R 2 and R 3 and/or R 1 and R 5 are bridged and form a 5 to 20 member ring;
  • a metal selected from the group comprising alkali metal, alkaline earth metal, Al, Ga, In, transition metal or rare earth metal;
  • N and the metal M are covalent bonds or N forms a non-covalent interaction to the metal M;
  • charge neutral ligand which coordinates to the metal M, selected from the group comprising H 2 0, C 2 to C 4 o mono- or multi-dentate ethers and C 2 to C 40 thioethers, C 2 to C 40 amines, C 2 to C 40 phosphine, C 2 to C 20 alkyl nitrile or C 2 to C 4 o aryl nitrile, or a compound according to Formula (III);
  • R 6 and R 7 are independently selected from Ci to C 20 alkyl, Ci to C 20 heteroalkyl, C 6 to C 20 aryl, heteroaryl with 5 to 20 ring-forming atoms, halogenated or perhalogenated Ci to C 20 alkyl, halogenated or perhalogenated Ci to C 2 o heteroalkyl, halogenated or perhalogenated C 6 to C 20 aryl, halogenated or perhalogenated heteroaryl with 5 to 20 ring-forming atoms, or at least one R 6 and R 7 are bridged and form a 5 to 20 member ring, or the two R 6 and/or the two R 7 are bridged and form a 5 to 40 member ring or form a 5 to 40 member ring comprising an unsubstituted or Ci to C 12 substituted phenanthroline;
  • a 1 , A 2 , A 3 and A 4 are independently selected from CO, S0 2 or POR ;
  • R electron withdrawing group selected from the group comprising halide, nitrile, halogenated or perhalogenated Ci to C 20 alkyl, halogenated or perhalogenated C 6 to C 2 o aryl, or halogenated or perhalogenated heteroaryl with 5 to 20 ring- forming atoms;
  • n 1, 2, 3, 4 or 5;
  • B 1 , B 2 , B 3 and B 4 are same or independently selected from substituted or unsubstituted Ci to C20 alkyl, substituted or unsubstituted Ci to C 2 o heteroalkyl, substituted or unsubstituted C 6 to C 2 o aryl, substituted or unsubstituted C 5 to C 2 o heteroaryl.
  • a hole injection layer for an OLED comprising a charge neutral metal amide compound, wherein the charge neutral metal amide compound has the Formula lb, Ic or Id:
  • B 3 and B 4 are same or independently selected from substituted or unsubstituted Ci to C 2 o alkyl, substituted or unsubstituted Ci to C 2 o heteroalkyl, substituted or unsubstituted C 6 to C 2 o aryl, substituted or unsubstituted C 5 to C 2 o heteroaryl;
  • a 1 , B1 , B2 and A 2 form a 5 to 10 member ring according to Formula Ic,
  • a 1 , B1 , B2 and A 2 form a first 5 to 10 member ring and B 1 and B2 form a second 5 to 20 member ring according to Formula Id:
  • G halide, O, alkoxylate or amine of Formula Ila to He:
  • (Ila) (lib) (lie) (lid) (He); are independently selected from the group comprising H, Ci to C 2 o alkyl, Ci to C 2 o heteroalkyl, unsubstituted or Ci to C 12 substituted C 6 to C 20 aryl, unsubstituted or Ci to C 12 substituted heteroaryl with 5 to 20 ring- forming atoms, halogenated or perhalogenated Ci to C 20 alkyl, halogenated or perhalogenated Ci to C 20 heteroalkyl, halogenated or perhalogenated C 6 to C 20 aryl, halogenated or perhalogenated heteroaryl with 5 to 20 ring- forming atoms; or
  • At least one R 1 and R 4 and/or R 2 and R 3 and/or R 1 and R 5 are bridged and form a 5 to 20 member ring;
  • M a metal selected from the group comprising alkali metal, alkaline earth metal,
  • N and the metal M are covalent bonds or N forms a non-covalent interaction to the metal M;
  • charge neutral ligand which coordinates to the metal M, selected from the group comprising H 2 0, C 2 to C 4 o mono- or multi-dentate ethers and C 2 to C 40 thioethers, C 2 to C 40 amines, C 2 to C 40 phosphine, C 2 to C 20 alkyl nitrile or C 2 to C 4 o aryl nitrile, or a compound according to Formula (III);
  • heteroalkyl C 6 to C 20 aryl, heteroaryl with 5 to 20 ring-forming atoms, halogenated or perhalogenated Ci to C 20 alkyl, halogenated or perhalogenated Ci to C 2 o heteroalkyl, halogenated or perhalogenated C 6 to C 20 aryl, halogenated or perhalogenated heteroaryl with 5 to 20 ring-forming atoms, or at least one R 6 and R 7 are bridged and form a 5 to 20 member ring, or the two R 6 and/or the two R 7 are bridged and form a 5 to 40 member ring or form a 5 to 40 member ring comprising an unsubstituted or Ci to C 12 substituted phenanthroline;
  • a 1 , A 2 , A 3 and A 4 are independently selected from CO, S0 2 or POR ;
  • R electron withdrawing group selected from the group comprising halide, nitrile, halogenated or perhalogenated Ci to C 20 alkyl, halogenated or perhalogenated C 6 to C 2 o aryl, or halogenated or perhalogenated heteroaryl with 5 to 20 ring- forming atoms;
  • n 1, 2, 3, 4 or 5;
  • hole injection layer comprises:
  • HIL hole injection layer
  • the hole injection layer has a thickness of at least about > 20 nm to about ⁇ 1000 nm:
  • Ar 1 and Ar 2 independently selected from substituted or unsubstituted C 6 to C 20 arylene;
  • Ar 3 and Ar 4 independently selected from substituted or unsubstituted C 6 to C 20 aryl;
  • Ar 5 and Ar 6 independently selected from substituted or unsubstituted C 6 to C 20 aryl or C 5 to C 4 o heteroaryl;
  • R 9 a single chemical bond, a unsubstituted or substituted Ci to C 6 alkyl and unsubstituted or substituted Ci to C 5 heteroalkyl;
  • the substituents for Ar 1 to Ar 6 are independently selected from Ci to C 2 o alkyl, Ci to C 2 o heteroalkyl, or halide;
  • the substitutents for R 9 are independently selected from Ci to C 6 alkyl, Ci to C 5 heteroalkyl, C 6 to C 20 aryl and C 5 to C 20 heteroaryl;
  • M, N, A , B , B , A and N form a 7 to 10 member ring according to Formula lb;
  • G halide, O, alkoxylate or amine of Formula Ila to He:
  • R 1 to R 5 are independently selected from the group comprising H, Ci to C 2 o alkyl, Ci to C 2 o heteroalkyl, unsubstituted or Ci to C 12 substituted C 6 to C 20 aryl, unsubstituted or Ci to C 12 substituted heteroaryl with 5 to 20 ring- forming atoms, halogenated or perhalogenated Ci to C 20 alkyl, halogenated or perhalogenated Ci to C 20 heteroalkyl, halogenated or perhalogenated C 6 to C 20 aryl, halogenated or perhalogenated heteroaryl with 5 to 20 ring- forming atoms; or
  • At least one R 1 and R 4 and/or R 2 and R 3 and/or R 1 and R 5 are bridged and form a 5 to 20 member ring;
  • n 0, 1, 2, 3 or 4;
  • M a metal selected from the group comprising alkali metal, alkaline earth metal,
  • N and the metal M are covalent bonds or N forms a non-covalent interaction to the metal M;
  • L charge neutral ligand which coordinates to the metal M, selected from the group comprising H 2 0, C 2 to C 4 o mono- or multi-dentate ethers and C 2 to C 40 thioethers, C 2 to C 40 amines, C 2 to C 40 phosphine, C 2 to C 20 alkyl nitrile or C 2 to C 4 o aryl nitrile, or a compound according to Formula (III);
  • R 6 and R 7 are independently selected from Ci to C 20 alkyl, Ci to C 20 heteroalkyl, C 6 to C 20 aryl, heteroaryl with 5 to 20 ring-forming atoms, halogenated or perhalogenated Ci to C 20 alkyl, halogenated or perhalogenated Ci to C 2 o heteroalkyl, halogenated or perhalogenated C 6 to C 20 aryl, halogenated or perhalogenated heteroaryl with 5 to 20 ring-forming atoms, or at least one R 6 and R 7 are bridged and form a 5 to 20 member ring, or the two R 6 and/or the two R 7 are bridged and form a 5 to 40 member ring or form a 5 to 40 member ring comprising an unsubstituted or Ci to C 12 substituted phenanthroline;
  • a and A are independently selected from CO, S0 2 or POR ;
  • R electron withdrawing group selected from the group comprising halide, nitrile, halogenated or perhalogenated Ci to C20 alkyl, halogenated or perhalogenated C 6 to C20 aryl, or halogenated or perhalogenated heteroaryl with 5 to 20 ring- forming atoms;
  • n 1 , 2, 3, 4 or 5.
  • HIL hole injection layer
  • the hole injection layer has a thickness of at least about > 20 nm to about ⁇ 1000 nm:
  • Ar and Ar independently selected from substituted or unsubstituted C 6 to C20 arylene;
  • Ar 3 and Ar 4 independently selected from substituted or unsubstituted C 6 to C 2 o aryl;
  • Ar 5 and Ar 6 independently selected from substituted or unsubstituted C 6 to C 2 o aryl or C 5 to C40 heteroaryl;
  • the substituents for Ar 1 to Ar 6 are independently selected from Ci to C 2 o alkyl, Ci to C 2 o heteroalkyl, or halide;
  • the substitutents for R 9 are independently selected from Ci to C 6 alkyl, Ci to C 5 heteroalkyl, C 6 to C 2 o aryl and C 5 to C 2 o heteroaryl;
  • N, A , B , B and A form a 5 to 10 member ring according to Formula Ic, wherein:
  • G halide O, alkoxylate or amine of Formula Ila to He:
  • (lib) (lie) (lid) are independently selected from the group comprising H, Ci to C 2 o alkyl, Ci to C 2 o heteroalkyl, unsubstituted or Ci to C 12 substituted C 6 to C 2 o aryl, unsubstituted or Ci to C 12 substituted heteroaryl with 5 to 20 ring- forming atoms, halogenated or perhalogenated Ci to C 2 o alkyl, halogenated or perhalogenated Ci to C 2 o heteroalkyl, halogenated or perhalogenated C 6 to C 2 o aryl, halogenated or perhalogenated heteroaryl with 5 to 20 ring- forming atoms; or
  • At least one R 1 and R 4 and/or R 2 and R 3 and/or R 1 and R 5 are bridged and form a 5 to 20 member ring;
  • M a metal selected from the group comprising alkali metal, alkaline earth metal, Al, Ga, In, transition metal or rare earth metal;
  • N and the metal M are covalent bonds or N forms a non-covalent interaction to the metal M;
  • charge neutral ligand which coordinates to the metal M, selected from the group comprising H 2 0, C 2 to C 4 o mono- or multi-dentate ethers and C 2 to C 40 thioethers, C 2 to C 40 amines, C 2 to C 40 phosphine, C 2 to C 2 o alkyl nitrile or C 2 to C 4 o aryl nitrile, or a compound according to Formula (III);
  • R 6 and R 7 are independently selected from Ci to C 2 o alkyl, Ci to C 20 heteroalkyl, C 6 to C 20 aryl, heteroaryl with 5 to 20 ring-forming atoms, halogenated or perhalogenated Ci to C 20 alkyl, halogenated or perhalogenated Ci to C 2 o heteroalkyl, halogenated or perhalogenated C 6 to C 20 aryl, halogenated or perhalogenated heteroaryl with 5 to 20 ring-forming atoms, or at least one R 6 and R 7 are bridged and form a 5 to 20 member ring, or the two R 6 and/or the two R 7 are bridged and form a 5 to 40 member ring or form a 5 to 40 member ring comprising an unsubstituted or Ci to C 12 substituted phenanthroline;
  • a and A are independently selected from CO, S0 2 or POR ;
  • R electron withdrawing group selected from the group comprising halide, nitrile, halogenated or perhalogenated Ci to C 20 alkyl, halogenated or perhalogenated C 6 to C 2 o aryl, or halogenated or perhalogenated heteroaryl with 5 to 20 ring- forming atoms;
  • n 1, 2, 3, 4 or 5.
  • HIL hole injection layer
  • the hole injection layer has a thickness of at least about > 20 nm to about ⁇ 1000 nm:
  • Ar and Ar independently selected from substituted or unsubstituted C 6 to C 20 arylene;
  • Ar 3 and Ar 4 independently selected from substituted or unsubstituted C 6 to C 20 aryl;
  • Ar 5 and Ar 6 independently selected from substituted or unsubstituted C 6 to C 2 o aryl or C 5 to C40 heteroaryl;
  • R 9 a single chemical bond, a unsubstituted or substituted Ci to C 6 alkyl and unsubstituted or substituted Ci to C 5 heteroalkyl;
  • the substituents for Ar 1 to Ar 6 are independently selected from Ci to C 20 alkyl, Ci to C 2 o heteroalkyl, or halide;
  • the substitutents for R 9 are independently selected from Ci to C 6 alkyl, Ci to C 5 heteroalkyl, C 6 to C 20 aryl and C 5 to C 20 heteroaryl;
  • N, A , B , B and A form a first 5 to 10 member ring and B and B form a second 5 to 20 member ring according to Formula Id:
  • G halide O, alkoxylate or amine of Formula Ila to He:
  • R 1 to R 5 are independently selected from the group comprising H, Ci to C 20 alkyl, Ci to
  • C 2 o heteroalkyl unsubstituted or Ci to C 12 substituted C 6 to C 20 aryl, unsubstituted or Ci to C 12 substituted heteroaryl with 5 to 20 ring- forming atoms, halogenated or perhalogenated Ci to C 20 alkyl, halogenated or perhalogenated Ci to C 2 o heteroalkyl, halogenated or perhalogenated C 6 to C 20 aryl, halogenated or perhalogenated heteroaryl with 5 to 20 ring- forming atoms; or
  • At least one R 1 and R 4 and/or R 2 and R 3 and/or R 1 and R 5 are bridged and form a 5 to 20 member ring;
  • a metal selected from the group comprising alkali metal, alkaline earth metal, Al, Ga, In, transition metal or rare earth metal;
  • N and the metal M are covalent bonds or N forms a non-covalent interaction to the metal M;
  • charge neutral ligand which coordinates to the metal M, selected from the group comprising H 2 0, C 2 to C 4 o mono- or multi-dentate ethers and C 2 to C 40 thioethers, C 2 to C 40 amines, C 2 to C 40 phosphine, C 2 to C 20 alkyl nitrile or C 2 to C 4 o aryl nitrile, or a compound according to Formula (III);
  • R 6 and R 7 are independently selected from Ci to C 20 alkyl, Ci to C 20 heteroalkyl, C 6 to C 20 aryl, heteroaryl with 5 to 20 ring-forming atoms, halogenated or perhalogenated Ci to C 20 alkyl, halogenated or perhalogenated Ci to C 2 o heteroalkyl, halogenated or perhalogenated C 6 to C 20 aryl, halogenated or perhalogenated heteroaryl with 5 to 20 ring-forming atoms, or at least one R 6 and R 7 are bridged and form a 5 to 20 member ring, or the two R 6 and/or the two R 7 are bridged and form a 5 to 40 member ring or form a 5 to 40 member ring comprising an unsubstituted or Ci to C 12 substituted phenanthroline;
  • a and A are independently selected from CO, S0 2 or POR ;
  • HIL hole injection layer
  • the hole injection layer has a thickness of at least about > 20 nm to about ⁇ 1000 nm:
  • Ar and Ar independently selected from substituted or unsubstituted C 6 to C 2 o arylene;
  • Ar 3 and Ar 4 independently selected from substituted or unsubstituted C 6 to C 20 aryl;
  • Ar 5 and Ar 6 independently selected from substituted or unsubstituted C 6 to C 20 aryl or C 5 to C 4 o heteroaryl;
  • the substituents for Ar 1 to Ar 6 are independently selected from Ci to C 20 alkyl, Ci to C 2 o heteroalkyl, or halide;
  • the substitutents for R 9 are independently selected from Ci to C 6 alkyl, Ci to C 5 heteroalkyl, C 6 to C 20 aryl and C 5 to C 20 heteroaryl;
  • G halide O, alkoxylate or amine of Formula Ila to He:
  • At least one R 1 and R 4 and/or R 2 and R 3 and/or R 1 and R 5 are bridged and form a 5 to 20 member ring;
  • a metal selected from the group comprising alkali metal, alkaline earth metal, Al, Ga, In, transition metal or rare earth metal;
  • N bonds between N and the metal M is a covalent bond or N forms a non-covalent interaction to the metal M
  • L charge neutral ligand which coordinates to the metal M, selected from the group comprising H 2 0, C 2 to C40 mono- or multi-dentate ethers and C 2 to C40 thioethers, C 2 to C40 amines, C 2 to C40 phosphine, C 2 to C 20 alkyl nitrile or C 2 to C40 aryl nitrile, or a compound according to Formula (III);
  • R 6 and R 7 are independently selected from Ci to C 20 alkyl, Ci to C 20 heteroalkyl, C 6 to C 20 aryl, heteroaryl with 5 to 20 ring-forming atoms, halogenated or perhalogenated Ci to C 20 alkyl, halogenated or perhalogenated Ci to C 2 o heteroalkyl, halogenated or perhalogenated C 6 to C 20 aryl, halogenated or perhalogenated heteroaryl with 5 to 20 ring-forming atoms, or at least one R 6 and R 7 are bridged and form a 5 to 20 member ring, or the two R 6 and/or the two R 7 are bridged and form a 5 to 40 member ring or form a 5 to 40 member ring comprising an unsubstituted or Ci to C 12 substituted phenanthroline;
  • a 1 , A 2 , A 3 and A 4 are independently selected from CO, S0 2 or POR ;
  • R electron withdrawing group selected from the group comprising halide, nitrile, halogenated or perhalogenated Ci to C 20 alkyl, halogenated or perhalogenated C 6 to C 2 o aryl, or halogenated or perhalogenated heteroaryl with 5 to 20 ring- forming atoms;
  • n 1, 2, 3, 4 or 5;
  • B 3 and B 4 are same or independently selected from substituted or unsubstituted Ci to
  • a 1 , B1 , B2 and A 2 form a 5 to 10 member ring according to Formula Ic,
  • a 1 , B1 , B2 and A 2 form a first 5 to 10 member ring and B 1 and B2 form a second 5 to 20 member ring accordin to Formula Id:
  • B 1 , B 2 , B 3 and B 4 can be independently selected from a substituted Ci to C 2 o alkyl, substituted Ci to C 20 heteroalkyl, substituted C 6 to C 20 aryl, or substituted C 5 to C 20 heteroaryl; wherein the substituent of the substituted Ci to C 20 alkyl, substituted Ci to C 20 heteroalkyl, substituted C 6 to C 20 aryl, or substituted C 5 to C 20 heteroaryl;
  • the substituent can be an electron withdrawing group selected from the group comprising a halide, nitrile, perhalogenated Ci to C 20 alkyl, perhalogenated C 6 to C 20 aryl, perhalogenated heteroaryl with 6 to 20 ring-forming atoms, preferably the electron withdrawing group is a fluoride, perfluroinated Ci to C 20 alkyl, perfluorinated C 6 to C 20 aryl, or perfluorinated heteroaryl with 5 to 20 ring-forming atoms.
  • the substituent can be a Ci to C 6 alkyl or Ci to C 6 heteroalkyl, and more preferred an Ci to C 4 alkyl or Ci to C 4 heteroalkyl.
  • the substituent can be a C 4 to C20 alkyl or C 4 to C20 heteroalkyl, and more preferred an C 6 to C 18 alkyl or C 6 to C 18 heteroalkyl.
  • the charge neutral ligand L may be selected from the group comprising C 2 to C 2 o glycole ethers, C 2 to C 2 o ethylendiamine derivatives, and more preferred
  • M may be selected from Li(I), Na(I), K(I), Cs(I), Mg(II), Ca(II), Sr(II), Ba(II), Sc(III), Y(III), Ti(IV), V(III-V), Cr(III-VI), Mn(II), Mn(III), Fe(II), Fe(III), Co(II), Co(III), Ni(II), Cu(I), Cu(II), Zn(II), Ag(I), Au(I), Au(III), Al(III), Ga(III), In(III), Sn(II), Sn(IV), or Pb(II); preferably M is selected from Li (I), Mg (II), Mn (II) or Ag (I); and more preferred M is selected from Mg (II) and Li (I).
  • N, A , B , A and B form a 5 to 10 member ring;
  • M, N, A 1 , B 1 , A 2 and B 2 form a 7 to 10 member ring;
  • a 1 , B 1 , A 2 and B 2 form a 7 to 10 member ring and A 3 , B 3 , A 4 and B 4 form a 5 to 10 member ring.
  • the char e neutral ligand L may the Formula la, (la), wherein:
  • a and A are same or independently selected from CO, POR and S0 2 , preferably A
  • a and A are independently selected from CO, POR , S0 2 , and
  • a 1 , B1 , A2 and B 2 form a 5 to 10 member ring.
  • the charge neutral metal amide compound of the hole injection layer may be selected from at least one compound according to Formula Ila, lib, lie, lid, He, Ilf, Ilg and/or Ilh,
  • the charge neutral metal amide compound has the Formula Ila:
  • the charge neutral metal amide compound has the Formula lib:
  • a 1 , B 1 , B 2 and A 2 form a first 5 to
  • the charge neutral metal amide compound has the Formula Ilf:
  • the charge neutral metal amide compound has the Formula Ilg:
  • the charge neutral metal amide compound has the Formula Ilh:
  • the charge neutral metal amide compound of the hole injection layer may be selected from at least one compound according to Formula Ilia, Illb, IIIc, Hid, Hie, Illf, Illg, Illh and/or Illi,
  • the charge neutral metal amide compound has the Formula Ilia:
  • the charge neutral metal amide compound has the Formula Illb:
  • the charge neutral metal amide compound has the Formula Illf:
  • the charge neutral metal amide compound has the Formula IIIi:
  • the charge neutral metal amide compound of the hole injection layer may be selected from at least one compound according to Formula IVa, IVb, IVc, IVd and/or IVe,
  • the charge neutral metal amide compound has the Formula IVa:
  • the charge neutral metal amide compound has the Formula IVb:
  • the charge neutral metal amide compound of the hole injection layer may be selected from at least one compound according to Formula Va, Vb, Vc, Vd, Ve, Vf, Vg, Vh and/or Vi,
  • the charge neutral metal amide compound has the Form la Va:
  • the charge neutral metal amide compound has the Formula Vb:
  • the charge neutral metal amide compound has the Formula Vd:
  • the charge neutral metal amide com ound has the Formula Ve:
  • the charge neutral metal amide com ound has the Formula Vf:
  • the charge neutral metal amide compound has the Formula (Vi):
  • the charge neutral metal amide compound of the hole injection layer may be selected from at least one compound according to Formula Via, wherein for A 1 is S0 2 and A 2 is POR 8 :
  • the charge neutral metal amide compound has the Formula Via:
  • charge neutral metal amide compound of the hole injection layer may be selected from at least one compound according to Formula lb:
  • a and A are same or independently selected from CO, POR or S0 2 , preferably A
  • B 3 and B 4 are independently selected from substituted or unsubstituted Ci to C 20 alkyl, substituted or unsubstituted Ci to C 20 heteroalkyl, substituted or unsubstituted C 6 to C 20 aryl, substituted or unsubstituted C 6 to C 20 heteroaryl, preferably B 3 and B 4 are selected same; and
  • M, N, A 1 , B 1 , A 2 and B 2 form a 7 to 10 member ring.
  • charge neutral metal amide compound of the hole injection layer may be selected from at least one compound according to Formula Id, wherein
  • a 1 , B1 , A2 and B 2 form a first 5 to 10 member ring and B 1 and B2 are bridged to form a second ring of a substituted or unsubstituted C 6 to C 20 aryl, or of a substituted or unsubstituted C 6 to C 2 o heteroaryl ring:
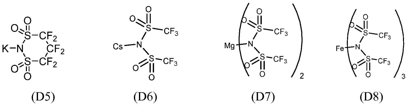
  • the charge neutral metal amide compound of the hole injection layer may be selected from at least one fluorinated compound according to:
  • the charge neutral metal amide compound of the hole injection layer may be selected from at least one fluorinated compound, based on general formula la, having the Formula Dl to D24:
  • the charge neutral metal amide compound of the hole injection layer may be selected from at least one fluorinated compound, based on general formula la, having the Formula Fl to F23:
  • R 6 and R 7 are independently selected from Ci to C20 alkyl, Ci to C20 heteroalkyl, C 6 to C20 aryl, heteroaryl with 5 to 20 ring- forming atoms, halogenated or perhalogenated Ci to C20 alkyl, halogenated or perhalogenated Ci to C20 heteroalkyl, halogenated or perhalogenated C 6 to C20 aryl, halogenated or perhalogenated heteroaryl with 5 to 20 ring-forming atoms, or at least one R 6 and R 7 are bridged and form a 5 to 20 member ring , or the two R 6 and/or the two R 7 are bridged and form a 5 to 40 member ring or form a 5 to 40 member ring comprising an unsubstituted or Ci to C12 substituted phenanthroline.
  • Charge neutral metal amide compounds which contain a charge-neutral ligand L selected from mono and multidental ethers or amines forming a 5 to 7 membered ring system with the metal, preferably glycole ethers, ethylendiamine derivatives, even more preferred diglyme, and/or N 1 ,N 1 ,N2,N2-tetramethyl- 1 ,2-ethanediamine, N-((E,2E)-2- ⁇ [(E)- 1,1- dimethylethyl]imino ⁇ ethylidene)-2-methyl-2-propanamine can be preferably used as HIL- material.
