WO2009149259A2 - Processes for preparing tetrahydroisoquinolines - Google Patents
Processes for preparing tetrahydroisoquinolines Download PDFInfo
- Publication number
- WO2009149259A2 WO2009149259A2 PCT/US2009/046259 US2009046259W WO2009149259A2 WO 2009149259 A2 WO2009149259 A2 WO 2009149259A2 US 2009046259 W US2009046259 W US 2009046259W WO 2009149259 A2 WO2009149259 A2 WO 2009149259A2
- Authority
- WO
- WIPO (PCT)
- Prior art keywords
- compound
- formula
- solution
- added
- mmol
- Prior art date
- Legal status (The legal status is an assumption and is not a legal conclusion. Google has not performed a legal analysis and makes no representation as to the accuracy of the status listed.)
- Ceased
Links
- 0 CN(CC(c(cc1)cc2c1C=CCC2)=O)Cc1cc(*)ccc1 Chemical compound CN(CC(c(cc1)cc2c1C=CCC2)=O)Cc1cc(*)ccc1 0.000 description 17
- KDVZJKOYSOFXRV-UHFFFAOYSA-N Cc1c(C)cc(B(O)O)cc1 Chemical compound Cc1c(C)cc(B(O)O)cc1 KDVZJKOYSOFXRV-UHFFFAOYSA-N 0.000 description 2
- IUULRFDJTPRMJA-GQCTYLIASA-N C/C=C(\C)/CNC Chemical compound C/C=C(\C)/CNC IUULRFDJTPRMJA-GQCTYLIASA-N 0.000 description 1
- XSAYZAUNJMRRIR-UHFFFAOYSA-N CC(c1cc(cccc2)c2cc1)=O Chemical compound CC(c1cc(cccc2)c2cc1)=O XSAYZAUNJMRRIR-UHFFFAOYSA-N 0.000 description 1
- JITMMOJVZLSWCO-UHFFFAOYSA-N CC1(C)OB(c2cc(CN(C)CC3c4cc5ccccc5cc4)c3cc2)OC1(C)C Chemical compound CC1(C)OB(c2cc(CN(C)CC3c4cc5ccccc5cc4)c3cc2)OC1(C)C JITMMOJVZLSWCO-UHFFFAOYSA-N 0.000 description 1
- DFIPVHZPHDZMAP-UHFFFAOYSA-N CC1c2ccc(C(CN(C)CC3=C4)C3=CCC4c3ccc(N)nn3)cc2C=CC1 Chemical compound CC1c2ccc(C(CN(C)CC3=C4)C3=CCC4c3ccc(N)nn3)cc2C=CC1 DFIPVHZPHDZMAP-UHFFFAOYSA-N 0.000 description 1
- ZRFJYAZQMFCUIX-UHFFFAOYSA-N CCc1cc(Br)ccc1 Chemical compound CCc1cc(Br)ccc1 ZRFJYAZQMFCUIX-UHFFFAOYSA-N 0.000 description 1
- MIYHYMAELOAKGI-UHFFFAOYSA-N CN(C1)Cc2cc(O)ccc2C1c1cc(cccc2)c2cc1 Chemical compound CN(C1)Cc2cc(O)ccc2C1c1cc(cccc2)c2cc1 MIYHYMAELOAKGI-UHFFFAOYSA-N 0.000 description 1
- DRXMVBDIWRFGMW-QWAKEFERSA-N CN(C[C@@H](c1cc(cccc2)c2cc1)C1=CC2)CC1=CC2OC Chemical compound CN(C[C@@H](c1cc(cccc2)c2cc1)C1=CC2)CC1=CC2OC DRXMVBDIWRFGMW-QWAKEFERSA-N 0.000 description 1
- FNVPQBKCUQYDIS-UHFFFAOYSA-N COC(C=C1)=CC(C2OCCO2)C1Br Chemical compound COC(C=C1)=CC(C2OCCO2)C1Br FNVPQBKCUQYDIS-UHFFFAOYSA-N 0.000 description 1
- XSICXVNRQNRRKR-NRFANRHFSA-N COC(N(C1)Cc2cc(OC)ccc2[C@@H]1c1cc(cccc2)c2cc1)=O Chemical compound COC(N(C1)Cc2cc(OC)ccc2[C@@H]1c1cc(cccc2)c2cc1)=O XSICXVNRQNRRKR-NRFANRHFSA-N 0.000 description 1
- QIMMUPPBPVKWKM-UHFFFAOYSA-N Cc1ccc(cccc2)c2c1 Chemical compound Cc1ccc(cccc2)c2c1 QIMMUPPBPVKWKM-UHFFFAOYSA-N 0.000 description 1
- CBHHTBBOJYMUMT-UHFFFAOYSA-N O=C(CBr)C(CC1)=Cc2c1cccc2 Chemical compound O=C(CBr)C(CC1)=Cc2c1cccc2 CBHHTBBOJYMUMT-UHFFFAOYSA-N 0.000 description 1
Classifications
-
- C—CHEMISTRY; METALLURGY
- C07—ORGANIC CHEMISTRY
- C07F—ACYCLIC, CARBOCYCLIC OR HETEROCYCLIC COMPOUNDS CONTAINING ELEMENTS OTHER THAN CARBON, HYDROGEN, HALOGEN, OXYGEN, NITROGEN, SULFUR, SELENIUM OR TELLURIUM
- C07F5/00—Compounds containing elements of Groups 3 or 13 of the Periodic Table
- C07F5/02—Boron compounds
- C07F5/04—Esters of boric acids
-
- A—HUMAN NECESSITIES
- A61—MEDICAL OR VETERINARY SCIENCE; HYGIENE
- A61P—SPECIFIC THERAPEUTIC ACTIVITY OF CHEMICAL COMPOUNDS OR MEDICINAL PREPARATIONS
- A61P13/00—Drugs for disorders of the urinary system
- A61P13/02—Drugs for disorders of the urinary system of urine or of the urinary tract, e.g. urine acidifiers
-
- A—HUMAN NECESSITIES
- A61—MEDICAL OR VETERINARY SCIENCE; HYGIENE
- A61P—SPECIFIC THERAPEUTIC ACTIVITY OF CHEMICAL COMPOUNDS OR MEDICINAL PREPARATIONS
- A61P13/00—Drugs for disorders of the urinary system
- A61P13/10—Drugs for disorders of the urinary system of the bladder
-
- A—HUMAN NECESSITIES
- A61—MEDICAL OR VETERINARY SCIENCE; HYGIENE
- A61P—SPECIFIC THERAPEUTIC ACTIVITY OF CHEMICAL COMPOUNDS OR MEDICINAL PREPARATIONS
- A61P15/00—Drugs for genital or sexual disorders; Contraceptives
- A61P15/08—Drugs for genital or sexual disorders; Contraceptives for gonadal disorders or for enhancing fertility, e.g. inducers of ovulation or of spermatogenesis
-
- A—HUMAN NECESSITIES
- A61—MEDICAL OR VETERINARY SCIENCE; HYGIENE
- A61P—SPECIFIC THERAPEUTIC ACTIVITY OF CHEMICAL COMPOUNDS OR MEDICINAL PREPARATIONS
- A61P15/00—Drugs for genital or sexual disorders; Contraceptives
- A61P15/10—Drugs for genital or sexual disorders; Contraceptives for impotence
-
- A—HUMAN NECESSITIES
- A61—MEDICAL OR VETERINARY SCIENCE; HYGIENE
- A61P—SPECIFIC THERAPEUTIC ACTIVITY OF CHEMICAL COMPOUNDS OR MEDICINAL PREPARATIONS
- A61P21/00—Drugs for disorders of the muscular or neuromuscular system
-
- A—HUMAN NECESSITIES
- A61—MEDICAL OR VETERINARY SCIENCE; HYGIENE
- A61P—SPECIFIC THERAPEUTIC ACTIVITY OF CHEMICAL COMPOUNDS OR MEDICINAL PREPARATIONS
- A61P25/00—Drugs for disorders of the nervous system
-
- A—HUMAN NECESSITIES
- A61—MEDICAL OR VETERINARY SCIENCE; HYGIENE
- A61P—SPECIFIC THERAPEUTIC ACTIVITY OF CHEMICAL COMPOUNDS OR MEDICINAL PREPARATIONS
- A61P25/00—Drugs for disorders of the nervous system
- A61P25/04—Centrally acting analgesics, e.g. opioids
-
- A—HUMAN NECESSITIES
- A61—MEDICAL OR VETERINARY SCIENCE; HYGIENE
- A61P—SPECIFIC THERAPEUTIC ACTIVITY OF CHEMICAL COMPOUNDS OR MEDICINAL PREPARATIONS
- A61P25/00—Drugs for disorders of the nervous system
- A61P25/06—Antimigraine agents
-
- A—HUMAN NECESSITIES
- A61—MEDICAL OR VETERINARY SCIENCE; HYGIENE
- A61P—SPECIFIC THERAPEUTIC ACTIVITY OF CHEMICAL COMPOUNDS OR MEDICINAL PREPARATIONS
- A61P25/00—Drugs for disorders of the nervous system
- A61P25/14—Drugs for disorders of the nervous system for treating abnormal movements, e.g. chorea, dyskinesia
-
- A—HUMAN NECESSITIES
- A61—MEDICAL OR VETERINARY SCIENCE; HYGIENE
- A61P—SPECIFIC THERAPEUTIC ACTIVITY OF CHEMICAL COMPOUNDS OR MEDICINAL PREPARATIONS
- A61P25/00—Drugs for disorders of the nervous system
- A61P25/14—Drugs for disorders of the nervous system for treating abnormal movements, e.g. chorea, dyskinesia
- A61P25/16—Anti-Parkinson drugs
-
- A—HUMAN NECESSITIES
- A61—MEDICAL OR VETERINARY SCIENCE; HYGIENE
- A61P—SPECIFIC THERAPEUTIC ACTIVITY OF CHEMICAL COMPOUNDS OR MEDICINAL PREPARATIONS
- A61P25/00—Drugs for disorders of the nervous system
- A61P25/22—Anxiolytics
-
- A—HUMAN NECESSITIES
- A61—MEDICAL OR VETERINARY SCIENCE; HYGIENE
- A61P—SPECIFIC THERAPEUTIC ACTIVITY OF CHEMICAL COMPOUNDS OR MEDICINAL PREPARATIONS
- A61P25/00—Drugs for disorders of the nervous system
- A61P25/24—Antidepressants
-
- A—HUMAN NECESSITIES
- A61—MEDICAL OR VETERINARY SCIENCE; HYGIENE
- A61P—SPECIFIC THERAPEUTIC ACTIVITY OF CHEMICAL COMPOUNDS OR MEDICINAL PREPARATIONS
- A61P25/00—Drugs for disorders of the nervous system
- A61P25/28—Drugs for disorders of the nervous system for treating neurodegenerative disorders of the central nervous system, e.g. nootropic agents, cognition enhancers, drugs for treating Alzheimer's disease or other forms of dementia
-
- A—HUMAN NECESSITIES
- A61—MEDICAL OR VETERINARY SCIENCE; HYGIENE
- A61P—SPECIFIC THERAPEUTIC ACTIVITY OF CHEMICAL COMPOUNDS OR MEDICINAL PREPARATIONS
- A61P25/00—Drugs for disorders of the nervous system
- A61P25/30—Drugs for disorders of the nervous system for treating abuse or dependence
-
- A—HUMAN NECESSITIES
- A61—MEDICAL OR VETERINARY SCIENCE; HYGIENE
- A61P—SPECIFIC THERAPEUTIC ACTIVITY OF CHEMICAL COMPOUNDS OR MEDICINAL PREPARATIONS
- A61P25/00—Drugs for disorders of the nervous system
- A61P25/30—Drugs for disorders of the nervous system for treating abuse or dependence
- A61P25/32—Alcohol-abuse
-
- A—HUMAN NECESSITIES
- A61—MEDICAL OR VETERINARY SCIENCE; HYGIENE
- A61P—SPECIFIC THERAPEUTIC ACTIVITY OF CHEMICAL COMPOUNDS OR MEDICINAL PREPARATIONS
- A61P25/00—Drugs for disorders of the nervous system
- A61P25/30—Drugs for disorders of the nervous system for treating abuse or dependence
- A61P25/34—Tobacco-abuse
-
- A—HUMAN NECESSITIES
- A61—MEDICAL OR VETERINARY SCIENCE; HYGIENE
- A61P—SPECIFIC THERAPEUTIC ACTIVITY OF CHEMICAL COMPOUNDS OR MEDICINAL PREPARATIONS
- A61P29/00—Non-central analgesic, antipyretic or antiinflammatory agents, e.g. antirheumatic agents; Non-steroidal antiinflammatory drugs [NSAID]
-
- A—HUMAN NECESSITIES
- A61—MEDICAL OR VETERINARY SCIENCE; HYGIENE
- A61P—SPECIFIC THERAPEUTIC ACTIVITY OF CHEMICAL COMPOUNDS OR MEDICINAL PREPARATIONS
- A61P3/00—Drugs for disorders of the metabolism
-
- A—HUMAN NECESSITIES
- A61—MEDICAL OR VETERINARY SCIENCE; HYGIENE
- A61P—SPECIFIC THERAPEUTIC ACTIVITY OF CHEMICAL COMPOUNDS OR MEDICINAL PREPARATIONS
- A61P3/00—Drugs for disorders of the metabolism
- A61P3/04—Anorexiants; Antiobesity agents
-
- A—HUMAN NECESSITIES
- A61—MEDICAL OR VETERINARY SCIENCE; HYGIENE
- A61P—SPECIFIC THERAPEUTIC ACTIVITY OF CHEMICAL COMPOUNDS OR MEDICINAL PREPARATIONS
- A61P43/00—Drugs for specific purposes, not provided for in groups A61P1/00-A61P41/00
-
- A—HUMAN NECESSITIES
- A61—MEDICAL OR VETERINARY SCIENCE; HYGIENE
- A61P—SPECIFIC THERAPEUTIC ACTIVITY OF CHEMICAL COMPOUNDS OR MEDICINAL PREPARATIONS
- A61P5/00—Drugs for disorders of the endocrine system
- A61P5/24—Drugs for disorders of the endocrine system of the sex hormones
-
- C—CHEMISTRY; METALLURGY
- C07—ORGANIC CHEMISTRY
- C07C—ACYCLIC OR CARBOCYCLIC COMPOUNDS
- C07C215/00—Compounds containing amino and hydroxy groups bound to the same carbon skeleton
