WO2012154967A1 - Proteostasis regulators - Google Patents
Proteostasis regulators Download PDFInfo
- Publication number
- WO2012154967A1 WO2012154967A1 PCT/US2012/037340 US2012037340W WO2012154967A1 WO 2012154967 A1 WO2012154967 A1 WO 2012154967A1 US 2012037340 W US2012037340 W US 2012037340W WO 2012154967 A1 WO2012154967 A1 WO 2012154967A1
- Authority
- WO
- WIPO (PCT)
- Prior art keywords
- optionally substituted
- cycloalkyl
- cycloalkenyl
- heteroaryl
- group
- Prior art date
- Legal status (The legal status is an assumption and is not a legal conclusion. Google has not performed a legal analysis and makes no representation as to the accuracy of the status listed.)
- Ceased
Links
- 0 *C(CC1CCC2(*)*)CC1C2=O Chemical compound *C(CC1CCC2(*)*)CC1C2=O 0.000 description 37
- NNKFIFOSLJJRES-UHFFFAOYSA-N Cc1ccc(C)[n]1-c(cc1)ccc1Cl Chemical compound Cc1ccc(C)[n]1-c(cc1)ccc1Cl NNKFIFOSLJJRES-UHFFFAOYSA-N 0.000 description 2
- MMAZAHFSZBDEOP-UHFFFAOYSA-N C/[O]=C(\CC(F)(F)F)/Cl Chemical compound C/[O]=C(\CC(F)(F)F)/Cl MMAZAHFSZBDEOP-UHFFFAOYSA-N 0.000 description 1
- UCAVVMACVXHIHF-UHFFFAOYSA-N CC(C)(C)OC(N1C(CC(c(cc2C)c(C)[n]2-c(cc2)ccc2Cl)=O)CCCC1)=O Chemical compound CC(C)(C)OC(N1C(CC(c(cc2C)c(C)[n]2-c(cc2)ccc2Cl)=O)CCCC1)=O UCAVVMACVXHIHF-UHFFFAOYSA-N 0.000 description 1
- IUDKTVXSXWAKJO-UHFFFAOYSA-N CCOC(Cc1ncccc1)=O Chemical compound CCOC(Cc1ncccc1)=O IUDKTVXSXWAKJO-UHFFFAOYSA-N 0.000 description 1
- BAMPVSWRQZNDQC-UHFFFAOYSA-N Cc1c(C)[s]c(C)n1 Chemical compound Cc1c(C)[s]c(C)n1 BAMPVSWRQZNDQC-UHFFFAOYSA-N 0.000 description 1
- WNJSBHBNFBBFJS-UHFFFAOYSA-N Cc1cc(C(CBr)=O)c(C)[n]1-c(cc1)ccc1Cl Chemical compound Cc1cc(C(CBr)=O)c(C)[n]1-c(cc1)ccc1Cl WNJSBHBNFBBFJS-UHFFFAOYSA-N 0.000 description 1
- NRRHVWCLZGHCBI-UHFFFAOYSA-N Cc1cc(C(CC(F)(F)F)=O)c(C)[n]1-c(cc1)ccc1Cl Chemical compound Cc1cc(C(CC(F)(F)F)=O)c(C)[n]1-c(cc1)ccc1Cl NRRHVWCLZGHCBI-UHFFFAOYSA-N 0.000 description 1
- UAUUARGFEZCQDJ-UHFFFAOYSA-N Cc1cc(C(CC2N(C)CCCC2)=O)c(C)[n]1-c(cc1)ccc1Cl Chemical compound Cc1cc(C(CC2N(C)CCCC2)=O)c(C)[n]1-c(cc1)ccc1Cl UAUUARGFEZCQDJ-UHFFFAOYSA-N 0.000 description 1
- TYRAWJHKOMAUBJ-UHFFFAOYSA-N Cc1cc(C(CC2NCCCC2)=O)c(C)[n]1-c(cc1)ccc1Cl Chemical compound Cc1cc(C(CC2NCCCC2)=O)c(C)[n]1-c(cc1)ccc1Cl TYRAWJHKOMAUBJ-UHFFFAOYSA-N 0.000 description 1
- VMBXHTWBULMGNC-UHFFFAOYSA-N Cc1cc(C(C[n]2cccc2)=O)c(C)[n]1-c(cc1)ccc1Cl Chemical compound Cc1cc(C(C[n]2cccc2)=O)c(C)[n]1-c(cc1)ccc1Cl VMBXHTWBULMGNC-UHFFFAOYSA-N 0.000 description 1
- BBSWKYPNQYLGQP-UHFFFAOYSA-N Cc1cc(C(C[n]2cncc2)=O)c(C)[n]1-c(cc1)ccc1Cl Chemical compound Cc1cc(C(C[n]2cncc2)=O)c(C)[n]1-c(cc1)ccc1Cl BBSWKYPNQYLGQP-UHFFFAOYSA-N 0.000 description 1
- VZWADSIVBDUICD-UHFFFAOYSA-N Cc1cc(C(c2nc(cccc3)c3[s]2)=O)c(C)[n]1-c(cc1)ccc1Cl Chemical compound Cc1cc(C(c2nc(cccc3)c3[s]2)=O)c(C)[n]1-c(cc1)ccc1Cl VZWADSIVBDUICD-UHFFFAOYSA-N 0.000 description 1
Classifications
-
- C—CHEMISTRY; METALLURGY
- C07—ORGANIC CHEMISTRY
- C07D—HETEROCYCLIC COMPOUNDS
- C07D403/00—Heterocyclic compounds containing two or more hetero rings, having nitrogen atoms as the only ring hetero atoms, not provided for by group C07D401/00
- C07D403/02—Heterocyclic compounds containing two or more hetero rings, having nitrogen atoms as the only ring hetero atoms, not provided for by group C07D401/00 containing two hetero rings
- C07D403/06—Heterocyclic compounds containing two or more hetero rings, having nitrogen atoms as the only ring hetero atoms, not provided for by group C07D401/00 containing two hetero rings linked by a carbon chain containing only aliphatic carbon atoms
-
- A—HUMAN NECESSITIES
- A61—MEDICAL OR VETERINARY SCIENCE; HYGIENE
- A61P—SPECIFIC THERAPEUTIC ACTIVITY OF CHEMICAL COMPOUNDS OR MEDICINAL PREPARATIONS
- A61P21/00—Drugs for disorders of the muscular or neuromuscular system
- A61P21/02—Muscle relaxants, e.g. for tetanus or cramps
-
- A—HUMAN NECESSITIES
- A61—MEDICAL OR VETERINARY SCIENCE; HYGIENE
- A61P—SPECIFIC THERAPEUTIC ACTIVITY OF CHEMICAL COMPOUNDS OR MEDICINAL PREPARATIONS
- A61P25/00—Drugs for disorders of the nervous system
-
- A—HUMAN NECESSITIES
- A61—MEDICAL OR VETERINARY SCIENCE; HYGIENE
- A61P—SPECIFIC THERAPEUTIC ACTIVITY OF CHEMICAL COMPOUNDS OR MEDICINAL PREPARATIONS
- A61P25/00—Drugs for disorders of the nervous system
- A61P25/14—Drugs for disorders of the nervous system for treating abnormal movements, e.g. chorea, dyskinesia
-
- A—HUMAN NECESSITIES
- A61—MEDICAL OR VETERINARY SCIENCE; HYGIENE
- A61P—SPECIFIC THERAPEUTIC ACTIVITY OF CHEMICAL COMPOUNDS OR MEDICINAL PREPARATIONS
- A61P25/00—Drugs for disorders of the nervous system
- A61P25/14—Drugs for disorders of the nervous system for treating abnormal movements, e.g. chorea, dyskinesia
- A61P25/16—Anti-Parkinson drugs
-
- A—HUMAN NECESSITIES
- A61—MEDICAL OR VETERINARY SCIENCE; HYGIENE
- A61P—SPECIFIC THERAPEUTIC ACTIVITY OF CHEMICAL COMPOUNDS OR MEDICINAL PREPARATIONS
- A61P25/00—Drugs for disorders of the nervous system
- A61P25/28—Drugs for disorders of the nervous system for treating neurodegenerative disorders of the central nervous system, e.g. nootropic agents, cognition enhancers, drugs for treating Alzheimer's disease or other forms of dementia
-
- A—HUMAN NECESSITIES
- A61—MEDICAL OR VETERINARY SCIENCE; HYGIENE
- A61P—SPECIFIC THERAPEUTIC ACTIVITY OF CHEMICAL COMPOUNDS OR MEDICINAL PREPARATIONS
- A61P3/00—Drugs for disorders of the metabolism
- A61P3/08—Drugs for disorders of the metabolism for glucose homeostasis
- A61P3/10—Drugs for disorders of the metabolism for glucose homeostasis for hyperglycaemia, e.g. antidiabetics
-
- A—HUMAN NECESSITIES
- A61—MEDICAL OR VETERINARY SCIENCE; HYGIENE
- A61P—SPECIFIC THERAPEUTIC ACTIVITY OF CHEMICAL COMPOUNDS OR MEDICINAL PREPARATIONS
- A61P35/00—Antineoplastic agents
-
- A—HUMAN NECESSITIES
- A61—MEDICAL OR VETERINARY SCIENCE; HYGIENE
- A61P—SPECIFIC THERAPEUTIC ACTIVITY OF CHEMICAL COMPOUNDS OR MEDICINAL PREPARATIONS
- A61P43/00—Drugs for specific purposes, not provided for in groups A61P1/00-A61P41/00
-
- C—CHEMISTRY; METALLURGY
- C07—ORGANIC CHEMISTRY
- C07D—HETEROCYCLIC COMPOUNDS
- C07D207/00—Heterocyclic compounds containing five-membered rings not condensed with other rings, with one nitrogen atom as the only ring hetero atom
- C07D207/02—Heterocyclic compounds containing five-membered rings not condensed with other rings, with one nitrogen atom as the only ring hetero atom with only hydrogen or carbon atoms directly attached to the ring nitrogen atom
- C07D207/30—Heterocyclic compounds containing five-membered rings not condensed with other rings, with one nitrogen atom as the only ring hetero atom with only hydrogen or carbon atoms directly attached to the ring nitrogen atom having two double bonds between ring members or between ring members and non-ring members
- C07D207/32—Heterocyclic compounds containing five-membered rings not condensed with other rings, with one nitrogen atom as the only ring hetero atom with only hydrogen or carbon atoms directly attached to the ring nitrogen atom having two double bonds between ring members or between ring members and non-ring members with only hydrogen atoms, hydrocarbon or substituted hydrocarbon radicals, directly attached to ring carbon atoms
- C07D207/33—Heterocyclic compounds containing five-membered rings not condensed with other rings, with one nitrogen atom as the only ring hetero atom with only hydrogen or carbon atoms directly attached to the ring nitrogen atom having two double bonds between ring members or between ring members and non-ring members with only hydrogen atoms, hydrocarbon or substituted hydrocarbon radicals, directly attached to ring carbon atoms with substituted hydrocarbon radicals, directly attached to ring carbon atoms
- C07D207/333—Radicals substituted by oxygen or sulfur atoms
-
- C—CHEMISTRY; METALLURGY
- C07—ORGANIC CHEMISTRY
- C07D—HETEROCYCLIC COMPOUNDS
- C07D207/00—Heterocyclic compounds containing five-membered rings not condensed with other rings, with one nitrogen atom as the only ring hetero atom
- C07D207/02—Heterocyclic compounds containing five-membered rings not condensed with other rings, with one nitrogen atom as the only ring hetero atom with only hydrogen or carbon atoms directly attached to the ring nitrogen atom
- C07D207/30—Heterocyclic compounds containing five-membered rings not condensed with other rings, with one nitrogen atom as the only ring hetero atom with only hydrogen or carbon atoms directly attached to the ring nitrogen atom having two double bonds between ring members or between ring members and non-ring members
- C07D207/32—Heterocyclic compounds containing five-membered rings not condensed with other rings, with one nitrogen atom as the only ring hetero atom with only hydrogen or carbon atoms directly attached to the ring nitrogen atom having two double bonds between ring members or between ring members and non-ring members with only hydrogen atoms, hydrocarbon or substituted hydrocarbon radicals, directly attached to ring carbon atoms
- C07D207/33—Heterocyclic compounds containing five-membered rings not condensed with other rings, with one nitrogen atom as the only ring hetero atom with only hydrogen or carbon atoms directly attached to the ring nitrogen atom having two double bonds between ring members or between ring members and non-ring members with only hydrogen atoms, hydrocarbon or substituted hydrocarbon radicals, directly attached to ring carbon atoms with substituted hydrocarbon radicals, directly attached to ring carbon atoms
- C07D207/337—Radicals substituted by carbon atoms having three bonds to hetero atoms with at the most one bond to halogen, e.g. ester or nitrile radicals
-
- C—CHEMISTRY; METALLURGY
- C07—ORGANIC CHEMISTRY
- C07D—HETEROCYCLIC COMPOUNDS
- C07D231/00—Heterocyclic compounds containing 1,2-diazole or hydrogenated 1,2-diazole rings
- C07D231/02—Heterocyclic compounds containing 1,2-diazole or hydrogenated 1,2-diazole rings not condensed with other rings
- C07D231/10—Heterocyclic compounds containing 1,2-diazole or hydrogenated 1,2-diazole rings not condensed with other rings having two or three double bonds between ring members or between ring members and non-ring members
- C07D231/12—Heterocyclic compounds containing 1,2-diazole or hydrogenated 1,2-diazole rings not condensed with other rings having two or three double bonds between ring members or between ring members and non-ring members with only hydrogen atoms, hydrocarbon or substituted hydrocarbon radicals, directly attached to ring carbon atoms
-
- C—CHEMISTRY; METALLURGY
- C07—ORGANIC CHEMISTRY
- C07D—HETEROCYCLIC COMPOUNDS
- C07D249/00—Heterocyclic compounds containing five-membered rings having three nitrogen atoms as the only ring hetero atoms
- C07D249/02—Heterocyclic compounds containing five-membered rings having three nitrogen atoms as the only ring hetero atoms not condensed with other rings
- C07D249/04—1,2,3-Triazoles; Hydrogenated 1,2,3-triazoles
- C07D249/06—1,2,3-Triazoles; Hydrogenated 1,2,3-triazoles with aryl radicals directly attached to ring atoms
-
- C—CHEMISTRY; METALLURGY
- C07—ORGANIC CHEMISTRY
- C07D—HETEROCYCLIC COMPOUNDS
- C07D263/00—Heterocyclic compounds containing 1,3-oxazole or hydrogenated 1,3-oxazole rings
- C07D263/02—Heterocyclic compounds containing 1,3-oxazole or hydrogenated 1,3-oxazole rings not condensed with other rings
- C07D263/30—Heterocyclic compounds containing 1,3-oxazole or hydrogenated 1,3-oxazole rings not condensed with other rings having two or three double bonds between ring members or between ring members and non-ring members
- C07D263/32—Heterocyclic compounds containing 1,3-oxazole or hydrogenated 1,3-oxazole rings not condensed with other rings having two or three double bonds between ring members or between ring members and non-ring members with only hydrogen atoms, hydrocarbon or substituted hydrocarbon radicals, directly attached to ring carbon atoms
-
- C—CHEMISTRY; METALLURGY
- C07—ORGANIC CHEMISTRY
- C07D—HETEROCYCLIC COMPOUNDS
- C07D275/00—Heterocyclic compounds containing 1,2-thiazole or hydrogenated 1,2-thiazole rings
- C07D275/02—Heterocyclic compounds containing 1,2-thiazole or hydrogenated 1,2-thiazole rings not condensed with other rings
-
- C—CHEMISTRY; METALLURGY
- C07—ORGANIC CHEMISTRY
- C07D—HETEROCYCLIC COMPOUNDS
- C07D295/00—Heterocyclic compounds containing polymethylene-imine rings with at least five ring members, 3-azabicyclo [3.2.2] nonane, piperazine, morpholine or thiomorpholine rings, having only hydrogen atoms directly attached to the ring carbon atoms
- C07D295/16—Heterocyclic compounds containing polymethylene-imine rings with at least five ring members, 3-azabicyclo [3.2.2] nonane, piperazine, morpholine or thiomorpholine rings, having only hydrogen atoms directly attached to the ring carbon atoms acylated on ring nitrogen atoms
- C07D295/18—Heterocyclic compounds containing polymethylene-imine rings with at least five ring members, 3-azabicyclo [3.2.2] nonane, piperazine, morpholine or thiomorpholine rings, having only hydrogen atoms directly attached to the ring carbon atoms acylated on ring nitrogen atoms by radicals derived from carboxylic acids, or sulfur or nitrogen analogues thereof
- C07D295/182—Radicals derived from carboxylic acids
- C07D295/185—Radicals derived from carboxylic acids from aliphatic carboxylic acids
-
- C—CHEMISTRY; METALLURGY
- C07—ORGANIC CHEMISTRY
- C07D—HETEROCYCLIC COMPOUNDS
- C07D333/00—Heterocyclic compounds containing five-membered rings having one sulfur atom as the only ring hetero atom
- C07D333/02—Heterocyclic compounds containing five-membered rings having one sulfur atom as the only ring hetero atom not condensed with other rings
- C07D333/04—Heterocyclic compounds containing five-membered rings having one sulfur atom as the only ring hetero atom not condensed with other rings not substituted on the ring sulphur atom
- C07D333/06—Heterocyclic compounds containing five-membered rings having one sulfur atom as the only ring hetero atom not condensed with other rings not substituted on the ring sulphur atom with only hydrogen atoms, hydrocarbon or substituted hydrocarbon radicals, directly attached to the ring carbon atoms
- C07D333/14—Radicals substituted by singly bound hetero atoms other than halogen
- C07D333/20—Radicals substituted by singly bound hetero atoms other than halogen by nitrogen atoms
-
- C—CHEMISTRY; METALLURGY
- C07—ORGANIC CHEMISTRY
- C07D—HETEROCYCLIC COMPOUNDS
- C07D333/00—Heterocyclic compounds containing five-membered rings having one sulfur atom as the only ring hetero atom
- C07D333/02—Heterocyclic compounds containing five-membered rings having one sulfur atom as the only ring hetero atom not condensed with other rings
- C07D333/04—Heterocyclic compounds containing five-membered rings having one sulfur atom as the only ring hetero atom not condensed with other rings not substituted on the ring sulphur atom
- C07D333/06—Heterocyclic compounds containing five-membered rings having one sulfur atom as the only ring hetero atom not condensed with other rings not substituted on the ring sulphur atom with only hydrogen atoms, hydrocarbon or substituted hydrocarbon radicals, directly attached to the ring carbon atoms
- C07D333/22—Radicals substituted by doubly bound hetero atoms, or by two hetero atoms other than halogen singly bound to the same carbon atom
-
- C—CHEMISTRY; METALLURGY
- C07—ORGANIC CHEMISTRY
- C07D—HETEROCYCLIC COMPOUNDS
- C07D401/00—Heterocyclic compounds containing two or more hetero rings, having nitrogen atoms as the only ring hetero atoms, at least one ring being a six-membered ring with only one nitrogen atom
- C07D401/02—Heterocyclic compounds containing two or more hetero rings, having nitrogen atoms as the only ring hetero atoms, at least one ring being a six-membered ring with only one nitrogen atom containing two hetero rings
- C07D401/06—Heterocyclic compounds containing two or more hetero rings, having nitrogen atoms as the only ring hetero atoms, at least one ring being a six-membered ring with only one nitrogen atom containing two hetero rings linked by a carbon chain containing only aliphatic carbon atoms
-
- C—CHEMISTRY; METALLURGY
- C07—ORGANIC CHEMISTRY
- C07D—HETEROCYCLIC COMPOUNDS
- C07D405/00—Heterocyclic compounds containing both one or more hetero rings having oxygen atoms as the only ring hetero atoms, and one or more rings having nitrogen as the only ring hetero atom
- C07D405/02—Heterocyclic compounds containing both one or more hetero rings having oxygen atoms as the only ring hetero atoms, and one or more rings having nitrogen as the only ring hetero atom containing two hetero rings
- C07D405/06—Heterocyclic compounds containing both one or more hetero rings having oxygen atoms as the only ring hetero atoms, and one or more rings having nitrogen as the only ring hetero atom containing two hetero rings linked by a carbon chain containing only aliphatic carbon atoms
-
- C—CHEMISTRY; METALLURGY
- C07—ORGANIC CHEMISTRY
- C07D—HETEROCYCLIC COMPOUNDS
- C07D471/00—Heterocyclic compounds containing nitrogen atoms as the only ring hetero atoms in the condensed system, at least one ring being a six-membered ring with one nitrogen atom, not provided for by groups C07D451/00 - C07D463/00
- C07D471/02—Heterocyclic compounds containing nitrogen atoms as the only ring hetero atoms in the condensed system, at least one ring being a six-membered ring with one nitrogen atom, not provided for by groups C07D451/00 - C07D463/00 in which the condensed system contains two hetero rings
- C07D471/04—Ortho-condensed systems
Definitions
- Protein homeostasis a balance between protein synthesis, folding, trafficking, aggregation, and degradation, referred to as protein homeostasis, utilizing sensors and networks of pathways [Sitia et al., Nature 426: 891-894, 2003; Ron et al, Nat Rev Mol Cell Biol 8: 519-529, 2007].
- the cellular maintenance of protein homeostasis, or proteostasis refers to controlling the conformation, binding interactions, location and concentration of individual proteins making up the proteome. Protein folding in vivo is accomplished through interactions between the folding polypeptide chain and
- Dysfunction in proteostasis has been implicated in a diverse range of diseases including for example, neurodegenerative disease, metabolic diseases, inflammatory diseases and cancer. There remains a need in the art for compounds and pharmaceutical compositions to treat conditions associated with proteostasis dysfunction.
- the present invention is directed to compounds having the Formulae (Ia-Ie), (II), (Illa-IIId), (IVa-IVc), (Va-Vb), (Via- Vie), (VII), (Villa- VIIIc), and (IX),
- compositions of any of thereof methods for the treatment of a patient suffering from a condition associated with a dysfunction in proteostasis comprising administering to said an effective amount of a compound of the invention, and methods for treating cancer or tumor comprising administering to said an effective amount of a compound of the invention.
- the invention is directed to a compound having the Formula
- Ring W is a 5-membered heteroaryl or a 5-membered heterocyclic, wherein each ring carbon atom of said 5-membered heteroaryl is substituted with one Ra and wherein each ring nitrogen atom of said 5-membered heteroaryl is substituted with zero or one Rj when said nitrogen atom is present, and wherein each ring carbon atom of said 5- membered heterocyclic is substituted with one or two Rj and each ring nitrogen atom of said 5-membered heterocyclic is substituted with zero or one Rj, when said nitrogen atom or atoms are present;
- Ai is S(0) 2 R a , S(0) 2 NR a R a , C(0)NR a R a , C(0)R a , optionally substituted d-do alkyl, optionally substituted C2-C1 0 alkenyl, optionally substituted C2-C1 0 alkynyl, optionally substituted C3-C12 cycloalkyl, or optionally substituted C3-C12 cycloalkenyl, or is a monocyclic or polycyclic group selected from the group consisting of optionally substituted C3-C12 cycloalkyl, optionally substituted C4-C12 cycloalkenyl, optionally substituted 3- to 12-membered heterocyclic, optionally substituted aryl, optionally substituted heteroaryl;
- Each R a is independently selected from the group consisting of hydrogen, optionally substituted C1-C1 0 alkyl, optionally substituted C2-C1 0 alkenyl, optionally substituted C2-C1 0 alkynyl, optionally substituted C3-C12 cycloalkyl, optionally substituted C3-C12 cycloalkenyl, optionally substituted heterocyclic, optionally substituted aryl and optionally substituted heteroaryl;
- Each Ra is independently selected from the group consisting of hydrogen, optionally substituted Ci-Cio alkyl, optionally substituted C 2 -C 10 alkenyl, optionally substituted C 2 -C 10 alkynyl, optionally substituted C3-C 12 cycloalkyl, optionally substituted C3-C 12 cycloalkenyl, optionally substituted heterocyclic, optionally substituted aryl, optionally substituted heteroaryl, halo, ORc, SRc, NR c Rc, C(0)
- R 3 and R4 are each independently selected from the group consisting of hydrogen, optionally substituted C 1 -C 10 alkyl, optionally substituted C 2 -C 10 alkenyl, optionally substituted C 2 -C 10 alkynyl, optionally substituted C3-C 12 cycloalkyl, optionally substituted C3-C 12 cycloalkenyl, optionally substituted heterocyclic, optionally substituted aryl, optionally substituted heteroaryl, halo, ORc, SRc, C(0)OR c , N0 2 , CN, C(0)Rc,
- R 3 and R4 can be taken together with the carbon atom to which they are attached to form a C(O), C3-C8 cycloalkyl, C3-C8 cycloalkenyl or a 3- to 8- membered heterocyclic; or yet alternatively, R 3 and an Ra group can be taken together to form a fused monocyclic group selected from the group consisting of C5-C 12 cycloalkyl, C5-C 12 cycloalkenyl, 5- to 12-membered heterocyclic, C
- Each R c is independently selected from the group consisting of hydrogen, optionally substituted C1-C1 0 alkyl, optionally substituted C2-C1 0 alkenyl, optionally substituted C2-C1 0 alkynyl, optionally substituted C 3 -C12 cycloalkyl, optionally substituted C 3 -C12 cycloalkenyl, optionally substituted heterocyclic, optionally substituted aryl and optionally substituted heteroaryl; or alternatively, two R c groups are taken together with the atom which they are attached to form a C 3 -C 8 cycloalkyl, C 3 -C 8 cycloalkenyl, 3- to 8- membered heterocyclic, aryl or heteroaryl, each optionally substituted; and
- n 0, 1 or 2.