  • a charge-neutral ligand L selected from mono and multidental ethers or amines forming a 5 to 7 membered ring system with the metal, preferably glycole ethers, ethylendiamine derivatives, even more preferred diglyme, and/or N 1 ,N 1 ,N2,N2-tetramethyl- 1 ,
  • charge neutral metal amides compounds with a charge-neutral ligand L selected from mono and/or multidental ethers or amines that can be preferably used as HIL- material having the Formula Fl, F2, F3, F4, F5 and/or F6:
  • R 6 and R 7 are independently selected from Ci to C 20 alkyl, Ci to C 20 heteroalkyl, C 6 to C 20 aryl, heteroaryl with 5 to 20 ring- forming atoms, halogenated or perhalogenated Ci to C 20 alkyl, halogenated or perhalogenated Ci to C 20 heteroalkyl, halogenated or perhalogenated C 6 to C 20 aryl, halogenated or perhalogenated heteroaryl with 5 to 20 ring-forming atoms, or at least one R 6 and R 7 are bridged and form a 5 to 20 member ring , or the two R 6 and/or the two R 7 are bridged and form a 5 to 40 member ring or form a 5 to 40 member ring comprising an unsubstituted or Ci to C 12 substituted phenanthroline.
  • the charge neutral metal amide compound of the hole injection layer may be selected preferably from at least one fluorinated compound, based on general formula la, having the Formula F18 to F23:
  • the charge neutral metal amide compound of the hole injection layer may be selected preferably from at least one fluorinated compound, based on general formula la, having the Formula F24 to F45:
  • R 1 to R 5 are independently selected from the group comprising H, Ci to C 2 o alkyl, Ci to C 20 heteroalkyl, unsubstituted or Ci to C 12 substituted C 6 to C 20 aryl, unsubstituted or Ci to C 12 substituted heteroaryl with 5 to 20 ring-forming atoms, halogenated or perhalogenated Ci to C 20 alkyl, halogenated or perhalogenated Ci to C 20 heteroalkyl, halogenated or perhalogenated C 6 to C 20 aryl, halogenated or perhalogenated heteroaryl with 5 to 20 ring-forming atoms; or at least one R 1 and R 4 and/or R 2 and R 3 and/or R 1 and R 5 are bridged and form a 5 to 20 member cyclic ring.
  • Ligand G is selected from group VII elements, preferably chloride CI.
  • ligand G is selected from an alkoxylate of formula F30, F31 and F35:
  • R 1 is selected from the group comprising H, Ci to C 20 alkyl, Ci to C 20 heteroalkyl,
  • the charge neutral metal amide compound of the hole injection layer may be selected preferably from at least one fluorinated compound, based on general formula la, having the Formula F36 to F46:
  • HIL hole injection layer
  • Metal amide Structure CAS number Particularly preferred are metal amide compounds for use as HIL-material listed in Table 2.
  • the hole injection layer may comprises the charge neutral metal amide compound according to formula la, lb, Ic and/or Id in the range of about > 0.1 wt.-% to about ⁇ 49 wt.-%, preferably about > 0.5 wt.-% to about ⁇ 45 wt.-%, further preferred about > 1 wt.-% to about ⁇ 40 wt.-%, in addition preferred about > 1.5 wt.-% to about ⁇ 30 wt.-%, or about > 2 wt.-% to about ⁇ 20 wt.-%, or about > 2.5 wt.-% to about ⁇ 10 wt.-%, or about > 3 wt.-% to about ⁇ 7 wt.-%, and more preferred about > 3.5 wt.-% to about ⁇ 5 wt.-% or about > 4 wt.-% to about ⁇ 4.5 wt.-%.
  • HIL hole transport layer
  • the hole injection layer comprises a
  • Ar and Ar independently selected from substituted or unsubstituted C 6 to C20 arylene;
  • Ar 3 and Ar 4 independently selected from substituted or unsubstituted C 6 to C 2 o aryl;
  • Ar 5 and Ar 6 independently selected from substituted or unsubstituted C 6 to C 2 o aryl or
  • R 9 a single chemical bond, a unsubstituted or substituted Ci to C 6 alkyl and unsubstituted or substituted Ci to C 5 heteroalkyl;
  • the substituents for Ar 1 to Ar 6 are independently selected from Ci to C 2 o alkyl, Ci to C 20 heteroalkyl, or halide;
  • the substitutents for R 9 are independently selected from Ci to C 6 alkyl, Ci to C 5 heteroalkyl, C 6 to C 2 o aryl and C 5 to C 20 heteroaryl.
  • the hole injection layer may comprises a
  • the substituent on Ar 1 is selected from phenyl, biphenyl, 2-( 9,9-dialkyl-fluorenyl), 2-( 9-alkyl-9'- aryl-fluorenyl) and 2-( 9,9-diaryl-fluorenyl).
  • the hole injection layer may comprises a
  • the q may be selected from 1 or 2.
  • Compounds of formula Vila that can be suitable used as HIL-material may have an molecular weight suitable for thermal vacuum deposition and HOMO levels that provides a good hole injection performance into the emission layer.
  • Compounds of formula Vila that can be preferably used as HIL-material may have an molecular weight that is about > 243 g/mol and about ⁇ 2000 g/mol, even more preferred is about > 412 g/mol and about ⁇ 1800 g/mol, also preferred about > 488 g/mol and about ⁇ 1500 g/mol.
  • Ar 1 and Ar 2 of Formula Vila may be independently selected from phenylene, biphenylene, naphthylene, anthranylene,
  • carbazolylene or fluorenylene, preferably from phenylene or biphenylene.
  • the Ar 3 to Ar 6 of Formula Vila may be independently selected from phenyl, biphenyl, terphenyl, quartphenyl, fluorenyl, napthyl, anthranyl, phenanthryl, thiophenyl, fluorenyl, or carbazolyl.
  • Ar 3 to Ar 6 of Formula Vila may be independently selected from phenyl, biphenyl, fluorenyl, napthyl, thiopheneyl, fluorenyl, or carbazolyl.
  • At least two of Ar 1 to Ar 6 of Formula Vila may form a cyclic structure, for example Ar 1 and Ar 3 ; or Ar 1 and Ar 4 ; or Ar 2 and Ar 5 ; or Ar 2 and Ar 6 ; may be a carbazole, phenazoline or phenoxazine ring.
  • Ar and Ar are independently selected from phenylene, biphenylene, naphthylene, anthranylene, carbazolylene and fluorenylene, preferably selected from phenylene and biphenylene;
  • Ar 3 to Ar 6 are independently selected from phenyl, biphenyl, terphenyl, quartphenyl, fluorenyl, napthyl, anthranyl, phenanthryl, thiophenyl, fluorenyl, 9- carbazolyl; preferably
  • Ar 3 to Ar 6 are independently selected from phenyl, biphenyl, fluorenyl, napthyl, thiophenyl, fluorenyl, carbazolyl.
  • At least one of Ar 1 to Ar 6 of Formula Vila may be any of Ar 1 to Ar 6 of Formula Vila.
  • Ar 3 and Ar 4 and/or Ar 5 and Ar 6 are linked to form a carbazole, phenazoline or phenoxazine ring.
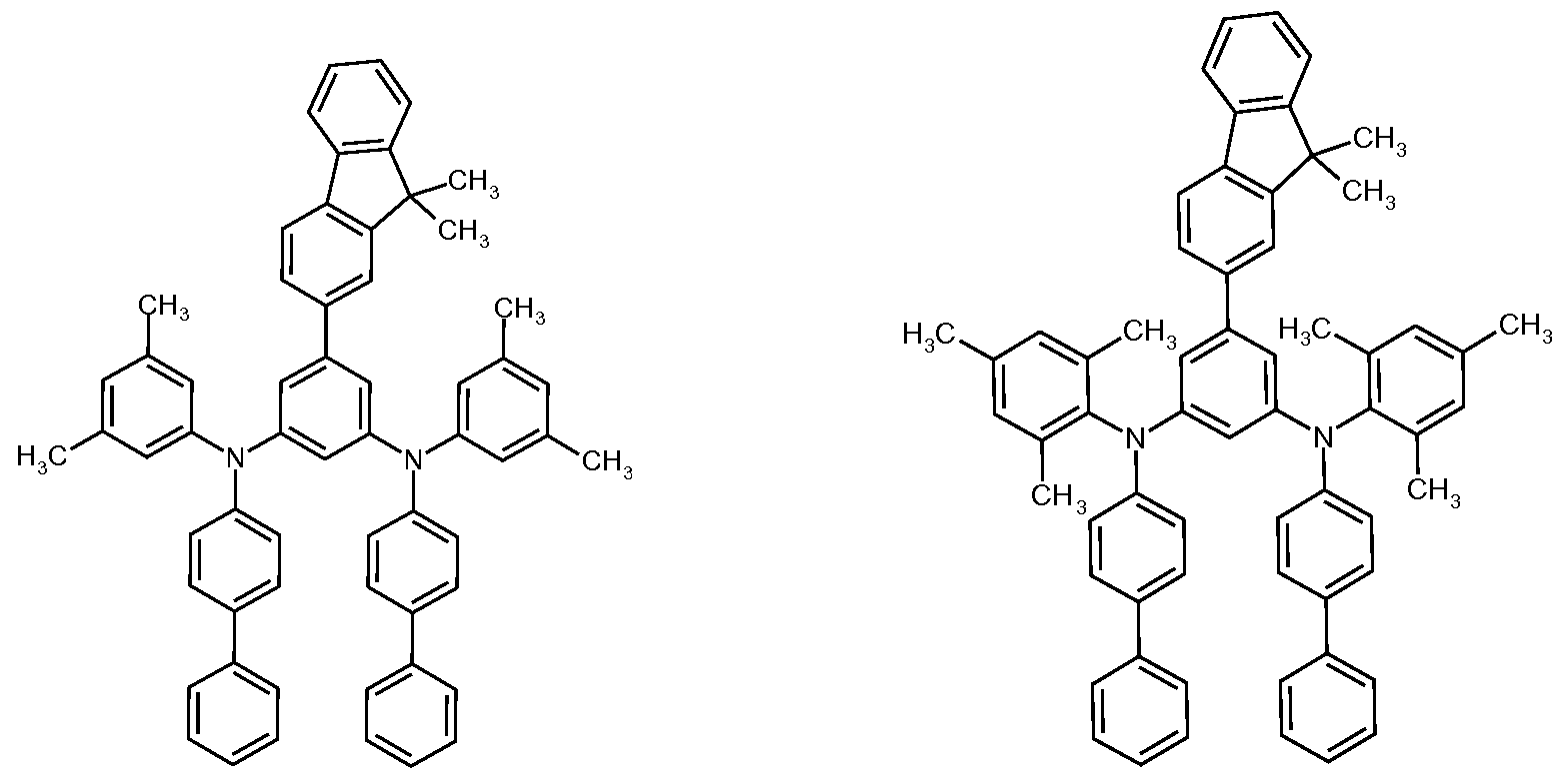
  • the triarylamine compound has the Formula Vllb to Vllk.
  • the hole injection layer may comprises a triarylamine compound of formula Vila, wherein the substituents on Ar 3 to Ar 6 are independently selected from Ci to C alkyl, Ci to C 12 alkoxy or halide, preferably from Ci to C 8 alkyl or Ci to C 8 heteroalkyl, even more preferred from Ci to C 5 alkyl or Ci to C 5 heteroalkyl.
  • the hole injection layer comprises a triarylamine compound of formula Vila, wherein the substituents on Ar 3 to Ar 6 are independently selected from Ci to C 12 alkyl or halide, preferably from Ci to C 8 alkyl or fluoride, even more preferred from Ci to C 5 alkyl or fluoride.
  • the HOMO level of the hole injection layer may have a HOMO level suitable for good hole injection into the emission layer, in particular of phosphorescent blue and green emitters and emission which relies on TADF (thermally activated delayed fluorescence) and the OLED may have low voltage, high efficiency and good stability.
  • TADF thermalally activated delayed fluorescence
  • the hole injection layer may have a layer thickness of at least about > 30 nm to about ⁇ 1000 nm, preferably of about > 40 nm to about ⁇ 500 nm, also preferred of about > 50 nm to about ⁇ 750 nm.
  • the hole injection layer (HIL) may have a layer thickness of at least about > 40 nm to about ⁇ 1000 nm, preferably of about > 60 nm to about ⁇ 500 nm, also preferred of about > 80 nm to about ⁇ 750 nm.
  • the hole injection layer (HIL) may have a layer thickness of at least about > 70 nm to about ⁇ 1000 nm, preferably of about > 90 nm to about ⁇ 500 nm, also preferred of about > 100 nm to about ⁇ 600 nm.
  • the hole injection layer may have a layer thickness of at least about > 100 nm to about ⁇ 1000 nm, preferably of about > 150 nm to about ⁇ 500 nm, also preferred of about > 200 nm to about ⁇ 450 nm.
  • the hole injection layer may comprises:
  • the hole injection layer may comprises:
  • the hole injection layer may comprises:
  • the hole injection layer may comprises: - at least about > 0.5 wt.-% to about ⁇ 50 wt.-%, preferably about > 1 wt.-% to about ⁇ 25 wt.-%, and more preferred about > 1.5 wt.-% to about ⁇ 15 wt.-%, of a charge neutral metal amide compound according to Formula la, lb, Ic or Id, and
  • the hole injection layer may comprises the triarylamine compound according to Formula Vila in the range of about > 60 wt.-% to about
  • ⁇ 100 wt.-% further preferred about > 70 wt.-% to about ⁇ 100 wt.-%, in addition preferred about > 80 wt.-% to about ⁇ 100 wt.-%, or about > 95 wt.-% to about ⁇ 100 wt.-%, or about > 98 wt.-% to about ⁇ 100 wt.-%, or about > 99 wt.-% to about ⁇ 100 wt.-%, and more preferred about > 90 wt.-% to about ⁇ 100 wt.-% or about > 95 wt.-% to about ⁇ 99 wt.-%.
  • the hole injection layer may comprises the triarylamine compound according to Formula Vila in the range of about > 70 wt.-% to about
  • ⁇ 100 wt.-% in addition preferred about > 80 wt.-% to about ⁇ 100 wt.-%, or about > 95 wt.- % to about ⁇ 100 wt.-%, or about > 98 wt.-% to about ⁇ 100 wt.-%, or about > 99 wt.-% to about ⁇ 100 wt.-%, and more preferred about > 90 wt.-% to about ⁇ 100 wt.-% or about > 95 wt.-% to about ⁇ 99 wt.-%.
  • the hole injection layer may comprises the triarylamine compound according to Formula Vila in the range of about > 80 wt.-% to about
  • ⁇ 100 wt.-% or about > 95 wt.-% to about ⁇ 100 wt.-%, or about > 98 wt.-% to about ⁇ 100 wt.-%, or about > 99 wt.-% to about ⁇ 100 wt.-%, and more preferred about > 90 wt.-% to about ⁇ 100 wt.-% or about > 95 wt.-% to about ⁇ 99 wt.-%.
  • the hole injection layer may comprises the triarylamine compound according to Formula Vila in the range of about > 95 wt.-% to about
  • ⁇ 100 wt.-% or about > 98 wt.-% to about ⁇ 100 wt.-%, or about > 99 wt.-% to about ⁇ 100 wt.-%, and more preferred about > 90 wt.-% to about ⁇ 100 wt.-% or about > 95 wt.-% to about ⁇ 99 wt.-%.
  • the hole injection layer may comprises the triarylamine compound according to Formula Vila in the range of about > 98 wt.-% to about
  • the hole injection layer may comprises the triarylamine compound according to Formula Vila in the range of about > 99 wt.-% to about ⁇ 100 wt.-%, and more preferred about > 90 wt.-% to about ⁇ 100 wt.-% or about > 95 wt.-% to about ⁇ 99 wt.-%.
  • the hole injection layer may comprises the triarylamine compound according to Formula Vila in the range of about > 99 wt.-% to about ⁇ 100 wt.-%, and more preferred about > 90 wt.-% to about ⁇ 100 wt.-% or about > 95 wt.-% to about ⁇ 99 wt.-%.
  • the hole injection layer comprises:
  • the triarylamine compound preferably the wt.-% of the triarylamine compound is higher than the wt.-% of the charge neutral metal amide compound; wherein the weight-% of the components are based on the total weight of the hole injection layer.
  • HTL hole transport layer
  • the HTL may be formed of any compound that is commonly used to form a HTL.
  • Compound that can be suitably used is disclosed for example in Y. Shirota and H. Kageyama, Chem. Rev. 2007, 107, 953-1010 and incorporated by reference.
  • Examples of the compound that may be used to form the HTL 140 are: a carbazole derivative, such as N-phenylcarbazole or polyvinylcarbazole; an amine derivative having an aromatic condensation ring, such as N,N'-bis(3-methylphenyl)-N,N'-diphenyl-[l,l-biphenyl]-4,4'-diamine (T-l), or ⁇ , ⁇ '- di(naphthalene-l-yl)-N,N'-diphenyl benzydine (alpha -NPD, T-4); and a triphenylamine- based compound, such as 4,4',4"-tris(N-carbazolyl)triphenylamine (T-10).
  • T-10 can transport holes and inhibit excitons from being diffused into the EML.
  • HTL 140 Other examples of the compounds that may be used forming the HTL 140 are oligothiophenes and phthalocyanines disclosed for example in Yasuhiko Shirota and Hiroshi Kageyama, Chem. Rev. 2007, 107, 953-1010 and in Facchetti, MaterialsToday 10, 2007, 28 and incorporated by reference.
  • the OLED according to the present invention may not contain an electron transport layer (ETL). However, the OLED according to the present invention may optional contain an electron transport layer (ETL).
  • ETL electron transport layer
  • the OLED may comprises an electron transport layer or an electron transport layer stack comprising at least a first electron transport layer and at least a second electron transport layer.
  • the electron transport layer may comprises at least one matrix compound.
  • an anthracene based compound or a heteroaryl substituted anthracene based compound preferably 2-(4-(9, 10-di(naphthalen-2-yl)anthracene-2-yl)phenyl)- 1 -phenyl- 1 H- benzo[d]imidazole and/or N4,N4"-di(naphthalen- 1 -yl)-N4,N4"-diphenyl-[ 1 , ⁇ :4', 1 "- terphenyl]-4,4"-diamine;
  • phosphine oxide based compound preferably (3-(dibenzo[c,h]acridin-7- yl)phenyl)diphenylphosphine oxide and/or phenyl bis(3-(pyren-l-yl)phenyl)phosphine oxide and/or 3-Phenyl-3H-benzo[b]dinaphtho[2,l-d: r,2 ' -fJphosphepine-3-oxide; or
  • a substituted phenanthroline compound preferably 2,4,7,9-tetraphenyl- 1,10- phenanthroline, 4,7-diphenyl-2,9-di-p-tolyl-l,10-phenanthroline, or 2,9-di(biphenyl-4-yl)- 4,7-diphenyl- 1 , 10-phenanthroline.
  • phosphine oxide based compound preferably (3-(dibenzo[c,h]acridin-7- yl)phenyl)diphenylphosphine oxide, 3-phenyl-3H-benzo[b]dinaphtho[2,l-d: l ',2'- f]phosphepine-3 -oxide and/or phenyl bis(3-(pyren-l-yl)phenyl)phosphine oxide; or
  • the matrix compound of the electron transport layer may be more preferred selected from:
  • phosphine oxide based compound preferably (3-(dibenzo[c,h]acridin-7- yl)phenyl)diphenylphosphine oxide, 3-phenyl-3H-benzo[b]dinaphtho[2,l-d: l ',2'- fJphosphepine-3 -oxide and/or phenyl bis(3-(pyren-l-yl)phenyl)phosphine oxide.
  • the thicknesses of the electron transport layer may be in the range of about > 0.5 nm to about ⁇ 95 nm, preferably of about > 3 nm to about ⁇ 80 nm, further preferred of about > 5 nm to about ⁇ 60 nm, also preferred of about > 6 nm to about ⁇ 40 nm, in addition preferred about > 8 nm to about ⁇ 20 nm and more preferred of about > 10 nm to about ⁇ 18 nm.
  • the thicknesses of the electron transport layer stack can be in the range of about > 25 nm to about ⁇ 100 nm, preferably of about > 30 nm to about ⁇ 80 nm, further preferred of about > 35 nm to about ⁇ 60 nm, and more preferred of about > 36 nm to about ⁇ 40 nm.
  • - Al to A6 are same or independently selected from CH, CR, N, O, - R is same or independently selected from hydrogen, halogen, alkyl or aryl or heteroaryl with 1 to 20 carbon atoms, and more preferred of a lithium 8- hydroxyquinolate;
  • an anthracene based compound or a hetero substituted anthracene based compound preferably 2-(4-(9, 10-di(naphthalen-2-yl)anthracene-2-yl)phenyl)- 1 -phenyl- 1 H- benzo[d]imidazole and/or N4,N4"-di(naphthalen- 1 -yl)-N4,N4"-diphenyl-[ 1 , ⁇ :4', 1 "- terphenyl]-4,4"-diamine; or
  • phosphine oxide based compound preferably (3-(dibenzo[c,h]acridin-7- yl)phenyl)diphenylphosphine oxide and/or phenyl bis(3-(pyren-l- yl)phenyl)phosphine oxide and/or 3-Phenyl-3H-benzo[b]dinaphtho[2,l-d:l ',2'- f]phosphepine-3 -oxide; or
  • a substituted phenanthroline compound preferably 2,4,7,9-tetraphenyl- 1,10- phenanthroline, 4,7-diphenyl-2,9-di-p-tolyl-l,10-phenanthroline, or 2,9- di(biphenyl-4-yl)-4,7-diphenyl- 1 , 10-phenanthroline;
  • phosphine oxide based compound more preferred is a phosphine oxide based compound and most preferred is (3-
  • the electron transport layer comprises of about > 50 wt.-% to about ⁇ 60 wt.-% of a first lithium halide or a first lithium organic complex and about ⁇ 50 wt.-% to about > 40 wt.-% of a matrix compound of:
  • phosphine oxide based compound preferably (3-(dibenzo[c,h]acridin-7- yl)phenyl)diphenylphosphine oxide, 3-phenyl-3H-benzo[b]dinaphtho[2,l-d: l ',2'- fJphosphepine-3 -oxide and/or phenyl bis(3-(pyren-l-yl)phenyl)phosphine oxide; or
  • a substituted phenanthroline compound preferably 2,4,7,9-tetraphenyl- 1,10- phenanthroline, 4, 7-diphenyl-2,9-di-p-tolyl- 1,10-phenanthroline, or 2,9-di(biphenyl-4- yl)-4,7-diphenyl- 1 , 10-phenanthroline.
  • the light-emitting diode may comprises at least two electrodes, an anode electrode and a second cathode electrode.
  • the electron transport layer/s or electron transport layer stack is not an electrode.
  • the electron transport layer/s or electron transport layer are sandwiched between two electrodes, namely sandwiched between an anode and a second cathode.
  • the ETL may be formed optional on an EML or on the HBL if the HBL is formed.
  • the ETL includes a first layer including a first lithium halide or a first lithium organic complex; and optional a second electron transport layer including a second lithium halide or a second lithium organic complex, wherein optional the first lithium organic complex is not the same as the second lithium organic complex and wherein the first lithium halide is not the same as the second lithium halide.
  • the ETL includes a first layer comprising a first matrix compound and a lithium halide or a lithium organic complex; and optional a second electron transport layer comprising a second matrix compound and a metal dopant selected from a group comprising alkali, alkaline earth and rare earth metals.
  • the ETL includes a first layer comprising a first matrix compound and a lithium halide or a lithium organic complex; and optional a second electron transport layer comprising a second matrix compound and is free of dopant.
  • the ETL may have a stacked structure, preferably of two ETL-layers, so that injection and transport of electrons may be balanced and holes may be efficiently blocked.
  • a conventional OLED since the amounts of electrons and holes vary with time, after driving is initiated, the number of excitons generated in an emission area may be reduced. As a result, a carrier balance may not be maintained, so as to reduce the lifetime of the OLED.
  • the first layer and the second layer may have similar or identical energy levels, so that the carrier balance may be uniformly maintained, while controlling the electron-transfer rate.
  • Matrix compound for the electron layer that can be suitable used are selected from the group comprising anthracene compounds, preferably 2-(4-(9,10-di(naphthalen-2-yl)anthracen- 2-yl)phenyl)- 1 -phenyl- 1 H-benzo[d]imidazole
  • Anthracene compounds that can be used as matrix materials are disclosed in US 6878469 B.
  • diphenylphosphine oxide preferably (3- (dibenzo[c,h]acridin-7-yl)phenyl)diphenylphosphine oxide, phenylbis(3-(pyren-l- yl)phenyl)phosphine oxide, 3-phenyl-3H-benzo[b]dinaphtho[2,l-d:r,2 ' -f]phosphepine-3- oxide, phenyldi(pyren-l-yl)phosphine oxide.
  • diphenylphosphine oxide preferably (3- (dibenzo[c,h]acridin-7-yl)phenyl)diphenylphosphine oxide, phenylbis(3-(pyren-l- yl)phenyl)phosphine oxide, 3-phenyl-3H-benzo[b]dinaphtho[2,l-d:r,2 ' -f]phosphepine-3- oxide
  • Diphenylphosphine oxide compounds that can be used as matrix materials are disclosed in EP 2395571 Al, WO2013079217 Al, EP 13187905, EP13199361 and
  • JP2002063989 Al Other suitable matrix compounds that can be used are phenanthrolme compounds, preferably selected from the group comprising of 2,4,7,9-tetraphenyl-l,10-phenanthroline, 4,7-diphenyl-2,9-di-p-tolyl-l,10-phenanthroline, and 2,9-di(biphenyl-4-yl)-4,7-diphenyl-l,10- phenanthroline. Phenanthrolme compounds that can be used as matrix materials are disclosed in EP 1786050 Al .
  • the matrix compound of the electron transport layer may be a compound that efficiently transports electrons, such as an anthracene-based compound, diphenylphosphine oxide based compound, or a phenanthrolme based compound, preferably a matrix compound mentioned in Table 4.
  • the matrix compound of the electron transport layer may be selected from the group consisting of Compound 5, a compound represented by Formula 2, and a compound represented by Formula 3 below:
  • Ri to R 6 are each independently a hydrogen atom, a halogen atom, a hydroxy group, a cyano group, a substituted or unsubstituted C 1 -C30 alkyl group, a substituted or unsubstituted C 1 -C30 alkoxy group, a substituted or unsubstituted C 1 -C30 acyl group, a substituted or unsubstituted C 2 -C30 alkenyl group, a substituted or unsubstituted C 2 - C30 alkynyl group, a substituted or unsubstituted C6-C30 aryl group, or a substituted or unsubstituted C3-C30 heteroaryl group.
  • At least two adjacent Ri to R 6 groups are optionally bonded to each other, to form a saturated or unsaturated ring.
  • Li is a bond, a substituted or unsubstituted C 1 -C30 alkylene group, a substituted or unsubstituted C6-C30 arylene group, or a substituted or unsubstituted C3-C30 hetero arylene group.
  • Qi through Q are each
  • Ri to R 6 may be each independently selected from the group consisting of a hydrogen atom, a halogen atom, a hydroxy group, a cyano group, a methyl group, an ethyl group, a propyl group, a butyl group, a methoxy group, an ethoxy group, a propoxy group, a butoxy group, a phenyl group, a naphthyl group, an anthryl group, a pyridinyl group, and a pyrazinyl group.
  • Ri to R4 may each be a hydrogen atom
  • R5 may be selected from the group consisting of a halogen atom, a hydroxy group, a cyano group, a methyl group, an ethyl group, a propyl group, a butyl group, a methoxy group, an ethoxy group, a propoxy group, a butoxy group, a phenyl group, a naphthyl group, an anthryl group, a pyridinyl group, and a pyrazinyl group.
  • Ri to R 6 may each be a hydrogen atom.
  • Qi to Q are each independently a hydrogen atom, a phenyl group, a naphthyl group, an anthryl group, a pyridinyl group, and a pyrazinyl group.
  • Qi, Q3-Q6, Qs and Q9 are hydrogen atoms
  • Q 2 and Q 7 may be each independently selected from the group consisting of a phenyl group, a naphthyl group, an anthryl group, a pyridinyl group, and a pyrazinyl group.
  • L ls in Formula 2 and/or 3 may be selected from the group consisting of a phenylene group, a naphthylene group, an anthrylene group, a pyridinylene group, and a pyrazinylene group.
  • Li may be a phenylene group or a pyridinylene group.
  • "a" may be 1, 2, or, 3.
  • the matrix compound for the ETL-layer may be further selected from Compound 5, 6, or 7 belo
  • the electron transport layer may comprises a lithium halide or a lithium organic complex.
  • Suitable organic ligands to form a lithium organic complex that can be used for the electron transport layer are disclosed, for example in US 2014/0048792 and
  • the organic ligand of the lithium organic complex of the electron transport layer may be selected from the group comprising a quinolate, a borate, a phenolate, a pyridinolate or a Schiff base ligand, or Table 5;
  • the lithium quinolate complex has the formula I:
  • Al to A6 are same or independently selected from CH, CR, N, O;