- C07C215/02—Compounds containing amino and hydroxy groups bound to the same carbon skeleton having hydroxy groups and amino groups bound to acyclic carbon atoms of the same carbon skeleton
- C07C215/04—Compounds containing amino and hydroxy groups bound to the same carbon skeleton having hydroxy groups and amino groups bound to acyclic carbon atoms of the same carbon skeleton the carbon skeleton being saturated
- C07C215/20—Compounds containing amino and hydroxy groups bound to the same carbon skeleton having hydroxy groups and amino groups bound to acyclic carbon atoms of the same carbon skeleton the carbon skeleton being saturated the carbon skeleton being saturated and containing rings
-
- C—CHEMISTRY; METALLURGY
- C07—ORGANIC CHEMISTRY
- C07C—ACYCLIC OR CARBOCYCLIC COMPOUNDS
- C07C217/00—Compounds containing amino and etherified hydroxy groups bound to the same carbon skeleton
- C07C217/54—Compounds containing amino and etherified hydroxy groups bound to the same carbon skeleton having etherified hydroxy groups bound to carbon atoms of at least one six-membered aromatic ring and amino groups bound to acyclic carbon atoms or to carbon atoms of rings other than six-membered aromatic rings of the same carbon skeleton
- C07C217/56—Compounds containing amino and etherified hydroxy groups bound to the same carbon skeleton having etherified hydroxy groups bound to carbon atoms of at least one six-membered aromatic ring and amino groups bound to acyclic carbon atoms or to carbon atoms of rings other than six-membered aromatic rings of the same carbon skeleton with amino groups linked to the six-membered aromatic ring, or to the condensed ring system containing that ring, by carbon chains not further substituted by singly-bound oxygen atoms
- C07C217/58—Compounds containing amino and etherified hydroxy groups bound to the same carbon skeleton having etherified hydroxy groups bound to carbon atoms of at least one six-membered aromatic ring and amino groups bound to acyclic carbon atoms or to carbon atoms of rings other than six-membered aromatic rings of the same carbon skeleton with amino groups linked to the six-membered aromatic ring, or to the condensed ring system containing that ring, by carbon chains not further substituted by singly-bound oxygen atoms with amino groups and the six-membered aromatic ring, or the condensed ring system containing that ring, bound to the same carbon atom of the carbon chain
-
- C—CHEMISTRY; METALLURGY
- C07—ORGANIC CHEMISTRY
- C07C—ACYCLIC OR CARBOCYCLIC COMPOUNDS
- C07C223/00—Compounds containing amino and —CHO groups bound to the same carbon skeleton
- C07C223/02—Compounds containing amino and —CHO groups bound to the same carbon skeleton having amino groups bound to acyclic carbon atoms of the carbon skeleton
-
- C—CHEMISTRY; METALLURGY
- C07—ORGANIC CHEMISTRY
- C07D—HETEROCYCLIC COMPOUNDS
- C07D217/00—Heterocyclic compounds containing isoquinoline or hydrogenated isoquinoline ring systems
- C07D217/02—Heterocyclic compounds containing isoquinoline or hydrogenated isoquinoline ring systems with only hydrogen atoms or radicals containing only carbon and hydrogen atoms, directly attached to carbon atoms of the nitrogen-containing ring; Alkylene-bis-isoquinolines
- C07D217/04—Heterocyclic compounds containing isoquinoline or hydrogenated isoquinoline ring systems with only hydrogen atoms or radicals containing only carbon and hydrogen atoms, directly attached to carbon atoms of the nitrogen-containing ring; Alkylene-bis-isoquinolines with hydrocarbon or substituted hydrocarbon radicals attached to the ring nitrogen atom
-
- C—CHEMISTRY; METALLURGY
- C07—ORGANIC CHEMISTRY
- C07D—HETEROCYCLIC COMPOUNDS
- C07D237/00—Heterocyclic compounds containing 1,2-diazine or hydrogenated 1,2-diazine rings
- C07D237/02—Heterocyclic compounds containing 1,2-diazine or hydrogenated 1,2-diazine rings not condensed with other rings
- C07D237/06—Heterocyclic compounds containing 1,2-diazine or hydrogenated 1,2-diazine rings not condensed with other rings having three double bonds between ring members or between ring members and non-ring members
- C07D237/10—Heterocyclic compounds containing 1,2-diazine or hydrogenated 1,2-diazine rings not condensed with other rings having three double bonds between ring members or between ring members and non-ring members with hetero atoms or with carbon atoms having three bonds to hetero atoms with at the most one bond to halogen, e.g. ester or nitrile radicals, directly attached to ring carbon atoms
- C07D237/20—Nitrogen atoms
-
- C—CHEMISTRY; METALLURGY
- C07—ORGANIC CHEMISTRY
- C07D—HETEROCYCLIC COMPOUNDS
- C07D401/00—Heterocyclic compounds containing two or more hetero rings, having nitrogen atoms as the only ring hetero atoms, at least one ring being a six-membered ring with only one nitrogen atom
- C07D401/02—Heterocyclic compounds containing two or more hetero rings, having nitrogen atoms as the only ring hetero atoms, at least one ring being a six-membered ring with only one nitrogen atom containing two hetero rings
- C07D401/04—Heterocyclic compounds containing two or more hetero rings, having nitrogen atoms as the only ring hetero atoms, at least one ring being a six-membered ring with only one nitrogen atom containing two hetero rings directly linked by a ring-member-to-ring-member bond
-
- C—CHEMISTRY; METALLURGY
- C07—ORGANIC CHEMISTRY
- C07D—HETEROCYCLIC COMPOUNDS
- C07D413/00—Heterocyclic compounds containing two or more hetero rings, at least one ring having nitrogen and oxygen atoms as the only ring hetero atoms
- C07D413/02—Heterocyclic compounds containing two or more hetero rings, at least one ring having nitrogen and oxygen atoms as the only ring hetero atoms containing two hetero rings
- C07D413/10—Heterocyclic compounds containing two or more hetero rings, at least one ring having nitrogen and oxygen atoms as the only ring hetero atoms containing two hetero rings linked by a carbon chain containing aromatic rings
-
- C—CHEMISTRY; METALLURGY
- C07—ORGANIC CHEMISTRY
- C07F—ACYCLIC, CARBOCYCLIC OR HETEROCYCLIC COMPOUNDS CONTAINING ELEMENTS OTHER THAN CARBON, HYDROGEN, HALOGEN, OXYGEN, NITROGEN, SULFUR, SELENIUM OR TELLURIUM
- C07F5/00—Compounds containing elements of Groups 3 or 13 of the Periodic Table
- C07F5/02—Boron compounds
- C07F5/022—Boron compounds without C-boron linkages
-
- C—CHEMISTRY; METALLURGY
- C07—ORGANIC CHEMISTRY
- C07F—ACYCLIC, CARBOCYCLIC OR HETEROCYCLIC COMPOUNDS CONTAINING ELEMENTS OTHER THAN CARBON, HYDROGEN, HALOGEN, OXYGEN, NITROGEN, SULFUR, SELENIUM OR TELLURIUM
- C07F5/00—Compounds containing elements of Groups 3 or 13 of the Periodic Table
- C07F5/02—Boron compounds
- C07F5/025—Boronic and borinic acid compounds
Definitions
- the present disclosure generally relates to processes for preparing tetrahydroisoquinoliries, intermediates useful in the preparation of tetrahydroisoquinolines, processes for preparing such intermediates, and a crystalline form of 6-[(4S)-2-methyl-4-(naphthyl)- 1 ,2,3,4-tetrahydroisoquinolin-7-yl]pyridazin- 3-amine.
- the present disclosure also generally relates to pharmaceutical compositions comprising tetrahydroisoquinolines, methods of using tetrahydroisoquinolines in the treatment of depression and other conditions and methods for obtaining the crystalline form.
- Major depression is a condition of high prevalence and very high global burden.
- the prevalence of the disease in the US was estimated at over 6% in a twelve month period and 16 % over a lifetime (See, Kessler RC, CMu WG, Dernier O, Merikangas KR, Walters EE. Prevalence, severity, and comorbidity of 12-month DSM-IV disorders in the National Comorbidity Survey Replication. Arch. Gen. Psychiatry 2005; 62:617-627).
- the impact of the disorder is high with depression being the fourth leading cause of disease burden (See, Ustun JL, Ayuso-Mateos S, Chatterji C, Mathers C, Murray JL. Global burden of depressive disorders in the year 2000. British Journal of Psychiatry 2004; 184:386-392).
- There are many symptoms associated with major depression These symptoms generally fall into the two major categories of depressed mood and loss of interest and pleasure (anhedonia).
- the leading pharmacotherapies applied to depression are aimed at monoamine systems, primarily serotonin and norepinephrine.
- the response rate of typical antidepressants is reported to be on the order of 65% while remission from the disorder is only about 30% (See, Hirschfeld RM, Montgomery SA, Aguglia E, Amore M, et al. Partial response and nonresponse to antidepressant therapy: current approaches and treatment options. J. Clin. Psychiatry 2002; 63:826-837).
- the onset of action of drugs for depression is often long, on the order of 4 weeks to response. Accordingly, new drugs for treating depression, as well as other conditions, that improved response rate, remission or onset would represent an important improvement over current therapies.
- SSRIs selective serotonin reuptake inhibitors
- SNRIs serotonin-norepinephrine reuptake inhibitors
- TRUIs triple reuptake inhibitors
- Motivation, concentration and the ability to experience pleasure are regulated in part through central dopaminergic systems and they are also negatively impacted in depression.