- the invention is directed to a compound having the Formula (II):
- D is hydrogen, S(0) 2 R a , S(0) 2 NR a R a , C(0)NR a R a , C(0)R a , optionally substituted C1-C1 0 alkyl, optionally substituted C2-C1 0 alkenyl, optionally substituted C2-C1 0 alkynyl, optionally substituted C 3 -C12 cycloalkyl, or optionally substituted C 3 -C12 cycloalkenyl, or is a monocyclic or polycyclic group selected from the group consisting of optionally substituted C 3 -C12 cycloalkyl, optionally substituted C4-C12 cycloalkenyl, optionally substituted 4- to 12-membered heterocyclic, optionally substituted aryl or optionally substituted heteroaryl, each optionally substituted;
- Each R a is independently selected from the group consisting of hydrogen, optionally substituted C1-C1 0 alkyl, optionally substituted C2-C1 0 alkenyl, optionally substituted C2-C1 0 alkynyl, optionally substituted C 3 -C12 cycloalkyl, optionally substituted C3-C 12 cycloalkenyl, optionally substituted heterocyclic, optionally substituted aryl and optionally substituted heteroaryl;
- Q is C(Rd) or ;
- Each 3 ⁇ 4 is independently selected from the group consisting of hydrogen, optionally substituted C 1 -C 10 alkyl, optionally substituted C 2 -C 10 alkenyl, optionally substituted C 2 -C 10 alkynyl, optionally substituted C3-C 12 cycloalkyl, optionally substituted C3-C 12 cycloalkenyl, optionally substituted heterocyclic, optionally substituted aryl, optionally substituted heteroaryl, halo, OR c , SR c , NR c R c , C(0)OR c , N0 2 , CN, C(0)R c , C(0)C(0)R c , C(0)NR c R c , NR c C(0)R c , NR c S(0) n R c , N(R c )(COOR c ), NR c C(0)C(0)R c , NR c C(0)NR c R c , NR c S(0)
- R5 and Re are each independently selected from the group consisting of hydrogen, optionally substituted C 1 -C 10 alkyl, optionally substituted C 2 -C 10 alkenyl, optionally substituted C 2 -C 10 alkynyl, optionally substituted C3-C 12 cycloalkyl, optionally substituted C3-C 12 cycloalkenyl, optionally substituted heterocyclic, optionally substituted aryl, optionally substituted heteroaryl, halo, ORc, SRc, NR c Rc, C(0)OR c , N0 2 , CN, C(0)Rc, C(0)C(0)Rc, C(0)NRcRc, NRcC(0)Rc, NR c S(0) n Rc, N(R c )(COOR c ), NRcC(0)C(0)R c , NRcC(0)NRcR c , NRcS(0) n NR c Rc, NR c S(0) n Rc, S(0)
- Zi is selected from the group consisting of hydrogen, optionally substituted C 1 -C 10 alkyl, optionally substituted C 2 -C 10 alkenyl, optionally substituted C 2 -C 10 alkynyl, optionally substituted C3-C 12 cycloalkyl, optionally substituted C3-C 12 cycloalkenyl, optionally substituted heterocyclic, optionally substituted aryl, optionally substituted heteroaryl, halo, ORc, SRc, NR c Rc, C(0)ORc, N0 2 , CN, C(0)Rc, C(0)C(0)R c ,
- R5 or R6 can be taken together with Zi to form a C3-C 12 cycloalkyl, C3-C 12 cycloalkenyl, 3- to 12-membered heterocyclic, aryl, or heteroaryl, each optionally substituted;
- Each R c is independently selected from the group consisting of hydrogen, optionally substituted C 1 -C 10 alkyl, optionally substituted C 2 -C 10 alkenyl, optionally substituted C2-C10 alkynyl, optionally substituted C3-C12 cycloalkyl, optionally substituted C3-C12 cycloalkenyl, optionally substituted heterocyclic, optionally substituted aryl and optionally substituted heteroaryl; or alternatively, two R c groups are taken together with the atom which they are attached to form a C3-C8 cycloalkyl, C3-C8 cycloalkenyl, 3- to 8- membered heterocyclic, aryl or heteroaryl, each optionally substituted;
- 3 ⁇ 4 is selected from the group consisting of hydrogen, optionally substituted C1-C1 0 alkyl, optionally substituted C2-C1 0 alkenyl, optionally substituted C2-C1 0 alkynyl, optionally substituted C3-C12 cycloalkyl, optionally substituted C3-C12 cycloalkenyl, optionally substituted heterocyclic, optionally substituted aryl, optionally substituted heteroaryl, halo, OR c , SR c , NR c R c , C(0)OR c , N0 2 , CN, C(0)R c , C(0)C(0)R c ,
- Rd and D can be taken together to form a fused monocyclic or polycyclic group selected from the group consisting of optionally substituted C3-C12 cycloalkyl, optionally substituted C3-C12 cycloalkenyl, optionally substituted 3- to 12- membered heterocyclic, optionally substituted aryl, optionally substituted heteroaryl and n is 0, 1 or 2.
- the invention is directed to a compound having the Formula (Ilia):
- Ring W is a 5-membered heteroaryl or a 5-membered heterocyclic, wherein each ring carbon atom of said 5-membered heteroaryl is substituted with one R d and wherein each ring nitrogen atom of said 5-membered heteroaryl is substituted with zero or one R d when said nitrogen atom is present, and wherein each ring carbon atom of said 5- membered heterocyclic is substituted with one or two R d and each ring nitrogen atom of said 5-membered heterocyclic is substituted with zero or one Rj, when said nitrogen atom or atoms are present;
- a 2 is S(0) 2 R a , S(0) 2 NR a R a , C(0)NR a R a , C(0)R a , optionally substituted d-do alkyl, optionally substituted C2-C1 0 alkenyl, optionally substituted C2-C1 0 alkynyl, optionally substituted C3-C12 cycloalkyl, or optionally substituted C3-C12 cycloalkenyl, or is a monocyclic or polycyclic group selected from the group consisting of optionally substituted C3-C12 cycloalkyl, optionally substituted C4-C12 cycloalkenyl, optionally substituted 3- to 12-membered heterocyclic, optionally substituted aryl, or optionally substituted heteroaryl;
- Each R a is independently selected from the group consisting of hydrogen, optionally substituted C1-C1 0 alkyl, optionally substituted C2-C1 0 alkenyl, optionally substituted C2-C10 alkynyl, optionally substituted C3-C12 cycloalkyl, optionally substituted C3-C12 cycloalkenyl, optionally substituted heterocyclic, optionally substituted aryl and optionally substituted heteroaryl;
- Each Ra is independently selected from the group consisting of hydrogen, optionally substituted C1-C1 0 alkyl, optionally substituted C2-C1 0 alkenyl, optionally substituted C2-C1 0 alkynyl, optionally substituted C3-C12 cycloalkyl, optionally substituted C3-C12 cycloalkenyl, optionally substituted heterocyclic, optionally substituted aryl, optionally substituted heteroaryl, halo, ORc, SRc, NR c Rc, C(0)OR c , N0 2 , CN, C(0)Rc, C(0)C(0)R c , C(0)NRcR c , NRcS(0) n R c , N(R c )(COOR c ), NR c C(0)C(0)R c , NR c C(0)R c , NRcC(0)NRcRc, NRcS(0)nNR c Rc, NR c S(0) n Rc
- R7 and Rs are each independently selected from the group consisting of hydrogen, optionally substituted C1-C1 0 alkyl, optionally substituted C2-C1 0 alkenyl, optionally substituted C2-C1 0 alkynyl, optionally substituted C3-C12 cycloalkyl, optionally substituted C3-C12 cycloalkenyl, optionally substituted heterocyclic, optionally substituted aryl, optionally substituted heteroaryl, halo, ORc, SRc, NR c Rc, C(0)OR c , N0 2 , CN, C(0)Rc, C(0)C(0)Rc, C(0)NRcR c , NRcC(0)Rc, NR c S(0) n Rc, N(R c )(COOR c ), NRcC(0)C(0)R c , NR c C(0)NR c R c , RcSCC n RcRc, NR c S(0) n Rc,
- Z 2 is selected from the group consisting of hydrogen, optionally substituted C1-C1 0 alkyl, optionally substituted C2-C10 alkenyl, optionally substituted C2-C10 alkynyl, optionally substituted C3-C12 cycloalkyl, optionally substituted C3-C12 cycloalkenyl, optionally substituted heterocyclic, optionally substituted aryl, optionally substituted heteroaryl, halo, ORc, SRc, NR c Rc, C(0)ORc, N0 2 , CN, C(0)Rc, C(0)C(0)R c ,
- R7 or Rs can be taken together with Z2 form a C3-C12 cycloalkyl, C3- C12 cycloalkenyl, 3- to 12-membered heterocyclic, aryl, and heteroaryl, each optionally substituted;
- Each Rc is independently selected from the group consisting of hydrogen, optionally substituted C1-C1 0 alkyl, optionally substituted C2-C1 0 alkenyl, optionally substituted C2-C1 0 alkynyl, optionally substituted C3-C12 cycloalkyl, optionally substituted C3-C12 cycloalkenyl, optionally substituted heterocyclic, optionally substituted aryl and optionally substituted heteroaryl; alternatively, two Rc groups are taken together with the atom which they are attached to form a C3-C8 cycloalkyl, C3-C8 cycloalkenyl, 3- to 8- membered heterocyclic, aryl or heteroaryl, each optionally substituted; and
- n 0, 1 or 2.
- the invention is directed to a compound having the Formula (IVa):
- Ring W is a 5-membered heteroaryl or a 5-membered heterocyclic, wherein each ring carbon atom of said 5-membered heteroaryl is substituted with one R d and wherein each ring nitrogen atom of said 5-membered heteroaryl is substituted with zero or one Rd when said nitrogen atom is present, and wherein each ring carbon atom of said 5- membered heterocyclic is substituted with one or two R d and each ring nitrogen atom of said 5-membered heterocyclic is substituted with zero or one R d , when said nitrogen atom or atoms are present;
- Rf is halo
- Each R g is independently selected from the group consisting of hydrogen, optionally substituted Ci-Cio alkyl, optionally substituted C2-C1 0 alkenyl, optionally substituted C2-C1 0 alkynyl, optionally substituted C3-C12 cycloalkyl, optionally substituted C3-C12 cycloalkenyl, optionally substituted heterocyclic, optionally substituted aryl and optionally substituted heteroaryl;
- a 3 is S(0) 2 R a , S(0) 2 NR a R a , C(0)NR a R a , C(0)R a , optionally substituted d-do alkyl, optionally substituted C2-C1 0 alkenyl, optionally substituted C2-C1 0 alkynyl, optionally substituted C3-C12 cycloalkyl, or optionally substituted C3-C12 cycloalkenyl, or is a monocyclic or polycyclic group selected from the group consisting of optionally substituted C3-C12 cycloalkyl, optionally substituted C4-C12 cycloalkenyl, optionally substituted 3- to 12-membered heterocyclic, optionally substituted aryl, or optionally substituted heteroaryl;
- Each R a is independently selected from the group consisting of hydrogen, optionally substituted Ci-Cio alkyl, optionally substituted C2-C1 0 alkenyl, optionally substituted C2-C1
- Each 3 ⁇ 4 is independently selected from the group consisting of hydrogen, optionally substituted C1-C1 0 alkyl, optionally substituted C2-C1 0 alkenyl, optionally substituted C2-C1 0 alkynyl, optionally substituted C3-C12 cycloalkyl, optionally substituted C3-C12 cycloalkenyl, optionally substituted heterocyclic, optionally substituted aryl, optionally substituted heteroaryl, halo, ORc, SRc, NR c Rc, C(0)OR c , N0 2 , CN, C(0)Rc, C(0)C(0)R c , C(0)NRcR c , NR c C(0)R c , NR c S(0) n Rc, N(R c )(COOR c ), NRcC(0)C(0)R c , NRcC(0)NRcRc, NRcS(0)nNR c Rc, NR c S(0) n Rc
- R 9 and Rio are each independently selected from the group consisting of hydrogen, optionally substituted C1-C1 0 alkyl, optionally substituted C2-C1 0 alkenyl, optionally substituted C2-C1 0 alkynyl, optionally substituted C3-C12 cycloalkyl, optionally substituted C3-C12 cycloalkenyl, optionally substituted heterocyclic, optionally substituted aryl, optionally substituted heteroaryl, halo, ORc, SRc, NR c Rc, C(0)OR c , N0 2 , CN, C(0)Rc, C(0)C(0)R c , C(0)NRcR c , NR c C(0)R c , NR c S(0) n Rc, N(R c )(COOR c ), NRcC(0)C(0)R c , NR c C(0)NR c R c , RcSCC n RcRc, NR c S(0)
- Each R c is independently selected from the group consisting of hydrogen, optionally substituted C1-C10 alkyl, optionally substituted C2-C10 alkenyl, optionally substituted C2-C1 0 alkynyl, optionally substituted C3-C12 cycloalkyl, optionally substituted C3-C12 cycloalkenyl, optionally substituted heterocyclic, optionally substituted aryl and optionally substituted heteroaryl; alternatively, two R c groups are taken together with the atom which they are attached to form a C3-C8 cycloalkyl, C3-C8 cycloalkenyl, 3- to 8- membered heterocyclic, aryl or heteroaryl, each optionally substituted; and
- n 0, 1 or 2.
- the invention is directed to a compound having the Formula (Va):
- Ring W is a 5-membered heteroaryl or a 5-membered heterocyclic, wherein each ring carbon atom of said 5-membered heteroaryl is substituted with one Ra and wherein each ring nitrogen atom of said 5-membered heteroaryl is substituted with zero or one Rj when said nitrogen atom is present, and wherein each ring carbon atom of said 5- membered heterocyclic is substituted with one or two Rj and each ring nitrogen atom of said 5-membered heterocyclic is substituted with zero or one Rj, when said nitrogen atom or atoms are present;
- a 4 is S(0) 2 R a , S(0) 2 NR a R a , C(0)NR a R a , C(0)R a , optionally substituted Ci-C w alkyl, optionally substituted C2-C1 0 alkenyl, optionally substituted C2-C1 0 alkynyl, optionally substituted C3-C12 cycloalkyl, or optionally substituted C3-C12 cycloalkenyl, or is a monocyclic or polycyclic group selected from the group consisting of optionally substituted C3-C12 cycloalkyl, optionally substituted C 4 -Ci2 cycloalkenyl, optionally substituted 3- to 12-membered heterocyclic, optionally substituted aryl, or optionally substituted heteroaryl;
- Each R a is independently selected from the group consisting of hydrogen, optionally substituted C1-C1 0 alkyl, optionally substituted C2-C1 0 alkenyl, optionally substituted C2-C1 0 alkynyl, optionally substituted C3-C12 cycloalkyl, optionally substituted C 3 -C12 cycloalkenyl, optionally substituted heterocyclic, optionally substituted aryl and optionally substituted heteroaryl;
- Each Ra is independently selected from the group consisting of hydrogen, optionally substituted C1-C1 0 alkyl, optionally substituted C2-C1 0 alkenyl, optionally substituted C2-C1 0 alkynyl, optionally substituted C3-C12 cycloalkyl, optionally substituted C 3 -C12 cycloalkenyl, optionally substituted heterocyclic, optionally substituted aryl, optionally substituted heteroaryl, halo, ORc, SRc, NR c Rc, C(0)OR c , N0 2 , CN, C(0)Rc, C(0)C(0)R c , C(0)NR c R c , NR c C(0)R c , NR c S(0) n R c , N(R c )(COOR c ), NR c C(0)C(0)R c , NR c C(0)NR c R c , R c SCO ⁇ R c R c ,
- R11 and R12 are each independently selected from the group consisting of hydrogen, optionally substituted C1-C1 0 alkyl, optionally substituted C2-C1 0 alkenyl, optionally substituted C2-C10 alkynyl, optionally substituted C3-C12 cycloalkyl, optionally substituted C3-C12 cycloalkenyl, optionally substituted heterocyclic, optionally substituted aryl, optionally substituted heteroaryl, halo, ORc, SRc, NR c Rc, C(0)ORc, N0 2 , CN, C(0)Rc, C(0)C(0)R c , C(0)NR c Rc, NRcC(0)R c , NR c S(0) n R c , N(R c )(COORc),
- Rn and R12 are taken together with the atoms to which they are attached to form an optionally substituted C3-C12 cycloalkenyl, optionally substituted heterocyclic, optionally substituted aryl, optionally substituted heteroaryl; or alternatively R12 and Rj can be taken together to form a fused monocyclic group selected from the group consisting of C5-C12 cycloalkyl, C5-C12 cycloalkenyl, 5- to 12-membered heterocyclic, C5-C12 aryl, and 5- to 12-membered heteroaryl, each optionally substituted;
- Z 4 is selected from the group consisting of hydrogen, optionally substituted C1-C10 alkyl, optionally substituted C2-C10 alkenyl, optionally substituted C2-C10 alkynyl, optionally substituted C3-C12 cycloalkyl, optionally substituted C3-C12 cycloalkenyl, optionally substituted heterocyclic, optionally substituted aryl, optionally substituted heteroaryl, halo, ORc, SRc, NR c Rc, C(0)ORc, N0 2 , CN, C(0)Rc, C(0)C(0)R c ,
- Z 4 and Rn are taken together to form C3-C12 cycloalkyl, C3-C12 cycloalkenyl, 3- to 12-membered heterocyclic, aryl, and heteroaryl, each optionally substituted; or yet alternatively, Z 4 and R12 are taken together to form an optionally substituted C3-C12 cycloalkenyl, optionally substituted heterocyclic, optionally substituted aryl, optionally substituted heteroaryl;
- Each R c is independently selected from the group consisting of hydrogen, optionally substituted C1-C10 alkyl, optionally substituted C2-C10 alkenyl, optionally substituted C2-C10 alkynyl, optionally substituted C3-C12 cycloalkyl, optionally substituted C3-C12 cycloalkenyl, optionally substituted heterocyclic, optionally substituted aryl and optionally substituted heteroaryl; alternatively, two Rc groups are taken together with the atom which they are attached to form a C3-C8 cycloalkyl, C3-C8 cycloalkenyl, 3- to 8- membered heterocyclic, aryl or heteroaryl, each optionally substituted;
- n 0, 1 or 2;
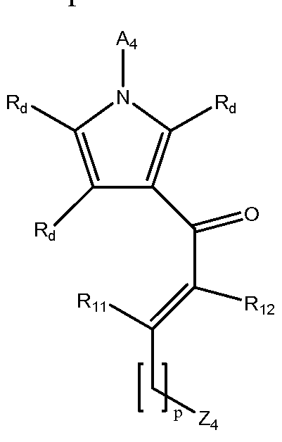
- the invention encompasses a compound having the Formula (Via):
- Ring W is a 5-membered heteroaryl or a 5-membered heterocyclic, wherein each ring carbon atom of said 5-membered heteroaryl is substituted with one Rd and wherein each ring nitrogen atom of said 5-membered heteroaryl is substituted with zero or one Rj when said nitrogen atom or atoms are present, and wherein each ring carbon atom of said 5-membered heterocyclic is substituted with one or two Rd and each ring nitrogen atom of said 5-membered heterocyclic is substituted with zero or one Rj, when said nitrogen atom or atoms are present;
- a 5 is S(0) 2 Ra, S(0) 2 NRaR a , C(0)NR a R a , C(0)Ra, optionally substituted Ci-Cio alkyl, optionally substituted C2-C10 alkenyl, optionally substituted C2-C10 alkynyl, optionally substituted C3-C12 cycloalkyl, or optionally substituted C3-C12 cycloalkenyl, or is a monocyclic or polycyclic group selected from the group consisting of optionally substituted C3-C12 cycloalkyl, optionally substituted C4-C12 cycloalkenyl, optionally substituted 3- to 12-membered heterocyclic, optionally substituted aryl, or optionally substituted heteroaryl;
- Each Rd is independently selected from the group consisting of hydrogen, optionally substituted C1-C10 alkyl, optionally substituted C2-C10 alkenyl, optionally substituted C2-C10 alkynyl, optionally substituted C3-C12 cycloalkyl, optionally substituted C3-C12 cycloalkenyl, optionally substituted heterocyclic, optionally substituted aryl, optionally substituted heteroaryl, halo, ORc, SRc, NR c Rc, C(0)OR c , N0 2 , CN, C(0)Rc, C(0)C(0)R c , C(0)NRcR c , NR c C(0)R c , NR c S(0) n Rc, N(R c )(COOR c ), NRcC(0)C(0)R c , NR c C(0)NR c R c , RcS C n RcRc, NR c S(0) n Rc, S(0)
- Each R a is independently selected from the group consisting of hydrogen, optionally substituted C 1 -C 10 alkyl, optionally substituted C 2 -C 10 alkenyl, optionally substituted C 2 -C 10 alkynyl, optionally substituted C3-C 12 cycloalkyl, optionally substituted C3-C 12 cycloalkenyl, optionally substituted heterocyclic, optionally substituted aryl and optionally substituted heteroaryl;
- Ri 3 and R14 are each independently selected from the group consisting of hydrogen, optionally substituted C1-C10 alkyl, optionally substituted C2-C10 alkenyl, optionally substituted C 2 -C 10 alkynyl, optionally substituted C3-C 12 cycloalkyl, optionally substituted C3-C 12 cycloalkenyl, optionally substituted heterocyclic, optionally substituted aryl, optionally substituted heteroaryl, halo, OR c , SR c , NR c R c , C(0)OR c , N0 2 , CN, C(0)R c , C(0)C(0)R c , C(0)NR c R c , NR c C(0)R c , NR c S(0) n R c , N(R c )(COOR c ),
- R1 3 and an Ra group can be taken together to form a fused monocyclic group selected from the group consisting of C5-C 12 cycloalkyl, C5-C 12 cycloalkenyl, 5- to 12-membered heterocyclic, C5-C 12 aryl, and 5- 12 membered heteroaryl;
- Vi is selected from the group consisting of CN, N0 2 , C(0)R c , C(0)C(0)R c , C(0)NR c R c , NR c C(0)R c , NR c S(0) n R c , N(R c )(COOR c ), NR c C(0)C(0)R c , NR c C(0)NR c R c ,
- Each R e is independently selected from the group consisting of hydrogen, optionally substituted C 1 -C 10 alkyl, optionally substituted C 2 -C 10 alkenyl, optionally substituted C 2 -C 10 alkynyl, optionally substituted C 3 -C 12 cycloalkyl, optionally substituted C 3 -C 12 cycloalkenyl, optionally substituted heterocyclic, optionally substituted aryl and optionally substituted heteroaryl; alternatively, two R c groups are taken together with the atom which they are attached to form a C 3 -C 8 cycloalkyl, C 3 -C 8 cycloalkenyl, 3- to 8- membered heterocyclic, aryl or heteroaryl, each optionally substituted; and
- n 0, 1 or 2.
- the compound has the Formula (VId):
- Ring W is a 5-membered heteroaryl or a 5-membered heterocyclic, wherein each ring carbon atom of said 5-membered heteroaryl is substituted with one Ra and wherein each ring nitrogen atom of said 5-membered heteroaryl is substituted with zero or one Rj when said nitrogen atom or atoms are present, and wherein each ring carbon atom of said 5-membered heterocyclic is substituted with one or two Ra and each ring nitrogen atom of said 5-membered heterocyclic is substituted with zero or one Rj, when said nitrogen atom or atoms are present;
- a 5 is S(0) 2 R a , S(0) 2 NR a R a , C(0)NR a R a , C(0)R a , optionally substituted d-do alkyl, optionally substituted C2-C10 alkenyl, optionally substituted C2-C10 alkynyl, optionally substituted C3-C12 cycloalkyl, or optionally substituted C3-C12 cycloalkenyl, or is a monocyclic or polycyclic group selected from the group consisting of optionally substituted C3-C12 cycloalkyl, optionally substituted C4-C12 cycloalkenyl, optionally substituted 3- to 12-membered heterocyclic, optionally substituted aryl, or optionally substituted heteroaryl;
- Each Ra is independently selected from the group consisting of hydrogen, optionally substituted C1-C10 alkyl, optionally substituted C2-C10 alkenyl, optionally substituted C2-C10 alkynyl, optionally substituted C3-C12 cycloalkyl, optionally substituted C3-C12 cycloalkenyl, optionally substituted heterocyclic, optionally substituted aryl, optionally substituted heteroaryl, halo, ORc, SRc, NR c Rc, C(0)OR c , N0 2 , CN, C(0)Rc, C(0)C(0)R c , C(0)NRcR c , NR c C(0)R c , NR c S(0) n Rc, N(R c )(COOR c ), NRcC(0)C(0)R c , NRcC(0)NRcRc, NRcS(0)nNR c Rc, NR c S(0) n Rc, S(0) n Rc,
- Each R a is independently selected from the group consisting of hydrogen, optionally substituted C1-C1 0 alkyl, optionally substituted C2-C1 0 alkenyl, optionally substituted C2-C1 0 alkynyl, optionally substituted C3-C12 cycloalkyl, optionally substituted C3-C12 cycloalkenyl, optionally substituted heterocyclic, optionally substituted aryl and optionally substituted heteroaryl;
- Ri4 is selected from the group consisting of hydrogen, optionally substituted Ci- C10 alkyl, optionally substituted C2-C10 alkenyl, optionally substituted C2-C10 alkynyl, optionally substituted C3-C12 cycloalkyl, optionally substituted C3-C12 cycloalkenyl, optionally substituted heterocyclic, optionally substituted aryl, optionally substituted heteroaryl, halo, ORc, SRc, NR c Rc, C(0)ORc, N0 2 , CN, C(0)Rc, C(0)C(0)R c ,
- R j and R k are each independently selected from the group consisting of hydrogen, optionally substituted C1-C1 0 alkyl, optionally substituted C2-C1 0 alkenyl, optionally substituted C2-C10 alkynyl, optionally substituted C3-C12 cycloalkyl, optionally substituted C3-C12 cycloalkenyl, optionally substituted heterocyclic, optionally substituted aryl, optionally substituted heteroaryl, halo, ORc, SRc, NR c Rc, C(0)OR c , N0 2 , CN, C(0)Rc, C(0)C(0)Rc, C(0)NRcRc, NRcC(0)Rc, NR c S(0) n Rc, N(R c )(COOR c ), NRcC(0)C(0)R c , NRcC(0) n NR c Rc, NR c S(0) n NRcR c , NRcS(0) n
- Z 5 is selected from the group consisting of hydrogen, optionally substituted C1-C1 0 alkyl, optionally substituted C2-C1 0 alkenyl, optionally substituted C2-C1 0 alkynyl, optionally substituted C3-C12 cycloalkyl, optionally substituted C3-C12 cycloalkenyl, optionally substituted heterocyclic, optionally substituted aryl, optionally substituted heteroaryl, halo, ORc, SRc, NR c Rc, C(0)ORc, N0 2 , CN, C(0)R c , C(0)C(0)R c ,
- Vi and Z5 are taken together with the atoms to which they are attached to form optionally substituted C4-C12 cycloalkenyl, optionally substituted heterocyclic, optionally substituted aryl, optionally substituted heteroaryl; or yet alternatively, R j or R k can be taken together with Z5 form a C3-C12 cycloalkyl, C3-C12 cycloalkenyl, 3- to 12- membered heterocyclic,
- Each R c is independently selected from the group consisting of hydrogen, optionally substituted C1-C1 0 alkyl, optionally substituted C2-C1 0 alkenyl, optionally substituted C2-C1 0 alkynyl, optionally substituted C 3 -C12 cycloalkyl, optionally substituted C 3 -C12 cycloalkenyl, optionally substituted heterocyclic, optionally substituted aryl and optionally substituted heteroaryl; alternatively, two Rc groups are taken together with the atom which they are attached to form a C 3 -C 8 cycloalkyl, C 3 -C 8 cycloalkenyl, 3- to 8- membered heterocyclic, aryl or heteroaryl, each optionally substituted; and
- n 0, 1 or 2.