  • R is same or independently selected from hydrogen, halogen, alkyl or aryl or heteroaryl with 1 to 20 carbon atoms; and more preferred Al to A6 are CH;
  • the borate based organic ligand is a tetra(lH-pyrazol-l-yl)borate
  • the phenolate is a 2-(pyridin-2-yl)phenolate or a 2- (diphenylphosphoryl)phenolate;
  • the lithium Schiff base has the structure 100, 101 , 102 or 103 :
  • the lithium halide of the electron transport layer may be selected from the group comprising a LiF, LiCl, LiBr or LiJ, and preferably LiF.
  • the ETL may be formed on the EML by vacuum deposition, spin coating, slot-die coating, printing, casting, or the like.
  • the deposition and coating conditions may be similar to those for formation of the HIL 130. However, the deposition and coating conditions may vary, according to a compound that is used to form the ETL.
  • the substrate may be any substrate that is commonly used in manufacturing of organic light-emitting diodes. If light is emitted through the substrate, the substrate may be a transparent material, for example a glass substrate or a transparent plastic substrate, having excellent mechanical strength, thermal stability, transparency, surface smoothness, ease of handling, and waterproofness. If light is emitted through the top surface, the substrate may be a transparent or non-transparent material, for example a glass substrate, a plastic substrate, a metal substrate or a silicon substrate.
  • the anode electrode may be formed by depositing or sputtering a compound that is used to form the anode electrode.
  • the compound used to form the anode electrode may be a high work-function compound, so as to facilitate hole injection.
  • the anode material may also be selected from a low work function material (i.e. Aluminum).
  • the anode electrode may be a transparent or reflective electrode. Transparent conductive compounds, such as indium tin oxide (ITO), indium zinc oxide (IZO), tin-dioxide (Sn0 2 ), and zinc oxide (ZnO), may be used to form the anode electrode 120.
  • ITO indium tin oxide
  • IZO indium zinc oxide
  • Sn0 2 tin-dioxide
  • ZnO zinc oxide
  • the anode electrode 120 may also be formed using magnesium (Mg), aluminum (Al), aluminum-lithium (Al-Li), calcium (Ca), magnesium- indium (Mg-In), magnesium-silver (Mg-Ag), silver (Ag), gold (Au), or the like.
  • the anode electrode may be formed from a high conductivity metal, for example copper (Cu) or silver (Ag).
  • the HIL may be formed on the anode electrode by vacuum deposition, spin coating, printing, casting, slot-die coating, Langmuir-Blodgett (LB) deposition, or the like.
  • the deposition conditions may vary according to the compound that is used to form the HIL, and the desired structure and thermal properties of the HIL. In general, however, conditions for vacuum deposition may include a deposition temperature of 100° C to 500° C, a pressure of 10 "8 to 10 "3 torr (1 torr equals 133.322 Pa), and a deposition rate of 0.1 to 10 nm/sec.
  • coating conditions may vary according to a compound that is used to form the HIL, and the desired structure and thermal properties of the HIL.
  • the coating conditions may include a coating speed of about 2000 rpm to about 5000 rpm, and a thermal treatment temperature of about 80° C to about 200° C. Thermal treatment removes a solvent after the coating is performed.
  • the hole transport layer (HTL) may be formed on the HIL by vacuum deposition, spin coating, slot-die coating, printing, casting, Langmuir-Blodgett (LB) deposition, or the like.
  • LB Langmuir-Blodgett
  • the conditions for deposition and coating may be similar to those for the formation of the HIL.
  • the conditions for the vacuum or solution deposition may vary, according to the compound that is used to form the HTL.
  • Emission layer Emission layer
  • the EML may be formed on the HTL by vacuum deposition, spin coating, slot-die coating, printing, casting, LB, or the like.
  • the conditions for deposition and coating may be similar to those for the formation of the HIL. However, the conditions for deposition and coating may vary, according to the compound that is used to form the EML.
  • the emission layer may be formed of a combination of a host and a dopant.
  • Example of the host are Alq3, 4,4'-N,N'- dicarbazole-biphenyl (CBP), poly(n-vinylcarbazole) (PVK), 9, 10-di(naphthalene-2-yl)anthracenee (ADN), 4,4',4"-Tris(carbazol-9-yl)-triphenylamine (TCTA), l,3,5-tris(N-phenylbenzimidazole-2-yl)benzene (TPBI), 3-tert-butyl-9,10-di- 2-naphthylanthracenee (TBADN), distyrylarylene (DSA), Bis(2-(2-hydroxyphenyl)benzo- thiazolate)zinc (Zn(BTZ) 2), E3 below, AND, Compound 1 below, and Compound 2 below.
  • CBP 4,4'-N,N
  • the dopant may be a phosphorescent or fluorescent emitter. Phosphorescent emitters are preferred due to their higher efficiency
  • red dopant examples include PtOEP, Ir(piq) 3, and Btp 21r(acac), but are not limited thereto. These compounds are phosphorescent emitters, however, fluorescent red dopants could also be used.
  • Compound 3 is an example of a fluorescent green emitter and the structure is shown below.
  • Examples of a phosphorescent blue dopant are F 2 Irpic, (F 2 ppy) 2 Ir(tmd) and Ir(dfppz) 3, ter-fluorene, the structures are shown below.
  • 4.4'-bis(4-diphenyl amiostyryl)biphenyl (DPAVBi), 2,5,8,11-tetra-tert-butyl perylene (TBPe), and Compound 4 below are examples of fluorescent blue dopants.
  • the amount of the dopant may be in the range of about 0.01 to about 50 parts by weight, based on 100 parts by weight of the host.
  • the EML may have a thickness of about 10 nm to about 100 nm, for example, about 20 nm to about 60 nm. When the thickness of the EML is within this range, the EML may have excellent light emission, without a substantial increase in driving voltage.
  • HBL Hole blocking layer
  • a hole blocking layer may be formed on the EML, by using vacuum deposition, spin coating, slot-die coating, printing, casting, LB deposition, or the like, in order to prevent the diffusion of triplet excitons or holes into the ETL.
  • the conditions for deposition and coating may be similar to those for the formation of the HIL. However, the conditions for deposition and coating may vary, according to the compound that is used to form the HBL. Any compound that is commonly used to form a HBL may be used. Examples of compounds for forming the HBL include an oxadiazole derivative, a triazole derivative, and a phenanthroline derivative.
  • the HBL may have a thickness of about 5 nm to about 100 nm, for example, about 10 nm to about 30 nm. When the thickness of the HBL is within this range, the HBL may have excellent hole-blocking properties, without a substantial increase in driving voltage.
  • Electron injection layer (EIL)
  • the optional EIL which may facilitates injection of electrons from the cathode, may be formed on the ETL, preferably directly on the electron transport layer.
  • materials for forming the EIL include LiF, NaCl, CsF, Li20, BaO, Ca, Ba, Yb, Mg which are known in the art.
  • Deposition and coating conditions for forming the EIL are similar to those for formation of the HIL, although the deposition and coating conditions may vary, according to a material that is used to form the EIL.
  • the thickness of the EIL may be in the range of about 0.1 nm to 10 nm, for example, in the range of 0.5 nm to 9 nm. When the thickness of the EIL is within this range, the EIL may have satisfactory electron-injecting properties, without a substantial increase in driving voltage.
  • the cathode electrode is formed on the EIL if present.
  • the cathode electrode may be a cathode, which is an electron-injecting electrode.
  • the cathode electrode may be formed of a metal, an alloy, an electrically conductive compound, or a mixture thereof.
  • the cathode electrode may have a low work function.
  • the cathode electrode may be formed of lithium (Li), magnesium (Mg), aluminum (Al), aluminum (Al)-lithium (Li), calcium (Ca), barium (Ba), ytterbium (Yb), magnesium (Mg)-indium (In), magnesium (Mg)-silver (Ag), or the like.
  • the cathode electrode may be formed of a transparent conductive material, such as ITO or IZO.
  • the thickness of the cathode electrode may be in the range of about 5 nm to 1000 nm, for example, in the range of 10 nm to 100 nm.
  • the cathode electrode is in the range of 5 nm to 50 nm, the electrode will transparent even if a metal or metal alloy is used.
  • the injection and transport of the electrons may be controlled, and the holes may be efficiently blocked.
  • the OLED may have long lifetime.
  • an organic light-emitting diode comprising: a substrate; a anode electrode formed on the substrate; a hole injection layer comprising a metal amide according to the invention, a hole transport layer, an emission layer, and a cathode electrode.
  • an organic light-emitting diode comprising: a substrate; a anode electrode formed on the substrate; a hole injection layer comprising a metal amide according to the invention, a hole transport layer, an emission layer, hole blocking layer and a cathode electrode.
  • an organic light-emitting diode comprising: a substrate; a anode electrode formed on the substrate; a hole injection layer comprising a charge neutral metal amide according to the invention, a hole transport layer, an emission layer, hole blocking layer, electron transport layer, and a cathode electrode.
  • an organic light-emitting diode comprising: a substrate; a anode electrode formed on the substrate; a hole injection layer comprising a charge neutral metal amide according to the invention, a hole transport layer, an emission layer, hole blocking layer, electron transport layer, an electron injection layer, and a cathode electrode.
  • an organic light-emitting diode comprising: at least one layer selected from the group consisting of a hole injection layer, a hole transport layer, an emission layer, a hole blocking layer, an electron transport layer, exactly in that order between the anode electrode and the cathode electrode.
  • an organic light-emitting diode further comprising an electron injection layer formed between the electron transport layer and the cathode electrode.
  • the OLED may not comprises an electron injection layer.
  • the OLED may not comprises an electron transport layer.
  • the OLED may not comprises an electron transport layer and an electron injection layer.
  • an organic light-emitting diode OLED
  • the method using: - at least one deposition source, preferably two deposition sources and more preferred at least three deposition sources; and/or
  • the processing is selected from spin-coating, printing, casting and/or slot-die coating.
  • the method may further include forming on the anode electrode an hole injection layer, an hole transport layer, an emission layer and a cathode electrode, exactly in that order.
  • the method may further include forming on the anode electrode an hole injection layer, an hole transport layer, an emission layer, an electron transport layer, and a cathode electrode, exactly in that order.
  • the method may further include forming on the anode electrode an hole injection layer, an hole transport layer, hole blocking layer, an emission layer, an electron transport layer, and a cathode electrode, exactly in that order.
  • the method may further include the steps for forming an organic light-emitting diode (OLED), wherein
  • a hole blocking layer is formed
  • an electron transport layer is formed, preferably an electron transport layer stack,
  • an electron injection layer is formed between the electron transport layer and the cathode electrode.
  • the method of manufacturing the OLED may comprise the steps:
  • the hole injection layer according to the invention is deposited on an anode layer, an optional hole transport layer is deposited on the hole injection layer, an emission layer is deposited on the hole transport layer, an optional hole blocking layer is deposited on the emission layer, an optional electron transport layer is deposited on the hole blocking layer, an optional electron injection layer is deposited on the electron transport layer and a cathode is deposited on the electron injection layer, wherein the layers are arranged in that order and sandwiched between the anode and the cathode.
  • the layers are deposited the other way around, starting with the cathode, and sandwiched between the cathode and the anode.
  • the anode electrode and/or the cathode electrode can be deposit on a substrate.
  • the anode is deposit on a substrate.
  • FIG. 1 is a schematic sectional view of an organic light-emitting diode (OLED), according to an exemplary embodiment of the present invention
  • FIG. 2 is a schematic sectional view of an OLED, according to an exemplary embodiment of the present invention.
  • FIG. 3 is a schematic sectional view of an OLED, according to an exemplary embodiment of the present invention.
  • FIG. 4 is an overview of metal amides based on general Formula la that can be used according to the invention.
  • Fig. 5 is an overview of metal amides that can be used according to the invention
  • Fig. 6 is an overview of metal amides that can be used according to the invention
  • FIG. 7 is an overview of metal amides that can be used according to the invention
  • Fig. 8 is an overview of metal amides that can be used according to the invention with specific A 1 and A2 , wherein A 1 and A2 are selected different, wherein A 1 is S0 2 and A 2 is POR 8
  • first element when a first element is referred to as being formed or disposed "on" a second element, the first element can be disposed directly on the second element, or one or more other elements may be disposed there between.
  • first element when referred to as being formed or disposed "directly on” a second element, no other elements are disposed there between.
  • FIG. 1 is a schematic sectional view of an organic light-emitting diode (OLED) 100, according to an exemplary embodiment of the present invention.
  • the OLED 100 includes a substrate 110. On the substrate 110 an anode 120 is disposed. On the anode 120 a hole injection layer 130 containing or consisting of a metal amide compound according to the invention is disposed and thereon a hole transport layer 140. Onto the hole transport layer 140 an emission layer 150 and an cathode electrode 190, exactly in this order, are disposed.
  • FIG. 2 is a schematic sectional view of an organic light-emitting diode (OLED) 100, according to an exemplary embodiment of the present invention.
  • the OLED 100 includes a substrate 110, a first electrode 120, a hole injection layer (HIL) 130, a hole transport layer (HTL) 140, an emission layer (EML) 150, an electron transport layer (ETL) 161.
  • the electron transport layer (ETL) 161 is formed directly on the EML 150.
  • a cathode electrode 190 is disposed onto the electron transport layer (ETL) 161 .
  • FIG. 3 is a schematic sectional view of an OLED 100, according to another exemplary embodiment of the present invention. Fig. 3 differs from Fig. 2 in that the OLED 100 of Fig. 3 comprises a hole blocking layer (HBL) 155 and an electron injection layer (E1L) 180.
  • HBL hole blocking layer
  • E1L electron injection layer
  • the OLED 100 includes a substrate 110, an anode electrode 120, a hole injection layer (HIL) 130, a hole transport layer (HTL) 140, an emission layer (EML) 150, a hole blocking layer (HBL) 155, an electron transport layer (ETL) 161, an electron injection layer (EIL) 180 and a cathode electrode 190.
  • the layers are disposed exactly in the order as mentioned before.
  • an OLED of the present invention is started with a substrate 110 onto which an anode electrode 120 is formed, on the anode electrode 120, an hole injection layer 130, hole transport layer 140, an emission layer 150, optional a hole blocking layer 155, optional at least one electron transport layer 161, optional at least one electron injection layer 180, and a cathode electrode 190 are formed, exactly in that order or exactly the other way around.
  • a sealing layer may further be formed on the cathode electrodes 190, in order to seal the OLEDs 100.
  • various other modifications may be applied thereto.
  • a 15 ⁇ /cm glass substrate (available from Corning Co.) with 100 nm ITO was cut to a size of 50 mm x 50 mm x 0.7 mm, ultrasonically washed with isopropyl alcohol for 5 minutes and then with pure water for 5 minutes, and washed again with UV ozone for 30 minutes, to prepare a first electrode.
  • the anode electrode was formed from 100 nm silver on glass which was prepared by the same methods as described above.
  • the hole injection layer, triaryl amine compound andcharge neutral metal amide compound according to the examples of Table 6 was vacuum co-deposited on the ITO electrode, to form a HIL having a thickness according to the examples 1 to 22 and comparative examples 1 to 5 of tables 6, 7 and 8.
  • the corresponding hole injection layer according to the examples 1 to 22 and comparative examples 1 to 5 of tables 6, 7 and 8 was vacuum deposited on the HIL, to form a HTL having a thickness as mentioned in tables 6, 7 and 8, respectively.
  • the wt.-% of the HIL-compound/s and HTL-compound according to the examples 1 to 22 and comparative examples 1 to 5 can be taken from Tables 6, 7 and 8 below, whereby the wt.-% amount of the HIL-compound/s is 100 wt.-% based on the total weight amount of the HIL-layer, and the wt.-% amount of the HTL-compound/s is 100 wt.-% based on the total weight amount of the HTL-layer, if no not indicated otherwise the wt.-% of the components are indicated in Tables 6, 7 and 8, respectively. That means that the HIL according to examples 1 to 22 consist of the triarylamine compound and metal amide compound according to the invention. However, the hole injection layer may comprises traces of the compound of the hole transport layer, due to the process of manufacture.
  • the ETL-layer of matrix compound of 50 wt.-% MX 2 and 50 wt.-% LiQ (50 wt.-% : 50 wt.-%) having a thickness of 36 nm is formed by deposing the matrix compound from a first deposition source and the lithium organic complex or lithium halide from a second deposition source directly on the EML.
  • the cathode was evaporated at ultra-high vacuum of 10 "7 bar. Therefore, a thermal single co -evaporation of one or several metals was performed with a rate of 0, 1 to 10 nm/s (0,01 to 1 A/s ) in order to generate a homogeneous cathode with a thickness of 5 to 1000 nm.
  • the cathode electrode was formed from 13 nm magnesium (90 vol.- %)-silver (10 vol.-%) alloy.
  • the cathode electrode was formed from 100 nm aluminum.
  • the OLED stack is protected from ambient conditions by encapsulation of the device with a glass slide. Thereby, a cavity is formed, which includes a getter material for further protection.
  • the current efficiency is measured under ambient conditions (20°C). Current voltage
  • a calibrated spectrometer CAS 140 from Instrument Systems is used for measurement of CIE coordinates and brightness in Candela.
  • Lifetime LT of the device is measured at ambient conditions (20°C) and 15 mA/cm 2 , using a Keithley 2400 sourcemeter, and recorded in hours.
  • the brightness of the device is measured using a calibrated photo diode.
  • the lifetime LT is defined as the time till the brightness of the device is reduced to 97 % of its initial value.
  • the emission is predominately Lambertian and quantified in percent external quantum efficiency (EQE).
  • EQE percent external quantum efficiency
  • the emission In top emission devices, the emission is forward directed, non-Lambertian and also highly dependent on the mirco-cavity. Therefore, the efficiency EQE will be higher compared to bottom emission devices.
  • To determine the efficiency EQE in % the light output of the device is measured using a calibrated photodiode at 15 mA/cm .
  • HIL very thick hole injection layers
  • Table 7 is shown the effect of the HIL and HTL thickness on performance of bottom emission devices.
  • the thickness of the layers is selected in such a way that the sum of the thickness of HIL and HTL is kept constant at 130 nm. Thereby, the cavity does not change and light outcoupling and efficiency EQE are not impacted.
  • the compound CNHAT (CAS 105598-27-4) has been used as a hole injection layer.
  • a 10 nm layer of CNHAT was used.
  • the efficiency EQE of 4.9 % was obtained at a voltage of 5.4 V.
  • the efficiency EQE of 4.2 % was achieved at 4.7 V. In summary, the efficiency EQE is reduced at thicknesses which would level out non- uniformities.
  • Example 9 to 15 shows the effect of increased thickness of the HIL comprising triarylamine T-3 and metal amide Li(TFSI) on efficiency, voltage and voltage stability over time.
  • the efficiency is always higher than the efficiency obtained for devices containing a CNHAT HIL layer.
  • the efficiency EQE remains constant for a HIL thickness ranging from 20 to 120 nm.
  • the voltage for a 20 nm HIL layer is slightly higher compared to the comparative examples but surprisingly, the voltage decreases to 4.8 to 4.9 V for thicker layers (example 10 to 15).
  • the voltage stability of all examples is at an acceptable level, for example less than 0.35V over 50 hours stability test at 15 mA/cm .
  • Mg(TFSI) 2 , Mn(TFSI) 2 and Li(cTFSI) (CAS 189217-62-7).
  • the efficiency EQE is always higher than for comparative example 3 with CNHAT. Particularly high efficiency is obtained for a Ag(TFSI) doped HIL (example 18), while the lowest voltage and least voltage increase over time is achieved for Mg(TFSI) and Mn(TFSI) 2 (example 17 and 19, respectively).
  • HTL for example band-gap or triplet level
  • HTL materials of different OLEDs may differ in their HOMO level. Consequently, a good hole injection layer enables hole injection in to a large variety of HTL materials.
  • HTLs which show low performance with the fluorescent blue EML used here may show unique performance with a different EML composition, for example phosphorescent blue or green EML, or for TADF (thermally activated delayed fluorescence) emitters.
  • the hole injection performance is evaluated relative to CNHAT which is not suitable for injection into deep HOMO HTLs.
  • CNHAT HIL is used together with deeper HOMO triarylamine compound T-8 (HOMO -5.25 eV) and T-9 (HOMO -5.33 eV).
  • both open-chain and cyclic amide ligands show the desired effect (Li(TFSI) compared to Li(cTFSI), example 16 and 20, respectively).
  • the invention is particularly useful for efficient hole injection into deeper HOMO HTLs which are required for OLEDs which rely on phosphorescent or TADF emitters, in particular green and blue emitters.
  • OLED organic light-emitting diode
  • EML emission layer
  • An organic light-emitting diode (OLED) comprising more than one emission layer is also described as a tandem OLED or stacked OLED.
  • OLED organic light-emitting diode
  • a device comprising organic light-emitting diodes (OLED) is for example a display or a lighting panel.