- Subgroups of depressed patients have also been observed to have decreased cerebrospinal fluid (csf) levels of the dopamine metabolite homovanillic acid, suggesting decreased dopaminergic function in those patients.
- csf cerebrospinal fluid
- drugs that target the DAT, serotonin transporter (SERT), and norepinephrine transporter (NET).
- the drug would provide an optimal ratio of SERT, DAT and NET inhibition.
- SERT, DAT and NET occupancies are important pharmacological criteria for consideration.
- compounds are provided that lead to about 20-60% DAT occupancy while maintaining SERT occupancy greater than about 80%. It is also desired to provide processes for making tetrahydroisoquinolines, intermediates useful in the preparation of tetrahydroisoquinolines, and processes for preparing such intermediates.
- Formula II Represents Compound 2, (4S)-enantiomer of Compound 1 and Form N-I
- Form N- 1 can be repeatedly crystallized and provide high aqueous solubility and excellent purification capacity, thereby making it a suitable candidate for drug development.
- volume 960.39(9) A 3 Z, Calculated density 2, 1.267 g/cm 3 wherein measurement of free base crystalline form is at a temperature between about 20 °C to about 25 °C. Also, the present disclosure provides Form N-I, characterized by fractional atomic coordinates within the unit cell as listed in Table 3, Atomic Coordinates.
- the present disclosure provides Form N-I with characteristic peaks in the powder X-Ray diffraction pattern at values of two theta of 4.6 ⁇ 0.1 , 9.4 ⁇ 0.1, 10.6 + 0.1, 14.1 + 0.1, 15.4 + 0.1, 18.2 ⁇ 0.1, 19.5 + 0.1 at a temperature between about 20°C and about 25 °C, based on a high quality pattern collected with a diffractometer (CuKa) with a spinning capillary with 2 ⁇ calibrated with a National Institute of Standards and Technology (NIST) or other suitable standard. Also, the present disclosure provides Form N-I characterized by a melt with decomposition endotherm with onset typically in the range of 235-245 °C.
- the present disclosure provides substantially pure Form N-I . Also, the present disclosure provides pharmaceutical compositions comprising Form N- 1 and a pharmaceutically acceptable carrier or diluent. Also, the present disclosure provides pharmaceutical compositions comprising Form N- 1 in combination with one or more additional compounds having anti-depression activity.
- the present disclosure provides processes for making tetrahydroisoquinolines. Also, the present disclosure provides intermediates useful in the preparation of the tetrahydroisoquinolines. Also, the present disclosure provides processes for preparing such intermediates.
- FIG. 2 illustrates the differential scanning calorimetry pattern of Form N-I .
- FIG. 3 illustrates the Solid State Nuclear Magnetic Resonance (SSNMR) spectrum of Form N-I .
- d and 1 or (+) and (-) are employed to designate the sign of rotation of plane-polarized light by the compound, with (-) or 1 meaning that the compound is levorotatory and (+) or d, meaning the compound, is dextrorotatory.
- these compounds called stereoisomers, are identical except that they are mirror images of one another.
- a specific stereoisomer of a mirror image pair may also be referred to as an enantiomer, and a mixture of such isomers is often called an enantiomeric mixture.
- the term "chiral” refers to molecules which have the property of non- superimposability of the mirror image partner, while the term “achiral” refers to molecules which are superimposable on their mirror image partner.
- derivative means a chemically modified compound wherein the modification is considered routine by the ordinary skilled chemist, such as an ester or an amide of an acid, protecting groups, such as a benzyl group for an alcohol or thiol, and tert-butoxycarbonyl group for an amine.
- enantiomers refers to two stereoisomers of a compound which are non-superimposable mirror images of one another.
- halogen as used herein and in the claims is intended to include fluorine, bromine, chlorine and iodine while the term “halide” is intended to include fluoride, bromide, chloride and iodide anion.
- composition means a composition comprising Form N-I in combination with at least one additional pharmaceutical carrier, i.e., adjuvant, excipient or vehicle, such as diluents, preserving agents, fillers, flow regulating agents, disintegrating agents, wetting agents, emulsifying agents, suspending agents, sweetening agents, flavoring agents, perfuming agents, antibacterial agents, antifungal agents, lubricating agents and dispensing agents, depending on the nature of the mode of administration and dosage forms.
- additional pharmaceutical carrier i.e., adjuvant, excipient or vehicle, such as diluents, preserving agents, fillers, flow regulating agents, disintegrating agents, wetting agents, emulsifying agents, suspending agents, sweetening agents, flavoring agents, perfuming agents, antibacterial agents, antifungal agents, lubricating agents and dispensing agents, depending on the nature of the mode of administration and dosage forms.
- pharmaceutically acceptable is employed herein to refer to those compounds, materials, compositions, and/or dosage forms which are, within the scope of sound medical judgment, suitable for use in contact with the tissues of human beings and animals without excessive toxicity, irritation, allergic response, or other problem or complication commensurate with a reasonable risk/benefit ratio.
- pharmaceutically acceptable salt is intended to include nontoxic salts synthesized from a compound which contains a basic or acidic moiety by conventional chemical methods.
- such salts can be prepared by reacting the free acid or base forms of these compounds with a stoichiometric amount of the appropriate base or acid, respectively, in water or in an organic solvent, or in a mixture of the two; generally, nonaqueous media like ether, ethyl acetate, ethanol, isopropanol, or acetonitrile are preferred. Lists of suitable salts are found in Remington's Pharmaceutical Sciences, 18th ed., Mack Publishing Company, Easton, Pa., 1990, p. 1445.
- Suitable inorganic bases such as alkali and alkaline earth metal bases include The term "polymorph" refers to crystalline forms having the same chemical composition but different spatial arrangements of the molecules, atoms, and/or ions forming the crystal.
- racemic mixture and “racemate” refer to an equimoiar mixture of two enantiomeric species, devoid of optical activity.
- racemic mixture and “racemate” are intended to include equimoiar mixtures of two enantiomers.
- solvate means a physical association of a compound of this disclosure with one or more solvent molecules. This physical association includes hydrogen bonding. In certain instances the solvate will be capable of isolation, for example when one or more solvent molecules are incorporated in the crystal lattice of the crystalline solid.
- Solvate encompasses both solution-phase and isolable solvates. Exemplary solvates include hydrates, ethanolates, methanolates, and the like.
- stereoisomers refers to compounds which have identical chemical constitution, but differ with regard to the arrangement of the atoms or groups in space.
- substantially pure refers to chemical purity and form purity.
- substantially pure Form N-I comprises at least about 95 wt%, preferably at least about 98 wt%, more preferably at least about 99 wt% of Form N-I and less than about 5 wt%, preferably less than about 2 wt%, and more preferably less than about 1 wt% of other compounds having a different chemical structure than Compound 2.
- substantially pure Form N-I comprises at least about 95 wt%, preferably at least about 98 wt%, more preferably at least about 99 wt% of Form N-I and less than about 5 wt%, preferably less than about 2 wt%, and more preferably less than about 1 wt% of any other crystalline form of Compound 2. This means that the Form N-I preferably contains less than about 5 wt% of other compounds, and less than about 5wt% of any other form (also referred to as "phase homogenicity").
- terapéuticaally effective amount means the total amount of Form N-I that is sufficient to show a meaningful patient benefit.
- the term refers to that ingredient alone.
- the term refers to combined amounts of the active ingredients that result in the therapeutic effect, whether administered in combination, serially or simultaneously.
- Form N-I is used in combination with another medication, i.e., drug
- the combination of compounds described herein may result in a synergistic combination. Synergy, as described for example by Chou and Talalay, Adv. Enzyme Regul. 1984, 22, 27-55, occurs when the effect of the compounds when administered in combination is greater than the effect of the compounds when administered alone as single agents.
- treating refers to: (i) preventing a disease, disorder or condition from occurring in a patient which may be predisposed to the disease, disorder and/or condition but has not yet been diagnosed as having it; (ii) inhibiting the disease, disorder or condition, i.e., arresting its development; and (iii) relieving the disease, disorder or condition, i.e., causing regression of the disease, disorder and/or condition.
- ACN acetonitrile
- AcOH and HOAc acetic acid
- Boc t-butoxycarbonyl
- CSA camphorsulfonic acid
- DMAP 4-JV,iV-dimethylammopyridme
- DMF JV,N-dimethylformarnide
- DIPEA diisopropylethylamine
- DPPA diphenylphosphoryl azide
- DMSO dimethyl sulfoxide
- IPAc isopropyl acetate
- MSA methanesulfonic acid
- NBS N-bromosuccinamide
- TFA trifluoroacetic acid
- THF tetrahydrofuran
- Crystalline forms may be prepared by a variety of methods, including for example, crystallization or recrystallization from a suitable solvent, sublimation, growth from a melt, solid state transformation from another phase, crystallization from a supercritical fluid, and jet spraying, Techniques for crystallization or recrystallization of crystalline forms from a solvent mixture include, for example, evaporation of the solvent, decreasing the temperature of the solvent mixture, crystal seeding a supersaturated solvent mixture of the molecule and/or salt, freeze drying the solvent mixture, and addition of antisolvents (countersolvents) to the solvent mixture. High throughput crystallization techniques may be employed to prepare crystalline forms including polymorphs. Crystals of drugs, including polymorphs, methods of preparation, and characterization of drug crystals are discussed in Solid-State
- solvent for crystallization techniques that employ solvent, the choice of solvent or solvents is typically dependent upon one or more factors, such as solubility of the compound, crystallization technique, and vapor pressure of the solvent, or the ability to afford a substantially pure crystalline form.
- Combinations of solvents maybe employed, for example, the compound may be solubilized into a first solvent to afford a solution, followed by the addition of an antisolvent to decrease the solubility of the compound in the solution and to afford the formation of crystals.
- An antisolvent is a solvent in which the compound has low solubility.
- a compound is suspended and/or stirred in a suitable solvent to afford a slurry, which may be heated to promote complete or partial dissolution.
- a suitable solvent to afford a slurry, which may be heated to promote complete or partial dissolution.
- slurry means a saturated solution of the compound, which may also contain an additional amount of the compound to afford a heterogeneous mixture of the compound and a solvent at a given temperature.
- Seed crystals may be added to any crystallization mixture to promote crystallization. Seeding may be employed to control growth of a particular polymorph or to control the particle size distribution of the crystalline product and/or afford a substantially pure crystalline form. Accordingly, calculation of the amount of seeds needed depends on the size of the seed available and the desired size of an average product particle as described, for example, in "Programmed Cooling of Batch Crystallizers," J.W. Mullin and J. Nyvlt, Chemical Engineering Science, 1971, 26, 369-317. In general, seeds of small size are needed to control effectively the growth of crystals in the batch. Seed of small size may be generated by sieving, milling, or micronizing of large crystals, or by micro-crystallization of solutions. Care should be taken that milling or micronizing of crystals does not result in any change in crystallinity of the desired crystal form (i.e., change to amorphous or to another polymorph).
- a cooled crystallization mixture may be filtered under vacuum, and the isolated solids may be washed with a suitable solvent, such as cold recrystallization solvent, and dried under a nitrogen purge to afford the desired crystalline form.
- the isolated solids may be analyzed by a suitable spectroscopic or analytical technique, such as solid state nuclear magnetic resonance, X-Ray powder diffraction, or the like, to assure formation of the preferred crystalline form of the product.
- the resulting crystalline form is typically produced in an amount of greater than about 70 weight percent isolated yield, preferably greater than 90 weight percent isolated yield, based on the weight of the compound originally employed in the crystallization procedure.
- the product may be co-milled or passed through a mesh screen to delump the product, if necessary.
- Crystalline forms may be prepared, for example, directly from the reaction medium of the process for preparing Compound 2. This may be achieved, for example, by employing in the final process step a solvent or a mixture of solvents from which Form N-I may be crystallized. Alternatively, crystalline forms may be obtained by distillation or solvent addition techniques.
- Suitable solvents for this purpose include, for example, non-polar solvents and polar solvents, including protic polar solvents such as alcohols, and aprotic polar solvents such as ketones, the details and selection of which are known to those skilled in the art..