- the invention is directed to a compound having the Formula (VII):
- Ring T is a ring selected from the group consisting of:
- a 6 is S(0) 2 R a , S(0) 2 NR a R a , C(0)NR a R a , C(0)R a , optionally substituted Ci-C w alkyl, optionally substituted C2-C1 0 alkenyl, optionally substituted C2-C1 0 alkynyl, optionally substituted C3-C12 cycloalkyl, or optionally substituted C3-C12 cycloalkenyl, or is a monocyclic or polycyclic group selected from the group consisting of optionally substituted C4-C12 cycloalkyl, optionally substituted C4-C12 cycloalkenyl, optionally substituted 4- to 12-membered heterocyclic, optionally substituted aryl, optionally substituted heteroaryl;
- Each R a is independently selected from the group consisting of hydrogen, optionally substituted C1-C1 0 alkyl, optionally substituted C2-C1 0 alkenyl, optionally substituted C2-C1 0 alkynyl, optionally substituted C3-C12 cycloalkyl, optionally substituted C3-C12 cycloalkenyl, optionally substituted heterocyclic, optionally substituted aryl and optionally substituted heteroaryl;
- Each Ra is independently selected from the group consisting of hydrogen, optionally substituted C1-C1 0 alkyl, optionally substituted C2-C1 0 alkenyl, optionally substituted C2-C1 0 alkynyl, optionally substituted C3-C12 cycloalkyl, optionally substituted C3-C12 cycloalkenyl, optionally substituted heterocyclic, optionally substituted aryl, optionally substituted heteroaryl, halo, ORc, SRc, NR c Rc, C(0)OR c , N0 2 , CN, C(0)Rc, C(0)C(0)R c , C(0)NRcRc, NRcC(0)Rc, NR c S(0) n Rc, N(R c )(COOR c ), NRcC(0)C(0)R c , R c CCC R c R c , R c SCC n R c R c , NR c S(0) n R c
- Ri 6 and Rn are each independently selected from the group consisting of hydrogen, optionally substituted C1-C1 0 alkyl, optionally substituted C2-C1 0 alkenyl, optionally substituted C2-C10 alkynyl, optionally substituted C3-C12 cycloalkyl, optionally substituted C3-C12 cycloalkenyl, optionally substituted heterocyclic, optionally substituted aryl, optionally substituted heteroaryl, halo, OR c , SR c , NR c R c , C(0)OR c , N0 2 , CN, C(0)R c , C(0)C(0)R c , C(0)NR c R c , NR c C(0)R c , NR c S(0) n R c , N(R c )(COOR c ),
- Ri 6 and R17 can be taken together with the carbon atom to which they are attached to form a C(O), C3-C8 cycloalkyl, C3-C8 cycloalkenyl or a 3- to 8-membered heterocyclic; or yet alternatively, Ri 6 or Rn can be taken together with Ra to form a fused monocyclic group selected from the group consisting of C5-C12 cycloalkyl, C5-C12 cycloalkenyl, 5- to 12-membered heterocyclic, C5- C12 aryl, and 5- to 12-membered heteroaryl, each substitute
- Z 6 is selected from the group consisting of hydrogen, optionally substituted C1-C1 0 alkyl, optionally substituted C2-C1 0 alkenyl, optionally substituted C2-C1 0 alkynyl, optionally substituted C3-C12 cycloalkyl, optionally substituted C3-C12 cycloalkenyl, optionally substituted heterocyclic, optionally substituted aryl, optionally substituted heteroaryl, halo, OR c , SR c , NR c R c , C(0)OR c , N0 2 , CN, C(0)R c , C(0)C(0)R c ,
- Ri 6 or Rn can be taken together with Z form a C3-C12 cycloalkyl, C3- C12 cycloalkenyl, 3- to 12-membered heterocyclic, aryl, and heteroaryl, each optionally substituted;
- Each R c is independently selected from the group consisting of hydrogen, optionally substituted Ci-Cio alkyl, optionally substituted C2-C1 0 alkenyl, optionally substituted C2-C1 0 alkynyl, optionally substituted C3-C12 cycloalkyl, optionally
- n 0, 1 or 2.
- the invention is directed to a compound having the Formula (Villa):
- Ring W is a 5-membered heteroaryl or a 5-membered heterocyclic, wherein each ring carbon atom of said 5-membered heteroaryl is substituted with one Rd and wherein each ring nitrogen atom of said 5-membered heteroaryl is substituted with zero or one Rd when said nitrogen atom is present, and wherein each ring carbon atom of said 5- membered heterocyclic is substituted with one or two Rd and each ring nitrogen atom of said 5-membered heterocyclic is substituted with zero or one Rd, when said nitrogen atom or atoms are present;
- a 7 is S(0) 2 R a , S(0) 2 NR a R a , C(0)NR a R a , C(0)R a , optionally substituted d-do alkyl, optionally substituted C2-C1 0 alkenyl, optionally substituted C2-C1 0 alkynyl, optionally substituted C3-C12 cycloalkyl, or optionally substituted C3-C12 cycloalkenyl, or is a monocyclic or polycyclic group selected from the group consisting of optionally substituted C3-C12 cycloalkyl, optionally substituted C4-C12 cycloalkenyl, optionally substituted 3- to 12-membered heterocyclic, optionally substituted aryl, or optionally substituted heteroaryl;
- Each R a is independently selected from the group consisting of hydrogen, optionally substituted C1-C1 0 alkyl, optionally substituted C2-C1 0 alkenyl, optionally substituted C 2 -C 10 alkynyl, optionally substituted C3-C 12 cycloalkyl, optionally substituted C3-C 12 cycloalkenyl, optionally substituted heterocyclic, optionally substituted aryl and optionally substituted heteroaryl;
- Each 3 ⁇ 4 is independently selected from the group consisting of hydrogen, optionally substituted C 1 -C 10 alkyl, optionally substituted C 2 -C 10 alkenyl, optionally substituted C 2 -C 10 alkynyl, optionally substituted C3-C 12 cycloalkyl, optionally substituted C3-C 12 cycloalkenyl, optionally substituted heterocyclic, optionally substituted aryl, optionally substituted heteroaryl, halo, ORc, SRc, NR c Rc, C(0)OR c , N0 2 , CN, C(0)R c , C(0)C(0)R c , C(0)NR c R c , R ⁇ O) ⁇ , N(R c )(COOR c ), NR c C(0)C(0)R c , NR c C(0)R c , NR c C(0)NR c R c , OC(0)OR c and alternatively, two vicinal Ra groups can be taken together
- Z 7 is selected from the group consisting of optionally substituted C3-C 12 cycloalkyl, optionally substituted C3-C 12 cycloalkenyl, optionally substituted heterocyclic, optionally substituted aryl, and optionally substituted heteroaryl;
- Each R c is independently selected from the group consisting of hydrogen, optionally substituted C 1 -C 10 alkyl, optionally substituted C 2 -C 10 alkenyl, optionally substituted C 2 -C 10 alkynyl, optionally substituted C3-C 12 cycloalkyl, optionally substituted C3-C 12 cycloalkenyl, optionally substituted heterocyclic, optionally substituted aryl and optionally substituted heteroaryl; alternatively, two Rc groups are taken together with the atom which they are attached to form a C3-C8 cycloalkyl, C3-C8 cycloalkenyl, 3- to 8- membered heterocyclic, aryl or heteroaryl, each optionally substituted; and
- n 0, 1 or 2.
- the invention is directed to a compound of Formula (IX):
- Ring W is a 5-membered heteroaryl or a 5-membered heterocyclic, wherein each ring carbon atom of said 5-membered heteroaryl is substituted with one Ra and wherein each ring nitrogen atom of said 5-membered heteroaryl is substituted with zero or one Rj when said nitrogen atom is present, and wherein each ring carbon atom of said 5- membered heterocyclic is substituted with one or two Rj and each ring nitrogen atom of said 5-membered heterocyclic is substituted with zero or one Rj, when said nitrogen atom or atoms are present;
- a 8 is S(0) 2 R a , S(0) 2 NR a R a , C(0)NR a R a , C(0)R a , optionally substituted d-do alkyl, optionally substituted C2-C10 alkenyl, and optionally substituted C2-C10 alkynyl;
- Each R a is independently selected from the group consisting of hydrogen, optionally substituted C1-C10 alkyl, optionally substituted C2-C10 alkenyl, optionally substituted C2-C10 alkynyl, optionally substituted C3-C12 cycloalkyl, optionally substituted C3-C12 cycloalkenyl, optionally substituted heterocyclic, optionally substituted aryl and optionally substituted heteroaryl;
- Each Ra is independently selected from the group consisting of hydrogen, optionally substituted C1-C10 alkyl, optionally substituted C2-C10 alkenyl, optionally substituted C2-C10 alkynyl, optionally substituted C3-C12 cycloalkyl, optionally substituted C3-C12 cycloalkenyl, optionally substituted heterocyclic, optionally substituted aryl, optionally substituted heteroaryl, halo, ORc, SRc, NR c Rc, C(0)OR c , N0 2 , CN, C(0)R c , C(0)C(0)R c , C(0)NR c R c , NRcS(0) n R c , N(R c )(COOR c ), NR c C(0)C(0)R c , NR c C(0)R c , NRcC(0)NRcRc, NRcS(0)nNR c Rc, NR c S(0) n Rc, S(0)
- Ri 8 and Rig are each independently selected from the group consisting of hydrogen, optionally substituted C1-C1 0 alkyl, optionally substituted C2-C1 0 alkenyl, optionally substituted C2-C1 0 alkynyl, optionally substituted C3-C12 cycloalkyl, optionally substituted C3-C12 cycloalkenyl, optionally substituted heterocyclic, optionally substituted aryl, optionally substituted heteroaryl, halo, ORc, SRc, NR c Rc, C(0)ORc, N0 2 , CN, C(0)Rc, C(0)C(0)Rc, C(0)NR c Rc, NRcC(0)R c , NR c S(0) n Rc, N(R c )(COORc),
- R7 and Rs can be taken together with the carbon atom to which they are attached to form C(O), C3-C8 cycloalkyl, C3-C8 cycloalkenyl or a 3- to 8-membered heterocyclic; or yet alternatively, R7 and Rj can be taken together to form a fused monocyclic group selected from the group consisting of C5-C12 cycloalkyl, C5-C12 cycloalkenyl, 5- to 12-membered heterocyclic, Cs-C ⁇ aryl, and 5- to 12-membered heteroaryl, each substituted with R 8 and Z 2 ,
- Z 8 is selected from the group consisting of hydrogen, optionally substituted C1-C1 0 alkyl, optionally substituted C2-C10 alkenyl, optionally substituted C2-C10 alkynyl, optionally substituted C3-C12 cycloalkyl, optionally substituted C3-C12 cycloalkenyl, optionally substituted heterocyclic, optionally substituted aryl, optionally substituted heteroaryl, halo, ORc, SRc, NR c Rc, C(0)ORc, N0 2 , CN, C(0)Rc, C(0)C(0)R c ,
- R7 or R 8 can be taken together with Z2 form a C3-C12 cycloalkyl, C3- C12 cycloalkenyl, 3- to 12-membered heterocyclic, aryl, and heteroaryl, each optionally substituted;
- Each R c is independently selected from the group consisting of hydrogen, optionally substituted C1-C1 0 alkyl, optionally substituted C2-C1 0 alkenyl, optionally substituted C2-C1 0 alkynyl, optionally substituted C3-C12 cycloalkyl, optionally substituted C3-C12 cycloalkenyl, optionally substituted heterocyclic, optionally substituted aryl and optionally substituted heteroaryl; alternatively, two Rc groups are taken together with the atom which they are attached to form a C3-C8 cycloalkyl, C3-C8 cycloalkenyl, 3- to 8- membered heterocyclic, aryl or heteroaryl, each optionally substituted; and
- n 0, 1 or 2.
- the pharmaceutical composition comprises a pharmaceutically acceptable carrier or excipient and a compound of Formula (la), (II), (Ilia), (IVa), (Va), (Via), (VId), (VII), (Villa), or (IX), or a pharmaceutically acceptable salt, prodrug or solvate thereof.
- the invention also includes a method of treating a patient suffering from a condition associated with a dysfunction in proteostasis comprising administering to said patient an effective amount of a compound of Formula (la), (II), (Ilia), (IVa), (Va), (Via), (VId), (VII), (Villa), or (IX), or a pharmaceutically acceptable salt, prodrug or solvate thereof.
- the invention further includes a method of treating a patient suffering from a condition associated with a dysfunction in proteostasis comprising administering to said patient a pharmaceutical composition comprising a pharmaceutically acceptable carrier or excipient and an effective amount of a compound having the Formula (la), (II), (Ilia), (IVa), (Va), (Via), (VId), (VII), (Villa), or (IX), or a pharmaceutically acceptable salt, prodrug or solvate thereof.
- a pharmaceutical composition comprising a pharmaceutically acceptable carrier or excipient and an effective amount of a compound having the Formula (la), (II), (Ilia), (IVa), (Va), (Via), (VId), (VII), (Villa), or (IX), or a pharmaceutically acceptable salt, prodrug or solvate thereof.
- the invention additionally includes a method of treating a patient suffering from a condition associated with a dysfunction in proteostasis comprising administering to said patient an effective amount of a compound of Formula (Hid):
- Ring W is a 5-membered heteroaryl or a 5-membered heterocyclic, wherein each ring carbon atom of said 5-membered heteroaryl is substituted with one Ra and wherein each ring nitrogen atom of said 5-membered heteroaryl is substituted with zero or one Rj when said nitrogen atom is present, and wherein each ring carbon atom of said 5- membered heterocyclic is substituted with one or two Rj and each ring nitrogen atom of said 5-membered heterocyclic is substituted with zero or one Rj, when said nitrogen atom or atoms are present;
- a 2 is S(0) 2 R a , S(0) 2 NR a R a , C(0)NR a R a , C(0)R a , optionally substituted d-do alkyl, optionally substituted C2-C1 0 alkenyl, optionally substituted C2-C1 0 alkynyl, optionally substituted C3-C12 cycloalkyl, or optionally substituted C3-C12 cycloalkenyl, or is a monocyclic or polycyclic group selected from the group consisting of optionally substituted C3-C12 cycloalkyl, optionally substituted C4-C12 cycloalkenyl, optionally substituted 3- to 12-membered heterocyclic, optionally substituted aryl, or optionally substituted heteroaryl;
- Each R a is independently selected from the group consisting of hydrogen, optionally substituted C1-C10 alkyl, optionally substituted C2-C10 alkenyl, optionally substituted C2-C1 0 alkynyl, optionally substituted C3-C12 cycloalkyl, optionally substituted C3-C12 cycloalkenyl, optionally substituted heterocyclic, optionally substituted aryl and optionally substituted heteroaryl;
- Each Ra is independently selected from the group consisting of hydrogen, optionally substituted C1-C1 0 alkyl, optionally substituted C2-C1 0 alkenyl, optionally substituted C2-C1 0 alkynyl, optionally substituted C3-C12 cycloalkyl, optionally substituted C3-C12 cycloalkenyl, optionally substituted heterocyclic, optionally substituted aryl, optionally substituted heteroaryl, halo, ORc, SRc, NR c Rc, C(0)OR c , N0 2 , CN, C(0)Rc, C(0)C(0)Rc, C(0)NRcRc, NRcS(0) n Rc, N(Rc)(COORc), NR c C(0)C(0)R c , NRcC(0)Rc, NR c C(0)NR c R c , NR c S(0) n Rc, S(0) n Rc, OC(0)OR c and alternatively, two vic
- R 7 and Rs are each independently selected from the group consisting of hydrogen, optionally substituted C1-C1 0 alkyl, optionally substituted C2-C1 0 alkenyl, optionally substituted C2-C1 0 alkynyl, optionally substituted C3-C12 cycloalkyl, optionally substituted C3-C12 cycloalkenyl, optionally substituted heterocyclic, optionally substituted aryl, optionally substituted heteroaryl, halo, ORc, SRc, NR c Rc, C(0)OR c , N0 2 , CN, C(0)Rc, C(0)C(0)R c , C(0)NRcR c , NR c C(0)R c , NR c S(0) n Rc, N(R c )(COOR c ), NRcC(0)C(0)R c , NR c C(0)NR c R c , NR c S(0) n Rc, S(0) n Rc
- Z 2 is selected from the group consisting of hydrogen, optionally substituted C 1 -C 10 alkyl, optionally substituted C2-C10 alkenyl, optionally substituted C2-C10 alkynyl, optionally substituted C3-C 12 cycloalkyl, optionally substituted C3-C 12 cycloalkenyl, optionally substituted heterocyclic, optionally substituted aryl, optionally substituted heteroaryl, halo, ORc, SRc, NR c Rc, C(0)ORc, N0 2 , CN, C(0)Rc, C(0)C(0)R c ,
- R7 or Rs can be taken together with Z 2 form a C3-C 12 cycloalkyl, C3- C 12 cycloalkenyl, 3- to 12-membered heterocyclic, aryl, and heteroaryl, each optionally substituted;
- Each Rc is independently selected from the group consisting of hydrogen, optionally substituted C 1 -C 10 alkyl, optionally substituted C 2 -C 10 alkenyl, optionally substituted C 2 -C 10 alkynyl, optionally substituted C3-C 12 cycloalkyl, optionally substituted C3-C 12 cycloalkenyl, optionally substituted heterocyclic, optionally substituted aryl and optionally substituted heteroaryl; alternatively, two Rc groups are taken together with the atom which they are attached to form a C3-C8 cycloalkyl, C3-C8 cycloalkenyl, 3- to 8- membered heterocyclic, aryl or heteroaryl, each optionally substituted; and
- n 0, 1 or 2.
- the pharmaceutical composition comprises a
- the invention encompasses a method of treating cancer or a tumor in a subject in need thereof comprising administering to said subject an effective amount of a compound of Formulae Formula (la), (II), (Ilia), (Hid), (IVa), (Va), (Via), (VId), (VII), (Villa), or (IX) or a pharmaceutically acceptable salt, solvate, clathrate or prodrug thereof.
- the invention is directed to a pharmaceutical composition
- a pharmaceutical composition comprising:
- a second agent selected from the group consisting of a proteostasis regulator and a pharmacologic chaperone.
- the words “a” and “an” are meant to include one or more unless otherwise specified.
- the term “an atom” encompasses both a single atom and more than one atom.
- the present invention is directed to compounds of Formulae (Ia-Ie), (II), (Illa-IIIc), (IVa-IVc), (Va-Vb), (Vla-VIe), (VII), (VHIa-VIIIc), and (IX), pharmaceutical compositions thereof and methods of use thereof in the treatment of conditions associated with a dysfunction in proteostasis and in the treatment of cancer or tumor.
- the invention also encompasses pharmaceutical compositions comprising compounds of Formula (Hid) and methods of use thereof in the treatment of conditions associated with a dysfunction in proteostasis and methods of treating cancer or tumor comprising administering a compound of Formula (Hid).
- the compound has the Formula (la). In additional embodiments, the compound has the Formula (la), wherein Ring W is a heteroaryl. In yet additional embodiments, the compound has the Formula (la), wherein Ring W is a heteroaryl containing one or more ring nitrogen atoms. In yet another aspect, the compound has the Formula (la), wherein Ring W is a thienyl or a furanyl.
- the compound has the Formula (la), wherein Y is selected from the group consisting of hydrogen, optionally substituted Ci-Cio alkyl, optionally substituted C2-C1 0 alkenyl, optionally substituted C2-C1 0 alkynyl, optionally substituted C3-C12 cycloalkyl, optionally substituted C3-C12 cycloalkenyl, optionally substituted aryl, halo, ORc, SRc, 0(0)01 ⁇ , N0 2 , CN, 0(0)1 ⁇ , 0(0)0(0)1 ⁇ , C(0)NR c R c , NR c C(0)R c , N(Rc)(COORc), NR c C(0)C(0)R c , NR c C(0)NR c R c , NR c S(0) n NR c R c , NRcS(0) n Rc, S(0) n Rc, S(0) n NR c Rc, OC
- the compound has the Formula (la), wherein Y is selected from the group consisting of optionally substituted C3-C12 cycloalkyl, optionally substituted C3-C12 cycloalkenyl, optionally substituted heterocyclic, optionally substituted aryl, optionally substituted heteroaryl, OR c , SR c and C(0)NR c R c , wherein said heterocyclic is C-attached to the carbon atom which is bonded to R 3 and R4.
- the compound has the Formula (la), wherein Y is selected from the group consisting of optionally substituted C 3 -C12 cycloalkyl, optionally substituted C 3 -C12 cycloalkenyl, optionally substituted heterocyclic, optionally substituted aryl, optionally substituted heteroaryl, OR c , SR c and C(0)NR c R c , wherein said heterocyclic and heteroaryl are C-attached to the carbon atom which is bonded to R 3 and R4.
- the compound has the Formula (la), wherein Ring W is substituted by at least two Ra groups at adjacent ring carbon atoms and wherein the two Rj groups are taken together to form a fused monocyclic or polycyclic group selected from the group consisting of optionally substituted C3-C12 cycloalkyl, optionally substituted C3- C12 cycloalkenyl, optionally substituted heterocyclic, optionally substituted aryl, and optionally substituted heteroaryl.
- Ring W is substituted by at least two Ra groups at adjacent ring carbon atoms and wherein the two Rj groups are taken together to form a fused monocyclic or polycyclic group selected from the group consisting of optionally substituted C3-C12 cycloalkyl, optionally substituted C3- C12 cycloalkenyl, optionally substituted heterocyclic, optionally substituted aryl, and optionally substituted heteroaryl.
- the compound has the Formula (la) but is not selected from the group consisting of:
- the compound has the Formula (la), wherein R 3 and an Rd group are taken together to form a fused monocyclic group selected from the group consisting of C5-C12 cycloalkyl, C5-C12 cycloalkenyl, 3- to 12-membered heterocyclic, aryl, and heteroaryl, each substituted with R4 and Y and optionally further substituted.
- R 3 and Ra are taken together to form a fused monocyclic group as described above, wherein the compound has the Formula (lb):
- R 3 and Ra are taken together to form a fused monocyclic group as described above, wherein the compound has the Formula (Ic):
- the compound has the Formula (la), wherein Ai and a vicinal Ra group are taken together to form a fused monocyclic or polycyclic group selected from the group consisting of optionally substituted C3-C12 cycloalkyl, optionally substituted C3-C12 cycloalkenyl, optionally substituted 3- to 12-membered heterocyclic, optionally substituted aryl, optionally substituted heteroaryl.
- the compound has the Formula (la), wherein a vicinal Ra and Ai groups are taken together to form a fused monocyclic or polycyclic group selected from the group consisting of optionally substituted C3-C12 cycloalkyl, optionally substituted C3-C12 cycloalkenyl, optionally substituted 3- to 12-membered heterocyclic, optionally substituted aryl, optionally substituted heteroaryl and Ring W is a pyrrolyl.
- Ai and a vicinal Ra group are taken together to form a fused polycyclic group.
- Non-limiting examples of such compounds wherein Ring W is pyrollyl and wherein Ai and a vicinal Ra group are taken together to form a fused polycyclic group are shown below:
- the compound has the Formula (la), wherein Ring W is a 5- membered heteroaryl containing one or two nitrogen ring atoms.
- the compound has the Formula (la), wherein Ring W is substituted with two vicinal Ra groups, and wherein the vicinal Ra groups are taken together to form an optionally substituted fused phenyl.
- each Rj is independently selected from the group consisting of hydrogen, optionally substituted Ci-Cio alkyl and optionally substituted C3-C12 cycloalkyl.
- the compound has the Formula (Ie):
- each R e is independently an optionally substituted C1-C4 alkyl or an optionally substituted C3-C12 cycloalkyl. In yet an additional embodiment, each R e is independently an optionally substituted C1-C4 alkyl or an optionally substituted C3-C6 cycloalkyl. In yet a further embodiment, each R e is independently an optionally substituted C1-C4 alkyl.
- the compound has the Formula (Ie), wherein Y is selected from the group consisting of optionally substituted C3-C12 cycloalkyl, optionally substituted C3-C12 cycloalkenyl, optionally substituted heterocyclic, optionally substituted aryl, optionally substituted heteroaryl, OR c and SR C .
- the compound has the Formula (Ie) wherein Ai is optionally substituted phenyl.
- Non-limiting examples of compounds of Formula (la), (Id) and/or (Ie) are shown in Table 1 below.