Landscapes

  • Chemical & Material Sciences (AREA)
  • Physics & Mathematics (AREA)
  • Engineering & Computer Science (AREA)
  • Materials Engineering (AREA)
  • Optics & Photonics (AREA)
  • Spectroscopy & Molecular Physics (AREA)
  • Inorganic Chemistry (AREA)
  • Electroluminescent Light Sources (AREA)

Abstract

The present invention relates to a hole injection layer for an OLED comprising a triarylamine compound doped with a charge neutral metal amide compound, characterized in that the hole injection layer has a thickness of at least about ≥ 20 nm to about ≤ 1000 nm and the charge neutral metal amide compound has the Formula Ia.

Description

TITLE
Triaryl amine thick layer doped with metal amides for use as HIL for an Organic light- emitting diode (OLED)
DESCRIPTION
The present invention relates to a triaryl amine thick layer doped with a metal amide for use as hole injection layer (HIL) for an Organic light-emitting diode (OLED), and a method of manufacturing Organic light-emitting diode (OLED) comprising the triaryl amine thick layer HIL doped with a metal amide.
DESCRIPTION OF THE RELATED ART
Organic solar cell as disclosed in EP 1 209 708 Al having the general structure:
substrate+EM/HTM/dye/SOL/EM, or
substrate+EM/SOL/dye/HTM/EM, or
substrate+EM/HTM/SOL/EM,
in which EM is the electrode material that may be a transparent conductive oxide (TCO) or metal, with at least one of the EM layer(s) of the cell being a TCO, HTM is the hole transport material, SOL is a semiconducting oxide layer, "dye" is a suitable dye, and the SOL layer is vapor deposited.
US 2013/0330632 Al refers to electrochemical devices comprising complexes of cobalt comprising at least one ligand with a 5- or six membered, N-containing heteroring. The complex are useful as p- and n-dopants, as over of electrochemical devices, in particular in organic semiconductors. The complexes are further useful as over-discharge prevention and overvoltage protection agents.
Organic light-emitting diodes (OLEDs), which are self-emitting devices, have a wide viewing angle, excellent contrast, quick response, high brightness, excellent driving voltage characteristics, and color reproduction. A typical OLED includes an anode, a hole injection layer (HIL), a hole transport layer (HTL), an emission layer (EML), an electron transport layer (ETL), and a cathode, which are sequentially stacked on a substrate. In this regard, the HIL, the HTL, the EML, and the ETL are thin films formed from organic compounds.
When a voltage is applied to the anode and the cathode, holes injected from the anode move to the EML, via the HIL and HTL, and electrons injected from the cathode move to the EML, via the ETL. The holes and electrons recombine in the EML to generate excitons. When the excitons drop from an excited state to a ground state, light is emitted. The injection and flow of holes and electrons should be balanced, so that an OLED having the above- described structure has excellent efficiency and/or a long lifetime.
Dipyrazino[2,3 :2',3'-/z]quinoxaline-2,3,6,7,10,l 1-hexacarbonitrile (CNHAT (CAS 105598-27-4)) having the Formula A, which is typically used as hole injection layer has several drawbacks.
Figure imgf000003_0001
For example, if the HOMO level of the hole transport layer of an OLED comprising a CNHAT HIL-layer is further away from the vacuum level, the voltage of the OLED is too high. Further, effective hole injection even into very deep HOMO HTLs, that means the HOMO is further away from vacuum level, is not sufficiently achieved.
Efficient hole injection into very deep HOMO levels enables the use of high efficiency emission layers, in particular phosphorescent blue and green emitters and emission which relies on TADF (thermally activated delayed fluorescence).
Thus, it is still desired to provide a hole injection layer material that more effectively promotes the hole injection over a broader range of HOMO levels to vacuum level from the HIL-layer into the hole transport layer (HTL).
Additionally, it is still desired to provide a thick hole injection layer material that provides an effective smoothing layer and thereby provides a pinhole-free basis for deposition of subsequent layers, so that defect-free OLEDs can be obtained even if the substrate is nonuniform. SUMMARY
Aspects of the present invention provide a method of reducing the drive voltage and improving the voltage stability over time, especially for blue emitting OLEDs , and/or the external quantum efficiency EQE, for top and/or bottom emission organic light-emitting diodes (OLED). The invention relates to a hole injection layer (HIL) for use for an Organic light-emitting diode (OLED). The invention relates further to an organic light-emitting diode (OLED) comprising an anode, a hole injection layer (HIL), a hole transport layer (HTL), an emission layer (EML), optional a hole blocking layer (HBL), optional an electron transport layer (ETL), optional an electron injection layer (EIL), and a cathode as well as a method of manufacturing the same.
According to an aspect of the present invention, there is provided a hole injection layer (HIL) for an OLED comprising a triarylamine compound doped with a charge neutral metal amide compound, wherein the hole injection layer has a thickness of at least about > 20 nm to about < 1000 nm and the charge neutral metal amide com ound has the Formula la:
Figure imgf000004_0001
(la),
wherein:
G = halide O, alkoxylate or amine of Formula Ila to He:
Figure imgf000004_0002
are independently selected from the group comprising H, Ci to C2o alkyl, Ci to C2o heteroalkyl, unsubstituted or Ci to C12 substituted C6 to C20 aryl, unsubstituted or Ci to C12 substituted heteroaryl with 5 to 20 ring- forming atoms, halogenated or perhalogenated Ci to C20 alkyl, halogenated or perhalogenated Ci to C20 heteroalkyl, halogenated or perhalogenated C6 to C20 aryl, halogenated or perhalogenated heteroaryl with 5 to 20 ring- forming atoms; or at least one R1 and R4 and/or R2 and R3 and/or R1 and R5 are bridged and form a 5 to 20 member ring;
m = 0, 1 , 2, 3 or 4;
M = a metal selected from the group comprising alkali metal, alkaline earth metal,
Al, Ga, In, transition metal or rare earth metal;
L = charge neutral ligand which coordinates to the metal M, selected from the
group comprising H20, C2 to C4o mono- or multi-dentate ethers and C2 to C40 thioethers, C2 to C40 amines, C2 to C40 phosphine, C2 to C2o alkyl nitrile or C2 to C4o aryl nitrile, or a compound according to Formula (III);
Figure imgf000005_0001
R6
(HI),
wherein R6 and R7 are independently selected from Ci to C2o alkyl, Ci to C2o heteroalkyl, C6 to C2o aryl, heteroaryl with 5 to 20 ring-forming atoms, halogenated or perhalogenated Ci to C2o alkyl, halogenated or perhalogenated Ci to C2o heteroalkyl, halogenated or perhalogenated C6 to C2o aryl, halogenated or perhalogenated heteroaryl with 5 to 20 ring-forming atoms, or at least one R6 and R7 are bridged and form a 5 to 20 member ring, or the two R6 and/or the two R7 are bridged and form a 5 to 40 member ring or form a 5 to 40 member ring comprising an unsubstituted or Ci to C12 substituted phenanthroline;
p = 0, 1 , 2 or 3;
A1, A2, A3 and A4 are independently selected from CO, S02 or POR ;
Q
R = electron withdrawing group selected from the group comprising halide, nitrile, halogenated or perhalogenated Ci to C2o alkyl, halogenated or perhalogenated C6 to C2o aryl, or halogenated or perhalogenated heteroaryl with 5 to 20 ring- forming atoms;
n = 1 , 2, 3, 4 or 5;
B1, B2, B3 and B4 are same or independently selected from substituted or unsubstituted Ci to C2o alkyl, substituted or unsubstituted Ci to C2o heteroalkyl, substituted or unsubstituted C6 to C2o aryl, substituted or unsubstituted C5 to C2o
1 2
heteroaryl, or B and B are bridged; 1 2
wherein B and B are bridged, then:
- M, N, A 1 , B1 , B2 , A 2 and N form a 7 to 10 member ring according to Formula lb;
Figure imgf000006_0001
N, A 1 , B1 , B2 and A 2 form a 5 to 10 member ring according to Formula Ic,
Figure imgf000006_0002
- N, A 1 , B1 , B2 and A 2 form a first 5 to 10 member ring and B 1 and B2 form a second 5 to 20 member ring according to Formula Id:
Figure imgf000006_0003
According to another aspect of the present invention, there is provided a hole injection layer (HIL) for an OLED, wherein the hole injection layer comprises one triarylamine compound.
According to another aspect of the present invention, there is provided a hole injection layer (HIL) for an OLED, wherein the hole injection layer comprises one charge neutral metal amide compound.
According to another aspect of the present invention, there is provided a hole injection layer (HIL) for an OLED, wherein the hole injection layer comprises one triarylamine compound and one charge neutral metal amide compound.
According to another aspect of the present invention, there is provided a hole injection layer (HIL) for an OLED comprising a triarylamine compound with a HOMO more negative than -5 eV and more positive than -6 eV, when measured by cyclic voltammetry in
dichloromethane vs. Fc/Fc+, preferably more negative than -5.05 eV and more positive than - 5.9 eV. Under these conditions the HOMO of spiro-MeO-TAD (CAS 207739-72-8) is -4.71 eV.
According to another aspect of the present invention, there is provided a hole injection layer (HIL) for an OLED comprising a triarylamine compound with an oxidation potential more positive than - 0.2 V and more negative than 1.22 V, when measured by cyclic voltammetry in dichloromethane vs. Fc/Fc+, preferably more positive than - 0.18 V and more negative than 1.12 V. Under these conditions the oxidation potential of spiro-MeO-TAD (CAS 207739-72-8) is -0.07 V.
According to another aspect of the present invention, there is provided a hole injection layer (HIL) for an OLED comprising a triarylamine compound doped with a charge neutral metal amide compound, wherein the hole injection layer has a thickness of at least about > 20 nm to about < 1000 nm and the char e neutral metal amide compound has the Formula la:
Figure imgf000007_0001
(la),
wherein:
G = halide, O, alkoxylate or amine of Formula Ila to He:
Figure imgf000007_0002
(Ila) (lib) (lie) (lid) (He);
R1 to R5 are independently selected from the group comprising H, Ci to C2o alkyl, Ci to
C2o heteroalkyl, unsubstituted or Ci to C12 substituted C6 to C20 aryl, unsubstituted or Ci to C12 substituted heteroaryl with 5 to 20 ring- forming atoms, halogenated or perhalogenated Ci to C20 alkyl, halogenated or perhalogenated Ci to C20 heteroalkyl, halogenated or perhalogenated C6 to C20 aryl, halogenated or perhalogenated heteroaryl with 5 to 20 ring- forming atoms; or
at least one R1 and R4 and/or R2 and R3 and/or R1 and R5 are bridged and form a 5 to 20 member ring;
m = 0, 1 , 2, 3 or 4; a metal selected from the group comprising alkali metal, alkaline earth metal, Al, Ga, In, transition metal or rare earth metal;
charge neutral ligand which coordinates to the metal M, selected from the group comprising H20, C2 to C40 mono- or multi-dentate ethers and C2 to C40 thioethers, C2 to C40 amines, C2 to C40 phosphine, C2 to C20 alkyl nitrile or C2 to C40 aryl nitrile, or a compound according to Formula (III);
6
Figure imgf000008_0001
R6
(HI),
wherein R6 and R7 are independently selected from Ci to C20 alkyl, Ci to C20 heteroalkyl, C6 to C20 aryl, heteroaryl with 5 to 20 ring-forming atoms, halogenated or perhalogenated Ci to C20 alkyl, halogenated or perhalogenated Ci to C2o heteroalkyl, halogenated or perhalogenated C6 to C20 aryl, halogenated or perhalogenated heteroaryl with 5 to 20 ring-forming atoms, or at least one R6 and R7 are bridged and form a 5 to 20 member ring, or the two R6 and/or the two R7 are bridged and form a 5 to 40 member ring or form a 5 to 40 member ring comprising an unsubstituted or Ci to C12 substituted phenanthroline;
p = 0, 1, 2 or 3;
A1, A2, A3 and A4 are independently selected from CO, S02 or POR ;
Q
R = electron withdrawing group selected from the group comprising halide, nitrile, halogenated or perhalogenated Ci to C20 alkyl, halogenated or perhalogenated C6 to C2o aryl, or halogenated or perhalogenated heteroaryl with 5 to 20 ring- forming atoms;
n = 1, 2, 3, 4 or 5;
B3 and B4 are same or independently selected from substituted or unsubstituted Ci to C20 alkyl, substituted or unsubstituted Ci to C20 heteroalkyl, substituted or unsubstituted C6 to C20 aryl, substituted or unsubstituted C5 to C20 heteroaryl;
1 2
B and B" are bridged, wherein: - M, N, A 1 , B1 , B2 , A 2 and N form a 7 to 10 member ring according to Formula lb;
Figure imgf000009_0001
N, A 1 , B1 , B2 and A 2 form a 5 to 10 member ring according to Formula Ic,
Figure imgf000009_0002
- N, A 1 , B1 , B2 and A 2 form a first 5 to 10 member ring and B 1 and B2 form a second 5 to 20 member ring according to Formula Id:
Figure imgf000009_0003
According to another aspect of the present invention, there is provided a hole injection layer (HIL) comprising a triarylamine compound doped with a charge neutral metal amide compound, wherein the hole injection layer has a thickness of at least about > 20 nm to about
< 1000 nm;
- wherein the triarylamine compound has the Formula Vila:
Figure imgf000009_0004
wherein:
1 2
Ar and Ar = independently selected from substituted or unsubstituted C6 to C2o arylene;
Ar3 and Ar4 = independently selected from substituted or unsubstituted C6 to C20 aryl; Ar5 and Ar6 = independently selected from substituted or unsubstituted C6 to C20 aryl or C5 to C4o heteroaryl; R9 = a single chemical bond, a unsubstituted or substituted Ci to C6 alkyl and unsubstituted or substituted Ci to C5 heteroalkyl;
q = 0, 1 or 2;
r = 0 or 1 ;
wherein
- the substituents for Ar1 to Ar6 are independently selected from Ci to C2o alkyl, Ci to C2o heteroalkyl, or halide; and
- the substitutents for R9 are independently selected from Ci to C6 alkyl, Ci to C5 heteroalkyl, C6 to C20 aryl and C5 to C20 heteroaryl;
wherein the charge neutral metal amide compound has the Formula la:
Figure imgf000010_0001
(la),
wherein:
G = halide O, alkoxylate or amine of Formula Ila to He:
Figure imgf000010_0002
(Ila) (lib) (lie) (lid) (He);
R1 to R5 are independently selected from the group comprising H, Ci to C20 alkyl, Ci to
C2o heteroalkyl, unsubstituted or Ci to C12 substituted C6 to C20 aryl, unsubstituted or Ci to C12 substituted heteroaryl with 5 to 20 ring- forming atoms, halogenated or perhalogenated Ci to C20 alkyl, halogenated or perhalogenated Ci to C20 heteroalkyl, halogenated or perhalogenated C6 to C20 aryl, halogenated or perhalogenated heteroaryl with 5 to 20 ring- forming atoms; or
at least one R1 and R4 and/or R2 and R3 and/or R1 and R5 are bridged and form a 5 to 20 member ring;
m = 0, 1, 2, 3 or 4; a metal selected from the group comprising alkali metal, alkaline earth metal, Al, Ga, In, transition metal or rare earth metal;
wherein the bond between N and the metal M is a covalent bond or N forms a non-covalent interaction to the metal M;
charge neutral ligand which coordinates to the metal M, selected from the group comprising H20, C2 to C40 mono- or multi-dentate ethers and C2 to C40 thioethers, C2 to C40 amines, C2 to C40 phosphine, C2 to C20 alkyl nitrile or C2 to C40 aryl nitrile, or a compound according to Formula (III);
Figure imgf000011_0001
(HI),
wherein R6 and R7 are independently selected from Ci to C20 alkyl, Ci to C20 heteroalkyl, C6 to C20 aryl, heteroaryl with 5 to 20 ring-forming atoms, halogenated or perhalogenated Ci to C20 alkyl, halogenated or perhalogenated Ci to C2o heteroalkyl, halogenated or perhalogenated C6 to C20 aryl, halogenated or perhalogenated heteroaryl with 5 to 20 ring-forming atoms, or at least one R6 and R7 are bridged and form a 5 to 20 member ring, or the two R6 and/or the two R7 are bridged and form a 5 to 40 member ring or form a 5 to 40 member ring comprising an unsubstituted or Ci to C12 substituted phenanthroline;
p = 0, 1, 2 or 3;
A1, A2, A3 and A4 are independently selected from CO, S02 or POR ;
Q
R = electron withdrawing group selected from the group comprising halide, nitrile, halogenated or perhalogenated Ci to C20 alkyl, halogenated or perhalogenated C6 to C2o aryl, or halogenated or perhalogenated heteroaryl with 5 to 20 ring- forming atoms;
n = 1, 2, 3, 4 or 5;
B1, B2, B3 and B4 are same or independently selected from substituted or unsubstituted Ci to C2o alkyl, substituted or unsubstituted Ci to C20 heteroalkyl, substituted or unsubstituted C6 to C20 aryl, substituted or unsubstituted C5 to C20 heteroaryl, or B 1 and B 2 are bridged;
1 2
wherein B and B are bridged, then: - M, N, A 1 , B1 , B2 , A 2 and N form a 7 to 10 member ring according to Formula lb;
Figure imgf000012_0001
N, A 1 , B1 , B2 and A 2 form a 5 to 10 member ring according to Formula Ic,
Figure imgf000012_0002
- N, A 1 , B1 , B2 and A 2 form a first 5 to 10 member ring and B 1 and B2 form a second 5 to 20 member ring accordin to Formula Id:
Figure imgf000012_0003
According to another aspect of the present invention, there is provided a hole injection layer (HIL) comprising a triarylamine compound doped with a charge neutral metal amide compound, wherein the hole injection layer has a thickness of at least about > 20 nm to about < 1000 nm;
- wherein the triarylamine compound has the Formula Vila
Figure imgf000012_0004
wherein:
1 2
Ar and Ar = independently selected from substituted or unsubstituted C6 to C2o arylene;
Ar3 and Ar4 = independently selected from substituted or unsubstituted C6 to C20 aryl; Ar5 and Ar6 = independently selected from substituted or unsubstituted C6 to C20 aryl or C5 to C4o heteroaryl; R9 = a single chemical bond, a unsubstituted or substituted Ci to C6 alkyl and unsubstituted or substituted Ci to C5 heteroalkyl;
q = 0, 1 or 2;
r = 0 or 1 ;
wherein
- the substituents for Ar1 to Ar6 are independently selected from Ci to C2o alkyl, Ci to C2o heteroalkyl, or halide; and
- the substitutents for R9 are independently selected from Ci to C6 alkyl, Ci to C5 heteroalkyl, C6 to C20 aryl and C5 to C20 heteroaryl;
wherein the charge neutral metal amide compound has the Formula la:
Figure imgf000013_0001
(la),
wherein:
G = halide O, alkoxylate or amine of Formula Ila to He:
Figure imgf000013_0002
(Ila) (lib) (lie) (lid) (He);
R1 to R5 are independently selected from the group comprising H, Ci to C20 alkyl, Ci to
C2o heteroalkyl, unsubstituted or Ci to C12 substituted C6 to C20 aryl, unsubstituted or Ci to C12 substituted heteroaryl with 5 to 20 ring- forming atoms, halogenated or perhalogenated Ci to C20 alkyl, halogenated or perhalogenated Ci to C20 heteroalkyl, halogenated or perhalogenated C6 to C20 aryl, halogenated or perhalogenated heteroaryl with 5 to 20 ring- forming atoms; or
at least one R1 and R4 and/or R2 and R3 and/or R1 and R5 are bridged and form a 5 to 20 member ring;
m = 0, 1, 2, 3 or 4; a metal selected from the group comprising alkali metal, alkaline earth metal, Al, Ga, In, transition metal or rare earth metal;
wherein the bond between N and the metal M is a covalent bond or N forms a non-covalent interaction to the metal M;
charge neutral ligand which coordinates to the metal M, selected from the group comprising H20, C2 to C40 mono- or multi-dentate ethers and C2 to C40 thioethers, C2 to C40 amines, C2 to C40 phosphine, C2 to C20 alkyl nitrile or C2 to C40 aryl nitrile, or a compound according to Formula (III);
Figure imgf000014_0001
(HI),
wherein R6 and R7 are independently selected from Ci to C20 alkyl, Ci to C20 heteroalkyl, C6 to C20 aryl, heteroaryl with 5 to 20 ring-forming atoms, halogenated or perhalogenated Ci to C20 alkyl, halogenated or perhalogenated Ci to C2o heteroalkyl, halogenated or perhalogenated C6 to C20 aryl, halogenated or perhalogenated heteroaryl with 5 to 20 ring-forming atoms, or at least one R6 and R7 are bridged and form a 5 to 20 member ring, or the two R6 and/or the two R7 are bridged and form a 5 to 40 member ring or form a 5 to 40 member ring comprising an unsubstituted or Ci to C12 substituted phenanthroline;
p = 0, 1, 2 or 3;
A1, A2, A3 and A4 are independently selected from CO, S02 or POR ;
Q
R = electron withdrawing group selected from the group comprising halide, nitrile, halogenated or perhalogenated Ci to C20 alkyl, halogenated or perhalogenated C6 to C2o aryl, or halogenated or perhalogenated heteroaryl with 5 to 20 ring- forming atoms;
n = 1, 2, 3, 4 or 5;
B1, B2, B3 and B4 are same or independently selected from substituted or unsubstituted Ci to C2o alkyl, substituted or unsubstituted Ci to C20 heteroalkyl, substituted or unsubstituted C6 to C20 aryl, substituted or unsubstituted C5 to C20 heteroaryl, or B 1 and B 2 are bridged;
1 2
wherein B and B are bridged, then: - M, N, A 1 , B1 , B2 , A 2 and N form a 7 to 10 member ring according to Formula lb;
Figure imgf000015_0001
N, A 1 , B1 , B2 and A 2 form a 5 to 10 member ring according to Formula Ic,
Figure imgf000015_0002
- N, A 1 , B1 , B2 and A 2 form a first 5 to 10 member ring and B 1 and B2 form a second 5 to 20 member ring accordin to Formula Id:
Figure imgf000015_0003
wherein in the hole injection layer (HIL) the wt.-% of the triarylamine compound according to Formula Vila is higher than the wt.-% of the charge neutral metal amide compound according to Formula la; wherein the weight-% of the components are based on the total weight of the hole injection layer.
It has been surprisingly found that the thick hole injection layer (HIL) of a
triarylamine compound doped with a metal amide improves performance of OLEDs compared to a thick hole injection layer (HIL) of CNHAT (Dipyrazino[2,3- 2',3'-/z]quinoxaline- 2,3,6,7,10,11-hexacarbonitrile (CAS 105598-27-4)). CNHAT is a standard hole injection layer. Surprisingly, a hole injection layer (HIL) of a triarylamine compound doped with a metal amide of at least 20 nm are required to achieve good voltage stability.
It has been found that the thickness of the triarylamine hole injection layer (HIL) doped with an metal amide can be selected very thick, for example up to 450 nm, without a dramatic increase in voltage.
It has been further found that the thick hole injection layer (HIL) of a triarylamine compound doped with a metal amide according to the invention may be beneficially used for large area lighting panels, where the ITO is not sufficiently conductive, for example a copper grid.
Additionally, the thick hole injection layer material according to the invention may provide an effective smoothing layer and thereby provides a pinhole-free basis for deposition of subsequent layers. Thereby, defect-free OLEDs can be obtained even if the substrate is non-uniform.
In particular, the invention may provide an uniform hole injection layer on top of an anode layer which comprises metal oxides, for example indium-tin oxide (ITO), or a metal grid.
Further, the thick hole injection layer (HIL) of a triarylamine compound doped with a metal amide inserted between the anode and the hole transport layer effectively promotes hole injection into the hole transport layer. For example, if the HOMO level of the hole transport layer is further away from vacuum level, the performance of metal amides is superior to CNHAT, in particular the voltage. Furthermore, effective hole injection even into very deep HOMO HTLs (HOMO further away from vacuum level) can be achieved. This cannot be achieved with prior art materials, such as CNHAT, which is typically used as a HIL material. Efficient hole injection into very deep HOMO levels enables the use of high efficiency emission layers, in particular phosphorescent blue and green emitters and emission which relies on TADF (thermally activated delayed fluorescence).
A very deep HOMO in the sense of the present invention is a HOMO which is more negative than -5 eV, preferably more negative than -5.2 eV when measured by cyclic voltammetry in dichloromethane vs. Fc/Fc+.
According to another aspect of the present invention, there is provided a hole injection layer (HIL) comprising a triarylamine compound doped with a charge neutral metal amide compound, wherein the hole injection layer has a thickness of at least about > 20 nm to about < 1000 nm;
- wherein the triarylamine com ound has the Formula Vila:
Figure imgf000016_0001
(Vila),
wherein:
1 2
Ar and Ar = independently selected from substituted or unsubstituted C6 to C2o arylene; Ar3 and Ar4 = independently selected from substituted or unsubstituted C6 to C2o aryl; Ar5 and Ar6 = independently selected from substituted or unsubstituted C6 to C20 aryl or C5 to C40 heteroaryl;
R9 = a single chemical bond, a unsubstituted or substituted Ci to C6 alkyl; q = 0, 1 or 2;
r = 0 or 1 ;
wherein
- the substituents for Ar1 to Ar6 are independently selected from Ci to C20 alkyl or halide; and
- the substitutents for R9 are independently selected from Ci to C6 alkyl, C6 to C20 aryl and C5 to C20 heteroaryl;
wherein the charge neutral metal amide compound has the Formula la:
Figure imgf000017_0001
(la),
wherein:
G = halide O, alkoxylate or amine of Formula Ila to He:
Figure imgf000017_0002
R1 to R5 are independently selected from the group comprising H, Ci to C20 alkyl, Ci to
C2o heteroalkyl, unsubstituted or Ci to C12 substituted C6 to C20 aryl, unsubstituted or Ci to C12 substituted heteroaryl with 5 to 20 ring- forming atoms, halogenated or perhalogenated Ci to C20 alkyl, halogenated or perhalogenated Ci to C20 heteroalkyl, halogenated or perhalogenated C6 to C20 aryl, halogenated or perhalogenated heteroaryl with 5 to 20 ring- forming atoms; or
at least one R1 and R4 and/or R2 and R3 and/or R1 and R5 are bridged and form a 5 to 20 member ring; m = 0, 1 , 2, 3 or 4;
M = a metal selected from the group comprising alkali metal, alkaline earth metal,
Al, Ga, In, transition metal or rare earth metal;
wherein the bond between N and the metal M is a covalent bond or N forms a non-covalent interaction to the metal M;
L = charge neutral ligand which coordinates to the metal M, selected from the
group comprising H20, C2 to C4o mono- or multi-dentate ethers and C2 to C40 thioethers, C2 to C40 amines, C2 to C40 phosphine, C2 to C2o alkyl nitrile or C2 to C4o aryl nitrile, or a compound according to Formula (III);
Figure imgf000018_0001
R6
(HI),
wherein R6 and R7 are independently selected from Ci to C2o alkyl, Ci to C2o heteroalkyl, C6 to C2o aryl, heteroaryl with 5 to 20 ring-forming atoms, halogenated or perhalogenated Ci to C2o alkyl, halogenated or perhalogenated Ci to C2o heteroalkyl, halogenated or perhalogenated C6 to C2o aryl, halogenated or perhalogenated heteroaryl with 5 to 20 ring-forming atoms, or at least one R6 and R7 are bridged and form a 5 to 20 member ring, or the two R6 and/or the two R7 are bridged and form a 5 to 40 member ring or form a 5 to 40 member ring comprising an unsubstituted or Ci to C12 substituted phenanthroline;
p = 0, 1 , 2 or 3;
A1, A2, A3 and A4 are independently selected from CO, S02 or POR ;
Q
R = electron withdrawing group selected from the group comprising halide, nitrile, halogenated or perhalogenated Ci to C2o alkyl, halogenated or perhalogenated C6 to C2o aryl, or halogenated or perhalogenated heteroaryl with 5 to 20 ring- forming atoms;
n = 1 , 2, 3, 4 or 5;
B1, B2, B3 and B4 are same or independently selected from substituted or unsubstituted Ci to C2o alkyl, substituted or unsubstituted Ci to C2o heteroalkyl, substituted or unsubstituted C6 to C2o aryl, substituted or unsubstituted C5 to C2o
1 2
heteroaryl, or B and B are bridged; 1 2
wherein B and B are bridged, then:
- M, N, A 1 , B1 , B2 , A 2 and N form a 7 to 10 member ring according to Formula lb;
Figure imgf000019_0001
N, A 1 , B1 , B2 and A 2 form a 5 to 10 member ring according to Formula Ic,
Figure imgf000019_0002
- N, A 1 , B1 , B2 and A 2 form a first 5 to 10 member ring and B 1 and B2 form a second 5 to 20 member ring accordin to Formula Id:
Figure imgf000019_0003
The organic light-emitting diode (OLED) can be a bottom emission OLED or a top emission OLED.
For the following defined terms, these definitions shall be applied, unless a different definition is given in the claims or elsewhere in this specification.
The bond between N and the metal M, as indicated for example in Formula la, lb, lc, and Id, can be a covalent bond or N forms a non-covalent interaction to the metal M. Without being bond to a specific theory it is assumed by the inventors that this kind of compounds may form a covalent bond between N and M or N forms a non-covalent interaction to the metal M, as can be seen from the example below:
Figure imgf000020_0001
The dotted line and/or an arrow symbolizes a non-covalent interaction. A non-covalent interaction differs from a covalent bond in that it does not involve the sharing of electrons, but rather involves more dispersed variations of electromagnetic interactions between molecules or within a molecule. Non-covalent interactions can be generally classified into four categories, electrostatic, π-effects, van der Waals forces, and hydrophobic effects.
The voltage, also named U, is measured in Volt (V) at 10 milliAmpere per square centimeter (mA/cm 2 ) in bottom emission devices and at 15 niA/cm 2 in top emission devices.
The voltage stability over time U(50 h)-U(0 h) is measured in Volt (V) at 15 mA/cm2. To calculate the voltage stability over time, the voltage at the start of the stability test (U(0 h)) is subtracted from the voltage after 50 hours (h) (U(50 h)). The smaller the value U(50 h)-U(0 h) is the better is the voltage stability over time.
The external quantum efficiency, also named EQE, is measured in percent (%). The color space is described by coordinates CIE-x and CIE-y (International Commission on Illumination 1931). For blue emission the CIE-y is of particular importance. A smaller CIE-y denotes a deeper blue color.
The highest occupied molecular orbital, also named HOMO, and lowest unoccupied molecular orbital, also named LUMO, are measured in electron volt (eV).
The term "OLED" and "organic light-emitting diode" is simultaneously used and having the same meaning.
The term "transition metal" means and includes any element in the d-block of the periodic table, which includes groups 3 to 12 elements on the periodic table.
As used herein,„weight percent",„wt.-%",„percent by weight",„% by weight", and variations thereof refer to a composition, component, substance or agent as the weight of that composition, component, substance or agent of the respective electron transport layer divided by the total weight of the composition thereof and multiplied by 100. It is understood that the total weight percent amount of all components, substances or agents of the respective electron transport layer are selected such that it does not exceed 100 wt.-%. As used herein,„volume percent",„vol.-%",„percent by volume",„% by volume", and variations thereof refer to an elemental metal, a composition, component, substance or agent as the volume of that elemental metal, component, substance or agent of the respective electron transport layer divided by the total volume of the respective electron transport layer thereof and multiplied by 100. It is understood that the total volume percent amount of all elemental metal, components, substances or agents of the respective electron transport layer are selected such that it does not exceed 100 vol.-%.
All numeric values are herein assumed to be modified by the term "about", whether or not explicitly indicated. As used herein, the term "about" refers to variation in the numerical quantity that can occur. Whether or not, modified by the term„about", the claims include equivalents to the quantities.
It should be noted that, as used in this specification and the appended claims, the singular forms„a",„an", and„the" include plural referents unless the content clearly dictates otherwise.
The term "free of, "does not contain", "does not comprise" does not exclude impurities. Impurities have no technical effect with respect to the object achieved by the present invention.
The term "alkyl" refers to straight-chain or branched alkyl groups.
The term " 1 to 20 carbon atoms" as used herein refers to straight-chain or branched alkyl groups having 1 to 20 carbon atoms. The alkyl groups can be selected from the group comprising methyl, ethyl and the isomers of propyl, butyl or pentyl, such as isopropyl, isobutyl, tert.-butyl, sec. -butyl and/or isopentyl. The term "aryl" refers to aromatic groups for example phenyl or naphthyl.
Herein, when a first element is referred to as being formed or disposed "on" a second element, the first element can be disposed directly on the second element or one or more other elements may be disposed there between. When a first element is referred to as being formed or disposed "directly on" a second element, no other elements are disposed there between.
According to another aspect, there is provided a hole injection layer (HIL) comprising a triarylamine compound doped with a charge neutral metal amide compound, wherein the hole injection layer has a thickness of at least about > 20 nm to about < 1000 nm:
- wherein the triarylamine compound has the Formula Vila:
Figure imgf000022_0001
wherein:
1 2
Ar and Ar = independently selected from substituted or unsubstituted C6 to C2o arylene;
Ar3 and Ar4 = independently selected from substituted or unsubstituted C6 to C20 aryl; Ar5 and Ar6 = independently selected from substituted or unsubstituted C6 to C20 aryl or C5 to C4o heteroaryl;