- the presence of more than one polymorph in a sample may be determined by techniques such as powder X-Ray diffraction (PXRD) or solid state nuclear magnetic resonance spectroscopy (SSNMR).
- PXRD powder X-Ray diffraction
- SSNMR solid state nuclear magnetic resonance spectroscopy
- the presence of extra peaks in an experimentally measured PXRD pattern when compared with a simulated PXRD pattern may indicate more than one polymorph in the sample.
- the simulated PXRD maybe calculated from single crystal X-Ray data, see Smith, D.K., "A FORTRAN Program for Calculating X-Ray Powder Diffraction Patterns, " Lawrence Radiation Laboratory, Livermore, California, UCRL-7196 (April 1963).
- Form N- 1 has phase homogeneity indicated by less than 5 percent, preferably less than 2 percent, and more preferably less than 1 percent of the total peak area in the experimentally measured PXRD pattern arising from the extra peaks that are absent from a simulated PXRD pattern.
- the crystallization technique provides a product consisting essentially of Form N-I.
- the crystallized material preferably comprises at least 95 wt% of Form N-I, based on the weight of Compound 2 in the composition.
- the remaining material may comprise other form(s) of the compound and/or reaction impurities and/or processing impurities arising from its preparation.
- the presence of reaction impurities and/or processing impurities may be determined by analytical techniques known in the art, such as, for example, chromatography, nuclear magnetic resonance spectroscopy, mass spectrometry, or infrared spectroscopy.
- Form N-I can be characterized using various techniques, which are well known to those of ordinary skill in the art. Examples of characterization methods include, but are not limited to, single crystal X-Ray diffraction, powder X-Ray diffraction (PXRD), simulated powder X-Ray patterns (Yin, S.; Scaringe, R. P.; DiMarco, J.; Galella, M. and Gougoutas, J. Z., American Pharmaceutical Review, 2003, 6, 2, 80), differential scanning calorimetry (DSC), solid-state 13 C NMR (Earl, W.L. and Van der Hart, D. L., J. Magn.
- characterization methods include, but are not limited to, single crystal X-Ray diffraction, powder X-Ray diffraction (PXRD), simulated powder X-Ray patterns (Yin, S.; Scaringe, R. P.; DiMarco, J.; Galella, M. and Gougoutas, J. Z., American Pharmaceutical Review, 2003
- Another means of characterizing the crystalline structure is by powder X-Ray diffraction analysis in which the diffraction profile is compared to a simulated profile representing pure powder material, both run at the same analytical temperature, and measurements for the subject form characterized as a series of 2 ⁇ values.
- an X-Ray diffraction pattern may be obtained with a measurement of error that is dependent upon the measurement conditions employed.
- intensities in an X-Ray diffraction pattern may fluctuate depending upon measurement conditions employed.
- relative intensities may also vary depending upon experimental conditions, and, accordingly, the exact order of intensity should not be taken into account.
- a measurement error of diffraction angle for a conventional X-Ray diffraction pattern is typically about 5 percent or less, and such degree of measurement error should be taken into account as pertaining to the aforementioned diffraction angles.
- crystal forms of the present disclosure are not limited to the crystal forms that provide X-Ray diffraction patterns completely identical to the X- Ray diffraction patterns depicted in the accompanying Figures disclosed herein. Any crystal form that provides an X-Ray diffraction pattern, and DSC thermogram substantially identical to those disclosed in the accompanying Figures fall within the scope of the present disclosure. The ability to ascertain substantial identities of X- Ray diffraction patterns is within the purview of one of ordinary skill in the art.
- Certain of the compounds of the disclosure e.g., Compound 1, Compound 2 or Form N-I , alone or in combination with other compounds, maybe used to treat depression.
- Form N- 1 may be used to treat other conditions, such as, for example, neurological conditions, psychiatric conditions and immunological conditions, e.g., anxiety disorders, pain, ADD, smoking cessation and obesity.
- Form N-I alone or in combination with other compounds, i.e., drugs, can be used to treat patients afflicted with various conditions (also referred to as "disorders") by administering to said patients a dose of a pharmaceutical composition provided herein.
- the processes disclosed herein have utility in making tetrahydroisoquinolines, and intermediates useful in the preparation of tetrahydroisoquinolines.
- the intermediates have utility in making the tetrahydroisoquinolines of the present disclosure, e.g., Compound 1, Compound 2, and Form N-I, as well as other compounds.
- the present disclosure also provides pharmaceutical compositions comprising a therapeutically effective amount of Form N-I and at least one pharmaceutically acceptable carrier.
- the active ingredient, i.e., Form N-I in such compositions typically comprises from 0, 1 weight percent to 99.9 percent by weight of the composition, and often comprises from about 5 to 95 weight percent.
- the pH of the formulation may be adjusted with pharmaceutically acceptable modifiers (such as calcium carbonate and magnesium oxide) to enhance the stability of the formulated compound or its delivery form.
- Formulations of the polymorph of the present disclosure may also contain additives for enhancement of absorption and bioavailability, or to improve the formulation process.
- compositions of this disclosure may be administered orally (as a solution or solid formulation), parenterally or via an implanted reservoir.
- parenteral as used herein includes subcutaneous, intracutaneous, intravenous, mtramuscular,intra-articular, intrasynovial, intrasternal, intrathecal, and intralesional injection or infusion techniques.
- compositions may be in the form of a sterile injectable preparation, for example, as a sterile injectable aqueous or oleaginous suspension.
- This suspension may be formulated according to techniques known in the art using suitable dispersing or wetting agents and suspending agents. The details concerning the preparation of such compounds are known to those skilled in the art.
- the pharmaceutical compositions of this disclosure may be administered in any orally acceptable dosage form including, but not limited to, capsules, tablets, and aqueous suspensions and solutions.
- carriers which are commonly used include lactose and corn starch.
- Lubricating agents, such as magnesium stearate, can also be added.
- useful carriers/diluents include lactose, high and low molecular weight polyethylene glycol, and dried corn starch.
- aqueous suspensions are administered orally, the active ingredient is combined with emulsifying and suspending agents. If desired, certain sweetening and/or flavoring and/or coloring agents may be added.
- Form N-I may be determined by a skilled medical practitioner. Specific dosage and treatment regimens for any particular patient will depend upon a variety of factors, including the activity of the specific compound employed, the age, body weight, general health status, gender, diet, time of administration, the duration of treatment, rate of excretion, drug combination, the severity and course of the condition, the patient's disposition to the condition and the judgment of the treating physician.
- Rj is selected from the group consisting of Br and H3CO.
- Rj is selected from the group consisting of Br and H3CO.
- One such compound has the following formula:
- Rj is selected from the group consisting of Br and H3CO.
- Rj is selected from the group consisting of Br and H3CO.
- One such compound has the following formula:
- R_2 is selected from the group consisting of Br, H3CO and HO.
- R_2 is selected from the group consisting of Br, H3CO and HO.
- One such compound has the following formula:
- R3 is selected from the group consisting of
- R 4 is C 1 -C 4 alky, aryl or phenyl, and n is 1 or 2.
- R 4 is C 1 -C 4 alky, aryl or phenyl, and n is 1 or 2.
- One such compound has the following formula:
- each R 5 is independently selected from the group consisting of hydrogen t- butoxycarbonyl, carboxybenzyl, para-methoxybenzylcarbonyl, para-methoxybenzyl, 2,4-dimethoxybenzyl, benzyl, 9-fluorenylmethyloxycarbonyl, N-phthalimide, COCH3 and COCF3.
- R 5 when reference is made to the R5 substituent on a compound of the disclosure, more typically R 5 will be selected from the group consisting of hydrogen t-butoxycarbonyl, carboxybenzyl, para- methoxybenzylcarbonyi, para-methoxybenzyl and 2,4-dimethoxybenzyl, and even more typically R 5 will be t-butoxycarbonyl.
- R 5 One such compound has the following formula:
- each R5 is independently selected from the group consisting of hydrogen, X- butoxycarbonyl, carboxybenzyl, para-methoxybenzylcarbonyl, para-methoxybenzyl, 2,4-dimethoxybenzyl, benzyl, 9-fluorenylmethyloxycarbonyl, N-phthalimide, COCH3 and COCF3
- R5 is independently selected from the group consisting of hydrogen, X- butoxycarbonyl, carboxybenzyl, para-methoxybenzylcarbonyl, para-methoxybenzyl, 2,4-dimethoxybenzyl, benzyl, 9-fluorenylmethyloxycarbonyl, N-phthalimide, COCH3 and COCF3
- each R 5 is independently selected from the group consisting of hydrogen, t- butoxycarbonyl, carboxybenzyl, para-methoxybenzylcarbonyl, para-methoxybenzyl, 2,4-dimethoxybenzyl, benzyl, 9-fluorenylmethyloxycarbonyl, N-phthalimide, COCH 3 and COCF3.
- R 5 is independently selected from the group consisting of hydrogen, t- butoxycarbonyl, carboxybenzyl, para-methoxybenzylcarbonyl, para-methoxybenzyl, 2,4-dimethoxybenzyl, benzyl, 9-fluorenylmethyloxycarbonyl, N-phthalimide, COCH 3 and COCF3.
- One such compound has the following formula:
- each R5 is independently selected from the group consisting of hydrogen, t- butoxycarbonyl, carboxybenzyl, para-methoxybenzylcarbonyl, para-methoxybenzyl, 2,4-dimethoxybenzyl, benzyl, 9-fluorenylmethyloxycarbonyl, N-phthalimide, COCH3 and COCF 3 , and X is selected from the group consisting of Cl, Br, I and trifluoromethanesulfonyloxy.
- One such compound has the following formula:
- R 6 is selected from the group consisting of CJ-C 4 alkyl, benzyl, para- methoxybenzyl, 2,4-dimethoxybenzyl, 3,4-dimethoxybenzyl, and silyl protecting groups such as, but not limited to, tert-butyldimethylsilyl, tert-butyldiphenylsilyl, and triisopropylsilyl.
- R 6 is CH3
- each R 5 is independently selected from the group consisting of hydrogen, t- butoxycarbonyl, carboxybenzyl, para-methoxybenzylcarbonyl, para-methoxybenzyl, 2,4-dimethoxybenzyl, benzyl, 9-fluorenylmethyloxycarbonyl, N-phthalimide, COCH 3 and COCF 3 .
- One such compound has the following formula:
- R2 is selected from the group consisting of Br, H 3 CO and HO, comprising reacting a compound having the formula:
- R] is selected from Br or H 3 CO, under conditions effective to promote the formation of Compound 17R.
- R 2 is selected from the group consisting of Br, H 3 CO and HO, under conditions effective to promote the formation of a compound having the formula;
- R ⁇ is selected from
- R4 is C 1 -C 4 alky, aryl or phenyl, and n is 1 or 2, and reacting Compound 18 R under conditions effective to promote the formation of compound r ⁇ c-1.
- each R 5 is independently selected from the group consisting of hydrogen, t- butoxycarbonyl, carboxybenzyl, para-methoxybenzylcarbonyl, para-methoxybenzyl, 2,4-dimethoxybenzyl, benzyl, 9-fluorenylmethyloxycarbonyl, N-phthalimide, COCH 3 and COCF 3 , under conditions effective to promote the formation of Compound 2.
- R 3 is selected from the group consisting of
- R 4 is C 1 -C 4 alky, aryl or phenyl, and n is 1 or 2, under conditions effective to promote the formation of compound rac-1.