- the compound has the Formula (II), wherein D is selected from the group consisting of S(0) 2 R a , S(0) 2 NR a R a , C(0)NR a R a , C(0)R a , optionally substituted Ci-Cio alkyl, optionally substituted C2-C1 0 alkenyl, optionally substituted C2-C1 0 alkynyl, optionally substituted C3-C12 cycloalkyl, or optionally substituted C3-C12 cycloalkenyl, or is a monocyclic or polycyclic group selected from the group consisting of optionally substituted C3-C12 cycloalkyl, optionally substituted C4-C12 cycloalkenyl, optionally substituted 4- to 12-membered heterocyclic, optionally substituted aryl or optionally substituted heteroaryl, each optionally substituted.
- D is selected from the group consisting of S(0) 2 R a , S(0) 2 NR a R a ,
- the compound has the Formula (Ilia).
- the compound has the Formula (Ilia), wherein R7 and Rs are each independently selected from the group consisting of optionally substituted C1-C4 alkyl and halo; or R7 and Rs are taken together with the atom to which they are attached to form an optionally substituted C5-C6 cycloalkyl.
- R7 and Rs are each independently selected from the group consisting of optionally substituted methyl and fluoro; or R7 and Rs are taken together with the atom to which they are attached to form an optionally substituted cyclopentyl or an optionally substituted cyclohexyl.
- the compound has the Formula (Ilia), wherein R7 and Rs are each independently selected from the group consisting of hydrogen, optionally substituted C1-C1 0 alkyl, optionally substituted C2-C1 0 alkenyl, optionally substituted C2- C1 0 alkynyl, optionally substituted C3-C12 cycloalkyl, optionally substituted C3-C12 cycloalkenyl, optionally substituted heterocyclic, optionally substituted aryl, optionally substituted heteroaryl, halo, OR c , SR C , NRcR c , C(0)ORc, N0 2 , CN, C(0)Rc, C(0)C(0)Rc, C(0)NR c R c , NR c C(0)R c , NR c S(0) n R c , N(R c )(COOR c ), NR c C(0)C(0)R c , NR c C(0)NR c R
- the compound has the Formula (Ilia), wherein R7 and Rs are each independently selected from the group consisting of hydrogen, optionally substituted Ci-Cio alkyl, optionally substituted C2-C1 0 alkenyl, optionally substituted C2-C1 0 alkynyl, optionally substituted C3-C12 cycloalkyl, optionally substituted C3-C12 cycloalkenyl, optionally substituted heterocyclic, optionally substituted aryl, optionally substituted heteroaryl, halo, ORc, SRc, RcRc, C(0)ORc, N0 2 , CN, C(0)R c , C(0)C(0)R c , C(0)NR c R c , NR c C(0)Rc, NR c S(0) n R c , N(R c )(COOR c ), NR c C(0)C(0)R c , NR c C(0)NR c Rc, NR c, NR
- the compound has the Formula (Ilia), wherein one of
- R 7 and Rs is hydrogen and the other is selected from the group consisting of substituted Ci alkyl, optionally substituted C2-C10 alkyl, optionally substituted C2-C10 alkenyl, optionally substituted C2-C1 0 alkynyl, optionally substituted C3-C12 cycloalkyl, optionally substituted C3-C12 cycloalkenyl, optionally substituted heterocyclic, optionally substituted aryl, optionally substituted heteroaryl, halo, ORc, SRc, NR c Rc, C(0)OR c , N0 2 , CN, C(0)Rc, C(0)C(0)Rc, C(0)NRcRc, NRcC(0)Rc, NR c S(0) n Rc, N(R c )(COOR c ), NRcC(0)C(0)R c , NRcC(0)NRcR c , NRcS(0) n NR c Rc, NR c S(0) n R
- R7 and an Ra can be taken together to form a fused monocyclic group selected from the group consisting of C5-C12 cycloalkyl, C5-C12 cycloalkenyl, 5- to 12-membered heterocyclic, C5-C12 aryl, and 5- to 12-membered heteroaryl, each substituted with R 8 and Z 2 , and optionally further substituted.
- R 8 can be hydrogen; or in other words, is selected from the group consisting of of hydrogen, optionally substituted C1-C1 0 alkyl, optionally substituted C2-C1 0 alkenyl, optionally substituted C2-C1 0 alkynyl, optionally substituted C3-C12 cycloalkyl, optionally substituted C3-C12 cycloalkenyl, optionally substituted heterocyclic, optionally substituted aryl, optionally substituted heteroaryl, halo, ORc, SRc, NR c Rc, C(0)ORc, N0 2 , CN, C(0)Rc, C(0)C(0)Rc, C(0)NRcRc, NRcC(0)R c , NR c S(0) n R c , N(R c )(COORc),
- R7 and an Ra can be taken together to form a fused monocyclic group selected from the group consisting of C5-C12 cycloalkyl, C5-C12 cycloalkenyl, 5- to 12-membered heterocyclic, Cs-C ⁇ aryl, and 5- to 12-membered heteroaryl, each substituted with R 8 and Z 2, wherein R 8 is hydrogen.
- R7 and an Ra can be taken together to form a fused monocyclic group selected from the group consisting of C5-C12 cycloalkyl, C5-C12 cycloalkenyl, 5- to 12-membered heterocyclic, C5-C12 aryl, and 5- to 12-membered heteroaryl, each substituted with R 8 and Z 2 , wherein Z 2 is NR;R C .
- the compound has the Formula (Ilia), wherein Ring W is a 5-membered nitrogen-containing heteroaryl or a 5-membered nitrogen-containing heterocyclic. In yet an additional embodiment, the compound has the Formula (Ilia), wherein Ring W is a thienyl or a furanyl. In yet an additional embodiment, the compound has the Formula (Ilia), wherein Ring W is a pyrrolyl.
- the compound has the Formula (Ilia) wherein R7 and R 8 are taken together with the carbon atom to which they are attached to form C(O).
- the compound of the invention has the Formula (Illb):
- the compound of the invention has the Formula
- each R e is independently an optionally substituted C1-C4 alkyl or an optionally substituted C3-C12 cycloalkyl.
- the compound has the Formula (IIIc), wherein R7 and R 8 are taken together with the carbon atom to which they are attached to form C(O).
- the compound has the Formula (IIIc), wherein each R e is independently an optionally substituted C 1 -C4 alkyl.
- Non-limiting examples of compounds of Formula (Ilia), (Illb), (IIIc) or (Hid) are selected from the group consisting of the compounds shown in Table 2 below.
- the compound of the invention has the Formula (IVa).
- the compound has the Formula (IVa), wherein Ring W is 5-membered nitrogen-containing heteroaryl or a 5-membered nitrogen-containing heterocyclic.
- the compound has the Formula (IVa), wherein Ring W is a thienyl or a furanyl.
- the compound has the Formula (IVa), wherein Ring W is a pyrrolyl.
- the compound has the Formula (IVa), wherein X is
- the compound has the Formula (Via), wherein X is S(O) or S(0)2.
- the compound of the invention has the Formula
- the compound has the Formula (IVc)
- each R e is independently an optionally substituted C1-C4 alkyl or an optionally substituted C3-C12 cycloalkyl.
- the compound has the Formula (Va), wherein Ring W is 5-membered nitrogen-containing heteroaryl or a 5-membered nitrogen- containing heterocyclic.
- the compound has the Formula (Va), wherein Ring W is a thienyl or a furanyl.
- the compound has the Formula (Va), wherein Ring W is a pyrrolyl.
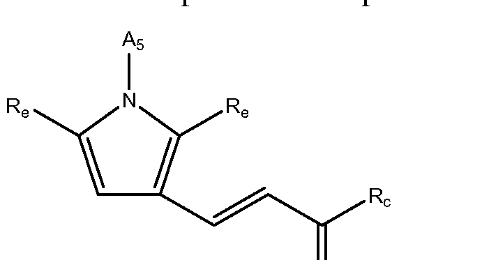
- the compound has the Formula (Vb):
- the compound has the Formula (Vb), wherein A 4 is optionally substituted aryl, for example, optionally substituted phenyl.
- the compound has the Formula (Vb) wherein Z 4 is selected from the group consisting of optionally substituted C3-C12 cycloalkyl, optionally substituted C3-C12 cycloalkenyl, optionally substituted heterocyclic, optionally substituted aryl, optionally substituted heteroaryl, OR c , SR c , and NR c R c .
- compounds of the invention have the Formula (Via).
- the compound has the Formula (Via), wherein Ring W is 5-membered nitrogen-containing heteroaryl or a 5-membered nitrogen-containing heterocyclic.
- the compound has the Formula (Via), wherein Ring W is a thienyl or a furanyl.
- the compound has the Formula (Via), wherein Ring W is a pyrrolyl.
- the compound has the Formula (Via), wherein Vi is CN, C(0)R c or C(0)ORc.
- the compound has the Formula (VIb)
- the compound has the Formula (VIb), wherein Vi is C(0)Rc. In an additional embodiment, the compound has the Formula (VIb), wherein A5 is optionally substituted phenyl. In certain additional aspects the compound has the Formula (Vic):
- each R e is independently an optionally substituted C1-C4 alkyl or an optionally substituted C3-C12 cycloalkyl.
- the compound has the Formula (VId).
- the compound has the Formula (VId), wherein Ring W is 5-membered nitrogen-containing heteroaryl or a 5-membered nitrogen- containing heterocyclic.
- the compound has the Formula (VId), wherein Ring W is a thienyl or a furanyl.
- the compound has the Formula (VId), wherein Ring W is a pyrrolyl.
- the compound has the Formula (Vie):
- the compound has the Formula (Vie), wherein A5 is optionally substituted aryl, such as optionally substituted phenyl.
- the compound has the Formula (Ie), wherein Z 5 is selected from the group consisting of optionally substituted C3-C12 cycloalkyl, optionally substituted C3-C12 cycloalkenyl, optionally substituted heterocyclic, optionally substituted aryl, optionally substituted heteroaryl, OR c , SR C , and RcRc.
- the compound has the Formula (Vie), wherein Vi is CN, C(0)R c or C(0)OR c .
- Non-limiting examples of compounds Formula (Vie) and/or Formula (VId) are shown in Table 3 below.
- the compound has the Formula (VII). In one embodiment, the compound has the Formula (VII), wherein Ring T is a 5-membered nitrogen- containing heteroaryl or a 5-membered nitrogen-containing heterocyclic selected from the group consisting of:
- the compound has the Formula (VII), wherein Ring
- the compound has the Formula (VII), wherein Ring T is:
- the compound has the Formula (VII), wherein Ring T is:
- the compound has the Formula (VII), wherein Ring T odiment, the compound has the Formula (VII), wherein Ring T is:
- the compound has the Formula (VII), wherein Ring T is:
- the compound has the Formula (VII), wherein Ring T is: In yet another aspect, the compound has the Formula (VII), wherein Ring T is selected from the group consisting of:
- the compound has the Formula (VII), wherein Ring T is selected from the group consistin of:
- the compound has the Formula (VII), wherein A6 is optionally substituted aryl, for example, optionally substituted phenyl.
- the compound has the Formula (VII), wherein Z 6 is selected from the group consisting of optionally substituted C3-C 12 cycloalkyl, optionally substituted C3-C 12 cycloalkenyl, optionally substituted heterocyclic, optionally substituted aryl, optionally substituted heteroaryl, OR c , SR c , and NR c R c .
- Non-limiting examples of compounds of Formula (VII) are shown in Table 4 below:
- the compound has the Formula (Villa). In one embodiment, the compound has the Formula (Villa), wherein Ring W is 5-membered nitrogen-containing heteroaryl or a 5-membered nitrogen-containing heterocyclic. In yet an additional embodiment, the compound has the Formula (Villa), wherein Ring W is a thienyl or a furanyl.
- the compound of the invention has the Formula (Vlllb):
- the compound has the Formula (VIIIc):
- each R e is independently an optionally substituted C1-C4 alkyl or an optionally substituted C3-C12 cycloalkyl.
- the compound has the Formula (Villa- VIIIc), wherein Z7 is optionally substituted aryl or optionally substituted heteroaryl. In some embodiments, Z 7 is optionally substituted heteroaryl.
- the compound has the Formula (Villa- VIIIc), wherein A7 is optionally substituted phenyl.
- a non-limiting example of a compound having the Formula (VIIIc) is:
- the compound has the Formula (IX), wherein A 8 is selected from the group consisting of optionally substituted Ci-Cio alkyl and optionally substituted C2-C10 alkenyl.
- Non-limiting examples of a compound having the Formula (IX) are shown below in Table 5.
- the compound has the Formula (la), (lb), (Ic), (Id), (Ie)
- a A 2 , A 3 , A 4 , A 5 , A 6 , or A 7 is a monocyclic or polycyclic group selected from the group consisting of optionally substituted C3-C12 cycloalkyl, optionally substituted C 4 -Ci2 cycloalkenyl, optionally substituted 3- to 12-membered heterocyclic, optionally substituted aryl, or optionally substituted heteroaryl.
- Ring W is defined as a 5-membered heteroaryl or a 5-membered heterocyclic, wherein each ring carbon atom of said 5-membered heteroaryl is substituted with one Rj and wherein each ring nitrogen atom of said 5-membered heteroaryl is substituted with zero or one Ra when said nitrogen atom or atoms are present, and wherein each ring carbon atom of said 5-membered heterocyclic is substituted with one or two Ra and each ring nitrogen atom of said 5-membered heterocyclic is substituted with zero or one Ra, when said nitrogen atom or atoms are present.
- Ai to A5 and A7 to As (referred to collectively in certain instances herein, as "A") and the Ring W substituent containing Y or Z2-Z5 and Z7_Zs (referred to collectively in certain instances herein as the substituent containing Y or Z) can be bonded to a ring carbon atom or a ring nitrogen atom of Ring W.
- the remaining ring atoms of Ring W can be carbon, nitrogen, oxygen or sulfur. When one or more of the remaining ring atoms are carbon or nitrogen, these ring atoms can be bonded to zero to two Ra depending on their valency.
- Ring W when Ring W is a 5-membered heteroaryl, each ring carbon atom of Ring W (said atom not being attached to A or the substituent containing Y or Z) is substituted with one Ra.
- Ring W is a 5-membered heteroaryl containing a ring nitrogen atom and the nitrogen atom is not attached to A or the Ring W substituent containing Y or Z, the nitrogen atom can be substituted with zero or one Ra depending on its valence.
- the ring nitrogen atom is not substituted with Ra (in other words, is substituted with zero Ra) when said nitrogen there is a double bond between the nitrogen and an adjacent ring atom.
- each ring carbon atom (said atom not being attached to A or the substituent containing Y or Z) is attached to one Ra when said carbon atom is double- bonded to an adjacent ring atom and is attached to two Ra when there is a single bond between carbon and its adjacent atoms.
- Ra groups as well as their positions on Ring W will depend on the specific heteroaryl or heterocyclic ring.
- Ring W is a thienyl
- the ring has two Ra groups, but their positions can vary depending on the positions of Ai and the Ring W substituent containing Y (the -C(0)-C(R3)(R4)-Y group) as is shown by way of example below:
- Ring W is a pyrrolyl
- the ring has three Ra groups and their positions vary depending on the positions of Ai and the Ring W substituent containing Y as shown by way of example below:
- Ring W is selected from the group consisting of:
- Ring W In the specific examples of Ring W depicted above, the positions of the Rj groups are as shown.
- the groups at the positions designated by ⁇ can be A1-A5 and A7 (collectively shown as "A") or the Ring W substituent containing Y (for Formula (Ia-Ic)) or the Ring W substituent containing Z 2 -Z 5 and Z 7 (for Formula (Ilia), (Hid), (IVa), (Va), (Via), (VId) and (Villa)).
- Ring W in Formulae (la), (lb), (Ic), (Ilia), (Hid), (IVa), (Va), (Via), (VId), (Villa) or (IX) is as shown below (wherein Ai-A 5 and A 7 -A 8 and Rj are as shown), and positions designated by-TMTM is the Ring W substituent containing Y or Z 2 -Z 5 and Z 7 -Z 8 ):
- two vicinal Ra groups when present, are taken together to form a fused monocyclic or polycyclic group selected from the group consisting of optionally substituted C3-C12 cycloalkyl, optionally substituted C3-C12 cycloalkenyl, optionally substituted heterocyclic, optionally substituted aryl and optionally substituted heteroaryl.
- two vicinal Ra group can be taken together to form said cyclic group when Ring W is one of the following:
- 3 ⁇ 4 and an A group when attached to adjacent atoms, can be taken together to form a fused monocyclic or polycyclic group selected from the group consisting of optionally substituted C3-C 12 cycloalkyl, optionally substituted C3-C12 cycloalkenyl, optionally substituted heterocyclic, optionally substituted aryl and optionally substituted heteroaiyl.
- R d and A can be taken to form a fused cyclic group as previously described when Ring W is one of the following:
- R 3 and an R d group (when R d and the C(0)C(R3)(R4)Y substituent are attached to adjacent atoms) can be taken together to form a fused monocyclic group selected from the group consisting of C5-C12 cycloalkyl, C5-C12 cycloalkenyl, 5- to 12-membered heterocyclic, C6-C12 aryl and 5- to 12-membered heteroaryl, each optionally substituted with R4 and Y, and wherein the fused ring can optionally be further substituted.
- R7 and Rj can be taken together to form a fused monocyclic group selected from the group consisting of C5-C12 cycloalkyl, C5-C12 cycloalkenyl, 5- to 12-membered heterocyclic, C5-C12 aryl, and 5- to 12-membered heteroaryl, each substituted with Rs and Z2, (and optionally further substituted) when the Rj and the Ring W substituent containing Z2 are attached to adjacent carbon atoms.
- compositions comprising a pharmaceutically acceptable carrier and a compound of Formula (Ia-Ie), (II), (Illa-IIId), (IVa-IVc), (Va-Vb), (Via- Vie), (VII), (Villa- VIIIc), and (IX) and pharmaceutically acceptable salts, prodrugs or solvates thereof, are encompassed by the invention.
- Ring W is described a heteroaryl in one embodiment described above and Y was described as selected from the group consisting of optionally substituted C3-C12 cycloalkyl, optionally substituted C3-C12 cycloalkenyl, optionally substituted heterocyclic, optionally substituted aryl, optionally substituted heteroaryl, ORc, SR C and C(0) RcRc in an additional embodiment above.
- Ring W is a heteroaryl and Y is selected from the group consisting of optionally substituted C3-C12 cycloalkyl, optionally substituted C3-C12 cycloalkenyl, optionally substituted heterocyclic, optionally substituted aryl, optionally substituted heteroaryl, ORc, SR C and C(0)NR c R c .
- alkyl refers to both branched and straight-chain saturated aliphatic hydrocarbon groups having the specified number of carbon atoms; for example, "C1-C10 alkyl” denotes alkyl having 1 to 10 carbon atoms.
- alkyl include, but are not limited to, methyl, ethyl, n-propyl, i-propyl, n-butyl, i-butyl, sec -butyl, t-butyl, n-pentyl, n-hexyl, 2-methylbutyl, 2-methylpentyl, 2- ethylbutyl, 3-methylpentyl, and 4-methylpentyl.
- alkenyl refers to both straight and branched-chain moieties having the specified number of carbon atoms and having at least one carbon- carbon double bond.
- alkynyl refers to both straight and branched-chain moieties having the specified number or carbon atoms and having at least one carbon- carbon triple bond.
- cycloalkyl refers to cyclic alkyl moieties having 3 or more carbon atoms.
- examples of cycloalkyl include, but are not limited to, cyclopropyl, cyclobutyl, cyclopentyl, cyclohexyl, cycloheptyl and adamantyl.
- cycloalkenyl refers to cyclic alkenyl moieties having 3 or more carbon atoms.
- cycloalkynyl refers to cyclic alkynyl moieties having 5 or more carbon atoms.
- heterocyclic encompasses heterocycloalkyl, heterocycloalkenyl, heterobicycloalkyl, heterobicycloalkenyl, heteropolycycloalkyl, heteropolycycloalkenyl and the like.
- Heterocycloalkyl refers to cycloalkyl groups containing one or more heteroatoms (O, S, or N) within the ring.
- Heterocycloalkenyl as used herein refers to cycloalkenyl groups containing one or more heteroatoms (O, S or N) within the ring.
- Heterobicycloalkyl refers to bicycloalkyl groups containing one or more heteroatoms (O, S or N) within a ring.
- Heterobicycloalkenyl as used herein refers to bicycloalkenyl groups containing one or more heteroatoms (O, S or N) within a ring.
- Cycloalkyl, cycloalkenyl, heterocyclic, groups also include groups similar to those described above for each of these respective categories, but which are substituted with one or more oxo moieties.
- aryl refers to mono- or polycyclic aromatic carbocyclic ring systems.
- a polycyclic aryl is a polycyclic ring system that comprises at least one aromatic ring.
- Polycyclic aryls can comprise fused rings, covalently attached rings or a combination thereof.
- aryl embraces aromatic radicals, such as, phenyl, naphthyl, indenyl, tetrahydronaphthyl, and indanyl.
- An aryl group may be substituted or unsubstituted.
- heteroaryl refers to aromatic carbocyclic groups containing one or more heteroatoms (O, S, or N) within a ring.
- a heteroaryl group can be monocyclic or polycyclic.
- a heteroaryl group may additionally be substituted or unsubstituted.
- the heteroaryl groups of this invention can also include ring systems substituted with one or more oxo moieties.
- a polycyclic heteroaryl can comprise fused rings, covalently attached rings or a combination thereof.
- heteroaryl groups include, but are not limited to, pyridinyl, pyridazinyl, imidazolyl, pyrimidinyl, pyrazolyl, triazolyl, pyrazinyl, quinolyl, isoquinolyl, tetrazolyl, furyl, thienyl, isoxazolyl, thiazolyl, oxazolyl, isothiazolyl, pyrrolyl, quinolinyl, isoquinolinyl, indolyl, benzimidazolyl, benzofuranyl, cinnolinyl, indazolyl, indolizinyl, phthalazinyl, triazinyl, isoindolyl, purinyl, oxadiazolyl, thiadiazolyl, furazanyl, benzofurazanyl, benzothiophenyl, benzotriazolyl, benzothiazolyl, benzo
- heteroaryl groups may be C-attached or heteroatom-attached (where such is possible).
- a group derived from pyrrole may be pyrrol- 1-yl (N-attached) or pyrrol-3-yl (C- attached).
- substituted refers to substitution by independent replacement of one, two, or three or more of the hydrogen atoms with substituents including, but not limited to, -Ci-Ci 2 alkyl, -C 2 -C 12 alkenyl, -C 2 -C 12 alkynyl, -C 3 -C 12 cycloalkyl, -C 3 -C 12 cycloalkenyl, C 3 -Ci 2 cycloalkynyl, -heterocyclic, -F, -CI, -Br, -I, -OH, -N0 2 , -N 3 , -CN, -NH 2 , oxo, thioxo, -NHR X , -NR X R X , dialkylamino, -diarylamino, -diheteroarylamino, -OR x , -C(0)R y , - C
- haloalkyl refers to an alkyl group having 1 to (2d+l) substituent(s) independently selected from F, CI, Br or I, where n is the maximum number of carbon atoms in the alkyl group.
- H is an abbreviation for hydrogen.
- Me is an abbreviation for methyl.
- Non-limiting examples of optionally substituted aryl are phenyl, substituted phenyl, naphthyl and substituted naphthyl.
- Enantiomers are a pair of stereoisomers that are non-superimposable mirror images of each other.
- a 1: 1 mixture of a pair of enantiomers is a “racemic” mixture.
- the term “( ⁇ )” is used to designate a racemic mixture where appropriate.
- “Diastereoisomers” are stereoisomers that have at least two asymmetric atoms, but which are not mirror- images of each other. The absolute stereochemistry is specified according to the Cahn- Ingold-Prelog R— S system. When a compound is a pure enantiomer the stereochemistry at each chiral carbon may be specified by either R or S.
- Resolved compounds whose absolute configuration is unknown can be designated (+) or (-) depending on the direction (dextro- or levorotatory) which they rotate plane polarized light at the wavelength of the sodium D line.
- the compounds described herein contain olefinic double bonds or other centers of geometric asymmetry, and unless specified otherwise, it is intended that the compounds include both E and Z geometric isomers. Likewise, all tautomeric forms are also intended to be included.
- a compound has an R-configuration at a specific position when it is present in excess compared to the compound having an S-configuration at that position.
- a compound has an S-configuration at a specific position when it is present in excess compared to the compound having an R-configuration at that position.
- atoms making up the compounds of the present invention are intended to include isotopic forms of such atoms.
- Isotopes include those atoms having the same atomic number but different mass numbers.
- Isotopes of hydrogen include, for example, tritium and deuterium, and isotopes of carbon include, for example, 13 C and 14 C.
- the invention therefore encompasses embodiments in which one or more of the hydrogen atoms in Formulae (Ia-Ie), (II), (Illa-IIId), (IVa-IVc), (Va-Vb),
- (Via- Vie), (VII), (Villa- VIIIc), and (IX) are replaced with deuterium.
- the invention also encompasses embodiments wherein one or more of the carbon atoms in Formulae (Ia-Ie), (II), (Illa-IIId), (IVa-IVc), (Va-Vb), (Vla-VIe), (VII), (Villa- VIIIc), and (IX) is replaced with silicon atoms.
- the invention additionally encompasses embodiment wherein one or more of the nitrogen atoms in Formulae (Ia-Ie), (II), (Illa-IIId), (IVa-IVc), (Va-Vb), (Via- Vie), (VII), (Villa- VIIIc), and (IX) are oxidized to N-oxide.
- the chloride can be easily displaced with a variety of O 2 , N 3 , S and C based nucleophiles to provide the desired compounds.
- bromothiophene can undergo a palladium catalyzed cross-coupling reaction with an appropriate aryl-metal species to afford substituted thiophene N.
- the oxidation of methyl thiophenes is described in reference 10.
- a similar oxidation of pyrazoles is described in 7c. Conversion of the acid the a-halo ketone 7 followed by appropriate substituted affords desired compounds P.
- a "pharmaceutically acceptable salt” includes an ionic bond-containing product of the reaction between the disclosed compound with either an acid or a base, suitable for administering to a subject.