R9 = a single chemical bond, a unsubstituted or substituted Ci to C6 alkyl and unsubstituted or substituted Ci to C5 heteroalkyl;
q = 0, 1 or 2;
r = 0 or 1 ;
wherein
- the substituents for Ar1 to Ar6 are independently selected from Ci to C20 alkyl, Ci to C2o heteroalkyl, or halide; and
- the substitutents for R9 are independently selected from Ci to C6 alkyl, Ci to C5 heteroalkyl, C6 to C20 aryl and C5 to C20 heteroaryl;
- wherein the charge neutral metal amide compound has the Formula la:
Figure imgf000022_0002
(la),
wherein:
G = halide O, alkoxylate or amine of Formula Ila to He:
Figure imgf000022_0003
(lib) (lie) (lid) (He); are independently selected from the group comprising H, Ci to C20 alkyl, Ci to C2o heteroalkyl, unsubstituted or Ci to C12 substituted C6 to C20 aryl, unsubstituted or Ci to C12 substituted heteroaryl with 5 to 20 ring- forming atoms, halogenated or perhalogenated Ci to C2o alkyl, halogenated or perhalogenated Ci to C20 heteroalkyl, halogenated or perhalogenated C6 to C20 aryl, halogenated or perhalogenated heteroaryl with 5 to 20 ring- forming atoms; or
at least one R1 and R4 and/or R2 and R3 and/or R1 and R5 are bridged and form a 5 to 20 member ring;
0, 1, 2, 3 or 4;
a metal selected from the group comprising alkali metal, alkaline earth metal, Al, Ga, In, transition metal or rare earth metal;
wherein the bond between N and the metal M is a covalent bond or N forms a non-covalent interaction to the metal M;
charge neutral ligand which coordinates to the metal M, selected from the group comprising H20, C2 to C4o mono- or multi-dentate ethers and C2 to C40 thioethers, C2 to C40 amines, C2 to C40 phosphine, C2 to C20 alkyl nitrile or C2 to C4o aryl nitrile, or a compound according to Formula (III);
Figure imgf000023_0001
(HI),
wherein R6 and R7 are independently selected from Ci to C20 alkyl, Ci to C20 heteroalkyl, C6 to C20 aryl, heteroaryl with 5 to 20 ring-forming atoms, halogenated or perhalogenated Ci to C20 alkyl, halogenated or perhalogenated Ci to C2o heteroalkyl, halogenated or perhalogenated C6 to C20 aryl, halogenated or perhalogenated heteroaryl with 5 to 20 ring-forming atoms, or at least one R6 and R7 are bridged and form a 5 to 20 member ring, or the two R6 and/or the two R7 are bridged and form a 5 to 40 member ring or form a 5 to 40 member ring comprising an unsubstituted or Ci to C12 substituted phenanthroline;
p = 0, 1, 2 or 3;
A1, A2, A3 and A4 are independently selected from CO, S02 or POR ;
R = electron withdrawing group selected from the group comprising halide, nitrile, halogenated or perhalogenated Ci to C20 alkyl, halogenated or perhalogenated C6 to C2o aryl, or halogenated or perhalogenated heteroaryl with 5 to 20 ring- forming atoms;
n = 1, 2, 3, 4 or 5;
B1, B2, B3 and B4 are same or independently selected from substituted or unsubstituted Ci to C20 alkyl, substituted or unsubstituted Ci to C2o heteroalkyl, substituted or unsubstituted C6 to C2o aryl, substituted or unsubstituted C5 to C2o heteroaryl. According to another aspect there is provided a hole injection layer for an OLED comprising a charge neutral metal amide compound, wherein the charge neutral metal amide compound has the Formula lb, Ic or Id:
wherein:
1 2
B and B are bridged;
B3 and B4 are same or independently selected from substituted or unsubstituted Ci to C2o alkyl, substituted or unsubstituted Ci to C2o heteroalkyl, substituted or unsubstituted C6 to C2o aryl, substituted or unsubstituted C5 to C2o heteroaryl;
- M, N, A 1 , B1 , B2 , A 2 and N form a 7 to 10 member rin according to Formula lb;
Figure imgf000024_0001
- N, A 1 , B1 , B2 and A 2 form a 5 to 10 member ring according to Formula Ic,
Figure imgf000024_0002
- N, A 1 , B1 , B2 and A 2 form a first 5 to 10 member ring and B 1 and B2 form a second 5 to 20 member ring according to Formula Id:
Figure imgf000024_0003
wherein: G = halide, O, alkoxylate or amine of Formula Ila to He:
Figure imgf000025_0001
(Ila) (lib) (lie) (lid) (He); are independently selected from the group comprising H, Ci to C2o alkyl, Ci to C2o heteroalkyl, unsubstituted or Ci to C12 substituted C6 to C20 aryl, unsubstituted or Ci to C12 substituted heteroaryl with 5 to 20 ring- forming atoms, halogenated or perhalogenated Ci to C20 alkyl, halogenated or perhalogenated Ci to C20 heteroalkyl, halogenated or perhalogenated C6 to C20 aryl, halogenated or perhalogenated heteroaryl with 5 to 20 ring- forming atoms; or
at least one R1 and R4 and/or R2 and R3 and/or R1 and R5 are bridged and form a 5 to 20 member ring;
m =
M = a metal selected from the group comprising alkali metal, alkaline earth metal,
Al, Ga, In, transition metal or rare earth metal;
wherein the bond between N and the metal M is a covalent bond or N forms a non-covalent interaction to the metal M;
charge neutral ligand which coordinates to the metal M, selected from the group comprising H20, C2 to C4o mono- or multi-dentate ethers and C2 to C40 thioethers, C2 to C40 amines, C2 to C40 phosphine, C2 to C20 alkyl nitrile or C2 to C4o aryl nitrile, or a compound according to Formula (III);
Figure imgf000025_0002
heteroalkyl, C6 to C20 aryl, heteroaryl with 5 to 20 ring-forming atoms, halogenated or perhalogenated Ci to C20 alkyl, halogenated or perhalogenated Ci to C2o heteroalkyl, halogenated or perhalogenated C6 to C20 aryl, halogenated or perhalogenated heteroaryl with 5 to 20 ring-forming atoms, or at least one R6 and R7 are bridged and form a 5 to 20 member ring, or the two R6 and/or the two R7 are bridged and form a 5 to 40 member ring or form a 5 to 40 member ring comprising an unsubstituted or Ci to C12 substituted phenanthroline;
p = 0, 1, 2 or 3;
A1, A2, A3 and A4 are independently selected from CO, S02 or POR ;
R = electron withdrawing group selected from the group comprising halide, nitrile, halogenated or perhalogenated Ci to C20 alkyl, halogenated or perhalogenated C6 to C2o aryl, or halogenated or perhalogenated heteroaryl with 5 to 20 ring- forming atoms;
n = 1, 2, 3, 4 or 5;
wherein the hole injection layer comprises:
- at least about > 1 wt.-% to about < 50 wt.-%, preferably about > 1 wt.-% to about < 25 wt.- %, and more preferred about > 2 wt.-% to about < 15 wt.-%, of a charge neutral metal amide compound according to Formula la, and
- at least about > 50 wt.-% to about < 99 wt.-%, preferably about > 75 wt.-% to about < 99 wt.-%, and more preferred about > 85 wt.-% to about < 98 wt.-%, of a triarylamine compound according to Formula Vila; wherein the weight-% of the components are based on the total weight of the hole injection layer.
According to another aspect there is provided a hole injection layer (HIL) comprising a triarylamine compound doped with a charge neutral metal amide compound, wherein the hole injection layer has a thickness of at least about > 20 nm to about < 1000 nm:
- wherein the triarylamine compound has the Formula Vila:
Figure imgf000026_0001
wherein:
Ar1 and Ar2 independently selected from substituted or unsubstituted C6 to C20 arylene;
Ar3 and Ar4 = independently selected from substituted or unsubstituted C6 to C20 aryl; Ar5 and Ar6 = independently selected from substituted or unsubstituted C6 to C20 aryl or C5 to C4o heteroaryl; R9 = a single chemical bond, a unsubstituted or substituted Ci to C6 alkyl and unsubstituted or substituted Ci to C5 heteroalkyl;
q = 0, 1 or 2;
r = 0 or 1 ;
wherein
- the substituents for Ar1 to Ar6 are independently selected from Ci to C2o alkyl, Ci to C2o heteroalkyl, or halide; and
- the substitutents for R9 are independently selected from Ci to C6 alkyl, Ci to C5 heteroalkyl, C6 to C20 aryl and C5 to C20 heteroaryl;
wherein the charge neutral metal amide compound has the Formula lb:
Figure imgf000027_0001
wherein:
1 2
B and B are bridged; and
1 1 2 2
M, N, A , B , B , A and N form a 7 to 10 member ring according to Formula lb;
Figure imgf000027_0002
wherein:
G = halide, O, alkoxylate or amine of Formula Ila to He:
Figure imgf000027_0003
(Ila) (lib) (lie) (lid) (He); R1 to R5 are independently selected from the group comprising H, Ci to C2o alkyl, Ci to C2o heteroalkyl, unsubstituted or Ci to C12 substituted C6 to C20 aryl, unsubstituted or Ci to C12 substituted heteroaryl with 5 to 20 ring- forming atoms, halogenated or perhalogenated Ci to C20 alkyl, halogenated or perhalogenated Ci to C20 heteroalkyl, halogenated or perhalogenated C6 to C20 aryl, halogenated or perhalogenated heteroaryl with 5 to 20 ring- forming atoms; or
at least one R1 and R4 and/or R2 and R3 and/or R1 and R5 are bridged and form a 5 to 20 member ring;
m = 0, 1, 2, 3 or 4;
M = a metal selected from the group comprising alkali metal, alkaline earth metal,
Al, Ga, In, transition metal or rare earth metal;
wherein the bond between N and the metal M is a covalent bond or N forms a non-covalent interaction to the metal M;
L = charge neutral ligand which coordinates to the metal M, selected from the group comprising H20, C2 to C4o mono- or multi-dentate ethers and C2 to C40 thioethers, C2 to C40 amines, C2 to C40 phosphine, C2 to C20 alkyl nitrile or C2 to C4o aryl nitrile, or a compound according to Formula (III);
Figure imgf000028_0001
R6
(HI),
wherein R6 and R7 are independently selected from Ci to C20 alkyl, Ci to C20 heteroalkyl, C6 to C20 aryl, heteroaryl with 5 to 20 ring-forming atoms, halogenated or perhalogenated Ci to C20 alkyl, halogenated or perhalogenated Ci to C2o heteroalkyl, halogenated or perhalogenated C6 to C20 aryl, halogenated or perhalogenated heteroaryl with 5 to 20 ring-forming atoms, or at least one R6 and R7 are bridged and form a 5 to 20 member ring, or the two R6 and/or the two R7 are bridged and form a 5 to 40 member ring or form a 5 to 40 member ring comprising an unsubstituted or Ci to C12 substituted phenanthroline;
p = 0, 1, 2 or 3;
1 2 8
A and A are independently selected from CO, S02 or POR ; R = electron withdrawing group selected from the group comprising halide, nitrile, halogenated or perhalogenated Ci to C20 alkyl, halogenated or perhalogenated C6 to C20 aryl, or halogenated or perhalogenated heteroaryl with 5 to 20 ring- forming atoms;
n = 1 , 2, 3, 4 or 5.
According to another aspect there is provided a hole injection layer (HIL) comprising a triarylamine compound doped with a charge neutral metal amide compound, wherein the hole injection layer has a thickness of at least about > 20 nm to about < 1000 nm:
- wherein the triarylamine compound has the Formula Vila:
Figure imgf000029_0001
wherein:
1 2
Ar and Ar = independently selected from substituted or unsubstituted C6 to C20 arylene;
Ar3 and Ar4 = independently selected from substituted or unsubstituted C6 to C2o aryl; Ar5 and Ar6 = independently selected from substituted or unsubstituted C6 to C2o aryl or C5 to C40 heteroaryl;
a single chemical bond, a unsubstituted or substituted Ci to C6 alkyl and unsubstituted or substituted Ci to C5 heteroalkyl;
q = 0, 1 or 2;
r = 0 or 1 ;
wherein
- the substituents for Ar1 to Ar6 are independently selected from Ci to C2o alkyl, Ci to C2o heteroalkyl, or halide; and
- the substitutents for R9 are independently selected from Ci to C6 alkyl, Ci to C5 heteroalkyl, C6 to C2o aryl and C5 to C2o heteroaryl;
- wherein the charge neutral metal amide com ound has the Formula Ic:
Figure imgf000029_0002
wherein: 1 2
B and B are bridged; and
1 1 2 2
N, A , B , B and A form a 5 to 10 member ring according to Formula Ic,
Figure imgf000030_0001
wherein:
G = halide O, alkoxylate or amine of Formula Ila to He:
Figure imgf000030_0002
(lib) (lie) (lid) are independently selected from the group comprising H, Ci to C2o alkyl, Ci to C2o heteroalkyl, unsubstituted or Ci to C12 substituted C6 to C2o aryl, unsubstituted or Ci to C12 substituted heteroaryl with 5 to 20 ring- forming atoms, halogenated or perhalogenated Ci to C2o alkyl, halogenated or perhalogenated Ci to C2o heteroalkyl, halogenated or perhalogenated C6 to C2o aryl, halogenated or perhalogenated heteroaryl with 5 to 20 ring- forming atoms; or
at least one R1 and R4 and/or R2 and R3 and/or R1 and R5 are bridged and form a 5 to 20 member ring;
0, 1 , 2, 3 or 4;
M = a metal selected from the group comprising alkali metal, alkaline earth metal, Al, Ga, In, transition metal or rare earth metal;
wherein the bond between N and the metal M is a covalent bond or N forms a non-covalent interaction to the metal M;
charge neutral ligand which coordinates to the metal M, selected from the group comprising H20, C2 to C4o mono- or multi-dentate ethers and C2 to C40 thioethers, C2 to C40 amines, C2 to C40 phosphine, C2 to C2o alkyl nitrile or C2 to C4o aryl nitrile, or a compound according to Formula (III);
Figure imgf000031_0001
(HI),
wherein R6 and R7 are independently selected from Ci to C2o alkyl, Ci to C20 heteroalkyl, C6 to C20 aryl, heteroaryl with 5 to 20 ring-forming atoms, halogenated or perhalogenated Ci to C20 alkyl, halogenated or perhalogenated Ci to C2o heteroalkyl, halogenated or perhalogenated C6 to C20 aryl, halogenated or perhalogenated heteroaryl with 5 to 20 ring-forming atoms, or at least one R6 and R7 are bridged and form a 5 to 20 member ring, or the two R6 and/or the two R7 are bridged and form a 5 to 40 member ring or form a 5 to 40 member ring comprising an unsubstituted or Ci to C12 substituted phenanthroline;
p = 0, 1, 2 or 3;
1 2 8
A and A are independently selected from CO, S02 or POR ;
Q
R = electron withdrawing group selected from the group comprising halide, nitrile, halogenated or perhalogenated Ci to C20 alkyl, halogenated or perhalogenated C6 to C2o aryl, or halogenated or perhalogenated heteroaryl with 5 to 20 ring- forming atoms;
n = 1, 2, 3, 4 or 5.
According to another aspect there is provided a hole injection layer (HIL) comprising a triarylamine compound doped with a charge neutral metal amide compound, wherein the hole injection layer has a thickness of at least about > 20 nm to about < 1000 nm:
- wherein the triarylamine compound has the Formula Vila:
Figure imgf000031_0002
wherein:
1 2
Ar and Ar = independently selected from substituted or unsubstituted C6 to C20 arylene;
Ar3 and Ar4 = independently selected from substituted or unsubstituted C6 to C20 aryl; Ar5 and Ar6 = independently selected from substituted or unsubstituted C6 to C2o aryl or C5 to C40 heteroaryl;
R9 = a single chemical bond, a unsubstituted or substituted Ci to C6 alkyl and unsubstituted or substituted Ci to C5 heteroalkyl;
q = 0, 1 or 2;
r = 0 or 1 ;
wherein
- the substituents for Ar1 to Ar6 are independently selected from Ci to C20 alkyl, Ci to C2o heteroalkyl, or halide; and
- the substitutents for R9 are independently selected from Ci to C6 alkyl, Ci to C5 heteroalkyl, C6 to C20 aryl and C5 to C20 heteroaryl;
- wherein the charge neutral metal amide com ound has the Formula Id:
Figure imgf000032_0001
wherein:
1 2
B and B are bridged; and
1 1 2 2 1 2
N, A , B , B and A form a first 5 to 10 member ring and B and B form a second 5 to 20 member ring according to Formula Id:
Figure imgf000032_0002
wherein:
G = halide O, alkoxylate or amine of Formula Ila to He:
Figure imgf000032_0003
R1 to R5 are independently selected from the group comprising H, Ci to C20 alkyl, Ci to
C2o heteroalkyl, unsubstituted or Ci to C12 substituted C6 to C20 aryl, unsubstituted or Ci to C12 substituted heteroaryl with 5 to 20 ring- forming atoms, halogenated or perhalogenated Ci to C20 alkyl, halogenated or perhalogenated Ci to C2o heteroalkyl, halogenated or perhalogenated C6 to C20 aryl, halogenated or perhalogenated heteroaryl with 5 to 20 ring- forming atoms; or
at least one R1 and R4 and/or R2 and R3 and/or R1 and R5 are bridged and form a 5 to 20 member ring;
0, 1, 2, 3 or 4;
a metal selected from the group comprising alkali metal, alkaline earth metal, Al, Ga, In, transition metal or rare earth metal;
wherein the bond between N and the metal M is a covalent bond or N forms a non-covalent interaction to the metal M;
charge neutral ligand which coordinates to the metal M, selected from the group comprising H20, C2 to C4o mono- or multi-dentate ethers and C2 to C40 thioethers, C2 to C40 amines, C2 to C40 phosphine, C2 to C20 alkyl nitrile or C2 to C4o aryl nitrile, or a compound according to Formula (III);
Figure imgf000033_0001
(HI),
wherein R6 and R7 are independently selected from Ci to C20 alkyl, Ci to C20 heteroalkyl, C6 to C20 aryl, heteroaryl with 5 to 20 ring-forming atoms, halogenated or perhalogenated Ci to C20 alkyl, halogenated or perhalogenated Ci to C2o heteroalkyl, halogenated or perhalogenated C6 to C20 aryl, halogenated or perhalogenated heteroaryl with 5 to 20 ring-forming atoms, or at least one R6 and R7 are bridged and form a 5 to 20 member ring, or the two R6 and/or the two R7 are bridged and form a 5 to 40 member ring or form a 5 to 40 member ring comprising an unsubstituted or Ci to C12 substituted phenanthroline;
p = 0, 1, 2 or 3;
1 2 8
A and A are independently selected from CO, S02 or POR ;
Q
R = electron withdrawing group selected from the group comprising halide, nitrile, halogenated or perhalogenated Ci to C20 alkyl, halogenated or perhalogenated C6 to C2o aryl, or halogenated or perhalogenated heteroaryl with 5 to 20 ring- forming atoms; n = 1 , 2, 3, 4 or 5.
According to another aspect there is provided a hole injection layer (HIL) comprising a triarylamine compound doped with a charge neutral metal amide compound, wherein the hole injection layer has a thickness of at least about > 20 nm to about < 1000 nm:
- wherein the triarylamine compound has the Formula Vila:
Figure imgf000034_0001
wherein:
1 2
Ar and Ar = independently selected from substituted or unsubstituted C6 to C2o arylene;
Ar3 and Ar4 = independently selected from substituted or unsubstituted C6 to C20 aryl; Ar5 and Ar6 = independently selected from substituted or unsubstituted C6 to C20 aryl or C5 to C4o heteroaryl;
a single chemical bond, a unsubstituted or substituted Ci to C6 alkyl and unsubstituted or substituted Ci to C5 heteroalkyl;
q = 0, 1 or 2;
r = 0 or 1 ;
wherein
- the substituents for Ar1 to Ar6 are independently selected from Ci to C20 alkyl, Ci to C2o heteroalkyl, or halide; and
- the substitutents for R9 are independently selected from Ci to C6 alkyl, Ci to C5 heteroalkyl, C6 to C20 aryl and C5 to C20 heteroaryl;
- wherein the charge neutral metal amide compound has the Formula lb, Ic, or Id:
Figure imgf000035_0001
wherein:
G = halide O, alkoxylate or amine of Formula Ila to He:
Figure imgf000035_0002
are independently selected from the group comprising H, Ci to C20 alkyl, Ci to C20 heteroalkyl, unsubstituted or Ci to C12 substituted C6 to C2o aryl, unsubstituted or Ci to C12 substituted heteroaryl with 5 to 20 ring- forming atoms, halogenated or perhalogenated Ci to C2o alkyl, halogenated or perhalogenated Ci to C2o heteroalkyl, halogenated or perhalogenated C6 to C2o aryl, halogenated or perhalogenated heteroaryl with 5 to 20 ring- forming atoms; or
at least one R1 and R4 and/or R2 and R3 and/or R1 and R5 are bridged and form a 5 to 20 member ring;
0, 1, 2, 3 or 4;
a metal selected from the group comprising alkali metal, alkaline earth metal, Al, Ga, In, transition metal or rare earth metal;
wherein the bond between N and the metal M is a covalent bond or N forms a non-covalent interaction to the metal M; L = charge neutral ligand which coordinates to the metal M, selected from the group comprising H20, C2 to C40 mono- or multi-dentate ethers and C2 to C40 thioethers, C2 to C40 amines, C2 to C40 phosphine, C2 to C20 alkyl nitrile or C2 to C40 aryl nitrile, or a compound according to Formula (III);
Figure imgf000036_0001
(HI),
wherein R6 and R7 are independently selected from Ci to C20 alkyl, Ci to C20 heteroalkyl, C6 to C20 aryl, heteroaryl with 5 to 20 ring-forming atoms, halogenated or perhalogenated Ci to C20 alkyl, halogenated or perhalogenated Ci to C2o heteroalkyl, halogenated or perhalogenated C6 to C20 aryl, halogenated or perhalogenated heteroaryl with 5 to 20 ring-forming atoms, or at least one R6 and R7 are bridged and form a 5 to 20 member ring, or the two R6 and/or the two R7 are bridged and form a 5 to 40 member ring or form a 5 to 40 member ring comprising an unsubstituted or Ci to C12 substituted phenanthroline;
p = 0, 1, 2 or 3;
A1, A2, A3 and A4 are independently selected from CO, S02 or POR ;
Q
R = electron withdrawing group selected from the group comprising halide, nitrile, halogenated or perhalogenated Ci to C20 alkyl, halogenated or perhalogenated C6 to C2o aryl, or halogenated or perhalogenated heteroaryl with 5 to 20 ring- forming atoms;
n = 1, 2, 3, 4 or 5;
B3 and B4 are same or independently selected from substituted or unsubstituted Ci to
C2o alkyl, substituted or unsubstituted Ci to C20 heteroalkyl, substituted or unsubstituted C6 to C20 aryl, substituted or unsubstituted C5 to C20 heteroaryl;
1 2
B and B are bridged,
wherein: - M, N, A 1 , B1 , B2 , A 2 and N form a 7 to 10 member ring according to Formula lb;
Figure imgf000037_0001
N, A 1 , B1 , B2 and A 2 form a 5 to 10 member ring according to Formula Ic,
Figure imgf000037_0002
- N, A 1 , B1 , B2 and A 2 form a first 5 to 10 member ring and B 1 and B2 form a second 5 to 20 member ring accordin to Formula Id:
Figure imgf000037_0003
According to another aspect for the charge neutral metal amide compound according to the invention B1, B2, B3 and B4 can be independently selected from a substituted Ci to C2o alkyl, substituted Ci to C20 heteroalkyl, substituted C6 to C20 aryl, or substituted C5 to C20 heteroaryl; wherein the substituent of the substituted Ci to C20 alkyl, substituted Ci to C20 heteroalkyl, substituted C6 to C20 aryl, or substituted C5 to C20 heteroaryl;
- wherein the substituent can be an electron withdrawing group selected from the group comprising a halide, nitrile, perhalogenated Ci to C20 alkyl, perhalogenated C6 to C20 aryl, perhalogenated heteroaryl with 6 to 20 ring-forming atoms, preferably the electron withdrawing group is a fluoride, perfluroinated Ci to C20 alkyl, perfluorinated C6 to C20 aryl, or perfluorinated heteroaryl with 5 to 20 ring-forming atoms.
In order to increase the vacuum vaporization it can be preferred that according to one embodiment for the charge neutral metal amide compound the substituent can be a Ci to C6 alkyl or Ci to C6 heteroalkyl, and more preferred an Ci to C4 alkyl or Ci to C4 heteroalkyl. In order to improve the solution processing it can be preferred that according to one embodiment for the charge neutral metal amide compound the substituent can be a C4 to C20 alkyl or C4 to C20 heteroalkyl, and more preferred an C6 to C18 alkyl or C6 to C18 heteroalkyl.
According to one aspect the charge neutral ligand L may be selected from the group comprising C2 to C2o glycole ethers, C2 to C2o ethylendiamine derivatives, and more preferred
1 1 2 2
bis(2-methoxyethyl) ether, tetrahydrofurane, tetrahydrothiophen, N ,N ,N ,N -tetramethyl-1 , 2-ethanediamine, N-((E,2E)-2- { [(E)- 1 , 1 -dimethyl ethyljimino} ethylidene)-2-methyl-2- propanamine, acetonitrile, trisphenylphosphine, trismethylphosphine,
tris(cylcohexyl)phosphine, 1 ,2-bis(diphenylphosphino)ethane, bispyridine, phenanthroline, (2E,3E)-N2,N3-diphenylbutane-2,3-diimine or ( \E,2E)-Nl ,N2, 1 ,2-tetraphenylethane- 1 ,2- diimine.
According to one aspect of the charge neutral metal amide compound "m" may be selected that m = 0, 1 or 2.
According to one aspect of the charge neutral metal amide compound "M" may be selected from Li(I), Na(I), K(I), Cs(I), Mg(II), Ca(II), Sr(II), Ba(II), Sc(III), Y(III), Ti(IV), V(III-V), Cr(III-VI), Mn(II), Mn(III), Fe(II), Fe(III), Co(II), Co(III), Ni(II), Cu(I), Cu(II), Zn(II), Ag(I), Au(I), Au(III), Al(III), Ga(III), In(III), Sn(II), Sn(IV), or Pb(II); preferably M is selected from Li (I), Mg (II), Mn (II) or Ag (I); and more preferred M is selected from Mg (II) and Li (I).
According to one aspect of the charge neutral metal amide compound, wherein may be (G)m for m = 1 , then G is CI; or may be (G)m for m = 2, then G is O.
According to one aspect of the charge neutral metal amide compound, wherein may be (G)m-M is Cl-Al, Cl-Mg, 0=V or 02U.
According to one aspect of the charge neutral metal amide compound, wherein may be for n > 2 then:
1 1 2 2
N, A , B , A and B form a 5 to 10 member ring; or
M, N, A1, B1, A2 and B2 form a 7 to 10 member ring; or
M, N, A1, B1, A2 and B2 form a 7 to 10 member ring and A3, B3, A4 and B4 form a 5 to 10 member ring.
According to another aspect the char e neutral ligand L may the Formula la,
Figure imgf000038_0001
(la), wherein:
1 2 8 1
A and A are same or independently selected from CO, POR and S02, preferably A
2 8
and A are selected same from CO, POR , S02; or
1 2 8
A and A are independently selected from CO, POR , S02, and
N, A 1 , B1 , A2 and B 2 form a 5 to 10 member ring.
According to another aspect the charge neutral metal amide compound of the hole injection layer may be selected from at least one compound according to Formula Ila, lib, lie, lid, He, Ilf, Ilg and/or Ilh,
wherein for:
- p = 0, m = 1, 2, 3 or 4 and n = 1, 2, 3 or 4, the charge neutral metal amide compound has the Formula Ila:
Figure imgf000039_0001
p = 1, 2 or 3, and n = 1, 2, 3 or 4 and m = 0, the charge neutral metal amide compound has the Formula lib:
Figure imgf000039_0002
p = l, 2 or 3, n = 1, 2, 3 or 4, m = 1, 2, 3 or 4 and N, A1, B1, B2 and A2 form a 5 to 10 member ring, the charge neutral metal amide compound has the Formula lie:
Figure imgf000039_0003
p = 1, 2 or 3, n = 1, 2, 3 or 4, m = 1, 2, 3 or 4 and N, A1, B1, B2 and A2 form a first 5 to
1 2
10 member ring and B and B are bridged to form a second 5 to 20 member ring, the charge neutral metal amide compound has the Formula lid:
Figure imgf000040_0001
p= l,2or3,n= l,m= 1,2, 3 or 4, and M, N, A1, B1, B2, A2 and N form a 7 to 10 member ring, the charge neutral metal amide compound has the Formula He:
Figure imgf000040_0002
1 1 2 2
p = 1, 2 or 3, n = 1, 2, 3 or 4, m = 0 and N, A , B , B and A form a 5 to 10 member ring, the charge neutral metal amide compound has the Formula Ilf:
Figure imgf000040_0003
(ilf); p = 1, 2 or 3, n = 1, 2, 3 or 4, m = 0 andN, A1, B1, B2 and A2 form a first 5 to 10
1 2
member ring, and B and B are bridged to form a second 5 to 20 member ring, the charge neutral metal amide compound has the Formula Ilg:
Figure imgf000040_0004
- p = 1, 2 or 3, n = 1, m = 0 and M, N, A1, B1, B2, A2 and N form a 7 to 10 member ring, the charge neutral metal amide compound has the Formula Ilh:
Figure imgf000041_0001
According to another aspect the charge neutral metal amide compound of the hole injection layer may be selected from at least one compound according to Formula Ilia, Illb, IIIc, Hid, Hie, Illf, Illg, Illh and/or Illi,
wherein for A 1 and A 2 are S02:
- p = 1, 2 or 3, n = 1, 2, 3 or 4, m = 1, 2, 3 or 4, the charge neutral metal amide compound has the Formula Ilia:
Figure imgf000041_0002
- p = 0, n = 1, 2, 3 or 4, m = 1, 2, 3 or 4, the charge neutral metal amide compound has the Formula Illb:
Figure imgf000041_0003
p = 1, 2 or 3, n = 1, 2, 3 or 4, m = 0, the charge neutral metal amide compound has the Formula IIIc:
Figure imgf000041_0004
p = 1, 2 or 3, n = 1, 2, 3 or 4, m = 1, 2, 3 or 4 and N, S02, B1, B2 and S02 form a 5 to 10 member ring, the charge neutral metal amide compound has the Formula Hid:
Figure imgf000042_0001
p = 1, 2 or 3, n = 1, 2, 3 or 4, m = 1, 2, 3 or 4 and N, S02, B1, B2 and S02 form a first 5 to 10 member ring, and B 1 and B 2 are bridged to form a second 5 to 20 member ring, the charge neutral metal amide compound has the Formula Hie:
Figure imgf000042_0002
p = 1, 2 or 3, n = 1, m = 1, 2, 3 or 4 and M, N, S02, B1, B2, S02 and N form a 7 to 10 member ring, the charge neutral metal amide compound has the Formula Illf:
Figure imgf000042_0003
(Illf);
- p = 1, 2 or 3, n = 1, 2, 3 or 4, m = 0 and N, S02, B 1 , B 2 and S02 form a 5 to 10 member ring, the charge neutral m tal amide compound has the Formula Illg:
Figure imgf000042_0004
- p = 1, 2 or 3, n = 1, 2, 3 or 4, m = 0 and N, S02, B1, B2 and S02 form a first 5 to 10 member ring, and B 1 and B 2 are bridged to form a second 5 to 20 member ring, the charge neutral metal amide compound has the Formula Illh:
Figure imgf000043_0001
- p = 1, 2 or 3, n = 1, 2, 3 or 4, m = 0 and M, N, S02, B1, B2, S02 and N form a 7 to 10 member ring, the charge neutral metal amide compound has the Formula IIIi:
Figure imgf000043_0002
According to another aspect the charge neutral metal amide compound of the hole injection layer may be selected from at least one compound according to Formula IVa, IVb, IVc, IVd and/or IVe,
wherein for A 1 and A2 are POR 8 :
- p = 1 , 2 or 3, m = 1 , 2, 3 or 4 and n = 1 , 2, 3 or 4, the charge neutral metal amide compound has the Formula IVa:
Figure imgf000043_0003
- p = 0, m = 1, 2, 3 or 4 and n = 1, 2, 3 or 4, the charge neutral metal amide compound has the Formula IVb:
Figure imgf000043_0004
- p = l, 2 or 3, m = 0 and n = 1, 2, 3 or 4, the charge neutral metal amide compound has the Formula IVc:
Figure imgf000044_0001
p = 1, 2 or 3, n = 1, 2, 3 or 4, m = 1, 2, 3 or 4 and N, POR8, B1, B2 and POR8 form a 5 to 10 member ring, the charge neutral metal amide compound has the Formula (IVd):
Figure imgf000044_0002
- p = 1, 2 or 3, n = 1, 2, 3 or 4, m = 0 and N, POR8, B1, B2 and POR8 form a 5 to 10 member ring, the charge neutral metal amide com ound has the Formula (IVe):
Figure imgf000044_0003
According to another aspect the charge neutral metal amide compound of the hole injection layer may be selected from at least one compound according to Formula Va, Vb, Vc, Vd, Ve, Vf, Vg, Vh and/or Vi,
wherein for A 1 and A 2 are CO:
- p = 1 , 2 or 3, m = 1 , 2, 3 or 4 and n = 1 , 2, 3 or 4, the charge neutral metal amide compound has the Form la Va:
Figure imgf000044_0004
- p = 0, n = 1, 2, 3 or 4, m = 1, 2, 3 or 4, the charge neutral metal amide compound has the Formula Vb:
Figure imgf000044_0005
(Vb); p=l,2or3,n=l,2,3or4,m = 0, the charge neutral metal amide compound has the Formula Vc:
Figure imgf000045_0001
p = 1, 2 or 3, n = 1, 2, 3 or 4, m = 1, 2, 3 or 4 and N, CO, B1, B2 and CO form a 5 to 10 member ring, the charge neutral metal amide compound has the Formula Vd:
Figure imgf000045_0002
p = 1, 2 or 3, n = 1, 2, 3 or 4, m = 1, 2, 3 or 4 and N, CO, B1, B2 and CO form a first 5 to
1 2
10 member ring, and B and B are bridged to form a second 5 to 20 member ring, the charge neutral metal amide com ound has the Formula Ve:
Figure imgf000045_0003
p= l,2or3,n= l,m= 1,2, 3 or 4 and M, N, CO, B1, B2, CO and N form a 7 to 10 member ring, the charge neutral metal amide com ound has the Formula Vf:
Figure imgf000045_0004
p = 1 , 2 or 3, n = 1 , 2, 3 or 4, m = 0 and N, CO, B 1 , B 2 and CO form a 5 to 10 member ring, the charge neutral metal amide compound has the Formula (Vg):
Figure imgf000046_0001
p = 1, 2 or 3, n = 1, 2, 3 or 4, m = 0 and N, CO, B1, B2 and CO form a first 5 to 10 member ring, and B 1 and B 2 form a second 5 to 20 member ring, the charge neutral metal amide compound has the Formula Vh:
Figure imgf000046_0002
p = l, 2 or 3, n = 1, 2, 3 or 4, m = 0 and M, N, CO, B1, B2, CO and N form a 7 to 10 member ring, the charge neutral metal amide compound has the Formula (Vi):
Figure imgf000046_0003
According to another aspect the charge neutral metal amide compound of the hole injection layer may be selected from at least one compound according to Formula Via, wherein for A1 is S02 and A2 is POR8:
- p = 1 , 2 or 3, m = 1 , 2, 3 or 4 and n = 1 , 2, 3 or 4, the charge neutral metal amide compound has the Formula Via:
Figure imgf000046_0004
According to another aspect the charge neutral metal amide compound of the hole injection layer may be selected from at least one compound according to Formula lb:
Figure imgf000047_0001
wherein:
3 4 8 3
A and A are same or independently selected from CO, POR or S02, preferably A
4 8
and A are selected same from CO, POR or S02;
B3 and B4 are independently selected from substituted or unsubstituted Ci to C20 alkyl, substituted or unsubstituted Ci to C20 heteroalkyl, substituted or unsubstituted C6 to C20 aryl, substituted or unsubstituted C6 to C20 heteroaryl, preferably B3 and B4 are selected same; and
M, N, A1, B1, A2 and B2 form a 7 to 10 member ring.
According to another aspect the charge neutral metal amide compound of the hole injection layer may be selected from at least one compound according to Formula Id, wherein
N, A 1 , B1 , A2 and B 2 form a first 5 to 10 member ring and B 1 and B2 are bridged to form a second ring of a substituted or unsubstituted C6 to C20 aryl, or of a substituted or unsubstituted C6 to C2o heteroaryl ring:
Figure imgf000047_0002
(Id).
According to another aspect the charge neutral metal amide compound of the hole injection layer may be selected from at least one fluorinated compound according to:
- Formula CI to C16, based on general formula la, wherein p = 0, m = 0, n = 1, 2, 3 or 4 and A1 and A2 are S02:
Figure imgf000048_0001
Figure imgf000049_0001
(C14) (C15) (C16)
- Formula C17 to C23, based on general Formula la, wherein n = 1, 2, 3 or 4, A 1 and A 2 are CO:
Figure imgf000049_0002
Figure imgf000049_0003
(CI 9)
Figure imgf000049_0004
(C22) (C23)
Formula C24 to C25, based on general Formula la, wherein n = 1, 2, 3 or 4, A 1 and A 2 are POR8:
Figure imgf000050_0001
According to another aspect the charge neutral metal amide compound of the hole injection layer may be selected from at least one fluorinated compound, based on general formula la, having the Formula Dl to D24:
1 2
wherein p = 0, m = 0, n = 1 , 2, 3 or 4 and A and A are S02:
Figure imgf000050_0002
Figure imgf000050_0003
Figure imgf000050_0004
(D9) (D10) (Dl l)
Figure imgf000050_0005
(D12) (D13)
Figure imgf000051_0001
(D15) (D16) (D17)
Figure imgf000051_0002
(D18) (D19) (D20)
Figure imgf000051_0003
(D21) (D22) (D23)
Figure imgf000051_0004
According to another aspect the charge neutral metal amide compound of the hole injection layer may be selected from at least one fluorinated compound, based on general formula la, having the Formula Fl to F23:
wherein the charge neutral ligand L coordinates to the metal M:
Figure imgf000052_0001
(Fl) (F2) (F3)
Figure imgf000052_0002
(F4) (F5)
Figure imgf000052_0003
(F7) (F8) (F9)
Figure imgf000052_0004
(F10) (Fll) (F12)
Figure imgf000052_0005
Figure imgf000053_0001
Figure imgf000053_0002
(F17),
wherein
R6 and R7 are independently selected from Ci to C20 alkyl, Ci to C20 heteroalkyl, C6 to C20 aryl, heteroaryl with 5 to 20 ring- forming atoms, halogenated or perhalogenated Ci to C20 alkyl, halogenated or perhalogenated Ci to C20 heteroalkyl, halogenated or perhalogenated C6 to C20 aryl, halogenated or perhalogenated heteroaryl with 5 to 20 ring-forming atoms, or at least one R6 and R7 are bridged and form a 5 to 20 member ring , or the two R6 and/or the two R7 are bridged and form a 5 to 40 member ring or form a 5 to 40 member ring comprising an unsubstituted or Ci to C12 substituted phenanthroline.
Charge neutral metal amide compounds which contain a charge-neutral ligand L selected from mono and multidental ethers or amines forming a 5 to 7 membered ring system with the metal, preferably glycole ethers, ethylendiamine derivatives, even more preferred diglyme, and/or N 1 ,N 1 ,N2,N2-tetramethyl- 1 ,2-ethanediamine, N-((E,2E)-2- { [(E)- 1,1- dimethylethyl]imino}ethylidene)-2-methyl-2-propanamine can be preferably used as HIL- material.
Examples of charge neutral metal amides compounds with a charge-neutral ligand L selected from mono and/or multidental ethers or amines that can be preferably used as HIL- material having the Formula Fl, F2, F3, F4, F5 and/or F6:
Figure imgf000053_0003
(Fl) (F2) (F4)
Figure imgf000054_0001
(F5) (F6),
wherein
R6 and R7 are independently selected from Ci to C20 alkyl, Ci to C20 heteroalkyl, C6 to C20 aryl, heteroaryl with 5 to 20 ring- forming atoms, halogenated or perhalogenated Ci to C20 alkyl, halogenated or perhalogenated Ci to C20 heteroalkyl, halogenated or perhalogenated C6 to C20 aryl, halogenated or perhalogenated heteroaryl with 5 to 20 ring-forming atoms, or at least one R6 and R7 are bridged and form a 5 to 20 member ring , or the two R6 and/or the two R7 are bridged and form a 5 to 40 member ring or form a 5 to 40 member ring comprising an unsubstituted or Ci to C12 substituted phenanthroline.
According to another aspect the charge neutral metal amide compound of the hole injection layer may be selected preferably from at least one fluorinated compound, based on general formula la, having the Formula F18 to F23:
Figure imgf000054_0002
(F18) (F19) (F20)
Figure imgf000054_0003
(F21) (F22)
Figure imgf000055_0001
(F23).
According to another aspect the charge neutral metal amide compound of the hole injection layer may be selected preferably from at least one fluorinated compound, based on general formula la, having the Formula F24 to F45:
wherein a halide, O, alkoxylate or amine bonds to the metal M:
Figure imgf000055_0002
(F24) (F25) (F26)
Figure imgf000055_0003
Figure imgf000055_0004
Figure imgf000055_0005
R1 to R5 are independently selected from the group comprising H, Ci to C2o alkyl, Ci to C20 heteroalkyl, unsubstituted or Ci to C12 substituted C6 to C20 aryl, unsubstituted or Ci to C12 substituted heteroaryl with 5 to 20 ring-forming atoms, halogenated or perhalogenated Ci to C20 alkyl, halogenated or perhalogenated Ci to C20 heteroalkyl, halogenated or perhalogenated C6 to C20 aryl, halogenated or perhalogenated heteroaryl with 5 to 20 ring-forming atoms; or at least one R1 and R4 and/or R2 and R3 and/or R1 and R5 are bridged and form a 5 to 20 member cyclic ring.
More preferred are compounds which comprise a ligand G. Ligand G is selected from group VII elements, preferably chloride CI. Furthermore preferred are compounds wherein ligand G is selected from an alkoxylate of formula F30, F31 and F35:
Figure imgf000056_0001
(F30) (F31) (F35),
wherein
R1 is selected from the group comprising H, Ci to C20 alkyl, Ci to C20 heteroalkyl,
unsubstituted or Ci to C12 substituted C6 to C20 aryl, unsubstituted or Ci to C12 substituted heteroaryl with 5 to 20 ring-forming atoms, halogenated or perhalogenated Ci to C20 alkyl, halogenated or perhalogenated Ci to C20 heteroalkyl, halogenated or
perhalogenated C6 to C20 aryl, halogenated or perhalogenated heteroaryl with 5 to 20 ring-forming atoms.
According to another aspect the charge neutral metal amide compound of the hole injection layer may be selected preferably from at least one fluorinated compound, based on general formula la, having the Formula F36 to F46:
Figure imgf000056_0002
Figure imgf000057_0001
(F39) (F40) (F41)
Figure imgf000057_0002
(F42) (F43) (F44)
Figure imgf000057_0003
(F45) (F46).
In Table 1 below metal amide compounds according to formula la are listed, which can be preferably used as hole injection layer (HIL) material.
Table 1
Compounds of formula (la) which can be suitable used for an hole injection layer (HIL)
Metal amide Structure CAS number
Figure imgf000058_0001
Figure imgf000059_0001
Particularly preferred are metal amide compounds for use as HIL-material listed in Table 2.
Table 2
Compounds of formula (la) which can be suitable used for an hole injection layer (HIL)
Figure imgf000060_0001
Figure imgf000061_0001
Figure imgf000062_0001
Figure imgf000063_0001
According to one aspect, the hole injection layer (HIL) may comprises the charge neutral metal amide compound according to formula la, lb, Ic and/or Id in the range of about > 0.1 wt.-% to about < 49 wt.-%, preferably about > 0.5 wt.-% to about < 45 wt.-%, further preferred about > 1 wt.-% to about < 40 wt.-%, in addition preferred about > 1.5 wt.-% to about < 30 wt.-%, or about > 2 wt.-% to about < 20 wt.-%, or about > 2.5 wt.-% to about < 10 wt.-%, or about > 3 wt.-% to about < 7 wt.-%, and more preferred about > 3.5 wt.-% to about < 5 wt.-% or about > 4 wt.-% to about < 4.5 wt.-%.
Triarylamine compounds used in the hole transport layer (HIL)
According to a preferred aspect, the hole injection layer (HIL) comprises a
triarylamine compound having the Formula Vila:
Figure imgf000063_0002
wherein:
1 2
Ar and Ar = independently selected from substituted or unsubstituted C6 to C20 arylene; Ar3 and Ar4 = independently selected from substituted or unsubstituted C6 to C2o aryl; Ar5 and Ar6 = independently selected from substituted or unsubstituted C6 to C2o aryl or
C5 to C40 heteroaryl; R9 = a single chemical bond, a unsubstituted or substituted Ci to C6 alkyl and unsubstituted or substituted Ci to C5 heteroalkyl;
q = 0, 1 or 2;
r = 0 or 1 ;
wherein
- the substituents for Ar1 to Ar6 are independently selected from Ci to C2o alkyl, Ci to C20 heteroalkyl, or halide; and
- the substitutents for R9 are independently selected from Ci to C6 alkyl, Ci to C5 heteroalkyl, C6 to C2o aryl and C5 to C20 heteroaryl.
According to a further preferred aspect, the hole injection layer may comprises a triarylamine compound of Formula Vila, wherein Ar1 and Ar2 are Ph; Ar3 to Ar6 are selected from phenyl, tolyl, xylyl, mesityl, biphenyl, 1-naphthyl, 2-napthyl, 2-( 9,9-dialkyl-fluorenyl), 2-( 9-alkyl-9'-aryl-fluorenyl) and 2-( 9,9-diaryl-fluorenyl); R9 = single bond; r = 1 and q= 1.
According to a further preferred aspect, the hole injection layer may comprises a
1 2
triarylamine compound of Formula Vila, wherein Ar and Ar are independently selected from phenyl and biphenyl; Ar3 to Ar6 are selected from phenyl, tolyl, xylyl, mesityl, biphenyl, 1-naphthyl, 2-napthyl, 2-( 9,9-dialkyl-fluorenyl), 2-( 9-alkyl-9'-aryl-fluorenyl) and 2-( 9,9- diaryl-fluorenyl); R9 = single bond; r = 1 and q= 1.
According to a further preferred aspect, the hole injection layer may comprises a triarylamine compound of Formula Vila, wherein Ar1 and Ar2 are phenyl; Ar3 to Ar6 are selected from phenyl, tolyl, xylyl, mesityl, biphenyl, 1-naphthyl, 2-napthyl, 2-( 9,9-dialkyl- fluorenyl), 2-( 9-alkyl-9'-aryl-fluorenyl) and 2-( 9,9-diaryl-fluorenyl); R9 = 9,9'-fluorenyl; r = 1 and q= 1.
According to a further preferred aspect, the hole injection layer may comprises a triarylamine compound of Formula Vila, wherein Ar1 is phenyl; Ar3 to Ar6 are selected from phenyl, tolyl, xylyl, mesityl, biphenyl, 1-naphthyl, 2-napthyl, 2-( 9,9-dialkyl-fluorenyl), 2-( 9- alkyl-9'-aryl-fluorenyl) and 2-( 9,9-diaryl-fluorenyl); R9 = single bond; r = 0 and q= 1. The substituent on Ar1 is selected from phenyl, biphenyl, 2-( 9,9-dialkyl-fluorenyl), 2-( 9-alkyl-9'- aryl-fluorenyl) and 2-( 9,9-diaryl-fluorenyl).
According to a further preferred aspect, the hole injection layer may comprises a
1 3 2 triarylamine compound of Formula Vila, wherein N, Ar and Ar form a carbazole ring; Ar is phenyl or biphenyl; Ar3 to Ar6 are selected from phenyl, tolyl, xylyl, mesityl, biphenyl, 1- naphthyl, 2-napthyl, 2-( 9,9-dialkyl-fluorenyl), 2-( 9-alkyl-9'-aryl-fluorenyl) and 2-( 9,9- diaryl-fluorenyl); R9 = single bond; r = 1 and q= 1.
Preferably in Formula Vila the q may be selected from 1 or 2.
Compounds of formula Vila that can be suitable used as HIL-material may have an molecular weight suitable for thermal vacuum deposition and HOMO levels that provides a good hole injection performance into the emission layer. Compounds of formula Vila that can be preferably used as HIL-material may have an molecular weight that is about > 243 g/mol and about < 2000 g/mol, even more preferred is about > 412 g/mol and about < 1800 g/mol, also preferred about > 488 g/mol and about < 1500 g/mol.
According to a more preferred embodiment the Ar 1 and Ar 2 of Formula Vila may be independently selected from phenylene, biphenylene, naphthylene, anthranylene,
carbazolylene, or fluorenylene, preferably from phenylene or biphenylene.
According to a more preferred embodiment the Ar3 to Ar6 of Formula Vila may be independently selected from phenyl, biphenyl, terphenyl, quartphenyl, fluorenyl, napthyl, anthranyl, phenanthryl, thiophenyl, fluorenyl, or carbazolyl.
Even more preferred, Ar3 to Ar6 of Formula Vila may be independently selected from phenyl, biphenyl, fluorenyl, napthyl, thiopheneyl, fluorenyl, or carbazolyl.
At least two of Ar1 to Ar6 of Formula Vila may form a cyclic structure, for example Ar1 and Ar3; or Ar1 and Ar4; or Ar2 and Ar5; or Ar2 and Ar6; may be a carbazole, phenazoline or phenoxazine ring.
According to a further preferred embodiment the triarylamine compound having the Formula Vila, wherein:
1 2
Ar and Ar are independently selected from phenylene, biphenylene, naphthylene, anthranylene, carbazolylene and fluorenylene, preferably selected from phenylene and biphenylene;
Ar3 to Ar6 are independently selected from phenyl, biphenyl, terphenyl, quartphenyl, fluorenyl, napthyl, anthranyl, phenanthryl, thiophenyl, fluorenyl, 9- carbazolyl; preferably
Ar3 to Ar6 are independently selected from phenyl, biphenyl, fluorenyl, napthyl, thiophenyl, fluorenyl, carbazolyl.
Furthermore preferred, at least one of Ar1 to Ar6 of Formula Vila may be
unsubstituted, even more preferred at least two of Ar1 to Ar6 of Formula VII may be unsubstituted. According to an additional preferred embodiment the triarylamine compound having the Formula Vila:
- Ar3 and Ar4 and/or Ar5 and Ar6 are linked to form a carbazole, phenazoline or phenoxazine ring.
According to a furthermore preferred embodiment the triarylamine compound has the Formula Vllb to Vllk.
Figure imgf000066_0001
(Vlld) (Vile)
Figure imgf000067_0001
Figure imgf000067_0002
Figure imgf000067_0003
(Vllj) (Vllk).
Compounds of formula Vila, wherein not all Ar to Ar are substituted are particularly suited for vacuum thermal deposition.
Preferably, the hole injection layer (HIL) may comprises a triarylamine compound of formula Vila, wherein the substituents on Ar3 to Ar6 are independently selected from Ci to C alkyl, Ci to C12 alkoxy or halide, preferably from Ci to C8 alkyl or Ci to C8 heteroalkyl, even more preferred from Ci to C5 alkyl or Ci to C5 heteroalkyl. Preferably, the hole injection layer comprises a triarylamine compound of formula Vila, wherein the substituents on Ar3 to Ar6 are independently selected from Ci to C12 alkyl or halide, preferably from Ci to C8 alkyl or fluoride, even more preferred from Ci to C5 alkyl or fluoride. When the substituents are selected from alkyl groups, the HOMO level of the hole injection layer may have a HOMO level suitable for good hole injection into the emission layer, in particular of phosphorescent blue and green emitters and emission which relies on TADF (thermally activated delayed fluorescence) and the OLED may have low voltage, high efficiency and good stability.
Examples of particularly preferred compounds of Formula Vila are shown in Table 3.
Table 3
Triarylamine compounds of formula Vila
Figure imgf000068_0001
Figure imgf000069_0001
Figure imgf000070_0001
According to another aspect, the hole injection layer (HIL) may have a layer thickness of at least about > 30 nm to about < 1000 nm, preferably of about > 40 nm to about < 500 nm, also preferred of about > 50 nm to about < 750 nm.
According to another aspect, the hole injection layer (HIL) may have a layer thickness of at least about > 40 nm to about < 1000 nm, preferably of about > 60 nm to about < 500 nm, also preferred of about > 80 nm to about < 750 nm. According to another aspect, the hole injection layer (HIL) may have a layer thickness of at least about > 70 nm to about < 1000 nm, preferably of about > 90 nm to about < 500 nm, also preferred of about > 100 nm to about < 600 nm.
According to another aspect, the hole injection layer (HIL) may have a layer thickness of at least about > 100 nm to about < 1000 nm, preferably of about > 150 nm to about < 500 nm, also preferred of about > 200 nm to about < 450 nm.
According to another aspect, the hole injection layer (HIL) may comprises:
- at least about > 0.1 wt.-% to about < 50 wt.-%, preferably about > 1 wt.-% to about < 25 wt.-%, and more preferred about > 2 wt.-% to about < 15 wt.-%, of a charge neutral metal amide compound according to Formula la, lb, Ic or Id, and
- at least about > 50 wt.-% to about < 99 wt.-%, preferably about > 75 wt.-% to about < 99 wt.-%, and more preferred about > 85 wt.-% to about < 98 wt.-%, of a triarylamine compound; preferably the wt.-% of the triarylamine compound is higher than the wt.-% of the charge neutral metal amide compound; wherein the weight-% of the components are based on the total weight of the hole injection layer.
According to another aspect, the hole injection layer (HIL) may comprises:
- at least about > 0.5 wt.-% to about < 50 wt.-%, preferably about > 1 wt.-% to about < 25 wt.-%, and more preferred about > 1.5 wt.-% to about < 15 wt.-%, of a charge neutral metal amide compound according to Formula la, lb, Ic or Id, and
- at least about > 50 wt.-% to about < 99.5 wt.-%, preferably about > 75 wt.-% to about < 99 wt.-%, and more preferred about > 85 wt.-% to about < 98.5 wt.-%, of a triarylamine compound; wherein the weight-% of the components are based on the total weight of the hole injection layer.
According to another aspect, the hole injection layer (HIL) may comprises:
- at least about > 0.1 wt.-% to about < 50 wt.-%, preferably about > 1 wt.-% to about < 25 wt.-%, and more preferred about > 2 wt.-% to about < 15 wt.-%, of a charge neutral metal amide compound according to Formula la, lb, Ic or Id, and
- at least about > 50 wt.-% to about < 99 wt.-%, preferably about > 75 wt.-% to about < 99 wt.-%, and more preferred about > 85 wt.-% to about < 98 wt.-%, of a triarylamine compound according to Formula Vila; preferably the wt.-% of the triarylamine compound is higher than the wt.-% of the charge neutral metal amide compound; wherein the weight- % of the components are based on the total weight of the hole injection layer.
According to another aspect, the hole injection layer (HIL) may comprises: - at least about > 0.5 wt.-% to about < 50 wt.-%, preferably about > 1 wt.-% to about < 25 wt.-%, and more preferred about > 1.5 wt.-% to about < 15 wt.-%, of a charge neutral metal amide compound according to Formula la, lb, Ic or Id, and
- at least about > 50 wt.-% to about < 99.5 wt.-%, preferably about > 75 wt.-% to about < 99 wt.-%, and more preferred about > 85 wt.-% to about < 98.5 wt.-%, of a triarylamine compound according to Formula Vila; wherein the weight-% of the components are based on the total weight of the hole injection layer.
According to another aspect, the hole injection layer (HIL) may comprises the triarylamine compound according to Formula Vila in the range of about > 60 wt.-% to about
< 100 wt.-%, further preferred about > 70 wt.-% to about < 100 wt.-%, in addition preferred about > 80 wt.-% to about < 100 wt.-%, or about > 95 wt.-% to about < 100 wt.-%, or about > 98 wt.-% to about < 100 wt.-%, or about > 99 wt.-% to about < 100 wt.-%, and more preferred about > 90 wt.-% to about < 100 wt.-% or about > 95 wt.-% to about < 99 wt.-%.
According to another aspect, the hole injection layer (HIL) may comprises the triarylamine compound according to Formula Vila in the range of about > 70 wt.-% to about
< 100 wt.-%, in addition preferred about > 80 wt.-% to about < 100 wt.-%, or about > 95 wt.- % to about < 100 wt.-%, or about > 98 wt.-% to about < 100 wt.-%, or about > 99 wt.-% to about < 100 wt.-%, and more preferred about > 90 wt.-% to about < 100 wt.-% or about > 95 wt.-% to about < 99 wt.-%.
According to another aspect, the hole injection layer (HIL) may comprises the triarylamine compound according to Formula Vila in the range of about > 80 wt.-% to about
< 100 wt.-%, or about > 95 wt.-% to about < 100 wt.-%, or about > 98 wt.-% to about < 100 wt.-%, or about > 99 wt.-% to about < 100 wt.-%, and more preferred about > 90 wt.-% to about < 100 wt.-% or about > 95 wt.-% to about < 99 wt.-%.
According to another aspect, the hole injection layer (HIL) may comprises the triarylamine compound according to Formula Vila in the range of about > 95 wt.-% to about
< 100 wt.-%, or about > 98 wt.-% to about < 100 wt.-%, or about > 99 wt.-% to about < 100 wt.-%, and more preferred about > 90 wt.-% to about < 100 wt.-% or about > 95 wt.-% to about < 99 wt.-%.
According to another aspect, the hole injection layer (HIL) may comprises the triarylamine compound according to Formula Vila in the range of about > 98 wt.-% to about
< 100 wt.-%, or about > 99 wt.-% to about < 100 wt.-%, and more preferred about > 90 wt.-% to about < 100 wt.-% or about > 95 wt.-% to about < 99 wt.-%. According to another aspect, the hole injection layer (HIL) may comprises the triarylamine compound according to Formula Vila in the range of about > 99 wt.-% to about < 100 wt.-%, and more preferred about > 90 wt.-% to about < 100 wt.-% or about > 95 wt.-% to about < 99 wt.-%.
According to another aspect, the hole injection layer comprises:
- at least about > 1 wt.-% to about < 50 wt.-%, preferably about > 1 wt.-% to about < 25 wt.- %, and more preferred about > 2 wt.-% to about < 15 wt.-%, of a charge neutral metal amide compound according to claims 1 to 18, and
- at least about > 50 wt.-% to about < 99 wt.-%, preferably about > 75 wt.-% to about < 99 wt.-%, and more preferred about > 85 wt.-% to about < 98 wt.-%, of a triarylamine compound; preferably the wt.-% of the triarylamine compound is higher than the wt.-% of the charge neutral metal amide compound; wherein the weight-% of the components are based on the total weight of the hole injection layer; or
- at least about > 1 wt.-% to about < 4 wt.-%, and more preferred about > 2 wt.-% to about < 3 wt.-%, of the charge neutral metal amide compound; and
- at least about < 99 wt.-% to about > 96 wt.-%, and more preferred about < 98 wt.-% to about > 97 wt.-%, of the triarylamine compound; preferably the wt.-% of the triarylamine compound is higher than the wt.-% of the charge neutral metal amide compound; wherein the weight-% of the components are based on the total weight of the hole injection layer.
Compounds used in the hole transport layer (HTL)
The HTL may be formed of any compound that is commonly used to form a HTL. Compound that can be suitably used is disclosed for example in Y. Shirota and H. Kageyama, Chem. Rev. 2007, 107, 953-1010 and incorporated by reference. Examples of the compound that may be used to form the HTL 140 are: a carbazole derivative, such as N-phenylcarbazole or polyvinylcarbazole; an amine derivative having an aromatic condensation ring, such as N,N'-bis(3-methylphenyl)-N,N'-diphenyl-[l,l-biphenyl]-4,4'-diamine (T-l), or Ν,Ν'- di(naphthalene-l-yl)-N,N'-diphenyl benzydine (alpha -NPD, T-4); and a triphenylamine- based compound, such as 4,4',4"-tris(N-carbazolyl)triphenylamine (T-10). Among these compounds, T-10 can transport holes and inhibit excitons from being diffused into the EML.
Other examples of the compounds that may be used forming the HTL 140 are oligothiophenes and phthalocyanines disclosed for example in Yasuhiko Shirota and Hiroshi Kageyama, Chem. Rev. 2007, 107, 953-1010 and in Facchetti, MaterialsToday 10, 2007, 28 and incorporated by reference.
Compounds used in the electron transport layer (ETL)
The OLED according to the present invention may not contain an electron transport layer (ETL). However, the OLED according to the present invention may optional contain an electron transport layer (ETL).
According to various embodiments the OLED may comprises an electron transport layer or an electron transport layer stack comprising at least a first electron transport layer and at least a second electron transport layer.
According to various embodiments of the OLED of the present invention the electron transport layer may comprises at least one matrix compound.
According to various embodiments of the OLED the matrix compound may be selected from:
- an anthracene based compound or a heteroaryl substituted anthracene based compound, preferably 2-(4-(9, 10-di(naphthalen-2-yl)anthracene-2-yl)phenyl)- 1 -phenyl- 1 H- benzo[d]imidazole and/or N4,N4"-di(naphthalen- 1 -yl)-N4,N4"-diphenyl-[ 1 , Γ:4', 1 "- terphenyl]-4,4"-diamine;
- a phosphine oxide based compound, preferably (3-(dibenzo[c,h]acridin-7- yl)phenyl)diphenylphosphine oxide and/or phenyl bis(3-(pyren-l-yl)phenyl)phosphine oxide and/or 3-Phenyl-3H-benzo[b]dinaphtho[2,l-d: r,2'-fJphosphepine-3-oxide; or
- a substituted phenanthroline compound, preferably 2,4,7,9-tetraphenyl- 1,10- phenanthroline, 4,7-diphenyl-2,9-di-p-tolyl-l,10-phenanthroline, or 2,9-di(biphenyl-4-yl)- 4,7-diphenyl- 1 , 10-phenanthroline.
According to various embodiments of the OLED the matrix compound of the electron transport layer may be preferably selected from:
- a phosphine oxide based compound, preferably (3-(dibenzo[c,h]acridin-7- yl)phenyl)diphenylphosphine oxide, 3-phenyl-3H-benzo[b]dinaphtho[2,l-d: l ',2'- f]phosphepine-3 -oxide and/or phenyl bis(3-(pyren-l-yl)phenyl)phosphine oxide; or
- a substituted phenanthroline compound, preferably 2,4,7,9-tetraphenyl- 1,10- phenanthroline, 4, 7-diphenyl-2,9-di-p-tolyl- 1,10-phenanthroline, or 2,9-di(biphenyl-4-yl)- 4,7-diphenyl- 1 , 10-phenanthroline. According to various embodiments of the OLED the matrix compound of the electron transport layer may be more preferred selected from:
- a phosphine oxide based compound, preferably (3-(dibenzo[c,h]acridin-7- yl)phenyl)diphenylphosphine oxide, 3-phenyl-3H-benzo[b]dinaphtho[2,l-d: l ',2'- fJphosphepine-3 -oxide and/or phenyl bis(3-(pyren-l-yl)phenyl)phosphine oxide.
According to various embodiments of the OLED of the present invention the thicknesses of the electron transport layer may be in the range of about > 0.5 nm to about < 95 nm, preferably of about > 3 nm to about < 80 nm, further preferred of about > 5 nm to about < 60 nm, also preferred of about > 6 nm to about < 40 nm, in addition preferred about > 8 nm to about < 20 nm and more preferred of about > 10 nm to about < 18 nm.
According to various embodiments of the OLED of the present invention the thicknesses of the electron transport layer stack can be in the range of about > 25 nm to about < 100 nm, preferably of about > 30 nm to about < 80 nm, further preferred of about > 35 nm to about < 60 nm, and more preferred of about > 36 nm to about < 40 nm.
According to various embodiments of the OLED of the present invention the electron transport layer may comprises:
a) about > 10 wt.-% to about < 70 wt.-%, preferably about > 20 wt.-% to about < 65 wt.- % and also preferred about > 50 wt.-% to about < 60 wt.-% of a lithium halide or an lithium organic complex of a lithium quinolate, a lithium borate, a lithium phenolate and/or a lithium Schiff base, preferably of a lithium quinolate complex has the formula I, II or III:
Figure imgf000075_0001
wherein
- Al to A6 are same or independently selected from CH, CR, N, O, - R is same or independently selected from hydrogen, halogen, alkyl or aryl or heteroaryl with 1 to 20 carbon atoms, and more preferred of a lithium 8- hydroxyquinolate;
b) about < 90 wt.-% to about > 30 wt.-%, preferably about < 80 wt.-% to about > 35 wt.- % and also preferred about < 50 wt.-% to about > 40 wt.-% of a matrix compound of:
- an anthracene based compound or a hetero substituted anthracene based compound, preferably 2-(4-(9, 10-di(naphthalen-2-yl)anthracene-2-yl)phenyl)- 1 -phenyl- 1 H- benzo[d]imidazole and/or N4,N4"-di(naphthalen- 1 -yl)-N4,N4"-diphenyl-[ 1 , Γ:4', 1 "- terphenyl]-4,4"-diamine; or
- a phosphine oxide based compound, preferably (3-(dibenzo[c,h]acridin-7- yl)phenyl)diphenylphosphine oxide and/or phenyl bis(3-(pyren-l- yl)phenyl)phosphine oxide and/or 3-Phenyl-3H-benzo[b]dinaphtho[2,l-d:l ',2'- f]phosphepine-3 -oxide; or
- a substituted phenanthroline compound, preferably 2,4,7,9-tetraphenyl- 1,10- phenanthroline, 4,7-diphenyl-2,9-di-p-tolyl-l,10-phenanthroline, or 2,9- di(biphenyl-4-yl)-4,7-diphenyl- 1 , 10-phenanthroline; whereby
more preferred is a phosphine oxide based compound and most preferred is (3-
(dibenzo[c,h]acridin-7-yl)phenyl)diphenylphosphine oxide;
based on the total weight of the electron transport layer.
According to one embodiment of the OLED, the electron transport layer comprises of about > 50 wt.-% to about < 60 wt.-% of a first lithium halide or a first lithium organic complex and about < 50 wt.-% to about > 40 wt.-% of a matrix compound of:
- a phosphine oxide based compound, preferably (3-(dibenzo[c,h]acridin-7- yl)phenyl)diphenylphosphine oxide, 3-phenyl-3H-benzo[b]dinaphtho[2,l-d: l ',2'- fJphosphepine-3 -oxide and/or phenyl bis(3-(pyren-l-yl)phenyl)phosphine oxide; or
- a substituted phenanthroline compound, preferably 2,4,7,9-tetraphenyl- 1,10- phenanthroline, 4, 7-diphenyl-2,9-di-p-tolyl- 1,10-phenanthroline, or 2,9-di(biphenyl-4- yl)-4,7-diphenyl- 1 , 10-phenanthroline.
The light-emitting diode (OLED) may comprises at least two electrodes, an anode electrode and a second cathode electrode.
The electron transport layer/s or electron transport layer stack is not an electrode. The electron transport layer/s or electron transport layer are sandwiched between two electrodes, namely sandwiched between an anode and a second cathode. The ETL may be formed optional on an EML or on the HBL if the HBL is formed. The ETL includes a first layer including a first lithium halide or a first lithium organic complex; and optional a second electron transport layer including a second lithium halide or a second lithium organic complex, wherein optional the first lithium organic complex is not the same as the second lithium organic complex and wherein the first lithium halide is not the same as the second lithium halide.
The ETL includes a first layer comprising a first matrix compound and a lithium halide or a lithium organic complex; and optional a second electron transport layer comprising a second matrix compound and a metal dopant selected from a group comprising alkali, alkaline earth and rare earth metals.
The ETL includes a first layer comprising a first matrix compound and a lithium halide or a lithium organic complex; and optional a second electron transport layer comprising a second matrix compound and is free of dopant.
The ETL may have a stacked structure, preferably of two ETL-layers, so that injection and transport of electrons may be balanced and holes may be efficiently blocked. In a conventional OLED, since the amounts of electrons and holes vary with time, after driving is initiated, the number of excitons generated in an emission area may be reduced. As a result, a carrier balance may not be maintained, so as to reduce the lifetime of the OLED.
However, in the ETL, the first layer and the second layer may have similar or identical energy levels, so that the carrier balance may be uniformly maintained, while controlling the electron-transfer rate.
Matrix compound for the electron layer that can be suitable used are selected from the group comprising anthracene compounds, preferably 2-(4-(9,10-di(naphthalen-2-yl)anthracen- 2-yl)phenyl)- 1 -phenyl- 1 H-benzo[d]imidazole
Anthracene compounds that can be used as matrix materials are disclosed in US 6878469 B.
Other matrix compounds that can be used are diphenylphosphine oxide, preferably (3- (dibenzo[c,h]acridin-7-yl)phenyl)diphenylphosphine oxide, phenylbis(3-(pyren-l- yl)phenyl)phosphine oxide, 3-phenyl-3H-benzo[b]dinaphtho[2,l-d:r,2'-f]phosphepine-3- oxide, phenyldi(pyren-l-yl)phosphine oxide.
Diphenylphosphine oxide compounds that can be used as matrix materials are disclosed in EP 2395571 Al, WO2013079217 Al, EP 13187905, EP13199361 and
JP2002063989 Al . Other suitable matrix compounds that can be used are phenanthrolme compounds, preferably selected from the group comprising of 2,4,7,9-tetraphenyl-l,10-phenanthroline, 4,7-diphenyl-2,9-di-p-tolyl-l,10-phenanthroline, and 2,9-di(biphenyl-4-yl)-4,7-diphenyl-l,10- phenanthroline. Phenanthrolme compounds that can be used as matrix materials are disclosed in EP 1786050 Al .
The matrix compound of the electron transport layer may be a compound that efficiently transports electrons, such as an anthracene-based compound, diphenylphosphine oxide based compound, or a phenanthrolme based compound, preferably a matrix compound mentioned in Table 4. For example, the matrix compound of the electron transport layer may be selected from the group consisting of Compound 5, a compound represented by Formula 2, and a compound represented by Formula 3 below:
Figure imgf000078_0001
Formula 2
Figure imgf000079_0001
Formula 3
In Formulae 2 and 3, Ri to R6 are each independently a hydrogen atom, a halogen atom, a hydroxy group, a cyano group, a substituted or unsubstituted C1-C30 alkyl group, a substituted or unsubstituted C1-C30 alkoxy group, a substituted or unsubstituted C1-C30 acyl group, a substituted or unsubstituted C2-C30 alkenyl group, a substituted or unsubstituted C2- C30 alkynyl group, a substituted or unsubstituted C6-C30 aryl group, or a substituted or unsubstituted C3-C30 heteroaryl group. At least two adjacent Ri to R6 groups are optionally bonded to each other, to form a saturated or unsaturated ring. Li is a bond, a substituted or unsubstituted C1-C30 alkylene group, a substituted or unsubstituted C6-C30 arylene group, or a substituted or unsubstituted C3-C30 hetero arylene group. Qi through Q are each
independently a hydrogen atom, a substituted or unsubstituted C6-C30 aryl group, or a substituted or unsubstituted C3-C30 hetero aryl group, and "a" is an integer from 1 to 10.
For example, Ri to R6 may be each independently selected from the group consisting of a hydrogen atom, a halogen atom, a hydroxy group, a cyano group, a methyl group, an ethyl group, a propyl group, a butyl group, a methoxy group, an ethoxy group, a propoxy group, a butoxy group, a phenyl group, a naphthyl group, an anthryl group, a pyridinyl group, and a pyrazinyl group.
In particular, in Formula 2 and/or 3, Ri to R4 may each be a hydrogen atom, R5 may be selected from the group consisting of a halogen atom, a hydroxy group, a cyano group, a methyl group, an ethyl group, a propyl group, a butyl group, a methoxy group, an ethoxy group, a propoxy group, a butoxy group, a phenyl group, a naphthyl group, an anthryl group, a pyridinyl group, and a pyrazinyl group. In addition, in Formula 3, Ri to R6 may each be a hydrogen atom. For example, in Formula 2 and/or 3, Qi to Q are each independently a hydrogen atom, a phenyl group, a naphthyl group, an anthryl group, a pyridinyl group, and a pyrazinyl group. In particular, in Formulae 2 and/or 3, Qi, Q3-Q6, Qs and Q9 are hydrogen atoms, and Q2 and Q7 may be each independently selected from the group consisting of a phenyl group, a naphthyl group, an anthryl group, a pyridinyl group, and a pyrazinyl group.
For example, Lls in Formula 2 and/or 3, may be selected from the group consisting of a phenylene group, a naphthylene group, an anthrylene group, a pyridinylene group, and a pyrazinylene group. In particular, Li may be a phenylene group or a pyridinylene group. For example, "a" may be 1, 2, or, 3.