- R 6 is selected from the group consisting of C 1 -C 4 alkyl, benzyl, para- methoxybenzyl, 2,4-dimethoxybenzy3, 3,4-dimethoxybenzyl, tert-butyldimethylsilyl, tert-butyldiphenylsilyl, and triisopropylsilyl,
- R 6 is selected from the group consisting of C 1 -C 4 alkyl, benzyl, para- methoxybenzyl, 2,4-dimethoxybenzyI, 3,4-dimethoxybenzyl, tert-butyldimethyisilyl, tert-butyldiphenylsilyl, and triisopropylsilyl,
- R 6 is selected from the group consisting of CJ-C 4 alkyl, benzyl, para- methoxybenzyl, 2,4-dimethoxybenzyl, 3,4-dimethoxybenzyl, tert-butyldimethylsilyl, /ert-butyldiphenylsilyl, and triisopropylsilyl, comprising reacting a compound of formula
- the compounds of the present disclosure may be prepared, for example, by the processes described in the following reaction Schemes. Exemplary reagents and procedures for these reactions appear hereinafter or are described above. Starting materials are commercially available or can be readily prepared by one of ordinary skill in the art. The conditions effective to promote the formation of the desired compounds, e.g., solvents, reagents, acids, salts, protecting groups, techniques, catalysts, pressures, temperatures, reaction times, and the like, can be readily determined those skilled in the art. The following are non- limiting examples of reaction schemes that can be used to prepare compounds of the disclosure, including without limitation Compound 2 and Form N-L Representative synthesis schemes are illustrated below.
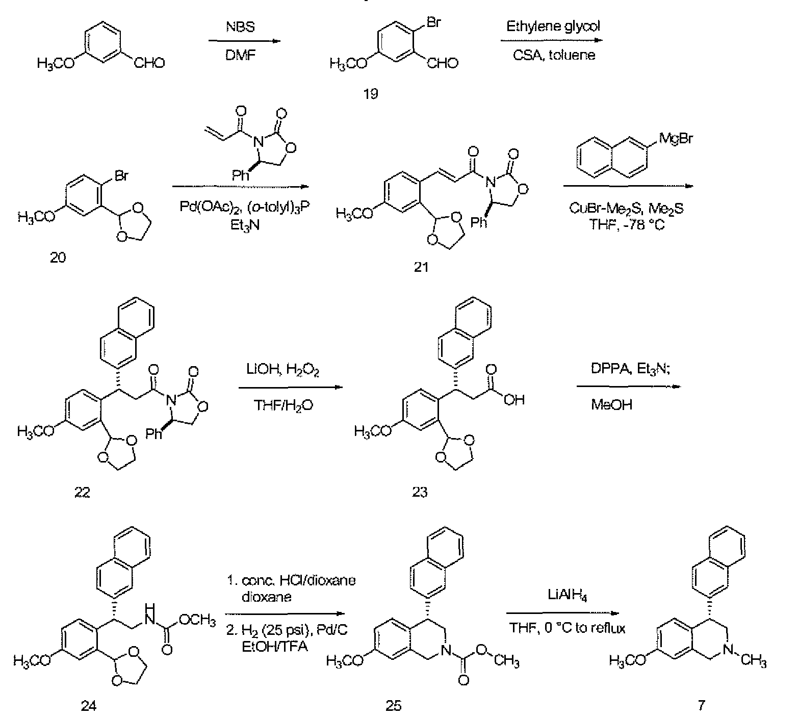
- Preparation of Compound 2 The synthesis of Compound 2 can utilize a general approach for C-7 and C-4 substituted tetrahydroisoquinolines.
- a functional handle at C-7 allows the installation of the heterocycle using a palladium-catalyzed Suzuki coupling and the aryl subsititutent at C-4 is incorporated from commercially available starting materials.
- a preferred synthesis begins with the reductive animation of commercially available m-anisealdehyde using methyl amine and sodium bororhydride in an appropriate solvent such as a mixture of methanol and water to afford Compound 3 in quanatiative yield (Synthesis Scheme 1).
- the methoxy group will be the functional handle for installation of the C-7 pyridazine heterocycle.
- m- bromobenzaldehyde has been demonstrated to be a suitable starting material (Synthesis Scheme 2), In this example bromine is the functional handle.
- a number of alternative reducing agents can be envisioned to install the amine functionality Alkylation of the secondary amine with ⁇ -bromo ⁇ 2'-acetonapthone and an appropriate base composed of either an organic amine bases such as triethylamine or an inorganic base, afforded ketone Compound 4.
- Dichloromethane is the preferred solvent, although a number of solvents can be used including EtOAc, IPAc, MTBE, MeOH, EtOH, THF, ACN. Immediate reduction of the resulting ketone with sodium borohydride afforded Compound 5 which was subsequently cyclized under acidic Friedel -Crafts conditions to afford racemic tetrahydroisoquinoline Compound 6 and its regioisomer in approximately 2.5:1 ratio.
- a number of acids can be envisioned including protic acids such as methane sulfonic acid and sulfuric acid and Lewis acids such as TiCI 4 and AICI 3 . The regioisomers are separated via the oxlate salts and then a selective crystallization in ethanol.
- the oxalate salt of the desired isomer is then converted to the free base by treatment with aqueous sodium hydroxide and subsequently isolated by extraction with MTBE.
- a second iteration of this procedure improves the ratio to >97:3.
- Classical resolution of the desired enantiomer, Compound 7, is achieved using di-p-toluoyl-D-tartaric acid.
- the desired tartrate salt is more insoluble in acetone, and isolated by filtration.
- the first pass affords a 95:5 mixture of enantiomers.
- a second iteration provides >99% ee with chemical purity >99%.
- the mixture of stereo- and regiosiomers could be purified by chiral chromatography.
- Demethylation of Compound 7 with hydrobromic acid in acetic acid affords the phenol hydrobromide salt, Compound 8, which is converted directly to the triflate, Compound 9, by using two equivalents of an organic amine base, such as triethylamine, DIPEA or pyridine, and trifluoromethanesulfonic anhydride in dichlorormethane.
- an organic amine base such as triethylamine, DIPEA or pyridine
- trifluoromethanesulfonic anhydride in dichlorormethane.
- the freebase of Compound 8 can be used successfully in the subsequent Suzuki coupling.
- Recrystallization of the bis-protected product from IP A/water significantly reduces the mono-boc amino pyridazine intermediate.
- Workup of the crude reaction mixture of Compound 12 with aqueous LiCl, aqueous NH 4 OH, or treatment with a suitable metal scavengers such as Si-Thiol (Silicycle®), or activated carbon, or recrystallization from alcoholic solvent such as methanol are effective means in reducing the metal contamination of the desired product.
- the Boc protecting groups are removed under acidic conditions using HCl in an alcoholic solvent, such as methanol or isopropanol to afford the di-HCl salt, Compound 13.
- the free base, Compound 2 is produced by crystallization from a mixture of aqueous sodium bicarbonate and methanol.
- Compound 29 in 60% yield over three steps.
- Compound 29 can be accessed in a more direct fashion by reductive amination of Compound 26 with Compound 30.
- Compound 30 is accessed by amination of alpha bromo-2'- acetonaphtone using hexamethylenetetramine (HMTA) followed by refluxing concentrated HCl(aq) in methanol to afford the primary amine.
- HMTA hexamethylenetetramine
- 2-(2-naphthalenyl)-oxirane is also a proposed logical synthon for alkylation of Compound 27, that would afford direct access to Compound 29.
- treating alpha bromo-2'-acetonaphtone successively with methylamine and NaBH4 also affords Compound 30. It is enviosned that cyclization of
- Compound 29 under acidic Friedel-Crafts conditions will afford Compound rac-1 with high regionselectivity due to the C7 appended heterocycle.
- a number of acids can be envisioned including protic acids such as methanesulfonic acid and sulfuric acid and Lewis acids such as TiCl 4 and AICI 3 .
- Compound 2 can also be prepared as depicted in Synthesis Scheme 5.
- Compound 10 reacts with 3,6-dichloropyridazine under Suzuki conditions to give Compound 31 which can then be converted to Compound 32 by reacting with 2,4-dimethoxybenzylamine. Removing of the 2,4-dimethoxybenzyl group on compound 31 by the treatment with trifluoroacetic acid afforded Compound 2.
- Compound 2 can be further converted to the corresponding maleic acid salt.
- the regioisomers can be separated as their respective oxalate salts.
- a 2.4:1 mixture of regio isomers [547 g, 1.8 mol] in absolute EtOH (2 L) was stirred at ambient temperature as a solution of oxalic acid (162 g, 1.8 mol) in absolute EtOH (600 mL) was added in one portion (exothermic). The solution became heterogeneous, and after 2 h was filtered to give a light yellow solid that was -90:10 mixture of regio isomers by 1 H NMR. The filter cake was added to fresh absolute EtOH (6.5 L) and the resulting slurry was heated to 75 °C for 3 hours.
- a solution of racemic Compound 6 (1.2 kg, 1.0 equiv, 97:3 mixture of regioisomers by 1H NMR in acetone was heated to 55 °C in a 100-L jacketed reactor. Simultaneously, a solution of di-p-toluoyl-D-tartaric acid (1.1 kg, 0.80 equiv) in acetone was prepared in a 20-L carboy. A portion of the chiral acid solution (0.45 equiv) was added to the racemic solution over 2 h, causing the solution to become cloudy. Previously prepared seed crystals (1O g, 99% ee) were then added. The mixture continued stirring for an additional 30 min.
- the intermediate HBr salt of Compound 8 can be isolated and used directly in the next step.
- Scaled-up procedure A mixture of Compound 7 (1.0 kg, 1.0 equiv,) in AcOH (2.5 L) was mechanically stirred and heated at 55-60 °C until the solution was homogeneous. 48 wt% HBr in water (5.0 L) was then added in one portion, and the resulting solution was heated to 105 °C for 18 h (the solution became heterogeneous shortly after adding the HBr solution, but became homogeneous after stirring approximately 2 h at 105 °C). The solution was then cooled to 95 °C over 15 minutes.
- reaction was stirred at 55 °C with heating for 2h to give a dark brown solution.
- reaction solution was poured to a 4 L beaker and water (3 L) was added to give a light brown suspension.
- the yellow precipitate was collected by filtration and washed with water (4 L). No product was dissolved in water.
- the solid was dried in oven overnight to give product (152.2g, 80% yield) as a light yellow solid.
- the filter cake was dissolved in DCM (18 L) and the organic layer was washed with a 10% aqueous LiCl solution (18 L) and a 10% aqueous NH 4 OH solution (18 L), The DCM layer was concentrated under reduced pressure to leave a brown solid. MeOH (6 L) was added and the slurry was stirred and heated at 55 °C for 1 hour. It was then cooled to 25 °C and EtOAc (12 L) was added. The resulting slurry was stirred for 1 hour, filtered, and the filter cake was conditioned under N 2 overnight to give 750 g of a grey solid. ICP analysis indicated the palladium content was -2300 ppm.
- the solid was then dissolved in DCM (3.75 L) and Si-thiol (1.50 kg, 2 wt equiv, Silicycle lot # 10347) was added. The mixture was vigorously stirred at 30-35 °C for 4.5 hours. The mixture was cooled to room temperature and then filtered. The solid Si-thiol was then rinsed with DCM (7.5 L) and the combined dark brown filtrates were transferred to a Rotovap bulb through two 1.2 micron filters and concentrated under reduced pressure to give an off-white solid. ICP analysis indicated the palladium content was 160 ppm. The batch was re-dissolved in DCM (3.75 L) and Si-thiol (1.50 kg, 2 wt equiv) was added.
- reaction solution was flushed with argon for 10 min, and then dichloro[ 1 , 1 '-bis(diphenylphosphino)ferrocene]palladium(II) dichloromethane adduct (3.9 g, 4.74 mmol) was added.
- the mixture was flushed with argon for 5 min and heated at 80 °C for 1 h.
- the reaction solution was cooled to room temperature, diluted with ethyl acetate, washed with 1 :1 brine and water (2*), dried over sodium sulfate and concentrated in vacuo.
- reaction solution was flushed with argon for 10 min, and then dichloro[l,l '- bis(diphenylphosphino)ferrocene]palladium(II) dichloromethane adduct (1.2 g, 1.5 mmol) was added.
- the resultant mixture was flushed with argon for 5 min and heated at 80 °C for 1 h.
- the reaction solution was then cooled to room temperature, diluted with ethyl acetate, washed with 1 :1 brine and water (2x), dried over sodium sulfate and concentrated in vacuo.
- Form N-I was analyzed using one or more of the testing methods described below.