- compositions are well known in the art and are described, for example, in Berge et al. (1977), Pharmaceutical Salts, Journal of Pharmaceutical Sciences, 69(1): 1-19, the contents of which are herein incorporated by reference.
- a non-limiting example of a pharmaceutically acceptable salt is an acid salt of a compound containing an amine or other basic group which can be obtained by reacting the compound with a suitable organic or inorganic acid.
- Examples of pharmaceutically acceptable salts also can be metallic salts including, but not limited to, sodium, magnesium, calcium, lithium and aluminum salts.
- salts include hydrochlorides, hydrobromides, sulfates, methanesulfonates, nitrates, maleates, acetates, citrates, fumarates, tartrates (e.g. (+)-tartrates, (-)-tartrates or mixtures thereof including racemic mixtures), succinates, benzoates and salts with amino acids such as glutamic acid.
- Salts can also be formed with suitable organic bases when the compound comprises an acid functional group such as -COOH or -SO 3 H.
- bases suitable for the formation of a pharmaceutically acceptable base addition salts with compounds of the present invention include organic bases that are nontoxic and strong enough to react with the acid functional group. Such organic bases are well known in the art and include amino acids such as arginine and lysine, mono-, di-, and triethanolamine, choline, mono-, di-, and
- trialkylamine such as methylamine, dimethylamine, and trimethylamine, guanidine, N- benzylphenethylamine, N-methylglucosamine, N-methylpiperazine, morpholine, ethylendiamine, tris(hydroxymethyl)aminomethane and the like.
- the invention also includes hydrates of the compounds described herein, including, for example, solvates of the compounds described herein. In some
- the invention is a solvate of a compound of Formula (la), (lb), (Ic), (Id), (Ie), (II), (Ilia), (Illb), (Hid), (IVa), (IVb), (IVc), (Va), (Vb), (Via), (VIb), (Vic), (VId), (Vie), (VII), (Villa), (VHIb) (VIIIc), or (IX).
- prodrugs of the compounds described herein for example, prodrugs of a compound of Formula (la), (lb), (Ic), (Id), (Ie), (II), (Ilia), (Illb), (IIIc), (Hid), (IVa), (IVb), (IVc), (Va), (Vb), (Via), (VIb), (Vic), (VId), (Vie), (VII), (Villa), (VHIb), (VIIIc) or (IX).
- the invention additionally includes clathrates of the compounds described herein.
- the invention is directed to clathrates of a compound of Formula (la), (lb), (Ic), (Id), (Ie), (II), (Ilia), (Illb), (IIIc), (Hid), (IVa), (IVb) (IVc), (Va), (Vb), (Via), (VIb), (Vic), (VId), (Vie), (VII), (Villa), (VHIb), (VIIIc) or (IX).
- the invention includes pharmaceutical compositions comprising a pharmaceutically acceptable carrier or excipient and a compound described herein.
- the excipient can be chosen based on the expected route of administration of the composition in therapeutic applications.
- the route of administration of the composition depends on the condition to be treated. For example, intravenous injection may be preferred for treatment of a systemic disorder and oral administration may be preferred to treat a gastrointestinal disorder.
- the route of administration and the dosage of the composition to be administered can be determined by the skilled artisan without undue experimentation in conjunction with standard dose- response studies. Relevant circumstances to be considered in making those determinations include the condition or conditions to be treated, the choice of composition to be administered, the age, weight, and response of the individual patient, and the severity of the patient's symptoms.
- compositions comprising compounds of Formulae (la), (lb), (Ic), (Id), (Ie), (II), (Ilia), (Illb), (IIIc), (Hid), (IVa), (IVb), (IVc), (Va), (Vb), (Via), (VIb), (Vic), (VId), (Vie), (VII), (Villa), (VHIb), (VIIIc), or (IX), and pharmaceutically acceptable salts, solvates, clathrates and prodrugs thereof, can be administered by a variety of routes including, but not limited to, parenteral, oral, pulmonary, ophthalmic, nasal, rectal, vaginal, aural, topical, buccal, transdermal, intravenous, intramuscular,
- compositions can also include, depending on the formulation desired, pharmaceutically-acceptable, non-toxic carriers or diluents, which are defined as vehicles commonly used to formulate pharmaceutical compositions for animal or human administration.
- diluent is selected so as not to affect the biological activity of the pharmacologic agent or composition. Examples of such diluents are distilled water, physiological phosphate-buffered saline, Ringer's solutions, dextrose solution, and Hank's solution.
- the pharmaceutical composition or formulation may also include other carriers, adjuvants, or nontoxic, nontherapeutic, nonimmunogenic stabilizers and the like.
- Pharmaceutical compositions can also include large, slowly metabolized
- macromolecules such as proteins, polysaccharides such as chitosan, polylactic acids, polyglycolic acids and copolymers (such as latex functionalized SEPHAROSETM, agarose, cellulose, and the like), polymeric amino acids, amino acid copolymers, and lipid aggregates (such as oil droplets or liposomes).
- compositions can be administered parenterally such as, for example, by intravenous, intramuscular, intrathecal or subcutaneous injection.
- parenteral such as, for example, by intravenous, intramuscular, intrathecal or subcutaneous injection.
- compositions can be accomplished by incorporating a composition into a solution or suspension.
- solutions or suspensions may also include sterile diluents such as water for injection, saline solution, fixed oils, polyethylene glycols, glycerine, propylene glycol or other synthetic solvents.
- Parenteral formulations may also include antibacterial agents such as, for example, benzyl alcohol or methyl parabens, antioxidants such as, for example, ascorbic acid or sodium bisulfite and chelating agents such as EDTA.
- Buffers such as acetates, citrates or phosphates and agents for the adjustment of tonicity such as sodium chloride or dextrose may also be added.
- the parenteral preparation can be enclosed in ampules, disposable syringes or multiple dose vials made of glass or plastic.
- auxiliary substances such as wetting or emulsifying agents, surfactants, pH buffering substances and the like can be present in compositions.
- Other components of pharmaceutical compositions are those of petroleum, animal, vegetable, or synthetic origin, for example, peanut oil, soybean oil, and mineral oil.
- glycols such as propylene glycol or polyethylene glycol are preferred liquid carriers, particularly for injectable solutions.
- Injectable formulations can be prepared either as liquid solutions or suspensions; solid forms suitable for solution in, or suspension in, liquid vehicles prior to injection can also be prepared.
- the preparation also can also be emulsified or encapsulated in liposomes or micro particles such as polylactide, polyglycolide, or copolymer for enhanced adjuvant effect, as discussed above. Langer, Science 249: 1527, 1990 and Hanes, Advanced Drug Delivery Reviews 28: 97-1 19, 1997.
- the compositions and pharmacologic agents described herein can be administered in the form of a depot injection or implant preparation which can be formulated in such a manner as to permit a sustained or pulsatile release of the active ingredient.
- Additional formulations suitable for other modes of administration include oral, intranasal, and pulmonary formulations, suppositories, transdermal applications and ocular delivery.
- binders and carriers include, for example, polyalkylene glycols or triglycerides; such suppositories can be formed from mixtures containing the active ingredient in the range of about 0.5% to about 10%, preferably about 1% to about 2%.
- Oral formulations include excipients, such as pharmaceutical grades of mannitol, lactose, starch, magnesium stearate, sodium saccharine, cellulose, and magnesium carbonate. Topical application can result in transdermal or intradermal delivery.
- Transdermal delivery can be achieved using a skin patch or using transferosomes.
- a skin patch or using transferosomes.
- the pharmaceutical composition for the purpose of oral therapeutic administration, the pharmaceutical
- compositions can be incorporated with excipients and used in the form of tablets, troches, capsules, elixirs, suspensions, syrups, wafers, chewing gums and the like.
- Tablets, pills, capsules, troches and the like may also contain binders, excipients, disintegrating agent, lubricants, glidants, sweetening agents, and flavoring agents.
- binders include microcrystalline cellulose, gum tragacanth or gelatin.
- excipients include starch or lactose.
- disintegrating agents include alginic acid, corn starch and the like.
- lubricants include magnesium stearate or potassium stearate.
- An example of a glidant is colloidal silicon dioxide.
- sweetening agents include sucrose, saccharin and the like.
- flavoring agents include peppermint, methyl salicylate, orange flavoring and the like.
- Materials used in preparing these various compositions should be pharmaceutically pure and non-toxic in the amounts used.
- the composition is administered as a tablet or a capsule.
- tablets may be coated with shellac, sugar or both.
- a syrup or elixir may contain, in addition to the active ingredient, sucrose as a sweetening agent, methyl and propylparabens as preservatives, a dye and a flavoring such as cherry or orange flavor, and the like.
- a pharmaceutical composition may be presented as pessaries, tampons, creams, gels, pastes, foams or spray.
- nasally administering or nasal administration includes administering the composition to the mucus membranes of the nasal passage or nasal cavity of the patient.
- pharmaceutical compositions for nasal administration of a composition include therapeutically effective amounts of the compounds prepared by well-known methods to be administered, for example, as a nasal spray, nasal drop, suspension, gel, ointment, cream or powder. Administration of the composition may also take place using a nasal tampon or nasal sponge.
- suitable formulations may include biocompatible oil, wax, gel, powder, polymer, or other liquid or solid carriers.
- Such formulations may be administered by applying directly to affected tissues, for example, a liquid formulation to treat infection of conjunctival tissue can be administered dropwise to the subject's eye, or a cream formulation can be administered to the skin.
- Rectal administration includes administering the pharmaceutical compositions into the rectum or large intestine. This can be accomplished using suppositories or enemas.
- Suppository formulations can easily be made by methods known in the art. For example, suppository formulations can be prepared by heating glycerin to about 120°C, dissolving the pharmaceutical composition in the glycerin, mixing the heated glycerin after which purified water may be added, and pouring the hot mixture into a suppository mold.
- Transdermal administration includes percutaneous absorption of the composition through the skin.
- Transdermal formulations include patches, ointments, creams, gels, salves and the like.
- pulmonary will also mean to include a tissue or cavity that is contingent to the respiratory tract, in particular, the sinuses.
- an aerosol formulation containing the active agent a manual pump spray, nebulizer or pressurized metered-dose inhaler as well as dry powder formulations are contemplated.
- Suitable formulations of this type can also include other agents, such as antistatic agents, to maintain the disclosed compounds as effective aerosols.
- a drug delivery device for delivering aerosols comprises a suitable aerosol canister with a metering valve containing a pharmaceutical aerosol formulation as described and an actuator housing adapted to hold the canister and allow for drug delivery.
- the canister in the drug delivery device has a head space representing greater than about 15% of the total volume of the canister.
- the compound intended for pulmonary administration is dissolved, suspended or emulsified in a mixture of a solvent, surfactant and propellant. The mixture is maintained under pressure in a canister that has been sealed with a metering valve.
- the present invention also encompasses methods of treating a patient suffering from a condition associated with a dysfunction in proteostasis comprising administering an effective amount of a compound having the Formula (la), (lb), (Ic), (Id), (Ie), (II), (Ilia), (Illb), (IIIc), (Hid), (IVa), (IVb), (IVc), (Va), (Vb), (Via), (VIb), (Vic), (VId), (Vie), (VII), (Villa), (VHIb), (VIIIc), or (IX), or a pharmaceutically acceptable salt, prodrug, clathrate or solvate of any of thereof.
- Treating” or “treatment” includes preventing or delaying the onset of the symptoms, complications, or biochemical indicia of a disease, alleviating or ameliorating the symptoms or arresting or inhibiting further development of the disease, condition, or disorder.
- a “patient” is a human subject in need of treatment.
- an “effective amount” refers to that amount of the therapeutic agent that is sufficient to ameliorate of one or more symptoms of a disorder and/or prevent
- the term “inhibiting” or “decreasing” encompasses causing a net decrease by either direct or indirect means.
- the term “increasing” means to cause a net gain by either direct or indirect means.
- the invention encompasses the treatment of a condition associated with a dysfunction in proteostasis.
- Proteostasis refers to protein homeostasis.
- Dysfunction in protein homeostasis is a result of protein misfolding, protein aggregation, defective protein trafficking or protein degradation.
- Exemplary proteins of which there can be a dysfunction in proteostasis, for example that can exist in a misfolded state include, but are not limited to, glucocerebrosidase, hexosamine A, cystic fibrosis transmembrane conductance regulator, aspartylglucsaminidase, a-galactosidase A, cysteine transporter, acid ceremidase, acid a-L-fucosidase, protective protein, cathepsin A, acid ⁇ -glucosidase, acid ⁇ -galactosidase, iduronate 2-sulfatase, a-L-iduronidase, galactocerebrosidase, acid a -mannosidase, acid ⁇ -mannosidase, arylsulfatase B, arylsulfatase A, N- acetylgalactosamine-6-sulfate
- the protein is selected from the group consisting of huntingtin, tau, alpha-synuclein, al anti-trypsin and superoxide dismutase.
- Protein conformational diseases or conditions associated with a dysfunction in proteostasis encompass gain of function disorders and loss of function disorders.
- the protein conformational disease is a gain of function disorder.
- gain of function disorder is a disease characterized by increased aggregation-associated proteotoxicity. In these diseases, aggregation exceeds clearance inside and/or outside of the cell.
- Gain of function diseases include, but are not limited to neurodegenerative diseases associated with aggregation of polyglutamine, Lewy body diseases, amyotrophic lateral sclerosis, transthyretin-associated aggregation diseases, Alzheimer's disease and prion diseases.
- Neurodegenerative diseases associated with aggregation of polyglutamine include, but are not limited to, Huntington's disease, dentatorubral and pallidoluysian atrophy, several forms of spino-cerebellar ataxia, and spinal and bulbar muscular atrophy.
- Alzheimer's disease is characterized by the formation of two types of aggregates: extracellular aggregates of ⁇ peptide and intracellular aggregates of the microtubule associated protein tau.
- Transthyretin-associated aggregation diseases include, for example, senile systemic amyloidoses and familial amyloidotic neuropathy.
- Lewy body diseases are characterized by an aggregation of a-synuclein protein and include, for example,
- Parkinson's disease also known as transmissible spongiform
- encephalopathies are characterized by aggregation of prion proteins.
- exemplary human prion diseases are Creutzfeldt- Jakob Disease (CJD), Variant Creutzfeldt- Jakob Disease, Gerstmann-Straussler-Scheinker Syndrome, Fatal Familial Insomnia and Kuru.
- the protein conformation disease or the condition associated with a dysfunction in proteostasis is a loss of function disorder.
- the terms "loss of function disease” and “loss of function disorder” are used interchangeably herein.
- Loss of function diseases are a group of diseases characterized by inefficient folding of a protein resulting in excessive degradation of the protein. Loss of function diseases include, for example, cystic fibrosis and lysosomal storage diseases. In cystic fibrosis, the mutated or defective enzyme is the cystic fibrosis transmembrane conductance regulator (CFTR).
- CFTR cystic fibrosis transmembrane conductance regulator
- Lysosomal storage diseases are a group of diseases characterized by a specific lysosomal enzyme deficiency which may occur in a variety of tissues, resulting in the build-up of molecules normally degraded by the deficient enzyme.
- the lysosomal enzyme deficiency can be in a lysosomal hydrolase or a protein involved in the lysosomal trafficking.
- Lysosomal storage diseases include, but are not limited to, aspartylglucosaminuria, Fabry's disease, Batten disease, Cystinosis, Farber, Fucosidosis, Galactasidosialidosis, Gaucher's disease (including Types 1, 2 and 3), Gml
- gangliosidosis Hunter's disease, Hurler-Scheie's disease, Krabbe's disease, a- Mannosidosis, ⁇ -Mannosidosis, Maroteaux-Lamy's disease, Metachromatic
- Mucolipidosis III Neimann-Pick Disease (including Types A, B and C), Pompe's disease, Sandhoff disease, Sanfilippo syndrome (including Types A, B, C and D), Schindler disease, Schindler-Kanzaki disease, Sialidosis, Sly syndrome, Tay-Sach's disease and Wolman disease.
- the condition is selected from the group consisting of Huntington's disease, Alzheimer's disease, Parkinson's disease, amyotrophic lateral sclerosis, diabetic retinopathy, diabetes, and other retinal disorders.
- the disease associated with a dysfunction in proteostasis is diabetes and/or complications of diabetes, including, but not limited to, diabetic retinopathy, cardiomyopathy, neuropathy, nephropathy, and impaired wound healing.
- the disease associated with a dysfunction in proteostasis is an ocular disease including, but not limited to, age-related macular degeneration (AMD), diabetic macular edema (DME), diabetic retinopathy, glaucoma, cataracts, retinitis pigmentosa (RP), and dry macular degeneration.
- AMD age-related macular degeneration
- DME diabetic macular edema
- RP retinitis pigmentosa
- dry macular degeneration including, but not limited to, age-related macular degeneration
- AMD age-related macular degeneration
- DME diabetic macular edema
- RP retinitis pigmentosa
- the condition is selected from the group consisting of Huntington's disease, Alzheimer's disease, Parkinson's disease, amyotrophic lateral sclerosis, diabetes and complications thereof, ocular diseases and cancer or tumor.
- the invention also encompasses methods for the treatment of hemoglobinopathies (such as sickle cell anemia), an inflammatory disease (such as inflammatory bowel disease, colitis, ankylosing spondylitis), intermediate filament diseases (such as non alcoholic and alcoholic fatty liver disease) and drug induced lung damage (such as methotrexate-induced lung damage).
- hemoglobinopathies such as sickle cell anemia
- an inflammatory disease such as inflammatory bowel disease, colitis, ankylosing spondylitis
- intermediate filament diseases such as non alcoholic and alcoholic fatty liver disease
- drug induced lung damage such as methotrexate-induced lung damage
- the invention includes methods for the treatment of condition associated with a dysfunction in proteostasis comprising administering to a patient in need thereof a compound described herein, and a second agent (e.g., a second therapeutic agent).
- a second agent e.g., a second therapeutic agent
- Co-administered agents, compounds, or therapeutics need not be administered at exactly the same time.
- a compound described herein is administered substantially simultaneously as the second agent.
- substantially simultaneously it is meant that the compound of the invention, is administered before, at the same time, and/or after the administration of the second agent, and encompasses, for example, administration within the same treatment session or as part of the same treatment regimen.
- Exemplary second agents include pharmacologic chaperones and proteostasis regulators (such as, those described below).
- the invention is directed to a pharmaceutical composition
- a pharmaceutical composition comprising a compound of Formula (la), (lb), (Ic), (Id), (Ie), (II), (Ilia), (Illb), (IIIc), (Hid), (IVa), (IVb), (IVc), (Va), (Vb), (Via), (VIb), (Vic), (VId), (Vie), (VII), (Villa), (Vlllb), (VIIIc), or (IX), and a second agent, wherein the second agent is selected from the group consisting of a pharmacologic chaperone and a proteostasis regulator.
- the invention also encompasses a method of treating a patient suffering from a condition associated with a dysfunction in proteostasis comprising administering a therapeutically effective amount of a compound of the invention and a second agent, wherein the second agent is a pharmacologic chaperone.
- Pharmacologic chaperones or kinetic stabilizers refer to compounds that bind an existing steady state level of the folded mutant protein and chemically enhance the folding equilibrium by stabilizing the fold [Bouvier, Chem Biol 14: 241-242, 2007; Fan et al, Nat Med 5: 112-1 15, 1999; Sawkar et al, Proc Natl Acad Sci U S A 99: 15428-15433, 2002; Johnson and Kelly, Accounts of Chemical Research 38: 91 1-921, 2005].
- the pharmacologic chaperone is administered in amount that in combination with a compound described herein in an amount that is sufficient to treat a patient suffering from a condition associated with a dysfunction in proteostasis.
- proteostasis regulator refers to small molecules, siRNA and biologicals (including, for example, proteins) that enhance cellular protein homeostasis.
- proteostasis regulators can be agents that influence protein synthesis, folding, trafficking and degradation pathways.
- Proteostasis regulators encompass pharmacologic agents that stimulate the HSR signaling activity.
- Proteostasis regulators function by manipulating signaling pathways, including, but not limited to, the heat shock response or the unfolded protein response, or both, resulting in transcription and translation of proteostasis network components.
- Proteostasis regulators can enhance the folding, trafficking and function of proteins (for example, mutated proteins).
- Proteostasis regulators can also regulate protein chaperones by upregulating transcription or translation of the protein chaperone, or inhibiting degradation of the protein chaperone.
- Proteostasis regulators can influence the biology of folding, often by the coordinated increase in chaperone and folding enzyme levels and macromolecules that bind to partially folded conformational ensembles, thus enabling their progression to intermediates with more native structure and ultimately increasing the concentration of folded mutant protein for export.
- the proteostasis regulator is distinct from a chaperone in that the proteostasis regulator can enhance the homeostasis of a mutated protein but does not bind the mutated protein.
- proteostasis regulators can upregulate an aggregation pathway or a disaggregase activity.
- exemplary proteostasis regulators are the celastrols, MG-132 and L-type Ca 2+ channel blockers (e.g., dilitiazem and verapamil).
- the term "celastrols” refers to celastrol and derivatives or analogs thereof, including, but not limited to, those celastrol derivatives described in Westerheide et al., J Biol Chem, 2004. 279(53): p. 56053-60, the contents of which are expressly incorporated by reference herein.
- Celastrol derivatives include, for example, celastrol methyl ester, dihydrocelastrol diacetate, celastrol butyl ether, dihydrocelastrol, celastrol benzyl ester, primesterol, primesterol diacetate and triacetate of celastrol.
- the proteostasis regulator is a heat shock response activator.
- a heat shock response activator is an agent that indirectly or directly activates the heat shock response, for example, by directly or indirectly activating heat shock transcription factor 1 (HSF 1), inhibiting Hsp90, and/or activating chaperone expression (Westerheide et al, J Biol Chem, 2004. 279(53): p.
- HSF 1 heat shock transcription factor 1
- heat shock response activator is a small molecule heat shock response activator.
- the invention also encompasses a method of treating cancer or a tumor in a patient in need thereof comprising administering to said patient an effective amount of a compound described herein.
- Cancers that can be treated according to methods of the present invention include, but are not limited to, breast cancer, colon cancer, pancreatic cancer, prostate cancer, lung cancer, ovarian cancer, cervical cancer, multiple myeloma, basal cell carcinoma, neuroblastoma, hematologic cancer, rhabdomyosarcoma, liver cancer, skin cancer, leukemia, basal cell carcinoma, bladder cancer, endometrial cancer, glioma, lymphoma, and gastrointestinal cancer.
- the invention is a method of treating cancer or a tumor comprising administering an effective amount of a compound described herein in combination with the administration of a chemotherapeutic agent.
- Chemotherapeutic agents that can be utilized include, but are not limited to, alkylating agents such as cyclosphosphamide (CYTOXAN®); alkyl sulfonates such as busulfan, improsulfan and piposulfan; aziridines such as benzodopa, carboquone, meturedopa, and uredopa;
- ethylenimines and methylamelamines including altretamine, triethylenemelamine, trietylenephosphoramide, triethylenethiophosphaoramide and trimethylolomelamine; nitrogen mustards such as chlorambucil, chlornaphazine, cholophosphamide, estramustine, ifosfamide, mechlorethamine, mechlorethamine oxide hydrochloride, melphalan, novembichin, phenesterine, prednimustine, trofosfamide, uracil mustard; nitrosureas such as carmustine, chlorozotocin, fotemustine, lomustine, nimustine, ranimustine; antibiotics such as aclacinomysins, actinomycin, authramycin, azaserine, bleomycins, cactinomycin, calicheamicin, carabicin, carminomycin, carzinophilin, chromomycins,
- paclitaxel (TAXOL®, Bristol-Myers Squibb Oncology, Princeton, N.J.) and docetaxel (TAXOTERE®; Aventis Antony, France); chlorambucil; gemcitabine; 6- thioguanine; mercaptopurine; methotrexate; platinum analogs such as cisplatin and carboplatin; vinblastine; platinum; etoposide (VP- 16); ifosfamide; mitomycin C;
- mitoxantrone vincristine; vinorelbine; navelbine; novantrone; teniposide; daunomycin; aminopterin; xeloda; ibandronate; CPT-11 ; topoisomerase inhibitor RFS 2000;
- DMFO difluoromethylornithine
- retinoic acid retinoic acid
- esperamicins capecitabine
- pharmaceutically acceptable salts, acids or derivatives of any of the above are also included in this definition.
- anti-hormonal agents that act to regulate or inhibit hormone action on tumors such as anti-estrogens including for example tamoxifen, raloxifene, aromatase inhibiting 4(5)-imidazoles, 4-hydroxytamoxifen, trioxifene, keoxifene, LY 117018, onapristone, and toremifene (Fareston); and anti-androgens such as flutamide, nilutamide, bicalutamide, leuprolide, and goserelin; and pharmaceutically acceptable salts, acids or derivatives of any of the above.
- anti-estrogens including for example tamoxifen, raloxifene, aromatase inhibiting 4(5)
- the invention is a method of treating cancer or a tumor comprising administering to a patient in need thereof an effective amount of a compound described herein in combination with radiation therapy.
- Example 1 Synthesis of l-ri-(4-Chloro-phenyl)-2, 5-dimethyl-lH-pyrrol-3-yl1-2- cyclopentyl-ethanone (Al) and l-ri-(4-Chloro-phenyl)-2,5-dimethyl-lH-pyrrol-3-yl1- 2cyclohexyl-ethanone (A2)
- Step 1 4-Chloroaniline (10.0 g, 78 mmol) was placed in a 500 mL roundbottom flask. Methanol (200 mL), hexane-2,5-dione (9.20 mL, 78 mmol) and glacial acetic acid (4.60 mL, 78 mmol) were added to the flask and the reaction was heated to 50 °C overnight. The mixture was then cooled to room temperature and the methanol was removed under reduced pressure.
- Step 2 To a stirred suspension of anhydrous AICI 3 (1 g, 7.2 mmol), in dry DCM 20mL of cyclopentyl acetyl chloride (0.52 g, 3.89 mmol) was added and stirred for 30 min at room temperature under inert atmosphere. The reaction mass was cooled to 0 °C and pyrrole (1) (1 g, 4.86 mmol) was added in single portion and stirring was continued for lh Progress of the reaction was monitored by TLC. After completion of the reaction the mixture was poured onto ice water ( ⁇ 50 g) and extracted with EtOAc (3 x 30 mL).