The matrix compound for the ETL-layer may be further selected from Compound 5, 6, or 7 belo
Figure imgf000080_0001
Compound 6 Compound 7.
Table 4
Chemical structures of matrix materials that can be suitable used for ETL-layer
Figure imgf000080_0002
Referred IUPAC name Structure Reference to as:
MX 2 (3-(dibenzo[c,h]acridin-7- EP 2395571B1, yl)phenyl)diphenylphosphine WO2013079217A1 oxide
Figure imgf000081_0001
MX 3 Phenylbis(3 -(pyren- 1 - EP13187905.8 yl)phenyl)phosphine oxide
MX 4 3-Phenyl-3H- EP13199361.0 b enzo [b] dinaphtho [2,1- d: ,2'-f]phosphepine-3- oxide
MX 5 Phenyldi(pyren- 1 - JP4876333
yl)phosphine oxide
Referred IUPAC name Structure Reference to as:
MX 6 2,4,7,9-tetraphenyl-l , 10- EP1786050
phenanthroline
Figure imgf000082_0001
MX 8 2,9-di(biphenyl-4-yl)-4,7- EP1786050
diphenyl-1,10- phenanthroline
MX 9 4,7-diphenyl-2,9-di-p-tolyl- EP1786050
1 , 10-phenanthroline
H3C CH3
The electron transport layer may comprises a lithium halide or a lithium organic complex.
Suitable organic ligands to form a lithium organic complex that can be used for the electron transport layer are disclosed, for example in US 2014/0048792 and
Kathirgamanathan, Poopathy; Arkley, Vincent; Surendrakumar, Sivagnanasundram; Chan, Yun F.; Ravichandran, Seenivasagam; Ganeshamurugan, Subramaniam; Kumaraverl, Muttulingam; Antipan-Lara, Juan; Paramaswara, Gnanamolly; Reddy, Vanga R., Digest of Technical Papers - Society for Information Display International Symposium (2010), 41(Bk. 1), 465-468.
Table 5 Lithium organic complex that can be suitable used for the ETL-layer
Figure imgf000083_0001
The organic ligand of the lithium organic complex of the electron transport layer may be selected from the group comprising a quinolate, a borate, a phenolate, a pyridinolate or a Schiff base ligand, or Table 5;
- preferably the lithium quinolate complex has the formula I:
Figure imgf000084_0001
wherein
Al to A6 are same or independently selected from CH, CR, N, O;
R is same or independently selected from hydrogen, halogen, alkyl or aryl or heteroaryl with 1 to 20 carbon atoms; and more preferred Al to A6 are CH;
- preferably the borate based organic ligand is a tetra(lH-pyrazol-l-yl)borate;
- preferably the phenolate is a 2-(pyridin-2-yl)phenolate or a 2- (diphenylphosphoryl)phenolate;
- preferably the lithium Schiff base has the structure 100, 101 , 102 or 103 :
Figure imgf000084_0002
The lithium halide of the electron transport layer may be selected from the group comprising a LiF, LiCl, LiBr or LiJ, and preferably LiF.
The ETL may be formed on the EML by vacuum deposition, spin coating, slot-die coating, printing, casting, or the like. When the ETL is formed by vacuum deposition or spin coating, the deposition and coating conditions may be similar to those for formation of the HIL 130. However, the deposition and coating conditions may vary, according to a compound that is used to form the ETL.
Substrate The substrate may be any substrate that is commonly used in manufacturing of organic light-emitting diodes. If light is emitted through the substrate, the substrate may be a transparent material, for example a glass substrate or a transparent plastic substrate, having excellent mechanical strength, thermal stability, transparency, surface smoothness, ease of handling, and waterproofness. If light is emitted through the top surface, the substrate may be a transparent or non-transparent material, for example a glass substrate, a plastic substrate, a metal substrate or a silicon substrate.
Anode electrode
The anode electrode may be formed by depositing or sputtering a compound that is used to form the anode electrode. The compound used to form the anode electrode may be a high work-function compound, so as to facilitate hole injection. The anode material may also be selected from a low work function material (i.e. Aluminum). The anode electrode may be a transparent or reflective electrode. Transparent conductive compounds, such as indium tin oxide (ITO), indium zinc oxide (IZO), tin-dioxide (Sn02), and zinc oxide (ZnO), may be used to form the anode electrode 120. The anode electrode 120 may also be formed using magnesium (Mg), aluminum (Al), aluminum-lithium (Al-Li), calcium (Ca), magnesium- indium (Mg-In), magnesium-silver (Mg-Ag), silver (Ag), gold (Au), or the like.
The anode electrode may be formed from a high conductivity metal, for example copper (Cu) or silver (Ag).
The HIL may be formed on the anode electrode by vacuum deposition, spin coating, printing, casting, slot-die coating, Langmuir-Blodgett (LB) deposition, or the like. When the HIL is formed using vacuum deposition, the deposition conditions may vary according to the compound that is used to form the HIL, and the desired structure and thermal properties of the HIL. In general, however, conditions for vacuum deposition may include a deposition temperature of 100° C to 500° C, a pressure of 10"8 to 10"3 torr (1 torr equals 133.322 Pa), and a deposition rate of 0.1 to 10 nm/sec.
HIL - forming conditions
When the HIL is formed using spin coating or printing, coating conditions may vary according to a compound that is used to form the HIL, and the desired structure and thermal properties of the HIL. For example, the coating conditions may include a coating speed of about 2000 rpm to about 5000 rpm, and a thermal treatment temperature of about 80° C to about 200° C. Thermal treatment removes a solvent after the coating is performed.
HTL - forming conditions
The hole transport layer (HTL) may be formed on the HIL by vacuum deposition, spin coating, slot-die coating, printing, casting, Langmuir-Blodgett (LB) deposition, or the like. When the HTL is formed by vacuum deposition or spin coating, the conditions for deposition and coating may be similar to those for the formation of the HIL. However, the conditions for the vacuum or solution deposition may vary, according to the compound that is used to form the HTL.
Emission layer (EML)
The EML may be formed on the HTL by vacuum deposition, spin coating, slot-die coating, printing, casting, LB, or the like. When the EML is formed using vacuum deposition or spin coating, the conditions for deposition and coating may be similar to those for the formation of the HIL. However, the conditions for deposition and coating may vary, according to the compound that is used to form the EML.
The emission layer (EML) may be formed of a combination of a host and a dopant. Example of the host are Alq3, 4,4'-N,N'- dicarbazole-biphenyl (CBP), poly(n-vinylcarbazole) (PVK), 9, 10-di(naphthalene-2-yl)anthracenee (ADN), 4,4',4"-Tris(carbazol-9-yl)-triphenylamine (TCTA), l,3,5-tris(N-phenylbenzimidazole-2-yl)benzene (TPBI), 3-tert-butyl-9,10-di- 2-naphthylanthracenee (TBADN), distyrylarylene (DSA), Bis(2-(2-hydroxyphenyl)benzo- thiazolate)zinc (Zn(BTZ) 2), E3 below, AND, Compound 1 below, and Compound 2 below.
Figure imgf000086_0001
E3
Figure imgf000086_0002
AND
Figure imgf000087_0001
Figure imgf000087_0002
Compound 2
The dopant may be a phosphorescent or fluorescent emitter. Phosphorescent emitters are preferred due to their higher efficiency
Examples of a red dopant are PtOEP, Ir(piq) 3, and Btp 21r(acac), but are not limited thereto. These compounds are phosphorescent emitters, however, fluorescent red dopants could also be used.
Figure imgf000087_0003
PtOEP lr i€i ¾ Bt 2ir acac) Examples of a phosphorescent green dopant are Ir(ppy) 3 (ppy = phenylpyridine), Ir(ppy) 2(acac), Ir(mpyp) 3 are shown below. Compound 3 is an example of a fluorescent green emitter and the structure is shown below.
Figure imgf000088_0001
Compound 3
Examples of a phosphorescent blue dopant are F2Irpic, (F2ppy) 2Ir(tmd) and Ir(dfppz) 3, ter-fluorene, the structures are shown below. 4.4'-bis(4-diphenyl amiostyryl)biphenyl (DPAVBi), 2,5,8,11-tetra-tert-butyl perylene (TBPe), and Compound 4 below are examples of fluorescent blue dopants.
Figure imgf000089_0001
F2Irpic (F2ppy) 2Ir(tmd) Ir(dfppz) 3
Figure imgf000089_0002
Compound 4
The amount of the dopant may be in the range of about 0.01 to about 50 parts by weight, based on 100 parts by weight of the host. The EML may have a thickness of about 10 nm to about 100 nm, for example, about 20 nm to about 60 nm. When the thickness of the EML is within this range, the EML may have excellent light emission, without a substantial increase in driving voltage.
Hole blocking layer (HBL)
When the EML comprises a phosphorescent dopant, a hole blocking layer (HBL) may be formed on the EML, by using vacuum deposition, spin coating, slot-die coating, printing, casting, LB deposition, or the like, in order to prevent the diffusion of triplet excitons or holes into the ETL.
When the HBL is formed using vacuum deposition or spin coating, the conditions for deposition and coating may be similar to those for the formation of the HIL. However, the conditions for deposition and coating may vary, according to the compound that is used to form the HBL. Any compound that is commonly used to form a HBL may be used. Examples of compounds for forming the HBL include an oxadiazole derivative, a triazole derivative, and a phenanthroline derivative. The HBL may have a thickness of about 5 nm to about 100 nm, for example, about 10 nm to about 30 nm. When the thickness of the HBL is within this range, the HBL may have excellent hole-blocking properties, without a substantial increase in driving voltage.
Electron injection layer (EIL)
The optional EIL, which may facilitates injection of electrons from the cathode, may be formed on the ETL, preferably directly on the electron transport layer. Examples of materials for forming the EIL include LiF, NaCl, CsF, Li20, BaO, Ca, Ba, Yb, Mg which are known in the art. Deposition and coating conditions for forming the EIL are similar to those for formation of the HIL, although the deposition and coating conditions may vary, according to a material that is used to form the EIL.
The thickness of the EIL may be in the range of about 0.1 nm to 10 nm, for example, in the range of 0.5 nm to 9 nm. When the thickness of the EIL is within this range, the EIL may have satisfactory electron-injecting properties, without a substantial increase in driving voltage.
Cathode electrode
The cathode electrode is formed on the EIL if present. The cathode electrode may be a cathode, which is an electron-injecting electrode. The cathode electrode may be formed of a metal, an alloy, an electrically conductive compound, or a mixture thereof. The cathode electrode may have a low work function. For example, the cathode electrode may be formed of lithium (Li), magnesium (Mg), aluminum (Al), aluminum (Al)-lithium (Li), calcium (Ca), barium (Ba), ytterbium (Yb), magnesium (Mg)-indium (In), magnesium (Mg)-silver (Ag), or the like. In addition, the cathode electrode may be formed of a transparent conductive material, such as ITO or IZO.
The thickness of the cathode electrode may be in the range of about 5 nm to 1000 nm, for example, in the range of 10 nm to 100 nm. When the cathode electrode is in the range of 5 nm to 50 nm, the electrode will transparent even if a metal or metal alloy is used.
Since the layers of the ETL have similar or identical energy levels, the injection and transport of the electrons may be controlled, and the holes may be efficiently blocked. Thus, the OLED may have long lifetime.
Light-emitting diode (PLED) According to another aspect of the present invention, there is provided an organic light-emitting diode (OLED) comprising: a substrate; a anode electrode formed on the substrate; a hole injection layer comprising a metal amide according to the invention, a hole transport layer, an emission layer, and a cathode electrode.
According to another aspect of the present invention, there is provided an organic light-emitting diode (OLED) comprising: a substrate; a anode electrode formed on the substrate; a hole injection layer comprising a metal amide according to the invention, a hole transport layer, an emission layer, hole blocking layer and a cathode electrode.
According to another aspect of the present invention, there is provided an organic light-emitting diode (OLED) comprising: a substrate; a anode electrode formed on the substrate; a hole injection layer comprising a charge neutral metal amide according to the invention, a hole transport layer, an emission layer, hole blocking layer, electron transport layer, and a cathode electrode.
According to another aspect of the present invention, there is provided an organic light-emitting diode (OLED) comprising: a substrate; a anode electrode formed on the substrate; a hole injection layer comprising a charge neutral metal amide according to the invention, a hole transport layer, an emission layer, hole blocking layer, electron transport layer, an electron injection layer, and a cathode electrode.
According to another aspect, there is provided an organic light-emitting diode (OLED) comprising: at least one layer selected from the group consisting of a hole injection layer, a hole transport layer, an emission layer, a hole blocking layer, an electron transport layer, exactly in that order between the anode electrode and the cathode electrode.
According to various embodiments of the present invention, there is provided an organic light-emitting diode (OLED) further comprising an electron injection layer formed between the electron transport layer and the cathode electrode.
According to various embodiments of the OLED of the present invention, the OLED may not comprises an electron injection layer.
According to various embodiments of the OLED of the present invention, the OLED may not comprises an electron transport layer.
According to various embodiments of the OLED of the present invention, the OLED may not comprises an electron transport layer and an electron injection layer.
According to another aspect of the present invention, there is provided a method of manufacturing an organic light-emitting diode (OLED), the method using: - at least one deposition source, preferably two deposition sources and more preferred at least three deposition sources; and/or
- deposition via vacuum thermal evaporation; and/or
- deposition via solution processing, preferably the processing is selected from spin-coating, printing, casting and/or slot-die coating.
Method of manufacture
According to various embodiments of the present invention, the method may further include forming on the anode electrode an hole injection layer, an hole transport layer, an emission layer and a cathode electrode, exactly in that order.
According to various embodiments of the present invention, the method may further include forming on the anode electrode an hole injection layer, an hole transport layer, an emission layer, an electron transport layer, and a cathode electrode, exactly in that order.
According to various embodiments of the present invention, the method may further include forming on the anode electrode an hole injection layer, an hole transport layer, hole blocking layer, an emission layer, an electron transport layer, and a cathode electrode, exactly in that order.
According to various embodiments of the present invention, the method may further include the steps for forming an organic light-emitting diode (OLED), wherein
- on a substrate a anode electrode is formed,
- on the anode electrode an hole injection layer is formed,
- on the hole injection layer an hole transport layer is formed,
- optional on the hole transport layer a hole blocking layer is formed,
- than an emission layer is formed thereon,
- on the emission layer optional an electron transport layer is formed, preferably an electron transport layer stack,
- finally a cathode electrode is formed thereon,
- optional an electron injection layer is formed between the electron transport layer and the cathode electrode.
The method of manufacturing the OLED may comprise the steps:
- the hole injection layer according to the invention is deposited on an anode layer, an optional hole transport layer is deposited on the hole injection layer, an emission layer is deposited on the hole transport layer, an optional hole blocking layer is deposited on the emission layer, an optional electron transport layer is deposited on the hole blocking layer, an optional electron injection layer is deposited on the electron transport layer and a cathode is deposited on the electron injection layer, wherein the layers are arranged in that order and sandwiched between the anode and the cathode.
However, according to one aspect the layers are deposited the other way around, starting with the cathode, and sandwiched between the cathode and the anode.
For example, starting with the cathode layer, optional electron injection layer, electron transport layer, optional hole blocking layer, emission layer, hole transport layer, hole injection layer, anode electrode, exactly in this order.
The anode electrode and/or the cathode electrode can be deposit on a substrate.
Preferably the anode is deposit on a substrate.
Additional aspects and/or advantages of the invention will be set forth in part in the description which follows and, in part, will be obvious from the description, or may be learned by practice of the invention.
BRIEF DESCRIPTION OF THE DRAWINGS
These and/or other aspects and advantages of the present invention will become apparent and more readily appreciated from the following description of the exemplary embodiments, taken in conjunction with the accompanying drawings, of which:
FIG. 1 is a schematic sectional view of an organic light-emitting diode (OLED), according to an exemplary embodiment of the present invention;
FIG. 2 is a schematic sectional view of an OLED, according to an exemplary embodiment of the present invention.
FIG. 3 is a schematic sectional view of an OLED, according to an exemplary embodiment of the present invention.
FIG. 4 is an overview of metal amides based on general Formula la that can be used according to the invention.
Fig. 5 is an overview of metal amides that can be used according to the invention
1 2 1 2
with specific A and A , wherein A and A are S02.
Fig. 6 is an overview of metal amides that can be used according to the invention
1 2 1 2 8
with specific A and A , wherein A and A are POR . Fig. 7 is an overview of metal amides that can be used according to the invention
1 2 1 2
with specific A and A , wherein A and A are CO.
Fig. 8 is an overview of metal amides that can be used according to the invention with specific A 1 and A2 , wherein A 1 and A2 are selected different, wherein A1 is S02 and A2 is POR8
DETAILED DESCRIPTION
Reference will now be made in detail to the exemplary embodiments of the present invention, examples of which are illustrated in the accompanying drawings, wherein like reference numerals refer to the like elements throughout. The exemplary embodiments are described below, in order to explain the aspects of the present invention, by referring to the figures.
Herein, when a first element is referred to as being formed or disposed "on" a second element, the first element can be disposed directly on the second element, or one or more other elements may be disposed there between. When a first element is referred to as being formed or disposed "directly on" a second element, no other elements are disposed there between.
FIG. 1 is a schematic sectional view of an organic light-emitting diode (OLED) 100, according to an exemplary embodiment of the present invention. The OLED 100 includes a substrate 110. On the substrate 110 an anode 120 is disposed. On the anode 120 a hole injection layer 130 containing or consisting of a metal amide compound according to the invention is disposed and thereon a hole transport layer 140. Onto the hole transport layer 140 an emission layer 150 and an cathode electrode 190, exactly in this order, are disposed.
FIG. 2 is a schematic sectional view of an organic light-emitting diode (OLED) 100, according to an exemplary embodiment of the present invention. The OLED 100 includes a substrate 110, a first electrode 120, a hole injection layer (HIL) 130, a hole transport layer (HTL) 140, an emission layer (EML) 150, an electron transport layer (ETL) 161. The electron transport layer (ETL) 161 is formed directly on the EML 150. Onto the electron transport layer (ETL) 161 a cathode electrode 190 is disposed.
Instead of a single electron transport layer 161, optional an electron transport layer stack (ETL) can be used. Fig. 3 is a schematic sectional view of an OLED 100, according to another exemplary embodiment of the present invention. Fig. 3 differs from Fig. 2 in that the OLED 100 of Fig. 3 comprises a hole blocking layer (HBL) 155 and an electron injection layer (E1L) 180.
Referring to Fig. 3 the OLED 100 includes a substrate 110, an anode electrode 120, a hole injection layer (HIL) 130, a hole transport layer (HTL) 140, an emission layer (EML) 150, a hole blocking layer (HBL) 155, an electron transport layer (ETL) 161, an electron injection layer (EIL) 180 and a cathode electrode 190. The layers are disposed exactly in the order as mentioned before.
In the description above the method of manufacture an OLED of the present invention is started with a substrate 110 onto which an anode electrode 120 is formed, on the anode electrode 120, an hole injection layer 130, hole transport layer 140, an emission layer 150, optional a hole blocking layer 155, optional at least one electron transport layer 161, optional at least one electron injection layer 180, and a cathode electrode 190 are formed, exactly in that order or exactly the other way around.
While not shown in Fig. 1, Fig. 2 and Fig. 3, a sealing layer may further be formed on the cathode electrodes 190, in order to seal the OLEDs 100. In addition, various other modifications may be applied thereto.
Hereinafter, one or more exemplary embodiments of the present invention will be described in detail with, reference to the following examples. However, these examples are not intended to limit the purpose and scope of the one or more exemplary embodiments of the present invention.
Examples
General procedure
For bottom emission devices, a 15Ω /cm glass substrate (available from Corning Co.) with 100 nm ITO was cut to a size of 50 mm x 50 mm x 0.7 mm, ultrasonically washed with isopropyl alcohol for 5 minutes and then with pure water for 5 minutes, and washed again with UV ozone for 30 minutes, to prepare a first electrode. For top emission devices, the anode electrode was formed from 100 nm silver on glass which was prepared by the same methods as described above.
Then, the hole injection layer, triaryl amine compound andcharge neutral metal amide compound according to the examples of Table 6 was vacuum co-deposited on the ITO electrode, to form a HIL having a thickness according to the examples 1 to 22 and comparative examples 1 to 5 of tables 6, 7 and 8. Then the corresponding hole injection layer according to the examples 1 to 22 and comparative examples 1 to 5 of tables 6, 7 and 8 was vacuum deposited on the HIL, to form a HTL having a thickness as mentioned in tables 6, 7 and 8, respectively.
The wt.-% of the HIL-compound/s and HTL-compound according to the examples 1 to 22 and comparative examples 1 to 5 can be taken from Tables 6, 7 and 8 below, whereby the wt.-% amount of the HIL-compound/s is 100 wt.-% based on the total weight amount of the HIL-layer, and the wt.-% amount of the HTL-compound/s is 100 wt.-% based on the total weight amount of the HTL-layer, if no not indicated otherwise the wt.-% of the components are indicated in Tables 6, 7 and 8, respectively. That means that the HIL according to examples 1 to 22 consist of the triarylamine compound and metal amide compound according to the invention. However, the hole injection layer may comprises traces of the compound of the hole transport layer, due to the process of manufacture.
97 wt.-% of ABH113 (Sun Fine Chemicals) as a host and 3 wt.-% of NUBD370 (Sun Fine Chemicals) as a dopant were deposited on the HTL, to form a blue-emitting EML with a thickness of 20 nm.
Then the ETL-layer of matrix compound of 50 wt.-% MX 2 and 50 wt.-% LiQ (50 wt.-% : 50 wt.-%) having a thickness of 36 nm is formed by deposing the matrix compound from a first deposition source and the lithium organic complex or lithium halide from a second deposition source directly on the EML.
For the comparative examples 1 to 5 and examples 1 to 22 only one electron transport layer is formed.
The cathode was evaporated at ultra-high vacuum of 10"7 bar. Therefore, a thermal single co -evaporation of one or several metals was performed with a rate of 0, 1 to 10 nm/s (0,01 to 1 A/s ) in order to generate a homogeneous cathode with a thickness of 5 to 1000 nm. For top emission devices, the cathode electrode was formed from 13 nm magnesium (90 vol.- %)-silver (10 vol.-%) alloy. For bottom emission devices, the cathode electrode was formed from 100 nm aluminum.
The OLED stack is protected from ambient conditions by encapsulation of the device with a glass slide. Thereby, a cavity is formed, which includes a getter material for further protection. To assess the performance of the inventive examples compared to the prior art, the current efficiency is measured under ambient conditions (20°C). Current voltage
measurements are performed using a Keithley 2400 sourcemeter, and recorded in V. At 10 mA/cm2 for bottom emission and 15 niA/cm2 for top emission devices, a calibrated spectrometer CAS 140 from Instrument Systems is used for measurement of CIE coordinates and brightness in Candela. Lifetime LT of the device is measured at ambient conditions (20°C) and 15 mA/cm2, using a Keithley 2400 sourcemeter, and recorded in hours. The brightness of the device is measured using a calibrated photo diode. The lifetime LT is defined as the time till the brightness of the device is reduced to 97 % of its initial value.
In bottom emission devices, the emission is predominately Lambertian and quantified in percent external quantum efficiency (EQE). To determine the efficiency EQE in % the light output of the device is measured using a calibrated photodiode at 10 mA/cm .
In top emission devices, the emission is forward directed, non-Lambertian and also highly dependent on the mirco-cavity. Therefore, the efficiency EQE will be higher compared to bottom emission devices. To determine the efficiency EQE in % the light output of the device is measured using a calibrated photodiode at 15 mA/cm .
Technical Effect of the invention
Effect of the layer thickness of the HIL on device performance without cavity control
In order to test the performance of very thick hole injection layers (HIL), bottom emission OLED-devices are fabricated with a HIL thickness ranging from 100 nm to 450 nm. The HTL thickness is given in Table 6. The cavity, and thereby light out coupling, varies depending on HIL thickness, therefore no data are provided on efficiency EQE. In Table 6 the effect of the HIL thickness without cavity control is shown. As can be seen in Example 1 to 8, only a comparatively small increase in voltage is observed even for very thick layers.
Table 6
Effect of HIL thickness on device performance without cavity control HIL HIL dopant HIL dopant HIL HTL HTL U compound concentration thickness thickness [V]
[wt.-%] [nm] [nm]
Example T-3 Li(TFSI) 2 100 T-3 30 4.7 1
Example T-3 Li(TFSI) 2 150 T-3 30 4.8 2
Example T-3 Li(TFSI) 2 200 T-3 30 4.9 3
Example T-3 Li(TFSI) 2 250 T-3 30 5 4
Example T-3 Li(TFSI) 2 300 T-3 30 5 5
Example T-3 Li(TFSI) 2 350 T-3 30 5.1 6
Example T-3 Li(TFSI) 2 400 T-3 30 5.2 7
Example T-3 Li(TFSI) 2 450 T-3 30 5.3 8
Effect of the layer thickness of the HIL on device performance at constant cavity
In Table 7 is shown the effect of the HIL and HTL thickness on performance of bottom emission devices. The thickness of the layers is selected in such a way that the sum of the thickness of HIL and HTL is kept constant at 130 nm. Thereby, the cavity does not change and light outcoupling and efficiency EQE are not impacted.
In comparative examples 1 and 2, the compound CNHAT (CAS 105598-27-4) has been used as a hole injection layer. In comparative example 1, a 10 nm layer of CNHAT was used. The efficiency EQE of 4.9 % was obtained at a voltage of 5.4 V. However, it is desired to provide a thick HIL which can smooth over non-uniformities in the anode layer. Therefore, a 100 nm layer of CNHAT was tested. The efficiency EQE of 4.2 % was achieved at 4.7 V. In summary, the efficiency EQE is reduced at thicknesses which would level out non- uniformities.
Example 9 to 15 shows the effect of increased thickness of the HIL comprising triarylamine T-3 and metal amide Li(TFSI) on efficiency, voltage and voltage stability over time. As can be seen in Table 7, the efficiency is always higher than the efficiency obtained for devices containing a CNHAT HIL layer. Additionally, the efficiency EQE remains constant for a HIL thickness ranging from 20 to 120 nm. The voltage for a 20 nm HIL layer is slightly higher compared to the comparative examples but surprisingly, the voltage decreases to 4.8 to 4.9 V for thicker layers (example 10 to 15). The voltage stability of all examples is at an acceptable level, for example less than 0.35V over 50 hours stability test at 15 mA/cm .
Table 7
Effect of HIL thickness on device performance at constant cavity
Figure imgf000100_0001
Effect of the metal cation on device performance
In Table 8, the effect of the metal cation in the metal amide on performance of bottom emission devices. For ease of comparison, a 100 nm HIL was used in all examples. In Examples 16 to 20 are compared triarylamine T-3 doped with Li(TFSI), Ag(TFSI),
Mg(TFSI)2, Mn(TFSI)2 and Li(cTFSI) (CAS 189217-62-7). The efficiency EQE is always higher than for comparative example 3 with CNHAT. Particularly high efficiency is obtained for a Ag(TFSI) doped HIL (example 18), while the lowest voltage and least voltage increase over time is achieved for Mg(TFSI) and Mn(TFSI)2 (example 17 and 19, respectively).
Effect of the HOMO level of the hole transport layer on device performance
In order to achieve light output in different colours, a large variety of materials is available for application in the emission layer of OLEDs. Each emission layer composition comes with different demands on the HTL (for example band-gap or triplet level). Therefore, the HTL materials of different OLEDs may differ in their HOMO level. Consequently, a good hole injection layer enables hole injection in to a large variety of HTL materials.
In a second step, triarylamine compounds with deeper HOMO levels are tested in the hole injection layer and hole transport layer, see Table 8. For ease of comparison, a 100 nm HIL was used in all examples. HTLs which show low performance with the fluorescent blue EML used here may show unique performance with a different EML composition, for example phosphorescent blue or green EML, or for TADF (thermally activated delayed fluorescence) emitters. In the following examples, the hole injection performance is evaluated relative to CNHAT which is not suitable for injection into deep HOMO HTLs. In comparative examples 4 and 5, CNHAT HIL is used together with deeper HOMO triarylamine compound T-8 (HOMO -5.25 eV) and T-9 (HOMO -5.33 eV). Compared to comparative example 3, where a triarylamine compound with a HOMO closer to vacuum level was used (T-3, HOMO -5.10 eV), the efficiency is slightly increased, however the voltage is so high, that a commercial application cannot be considered. As the voltage is very high, the voltage stability over time has not been measured. In example 21 and 22, the effect of a HIL comprising deep HOMO triarylamines and metal amide Mg(TFSI) is evaluated. As can be seen in Table 8, the efficiency is significantly higher than for CNHAT HIL and the voltage is significantly lower (5.2 compared to 6.1 V and 6.2 compared to 8.6 V, respectively). In summary, a wide range of metal amides with various metal cations can be successfully used as HIL dopant.
Additionally, both open-chain and cyclic amide ligands show the desired effect (Li(TFSI) compared to Li(cTFSI), example 16 and 20, respectively). Furthermore, the invention is particularly useful for efficient hole injection into deeper HOMO HTLs which are required for OLEDs which rely on phosphorescent or TADF emitters, in particular green and blue emitters.
Table 8
Effect of metal cation and HOMO level of HTL on device performance
Figure imgf000103_0001
Another aspect is directed to an organic light-emitting diode (OLED) comprising more than one emission layer (EML) 150, for example two, three or four emission layers may be present. An organic light-emitting diode (OLED) comprising more than one emission layer is also described as a tandem OLED or stacked OLED.
Another aspect is directed to a device comprising at least one organic light-emitting diode (OLED). A device comprising organic light-emitting diodes (OLED) is for example a display or a lighting panel.
From the foregoing detailed description and examples, it will be evident that modifications and variations can be made to the compositions and methods of the invention without departing from the spirit and scope of the invention. Therefore, it is intended that all modifications made to the invention without departing from the spirit and scope of the invention come within the scope of the appended claims.