- X-ray powder diffraction (PXRD) data were obtained using a Bruker C2 GADDS.
- the radiation was Cu Ka (40 KV, 40mA).
- the samp Ie -detector distance was 15 cm.
- Powder samples were placed in sealed glass capillaries of lmm or less in diameter; the capillary was rotated during data collection. Data were collected for 3 ⁇ 20 ⁇ 35° with a sample exposure time of at least 1000 seconds.
- the resulting two- dimensional diffraction arcs were integrated to create a traditional 1 -dimensional PXRD.
- Table 4 lists the characteristic PXRD peaks that describe Form N-I of Compound 2.
- Characteristic diffraction peak positions (degrees 2 ⁇ ⁇ 0.1) at room temperature, based on a high quality pattern collected with a diffractometer (cuK ⁇ ) with a spinning capillary with 2 ⁇ calibrated with a NIST other suitable standard.
- DSC Differential scanning calorimetry
- Form N-I has the properties set for the in Table 5, below.
Landscapes
- Health & Medical Sciences (AREA)
- Organic Chemistry (AREA)
- Chemical & Material Sciences (AREA)
- Bioinformatics & Cheminformatics (AREA)
- Engineering & Computer Science (AREA)
- Life Sciences & Earth Sciences (AREA)
- General Health & Medical Sciences (AREA)
- Nuclear Medicine, Radiotherapy & Molecular Imaging (AREA)
- General Chemical & Material Sciences (AREA)
- Pharmacology & Pharmacy (AREA)
- Chemical Kinetics & Catalysis (AREA)
- Animal Behavior & Ethology (AREA)
- Medicinal Chemistry (AREA)
- Public Health (AREA)
- Veterinary Medicine (AREA)
- Neurology (AREA)
- Biomedical Technology (AREA)
- Neurosurgery (AREA)
- Addiction (AREA)
- Psychiatry (AREA)
- Pain & Pain Management (AREA)
- Endocrinology (AREA)
- Diabetes (AREA)
- Reproductive Health (AREA)
- Urology & Nephrology (AREA)
- Obesity (AREA)
- Hematology (AREA)
- Gynecology & Obstetrics (AREA)
- Psychology (AREA)
- Child & Adolescent Psychology (AREA)
- Hospice & Palliative Care (AREA)
- Rheumatology (AREA)
- Pregnancy & Childbirth (AREA)
- Orthopedic Medicine & Surgery (AREA)
- Physical Education & Sports Medicine (AREA)
- Pharmaceuticals Containing Other Organic And Inorganic Compounds (AREA)
- Plural Heterocyclic Compounds (AREA)
- Other In-Based Heterocyclic Compounds (AREA)
- Organic Low-Molecular-Weight Compounds And Preparation Thereof (AREA)
- Low-Molecular Organic Synthesis Reactions Using Catalysts (AREA)
Abstract
Description
Claims
Priority Applications (6)
| Application Number | Priority Date | Filing Date | Title |
|---|---|---|---|
| US12/995,776 US8420811B2 (en) | 2008-06-04 | 2009-06-04 | Tetrahydroisoquinolines and intermediates therefor |
| CN2009801307194A CN102112464A (en) | 2008-06-04 | 2009-06-04 | The method for preparing tetrahydroisoquinoline |
| EP09759418A EP2280956A2 (en) | 2008-06-04 | 2009-06-04 | Processes for preparing tetrahydroisoquinolines |
| JP2011512646A JP5567557B2 (en) | 2008-06-04 | 2009-06-04 | Method for producing tetrahydroisoquinoline |
| US13/664,546 US20130060027A1 (en) | 2008-06-04 | 2012-10-31 | Tetrahydroisoquinolines and intermediates therefor |
| US14/661,063 US20150191494A1 (en) | 2008-06-04 | 2015-03-18 | Tetrahydroisoquinolines and intermediates therefor |
Applications Claiming Priority (2)
| Application Number | Priority Date | Filing Date | Title |
|---|---|---|---|
| US5871708P | 2008-06-04 | 2008-06-04 | |
| US61/058,717 | 2008-06-04 |
Related Child Applications (2)
| Application Number | Title | Priority Date | Filing Date |
|---|---|---|---|
| US12/995,776 A-371-Of-International US8420811B2 (en) | 2008-06-04 | 2009-06-04 | Tetrahydroisoquinolines and intermediates therefor |
| US13/664,546 Division US20130060027A1 (en) | 2008-06-04 | 2012-10-31 | Tetrahydroisoquinolines and intermediates therefor |
Publications (2)
| Publication Number | Publication Date |
|---|---|
| WO2009149259A2 true WO2009149259A2 (en) | 2009-12-10 |
| WO2009149259A3 WO2009149259A3 (en) | 2010-04-15 |
Family
ID=41277466
Family Applications (2)
| Application Number | Title | Priority Date | Filing Date |
|---|---|---|---|
| PCT/US2009/046256 Ceased WO2009149258A2 (en) | 2008-06-04 | 2009-06-04 | Crystalline form of 6-[(4s)-2-methyl-4-(2-naphthyl)-1,2,3,4-tetrahydroisoquinolin-7-yl]pyridazin-3-amine |
| PCT/US2009/046259 Ceased WO2009149259A2 (en) | 2008-06-04 | 2009-06-04 | Processes for preparing tetrahydroisoquinolines |
Family Applications Before (1)
| Application Number | Title | Priority Date | Filing Date |
|---|---|---|---|
| PCT/US2009/046256 Ceased WO2009149258A2 (en) | 2008-06-04 | 2009-06-04 | Crystalline form of 6-[(4s)-2-methyl-4-(2-naphthyl)-1,2,3,4-tetrahydroisoquinolin-7-yl]pyridazin-3-amine |
Country Status (9)
| Country | Link |
|---|---|
| US (4) | US8445494B2 (en) |
| EP (2) | EP2280956A2 (en) |
| JP (3) | JP5567557B2 (en) |
| KR (1) | KR20110011653A (en) |
| CN (2) | CN102112465B (en) |
| AR (1) | AR071997A1 (en) |
| ES (1) | ES2652462T3 (en) |
| TW (1) | TW201002682A (en) |
| WO (2) | WO2009149258A2 (en) |
Cited By (1)
| Publication number | Priority date | Publication date | Assignee | Title |
|---|---|---|---|---|
| US9604960B2 (en) | 2009-05-12 | 2017-03-28 | Albany Molecular Research, Inc. | Aryl, heteroaryl, and heterocycle substituted tetrahydroisoquinolines and use thereof |
Families Citing this family (14)
| Publication number | Priority date | Publication date | Assignee | Title |
|---|---|---|---|---|
| CN101119969B (en) | 2004-07-15 | 2014-04-09 | 阿尔巴尼分子研究公司 | Aryl- and heteroaryl-substituted tetrahydroisoquinolines and their use to block the reuptake of norepinephrine, dopamine, and serotonin |
| EP1963323B1 (en) * | 2005-12-06 | 2010-07-14 | Neurosearch A/S | Novel diazabicyclic aryl derivatives and their medical use |
| AR071997A1 (en) * | 2008-06-04 | 2010-07-28 | Bristol Myers Squibb Co | CRYSTAL FORM OF 6 - ((4S) -2-METHYL-4- (2-NAFTIL) -1,2,3,4-TETRAHYDROISOQUINOLIN-7-IL) PIRIDAZIN-3-AMINA |
| US9156812B2 (en) | 2008-06-04 | 2015-10-13 | Bristol-Myers Squibb Company | Crystalline form of 6-[(4S)-2-methyl-4-(2-naphthyl)-1,2,3,4-tetrahydroisoquinolin-7-yl]pyridazin-3-amine |
| MX2011011900A (en) | 2009-05-12 | 2012-01-20 | Squibb Bristol Myers Co | CRYSTALLINE FORMS OF (S)-7-([1,2,4]TRIAZOLO[1,5-a]PYRIDIN-6-YL)-4 -(3,4-DICHLOROHPHENYL)-1,2,3,4-TETRAHYDROISOQUINOLINE AND USE THEREOF. |
| CN102595902B (en) * | 2009-05-12 | 2015-04-29 | 阿尔巴尼分子研究公司 | 7-([1,2,4]triazolo[1,5-a]pyridin-6-yl)-4-(3,4-dichlorophenyl)-1,2,3,4-tetrahydro Isoquinolines and their uses |
| EP2606049A4 (en) | 2010-08-17 | 2014-01-08 | Albany Molecular Res Inc | 2,5-methano-and 2,5-ethano-tetrahydrobenzazepine derivatives and use thereof to block reuptake of norepinephrine, dopamine, and serotonin |
| NO2686520T3 (en) | 2011-06-06 | 2018-03-17 | ||
| US10154988B2 (en) | 2012-11-14 | 2018-12-18 | The Johns Hopkins University | Methods and compositions for treating schizophrenia |
| US20160022675A1 (en) * | 2013-03-14 | 2016-01-28 | Bristol-Myers Squibb Company | Processes for preparing tetrahydroisoquinolines |
| CN103601699A (en) * | 2013-11-04 | 2014-02-26 | 南京大学 | 1,3,4-thiadiazol-2-amide derivatives and preparation method thereof |
| AU2014348523B2 (en) | 2013-11-15 | 2019-01-03 | Akebia Therapeutics, Inc. | Solid forms of {[5-(3-chlorophenyl)-3-hydroxypyridine-2-carbonyl]amino}acetic acid, compositions, and uses thereof |
| IL278533B1 (en) | 2018-05-09 | 2025-10-01 | Akebia Therapeutics Inc | Process for preparing 2-[[5-(3-chlorophenyl)-3-hydroxypyridine-2-carbonyl]amino]acetic acid |
| US11524939B2 (en) | 2019-11-13 | 2022-12-13 | Akebia Therapeutics, Inc. | Solid forms of {[5-(3-chlorophenyl)-3-hydroxypyridine-2-carbonyl]amino} acetic acid |
Family Cites Families (97)
| Publication number | Priority date | Publication date | Assignee | Title |
|---|---|---|---|---|
| CH527194A (en) | 1970-01-06 | 1972-08-31 | Hoffmann La Roche | Process for the preparation of isoquinoline derivatives |
| US3947456A (en) | 1970-01-06 | 1976-03-30 | Hoffman-La Roche Inc. | Substituted 4-phenyl isoquinolines |
| US3666763A (en) | 1970-01-06 | 1972-05-30 | Hoffmann La Roche | 4-phenyl isoquinolines and process for preparing same |
| GB1504424A (en) | 1975-08-09 | 1978-03-22 | Beecham Group Ltd | Isoquinoline-derived aminoethers |
| US4340600A (en) | 1980-05-22 | 1982-07-20 | Smithkline Corporation | Renal dilating methods and compositions using 4-(3,4-dihydroxyphenyl)-1,2,3,4-tetrahydroisoquinolines |
| DE3333994A1 (en) | 1983-09-21 | 1985-04-04 | Troponwerke GmbH & Co KG, 5000 Köln | NEW PYRIDOINDOL DERIVATIVES, METHOD FOR THEIR PRODUCTION AND THEIR USE |
| US4843071A (en) | 1986-12-05 | 1989-06-27 | Serotonin Industries Of Charleston | Method and composition for treating obesity, drug abuse, and narcolepsy |
| CA1327795C (en) | 1987-08-14 | 1994-03-15 | Jules Freedman | Antidepressants which are aryloxy inadanamines |
| EP0360390A1 (en) | 1988-07-25 | 1990-03-28 | Glaxo Group Limited | Spirolactam derivatives |
| MX18467A (en) | 1988-11-23 | 1993-07-01 | Pfizer | THERAPEUTIC AGENTS OF QUINUCLIDINES |
| US4902710A (en) | 1988-12-14 | 1990-02-20 | Eli Lilly And Company | Serotonin and norepinephrine uptake inhibitors |