- Step 1 Aluminum chloride (1.04 g, 7.78 mmol) was placed in a flame-dried flask and 6 mL of CH 2 CI 2 was added. The flask was cooled to 0° C in an ice bath. 2-Bromo-2,2- difluoroacetyl chloride (1.50 g, 7.78 mmol) was added and the reaction stirred at 0° C for 1.5 hours. Pyrrole (1) was dissolved in 12 mL CH 2 CI 2 and cooled to 0° C.
- Example 3 1 -( 1 -(4-chlorophenyl)-2.5 -dimethyl- 1 H-pyrrol-3 -yl)-3.3.3 -trifluoropropan- 1 - one (A4)
- Step 1 3,3,3 -Trifluoropropanoic acid (0.70 mL, 7.81 mmol) was taken up in 12 mL of dry CH 2 CI 2 and anhydrous DMF (0.1 mL, 1.3 mmol) was added. Thionyl chloride (2.8 mL, 39 mmol) was added and the reaction stirred overnight. The following day the solvent was removed and the resulting oil was stored under nitrogen until needed.
- Example 4 Synthesis of 2-( ' l-( ' 4-chlorophenyl -2,5-dimethyl-lH-pyrrol-3-yl -2-oxoacetic acid (A5), l-( ' l-( ' 4-chlorophenyl -2,5-dimethyl-lH-pyrrol-3-yl -2-( ' 4-hvdroxypiperidin-l- yl)ethane-L2-dione (A6) and l-( ' l-( ' 4-chlorophenyl -2,5-dimethyl-lH-pyrrol-3-yl -2-( ' 4- fluoropiperidin- 1 -vDethane- 1 ,2-dione (A7)
- Example 6 Synthesis of l-ri-(4-Chloro-phenyl)-2, 5-dimethyl-lH-pyrrol-3-yl1-2-pyrrol- 1 -yl-ethanone (A9) and l-ri-(4-Chloro-phenyl)-2, 5-dimethyl-lH-pyrrol-3-yl1-2-imidazol- -yl-ethanone (A 10)
- Compound 5 was prepared from pyrrole 1 and bromoacetyl chloride according to the procedure used to prepare A8. Bromide 5 (0.6 g, 0.0018 mol) and pyrrole (0.123 g, 0.0018 mol) were dissolved in 8 mL of anhydrous DMF and to this solution was added CSCO3 (1.19 g, 0.0036 mol). The resulting mixture was stirred for 3h at ambient temperature and monitored by TLC. After completion of the reaction, the mixture was diluted with 10 mL water and extracted with DCM (3 x 25 mL).
- Chloride (7) (0.25 g, 1.35 mmol) was placed in a 50 mL flask and dissolved in 2 mL of HPLC grade acetonitrile. Piperdine (0.13 mL, 1.35 mmol) and triethylamine (0.37 mL, 2.7 mmol) were added to the flask and the reaction stirred overnight. The solvent was removed under reduced pressure and the resulting solid was taken up in CH 2 CI 2 . The organic phase was washed with water and brine then dried over MgS0 4 . The compound was adsorbed onto silica gel and the product was eluted from a 25 g Biotage silica gel cartridge using 95:5 CH 2 Ci 2 :MeOH.
- Example 8 Synthesis of l-r3-(4-Chloro-phenyl)-2-methyl-cvclopenta-l ,4-dienyl1-2- piperidin-l-yl-ethanone (A 13), l-ri-(4-Chloro-phenyl)-5-methyl-lH-pyrazol-4-yl "
- Step 1 A mixture of pentane-2, 5-dione (1 g, 0.01 mol) and , N-dimethyl formamide diethyl acetal (1.47 g, 0.01 mol) were stirred and heated at 100 °C for 2h and progress was monitored by TLC. After completion of the reaction, the mixture was subjected to (100-200 mesh) silica gel column chromatography using 10% methanol in DCM eluting system.
- Step 2 A 50 mL single neck RBF was charged with compound 8 (1 g, 0.0064 mol), 1.5 mL of acetic acid and 3 mL t-BuOH. This mixture was stirred for 5 minutes and to it was added a solution ofp-chloro phenyl hydrazine (1.007 g, 0.0070 mol) in 7 mL of t-BuOH under nitrogen atmosphere at room temperature. The reaction was then heated to reflux for 1 h and monitored by TLC. After completion of the reaction, the solvent was distilled off under vacuum, and crude material was purified using silica gel (60-120mesh) column chromatography (15% EtOAc in hexanes).
- Step 3 A mixture of compound 9 (0.2 g, 0.00341 mol) and 33% HBr in acetic acid (2 mL) was heated to 70 °C for 5 min. A solution of liquid bromine (0.082g, 0.001 mol) in 1 mL of 48% aqueous HBr was added and the reaction was continued further for 3h. Progress of the reaction was monitored by TLC. After completion of the reaction the mixture was cooled to room temperature. The mixture was then quenched with 5 mL of ice water and basified with saturated aHC03 solution. The aqueous layer was extracted with ethyl acetate (3 x 15 mL).
- Step 4 To a stirred solution of compound 10 (0.8 g, 0.00255 mol) in 8 mL of anhydrous DMF, were added Cs 2 C0 3 (1.6 g, 0.0051 mol) and piperidine (0.217 g, 0.00255 mol) respectively and reaction mixture was stirred for 2h at ambient temperature under inert atmosphere. Progress of reaction was monitored by TLC. After completion of the reaction, mixture was diluted with 10 mL of water and product was extracted with ethyl acetate (3 x lOmL).
- Example 9 Synthesis of 2-Diisopropylamino - 1 - ⁇ 1 - (4 - fluoro-phenyl) - 5 - methyl - 1H - pyrazol-4-yll-ethanone (A 16) and l-ri-(4-Fluoro-phenyl)-5-methyl-lH-pyrazol-4- yll-2-pyrrolidin- 1 -yl-ethanone (A.17)
- reaction mixture was poured on to ice-water solution (50mL), stirred for some time and then extracted well with ethyl acetate (2 x 50 mL). The combined organic layers was washed once with brine (30 mL), dried over anhydrous Na 2 S0 4 and concentrated on rotary evaporator to yield a crude brown mass which was further purified by silica gel (60-120 mesh) column
- Example 10 Synthesis of l-[l-(4-Chloro-phenyl)-3. 5-dimethyl-lH-pyrazol-4-yl "
- Step 1 Method A: Copper (II) acetate (4.7 g, 26.0 mmol) was well dried under vacuum and then suspended in anhydrous DCM (20mL) in a 250 mL sealed tube. To this stirring solution di-isopropyl amine (3.6 mL, 26.0 mmol) was added slowly followed by 3,5-dimethyl pyrazole (1 g, 10.4 mmol) and 4-chloro phenyl boronic acid (3 g, 19.2 mmol) respectively.
- Method B A mixture of Cul (0.4 g, 2.3 mmol) and powdered anhydrous CS2CO 3 (5.2 g, 16.8 mmol) was dried well in 10 OmL rbf under high vacuum for 30 minutes and then suspended in anhydrous DMF (14mL). To this stirring solution were added 4-chloro iodobenzene (2 g, 11.6 mmol) and 3, 5 -dimethyl pyrazole (0.56 g, 5.8 mmol) successively under inert atmosphere at room temperature. The reaction mixture was then stirred and heated at 120 °C for 40 h. Reaction was judge complete by TLC.
- Step 2 To a stirred solution of anhydrous DMF (0.9 mL, 12.1 mmol), POCl 3 (1.1 mL, 12.1 mmol) was added at 0 °C slowly under inert atmosphere and stirring continued for 15 minutes. A solution of compound 12 (2.1 mmol) in 1 mL of anhydrous DMF was added drop wise at 0 °C. After completion of addition, the reaction mixture was stirred at 70 °C for 18h and progress was monitored by TLC. Upon completion of the reaction, the mixture was poured onto ⁇ 20 g crushed ice and pH was made basic using ⁇ 5 g sodium bicarbonate. The aqueous layer was then extracted with (3 x 20 mL) ethyl acetate.
- reaction mixture was stripped off under vacuum, traces of SOCI 2 were removed by co-evaporating the residue with 5 mL of anhydrous toluene. The residue obtained was dried well and then dissolved in 10 mL of anhydrous acetonitrile. Reaction mixture was cooled to 0 °C and to this stirring solution was added 2M solution of (0.4 mL, 2.4 mmol) TMSCHN 2 drop wise, resulting solution was warmed to ambient temperature and stirred for about 18 h under nitrogen atmosphere. Then reaction mixture was cooled again to 0 °C and to it was added 2 mL of cone. HC1.
- Step 5 A mixture of compound 15 (0.5g, 1.45mmol) and piperidine 2 mL was stirred at ambient temperature for lh and monitored by TLC. Upon completion of reaction, it was diluted with 100 mL ethyl acetate.
- Example 12 Synthesis of l-[l-(4-Chloro-phenyl)-lH-pyrazol-4-yll-2-piperidin-l-yl- ethanone (A22). 1 - ⁇ 1 -( ' 4-Chloro-phenyl)- 1 H-pyrazol-4-yl1-2-pyrrolidin- 1 -yl-ethanone (A.23 , and 1 - ⁇ 1 -( ⁇ -Chloro-phenyl - 1 H-pyrazol-4-yll -2-(cvclopropyl-methyl-amino - Ethanone (A24).
- Step 1 1,1,3,3-Tetramethoxy propane (9.15 g, 55.8 mmol) was added to a suspension of 4- Chlorophenyl hydrazine hydrochloride (10 g, 55.8 mmol) in absolute ethanol (120 mL) and the resulting mixture was heated to reflux for lh. Progress of the reaction was monitored by TLC. After completion of the reaction, the reaction mixture was cooled and neutralized with 10% sodium bicarbonate solution and extracted with DCM (3 x 300mL).
- Step 2 Phosphorus oxychloride (41.17g, 0.272mol) was added slowly to anhydrous DMF (19.91 g, 0.272 mol) at -10 °C under inert atmosphere. After stirring the mixture for 15 minutes, a solution of compound 16 (9.7 g, 0.054 mol) in 20 mL of anhydrous DMF was added to reaction mixture slowly and then reaction was first warmed to room temperature and then heated at 70 °C for 12h. The reaction monitored by TLC. After completion of the reaction, the reaction mixture was cooled to room temperature and neutralized with 10% sodium bicarbonate solution and extracted with ethyl acetate (3 x 300 mL).
- Step 3 A stirring solution of compound 17 (8.0 g, 38.8 mmol) in acetone (100 mL) was cooled to 0 °C. Jones reagent (50 mL) was added drop wise to this reaction mixture and mixture was stirred for lh at room temperature. After completion of the reaction
- reaction mixture was then neutralized with 1.0M NaOH solution and extracted with ethyl acetate (3 x 100 mL). The organic layer washed once with brine solution (70 mL), dried over sodium sulphate and concentrated under vacuum to get crude material which was purified by chromatography on (100-200 mesh) silica gel and eluted with 10% ethyl acetate in hexanes solvent system to afford 2-chloro-l-[l-(4-chloro- phenyl)-lH-pyrazol-4-yl]-ethanone 19 as yellow colored solid (2.0 g, 7.9 mmol, 43% yield).
- Step 5 To a stirred solution of compound 19 (0.1 g, 0.3 mmol) in acetonitrile (10 mL) was added triethylamine (.08 g, 0.78 mmol) at room temperature followed by piperdine (0.05 g, 0.6 mmol) under inert atmosphere.
- reaction mixture was then heated to reflux for lh and monitored by TLC. After completion of the reaction, reaction mixture was concentrated under the vacuum and residual material was dissolved in DCM (30 mL). The organic layer was then washed with water (2 x 30 mL)) followed by brine (15 mL). The organic layer was concentrated to dryness and crude mass was chromatographed on silica gel (100-200 mesh) (2% methanol in DCM). The desired title compound A22 was isolated as an off white solid (80 mg, 0.26 mmol, 67% yield).
- Step 1 To a stirred solution of 4-chlorobenzylamine (12.73 g, 89.8 mmol) in DMF (50mL) was successively added iodine (15.20 g, 59.9 mmol), followed by acetyl acetone(6.0 g, 59.9 mmol), Cu(OAc)2.H 2 0 (1.19 g, 5.9 mmol), and tert-butyl hydrogen peroxide 70% in water (10.8 g, 119.8 mmol).
- reaction mixture was stirred for 4h at room temperature. Reaction progress was monitored by TLC. After completion; the reaction mixture was quenched with ice water (200 mL) and extracted with EtOAc (200 mL x 3). The organic layer washed with water (200 mL) and followed by brine solution (200 mL), dried over sodium sulphate and concentrated under vacuum to get crude material which was purified on (100-200 mesh) silica gel. Pure compound was eluted in 2% ethyl acetate in hexanes solvent system yielded l-[2-(4-chloro-phenyl)-5-methyl-oxazol-4-yl]-ethanone
- Step 2 A solution of bromine (1.94 g, 12.1 mmol) in chloroform (10 mL) was added drop wise to a mixture of compound 20 (2.6 g, 1 1.0 mmol) in chloroform (30 mL) at 50 °C.
- reaction mixture was stirred for 30 min at 55 °C. After completion; the reaction mixture was poured into saturated sodium bicarbonate solution (150 mL) and extracted with chloroform (200 mL x 2). The organic layer washed with water (100 mL), and followed by brine solution (100 mL), dried over sodium sulphate and concentrated under vacuum to get crude material which was purified on (100-200 mesh) silica gel. Pure compound was eluted in 1-2% ethyl acetate in hexanes solvent system to afford 2-bromo- l-[2-(4-chloro-phenyl)-5-methyl-oxazol-4-yl]-ethanone 21 as pale yellow colored solid.
- Step 1 Isoamyl nitrile (9.2 g, 0.07915 mol) was dissolved in 30 mL ethanol and was then added to stirring solution ofp-Chloro phenyl acetonitrile (10 g, 0.06596 mol) and NaOH (2.6 g, 0.06596 mol) in 50 mL ethanol under nitrogen atmosphere at 0 °C. The temperature was maintained at 10-20 °C throughout the addition. After complete addition, the reaction was warmed to RT and stirred for 3h.
- Step 2 Compound 22 (10 g, 0.055 mol) and ⁇ Ts-Cl (10.55 g, 0.055 mol) were refluxed in 125 mL of toluene for lh. After completion; the reaction was cooled to RT and quenched with 100 g of ice and extracted with ethyl acetate (200 mL x 3) The organic layer was dried and evaporated under reduced pressure to afford toluene-4-sulfonic acid - 2-(4-chloro-phenyl)-2-cyano-vinyl 23 as yellow solid.
- Step 3 To a stirring mixture of compound 23 (11 g, 0.056 mol) and methyl thioglocolate (6.12 g, 0.0680 mol); TEA (16.96 mL, 0.1134 mol) was added drop wise at 10 °C so that temperature not rise more than 45 °C. The reaction was stirred for 3h. Reaction progress was monitored by TLC. After completion; the reaction was quenched by 100 g ice. A solid formed and the solid was filtered and washed with water.
- Step 4 To a stirring mixture of compound 24 (8 g, 0.0298 mol) in 80 mL of THF, isoamyl nitrite (8.73 g, 0.07462 mol) was added and reaction was refluxed for 1.5h. Reaction progress was monitored by TLC. After completion; the solvent was removed under reduced pressure. The resulting solid was washed twice with 200 mL hexane to yield 3-(4-chloro-phenyl)-isothiazole-5-carboxylic acid methyl ester 25 as pale yellow solid was used for next step without any purification.
- Step 5 To a cooled (0 °C) solution of compound 25 (4 g, 0.0158 mol) in 40 mL of THF, 2M LiOH solution was added drop wise. The reaction was further stirred for 18h. Progress was monitored by TLC. After completion; the reaction was acidified with 10% HCl until pH 9.
- Step 6 To compound 26 (3.7 g, 0.01548 mol) thionyl chloride (30 mL) was added and reaction was refluxed for 1.4h. Reaction progress was monitored by TLC. After completion; excess thionyl chloride removed under reduced pressure under inert atmosphere. The acid chloride was dissolved in 30 mL of dry ACN and cooled to 0 °C. TMS diazomethane (2M in diethyl ether, 10 mL) was added drop- wise. The reaction was stirred for 2h. Reaction progress was monitored by TLC. After completion; the reaction was quenched by concentrated HCl (5 mL). The reaction was stirred further for lh. TLC showed complete deprotection of TMS group.
- the reaction was diluted with 50 mL water and extracted with ethyl acetate (100 mL x 3). The combined organic layers were dried over Na 2 S0 4 and evaporated. The compound was purified on 100-200 silica gel pure compound was eluted in 5% ethyl acetate in hexane yielded 2- chloro-l-[3-(4-chloro-phenyl)-isothiazol-5-yl]-ethanone 27 as pale yellow solid.
- Step 7 To a stirring mixture of Compound 27 (0.5 g, 0.001814 mol) in 10 mL of AcN were added piperidine (0.21 mL, 0.002214 mol) and TEA (0.512 mL, 0.00368 mol). The reaction was stirred for 2h. Reaction progress was monitored by TLC.
- Example 15 Synthesis of l-(5-(4-chlorophenyl)-2-methylthiophen-3-yl)-2-(piperidin-l- vDethanone (A27), l-(5-(4-chlorophenyl)-2-methylthiophen-3-yl)-2-(4-fluoropiperidin-l- yPethanone (A28) and l-(5-(4-chlorophenyl)-2-methylthiophen-3-yl)-2-(4- hydroxypiperidin- 1 -yPethanone (A29)
- Step 1 A mixture of 2-bromo-5-methythiophene (4 g, 22.5 mmol) and Pd(PPh 3 ) 4 (1.30 g, 1.12 mmol) was taken in DME (30 mL) and degassed with 2 for 15-20 min. K 3 PC (11.98 g, 56.4 mmol, 1.5 M solution in H 2 0) was added and the mixture was degassed for additional 10-15 min. followed by addition of 4-chlorophenylboronic acid (3.88 g, 24.8 mmol).
- reaction mixture was then heated to 80 °C for 2 hr and the progress was monitored by TLC. After completion of reaction, the solution was filtered through a bed of celite. The filtrate was diluted with water (100 mL) and extracted with ethyl acetate (100 mL x 3).The organic layer was concentrated to get crude compound. The material was purified by column chromatography (100-200) mesh silica with 100% hexane as eluent, to obtain 2- (4-chloro-phenyl-5-methyl-thiophene (28) as a white solid.
- reaction was allowed to stir at RT for 2hr and the reaction progress was monitored by TLC. (Note: reaction doesn't show completion). After 3 hr the reaction was diluted with water (100 mL), extracted with ethyl acetate (50 mL x 3). The organic layer was combined and was washed with brine, dried over sodium sulphate and concentrated to get the crude compound.
- Step 3 Acetonitrile (5 mL), piperidine (1.37 mmol) and triethylamine (0.213 g, 2.11 mmol) were placed in a flask and allowed to stir at RT for 10 min. This was followed by addition of compound 29 (0.3 g, 1 mmol). The reaction was allowed to stir at RT for 3 hr and reaction progress was monitored by TLC. After completion of the reaction it was diluted with water (50 mL) and extracted with ethyl acetate (30 mL x 3). The organic layer was combined, washed with brine and dried over sodium sulphate.
- Step 1 4-Fluoroaniline (9.66 g, 0.087 mol) was suspended in 50 mL of water and cooled to 0 °C. Concentrated HC1 (18 mL) and a solution of sodium nitrite (6 g, 0.087 mol) in 20 mL water were slowly added to the stirring solution.
- Step 2 To a stirred solution of compound 30 (1.0 g, 0.0072 mol) in 10 mL of DMSO, ethyl acetoacetate (1.9 ml, 0.0143 mol) was added slowly followed by diethylamine (3.8 mL, 0.036 mol). The reaction was heated at 70 °C under a nitrogen atmosphere for 18 h.
- Step 3 To a stirred solution of compound 31 (2.0 g, 0.00803 mol) in 90 mL of THF was added a solution of lithium hydroxide (0.580 g) in 10 mL of water.
- Step 5 To a stirred solution of compound 33 (0.5 g, 0.00197 mol) in 10 mL of dry acetonitrile, TEA (0.8 mL, 0.00395 mol) and pyrolidine (0.33 mL, 0.00591 mol) were added successivley at 0°C under N 2 atmosphere. After complete addition, the reaction mixture was warmed to room temperature and stirred for 30 minutes and monitored by TLC. After completion of the reaction, the mixture was quenched with ice ( ⁇ 50 g) and the aqueous layer was extracted well with ethyl acetate (2 x 100 mL). The organic layer was washed once with brine solution and dried over anhydrous Na 2 S0 4 .
- Example 17 Synthesis of l-(4-(4-chlorophenyl piperazin-l-yl -2-(pyrrolidin-l- vDethanone (A31) and l-(4-(4-fluorophenyl piperazin-l-yl -2-(piperidin-l-yl ethanone
- Step 1 Piperazine (1.0 g, 1 1.6 mmol), l-bromo-4-chlorobenzene (2.12 g, 11.06 mmol), rac- ⁇ (0.275 g, 0.442 mmol), tris(dibenzylideneacetone)dipalladium (0) (0.223 g, 0.243 mmol) and sodium tert-butoxide (2.12 g, 22.1 1 mmol) were placed in a flame-dried flask. The flask was evacuated and backfilled with nitrogen three times.
- Step 2 Piperazine 34 (.8 g, 4 mmol) was dissolved in CH 2 CI 2 (12 mL) and cooled to 0 °C in an ice bath. Triethylamine (1.1 mL, 8 mmol) and chloroacetyl chloride (.48 mL, 6.1 mmol) were added sequentially.
- Step 3 Chloride 35 (0.3 g, 1.1 mmol) was taken up in acetonitrile (3 mL). Triethylamine (0.3 mL, 2.2 mmol) was added followed by pyrrolidine (.08 g, 1. 1 mmol). The reaction stirred at room temperature overnight. The next morning the solvent was removed under reduced pressure.
- Example 18 Synthesis of l-(l-(4-chlorophenyl)-lH-indol-3-yl)-2-(4-hydroxypiperidin-l- vDethanone (A33 ), 1 -( 1 -(4-chlorophenyl)-2-methyl- 1 H-indol-3 -yl)-2-(4-hvdroxypiperidin- 1 -vDethanone (A34). 1 -( 1 -(4-chlorophenyl)- 1 H-indol-3 -yl)-2-(piperidin- 1 -vDethanone (A35).
- Example 19 Preparation of tert-butyl 2-(2-(l-(4-chlorophenyl)-2,5-dimethyl-lH-pyrrol-3- yl)-2-oxoethyl)piperidine-l-carboxylate (A39), l-(l-(4-chlorophenyl)-2,5-dimethyl-lH- pyrrol-3-yl)-2-(piperidin-2-yl)ethanone (A40) and l-(l-(4-chlorophenyl)-2,5-dimethyl- -pyrrol-3-yl)-2-(l-methylpiperidin-2-yl)ethanone (A41)
- ester 38 Hydrogenation of commercially available ethyl 2-pyridylacetate with an in-situ Boc protection will afford ester 38 (Birman, V., D. et. al, Org. Lett, 2007, 9, 3237.) Hydrolysi of the ester is followed by formation of the acid chloride using thionyl chloride to give acid chlroride 40 (PCT Int. Appl. 2005103000, Nov 03, 2005). Acylation of pyrrole 1 with acid chloride 40 can be accomplished using a Fridel-Crafts acyaltion to give compound A39. Removal of the Boc protecting group with HCl can afford A40. Amine A40 can be methylated using a reductive amination to give compound A41.