Claims

1. A hole injection layer for an OLED comprising a triarylamine compound (Vila) doped with a charge neutral metal amide compound (la), characterized in that the hole injection layer has a thickness of at least about > 20 nm to about < 1000 nm and the charge neutral metal amide compound has the Formula la:
Figure imgf000105_0001
(la),
wherein:
G = halide O, alkoxylate or amine of Formula Ila to He:
Figure imgf000105_0002
(Ila) (lib) (lie) (lid) (He);
R1 to R5 are independently selected from the group comprising H, Ci to C2o alkyl, Ci to
C2o heteroalkyl, unsubstituted or Ci to C12 substituted C6 to C20 aryl, unsubstituted or Ci to C12 substituted heteroaryl with 5 to 20 ring- forming atoms, halogenated or perhalogenated Ci to C20 alkyl, halogenated or perhalogenated Ci to C20 heteroalkyl, halogenated or perhalogenated C6 to C20 aryl, halogenated or perhalogenated heteroaryl with 5 to 20 ring- forming atoms; or
at least one R1 and R4 and/or R2 and R3 and/or R1 and R5 are bridged and form a 5 to 20 member ring;
m = 0, 1 , 2, 3 or 4;
M = a metal selected from the group comprising alkali metal, alkaline earth metal,
Al, Ga, In, transition metal or rare earth metal;
wherein the bond between N and the metal M is a covalent bond or N forms a non-covalent interaction to the metal M;
L = charge neutral ligand which coordinates to the metal M, selected from the group comprising H20, C2 to C4o mono- or multi-dentate ethers and C2 to C40 thioethers, C2 to C40 amines, C2 to C40 phosphine, C2 to C20 alkyl nitrile or C2 to C40 aryl nitrile, or a compound according to Formula (III);
Figure imgf000106_0001
R6
(HI),
wherein R6 and R7 are independently selected from Ci to C20 alkyl, Ci to C20 heteroalkyl, C6 to C20 aryl, heteroaryl with 5 to 20 ring-forming atoms, halogenated or perhalogenated Ci to C20 alkyl, halogenated or perhalogenated Ci to C2o heteroalkyl, halogenated or perhalogenated C6 to C20 aryl, halogenated or perhalogenated heteroaryl with 5 to 20 ring-forming atoms, or at least one R6 and R7 are bridged and form a 5 to 20 member ring, or the two R6 and/or the two R7 are bridged and form a 5 to 40 member ring or form a 5 to 40 member ring comprising an unsubstituted or Ci to C12 substituted phenanthroline;
p = 0, 1, 2 or 3;
A1, A2, A3 and A4 are independently selected from CO, S02 or POR ;
Q
R = electron withdrawing group selected from the group comprising halide, nitrile, halogenated or perhalogenated Ci to C20 alkyl, halogenated or perhalogenated C6 to C2o aryl, or halogenated or perhalogenated heteroaryl with 5 to 20 ring- forming atoms;
n = 1, 2, 3, 4 or 5;
B1, B2, B3 and B4 are same or independently selected from substituted or unsubstituted Ci to C2o alkyl, substituted or unsubstituted Ci to C20 heteroalkyl, substituted or unsubstituted C6 to C20 aryl, substituted or unsubstituted C5 to C20 heteroaryl, or B 1 and B 2 are bridged;
1 2
wherein B and B are bridged, then: 1 1 2 2
- M, N, A , B , B , A and N form a 7 to 10 member ring according to Formula lb;
Figure imgf000107_0001
1 1 2 2
- N, A , B , B and A form a 5 to 10 member ring according to Formula Ic,
Figure imgf000107_0002
1 1 2 2 1 2
N, A , B , B and A form a first 5 to 10 member ring and B and B form a second 5 to 20 member ring accordin to Formula Id:
Figure imgf000107_0003
2. The hole injection layer according to claim 1 ,
- wherein the triarylamine compound has the Formula Vila:
Figure imgf000107_0004
wherein:
1 2
Ar and Ar = independently selected from substituted or unsubstituted C6 to C2o arylene;
Ar3 and Ar4 = independently selected from substituted or unsubstituted C6 to C20 aryl; Ar5 and Ar6 = independently selected from substituted or unsubstituted C6 to C20 aryl or C5 to C4o heteroaryl;
R9 = aa ssiinnggllee cchheemmiiccaall bboonndd, a unsubstituted or substituted Ci to C6 alkyl and unsubstituted or substituted Ci to C5 heteroalkyl;
q = 0, 1 or 2; r = 0 or 1 ;
wherein
- the substituents for Ar1 to Ar6 are independently selected from Ci to C2o alkyl, Ci to C2o heteroalkyl, or halide; and
- the substitutents for R9 are independently selected from Ci to C6 alkyl, Ci to C5 heteroalkyl, C6 to C20 aryl and C5 to C20 heteroaryl;
- wherein the charge neutral metal amide compound has the Formula la, lb, Ic or Id.
The hole injection layer according to claim 1 or 2, wherein:
- the hole injection layer comprises one triaryl amine compound; or
- the hole injection layer comprises one charge neutral metal amide compound; or
- the hole injection layer comprises one triaryl amine compound and one charge neutral metal amide compound.
The hole injection layer according to claims 1 to 3, wherein the charge neutral metal amide compound has the Formula la
Figure imgf000108_0001
(la), wherein:
1 2 8 1
A and A are same or independently selected from CO, POR and S02, preferably A
2 8
and A are selected same from CO, POR , S02; or
1 2 8
A and A are independently selected from CO, POR , S02, and
N, A 1 , B1 , A2 and B 2 form a 5 to 10 member ring.
The hole injection layer according to any of claims 1 to 4,
wherein for:
- p = 0, m = 1, 2, 3 or 4 and n = 1, 2, 3 or 4, the charge neutral metal amide compound has the Formula Ila:
Figure imgf000109_0001
p = 1, 2 or 3, and n = 1, 2, 3 or 4 and m = 0, the charge neutral metal amide compound has the Formula lib:
Figure imgf000109_0002
p = 1, 2 or 3, n = 1, 2, 3 or 4, m = 1, 2, 3 or 4 and N, A1, B1, B2 and A2 form member ring, the charge neutral metal amide compound has the Formula lie
Figure imgf000109_0003
p = 1, 2 or 3, n = 1, 2, 3 or 4, m = 1, 2, 3 or 4 and N, A1, B1, B2 and A2 form a first 5 to
1 2
10 member ring and B and B are bridged to form a second 5 to 20 member ring, the charge neutral metal amide com ound has the Formula lid:
Figure imgf000109_0004
p = l, 2 or 3, n = l, m = 1, 2, 3 or 4, and M, N, A1, B1, B2, A2 and N form a 7 to 10 member ring, the charge neutral metal amide compound has the Formula He:
Figure imgf000109_0005
1 1 2 2
p = 1, 2 or 3, n = 1, 2, 3 or 4, m = 0 and N, A , B , B and A form a 5 to 10 member ring, the charge neutral metal amide compound has the Formula Ilf:
Figure imgf000110_0001
(ilf); p = 1, 2 or 3, n = 1, 2, 3 or 4, m = 0 and N, A1, B1, B2 and A2 form a first 5 to 10
1 2
member ring, and B and B are bridged to form a second 5 to 20 member ring, the charge neutral metal amide compound has the Formula Ilg:
Figure imgf000110_0002
(ilg);
- p = 1, 2 or 3, n = 1, m = 0 and M, N, A1, B1, B2, A2 and N form a 7 to 10 member ring, the charge neutral metal amide compound has the Formula Ilh:
Figure imgf000110_0003
6. The hole injection layer according to any of claims 1 to 5,
1 2
wherein for A and A are S02:
- p = 1, 2 or 3, n = 1, 2, 3 or 4, m = 1, 2, 3 or 4, the charge neutral metal amide compound has the Formula Ilia:
Figure imgf000110_0004
(Ilia); p = 0, n = l,2,3or4,m = 1,2, 3 or 4, the charge neutral metal amide compound has the Formula Illb:
Figure imgf000111_0001
p=l,2or3,n=l,2,3or4,m = 0, the charge neutral metal amide compound has the Formula IIIc:
Figure imgf000111_0002
p = 1, 2 or 3, n = 1, 2, 3 or 4, m = 1, 2, 3 or 4 and N, S02, B1, B2 and S02 form a 5 to 10 member ring, the charge neutral metal amide compound has the Formula Hid:
Figure imgf000111_0003
O O (iiid p = 1, 2 or 3, n = 1, 2, 3 or 4, m = 1, 2, 3 or 4 and N, S02, B1, B2 and S02 form a first 5
1 2
to 10 member ring, and B and B are bridged to form a second 5 to 20 member ring, the charge neutral metal amide compound has the Formula Hie:
Figure imgf000111_0004
p = 1, 2 or 3, n = 1, m = 1, 2, 3 or 4 and M, N, S02, B1, B2, S02 and N form a 7 to 10 member ring, the charge neutral metal amide compound has the Formula Illf:
Figure imgf000112_0001
(Illf);
- p = 1, 2 or 3, n = 1, 2, 3 or 4, m = 0 and N, S02, B 1 , B 2 and S02 form a 5 to 10 member ring, the charge neutral metal amide compound has the Formula Illg:
Figure imgf000112_0002
- p = 1, 2 or 3, n = 1, 2, 3 or 4, m = 0 and N, S02, B1, B2 and S02 form a first 5 to 10 member ring, and B 1 and B 2 are bridged to form a second 5 to 20 member ring, the charge neutral metal amide compound has the Formula Illh:
Figure imgf000112_0003
- p = 1, 2 or 3, n = 1, 2, 3 or 4, m = 0 and M, N, S02, B1, B2, S02 and N form a 7 to 10 member ring, the charge neutral metal amide compound has the Formula IIIi:
Figure imgf000112_0004
wherein for A 1 and A2 are POF £ p = l, 2 or 3, m = l, 2, 3 or 4 and n = 1, 2, 3 or 4, the charge neutral metal amide compound has the Formula IVa:
Figure imgf000113_0001
p = 0, m = 1, 2, 3 or 4 and n = 1, 2, 3 or 4, the charge neutral metal amide compound has the Formula IVb:
Figure imgf000113_0002
p = 1, 2 or 3, m = 0 and n = 1, 2, 3 or 4, the charge neutral metal amide compound has the Formula IVc:
Figure imgf000113_0003
p = 1, 2 or 3, n = 1, 2, 3 or 4, m = 1, 2, 3 or 4 and N, POR8, B1, B2 and POR8 form a 5 to 10 member ring, the charge neutral metal amide compound has the Formula (IVd):
Figure imgf000113_0004
- p = 1, 2 or 3, n = 1, 2, 3 or 4, m = 0 and N, POR8, B1, B2 and POR8 form a 5 to 10 member ring, the charge neutral metal amide compound has the Formula (IVe):
Figure imgf000113_0005
wherein for A 1 and A 2 are CO: p=l,2or3,m=l,2, 3 or 4 and n = 1, 2, 3 or 4, the charge neutral metal amide compound has the Formula Va:
Figure imgf000114_0001
p = 0,n = 1, 2, 3 or 4, m = 1,2, 3 or 4, the charge neutral metal amide compound has the Formula Vb:
Figure imgf000114_0002
p=l,2or3,n=l,2,3or4,m = 0, the charge neutral metal amide compound has the Formula Vc:
Figure imgf000114_0003
p = 1, 2 or 3, n = 1, 2, 3 or 4, m = 1, 2, 3 or 4 and N, CO, B1, B2 and CO form a 5 to 10 member ring, the charge neutral metal amide com ound has the Formula Vd:
Figure imgf000114_0004
p = 1, 2 or 3, n = 1, 2, 3 or 4, m = 1, 2, 3 or 4 and N, CO, B1, B2 and CO form a first 5 to
1 2
10 member ring, and B and B are bridged to form a second 5 to 20 member ring, the charge neutral metal amide compound has the Formula Ve:
Figure imgf000114_0005
p = l,2or3,n= l,m= 1,2, 3 or 4 and M, N, CO, B1, B2, CO and N form a 7 to 10 member ring, the charge neutral metal amide compound has the Formula Vf:
Figure imgf000115_0001
p = 1 , 2 or 3, n = 1 , 2, 3 or 4, m = 0 and N, CO, B 1 , B 2 and CO form a 5 to 10 member ring, the charge neutral metal amide compound has the Formula (Vg):
Figure imgf000115_0002
p = 1, 2 or 3, n = 1, 2, 3 or 4, m = 0 andN, CO, B1, B2 and CO form a first 5 to 10 member ring, and B 1 and B 2 form a second 5 to 20 member ring, the charge neutral metal amide compo nd has the Formula Vh:
Figure imgf000115_0003
p= l,2or3,n = 1,2, 3 or4,m = 0 and M, N, CO, B1, B2, CO and N form a 7 to 10 member ring, the charge neutral metal amide compound has the Formula (Vi):
Figure imgf000115_0004
1 2
wherein for A is S02 and A i; - p = 1 , 2 or 3, m = 1 , 2, 3 or 4 and n = 1 , 2, 3 or 4, the charge neutral metal amide compound has the Formula Via:
Figure imgf000116_0001
7. The hole injection layer according to any of claims 1 to 6, wherein
B1, B2, B3 and B4 are independently selected from a substituted Ci to C2o alkyl, substituted Ci to C20 heteroalkyl, substituted C6 to C20 aryl, or substituted C5 to C20 heteroaryl;
wherein
the substituent is an electron withdrawing group selected from the group comprising a halide, nitrile, perhalogenated Ci to C20 alkyl, perhalogenated C6 to C20 aryl, perhalogenated heteroaryl with 6 to 20 ring-forming atoms, preferably the electron withdrawing group is a fluoride, perfluroinated Ci to C20 alkyl, perfluorinated C6 to C2o aryl, or perfluorinated heteroaryl with 5 to 20 ring-forming atoms.
8. The hole injection layer according to any of claims 1 to 7, wherein m = 0, 1 or 2.
9. The hole injection layer according to any of claims 1 to 8, wherein M is selected from Li(I), Na(I), K(I), Cs(I), Mg(II), Ca(II), Sr(II), Ba(II), Sc(III), Y(III), Ti(IV), V(III-V), Cr(III-VI), Mn(II), Mn(III), Fe(II), Fe(III), Co(II), Co(III), Ni(II), Cu(I), Cu(II), Zn(II), Ag(I), Au(I), Au(III), Al(III), Ga(III), In(III), Sn(II), Sn(IV), or Pb(II); preferably M is selected from Li (I), Mg (II), Mn (II) or Ag (I); and more preferred M is selected from Mg (II) and Li(I).
10. The hole injection layer according to any of claims 1 to 9, wherein the charge neutral metal amide compound has the Formula lb:
Figure imgf000117_0001
wherein
3 4 8 3
A and A are same or independently selected from CO, POR or S02, preferably A
4 8
and A are selected same from CO, POR or S02;
B3 and B4 are independently selected from substituted or unsubstituted Ci to C20 alkyl, substituted or unsubstituted Ci to C20 heteroalkyl, substituted or unsubstituted C6 to C20 aryl, substituted or unsubstituted C6 to C20 heteroaryl, preferably B3 and B4 are selected same; and
M, N, A1, B1, A2 and B2 form a 7 to 10 member ring.
11. The hole injection layer according to any of claims 1 to 10, wherein N, A 1 , B1 , A2 and B 2 form a first 5 to 10 member ring and B 1 and B 2 according to Formula Id:
Figure imgf000117_0002
(Id)
are bridged to form a second ring of a substituted or unsubstituted C6 to C20 aryl, or of a substituted or unsubstituted C6 to C20 heteroaryl ring.
12. The hole injection layer according to any of claims 1 to 11, wherein the charge neutral metal amide compound is selected from at least one of the fluorinated compounds according to Formula C 1 to C25 :
wherein
- Formula CI to C16, wherein p = 0, m = 0, n = 1, 2, 3 or 4 and A 1 and A 2 are S02:
Figure imgf000118_0001
Figure imgf000118_0002
Figure imgf000118_0003
Figure imgf000118_0004
Figure imgf000118_0005
Figure imgf000118_0006
117 (C14) (C15) (C16)
Formula C17 to C23, wherein n = 1, 2, 3 or 4, A 1 and A 2 are CO:
Figure imgf000119_0001
(CI 7) (CI 8)
Figure imgf000119_0002
(CI 9) (C20) (C21)
Figure imgf000119_0003
(C22) (C23)
- Formula C24 to C25, wherein n = 1 , 2, 3 or 4, A1 and A2 are POR8:
Figure imgf000119_0004
(C24) (C25).
The hole injection layer according to any of claims 1 to 12, wherein the charge neutral metal amide compound is selected from at least one fluorinated compound according to Formula Dl to D24:
1 2
wherein p = 0, m = 0, n = 1 , 2, 3 or 4 and A and A are S02:
Figure imgf000120_0001
(D5) (D6) (D7) (D8)
Figure imgf000120_0002
(D9) (D10) (Dl l)
Figure imgf000120_0003
Figure imgf000120_0004
(D18) (D19) (D20)
Figure imgf000121_0001
(D21) (D22) (D23)
Figure imgf000121_0002
14. The hole injection layer according to any of claims 1 to 13, wherein the charge neutral metal amide compound is selected from at least one fluorinated compound according to Formula Fl to F23:
wherein the charge neutral ligand L coordinates to the metal M:
Figure imgf000121_0003
(Fl) F2) (F3)
Figure imgf000121_0004
(F4) (F5) (F6)
Figure imgf000121_0005
Figure imgf000122_0001
(F10) (Fl l) (F12)
Figure imgf000122_0002
Figure imgf000122_0003
F15) (F16)
Figure imgf000122_0004
(F17),
wherein
R6 and R7 are independently selected from Ci to C20 alkyl, Ci to C20 heteroalkyl, C6 to C20 aryl, heteroaryl with 5 to 20 ring- forming atoms, halogenated or perhalogenated Ci to C20 alkyl, halogenated or perhalogenated Ci to C20 heteroalkyl, halogenated or perhalogenated C6 to C20 aryl, halogenated or perhalogenated heteroaryl with 5 to 20 ring-forming atoms, or at least one R6 and R7 are bridged and form a 5 to 20 member ring , or the two R6 and/or the two R7 are bridged and form a 5 to 40 member ring or form a 5 to 40 member ring comprising an unsubstituted or Ci to C12 substituted phenanthroline;
wherein the fluorinated compounds according to Formula F18 to F23 are preferred:
Figure imgf000123_0001
(F18) (F19) (F20)
Figure imgf000123_0002
(F21) (F22)
Figure imgf000123_0003
(F23).
The hole injection layer according to any of claims 1 to 14, wherein the charge neutral metal amide compound is selected from at least one fluorinated compound according to Formula F24 to F45 :
wherein a halide, O, alkoxylate or amine bonds to the metal M:
Figure imgf000123_0004
(F24) (F25) (F26)
Figure imgf000123_0005
(F27) (F28) (F29)
Figure imgf000124_0001
Figure imgf000124_0002
(F33) (F34) (F35), wherein
R1 to R5 are independently selected from the group comprising H, Ci to C2o alkyl, Ci to
C2o heteroalkyl, unsubstituted or Ci to C12 substituted C6 to C20 aryl, unsubstituted or Ci to C12 substituted heteroaryl with 5 to 20 ring- forming atoms, halogenated or perhalogenated Ci to C20 alkyl, halogenated or perhalogenated Ci to C20 heteroalkyl, halogenated or perhalogenated C6 to C20 aryl, halogenated or perhalogenated heteroaryl with 5 to 20 ring- forming atoms; or at least one R1 and R4 and/or R2 and R3 and/or R1 and R5 are bridged and form a 5 to 20 member cyclic ring;
wherein the fluorinated compounds according to Formula F36 to F46 are preferred:
Figure imgf000124_0003
(F36) (F37) (F38)
Figure imgf000124_0004
(F39) (F40) (F41)
Figure imgf000125_0001
(F42) (F43) (F44)
Figure imgf000125_0002
16. The hole injection layer according to any of claims 1 to 15, wherein for the triarylamine compound having the Formula Vila:
1 2
Ar and Ar are independently selected from phenylene, biphenylene, naphthylene, anthranylene, carbazolylene and fluorenylene, preferably selected from phenylene and biphenylene;
Ar3 to Ar6 are independently selected from phenyl, biphenyl, terphenyl, quartphenyl, fluorenyl, napthyl, anthranyl, phenanthryl, thiophenyl, fluorenyl, 9- carbazolyl; preferably
Ar3 to Ar6 are independently selected from phenyl, biphenyl, fluorenyl, napthyl, thiophenyl, fluorenyl, carbazolyl.
17. The hole injection layer according to any of claims 1 to 16, wherein the triarylamine compound has the Formula Vllb to Vllk:
Figure imgf000126_0001
Figure imgf000126_0002
Figure imgf000126_0003
125
Figure imgf000127_0001
Figure imgf000127_0002
(viij) (Vllk).
18. The hole injection layer according to any of claims 1 to 17, wherein the hole injection layer has a layer thickness of at least about > 30 nm to about < 1000 nm, preferably of about > 40 nm to about < 500 nm, also preferred of about > 50 nm to about < 750 nm.
19. The hole injection layer according to any of claims 1 to 18, wherein the hole injection layer comprises:
- at least about > 1 wt.-% to about < 4 wt.-%, and more preferred about > 2 wt.-% to about < 3 wt.-%, of a charge neutral metal amide compound (la); and
- at least about < 99 wt.-% to about > 96 wt.-%, and more preferred about < 98 wt.-% to about > 97 wt.-%, of a triarylamine compound (Vila);
wherein the weight-% of the components are based on the total weight of the hole injection layer.
20. The hole injection layer according to any of claims 1 to 19, wherein the hole injection layer is free of a triarylamine compound of:
Figure imgf000128_0001
21. An OLED (100) according to claims 1 to 20, comprising:
- an anode (120), a hole injection layer (130) and an emission layer (150), wherein the hole injection layer is in direct contact with the anode and the emission layer is in direct contact with the hole injection layer; or
- an anode (120), a hole injection layer (130), a hole transport layer (140) and an emission layer (150), wherein the hole injection layer is in direct contact with the anode and the hole transport layer is in direct contact with the hole injection layer; and wherein the composition of the hole injection layer is different to the composition of the hole transport layer.
22. A method of manufacturing an OLED (100), wherein
- the hole injection layer (130) according to claims 1 to 20 is deposited on an anode layer (120), an optional hole transport layer (140) is deposited on the hole injection layer (130), an emission layer (150) is deposited on the hole transport layer (140), an optional hole blocking layer (155) is deposited on the emission layer (150), an optional electron transport layer (161) is deposited on the hole blocking layer (155), an optional electron injection layer (180) is deposited on the electron transport layer (161) and a cathode (190) is deposited on the electron injection layer (180), wherein the layers are arranged in that order and sandwiched between the anode (120) and the cathode (190); or
- the layers are deposited the other way around, starting with the cathode (190), and sandwiched between the cathode Π 90"» and the anode (120).
PCT/EP2016/069631 2015-08-18 2016-08-18 Triaryl amine thick layer doped with metal amides for use as hil for an organic light-emitting diode (oled) Ceased WO2017029366A1 (en)

Priority Applications (5)

Application Number Priority Date Filing Date Title
EP16760402.4A EP3338314B1 (en) 2015-08-18 2016-08-18 Triaryl amine thick layer doped with metal amides for use as hole injection layer for an organic light-emitting diode (oled)
JP2018508185A JP6807379B2 (en) 2015-08-18 2016-08-18 Metal amide-doped triarylamine thick layer used as the hole injection layer (HIL) of organic light emitting diodes (OLEDs)
US15/752,695 US10998518B2 (en) 2015-08-18 2016-08-18 Triaryl amine thick layer doped with metal amides for use as HIL for an organic light-emitting diode (OLED)
KR1020187007104A KR102658023B1 (en) 2015-08-18 2016-08-18 Triaryl amine thickened layer doped with metal amide for use as LED for organic light emitting diodes (OLED)
CN201680048156.4A CN107925013B (en) 2015-08-18 2016-08-18 Metal amide-doped triarylamine thick layers as HILs for organic light-emitting diodes (OLEDs)

Applications Claiming Priority (2)

Application Number Priority Date Filing Date Title
EP15181439.9A EP3133664A1 (en) 2015-08-18 2015-08-18 Triaryl amine thick layer doped with metal amides for use as hole injection layer for an organic light-emitting diode (oled)
EP15181439.9 2015-08-18

Publications (1)

Publication Number Publication Date
WO2017029366A1 true WO2017029366A1 (en) 2017-02-23

Family

ID=53900760

Family Applications (1)

Application Number Title Priority Date Filing Date
PCT/EP2016/069631 Ceased WO2017029366A1 (en) 2015-08-18 2016-08-18 Triaryl amine thick layer doped with metal amides for use as hil for an organic light-emitting diode (oled)

Country Status (6)

Country Link
US (1) US10998518B2 (en)
EP (2) EP3133664A1 (en)
JP (1) JP6807379B2 (en)
KR (1) KR102658023B1 (en)
CN (1) CN107925013B (en)
WO (1) WO2017029366A1 (en)

Cited By (11)

* Cited by examiner, † Cited by third party
Publication number Priority date Publication date Assignee Title
DE102017111137A1 (en) 2017-05-22 2018-11-22 Novaled Gmbh Organic electroluminescent device
EP3859811A1 (en) 2020-01-28 2021-08-04 Novaled GmbH An organic electronic device comprising an anode layer, a cathode layer, at least one emission layer (eml) and at least one hole injection layer (hil)
EP3859808A1 (en) 2020-01-28 2021-08-04 Novaled GmbH An organic electronic device comprising a hole injection layer that comprises a hole transport compound
EP3883003A1 (en) 2020-03-20 2021-09-22 Novaled GmbH An organic electronic device comprising a substrate, an anode layer, a cathode layer, at least one first emission layer, and a hole injection layer that comprises a metal complex
WO2021191255A1 (en) 2020-03-26 2021-09-30 Novaled Gmbh Organic electronic device, organic semiconducting material, a trioxatriborinane compound and the use thereof
WO2022101439A1 (en) 2020-11-16 2022-05-19 Novaled Gmbh Organic electronic device comprising a compound of formula (1), display device comprising the organic electronic device as well as compounds of formula (1) for use in organic electronic devices
EP4106026A1 (en) 2021-06-18 2022-12-21 Novaled GmbH An organic electronic device comprising a substrate, an anode layer, a cathode layer, at least one first emission layer, and at least one hole injection layer that comprises a metal complex
JP2024164105A (en) * 2017-04-07 2024-11-26 株式会社半導体エネルギー研究所 Light emitting element
DE102018118278B4 (en) 2018-07-27 2025-02-20 Novaled Gmbh Electronic device, display device, method for producing the same and a connection
DE102018122708B4 (en) 2018-09-17 2025-02-20 Novaled Gmbh Organic electronic device, organic semiconducting material and a borane compound
US12457891B2 (en) 2017-05-24 2025-10-28 Pictiva Displays International Limited Method for producing an organic electronic component

Families Citing this family (15)

* Cited by examiner, † Cited by third party
Publication number Priority date Publication date Assignee Title
EP4084108B1 (en) * 2015-08-18 2025-11-12 Novaled GmbH Metal amides for use as hil for an organic light-emitting diode (oled)
DE102015121844A1 (en) 2015-12-15 2017-06-22 Osram Oled Gmbh Organic electronic device and use of a fluorinated sulfonimide metal salt
EP3364476B1 (en) * 2017-02-20 2024-06-05 Novaled GmbH Active oled display, method for preparing an active oled display and compound
EP3583636B1 (en) 2017-02-20 2023-05-24 Novaled GmbH Electronic semiconducting device, method for preparing the electronic semiconducting device and compound
EP3503233B1 (en) * 2017-12-20 2022-06-15 Novaled GmbH Coordination complex and electronic device comprising the same
EP3503234B1 (en) * 2017-12-20 2020-11-04 Novaled GmbH Organic electronic device comprising an inverse coordination complex and a method for preparing the same
US20210167287A1 (en) * 2019-11-28 2021-06-03 Tamotsu Horiuchi Photoelectric conversion element, photoelectric conversion module, electronic device, and power supply module
EP3840075A1 (en) * 2019-12-20 2021-06-23 Novaled GmbH Organic electronic device comprising a compound of formula (1), display device comprising the organic electronic device as well as compounds of formula (1) for use in organic electronic devices
EP3840081A1 (en) * 2019-12-20 2021-06-23 Novaled GmbH Organic electronic device comprising a compound of formula (1), display device comprising the organic electronic device as well as compounds of formula (1) for use in organic electronic devices
EP3840074A1 (en) * 2019-12-20 2021-06-23 Novaled GmbH Organic electronic device comprising a compound of formula (1), display device comprising the organic electronic device as well as compounds of formula (1) for use in organic electronic devices
EP3840076A1 (en) * 2019-12-20 2021-06-23 Novaled GmbH Organic electronic device comprising a compound of formula (1), display device comprising the organic electronic device as well as compounds of formula (1) for use in organic electronic devices
KR20240023386A (en) * 2021-06-18 2024-02-21 노발레드 게엠베하 Organic electronic devices comprising compounds of formula (I), display devices comprising organic electronic devices, as well as compounds of formula (I)
EP4106031A1 (en) * 2021-06-18 2022-12-21 Novaled GmbH Sheet resistance component
EP4106025A1 (en) * 2021-06-18 2022-12-21 Novaled GmbH Organic electronic device comprising a compound of formula (1), display device comprising the organic electronic device as well as compounds of formula (1) for use in organic electronic devices
EP4376582A1 (en) * 2022-11-25 2024-05-29 Novaled GmbH Organic electroluminescent device and display device comprising the organic electroluminescent device

Citations (2)

* Cited by examiner, † Cited by third party
Publication number Priority date Publication date Assignee Title
EP1209708A1 (en) * 2000-11-24 2002-05-29 Sony International (Europe) GmbH Hybrid salar cells with thermal deposited semiconductive oxide layer
US20130330632A1 (en) * 2011-02-25 2013-12-12 Julian Burschka Metal complexes for use as dopants and other uses

Family Cites Families (26)

* Cited by examiner, † Cited by third party
Publication number Priority date Publication date Assignee Title
FR2527602A1 (en) * 1982-06-01 1983-12-02 Anvar BIS PERHALOGENOACYL- OR SULFONYL- IMIDURES OF ALKALI METALS, THEIR SOLID SOLUTIONS WITH PLASTIC MATERIALS AND THEIR APPLICATION TO THE CONSTITUTION OF CONDUCTIVE ELEMENTS FOR ELECTROCHEMICAL GENERATORS
JP3496287B2 (en) * 1994-09-26 2004-02-09 株式会社ユアサコーポレーション Battery using ion-conductive polymer compound
JP4876333B2 (en) 2000-06-08 2012-02-15 東レ株式会社 Light emitting element
JP4507420B2 (en) 2001-02-22 2010-07-21 コニカミノルタホールディングス株式会社 Organic electroluminescence device
JP2003168492A (en) * 2001-11-26 2003-06-13 Sony Internatl Europ Gmbh Hybrid solar cell with thermally deposited semiconductive oxide layer
KR100691543B1 (en) 2002-01-18 2007-03-09 주식회사 엘지화학 New material for electron transport and organic light emitting device using the same
JP2004200141A (en) * 2002-10-24 2004-07-15 Toyota Industries Corp Organic EL device
JP4710236B2 (en) * 2004-03-03 2011-06-29 トヨタ自動車株式会社 Electrolyte composition and lithium secondary battery
JP4900561B2 (en) * 2005-10-05 2012-03-21 トヨタ自動車株式会社 Lithium salt and its use
DE502005009802D1 (en) 2005-11-10 2010-08-05 Novaled Ag Doped organic semiconductor material
JP4907200B2 (en) * 2006-03-09 2012-03-28 富士フイルム株式会社 Ink composition, inkjet recording method, printed matter, planographic printing plate manufacturing method, and planographic printing plate
KR20100090775A (en) * 2007-10-18 2010-08-17 메르크 파텐트 게엠베하 Conductive composition
KR101111435B1 (en) * 2009-03-11 2012-02-16 광 석 서 Compound capable of being used as materials for forming a hole injection/transporting layer of organic emitting diode devices and the organic emitting diode device using the same
US20120104380A1 (en) * 2009-06-22 2012-05-03 Merck Patent Gmbh Conducting formulation
KR20140108701A (en) * 2010-04-22 2014-09-12 히타치가세이가부시끼가이샤 Organic electronic material, polymerization initiator and thermal polymerization initiator, ink composition, organic thin film and production method for same, organic electronic element, organic electroluminescent element, lighting device, display element, and display device
EP2395571B1 (en) 2010-06-10 2013-12-04 Novaled AG Organic electronic device comprising an organic semiconducting material
KR20140016298A (en) * 2011-02-25 2014-02-07 에꼴 뽈리떼끄닉 뻬데랄 드 로잔느 (으뻬에프엘) Improved redox couple for electrochemical and optoelectronic devices
JP6269489B2 (en) * 2011-10-04 2018-01-31 日産化学工業株式会社 Improved doping method for hole injection and transport layers
WO2013051875A2 (en) 2011-10-05 2013-04-11 주식회사 엘지화학 Organic light-emitting device and method for manufacturing same
EP2786435B1 (en) 2011-11-30 2019-07-17 Novaled GmbH Compounds
JP6015103B2 (en) * 2012-04-27 2016-10-26 大日本印刷株式会社 Method for manufacturing organic electroluminescence device
WO2014008982A1 (en) * 2012-07-13 2014-01-16 Merck Patent Gmbh Metal complexes
US20140116509A1 (en) * 2012-10-30 2014-05-01 Sean Andrew Vail Solid-State Dye-Sensitized Solar Cell Using Oxidative Dopant
US9997714B2 (en) * 2013-10-02 2018-06-12 Merck Patent Gmbh Hole transport material
JP6166711B2 (en) * 2013-12-25 2017-07-19 富士フイルム株式会社 Coloring composition, cured film using the same, color filter, pattern forming method, color filter manufacturing method, solid-state imaging device, and image display device
CN107615506B (en) * 2015-05-08 2021-01-22 株式会社理光 Photoelectric conversion element

Patent Citations (2)

* Cited by examiner, † Cited by third party
Publication number Priority date Publication date Assignee Title
EP1209708A1 (en) * 2000-11-24 2002-05-29 Sony International (Europe) GmbH Hybrid salar cells with thermal deposited semiconductive oxide layer
US20130330632A1 (en) * 2011-02-25 2013-12-12 Julian Burschka Metal complexes for use as dopants and other uses

Non-Patent Citations (1)

* Cited by examiner, † Cited by third party
Title
ANTONIO ABATE ET AL: "Lithium salts as "redox active" p-type dopants for organic semiconductors and their impact in solid-state dye-sensitized solar cells", PHYSICAL CHEMISTRY CHEMICAL PHYSICS, vol. 15, no. 7, 12 December 2012 (2012-12-12), pages 2572, XP055134627, ISSN: 1463-9076, DOI: 10.1039/c2cp44397j *

Cited By (19)

* Cited by examiner, † Cited by third party
Publication number Priority date Publication date Assignee Title
JP2024164105A (en) * 2017-04-07 2024-11-26 株式会社半導体エネルギー研究所 Light emitting element
DE102017111137A1 (en) 2017-05-22 2018-11-22 Novaled Gmbh Organic electroluminescent device
US12457891B2 (en) 2017-05-24 2025-10-28 Pictiva Displays International Limited Method for producing an organic electronic component
DE102018118278B4 (en) 2018-07-27 2025-02-20 Novaled Gmbh Electronic device, display device, method for producing the same and a connection
DE102018122708B4 (en) 2018-09-17 2025-02-20 Novaled Gmbh Organic electronic device, organic semiconducting material and a borane compound
EP3859811A1 (en) 2020-01-28 2021-08-04 Novaled GmbH An organic electronic device comprising an anode layer, a cathode layer, at least one emission layer (eml) and at least one hole injection layer (hil)
EP3859808A1 (en) 2020-01-28 2021-08-04 Novaled GmbH An organic electronic device comprising a hole injection layer that comprises a hole transport compound
WO2021151958A1 (en) 2020-01-28 2021-08-05 Novaled Gmbh An organic electronic device comprising a hole injection layer that comprises a hole transport compound
WO2021151959A1 (en) 2020-01-28 2021-08-05 Novaled Gmbh An organic electronic device comprising an anode layer, a cathode layer, at least one emission layer (eml) and at least one hole injection layer (hil)
EP4550997A2 (en) 2020-01-28 2025-05-07 Novaled GmbH An organic electronic device comprising an anode layer, a cathode layer, at least one emission layer (eml) and at least one hole injection layer (hil)
EP3883003A1 (en) 2020-03-20 2021-09-22 Novaled GmbH An organic electronic device comprising a substrate, an anode layer, a cathode layer, at least one first emission layer, and a hole injection layer that comprises a metal complex
WO2021186023A1 (en) 2020-03-20 2021-09-23 Novaled Gmbh An organic electronic device comprising a substrate, an anode layer, a cathode layer, at least one first emission layer, and a hole injection layer that comprises a metal complex
DE102020108402A1 (en) 2020-03-26 2021-09-30 Novaled Gmbh Organic electronic device, organic semiconducting material, a trioxatriborinane compound and their use
DE102020108402B4 (en) 2020-03-26 2021-11-11 Novaled Gmbh Organic electronic device, organic semiconducting material, a trioxatriborinane compound and their use
WO2021191255A1 (en) 2020-03-26 2021-09-30 Novaled Gmbh Organic electronic device, organic semiconducting material, a trioxatriborinane compound and the use thereof
EP4002508A1 (en) 2020-11-16 2022-05-25 Novaled GmbH Organic electronic device comprising a compound of formula (1), display device comprising the organic electronic device as well as compounds of formula (1) for use in organic electronic devices
WO2022101439A1 (en) 2020-11-16 2022-05-19 Novaled Gmbh Organic electronic device comprising a compound of formula (1), display device comprising the organic electronic device as well as compounds of formula (1) for use in organic electronic devices
WO2022263494A1 (en) 2021-06-18 2022-12-22 Novaled Gmbh An organic electronic device comprising a substrate, an anode layer, a cathode layer, at least one first emission layer, and at least one hole injection layer that comprises a metal complex
EP4106026A1 (en) 2021-06-18 2022-12-21 Novaled GmbH An organic electronic device comprising a substrate, an anode layer, a cathode layer, at least one first emission layer, and at least one hole injection layer that comprises a metal complex

Also Published As

Publication number Publication date
EP3338314B1 (en) 2020-02-12
US20180240995A1 (en) 2018-08-23
CN107925013A (en) 2018-04-17
EP3133664A1 (en) 2017-02-22
KR102658023B1 (en) 2024-04-15
KR20180041695A (en) 2018-04-24
US10998518B2 (en) 2021-05-04
EP3338314A1 (en) 2018-06-27
JP2018530910A (en) 2018-10-18
JP6807379B2 (en) 2021-01-06
CN107925013B (en) 2020-11-10

Similar Documents

Publication Publication Date Title
JP7148589B2 (en) Metal amides used as hole injection layers (HIL) in organic light emitting diodes (OLEDs)
KR102658023B1 (en) Triaryl amine thickened layer doped with metal amide for use as LED for organic light emitting diodes (OLED)
KR102364896B1 (en) Organic light-emitting diode (oled) including an electron transport layer stack comprising different lithium compounds
EP4449838A1 (en) A ce(iv) metal complex, an organic electronic device comprising an anode layer, a cathode layer and a charge generation layer, wherein the charge generation layer comprises a p-type charge generation layer that comprises the ce(iv) metal complex and a n-type charge generation layer
WO2016050882A1 (en) Organic light-emitting diode including an electron transport layer comprising a three component blend of a matrix compound and two lithium compounds
WO2021259791A1 (en) Organic electronic device comprising a compound of formula (i), display device comprising the organic electronic device as well as compounds of formula (i) for use in organic electronic devices
WO2018215442A1 (en) Use of phosphine oxide compounds in a semiconducting layer comprised in an electronic device
EP4333590B1 (en) Organic electroluminescent device comprising a compound of formula (i) and a compound of formula (ii), and display device comprising the organic electroluminescent device
EP4382510B1 (en) Compound of formula (i), organic electronic device comprising a compound of formula (1), display device comprising the organic electronic device as well as compounds of formula (1) for use in organic electronic devices

Legal Events

Date Code Title Description
121 Ep: the epo has been informed by wipo that ep was designated in this application

Ref document number: 16760402

Country of ref document: EP

Kind code of ref document: A1

WWE Wipo information: entry into national phase

Ref document number: 15752695

Country of ref document: US

ENP Entry into the national phase

Ref document number: 2018508185

Country of ref document: JP

Kind code of ref document: A

NENP Non-entry into the national phase

Ref country code: DE

ENP Entry into the national phase

Ref document number: 20187007104

Country of ref document: KR

Kind code of ref document: A

WWE Wipo information: entry into national phase

Ref document number: 2016760402

Country of ref document: EP