| US5114976A (en) | 1989-01-06 | 1992-05-19 | Norden Michael J | Method for treating certain psychiatric disorders and certain psychiatric symptoms |
| BG49761A1 (en) | 1989-04-24 | 1992-02-14 | Vissh Khim T I | 4- (4'- chalophenyl)- 2- methyl- 1, 2, 3, 4- tetrahydroisohinolines and method for its preparation |
| US5164372A (en) | 1989-04-28 | 1992-11-17 | Fujisawa Pharmaceutical Company, Ltd. | Peptide compounds having substance p antagonism, processes for preparation thereof and pharmaceutical composition comprising the same |
| FI97540C (en) | 1989-11-06 | 1997-01-10 | Sanofi Sa | Process for the preparation of therapeutically useful aromatically substituted piperidine and piperazine derivatives |
| FR2654725B1 (en) | 1989-11-23 | 1992-02-14 | Rhone Poulenc Sante | NEW ISOINDOLONE DERIVATIVES, THEIR PREPARATION AND THE PHARMACEUTICAL COMPOSITIONS CONTAINING THEM. |
| FR2654726B1 (en) | 1989-11-23 | 1992-02-14 | Rhone Poulenc Sante | NEW ISOINDOLONE DERIVATIVES AND THEIR PREPARATION. |
| GB8929070D0 (en) | 1989-12-22 | 1990-02-28 | Fujisawa Pharmaceutical Co | Peptide compounds,processes for preparation thereof and pharmaceutical composition comprising the same |
| WO1991009844A1 (en) | 1990-01-04 | 1991-07-11 | Pfizer Inc. | Substance p antagonists |
| EP0515681A4 (en) | 1990-02-15 | 1993-12-29 | Fujisawa Pharmaceutical Co., Ltd. | Peptide compound |
| US5451586A (en) | 1990-06-01 | 1995-09-19 | Pfizer Inc. | 3-amino-2-aryl quinuclidines |
| US5422354A (en) | 1990-07-23 | 1995-06-06 | Pfizer Inc | Quinuclidine derivatives |
| ES2071334T3 (en) | 1990-09-28 | 1995-06-16 | Pfizer | ANALOGS OF FUSED NITROGEN RINGS CONTAINING NON-AROMATIC HETERO CYCLES. |
| GB9023116D0 (en) | 1990-10-24 | 1990-12-05 | Fujisawa Pharmaceutical Co | Peptide compounds,processes for preparation thereof and pharmaceutical composition comprising the same |
| JPH04193867A (en) | 1990-11-23 | 1992-07-13 | Nippon Shinyaku Co Ltd | Isoquinolinol derivative and medicine |
| DK0498069T3 (en) | 1990-12-21 | 1995-12-04 | Fujisawa Pharmaceutical Co | New use of peptide derivative |
| FI933167A7 (en) | 1991-01-10 | 1993-07-09 | Pfizer | N-alkylquinuclidinium salts as substance P antagonists |
| EP0499313B1 (en) | 1991-02-11 | 1997-06-11 | MERCK SHARP & DOHME LTD. | Azabicyclic compounds, pharmaceutical compositions containing them and their use in therapy |
| DE69200921T2 (en) | 1991-03-01 | 1995-05-04 | Pfizer | 1-AZABICYCLO [3.2.2] NONAN-3-AMINE DERIVATIVES. |
| PL169993B1 (en) | 1991-03-26 | 1996-09-30 | Pfizer | Method for the production of substituted piperidines PL PL PL PL |
| FR2677361A1 (en) | 1991-06-04 | 1992-12-11 | Adir | NOVEL PEPTIDES AND PSEUDOPEPTIDES, TACHYKININ DERIVATIVES, PROCESS FOR PREPARING THEM AND PHARMACEUTICAL COMPOSITIONS CONTAINING THEM. |
| FR2676053B1 (en) | 1991-05-03 | 1993-08-27 | Sanofi Elf | NOVEL DIALKYLENEPIPERIDINO COMPOUNDS AND THEIR ENANTIOMERS, PROCESS FOR THEIR PREPARATION AND PHARMACEUTICAL COMPOSITIONS CONTAINING THEM. |
| FR2676055B1 (en) | 1991-05-03 | 1993-09-03 | Sanofi Elf | AMINO POLYCYCLIC COMPOUNDS AND THEIR ENANTIOMERS, PROCESS FOR THEIR PREPARATION AND PHARMACEUTICAL COMPOSITIONS CONTAINING THEM. |
| FR2676443B1 (en) | 1991-05-17 | 1993-08-06 | Rhone Poulenc Rorer Sa | NOVEL PERHYDROISOINDOLE DERIVATIVES AND THEIR PREPARATION. |
| FR2676446B1 (en) | 1991-05-17 | 1993-08-06 | Rhone Poulenc Rorer Sa | NOVEL THIOPYRANOPYRROLE DERIVATIVES, THEIR PREPARATION AND THE PHARMACEUTICAL COMPOSITIONS CONTAINING THEM. |
| FR2676447B1 (en) | 1991-05-17 | 1993-08-06 | Rhone Poulenc Rorer Sa | NOVEL THIOPYRANOPYRROLE DERIVATIVES AND THEIR PREPARATION. |
| FR2676442B1 (en) | 1991-05-17 | 1993-08-06 | Rhone Poulenc Rorer Sa | NEW PERHYDROISOINDOLE DERIVATIVES, THEIR PREPARATION AND THE PHARMACEUTICAL COMPOSITIONS CONTAINING THEM. |
| US5288730A (en) | 1991-06-24 | 1994-02-22 | Merck Sharp & Dohme Limited | Azabicyclic compounds, pharmaceutical compositions containing them and their use in therapy |
| DE69208088T2 (en) | 1991-07-05 | 1996-11-14 | Merck Sharp & Dohme | AROMATIC COMPOUNDS, THESE PHARMACEUTICAL COMPOSITIONS AND THEIR THERAPEUTIC USE |
| EP0536817A1 (en) | 1991-07-05 | 1993-04-14 | MERCK SHARP & DOHME LTD. | Azabicyclic compounds as tachykinin antagonists |
| MY110227A (en) | 1991-08-12 | 1998-03-31 | Ciba Geigy Ag | 1-acylpiperindine compounds. |
| WO1993004040A1 (en) | 1991-08-20 | 1993-03-04 | Merck Sharp & Dohme Limited | Azacyclic compounds, processes for their preparation and pharmaceutical compositions containing them |
| PT533280E (en) | 1991-09-20 | 2001-01-31 | Glaxo Group Ltd | NEW MEDICAL USES FOR TACHYKININE ANTAGONISTS |
| CA2083891A1 (en) | 1991-12-03 | 1993-06-04 | Angus Murray Macleod | Heterocyclic compounds, compositions containing them and their use in therapy |
| GB2266529A (en) | 1992-05-01 | 1993-11-03 | Merck Sharp & Dohme | Tetrahydroisoquinoline derivatives |
| CA2099233A1 (en) | 1992-06-29 | 1993-12-30 | Conrad P. Dorn | Morpholine and thiomorpholine tachykinin receptor antagonists |
| GB2268931A (en) | 1992-07-22 | 1994-01-26 | Merck Sharp & Dohme | Azabicyclic tachykinin-receptor antagonists |
| GB2269170A (en) | 1992-07-29 | 1994-02-02 | Merck Sharp & Dohme | Azatricyclic tachykinin antagonists |
| GB9216911D0 (en) | 1992-08-10 | 1992-09-23 | Merck Sharp & Dohme | Therapeutic agents |
| NO179904C (en) | 1992-09-04 | 1997-01-08 | Takeda Chemical Industries Ltd | Condensed heterocyclic compounds and their use |
| GB2271566A (en) | 1992-10-14 | 1994-04-20 | Merck & Co Inc | HIV integrase inhibitors |
| GB9222486D0 (en) | 1992-10-26 | 1992-12-09 | Merck Sharp & Dohme | Therapeutic agents |
| JPH06153997A (en) | 1992-11-27 | 1994-06-03 | Canon Inc | Method for detecting target nucleic acid by amplification of detected signal |
| DK154192D0 (en) | 1992-12-23 | 1992-12-23 | Neurosearch As | HETEROCYCLIC COMPOUNDS |
| EP0610793A1 (en) | 1993-02-08 | 1994-08-17 | Takeda Chemical Industries, Ltd. | Tetracyclic morpholine derivatives and their use or analgesics |
| EP0634402A1 (en) | 1993-07-14 | 1995-01-18 | Takeda Chemical Industries, Ltd. | Isochinolinone derivatives, their production and use |
| US5607939A (en) | 1994-04-28 | 1997-03-04 | Takeda Chemical Industries, Ltd. | Condensed heterocyclic compounds, their production and use |
| PE27997A1 (en) | 1994-04-29 | 1997-09-20 | Lilly Co Eli | TACHYCIN RECIPIENT ANTAGONISTS |
| EP0686629A3 (en) | 1994-06-10 | 1999-02-10 | Eli Lilly And Company | Cyclohexyl tachykinine receptor antagonists |
| CA2134038C (en) | 1994-06-16 | 1997-06-03 | David Taiwai Wong | Potentiation of drug response |
| CZ288434B6 (en) | 1994-07-12 | 2001-06-13 | Lilly Co Eli | Dihydrochloride trihydrate of (R)-3-(1H-indol-3-yl)-1-[N-(2-methoxybenzyl)acetylamino]-2-[N-/2-(4-piperid-1-yl)piperid-1-yl)acetyl/-amino]propane, pharmaceutical preparation in which it is comprised and use thereof |
| DE4425612A1 (en) * | 1994-07-20 | 1996-04-04 | Bayer Ag | 6-membered nitrogen-containing heteroaryl oxazolidinones |
| CA2154116A1 (en) | 1994-07-22 | 1996-01-23 | Philip Arthur Hipskind | 1-aryl-2-acetamidopentanone derivatives for use as tachykinin receptor antagonists |
| GB9415997D0 (en) | 1994-08-08 | 1994-09-28 | Merck Sharp & Dohme | Therapeutic agents |
| ATE158568T1 (en) | 1994-08-29 | 1997-10-15 | Akzo Nobel Nv | METHOD FOR PRODUCING QUATERNARY DIESTERS |
| GB9418545D0 (en) | 1994-09-15 | 1994-11-02 | Merck Sharp & Dohme | Therapeutic agents |
| US5457107A (en) | 1994-09-16 | 1995-10-10 | Merck & Co., Inc. | Polymorphic form of a tachykinin receptor antagonist |
| TW397825B (en) | 1994-10-14 | 2000-07-11 | Novartis Ag | Aroyl-piperidine derivatives |
| FR2725986B1 (en) | 1994-10-21 | 1996-11-29 | Adir | NOVEL PIPERIDINE DERIVATIVES, THEIR PREPARATION PROCESS AND THE PHARMACEUTICAL COMPOSITIONS CONTAINING THEM |
| EP0709375B1 (en) | 1994-10-25 | 2005-05-18 | AstraZeneca AB | Therapeutic heterocycles |
| GB9421709D0 (en) | 1994-10-27 | 1994-12-14 | Zeneca Ltd | Therapeutic compounds |
| EP0714891A1 (en) | 1994-11-22 | 1996-06-05 | Eli Lilly And Company | Heterocyclic tachykinin receptor antagonists |
| FR2729951B1 (en) | 1995-01-30 | 1997-04-18 | Sanofi Sa | NOVEL HETEROCYCLIC COMPOUNDS, PROCESS FOR THEIR PREPARATION AND PHARMACEUTICAL COMPOSITIONS CONTAINING THE SAME |
| TW394773B (en) | 1995-03-24 | 2000-06-21 | Takeda Chemical Industries Ltd | Cyclic compounds for antagonizing tachykinin receptor, substance p receptor and neurokinin a receptor, their production and pharmaceutical composition |
| GB9513118D0 (en) | 1995-06-28 | 1995-08-30 | Merck Sharp & Dohme | Therapeutic agents |
| HU224225B1 (en) | 1995-12-01 | 2005-06-28 | Sankyo Co. Ltd. | Heterocyclic compounds having tachykinin receptor antagonist activity, their preparation, and their use for the preparation of pharmaceutical compositions |
| US6121261A (en) | 1997-11-19 | 2000-09-19 | Merck & Co., Inc. | Method for treating attention deficit disorder |
| EP1140761B1 (en) * | 1999-01-12 | 2003-10-08 | Clariant Finance (BVI) Limited | Benzophenones and the use thereof as photoinitiators |