- Example 20 Preparation of l-(5-(4-chlorophenyl)-1.4-dimethyl-lH-pyrrol-3-yl)-2- (piperidin-l-yl)ethanone (A42) and l-( ' 5-( ' 4-chlorophenyl)-1.4-dimethyl-lH-pyrrol-2-yl)- 2-(piperidin-l-yl)ethanone (A43)
- Example 21 Biological activity
Landscapes
- Organic Chemistry (AREA)
- Chemical & Material Sciences (AREA)
- Health & Medical Sciences (AREA)
- Engineering & Computer Science (AREA)
- Bioinformatics & Cheminformatics (AREA)
- Public Health (AREA)
- Veterinary Medicine (AREA)
- Animal Behavior & Ethology (AREA)
- General Health & Medical Sciences (AREA)
- Chemical Kinetics & Catalysis (AREA)
- General Chemical & Material Sciences (AREA)
- Medicinal Chemistry (AREA)
- Nuclear Medicine, Radiotherapy & Molecular Imaging (AREA)
- Pharmacology & Pharmacy (AREA)
- Life Sciences & Earth Sciences (AREA)
- Neurology (AREA)
- Biomedical Technology (AREA)
- Neurosurgery (AREA)
- Diabetes (AREA)
- Psychology (AREA)
- Obesity (AREA)
- Hematology (AREA)
- Endocrinology (AREA)
- Emergency Medicine (AREA)
- Hospice & Palliative Care (AREA)
- Psychiatry (AREA)
- Pain & Pain Management (AREA)
- Orthopedic Medicine & Surgery (AREA)
- Physical Education & Sports Medicine (AREA)
- Pharmaceuticals Containing Other Organic And Inorganic Compounds (AREA)
- Medicines That Contain Protein Lipid Enzymes And Other Medicines (AREA)
- Indole Compounds (AREA)
- Heterocyclic Compounds Containing Sulfur Atoms (AREA)
- Thiazole And Isothizaole Compounds (AREA)
- Heterocyclic Carbon Compounds Containing A Hetero Ring Having Nitrogen And Oxygen As The Only Ring Hetero Atoms (AREA)
- Plural Heterocyclic Compounds (AREA)
- Pyrrole Compounds (AREA)
- Diaphragms For Electromechanical Transducers (AREA)
- Addition Polymer Or Copolymer, Post-Treatments, Or Chemical Modifications (AREA)
- Nonmetallic Welding Materials (AREA)
Abstract
Description
Claims
Priority Applications (16)
| Application Number | Priority Date | Filing Date | Title |
|---|---|---|---|
| CA2835610A CA2835610C (en) | 2011-05-12 | 2012-05-10 | Proteostasis regulators |
| PL12781736T PL2707101T3 (en) | 2011-05-12 | 2012-05-10 | Proteostasis regulators |
| EP19156459.0A EP3552664A1 (en) | 2011-05-12 | 2012-05-10 | Proteostasis regulators |
| SI201231593T SI2707101T1 (en) | 2011-05-12 | 2012-05-10 | Proteostasis regulators |
| SM20190280T SMT201900280T1 (en) | 2011-05-12 | 2012-05-10 | Proteostasis regulators |
| RS20190577A RS58718B1 (en) | 2011-05-12 | 2012-05-10 | PROTEOSTASE REGULATORS |
| ES12781736T ES2724531T3 (en) | 2011-05-12 | 2012-05-10 | Proteostasis Regulators |
| AU2012253402A AU2012253402A1 (en) | 2011-05-12 | 2012-05-10 | Proteostasis regulators |
| HRP20190867TT HRP20190867T1 (en) | 2011-05-12 | 2012-05-10 | Proteostasis regulators |
| DK12781736.9T DK2707101T3 (en) | 2011-05-12 | 2012-05-10 | PROTEOSTASE REGULATORS |
| LTEP12781736.9T LT2707101T (en) | 2011-05-12 | 2012-05-10 | Proteostasis regulators |
| EP12781736.9A EP2707101B1 (en) | 2011-05-12 | 2012-05-10 | Proteostasis regulators |
| CN201280031295.8A CN103635230B (en) | 2011-05-12 | 2012-05-10 | Albumen homeostasis conditioning agent |
| JP2014510469A JP6208122B2 (en) | 2011-05-12 | 2012-05-10 | Proteostasis regulator |
| AU2016203895A AU2016203895B2 (en) | 2011-05-12 | 2016-06-10 | Proteostasis regulators |
| CY20191100513T CY1121985T1 (en) | 2011-05-12 | 2019-05-13 | PROTEOSTATUS REGULATORS |
Applications Claiming Priority (2)
| Application Number | Priority Date | Filing Date | Title |
|---|---|---|---|
| US201161485421P | 2011-05-12 | 2011-05-12 | |
| US61/485,421 | 2011-05-12 |
Publications (1)
| Publication Number | Publication Date |
|---|---|
| WO2012154967A1 true WO2012154967A1 (en) | 2012-11-15 |
Family
ID=47139667
Family Applications (1)
| Application Number | Title | Priority Date | Filing Date |
|---|---|---|---|
| PCT/US2012/037340 Ceased WO2012154967A1 (en) | 2011-05-12 | 2012-05-10 | Proteostasis regulators |
Country Status (19)
| Country | Link |
|---|---|
| US (3) | US9556166B2 (en) |
| EP (2) | EP3552664A1 (en) |
| JP (1) | JP6208122B2 (en) |
| CN (1) | CN103635230B (en) |
| AU (2) | AU2012253402A1 (en) |
| CA (1) | CA2835610C (en) |
| CY (1) | CY1121985T1 (en) |
| DK (1) | DK2707101T3 (en) |
| ES (1) | ES2724531T3 (en) |
| HR (1) | HRP20190867T1 (en) |
| HU (1) | HUE044867T2 (en) |
| LT (1) | LT2707101T (en) |
| PL (1) | PL2707101T3 (en) |
| PT (1) | PT2707101T (en) |
| RS (1) | RS58718B1 (en) |
| SI (1) | SI2707101T1 (en) |
| SM (1) | SMT201900280T1 (en) |
| TR (1) | TR201906779T4 (en) |
| WO (1) | WO2012154967A1 (en) |
Cited By (9)
| Publication number | Priority date | Publication date | Assignee | Title |
|---|---|---|---|---|
| CN104478780A (en) * | 2014-11-17 | 2015-04-01 | 华东师范大学 | Acylpyrrole small-molecular organic compound, derivatives of organic compound as well as application and preparation method of acylpyrrole small-molecular organic compound and derivatives of organic compound |
| WO2016057572A1 (en) | 2014-10-06 | 2016-04-14 | Mark Thomas Miller | Modulators of cystic fibrosis transmembrane conductance regulator |
| US9975886B1 (en) | 2017-01-23 | 2018-05-22 | Cadent Therapeutics, Inc. | Potassium channel modulators |
| US10214498B2 (en) | 2014-10-24 | 2019-02-26 | Takeda Pharmaceutical Company Limited | Heterocyclic compound |
| WO2020006269A1 (en) * | 2018-06-27 | 2020-01-02 | Proteostasis Therapeutics, Inc. | Proteasome activity enhancing compounds |
| WO2020006296A1 (en) * | 2018-06-27 | 2020-01-02 | Proteostasis Therapeutics, Inc. | Proteasome activity enhancing compounds |
| US10774064B2 (en) | 2016-06-02 | 2020-09-15 | Cadent Therapeutics, Inc. | Potassium channel modulators |
| US11191747B2 (en) | 2019-04-03 | 2021-12-07 | Aligos Therapeutics, Inc. | Pyrrole compounds |
| US11993586B2 (en) | 2018-10-22 | 2024-05-28 | Novartis Ag | Crystalline forms of potassium channel modulators |
Families Citing this family (5)
| Publication number | Priority date | Publication date | Assignee | Title |
|---|---|---|---|---|
| BR112012018631A8 (en) | 2010-01-28 | 2017-12-19 | President And Fellows Of Harvard Colege | compositions and methods for enhancing proteasome activity |
| ES2724531T3 (en) | 2011-05-12 | 2019-09-11 | Proteostasis Therapeutics Inc | Proteostasis Regulators |
| WO2014116228A1 (en) * | 2013-01-25 | 2014-07-31 | President And Fellows Of Harvard College | Usp14 inhibitors for treating or preventing viral infections |
| WO2015073528A1 (en) | 2013-11-12 | 2015-05-21 | Proteostasis Therapeutics, Inc. | Proteasome activity enhancing compounds |
| EP3853234B1 (en) | 2018-09-18 | 2025-04-23 | Nikang Therapeutics, Inc. | Fused tricyclic ring derivatives as src homology-2 phosphatase inhibitors |
Citations (14)
| Publication number | Priority date | Publication date | Assignee | Title |
|---|---|---|---|---|
| US20050130972A1 (en) | 2003-11-12 | 2005-06-16 | Amicus Therapeutics, Inc. | Hydroxy piperidine derivatives to treat gaucher disease |
| US20050203019A1 (en) | 2001-10-09 | 2005-09-15 | Oregon Health & Science University | Pharmacoperones for correcting disease states involving protein misfolding |
| WO2005103000A1 (en) | 2004-04-20 | 2005-11-03 | Glaxo Group Limited | N-`4-4(4-morpholinyl) phenyl!-`(4-piperidinyl) methyl! carboxamide derivatives and their use as glycine transporter inhibitors |
| US20060148767A1 (en) | 2001-12-06 | 2006-07-06 | George Cioca | Use of acyl salicylates as heat shock inducers |
| US20060264467A1 (en) | 2005-05-17 | 2006-11-23 | Benjamin Mugrage | Method for the treatment of Pompe disease using 1-deoxynojirimycin and derivatives |
| US20060287358A1 (en) | 2005-06-08 | 2006-12-21 | Brandon Wustman | Treatment of CNS disorders associated with mutations in genes encoding lysosomal enzymes |
| US20070179087A1 (en) | 1998-01-23 | 2007-08-02 | National Jewish Medical And Research Center | Method for treating inflammatory diseases using heat shock proteins |
| US20070207992A1 (en) | 2006-02-21 | 2007-09-06 | Board Of Trustees Of Michigan State University | Geldanamycin derivatives and method of use thereof |
| US20070259820A1 (en) | 2006-05-03 | 2007-11-08 | The Regents Of The University Of Michigan | Methods and reagents for activating heat shock protein 70 |
| US20070281975A1 (en) | 2006-05-24 | 2007-12-06 | Benjamin Mugrage | Tartrate Salt of Isofagomine and Methods of Use |
| US20080009516A1 (en) | 2006-06-23 | 2008-01-10 | Wustman Brandon A | Method for the treatment of neurological disorders by enhancing the activity of beta-glucocerebrosidase |
| US20080056994A1 (en) | 2006-05-16 | 2008-03-06 | Christine Kaneski | Assays For Diagnosing And Evaluating Treatment Options For Fabry Disease |
| US20080188453A1 (en) * | 2006-10-31 | 2008-08-07 | Adams Mark E | Mapk/erk kinase inhibitors |
| WO2010015816A2 (en) * | 2008-08-06 | 2010-02-11 | Summit Corporation Plc | Treatment of lysosomal storage disorders and other proteostatic diseases |
Family Cites Families (150)
| Publication number | Priority date | Publication date | Assignee | Title |
|---|---|---|---|---|
| GB1073521A (en) * | 1963-03-20 | 1967-06-28 | Benger Lab Ltd | Indole derivatives |
| CH535777A (en) * | 1967-03-01 | 1973-04-15 | Ciba Geigy Ag | Process for the preparation of new azacycloaliphatic compounds |
| GB1410783A (en) * | 1972-01-20 | 1975-10-22 | Wyeth John & Brother Ltd | N-substituted 4-amidopyridines tetrahydropyridines and piperidines |
| DE2557341A1 (en) | 1975-12-19 | 1977-06-30 | Hoechst Ag | BASIC SUBSTITUTED INDOLDER DERIVATIVES AND THE PROCESS FOR THEIR PRODUCTION |
| JPH0341497B2 (en) | 1979-06-28 | 1991-06-24 | ||
| NL8701682A (en) | 1986-07-30 | 1988-02-16 | Sandoz Ag | METHOD FOR THE THERAPEUTIC USE OF SEROTONIN ANTAGONISTS, ACTIVE COMPOUNDS AND PHARMACEUTICAL PREPARATIONS CONTAINING THESE COMPOUNDS |
| GB8623819D0 (en) * | 1986-10-03 | 1986-11-05 | Glaxo Group Ltd | Heterocyclic compounds |
| CA2092112A1 (en) * | 1992-03-23 | 1993-09-24 | Nobuyoshi Iwata | Indole and indazole derivatives, for the treatment and prophylaxis of cerebral disorders, their preparation and their use |
| DE4325204C2 (en) | 1993-07-27 | 2002-11-28 | Matthias Lehr | Acylpyrrolealcanoic acids and their derivatives as inhibitors of phospholipase A¶2¶ |
| EP0639573A1 (en) | 1993-08-03 | 1995-02-22 | Hoechst Aktiengesellschaft | Benzocondensed five membered heterocycles, process of their preparation, their use as drug, as diagnostic means and pharmaceuticals containing it |
| US5852046A (en) | 1993-08-03 | 1998-12-22 | Hoechst Aktiengesellschaft | Benzo-fused heterocyclic compounds having a 5-membered ring processes for their preparation their use as medicaments their use as diagnostic agents and medicaments containing them |
| JPH07133274A (en) | 1993-11-09 | 1995-05-23 | Sankyo Co Ltd | Pyprole derivative |
| DE4338770A1 (en) | 1993-11-12 | 1995-05-18 | Matthias Dr Lehr | Indole-2-alkanoic acids and their derivatives as inhibitors of phospholipase A¶2¶ |
| KR100361199B1 (en) | 1994-01-19 | 2003-04-16 | 상꾜 가부시키가이샤 | Pyrrolopyrazine derivatives |
| JPH08225535A (en) | 1994-11-15 | 1996-09-03 | Dai Ichi Seiyaku Co Ltd | Indazole derivative |
| US6201129B1 (en) | 1995-02-01 | 2001-03-13 | Univ. College Cardiff Consultants | Tricyclic derivatives and their use as anti-cancer agents |
| ATE219765T1 (en) | 1995-04-10 | 2002-07-15 | Fujisawa Pharmaceutical Co | INDOLE DERIVATIVES AS CGMP-PDE INHIBITORS |
| US5567711A (en) | 1995-04-19 | 1996-10-22 | Abbott Laboratories | Indole-3-carbonyl and indole-3-sulfonyl derivatives as platelet activating factor antagonists |
| JPH10508321A (en) | 1995-09-01 | 1998-08-18 | イーライ・リリー・アンド・カンパニー | Indolyl neuropeptide Y receptor antagonist |
| PL320010A1 (en) * | 1995-09-01 | 1997-09-01 | Lilly Co Eli | Indolyllic antagonists of neuropeptide y receptors |
| US5859035A (en) | 1996-04-03 | 1999-01-12 | Merck & Co., Inc. | Arylheteroaryl inhibitors of farnesyl-protein transferase |
| AU716381B2 (en) | 1996-04-03 | 2000-02-24 | Merck & Co., Inc. | Inhibitors of farnesyl-protein transferase |
| US20040122096A1 (en) | 1996-06-03 | 2004-06-24 | Hoechst Aktiengesellschaft | Use of inhibitors of the cellular Na+/H+ exchanger (NHE) for preparing a medicament for normalizing serum lipids |
| DE19622222A1 (en) | 1996-06-03 | 1997-12-04 | Hoechst Ag | Use of sodium=proton exchange inhibitor |
| KR100482268B1 (en) | 1996-08-01 | 2005-04-14 | 메르클레 게엠베하 | Acylpyrroldicarboxylic acids and acylindoldicarboxylic acids and their derivatives and inhibitors of the cytosolic phospholipase a2 |
| US5998462A (en) * | 1996-12-16 | 1999-12-07 | Allelix Biopharmaceuticals Inc. | 5-alkyl indole compounds |
| US6828344B1 (en) | 1998-02-25 | 2004-12-07 | Genetics Institute, Llc | Inhibitors of phospholipase enzymes |
| CN1298404A (en) | 1998-02-25 | 2001-06-06 | 遗传研究所有限公司 | Inhibitors of phospholipase A2 |
| US6500853B1 (en) | 1998-02-28 | 2002-12-31 | Genetics Institute, Llc | Inhibitors of phospholipase enzymes |
| DE19814838C2 (en) * | 1998-04-02 | 2001-01-18 | Asta Medica Ag | Indolyl-3-glyoxylic acid derivatives with anti-tumor effects |
| US6589954B1 (en) | 1998-05-22 | 2003-07-08 | Scios, Inc. | Compounds and methods to treat cardiac failure and other disorders |
| US6867209B1 (en) | 1998-05-22 | 2005-03-15 | Scios, Inc. | Indole-type derivatives as inhibitors of p38 kinase |
| AUPP433398A0 (en) | 1998-06-25 | 1998-07-16 | Australian National University, The | Compounds and processes |
| JP2000063354A (en) | 1998-08-21 | 2000-02-29 | Sumitomo Pharmaceut Co Ltd | Pyrrole derivatives |
| US6358992B1 (en) * | 1998-11-25 | 2002-03-19 | Cell Pathways, Inc. | Method of inhibiting neoplastic cells with indole derivatives |
| US6469006B1 (en) | 1999-06-15 | 2002-10-22 | Bristol-Myers Squibb Company | Antiviral indoleoxoacetyl piperazine derivatives |
| JP2001151771A (en) | 1999-09-10 | 2001-06-05 | Kyowa Hakko Kogyo Co Ltd | Nitrogen-containing aromatic heterocyclic derivatives |
| AU2252101A (en) | 1999-12-16 | 2001-06-25 | Eli Lilly And Company | New synthesis of SPLA2 inhibitors |
| NZ521389A (en) * | 2000-03-14 | 2005-06-24 | Upjohn Co | 2,3,4,5-tetrahydro-1H-[1,4]diazepino[1,7-a]indole compounds |
| WO2001083472A1 (en) | 2000-04-28 | 2001-11-08 | Acadia Pharmaceuticals, Inc. | Muscarinic agonists |
| US7026318B2 (en) | 2000-06-29 | 2006-04-11 | Shionogi & Co., Ltd. | Compounds exhibiting X-type sPLA2 inhibiting effect |
| ES2172415B2 (en) | 2000-07-28 | 2003-11-16 | Univ Madrid Complutense | TREATMENT OF GLAUCOMA AND OCULAR HYPERTENSION THROUGH A MELATONINE ANALOG. |
| WO2002072549A1 (en) | 2001-03-12 | 2002-09-19 | Millennium Pharmaceuticals, Inc. | Functionalized heterocycles as modulators of chemokine receptor function and methods of use therefor |
| WO2003027059A1 (en) * | 2001-09-18 | 2003-04-03 | Ishihara Sangyo Kaisha, Ltd. | Acid amide derivatives, process for producing these, and pest control agent containing these |
| CA2466665A1 (en) | 2001-11-09 | 2003-05-22 | Scios Inc. | Method to treat cystic fibrosis |
| US7632955B2 (en) | 2001-12-13 | 2009-12-15 | National Health Research Institutes | Indole compounds |
| US7528165B2 (en) | 2001-12-13 | 2009-05-05 | National Health Research Institutes | Indole compounds |
| BR0313825A (en) | 2002-08-29 | 2005-07-12 | Merck & Co Inc | Compound, pharmaceutical composition, method for treating type 2 diabetes mellitus in a mammal, and, compound use |
| EP1572693A1 (en) * | 2002-12-20 | 2005-09-14 | Pharmacia Corporation | Mitogen activated protein kinase-activated protein kinase-2 inhibiting compounds |
| EA010904B1 (en) | 2003-05-22 | 2008-12-30 | НЕРВИАНО МЕДИКАЛ САЙЕНСИЗ С.р.л. | Pyrazolo-quinazoline derivatives, process for their preparation and their use as kinase inhibitors |
| ATE458485T1 (en) * | 2003-07-11 | 2010-03-15 | Proteologics Inc | UBIQUITIN LIGASE INHIBITORS AND RELATED METHODS |
| CN100516041C (en) | 2003-07-15 | 2009-07-22 | 大日本住友制药株式会社 | Novel heteroaryl derivative |
| US7576206B2 (en) | 2003-08-14 | 2009-08-18 | Cephalon, Inc. | Proteasome inhibitors and methods of using the same |
| WO2005024416A1 (en) | 2003-09-05 | 2005-03-17 | Binghe Wang | Water soluble boronic acid fluorescent reporter compounds and methods of use thereof |
| WO2005025515A2 (en) | 2003-09-12 | 2005-03-24 | California Institute Of Technology | Proteasome pathway inhibitors and related methods |
| DE10348022A1 (en) * | 2003-10-15 | 2005-05-25 | Imtm Gmbh | New dipeptidyl peptidase IV inhibitors for the functional influence of different cells and for the treatment of immunological, inflammatory, neuronal and other diseases |
| WO2005044818A2 (en) * | 2003-10-28 | 2005-05-19 | Sepracor, Inc. | Imidazo[1,2-a]pyridine anxiolytics |
| TW200522944A (en) * | 2003-12-23 | 2005-07-16 | Lilly Co Eli | CB1 modulator compounds |
| US7417063B2 (en) | 2004-04-13 | 2008-08-26 | Bristol-Myers Squibb Company | Bicyclic heterocycles useful as serine protease inhibitors |
| EP2336113A1 (en) * | 2004-05-29 | 2011-06-22 | 7TM Pharma A/S | CRTH2 Receptor Ligands for Medical Use |
| US8197819B2 (en) | 2004-06-08 | 2012-06-12 | Novartis Vaccines And Diagnostics, Inc. | Env polypeptide complexes and methods of use |
| WO2005123671A1 (en) | 2004-06-22 | 2005-12-29 | Taisho Pharmaceutical Co., Ltd. | Pyrrole derivative |
| ES2246721B1 (en) | 2004-08-10 | 2007-03-16 | Laboratorios Del Dr. Esteve, S.A. | SUBSTITUTE INDOLIC COMPOUNDS, THEIR PREPARATION AND THEIR USE AS MEDICINES. |
| US20090264384A1 (en) | 2004-11-01 | 2009-10-22 | Nuada, Inc. | Indole, benzimidazole, and benzolactam boronic acid compounds, analogs thereof and methods of use thereof |
| US7531560B2 (en) * | 2004-11-10 | 2009-05-12 | Boehringer Ingelheim Pharmaceuticals, Inc. | Anti-cytokine heterocyclic compounds |
| CA2589896A1 (en) | 2004-11-30 | 2006-06-08 | Plexxikon, Inc. | Indole derivatives for use as ppar active compounds |
| GB0500492D0 (en) | 2005-01-11 | 2005-02-16 | Cyclacel Ltd | Compound |
| JPWO2006075638A1 (en) | 2005-01-14 | 2008-06-12 | 大日本住友製薬株式会社 | New heteroaryl derivatives |
| RU2410377C2 (en) | 2005-02-16 | 2011-01-27 | Солвей Фармасьютикалс Б.В. | 1 h-imidazole derivatives as modulators of cannabinoid cb2 receptors |
| AU2006251832A1 (en) * | 2005-05-27 | 2006-11-30 | Queen's University At Kingston | Treatment of protein folding disorders |
| PL1904455T3 (en) * | 2005-07-05 | 2012-01-31 | Hoffmann La Roche | Pyridazine derivatives |
| CN101268048A (en) | 2005-09-16 | 2008-09-17 | 瑟瑞耐克斯有限公司 | Carbazole derivatives |
| EP1783114A1 (en) | 2005-11-03 | 2007-05-09 | Novartis AG | N-(hetero)aryl indole derivatives as pesticides |
| EP1984334B1 (en) | 2006-02-15 | 2014-04-09 | Allergan, Inc. | Indole-3-carboxylic acid amide, ester, thioamide and thiol ester compounds bearing aryl or heteroaryl groups having sphingosine-1-phosphate (s1p) receptor antagonist biological activity |
| WO2007112322A2 (en) | 2006-03-28 | 2007-10-04 | Allergan, Inc. | Indole compounds having sphingosine-1-phosphate (s1p) receptor agonist and/or antagonist biological activity |
| KR100807393B1 (en) | 2006-06-05 | 2008-02-28 | 경상대학교산학협력단 | Method for preparing Ti-Ni-based warp functional alloy and Ti-Ni-based warp functional alloy manufactured therefrom |
| WO2008019139A2 (en) | 2006-08-04 | 2008-02-14 | Beth Israel Deaconess Medical Center | Inhibitors of pyruvate kinase and methods of treating disease |
| EP2610244A1 (en) | 2006-08-07 | 2013-07-03 | Ironwood Pharmaceuticals, Inc. | Indole compounds |
| US20080119457A1 (en) | 2006-08-24 | 2008-05-22 | Serenex, Inc. | Benzene, Pyridine, and Pyridazine Derivatives |
| EP1902733A1 (en) | 2006-09-19 | 2008-03-26 | Laboratorios Del Dr. Esteve, S.A. | Combination of a NMDA-receptor ligand and a compound with 5-HT6 receptor affinity |
| US8524917B2 (en) | 2007-01-11 | 2013-09-03 | Allergan, Inc. | 6-substituted indole-3-carboxylic acid amide compounds having sphingosine-1-phosphate (S1P) receptor antagonist biological activity |
| JP2010518025A (en) | 2007-02-05 | 2010-05-27 | アミラ ファーマシューティカルス,インコーポレーテッド | Reverse indole as a 5-lipoxygenase activating protein (FLAP) inhibitor |
| CN101687789A (en) * | 2007-02-12 | 2010-03-31 | 因特蒙公司 | Novel inhibitors hepatitis c virus replication |
| WO2008109702A1 (en) | 2007-03-08 | 2008-09-12 | Irm Llc | Compounds and compositions as modulators of gpr119 activity |
| CN101016294A (en) | 2007-03-13 | 2007-08-15 | 中国人民武装警察部队医学院 | Substituted indole-3-oxalamide derivative with multiple bioactivity |
| RU2009139931A (en) * | 2007-03-29 | 2011-05-10 | Асубио Фарма Ко., Лтд. (Jp) | DERIVATIVES OF INDOLA WITH INHIBITING ACTIVITY WITH RESPECT TO СPLA2, AND METHODS FOR PRODUCING THEM |
| US8091582B2 (en) | 2007-04-13 | 2012-01-10 | Cla-Val Co. | System and method for hydraulically managing fluid pressure downstream from a main valve between set points |
| EP2150112A1 (en) | 2007-04-26 | 2010-02-10 | Merck & Co., Inc. | 2-substituted indole derivatives as calcium channel blockers |
| WO2008141013A1 (en) | 2007-05-08 | 2008-11-20 | Allergan, Inc. | S1p3 receptor inhibitors for treating pain |
| WO2008147536A1 (en) | 2007-05-24 | 2008-12-04 | President And Fellows For Harvard College | Methods and compositions for enhancing proteasome activity |
| US20090118503A1 (en) | 2007-06-20 | 2009-05-07 | Kevin Sprott | Faah inhibitors |
| EP2018861A1 (en) | 2007-07-26 | 2009-01-28 | Laboratorios del Dr. Esteve S.A. | 5HT6-Ligands such as sulfonamide derivatives in drug-induced weight-gain |
| DE602007012080D1 (en) | 2007-08-01 | 2011-03-03 | Esteve Labor Dr | Combination of at least two 5-HT6 ligands |
| UA99729C2 (en) * | 2007-08-10 | 2012-09-25 | Х. Луннбек А/С | Heteroaryl amide analogues |
| JP2009098378A (en) | 2007-10-16 | 2009-05-07 | Olympus Imaging Corp | Lens barrel |
| DE102007051650B4 (en) | 2007-10-26 | 2011-01-05 | Eurocopter Deutschland Gmbh | Transport wheel for a helicopter |
| WO2009062118A2 (en) | 2007-11-07 | 2009-05-14 | Foldrx Pharmaceuticals, Inc. | Modulation of protein trafficking |
| JP5583592B2 (en) | 2007-11-30 | 2014-09-03 | ニューリンク ジェネティクス コーポレイション | IDO inhibitor |
| DK2767536T3 (en) | 2007-12-04 | 2015-10-19 | Hoffmann La Roche | Isoxazolo-pyridine derivatives |
| GB0723815D0 (en) | 2007-12-05 | 2008-01-16 | Glaxo Group Ltd | Compounds |
| JP2011507910A (en) | 2007-12-21 | 2011-03-10 | ユニバーシティー オブ ロチェスター | Methods for changing the lifetime of eukaryotes |
| JP2009179589A (en) | 2008-01-30 | 2009-08-13 | Pharma Ip | Antiviral agent |
| US8658685B2 (en) | 2008-01-31 | 2014-02-25 | Activesite Pharmaceuticals, Inc. | Methods for treatment of kallikrein-related disorders |
| WO2009108551A2 (en) | 2008-02-25 | 2009-09-03 | H. Lundbeck A/S | Heteroaryl amide analogues |
| AU2009218607B2 (en) | 2008-02-25 | 2014-02-13 | F. Hoffmann-La Roche Ag | Pyrrolopyrazine kinase inhibitors |
| AU2009225747A1 (en) | 2008-03-17 | 2009-09-24 | Allergan, Inc. | S1P3 receptor inhibitors for treating inflammation |
| EP2268143A4 (en) | 2008-03-20 | 2012-06-27 | Forest Lab Holdings Ltd | Novel piperidine derivatives as inhibitors of stearoyl-coa desaturase |
| CN102036953B (en) | 2008-03-24 | 2015-05-06 | 诺华股份有限公司 | Arylsulfonamide-based matrix metalloprotease inhibitors |
| US20090247766A1 (en) | 2008-03-27 | 2009-10-01 | University Of Southern California | Substituted Nitrogen Heterocycles and Synthesis and Uses Thereof |
| CN102066323B (en) * | 2008-04-16 | 2015-05-13 | 卡罗生物股份公司 | Novel estrogen receptor ligands |
| DK2626361T3 (en) | 2008-04-24 | 2015-01-19 | F2G Ltd | Pyrrol-Antimycotics |
| GB0808282D0 (en) | 2008-05-07 | 2008-06-11 | Medical Res Council | Compounds for use in stabilizing p53 mutants |
| EP2306825A4 (en) | 2008-06-26 | 2011-12-28 | Glaxosmithkline Llc | Inhibitors of akt activity |
| EP2315751A1 (en) | 2008-06-26 | 2011-05-04 | Amgen Inc. | Alkynyl alcohols as kinase inhibitors |
| EP2141163A1 (en) | 2008-07-02 | 2010-01-06 | Bayer Schering Pharma AG | Substituted thiazolidinones, their production and utilisation as medicine |
| US8026271B2 (en) * | 2008-07-11 | 2011-09-27 | National Health Research Institutes | Formulations of indol-3-yl-2-oxoacetamide compounds |
| CA2733588A1 (en) * | 2008-08-12 | 2010-02-18 | Merck Sharp & Dohme Corp. | N-heterocyclic m1 receptor positive allosteric modulators |
| US8143269B2 (en) * | 2008-10-03 | 2012-03-27 | Calcimedica, Inc. | Inhibitors of store operated calcium release |
| TW201026695A (en) | 2008-12-12 | 2010-07-16 | Astrazeneca Ab | Piperidine compounds and uses thereof-596 |
| WO2010107765A1 (en) | 2009-03-18 | 2010-09-23 | Schering Corporation | Bicyclic compounds as inhibitors of diacylglycerol acyltransferase |
| WO2010129553A1 (en) | 2009-05-05 | 2010-11-11 | Allergan, Inc. | S1p3 receptor inhibitors for treating conditions of the eye |
| GB0909441D0 (en) * | 2009-06-02 | 2009-07-15 | Univ Sheffield | Novel indole derivatives |
| EP2464227A4 (en) | 2009-08-10 | 2013-02-20 | Galenea Corp | Compounds and methods of use thereof |
| WO2011038579A1 (en) | 2009-09-30 | 2011-04-07 | Zhejiang Beta Pharma Inc. | Compounds and compositions as protein kinase inhibitors |
| EP2490688B1 (en) | 2009-10-19 | 2014-10-08 | Synta Pharmaceuticals Corp. | Combination cancer therapy with hsp90 inhibitory compounds |
| BR112012018631A8 (en) | 2010-01-28 | 2017-12-19 | President And Fellows Of Harvard Colege | compositions and methods for enhancing proteasome activity |
| US8785490B2 (en) | 2010-04-09 | 2014-07-22 | University Of Louisville Research Foundation, Inc. | Compounds for treating disease, for administering, and for pharmaceutical compositions |
| US20130156755A1 (en) | 2010-04-19 | 2013-06-20 | Synta Pharmaceuticals Corp. | Cancer therapy using a combination of a hsp90 inhibitory compounds and a vegf inhibitor |
| US9205086B2 (en) | 2010-04-19 | 2015-12-08 | Synta Pharmaceuticals Corp. | Cancer therapy using a combination of a Hsp90 inhibitory compounds and a EGFR inhibitor |
| NZ603364A (en) | 2010-04-22 | 2015-06-26 | Mars Inc | Inhibitors of arginase and their therapeutic applications |
| US20130171105A1 (en) | 2010-05-24 | 2013-07-04 | Synta Pharmaceuticals Corp. | Cancer therapy using a combination of a hsp90 inhibitory compound and a topoisomerase ii inhibitor |
| CA2808432C (en) | 2010-07-23 | 2019-06-04 | President And Fellows Of Harvard College | Tricyclic proteasome activity enhancing compounds with thieno[2,3-d]pyrimidine core |
| CH703559A2 (en) | 2010-08-05 | 2012-02-15 | Christoph Willi | Luggage. |
| WO2012037072A1 (en) | 2010-09-13 | 2012-03-22 | Synta Pharmaceuticals Corporation | Hsp90 inhibitors for treating non-small cell lung cancers in wild-type egfr and/or kras patients |
| US20140005145A1 (en) | 2010-12-08 | 2014-01-02 | Synta Pharmaceuticals Corp. | Combination breast cancer therapy with hsp90 inhibitory compounds |
| US20130331357A1 (en) | 2011-01-11 | 2013-12-12 | Synta Pharmaceuticals Corp. | Combination therapy of hsp90 inhibitory compounds with proteasome inhibitors |
| CA2825599C (en) | 2011-02-01 | 2021-07-13 | The Board Of Trustees Of The University Of Illinois | 4-methyl-n-hydroxybenzamide compounds as histone deacetylase (hdac) inhibitors |
| EP2678013A1 (en) | 2011-02-23 | 2014-01-01 | Synta Pharmaceuticals Corp. | Combination therapy of hsp90 inhibitory compounds with radiotherapy |
| US20140051665A1 (en) | 2011-02-24 | 2014-02-20 | Synta Pharmaceuticals Corp. | Prostate cancer therapy with hsp90 inhibitory compounds |
| US20140045908A1 (en) | 2011-02-25 | 2014-02-13 | Synta Pharmaceuticals Corp. | Hsp90 inhibitory compounds in treating jak/stat signaling-mediated cancers |
| ES2724531T3 (en) | 2011-05-12 | 2019-09-11 | Proteostasis Therapeutics Inc | Proteostasis Regulators |
| WO2012162293A1 (en) | 2011-05-23 | 2012-11-29 | Synta Pharmaceuticals Corp. | Combination therapy of hsp90 inhibitory compounds with mek inhibitors |
| EP2714038A1 (en) | 2011-05-24 | 2014-04-09 | Synta Pharmaceuticals Corp. | Combination therapy of hsp90 inhibitory compounds with mtor/pi3k inhibitors |
| EP2714033A1 (en) | 2011-05-26 | 2014-04-09 | Synta Pharmaceuticals Corp. | Combination therapy of hsp90 inhibitory compounds with chk inhibitors |
| US9260416B2 (en) | 2011-05-27 | 2016-02-16 | Amira Pharmaceuticals, Inc. | Heterocyclic autotaxin inhibitors and uses thereof |
| JP2014520808A (en) | 2011-07-07 | 2014-08-25 | シンタ ファーマシューティカルズ コーポレーション | Treatment of cancer using HSP90 inhibitor compounds |
| ES2461997T3 (en) | 2011-07-22 | 2014-05-22 | Université Joseph Fourier | New bis-indole derivatives, their uses, in particular as antibacterials |
| WO2013067165A1 (en) | 2011-11-02 | 2013-05-10 | Synta Pharmaceuticals Corp. | Combination therapy of hsp90 inhibitors with platinum-containing agents |
| US9439899B2 (en) | 2011-11-02 | 2016-09-13 | Synta Pharmaceuticals Corp. | Cancer therapy using a combination of HSP90 inhibitors with topoisomerase I inhibitors |
| US9402831B2 (en) | 2011-11-14 | 2016-08-02 | Synta Pharmaceutical Corp. | Combination therapy of HSP90 inhibitors with BRAF inhibitors |
-
2012
- 2012-05-10 ES ES12781736T patent/ES2724531T3/en active Active
- 2012-05-10 SM SM20190280T patent/SMT201900280T1/en unknown
- 2012-05-10 EP EP19156459.0A patent/EP3552664A1/en active Pending
- 2012-05-10 HU HUE12781736 patent/HUE044867T2/en unknown
- 2012-05-10 EP EP12781736.9A patent/EP2707101B1/en active Active
- 2012-05-10 SI SI201231593T patent/SI2707101T1/en unknown
- 2012-05-10 WO PCT/US2012/037340 patent/WO2012154967A1/en not_active Ceased
- 2012-05-10 US US13/468,757 patent/US9556166B2/en active Active
- 2012-05-10 PT PT12781736T patent/PT2707101T/en unknown
- 2012-05-10 CN CN201280031295.8A patent/CN103635230B/en active Active
- 2012-05-10 HR HRP20190867TT patent/HRP20190867T1/en unknown
- 2012-05-10 JP JP2014510469A patent/JP6208122B2/en active Active
- 2012-05-10 DK DK12781736.9T patent/DK2707101T3/en active
- 2012-05-10 PL PL12781736T patent/PL2707101T3/en unknown
- 2012-05-10 LT LTEP12781736.9T patent/LT2707101T/en unknown
- 2012-05-10 AU AU2012253402A patent/AU2012253402A1/en not_active Abandoned
- 2012-05-10 CA CA2835610A patent/CA2835610C/en not_active Expired - Fee Related
- 2012-05-10 RS RS20190577A patent/RS58718B1/en unknown
- 2012-05-10 TR TR2019/06779T patent/TR201906779T4/en unknown
-
2016
- 2016-06-10 AU AU2016203895A patent/AU2016203895B2/en not_active Ceased
-
2017
- 2017-01-10 US US15/402,628 patent/US10532996B2/en active Active
-
2019
- 2019-05-13 CY CY20191100513T patent/CY1121985T1/en unknown
- 2019-11-21 US US16/691,390 patent/US12180189B2/en active Active
Patent Citations (15)
| Publication number | Priority date | Publication date | Assignee | Title |
|---|---|---|---|---|
| US20070179087A1 (en) | 1998-01-23 | 2007-08-02 | National Jewish Medical And Research Center | Method for treating inflammatory diseases using heat shock proteins |
| US20050203019A1 (en) | 2001-10-09 | 2005-09-15 | Oregon Health & Science University | Pharmacoperones for correcting disease states involving protein misfolding |
| US20060148767A1 (en) | 2001-12-06 | 2006-07-06 | George Cioca | Use of acyl salicylates as heat shock inducers |
| US20050137223A1 (en) | 2003-11-12 | 2005-06-23 | Amicus Therapeutics, Inc. | Glucoimidazole and polyhydroxycyclohexenyl amine derivatives to treat gaucher disease |
| US20050130972A1 (en) | 2003-11-12 | 2005-06-16 | Amicus Therapeutics, Inc. | Hydroxy piperidine derivatives to treat gaucher disease |
| WO2005103000A1 (en) | 2004-04-20 | 2005-11-03 | Glaxo Group Limited | N-`4-4(4-morpholinyl) phenyl!-`(4-piperidinyl) methyl! carboxamide derivatives and their use as glycine transporter inhibitors |
| US20060264467A1 (en) | 2005-05-17 | 2006-11-23 | Benjamin Mugrage | Method for the treatment of Pompe disease using 1-deoxynojirimycin and derivatives |
| US20060287358A1 (en) | 2005-06-08 | 2006-12-21 | Brandon Wustman | Treatment of CNS disorders associated with mutations in genes encoding lysosomal enzymes |
| US20070207992A1 (en) | 2006-02-21 | 2007-09-06 | Board Of Trustees Of Michigan State University | Geldanamycin derivatives and method of use thereof |
| US20070259820A1 (en) | 2006-05-03 | 2007-11-08 | The Regents Of The University Of Michigan | Methods and reagents for activating heat shock protein 70 |
| US20080056994A1 (en) | 2006-05-16 | 2008-03-06 | Christine Kaneski | Assays For Diagnosing And Evaluating Treatment Options For Fabry Disease |
| US20070281975A1 (en) | 2006-05-24 | 2007-12-06 | Benjamin Mugrage | Tartrate Salt of Isofagomine and Methods of Use |
| US20080009516A1 (en) | 2006-06-23 | 2008-01-10 | Wustman Brandon A | Method for the treatment of neurological disorders by enhancing the activity of beta-glucocerebrosidase |
| US20080188453A1 (en) * | 2006-10-31 | 2008-08-07 | Adams Mark E | Mapk/erk kinase inhibitors |
| WO2010015816A2 (en) * | 2008-08-06 | 2010-02-11 | Summit Corporation Plc | Treatment of lysosomal storage disorders and other proteostatic diseases |
Non-Patent Citations (34)
| Title |
|---|
| AUBE, J. ET AL.: "Synthetic Aspects of an Asymmetric Nitrogen-Insertion Process: Preparation of Chiral, Non-Racemic Caprolactams and Valerolactams. Total Synthesis of (-)-Alloyohimbane", J. AM. CHEM. SOC., vol. 112, 1990, pages 4879 |
| B. H. LEE, NATURE, vol. 467, no. 9, 2010, pages 179 |
| BAASOV, T. ET AL.: "Model Compounds for the Study of Spectroscopic Properties of the Visial Pigments of Bacteriorhodopsin", J. AM. CHEM. SOC., vol. 107, 1985, pages 7524 |
| BADLAND, M.: "Thiophene and bioisostere derivatives as new MMP12 inhibitors", BIOORGANIC MED. CHEM LETT., vol. 21, 2011, pages 528, XP027566699 |
| BALCH ET AL., SCIENCE, vol. 319, 2008, pages 916 - 919 |
| BANIK, B. ET AL.: "Simple Synthesis of Substituted Pyrroles", J. ORG. CHEM, vol. 69, 2004, pages 213 |
| BERGE ET AL.: "Pharmaceutical Salts", JOURNAL OF PHARMACEUTICAL SCIENCES, vol. 69, no. 1, 1977, pages 1 - 19, XP002675560, DOI: doi:10.1002/jps.2600660104 |
| BIRMAN, V., D., ORG. LETT, vol. 9, 2007, pages 3237 |
| BOUVIER, CHEM BIOL, vol. 14, 2007, pages 241 - 242 |
| CEVC ET AL., BIOCHEM. BIOPHYS. ACTA, vol. 1368, 1998, pages 201 - 15 |
| COHEN ET AL., NATURE, vol. 426, 2003, pages 905 - 909 |
| DE FREITAS ET AL.: "Development of CoMFA and CoMSIA Models of Affinity and Selectivity For Indole Ligands of Cannabinoid CB1 and CB2 Receptors.", EUROPEAN JOUNNAL OF MEDICINAL CHEMISTRY., vol. 44, 2009, pages 2482 - 2496, XP026049346 * |
| FAN ET AL., NAT MED, vol. 5, 1999, pages 112 - 115 |
| FINAR, I. ET AL.: "Preparation and properties of some pyrazolyl ketones", J. CHEM. SOC. C: ORGANIC,, vol. 16, 1967, pages 1494 |
| GODDARD C. J.: "Antiinflammatory 1-Phenylpyrazole-4-Heteroarylalkanoic Acids", J. HETEROCYCLIC CHEM., October 1991 (1991-10-01), pages 1607, XP002058485, DOI: doi:10.1002/jhet.5570280625 |
| HANES, ADVANCED DRUG DELIVERY REVIEWS, vol. 28, 1997, pages 97 - 119 |
| JOHNSON; KELLY, ACCOUNTS OF CHEMICAL RESEARCH, vol. 38, 2005, pages 911 - 921 |
| LANGER, SCIENCE, vol. 249, 1990, pages 1527 |
| MENISHI, G. ET AL.: "Ring Contraction of a 5-Acetylpyrimidine into Pyrazoles but the Action of Substituted Hydrazines in Acidic Medium", J. HETEROCYCLIC CHEM., January 1986 (1986-01-01), pages 275 |
| MORIYAMA, K. ET AL.: "Effects of Introduction of Hydrophobic Group on Ribavirin Base on Mutation Induction and Anti-RNA Viral Activity", J. MED. CHEM., vol. 51, 2008, pages 159 |
| OOKAWA, A. ET AL.: "Asymmetric Synthesis of Optically Active threo- and erythro- Pyrrolidinylbenzyl Alcohol by the Highly Stereospecific Arylation of (S)-Proline and the Subsequent Highly Diastereoselective Reduction of the a-Amineo Ketone", J. CHEM. SOC. PERKIN TRANS. I, vol. 7, 1987, pages 1465 |
| PAUL ET AL., EUR. J. IMMUNOL., vol. 25, 1995, pages 3521 - 24 |
| POON, S. F.: "Discovery and Optimization of Substituted 1-(1 -Phenyl- 17f-pyrazol-3-yl)methanamines as Potent and Efficacious Type II Calcimimetics", J. MED. CHEM., vol. 52, 2009, pages 6535 |
| RON ET AL., NAT REV MOL CELL BIOL, vol. 8, 2007, pages 519 - 529 |
| SAWADA, Y. ET AL.: "Eight-Membered Oxygen Hetercycles by Brook Rearrangement-mediated [3+4] Annulation", ORG. LETT., vol. 6, 2004, pages 2277 |
| SAWKAR ET AL., PROC NATL ACAD SCI USA, vol. 99, 2002, pages 15428 - 15433 |
| SCHENON, P. ET AL.: "Reaction of 2-Dimethylaminomethylene-1,3-diones with Dinucleopholes. I. Synthesis of 1,5-Disubstituted 4-Acylpyrazoles", J. HETEROCYCLIC CHEM., November 1982 (1982-11-01), pages 1355 |
| See also references of EP2707101A4 |
| SITIA ET AL., NATURE, vol. 426, 2003, pages 891 - 894 |
| TETRAHEDRON LETT., vol. 46, 2005, pages 4539 |
| WESTERHEIDE ET AL., J BIOL CHEM, vol. 279, no. 53, 2004, pages 56053 - 60 |
| WESTERHEIDE ET AL., JBIOL CHEM, vol. 279, no. 53, 2004, pages 56053 - 60 |
| WISEMAN ET AL., CELL, vol. 131, 2007, pages 809 - 821 |
| WYNBERG, H. ET AL.: "A Convenient Route to Polythiophenes", SYN. COMM., vol. 14, 1984, pages 1 |
Cited By (17)
| Publication number | Priority date | Publication date | Assignee | Title |
|---|---|---|---|---|
| WO2016057572A1 (en) | 2014-10-06 | 2016-04-14 | Mark Thomas Miller | Modulators of cystic fibrosis transmembrane conductance regulator |
| US10544111B2 (en) | 2014-10-24 | 2020-01-28 | Takeda Pharmaceutical Company Limited | Heterocyclic compound |
| US10975043B2 (en) | 2014-10-24 | 2021-04-13 | Takeda Pharmaceutical Company Limited | Heterocyclic compound |
| US10214498B2 (en) | 2014-10-24 | 2019-02-26 | Takeda Pharmaceutical Company Limited | Heterocyclic compound |
| CN104478780A (en) * | 2014-11-17 | 2015-04-01 | 华东师范大学 | Acylpyrrole small-molecular organic compound, derivatives of organic compound as well as application and preparation method of acylpyrrole small-molecular organic compound and derivatives of organic compound |
| US10774064B2 (en) | 2016-06-02 | 2020-09-15 | Cadent Therapeutics, Inc. | Potassium channel modulators |
| US10717728B2 (en) | 2017-01-23 | 2020-07-21 | Cadent Therapeutics, Inc. | Potassium channel modulators |
| US10351553B2 (en) | 2017-01-23 | 2019-07-16 | Cadent Therapeutics, Inc. | Potassium channel modulators |
| US9975886B1 (en) | 2017-01-23 | 2018-05-22 | Cadent Therapeutics, Inc. | Potassium channel modulators |
| WO2020006296A1 (en) * | 2018-06-27 | 2020-01-02 | Proteostasis Therapeutics, Inc. | Proteasome activity enhancing compounds |
| WO2020006269A1 (en) * | 2018-06-27 | 2020-01-02 | Proteostasis Therapeutics, Inc. | Proteasome activity enhancing compounds |
| US11560385B2 (en) | 2018-06-27 | 2023-01-24 | Proteostasis Therapeutics, Inc. | Proteasome activity enhancing compounds |
| US11746098B2 (en) | 2018-06-27 | 2023-09-05 | Proteostasis Therapeutics, Inc. | Proteasome activity enhancing compounds |
| US12319698B2 (en) | 2018-06-27 | 2025-06-03 | Kineta, Inc. | Proteasome activity enhancing compounds |
| US11993586B2 (en) | 2018-10-22 | 2024-05-28 | Novartis Ag | Crystalline forms of potassium channel modulators |
| US11191747B2 (en) | 2019-04-03 | 2021-12-07 | Aligos Therapeutics, Inc. | Pyrrole compounds |
| US11771680B2 (en) | 2019-04-03 | 2023-10-03 | Aligos Therapeutics, Inc. | Pyrrole compounds |
Also Published As
| Publication number | Publication date |
|---|---|
| PT2707101T (en) | 2019-05-30 |
| HRP20190867T1 (en) | 2019-07-12 |
| RS58718B1 (en) | 2019-06-28 |
| US20170247355A1 (en) | 2017-08-31 |
| SMT201900280T1 (en) | 2019-07-11 |
| EP2707101A4 (en) | 2014-11-26 |
| AU2016203895B2 (en) | 2017-12-07 |
| AU2012253402A1 (en) | 2013-05-02 |
| CN103635230B (en) | 2017-10-31 |
| AU2016203895A1 (en) | 2016-06-30 |
| CN103635230A (en) | 2014-03-12 |
| EP2707101A1 (en) | 2014-03-19 |
| US20200299270A1 (en) | 2020-09-24 |
| SI2707101T1 (en) | 2019-06-28 |
| EP2707101B1 (en) | 2019-02-13 |
| PL2707101T3 (en) | 2019-10-31 |
| JP2014514362A (en) | 2014-06-19 |
| JP6208122B2 (en) | 2017-10-04 |
| LT2707101T (en) | 2019-05-27 |
| EP3552664A1 (en) | 2019-10-16 |
| ES2724531T3 (en) | 2019-09-11 |
| US9556166B2 (en) | 2017-01-31 |
| CA2835610A1 (en) | 2012-11-15 |
| DK2707101T3 (en) | 2019-05-13 |
| CY1121985T1 (en) | 2020-10-14 |
| TR201906779T4 (en) | 2019-05-21 |
| HUE044867T2 (en) | 2019-11-28 |
| CA2835610C (en) | 2017-03-14 |
| US10532996B2 (en) | 2020-01-14 |
| US20120316193A1 (en) | 2012-12-13 |
| US12180189B2 (en) | 2024-12-31 |
Similar Documents
| Publication | Publication Date | Title |
|---|---|---|
| AU2016203895B2 (en) | Proteostasis regulators | |
| AU2013358591B2 (en) | Pyrimido [4,5-b]quinoline-4,5 (3H,10H)-diones as nonsense mutation suppressors | |
| EP3013341A1 (en) | Methods of modulating cftr activity | |
| WO2012154880A1 (en) | Proteostasis regulators for treating cystic fibrosis and other protein misfolding diseases | |
| EP2753327A2 (en) | Amido compounds as ror-gamma-tmodulators and uses thereof | |
| WO2012154888A1 (en) | Compounds for treating protein folding disorders | |
| EP2806875B1 (en) | Proteasome activity modulating compounds | |
| Liu et al. | Synthesis and biological activity of chiral dihydropyrazole: potential lead for drug design | |
| AU2015270125B2 (en) | Naphthyridinedione derivatives | |
| JP2024112835A (en) | Proteasome activity enhancing compounds | |
| AU2011310078B2 (en) | Chromene derivatives | |
| EP3152208B1 (en) | Pyrimido[4,5-b]quinoline-4,5(3h,10h)-dione derivatives as suppressors of non-sens mutations | |
| CN101478989A (en) | Treatment agent for inflammatory bowel disease | |
| HK40014963A (en) | Proteostasis regulators | |
| WO2020257733A1 (en) | Histone demethylase inhibitors for treating cancers | |
| HK1195525B (en) | Proteostasis regulators | |
| HK1195525A (en) | Proteostasis regulators | |
| CN117865993B (en) | AAK1 inhibitor and its preparation and application |
Legal Events
| Date | Code | Title | Description |
|---|---|---|---|
| 121 | Ep: the epo has been informed by wipo that ep was designated in this application |
Ref document number: 12781736 Country of ref document: EP Kind code of ref document: A1 |
|
| ENP | Entry into the national phase |
Ref document number: 2012253402 Country of ref document: AU Date of ref document: 20120510 Kind code of ref document: A |
|
| ENP | Entry into the national phase |
Ref document number: 2835610 Country of ref document: CA |
|
| ENP | Entry into the national phase |
Ref document number: 2014510469 Country of ref document: JP Kind code of ref document: A |
|
| NENP | Non-entry into the national phase |
Ref country code: DE |
|
| WWE | Wipo information: entry into national phase |
Ref document number: 2012781736 Country of ref document: EP |




































































































