| US7163949B1 (en) | 1999-11-03 | 2007-01-16 | Amr Technology, Inc. | 4-phenyl substituted tetrahydroisoquinolines and use thereof |
| ATE387429T1 (en) | 1999-11-03 | 2008-03-15 | Amr Technology Inc | ARLY- AND HETEROARYL-SUBSTITUTED TETRAHYDROISOQUINOLINES AND THEIR USE AS NOREPINEPHRINE, DOPAMINE AND SEROTONIN REUPPOST INHIBITORS |
| SK9742002A3 (en) * | 2000-01-07 | 2003-02-04 | Transform Pharmaceuticals Inc | High-throughput formation, identification, and analysis of diverse solid-forms |
| US6664256B1 (en) * | 2000-07-10 | 2003-12-16 | Kowa Co., Ltd. | Phenylpyridazine compounds and medicines containing the same |
| CN100430401C (en) | 2000-07-11 | 2008-11-05 | Amr科技公司 | Novel 4-phenyl substituted tetrahydroisoquinolines and therapeutic use thereof |
| US6911453B2 (en) | 2001-12-05 | 2005-06-28 | Aventis Pharma Deutschland Gmbh | Substituted 4-phenyltetrahydroisoquinolinium, process for their preparation, their use as a medicament, and medicament containing them |
| EP1852415B1 (en) * | 2002-07-09 | 2009-10-07 | Lonza Ag | Process for the preparation of N-monosubstituted beta-amino alcohols |
| CN101119969B (en) * | 2004-07-15 | 2014-04-09 | 阿尔巴尼分子研究公司 | Aryl- and heteroaryl-substituted tetrahydroisoquinolines and their use to block the reuptake of norepinephrine, dopamine, and serotonin |
| US20060111385A1 (en) | 2004-11-22 | 2006-05-25 | Molino Bruce F | Novel 4-phenyl substituted tetrahydroisoquinolines and therapeutic use thereof |
| US20060111393A1 (en) | 2004-11-22 | 2006-05-25 | Molino Bruce F | 4-Phenyl substituted tetrahydroisoquinolines and use thereof to block reuptake of norepinephrine, dopamine and serotonin |
| US20060111394A1 (en) | 2004-11-22 | 2006-05-25 | Molino Bruce F | Aryl-and heteroaryl-substituted tetrahydroisoquinolines and use thereof to block reuptake of norepinephrine, dopamine and serotonin |
| EA019115B1 (en) | 2005-07-15 | 2014-01-30 | Олбани Молекьюлар Рисерч, Инк. | Aryl-and heteroaryl-substituted tetrahydrobenzazepines and use thereof to block reuptake of norepinephrine, dopamine, and serotonin |
| JP4193867B2 (en) | 2006-05-02 | 2008-12-10 | ソニー株式会社 | GaN semiconductor laser manufacturing method |
| WO2008005368A2 (en) * | 2006-06-30 | 2008-01-10 | Abbott Laboratories | Piperazines as p2x7 antagonists |
| SI2081572T1 (en) * | 2006-07-04 | 2010-06-30 | Janssen Pharmaceutica Nv | Benzimidazole cannabinoid agonists bearing a substituted heterocyclic group |
| US8993593B2 (en) * | 2006-08-23 | 2015-03-31 | Valeant Pharmaceuticals International | N-(4-(6-fluoro-3,4-dihydroisoquinolin-2(1H)-yl)-2,6-dimethylphenyl)-3,3-dimethylbutanamide as potassium channel modulators |
| CA2667487C (en) * | 2006-11-06 | 2017-04-04 | Supergen, Inc. | Imidazo[1,2-b]pyridazine and pyrazolo[1,5-a]pyrimidine derivatives and their use as protein kinase inhibitors |
| US7846930B2 (en) | 2007-05-18 | 2010-12-07 | Janssen Pharmaceutica Nv | Diaryl-substituted tetrahydroisoquinolines as histamine H3 receptor and serotonin transporter modulators |
| AR071997A1 (en) * | 2008-06-04 | 2010-07-28 | Bristol Myers Squibb Co | CRYSTAL FORM OF 6 - ((4S) -2-METHYL-4- (2-NAFTIL) -1,2,3,4-TETRAHYDROISOQUINOLIN-7-IL) PIRIDAZIN-3-AMINA |
-
2009
- 2009-06-03 AR ARP090101990A patent/AR071997A1/en not_active Application Discontinuation
- 2009-06-04 WO PCT/US2009/046256 patent/WO2009149258A2/en not_active Ceased
- 2009-06-04 US US12/995,771 patent/US8445494B2/en active Active
- 2009-06-04 EP EP09759418A patent/EP2280956A2/en not_active Withdrawn
- 2009-06-04 KR KR1020107027200A patent/KR20110011653A/en not_active Ceased
- 2009-06-04 JP JP2011512646A patent/JP5567557B2/en not_active Expired - Fee Related
- 2009-06-04 JP JP2011512645A patent/JP2011522827A/en active Pending
- 2009-06-04 CN CN200980130762.0A patent/CN102112465B/en active Active
- 2009-06-04 US US12/995,776 patent/US8420811B2/en active Active
- 2009-06-04 TW TW098118594A patent/TW201002682A/en unknown
- 2009-06-04 ES ES09759417.0T patent/ES2652462T3/en active Active
- 2009-06-04 EP EP09759417.0A patent/EP2280955B8/en active Active
- 2009-06-04 CN CN2009801307194A patent/CN102112464A/en active Pending
- 2009-06-04 WO PCT/US2009/046259 patent/WO2009149259A2/en not_active Ceased
-
2012
- 2012-10-31 US US13/664,546 patent/US20130060027A1/en not_active Abandoned
-
2014
- 2014-05-14 JP JP2014100580A patent/JP2014169312A/en active Pending
-
2015
- 2015-03-18 US US14/661,063 patent/US20150191494A1/en not_active Abandoned
Cited By (1)
| Publication number | Priority date | Publication date | Assignee | Title |
|---|---|---|---|---|
| US9604960B2 (en) | 2009-05-12 | 2017-03-28 | Albany Molecular Research, Inc. | Aryl, heteroaryl, and heterocycle substituted tetrahydroisoquinolines and use thereof |
Also Published As
| Publication number | Publication date |
|---|---|
| WO2009149258A2 (en) | 2009-12-10 |
| WO2009149259A3 (en) | 2010-04-15 |
| JP2011524346A (en) | 2011-09-01 |
| EP2280955B1 (en) | 2017-10-18 |
| AR071997A1 (en) | 2010-07-28 |
| EP2280955B8 (en) | 2017-12-27 |
| JP5567557B2 (en) | 2014-08-06 |
| US20150191494A1 (en) | 2015-07-09 |
| US8420811B2 (en) | 2013-04-16 |
| JP2014169312A (en) | 2014-09-18 |
| JP2011522827A (en) | 2011-08-04 |
| KR20110011653A (en) | 2011-02-08 |
| US20110077400A1 (en) | 2011-03-31 |
| TW201002682A (en) | 2010-01-16 |
| CN102112465A (en) | 2011-06-29 |
| US8445494B2 (en) | 2013-05-21 |
| CN102112465B (en) | 2014-09-24 |
| US20130060027A1 (en) | 2013-03-07 |
| US20110160220A1 (en) | 2011-06-30 |
| CN102112464A (en) | 2011-06-29 |
| EP2280955A2 (en) | 2011-02-09 |
| WO2009149258A3 (en) | 2010-02-04 |
| EP2280956A2 (en) | 2011-02-09 |
| ES2652462T3 (en) | 2018-02-02 |
Similar Documents
| Publication | Publication Date | Title |
|---|---|---|
| US8420811B2 (en) | Tetrahydroisoquinolines and intermediates therefor | |
| EP3810283B1 (en) | Solid forms of the tartrate salt of 3-((1r,3r)-1-(2,6-difluoro-4-((1-(3-fluoropropyl)azetidin-3-yl)amino)phenyl)-3-methyl-1,3,4,9-tetrahydro-2h-pyrido[3,4-b]indol-2-yl)-2,2-difluoropropan-1-ol, process for their preparation and methods of their use in treating cancers | |
| EP1724262A1 (en) | 1-(2h)-isoquinolone derivative | |
| EP3209652B1 (en) | Tricyclic atropisomer compounds | |
| CA3104757A1 (en) | Cell necrosis inhibitor, preparation method therefor and use thereof | |
| WO2010132487A1 (en) | CRYSTALLINE FORMS OF (S)-7-([1,2,4]TRIAZOLO[1,5-a]PYRIDIN-6-YL)-4-(3,4-DICHLOROHPHENYL)-1,2,3,4-TETRAHYDROISOQUINOLINE AND USE THEREOF | |
| KR102000382B1 (en) | The novel cyclopropabenzofuranylpyridopyrazazine | |
| KR20150036081A (en) | Carbamate/urea derivatives | |
| EP2429296A1 (en) | 7-([1,2,4,]triazolo[1,5,-a]pyridin-6-yl)-4-(3,4-dichlorophenyl)-1,2,3,4- tetrahydroisoquinoline and use thereof | |
| EP2616460B1 (en) | Heterocyclic compounds for treating or preventing disorders caused by reduced neurotransmission of serotonin, norephnephrine or dopamine. | |
| US9498476B2 (en) | Crystalline form of 6-[(4S)-2-methyl-4-(2-naphthyl)-1,2,3,4-tetrahydroisoquinolin-7-yl]pyridazin-3-amine | |
| JP2023539336A (en) | GPR52 modulator compounds | |
| EP3672953B1 (en) | Benzimidazole derivatives useful as potassium channel inhibitors | |
| TW202229251A (en) | Acetamido-phenylbenzamide derivatives and methods of using the same | |
| RU2793918C2 (en) | Cell necrosis inhibitor, method for its production and application | |
| RU2128178C1 (en) | Piperidinyl-substituted methanoanthracenes and their pharmaceutically acceptable salts, a pharmaceutical composition based on said and methods of their synthesis | |
| AU2005321228A1 (en) | Arylpiperazine derivatives and use thereof as 5-HT1A receptor ligands | |
| WO2021208850A1 (en) | Nitroimidazole derivative, preparation method therefor and use thereof | |
| HK1185878B (en) | Heterocyclic compounds for treating or preventing disorders caused by reduced neurotransmission of serotonin, norephnephrine or dopamine |
Legal Events
| Date | Code | Title | Description |
|---|---|---|---|
| WWE | Wipo information: entry into national phase |
Ref document number: 200980130719.4 Country of ref document: CN |
|
| 121 | Ep: the epo has been informed by wipo that ep was designated in this application |
Ref document number: 09759418 Country of ref document: EP Kind code of ref document: A2 |
|
| WWE | Wipo information: entry into national phase |
Ref document number: 2009759418 Country of ref document: EP |
|
| WWE | Wipo information: entry into national phase |
Ref document number: 12995776 Country of ref document: US |
|
| ENP | Entry into the national phase |
Ref document number: 20107027200 Country of ref document: KR Kind code of ref document: A |
|
| WWE | Wipo information: entry into national phase |
Ref document number: 8606/DELNP/2010 Country of ref document: IN |
|
| WWE | Wipo information: entry into national phase |
Ref document number: 2011512646 Country of ref document: JP |
|
| NENP | Non-entry into the national phase |
Ref country code: DE |












































































































































































